Societat Catalana de Química
Revista anual de la SCQ, filial de l’Institut d’Estudis Catalans

24 / 2025
URL: https://revistes.iec.cat/index.php/RSCQ ISSN: 2013-9853
ISSN: 2013-9853
https://revistes.iec.cat/index.php/RSCQ
Societat Catalana de Química
Filial de l’Institut d’Estudis Catalans
President: Gregori Ujaque Pérez
Vicepresidenta: Rosa Maria Marcé Recasens
Secretària: Montserrat Heras Corominas
Tresorer: Jordi Cuadros Margarit
Vocals: Consol Blanch Colat
Aureli Caamaño Ros
Eduard Cremades Martí
Anna de Juan Capdevila
Pere Grapí Vilumara
Josefina Guitart Mas
Ciril Jimeno Mollet
Lurdes Jordi Vilaró
Arben Merkoçi
Laia Pellejà i Puxeu
Anton Vidal i Ferran
Antoni Francesc Roig Navarro
Antonio Bauzà Riera
Montserrat Tortosa Moreno
Maria Corbella González
Vocals joves: Josep Antoni Gutiérrez Orgaz
Guillem Vila Siles
Delegat de l’IEC: Jordi Llorca Piqué
Revista de la Societat Catalana de Química
Director: Gregori Ujaque Pérez (president de la SCQ)
Consell Editorial: Ciril Jimeno Mollet (IQAC-CSIC)
Montserrat Heras Corominas (UdG)
Revisió lingüística: Unitat d’Edició del Servei Editorial de l’IEC
Imatge de la coberta (reproduïda a la p. 69): Representació esquemàtica de la síntesi de la porfirina P1. Elaboració de María Camacho-Molina i Alessandro Sorrenti.
© dels autors dels articles
Editat per la Societat Catalana de Química, filial de l’Institut d’Estudis Catalans
Carrer del Carme, 47. 08001 Barcelona
Telèfon: +34 935 529 106
Fax: +34 932 701 180
A/e: rscq@correu.iec.cat
REVISTA ANUAL
ISSN: 2013-9853
Caràcter de la revista
La revista de la societat catalana de química, adreçada al col·lectiu de químics i estudiants avançats de grau i màster, publica articles de divulgació de química i ciències frontereres. Alhora, també pot incloure seccions i apartats sobre història, docència, Internet, documentació, actualitat i altres temes.
En general, els articles que es publiquen a la revista són per invitació expressa del Consell Editorial, i corresponen a conferenciants que han participat en actes de la Societat i a persones premiades en les diverses convocatòries públiques (Premis de Recerca, Trobada de Joves Investigadors dels Països Catalans…).
No obstant això, si hi ha altres persones interessades a publicar-hi un treball, han de fer-ho saber al Consell Editorial i indicar-ne el contingut i la llargada aproximada, i aquest en valorarà l’adequació a la línia editorial de la revista
Poden ser articles de treball de recerca originals o de revisió. Cal tenir present que els lectors de la revista poden ser químics de qualsevol especialitat i, per això, es demana als autors que facin un esforç especial a fi de facilitar la comprensió dels seus treballs.
Normes de publicació
Les normes detallades de publicació es poden trobar a la pàgina web de la revista: https://revistes.iec.cat/index.php/RSCQ
Els continguts de la revista de la societat catalana de química estan subjectes —llevat que s’indiqui el contrari en el text o en el material gràfic— a una llicència Reconeixement – No comercial – Sense obres derivades 3.0 Espanya de Creative Commons, el text complet de la qual es pot consultar a https:// creativecommons.org/licenses/by-nc-nd/3.0/es/deed.ca
Així, doncs, s’autoritza el públic en general a reproduir, distribuir i comunicar l’obra sempre que se’n reconegui l’autoria i l’entitat que la publica i no se’n faci un ús comercial ni cap obra derivada.
Sumari
Reaccions directes i asimètriques de formació d’enllaços C–C catalitzades per complexos quirals de Ni(II)
7 per Eduard Balaguer-Garcia, Javier Ballester, Joan Conejos-Jalencas, Jiawei Gao, Xènia Tarrach, Anna M. Costa, Pedro Romea i Fèlix Urpí
Estructures no canòniques del DNA: dels fonaments estructurals fins a les aplicacions químiques
27 per Anna Aviñó, Arnau Domínguez i Raimundo Gargallo
La química combinatòria dinàmica com a eina per al desenvolupament d’antídots de l’heparina
40 per Daniel Carbajo i Ignacio Alfonso
Anàlisi de la correlació electrònica mitjançant funcions intraculars
51 per Markel Ylla, Eloy Ramos-Cordoba i Eduard Matito
Autoassemblatge dissipatiu de marcs orgànics supramoleculars amb resposta redox: disseny i síntesi de blocs de construcció
65 per María Camacho-Molina i Alessandro Sorrenti
Celebrem el Premi Nobel de Química 2024. La predicció computacional: una revolució real. Mètodes per al disseny i la predicció estructural de proteïnes p. 79 per Sílvia Osuna
Químics catalans al món: Enric Comas Lou. UCB Pharma GmbH (Monheim am Rhein, Alemanya)
Activitats destacades de la Societat Catalana de Química
85
Us presentem el nou número de la revista de la societat catalana de química (RSCQ), que enguany celebra la seva vint-i-quatrena edició. Fidels al compromís de difondre la recerca química que es genera als Països Catalans, aquest número recull una selecció destacada d’articles que tracten temàtiques tan diverses com la síntesi estereoselectiva, les aplicacions químiques del DNA, la química combinatòria, la mecànica quàntica i la química supramolecular. A més, hi trobareu les seccions habituals: «Celebrem el Premi Nobel de Química» (enguany, del 2024), «Químics catalans al món» i «Activitats destacades de la Societat Catalana de Química».
En el primer article, Anna M. Costa i els seus col·laboradors de l’Institut de Biomedicina de la Universitat de Barcelona presenten una revisió detallada de l’avenç que han fet en el desenvolupament de mètodes per a la formació estereoselectiva d’enllaços C–C, utilitzant catalitzadors quirals de Ni(II). Aquests mètodes s’han aplicat amb èxit en la síntesi de compostos bioactius d’interès farmacèutic, com la lacosamida i el tapentadol.
En el següent article, Raimundo Gargallo, de la Universitat de Barcelona, juntament amb dos investigadors de l’Institut de Química Avançada de Catalunya (IQAC-CSIC) i del Centro de Investigación Biomédica en Red - Bioingeniería, Biomateriales y Biomedicina (CIBER-BBN), analitzen les característiques fonamentals de les estructures no canòniques del DNA, diferents de la clàssica hèlix doble, i les seves aplicacions en l’àmbit químic, com ara la detecció d’anàlits. A més, l’article presenta els avenços més recents en aquest camp i posa de manifest el gran potencial d’aquestes estructures innovadores tant en la recerca fonamental com en l’aplicada.
Des de l’IQAC-CSIC, Daniel Carbajo i Ignacio Alfonso ens presenten un article que explora l’aplicació de la química combinatòria dinàmica per al desenvolupament d’antídots de l’heparina. Mitjançant l’ús de llibreries combinatòries dinàmiques formades per molècules senzilles, aquest enfocament ha per-
mès la identificació de candidats prometedors per inhibir l’efecte anticoagulant de l’heparina.
El quart article, signat per Markel Ylla i els seus dos col·laboradors, l’un de l’IQAC-CSIC i l’altre del Donostia International Physics Center (DIPC) i d’Ikerbasque, la Fundació Basca per a la Ciència, aprofundeix en el concepte de correlació electrònica dins les aproximacions de la mecànica quàntica, essencials per a la simulació precisa de processos químics. Cal destacar que Markel Ylla va ser guardonat amb el premi a la millor comunicació oral en el simposi de teoria i modelatge durant la XIII Trobada de Joves Investigadors dels Països Catalans, celebrada a Tarragona el gener del 2024.
A continuació, María Camacho-Molina i Alessandro Sorrenti, de la Universitat de Barcelona, presenten un article sobre marcs orgànics supramoleculars (SOF), materials porosos solubles formats per l’autoassemblatge de blocs de construcció moleculars mitjançant interaccions no covalents. L’article descriu la síntesi i la caracterització dels components d’un SOF, així com els primers resultats dels seus processos d’autoassemblatge. María Camacho-Molina va ser la guanyadora, dins del marc dels Premis Sant Jordi de l’IEC, del premi al millor treball de fi de grau en l’àmbit de la química, atorgat per la Societat Catalana de Química (SCQ) en l’edició del 2024.
Tot seguit, trobem l’article corresponent a la conferència sobre el Premi Nobel de Química 2024, que va reconèixer David Baker pels seus mètodes de disseny de proteïnes, i Demis Hassabis i John Jumper per AlphaFold2, l’eina d’intel·ligència artificial capaç de predir l’estructura de les proteïnes amb una gran precisió. En aquesta ocasió, la conferència va ser impartida el desembre del 2024 per la professora ICREA Sílvia Osuna, de la Universitat de Girona, amb el títol «Predicció computacional, revolució real: mètodes per al disseny i predicció estructural de proteïnes».
Per tancar aquest número, presentem les seccions habituals: «Químics catalans al món», en què coneixerem la trajectòria professional d’Enric Comas Lou, que actualment treballa a
Alemanya, i «Activitats destacades de la Societat Catalana de Química», que recull les activitats organitzades per la SCQ o en les quals ha col·laborat activament des de finals del 2024 fins al novembre de 2025.
Només ens resta encoratjar-vos a proposar-nos articles i treballs que puguin despertar l’interès del nostre públic lector i contribuir d’una manera significativa a la difusió de la química i les disciplines afins. La vostra participació és fonamental per enriquir aquesta revista i fomentar el coneixement i la passió per la ciència química en totes les seves vessants. No dub-
teu a contactar amb nosaltres. Estarem encantats de rebre les vostres col·laboracions.
Montserrat Heras Corominas Universitat de Girona montserrat.heras@udg.edu
Ciril Jimeno Mollet Institut de Química Avançada de CatalunyaConsell Superior d’Investigacions Científiques ciril.jimeno@iqac.csic.es
Reaccions directes i asimètriques de formació d’enllaços C–C catalitzades per complexos quirals
de Ni(II)
Direct and asymmetric C–C bond-forming reactions catalyzed by chiral Ni(II) complexes
Eduard Balaguer-Garcia, Javier Ballester, Joan Conejos-Jalencas, Jiawei Gao, Xènia Tarrach, Anna M. Costa, Pedro Romea i Fèlix Urpí
Universitat de Barcelona (UB). Departament de Química Inorgànica i Orgànica. Secció de Química Orgànica. Institut de Biomedicina de la Universitat de Barcelona (IBUB)
Resum: El desenvolupament de mètodes directes, estereoselectius i catalítics per a la formació d’enllaços C–C és un dels grans reptes de la química orgànica moderna. En aquest context, els enolats quirals de Ni(II) derivats de tioimides han demostrat ser uns reactius molt eficients en reaccions d’alquilació, aldòliques i d’addició conjugada. Aquest article recull les aportacions recents del nostre grup en aquest camp i posa en relleu la utilitat sintètica dels productes obtinguts, que s’han aplicat amb èxit a la síntesi de compostos bioactius com la lacosamida o el tapentadol.
Paraules clau: Enolats de Ni(II), tioimides, catàlisi asimètrica, formació d’enllaços C–C.
Abstract: The development of direct, stereoselective, and catalytic methods for C–C bond formation is one of the major challenges in modern organic chemistry. In this context, chiral Ni(II) enolates derived from thioimides have emerged as highly efficient reagents in alkylation, aldol, and conjugate addition reactions. This article presents our group’s recent contributions in this area and highlights the synthetic utility of the resulting products, which have been successfully applied to the synthesis of bioactive compounds such as lacosamide or tapentadol.
Keywords: Ni(II) enolates, thioimides, asymmetric catalysis, C–C bond formation.
Introducció
El desenvolupament de mètodes eficients per a la formació estereoselectiva d’enllaços carboni–carboni (C–C) continua essent un pilar fonamental de la química orgànica sintètica. Una de les estratègies més emprades és la funcionalització en α d’enolats o enamines, generats a partir dels compostos carbonílics corresponents. Pel que fa als enolats, és habitual preformar-los emprant bases fortes i temperatures criogèniques, cosa que s’allunya dels principis de la química verda [1]. A més, el control de l’estereoselectivitat de la reacció sovint requereix l’ús de lligands o d’auxiliars quirals en quantitats estequiomètriques, fet que compromet l’eficiència atòmica (atom economy) de la reacció [2, 3]. En aquest context, l’ús de catalitzadors quirals (catàlisi asimètrica) representa una alternativa més sostenible, ja que permet reaccions directes i selectives.
Correspondència: Anna M. Costa
Universitat de Barcelona. Departament de Química Inorgànica i Orgànica. Secció de Química Orgànica.
Institut de Biomedicina de la Universitat de Barcelona (IBUB). C. de Martí i Franquès, 1-11.
08028 Barcelona
Tel.: +34 934 021 258. Fax: +34 933 397 878
A/e: amcosta@ub.edu
Fa aproximadament vint-i-cinc anys es van descriure els primers mètodes per a la formació directa d’enolats [4, 5] i d’enamines [6] quirals. És una estratègia especialment atractiva perquè evita passos de prefuncionalització, redueix la generació de residus i simplifica les seqüències sintètiques. En el cas dels aldehids, l’aminocatàlisi ha resultat ser una estratègia molt eficaç, ja que les seves enamines es generen d’una manera directa en condicions suaus. D’una forma similar, la catàlisi per transferència de fase ha estat àmpliament utilitzada per a funcionalitzar enolats estabilitzats, com els derivats de compostos 1,3-dicarbonílics [7]. Tanmateix, aquestes aproximacions no són aplicables d’una manera general a compostos menys activats, per als quals encara no es disposa de mètodes de formació d’enllaços C–C que siguin alhora directes, catalítics i estereoselectius [8, 9]. El repte encara és més gran per als derivats d’àcids carboxílics, com èsters o amides, atesa la seva menor acidesa, que dificulta la formació directa dels corresponents enolats en condicions suaus. Una estratègia que ha demostrat ser eficaç per a superar aquesta limitació consisteix en l’ús d’auxiliars o scaffolds aquirals, que solen incorporar un punt addicional de coordinació amb el metall i poden ser eliminats i recuperats fàcilment un cop la reacció s’ha completat. La coordinació del metall amb l’auxiliar incrementa l’acidesa dels protons
en α, fet que en facilita la desprotonació i permet la generació directa dels enolats en condicions suaus. Alhora, aquesta coordinació contribueix a fixar la geometria de l’enolat resultant, un aspecte clau per al control de l’estereoselectivitat de la reacció posterior. A més, si el metall es troba coordinat amb lligands quirals, la transformació pot esdevenir estereoselectiva i obre la porta a la síntesi de compostos amb un alt valor afegit.
Evans va ser pioner en l’aplicació d’aquesta estratègia; així, va descriure la formació directa d’enolats derivats de N-acil tiazolidintiones aquirals emprant catalitzadors de Ni(II) quirals i la seva reacció amb aldehids (reacció aldòlica) [10] i ortoformiat de trimetil (alquilació) [11]. Des de llavors, també han resultat útils altres scaffolds. Per exemple, Shibasaki va demostrar l’eficàcia dels N-acil pirroles en reaccions de tipus Mannich catalitzades per complexos quirals de In(III) [12].

EsquEma 1. Exemples de l’ús de plataformes aquirals per a la generació directa d’enolats de derivats d’àcids carboxílics. Elaboració pròpia.

Més recentment, Kumagai i Shibasaki han emprat amides derivades de la 7-azaindolina en —entre d’altres— reaccions aldòliques, de Mannich i d’addició conjugada, utilitzant catalitzadors quirals de Cu(I) [13]. Gong, per la seva banda, ha emprat N-acil pirazoles en reaccions de Mannich catalitzades per un complex quiral de Rh(I) [14] (esquema 1).
En aquest context, les tioimides destaquen com una alternativa especialment versàtil i eficient, ja que permeten la generació directa d’enolats quirals de Ni(II) en condicions suaus.
A més, poden eliminar-se amb facilitat un cop completada la reacció i transformar-se en un ampli ventall d’intermediaris sintèticament útils, com ara alcohols, èsters o amides, entre d’altres. Aprofitant l’experiència del grup en reaccions d’enolats de Ni(II) derivats d’acil tiazolidintiones quirals [15-18] (esquema 2) i inspirant-nos en els treballs d’Evans [10, 11], vam iniciar una cerca exhaustiva de noves reaccions enantioselectives de formació d’enllaços carboni–carboni basades en la reactivitat d’aquests enolats de Ni(II). A continuació, es presenten les contribucions del nostre grup en el desenvolupament de nous mètodes de formació d’enllaços C–C emprant tioimides aquirals com a plataforma.
Reaccions d’alquilació
Tenint en compte els precedents esmentats anteriorment, vam començar per estudiar les reaccions d’alquilació d’enolats de Ni(II) derivats de tioimides amb carbocations. El primer pas va ser determinar quina plataforma era la més adequada. La
reacció de les tioimides 1-6 amb el carbocatió generat a partir de (4-MeOC6H4)2CHOMe i emprant el precatalitzador aquiral comercial (Me3P)2NiCl2 va demostrar la importància de la presència d’un S exocíclic en l’heterocicle. Els millors resultats es van obtenir amb les tioimides 4 i 5 (esquema 3) [19].
Després d’avaluar diferents catalitzadors quirals i d’optimitzar les condicions de la reacció, el producte desitjat es va poder obtenir amb rendiments i enantioselectivitats excel·lents emprant 5 mol% de [(R)-DTBM-SEGPHOS]NiCl2 com a precatalitzador. Tant la tioimida 4 com la 5 proporcionaven resultats molt similars, però es va continuar l’estudi amb la tiazinantiona 5, ja que els excessos enantiòmerics eren lleugerament més alts i la reacció es podia dur a terme a 0 °C, sense pèrdua de rendiment o enantioselectivitat i escurçant d’una forma significativa el temps de reacció. Aquestes condicions de reacció es van aplicar a una sèrie de N-acil tiazinantiones (esquema 4). Tot i que la reacció és sensible a l’impediment estèric del grup acil de la tioimida, n’hi ha prou amb augmentar la quantitat de catalitzador i/o el temps de reacció per a obtenir uns resultats excel·lents. El sistema també tolera la presència de grups funcionals com alquens, alquins, èsters o èters [19].
La reacció també funciona molt bé amb altres electròfils catiònics, com ara el tetrafluoroborat de tropili o els generats a partir de l’ortoformiat de trimetil, o del cetal (4-MeOC6H4)2C(OMe)2 (esquema 5). En alguns casos es van haver d’ajustar les condicions de la reacció per tal d’augmentar el rendiment o evitar reaccions secundàries. Per exemple, amb ortoformiat de trimetil, va ser necessari disminuir la temperatura a –40 °C per a


EsquEma 4. Abast de la reacció d’alquilació amb (4-MeOC6H4)2CHOMe catalitzada per [(R)-DTBM-SEGPHOS]NiCl2. Elaboració pròpia.
evitar la metilació del S exocíclic. En el cas de la reacció amb el cetal aromàtic, es va haver d’augmentar el temps de reacció a 6 h, probablement degut a l’impediment estèric del catió oxocarbeni intermedi.
L’alquilació de N-azidoacetil tioimides és especialment interessant des del punt de vista sintètic, ja que obre una via per a la preparació d’α-aminoàcids. Malauradament, i malgrat pro-
var mètodes d’acilació diferents, no vam ser capaços de preparar la N-azidoacetil-1,3-tiazinan-2-tiona. En canvi, la corresponent tioimida de cinc membres, 7, és estable, fàcil de preparar i reacciona amb 4-MeOC6H4CH(OMe)2 i ortoformiat de trimetil amb rendiments i enantioselectivitats excel·lents. En aquest darrer cas, l’ús de [(R)-Tol-BINAP]NiCl2 proporciona millors rendiments que el complex [(R)-DTBM-SEGPHOS]NiCl2 (esquema 6) [20].


EsquEma 6. Alquilació de la tioimida 7 amb ortoformiat de trimetil i (4-MeOC6H4)2CHOMe, catalitzada per complexos quirals de Ni(II). Elaboració pròpia.
Reaccions aldòliques
Atesos els bons resultats obtinguts en la reacció d’alquilació, vam passar a estudiar la reacció dels enolats de Ni(II) derivats de tioimides amb aldehids com a electròfils [21]. Les condicions optimitzades per al 4-metoxibenzaldehid es mostren a l’esquema 7. Els millors resultats es van obtenir amb la tioimida 5 i amb el catalitzador derivat de la fosfina (R)Tol-BINAP en CH2Cl2 i treballant a –20 °C. En aquest cas, l’ús de TIPSOTf com a activador de l’aldehid va proporcionar rendiments i diastereoselectivitats lleugerament millors que altres triflats de trialquilsilil. Es va veure que la reacció és força sensible tant a factors electrònics com estèrics. Els aldehids menys rics en electrons reaccionen més lentament i, a mesura que augmenta el caràcter electroatractor del substituent en posició para, és necessari incrementar tant la càrrega de catalitzador com el temps de reacció per tal d’obtenir rendiments satisfactoris. Malgrat això, les relacions diastereomèriques es mantenen constants i els excessos enantiomèrics, tot i experimentar una lleugera disminució, continuen essent molt elevats. Els substituents en posició meta també alenteixen la reacció. Sorprenentment, la reacció amb l’o-metoxibenzaldehid és molt eficient i genera un sol estereoisòmer de l’aldol corresponent, amb un 56 % de rendiment, després de 15 h de reacció i emprant només un 5 mol% de catalitzador.
La reacció també funciona bé amb diferents grups acil a la tioimida. Tanmateix, s’observa que, en augmentar l’impediment estèric, tant el rendiment com la diastereoselectivitat disminueixen, mentre que els excessos enantiomèrics continuen essent excel·lents en tots els casos (esquema 8). La reacció tolera bé la presència de grups funcionals en la tioimida, com ara alquens, alquins, èsters, halurs o un èter de benzil. En aquest darrer cas, el producte obtingut es pot transformar en α,β-dihidroxiàcids quirals. En canvi, amb un grup trifluorometil no hi ha reacció.
Per a la introducció d’un grup nitrogenat en α, vam recórrer, altra vegada, a la N-azidoacetil tioimida 7, que va resultar ser una plataforma excel·lent per a la reacció amb aldehids [22]. Els aldols anti corresponents es van aïllar amb bons rendiments, diastereoselectivitats excel·lents i en forma d’un sol enantiòmer (esquema 9).

EsquEma 7. Abast de la reacció aldòlica de la tioimida 5, catalitzada per [(R)-Tol-BINAP]NiCl2. Elaboració pròpia.

EsquEma 8. Reacció aldòlica de diferents N-acil-1,3-tiazinan-2-tiones amb 4-metoxibenzaldehid. Elaboració pròpia.

Com ja s’havia observat anteriorment, la reacció és més ràpida amb aldehids rics en electrons i amb poc impediment estèric. Per a obtenir resultats òptims amb aldehids desactivats o estèricament impedits, sovint cal incrementar la càrrega de catalitzador i/o allargar el temps de reacció. Com abans, amb grups fortament electroatraients, com el trifluorometil (CF3), la reacció no avança. La reacció funciona bé amb una àmplia varietat d’aldehids aromàtics, de manera que s’obtenen els aldols anti corresponents, amb uns rendiments excel·lents (7295 %) i com un sol enantiòmer. Es tracta d’una transformació robusta, que es pot dur a terme a escala mil·limolar sense que es produeixin canvis significatius ni en el rendiment ni en l’estereoselectivitat.
Reaccions de tipus aldòlic amb acetals
Per continuar explorant la reactivitat dels enolats quirals de Ni(II) derivats de tioimides, vam considerar la possibilitat de generar cations oxocarbeni mitjançant la coordinació
d’acetals amb R3SiOTf. L’espècie resultant presenta una estructura molt similar a la que s’obté quan un aldehid es coordina amb un grup R3Si+. L’experiència prèvia amb la reacció aldòlica suggeria que la presència de grups R3Si voluminosos units a l’àtom d’oxigen afavoria la formació dels diastereòmers anti, fet que ens va portar a especular que grups més petits, com un grup metil, podrien conduir preferentment als corresponents aldols sin. Els experiments preliminars amb el dimetil acetal de l’anisaldehid van confirmar la viabilitat de la proposta, i vam passar a optimitzar d’una manera sistemàtica les diferents variables implicades en aquesta transformació [23]. En aquest cas, l’oxazinantiona 8 va resultar ser l’heterocicle que proporcionava la millor diastereoselectivitat sin En combinació amb [(R)-DTBM-SEGPHOS]NiCl2 com a precatalitzador i TMSOTf com a activador, es van obtenir els aldols sin amb bons rendiments i excessos enantiomèrics excel·lents, treballant a 0 °C i amb temps de reacció generalment curts. Cal destacar que tant els acetals de dimetil com els de dial·lil o de dibenzil funcionen igualment bé, fet que ens permet preparar aldols sin protegits. Com en els casos anteriors, els aldehids pobres en electrons reaccionen més lentament i cal

EsquEma 10. Abast de la reacció de la tioimida 8 amb acetals aromàtics. Elaboració pròpia.

EsquEma 11. Preparació d’aldols anti protegits per la reacció de la tioimida 7 amb acetals derivats d’aldehids aromàtics. Elaboració pròpia.
augmentar el temps de reacció o la quantitat de catalitzador per a obtenir una conversió completa. En general, s’obtenen els aldols sin amb bons rendiments i pràcticament de forma enantiopura (esquema 10).
Per a la introducció d’un grup α-azido, vam tornar a recórrer a l’ús de tioimides de cinc membres com a plataformes aquirals [24]. Una optimització exhaustiva de les condicions de la reacció ens va permetre identificar els paràmetres òptims per a obtenir tant els aldols sin com els anti. En particular, la reacció de la tiazolidintiona 7 amb acetals derivats d’aldehids aromàtics, utilitzant [(S)-TolBINAP]Cl2 com a precatalitzador i TMSOTf com a activador, permet l’obtenció dels aldols anti amb bons rendiments i enantioselectivitats excel·lents. Com abans, la reacció és compatible amb acetals dimetílics, dial·lílics i dibenzílics (esquema 11).
Quan es treballa amb l’oxazolidintiona 9, el curs estereoquímic de la reacció és més complex i depèn tant del tipus d’acetal com de la mida dels substituents de l’aldehid aromà-
tic. En general, acetals amb grups alquil petits (metil) i substituents voluminosos en l’aldehid afavoreixen l’obtenció dels aldols protegits sin. L’obtenció dels aldols anti es veu afavorida per acetals amb grups més grans (al·lil o benzil) i aldehids amb substituents poc voluminosos sobre l’anell aromàtic. Per exemple, el percentatge d’aldol sin és més gran amb el dimetilacetal del p-metoxibenzaldehid que amb els corresponents dial·lil o dibenzilacetals, amb els quals l’aldol anti predomina. Com més voluminosos són els substituents de l’anell aromàtic de l’aldehid, més gran és el percentatge d’aldol sin. En tots els casos, l’enantioselectivitat és excel·lent (esquema 12).
Per tant, escollint acuradament la tioimida, el catalitzador i el grup alquil de l’acetal, podem obtenir tant els α -azidoaldols sin com els anti pràcticament enantiopurs (esquema 13). Aquests compostos són precursors de β -alcoxi- αaminoàcids aromàtics, estructures presents en ciclodepsipèptids i en altres productes naturals amb activitat biològica.

EsquEma 12. Preparació d’aldols sin protegits per la reacció de la tioimida 9 amb acetals derivats d’aldehids aromàtics. Elaboració pròpia.

Reaccions d’addició conjugada
Durant l’estudi de la reacció aldòlica d’enolats de Ni(II) derivats de N-acil tiazinantiones descrita anteriorment, vam observar que la reacció amb cinamaldehid generava una barreja del producte d’addició aldòlica (atac 1,2) i del corresponent adducte de Michael (atac 1,4), entre d’altres. Finalment, es van poder identificar condicions per a preparar de forma regioselectiva els adductes de Michael corresponents [25]. L’ús d’un triflat de trialquilsilil voluminós com el TIPSOTf, en combinació amb una N-acil tiazolidintiona o una N-acil tiazinantiona —aquesta darrera, més reactiva—, va resultar determinant per a l’obtenció dels productes d’addició 1,4 amb una regioselectivitat total i amb rendiments i diastereoselectivitats molt elevats.
Vam observar amb satisfacció que l’ús de [DTBM-SEGPHOS] NiCl 2 com a precatalitzador en una mescla de toluè/CH 2Cl 2 4:1 com a dissolvent conduïa selectivament als adductes sin (esquema 14). En canvi, emprant [BINAP]NiCl 2 i mantenint el mateix dissolvent s’obtenien preferentment els adductes anti (esquema 15). Cal destacar, a més, que en ambdós casos s’aconsegueixen els productes enantiomèricament purs (99 % ee). Ens trobem, per tant, davant d’una transformació estereodivergent en què, mitjançant la selecció adequada del precatalitzador ([DTBM-SEGPHOS]NiCl 2 o [BINAP]NiCl 2) i de l’enantiòmer del lligand, podem accedir de forma enantiopura a qualsevol dels adductes de Michael. La reacció també funciona molt bé amb l’azidoacetil tioimida 7
Eliminació dels auxiliars
Perquè les transformacions descrites fins ara siguin sintèticament útils, és fonamental que l’scaffold aquiral es pugui eliminar amb facilitat, amb bons rendiments i sense epimerització dels nous estereocentres. Tots els heterocicles emprats en les transformacions descrites anteriorment, tant els que tenen un S com un O endocíclic, es poden eliminar amb facilitat i transformar en un ventall de grups funcionals (alcohols, èsters, amides…) amb rendiments excel·lents i sense erosió de l’estereoselectivitat. Cal destacar que la reacció dels aldols derivats de les tioimides 7 i 9 amb un aminoàcid permet l’accés a precursors de dipèptids amb una β-hidroxifenilalanina (esquema 16).
Transformacions sintètiques
Per a demostrar la seva utilitat sintètica, alguns dels compostos obtinguts s’han emprat en la preparació de productes naturals bioactius o fàrmacs. Per exemple, el producte derivat de l’alquilació de la tioimida 10 amb el benzidril metil èter 11 es va utilitzar en la síntesi de la peperomina D [26], una butirolactona aïllada de la planta Peperomia glabella Aquest compost es va obtenir en tres etapes, amb un rendiment global del 42 % i una relació diastereomèrica de 92:8 [19] (esquema 17).
La lacosamida [27], aprovada per l’Administració d’Aliments i Fàrmacs dels Estats Units (FDA, Food and Drug Administration) el 2008 per al tractament de l’epilèpsia i la neuropatia

perifèrica, és un aminoàcid funcionalitzat que actua modulant els canals de sodi dependents de voltatge. Per a la seva síntesi, es va desenvolupar un procés en una sola etapa que combina una etapa d’alquilació i l’eliminació de l’heterocicle. Així, el cru de la reacció entre la tioimida 7 i ortoformiat de trimetil es va tractar directament amb tres equivalents de benzilamina i, com a resultat, es va obtenir l’amida desitjada amb un rendiment superior al del procés en dues etapes, tot mantenint el mateix excés enantiomèric, en una escala de 3 mmol. A continuació, l’acetal dimetílic intermedi es va
reduir a l’èter metílic corresponent, mitjançant un tractament amb TiCl 4 i Et3SiH. Finalment, una reacció de Staudinger, seguida de l’acilació in situ de l’amina generada, va permetre aïllar la lacosamida amb un rendiment global del 45 % i un 96 % d’ee en només tres etapes [20] (esquema 18).
Aquesta estratègia sintètica es pot adaptar amb facilitat per a la preparació de derivats de la lacosamida. Per exemple, modificant simplement l’amina emprada per a eliminar l’heterocicle,

EsquEma 15. Preparació d’adductes de Michael anti. Elaboració pròpia.
es va obtenir una família d’amides anàlogues (esquema 19). Tant les amines primàries com les secundàries funcionen bé en aquesta transformació, tot i que aquestes darreres acostumen a donar rendiments lleugerament inferiors. En el cas d’utilitzar amines quirals, s’obté un únic diastereòmer de l’amida corresponent [20].
La reducció del grup azida dels productes resultants de la reacció aldòlica de la tioimida 7, seguida de l’acoblament amb un aminoàcid, permet accedir a fragments peptídics d’interès [22]. Es va poder preparar el dipèptid
Boc-d-Arg-d-anti-β-OTIPSPhe-OMe, present en la kasumigamida [28, 29], un tetrapèptid amb activitat algicida aïllat del cianobacteri Microcystis aeruginosa (esquema 20), i H2N-d-Asn-anti-β-OTIPSPh-d-Pro-Ot-Bu, un tripèptid que forma part de l’estructura de l’atratumicina [30], un ciclodepsipèptid amb activitat citotòxica i antituberculosa aïllat de Streptomyces atratus, un bacteri del fons marí (esquema 21).
El tapentadol [31, 32], un analgèsic opioide d’acció dual utilitzat en el tractament del dolor agut i crònic, es va preparar

a partir del producte resultant de l’addició de Michael de la tioimida 5 (E )-3-(3-metoxifenil)-2-propenal. Per a disposar de prou material per a la síntesi, la reacció de Michael es va fer a una escala de 10 mmol; el producte desitjat es va aïllar amb una relació diastereomèrica sin:anti 19:81, similar a l’obtinguda a escala 1 mmol, però amb un rendiment significativament més alt (69 %). A continuació, es va eliminar l’heterocicle mitjançant un tractament amb dimetilamina i l’amida resultant es va reduir amb LiAlH4. L’aldehid obtingut després de la hidròlisi àcida de l’èter silílic d’enol es va sotmetre a una reducció de Wolff-Kishner. Finalment, el tapentadol es va obtenir desprotegint l’èter de metil amb HBr, amb un rendiment global del 45 %, en sis etapes [25] (esquema 22).
Mecanisme
El mecanisme proposat per a aquestes transformacions es mostra d’una manera general a l’esquema 23. El catalitzador de la reacció, L*Ni(OTf)2, es genera in situ, a partir de la reacció del clorur corresponent —una espècie estable que no presenta activitat catalítica— amb dos equivalents d’un triflat de trialquilsilil. La coordinació del catalitzador amb el grup tioimida augmenta l’acidesa del complex resultant, de manera que una base feble com la 2,6-lutidina pot generar-ne l’enolat corresponent. A més de participar en la formació del catalitzador, el triflat de trialquilsilil té també un paper clau en la formació de l’electròfil catiònic, a partir dels precursors corresponents (èters, aldehids, acetals, etc.). La reacció entre




EsquEma 20. Síntesi d’un fragment protegit de la kasumigamida. Elaboració pròpia.

EsquEma 21. Síntesi d’un fragment protegit de l’atratumicina. Elaboració pròpia.
l’enolat i l’electròfil té lloc amb una enantioselectivat elevada, gràcies a l’entorn quiral que proporciona el lligand. Els estudis computacionals realitzats suggereixen que la formació de l’enllaç C–C transcorre, en tots els casos, a través d’un estat de transició obert en què l’electròfil s’aproxima a la cara menys impedida de l’enolat de Ni(II), de geometria planoqua-
drada. S’ha calculat l’estabilitat relativa dels diferents estats de transició que poden participar en aquestes transformacions i el resultat estereoquímic es pot explicar per la combinació de diversos factors, tant estèrics com electrònics. A més de l’impediment estèric imposat pels lligands fosfina, també hi influeixen la mida del grup unit a l’oxigen en els cations


oxocarbeni, el tipus d’heterocicle emprat o la naturalesa del grup acil. Finalment s’allibera el producte i es regenera el catalitzador, que pot iniciar un nou cicle catalític.
Conclusions
El tractament de tioimides amb complexos quirals de Ni(II) ([BINAP]NiCl 2, [Tol-BINAP]NiCl 2 i [DTBM-SEGPHOS]NiCl 2) i un triflat de trialquilsilil com a activador permet generar
de forma directa i catalítica enolats de Ni(II) quirals, que reaccionen d’una manera altament estereoselectiva amb electròfils catiònics, com ara cations carbeni i oxocarbeni. En el cas de la reacció de Michael o les reaccions amb acetals, es pot accedir de forma estereoselectiva a qualsevol dels estereoisòmers del producte. Els adductes generats es poden transformar fàcilment en una gran varietat de compostos intermedis enantiopurs, útils per a la preparació de fragments de pèptids cíclics o altres compostos bioactius.
Els estudis computacionals han posat de manifest que aquestes transformacions transcorren a través d’estats de transició oberts, en què l’electròfil s’aproxima a la cara menys impedida de l’enolat. Una combinació de factors estèrics i electrònics explica el curs estereoquímic de les reaccions, els possibles estats de transició de les quals s’han avaluat mitjançant estudis computacionals.
Agraïments
Agraïm el suport econòmic del Ministeri de Ciència, Innovació i Universitats d’Espanya (PGC2018-094311-B-I00 i PID2021126251NB-I00) i de la Generalitat de Catalunya (2017SGR 271 i 2021SGR 268).
Referències
[1] anastas, P. T.; Williamson, T. C. (ed.). Green chemistry: Frontiers in benign chemical syntheses and processes. Oxford: Oxford University Press, 1999.
[2] Trost, B. M. «The atom economy—A search for synthetic efficiency». Science, 254 (1991), p. 1471-1477.
[3] trost, B. M. «Atom economy—A challenge for organic synthesis: Homogeneous catalysis leads the way». Angew. Chem. Int. Ed., 34 (1995), p. 259-281.
[4] Yamada, Y. M. A.; YoshikaWa, N.; Sasai, H.; shibasaki, M. «Direct catalytic asymmetric aldol reactions of aldehydes with unmodified ketones». Angew. Chem. Int. Ed., 36 (1997), p. 1871-1873.
[5] Trost, B. M.; Ito, H. «A direct catalytic enantioselective aldol reaction via a novel catalyst design». J. Am. Chem. Soc., 122 (2000), p. 12003-12004.
[6] List, B.; Lerner, R. A.; Barbas, C. F. «Proline-catalyzed direct asymmetric aldol reactions». J. Am. Chem. Soc., 122 (2000), p. 2395-2396.
[7] Lee, H.-J.; Maruoka, K. «Asymmetric phase-transfer catalysis». Nat. Rev. Chem., 8 (2024), p. 851-869.
[8] Wright, T. B.; Evans, P. A. «Catalytic enantioselective alkylation of prochiral enolates». Chem. Rev., 121 (2021), p. 9196-9242.
[9] Yamashita, Y.; YasukaWa, T.; Yoo, W.-J.; kitanosono, T.; KobaYashi, S. «Catalytic enantioselective aldol reactions». Chem. Soc. Rev., 47 (2018), p. 4388-4480.
[10] Evans, D. A.; DoWneY, C. W.; Hubbs, J. L. «Ni(II) bis(oxazoline)-catalyzed enantioselective syn aldol reactions of N-pro-
pionylthiazolidinethiones in the presence of silyl triflates». J. Am. Chem. Soc., 125 (2003), p. 8706-8707.
[11] Evans, D. A.; Thomson, R. J. «Ni(II) Tol-BINAP-catalyzed enantioselective orthoester alkylations of N-acylthiazolidinethiones». J. Am. Chem. Soc., 127 (2005), p. 10506-10507.
[12] Harada, S.; Handa, S.; Matsunaga, S.; shibasaki, M. «Direct catalytic asymmetric Mannich-type reactions of N-(2-hydroxyacetyl)pyrrole as an ester-equivalent donor». Angew. Chem. Int. Ed., 44 (2005), p. 4365-4368.
[13] Zhang, Y.-P.; You, Y.; Yin, J.-Q.; Wang, Z.-H.; Zhao, J.-Q.; Yuan, W.-C. «Progress in catalytic asymmetric reactions with 7-azaindoline as the directing group». Molecules, 28 (2023), art. 7898.
[14] Feng, L.; Dai, X.; Meggers, E.; Gong, L. «Three-component asymmetric Mannich reaction catalyzed by a Lewis acid with rhodium-centered chirality». Chem. Asian J., 12 (2017), p. 963-967.
[15] Romo, J. M.; Gálvez, E.; Nubiola, I.; Romea, P.; Urpí, F.; Kindred, M. «Diastereoselective methyl orthoformate alkylations of chiral N-acylthiazolidinethiones catalyzed by nickel(II) complexes». Adv. Synth. Catal., 355 (2013), p. 2781-2786.
[16] Fernández-Valparís, J.; Romo, J. M.; Romea, P.; Urpí, F.; koWalski, H.; Font-Bardia, M. «Stereoselective alkylation of (S)-N-acyl-4-isopropyl-1,3-thiazolidine-2-thiones catalyzed by (Me3P)2NiCl2». Org. Lett., 17 (2015), p. 3540-3543.
[17] kennington, S. C. D.; Ferré, M.; Romo, J. M.; Romea, P.; Urpí, F.; Font-Bardia, M. «Diastereoselective and catalytic α-alkylation of chiral N-acyl thiazolidinethiones with stable carbocationic salts». J. Org. Chem., 82 (2017), p. 6426-6433.
[18] Fernández-Valparís, J.; Romea, P.; Urpí, F.; Font-Bardia, M. «Stereoselective and catalytic synthesis of anti-β-alkoxy-αazido carboxylic derivatives». Org. Lett., 19 (2017), p. 64006403.
[19] kennington, S. C. D.; taYlor, a. J.; romea, p.; urpí, F.; aullón, g.; Font-bardia, m.; Ferré, l.; rodrigalvarez, J. «Direct and asymmetric nickel(II)-catalyzed construction of carbon–carbon bonds from N-acyl thiazinanethiones». Org. Lett., 21 (2019), p. 305-309.
[20] teloxa, s. F.; kennington, s. c. d.; camats, m.; romea, p.; urpí, F.; aullón, g.; Font-bardia, M. «Direct, enantioselective, and nickel(II) catalyzed reactions of N-azidoacetyl thioimides with trimethyl orthoformate: A new combined methodology for the rapid synthesis of lacosamide and derivatives». Chem. Eur. J., 26 (2020), p. 11540-11548.
[21] kennington, s c d.; teloxa, s. F.; mellado-hidalgo, m.; galeote, o.; puddu, s.; bellido, m.; romea, p.; urpí, F.; aullón, g.;
Font-bardia, M. «Direct and enantioselective aldol reactions catalyzed by chiral nickel(II) complexes». Angew. Chem. Int. Ed., 60 (2021), p. 15307-15312.
[22] teloxa, s. F.; mellado-hidalgo, m.; kennington, s. c. d.; romea, p.; urpí, F.; aullón, g.; Font-bardia, M. «Direct and asymmetric aldol reactions of N-azidoacetyl-1,3-thiazolidine2-thione catalyzed by chiral nickel(II) complexes. A new approach to the synthesis of β-hydroxy-α-amino acids». Chem. Eur. J., 28 (2022), p. e202200671.
[23] mellado-hidalgo, m.; romero-cavagnaro, e a.; nagesWaran, s.; puddu, s.; kennington, s c d.; costa, a m.; romea, p.; urpí, F.; aullón, g.; Font-bardia, M. «Protected syn-aldol compounds from direct, catalytic, and enantioselective reactions of N-acyl-1,3-oxazinane-2-thiones with aromatic acetals». Org. Lett., 25 (2023), p. 659-664.
[24] mellado-hidalgo, m.; coneJos-Jalencas, J.; teloxa, s. F.; suárez-herrera, a.; mccall, l.; costa, a m.; romea, p.; urpí, F.; aullón, g.; puigJaner, C. «Direct, asymmetric, and stereodivergent reactions of N-azidoacetyl thioimides with aromatic acetals catalyzed by chiral nickel(II) complexes. An approach to the synthesis of syn- and anti-β-alkoxy-α-amino acids». J. Org. Chem., 90 (2025), p. 8519-8530.
[25] galeote, o.; kennington, s. c. d.; benedito, g.; Fraedrich, l.; davies-hoWe, e.; costa, a m.; romea, p.; urpí, F.; aullón, g.; Font-bardia, m.; puigJaner, C. «Direct, stereodivergent, and catalytic Michael additions of thioimides to α,β-unsaturated aldehydes – Total synthesis of tapentadol». Angew. Chem. Int. Ed., 63 (2024), art. e202319308.
[26] monache, F. d.; compagnone, R. S. «A secolignan from Peperomia glabella». Phytochemistry, 43 (1996), p. 1097-1098.
[27] choi, d.; stables, J. p.; kohn, H. «Synthesis and anticonvulsant activities of N-benzyl-2-acetamidopropionamide derivatives». J. Med. Chem., 39 (1996), p. 1907-1916.
[28] ishida, k.; murakami, M. «Kasumigamide, an antialgal peptide from the cyanobacterium Microcystis aeruginosa». J. Org. Chem., 65 (2000), p. 5898-5900.
[29] kuranaga, t.; matsuda, k.; takaoka, m.; tachikaWa, c.; sano, a.; itoh, k.; enomoto, a.; FuJita, k.; abe, i.; Wakimoto, T. «Total synthesis and structural revision of kasumigamide, and identification of a new analogue». ChemBioChem, 21 (2020), p. 3329-3332.
[30] sun, c.; Yang, z.; zhang, c.; liu, z.; he, J.; liu, q.; zhang, t.; Ju, J.; ma, J. «Genome mining of Streptomyces atratus SCSIO ZH16: Discovery of atratumycin and identification of its biosynthetic gene cluster». Org. Lett., 21 (2019), p. 1453-1457.
[31] tzschentke, t m.; christoph, t.; kögel, b.; schiene, k.; hennies, h.-h.; englberger, W.; haurand, m.; Jahnel, u.; cremers, t. i. F. h.; Friderichs, e.; de vrY, J. «(–)-(1R,2R)-3-(3-dimethylamino-1-ethyl-2-methyl-propyl)-phenol hydrochloride (tapentadol HCl): A novel μ-opioid receptor agonist/ norepinephrine reuptake inhibitor with broad-spectrum analgesic properties». J. Pharmacol. Exp. Ther., 323 (2007), p. 265-276.
[32] Freo, u.; romualdi, p.; kress, H. G. «Tapentadol for neuropathic pain: A review of clinical studies». J. Pain Res., 12 (2019), p. 1527-1551.








Eduard Balaguer-Garcia és graduat en química (2020) i té el Màster en Química Orgànica (2021) per la Universitat de Barcelona. Actualment desenvolupa la tesi doctoral, centrada en reaccions radicalàries d’enolats metàl·lics, sota la direcció dels professors Pedro Romea i Fèlix Urpí.
Javier Ballester és graduat en química per la Universitat de Barcelona (UB) (2024) i té el Màster en Química Orgànica (2025) per la UB. Durant el treball de fi de màster va treballar, sota la direcció dels professors Pedro Romea i Fèlix Urpí, en el desenvolupament de reaccions de Mannich directes catalitzades per complexos quirals de Ni(II).
Joan Conejos-Jalencas és graduat en química per la Universitat de Barcelona, on també va cursar el Màster en Química Orgànica, treballant en síntesi total, sota la direcció dels professors Jaume Vilarrasa i Anna M. Costa. Actualment és estudiant de doctorat al grup de recerca Síntesi Estereoselectiva de Productes Naturals, on desenvolupa noves metodologies de catàlisi asimètrica.
Jiawei Gao és graduat en química i té el Màster en Química Orgànica per la Universitat de Barcelona. La seva tesi doctoral, dirigida pels professors Pedro Romea i Fèlix Urpí, se centra en el desenvolupament de reaccions pericícliques asimètriques catalitzades per complexos de níquel.
Xènia Tarrach va estudiar el grau de química (2022) i el Màster de Química Orgànica a la Universitat de Barcelona (2023). Actualment, és estudiant de doctorat al grup dels professors Anna M. Costa, Pedro Romea i Fèlix Urpí.
Anna M. Costa es va llicenciar en química a la Universitat de Barcelona (UB), on es va doctorar l’any 1999 sota la supervisió del professor Jaume Vilarrasa. Després d’una estada postdoctoral als laboratoris del professor Patrick J. Walsh a la Universitat de Pensilvània, treballant en catàlisi asimètrica, es va reincorporar a la UB, on va obtenir una plaça de professora agregada l’any 2007 i de catedràtica el 2024. La seva recerca se centra en el desenvolupament de nous mètodes de síntesi asimètrica i en la seva aplicació a la síntesi total de productes bioactius.
Pedro Romea va estudiar química a la Universitat de Barcelona (UB), on va dur a terme els estudis de doctorat (1987-1991), sota la supervisió del professor Jaume Vilarrasa. Posteriorment, es va incorporar al grup del professor Ian Paterson a la Universitat de Cambridge, on va participar en la síntesi total de l’oleandolida. A la tornada, es va reincorporar a la UB, on va obtenir la plaça de professor titular l’any 1993 i, posteriorment, la de catedràtic l’any 2020. La seva recerca s’ha centrat en el desenvolupament de noves metodologies sintètiques i en la seva aplicació a la síntesi estereoselectiva de molècules d’origen natural.
Fèlix Urpí va estudiar química a la Universitat de Barcelona (UB), on va completar els estudis de doctorat l’any 1988, sota la direcció del professor Jaume Vilarrasa. Posteriorment, va dur a terme una estada postdoctoral com a investigador associat a la Universitat de Harvard (Massachusetts, EUA), treballant amb el professor David A. Evans en química d’enolats de titani. A la tornada, es va reincorporar a la UB, on va obtenir la plaça de professor titular l’any 1991. Des del 2017, és catedràtic de química orgànica a la mateixa universitat. La seva activitat investigadora s’ha centrat en el desenvolupament de noves metodologies sintètiques i en la seva aplicació a la síntesi estereoselectiva de compostos naturals.
Estructures no canòniques del DNA: dels fonaments estructurals fins a les aplicacions químiques
Non-canonical DNA structures: From structural building blocks to chemical applications
Anna Aviñó,1, 2 Arnau Domínguez1, 2 i Raimundo Gargallo3
1 Institut de Química Avançada de Catalunya (IQAC-CSIC). Departament de Tensioactius i Nanobiotecnologia. Grup de Química d’Àcids Nucleics
2 Centro de Investigación Biomédica en Red - Bioingeniería, Biomateriales y Biomedicina (CIBER-BBN)
3 Universitat de Barcelona. Departament d’Enginyeria Química i Química Analítica
Resum: Els àcids nucleics són presents en nombrosos processos biològics i han esdevingut unes peces imprescindibles en el camp biomèdic. A més, les seves aplicacions s’estan expandint cap a noves àrees com la nanotecnologia i el diagnòstic. Moltes d’aquestes aplicacions aprofiten la capacitat dels àcids nucleics per adoptar estructures espacials diverses, algunes de les quals difereixen extraordinàriament de la ben coneguda hèlix doble. El present treball explora aquestes estructures alternatives, conegudes com a no canòniques, destaca les aplicacions que tenen en l’àmbit químic i ofereix una visió general de les investigacions realitzades en aquesta àrea.
Paraules clau: DNA triple, DNA quàdruple, G-quàdruple, i-motif, anàlisi química.
Abstract: Nucleic acids are present in numerous biological processes and have become essential parts in the biomedical field. In addition, their applications are expanding into new areas such as nanotechnology and diagnostics. Many of these applications take advantage of the ability of nucleic acids to adopt diverse spatial structures, some of which differ remarkably from the well-known double helix. This article explores these alternative (or non-canonical) structures, highlights their applications in the chemical field and provides an overview of the research carried out in this area.
Keywords: Triplex DNA, quadruplex DNA, G-quadruplex, i-motif, chemical analysis.
Introducció
L’àcid desoxiribonucleic (DNA) és una molècula d’importància fonamental per al desenvolupament de la vida, tal com la coneixem. La imatge que habitualment s’associa al DNA és la de dues molècules associades en una hèlix doble, com es va proposar el 1953 [1]. El DNA, però, té una sèrie de característiques que el fan adient per construir d’altres estructures. En aquest context, el present treball té per objectiu apropar al lector potencial les característiques fonamentals i les aplicacions més recents d’una sèrie d’estructures diferents de l’hèlix doble. Aquestes estructures —bàsicament les hèlixs triples, l’estructura G-quàdruple i l’estructura i-motif— s’anomenen no canòniques perquè difereixen de l’hèlix doble, la imatge estandarditzada del DNA. En aquest article, primerament es descriuen els fonaments químics i estructurals del DNA i dels
Correspondència: Raimundo Gargallo
Universitat de Barcelona. Departament d’Enginyeria Química i Química Analítica
Facultat de Química. C. de Martí i Franquès, 1-11. 08028 Barcelona
Tel.: +34 934 039 116
A/e: raimon_gargallo@ub.edu
seus components bàsics, seguidament es presenten les estructures no canòniques i s’aprofundeix en les seves característiques químiques i finalment es descriuen una sèrie d’aplicacions especialment en l’àmbit químic i de diagnòstic.
Fonaments químics i estructurals del DNA
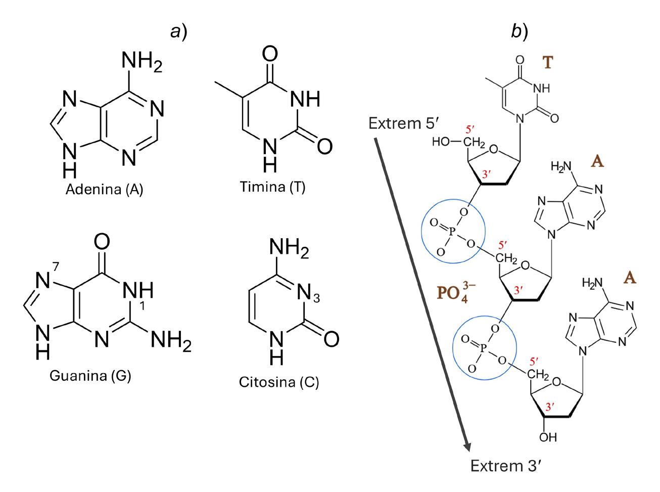
Una de les característiques químiques més importants del DNA és que és un polímer format per monòmers, anomenats nucleòtids, enllaçats covalentment entre si. Els nucleòtids, al seu torn, estan constituïts per tres components (una base nitrogenada, un sucre i un grup fosfat) enllaçats químicament. La naturalesa polimèrica del DNA es fonamenta en la unió química entre el sucre d’un nucleòtid i el grup fosfat del següent. Les cadenes que contenen entre vint i vuitanta nucleòtids s’anomenen oligonucleòtids i es poden crear d’una manera molt eficient en fase sòlida al laboratori emprant sintetitzadors automàtics.
Les bases nitrogenades del DNA poden ser de dos tipus pel que fa al nombre d’anells aromàtics que les formen: les piri-
midíniques, constituïdes per un sol anell, i les puríniques, que consten de dos anells (figura 1a). Les bases pirimidíniques són la citosina (C) i la timina (T), mentre que les bases puríniques són l’adenina (A) i la guanina (G). Totes les bases nitrogenades són elèctricament neutres en un medi aquós de pH 7. No obstant això, mentre que la citosina i l’adenina presenten característiques bàsiques (amb valors de pK a dels respectius àcids conjugats al voltant de 3-5), la guanina i la timina tenen característiques àcides (amb valors de pK a de les pròpies bases entre 9 i 10). Com s’explicarà més endavant, les característiques àcid-base de les bases nitrogenades tenen un paper fonamental en l’estabilització de les estructures tridimensionals del DNA i, per tant, en les seves funcions biològiques i en les seves aplicacions tecnològiques.
La naturalesa fonamentalment aromàtica de les bases nitrogenades, juntament amb el fet que siguin elèctricament neutres a pH 7, fa que aquestes siguin poc polars. Per això, quan una molècula de DNA es troba dissolta en un medi polar (com pot ser una solució aquosa en la qual hi hagi dissolts ions), les bases nitrogenades tendeixen a evitar la interacció amb el solvent i, per contra, a afavorir la interacció amb altres bases nitrogenades. Com es descriurà posteriorment, aquest fet té conseqüències en el plegament tridimensional de les molècules de DNA.
Una cadena de DNA es descriu utilitzant la seqüència de nucleòtids que la formen, començant per l’extrem 5ʹ i acabant per l’extrem 3ʹ. A l’exemple de la figura 1b s’ha representat la seqüència 5ʹ-TAA-3ʹ. Com que el sucre i el fosfat són comuns a tots els nucleòtids, la identitat de la cadena de DNA realment és definida per la seqüència de bases nitrogenades. Aquesta seqüència, denominada també estructura primària del DNA, tindrà conseqüències importants en el comportament in vivo i in vitro de la cadena de DNA. Així, per exemple, el contingut relatiu de bases nitrogenades i la seva disposició en l’estructura primària influiran enormement sobre l’estructura tridimensional, denominada estructura secundària, finalment adoptada per la cadena.
Les bases nitrogenades poden interaccionar amb certs ions metàl·lics. En general, els grups funcionals de les bases nitrogenades poden formar enllaços covalents coordinats amb els ions metàl·lics anomenats «tous» (denominació associada a la teoria de Pearson [2]). Els ions «tous» es caracteritzen per tenir càrregues elèctriques relativament petites i radis atòmics relativament grans, com és el cas dels ions metàl·lics dels elements de transició, com Pt, Au, Ag, Cu… La formació d’enllaços covalents entre un ió metàl·lic i una base nitrogenada repercuteix extraordinàriament en el plegament de la molècula

Figura 1. a) Bases nitrogenades que es troben habitualment al DNA. En els casos de la guanina i la citosina, s’han assenyalat els àtoms de nitrogen que intervenen en la formació de les estructures G-quàdruple i i-motif, respectivament. b) Representació de la seqüència 5ʹ-TAA-3ʹ on es descriuen les bases, els sucres i els grups fosfat implicats, els enllaços fosfodièster i la direccionalitat de la cadena. Reproduït (amb canvis) de Wikimedia Commons (G3Pro), sota llicència CC BY-SA 3.0 (https://creativecommons.org/licenses/by-sa/3.0/deed.ca).
de DNA i en la seva estructura tridimensional. Per exemple, la interacció de compostos de platí utilitzats en tractaments anticancerígens modifica les bases nitrogenades del DNA i, per tant, la seva estructura in vivo.
D’altra banda, els ions metàl·lics «durs» són aquells que tenen càrregues elèctriques relativament grans i radis atòmics relativament petits; per exemple, els ions Mg2+ o Ca2+. Aquests ions «durs» interaccionen electroestàticament amb els grups fosfat de la molècula de DNA, que estan carregats negativament a pH 7. La interacció d’aquests cations amb els grups fosfat ajuda a reduir la forta repulsió que es pot generar quan aquests darrers es troben físicament propers en les estructures plegades del DNA. Així doncs, i en general, aquestes estructures plegades són més estables en solucions aquoses que tenen forces iòniques relativament elevades.
Aparellaments de les bases nitrogenades
Les interaccions més importants dins de les estructures de DNA, que són la base de la formació d’estructures secundàries, són les formades per les bases nitrogenades mitjançant ponts d’hidrogen. Cada base nitrogenada disposa de grups donadors i acceptors de ponts d’hidrogen, fet que permet que, en condicions adequades de solvent, força iònica i temperatura, puguin
interaccionar entre elles. Els aparellaments més coneguts, i que estabilitzen l’hèlix doble, són els formats per guanines amb citosines, a través de tres ponts d’hidrogen, i per adenines amb timines, estabilitzats per dos ponts d’hidrogen (figura 2a) [1]. Tanmateix, les bases nitrogenades poden aparellar-se d’altres maneres, i cadascun d’aquests aparellaments alternatius pot donar lloc a estructures secundàries diferents.
Els aparellaments alternatius es coneixen com a aparellaments de tipus wobble. Per exemple, una guanina pot interaccionar amb una timina i formar un parell G:T (figura 2b).
Alguns dels aparellaments wobble més importants estan constituïts per bases de tipus purínic. Aquestes bases, l’adenina i la guanina, poden formar ponts d’hidrogen per una altra de les seves cares, diferent de la cara de Watson-Crick, i donar lloc als anomenats enllaços de Hoogsteen (figura 2b) [3], uns enllaços que permeten l’aparellament tant de purines amb purines com de purines amb pirimidines, i que es troben presents en estructures com ara les hèlixs triples o quàdruples.
Com ja s’ha comentat, un dels factors que expliquen l’estabilitat de l’hèlix doble és la formació d’enllaços químics per pont d’hidrogen entre les bases nitrogenades d’un dels segments de l’hèlix i les bases nitrogenades de l’altre segment. Un altre factor que ajuda al manteniment de l’estructura de l’hèlix doble és l’apilament de bases nitrogenades que s’hi produeix. Aquest

apilament afavoreix que les bases nitrogenades, que són components poc polars del DNA, es trobin allunyades de l’ambient polar proporcionat per l’aigua i els ions que té dissolts.
Encara que el dibuix típic d’una hèlix doble preveu l’existència de dos segments independents (o cadenes) de nucleòtids que formen l’hèlix doble, pot donar-se el cas que els dos segments pertanyin a una sola molècula de DNA. En el primer cas, es produeix el plegament dit intermolecular, que implica dues molècules de DNA independents. En el segon cas, es produeix el plegament anomenat intramolecular, és a dir, d’una sola molècula sobre si mateixa, que dona lloc a l’estructura anomenada forqueta (hairpin, en anglès).
Un cop presentats els fonaments químics i estructurals del DNA, es descriuen a continuació algunes estructures no canòniques, com ara les hèlixs triples o quàdruples.
Hèlixs triples
Les hèlixs triples es formen quan un oligonucleòtid (que habitualment es denomina TFO, de l’anglès triplex-forming oligonucleotide) s’aparella al solc major d’una hèlix doble en una
regió rica de purines i pirimidines [4]. Com ja s’ha descrit, l’hèlix doble sobre la qual se situa aquest tercer segment de nucleòtids pot ser el resultat del plegament intramolecular d’una sola cadena de DNA (una forqueta), o bé provenir de la interacció de dues cadenes independents de DNA. De la mateixa manera, el tercer segment de nucleòtids pot formar part d’una cadena independent de DNA, o bé d’alguna o de totes les cadenes que constitueixen la cadena doble. Així doncs, una hèlix triple pot ser el resultat del plegament intramolecular d’una sola cadena de DNA, o bé de la interacció de dues o tres cadenes independents.
La disposició espacial del segment TFO de nucleòtids respecte de l’hèlix doble també presenta una gran variabilitat. Per facilitar la nomenclatura, s’ha adoptat la regla general consistent a comparar el sentit d’aquest tercer tram respecte al del tram de nucleòtids, pertanyent a l’hèlix doble, que sigui més ric en bases de tipus purínic. Així, les hèlixs triples es classifiquen en paral·leles (figura 3a) i antiparal·leles (figura 3c). En les primeres, el segment TFO se situa de forma paral·lela al segment de l’hèlix doble ric en bases purina i, per tant, tenen el mateix sentit 5ʹ → 3ʹ de les seves cadenes. En canvi, en les hèlixs triples antiparal·leles, el segment TFO té un sentit oposat al del tram de l’hèlix doble ric en purines.

Figura 3. Estructura de les hèlixs triples. a) Esquema general d’una hèlix triple paral·lela, i b) ponts d’hidrogen formats entre les bases dels tres trams de DNA en aquesta hèlix. c) Esquema general d’una hèlix triple antiparal·lela, i d) ponts d’hidrogen formats entre les bases dels tres trams de DNA en aquesta hèlix. En a i en c, les línies contínues indiquen la formació de ponts d’hidrogen entre el tram ric en bases de tipus purínic i pirimidínic, que dona lloc a l’hèlix doble, mentre que les línies discontínues indiquen els ponts d’hidrogen entre el TFO i l’hèlix doble, i que donen lloc a l’estructura triple. En tots els casos, els colors verd, taronja i vermell es refereixen als trams rics en bases de tipus pirimidínic i de tipus purínic i al TFO, respectivament. Les fletxes indiquen el sentit de la cadena, de 5ʹ a 3ʹ. Elaboració pròpia.
El tercer tram, el formador de l’estructura triple, s’uneix a la cadena doble de manera que aquesta estructura es manté gràcies a la formació dels anomenats triplets de bases nitrogenades (figures 3b i 3d ). Concretament, les bases formadores de l’estructura doble es mantenen unides per enllaços per pont d’hidrogen de tipus Watson-Crick, mentre que les bases del TFO s’uneixen a una de les bases del parell WatsonCrick mitjançant enllaços per pont d’hidrogen de tipus Hoogsteen.
La formació d’hèlixs triples antiparal·leles es produeix en un rang ampli de valors de pH, incloent-hi pH neutre. En canvi, la formació d’hèlixs triples paral·leles es produeix en major extensió en valors de pH propers a 5, ja que requereix la protonació de la base nitrogenada citosina (el p K a de la qual és de l’ordre de 4,7 a 25 oC i amb forces iòniques moderades) i que és un requisit indispensable per a la formació d’alguns enllaços per pont d’hidrogen de tipus Hoogsteen (figura 3 b ). Les estructures triples poden modificar-se químicament tot incorporant en l’estructura primària de la sonda bases modificades com la 8-aminoguanina, amb l’objectiu d’augmentar l’estabilitat de l’estructura final [5].
La formació d’hèlixs triples paral·leles és fàcilment observable mitjançant experiments de fusió. Així, la fusió d’una estructura triple paral·lela monitorada mitjançant l’espectroscòpia d’absorció molecular produirà un increment de l’absorbància en dos passos: el primer, a temperatures baixes, a causa de la separació del TFO de l’hèlix doble, i un segon, a temperatures més altes, a causa de la ruptura de l’hèlix doble romanent després de la ruptura de l’hèlix triple. Es pot donar el cas en què només s’apreciï una sola transició, pel fet que l’estructura triple esdevingui tan estable respecte de l’increment de la temperatura que es trenqui al mateix temps que l’hèlix doble.
Tanmateix, la formació d’hèlixs triples antiparal·leles no és fàcilment observable mitjançant experiments de fusió. Això es deu al fet que la ruptura dels ponts d’hidrogen entre la tercera cadena i l’hèlix doble, amb el consegüent alliberament de la primera, amb prou feines produeix canvis en l’absorció. En aquest cas, s’han d’utilitzar altres tècniques per detectar la formació de l’estructura triple antiparal·lela, com l’espectroscòpia de dicroisme circular, o bé l’electroforesi en gel o capil·lar.
Aplicacions de les hèlixs triples en diagnosi i en química
Tot i les aplicacions de les hèlixs triples en el camp de la mutagènesi dirigida o en la teràpia antisentit, aquestes estructures s’han utilitzat més recentment amb èxit en el camp dels biosensors i, en concret, en la identificació de seqüències relacionades amb malalties o seqüències pertanyents a diversos patògens.
Els biosensors basats en les hèlixs triples de DNA plantegen la hibridació d’una seqüència d’àcid nucleic (l’anàlit) que ha de ser detectada per una sonda bioreceptora (com ara una forqueta) ancorada al biosensor. El reconeixement selectiu d’aquesta sonda en la formació d’aquesta estructura d’hèlix triple proporcionarà un senyal analític en el biosensor directament proporcional a la quantitat d’anàlit. Seguint aquesta disposició, s’han posat a punt biosensors que han esdevingut eines avançades per detectar seqüències específiques d’àcids nucleics amb una gran sensibilitat i amb límits de detecció superiors als mètodes clàssics, que es basen en la formació d’hèlixs dobles entre l’anàlit i la sonda. Aquest element addicional de reconeixement de les hèlixs triples s’ha explotat amb èxit en la identificació de seqüències, com ara els micro-RNA, o en el reconeixement del grau de metilació en mostres per a la detecció del càncer fent servir biosensors basats en la ressonància del plasmó superficial (surface plasmon resonance, SPR). A més, aquesta tecnologia també s’ha emprat en altres biosensors de tipus fotònic, de tipus electroquímic o basats en xips per detectar seqüències de patògens amb límits de detecció molt baixos, i d’una manera ràpida, en diverses mostres reals de pacients. Per exemple, investigadors catalans han participat en la detecció del fong Pneumocistis jirovecii [6] i, més recentment, del virus SARS-CoV-2 [7] mitjançant l’ús de sensors basats en les hèlixs triples. Aquesta tècnica permet la detecció directa d’RNA viral sense necessitat de PCR (de l’anglès polymerase chain reaction, reacció en cadena de la polimerasa), utilitzant sondes tipus forqueta dissenyades per reconèixer seqüències específiques del genoma del SARS-CoV-2.
Com ja s’ha comentat, la formació de les hèlixs triples paralleles requereix la protonació de les bases citosina presents en el TFO. Per això, l’estabilitat de l’hèlix triple resultant depèn extraordinàriament del pH del medi. Enllaçant químicament molècules fluorescents i desactivadores de la fluorescència en els extrems adients de les seqüències de DNA, es pot crear un sensor fluorescent, el senyal del qual depèn del pH. Aquest ti-
pus de sensor s’ha emprat per a mesures en el medi cel·lular [8]. Les estructures triples paral·leles també s’han fet servir per dissenyar sensors per detectar ions metàl·lics i altres molècules essencials en processos industrials i mediambientals. Per exemple, s’han dissenyat dispositius a escala nano basats en hèlixs triples per detectar ions Cu²+ mitjançant reaccions catalitzades per enzims basats en DNA [9].
Hèlixs quàdruples: l’estructura G-quàdruple
Les estructures G-quàdruple (G-quadruplex) es formen en trams de DNA particularment rics en bases guanina. Aquests trams poden pertànyer a una o a més d’una molècula de DNA. Així com els blocs bàsics que formen les hèlixs dobles són els parells de bases A·T i C·G, el bloc bàsic que manté les estructures G-quàdruple és l’anomenada tètrada, formada per la interacció, mitjançant enllaços per pont d’hidrogen de tipus Hoogsteen, de quatre bases guanina (figura 4a).
Una característica singular de les estructures G-quàdruple, que no es troba en les hèlixs dobles o triples, és la presència de cations metàl·lics dins de l’estructura, com ara Na+, K+ o NH 4+, entre d’altres. En el cas de cations de radi petit, com és el cas del catió Na+, aquest es col·loca al mig de cada tètrada, interaccionant amb els grups ceto de les quatre bases que la formen. En canvi, en el cas de cations de mida més gran, com ara el catió K+, aquest es col·loca entre dues tètrades, interaccionant amb les vuit bases nitrogenades. Ateses aquestes restriccions geomètriques, s’ha observat que el catió K+ és el que produeix una estabilització més gran de l’estructura G-quàdruple quan es produeix l’augment de la temperatura. Més endavant veurem que aquesta coordinació pot aprofitar-se per al desenvolupament de sensors adients per a la determinació de cations metàl·lics basats en el plegament d’aquestes estructures.
Igual que l’hèlix doble, les estructures G-quàdruple tenen forma d’hèlix, però, a diferència d’aquella, que està formada per dos segments de DNA, les estructures G-quàdruple estan

Figura 4. a) Esquema del procés de formació d’una estructura G-quàdruple. Un segment ric en bases guanina, com el que es mostra a l’esquerra, pot plegar-se per donar lloc a aquesta estructura mitjançant la formació d’agrupacions planes de quatre bases guanina (tètrada, representada com un quadre de color taronja). A la dreta es presenta una possible estructura G-quàdruple formada per l’apilament de tres tètrades. Els cercles de color blau, verd clar, vermell i taronja indiquen les bases citosina, adenina, timina i guanina, respectivament. Els cercles de color verd fosc representen els cations intercalats entre les tètrades. Les fletxes de color taronja indiquen la polaritat de cada tram de tres guanines segons l’esquema de la figura 1b b) D’esquerra a dreta, tres exemples de conformacions: paral·lela, antiparal·lela i híbrida. S’han omès els bucles per simplicitat. Atès que tots quatre segments de guanines de l’estructura mostrada al panell a s’orienten de la mateixa manera, aquesta conformació és G-quàdruple paral·lela. Elaboració pròpia.
constituïdes per quatre segments de DNA. Aquests poden pertànyer a la mateixa molècula de DNA, a dues o, fins i tot, a quatre molècules diferents; d’aquesta manera donen lloc a les estructures G-quàdruple de tipus monòmer, dímer o tetràmer, respectivament. A més, els quatre segments que formen l’estructura G-quàdruple poden orientar-se segons una conformació de tipus paral·lela, antiparal·lela o, fins i tot, a partir d’una barreja de les dues (conformació 3+1 o híbrida) (figura 4b). El fet que una mateixa seqüència de DNA rica en guanines adopti una conformació o una altra depèn de les condicions del medi, com ara la concentració o la naturalesa del catió metàl·lic inserit entre les tètrades. Un altre aspecte que cal considerar en la geometria de les estructures G-quàdruple és la disposició i la llargada de les bases en els bucles que connecten les tètrades, que poden ser de diversos tipus (diagonal, lateral o, fins i tot, de tipus hèlix de vaixell, propeller). Aquesta disposició pot afectar la manera com els lligands interaccionen amb les estructures G-quàdruple.
En el medi biològic, es troben trams de DNA rics en guanina que poden formar estructures de tipus G-quàdruple en regions promotores d’alguns gens (com ara c-myc, kras o VEGF) i en els extrems dels telòmers. En tots dos casos, s’ha proposat que les estructures G-quàdruple poden tenir un paper important en la regulació de la reproducció i la mort cel·lulars i, per tant, sembla que aquestes estructures estan relacionades amb el metabolisme d’alguns tipus de càncer i amb l’envelliment [10, 11]. Per això, des del punt de vista químic, és important poder dissenyar, preparar i avaluar d’una manera analítica molècules que puguin interaccionar de forma selectiva amb aquestes dianes terapèutiques de G-quàdruple.
Finalment, cal destacar que molts aptàmers presenten l’estructura G-quàdruple. Aquests compostos són oligonucleòtids dissenyats amb una estructura tal que pugui reconèixer i inhibir dianes terapèutiques com ara proteïnes. Un dels aptàmers més estudiats que presenta aquesta estructura ha estat l’aptàmer de trombina (thrombin binding aptamer, TBA), que reconeix i inhibeix aquest enzim, amb un efecte anticoagulant [12].
Aplicacions de les estructures G-quàdruple
Tal com hem comentat, les estructures G-quàdruple són presents en nombroses seqüències biològicament rellevants. El fet de poder trobar molècules que, d’una manera específica,
reconeguin aquestes estructures permet impedir i controlar diversos processos com, per exemple, l’expressió de certs oncogens [13]. Així doncs, s’estan sintetitzant noves molècules per poder interaccionar amb certes estructures G-quàdruple d’una forma selectiva, moltes de les quals es troben en fase clínica. La majoria d’aquestes molècules contenen anells aromàtics grans que poden establir interaccions de tipus π-π amb les diverses tètrades de l’estructura G-quàdruple. Aquestes molècules, a més, tenen substituents alquilats o espaiadors hidrofílics per millorar la solubilitat, la unió específica o l’entrada cel·lular. En són exemples les acridines, les quindolines, les quinazolones, les quinolones o les fenantrolines [14]. Recentment, s’ha comprovat l’existència d’estructures G-quàdruple en els gens d’alguns virus. La utilització de lligands selectius d’aquestes estructures ha ajudat a entendre la seva funció dintre del cicle viral i a poder-los modificar; és, per tant, una nova estratègia antiviral molt prometedora [15].
Com en el cas de les hèlixs triples, les estructures G-quàdruple poden tenir ús en l’anàlisi química, com ara en el disseny de biosensors per a la determinació de cations metàl·lics [16]. Aquesta aplicació està basada en el plegament d’aquestes estructures en presència de cations metàl·lics específics. Així, les interaccions entre aquestes estructures i els cations es poden utilitzar per generar senyals mesurables, ja sigui a través de fluorescència, colorimetria, electroquímica o altres tècniques.
En el cas de les mesures fluorimètriques, cal recordar que el DNA pràcticament no és fluorescent. En les seqüències riques en guanina, s’etiqueten covalentment els seus extrems 5ʹ i 3ʹ amb fragments moleculars que tinguin propietats relacionades amb la fluorescència. Per exemple, es pot etiquetar la seqüència de DNA en el seu extrem 5ʹ amb un fragment fluorescent que emeti radiació d’una longitud d’ona determinada. Al seu torn, s’etiqueta també la seqüència a l’extrem 3ʹ amb un altre fragment fluorescent que absorbeixi la llum emesa pel primer fragment, emetent a una segona longitud d’ona. Aquest fenomen s’anomena transferència d’energia de ressonància de Förster (FRET, Förster resonance emission transfer). Com que el plegament del polímer depèn de la naturalesa i de la concentració del catió, la proximitat entre els dos fragments fluorescents dependrà d’aquest.
És conegut que metalls pesants, com el plom (Pb²+) i el mercuri (Hg²+), són cations particularment rellevants per la seva
toxicitat i la seva acumulació en el medi ambient i en els organismes vius. Així, s’han descrit sensors per determinar Pb2+ i Hg2+ basats en els canvis de fluorescència de seqüències marcades [17]. Altres tècniques que s’han fet servir per originar un senyal analític són les electroquímiques [18, 19] o les colorimètriques [20] o, fins i tot, una combinació d’aquestes [21].
Les estructures G-quàdruple també s’han aplicat per a la detecció d’altres ions metàl·lics —com Cd²+ [22], Cu²+ [23] i Zn²+ [24]— en mostres biològiques i mediambientals. Una de les aplicacions més prometedores de les estructures G-quàdruple és la seva utilització in vivo per a la detecció i el monitoratge de metalls dins d’organismes vius [25].
Hèlixs quàdruples en seqüències riques en citosina: l’estructura i-motif
A diferència de les estructures G-quàdruple, que es formen en segments rics en bases de tipus guanina, les estructures de tipus i-motif es constitueixen en trams de DNA rics en bases de tipus citosina [26]. Com d’altres estructures, aquests trams poden pertànyer a una o diverses molècules de DNA. En l’estructura i-motif, el bloc bàsic que manté aquesta estructura és el parell de bases C·C+, format per una base citosina neutra (C) i una altra base citosina protonada en la posició N3 (C+).
Com en el cas d’altres estructures, el parell de bases es manté unit per l’existència de ponts d’hidrogen (figura 5).
El nom tan característic d’aquesta estructura, i-motif, prové del fet que es pot considerar que està formada per la intercalació, de manera antiparal·lela, de dues hèlixs dobles paral·leles [27], així que potser es podria anomenar motiu de DNA intercalat
Els efectes polimèrics i el pK a
Una curiositat de l’estructura i-motif és la forta dependència de la seva estabilitat amb el pH del medi, fet que fa molt atractiva aquesta estructura des del punt de vista de les seves aplicacions en química. Pel que fa a la base nitrogenada citosina, l’àcid conjugat d’aquesta té un valor de pK a al voltant de 4,7 a 25 oC i forces iòniques moderades. Per això, només una petita porció de bases citosina es troba en la seva forma protonada per damunt de pH 6,7, aproximadament. Aquesta situació canvia radicalment quan es consideren seqüències de DNA riques en bases citosina, com ara la mostrada a la figura 6. En aquest cas, la proximitat de les bases fa que sigui entròpicament favorable la formació dels parells de bases C·C+, cosa que no succeeix quan es treballa amb solucions de la base lliure, sense formar part d’una cadena de DNA. A més, aquesta proximitat espacial afavoreix l’aparició d’interaccions hidrofò-

Figura 5. Esquema de la formació d’una estructura i-motif a partir de la seqüència rica en citosines. Un segment de DNA ric en bases citosina (es mostra a l’esquerra de la figura) pot plegar-se per donar lloc a l’estructura anomenada i-motif en condicions de pH relativament àcid i de temperatura baixa. El bloc fonamental de l’estructura és el parell de bases C·C+, on C indica una base citosina neutra i C+, una base citosina protonada en la posició N3. Addicionalment, la naturalesa i el nombre de les bases nitrogenades situades en els bucles de l’estructura poden modificar-ne extraordinàriament l’estabilitat. Les fletxes indiquen la polaritat (5ʹ → 3ʹ) de la cadena en cada tram. Adaptat de «Rapid and highly efficient separation of i-motif DNA species by CE-UV and multivariate curve resolution», Anal. Chem. [en línia], 2023, 95, p. 15189-15198, <https://doi.org/10.1021/ acs.analchem.3c01730>, sota una llicència Creative Commons Attribution 4.0 International (CC BY 4.0) (https://creative commons.org/licenses/by/4.0).
biques entre parells de bases i els sucres d’aquestes que ajuden a l’estabilització de l’estructura. En aquest sentit, es pot observar que el pK a de les citosines en el si de les cadenes de DNA riques en aquestes bases es desdobla en dos valors aparents, un cap a 6,3 i l’altre, cap a 3,7 (aquests valors són aproximats i depenen de la seqüència considerada, figura 6).
En química, no és habitual observar dos valors tan diferents de pK a per a un mateix grup funcional. En el cas de les estructures i-motif, el pK a del grup imino de la citosina (4,7, aproximadament) es pot desdoblar en dos valors diferents degut a la formació del parell C·C+ i a la consegüent protonació en dos passos de les dues bases que el constitueixen. Al diagrama de concentracions de la figura 6 s’observa també que, en un interval de pH entre 4 i 6, aproximadament, no hi ha cap equilibri àcid-base a causa de l’extraordinària fortalesa del parell de bases C·C+, tant respecte de la protonació de la base neutra que participa en el parell, com respecte de la desprotonació de la base protonada a la posició N3.
Un altre aspecte dels equilibris àcid-base presents en una seqüència rica en bases citosina és el fort pendent observat en les transicions degudes a la protonació o a la desprotonació, i que no es veuen en el cas dels monòmers, com passa amb la citosina (figura 6), o dels àcids orgànics habituals al laboratori químic. Aquest fort pendent es deu a l’efecte cooperatiu originat pel caràcter polimèric de la molècula. La formació d’un parell C·C+ afavoreix que es constitueixin parells veïns en la mateixa molècula, cosa que no succeeix quan es treballa amb monòmers. A efectes pràctics, això implica que no hi ha un valor únic de pK a per a cada equilibri àcid-base en el cas dels polímers, sinó una variació. És per això que es parla de valors de pK a aparents, encara que a la bibliografia també s’esmenta el concepte de valors de pH de semitransició (pH1/2).
Com a aclariment, val a dir que els valors dels pK a aparents de les citosines en el si de l’estructura i-motif depenen en gran manera de l’estructura primària, és a dir, de la seqüència concreta de nucleòtids que es consideri. Aquesta influirà sobre la naturalesa i la llargada dels bucles que connecten els trams de citosina i, també, sobre la possibilitat de formació de parells de bases diferents als C·C+ (com ara G·C, A·T o T·T). És a dir, la seqüència tindrà una gran influència sobre l’estructura secundària que s’hagi adoptat finalment i sobre la seva estabilitat. S’estan duent a terme molts esforços de recerca per aconseguir estructures de tipus i-motif estables en condicions

Figura 6. Equilibris àcid-base de la base nitrogenada citosina i d’aquesta en el si d’una seqüència de DNA. La citosina lliure té un sol valor de pKa al voltant de 4,7. En canvi, en el si d’una seqüència rica en citosines, s’observen dos valors de pKa aparent; en aquest exemple, 6,3 i 3,7 [28]. La regió d’estabilitat de l’i-motif es pot definir com el rang de pH existent entre els dos valors de pKa aparent. Aquests valors i la regió d’estabilitat de l’i-motif dependran de la seqüència analitzada i de la temperatura i la força iònica a les quals es porta a terme l’estudi. Elaboració pròpia.
fisiològiques de temperatura i força iònica, amb la intenció de fer-les servir en camps tecnològics diferents [29, 30].
Aplicacions de les estructures de tipus i-motif
Igual que les altres estructures que s’han presentat en aquest treball, el plegament observat en l’estructura i-motif pot tenir ús en àmbits diversos, com ara la nanotecnologia o l’anàlisi química [31]. Per exemple, el plegament de l’i-motif s’ha fet servir per construir nanomotors capaços d’obrir i tancar diafragmes a nivell molecular [32]. En el camp de l’anàlisi química, l’aplicació més evident és el mesurament del pH. Com en el cas de les estructures G-quàdruple, una cadena rica en citosines es pot etiquetar covalentment en els seus extrems 5ʹ i 3ʹ amb fragments moleculars que tinguin propietats relacionades amb la fluorescència. Com que el plegament del polímer depèn del pH, la proximitat entre els dos fragments fluorescents dependrà d’aquest pH. Així, s’han desenvolupat mètodes analítics que relacionen la ràtio dels senyals emesos pels dos fragments amb el pH del medi, fins i tot cel·lular [33, 34].
Amb la intervenció de nanopartícules d’or, s’ha proposat fer servir el plegament de l’estructura i-motif per desenvolupar un sensor colorimètric de glucosa [35]. Un altre exemple de l’ús de les nanopartícules, de la tecnologia FRET i del plegament de les estructures i-motif ha estat la determinació dels nivells d’ATP en lisosomes en cèl·lules [36].
Conclusions
Tot i que la investigació sobre hèlixs triples, G-quàdruple i estructures de tipus i-motif s’ha centrat principalment en les seves implicacions biològiques i biomèdiques, hi ha un interès creixent per les seves aplicacions tecnològiques. Aquestes estructures presenten canvis conformacionals en resposta a variacions de les condicions ambientals, com ara el pH, la concentració de cations i la presència d’anàlits específics de DNA o RNA. Aquestes propietats s’han aprofitat per desenvolupar interruptors d’encesa/apagada binaris a nivell molecular, entre altres aplicacions.
En química, una de les aplicacions més explorades és la detecció d’anàlits en condicions nanoscòpiques, combinant transicions conformacionals amb tècniques espectroscòpiques. A més, s’estan duent a terme esforços significatius per modificar els components fonamentals del DNA i l’RNA, incloent-hi les bases nitrogenades i la columna vertebral de sucre-fosfat, per avaluar-ne l’impacte en l’estabilitat estructural, la conformació i les interaccions amb dianes terapèutiques. Aquests avenços posen de manifest el potencial expansiu de les estructures de DNA no canòniques tant en la recerca fonamental com en l’aplicada.
Agraïments
La recerca sobre aquestes estructures a la Secció de Química Analítica de la Universitat de Barcelona és duta a terme actualment en el marc del projecte PID2023-146465NB-I00, finançat pel Ministeri de Ciència, Investigació i Universitats (MCIN/AEI/10.13039/501100011033), i del projecte «A way of making Europe», finançat pel Fons Europeu de Desenvolupament Regional (FEDER).
Referències
[1] Watson, J. d.; crick, F. h c. «Molecular structure of nucleic acids: A structure for deoxyribose nucleic acid». Nature [en línia], 171 (1953), p. 737-738. <https://doi.org/10.1038/ 171737a0>.
[2] pearson, R. G. «Hard and soft acids and bases». J. Am. Chem. Soc. [en línia], 85 (1963), p. 3533-3539. <https://doi. org/10.1021/ja00905a001>.
[3] hoogsteen, K. «The structure of crystals containing a hydrogen-bonded complex of 1-methylthymine and 9-methyladenine». Acta Crystallogr. [en línia], 12 (1959), p. 822-823. <https://doi.org/10.1107/S0365110X59002389>.
[4] eritJa, R. «Nucleic acids triple helices». A: eritJa, R. (ed.). Nucleic acids chemistry: Modifications and conjugates for biomedicine and nanotechnology. Berlín: Walter de Gruyter GmbH, 2021, p. 187-230.
[5] aviñó, a.; huertas, c s.; lechuga, l m.; eritJa, r. «Sensitive and label-free detection of miRNA-145 by triplex formation». Anal. Bioanal. Chem. [en línia], 408 (2016), p. 885-893. <https://doi.org/10.1007/s00216-015-9180-6>.
[6] calvo-lozano, o.; aviñó, a.; Friaza, v.; medina-escuela, a.; huertas, c s.; calderón, e. J.; eritJa, r.; lechuga, l m. «Fast and accurate pneumocystis pneumonia diagnosis in human samples using a label-free plasmonic biosensor». Nanomaterials [en línia], 10 (2020), art. 1246. <https://doi.org/10.3390/ nano10061246>.
[7] aviñó, a.; cuestas-aYllón, c.; gutiérrez-capitán, m.; vilaplana, l.; grazu, v.; noé, v.; balada, e.; baldi, a.; Félix, a. J.; aubets, e.; valiuska, s.; domínguez, a.; gargallo, r.; eritJa, r.; marco, m.-p.; Fernández-sánchez, c.; martínez de Fuente, J.; ciudad, c. J. «Detection of SARS-CoV-2 virus by triplex enhanced nucleic acid detection assay (TENADA)». Int. J. Mol. Sci. [en línia], 23 (2022), art. 15258. <https://doi.org/10.3390/ijms232315258>.
[8] Yang, m.; zhang, x.; liu, h.; kang, h.; zhu, z.; Yang, W.; tan, W. «Stable DNA nanomachine based on duplex–triplex transition for ratiometric imaging instantaneous pH changes in living cells». Anal. Chem. [en línia], 87 (2015), p. 5854-5859. <https://doi.org/10.1021/acs.analchem.5b01233>.
[9] liu, J.; lu, Y. «A DNAzyme catalytic Beacon sensor for paramagnetic Cu2+ ions in aqueous solution with high sensitivity and selectivity». J. Am. Chem. Soc. [en línia], 129 (2007), p. 9838-9839. <https://doi.org/10.1021/ja0717358>.
[10] Figueiredo, J.; mergnY, J.-l.; cruz, c. «G-quadruplex ligands in cancer therapy: Progress, challenges, and clinical perspectives». Life Sci. [en línia], 340 (2024), art. 122481. <https:// doi.org/10.1016/j.lfs.2024.122481>.
[11] neidle, S. «Quadruplex nucleic acids as novel therapeutic targets». J. Med. Chem. [en línia], 59 (2016), p. 5987-6011. <https://doi.org/10.1021/acs.jmedchem.5b01835>.
[12] aviñó, a.; Fàbrega, c.; tintoré, m.; eritJa, r. «Thrombin binding aptamer, more than a simple aptamer: Chemically modified derivatives and biomedical applications». Curr. Pharm. Des. [en línia], 18 (2012), p. 2036-2047. <https://doi.org/ 10.2174/138161212799958387>.
[13] kosiol, n.; Juranek, s.; brossart, p.; heine, a.; paeschke, k «G-quadruplexes: A promising target for cancer therapy». Mol. Cancer [en línia], 20 (2021), art. 40. <https://doi.org/10.1186/ s12943-021-01328-4>.
[14] Romano, F.; Di Porzio, A.; Iaccarino, N.; Riccardi, G.; Di Lorenzo, R.; Laneri, S. «G-quadruplexes in cancer-related gene promoters: From identification to therapeutic targeting». Expert Opin. Ther. Pat. [en línia], 33 (2023). <https://doi.org/10.1080/ 13543776.2023.2271168>.
[15] ruggiero, e.; zanin, i.; terreri, m.; richter, s n. «G-quadruplex targeting in the fight against viruses: An update». Int. J. Mol. Sci. [en línia], 22 (2021), art. 10984. <https://doi.org/ 10.3390/ijms222010984>.
[16] Yang, h.; zhou, Y.; liu, J. «G-quadruplex DNA for construction of biosensors». TrAC. Trends in Analytical Chemistry [en línia], 132 (2020), art. 116060. <https://doi.org/10.1016/ j.trac.2020.116060>.
[17] khoshbin, z.; housaindokht, m r.; izadYar, m.; verdian, a.; bozorgmehr, m r. «A simple paper-based aptasensor for ultrasensitive detection of lead (II) ion. Anal. Chim. Acta [en línia], 1071 (2019), p. 70-77. <https://doi.org/10.1016/j.aca.2019. 04.049>.
[18] ding, J.; zhang, d.; liu, Y.; zhan, x.; lu, Y.; zhou, p.; zhang, d. «An electrochemical aptasensor for Pb2+ detection based on metal–organic-framework-derived hybrid carbon». Biosensors (Basel) [en línia], 11 (2020), art. 1. <https://doi.org/ 10.3390/bios11010001>.
[19] xu, s.; chen, x.; peng, g.; Jiang, l.; huang, h. «An electrochemical biosensor for the detection of Pb2+ based on G-quadruplex DNA and gold nanoparticles». Anal. Bioanal. Chem. [en línia], 410 (2018), p. 5879-5887. <https://doi.org/ 10.1007/s00216-018-1204-6>.
[20] sun, h.; Yu, l.; chen, h.; xiang, J.; zhang, x.; shi, Y.; Yang, q.; guan, a.; li, q.; tang, Y. «A colorimetric lead (II) ions sensor based on selective recognition of G-quadruplexes by a cliplike cyanine dye». Talanta [en línia], 136 (2015), p. 210-214. <https://doi.org/10.1016/j.talanta.2015.01.027>.
[21] xu, n.; hou, t.; li, F. «A label-free photoelectrochemical aptasensor for facile and ultrasensitive mercury ion assay based on a solution-phase photoactive probe and exonuclease III-assisted amplification». Analyst [en línia], 144 (2019), p. 3800-3806. <https://doi.org/10.1039/c9an00649d>.
[22] zhou, b.; chen, Y.-t.; Yang, x.-Y.; Wang, Y.-s.; hu, x.-J.; suo, q.-l. «An ultrasensitive colorimetric strategy for detection of cadmium based on the peroxidase-like activity of G-quadruplex-Cd(II) specific aptamer». Analytical Sciences
[en línia], 35 (2019), p. 277-282. <https://doi.org/10.2116/ analsci.18P248>.
[23] ge, c.; luo, q.; Wang, d.; zhao, s.; liang, x.; Yu, l.; xing, x.; zeng, l. «Colorimetric detection of copper(II) ion using click chemistry and hemin/G-quadruplex horseradish peroxidasemimicking DNAzyme». Anal. Chem. [en línia], 86 (2014), p. 6387-6392. <https://doi.org/10.1021/ac501739a>.
[24] guo, Y.; sun, Y.; shen, x.; chen, x.; Yao, W.; xie, Y.; hu, J.; pei, r. «Quantification of Zn(II) using a label-free sensor based on graphene oxide and G-quadruplex». Analytical Methods [en línia], 7 (2015), p. 9615-9618. <https://doi.org/10.1039/ c5ay01840d>.
[25] li, c.; chen, h.; chen, q.; shi, h.; Yang, x.; Wang, k.; liu, J «Lipophilic G-quadruplex isomers as biomimetic ion channels for conformation-dependent selective transmembrane transport». Anal. Chem. [en línia], 92 (2020), p. 10169-10176. <https://doi.org/10.1021/acs.analchem.0c02222>.
[26] benabou, s.; aviñó, a.; eritJa, r.; gonzález, c.; gargallo, r «Fundamental aspects of the nucleic acid i-motif structures». RSC Adv. [en línia], 4 (2014), p. 26956-26980. <https://doi. org/10.1039/C4RA02129K>.
[27] mergnY, J.-l.; lacroix, l.; han, x.; leroY, J.-l.; helene, c. «Intramolecular folding of pyrimidine oligodeoxynucleotides into an i-DNA motif». J. Am. Chem. Soc. [en línia], 117 (1995), p. 8887-8898. <https://doi.org/10.1021/ja00140a001>.
[28] Fernández, s.; eritJa, r.; aviñó, a.; Jaumot, J.; gargallo, r «Influence of pH, temperature and the cationic porphyrin TMPyP4 on the stability of the i-motif formed by the 5′-(C3TA2)4-3′ sequence of the human telomere». Int. J. Biol. Macromol. [en línia], 49 (2011), p. 729-736. <https://doi.org/ 10.1016/j.ijbiomac.2011.07.004>.
[29] serrano-chacón, i.; mir, b.; escaJa, n.; gonzález, c. «Structure of i-motif/duplex junctions at neutral pH». J. Am. Chem. Soc. [en línia], 143 (2021), p. 12919-12923. <https://doi.org/ 10.1021/jacs.1c04679>.
[30] mir, b.; serrano-chacón, i.; medina, p.; macaluso, v.; terrazas, m.; gandioso, a.; garavís, m.; orozco, m.; escaJa, n.; gonzález, c. «Site-specific incorporation of a fluorescent nucleobase analog enhances i-motif stability and allows monitoring of i-motif folding inside cells». Nucleic Acids Res. [en línia], 52 (2024), p. 3375-3389. <https://doi.org/10.1093/nar/ gkae106>.
[31] alba, J. J.; sadurní, a.; gargallo, r. «Nucleic acid i-motif structures in analytical chemistry». Crit. Rev. Anal. Chem. [en línia], 46 (2016), p. 443-454. <https://doi.org/10.1080/ 10408347.2016.1143347>.
[32] xia, F.; guo, W.; mao, Y.; hou, x.; xue, J.; xia, h.; Wang, l.; song, Y.; Ji, h.; ouYang, q.; Wang, Y.; Jiang, l. «Gating of single synthetic nanopores by proton-driven DNA molecular motors». J. Am. Chem. Soc. [en línia], 130 (2008), p. 8345-8350. <https://doi.org/10.1021/ja800266p>.
[33] Yue, x.; qiao, Y.; gu, d.; qi, r.; zhao, h.; Yin, Y.; zhao, W.; xi, r.; meng, m. «DNA-based pH nanosensor with adjustable FRET responses to track lysosomes and pH fluctuations». Anal. Chem. [en línia], 93 (2021), p. 7250-7257. <https://doi.org/ 10.1021/acs.analchem.1c00436>.
[34] zhou, Y.-J.; Wan, Y.-h.; nie, c.-p.; zhang, J.; chen, t.-t.; chu, x. «Molecular switching of a self-assembled 3D DNA
nanomachine for spatiotemporal pH mapping in living cells». Anal. Chem. [en línia], 91 (2019), p. 10366-10370. <https:// doi.org/10.1021/acs.analchem.9b02514>.
[35] li, W.; Feng, l.; ren, J.; Wu, l.; qu, x. «Visual detection of glucose using conformational switch of i-motif DNA and non-crosslinking gold nanoparticles». Chemistry–A European Journal [en línia], 18 (2012), p. 12637-12642. <https://doi. org/10.1002/chem.201201914>.
[36] li, l l.; lv, W. Y.; Wang, Y.; li, Y. F.; li, c m.; huang, c z «DNA logic nanodevices for real-time monitoring of ATP in lysosomes». Anal. Chem. [en línia], 93 (2021), p. 15331-15339. <https://doi.org/10.1021/acs.analchem.1c02829>.



Anna Aviñó és doctora en química per la Universitat de Barcelona. Va fer el doctorat al Consell Superior d’Investigacions Científiques en noves metodologies de síntesi d’oligonucleòtids modificats com a agents terapèutics, amb el doctor Ramon Eritja. Ha dut a terme dues estades postdoctorals a l’estranger i actualment és investigadora sènior al Centro de Investigación Biomédica en Red - Bioingeniería, Biomateriales y Biomedicina (CIBER-BBN) i a l’Institut de Química Avançada de Catalunya (IQAC-CSIC). La seva expertesa es basa en la síntesi i l’estudi d’estructures secundàries dels àcids nucleics, i en la seva aplicació com a bioreceptors en diferents sistemes diagnòstics. A més, ha treballat en el desenvolupament de nous oligonucleòtids terapèutics basats en inhibició gènica.
Arnau Domínguez és graduat en química per la Universitat de Barcelona (UB). Després dels estudis de grau, va realitzar el Màster de Química Orgànica, també a la UB, que va finalitzar l’any 2021. Tot seguit, es va incorporar al grup de Química d’Àcids Nucleics, dirigit pel doctor Ramon Eritja, a l’Institut de Química Avançada de Catalunya (IQAC-CSIC), on duu a terme la tesi doctoral. La seva recerca se centra en l’estudi d’estructures de DNA d’hèlixs triples per a la detecció de malalties infeccioses, com ara el virus SARS-CoV-2, entre d’altres.
Raimundo Gargallo és professor agregat al Departament d’Enginyeria Química i Química Analítica de la Universitat de Barcelona. Com a investigador, els seus interessos se centren en l’estudi dels equilibris en què intervenen estructures poc conegudes del DNA, i en la interacció d’aquestes estructures amb lligands per tal de desenvolupar mètodes analítics. És coautor de cent deu articles de recerca i de divulgació, així com de revisions. Ha participat en nombrosos projectes de recerca, ha estat director o codirector de tesis doctorals i de treballs de fi de màster i col·labora en el foment de la recerca en el batxillerat.
La química combinatòria dinàmica com a eina per al desenvolupament d’antídots
de l’heparina
Dynamic combinatorial chemistry as an instrument for developing heparin antidotes
Daniel Carbajo i Ignacio Alfonso Institut de Química Avançada de Catalunya (IQAC-CSIC). Departament de Química Biològica. Grup de Química Supramolecular
Resum: La química combinatòria dinàmica es una aproximació útil per a la identificació de lligands que s’uneixen a objectius complexos i amb una estructura difícil de determinar. Les macromolècules anàlogues a l’heparina són àmpliament utilitzades als hospitals com a medicaments anticoagulants. Tanmateix, la recerca d’antídots de l’heparina basats en molècules petites per a controlar la coagulació sanguínia encara és una tasca desafiant degut a les propietats fisicoquímiques peculiars d’aquest polisacàrid aniònic. Aquest article presenta un compendi dels esforços que hem dut a terme per aplicar la química combinatòria dinàmica amb vista a la identificació de lligands que s’uneixen a l’heparina formats a partir de blocs de construcció extremament simples, la seva posterior optimització perquè actuïn com a vertaders antídots de l’heparina i l’exploració final de la seva activitat contra tot el ventall d’heparinoids.
Paraules clau: Química combinatòria dinàmica, heparina, reconeixement molecular, antídots, glicosaminoglicans, coagulació sanguínia.
Abstract: Dynamic combinatorial chemistry is a useful approach to the identification of ligands to complex and structureelusive targets. Heparin-like macromolecules are widely used in hospitals as anticoagulant drugs. However, the search for heparin antidotes based on small molecules to control blood coagulation still remains a challenging task due to the peculiar physicochemical properties of this anionic polysaccharide. This article presents a compendium of our efforts to apply dynamic combinatorial chemistry in order to identify ligands to heparin assembled from extremely simple building blocks; to optimize them subsequently in order for them to act as true heparin antidotes; and finally to explore their activity against the full range of heparinoids.
Keywords: Dynamic combinatorial chemistry, heparin, molecular recognition, antidotes, glycosaminoglycans, blood coagulation.
Introducció
La química combinatòria dinàmica (QCD) és una disciplina jove dintre del gran ventall de les ciències químiques. A diferència de la química tradicional, basada en reaccions químiques controlades cinèticament i en la formació d’enllaços irreversibles, la QCD es fonamenta en la reversibilitat de les reaccions, en les quals els enllaços covalents es formen i es trenquen en un equilibri termodinàmic [1]. Proposa l’ús de llibreries combinatòries dinàmiques (LCD) en què les espècies es troben en un intercanvi continu a partir d’enllaços covalents reversibles. Aquestes LCD estan formades per blocs constructius convenientment escollits. En primer lloc, han d’estar funcionalitzats per a dur a terme la reacció reversible dinàmica desitjada (típicament, la formació
Correspondència: Daniel Carbajo
Institut de Química Avançada de Catalunya (IQAC-CSIC). Departament de Química
Biològica
C. de Jordi Girona, 20. 08034 Barcelona
A/e: daniel.carbajo@iqac.csic.es
d’imines o de disulfurs). I, en segon lloc, han de contenir motius estructurals que els aportin la informació química per a realitzar processos de reconeixement molecular. Aquests sistemes moleculars responen a estímuls externs modificant la composició de la LCD [2], amplificant els membres que esdevenen més estables a costa dels altres components de la mescla [3]. L’estímul més habitual és l’addició d’un compost (molècula petita, proteïna, etc.) que actuï de plantilla. Així, els components de la LCD que interaccionin millor amb la plantilla veuran la seva presència incrementada (figura 1). Si som capaços d’identificar quins són aquests compostos amplificats, trobarem, dintre les possibilitats de la LCD, quins són els millors lligands potencials per a la plantilla introduïda.
Com si invertíssim el concepte de clau i pany, en comptes de dissenyar què és el que encaixa més bé en un lloc actiu d’una proteïna concreta —per exemple—, la QCD ofereix un ventall de possibilitats perquè el pany esculpeixi quina clau hi encaixa millor [4]. Així, permet provar alhora tots els elements possibles de la LCD i després només cal sintetitzar els que tenen

una utilitat potencial. Com que el mateix objectiu (la plantilla) és qui fa la selecció, permet identificar lligands que s’uneixen a objectius que, per les seves característiques estructurals, no presentin un lloc actiu definit o aquest encara no s’hagi determinat, ja que totes les possibilitats estructurals són explorades dintre del procés d’autocorrecció termodinàmic típic de la QCD. A més, en molts casos és possible dur a terme aquestes reaccions en condicions fisiològiques, cosa especialment útil per a aplicar aquesta aproximació amb vista a identificar compostos d’importància biològica, com la determinació de lligands que s’uneixen a proteïnes [5], a àcids nucleics [6] i a molècules autoreplicables [7].
En el nostre grup hem emprat la QCD per a molts usos diferents, com la generació de sistemes catalítics dinàmics [8] o el reconeixement molecular d’ions [9], de biomolècules petites [10] i grans [11] i del cas que ens ocupa, de lligands que s’uneixen a glicosaminoglicans [12], entre els quals destaca l’heparina [13].
L’heparina (Hep, figura 2) és un dels biopolímers més utilitzats en medicina. Té aplicacions dins de medicaments antivirals [14] i anticancerosos [15], però sobretot té rellevància com a anticoagulant [16]. Per a un ús segur de Hep, és molt important l’accés a una família d’antídots efectius, especialment en casos de sobredosi, de sagnats massius [17] o d’operacions quirúrgiques d’urgència [18]. Tot i així, el nombre d’antídots contra l’efecte anticoagulant de Hep i els seus anàlegs és molt limitat: el mercat es troba dominat per la protamina [19], una proteïna rica en arginines, per bé que també hi ha altres opcions, com ara anticossos monoclonals [20] o dendrímers policatiònics [21]. En tots els casos es tracta de macromolècules,

que presenten una sèrie d’inconvenients comuns [22]. Així, la recerca de molècules petites que siguin antídots de Hep està atraient molt d’interès els darrers anys [23], especialment si es pot trobar un antídot de caràcter universal que funcioni amb Hep i amb tots els seus anàlegs.
Desafortunadament, el nombre de molècules petites que tenen la capacitat de modular l’activitat de Hep és molt limitat [24]. Això es deu a les seves peculiaritats estructurals: una densitat de càrrega negativa molt elevada, polidispersitat i una flexibilitat conformacional extraordinària [25]; tots aquests aspectes han frustrat els esforços per a dur a terme un disseny racional de lligands tradicional. Paradoxalment, aquesta complexitat i aquesta estructura difícil de determinar són característiques que fan de la QCD una aproximació adequada [2] per a la determinació de lligands per a Hep, com ja s’ha demostrat amb altres macromolècules complexes en el passat [5-12]. Amb aquesta idea present, vam començar a dedicar esforços per a demostrar que la QCD es podia emprar utilitzant Hep com a plantilla.
Prova de concepte
En aquesta aproximació, primerament cal triar amb deteniment les característiques ideals que han de tenir els blocs de construcció que compondran les LCD que s’utilitzaran. Tenint en compte que la plantilla objectiu amb què calia interaccionar era Hep, ens vam basar en els motius estructurals que podrien afavorir una interacció no covalent amb Hep en un ambient fisiològic. En primer lloc ens vam inspirar en les lectines, que poden reconèixer sucres d’una manera selectiva per mitjà
d’interaccions CH-π [26], de forma que vam incloure grups aromàtics dins els blocs de construcció. Així mateix, l’estructura de Hep conté molts sulfats i carboxilats dins la seva seqüència. Aquests poden ser reconeguts per poliamines [27] pel fet d’establir ponts d’hidrogen i altres interaccions iòniques, amb la qual cosa es van incloure dins els components de les LCD. Com a reacció reversible vam utilitzar la formació d’imines, ja que és prou ràpida per a reaccionar en poc temps a l’addició de la plantilla. Llavors, una reacció de reducció a amines permet congelar l’equilibri, fet que facilita l’anàlisi de la mescla i la comparació de les diferències provocades per la presència de Hep.
Atès que es volia mantenir l’ús de molècules senzilles, vam escollir l’espermina com a exemple de poliamina simple, per tal de fer-la reaccionar amb una petita selecció d’aldehids aromàtics. Amb aquest disseny experimental, la natura reversible de la formació d’imines permetria a les molècules formades adaptar-se a la presència de la plantilla de Hep (figura 3a). Així, les interaccions no covalents estabilitzarien i seleccio-
narien els millors lligands de la mescla, en un nou equilibri que podríem congelar en una reducció in situ. L’anàlisi per UPLC-MS de les mescles de reacció en absència/presència de Hep ens va indicar quins components de la mescla es trobaven amplificats en presència del polisacàrid, com es pot veure al gràfic dels factors d’amplificació corresponents en la figura 3b
Per tant, havíem identificat uns compostos que podien ser lligands potencials a Hep. Però, ho eren de veritat? Per comprovar-ho vam preparar un dels hits principals (3AL) i els seus anàlegs simètrics corresponents, que, curiosament, no presentaven una gran afinitat potencial. Un cop preparats, vam confirmar que 3AL efectivament interaccionava amb Hep, determinant-ne la constant d’afinitat mitjançant valoracions de fluorescència, ressonància magnètica nuclear i calorimetria de titulació isotèrmica en el rang micromolar baix. Vam trobar que la constant d’afinitat es correlacionava amb el factor d’amplificació i es va confirmar que els anàlegs simètrics eren lligands pobres.

Figura 3. a) Esquema de la reacció d’aminació reductora de QCD utilitzada en aquest estudi. b) Gràfic dels factors d’amplificació, definits com la relació entre la corresponent àrea dels pics en anàlisis d’HPLC (cromatografia de líquids d’alta resolució), obtingut en reaccions realitzades en presència (At) o absència (Ao) de Hep. Les barres per sobre i per sota la línia de punts indiquen els compostos amplificats i reduïts, respectivament, a causa de la presència de Hep. Elaboració pròpia.
A partir de simulacions de modelització molecular vam poder construir un model estructural d’interacció en què 3AL s’enrotllava al voltant dels glicans de Hep. Aquesta interacció s’estabilitzava a partir d’enllaços de pont d’hidrogen i de l’establiment d’interaccions CH-π on era necessària la presència d’un fenol a un costat i d’un naftil a l’altre, i s’explicava així l’estabilitat superior de la interacció d’aquest compost respecte dels seus anàlegs. La disposició permetia a més la formació d’interaccions π-π entre els grups naftil de diferents molècules de 3AL, fet que conduïa a una estabilització encara més gran de la interacció.
Però, aquesta interacció implicava que tinguessin algun tipus d’activitat? Vam decidir provar-ho adaptant un assaig enzimàtic in vitro basat en la coagulació de la sang que utilitza proteïnes recombinants (figura 4a). En aquest assaig, Hep forma un complex ternari amb l’antitrombina III i el factor Xa de coagulació, que atura la cascada de reaccions. L’addició d’un lligand prou potent de Hep provocaria que no es pogués formar el complex, fet que alliberaria el factor Xa, de manera que
ara podria reaccionar amb un substrat adequat i alliberaria en aquest cas un compost amb color, del qual podríem mesurarne l’aparició.
Així ho vam fer i, tal com es pot veure en la figura 4b, 3AL era capaç d’inhibir l’activitat anticoagulant de Hep de manera dependent de la concentració. D’altra banda, els anàlegs amb pitjor afinitat no van tenir cap efecte, ni tan sols després d’augmentar-ne molt la concentració.
Per tant, vam poder identificar una molècula petita que actuava com a lligand de Hep mitjançant QCD, que, a més, era capaç d’inhibir la seva activitat en un assaig enzimàtic [28].
Quedava així demostrada, com a prova de concepte, la capacitat d’aquesta aproximació per tal de trobar moduladors de Hep d’una manera fàcil i simple. Un cop confirmada la hipòtesi de partida, quin seria el pas següent? Doncs optimitzar els components de les LCD expandint-ne la diversitat estructural amb la intenció d’obtenir anàlegs més potents de 3AL que poguessin funcionar com a veritables antídots de Hep.

4. Efecte del lligand 3AL en la cascada de coagulació sanguínia. a) Representació de la interacció Hep/ATIII/FXa b) Gràfic del percentatge d’hidròlisi del pèptid Z-D-Leu-Gly-ArgNMe (mesurat per HPLC) catalitzat pel sistema FXa/ATIII en absència (negre) o en presència (marró) de 0,4 UI/mL de Hep. L’increment de concentració del lligand 3AL inhibeix l’acció de Hep en competir amb ATIII, i es recupera l’activitat proteolítica del FXa c) Com B, però utilitzant 3AA. Elaboració pròpia.
Optimització de les llibreries dinàmiques
Després d’haver demostrat la viabilitat de la nostra aproximació, era el moment de veure fins on podíem arribar. Ja havíem establert les condicions de reacció ideals per a obtenir amplificacions àmplies i reproduïbles i les condicions d’anàlisi per a estudiar adequadament els equilibris. Inicialment, havíem optat per mantenir la simplicitat i utilitzar una LCD petita com a punt de partida. En aquest pas d’optimització, ens vam centrar a augmentar la complexitat dels components de la LCD, i es va generar així l’exploració per a un espai de reconeixement molecular més ampli. Sabent que la combinació de fenol/naftil era adequada, vam assegurar la inclusió d’una varietat d’anàlegs de fenol amb diferents substituents i la presència de grups aromàtics amb una superfície gran que poguessin establir interaccions CH-π més fortes. D’aquesta manera, es buscà cobrir millor les necessitats estructurals per a una interacció òptima amb Hep, amb la qual cosa es permetia la identificació de lligands més potents que poguessin tenir una futura aplicació com a medicaments potencials.
En comptes de partir d’una LCD petita composta d’una desena de components virtuals, aquest augment de la complexitat
ens va portar a analitzar LCD de més d’un centenar de possibles candidats a interaccionar amb Hep. L’anàlisi dels seus factors d’amplificació ens va permetre identificar una sèrie de hits amb una afinitat més gran que la demostrada prèviament per 3AL, que indicava una activitat potencialment molt superior (figura 5).
Es van preparar els nous compostos i se’n va determinar la constant d’afinitat. Un altre cop, vam comprovar que es correlacionava amb el factor d’amplificació, cosa que reforçava el valor de la QCD com a eina d’identificació de lligands, amb els millors compostos (3FF i 3AC) (figura 6a), i demostrava una afinitat més forta que la determinada per 3AL (nanomolar alt).
Les simulacions de modelització molecular (figura 6d ) ens van dur a comprendre els motius estructurals que explicaven la seva gran afinitat. Els compostos interaccionaven amb Hep guiats per les mateixes forces (enllaços de pont d’hidrogen, interaccions iòniques, CH-π). 3FF incorpora grups naftol, que presenten propietats dels grups fenol/naftalè alhora, i afavoreix així una bona disposició conformacional. D’altra banda, 3AC mantenia la presència del fenol, alternat aquest cop amb un grup aromàtic més gran (fluorè).


Figura 6. a) Estructura química de 3FF i 3AC, les molècules més amplificades en la QCD. b) Gràfic de l’evolució amb el temps de la hidròlisi del pèptid substrat (485 μm) en condicions diferents: en tots els casos (0,085 μg/mL de FXa i 0,02 UI/mL de ATIII), línies en gris i amb color (0,1 UI/mL de Hep), línies amb color (1 μm de cada lligand). c) Gràfic del percentatge d’hidròlisi al cap de 30 min en funció del corresponent factor d’amplificació per als lligands seleccionats. d) Imatge representativa de simulacions d’heparina (els àtoms de C es mostren en taronja) i sis molècules de lligand 3FF (els àtoms de C es presenten en cian). L’ampliació mostra les interaccions de 3FF i Hep (ponts d’hidrogen i interaccions coulombianes: línies de punts grogues; interaccions CH-π: línies de punts magenta). Elaboració pròpia.
El pas següent va ésser comprovar la seva capacitat per a inhibir Hep, utilitzant el mateix assaig enzimàtic que en la prova de concepte (figura 6b). Els resultats van indicar que aquest increment d’afinitat tenia correlació amb una activitat més potent, i se superava fàcilment el compost precandidat (lead ) anterior. La conclusió més important no va ésser només la troballa d’inhibidors més potents, sinó també la constatació que hi havia una correlació clara entre el factor d’amplificació detectat i l’activitat inhibidora determinada, amb la qual cosa es provava l’efectivitat de la nostra aproximació com un mètode per a identificar lligands actius que s’uneixen a Hep i compostos de complexitat similar (figura 6c).
Per comparar la potència dels nostres inhibidors amb els estàndards del mercat, vam fer estudis amb protamina [19], l’antídot de referència de Hep, en què vam poder comprovar que els nostres millors hits, 3AC i 3FF, presentaven una major eficàcia a una mateixa concentració. A més a més, la comparació dels nostres hits amb ciraparantag [29], una molècula que ha arribat a assaigs clínics com a antídot de Hep, va mostrar que 3FF presentava una activitat similar, mentre que 3AC era un agent de reversió encara més potent. És a dir, podíem començar a considerar els nostres compostos com a veritables antídots de Hep.
Per tal de comprovar l’efectivitat dels nostres antídots en un entorn més representatiu, vam provar 3FF i 3AC en assaigs de coagulació en mostres de sang provinent de conill i de ratolí (figura 7 a ). Vam observar que l’addició de Hep prevenia la coagulació sanguínia normal, però que, si els nostres antídots també hi eren presents, es recuperava una coagulació correcta, especialment a la concentració més alta utilitzada. Finalment, vam dur a terme uns primers assaigs in vivo , provant l’activitat dels nostres antídots de Hep en ratolins per mitjà d’un assaig de transsecció de cua (figura 7 b ). Els vam injectar Hep o sèrum, vam fer-los un petit tall a la cua i llavors vam mesurar la quantitat de sang perduda. D’aquesta manera vam poder veure l’efecte anticoagulant de Hep i com els nostres antídots eren capaços de recuperar una coagulació sanguínia normal. A més, la seva citotoxicitat reduïda en diferents línies cel·lulars els convertia en bons candidats per a esdevenir futurs medicaments.
Així doncs, la QCD ens havia permès realitzar el viatge complet d’investigació en un laboratori: des de la identificació dels primers hits fins al desenvolupament d’antídots de Hep que han provat la seva utilitat en assaigs biològics en animals model [30].

Figura 7. a) Experiment de coagulació ex vivo amb sang provinent de ratolí utilitzant Hep en combinació amb els antídots 3FF i 3AC. La concentració molar de Hep s’ha calculat en relació amb les unitats de disacàrid.
b) Assaig de transsecció de cua realitzat en ratolins per a provar l’activitat inhibidora de 3FF i 3AC sobre Hep.
Els resultats estadísticament diferents (ANOVA, p < 0,0001) estan etiquetats. Elaboració pròpia.
Ampliació a altres heparinoids
Dintre del món dels anticoagulants, Hep és un dels actors principals, però amb el temps s’han desenvolupat un gran nombre d’anàlegs de mida més curta i definida, dits heparinoids [31]. Aquests compostos presenten una sèrie d’avantatges farmacocinètics i farmacodinàmics [32], com poden ser una acció més ràpida i més fàcil de predir. No obstant això, tenen un problema important: els antídots descrits per a Hep són bastant menys efectius contra ells. En el cas de la protamina [33] —el principal antídot de Hep—, la seva activitat baixa a la meitat en el cas de variants de Hep de mida mitjana i arriba a ser inexistent contra el fondaparinux (Fond), l’heparinoid més petit [34]. Òbviament, aquesta falta d’antídots plenament efectius ha disminuït la seva introducció dins l’àmbit hospitalari, especialment en el cas del Fond [35].
Nosaltres havíem desenvolupat una sèrie d’antídots contra l’efecte anticoagulant de Hep i coneixíem que el seu mecanisme d’inhibició consistia en la formació d’un complex antídotHep. Tenint en compte les similituds estructurals entre els heparinoids, vam considerar que, probablement, els dos leads (3FF i 3AC) també haurien d’esser bons antídots contra l’activitat dels heparinoids més petits [36].
És així que vam decidir comprovar-ho utilitzant una adaptació de l’assaig enzimàtic que havíem fet servir prèviament. Tal com es pot veure en la figura 8, els nostres antídots eren capaços de recuperar la coagulació sanguínia normal en presència d’una quantitat equimolar de Fond, la qual cosa millorava l’activitat del ciraparantag (recuperació parcial) i la de la protamina (cap efecte). Es va detectar el mateix efecte en experiments ex vivo a partir de sang provinent de ratolí. Experiments de valoració mitjançant ressonància magnètica i de fluorescència i simulacions moleculars van confirmar un mecanisme d’inhibició anàleg al que havíem descrit per a Hep, a partir de la formació d’un complex antídot-Fond, amb la qual cosa es validava la hipòtesi de partida. Per tant, els dos antídots de Hep també constituïen agents de reversió contra el Fond.
Conclusions
En l’àmbit d’aquesta recerca, la química combinatòria dinàmica ha demostrat ésser una eina extremament convenient per a identificar potents lligands que s’uneixen a biomacromolècules amb una estructura difícil de determinar, amb un objectiu heterogeni, flexible i sense llocs actius clarament definits, com en el cas de l’heparina. A més, hem trobat una correlació

Figura 8. a) Estructura química dels antídots a més de 3FF i 3AC. b) Gràfic del percentatge de recuperació de la hidròlisi del pèptid ((recuperació d’hidròlisi en funció de Fond / màxima recuperació d’hidròlisi en funció de Fond) × 100) de mostres que contenien FXa/ATIII a temps de reacció diferents: control (blanc), Fond + 3FF (taronja), Fond + 3AC (morat), Fond + 3BB (verd), Fond + 3AA (gris), Fond + protamina (negre) i Fond + ciraparantag (blau). En tots els casos, [Fond] = [Antídot] = 15 μm. Tots els experiments s’han repetit un mínim de tres cops. Elaboració pròpia.
excel·lent entre els resultats del cribratge per mitjà de llibreries dinàmiques i la potència d’inhibició d’heparina. Els antídots desenvolupats han demostrat tenir una activitat superior a la de qualsevol altre antídot d’heparinoids provat in vitro, ex vivo i in vivo. A partir de la formació d’un complex entre l’heparinoid i els nostres antídots hem confirmat el mecanisme d’inhibició. Tenint en compte la seva prometedora activitat contra heparinoids d’un gran ventall de mides moleculars, preveiem el seu alt potencial com a antídots universals únics contra l’efecte de tot tipus d’anticoagulants similars a l’heparina, aplicació que estem estudiant actualment.
Agraïments
La recerca que ha permès obtenir els resultats que es presenten en aquest treball ha rebut finançament del Ministeri de Ciència, Innovació i Universitats, de l’Agència Estatal d’Investigació (MINECO/FEDER, CTQ2015-70117-R, PID2021128411NB-I00, MCI/AEI/10.13039/501100011033 i FEDER/ EU) i de l’Agència de Gestió d’Ajuts Universitaris i de Recerca (2017 SGR 208).
Referències
[1] a) corbett, p t.; leclaire, J.; vial, l.; West, k r.; Wietor, J.-l.; sanders, J. k. m.; otto, S. «Dynamic combinatorial chemistry».
Chem. Rev., 106 (2006), p. 3652-3711; b) lehn, J. m.; eliseev, a. V. «Dynamic combinatorial chemistry». Science, 291 (2001), p. 2331-2332.
[2] lehn, J.-M. «From supramolecular chemistry towards constitutional dynamic chemistry and adaptive chemistry». Chem. Soc. Rev., 36 (2007), p. 151-160.
[3] lehn, J.-M. «Bridge from supramolecular chemistry to adaptive chemistry». A: barboui, M. (ed.). Constitutional dynamic chemistry. Berlín; Heidelberg: Springer, 2012, p. 1-32.
[4] a) huc, i.; lehn, J.-m. «Virtual combinatorial libraries: Dynamic generation of molecular and supramolecular diversity by self-assembly». PNAS, 94 (6) (1997), p. 2106-2110.
b) ashkenasY, g.; hermans, t m.; otto, s.; taYlor, a. F. «Systems chemistry». Chem. Soc. Rev., 46 (2017), p. 2543-2554.
[5] a) Jaegle, m.; Wong, e l.; tauber, c.; naWrotzkY, e.; arkona, c.; rademann, J. «Protein-templated fragment ligations—From molecular recognition to drug discovery». Angew. Chem. Int. Ed., 56 (2017), p. 7358-7378; Angew. Chem., 129 (2017), p. 74647485; b) mondal, M.; hirsch, A. K. H. «Dynamic combinatorial chemistry: A tool to facilitate the identification of inhibitors for protein targets». Chem. Soc. Rev., 44 (2015), p. 2455-2488.
[6] WhitneY, a m.; ladame, s.; balasubramanian, s. «Templated ligand assembly by using G-quadruplex DNA and dynamic covalent chemistry». Angew. Chem. Int. Ed., 43 (2004), p. 11431146; Angew. Chem., 116 (2004), p. 1163-1166.
[7] otto, S. «Dynamic molecular networks: From synthetic receptors to self-replicators». Acc. Chem. Res., 45 (2012), p. 2200-2210.
[8] sors-vendrell, a.; ortiz, a.; meneses, d.; alFonso, i.; solà, J.; Jimeno, c. «A degenerate metal-templated catalytic system with redundant functional groups for the asymmetric aldol reaction». J. Org. Chem., 87 (2022), p. 7509-7513.
[9] tapia, L.; pérez, Y.; bolte, M.; casas, J.; solà, J.; quesada, R.; alFonso, I. «pH-Dependent chloride transport by pseudopeptidic cages for the selective killing of cancer cells in acidic microenvironments». Angew. Chem. Int. Ed., 58 (2019), p. 1246512468; Angew. Chem., 131 (2022), p. 12595-12598.
[10] laFuente, m.; solà, J.; alFonso, i. «A dynamic chemical network for cystinuria diagnosis». Angew. Chem. Int. Ed., 28 (2018), p. 8421-8424; Angew. Chem., 130 (2018), p. 8557-8560.
[11] Faggi, e.; moure, a.; bolte, m.; vicent, c.; luis, s v.; alFonso, i «Pseudopeptidic cages as receptors for N-protected dipeptides». J. Org. Chem., 79 (2014), p. 4590-4601.
[12] carbaJo, d.; pérez, Y.; buJons, J.; alFonso, i. «Live-cell-templated dynamic combinatorial chemistry». Angew. Chem. Int. Ed., 59 (2000), p. 17202-17206; Angew. Chem., 132 (2000), p. 17355-17359.
[13] rabenstein, D. L. «Heparin and heparan sulfate: Structure and function». Nat. Prod. Rep., 19 (2002), p. 312-331.
[14] kim, s. Y.; Jin, W.; sood, a.; montgomerY, d. W.; grant, o c.; Fuster, m. m.; Fu, l.; dordick, J. s.; Woods, r. J.; zhang, F.; linhardt, r. J. «Characterization of heparin and severe acute respiratory syndrome-related coronavirus 2 (SARS-CoV-2) spike glycoprotein binding interactions». Antiviral Res., 181 (2020), art. 104873.
[15] berdiaki, a.; neagu, m.; giatagana, e.-m.; kuskov, a.; tsatsakis, a m.; tzanakakis, g n.; nikitovic, d. «Glycosaminoglycans: Carriers and targets for tailored anti-cancer therapy». Biomolecules, 11 (2021), art. 395.
[16] Weitz, J.; harenberg, J. «New developments in anticoagulants: Past, present and future». Thromb. Haemostasis, 117 (2017), p. 1283-1288.
[17] ourri, b.; vial, l. «Lost in (clinical) translation: Recent advances in heparin neutralization and monitoring». ACS Chem. Biol., 24 (2019), p. 2512-2526.
[18] Fernández-ruiz, I. «High-dose heparin for secondary prevention». Nat. Rev. Cardiol. [en línia] (2017). <https://doi.org/ 10.1038/nrcardio.2017.175>.
[19] guo, x.; han, i s.; Yang, v c.; meYerhoFF, m e. «Homogeneous enzyme-based binding assay for studying glycosaminoglycan interactions with macromolecules and peptides». Anal. Biochem., 235 (1996), p. 153-160.
[20] pollack, c v.; reillY, p a.; rYn, J. van; eikelboom, J. W.; glund, s.; bernstein, r a.; dubiel, r.; huisman, m v.; hYlek, e m.;
kam, c.-W.; kamphuisen, p. W.; kreuzer, J.; levY, J. h.; roYle, g.; sellke, F. W.; stangier, J.; steiner, t.; verhamme, p.; Wang, b.; Young, l.; Weitz, J. i. «Idarucizumab for dabigatran reversalFull cohort analysis». N. Engl. J. Med., 377 (2017), p. 431-441.
[21] kalathottukaren, m t.; abbina, s.; Yu, k.; shenoi, r a.; creagh, a l.; haYnes, c.; kizhakkedathu, J. n. «A polymer therapeutic having universal heparin reversal activity: Molecular design and functional mechanism». Biomacromolecules, 18 (2017), p. 3343-3358.
[22] schuster, J.; koulov, a.; mahler, h.-c.; detampel, p.; huWYler, J.; singh, s.; mathaes, r. «In vivo stability of therapeutic proteins». Pharm. Res., 37 (2020), art. 23.
[23] levY, J. h.; douketis, J.; Weitz, J. i. «Reversal agents for nonvitamin K antagonist oral anticoagulants». Nat. Rev. Cardiol., 15 (2018), p. 273-281.
[24] a) Weiss, r. J.; esko, J. d.; tor, Y. «Targeting heparin and heparan sulfate protein interactions». Org. Biomol. Chem., 15 (2017), p. 5656-5668; b) Weiss, r. J.; gordts, p l s m.; le, d.; xu, d.; esko, J. d.; tor, Y. «Small molecule antagonists of cell-surface heparan sulfate and heparin–protein interactions». Chem. Sci., 6 (2015), p. 5984-5993.
[25] a) noti, c.; seeberger, p h. «Chemical approaches to define the structure-activity relationship of heparin-like glycosaminoglycans». Chem. Biol., 12 (2005), p. 731-756; b) capila, i.; linhardt, r. J. «Heparin–protein interactions». Angew. Chem. Int. Ed., 41 (2002), p. 390-412; Angew. Chem., 114 (2002), p. 426-450.
[26] Jiménez-moreno, e.; gómez, a. m.; corzana, F.; Jiménez-osés, g.; bastida, a.; Jiménez-barbero, J.; asensio, J. l. «Modulating weak interactions for molecular recognition: A dynamic combinatorial analysis for assessing the contribution of electrostatics to the stability of CH–π bonds in water». Angew. Chem. Int. Ed., 54 (2015), p. 4344-4348; Angew. Chem., 127 (2015), p. 4418-4422.
[27] bazzicalupi, c.; bencini, a.; bianchi, a.; cecchi, m.; escuder, b.; Fusi, v.; garcía-españa, e.; giorgi, c.; luis, s v.; maccagni, g.; marcelino, v.; paoletti, p.; valtancoli, b. «Thermodynamics of phosphate and pyrophosphate anions binding by polyammonium receptors». J. Am. Chem. Soc., 121 (1999), p. 6807-6815.
[28] corredor, m.; carbaJo, d.; domingo, c.; pérez, Y.; buJons, J.; messeguer, a.; alFonso, i. «Dynamic covalent identification of an efficient heparin ligand». Angew. Chem. Int. Ed., 57 (2018), p. 11973-11977; Angew. Chem., 130 (2018), p. 12149-12153.
[29] ansell, J. e.; laulicht, b e.; bakhru, s h.; hoFFman, m.; steiner, s s.; costin, J. c. «Ciraparantag safely and completely reverses the anticoagulant effects of low molecular weight heparin». Thromb. Res., 146 (2016), p. 113-118.
[30] carbaJo, d.; pérez, Y.; gerra-rebollo, m.; prats, e.; buJons, J.; alFonso, i. «Dynamic combinatorial optimization of in vitro and in vivo heparin antidotes». J. Med. Chem., 65 (2022), p. 48654877.
[31] gandhi, n s.; mancera, r l. «Heparin/heparan sulphatebased drugs». Drug Discovery Today, 15 (2010), p. 1058-1069.
[32] abdelFadiel, e i.; gunta, r.; villuri, b k.; aFosah, d k.; sankaranaraYanan, n v.; desai, u r. «Designing smaller, synthetic, functional mimetics of sulfated glycosaminoglycans as allosteric modulators of coagulation factors». J. Med. Chem., 66 (2023), p. 4503-4531.
[33] veen, J. J. van; maclean, r. m.; hampton, k. k.; laidlaW, s.; kitchen, s.; toth, p.; makris, m. «Protamine reversal of low mo-
lecular weight heparin: Clinically effective». Blood Coagulation Fibrinolysis, 22 (2011), p. 556-570.
[34] bauer, k a.; haWkins, d. W.; peters, p c.; petitou, m.; herbert, J.-m.; boeckel, c. a. a. van; meuleman, d. g. «Fondaparinux, a synthetic pentasaccharide: The first in a new class of antithrombotic agents - The selective factor Xa inhibitors». Cardiovasc. Drug Rev., 20 (2002), p. 37-52.
[35] giangrande, P. L. F. «Fondaparinux (Arixtra): A new anticoagulant». Int. J. Clin. Pract., 56 (2002), p. 615-617.
[36] carbaJo, d.; pérez, Y.; castelo, g. F.; prats, e.; buJons, J.; alFonso, i. «Efficient small-molecule reversal agents for anticoagulant fondaparinux». ACS Pharmacol. Transl. Sci., 8 (2025), p. 1333-1346.


Daniel Carbajo és doctor per la Universitat de Barcelona, on va realitzar la tesi, centrada en l’estudi de l’estructura i les aplicacions biològiques de pèptids foldamèrics. Posteriorment, va realitzar una estada postdoctoral en el camp de la química supramolecular a l’Institut de Chémie et Biologie de Bordeus (França) (2013-2016), des d’on va marxar al Regne Unit, per estar un any a l’School of Life Sciences de la Universitat de Dundee (2017), desenvolupant sondes per a l’activitat parkinsoniana en cèl·lules vives. Finalment, el 2018 va tornar a Barcelona i es va incorporar al Grup de Química Supramolecular de l’Institut de Química Avançada de Catalunya (IQAC-CSIC), on ha estat fins ara. Actualment, treballa en l’ús de la química covalent dinàmica per a la identificació de lligands a glicosaminoglicans d’importància biològica.
Ignacio Alfonso es va formar inicialment com a químic orgànic a la Universitat d’Oviedo. Ha treballat en institucions de primer nivell a França (Universitat d’Estrasburg, 1997) i als EUA (The Scripps Research Institute, 2000-2002). Després de ser seleccionat per al contracte Ramón y Cajal el 2004 (Universitat Jaume I, Castelló), el 2007 va obtenir una posició permanent a l’Institut de Química Avançada de Catalunya (IQAC-CSIC) de Barcelona, on va crear el Grup de Química Supramolecular que ha dirigit des de llavors. Els seus interessos de recerca són la química supramolecular, la biologia química, els sistemes químics dinàmics complexos i en general tots els aspectes relacionats amb el reconeixement molecular d’espècies biorellevants.
Anàlisi de la correlació electrònica mitjançant funcions intraculars
Electronic correlation analysis using intracule functions
Markel Ylla,1, 2 Eloy Ramos-Cordoba3 i Eduard Matito2, 4
1 Universitat del País Basc. Departament de Polímers i Materials Avançats: Física, Química i Tecnologia
2 Donostia International Physics Center (DIPC)
3 Institut de Química Avançada de Catalunya (IQAC-CSIC). Departament de Química Biològica. Grup de Química Teòrica i Computacional
4 Ikerbasque, la Fundació Basca per a la Ciència
Resum: Aquest treball explora la correlació electrònica, un concepte fonamental en l’anàlisi de les aproximacions que s’empren en mecànica quàntica per fer simulacions de processos químics. La correlació electrònica afecta tots els observables físics, i entendre aquest concepte és cabdal per poder realitzar simulacions cada cop més realistes. Per tal d’estudiar la correlació electrònica presentem la densitat de parells, que conté informació explícita sobre la interacció entre dues partícules. La densitat de parells, però, té la complicació d’estar definida en un espai de vuit dimensions i la seva anàlisi directa esdevé molt feixuga tant de calcular com d’interpretar. Per aquesta raó, introduïm el concepte forat de McWeeny, que fixa la posició d’un electró, i el concepte funció intracular, que porta a la definició del forat de Coulson. Ambdós mètodes redueixen la dimensionalitat del problema i ofereixen un dibuix intuïtiu de la correlació electrònica, que analitzem en sistemes model. No obstant això, l’estudi s’acaba centrant en la descomposició del forat de Coulomb, que té l’avantatge de reduir a una les dimensions que cal estudiar i ofereix una relació directa amb un component de l’energia del sistema. Finalment, presentem un sistema model de la molècula d’hidrogen que el lector pot analitzar d’una manera exacta. Aquest marc conceptual permet aprofundir en la comprensió de la correlació electrònica i contribuir al desenvolupament de mètodes d’estructura electrònica que possibilitin fer simulacions més acurades. Paraules clau: Correlació electrònica, funcions intraculars, densitat de parells, química teòrica.
Abstract: This study explores electronic correlation, a fundamental concept for analyzing the approximations used in quantum mechanics to simulate chemical processes. Electronic correlation affects all physical observables, and understanding this concept is key to enabling increasingly realistic simulations. To study electronic correlation, we present the pair density, which contains explicit information about the interaction between two particles. However, the pair density is defined in an eightdimensional space, and its direct analysis is computationally demanding and difficult to interpret. For this reason, we introduce the concept of the McWeeny hole, which fixes the position of one electron, and the concept of the intracule function, which leads to the definition of the Coulson hole. Both methods reduce the dimensionality of the problem and offer an intuitive picture of electronic correlation, which we analyze in model systems. However, we ultimately focus the study on the decomposition of the Coulomb hole, which has the advantage of reducing the analysis to a single dimension and offers a direct connection to a component of the system’s energy. Lastly, we present a model system based on the hydrogen molecule that the reader can analyze exactly. This conceptual framework allows for a deeper understanding of electronic correlation and contributes to the development of electronic structure methods that enable more accurate simulations.
Keywords: Electronic correlation, intracule functions, pair density, theoretical chemistry.
Introducció
La química és una ciència purament empírica o fenomenològica, basada en l’observació i en la formulació de lleis que descriuen el comportament de la matèria. Tanmateix, les propietats i la reactivitat dels àtoms i de les molècules tenen l’origen en el comportament de les partícules que els formen, principalment, els electrons. Aquest com-
Correspondència: Markel Ylla
Donostia International Physics Center (DIPC)
Pg. Manuel Lardizabal, 4. 20018 Donostia / Sant Sebastià
Tel.: +34 943 018 527
A/e: markelgtx@gmail.com
portament es pot descriure en essència mitjançant la mecànica quàntica. En particular, la resolució de l’equació de Schrödinger electrònica independent del temps permet determinar l’estat quàntic dels electrons i proporciona una base teòrica per entendre com es distribueix la densitat electrònica, com es formen els enllaços i com interaccionen les molècules entre si. Aquesta equació es pot expressar de la manera següent:
HE , (1)
HTVVeNee és el hamiltonià electrònic; T , l’operador d’energia cinètica dels electrons; VeN , el potencial electró-nucli, i ee V , el potencial de repulsió entre electrons. Ψ és la funció
d’ona electrònica, i juntament amb E, l’energia del sistema, són la solució d’aquesta equació. Ψ conté tota la informació sobre els electrons del sistema. Aplicar el hamiltonià H sobre la funció d’ona ens proporciona l’energia total de l’estat del sistema electrònic que representa Ψ. Podem obtenir altres propietats, com, per exemple, el moment dipolar, aplicant l’operador que correspongui a l’observable que es vol mesurar.
Ara bé, aquesta equació només es pot resoldre exactament per a sistemes amb un nucli i un sol electró, com l’àtom d’hidrogen. Per a sistemes amb més d’un electró, la presència del terme ee V , que defineix el potencial de repulsió electróelectró, fa que l’equació esdevingui impossible de resoldre analíticament. És en aquest punt que la química teòrica recorre a mètodes aproximats per estimar la funció d’ona i l’energia del sistema. Algunes d’aquestes aproximacions, com el mètode de Hartree-Fock (HF) [1, 2] i els seus derivats (coneguts com a mètodes post-Hartree-Fock) o la teoria del funcional de la densitat (DFT, de l’anglès density functional theory) [3], han esdevingut fonamentals per fer càlculs pràctics sobre molècules i materials.
El mètode de HF és una de les aproximacions més bàsiques utilitzades en química quàntica. En aquest marc, la funció d’ona del sistema s’aproxima com un sol determinant de Slater, que és una combinació antisimètrica d’orbitals monoelectrònics ocupats per cadascun dels N electrons de la molècula. En concret, la solució de HF és aquella on s’ocupen els N espín-orbitals de més baixa energia. Aquesta forma assegura que es compleixi el principi d’exclusió de Pauli i que els electrons siguin indistingibles, però assumeix que els electrons es mouen en un camp mitjà efectiu generat pels altres electrons.
Aquesta descripció implica una limitació important: la repulsió electró-electró es tracta d’una manera incompleta. En particular, els electrons d’espín oposat no presenten correlació en aquesta aproximació —com veurem més endavant— i la correlació entre els electrons del mateix espín, encara que considera el principi d’exclusió de Pauli, tampoc no està completament descrita. Per tal d’obtenir aquests efectes de correlació i apropar-nos a una funció d’ona més exacta, es poden considerar combinacions lineals de múltiples determinants de Slater. Cada determinant representa una configuració electrònica alternativa —és a dir, una distribució concreta dels electrons en els M espín-orbitals disponibles, que venen determinats per la dimensió de la base que emprem per fer el càlcul.
Una funció d’ona correlacionada es pot expressar com:
on ϕn són els orbitals moleculars (o espín-orbitals) que defineixen la posició i l’espín de cada electró, D0 es dona explícitament i correspon al determinant HF que utilitza els orbitals
ϕ1 ϕN , Di són altres determinants construïts a partir d’orbitals moleculars excitats i (1,2,…,N) són les coordenades electròniques que representen cada electró en una posició r ≡ (x, y, z) i un espín ω ϵ (α, β) donats. Cada determinant és multiplicat per un factor que indica la importància de cada configuració electrònica a la funció d’ona total, i la suma del quadrat de tots els coeficients sempre ha de ser igual a la unitat, 2 1 i i c , per garantir la normalització de la funció d’ona. Si afegim totes les configuracions possibles, és a dir, si considerem totes les opcions de distribuir els N electrons en els M espín-orbitals disponibles, tindrem la funció d’ona exacta mitjançant una base de M espín-orbitals, també anomenada funció d’ona FCI (de l’anglès full configuration interactions). Quan el factor cO = 1, tots els altres coeficients són zero i, per tant, la funció d’ona és descrita per un sol determinant. El determinant aïllat que minimitza l’energia electrònica és la funció d’ona de HF.
La correlació electrònica engloba tots els efectes que l’aproximació de HF no és capaç de descriure. Més específicament, Löwdin va definir l’energia de correlació com la diferència entre l’energia obtinguda amb una funció d’ona exacta i una funció d’ona de HF [4]:
E corr = E exacta – EHF (3)
Aquesta diferència d’energia reflecteix l’efecte de les interaccions electró-electró que no són captades pel camp mitjà del mètode de HF. Analitzar la correlació electrònica i entendre com afecta l’addició de determinants de Slater a la funció d’ona no és una tasca senzilla. Les funcions d’ona són objectes altament complexos: per cada electró hi ha tres coordenades espacials i una d’espín, de manera que per a un sistema amb N electrons, com el formaldehid (amb quinze electrons), la funció d’ona viu en un espai de seixanta dimensions. Aquesta complexitat fa que comprendre i visualitzar la funció d’ona sigui una tasca altament complexa.
Segons la interpretació de Born [5], el quadrat de la funció d’ona representa la densitat de probabilitat conjunta de trobar els electrons a unes coordenades determinades. Si integrem les coordenades de N – 1 electrons, obtenim una funció de tan sols una coordenada electrònica (és a dir, tres d’espai i una d’espín), coneguda com a densitat electrònica, que s’expressa d’aquesta manera:
manera com es correlacionen les posicions dels electrons entre si. En conseqüència, és difícil obtenir informació directa sobre la correlació de parells d’electrons. Tot i això, alguns autors, com Cremer, han suggerit que certes característiques de la densitat electrònica poden estar associades amb la correlació electrònica [7], si bé la informació que se’n pot treure és relativament limitada.
El factor N normalitza adequadament la funció i ρ(1) és proporcional a la densitat de probabilitat d’electrons a la coordenada electrònica 1. Aquesta funció permet visualitzar com es distribueix la càrrega electrònica en una molècula i calcular propietats importants —com el nombre total d’electrons i la densitat d’espín— o propietats derivades —com el moment dipolar. Així, podem fer una certa connexió entre la funció d’ona i conceptes químics tradicionals [6]. Més enllà del seu interès teòric, la densitat electrònica és un observable físic i, per tant, es pot mesurar experimentalment, per exemple, mitjançant tècniques de difracció de raigs X. Això estableix un vincle directe entre la descripció quàntica i els resultats experimentals. Atès que la densitat es defineix en l’espai real, es pot representar mitjançant isosuperfícies. Per exemple, a la figura 1, representem la densitat de la molècula H2:

Figura 1. Representació mitjançant isosuperfícies de la densitat de la molècula H2, amb valors de 0,001, 0,005, 0,01, 0,05 i 0,1 bohr. El color verd clar correspon a les regions de densitat baixa i el color taronja indica valors alts. Elaboració pròpia.
Podem veure que la càrrega electrònica se centra als nuclis i que també hi ha càrrega al llarg de l’enllaç H–H.
Tanmateix, la densitat electrònica és una quantitat obtinguda a partir de la funció d’ona total que integra les coordenades de tots els electrons excepte un. Aquest procés redueix la informació disponible i elimina qualsevol detall explícit sobre la
Per accedir a una descripció més explícita de la interacció entre electrons, hem de considerar funcions que depenen de més d’una coordenada electrònica, com la densitat de parells. Aquesta funció deixa explícites dues coordenades electròniques abans d’integrar les N – 2 restants:
Aquesta expressió és proporcional a la densitat de probabilitat de trobar un electró a la coordenada 1 i un altre a la coordenada 2 simultàniament. El factor 1 2 NN correspon al nombre total de parells d’electrons possibles del sistema. Si la funció d’ona és de tipus Hartree-Fock, construïda a partir d’un sol determinant de Slater, la densitat de parells es pot escriure en termes de la densitat de primer ordre com: HF HFHF HF2 211,212|1;2|, (6)
on HF 1 1;2 és la matriu de densitat reduïda de primer ordre de la funció d’ona de HF. La matriu reduïda de primer ordre (1-rDM, de l’anglès first order reduced density matrix) de qualsevol funció d’ona és definida de la manera següent:
* 1 1;121,2,,1,2,,, NddNNN (7)
on hem fet servir coordenades diferents per a l’electró 1 de cada funció d’ona. Aquesta matriu reduïda de primer ordre és una funció d’un electró, tot i dependre de dues coordenades. Si igualem la coordenada 1 i la 1ʹ, obtindrem la densitat (equació 4).
L’equació 6 mostra dues contribucions: el producte de densitats, que correspon als electrons estadísticament independents, i la 1-rDM al quadrat, que exclou que dos electrons amb el mateix espín es trobin en la mateixa posició (pel principi d’exclusió de Pauli). Aquesta correlació entre electrons del mateix espín s’anomena correlació de Fermi o exchange.
La funció d’ona de HF representa prou bé la interacció entre electrons del mateix espín, però no captura la correlació electrònica associada a la repulsió de Coulomb, que és l’única que apareix entre electrons d’espín oposat i que també tenim entre electrons del mateix espín. Aquest fet es pot posar de manifest si separem la densitat de parells de HF mitjançant contribucions d’espín. Per exemple, per al mateix espín, obtenim
per als electrons amb espín α (i, anàlogament, per als electrons amb espín β), i
(9)
per als electrons amb espín contrari. Aquí, la probabilitat de trobar un parell d’electrons ve donada pel producte de densitats de cada electró per separat. Precisament, això representa la principal limitació de Hartree-Fock: els electrons d’espín contrari no presenten cap tipus de correlació i, per tant, la posició de l’un no afecta l’altre.
A partir de l’equació 6, podem construir la densitat de parells aproximada basada en un sol determinant (SD, de l’anglès single determinant):
SD 2 211,212|1;2|, (10)
on, en aquest cas, la densitat i la matriu de densitat reduïda de primer ordre no venen d’una funció d’ona de HF, sinó d’una funció d’ona correlacionada. D’aquesta manera introduïm part de la correlació electrònica no inclosa en l’equació 6. Amb aquesta nova definició, la densitat de parells totalment correlacionada, o exacta, es pot expressar de la manera següent:
II SD 222 1,21,21,2, c (11)
on II 2 1,2 c és el cumulant, que encapsula els efectes de correlació electrònica que no es poden expressar ni com a productes de densitats ni com a correccions d’un sol determinant.
Per tal d’analitzar la correlació electrònica d’una forma més intuïtiva, sovint es defineix la funció de correlació de parells, que mesura com es modifica la densitat de parells quan afegim correlació a la funció d’ona de HF. Es defineix com la diferència entre la densitat de parells exacta i la de HF:
HF 2221,21,21,2. c
(12)
Aquesta funció pot mostrar regions de valor negatiu —zones on disminueix la probabilitat de trobar els electrons a 1 i 2, respectivament— o de valor positiu —zones on la correlació augmenta aquesta probabilitat. Així, es pot veure com la funció de correlació reflecteix l’efecte de repulsió electrònica que HF ignora parcialment.
Considerant les equacions 11 i 12, podem escriure la funció de correlació de parells com:
D’aquesta manera es veuen els dos components de la correlació electrònica; per un costat, la que afegim amb una descripció exacta de la 1-rDM, i, per l’altre, amb el cumulant, que té en compte la resta de la correlació.
Per visualitzar la diferència entre una densitat de parells correlacionada i la densitat de parells de HF, a la figura 2 es mostren els valors de les densitats de parells de HF i FCI a l’eix de l’enllaç de la molècula H2, quan fixem el primer electró a l’àtom H i movem el segon electró a l’eix de l’enllaç.

Figura 2. Densitats de parells de HF i FCI per a la molècula d’hidrogen en l’estat fonamental a la distància d’equilibri, utilitzant la base STO-3G. La coordenada electrònica 1 es manté fixa sobre l’àtom H, mentre que la coordenada 2 es desplaça al llarg de l’eix de l’enllaç, des de -3 bohr a 4 bohr (travessant els àtoms H i Hʹ). Elaboració pròpia.
Com que en el H2 només hi ha dos electrons amb espín contrari, la densitat de parells de HF no els correlaciona. Per això es veu com la corba taronja distribueix simètricament la pro-
babilitat del segon electró (sense que afecti la posició de l’electró de referència). En canvi, la funció exacta mostra una deslocalització asimètrica: el segon electró evita la regió del primer nucli on hi ha l’electró de referència i prefereix estar en la zona de Hʹ —un clar efecte de com la correlació electrònica corregeix el dibuix donat per la funció d’ona de HF.
Forats de correlació de McWeeny
La idea de com un electró de referència afecta la posició de l’altre electró es pot expressar intuïtivament amb una sola funció, utilitzant els forats de correlació de McWeeny [8]:
on es fixa un electró a la coordenada 1. El terme ρ2(1,2)/ρ(1) correspon a la densitat condicional, és a dir, la probabilitat de trobar un segon electró a la posició 2, atès que ja n’hi ha un a la posició 1. En restar-hi la densitat independent ρ(2), s’obté la desviació respecte al comportament no correlacionat. Aquesta funció, coneguda com a forat de bescanvi-correlació, mesura com la presència d’un electró redistribueix la densitat dels altres al seu voltant, a causa tant del principi de Pauli com de la repulsió electroestàtica.
La funció h xc(1;2) sovint pren valors negatius o nuls: la presència d’un electró redueix la probabilitat de trobar-ne un altre a prop. Quan h xc(1;2) = 0, això indica que la presència de l’electró de referència no modifica la distribució dels altres electrons i, per tant, no hi ha correlació entre els parells per a aquesta configuració espacial.
Per descompondre aquest forat, considerem la forma general de la densitat de parells (equació 11) i la definició de la densitat de parells SD (equació 10):
quan li restem ρ(2). Els altres dos es poden identificar com les contribucions de bescanvi i de correlació:
i, substituint l’expressió en el forat (equació 14), obtenim:
El primer terme, amb el producte de densitats, correspon als parells d’electrons no correlacionats, de manera que s’anul·la
Així, el forat de bescanvi h x(1;2) s’origina per l’antisimetria de la funció d’ona i afecta només els electrons amb el mateix espín, mentre que el forat de correlació h c(1;2) afecta també els d’espín oposat.
En el cas de la molècula d’hidrogen, amb dos electrons d’espins oposats, per a HF no existeix forat de bescanvi (no hi ha dos electrons del mateix espín) i el cumulant és zero (ja que hi ha un sol determinant). Per tant,
HF HF 1;21;20, xc c hh (18)
la qual cosa indica que HF considera que la posició de l’electró 1 no afecta la posició de l’electró 2.
En canvi, en una descripció correlacionada, com la que obtindríem amb una funció d’ona FCI, la densitat de parells conté una contribució del cumulant, II 2 1,20 c . Per tant, el forat de correlació és diferent de zero. En aquest cas, el forat de bescanvi-correlació només té el component de correlació. A la figura 3 es mostra aquest forat per al H2 en la geometria d’equilibri:

Figura 3. Forat de McWeeny per a la molècula d’hidrogen en l’estat fonamental a la distància d’equilibri obtingut mitjançant el mètode FCI, utilitzant la base STO-3G. La coordenada electrònica 1 es manté fixa sobre l’àtom H, mentre que la coordenada 2 es desplaça al llarg de l’eix de l’enllaç, des de -3 bohr a 4 bohr (passant pels àtoms H i Hʹ). Elaboració pròpia.
La interpretació d’aquest forat és clara: el valor mínim al voltant de l’àtom H ens indica que la probabilitat de trobar el segon electró en aquesta posició és molt baixa mentre el primer electró és allà. A mesura que ens allunyem de l’electró de referència, la probabilitat de trobar el segon electró augmenta. Quan ens allunyem a distàncies grans respecte al primer electró, aquest ja no afecta el segon electró i el valor del forat és zero.
Així doncs, les figures 2 i 3 estan directament relacionades. La funció de McWeeny s’associa a la diferència entre la corba FCI i la HF representades a la figura 2, normalitzada respecte a la densitat ρ(1); és a dir, per a sistemes com el H2 que no presenten bescanvi,
Aquest fet motiva la introducció de la funció intracular, una eina que permet estudiar la distribució dels parells d’electrons en funció de la seva separació, independentment de quina en sigui la posició absoluta o l’orientació. El concepte funció intracular va ser introduït per Coulson i Neilson [9] i, més endavant, formalitzat per Coleman [10], que va destacar-ne la rellevància per descriure la funció d’ona i la correlació electrònica mitjançant una projecció més manejable de la densitat de parells. Des d’aleshores, ha estat aplicada i refinada per diversos autors —com Smith, Cioslowski, Boyd, Ugalde i col·laboradors [11-21]—, especialment, per comparar densitats de parells correlacionades amb referències de HF. La idea bàsica és reduir la densitat de parells, p2(1,2) ≡ p2(r 1,r2,ω1,ω2), que depèn de vuit variables (tres coordenades espacials i una d’espín per electró), a una funció de la distància entre electrons.
Aquest procés s’inicia definint la funció intracular vectorial:
on a la figura 2 la corba taronja està relacionada amb el terme ρ(2) i la blava, amb el terme ρ2 FCI (1,2)/ρ(1). Això permet una interpretació clara del forat com la diferència entre una descripció que incorpora la correlació electrònica i una que no ho fa.
Forats de correlació de Coulson i funcions intraculars
Tot i la utilitat conceptual del forat de correlació de McWeeny, cal tenir en compte que aquest parteix de la premissa que un electró es troba en una posició fixa. Això presenta una limitació important, ja que tenim moltes opcions per escollir la posició d’aquest electró de referència i, per cada una, la forma del forat serà diferent. A més, aquest enfocament no està directament connectat amb propietats globals del sistema, com ara l’energia de repulsió electró-electró V ee , que és un dels components de l’energia més afectats per la correlació electrònica. Aquesta energia es pot expressar en termes de la densitat de parells com:
on r12 = r 1 – r2 és el vector de separació entre dos electrons. Aquesta funció compatibilitza els parells d’electrons que es troben separats pel vector s, independentment de la seva ubicació a l’espai molecular.
Per exemple, al dímer d’heli (figura 4), la intracular vectorial presenta tres màxims (figura 5). El central correspon als parells d’electrons dins d’un mateix àtom —per tant, als dos parells d’electrons: Heα -Heβ i Heʹ α -Heʹ β. Els dos màxims simètrics als extrems s’associen als parells que es formen entre electrons de diferents àtoms; en aquest cas, quatre: Heα -Heʹ α, He α -Heʹ β, Heβ-Heʹ α i Heβ-Heʹ β. La simetria I(s) = I(–s) garanteix la igualtat d’aquests màxims.

la qual cosa posa de manifest que la repulsió electró-electró depèn només de la separació entre electrons.
Figura 4. Representació esquemàtica del dímer d’heli en l’espai real, amb els parells d’electrons possibles: en verd, els intraatòmics, i en blau, els interatòmics. Elaboració pròpia.

5. Funció intracular vectorial per al dímer He2. Els màxims (amb color vermell fosc) indiquen les separacions més probables entre parells d’electrons, mentre que el verd clar reflecteix una densitat de parells baixa. Elaboració pròpia.
Tot i la seva riquesa informativa, la intracular vectorial és difícil d’interpretar en sistemes grans. Per això, se sol reduir a la funció intracular radial, que només depèn de la magnitud s = |s|. Aquesta funció es defineix integrant totes les orientacions angulars:
densitat de parells exacta o FCI (ρ2FCI). Aquesta representació permet comparar de forma visual com ρ2 HF i ρ2 FCI distribueixen els parells d’electrons, si bé les diferències són tan petites que costa de veure-les.

6. Funció intracular radial per al dímer He2 representada en l’espai interelectrònic, obtinguda a partir de la densitat de parells exacta i de la de HF. Elaboració pròpia.
on s ≡ (s, θ, ϕ) es representa en coordenades esfèriques.
La funció intracular radial, I (s), mostra la densitat de parells d’electrons a una separació s, independentment de l’orientació. Aquesta funció és especialment rellevant perquè permet expressar l’energia de repulsió electró-electró com:
0 , ee Is Vds s (23)
fet que destaca la relació directa entre I (s) i les propietats energètiques globals.
S’han proposat mètodes eficients per al càlcul directe de la funció intracular, com el de Cioslowski i Liu [22], o l’esquema PRISM, desenvolupat per Peter Gill [23]. En aquest treball s’ha fet servir l’algoritme de Cioslowski i Liu per dur a terme la figura 6, on es representa la intracular per al dímer d’heli. El primer pic de la intracular a distàncies curtes correspon als parells intraatòmics, i el segon, a distàncies més llargues, reflecteix els parells interatòmics (vegeu la figura 6). El segon pic és més alt perquè correspon als quatre parells d’electrons que es formen entre els àtoms. Si integrem tota la intracular, tindrem el nombre total de parells d’electrons del sistema; en aquest cas, 6. A la figura hem representat la intracular que prové de la densitat de parells de HF (ρ2HF) i la intracular de la
A partir d’aquesta funció, s’han desenvolupat propostes com la teoria funcional intracular (IFT, de l’anglès intracule functional theory), de Peter Gill [24, 25], que planteja construir mètodes d’estructura electrònica a partir de I (s), anàlegs a la DFT, però centrats a reconstruir l’energia com un funcional de la intracular de la densitat de parells. Malgrat el seu interès conceptual, la IFT té limitacions pràctiques, principalment, pel que fa a la inversió del funcional i a la seva universalitat.
Partint de les intraculars de les diferents densitats de parells, podem definir el forat de correlació de Coulson, una eina per analitzar l’efecte de la correlació electrònica en la distribució dels parells d’electrons. Aquest forat s’obté com la diferència entre la funció intracular radial exacta i la corresponent a HF:
A diferència de la figura 6, aquest forat mostra clarament com la correlació redistribueix la densitat de parells: redueix la probabilitat de trobar electrons a distàncies curtes (on HF tendeix a sobreestimar la coincidència d’electrons) i la compensa lleugerament a distàncies intermèdies. Per al dímer de He2, obtenim la figura 7:

7. Forat de correlació de Coulson per al dímer He2 (línia contínua) i forat ponderat amb 1/s (línia discontínua). Elaboració pròpia.
Aquesta representació, unidimensional i intuïtiva, encapsula l’efecte complex de la correlació electrònica. A més, té una importància energètica directa: si s’integra el forat ponderat amb 1/s (vegeu la línia discontínua de la figura 7), s’obté l’energia de correlació electrònica:
0 c c hs Eds s (25)
Aquesta integral reforça el paper fonamental de les distàncies interelectròniques curtes en la contribució a l’energia de correlació. Com es veu a la figura 7, les corbes ponderades posen en relleu que les regions properes a s = 0 predominen en la contribució energètica. Tot i que la integral de h c(s) és nul·la (ja que el forat només redistribueix la densitat de parells, sense crear ni eliminar parells), la integral de h c(s)/s és negativa. Això reflecteix un resultat fonamental: la correlació electrònica disminueix l’energia total del sistema, ja que evita la coincidència d’electrons a distàncies curtes, on la repulsió és màxima.
En contrast amb l’enfocament de McWeeny, el forat de Coulson no requereix fixar cap electró i proporciona una descripció més global, energèticament significativa i físicament intuïtiva de la correlació electrònica.
Separació del forat de Coulson
En els darrers anys, el nostre grup ha aprofundit en l’anàlisi de la funció intracular com una eina per caracteritzar la correlació electrònica en les seves diverses formes. Basant-nos en l’equació 13, on separem la densitat de parells de correlació
en els components ρ2 cI(1,2) i ρ2 cII(1,2), hem estudiat les seves intraculars, analitzant-ne les contribucions al forat de Coulson. Hem aplicat aquesta anàlisi a diferents sistemes —com l’àtom d’heli, de liti i de beril·li— i també a molècules diatòmiques —com l’hidrogen i el dímer d’heli— a distàncies interatòmiques diferents [26-29], cosa que ens ha permès estudiar règims de correlació diversos. D’aquesta manera hem pogut separar la correlació electrònica segons la distància interelectrònica i analitzar la contribució de la correlació dinàmica i la no dinàmica a cada una de les separacions.
Segons el que hem pogut observar, ρ2 cI(1,2) —que, per simplificar la notació, a partir d’ara anomenarem cI— representa principalment la correlació no dinàmica a distàncies interelectròniques llargues, fet que reflecteix diferències entre la densitat exacta i la HF, típicament importants en sistemes amb múltiples configuracions electròniques significatives, també coneguts com a sistemes multireferencials. Aquests casos apareixen quan tenim orbitals degenerats o molt propers en energia, com, per exemple, en molècules dissociades i radicals. En aquests casos, hi ha diferents configuracions electròniques que contribueixen d’una manera important a la funció d’ona total, la qual cosa es tradueix en una diferència més gran entre la densitat exacta i la densitat HF. Això fa que cI, que es correspon amb la diferència entre una matriu reduïda de primer ordre exacta i de HF, adopti valors grans.
El cumulant, ρ2 cII(1,2) —que, a partir d’ara, anomenarem cII—, descriu la correlació electrònica que hi incloem quan explícitament afegim més d’un determinant de Slater a la funció de parells, i representa la part dinàmica de la correlació (que apareix a tots els sistemes amb més d’un electró i s’associa amb les interaccions instantànies entre càrregues negatives que es repel·leixen entre si), encara que també conté bona part de la correlació no dinàmica a distàncies curtes, la part més significativa energèticament.
Càlcul analític de la molècula d’hidrogen
Per entendre millor com funcionen el forat de Coulson i els seus components cI i cII, hem estudiat un sistema simple (la molècula de H2) amb una base petita que permet fer els càlculs analíticament i obtenir expressions explícites per a les intraculars i el forat de Coulomb en funció de la distància interatòmica i del coeficient c0 (que defineix el pes del determi-
nant de HF). La funció d’ona FCI d’aquest sistema ve donada per l’equació següent:
Els detalls sobre la construcció d’aquestes funcions es presenten a l’apèndix. Estudiant la molècula de H2 amb diferents valors de c0 i de la distància interatòmica, podem analitzar diversos règims de correlació i observar com varien el forat i els seus components.
Comencem amb la molècula en la seva geometria d’equilibri. Si optimitzem la funció d’ona exacta, composta per dos determinants de Slater multiplicats pels coeficients c0 i 2 10 1 cc (imposant la normalització 2 1 i i c ), el valor òptim que minimitza l’energia és c0 = 0,9943 [30]. Si representem les intraculars i els forats de Coulson amb aquests valors, obtenim el següent (figura 8):


La figura 8 mostra que la distribució dels parells d’electrons és molt similar per a les tres densitats de parells. Tal com s’esperava, la funció d’ona de HF concentra els electrons a distàncies més curtes, mentre que la inclusió del segon determinant separa lleugerament els electrons. La densitat de parells aproximada amb l’equació 10 reprodueix la intracular de HF a distàncies curtes, però s’ajusta millor a la funció exacta a distàncies més llargues.
De l’anàlisi del forat de Coulson i els seus components (gràfica inferior de la figura 8), s’observa que la contribució més important al forat total correspon al terme cII (el cumulant), mentre que cI contribueix principalment augmentant la densitat de parells a distàncies llargues.
Si reduïm el valor de c0, augmentem el pes del determinant on els dos electrons es troben excitats, transferint càrrega electrònica cap a aquesta segona configuració. La figura 9 mostra els resultats per a c0 = 0,707, que assigna el mateix pes als determinants de l’estat fonamental i de l’estat excitat:


A les intraculars, observem que les tres funcions canvien significativament. La intracular de HF es manté exactament igual que en la figura anterior, mentre que la de FCI distribueix els parells d’electrons a distàncies més grans. La intracular SD, com abans, s’ajusta a HF a distàncies curtes i a FCI a distàncies llargues.
Pel que fa als forats, ara la contribució de cI esdevé més rellevant en comparació amb el cas anterior. El component cII continua dominant a distàncies curtes (reduint la densitat de parells), mentre que cI redistribueix aquesta densitat cap a distàncies llargues.
Analitzem ara el cas dissociat, amb una separació de 4 bohr entre els dos àtoms (figura 10). En aquest cas, el coeficient que minimitza l’energia de la funció d’ona exacta és també c0 = 0,707.


Amb això es posa de manifest una de les principals limitacions de HF: la incapacitat per separar correctament els parells
d’electrons. Com que només disposa d’un determinant, HF no té flexibilitat per evitar que els dos electrons es concentrin en el mateix àtom, i apareix un primer pic a distàncies curtes (gràfica superior de la figura 10). Tanmateix, en la dissociació, cada àtom hauria de quedar-se amb un sol electró i, per tant, la funció exacta només mostra un pic a la distància interatòmica. Per a c0 = 0,707, la funció d’ona reparteix el pes entre l’estat fonamental i l’excitat, de manera que permet la transferència de càrrega i facilita la separació dels parells, fet que dona com a resultat l’eliminació del pic curt de la intracular de HF a distàncies petites.
La intracular SD, igual que HF, presenta un primer pic a distàncies curtes, però també reprodueix el pic de FCI a distàncies llargues. Aquest comportament es reflecteix clarament en els components del forat: cI domina a distàncies llargues, mentre que cII corregeix l’excés de densitat a distàncies curtes (vegeu la gràfica inferior de la figura 10).
Si relacionem cI i cII amb els tipus de correlació, podem dir que cI és sensible a la correlació no dinàmica (i pot emprar-se com a indicador d’aquesta [31]), ja que apareix en situacions amb degeneració o quasi degeneració. En canvi, cII conté components tant de correlació dinàmica com de correlació no dinàmica: representa l’efecte de la correlació no dinàmica a distàncies curtes i, com hem vist en el cas del H2 en equilibri, inclou la correlació dinàmica deguda a la repulsió electró-electró [26, 28].
Conclusions i perspectiva de futur
La funció intracular de densitat de parells ens proporciona una eina fonamental per comprendre i quantificar la correlació electrònica en sistemes químics, ja que descriu la probabilitat de trobar dos electrons separats per una certa distància, fet que ofereix una descripció més explícita de les interaccions electròniques que la densitat electrònica convencional.
Aquesta funció està relacionada amb indicadors de correlació electrònica que permeten quantificar tant la correlació dinàmica com la no dinàmica en sistemes moleculars. Entre aquests, destaquen els indicadors Ind i Ind màx proposats pel nostre grup [31-34].
Més enllà de la seva utilitat com a eina d’anàlisi, la funció intracular té una importància estratègica en el desenvolupa-
ment de nous mètodes computacionals, especialment, dins la teoria del funcional de la densitat (DFT, de l’anglès density functional theory). La funció de densitat de parells electrònics està connectada formalment amb l’energia de bescanvicorrelació de DFT, a través del formalisme de la integració sobre el paràmetre d’acoblament adiabàtic (ACFDT, de l’anglès adiabatic-connection fluctuation-dissipation theorem). Una modelització precisa de la funció intracular en diferents règims de separació electrònica —tant per a distàncies curtes com llargues— pot permetre el disseny de nous funcionals de bescanvi-correlació més robustos i universals, capaços de descriure sistemes en els quals predomina la correlació no dinàmica, però també sistemes en què principalment hi ha una correlació dinàmica.
Actualment, un dels grans reptes en DFT és la falta de funcionals generalistes que descriguin d’una manera precisa sistemes de naturalesa electrònica diversa. L’estudi acurat de la funció intracular s’identifica com una via prometedora per superar aquestes limitacions, que pot contribuir a la creació de nous funcionals híbrids, de separació de rang o explícitament dependents de dues partícules. Aquesta línia d’investigació és especialment rellevant per al desenvolupament de la química computacional i de la física de materials complexos.
En resum, el futur de l’estudi de la funció intracular es presenta molt prometedor, tant per aprofundir en la nostra comprensió fonamental de la correlació electrònica com per millorar els mètodes de càlcul que fem servir diàriament. La seva anàlisi ens permet no només entendre millor els mecanismes d’interacció electrònica, sinó també avançar cap a una química computacional més precisa, predictiva i universal.
Apèndix
A continuació, es descriu el procediment per obtenir les funcions d’ona analítiques de la molècula d’hidrogen segons els mètodes HF, FCI i l’aproximació de la funció d’ona amb un sol determinant (SD). També es deriven les intraculars corresponents a aquestes funcions d’ona, així com els components del forat de Coulomb de manera analítica, els quals es representen a les figures 8, 9 i 10 de l’article. Comencem estudiant les funcions intraculars de la molècula d’hidrogen a distàncies interatòmiques diferents. Per cada àtom d’hidrogen, a les posicions RA i RB, respectivament, centrem un orbital atòmic de
tipus s (solució d’un electró de l’equació de Schrödinger) aproximat amb una funció gaussiana de la forma:
on NSA i NSB són els factors de normalització, r és el vector amb les coordenades (x, y, z) de l’espai i RA és la posició de l’àtom A. Aquesta base de només dos orbitals atòmics és tan petita que es considera la base mínima per a un sistema de dos electrons, i, tanmateix, és prou adequada per a una descripció qualitativa de la dissociació de la molècula de H2 [30].
El següent pas és construir els orbitals moleculars per a aquest sistema. En aquest cas en què només hi ha dos orbitals atòmics, podem construir dos orbitals moleculars:
on SAB és la superposició entre els orbitals atòmics SA i SB .
Aquests orbitals moleculars només descriuen la posició de l’electró, i no l’espín. Per això, a partir d’aquests dos orbitals moleculars construïm els espín-orbitals, que descriuen la posició i l’espín de cada electró:
Per exemple, l’espín-orbital ϕg(1) representa l’electró 1 amb espín α a l’orbital molecular enllaçant.
Un cop definits els orbitals moleculars, podem escriure les diferents funcions d’ona que representen el sistema. Per representar la funció d’ona HF (la funció aproximada més simple
per a un sistema fermiònic) d’un sistema de dos electrons d’espín diferent, només ens cal l’orbital molecular enllaçant, on posem un electró amb espín alfa i l’altre, amb beta:
Referències
[1] hartree, D. R. «The wave mechanics of an atom with a non-Coulomb central field. Part I. Theory and methods». Math. Proc. Cambridge Philos. Soc. [en línia], 24 (1928), p. 89-110. <https://doi.org/10.1017/S0305004100011919>.
Ara construïm la funció d’ona exacta per a la nostra base afegint el determinant de Slater, que representa la configuració on tenim els dos electrons en l’orbital antienllaçant (ϕu). Hi ha més configuracions electròniques possibles tenint un electró a l’orbital enllaçant i l’altre a l’antienllaçant (les excitacions monoelectròniques), però no es barregen a la funció d’ona exacta degut a la simetria dels orbitals:
[2] Fock, V. «Näherungsmethode zur Lösung des quantenmechanischen Mehrkörperproblems». Z. Phys. [en línia], 61 (1930), p. 126-148. <https://doi.org/10.1007/BF01340294>.
[3] Jones, R. O. «Density functional theory: Its origins, rise to prominence, and future». Rev. Mod. Phys. [en línia], 87 (2015), p. 897-923. <https://doi.org/10.1103/RevModPhys.87.897>.
[4] löWdin, P.-O. «Quantum theory of many-particle systems.
III. Extension of the Hartree-Fock scheme to include degenerate systems and correlation effects». Phys. Rev. [en línia], 97 (1955), p. 1509-1520. <https://doi.org/10.1103/PhysRev.97.1509>.
[5] born, M. «Zur Quantenmechanik der Stoßvorgänge». Z. Phys. [en línia], 37 (1926), p. 863-867. <https://doi.org/ 10.1007/BF01397477>.
Per a les densitats de parells, només hem de multiplicar les dues funcions d’ona al quadrat. En aquest cas, no ens cal fer la integral de cap coordenada ja que només tenim dos electrons.
HF HF2 2 1,2|1,2| (A11) FCI FCI2 2 1,2|1,2|. (A12)
Finalment, podem calcular la funció de parells aproximada amb la densitat exacta:
SD 2 211,212|1;2|. (A13)
Ara podem calcular la funció intracular de cada densitat de parells integrant les coordenades 1 i 2 amb la delta de Dirac, que fixa 1 i 2 a la mateixa distància:
HF HF 2 12 12 1,2 Isddrs (A14)
SD SD 2 12 12 1,2 Isddrs
FCI FCI 2 12 12 1,2, Isddrs
(A15)
(A16)
on, en aquest cas, integrant d1 i d2 hi incloem la integral sobre l’espín i també la integral angular, passant directament de la densitat de parells a la funció intracular radial.
[6] matito, e.; solà, m.; salvador, p.; duran, m. «Electron sharing indexes at the correlated level. Application to aromaticity calculations». Faraday Discuss. [en línia], 158 (2007), p. 325345. <https://doi.org/10.1039/B605086G>.
[7] cremer, D. «Density functional theory: Coverage of dynamic and non-dynamic electron correlation effects». Mol. Phys. [en línia], 99 (2001), p. 1899-1940. <https://doi.org/10.1080/ 00268970110083564>.
[8] mcWeenY, R. «Some recent advances in density matrix theory». Rev. Mod. Phys. [en línia], 32 (1960), p. 335-369. <https://doi.org/10.1103/RevModPhys.32.335>.
[9] coulson, c a.; neilson, a h. «Electron correlation in the ground state of helium». Proc. Phys. Soc. [en línia], 78 (1961), p. 831. <https://doi.org/10.1088/0370-1328/78/5/328>.
[10] coleman, A. J. «Density matrices in the quantum theory of matter: Energy, intracules and extracules». Int. J. Quantum Chem. [en línia], 1 (1967), p. 457-464. <https://doi.org/ 10.1002/qua.560010650>.
[11] boYd, r. J.; coulson, c a. «The fourfold way in quantum chemistry». J. Phys. B: At. Mol. Phys. [en línia], 6 (1973), p. 782-793. <https://doi.org/10.1088/0022-3700/6/5/012>.
[12] benesch, r.; smith, v. h. «Radial electron–electron distributions and the Coulomb hole for Be». J. Chem. Phys. [en línia], 55 (1971), p. 482-488. <https://doi.org/10.1063/1.1675777>.
[13] boYd, r. J.; Yee, m. c. «Angular aspects of electron correlation and the Coulomb hole». J. Chem. Phys. [en línia], 77 (1982), p. 3578-3590. <https://doi.org/10.1063/1.444259>.
[14] boYd, r. J.; sarasola, c.; ugalde, J. m. «Intracule densities and electron correlation in the hydrogen molecule». J. Phys. B: At. Mol. Opt. Phys. [en línia], 21 (1988), p. 2555-2561. <https://doi.org/10.1088/0953-4075/21/14/008>.
[15] ciosloWski, J.; steFanov, b.; tang, a.; umrigar, c. J. «Electron intracule densities with correct electron coalescence cusps from Hiller–Sucher–Feinberg–type identities». J. Chem. Phys. [en línia], 103 (1995), p. 6093-6097. <https://doi.org/ 10.1063/1.470437>.
[16] dominguez, l.; aguado, m.; sarasola, c.; ugalde, J. m. «Analysis of the electron pair density for the ground state of carbon dioxide». J. Phys. B: At. Mol. Opt. Phys. [en línia], 25 (1992), p. 1137-1144. <https://doi.org/10.1088/0953-4075/25/6/005>.
[17] valderrama, e.; mercero, J. m.; ugalde, J. m. «The separation of the dynamical and non-dynamical electron correlation effects». J. Phys. B: At. Mol. Opt. Phys. [en línia], 34 (2001), p. 275-283. <https://doi.org/10.1088/0953-4075/34/3/306>.
[18] gill, p m. W.; crittenden, d l.; o’neill, d p.; besleY, n a «A family of intracules, a conjecture and the electron correlation problem». Phys. Chem. Chem. Phys. [en línia], 8 (2006), p. 15-25. <https://doi.org/10.1039/b511472a>.
[19] thakkar, a. J.; tripathi, a n.; smith, v h. «Anisotropic electronic intracule densities for diatomics». Int. J. Quantum Chem. [en línia], 26 (1984), p. 157-166. <https://doi.org/ 10.1002/qua.560260204>.
[20] valderrama, e.; ugalde, J. m.; boYd, r. J. «Intracules and extracules in solids». A: ciosloWski, J. (ed.). Many-electron densities and reduced density matrices. Nova York: Kluwer Academic; Plenum Publishers, 2000, p. 231-248.
[21] thakkar, a. J. «Intracules, extracules and all that». A: erdahl, r. m.; smith, v. h., Jr. (ed.). Density matrices and density functionals. Dordrecht: Reidel, 1987, p. 553-581.
[22] ciosloWski, J.; liu, g. «Fast evaluation of electron intracule and extracule densities on large grids of points». J. Chem. Phys. [en línia], 105 (1996), p. 4151-4158. <https://doi.org/ 10.1063/1.472285>.
[23] lee, a.; gill, p. «Computation of Coulomb and exchange radial intracule densities». Chem. Phys. Lett. [en línia], 313 (1999), p. 271-278. <https://doi.org/10.1016/S00092614(99)00935-5>.
[24] gill, p m. W. «Intracule functional models». Annu. Rep. Prog. Chem., Sect. C (Phys. Chem.) [en línia], 107 (2011), p. 229-245. <https://doi.org/10.1039/C1PC90008K>.
[25] crittenden, d l.; dumont, e e.; gill, p m. W. «Intracule functional models. II. Analytically integrable kernels». J. Chem. Phys. [en línia], 127 (2007), art. 141103, p. 1-5. <https://doi. org/10.1063/1.2795694>.
[26] via-nadal, m.; rodríguez-maYorga, m.; ramos-cordoba, e.; matito, e. «Singling out dynamic and nondynamic correlation». J. Phys. Chem. Lett. [en línia], 10 (2019), p. 4032-4037. <https://doi.org/10.1021/acs.jpclett.9b01376>.
[27] rodríguez-maYorga, m.; ramos-cordoba, e.; lópez, x.; solà, m.; ugalde, J. m.; matito, e. «The Coulomb hole of the Ne atom». ChemistryOpen [en línia], 8 (2019), p. 411-417. <https://doi.org/10.1002/open.201800235>.
[28] via-nadal, m.; rodríguez-maYorga, m.; ramos-cordoba, e.; matito, e. «Natural range separation of the Coulomb hole». J. Chem Phys. [en línia], 156 (2022), art. 184106, p. 1-14. <https://doi.org/10.1063/5.0085284>.
[29] via-nadal, m.; rodríguez-maYorga, m.; ramos-cordoba, e.; matito. «Sallent signature of Van der Waals interactions». Phys. Rev. A [en línia], 96 (2017), art. 050501, p. 1-3. <https://doi.org/10.1103/PhysRevA.96.050501>.
[30] matito, e.; duran, m.; solà, m a. «Novel exploration of the Hartree–Fock homolytic bond dissociation problem in the hydrogen molecule by means of electron localization measures». J. Chem. Educ. [en línia], 83 (8) (2006), p. 1243-1248. <https://doi.org/10.1021/ed083p1243>.
[31] ramos-cordoba, e.; salvador, p.; matito, e. «Separation of dynamic and nondynamic correlation». Phys. Chem. Chem. Phys. [en línia], 18 (2016), p. 24015-24023. <https://doi.org/ 10.1039/C6CP03072F>.
[32] ramos-cordoba, e.; matito, e. «Local descriptors of dynamic and nondynamic correlation». J. Chem. Theory Comput. [en línia], 13 (2017), p. 2705-2711. <https://doi.org/10.1021/ acs.jctc.7b00293>.
[33] xu, x.; soriano-agueda, l.; lópez, x.; ramos-cordoba, e.; matito, e. «All-purpose measure of electron correlation for multireference diagnostics». J. Chem. Theory Comput. [en línia], 20 (2024), p. 721-727. <https://doi.org/10.1021/acs.jctc. 3c01073>.
[34] xu, x.; soriano-agueda, l.; lópez, x.; ramos-cordoba, e.; matito. «How many distinct and reliable multireference diagnostics are there?». J. Chem. Phys. [en línia], 162 (12) (2025), art. 124102. <https://doi.org/10.1063/5.0250636>.



Markel Ylla és graduat en química i màster en química teòrica i modelització computacional per la Universitat del País Basc (UPV/EHU). Actualment és estudiant de doctorat al Donostia International Physics Center (DIPC), dins del programa de química teòrica de la UPV/EHU, sota la supervisió dels doctors Eduard Matito i Eloy Ramos-Cordoba. La seva recerca se centra en l’estudi de la correlació electrònica en mètodes teòrics aplicats a la química quàntica, amb una atenció especial als diagnòstics de multireferència i al disseny de nous indicadors de correlació electrònica.
Eloy Ramos-Cordoba és científic titular a l’Institut de Química Avançada de Catalunya (IQAC-CSIC), on investiga sobre química teòrica i computacional. Es va doctorar a la Universitat de Girona (UdG) i va dur a terme un postdoctorat al Donostia International Physics Center (DIPC). Posteriorment, va realitzar un segon postdoctorat a la Universitat de Califòrnia, Berkeley (EUA), com a beneficiari del programa «Marie Skłodowska-Curie», i va continuar la seva trajectòria a la Universitat del País Basc (UPV/EHU), on va ser investigador Juan de la Cierva i, més tard, Ikerbasque fellow. Actualment, a l’IQAC-CSIC, lidera una línia de recerca que estudia de manera sistemàtica les limitacions i els punts crítics dels mètodes d’estructura electrònica, amb l’objectiu de millorar-los i d’ampliar l’abast de la química computacional. També desenvolupa eines interpretatives d’enllaç químic per connectar càlculs mecanicoquàntics amb conceptes químics tradicionals, com ara ordres d’enllaç i estats d’oxidació.
Eduard Matito és professor Ikerbasque i investigador al Donostia International Physics Center (DIPC), on lidera un grup de recerca en química teòrica i computacional. Doctorat per la Universitat de Girona, va continuar la seva trajectòria a la Universitat d’Aarhus (Dinamarca), a la Universitat de Szczecin (Polònia) i a la Universitat del País Basc. La seva recerca se centra en el desenvolupament de mètodes teòrics i computacionals en química quàntica; especialment, en l’estudi de la correlació electrònica, l’aromaticitat i les propietats de resposta molecular. En particular, el seu grup treballa en el disseny de nous funcionals de la teoria del funcional de la densitat (DFT), en diagnòstics de multireferència, en l’estudi de models físics i en el càlcul de propietats òptiques no lineals mitjançant mètodes ab initio
Autoassemblatge dissipatiu de marcs orgànics supramoleculars amb resposta
redox: disseny i síntesi de blocs de construcció Dissipative self-assembly of redox-responsive supramolecular organic frameworks: Design and synthesis of building blocks
María Camacho-Molina1 i Alessandro Sorrenti1, 2
1 Universitat de Barcelona (UB). Departament de Química Inorgànica i Orgànica. Secció de Química Orgànica
2 Institut de Química Teòrica i Computacional. Universitat de Barcelona (IQTCUB)
Resum: Els marcs orgànics supramoleculars (SOF) són materials porosos solubles formats per l’autoassemblatge de blocs de construcció moleculars mitjançant interaccions no covalents. La seva estabilitat estructural en solució els fa especialment atractius per a aplicacions biomèdiques i energètiques. A més, es poden dissenyar per respondre a estímuls externs. En aquest treball es presenta el disseny i la síntesi de nous SOF bicomponents basats en porfirines funcionalitzades amb ferrocè (Fc) i dímers de β-ciclodextrina (β-CD). Aprofitant la naturalesa redox-responsiva de la interacció hoste-convidat β-CD/Fc, es busca controlar temporalment l’autoassemblatge d’aquests sistemes mitjançant el subministrament regulat de combustibles químics redox. Es descriuen la síntesi i la caracterització dels components dels SOF, així com estudis preliminars sobre el seu procés d’assemblatge.
Paraules clau: Marcs orgànics supramoleculars, autoassemblatge dissipatiu, interaccions hoste-convidat, química clic.
Abstract: Supramolecular organic frameworks (SOFs) are soluble porous materials formed via the self-assembly of molecular building blocks by noncovalent interactions. Their structural stability in solution makes them especially suitable for biomedical and energy-related applications. Additionally, they can be designed to respond to external stimuli. Here, we present the design and synthesis of novel bicomponent SOFs based on ferrocene (Fc)-functionalized porphyrins and β-cyclodextrin (β-CD) dimers. By leveraging the redox-responsive nature of the β-CD/Fc host-guest interaction, the goal is to achieve temporal control over the self-assembly of these systems by controlled supply of redox chemical fuels. We report on the synthesis and characterization of the SOF components, along with preliminary studies of their assembly behavior.
Keywords: Supramolecular organic frameworks, dissipative self-assembly, host-guest interactions, click chemistry.
Introducció
Marcs orgànics supramoleculars
Els materials porosos capaços d’acomodar molècules dins de les seves cavitats tenen una gran importància en els camps de la química i la ciència de materials, amb aplicacions en reconeixement molecular, separació i catàlisi [1-3].
En particular, els materials porosos autoassemblats —com ara els marcs metal·loorgànics (MOF, de l’anglès metal-organic frameworks), formats per enllaços de coordinació entre metalls i lligands orgànics, i els marcs orgànics covalents (COF, de l’anglès covalent organic frameworks), constituïts a partir de monòmers orgànics units per enllaços covalents dinàmics— han despertat un gran interès científic
Correspondència: Alessandro Sorrenti
Universitat de Barcelona (UB). Departament de Química Inorgànica i Orgànica. Secció de Química Orgànica
Facultat de Química. C. de Martí i Franquès, 1-11. 08028 Barcelona
Tel.: +34 934 020 818
A/e: asorrenti@ub.edu
durant l’última dècada. Tanmateix, la naturalesa cristal·lina dels MOF i dels COF, juntament amb la seva freqüent insolubilitat i/o inestabilitat en solució [4-6], pot dificultar-ne la utilització efectiva en aplicacions com la catàlisi homogènia o l’administració de fàrmacs [7]. Per intentar superar aquestes limitacions, recentment ha sorgit una estratègia alternativa basada en la creació de SOF, els quals són materials porosos tous, amb una estructura en xarxa 2D o 3D, formats per l’autoassemblatge de blocs de construcció moleculars mitjançant interaccions no covalents. Aquests materials poden mantenir la seva estructura reticular periòdica en solució i, pel fet de pertànyer a la família més àmplia dels polímers supramoleculars, presenten estructures dinàmiques. Aquestes propietats els converteixen en candidats prometedors per a aplicacions en medis homogenis; per exemple, en els àmbits biomèdic i energètic [6, 8, 9].
Un pas clau en l’evolució d’aquest àmbit de recerca va ser el desenvolupament de SOF que conserven l’estructura i la porositat en medi aquós. El primer exemple va ser reportat per Li i els seus col·laboradors l’any 2013, amb l’obtenció d’un SOF 2D soluble en aigua d’estructura de monocapa, impulsada per la
formació d’un complex hoste-convidat trimolecular entre l’hoste macrocíclic cucurbit[8]uril (CB[8]) i dos fragments hidrofòbics de molècules adjacents que actuaven com a convidats [10]. Des d’aleshores, s’han reportat diversos SOF 2D i 3D solubles en aigua, molts dels quals es basen en interaccions hoste-convidat amb CB[8] com a hoste.
La naturalesa no covalent dels SOF obre notablement la possibilitat de dotar aquests materials de capacitat de resposta a estímuls, ampliant encara més la seva aplicabilitat com a materials intel·ligents [11]. Finalment, els SOF formats per molècules colorants, com ara les porfirines, constitueixen xarxes periòdiques ordenades de cromòfors i, per tant, poden servir com a models útils per estudiar fenòmens com la captació de llum, la transferència d’energia o la fotocatàlisi [12-14].
Interacció hoste-convidat en materials supramoleculars
Les interaccions hoste-convidat tenen un paper fonamental en el disseny i la construcció de materials supramoleculars i d’estructures jeràrquiques autoassemblades [15, 16], incloent-hi, com s’ha esmentat anteriorment, els SOF. Aquestes interaccions tenen lloc entre dues o més molècules amb una relació estructural específica i es basen en la combinació de diverses forces no covalents i factors estèrics. L’hoste és, habitualment, una molècula macrocíclica amb una cavitat capaç d’unir-se de manera reversible a una molècula més petita (el convidat), o bé a motius estructurals d’una molècula més gran, i es forma així un complex d’inclusió. Molècules macrocícliques com els cucurbit[n]urils (CB[n]), els calixarens i les ciclodextrines (CD) s’han utilitzat àmpliament com a hostes, gràcies a la seva capacitat per formar complexos d’inclusió estables amb una gran varietat de molècules convidat hidrofòbiques. Aprofitant la naturalesa reversible de les interaccions hoste-convidat, s’han dissenyat nombrosos sistemes supramoleculars capaços d’assemblar-se o de desassemblar-se en resposta a estímuls externs com ara canvis redox, exposició a la llum o variacions de pH [17].
Autoassemblatge dissipatiu impulsat per combustibles químics
Tradicionalment, els materials supramoleculars artificials s’han dissenyat a partir de consideracions termodinàmiques
i s’han sintetitzat en condicions d’equilibri. La seva formació està impulsada per la major estabilitat termodinàmica de l’estat assemblat en comparació amb els components aïllats. Contràriament, els sistemes vius utilitzen l’autoassemblatge dissipatiu (DSA, de l’anglès dissipative self-assembly) controlat per combustibles químics per mantenir les seves estructures assemblades, com ara els filaments d’actina o els microtúbuls del citoesquelet cel·lular, constantment fora de l’equilibri. L’ús continu de combustibles químics permet als éssers vius exercir un control espaciotemporal extraordinari sobre la formació i la funció d’aquestes estructures supramoleculars, essencials per al funcionament cel·lular. Aquesta estratègia també possibilita la generació de materials amb propietats emergents com l’autoreparació, l’adaptabilitat o les oscil·lacions periòdiques [18-23].
Imitant els sistemes biològics, en els darrers anys hi ha hagut un interès creixent per implementar els principis del DSA en sistemes autoassemblats artificials [18-19, 24].
En aquests sistemes, la formació de l’estat assemblat sovint no és espontània, sinó que requereix l’activació dels blocs de construcció mitjançant l’addició d’un combustible químic (subministrament d’energia). D’altra banda, és també necessari un procés de desactivació perquè el sistema torni a l’estat inicial no assemblat. Aquest procés ha de seguir una via diferent de la d’activació i pot (o no) requerir l’ús d’un segon combustible químic. En conseqüència, l’assemblatge i el desassemblatge queden regulats per la cinètica del cicle de conversió del combustible a residus i no depenen estrictament de l’estabilitat termodinàmica relativa dels dos estats. Així, el DSA permet crear materials amb temps de vida programables i comportaments dinàmics adaptatius a l’entorn.
Fins ara, s’han desenvolupat diversos sistemes dissipatius artificials controlats per combustibles químics, com ara gels [21], polímers supramoleculars [23], col·loides [20] i coacervats [22]. Recentment, Du i els seus col·laboradors van reportar l’autoassemblatge transitori d’un SOF que s’organitza en presència del combustible químic ditionit (un agent reductor) impulsat per la formació d’un complex hoste-convidat 1:2 entre el CB[8] i el catió radical viologen (generat per la reducció del metil viologen). Aquest SOF es desassembla espontàniament per oxidació en presència d’aire [25]. No obstant el potencial que té de generar materials amb porositat dinàmica, l’aplicació del DSA als SOF continua sent poc explorada.
Dins d’aquest context, una de les línies de recerca del grup se centra en el desenvolupament de nous SOF bidimensionals multicomponents sensibles a estímuls, com ara els canvis redox o la presència d’enzims. L’objectiu és incorporar mecanismes d’autoassemblatge dissipatiu en aquests sistemes, amb la finalitat de regular la durada de l’estat assemblat mitjançant el subministrament controlat de combustibles químics adequats.
Disseny de nous SOF amb resposta redox
En aquest treball es presenten el disseny i la síntesi d’un nou SOF bicomponent basat en la interacció hoste-convidat redoxresponsiva entre l’hoste β-ciclodextrina (β-CD) —un heptàmer cíclic de glucosa— i el convidat ferrocè (Fc). Aquesta interacció només té lloc quan el ferrocè es troba en forma reduïda (neutra), constituint un complex d’inclusió estable 1:1 amb la β-CD. Tanmateix, aquest complex es dissocia quan el Fc s’oxida a l’ió ferroceni (Fc+), que és més hidròfil [15, 17, 25-27].
Concretament, el SOF objectiu està format per porfirines tetrafenil funcionalitzades amb grups ferrocè i per dímers de β-CD que actuen com a molècules enllaçadores ditòpiques,
la qual cosa dona lloc a una xarxa supramolecular bidimensional sensible a estímuls redox (figura 1).
En aquest estudi es va dur a terme la síntesi i la caracterització dels blocs de construcció del SOF, l’estudi termodinàmic de la interacció β-CD/Fc i estudis preliminars de l’autoassemblatge del sistema. En estudis futurs, es preveu aprofundir en la comprensió del procés d’autoassemblatge i en la caracterització estructural del SOF, a més d’investigar la resposta del sistema al subministrament controlat de combustibles químics redox.
Resultats i discussió
Com a primer pas, es van dissenyar i sintetitzar els components del SOF redox-responsiu. Concretament: a) dues noves Zn-tetrafenilporfirines simètriques, P4 i P5, funcionalitzades amb quatre grups ferrocè a la seva perifèria, units a l’anell porfirínic central mitjançant espaiadors de longitud diferent, i b) un dímer de β-CD, D1, destinat a actuar com a hoste ditòpic (figura 2).

Figura 1. Autoassemblatge dissipatiu d’un nou SOF format per porfirines i basat en la interacció hoste-convidat redoxresponsiva entre β-CD i Fc. Elaboració pròpia.

La porfirina P4 conté un espaiador llarg de tipus tetraetilenglicol (TEG)-triazolil [28], mentre que la P5 incorpora un espaiador més curt, de tipus triazolil d’etil. Un dels objectius d’aquest estudi és comparar el comportament dels dos sistemes en l’autoassemblatge del SOF. En el cas de P4, l’espaiador llarg es va introduir en el disseny amb la finalitat de millorar la solubilitat en aigua del SOF i d’afavorir la formació de porus més grans i d’una xarxa més flexible. En canvi, a la porfirina P5 s’hi va incorporar un espaiador més curt, amb l’objectiu de reduir la solubilitat en aigua de la porfirina (per tal de potenciar la seva interacció amb el dímer D1) i, alhora, facilitar la formació d’una xarxa més rígida i amb porus més petits. Finalment, la presència de Zn(II) a la porfirina permet que el centre metàllic actuï com a lloc acceptor per a la coordinació axial, fet que pot afavorir la formació eventual d’estructures jeràrquiques bilaminars en presència de lligands bidentats [12]. Pel que fa al dímer D1, es va incorporar al seu disseny un espaiador flexible de TEG entre els hostes macrocíclics.
L’anàlisi retrosintètica per a la preparació de les porfirines P4 i P5 es mostra a l’esquema 1.
Les dues porfirines funcionalitzades amb ferrocè, P4 i P5, se sintetitzen mitjançant química clic a partir de les corresponents Zn-porfirines tetraazida (Zn-P2 i Zn-P3) i d’etinilferrocè; concretament, a través d’una cicloaddició azida-alquí ca-
talitzada per coure(I) (CuAAC). Les porfirines Zn-P2 i Zn-P3 s’obtenen mitjançant la metal·lació de les corresponents porfirines no metal·lades P2 i P3 (no mostrades), les quals es preparen seguint una estratègia convergent. Aquesta es basa en una reacció de O-alquilació de tipus Williamson entre la 5,10,15,20-tetrakis(4-hidroxifenil)porfirina (P1) i les tosilazides 3 o 5, respectivament. El compost 3 se sintetitza en tres etapes a partir del TEG comercial, mentre que el compost 5 s’obté en dues etapes a partir del 2-cloroetanol. Finalment, la porfirina P1 es prepara mitjançant una reacció de condensació entre pirrol i 4-hidroxibenzaldehid.
Síntesi dels blocs de construcció
La porfirina P1 es va sintetitzar mitjançant una versió modificada del mètode d’Adler-Longo [29, 30], en què la reacció de condensació entre el pirrol i el 4-hidroxibenzaldehid es du a terme en una mescla ternària de solvents composta per àcid propiònic, àcid acètic i nitrobenzè (esquema 2). El nitrobenzè exerceix la doble funció de cosolvent i oxidant del compost intermedi porfirinogen.
Per tal de millorar el rendiment, es van optimitzar diverses condicions experimentals; concretament: la composició de la mescla dissolvent (3:1:2), la concentració total de la reacció

EsquEma 1. Anàlisi retrosintètica per a les porfirines P4 i P5. Elaboració pròpia.

EsquEma 2. Síntesi de la porfirina P1. Elaboració pròpia.
(70 mm), el temps de reacció (4,5 h) i el protocol de purificació. Després de precipitar el producte cru amb hexà, la purificació es va dur a terme mitjançant extracció sòlid-líquid en un aparell de Soxhlet (emprant acetat d’etil com a dissolvent) i es va obtenir P1 com a sòlid cristal·lí blau amb un rendiment del 45 %.
A continuació, es va procedir a sintetitzar les tosilazides 3 i 5 (esquema 3).
Per a la síntesi del compost 3, el primer pas va consistir en la monotosilació del tetraetilenglicol utilitzant clorur de p-toluenosulfonil (TsCl) en defecte (0,1 eq.), en una mescla de tetrahidrofuran (THF) i aigua i emprant NaOH com a base [31]. Aquest procés va permetre obtenir el compost 1 pur amb un rendiment del 80 %. Seguidament, es va dur a terme la conversió del grup tosilat en un grup azida, mitjançant una reacció de substitució nucleòfila amb azida sòdica en dimetilformamida (DMF), i es va obtenir el compost 2 amb un rendiment del 49 %.

Finalment, una nova tosilació amb TsCl en diclorometà va donar lloc al derivat funcionalitzat ortogonalment 3, un oli groguenc que es va purificar per cromatografia en columna de gel de sílice. La caracterització per ressonància magnètica i espectrometria de masses del compost 3 (i dels intermediaris corresponents) va confirmar-ne la identitat i la puresa.
Per a la síntesi de la tosilazida 5 (esquema 3), el primer pas va ser la preparació del 2-azidoetanol 4 a partir de 2-cloroetanol comercial, que es va sotmetre a reflux en presència d’un excés d’azida sòdica i bromur de tetrabutilamoni, com a catalitzador de transferència de fase [32]. El producte cru es va purificar, mitjançant destil·lació de pas curt a pressió reduïda, i es va obtenir el compost 4 pur com a oli transparent. En el segon pas, la reacció del compost 4 amb TsCl en diclorometà, amb trietilamina com a base, va donar lloc al compost 5, que es va purificar mitjançant cromatografia de columna ràpida sobre gel de sílice. Els compostos 4 i 5 (olis de color groguenc) es van caracteritzar mitjançant espectroscòpia de ressonància magnètica nuclear (RMN) de 1H.
Un cop preparades la porfirina P1 i les tosilazides 3 i 5, es van sintetitzar les porfirines objectiu P4 i P5, seguint la ruta sintètica de tres passos, que es mostra a l’esquema 4 (i s’exemplifica en el cas de P4).
En primer lloc es va preparar l’intermediari clau, la porfirina tetraazida P2 (o P3), mitjançant la O-alquilació dels grups
fenòlics de la porfirina P1 amb el tosilat 3 (o 5), en presència de carbonat potàssic com a base. Es va utilitzar un excés de l’agent alquilant (8 eq. respecte a la porfirina P1) i iodur potàssic (1,6 eq.) com a catalitzador. La reacció es va dur a terme en DMF a 80 °C durant 72 h, i el seu progrés es va monitorar mitjançant cromatografia de líquids amb espectrometria de masses (LC-MS, de l’anglès líquid chromatography - mass espectrometry), que va mostrar l’aparició gradual dels productes mono-, bis-, tris- i tetraalquilats. Cal remarcar que proves preliminars amb un nombre menor d’equivalents de tosilazida respecte a P1 van donar lloc a un progrés molt lent i a una conversió incompleta. Després de la purificació mitjançant cromatografia en columna de fase normal, les porfirines P2 i P3 es van obtenir com a sòlids de color vermell fosc, amb rendiments moderats del 24 % i del 14 %, respectivament. En el cas de la síntesi del compost P3, vam poder detectar clarament, mitjançant LC-MS del cru de reacció, la formació d’una sèrie de subproductes parcialment alquilats (mono-, bis-, tris- i tetra-) amb masses corresponents a derivats monoiodats. S’ha reportat que les porfirines tetrahidroxifenil poden ser monoiodades per substitució electròfila aromàtica amb iodurs en presència d’oxidants que generen espècies electròfiles de iode (per exemple, H2OI+ o l’àcid hipoiodós) [33, 34]. Suposem que, en les condicions de reacció emprades (reflux prolongat, en contacte amb aire i llum), s’ha produït l’oxidació del iodur, fet que explicaria la monoiodinació observada i que ha contribuït al baix rendiment.

Posteriorment, la metal·lació de les porfirines P2 i P3 es va dur a terme amb acetat de zinc dihidrat en una mescla de diclorometà i metanol sota reflux. El progrés de la reacció es va monitorar, mitjançant espectroscòpia ultraviolada-visible (UVVis), i es va observar la reducció del nombre de bandes Q de quatre a dues, degut a l’augment de la simetria molecular. Després del tractament de la reacció (workup), les porfirines Zn-P2 i Zn-P3 es van obtenir amb un rendiment pràcticament quantitatiu i es van utilitzar directament en el pas següent sense purificació addicional.
Finalment, les porfirines objectiu P4 i P5 es van sintetitzar a partir de les porfirines tetraazida metal·lades Zn-P2 i Zn-P3 i
d’etinilferrocè, mitjançant química clic, en una mescla de DMF i aigua (4:1) a temperatura ambient. Concretament, es va emprar la cicloaddició [3+2] de tipus Huisgen catalitzada per coure(I) (CuAAC), que condueix a la formació d’un anell de triazol. El catalitzador Cu(I) es va generar in situ mitjançant la reducció de CuSO4 amb ascorbat sòdic. El progrés de la reacció es va monitorar per LC-MS fins a observar exclusivament el producte tetrasubstituït amb ferrocè. Com que el producte es va precipitar directament del medi de reacció, es va aïllar per centrifugació i es va purificar, mitjançant rentats repetits amb DMF i metanol, i es van obtenir els productes purs P4 i P5 com a sòlids de color porpra vermellós, amb rendiments del 61 % i del 63 %, respectivament. Els compostos finals es
van caracteritzar mitjançant espectroscòpia de RMN de ¹H i de ¹³C, espectroscòpia infraroja (IR) (que va confirmar l’absència de la banda de l’azida) i espectrometria de masses, que va permetre verificar-ne la identitat i la puresa.
El dímer de β-CD D1 es va obtenir mitjançant una síntesi de tipus convergent, tal com es mostra a l’esquema 5. La reacció es va dur a terme combinant el derivat dialquínilic de tetraetilenglicol 8 amb la monoazida de β-CD 7, mitjançant química clic.
El compost 8 es va sintetitzar a partir del TEG comercialment disponible mitjançant una eterificació de Williamson amb bromur de propargil, en presència d’hidrur de sodi com a base i en THF anhidre. La purificació mitjançant cromatografia en columna sobre gel de sílice va permetre obtenir el producte pur amb un rendiment del 59 %.
Per a la síntesi del compost 7, en primer lloc es va convertir el grup hidroxil primari en posició 6 d’una de les unitats de glucosa de la β-CD en tosilat, com a bon grup sortint. Aquesta reacció es va dur a terme emprant un excés d’1-(p-toluensulfonil)imidazole (TsIm) com a agent tosilant, en medi aquós i en condicions bàsiques, seguint un protocol prèviament descrit [35] i posteriorment optimitzat pel nostre grup de recerca. L’ús de TsIm presenta diversos avantatges en comparació amb
el més habitual clorur de p-toluensulfonil: a) és més soluble en aigua, b) presenta una major resistència a la hidròlisi a temperatura ambient i c) no indueix la politosilació de la β-CD. Cal remarcar que la reacció requereix un control rigorós de diversos paràmetres experimentals crítics, com ara la temperatura al llarg de tot el procés (fins i tot durant el workup, és a dir, el tractament de la reacció), el temps de reacció i l’homogeneïtzació adequada de la mescla de reacció, la qual és de naturalesa heterogènia. El derivat monotosilat 6 cru es va aïllar mitjançant una precipitació lenta del medi de reacció i es va purificar per recristal·lització a partir d’una mescla 1:1 de metanol i aigua, amb l’objectiu d’eliminar traces de β-CD no reaccionada, i es va obtenir el compost 6 pur amb un rendiment del 28 %. Seguidament, la conversió del grup tosil del compost 7 en un grup azida es va dur a terme mitjançant reacció amb un excés d’azida sòdica en aigua a 80 °C i es va obtenir la β-CD monoazida 7. El producte cru es va aïllar per precipitació amb acetona des de la mescla de reacció i es va purificar per recristal·lització a partir d’una mescla d’aigua i acetona, per tal d’eliminar l’azida sòdica residual (detectada per espectroscòpia IR), pas essencial per evitar interferències en la posterior reacció CuCAAC [36].
Finalment, el dímer de β-CD D1 es va sintetitzar a partir dels compostos 8 i 7, mitjançant una reacció CuAAC en una barre-

ja de sulfòxid de dimetil (DMSO) i aigua (4:1), i es va generar el catalitzador Cu(I) in situ per reducció de CuSO4. Cal destacar que es van emprar quantitats estequiomètriques de CuSO4 en lloc de quantitats catalítiques, atès que la β-CD és coneguda per complexar els ions Cu2+. El producte cru es va aïllar per precipitació de la mescla de reacció amb acetona, es va dissoldre en amoníac aquós al 20 % i es va filtrar a través d’un coixinet de gel de sílice, amb l’objectiu d’eliminar l’excés de coure en forma de complex coure-amoníac. La purificació posterior mitjançant cromatografia de columna ràpida sobre gel de sílice, emprant un gradient d’elució acetonitril/aigua (del 8:2 al 6:4), va permetre obtenir el compost D1 pur, amb un rendiment del 38 %. La seva identitat i la seva puresa es van confirmar per espectroscòpia de RMN de ¹H i espectrometria de masses MALDI-TOF (de l’anglès matrix-assisted laser desorption ionization tome of light).
Estudi de la interacció hoste-convidat
L’estabilitat termodinàmica dels complexos d’inclusió hosteconvidat formats en aigua per la β-CD amb derivats de ferrocè depèn fortament de l’estructura específica i de la polaritat del convidat; l’efecte hidrofòbic és la força motriu principal en la síntesi d’aquests complexos. Per això, es va estudiar la formació i l’estabilitat dels complexos d’inclusió formats pel compost Fc-triazolil-TEG 9 (prèviament sintetitzat en el grup) tant amb la β-CD monomèrica com amb el dímer D1 (9 ⊂ β-CD i 9 ⊂ D1, respectivament) (esquema 6), considerant aquest sistema com a model per a les interaccions hosteconvidat que es produeixen durant la formació dels SOF mitjançant el coassemblatge de P4 (o P6) amb D1
Aquests estudis es van dur a terme mitjançant calorimetria de titulació isotèrmica (ITC, de l’anglès isothermal titration calorimetry) a 298 K, valorant una solució aquosa del convidat 9 (16 mm) en una solució de l’hoste (β-CD o el dímer D1) de concentració 0,5 mm. L’anàlisi de les dades experimentals,
mitjançant un model de complexació amb n llocs independents i d’igual afinitat (mateixa constant d’associació), va permetre determinar els paràmetres termodinàmics, que es resumeixen a la taula 1.
Taula 1. Constants d’associació, estequiometria i paràmetres termodinàmics a 298 K. Elaboració pròpia.
Les constants d’associació es van determinar en l’interval de 4 500-5 000 m–¹, en línia amb els valors reportats per altres complexos β-CD/ferrocè en medi aquós, la qual cosa indica que la bona solubilitat en aigua del convidat 9 no compromet la seva afinitat per la β-CD. A més, els valors obtinguts per l’estequiometria d’associació (n), 1 i 2 per als complexos
9 ⊂ β-CD i 9 ⊂ D1, respectivament, dins del marge d’error experimental, confirmen que el dímer D1 és efectivament capaç d’enllaçar dues molècules convidat, un aspecte clau en el disseny supramolecular del nostre sistema. En aquest sentit, cal remarcar que els dímers de β-CD poden adoptar conformacions en medi aquós en què una porció de l’espaiador queda encapsulada dins d’un dels macrocicles [37]. Aquest tipus de conformacions es va detectar també per a D1 mitjançant anàlisi de RMN de 1H, però, tal com es va mostrar amb ITC, no influeixen en la seva capacitat d’actuar com a hoste ditòpic.
Estudis preliminars d’assemblatge supramolecular
Com a primer pas cap a l’objectiu d’obtenir xarxes polimèriques supramoleculars basades en la porfirina funcionalitzada amb ferrocè P4, o la seva anàloga més curta, P6, i el dímer
D1, es van dur a terme estudis preliminars del comportament en solució de totes dues porfirines, tant soles com en presència de D1 o de β-CD monomèrica (com a referència). Aquests

estudis es van realitzar mitjançant espectroscòpia UV-Vis i dispersió dinàmica de la llum (DLS, de l’anglès dynamic light scattering).
L’espectre UV-Vis de la porfirina P4 en THF mostra una banda de Soret estreta a 426 nm, acompanyada de dues bandes Q a 557 nm i 598 nm (figura 3a), la qual cosa indica la presència de la Zn-porfirina monomèrica en solució. La intensitat de l’absorció augmenta linealment amb la concentració, seguint la llei de Lambert-Beer, a partir de la qual es va determinar el coeficient d’extinció molar de P4 en THF (ε426 = 514 100 ± 2 850 m–¹ cm–¹).
En un clar contrast, l’espectre de P4 en aigua (10 µm) presenta la banda de Soret i les bandes Q desplaçades cap al vermell, amb un eixamplament evident i una disminució d’intensitat (hipocromisme) de la primera (figura 3b, línia vermella).
Aquest comportament suggereix la formació d’agregats en
solució, com a resultat de l’autoassemblatge de P4. La presència d’agregats col·loidals amb un diàmetre hidrodinàmic mitjà de 92 nm (índex de polidispersitat, PDI = 0,136) es va confirmar mitjançant mesures de DLS (taula 2).
En presència de β-CD a 40 µm (relació hoste-convidat β-CD/ Fc 1:1), l’espectre de P4 (10 µm) en aigua mostra una banda de Soret lleugerament més estreta i desplaçada cap al blau (figura 3c), fet que suggereix la formació d’interaccions hoste-convidat β-CD/Fc que alteren l’estructura dels agregats de P4 i que probablement n’afavoreixen la solubilització parcial.

Figura 3. Espectres UV-Vis de: a) P4 en THF a diferents concentracions. Inserció: absorbància a 426 nm, en funció de la concentració, i ajust lineal; b) P4 en THF (5 μm) i en aigua (10 μm); c) P4 en aigua (10 μm) sola i en presència de β-CD (40 μm), i d) P4 en aigua (10 μm) sola i en presència de D1 (100 μm). Camí òptic = 1 cm. Elaboració pròpia.
Aquest efecte també es reflecteix en les mesures de DLS, que mostren una disminució del diàmetre hidrodinàmic mitjà dels agregats fins als 76 nm (taula 2). D’altra banda, en presència del dímer D1 a 40 µm (relació β-CD/Fc 1:1), l’espectre de P4 (10 µm) en aigua no presenta cap variació significativa. No obstant això, les mesures de DLS evidencien clarament dues poblacions col·loidals amb mides mitjanes de 55 nm i 160 nm (no va ser possible ajustar satisfactòriament les dades considerant una única població), fet que dona suport a la formació d’estructures esteses de xarxa. Cal destacar que no es van observar variacions significatives ni en els espectres UV-Vis ni en la mida dels agregats en les mesures repetides amb les mateixes mostres al cap de 48 h, ni tampoc després de sotmetre-les a un cicle d’escalfament/refredament (25 °C → 75 °C → 25 °C). Aquest comportament suggereix una elevada estabilitat termodinàmica i/o cinètica dels agregats supramoleculars formats.
Anàlogament que en el cas de P4, l’espectre de P5 en aigua presenta una banda de Soret ampla i menys intensa que la de P4 (figura 3d ), indicativa de la formació d’autoagregats. En aquest cas, el diàmetre hidrodinàmic dels agregats és de 170 nm (taula 2), aproximadament el doble del valor observat per a P4 en les mateixes condicions de concentració. Això no és sorprenent, tenint en compte que l’absència dels espaiadors TEG amb funció solubilitzant en P5 afavoreix una major tendència a l’autoassemblatge en medi aquós. A diferència de P4, la presència de β-CD fins a 200 µm (relació β-CD/Fc de 5:1) gairebé no afecta l’espectre UV-Vis de P5 (dades no mostrades), tot i que promou un increment de la mida dels agregats fins a uns 230 nm (taula 2). Aquest resultat suggereix que les possibles interaccions hoste-convidat es produeixen principalment a la superfície dels agregats de P5, sense alterar-ne l’estructura interna ni les interaccions entre cromòfors. En canvi, en presència del dímer D1 a 100 µm (relació β-CD/Fc de 5:1), l’espectre de P5 mostra un lleuger augment d’intensitat i un aprimament de la banda de Soret (figura 3d ). A més, i d’una manera similar al cas de P4, les mesures de DLS revelen la presència de dues poblacions col·loidals diferenciades, amb mides mitjanes de 150 nm i 500 nm, respectivament.
En conjunt, aquests estudis preliminars revelen una competència entre l’autoagregació de les porfirines P4 i P5 en medi aquós i la síntesi d’estructures coassemblades en presència del dímer D1, possiblement corresponents als SOF objectiu.
Actualment, s’estan duent a terme estudis addicionals mitjançant microscòpia de força atòmica (AFM), dispersió de raigs X d’angle petit (SAXS) i microscòpia electrònica de rastreig (SEM) per tal d’elucidar l’estructura i la morfologia d’aquestes espècies, així com estudis supramoleculars dirigits a afavorir la formació d’estructures heteroagregades mitjançant la modulació del camí d’agregació, per exemple, en funció del protocol de preparació.
Conclusions
En aquest treball s’ha presentat el disseny de nous marcs orgànics supramoleculars basats en interaccions hoste-convidat β-CD/Fc, així com la síntesi i la caracterització dels seus blocs de construcció. Concretament, s’ha desenvolupat la síntesi de dues noves porfirines de zinc funcionalitzades amb ferrocè (P4 i P5), mitjançant una estratègia sintètica convergent basada en química clic, i d’un dímer de β-CD (D1) amb un espaiador flexible de TEG. L’estudi de la formació de complexos d’inclusió hoste-convidat, emprant un compost model, ha confirmat que D1 pot actuar com a hoste ditòpic. Finalment, els estudis preliminars del comportament supramolecular en solució de les dues porfirines, tant soles com en presència del dímer D1 (o de β-CD com a referència), apunten a la possible formació de xarxes supramoleculars extenses, en competència amb l’autoagregació de les porfirines. Tot i el caràcter preliminar dels resultats, les dades obtingudes són prometedores pel que fa a la possibilitat d’obtenir SOF a partir dels blocs de construcció desenvolupats. Actualment, s’està aprofundint en la comprensió del procés d’autoassemblatge i en la caracterització estructural dels agregats formats, així com en l’estudi de la resposta redox del sistema, amb l’objectiu d’implementar processos d’autoassemblatge dissipatiu controlats per combustibles redox en aquests materials supramoleculars porosos que tenen un gran potencial.
Agraïments
Els autors agraeixen al Ministeri de Ciència, Innovació i Universitats el finançament dels projectes DISSPORMAT (CNS2023-145154) i FUELSUPMAT-RD (PID2023-151814NBI00) i a la Universitat de Barcelona, l’ajut predoctoral concedit a María Camacho-Molina.
Referències
[1] steed, J. W.; atWood, J. L. Supramolecular chemistry. 2a ed. Chichester, West Sussex (Regne Unit): John Wiley & Sons, 2022. [2] Yaghi, o m.; o’keeFFe, m.; ockWig, n. W.; chae, h k.; eddaoudi, m.; kim, J. «Reticular synthesis and the design of new materials». Nature [en línia], 423 (6941) (2003), p. 705-714. <https://doi.org/10.1038/nature01650>.
[3] côté, a. p.; benin, a. i.; ockWig, n. W.; o’keeFFe, m.; matzger, a. J.; Yaghi, O. M. «Porous, crystalline, covalent organic frameworks». Science, 310 (5751) (2005), p. 1166-1170. <https://doi.org/10.1126/science.1120411>.
[4] sánchez-gonzález, e.; tsang, m. Y.; troYano, J.; craig, g a.; FurukaWa, S. «Assembling metal-organic cages as porous materials». Chem. Soc. Rev. [en línia], 51 (12) (2022), p. 48764889. <https://doi.org/10.1039/D1CS00759A>.
[5] hosono, n.; kitagaWa, S. «Modular design of porous soft materials via self-organization of metal-organic cages». Acc. Chem. Res. [en línia], 51 (10) (2018), p. 2437-2446. <https://doi.org/10.1021/acs.accounts.8b00361>.
[6] tian, J.; Wang, h.; zhang, d.-W.; liu, Y.; li, z.-t. «Supramolecular organic frameworks (SOFs): Homogeneous regular 2D and 3D pores in water». National Science Review [en línia], 4 (3) (2017), p. 426-436. <https://doi.org/10.1093/nsr/ nwx030>.
[7] shen, m.-n.; lin, x.-W.; luo, J.; li, W.-z.; Ye, Y.-Y.; Wang, X.-Q. «Recent progress on the construction of supramolecular organic frameworks based on macrocyclic hosts». Mol. Syst. Des. Eng. [en línia], 7 (12) (2022), p. 1570-1587. <https://doi. org/10.1039/D2ME00117A>.
[8] tian, J.; chen, l.; zhang, d.-W.; liu, Y.; li, Z.-T. «Supramolecular organic frameworks: Engineering periodicity in water through host-guest chemistry». Chem. Commun. [en línia], 52 (38) (2016), p. 6351-6362. <https://doi.org/10.1039/ C6CC02331B>.
[9] li, z.-t.; Yu, s.-b.; liu, Y.; tian, J.; zhang, D.-W. «Supramolecular organic frameworks: Exploring water-soluble, regular nanopores for biomedical applications». Acc. Chem. Res. [en línia], 55 (16) (2022), p. 2316-2325. <https://doi.org/10.1021/ acs.accounts.2c00335>.
[10] zhang, k.-d.; tian, J.; haniFi, d.; zhang, Y.; sue, a. c.-h.; zhou, t.-Y.; zhang, l.; zhao, x.; liu, Y.; li, Z.-T. «Toward a singlelayer two-dimensional honeycomb supramolecular organic framework in water». J. Am. Chem. Soc. [en línia], 135 (47) (2013), p. 17913-17918. <https://doi.org/10.1021/ ja4086935>.
[11] madasamY, k.; shanmugam, v m.; velaYutham, d.; kathiresan, M. «Reversible 2D supramolecular organic frameworks encompassing viologen cation radicals and CB[8]». Sci. Rep. [en línia], 8 (1) (2018), p. 1354. <https://doi.org/10.1038/ s41598-018-19739-7>.
[12] Yang, b.; Yu, s.; zhang, p.; Wang, z.; qi, q.; Wang, x.; xu, x.; Yang, h.; Wu, z.; liu, Y.; ma, d.; li, Z. «Self-assembly of a bilayer 2D supramolecular organic framework in water». Angewandte Chemie [en línia], 133 (50) (2021), p. 26472-26479. <https://doi.org/10.1002/ange.202112514>.
[13] liu, J.; Fan, Y.-q.; song, s.-s.; gong, g.-F.; Wang, J.; guan, x.-W.; Yao, h.; zhang, Y.-m.; Wei, t.-b.; lin, Q. «Aggregationinduced emission supramolecular organic framework (AIE SOF) gels constructed from supramolecular polymer networks based on tripodal pillar[5]arene for fluorescence detection and efficient removal of various analytes». ACS Sustainable Chem. Eng. [en línia], (2019), 7 (14). <https://doi.org/10.1021/ acssuschemeng.9b00452>.
[14] lee, h.; kim, h.; lee, e.; kim, J.; park, S. Y. «Highly luminescent and water-soluble two-dimensional supramolecular organic framework: All-organic photosensitizer template for visible-light-driven hydrogen evolution from water». Chemistry: An Asian Journal [en línia], 13 (4) (2018), p. 390-394. <https://doi.org/10.1002/asia.201800020>.
[15] dong, s.; zheng, b.; Wang, F.; huang, F. «Supramolecular polymers constructed from macrocycle-based host-guest molecular recognition motifs». Acc. Chem. Res. [en línia], 47 (7) (2014), p. 1982-1994. <https://doi.org/10.1021/ar5000456>. [16] ma, x.; zhao, Y. «Biomedical applications of supramolecular systems based on host-guest interactions». Chem. Rev. [en línia], 115 (15) (2015), p. 7794-7839. <https://doi.org/ 10.1021/cr500392w>.
[17] harada, a.; takashima, Y.; nakahata, M. «Supramolecular polymeric materials via cyclodextrin-guest interactions». Acc. Chem. Res. [en línia], 47 (7) (2014), p. 2128-2140. <https://doi.org/10.1021/ar500109h>.
[18] riess, b.; grötsch, r k.; boekhoven, J. «The design of dissipative molecular assemblies driven by chemical reaction cycles». Chem [en línia], 6 (3) (2020), p. 552-578. <https://doi. org/10.1016/j.chempr.2019.11.008>.
[19] de, s.; klaJn, R. «Dissipative self-assembly driven by the consumption of chemical fuels». Advanced Materials [en línia], 30 (41) (2018), p. 1706750. <https://doi.org/10.1002/ adma.201706750>.
[20] ravensteiJn, b g p van; voets, i k.; kegel, W. k.; eelkema, R. «Out-of-equilibrium colloidal assembly driven by chemical
reaction networks». Langmuir [en línia], 36 (36) (2020), p. 10639-10656. <https://doi.org/10.1021/acs.langmuir. 0c01763>.
[21] boekhoven, J.; hendriksen, W. e.; koper, g. J. m.; eelkema, r.; esch, J. H. van. «Transient assembly of active materials fueled by a chemical reaction». Science [en línia], 349 (6252) (2015), p. 1075-1079. <https://doi.org/10.1126/science.aac6103>.
[22] maiti, s.; Fortunati, i.; Ferrante, c.; scrimin, p.; prins, L. J. «Dissipative self-assembly of vesicular nanoreactors». Nature Chem. [en línia], 8 (7) (2016), p. 725-731. <https://doi.org/ 10.1038/nchem.2511>.
[23] sorrenti, a.; leira-iglesias, J.; sato, a.; hermans, T. M. «Non-equilibrium steady states in supramolecular polymerization». Nat. Commun. [en línia], 8 (1) (2017), p. 15899. <https://doi.org/10.1038/ncomms15899>.
[24] rossum, s a p van; tena-solsona, m.; van esch, J. h.; eelkema, r.; boekhoven, J. «Dissipative out-of-equilibrium assembly of man-made supramolecular materials». Chem. Soc. Rev. [en línia], 46 (18) (2017), p. 5519-5535. <https://doi.org/ 10.1039/C7CS00246G>.
[25] du, h.; zhao, m.; lang, x.; li, x.; zhao, H. «Chemical fuel-driven transient 2D supramolecular organic frameworks (SOFs): Catalysis for green synthesis». Chem. Commun. [en línia], 60 (59) (2024), p. 7598-7601. <https://doi.org/10.1039/ D4CC01535E>.
[26] peng, l.; Feng, a.; huo, m.; Yuan, J. «Ferrocene-based supramolecular structures and their applications in electrochemical responsive systems». Chem. Commun. [en línia], 50 (86) (2014), p. 13005-13014. <https://doi.org/10.1039/C4CC05192K>.
[27] gu, h.; mu, s.; qiu, g.; liu, x.; zhang, l.; Yuan, Y.; astruc, D. «Redox-stimuli-responsive drug delivery systems with supramolecular ferrocenyl-containing polymers for controlled release». Coordination Chemistry Reviews, 364 (2018), p. 5185. <https://doi.org/10.1016/j.ccr.2018.03.013>.
[28] gonzález garcia, G. Development of a porphyrin-based porous supramolecular polymer network for dissipative selfassembly. Treball de fi de grau, 2023.
[29] bragina, n a.; mishkina, k a.; FormirovskY, k a.; mironov, A. F. «Synthesis of amphiphilic meso-arylporphyrins in organic solvents and aqueous micellar medium».
Макрогетероциклы, 4 (2) (2011), p. 116-121.
[30] rumYantseva, v d.; gorshkova, a s.; mironov, A. F. «Improved method of 5,10,15,20-tetrakis(4-hydroxyphenyl)porphyrins synthesis». MHC [en línia], 6 (1) (2013), p. 59-61. <https://doi.org/10.6060/mhc130222r>.
[31] tegeder, p.; Freitag, m.; chepiga, k m.; muratsugu, s.; möller, n.; lamping, s.; tada, m.; glorius, F.; ravoo, B. J. «N-heterocyclic carbene-modified Au–Pd alloy nanoparticles and their application as biomimetic and heterogeneous catalysts». Chemistry: A European Journal [en línia], 24 (70) (2018), p. 18682-18688. <https://doi.org/10.1002/chem. 201803274>.
[32] choi, h.; shirleY, h. J.; hume, p. a.; brimble, m. a.; Furkert, D. P. «Unexpected direct synthesis of N-vinyl amides through vinyl azide-enolate [3+2] cycloaddition». Angewandte Chemie [en línia], 129 (26) (2017), p. 7528-7532. <https://doi.org/ 10.1002/ange.201702727>.
[33] sun, z.-z.; Wei, h.-Y.; Wang, g.-q.; zhou, z.-J.; he, J.-h.; Wang, J.; luo, S.-Z. «Preparation and the biodistribution study of [131I]-5,10,15,20-tetrakis(4-hydroxyphenyl)porphyrin and 5-(4-aminophenyl)-10,15,20-triphenylporphyrin». J. Radioanal. Nucl. Chem. [en línia], 302 (1) (2014), p. 123-130. <https://doi.org/10.1007/s10967-014-3269-9>.
[34] gao, Y.; qiu, J.; Ji, Y.; WaWrYk, n. J. p.; an, t.; li, X.-F. «Formation mechanism of iodinated aromatic disinfection byproducts: Acid catalysis with H2 OI+». Environ. Sci. Technol. [en línia], 56 (3) (2022), p. 1791-1800. <https://doi.org/ 10.1021/acs.est.1c05484>.
[35] bradY, b.; lYnam, n.; o sullivan, t.; ahern, c.; darcY, R. «6A-O-p-toluenesulfonyl-beta-cyclodextrin». Organic Syntheses, 77 (2000), p. 220-224.
[36] Jankovic ˇ , d.; virant, m.; gazvoda, M. «Copper-catalyzed azide–alkyne cycloaddition of hydrazoic acid formed in situ from sodium azide affords 4-monosubstituted-1,2,3-triazoles». J. Org. Chem. [en línia], 87 (6) (2022), p. 4018-4028. <https://doi.org/10.1021/acs.joc.1c02775>.
[37] potier, J.; menuel, s.; azaroual, n.; monFlier, e.; hapiot, F. «Limits of the inversion phenomenon in triazolyl-substituted β-cyclodextrin dimers». Eur. J. Org. Chem. [en línia], 2014 (7) (2014), p. 1547-1556. <https://doi.org/10.1002/ejoc. 201301681>.


María Camacho-Molina és llicenciada en química (2023) per la Universitat de Barcelona (UB), amb un treball de fi de grau sobre els marcs orgànics supramoleculars amb resposta redox. Posteriorment, va cursar el Màster en Química Orgànica (2024) a la UB. Des del setembre de 2024 és estudiant de doctorat en el programa de Química Orgànica d’aquesta mateixa universitat.
Alessandro Sorrenti és doctor en química per la Universitat ‘La Sapienza’ de Roma (2008). Després d’estades postdoctorals a la Universitat de Barcelona (UB), la Universitat Autònoma de Barcelona i l’Institut de Ciència de Materials de Barcelona, va obtenir una beca MSC-IF per treballar a l’Institut de Science et d’Ingénierie Supramoléculaires d’Estrasburg (França). Posteriorment, va ser investigador sènior (Oberassistent) a l’Escola Politècnica Federal (ETH) de Zúric (Suïssa). Des de l’any 2021 és professor agregat a la Secció de Química Orgànica de la UB i lidera el grup NESSA-Lab. Els seus interessos de recerca se centren en el desenvolupament de nous materials supramoleculars funcionals multicomponents, formats en condicions de no equilibri; en particular, mitjançant l’autoassemblatge dissipatiu impulsat per combustibles químics, o controlant els fenòmens de reacció-difusió en entorns (micro)fluídics.
Celebrem el Premi Nobel de Química 2024.
La predicció
computacional:
una revolució real. Mètodes per al disseny i la predicció estructural de proteïnes
Celebrating the 2024 Nobel Prize in Chemistry.
Computational prediction: An authentic revolution. Methods for the structural prediction and design of proteins
Sílvia Osuna
Universitat
de Girona. Institut
de Química Computacional i Catàlisi (IQCC) i Institució Catalana de Recerca i Estudis Avançats (ICREA)
Resum: Fa aproximadament seixanta-cinc anys la cristal·lografia de raigs X va revelar les primeres estructures terciàries de les proteïnes i evidenciava així la relació entre el plegament i la funció d’aquestes estructures. Des del Premi Nobel d’Anfinsen, el 1972, el gran repte de la biologia estructural ha estat predir l’estructura a partir de la seqüència i, a la inversa, dissenyar seqüències que adoptin una forma determinada. El Premi Nobel de Química del 2024 reconeix David Baker, pels seus mètodes de disseny de proteïnes, i Demis Hassabis i John Jumper, per AlphaFold2 (AF2), una eina capaç de predir l’estructura de les proteïnes amb una precisió elevada, en alguns casos propera a la resolució experimental. Malgrat que AF2 va ser dissenyat per a predir majoritàriament una sola estructura, s’ha vist que, realitzant canvis en els paràmetres inicials, pot proporcionar múltiples estructures, és a dir, diferents conformacions per a una mateixa seqüència d’aminoàcids. El desenvolupament d’aquestes eines basades en la intel·ligència artificial ha promogut el sorgiment i l’aplicació de noves estratègies per al disseny computacional de proteïnes. Tot i els avenços, un dels grans reptes actuals és la predicció computacional de proteïnes amb una elevada activitat catalítica determinada. Paraules clau: Disseny computacional de les proteïnes, AlphaFold2, intel·ligència artificial, superfície conformacional.
Abstract: About 65 years ago, X-ray crystallography revealed the first protein tertiary structures, showing the link between the folding and function of such structures. Since Anfinsen’s 1972 Nobel Prize, a major challenge of structural biology has been to predict a structure from its sequence — and, conversely, to design sequences that adopt a chosen shape. The 2024 Nobel Prize in Chemistry honored David Baker for his methods of computational protein design and Demis Hassabis and John Jumper for AlphaFold2, a neural network able to predict the folded structure of proteins with high accuracy, in some cases approaching experimental resolution. Although AF2 was built mainly to predict a single structure, researchers have found that by tweaking its initial parameters AF2 can output multiple structures — that is, several conformations for one same amino-acid sequence. These AI-based tools have boosted the application of artificial intelligence-based strategies for computational protein design. Despite the advances, though, one of today’s major challenges is the accurate computational prediction of proteins with a specific high catalytic activity.
Keywords: Computational protein design, AlphaFold2, artificial intelligence, conformational landscape.
Introducció
Fa uns seixanta-cinc anys es van determinar per primera vegada, mitjançant cristal·lografia de raigs X, les primeres estructures tridimensionals (3D) de proteïnes [1]. Aquestes primeres estructures van posar de manifest que les cadenes polipeptídiques es pleguen sobre si mateixes mitjançant patrons complexos i ben definits, cosa
Correspondència: Sílvia Osuna
Universitat de Girona. Institut de Química Computacional i Catàlisi (IQCC)
i Departament de Química
C. de Maria Aurèlia Capmany, 69. 17003 Girona
Tel.: +34 664 284 535. A/e: silvia.osuna@udg.edu
que és clau per a la seva funció. Aquest descobriment també va evidenciar que la predicció de l’estructura terciària (3D) d’una proteïna permet predir-ne la funció i les propietats bioquímiques. L’any 1972, Christian Anfinsen va rebre el Premi Nobel de Química pel seu notable descobriment que les estructures 3D de les proteïnes són codificades per la seva seqüència d’aminoàcids a la cadena peptídica [2]. Aquest descobriment va donar lloc al gran repte de la biologia estructural dels darrers cinquanta anys: «predir l’estructura 3D d’una proteïna a partir de la seva seqüència d’aminoàcids».
El problema de la predicció d’estructures terciàries també es pot formular de manera inversa, és a dir, hom pot preguntarse quines seqüències d’aminoàcids produirien un patró de ple-
gament específic amb una funció determinada. Aquest és el principal objectiu del disseny de proteïnes, un camp en què, donada una estructura objectiu desitjada, s’identifiquen mitjançant mètodes computacionals les seqüències que generarien aquesta estructura amb la funció requerida.
El Premi Nobel de Química del 2024 reconeix els grans avenços assolits per a resoldre aquests dos grans reptes: la predicció d’estructures tridimensionals a partir de la seqüència reconeixement atorgat a Demis Hassabis i a John Jumper, tots dos de l’empresa Google DeepMind— i la predicció de seqüències a partir de l’estructura —reconeixement concedit al professor David Baker, director de l’Institut de Disseny de Proteïnes de la Universitat de Washington, a Seattle, i investigador de l’Institut Mèdic Howard Hughes (figura 1).

Figura 1. El Premi Nobel de Química del 2024 reconeix els avenços realitzats en el repte de predir l’estructura plegada de les proteïnes a partir de la seva seqüència d’aminoàcids i, inversament, en el de predir quina seqüència adoptarà una certa estructura per dur a terme una funció determinada. El premi reconeix la feina del professor David Baker, de la Universitat de Washington a Seattle i de l’Institut Mèdic Howard Hughes, i de Demis Hassabis i John Jumper, de l’empresa Google DeepMind, pel desenvolupament de mètodes computacionals per al disseny i la predicció de l’estructura terciària de les proteïnes. Elaboració pròpia.
Disseny computacional de proteïnes
El 1988, Lynne Regan i William F. DeGrado van construir una proteïna formada per hèlixs α connectades mitjançant bucles que va servir de base per a molts dissenys de proteïnes [3].
I el 1997, Bassil I. Dahiyat i Stephen L. Mayo van publicar el primer disseny computacional d’una proteïna petita [4]. L’objectiu principal era trobar una nova seqüència capaç d’adoptar una determinada estructura, anomenada dits de zinc (zinc-finger), però sense la presència d’ions metàl·lics. El procés de generació de noves proteïnes amb seqüències no relacionades amb les naturals s’anomena disseny de proteïnes ‘de
novo’. El gran avanç en aquest camp va arribar el 2003, quan Baker va dissenyar Top7, una nova proteïna de noranta-tres aminoàcids [5]. La clau de l’èxit va ser el programari anomenat Rosetta, basat en la combinació de petits fragments de proteïnes no relacionades amb seqüències locals similars de la base de dades d’estructures 3D —el Protein Data Bank (PDB)— i l’optimització conjunta de la seqüència i l’estructura respecte a l’estructura objectiu [6]. El programa Rosetta va ser concebut des del principi tant per a predir l’estructura 3D de proteïnes com per a dissenyar seqüències noves. El 2008, David Baker, Ken Houk i els seus col·laboradors van publicar els primers dissenys d’enzims de novo i, tot i que les activitats assolides eren modestes, estudis posteriors van demostrar que aquests dissenys computacionals es podien millorar d’una manera remarcable mitjançant la tècnica experimental de l’evolució dirigida (tècnica per la qual la professora Frances Arnold va rebre el Premi Nobel de Química del 2018) [7]. Al llarg dels anys, el programa Rosetta s’ha anat refinant, amb la incorporació de tècniques d’intel·ligència artificial com a millora més remarcable [8-10]. Gràcies a les eines computacionals desenvolupades, el grup de Baker ha dissenyat proteïnes amb afinitat per a lligands específics [11], nanomaterials autoassemblats que generen estructures altament complexes [12], sensors i interruptors proteics [13, 14] i, fins i tot, proteïnes per a neutralitzar les toxines mortals de determinats verins de serp [15].
Predicció de l’estructura plegada de les proteïnes
Una iniciativa clau en la predicció de l’estructura 3D de les proteïnes és el repte CASP (critical assessment of protein structure prediction), organitzat per primera vegada el 1994. Aquest desafiament bianual permet posar a prova els diversos mètodes de predicció d’estructures 3D de les proteïnes, ja que les prediccions es comparen directament amb noves estructures experimentals determinades per cristal·lografia de raigs X o per RMN (ressonància magnètica nuclear). Durant anys el progrés va ser lent, però amb els avenços en la seqüenciació de DNA a l’inici dels noranta, el nombre de seqüències proteiques disponibles també va créixer exponencialment. Aquest fet va permetre alinear i comparar un nombre més gran de seqüències per a una família determinada (alineament múltiple de seqüències, MSA). La mètrica emprada en el CASP per a
avaluar la qualitat dels models generats és el GDT (global distance test), que indica el percentatge més alt d’àtoms de carboni α que es troben dins un cert llindar de distància respecte de l’estructura experimental, un cop superposades iterativament ambdues estructures. Durant anys, el GDT es mantingué per sota del 40 %, fins al CASP12 (2016). El 2018, el GDT va augmentar fins al 70 % gràcies a l’aplicació de mètodes d’aprenentatge profund (o deep learning) amb xarxes neuronals convolucionals. En particular, l’empresa DeepMind, fundada per Demis Hassabis, es va presentar amb un programa basat en una xarxa neuronal convolucional que van anomenar AlphaFold (AF1) [16]. El 2020, l’equip de DeepMind liderat per Jumper i Hassabis va demostrar l’elevada precisió de la seva nova xarxa neuronal completament redissenyada amb arquitectura transformer, AlphaFold2 (AF2) [17]. En el CASP14, AF2 va aconseguir determinar l’estructura 3D de les proteïnes amb valors de GDT del 90 %, considerats comparables a la precisió obtinguda en tècniques experimentals.
L’enginyosa arquitectura d’AF2 de Jumper, Hassabis i els seus col·laboradors pot considerar-se el primer gran avanç científic real de la intel·ligència artificial en biologia. El fet que el codi font d’AF2 fos de domini públic va contribuir decisivament al seu impacte, ja que es va poder provar i validar d’una manera extensiva. I Baker va adoptar ràpidament una arquitectura d’aprenentatge profund semblant en el programa RoseTTAFold (RF) [18].
AF2 s’ha reconegut com una de les fites més importants en la predicció de l’estructura de proteïnes, cosa que ha impulsat l’aplicació i el desenvolupament de múltiples protocols i mètodes d’aprenentatge profund basats en AF2 i en RF per al disseny de proteïnes. I mètodes recents com RFdiffusion [8], ProteinMPNN [10] i al·lucinació [9] desenvolupats per Baker han ampliat el camp del disseny de proteïnes per a aplicacions biomèdiques (per exemple, el disseny de vacunes i inhibidors basats en proteïnes), així com de la biologia sintètica [15, 19-21].
Aplicació d’AF2 per a la determinació de múltiples conformacions
Les proteïnes poden adoptar estructures (conformacions) diferents, les quals es poden capturar mitjançant cristal·lografia
de raigs X, raigs X a temperatura ambient i de resolució temporal, criomicroscòpia electrònica (cryo-EM) i per RMN. A més, es poden aplicar diferents tècniques biofísiques i computacionals que proporcionen informació complementària [22]. Aquestes múltiples conformacions d’una mateixa proteïna dipositades al PDB van tenir un paper important tant en l’entrenament d’AF2 com en la seva aplicació per a avaluar l’heterogeneïtat conformacional dels sistemes biològics.
El protocol estàndard d’AF2 requereix la seqüència primària de l’enzim, un MSA generat amb informació de proteïnes evolutivament relacionades i les coordenades 3D d’un petit nombre d’estructures homòlogues anomenades plantilles (templates). Tot i que AF2 va ser concebut per a predir estructures estàtiques individuals, alguns treballs recents han demostrat que, reduint la profunditat dels MSA d’entrada emprats en l’algoritme d’AF2, es poden generar models precisos en múltiples conformacions diferents [23-25]. Inspirats en aquestes publicacions prèvies que demostren la capacitat d’AF2 de mostrejar estats conformacionals addicionals, vam desenvolupar una aproximació d’AF2 basada en la modificació de les plantilles inicials per tal d’avaluar la varietat conformacional i com aquesta es veu alterada per mutacions a la subunitat β de l’enzim triptòfan sintasa [26-28]. Vam provar l’efecte de reduir el nombre de seqüències proporcionades en l’MSA, però a més vam analitzar com es modifiquen les prediccions d’AF2 quan es faciliten diferents plantilles que mostren múltiples estats conformacionals [27]. Aquestes plantilles provenien tant de conformacions obtingudes mitjançant cristal·lografia de raigs X com de conformacions extretes de simulacions de dinàmica molecular (MD). Amb aquests paràmetres, AF2 va revelar diferències importants en els conjunts d’estructures (conformacions) entre els sistemes analitzats. També vam explorar com executant múltiples simulacions d’MD curtes a partir del conjunt d’estructures d’AF2 i reconstruint les superfícies conformacionals es podien aconseguir estimacions similars a les obtingudes amb simulacions computacionalment més costoses.
Aquesta conclusió és altament engrescadora, ja que demostra el potencial d’AF2, especialment acoblat a simulacions d’MD curtes, per a avaluar de manera ràpida i precisa les diferències conformacionals entre sistemes. Els enfocaments d’aquesta tipologia poden ser de gran utilitat per al desenvolupament de protocols de disseny de proteïnes centrats en els canvis conformacionals clau per a la funció [29, 30]. En aquesta línia, en
el grup hem desenvolupat protocols computacionals basats en MD i eines centrades en l’anàlisi del conjunt d’estructures i moviments correlacionats per a aplicar-los en el camp del disseny racional d’enzims [30, 31]. Mitjançant la nostra eina anomenada SPM (shortest path map), hem pogut augmentar l’eficiència catalítica de diferents classes d’enzims i aconseguir activitats fins a 1 400 vegades superiors a la de l’enzim de partida [31-33].
Reptes actuals i perspectives de futur
Tot i els avenços, un dels grans reptes actuals en el disseny computacional de proteïnes és la predicció d’estructures catalíticament funcionals. El disseny racional d’enzims altament eficients mitjançant eines purament computacionals és encara un repte a assolir. La catàlisi enzimàtica és un procés multidimensional complex que requereix la seqüència i l’estructura òptimes per a permetre la unió del(s) substrat(s), a més de catalitzar els passos químics, alliberar el(s) producte(s) i optimitzar les múltiples conformacions necessàries per a desenvolupar la seva funció. Aquesta elevada complexitat fa que la tasca de dissenyar enzims, sobretot orientats a reaccions o substrats no naturals amb altes eficiències, sigui molt complicada.
L’aplicació d’estratègies d’intel·ligència artificial per al disseny computacional d’enzims en qualsevol reacció objectiu i substrat no natural tot just acaba de començar. Durant molts anys, la manca de precisió a l’hora d’incorporar els residus desitjats del centre actiu en estructures proteiques s’ha considerat una de les principals limitacions del procés global. Tanmateix, aquest punt sembla quedar resolt amb el model de difusió RFdifusion basat en RoseTTaFold desenvolupat recentment pel laboratori de Baker [8]. Tot i això, una de les principals limitacions és predir quines estructures són potencialment més adequades per a optimitzar el conjunt conformacional necessari per a la catàlisi que es vol. Tenint en compte els grans avenços que s’han vist aquests darrers temps, especialment en el camp de la predicció d’estructures i en el disseny de proteïnes, la combinació de mètodes d’intel·ligència artificial amb aproximacions basades en la física tindrà un paper clau els pròxims anys per a trobar solucions òptimes per al disseny racional i rutinari d’enzims altament eficients i estables en reaccions i substrats no naturals.
Agraïments
Sílvia Osuna agraeix a la Societat Catalana de Química la seva invitació a parlar del Premi Nobel de Química de l’any 2024.
Referències
[1] kendreW, J. c. [et al.]. «A three-dimensional model of the myoglobin molecule obtained by X-ray analysis». Nature [en línia], 181 (4610) (1958), p. 662-666. <https://doi.org/ 10.1038/181662a0>.
[2] anFinsen, C. B. «Principles that govern the folding of protein chains». Science [en línia], 181 (4096) (1973), p. 223230. <https://doi.org/10.1126/science.181.4096.223>.
[3] regan, l.; degrado, W. F. «Characterization of a helical protein designed from first principles». Science [en línia], 241 (4868) (1988), p. 976-978. <https://doi.org/10.1126/science. 3043666>.
[4] dahiYat, b i.; maYo, S. L. «De novo protein design: Fully automated sequence selection». Science [en línia], 278 (5335) (1997), p. 82-87. <https://doi.org/10.1126/science.278. 5335.82>.
[5] kuhlman, b. [et al.]. «Design of a novel globular protein fold with atomic-level accuracy». Science [en línia], 302 (5649) (2003), p. 1364-1368. <https://doi.org/10.1126/ science.1089427>.
[6] simons, k. t. [et al.]. «Ab initio protein structure prediction of CASP III targets using ROSETTA». Proteins: Structure, Function, and Bioinformatics [en línia], 37 (S3) (1999), p. 171-176. <https://doi.org/10.1002/(SICI)1097-0134(1999)37:3+<171:: AID-PROT21>3.0.CO;2-Z>.
[7] Jiang, l. [et al.]. «De novo computational design of retroaldol enzymes». Science [en línia], 319 (5868) (2008), p. 1387-1391. <https://doi.org/10.1126/science.1152692>.
[8] lisanza, s. l. [et al.]. «Multistate and functional protein design using RoseTTAFold sequence space diffusion». Nature Biotechnology [en línia] (2024). <https://doi.org/10.1038/ s41587-024-02395-w>.
[9] anishchenko, i [et al.]. «De novo protein design by deep network hallucination». Nature [en línia], 600 (7889) (2021), p. 547-552. <https://doi.org/10.1038/s41586-021-04184-w>.
[10] dauparas, J. [et al.]. «Robust deep learning-based protein sequence design using ProteinMPNN». Science [en línia], 378 (6615) (2022), p. 49-56. <https://doi.org/10.1126/science. add2187>.
[11] tinberg, c e [et al.]. «Computational design of ligandbinding proteins with high affinity and selectivity». Nature [en línia], 501 (7466) (2013), p. 212-216. <https://doi.org/ 10.1038/nature12443>.
[12] bale, J. b [et al.]. «Accurate design of megadalton-scale two-component icosahedral protein complexes». Science [en línia], 353 (6297) (2016), p. 389-394. <https://doi.org/ 10.1126/science.aaf8818>.
[13] bick, m. J. [et al.]. «Computational design of environmental sensors for the potent opioid fentanyl». eLife [en línia], 6 (2017), p. e28909. <https://doi.org/10.7554/eLife.28909>.
[14] langan, r. a. [et al.]. «De novo design of bioactive protein switches». Nature [en línia], 572 (7768) (2019), p. 205-210. <https://doi.org/10.1038/s41586-019-1432-8>.
[15] vázquez torres, s. [et al.]. «De novo designed proteins neutralize lethal snake venom toxins». Nature [en línia], 639 (8053) (2025), p. 225-231. <https://doi.org/10.1038/s41586 -024-08393-x>.
[16] senior, a. W. [et al.]. «Improved protein structure prediction using potentials from deep learning». Nature [en línia], 577 (7792) (2020), p. 706-710. <https://doi.org/10.1038/ s41586-019-1923-7>.
[17] Jumper, J. [et al.]. «Highly accurate protein structure prediction with AlphaFold». Nature [en línia], 596 (7873) (2021), p. 583-589. <https://doi.org/10.1038/s41586-021-03819-2>.
[18] baek, m [et al.]. «Accurate prediction of protein structures and interactions using a three-track neural network». Science [en línia], 373 (6557) (2021), p. 871-876. <https:// doi.org/10.1126/science.abj8754>.
[19] huang, b [et al.]. «Designed endocytosis-inducing proteins degrade targets and amplify signals». Nature [en línia] (2024), p. 796-804. <https://doi.org/10.1038/s41586-024 -07948-2>.
[20] berger, s [et al.]. «Preclinical proof of principle for orally delivered Th17 antagonist miniproteins». Cell [en línia], 187 (16) (2024), p. 4305-4317. <https://doi.org/10.1016/j.cell. 2024.05.052>.
[21] edman, n i [et al.]. «Modulation of FGF pathway signaling and vascular differentiation using designed oligomeric assemblies». Cell [en línia], 187 (14) (2024), p. 3726-3740. <https://doi.org/10.1016/j.cell.2024.05.025>.
[22] baldWin, a. J.; kaY, L. E. «NMR spectroscopy brings invisible protein states into focus». Nature Chemical Biology [en línia], 5 (11) (2009), p. 808-814. <https://doi.org/10.1038/ nchembio.238>.
[23] alamo, d del [et al.]. «Sampling alternative conforma-
tional states of transporters and receptors with AlphaFold2». eLife [en línia], 11 (2022), p. e75751. <https://doi.org/ 10.7554/eLife.75751>.
[24] roneY, J. p.; ovchinnikov, S. «State-of-the-art estimation of protein model accuracy using AlphaFold». Physical Review Letters [en línia], 129 (23) (2022), p. 238101. <https://doi.org/ 10.1103/PhysRevLett.129.238101>.
[25] stein, r a.; mchaourab, H. S. «SPEACH_AF: Sampling protein ensembles and conformational heterogeneity with Alphafold2». PLOS Computational Biology [en línia], 18 (8) (2022), p. e1010483. <https://doi.org/10.1371/journal.pcbi.1010483>.
[26] maria-solano, m. a.; iglesias-Fernández, J.; osuna, S. «Deciphering the allosterically driven conformational ensemble in tryptophan synthase evolution». Journal of the American Chemical Society [en línia], 141 (33) (2019), p. 13049-13056. <https://doi.org/10.1021/jacs.9b03646>.
[27] casadevall, g. [et al.]. «Estimating conformational heterogeneity of tryptophan synthase with a template-based Alphafold2 approach». Protein Sci. [en línia], 31 (10) (2022), p. e4426. <https://doi.org/10.1002/pro.4426>.
[28] maria-solano, m a. [et al.]. «In silico identification and experimental validation of distal activity-enhancing mutations in tryptophan synthase». ACS Catalysis [en línia], 11 (21) (2021), p. 13733-13743. <https://doi.org/10.1021/acscatal. 1c03950>.
[29] maria-solano, m a. [et al.]. «Role of conformational dynamics in the evolution of novel enzyme function». Chemical Communications [en línia], 54 (50) (2018), p. 6622-6634, 10.1039/C8CC02426J. <https://doi.org/ 10.1039/ C8CC02426J>.
[30] osuna, S. «The challenge of predicting distal active site mutations in computational enzyme design». WIREs Computational Molecular Science [en línia] (2021), p. e1502. <https://doi.org/10.1002/wcms.1502>.
[31] casadevall, g. [et al.]. «The shortest path method (SPM) webserver for computational enzyme design». Protein Engineering, Design and Selection [en línia], 37 (2024), p. gzae005. <https://doi.org/10.1093/protein/gzae005>.
[32] casadevall, g. [et al.]. «Designing efficient enzymes: Eight predicted mutations convert a hydroxynitrile lyase into an efficient esterase». bioRxiv [en línia] (2023). <https://doi.org/ 10.1101/2023.08.23.554512>.
[33] duran, c. [et al.]. «Altering active-site loop dynamics enhances standalone activity of the tryptophan synthase alpha subunit». ACS Catalysis [en línia], 14 (22) (2024), p. 1698616995. <https://doi.org/10.1021/acscatal.4c04587>.

Sílvia Osuna és doctora en química, professora de la Institució Catalana de Recerca i Estudis Avançats (ICREA) i catedràtica a temps parcial a la Universitat de Girona. La seva recerca està centrada en el desenvolupament de noves eines i de nous protocols computacionals per al disseny racional d’enzims eficients. És autora de més de cent deu publicacions científiques i ha estat reconeguda amb diferents premis de recerca al talent jove d’institucions europees, catalanes i espanyoles.
Químics catalans al món: Enric Comas Lou
UCB Pharma GmbH (Monheim am Rhein, Alemanya)



Un viatge apassionant a través de la recerca en química
La meva trajectòria en el món de la recerca va començar amb la voluntat de solucionar problemes i mogut per la necessitat de trobar respostes pràctiques a reptes complexos. Aquesta inquietud em va portar a doctorar-me en quimiometria l’any 2005 per la Universitat Rovira i Virgili, sota la direcció dels doctors Joan Ferré i F. Xavier Rius.
Durant el 2002 vaig fer una estada a la Universitat de Carolina de l’Est (Estats Units) amb el professor Paul Gemperline, que va marcar un abans i un després en la meva carrera i va ampliar la meva manera de veure la recerca. Em va ensenyar a abordar els problemes d’una forma més global i a buscar solucions que anessin més enllà de les fronteres disciplinàries o geogràfiques.
Amb aquest nou enfocament, mirar cap a l’estranger es va convertir en el següent pas natural. Al principi, va ser una aventura, un desafiament per sortir de la meva zona de confort i explorar noves maneres de fer ciència. Però el que va començar com una experiència temporal s’ha acabat convertint en un viatge de vint anys, durant els quals he tingut l’oportunitat de treballar en projectes capdavanters, col·laborar amb
Correspondència: Enric Comas Lou
UCB Pharma GmbH
Rolf Schwarz Schütte Platz, 1. 40789 Monheim am Rhein (Alemanya)
A/e: Enric.Comas@ucb.com
https://www.linkedin.com/in/enriccomas/
persones excepcionals i contribuir a la resolució de problemes en àmbits tan diversos com la producció de plàstics a gran escala —treballant a Dow Chemical—, l’ús de la biotecnologia en la síntesi de noves molècules —tant a DSM com a LenioBio— i el desenvolupament de fàrmacs dissenyats per ordinador a UCB. Aquest recorregut m’ha portat a viure als Països Baixos, als Estats Units i, actualment, a Alemanya, col·laborant amb companys i clients d’arreu del món. En aquest temps he après que la recerca no és un camí solitari. Cada avenç i cada problema resolt ha estat possible gràcies a la col·laboració amb persones extraordinàries.
En aquest article, compartiré tres projectes que han marcat la meva trajectòria. A primer cop d’ull poden semblar molt diferents, però tots comparteixen un fil conductor: la combinació de ciència, tecnologia i col·laboració. En cadascun, parlaré del repte a què ens enfrontàvem i de la tecnologia que ens va permetre solucionar-lo. A més, voldria destacar alguns investigadors que han deixat una empremta permanent en la meva manera d’entendre la ciència i la recerca.
Projecte 1. Desenvolupament de solucions analítiques per a processos de producció a gran escala (dut a terme a Dow Chemical, als Països Baixos i als Estats Units)
Un dels grans reptes de la meva trajectòria ha estat el desenvolupament de tecnologia analítica i algorismes matemàtics
capaços de proporcionar solucions quan les mesures directes són extremament limitades. En la producció de polietilè a gran escala, per exemple, sovint només es monitora menys de l’1 % del material produït. Malgrat això, és essencial obtenir informació clau per comprendre i optimitzar els processos de producció.
En aquest projecte, vaig desenvolupar algorismes matemàtics que poden predir, en temps real, diverses propietats físiques i químiques del polietilè produït. Aquestes propietats tenen un impacte directe en les característiques finals del producte. Per exemple, tot i que sovint denominem plàstic el polietilè, la seva composició varia segons l’aplicació: no és el mateix un polietilè destinat a components rígids per a vehicles que un d’utilitzat en aplicacions flexibles, com els envasos alimentaris.
A més, un dels grans reptes va ser garantir que aquests algorismes fossin escalables i aplicables a la majoria dels productes fabricats en diferents plantes de producció arreu del món. Pot semblar un detall trivial, però l’ús dels mateixos models tant al Canadà com a Tailàndia va permetre generar un coneixement més profund sobre els processos de producció i les variables clau que s’han de controlar.
Durant aquest procés, vaig trobar inspiració en dos científics que van tenir un paper fonamental en la meva manera d’entendre la innovació i l’aplicació tecnològica. Benjamín Monrabal, fundador de PolymerChar, va aportar una visió trencadora en el desenvolupament de noves tecnologies, obrint camins
que inicialment semblaven inassolibles. Gràcies a ell, vaig comprendre que, en el control de processos de producció a gran escala, sovint cal anar més enllà dels mètodes convencionals i apostar per tècniques innovadores.
Al mateix temps, Joaquín Flores, president d’ECI Group, em va ensenyar una lliçó essencial: la implementació és clau. No n’hi ha prou amb tenir una idea brillant; cal assegurar-se que pugui ser aplicada d’una manera eficient i efectiva en entorns reals. Una tecnologia revolucionària no té cap impacte si no es pot integrar de forma pràctica en la infraestructura industrial existent.
Els resultats d’aquest projecte, representats a la figura 1, van demostrar el valor d’aquesta combinació entre innovació i aplicació. L’impacte global va ser notable: va millorar significativament l’eficiència en la producció i va generar grans beneficis tant en l’àmbit econòmic com en el tecnològic. Aquest avenç no només va optimitzar processos, sinó que també va establir una base sòlida per a futures millores en la indústria dels polímers.
Projecte 2. Desenvolupament de nous mètodes de síntesi en biotecnologia (realitzat a DSM, als Països Baixos, i a LenioBio, a Alemanya)
Un altre repte fascinant en la meva trajectòria ha estat el desenvolupament de noves rutes de síntesi en biotecnologia,

per a la producció tant d’aliments com de productes farmacèutics, amb l’objectiu de millorar la qualitat de vida de les persones. En un camp on l’eficiència i la seguretat són essencials, la innovació implica trobar nous enfocaments que permetin optimitzar els processos existents i obrir noves possibilitats industrials. Aquest projecte es va centrar en el disseny i el desenvolupament de nous elements de síntesi, explorant camins alternatius per millorar la producció. Això va implicar tant l’enginyeria de processos com l’ús de biocatàlisi i tècniques avançades per incrementar-ne la precisió i el rendiment.
Un primer exemple va ser el desenvolupament de nutrients essencials per a les persones, reduint o eliminant compostos potencialment nocius i contaminants. Alguns casos destacats van ser la síntesi d’edulcorants i la incorporació d’omega-3 en aliments per optimitzar-ne l’assimilació. Un segon exemple va ser la síntesi de proteïnes fora de les cèl·lules. Aquesta aproximació va permetre una manipulació molt més gran, pel fet de no estar limitada per l’entorn cel·lular, tot i els desafiaments relacionats amb el rendiment i l’escalabilitat. Una de les múltiples aplicacions va ser el desenvolupament de vacunes adaptades a cada tipus de pacient. Cada avenç en aquest camp ha reafirmat la meva convicció que la intersecció entre ciència i aplicació pràctica és essencial per generar un impacte real.
Al llarg d’aquest projecte, vaig tenir la sort de rebre la influència de Karin Wertz —directora de producció a Bachem—, que em va transmetre la importància d’una comprensió profunda dels mecanismes moleculars darrere de la síntesi biotecnològica i la necessitat d’aplicar els estàndards màxims de qualitat en cada fase del procés per assolir resultats significatius. També vaig aprendre molt gràcies a Hannes Jürgens —investigador a LenioBio—, que em va ensenyar a ser resilient i a veure en cada experiment fallit una oportunitat d’aprenentatge per millorar futurs experiments.
Projecte 3. Disseny per ordinador de productes farmacèutics (realitzat a UCB, a Alemanya i a Bèlgica)
Un tercer gran repte de la meva trajectòria ha estat el disseny de noves molècules per a aplicacions farmacèutiques, combinant la química computacional amb tècniques avançades de modelització. En un sector en què el desenvolupament de fàr-
macs és extremament complex i costós, l’ús de la computació per accelerar la identificació de candidats farmacològics ha suposat un canvi de paradigma.
Aquest projecte ha implicat la creació d’eines per predir i optimitzar les propietats de noves molècules abans fins i tot de sintetitzar-les, amb la qual cosa es redueixen el temps i els recursos necessaris per desenvolupar tractaments nous. La integració d’algorismes avançats, intel·ligència artificial i simulacions moleculars ha permès explorar espais químics inaccessibles amb els mètodes tradicionals. Així, no només ha estat possible dissenyar noves estructures complexes, sinó també maximitzar l’eficàcia de les molècules en els pacients.
Aquest camp es troba encara en una fase inicial de desenvolupament i crec fermament que les grans innovacions arribaran més endavant, especialment a mesura que avancem en el coneixement biològic.
En aquest camí, he après molt d’Alice Farrell —directora de desenvolupament de negoci a UCB—, que em va ensenyar a connectar la teoria amb les necessitats clíniques reals i a avaluar on i quan cal invertir els recursos. També vaig comprendre que, en projectes tan complexos, és inviable intentar-ho solucionar tot d’una manera individual, i que la col·laboració amb altres investigadors i amb altres grups de recerca és essencial. Massimo de Francesco —investigador a UCB— em va aportar una visió experta sobre l’optimització de processos en la recerca farmacèutica i sobre la forma de considerar tant dades quantitatives (per exemple, l’activitat d’una proteïna) com qualitatives (per exemple, els símptomes que pot tenir un pacient). Gràcies a ells, vaig entendre millor la importància de l’equilibri entre innovació científica i viabilitat pràctica.
Els resultats d’aquest projecte han contribuït al desenvolupament de noves estratègies per al disseny de fàrmacs i han permès obrir camins per a teràpies més precises i eficients. Aquesta experiència ha estat un exemple perfecte de com la intersecció entre computació i ciència pot accelerar avenços amb un impacte tangible en la salut de les persones.
Conclusions finals
Mirant enrere, veig un fil conductor que ha lligat tots aquests projectes: la combinació de ciència, tecnologia i col·laboració.
Cada repte ha estat una oportunitat per explorar nous límits i trobar solucions que semblaven impossibles d’entrada. Però, si hi ha una constant en aquest viatge, ha estat la influència de persones que m’han ajudat a créixer, no sols en l’àmbit científic, sinó també en la manera d’entendre la recerca i la innovació.
Entre aquestes figures, hi ha dues persones que han deixat una empremta permanent en la meva trajectòria. Mark Alpeter ha estat una guia constant que m’ha ensenyat a veure més enllà del problema immediat i a entendre la ciència com un procés global, on cada descoberta obre noves preguntes. Al
seu costat, Sandra Garitonandia m’ha mostrat la importància de la visió estratègica en la recerca; m’ha ajudat a connectar la innovació amb la seva aplicabilitat real i a pensar sempre en l’impacte final.
Sense aquests mentors, i sense els col·laboradors amb qui he tingut la sort de treballar, aquest camí hauria estat molt diferent. El progrés científic és un esforç col·lectiu i l’experiència viscuda en aquests anys m’ha ensenyat que darrere de cada avenç sempre hi ha un equip de persones compromeses i inspiradores.
Activitats destacades de la Societat Catalana de Química
Conferències Enric Casassas i Fèlix Serratosa
La Societat Catalana de Química (SCQ), com cada any, ha collaborat en l’organització de les conferències Enric Casassas i Fèlix Serratosa.
La XXIV Conferència Enric Casassas es va celebrar el 10 de desembre de 2024 al campus de l’Escola Tècnica Superior d’Enginyeria Agroalimentària, Forestal i de Veterinària de la Universitat de Lleida (UdL). En la jornada d’enguany, sota el títol Com anem d’aigua? Recursos, usos i qualitat de l’aigua a les nostres conques, es van presentar tres ponències: «Canvi climàtic i aigua en conques pirinenques», per Josep Mas Pla, catedràtic d’hidrogeologia de la Universitat de Girona (UdG) i investigador de l’Institut Català de Recerca de l’Aigua (ICRA); «Ús i gestió de l’aigua al riu Segre», per Antoni Palau, professor del Departament de Química, Física i Ciències Ambientals i del Sòl de la UdL, i «Qualitat química de l’aigua en els rius, freàtics i en l’aixeta», per Joan Grimalt, professor investigador de l’Institut de Diagnòstic Ambiental i Estudis de l’Aigua (IDAEA-CSIC) de Barcelona. L’acte va finalitzar amb una taula rodona, moderada per Rosa Maria Poch i Encarna Companys, professores del Departament de Química, Física i Ciències Ambientals i del Sòl de la UdL, en què es va reflexionar sobre l’estat de les conques hidrogràfiques del territori català.
La primera sessió de la 29a Conferència Fèlix Serratosa va tenir lloc a l’Institut Català d’Investigació Química (ICIQ) de Tarragona el 10 de febrer de 2025, amb la conferència del professor Marcos García Suero de l’ICIQ, titulada «Catalytic carbyne transfer to impact skeletal editing and late-stage functionalization», i la del professor Ilan Marek, de l’Institut Tecnològic d’Israel - Technion, titulada «Nucleophilic substitution at quaternary carbon stereocenters». La segona sessió d’aquesta edició es va celebrar l’11 de febrer de 2025 a la Facultat de Química de la Universitat de Barcelona (UB) amb la segona conferència del professor Ilan Marek, titulada «Remote functionalization».
Commemoració del Premi Nobel de Química 2024
El 12 de desembre de 2024, a la seu de l’Institut d’Estudis Catalans (IEC), es va celebrar l’acte científic amb motiu de la
commemoració del Premi Nobel de Química 2024, que enguany es va atorgar, a parts iguals, a l’investigador nordamericà David Baker, pel disseny computacional de proteïnes, i a l’investigador britànic Demis Hassabis i a l’investigador nord-americà John Jumper, per la predicció de l’estructura de les proteïnes.
L’acte va ser presidit per Rosa Maria Marcé, vicepresidenta de la Societat Catalana de Química (SCQ). En el transcurs de la celebració, la professora Sílvia Osuna, investigadora ICREA de la Universitat de Girona i experta en el camp de recerca del Premi Nobel de Química del 2024, va pronunciar la conferència «Predicció computacional, revolució real: mètodes per al disseny i predicció estructural de proteïnes». La seva aportació es recull en aquest número de la revista en format d’article amb el títol «La predicció computacional: una revolució real. Mètodes per al disseny i la predicció estructural de proteïnes».

En acabar la conferència, es van lliurar els diplomes a les persones doctorades a les universitats catalanes en l’àmbit de la química durant el curs 2023-2024. La cloenda de l’acte es va celebrar amb una copa de cava al pati de l’edifici de l’IEC. L’acte, que va ser enregistrat, es troba disponible al canal YouTube de l’IEC (https://www.youtube.com/watch?v= HrBNmFbx8Hs).

2a Reunió de Química Teòrica i Computacional de la SCQ
Els dies 27 i 28 de gener de 2025 es va celebrar a la Sala Prat de la Riba de la Casa de Convalescència, seu de l’Institut d’Estudis Catalans (IEC), la 2a Reunió de Química Teòrica i Computacional (RQTC) de la Societat Catalana de Química (SCQ) amb el mateix objectiu de l’edició del 2023, és a dir, donar visibilitat a la recerca duta a terme als Països Catalans, especialment la dels joves investigadors, en l’àmbit de la química teòrica i computacional. En aquesta edició, com a ponents a les cinc sessions plenàries, es van convidar investigadors formats als Països Catalans però que desenvolupen la seva recerca en institucions europees: Merche Alfonso (Forschungszentrum Jülich, Alemanya); Mònica Calatayud (Universitat de la Sorbona,

París IV, França); Daniel Escudero (Universitat Catòlica de Lovaina, Bèlgica), Ainara Nova (Universitat d’Oslo, Noruega) i Alberto Roldan (Universitat de Cardiff, Regne Unit). La reunió va tornar a tenir molt bona acollida. S’hi van presentar vint-iuna comunicacions orals, vint-i-cinc presentacions flaix i vint-i-dos pòsters, amb un total de 132 participants. Les xifres demostren la consolidació de la reunió com a punt de trobada de la comunitat de químics teòrics i computacionals dels Països Catalans.
2a Reunió de Química Inorgànica i Organometàl·lica de la SCQ
La 2a Reunió de Química Inorgànica i Organometàl·lica (RQIO) de la Societat Catalana de Química (SCQ) va canviar d’ubicació. Es va celebrar a la Sala Paranimf de l’edifici del rectorat de la Universitat Rovira i Virgili, del 5 al 7 de febrer de 2025. Igual que en la reunió del 2023, es va donar el protagonisme a joves investigadors, però també a investigadors sèniors de l’àmbit de la química inorgànica i organometàl·lica dels Països Catalans. L’edició d’enguany també va ser un èxit d’assistència i de qualitat dels treballs presentats, amb més de cent vint participants repartits en cinc conferències plenàries, vint-ivuit comunicacions orals, vint-i-sis presentacions flaix i vint pòsters. Les conferències plenàries van ser impartides per reconeguts investigadors internacionals: Per-Ola Norrby (AstraZeneca, Suècia), Eva Rentschler (Universitat Johannes Gutenberg de Magúncia, Alemanya), Alicia Casitas (Universitat Philipps de Marburg, Alemanya), Alicia Forment (Universitat de València), Cathleen Crudden (Queen’s University, Canadà). Sembla, doncs, que l’èxit d’aquesta segona edició consolida també la RQIO i en garanteix la continuïtat.

1a Reunió de Química Orgànica de la SCQ
Seguint la mateixa filosofia amb què el 2023 es van crear la 1a Reunió de Química Teòrica i Computacional (RQTC) i la 1a Reunió de Química Inorgànica i Organometàl·lica (RQIO), els dies 30 i 31 de gener de 2025 va tenir lloc a la seu de l’Institut d’Estudis Catalans (IEC), a Barcelona, la 1a Reunió de Química Orgànica (RQO) de la Societat Catalana de Química (SCQ). Aquesta reunió té com a objectiu posar en relleu la diversitat i l’excel·lència de la recerca en l’àmbit de la química orgànica que es duu a terme als Països Catalans. Tot i ser la primera edició, la convocatòria va rebre una excel·lent resposta, amb gairebé cent vint assistents repartits en quatre conferències plenàries, vint-i-sis comunicacions orals, divuit presentacions flaix i vint-i-un pòsters. Les conferències plenàries van ser impartides per quatre referents internacionals en el camp de la química orgànica: Guy C. Lloyd-Jones (Universitat d’Edimburg, Escòcia), Armido Studer (Universitat de Münster, Alemanya), Yoko Yamakoshi (Escola Politècnica Federal de Zúric, Suïssa) i Marc Vendrell (Universitat d’Edimburg, Escòcia).
Cal destacar que, en les tres reunions —RQTC, RQIO i RQO—, hi van participar investigadors vinguts d’arreu del territori català, de Catalunya, del País Valencià i de les Illes Balears.

XVIII Jornades de Química
Verda
Els dies 10, 11 i 28 de febrer de 2025 es va celebrar a la Universitat Rovira i Virgili (URV) la divuitena edició de les Jorna-
des de Química Verda (JQV 2025). Aquestes jornades s’organitzen anualment a la Facultat de Química de la URV amb el patrocini de la Societat Catalana de Química (SCQ) i l’Associació Empresarial Química de Tarragona (AEQT).
Enguany les Jornades de Química Verda van portar per títol H2O: molècula vital i recurs finit i es van centrar a reflexionar sobre l’escassetat de l’aigua que hi ha actualment, la seva gestió i la manera d’assegurar-ne la qualitat mitjançant sistemes d’anàlisi químics monitorats. Al llarg dels tres dies que van durar les jornades es van programar visites a estacions depuradores de l’entorn, conferències, debats i un joc de l’aigua en format de gimcana.
Premis Sant Jordi 2025
La Societat Catalana de Química (SCQ), que, dins el marc dels Premis Sant Jordi de l’Institut d’Estudis Catalans (IEC), distingeix cada any el millor treball de fi de grau (TFG) de química realitzat per alumnes d’universitats de terres de llengua catalana, va premiar, en l’edició d’enguany, el treball de Carles Alcaide Blaya titulat Modifying catalytic sustainability: Aromaticity, conceptual DFT and steric mapping
L’acte de lliurament dels Premis Sant Jordi 2025 va tenir lloc el divendres 23 d’abril a la Sala Prat de la Riba de la Casa de Convalescència de l’IEC. Teresa Cabré, presidenta de l’Institut, va presidir l’acte, acompanyada de l’abat de Montserrat, Manel Gasch i Hurios.

XXXVII Debat de Química
a l’Institut d’Estudis Catalans, dinovena edició dels Premis de Batxillerat i concurs de vídeos
El XXXVII Debat de Química a l’Institut d’Estudis Catalans es va celebrar el 21 de maig de 2025 a la Sala Pere i Joan Corominas de l’Institut d’Estudis Catalans (IEC). En aquesta edició, la ponent convidada va ser la professora Anna Rigol Parera, del Departament d’Enginyeria Química i Química Analítica de la Universitat de Barcelona (UB), que va pronunciar la conferència «La química al servei de la protecció del medi ambient».

Després de la conferència i del debat posterior entre els assistents, es van lliurar els Premis als Treballs de Recerca de Batxillerat dins l’Àmbit de la Química, que anualment atorga la Societat Catalana de Química (SCQ) i que enguany va arribar a la dinovena edició. El tribunal encarregat de seleccionar els treballs premiats va valorar molt positivament tant la quantitat de projectes presentats com l’alt nivell de qualitat demostrada. Els dos primers premis ex aequo de la dinovena edició es van atorgar als treballs La recuperació del fòsfor en aigües residuals: una oportunitat per al futur, realitzat per Erola Abellà Barniol, de l’Institut Jaume Huguet (Valls), i Dels raigs còsmics als núvols. Els mecanismes de formació de núvols: recerca i divulgació, realitzat per Martina Buch Andreu, de l’Institut Jaume Almera (Vilassar de Dalt). També es van concedir dos accèssits a Edna Ávila González, de l’Escola Puigcerver (Reus), pel treball titulat DSSC: fotoelectroquímica amb pigments naturals per al desenvolupament de cel·les solars, i a Sandra Jor-
ba Romero i Emma Ruíz Ontoso, de l’Institut Mercè Rodoreda (l’Hospitalet de Llobregat), pel treball titulat Síntesi verda de nanopartícules d’or i plata. Deu treballs més van rebre una menció honorífica: els dels estudiants María Febas, del Col·legi Claver-Jesuïtes (Lleida); Isaac González, de l’Institut La Sagrera Sant Andreu (Barcelona); Foix Subirós, de l’Institut Eugeni d’Ors (Vilafranca del Penedès); Lisa Carvajal, de l’Institut Josep Brugulat (Banyoles); Miguel Fernández i Enric Lanzas, de l’Institut Aiguaviva (Mollet del Vallès); Laia Noguera, de l’Escola Pia Calella (Calella); Pol Arbolí, de l’Institut Cendrassos (Figueres); Mykola Stefanskyy, de l’Institut Gallecs (Mollet del Vallès); Erika Rubí, de l’Escola Pia (Sitges), i Laia Torrell, de l’Institut Guindàvols (Lleida).

En aquest mateix acte es van lliurar els premis als guanyadors del concurs de vídeos «Química i medi ambient». La SCQ, davant l’evidència científica del canvi climàtic que afecta tot el planeta, va proposar aquest tema per a l’edició d’enguany amb l’objectiu de reflexionar sobre el paper de la química en la cerca de solucions per a la millora del medi ambient. Es van rebre més de cinquanta vídeos en total. El comitè avaluador va destacar la qualitat i l’originalitat del material presentat. Els guanyadors del concurs de vídeos van ser Ricard Artigas Valcarce, Marc Cortada Ferrerons i Marc Cordero Gironella, de l’Institut Ermessenda (Girona) en la modalitat «ESO», pel vídeo titulat Menys CO2 , més futur En la modalitat «Batxillerat i cicles formatius», el premi es va atorgar a Carmen Lusilla Poza, del Col·legi Cultural Badalona (Badalona), pel vídeo titulat La química en un material biodegradable

Els guanyadors del concurs de vídeos «Química i medi ambient», amb membres de la Junta de la SCQ. Fotografia cedida per l’IEC.
Premis de la Societat Catalana de Química en Recerca, Educació i Divulgació 2025
En la cinquena edició dels Premis de la Societat Catalana de Química (SCQ) en Recerca, Educació i Divulgació, el professor ICREA Daniel Maspoch Comamala, de l’Institut Català de Nanociència i Nanotecnologia (ICN2) de Barcelona, va ser distingit amb el Premi a l’Excel·lència Científica, que reconeix la trajectòria científica en l’àmbit de la química d’un investigador o investigadora que hagi desenvolupat majoritàriament la seva carrera científica en territori català. Els dos premis al Talent Científic Emergent es van atorgar al doctor Marc Garcia Borràs, investigador Ramón y Cajal de la Universitat de Girona, i al doctor José Jaime Baldoví, director del 2D Smart Materials Lab de la Universitat de València, per la seva capacitat de lideratge científic ascendent en l’àrea de la química. El Premi a l’Activitat Divulgadora es va concedir a Xavier Giménez Font, professor de la Universitat de Barcelona, per les seves tasques en la divulgació de la cultura química en tots els àmbits de la ciutadania. Els premis a la Innovació Educativa i a l’Excel·lència Educativa van quedar deserts.
El 26 de juny es va celebrar l’acte públic de lliurament dels Premis de la SCQ a la Sala Pere i Joan Corominas de l’Institut d’Estudis Catalans (IEC). L’acte va estar presidit per Gregori Ujaque, president de la SCQ. Tots els premiats van poder assistir-hi presencialment, excepte el doctor Marc Garcia Borràs, que es va incorporar en línia a l’acte en estríming. L’acte, que va ser enregistrat, es troba disponible al canal YouTube de l’IEC (https://www.youtube.com/watch?v=wFyPqdoRWSA).




Premi Nitti-Casassas convocat per la Societat Catalana de Química i la Societat de Química Italiana
Amb l’objectiu de reforçar la cooperació internacional, la Societat Catalana de Química (SCQ) va signar un acord bilateral amb la Societat de Química Italiana (SCI) pel qual la SCQ ha de reconèixer, cada dos anys, un químic o química destacat de la SCI. El reconeixement inclou la invitació a oferir diverses conferències en universitats o centres de recerca de prestigi dels territoris de parla catalana. De manera recíproca, i en els anys alterns, la SCI ha de convidar un químic o química català a impartir conferències en institucions de recerca italianes.

En aquesta primera edició, va correspondre a la SCQ distingir un científic o científica italià de renom. Concretament, es va atorgar el primer Premi Nitti-Casassas a la professora Luisa De Cola, de la Universitat de Milà. En l’acte de lliurament, que va tenir lloc el 26 de juny, es va fer el reconeixement a la professora De Cola, que es va connectar a l’acte en estríming
XXII Conferència Europea de Química Analítica
Euroanalysis 2025
La XXII Conferència Europea de Química Analítica Euroanalysis 2025 es va celebrar al Centre de Convencions Internacional de Barcelona, del 31 d’agost al 4 de setembre. La conferència és un congrés bianual emblema de la Divisió de Química Analítica (DAC) de la Societat Química Europea (EuChemS), que, en l’edició del 2025, ha organitzat la Societat Catalana de Química (SCQ) en territori català. El congrés va anar precedit de set cursos de temàtiques punteres dins l’àmbit de la química analítica, que van tenir lloc a l’edifici històric de la Universitat de Barcelona el 31 d’agost. La programació del congrés va incloure una conferència inaugural sobre la història de la química analítica a l’Estat espanyol, impartida pel professor Miquel Esteban Contada, de la Universitat de Barcelona, i tres conferències plenàries —a càrrec de la professora Laura Lechuga Gómez, de l’Institut Català de Nanociència i Nanotecnologia (ICN2); del professor Frédéric Lynen, de la Universitat de Gant (Bèlgica), i del professor Marek Tobiszewski, de la Universitat de Gdan´sk (Polònia). També van impartir una ponència la professora Elia Psillakis, de la Universitat Tècnica de Creta (Grècia), guardonada amb el Premi Robert-Kellne, i el professor Guenter Gauglitz, de la Universi-

tat Eberhard Karl de Tübingen (Alemanya), honorat amb el premi de la DAC de la EuChemS. El conjunt de la programació del congrés va incloure vint-i-una conferències convidades (keynote conferences), cent cinquanta-nou comunicacions orals, vuitanta-vuit comunicacions orals de joves investigadors i quatre-cents disset pòsters, amb un total de gairebé set-cents participants, que demostren la gran acollida que va tenir la iniciativa.
Reconeixement d’Emplaçaments
Històrics Representatius de la Química en el Territori de Parla Catalana 2025
La distinció que la Societat Catalana de Química (SCQ) atorga a emplaçaments històrics (edificis, laboratoris, universitats, indústries, institucions, ciutats, explotacions, manufactures...) representatius de la química en el territori de parla catalana ha arribat ja a la cinquena edició. En aquesta convocatòria del 2025, la candidatura premiada ha estat la del Museu de Ceràmica La Rajoleta, d’Esplugues de Llobregat (https://museus. esplugues.cat/la-rajoleta), proposta presentada per la Direcció dels Museus d’Esplugues de Llobregat. Situat al cor del nucli històric de la ciutat, el Museu de Ceràmica La Rajoleta conserva les estructures i els forns originals de l’antiga fàbrica de ceràmica Pujol i Bausis, activa entre els anys 1850 i 1984. El museu forma part de la selecció dels 150 elements més emblemàtics del patrimoni industrial de Catalunya, i mostra el procés de producció de la ceràmica aplicada a l’arquitectura, especialment rellevant durant el període del Modernisme ca-

talà. A més, La Rajoleta està integrat dins del Sistema Territorial del Museu Nacional de la Ciència i la Tècnica de Catalunya.
L’acte de descobriment de la placa del Museu de Ceràmica La Rajoleta, que reconeix la seva rellevància com a emplaçament històric representatiu de la química, va tenir lloc el 12 de no-
vembre. Durant l’acte es va portar a terme una visita guiada per als assistents; es va pronunciar la ponència «La química aplicada a la ceràmica. El cas de La Rajoleta», a càrrec de la directora dels Museus d’Esplugues de Llobregat, i van tenir lloc els parlaments de Gregori Ujaque, president de la SCQ, i dels representants de l’Ajuntament d’Esplugues de Llobregat i de l’Institut d’Estudis Catalans (IEC).