


![]()



Ing. Massimo Cerri

La mobilità del futuro
Bilanciare la crescita economica con la tutela dell’ambiente è oggi una delle principali sfide per ogni città che voglia definirsi moderna. In un contesto in cui l’urbanizzazione avanza rapidamente, la domanda di trasporti efficienti, accessibili e a basso impatto ambientale diventa cruciale.
Il settore della mobilità è tra i maggiori responsabili delle emissioni globali di CO2. Per troppo tempo il principale veicolo di spostamento è stato l’auto privata, spesso a causa di un servizio pubblico inefficiente. Ma oggi il paradigma sta cambiando. Innovazione tecnologica, nuove normative ambientali e cambiamenti nei comportamenti dei cittadini stanno dando forma a un ecosistema più sostenibile.
L’elettrificazione è uno dei pilastri di questa transizione. I mezzi elettrici non sono più una nicchia: l’ampliamento delle infrastrutture di ricarica e le politiche di incentivo ne stanno accelerando l’adozione. Oslo rappresenta uno dei modelli più avanzati: nel 2023, il 90% delle nuove auto immatricolate era elettrico.
A Shenzhen, in Cina, l’intero parco di vetture pubbliche è stato convertito all’elettrico: 16.000 autobus e il 99% dei taxi riducono ogni anno le emissioni di oltre un milione di tonnellate di CO2 Non si tratta solo di sostituire l’esistente, ma di integrare i sistemi. L’approccio MaaS (Mobility as a Service) propone una mobilità combinata: trasporto pubblico, bike sharing, car sharing e micromobilità racchiusi in un’unica app. Helsinki ha fatto scuola con Whim, una piattaforma che consente ai cittadini di pianificare e pagare ogni spostamento da un solo strumento, disincentivando così l’uso della macchina privata.
A supporto di questa transizione, entrano in gioco anche le tecnologie più avanzate. L’intelligenza artificiale viene utilizzata per ottimizzare i flussi di traffico, ridurre la congestione e migliorare l’efficienza. Allo stesso tempo, soluzioni come il Vehicle-to-Grid (V2G) — in cui le auto elettriche restituiscono energia alla rete — stanno trasformando i veicoli in nodi attivi del sistema energetico urbano.
A Tokyo, questi modelli sono già realtà, così come lo sviluppo di treni e autobus a idrogeno.
Le infrastrutture si stanno adattando con la stessa velocità: le stazioni di ricarica ultra-rapida si
diffondono nei parcheggi pubblici, lungo le strade e nei centri commerciali, rendendo l’elettrificazione sempre più pratica e diffusa.
Le città del futuro dovranno essere pensate per muoversi diversamente. Spazi a misura di pedone e ciclista, trasporto pubblico efficiente, integrazione digitale dei servizi. Amsterdam è un esempio concreto, con il 40% degli spostamenti in bicicletta e punti di ricarica a meno di 500 metri da ogni cittadino. Parigi ha abbracciato il concetto di “città a 15 minuti”, mentre Londra, con la sua Ultra Low Emission Zone (ULEZ), ha posto limiti stringenti ai veicoli inquinanti, puntando a una flotta pubblica a zero emissioni entro il 2037. Anche Milano sta percorrendo questa strada: l’Area C ha ridotto il traffico del 30% e punta a un trasporto pubblico completamente elettrico entro il 2030.
Tutto questo, però, non è possibile senza una forte regia pubblica. Servono politiche lungimiranti, incentivi economici, investimenti infrastrutturali e il sostegno a startup capaci di innovare. È qui che il Cleantech entra in gioco come leva strategica.
Le startup Cleantech stanno rivoluzionando la mobilità urbana: dalla creazione di piattaforme digitali all’uso dell’AI per ottimizzare i percorsi, fino allo sviluppo di batterie di nuova generazione. Tuttavia, la vera sfida è scalare. I fondi di Venture Capital specializzati nel settore stanno diventando fondamentali per sostenere queste realtà e accelerarne la crescita.
Altrettanto strategico è il ruolo della collaborazione tra startup, università e imprese e ingegneri. I programmi di Venture Building stanno emergendo come strumenti decisivi. Il programma lanciato da NextSTEP Cleantech VC - che dopo Londra arriverà anche in Italia nel 2026 - è un esempio virtuoso di come un ecosistema integrato possa generare innovazioni scalabili e ad alto impatto nel settore della mobilità.
In definitiva, la mobilità urbana non è solo un tema tecnico, ma il cuore pulsante della trasformazione sostenibile delle nostre città.
Ing. Massimo Cerri Presidente
Ordine degli Ingegneri della Provincia di Roma
Ing. Maria Elena D’Effremo

Care Colleghe e cari Colleghi,
Roma nei prossimi anni si appresta a ridisegnare il proprio volto con una rivoluzione su rotaie che guarda oltre il semplice trasporto: con nuove linee di tram si prepara a cambiare pelle.
La linea 1, Termini–Vaticano–Aurelio, è il cuore del cambiamento, ma il futuro porta altre novità, progetti strategici e una flotta completamente nuova.
I nuovi cantieri saranno infatti molto più di infrastrutture: saranno scenari in cui la tecnologia incontra l’urbanistica: i tram del futuro saranno dotati di sistemi informativi avanzati che permetteranno una migliore gestione del traffico e una maggior comfort per i passeggeri.
Il tram diventerà un sistema di trasporto più simile alla metropolitana di superficie, capace di muoversi su sede protetta, con semafori intelligenti e tempi più certi, più vicino alla visione futuristica che combinano tram, metro e ferroviario urbano come un cuore unico della città.
Il tram emerge così come risposta ecologica e pragmatica: abbassa le emissioni di CO2, consuma fino a dieci volte meno per passeggero rispetto all’auto e dimezza i consumi rispetto all’autobus, contribuendo a una mobilità sostenibile essenziale per Roma.
Insomma, Roma ha davanti a sé l’opportunità di costruire un sistema di trasporto tranviario che
non sia solo un mezzo: ma una rete integrata, efficiente, pulita, in grado di rivitalizzare periferie e collegare quartieri oggi frammentati.
Un potenziale cambiamento culturale, ancor prima che tecnologico. Se tutto procederà come pianificato, nel prossimo decennio il tram sarà un pilastro di una Roma più sostenibile, moderna e più connessa.
Non mancheranno chiaramente le sfide: ritrovamenti archeologici, resistenze locali e complessità burocratiche rallentano l’avvio dei cantieri. Eppure, come in una canzone di Franco Battiato che “Una città che non c’è”, Roma potrebbe diventare una città ideale che finalmente funziona, un luogo in cui armonia e bellezza trovano la loro giusta dimensione.
Il tram del futuro diventa così anche narrante: collegherà storie e volti, porterà lo studente a Tor Vergata, il turista verso San Pietro, il pendolare dal centro alle periferie.
Non mi resta che augurarvi buona lettura, ricordandovi che nell’ottica di un approccio più agile e mirato alla condivisione, anche IO Roma si è dotata di una pagina Linkedin, “IO Roma Rivista dell’Ordine Ingegneri della provincia di Roma”, che vi invito a seguire, così come vi invito a consultare la pagina https://ioroma.info/.
Ing. Maria Elena D’Effremo Direttrice Editoriale

Direttrice responsabile
Marialisa Nigro
Direttrice editoriale
Maria Elena D’Effremo
Comitato di redazione
Sezione A
Massimo Cerri
Silvia Torrani
Micaela Nozzi
Stefania Arangio
Sezione B
Alfredo Simonetti
Amministrazione e redazione
Fabrizio Averardi Ripari Giorgio Martino
Michele Colletta Giovanni Nicolai
Alessandro Fuschiotto Paolo Reale
Marco Ghimenti Mauro Villarini
Piazza della Repubblica, 59 - 00185 Roma
Tel. 06 4879311 - Fax 06 487931223
Direttore creativo e progettazione grafica
Tiziana Primavera
Assistenza Editoriale
Leonardo Lavalle
Antonio Di Sabatino
Emanuela Cariani
Referente FOIR
Francesco Marinuzzi
Immagini fuori testo
Foto di Roma attuali
Maria Elena D’Effremo
Stampa Press Up
Ordine degli Ingegneri della Provincia di Roma
Piazza della Repubblica, 59 - 00185 Roma www.ording.roma.it
segreteria@ording.roma.it
editoriale@ording.roma.it
Finito di stampare: Agosto 2025
Il Quaderno IOROMA è una estensione alla rivista IOROMA
La Direzione rende noto che i contenuti, i pareri e le opinioni espresse negli articoli pubblicati rappresentano l’esclusivo pensiero degli autori, senza per questo aderire ad esse.
La Direzione declina ogni qualsiasi responsabilità derivante dalle affermazioni o dai contenuti forniti dagli autori, presenti nei suddetti articoli.



Nel recente passato in Italia sono accaduti infortuni con esito spesso mortale, durante attività nei cosiddetti "ambienti confinati o con sospetto di inquinamento". Il susseguirsi di differenti cicli economici ed industriali provoca periodicamente un aumento della frequenza degli eventi incidentali che crea, a sua volta, un aumento dell'attenzione sul tema, specie da parte dei mezzi di informazione con conseguente impatto sull'opinione pubblica. L'attenzione sul problema ha spinto il legislatore a legiferare e regolamentare le attività negli ambienti confinati o con sospetto di inquinamento. Un ambiente confinato è un luogo di lavoro, generalmente temporaneo, che sovrappone vari livelli di rischio, ad esempio quello strutturale, quello chimico o quello impiantistico. È quindi di fondamentale importanza impostare con criterio e attenzione la valutazione dei rischi, analizzando tutte le fasi del lavoro, sia per gli aspetti legati alla topologia dell'ambiente, sia per i contesti ambientali complessivi del luogo, la cui atmosfera è potenzialmente inquinata e sfavorevole alla presenza dei lavoratori.
Tutta l’operatività deve essere vista partendo dalla pianificazione, attraverso l'inizio, l’esecuzione e la fine dei lavori analizzando le metodiche e le tecniche operative, ma anche l'eventuale gestione dell'emergenza, aspetto assolutamente non secondario dal punto di vista organizzativo.
La difficoltà di gestione di attività, anche semplici, effettuate in questi ambienti, spiega perché la norma individui responsabilità, strutture organizzative e prassi, ponendo un forte accento su esperienza e formazione molto più di quanto sia usuale nel complesso della legislazione della sicurezza sui luoghi di lavoro.
La complessità delle procedure da rispettare, documentare e verificare comporta una rigida sequenza di analisi con allo stesso tempo, una difficile replicabilità dei processi: di volta in volta va individuato ed esaminato il contesto operativo in cui si cala il metodo valutativo, che deve evolversi e adattarsi alle specificità delle circostanze. Le procedure sulle quale occorre formare e addestrare i lavoratori e l'organizzazione possono essere uguali nei titoli ma avere ogni volta una specifica declinazione propria del caso in analisi.
Nel 2011 il legislatore, sulla spinta del ripetersi di infortuni mortali, spesso analoghi nelle circostanze, predispose un testo di legge, il DPR 177/2011, che focalizza le attività in questo ambito indicando:
• un sistema di imprese “qualificate”;
• lavoratori con esperienze e con un percorso formativo definito e tracciabile;
• passi operativi e predisposizione di procedure e metodi;
• organizzazione e responsabilità.

a cura di: Ing. Stefano Di Pietro
Revisionato da: Ing. Antonio di Muro Ing. Stefano Salari
Commissione: Sicurezza nei luoghi di lavoro

Un tema importante è il punto della certificazione dei contratti, tra i primi casi evidenti, di una terza parte, seppur non precisamente definita, che seleziona, le imprese potenzialmente operanti, in un’ottica, di consentire l’operatività solo a soggetti adeguati e competenti, se inseriti in subappalti, fermando realtà organizzate in modo approssimato e troppo “flessibili” alle regole del mercato, che hanno marcato la moltitudine di eventi nefasti che hanno costellato questo tipo di attività.
Queste realtà, spesso piccole, hanno evidenziato scarsa formazione, bassa conoscenza delle fonti di rischio ed una evidente, specie negli incidenti multipli, capacità di affrontare le emergenze oltre a carenti dotazioni di protezione. Si è sempre evidenziata una mancanza oggettiva di valutazione preliminare preventiva sugli ambienti in cui si doveva operare. Un sistema evidentemente non adeguato se non incoerente con quanto previsto dal legislatore nel D.lgs. 81/2008.
Queste circostanze di fatto hanno generato tanti episodi infortunistici importanti in cui sono stati coinvolti più lavoratori, spesso nell’atto di aiutare i colleghi in difficoltà, contravvenendo proprio alle procedure di emergenze e sicurezza mostrando lo scarso o insufficiente addestramento che avrebbero dovuto rendere le azioni di risposta automatiche in tutela, senza improvvisazioni o agite dall’istinto. Questi automatismi di reazione, questa linearità nell’applicare i protocolli sono il fattore abilitante ad
una gestione sicura dei lavori, ricercata proprio nel DPR nel ripetere più volte il tema della formazione. È quindi da perseguire una gestione armonica, ma allo stesso tempo rigida e puntuale, sia delle fasi preliminari che operative delle attività che consente di agire con margini di sicurezza, con descrizioni precise e contestualizzate, con la giusta strumentazione e le necessarie competenze da esercitare sempre anche nelle condizioni di emergenza.
Un percorso che vede la corretta applicazione di prassi operative, senza semplificazioni o scorciatoie, dove diventa importante una acquisita solida esperienza che si alimenta non solo con la pratica, ma con una formazione oltre che puntuale anche ripetuta, validata, verificata, al fine anche di ottenere comportamenti, che un antropologo definirebbe “istintivi”, cioè degli automatismi che nell’ottica della sicurezza, evitino l’improvvisazione o il “non ragionare” sul merito di ciò che si sta manifestando, cosa che ha condotto purtroppo ai tanti infortuni registrati.
Sono quindi due i piani su cui agire, quello procedurale-organizzativo-selettivo e quello qualificativo-formativo:
• l’insieme procedurale conterrà: la valutazione dei rischi, le procedure, i piani di emergenza, le tecniche, le metodologie, i piani di misure e rilievi, i dispositivi di protezione collettivi e indi-

viduali, l’elenco dei mezzi a disposizione, l’organizzazione, i tempi, i ruoli, la raccolta delle abilitazioni, le verifiche, le attività di pre-lavoro (c.d. prejob) e post lavoro (c.d. post check), i sistemi di comunicazione, ed altro ancora, il tutto sullo strato valutativo del luogo e delle sue criticità e del programma lavori che si dovrà eseguire;
• il processo formativo ed addestrativo, oltre al programma per i vari ruoli da quelli del lavoratore a quelli del coordinatore operativo e caposquadra/preposto anche, all’indicazione dei programmi e delle ore erogate, deve anche focalizzare la fase pratica e la fase di avvio attività dove si deve ripassare cosa si dovrà fare e come ci si dovrà comportare in relazione alle criticità del luogo confinato, giudicando senza indugio qualità o negligenza, selezionando chi può e chi è bene non prosegua. Una formazione che, come ricorda il decreto, può coinvolgere il datore di lavoro qualora eserciti anche lui attività in tale contesto.
La legge pone il focus su due concetti a volte uniti, cioè sia il termine di luogo confinato inteso come luogo non comune di lavoro o meglio non assimilabile ad un luogo di continuità lavorativa e sia ad un luogo le cui condizioni di contesto lo rendono definito come inquinato e come tale anch’esso non assimilabile ad ambienti tipici lavorativi.
Già il D.lgs. 81/2008 in due articoli il 66 ed il 121 identifica “ambienti sospetti di inquinamento”, ricordandoli anche nell’allegato IV, con l’immagine più comune di luogo confinato, ma certamente a livello documentale è la guida operativa dell’ex Ispesl a descriverne un insieme coerente: “ambiente confinato” si intende uno spazio circoscritto, caratterizzato da limitate aperture di accesso e da una ventilazione naturale sfavorevole, in cui può verificarsi un evento incidentale importante, che può portare ad un infortunio grave o mortale, in presenza di agenti chimici pericolosi (ad esempio, gas, vapori, polveri). Alcuni ambienti confinati sono facilmente identificabili come tali, in quanto la limitazione legata alle aperture di accesso e alla ventilazione sono ben evidenti e/o la presenza di agenti chimici pericolosi è nota.
Il calare la possibile definizione di spazio confinato nelle realtà operativa, è il primo punto di analisi e di descrizione, non potendo perseguire una definizione puntuale dello stesso che rimane nella norma generica e non esaustiva: ovviamente il legislatore e le varie istituzioni coinvolte hanno dovuto generalizzare il concetto per collegarsi alle numerose tipologie da intendersi, in cui ricade un luogo confinato non solo perché in forma statica, ma anche perché spesso soggetto ad una dinamica evolutiva in cui si trasforma.
Ecco che il concetto di “confinamento” passa per vari elementi che una eventuale procedura interna
consentirebbe di meglio definire, evidenziare e caratterizzare e soprattutto catalogare e sostenere ai fini della valutazione del rischio. Confinato ci rimanda ad un concetto di “camera chiusa”, ma non è solo questo il caso. Sono confinati potenzialmente anche gli spazi posti sopra o sotto il normale piano di calpestio con difficile accesso e dunque anche di uscita, quelli per cui l’ingresso avviene con strumenti non comuni. Questo solo per dare una veloce attribuzione.
A ciò si aggiunge il secondo fattore, quello dell’atmosfera e quindi, dove la respirazione è compromessa, non possibile e deve ad esempio avvenire necessariamente per il tramite di ausili quali maschere o respiratori, rendendo anche qui un ambiente che presenta una accessibilità comune di particolare criticità per l’insistenza di una atmosfera inquinante pericolosa per la salute e vivibilità del lavoratore.
In ultimo, oggi, con il continuo aggiornamento normativo, si sovrappongono altri fattori, come l’analisi di gas radioattivi (radon) complicando ed aggiungendo ulteriori aspetti di valutazione e rischio dell’ambiente di lavoro confinato o con sospetto inquinamento.
Le caratteristiche da tener sempre presente sono comunque riassumibili, nella maggioranza dei casi in:
• difficoltà di accesso e di uscita dal luogo confinato (passaggi e quote);
• un luogo non strutturato o realizzato per essere vissuto o adibito ad una continuità di presenza di lavoratori;
• una difficile, insalubre o in genere insufficiente aereazione.
Con tali possibili attribuzioni si comprende come l’evoluzione in una costruzione, ad esempio in un cantiere o nel montaggio di un macchinario o di un impianto possano generare spazi confinati in modo evolutivo, o lo diventino nel momento in cui sull’impianto si debba operare ad esempio per una manutenzione come purtroppo la cronaca ce lo ricorda nella cronistoria di incidenti recenti. Ovviamente ambienti che tipicamente circoscrivono un volume operativo, con i limiti descritti prima, sono per conseguenza della definizione, degli spazi confinati e in tal senso diventano come tali, ad esempio non esaustivo quelli qui di seguito elencati:
• silos, serbatoi di stoccaggio, cisterne, container e stive;
• gallerie ed ogni forma di canalizzazione accessibile come fogne o fosse ed ovviamente i passi di accesso e di conseguenza tutte le canalizzazioni e l’impiantistica delle depurazioni;
• le vasche di impianto e i volumi di raccolta;
• gli scavi in genere e i cunicoli o le casserature;
• volumi e/o locali tecnici di automezzi o di impianti come camere di reazione, essiccatoi, grandi volumetrie di miscelazione e tutte le
camere di processo;
• spazi ristretti e di difficile accesso o spazi in cui si accede con grande dislivello o anche spazi in cui si accede dovendo il corpo del lavoratore flettersi in modo evidente;
• i locali a scarsa ventilazione o ventilazione meccanica forzata;
• sottotetti e sotto impianti di difficile accesso.
Non si deve poi pensare sempre ad un concetto di ambiente tecnologico o di tipo costruttivo, ma rientrano nella fattispecie anche aree naturali, come avvallamenti o cave naturali, non rari nel territorio nazionale, dove concentrazioni chimiche ad esempio di gas pesanti o di scarsa ossigenazione ne rendono il volume aereo di particolare criticità ed attenzione o infine locali ed ambienti dove, come la recente cronaca ci ha informati, diventano bacini di improvvisa raccolta di acque con rischio di essere infausti per le attività umane.
In tutti questi ambienti la caratteristica geometrica e costruttiva e la condizione di presenza di “inquinamento” li fa ricadere nel “rischio di ambiente confinato”, ma su questo, come accennato si aggiungono fattori ulteriori che ne acuiscono il livello di pericolo come il rischio chimico, fisico o quello biologico o i rischi di tipo tecnico come quello elettrico e meccanico o presenza di radon o di condizioni di accentuato disconfort microclimatico o ergonomico. In una sintesi senza essere esaustivi, si possono elencare i punti di attenzione, solo a significare la complessità del contesto valutativo e la necessità di una traccia o meglio regola nella valutazione per minimizzare la perdita di informazioni, fattore abilitante alla prevenzione:
• chimico: per la presenza e/o all’utilizzo, nello svolgimento delle attività e nelle lavorazioni, di “agenti chimici pericolosi”, ovvero sostanze e/o preparati che in base alle loro caratteristiche chimiche, fisiche e tossicologiche, sono in grado di provocare: incendi, esplosioni, ustioni, corrosione, intossicazioni o avvelenamento. Tali rischi sono generalmente associati alla presenza di: polveri, gas, vapori e ovviamente sostanze chimiche solide/liquide. Senza poi dimenticare il possibile effetto asfissiante, per la carenza di ossigeno oppure a seguito di annegamento o seppellimento o per sostituzione nei volumi dell’ossigeno con altri gas;
• infortunistico: legati alla difficoltà di movimento all’interno dell’ambiente e/o difficoltà di ingresso/uscita da quest’ultimo tali da provocare traumi da urto, schiacciamento, caduta o scivolamento, aspetti ergonomici;
• interferenziali: per la presenza di altre attività, ad esempio, in cantiere o in attività in presenza di traffico veicolare.
Se poi ci si concentra sul lavoratore, a questo vanno riconosciuti alcuni potenziali fattori che accen-

tuano il rischio dalla valutazione rispetto alla fase lavorativa.
In modo sintetico si fa riferimento all’aspetto conoscitivo o soggettivo sostenuto da:
• esperienza e capacità professionali;
• conoscenza e consapevolezza dello specifi-

co lavoro da svolgere;
• non sottovalutazione del rischio da parte dei lavoratori, soprattutto nel caso di attività ripetitive e routinarie.
Ed ovviamente il fattore fisiologico individuale: ad esempio, una predisposizione a claustrofobia e/o
ad attacchi di panico e in generale la condizione momentanea di salute.
A questo ordine di valutazione, che porta a identificare i vari rischi che si possono manifestare spesso in modo contemporaneo, generando in sinergia, situazioni di alto rischio si somma l’analisi dell’atmosfera dove si opererà.

L’atmosfera dei luoghi confinati che può presentare una pluralità di rischi come quello tossico o di esplosione, senza che ciò sia caratterizzato da segni premonitori, quali forti odori o effetti irritanti e la pericolosità si aggrava perché nell’atmosfera possono generarsi più sostanze pericolose, pensiamo a brasature in ambienti non bonificati da solventi o uso di plastiche o resine che esalano nella fase di indurimento o formazione di anidride carbonica o di composti azotati (biovasche digestive o dei depuratori).
Tra i rilievi più critici c’è il rischio di soffocamento generato per mancanza d’aria respirabile o per consumo dell’aria presente o anche per sostituzione dei volumi di aria con gas diversi (i più pericolosi quelli pesanti che riducono o alterano la presenza di aria respirabile).
Tale rischio di asfissia è da considerare potenziale anche nel momento in cui si accede in ambienti confinati in precedenza “riempiti” da sostanze i cui resti su depositi superficiali possono generare la formazione di composti ostativi alla respirabilità dei volumi di aria: purtroppo questa fenomenologia è
più volte risalita alla cronaca per eventi drammatici. La salubrità dell’aria non è compromessa solo dai gas, ma anche da altre fenomenologie come liquidi che invadono il volume o corpi solidi granulari. Ne sono esempio le perdite di liquidi o l’arrivo di liquidi o la caduta di sabbie, corpuscoli o sementi alimentari, farine o polveri da residui di lavorazione che soffocano o meglio possono seppellire i lavoratori eventualmente presenti all’interno dell’ambiente confinato.
Il rischio chimico comporta una riflessione anche verso la formazione di potenziali atmosfere esplosive e/o il concentrarsi di gas pesanti.
La condizione di vita del luogo confinato è poi influenzata dalle condizioni delle variabili fisiche a cui è sottoposto e cioè di temperatura, pressione ed umidità che possono aggravare lo stato già critico dell’ambiente di lavoro influenzando anche la fluidità ed ergonomicità nel lavoro degli operatori che a loro volta rimangono influenzati dagli stessi fattori dell’igiene industriale come rumore, vibrazioni, luce o radiazioni.

È fondamentale la valutazione del rischio che deve però essere condotta in forma strutturata ed analitica proponendo in fase di valutazione, tutte le possibili e note circostanze che l’ambiente oggetto di analisi assume o assumerà anche con elementi storici che ne ricordino il rischio, i pericoli o aiutino ad evidenziarli.
Sono quindi importanti i termini quali: strutturare, analisi, tempo, passi operativi, fasi, regole, controlli, facendo di fatto rientrare questa valutazione nel più alto concetto delle metodologie di analisi di rischio di tipo qualitativo come, ad esempio, la what if analisys o di una Hazop in quanto il tutto sia coerente ad una visione anche evolutiva e impattata da più fonti di rischi concorrenti e in sovrapposizione.
La corretta strutturazione della prassi di valutazione, anche aiutata e supportata da un metodo o da una linea guida consente di valutare i rischi minimizzando il possibile errore o la non valutazione di alcuni fattori che contribuiscono al rischio complessivo.
In un ordine logico la valutazione degli ambienti confinati deve perseguire un elenco, come quello qui suggerito, ma che non vuol essere comunque esaustivo.
È questa una traccia su cui in principio allinearsi e magari processare in una procedura propria interna, e quindi in un ordine quasi cardinale, si dovrebbe valutare:
• aspetti geometrici e di collocazione;
• accessi, sistemi di accesso e tipo di accesso;
• livelli dei volumi rispetto a piani di lavoro non confinati;
• ventilazione e verifica della salubrità dell’aria;
• la gestione dell’emergenza con focus su un potenziale recupero;
• i sistemi di detezione degli inquinanti e misure di valutazione prima dell’avvio delle attività;
• le misure, la calibrazione e le tarature della strumentazione;
• i dispositivi di protezione collettiva e individuale e la loro idoneità e verifica;
• il livello organizzativo e le responsabilità. La qualificazione ai lavori;
• la formazione, l’informazione e l’addestramento allo specifico luogo confinato;
• la fase di pianificazione lavori e quella di fine lavoro ed i tempi;
• l’analisi del contesto e della sua mutevolezza anche in relazione alla presenza di sottoservizi o all’introduzione di inquinanti negli ambienti che ne siano originariamente privi;
• l’emergenza, la comunicazione e la segnaletica.
Su tutto ciò, poi determinante è l’adeguatezza delle maestranze e in genere dell’appaltatore che viene regolato nella normativa come aderente, per particolari condizioni di appalto al rispetto di specifiche autorizzazioni.
Il luogo confinato nell’immagine più generale è un ambiente di lavoro dove la comunicazione non risulta semplice e non con i comuni mezzi di cui un’azienda dispone essendo per esempio impedito spesso l’uso di comunicazioni via cellulare o radio o comunque in forme diffuse e quindi questo punto dovrà essere oggetto di specifica valutazione sia per le fasi del comune lavoro che per quelle dell’emergenza. A ciò si impone anche la valutazione, che sia i sistemi di comunicazione come quelli di presidio delle condizioni di sicurezza possono a loro volta non funzionare o non essere efficienti introducendo per i luoghi confinati il concetto di ridondanza delle sicurezze a comunicare da quelle della comunicazione.
Come evidenziato la gestione dell’emergenza diviene uno dei punti critici e di maggior attenzione quando si opera in ambienti confinati. L’emergenza e il soccorso dovrà coordinarsi in modo dettagliato con i sistemi nazionali vigenti (Servizio sanitario nazionale e Vigili del Fuoco).
L’emergenza in luoghi confinati ha necessità di essere gestita con adeguati supporti “tecnologici” che rendano efficace e sicuro il coordinamento delle attività di soccorso.
L’organigramma di comando e di coordinamento deve essere chiaro con esatta definizione dei ruoli e dei compiti senza improvvisare e facendo scattare automatismi tipicamente indotti solo a seguito di una costante e periodica formazione ed addestramento, anche questa da verificare costantemente.
Ciascun addetto deve poter svolgere i compiti assegnati, svolgendo le proprie attività in sintonia e coerenza con quelle dei responsabili, sotto un'unica direzione. Il coordinamento dovrà adottare le procedure ed i passi descritti nel piano di emergenza, il quale non può ovviamente descrivere una unica procedura, ma prassi specifiche per i possibili e vari scenari dell’emergenza individuati. Come accennato, i sistemi di comunicazione sono fondamentali, stante le condizioni dei luoghi confinati sia per la gestione operativa e soprattutto dell’emergenza. Un sistema efficace e certo che colleghi, ad esempio, il personale posto all’interno del luogo confinato e quello all’esterno, al fine di monitorare le condizioni di lavoro e permettere di intercettare una richiesta di soccorso in caso di emergenza o segnalare un’evoluzione operativa pericolosa.
I sistemi di comunicazione proprio come tutti i sistemi di ausilio al lavoro devono essere testati e costantemente mantenuti e verificati e ovviamente non devono intralciare le attività o aggiungere rischi alle già critiche condizioni di lavoro. Anche il modo di comunicare, cioè il linguaggio,

dovrà essere quanto possibile codificato e cioè semplice chiaro, testato al fine di essere rapidamente compreso o interpretato.
Nel novero dei sistemi ovviamente esistono le comunicazioni verbali, ma non sono da escludere segnali acustici, luminosi, visivi, gestuali o di posizione.
L’attenzione posta ai sistemi di comunicazione devono essere di pari valore ed attenzione nei sistemi di ventilazione ed estrazione: la ventilazione deve essere garantita come elemento di prevenzione per la respirabilità senza ausilio nei luoghi confinati e che devono funzionare in modo anticipato ai lavori, anche per garantire un sicuro successivo accesso.
Ovviamente una ventilazione da considerare sia naturale che meccanica. Per quella forzata valgono i principi dell’igiene industriale sui ricambi attesi nell’ora, relazionati al tipo di inquinante e di rischio, oltre che dei volumi.
In un luogo confinato proprio per non aggiungere un rischio di deflagrazione non si dovrà mai far uso dell’ossigeno onde evitare il generarsi tipico di atmosfere esplosive.
Questo tema comporta l’analisi anticipata dei luoghi confinati per valutarne la qualità dell’aria, con la necessità di misurare con specifica strumentazione, reperibile anche sul mercato nella forma portatile sia per il tema della respirabilità che per quello delle atmosfere potenzialmente esplosive,
attraverso dei semplici esplosimetri ad esempio. In generale poi, non si dovrà mai procedere con un solo punto, ma con una mappatura abbastanza ampia per caratterizzare i luoghi di lavoro.
4. I DISPOSITIVI DI PROTEZIONE
Il lavoratore deve essere dotato di dispositivi di protezione individuali, relazionato al rischio residuo a cui è esposto: dai respiratori alle maschere, da autorespiratori d’emergenza ai più classici guanti o tute il cui livello protettivo è in relazione ai rischi che si incorrono.
Come citato dal D.lgs 81/2008, possono essere adoperate le maschere respiratorie, in luogo di autorespiratori, solo quando, accertate la natura e la concentrazione dei gas o vapori nocivi o asfissianti, esse offrano garanzia di sicurezza e sempre che sia assicurata una efficace e continua aerazione. Solo come cenno, andrà come da norma valutato anche il “test FIT” sulla giusta aderenza del DPI al volto del lavoratore.
Nel luogo confinato l’uso del casco è di fatto obbligatorio avendo spesso le caratteristiche fisiche nelle limitazioni operativi a cui si aggiungono spesso occhiali o maschere di protezione.
Una particolare attenzione va invece rivolta alle protezioni dell’udito perché devono essere valutate sia sotto l’aspetto della protezione ma come ci dice la norma collegata anche a non rendere isolato il lavoratore con qui l’aggravante di un lavoro complesso in ambiente confinato.

Infine, cinte, scarpe, manicotti o ginocchiere ed altro saranno individuati in relazione a quale fonte di rischio può deperire la capacità fisica ed operativa del lavoratore.
Ora tutto questo procedere di regole, descrizioni e azioni, deve essere raccolto in un documento specifico o in una sezione specifica della documentazione di sicurezza che prende nome di “piano di sicurezza per la permanenza e l’accesso in luoghi confinati”.
Questo è uno strumento operativo ed organizzativo che ha lo scopo di elencare i passi operativi, le pratiche, i controlli, le verifiche, i tempi, la pianificazione in genere, l’organizzazione, le responsabilità, la tecnologia da usare e le misure tecniche da predisporre.
Bisogna assicurare nella fase operativa, che tutti gli elementi inseriti nel Piano siano stati messi in atto prima di entrare e/o lavorare nei luoghi confinati avendo identificato i pericoli potenziali e che non vengano trascurate precauzioni di importanza vitale per le persone.
In sintesi, il Piano deve descrivere ogni passo ed ogni evoluzione e quindi per non dimenticare o sottovalutare dei passi è opportuno che la definizione del piano sia supportata da una linea guida, che più volte abbiamo citato, che aziendalmente descriva con rigore e puntualità i passi operativi e
gestionali di lavori in ambienti confinati o con sospetto di inquinamento. Una linea guida che divida l’approccio ad un luogo confinato per fasi: prima di iniziare a lavorare, nel durante e alla fine per raccogliere spunti e miglioramenti per le future attività. Questa linea guida, di cui questo documento ne descrive sostanzialmente un indice non deve prescindere poi dal descrivere l’organizzazione e il rispetto ai vincoli che il legislatore ha posto.
Un punto cardine del piano è l’organizzazione nei luoghi confinati in cui possono individuarsi le seguenti figure principali:
• datore di lavoro;
• rappresentante del datore di lavoro committente;
• preposto squadra di emergenza;
• lavoratori.
Soffermiamoci sulla novità cioè sul “rappresentante del datore di lavoro”.
La nomina da parte del datore di lavoro committente, di una figura a tale scopo dedicata, è un concetto che si inquadra nella logica legislativa di avere per temi rilevanti, da parte di “responsabili”, di propri referenti esclusivamente dedicati alla attività critica.
In questo ruolo le figure nominate devono essere in possesso di adeguate competenze in materia di salute e sicurezza sul lavoro e che abbia comunque svolto le attività di informazione, formazione e addestramento e che riconosca i rischi presenti

nei luoghi in cui si svolgono tali attività lavorative. È riconosciuto al ruolo funzione di indirizzo, vigilanza e coordinamento con un focus sulle lavorazioni interferenti.
Le altre figure rimangono configurate dalla normativa previgente con un cenno solo al preposto in possesso di competenze certe per le attività in tali ambienti confinati.
Tra i punti più evidente del decreto è il tema organizzativo indicando in modo esplicito e abbastanza innovativo la presenza di personale, in percentuale non inferiore al 30 per cento della forza lavoro, con esperienza almeno triennale relativa a lavori in ambienti sospetti di inquinamento o confinati o ricorrendo ad appalti in cui la tipologia contrattuale sia stata verificata ai sensi del Dlgs 276/2003. Si comincia a configurare, di fatto nel legislatore come questa sia un’attività a rilevante professionalità e necessaria dunque di qualificazione.
Se l’organizzazione risulta ovviamente fondamentale di pari merito il legislatore ricorda più volte nei pochi articoli della norma, come già accennato ad una evidenziazione dell’importanza della formazione e dell’addestramento specifico sulle opere da realizzare centrata sulla conoscenza dei fattori di rischio, sull’uso dei DPI e con una verifica delle competenze richieste da valutare periodicamente. Ed in tal senso si inquadrano gli atti degli “accordi Stato Regione”, attuali ed in bozza, sulla formazione sul contenuto del percorso formativo e di addestramento e sulla verifica delle competenze. E la formazione non risulta un momento separato ma si ripete con attenzione, come ricorda il decreto, nelle fasi lavorative che debbono essere sempre anticipate, cioè i lavoratori prima dell'accesso nei luoghi nei quali devono svolgersi le attività lavorative debbono essere informati puntualmente e dettagliatamente sulle caratteristiche dei luoghi in cui sono chiamati ad operare, sui rischi esistenti, ivi compresi quelli derivanti dai precedenti utilizzi
degli ambienti di lavoro, e sulle procedure operative, sulle misure di prevenzione ed emergenza adottate in relazione alla propria attività.
Questa fase va realizzata in un tempo sufficiente e adeguato all'effettivo completamento del trasferimento delle informazioni e, comunque, non inferiore ad un giorno. In ottica preventiva il legislatore sottintende la necessità di una verifica puntuale prima di iniziare i lavori sia per ruoli che per le competenze effettive.
Ritornando al concetto di linea guida più volte evidenziato, questa deve dunque contenere necessariamente procedure di controllo e verifica per i vari momenti operativi.
In conclusione, il DPR 177, nato sull’onda emotiva di fatti drammatici ha sicuramente evidenziato il problema ed indirizzato ad un processo più strutturato e specifico sul tema dei luoghi confinati e con possibili ambienti inquinati.
Il decreto lascia ampi spazi in cui agire, con proprie regole e procedure ma fissa capisaldi imprescindibili, tra cui è evidente la formazione, l’organizzazione, l’emergenza e il controllo sulla attività in un’ottica temporale che parte da prima che questa inizi effettivamente.
Tutto qui descritto, che solo superficialmente tratta l’argomento o i rischi e i punti a cui porre attenzione, ci porta a definire che la valutazione del rischio degli ambienti confinati o con sospetto di inquinamento debba necessariamente essere fatta con rigore e attenzione e in tal senso le guide ISPESL o altre linee guida, anche proprie ma tracciate, sono un valido supporto all’azione del valutatore che deve dotarsi di un percorso operativo per evitare di sottovalutare le problematiche di un tal ambiente di lavoro non semplice ma decisamente complesso.






a cura di:
Ing. Pietro Ladisa
Revisionato da:
Prof. Fabio Crescimbini
Commissione:
Meccanica Industriale
La “tacchia”, un termine romanesco per un oggetto casareccio, grossomodo a forma di cuneo che serve a fermare una porta in posizione aperta. Un meccanismo molto semplice che si basa sull’equilibrio tra forze d’attrito. Sullo stesso concetto di sfruttamento dell’attrito nel contatto tra superfici inclinate, uno dei fratelli Marx, il geniale “Zeppo”, inventò un semplice dispositivo di serraggio tra tubi, e lo chiamò clampaggio Marman, dal nome della società che aveva fondato (The Marman Industries Inc.). Il clampaggio Marman è una soluzione talmente semplice e discreta che per quanto sia così diffusa nelle sue applicazioni, risulta ben nota solo agli “addetti ai lavori”. Il principio è semplice: fissare e precaricare sul suo asse un collegamento a flangia circolare per tutta la sua circonferenza tramite il serraggio di una o due viti al massimo, per massimizzare la facilità di montaggio e separazione. Nelle sue dimensioni più contenute, viene adottato un sistema ad aggancio rapido, largamente utilizzato in campo aeronautico.
La sua invenzione ha segnato la storia tecnologica della conquista spaziale, ha reso semplici collegamenti problematici come quello delle turbine di sovralimentazione, ha velocizzato i collegamenti idraulici a tenuta e molto altro. Il presente studio inizia descrivendo il concetto funzionale del bloccaggio Marman, i limiti e le peculiarità note; quindi, affronta lo studio delle

prestazioni strutturali del collegamento, considerando le caratteristiche geometriche e dei materiali del clampaggio Marman, sulla base di avanzate esperienze di modellazione e test di contatto non lineare.
Il clampaggio Marman fu inventato da uno dei fratelli Marx, il noto quartetto comico americano dei primi del ‘900, diventato poi un trio proprio perché Herbert, detto “Zeppo”, lasciò il gruppo per dedicarsi all’imprenditoria in cui si rivelò un vero genio, trasformando in oro tutto quello che “toccava”: tutto quello che intraprese ebbe grande successo. Passò dal business dello spettacolo a quello dei cavalli e quindi alla meccanica con l’invenzione del sistema Marman che brevettò e mise in produzione, fondando la Marman Products nel 1941, e vendendo i suoi prodotti soprattutto all’aviazione americana.
L’aviazione fece largo uso di questo sistema di collegamento rapido soprattutto per la sua affidabilità ed efficacia nel comando di separazione, dapprima per il collegamento dei tubi del carburante fino anche al suo triste impiego per lo sgancio della bomba nucleare a bordo dell’Enola Gay. Ad ogni modo, fu probabilmente quest’ultimo impiego a indurre i progettisti ad impiegare il sistema Marman per il collegamento e lo sgancio rapido degli stadi dei razzi in piena corsa per la conquista dello spazio.
Il concetto alla base dell’invenzione è tecnicamente semplice: una fascia di metallo sufficientemente flessibile che stringe dei settori a ganascia che, per l’azione radiale di costrizione, a loro volta stringono i lembi conici delle due flange da serrare. Il moderato attrito tra le superfici coniche a contatto aiuta a mantenere stabile il serraggio, pur non impedendo il rapido sgancio.
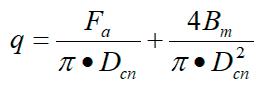
La formula ed i concetti alla base del dimensionamento del fissaggio è stato reso pubblico dalla NASA nella sua ormai ben nota linea guida, la GD-ED-2214 “Marman Clamp System Design Guidelines”:
Carico radiale alla banda (con conicità simmetriche):
qrr = 2 q (tanß - μ)/(1 + μ tanß)
Dove:
q è il flusso di carico per unità di lunghezza circonferenziale del clampaggio [N/mm] (1)

Fa = forza agente assiale normale al piano d’interfaccia




Bm = “bending moment”, momento flettente agente al piano d’interfaccia
Dcn = Diametro medio del clampaggio
ß = angolo d’inclinazione dei coni delle flange
μ = coefficiente d’attrito tra flange e ganasce
Per ottenere il precarico da applicare alla banda si calcola la forza tangenziale da garantire:

Dove Rb è il raggio interno della banda. Carico da applicare alle viti di serraggio:

Dove n è il numero di punti di serraggio, usualmente 1 o 2, raramente di più. μb è il coefficiente d’attrito tra l’estradosso delle ganasce e la banda precaricata. Una volta noti i carichi in gioco è quindi possibile dimensionare e verificare le sezioni, le viti, la coppia di serraggio e tutto il resto.
La linea guida della NASA riporta anche molte indicazioni di carattere costruttivo dettate dall’esperienza, si va dai materiali agli angoli, a dettagli come la raccomandazione che le sezioni delle due flange serrate non devono differire

molto, quella più flessibile non deve avere una rigidezza inferiore al 70% dell’altra per ottenere un comportamento nel serraggio il più omogeneo possibile. La linea guida è disponibile on line e se ne raccomanda la lettura a chi stia pensando di adottare questo affidabile sistema di fissaggio rapido per le proprie applicazioni, anche al di fuori del settore aerospaziale.
APPLICAZIONI
Il clampaggio Marman ha preso piede negli anni in USA e poi nel resto del mondo anche nel settore motoristico, sia per collegamenti tra condotti, sia per collegamenti particolarmente sollecitati da un punto di vista termo-strutturale, come il collegamento dei gruppi turbocompressori di sovralimentazione.

Figura 5 - Applicazioni automotive (http://www.lsxmag.com)
Figura 7 - “60kN Clamp Band
Opening Device”: Il sistema di apertura comandato a basso valore di shock messo a punto da Chuck Lazansky per i clampaggi utilizzati per la separazione dei satelliti dall’ultimo stadio del razzo vettore (rif. B2). Un gas ad alta pressione, contenuto in una cartuccia, induce una coppia ad un asse elicoidale sufficiente a sbloccare il tirante precaricato
Sono state sviluppate anche soluzioni dedicate per il settore petrolifero.
Il materiale più utilizzato per le fasce di clampaggio è l’acciaio armonico. Per il settore spaziale i requisiti impongono di avere leghe leggere in blocchetti lavorati per le ganasce, e per la banda leghe leggere ad alta resistenza (leghe aeronautiche, titanio) o anche acciai martensitici o da precipitazione per impieghi nelle operazioni di assemblaggio, trasporto ed anche di collaudo dinamici. Le superfici di scorrimento tra banda e ganasce vengono usualmente trattate con lubrificante secco compatibile con le severe condizioni ambientali ed i requisiti di sicurezza.
Per il settore spaziale i clampaggi per i collegamenti di volo sono caratterizzati dalla presenza del dispositivo di comando di separazione. All’attuazione di questo tramite il computer di

Figura 6 - Clampaggio con separazione comandata in applicazioni spaziali (http://www.eurockot.com)


(http://sci.esa.int/)

bordo del razzo vettore il punto di giunzione (usualmente solo uno) viene separato istantaneamente, la banda, lavorata per una posizione a riposo su diametro di alcune decine di mm superiore al nominale, si separa per effetto elastico liberando le flange, che vengono spinte a separarsi anche da alcuni puntoni a molla. La banda viene trattenuta da delle staffe in quanto per normativa aerospaziale non può essere abbandonata a vagare come detrito.
Quello che spinse la NASA a pubblicare e diffondere una linea guida sul dimensionamento del clampaggio Marman furono alcune “lesson learnt” riguardanti il clampaggio venute fuori nello sviluppo dei programmi spaziali. Il clampaggio Marman è affetto da alcuni problemi strutturali che vanno tenuti in seria considerazione soprattutto quando si va su diametri
importanti e sollecitazioni elevate che richiedono precarichi alla banda altrettanto elevati:
• il “ring rolling”: il primo problema è l’instabilità strutturale delle due flange sottoposte a carico radiale di compressione. Il collegamento manifesta già dal momento che si serra la banda una significativa deformazione radiale delle due flange verso l’interno. I tecnici americani chiamano questo fenomeno “ring rolling”, perché si ha un effetto di rotazione delle sezioni delle flange sottoposte alla spinta radiale. Per contrastare il ring rolling occorre avere una rigidezza delle flange adeguata ai carichi in gioco; quindi, occorre che le due flange non abbiano comportamento elastico molto diverso, da qui il requisito di omogeneità nella loro rigidezza, e possibilmente avere tra di loro un dentino d’incastro per evitare slittamenti tra le due flange anche per i carichi di taglio che incidono sulla giunzione;



• l’impuntamento ai punti di serraggio: altro importante problema del clampaggio marman è l’effetto d’impuntamento provocato dal serraggio dei tiranti.
Idealmente il tirante dovrebbe essere in asse baricentrico con la sezione della banda per annullare il momento indotto dalla sua eccentricità. Per quanto si possa ridurre il valore di e, anche creando una tasca locale nella zona centrale della banda, non è praticamente possibile portare il valore di e a zero. Anche negli studi condotti dall’autore con le attuale metodologie di modellazione
FEM si è riscontrato che l‘eccentricità del tirante può sì essere sfruttata per modulare il regolare contatto tra la manda e la ganascia, ma se eccessiva comporta importanti concentrazioni di stress localizzati che si propagano fino alle sezioni delle flange, creando un potenziale innesco per fenomeni d’instabilità, se la geometria delle sezioni non viene accuratamente studiata e definita.
È possibile minimizzare o meglio controllare efficacemente il fenomeno attraverso due passi importanti:



• la ganascia centrata: lo spostamento delle ganasce in modo da averne una centrata immediatamente sotto il punto di serraggio. La ganascia centrata indorsa la sollecitazione di momento del tirante nella posizione migliore, distribuendo lo stress in modo uniforme;
• cambio di sezione della banda: cambiando la morfologia della sezione della banda per lo meno in prossimità dei punti di serraggio, passando ad una sezione a C o almeno ad una sezione che nella sua morfologia minimizzi l’eccentricità del tiro.
Questo cambio comporta una variazione di rigidezza flessionale della banda. Se si decide poi di avere questa soluzione solo in prossimità dei punti di serraggio si avrà un importante variazione di rigidezza flessionale della banda lungo la circonferenza che può sempre influire sul rischio d’instabilità delle flange soprattutto quando queste non hanno grandi rigidezze, ad esempio nei settori spaziale e automobilistico (soprattutto sportivo) dove spessori e sezioni sono sempre ridotti all’essenziale.
Occorre tenere ben conto e nel caso ridurre le disuniformità della banda lungo la circonferenza se si vuole ottenere un clampaggio abbastanza stabile. Ogni applicazione viene studiata caso per caso, dove si hanno flange di diametro piccolo o moderato con carichi non elevati il rischio d’instabilità è abbastanza lontano e si possono tranquillamente adottare bande piatte e sottili, mentre su dimensioni importanti e carichi elevati occorre tenere sotto controllo l’eccentricità del tirante e la variazione di rigidezza flessionale lungo la circonferenza.
PROGETTAZIONE DEL CLAMPAGGIO
Il clampaggio Marman è un meccanismo di precarico semplice ma molto influenzato dai fenomeni di contatto e dagli attriti tra le parti, nei quali gioca un ruolo importante l’interazione tra le rigidezze strutturali della flangia ed anche della banda.
Questo ha portato la NASA a valle della propria esperienza pioneristica a diffondere le sue raccomandazioni e formulazioni di calcolo di base che se seguite in modo rigoroso possono rendere il progetto del clampaggio efficace ed affida-

bile. Semplici raccomandazioni e formule trigonometriche però possono non bastare quando si arriva ad applicazioni particolarmente esigenti in termini di carico, leggerezza e dimensioni. Solo recentemente le attuali metodologie di calcolo non lineare ad elementi finiti permettono di modellizzare e simulare corpi deformabili a contatto che scorrono tra di loro con attrito con un discreto riscontro con i dati sperimentali.
Sono studi che per la prima volta hanno permesso di quantificare sufficientemente i fenomeni dell’impuntamento e di instabilità (incluso ring rolling) almeno per poterli ridurre e tenere sotto controllo in modo puntuale.
Lo studio, cominciato dallo scrivente nel 2013 è proseguito negli anni con aggiornamenti e affinamenti, utilizzando e confrontando diversi software FEM a disposizione, impiegato per affrontare la progettazione di cinture di clampaggio per applicazioni di collaudo satellitare, riguarda la modellazione completa del clampaggio, includendo tutte le parti coinvolte: flange, ganasce e semi-bande.
Nello specifico, vengono considerati i clampaggi utilizzati dai lanciatori Soyuz e Ariane, del diametro nominale di 937mm e 1194mm. Tali clampaggi sono caratterizzati da flange molto snelle nella loro sezione, data l’applicazione aerospaziale, realizzate in lega AA7075. Il labbro di clampaggio ha una conicità di 150°. La superficie conica di contatto tra la ganascia e la flangia ha uno spessore radiale di circa 6mm, per un contatto effettivo di quasi la metà. Per questo motivo risulta di particolare importanza il valore di flusso di carico circonferenziale in N/mm, come già definito in questo articolo, in quanto individua già un valore di sollecitazione di contatto superficiale utile a gestire le verifiche strutturali di tutto l’assieme.
Tali cinture di clampaggio, utilizzate per tutta la fase di produzione e collaudi ambientali e dinamici del prodotto satellite, vengono sottoposte a carichi combinati di flessione e trazione/ compressione rilevanti, sia in fase di collaudo dinamico su tavola vibrante, in cui il satellite sottoposto a prova raggiunge accelerazioni oltre i 4g in condizioni di risonanza, sia in condizioni di trasporto satellite nel suo contenitore mentre viene trasferito in base di lancio, sia per via aerea che per nave. In tali condizioni di trasporto, con il satellite tenuto a sbalzo in orizzontale dal clampaggio, la giunzione dev’essere verificata ad almeno 4.5g in flessione, un carico del tutto paragonabile alle condizioni di collaudo dinamico già dette, per quanto questa condizione è da considerarsi estrema e non auspicabile durante il trasporto di un sistema satellitare.
È da considerarsi il montaggio completo del clampaggio, compresa una porzione strutturale sufficiente delle flange, da valutare caso per caso.
Ciascuna parte dell'assieme deve essere discretizzata ad elementi finiti, in elementi 3D per le flange e le ganasce, in elementi 2D o 3D per la banda, preferibilmente mediante un'estrusione circolare della sezione in modo da ottenere una buona magliatura degli elementi esaedrici per ciascuno. La banda può essere modellata da elementi shell, i blocchi di collegamento terminali di ciascuna semi-banda possono essere semplificati con elementi rigidi collegati al nodo del bullone di serraggio. L'analisi dettagliata delle sollecitazioni può essere facilmente studiata su un modello locale, separatamente, per non sovraccaricare il calcolo. L'ipotesi simmetrica può essere adottata modellando solo la metà dell'assieme se il carico applicato è simmetrico



Tabella 1 - Contact Table
rispetto al piano di simmetria.
Quindi tutte le parti coinvolte devono essere definite come corpi di contatto deformabili, incluse in una tabella di contatto che definisca i parametri di attrito tra loro, come segue:
• T1: Solid to solid touch sliding contact, friction coefficientµ1;
• T2: Solid to solid touch sliding contact, friction coefficientµ2;
• T3: Surface to solid, thickness included, touch sliding contact, friction coefficienµ3
Per ogni Tx la tolleranza e il bias del contatto sono stati ottimizzati per ottenere una buona convergenza, in particolare per T2 che definisce il contatto tra superfici coniche. I valori dipendono dalla densità della magliatura definita
per le parti.
Modellazione del precarico di serraggio
Esistono due modi per considerare il precarico di serraggio:
1. assumere ipotesi di precarico costante alle sezioni di serraggio. Nessuna modellazione del bullone sostituito da due carichi costanti opposti;
2. modellazione del bullone e modifica dei vincoli LBC nelle fasi di analisi: fase di precarico e fase di applicazione del carico.
Il primo metodo è molto più semplice ma richiede che il vettore del carico applicato considerato sia all'interno del piano centrale parallelo ai due bulloni di serraggio e perpendicolare al piano di interfaccia, in questo modo l'influenza


dell'applicazione del carico sul precarico dei bulloni è trascurabile, e il precarico dei bulloni può essere assunto costante. Questa ipotesi è stata verificata sui risultati di test strumentati. Con il secondo metodo la simulazione è più rigorosa e può tenere conto anche di piccole variazioni del precarico dei bulloni durante il carico. Ma richiede maggiori oneri di simulazione e di definizione del modello e tempo di elaborazione. Sicuramente questa opzione è da considerare se abbiamo un carico non simmetrico; quindi, abbiamo bisogno di un modello completo di assieme di bloccaggio e modello completo di bulloneria.
DEFINIZIONE DI ANALISI NON LINEARE E RISULTATI
Il modello di assemblaggio completo del clampaggio Marman è stato sviluppato per consentire l'analisi non lineare avanzata del contatto strisciante per attrito, le ipotesi assunte sono state considerate con l'obiettivo di avere uno strumento intelligente e affidabile per la pro-
gettazione e le verifiche. Richiede solitamente meno di un'ora per essere elaborato, seguendo queste fasi:
• STEP-1: Stabilizzazione del contatto delle parti – Precarico al 6%;
• STEP-2: Fase di serraggio fino al 117% del precarico nominale;
• STEP-3: Rilassamento del serraggio - Precarico 100%;
• STEP-4: Applicazione del carico esterno fino al valore richiesto.
Per ogni passo è stato definito il numero di incrementi iterativi in funzione della convergenza e dell'accuratezza dei risultati.
I risultati FEA hanno confermato quanto misurato nei test con una buona correlazione, come nelle immagini seguenti.
Inoltre, le analisi hanno permesso di studiare il dettaglio delle problematiche tipiche di “ring rolling” e di impuntamento, allo scopo di ottimizzare il progetto come già descritto.

17

VERIFICHE AGLI STATI LIMITE DEL CLAMPAGGIO MARMAN
Come riportato in Figura 18:
• SLS: Stati limite di servizio: carichi operativi massimi previsti;
• SLU: Stato limite ultimo;
• LVI: Interfaccia carico utile;
• SCA: Adattatore, Base di supporto.
CONCLUSIONI
La metodologia di modellazione descritta, avva-
lorata dal confronto con risultati di test, è oggetto di studio sin dal 2014 [4], utilizzando anche software di modellazione analitica di diversi produttori ed anche open source. Essa affina tecniche di analisi non lineare dei contatti scorrevoli con attrito applicabile anche per altre giunzioni e meccanismi, permette di mettere molto bene in evidenza problematiche meccaniche e strutturali anche non inizialmente prevedibili.

18

Bibliografia
[1] NASA GD-ED-2214 “Marman clamp system design guidelines”;
[2] Lazansky C., “Refinement of a Low-Shock Separation System”, 41st Aerospace Mechanisms Symposium, Jet Propulsion Laboratory, May 16-18, 2012;
[3] Guo H., Wang D., Liang E., “A Methodology to Predict Axial Clamping Force and Anti-rotating Torque for V-band Joint”, SAE Technical Paper 10.4271/ 2010-01-1813, 2010 doi: 10.4271/2010-01-1813;
[4] Ladisa, P. and Santonico, G., "Non-Linear Finite Element Verification Approach for Marman Fitting in Space AIT Operations," SAE Int. Journal of Aerospace 7(2):2014, doi:10.4271/2014-01-2268.


a cura di:
Ing. Lavinia degli Abbati, Ing. Andrea Cardinali, Ing. Yuri Chianese, Ing. Francesco Naso, Ing. Andrea Pasotto
Revisionato da: Ing. Andrea Spinosa
Commissione: Mobilità elettrica e sostenibile







Panorama della mobilità elettrica in Italia
Il parco autoveicoli italiano, in tutte le sue categorie, è tra i più datati, insicuri e inquinanti d’Europa. Al 31 dicembre 2023, le autovetture circolanti erano circa 41 milioni1, di cui il 23,2% è costituito da veicoli immatricolati prima dell’entrata in vigore degli standard Euro 4. L’età media del parco auto ha raggiunto i 12,5 anni. Il mercato delle immatricolazioni, con 1,566 milioni di nuovi veicoli nel 2023, resta distante dal massimo storico di 2,494 milioni registrato nel 2007 e non riesce a tornare ai livelli pre-Covid, quando nel 2019 si registrarono 1,971 milioni di nuove immatricolazioni. Con questo ritmo di sostituzione, ci vorrebbero ben 26 anni per rinnovare completamente il parco auto circolante. Nel 2023 la quota di mercato dei veicoli elettrici (puri: BEV e ibridi plug-in: PHEV) è stata circa del 16% nel mondo, del 21% in Europa, dell’8,6% in Italia. In particolare, nel confronto intra-europeo, la quota dei BEV in Italia (4,2%) è inferiore non solo ai Paesi leader del Nord (3182%) e a quelli del Centro (17-21%), ma anche ai Paesi con un PIL pro capite a parità di potere d’acquisto inferiore a quello italiano.
La transizione energetica nel settore della mobilità fatica a prendere slancio a causa di diversi fattori: la scarsa diffusione delle auto aziendali, frenata da una fiscalità poco favorevole; un sistema di incentivi tardivo e ancora insufficiente; una rete infrastrutturale di ricarica pubblica che non garantisce ancora un’adeguata capillarità e potenza; una resistenza culturale diffusa verso il cambiamento; e infine, la politicizzazione del tema, amplificata da campagne di disinformazione.
L’UNRAE (Unione Nazionale Rappresentanti Autoveicoli Esteri) ha elaborato, e presentato in tutte le sedi istituzionali, una serie di proposte sul sistema incentivante e sulla fiscalità dell’auto aziendale, finalizzate a supportare lo sviluppo della mobilità elettrica per raggiungere gli sfidanti obiettivi posti dalle norme europee alle emissioni di CO2 allo scarico.
La mobilità elettrica sta diventando un elemento centrale della strategia di sostenibilità in Italia e le infrastrutture di ricarica rappresentano un fattore chiave per il suo sviluppo. Negli ultimi anni, il Paese ha compiuto grandi passi avanti. Questo articolo esamina il quadro attuale delle infrastrutture di ricarica in Italia e le principali sfide attese nel futuro.
Lo stato delle infrastrutture di ricarica e le sfide per il futuro
Esistono diverse modalità di ricarica per i veicoli elettrici, che variano in termini di velocità e costo. Le ricariche in corrente alternata (AC) sono le più comuni sia in ambito domestico che
pubblico. Ad esempio, le wallbox possono erogare fino a 7,4 kW con un tempo di ricarica che può variare da 8 a 25 ore, a seconda della batteria del veicolo e della potenza erogata. Le stazioni pubbliche in AC offrono una potenza fino a 22 kW, riducendo i tempi di ricarica a 5-7 ore, ma con costi maggiori.
Qualora si necessiti di una ricarica rapida, le stazioni in corrente continua (DC) “veloci” (tra 50 e 100 kW) e “ultra-veloci” (tra 100 e 350 kw) rappresentano una soluzione più celere, riducendo i tempi di ricarica a meno di un’ora, sebbene a un costo superiore rispetto alle stazioni in corrente alternata (AC).
Secondo quanto riportato da Motus-e2, al 30 settembre 2024 in Italia risultano installati 60.339 punti di ricarica pubblici. Questo dato rappresenta un incremento di 13.111 unità rispetto all’anno precedente e di 9.661 punti dall’inizio del 2024, con 3.347 nuove installazioni solo nell’ultimo trimestre.
La maggior parte di questi punti, 48.237, è costituita da stazioni in AC con potenze inferiori a 50 kW. Tuttavia, sono i punti fast DC (8.536 unità con potenze tra 50 e 149 kW) e quelli ultrafast (3.566 unità con potenze pari o superiori a 150 kW) a registrare il tasso di crescita più elevato. Con oltre 700 milioni di euro di fondi del PNRR destinati alle infrastrutture di ricarica, si prevede un’espansione ancora maggiore nei prossimi anni, sia in ambito urbano che extraurbano. Interessante notare che negli ultimi tempi si è registrato un forte incremento delle installazioni nel Sud e nelle Isole, che ora ospitano il 22% del totale dei punti di ricarica, a fronte del 20% del Centro e del 58% del Nord Italia.
Anche lungo le autostrade italiane si registra una crescita significativa, con 1.057 punti di ricarica installati entro il 30 settembre 2024, di cui il 64% con potenze superiori a 150 kW. Attualmente, il 42% delle aree di servizio autostradali è dotato di infrastrutture per la ricarica. Nonostante i progressi significativi, il futuro della mobilità elettrica in Italia presenta alcune sfide cruciali
Tra queste, il costo della ricarica, che ha registrato incrementi notevoli tra il 2023 e il 2024, con rincari fino al 16% per le ricariche in AC e al 15% sugli abbonamenti. Sebbene le tariffe per le ricariche fast e ultrafast siano rimaste più stabili, il costo complessivo rimane alto.
Un altro problema riguarda l’occupazione abusiva degli stalli di ricarica, che ostacola l’accesso per i veicoli elettrici. Anche se il Codice della Strada prevede sanzioni per questo comportamento, l’applicazione delle norme resta ancora limitata.
Un’ulteriore sfida è rappresentata dalla burocrazia che rallenta l’installazione di nuove colonnine. Attualmente, possono essere necessari

fino a 350 giorni3 per completare il processo, a causa della mancanza di un iter uniforme su tutto il territorio nazionale. Ciò rende difficile l’espansione omogenea delle infrastrutture. Dall’istanza per la realizzazione, le amministrazioni comunali verificano la documentazione progettuale, gestiscono una conferenza dei servizi con tutti gli stakeholder, chiudono la stessa, si approva il progetto e si avvia la fase di installazione con una specifica nuova istanza di apertura scavi, realizzazione, cablaggio con la rete del sistema di distribuzione elettrica, collaudo ed attivazione. In conclusione, l’Italia si sta muovendo a grandi passi verso una maggiore diffusione della mobilità elettrica,grazie a una rete di infrastrutture di ricarica sempre più capillare e moderna. Tuttavia, per garantire un’adozione ancora più diffusa, sarà necessario affrontare con determinazione le sfide legate alla burocrazia, al costo delle ricariche e all’occupazione abusiva degli stalli. Solo così sarà possibile sfruttare appieno il potenziale della mobilità elettrica e assicurare un futuro più sostenibile
Sfide e soluzioni tecnologiche emergenti
La mobilità elettrica rappresenta uno dei principali driver della transizione energetica, con l’obiettivo di ridurre le emissioni di gas serra, creare sistemi di trasporto più sostenibili e rendere più efficiente anche attraverso la guida autono-
ma l’utilizzo dei veicoli. Tuttavia, la sua diffusione su larga scala, e in Italia in particolare, è frenata da sfide tecnologiche e infrastrutturali complesse che rallentano l’utilizzo e l’acquisto di auto elettriche perché portatrici di cambiamento nel comportamento di consumo e di timori sulla sua rispondenza ai reali bisogni dei consumatori. Le principali sfide su cui sarà necessario lavorare nei prossimi anni per rendere la Mobilità Elettrica un modello di consumo diffuso riguardano principalmente 3 grandi ambiti tematici:
1. autonomia delle batterie e tempi di ricarica in quanto per i consumatori l'autonomia dei veicoli elettrici (EV) e il tempo necessario per la ricarica rimangono tra le principali preoccupazioni dei potenziali fruitori di mobilità elettrica. Le batterie attuali, infatti, offrono ancora autonomie limitate rispetto alle esigenze di spostamento, soprattutto extra-urbano e richiedono tempi di ricarica relativamente lunghi rispetto ai tradizionali veicoli a combustione. Infatti, anche la ricarica veloce richiede decine di minuti a fronte di pochi minuti necessari a un distributore di carburante;
2. infrastruttura di ricarica adeguata, perché attualmente la distribuzione non uniforme delle stazioni di ricarica, soprattutto nelle aree rurali, costituisce un limite per l'adozione di massa dei veicoli elettrici. La

realizzazione di una rete di ricarica capillare è essenziale per garantire ai conducenti la possibilità di ricaricare facilmente, ma richiede ingenti investimenti infrastrutturali e adattamenti delle reti elettriche locali per supportare la crescente domanda;
3. gestione della disponibilità di potenza dalla rete elettrica e domanda di picco, essendo ormai ampiamente provato che con l'aumento dei veicoli elettrici, la rete elettrica deve affrontare nuove sfide in termini di gestione del carico, soprattutto nelle ore di picco. Attualmente la ricarica di veicoli elettrici contemporaneamente, specialmente nelle aree urbane, è inficiata dalla bassa potenza disponibile all’allaccio della rete, derivante dalle limitazioni necessarie per evitare di sovraccaricare la rete elettrica, per cui anche con colonnine di ricarica in grado di garantire una ricarica veloce, di fatto questa è fortemente limitata senza uno storage di supporto.
A fronte di queste sfide le Soluzioni Tecnologiche Emergenti riguardano principalmente:
1. ricarica Ultra-Rapida, consente di ridurre i tempi di ricarica a poche decine di minuti, più prossimi, ma non ancora competitivi, con quelli di un rifornimento tradizionale con potenze di ricarica che partono da 50 kW, possono erogare facilmente i 150 kW4
(E-GAP Fast) fino a raggiungere idealmente i 400 kW (ad. Es. HyperCharger Alpitronic5). Nel caso della ricarica Fast di E-Gap è possibile prevedere un sistema di storage dell’energia di circa 200 kWh, che permette di soddisfare picchi di domanda superiori alla potenza di allaccio disponibile alla rete in determinate zone urbane o extra-urbane. La modalità di ricarica potrà, in futuro, sempre più prevedere anche la modalità Wireless, ovvero un tipo di ricarica che, tramite induzione, permetterebbe ai veicoli di ricaricarsi automaticamente senza la necessità di cavi, favorendo il processo per i consumatori e aprendo possibilità per la ricarica dinamica, ad esempio sulle autostrade; 2. sistemi di ottimizzazione della ricarica legati ai bisogni della rete: con una gestione della ricarica (Smart Charging) che consente di ricaricare i veicoli quando la domanda energetica è bassa o quando l’offerta di energia rinnovabile è elevata, ottimizzando così l'uso delle risorse energetiche. Inoltre, sia i veicoli che gli storage di supporto alle colonnine possono fungere da sistemi di stoccaggio e, tramite tecnologie Vehicleto-Grid (V2G), fornire servizi di Demand Response per restituire energia alla rete nei momenti di necessità, contribuendo alla stabilità della rete sia in termini di regolazione di potenza che, a tendere, di frequenza;

3. intelligenza artificiale e ottimizzazione del consumo energetico: grazie a modelli e sistemi di machine learning possono essere integrati nei veicoli elettrici per ottimizzare il consumo energetico e prevedere il fabbisogno di ricarica. Gli algoritmi di pianificazione dei percorsi e di prenotazione della ricarica alla colonnina aiutano i conducenti a utilizzare i percorsi più brevi ed efficienti, per massimizzare l'autonomia del veicolo; essendo l'ansia da autonomia (range anxiety) uno dei principali problemi vissuti dai conducenti, unito alla preoccupazione di trovare la colonnina occupata quando arrivano a destinazione, tali soluzioni migliorano in modo significativo l’esperienza di utilizzo di un veicolo elettrico;
4. evoluzione delle batterie: le batterie rappresentano una delle aree di evoluzione tecnologica più promettenti sia in termini di incremento della densità energetica sia in termini di peso e quindi porteranno nel prossimo futuro un continuo miglioramento sulla riduzione dei tempi di ricarica e sull’aumento dell’autonomia dei veicoli. Le tendenze di sviluppo delle batterie prevedono, inoltre, oltre a soluzioni di accumulo sempre più sicure l’utilizzo di materiali come il grafene o il sodio, più abbondanti e sostenibili rispetto al litio e al cobalto.
Come è facile comprendere la mobilità elettrica si trova di fronte a sfide complesse, che grazie a soluzioni innovative e tecnologiche emergenti, sarà possibile superare in parte già nel breve periodo e in parte, ci auguriamo, nel prossimo futuro. L'adozione di nuove tecnologie di batterie, l'espansione delle infrastrutture di ricarica, lo sviluppo di sistemi di gestione della rete e l’utilizzo di algoritmi di intelligenza artificiale
rappresentano passi cruciali verso una mobilità sostenibile e diffusa. Tali soluzioni devono inoltre essere implementate con un disegno strategico convergente, poiché ciascuna di esse contribuisce a risolvere uno o più problemi, ma singolarmente non sono autonomamente sono risolutive. Essendo il panorama molto ampio affronteremo nel prosieguo di questo paragrafo come le soluzioni software possono favorire una transizione intelligente nel mercato della mobilità sostenibile ed in particolare della mobilità elettrica e dello Smart Charging
In questo scenario, infatti, le soluzioni software per la gestione intelligente della ricarica rappresentano un elemento chiave, grazie alla loro capacità di ottimizzare i processi di identificazione, organizzazione e gestione della ricarica, sfruttando algoritmi avanzati e piattaforme di ottimizzazione, che permettono di identificare colonnine libere adatte alle proprie preferenze di ricarica, risolvendo nel rispetto degli obiettivi di tutti gli attori coinvolti nella catena del valore (Clienti, Mobility Service Provider e Charging Point Operator), i problemi legati alla disponibilità dell’energia, alla sua distribuzione, ai picchi di domanda e alla gestione degli utenti. Entrando nel dettaglio di quanto precedentemente illustrato le Principali sfide della Ricarica
Intelligente, che sono in parte trasversali alle sfide dell’ecosistema della transizione energetica e che richiedono soluzioni complesse, articolate e integrate si focalizzano principalmente su:
1. Gestione del carico sulla rete elettrica necessario per l’incremento di domanda di energia e di potenza determinato dall'aumento dei veicoli elettrici e dai bisogni dei consumatori, soprattutto nelle ore di punta. Le reti esistenti, pensate per il fabbisogno tradizionale, devono essere profondamen-


te ripensate, con un modello distribuito (DER)6, per sopportare questa nuova pressione, perché la concentrazione di ricariche in determinati orari o luoghi può causare sovraccarichi locali e destabilizzare il sistema, rendendo cruciale lo sviluppo di soluzioni software che ottimizzino la distribuzione della domanda in tempo reale attraverso le DER presenti.
2. Capillarità delle infrastrutture di ricarica, poiché sebbene la presenza di punti di ricarica sia in aumento, restano lacune significative, in particolare nelle aree urbane densamente popolate e nelle zone rurali dove la domanda di ricarica è maggiore e si prevede esploderà nei prossimi anni. La mancanza di una rete diffusa rallenta l’adozione dei veicoli elettrici anche se le piattaforme di
gestione intelligente possono aiutare a coordinare l’installazione e l’utilizzo dei punti di ricarica, indirizzando gli utenti verso le stazioni disponibili e riducendo le attese.
3. Interoperabilità delle stazioni di ricaricaLa diversità di standard e fornitori di servizi di ricarica può creare difficoltà per gli utenti. La necessità di usare app e tessere specifiche per ciascun operatore limita la comodità del servizio. Soluzioni software che integrano i diversi operatori in una singola piattaforma interoperabile possono semplificare l'esperienza di ricarica e migliorare l'accesso per i consumatori seguendo standard come OCPI7, OCPP8, OSCP9
Entrando nello specifico le soluzioni software emergenti per la Ricarica Intelligente riguarda-


no piattaforme come Charge Advisor di Applied Research to Technologies10 in grado di gestire in un’unica architettura:
1. Ricarica e ricarica intelligente (Smart Charging) con gestione e ottimizzazione della Ricarica in Tempo Reale. In questo contesto oltre alle specifiche funzioni di localizzazione, prenotazione, avvio, monitoring, completamento e pagamento della ricarica, è presente appunto il concetto di Smart Charging o ricarica intelligente. Tale modello di ricarica, basato su algoritmi di Machine Learning e Intelligenza Artificiale permette di distribuire la domanda energetica in modo ottimizzato, basandosi su dati in tempo reale come le preferenze utente in temini ad es. di potenza, energia e tempo di ricarica, la disponibilità di energia e la
capacità della rete. Gli algoritmi di Smart Charging analizzano i comportamenti di ricarica degli utenti e li modulano, incentivando l’uso dell’energia in momenti di bassa domanda oppure l’accesso a energie rinnovabili. In questo modo, si riduce il carico sulla rete e si minimizzano i costi operativi per i gestori delle infrastrutture. Le tecnologie di machine learning, infatti, sono sempre più applicate per prevedere la domanda di energia e ottimizzare l’uso delle infrastrutture di ricarica. Gli algoritmi possono analizzare i dati storici di utilizzo e prevedere i momenti di picco, aiutando i fornitori di energia a pianificare in anticipo e ridurre i rischi di sovraccarico. Inoltre, i modelli predittivi possono informare i gestori di reti e infrastrutture su dove installare nuovi


Figura 3 - Piattaforma Charging e Smart Charging di Ares2t Charge Advisor con contestualizzazione delle connessioni lato sistema di mobilità e rete intelligente [11].
punti di ricarica per rispondere in modo più efficace alle esigenze degli utenti;
2. Vehicle-to-Grid (V2G) e Demand Response. La disponibilità della tecnologia Vehicle-to-Grid (V2G), permette ai veicoli elettrici e alle risorse di accumulo possono diventare riserve di energia, restituendo l’elettricità alla rete quando la domanda è elevata. I software avanzati per il V2G permettono di monitorare e gestire questo flusso bidirezionale in modo da supportare la stabilità della rete, trasformando i veicoli/ storage, nella logica prosumer in risorse energetiche “di produzione”. Le piattaforme di demand response, inoltre, possono incentivare i proprietari di veicoli a collaborare offrendo tariffe agevolate per chi ricarica nei momenti di minor richiesta o restituisce energia al sistema;
3. Gestione Dinamica e Integrata della Rete con gli Storage e le Energie Rinnovabili. Le piattaforme software di gestione della rete, spesso basati su intelligenza artificiale, analizzano in tempo reale i dati prove-
nienti dai vari punti di ricarica, bilanciando la disponibilità di energia rinnovabile, che è per sua natura variabile. Integrando dati di previsione di domanda, questi sistemi possono ottimizzare l'uso delle fonti rinnovabili, riducendo l'impatto ambientale della mobilità elettrica e migliorando l’efficienza complessiva del sistema. Le piattaforme più evolute permettono una gestione dinamica del pricing in base alle fonti energetiche utilizzate su cui, ad esempio, Applied Research to Technologies ha ottenuto a dicembre 2023 il riconoscimento di un brevetto europeo;
4. Piattaforme di Interoperabilità e App per l’Utente. Come accennato precedentemente, le piattaforme di interoperabilità semplificano l’accesso alle stazioni di ricarica indipendentemente dal fornitore, centralizzando le operazioni in una sola app. Gli utenti possono individuare rapidamente le stazioni disponibili, calcolare i tempi di ricarica stimati e accedere a tariffe trasparenti. Alcune app offrono anche funziona-

lità avanzate, come la prenotazione della stazione o la previsione della disponibilità, migliorando la pianificazione e riducendo le code presso i punti di ricarica.
Come evidenziato, il futuro della mobilità elettrica dipende da un insieme di fattori che in parte riguardano la diffusione dei veicoli, delle infrastrutture di ricarica e la potenza delle batterie dei veicoli per raggiungere un determinato grado di autonomia, dall’altro soprattutto dalla capacità di creare un sistema di ricarica flessibile e intelligente in grado di rispondere ai bisogni specifici dei clienti senza mettere in crisi, anzi sostenendo la gestione di aree critiche e momenti di picco nella gestione del binomio domanda offerta di potenza ed energia. Le soluzioni software emergenti, come la ricarica intelligente, il V2G, e le piattaforme di gestione dinamica delle risorse energetiche, giocano un ruolo cruciale per garantire e accelerare una transizione energetica sostenibile ed efficiente. In questo ambito tecnologie avanzate, intelligenza artificiale e infrastrutture evolute, aprono nuo-
ve strade per una mobilità elettrica più accessibile e compatibile con le necessità ambientali e infrastrutturali. In questo contesto sarà fondamentale un approccio coordinato tra industria, innovatori e autorità pubbliche per rispondere a queste e nuove sfide, abilitando una nuova generazione di modelli di mobilità elettrica
La normativa municipale: il caso di Roma Capitale
Nella città di Roma il primo strumento programmatico per l’installazione degli impianti di ricarica elettrica su suolo pubblico è stato il “Piano Capitolino Infrastrutturale per la ricarica dei veicoli alimentati ad energia elettrica 2017-2020”. Il Piano definiva un fabbisogno di riferimento di impianti di ricarica pubblica per l’intero territorio di Roma Capitale disegnando una cornice per uno sviluppo orientato dell’offerta. Non poneva limiti stringenti alle richieste complessive di installazioni, pur tracciando nel regolamento un percorso approvativo che norma una puntuale attività di verifica di fattibilità



tecnica. Il regolamento formulava inoltre gli indirizzi per la realizzazione degli stalli in termini di segnaletica, tecnologici e di modalità di utilizzo. Il modello di offerta di servizi di ricarica pubblica proposto per Roma era basato su:
• un adeguato numero di punti di ricarica ad alta potenza (50 kW) lungo i principali assi di accesso alla città;
• una distribuzione dei punti di media potenza e alta potenza in ragione diretta al carico attrattivo delle singole aree omogenee della città.
Ad oggi sono stati approvati oltre 1600 nuovi impianti di cui 1160 già attivati. Per snellire il processo approvativo e fornire indirizzi più mirati, nel mese di giugno 2023 è stato approvato il nuovo regolamento per l’installazione e gestione degli impianti di ricarica su suolo pubblico. Esso definisce due tipologie di installazioni:
• corridoi di ricarica: serie di dispositivi (tra 3 e 10) di potenza standard finalizzati alla ricarica di veicoli per un tempo prevedibilmente lungo, verosimilmente la sosta notturna;
• isole di ricarica: serie di dispositivi di ricarica di potenza elevata (tra 5 e 30), atti a ridurre al minimo il tempo di ricarica. La localizzazione delle Isole si riferisce prevalentemente ai Punti di interesse quali attività produttive, centri di servizi, uffici, stazioni ferroviarie, fermate linee metropolitane, fermate principali di linee bus (capolinea), nodi e parcheggi di scambio, ospedali, aree sosta taxi, ecc. Nelle isole di ricarica, compatibilmente con i vincoli paesaggistici, archeologici, architettonici, è possibile prevedere l’installazione di tettoie fotovoltaiche a copertura degli stalli per la produzione di energia elettrica anche con scambio sul posto.
Il fabbisogno di impianti per singola porzione territoriale è stato valutato da Roma Servizi per la mobilità, società di Roma Capitale, in funzione dei parametri socio-demografici e trasportistici. Al fine di allineare il piano di sviluppo della rete di impianti di ricarica con le disponibilità ed i programmi della società di distribuzione (DSO), è stata stipulata una specifica convenzione operativa. I soggetti destinatari della concessione per l’installazione e gestione dei dispositivi di ricarica saranno oggetto di una procedura di selezione.
Focus sulla elettrificazione nel trasporto merci su gomma
Il trasporto merci in Italia è strettamente legato
alla movimentazione su gomma e per renderlo più sostenibile le due vie da seguire sono senza dubbio lo shift modale e il passaggio da veicoli diesel a quelli ad alimentazione alternative. Secondo dati del Ministero dei Trasporti più del 90% dei veicoli merci percorre meno di 300 chilometri al giorno; se da un lato questo rappresenta un importante ostacolo alla cosiddetta “cura del ferro”, cioè al passaggio su treno delle merci da trasportare, dall’altro apre importanti spazi per l’elettrificazione dei veicoli.
Tale trend è anche spinto dal cosiddetto Scope 3 sulla riduzione dell’impronta carbonica degli operatori industriali, che guarderanno anche ai propri fornitori della logistica per ridurre le emissioni di CO2 dei propri prodotti; un mondo della logistica, quello italiano, che è però composto da più di 60.000 imprese la cui larga maggioranza possiede meno di 5 mezzi e che difficilmente ha la capacità finanziaria e la forza contrattuale per poter affrontare un ricambio del proprio parco veicolare. Motus-E e FIT Consulting hanno analizzato i dati di percorrenze dei veicoli di trasporto a servizio di differenti settori, trovando le applicazioni che già oggi possono essere elettrificate con differenziali di costo a vita intera contenuti o addirittura positivi rispetto a un mezzo diesel.
La distribuzione urbana sia del settore Merci Varie, sia del Farma e dell’Alimentare, così come la raccolta urbana dei rifiuti, ha delle grandi potenzialità di elettrificazione in termini di chilometri giornalieri, di programmabilità delle missioni e di compatibilità delle stesse con il vettore elettrico, così come infine di potenzialità di ricarica. Per i furgoni che devono ad esempio percorrere fino a 150 chilometri al giorno, il Total cost of ownership può risultare positivo sui 5 anni, considerando anche il valore residuo del mezzo, se ricaricati durante il fermo mezzo notturno in deposito a bassa potenza con valori del kWh al di sotto degli 0,22 €/kWh, 3 volte meno del costo chilometrico del rifornimento dei mezzi diesel.
Mezzi pesanti da 16 tonnellate in su e con tragitti urbani punto-punto o regionali entro i 300 chilometri giornalieri invece, anche se ricaricati in deposito, hanno comunque bisogno di ricariche in corrente continua a più alta potenza e, pur raggiungendo costi dell’energia in media tensione anche più bassi degli 0,2 €/kWh (con un differenziale dei costi chilometrici di rifornimento rispetto al diesel anche migliori del caso dei furgoni), scontano un capex iniziale del mezzo più alto rispetto ai mezzi diesel. Tale distanza in altri paesi europei viene colmata sia attraverso incentivi all’acquisto sia grazie a vantaggi rispetto ai mezzi a combustione interna (circolazione e accesso alle aree urbane, costo delle tariffe autostradali, ecc.).
In Italia questo è sostanzialmente assente e,

anzi, i mezzi diesel accedono al rimborso delle accise sul costo del carburante mentre nulla di simile esiste sull’energia elettrica (dalla quale si potrebbero scontare gli oneri di sistema per quegli operatori che scegliessero di elettrificare parte della propria flotta). Oltre alla riduzione di prezzo, per diffondere i mezzi elettrici soprattutto nelle applicazioni che necessitano dei veicoli pesanti, sarà utile creare in sinergia con le istituzioni locali e con i clienti industriali e commerciali, dei punti di ricarica da almeno 50 kW nei nodi
logistici e nelle aree di sosta (interporti, porti, aree ad hoc per la cosiddetta smart logistic in comune fra più operatori di trasporto) e nelle aree di carico e scarico presso le facility dei clienti, così come punti di ricarica a più alta potenza (dai 350 kW) in aree di servizio o di sosta ben definite a cominciare dalle reti autostradali per abilitare alcune missioni ben definite di più lungo raggio (oltre i 300 km al giorno), come previsto dal Regolamento sui combustibili alternativi.
Note
1. Annuario statistico ACI, 2023; 2. Rapporto settembre 2024 – Motus-e;
3. Si citano a titolo di esempio le tempistiche di alcune istallazioni nel territorio di Roma Capitale;
4. Fonte Sito Web E-GAP (13/11/2024) https://www.e-gap.com/servizi-per-le-aziende/e-gap-fast/;
5. Fonte Sito Web Alpitronic (04/11/2024) https://www.alpitronic.it/it/hypercharger/;
6. DER: Distributed Energy Resources comprendenti sistemi di accumulo e stoccaggio dell’energie, fonti rinnovabili quali fotovoltaico, eolico, idroelettrico;
7. OCPI indica l’Open Charge Point Interface definito da EV Roaming Foundation riferimento web https:// evroaming.org/;
8. OCPP indica l’Open Charge Point Protocol definito da OCA – Open Charge Allinace riferimento web https://openchargealliance.org/protocols/open-charge-point-protocol/;
9. OSCP indica l’Open Smart Charging Protocol definito da OCA – Open Charge Allinace riferimento web https://openchargealliance.org/protocols/open-smart-charging-protocol/;
10. Fonte Piattaforma Charge Advisor sito web https://www.ares2t.com/products/smart-electro-mobility/.
Bibliografia e sitografia
[1] Deliberazione di Assemblea Capitolina n. 116/2023 - Abrogazione del Regolamento per la realizzazione e la gestione degli impianti di pubblico accesso adibiti esclusivamente alla ricarica di veicoli alimentati ad energia elettrica, approvato con Deliberazione dell’Assemblea Capitolina n. 48 del 19 aprile 2018. Approvazione del Regolamento per l’installazione e la gestione dei dispositivi adibiti esclusivamente alla ricarica di veicoli alimentati ad energia elettrica lungo strade pubbliche e private aperte al pubblico transito, aree di sosta, di parcheggio e di servizio, pubbliche e aperte all’uso pubblico;
[2] Rapporto Motus-e settembre 2024: https://www.motus-e.org/analisi-di-mercato/settembre-2024-auto-elettriche-a-settembre-immatricolazioni-in-crescita-del-273;
[3] Annuario Statistico ACI 2023;
[4] https://mobile.unrae.it/statistiche;
[5] EV Roaming Foundation riferimento web https://evroaming.org/;
[6] Open Charge Point Protocol definito da OCA – Open Charge Allinace riferimento web https://openchargealliance.org/protocols/open-charge-point-protocol/;
[7] Open Smart Charging Protocol definito da OCA – Open Charge Allinace riferimento web https://openchargealliance.org/protocols/open-smart-charging-protocol/;
[8] Fonte Piattaforma Charge Advisor sito web https://www.ares2t.com/products/smart-electro-mobility/; [9] Fonte Sito Web E-GAP (13/11/2024) https://www.e-gap.com/servizi-per-le-aziende/e-gap-fast/;
[10] Fonte Sito Web Alpitronic (04/11/2024) https://www.alpitronic.it/it/hypercharger/;
[11] Fonte Ing. Yuri Maria Chianese, Chief Growth Officer, Arest s.r.l.





A cura:
Ing. Giorgio Grimaldi
Revisionato da:
Ing. Stefano Salari
Commissione:
Sicurezza nei luoghi di lavoro
Introduzione
L’incidentalità sul lavoro rimane purtroppo significativamente elevata malgrado gli sforzi operati sulla normativa, sulla prevenzione e sui controlli [11]. Pertanto, è necessario un impegno di tutti i soggetti coinvolti nella sicurezza per individuare le falle ancora esistenti e per adottare le azioni correttive necessarie.
Tuttora meritevole di attenzione è il coinvolgimento attivo nella sicurezza dei lavoratori a tutti i livelli, basato su azioni di crescita individuale e collettiva indirizzate a valorizzare la “Cultura della Sicurezza”.
In accordo con una definizione largamente condivisa la Cultura della Sicurezza è “il prodotto di valori, attitudini, percezioni, competenze e modelli di comportamenti individuali e di gruppo che determinano l'impegno, lo stile e la competenza nella gestione della salute e della sicurezza di un'organizzazione”.
La Partecipazione dei Lavoratori alla Sicurezza deve poggiare su un ruolo dei lavoratori non più soggetto passivo destinatario degli studi e delle iniziative di sicurezza, ma soggetto attivo portatore delle esperienze maturate in campo a contatto con le diverse fasi dei processi lavorativi. Tale impostazione consentirà di ridurre il gap tra i processi programmati dal vertice aziendale e quelli risultanti dall’interpretazione degli stessi processi da parte dei lavoratori in funzione di esperienze, sensibilità e percezioni dei rischi diversi da quelli immaginati.
Al tempo stesso un rapporto/confronto con i lavoratori basato su un maggiore ascolto reciproco consentirà ai lavoratori di maturare competenze e sensibilità atte ad individuare e a rimuovere comportamenti inappropriati determinati dai più diversi fattori (conoscenze approssimate dei rischi, sottovalutazione di eventi iniziatori di situazioni incidentali, inerzia, ecc.) capaci di produrre danni alla salute e alla sicurezza propria e degli altri lavoratori.
Questo articolo si propone di promuovere il coinvolgimento sistematico dei lavoratori nella sicurezza con un approccio di “Sicurezza Partecipata dei Lavoratori”
Destinatari di elezione di queste note sono i soggetti con compiti di responsabilità nella sicurezza nei luoghi di lavoro, cui compete un ruolo di indirizzo e di crescita dei lavoratori in materia di sicurezza. In particolare, ci si riferisce ai colleghi ingegneri di cui s’intende stimolare una riflessione comune.
Esperienze dei paesi europei più avanzati non manifestano in maniera cogente la necessità di approfondire i temi della Sicurezza partecipata, laddove i lavoratori considerano normale un loro intervento sistematico nella sicurezza aziendale, tanto che nel loro lessico “Sicurezza
partecipata” non ha altro significato che quello che noi esprimiamo come “riduzione dei rischi di interferenze” quando nel contesto aziendale operano più aziende.
Nella realtà italiana il coinvolgimento dei lavoratori non è sempre immediato, sia per lo sbilanciamento di alcuni vertici aziendali verso le esigenze di produzione senza pari attenzione alla sicurezza, sia per lo scarso interesse dei lavoratori per problematiche che hanno difficoltà a sentire proprie, per abitudine, per carenza di competenza, per mancanza di adeguata sensibilità verso problematiche di rischio o per scarsa fiducia nelle proprie potenzialità. Occorre far emergere la consapevolezza che la sicurezza personale e quella degli altri lavoratori sono strettamente correlate e sono il risultato di un lavoro di squadra e di una costante attenzione alla prevenzione, “Sicurezza come abitudine”
Si può partire da un’indagine sulla percezione da parte dei lavoratori dei rischi e degli incidenti mortali, ed innestare sui risultati dell’indagine una revisione sistematica delle pratiche di lavoro scorrette, delle cause dirette e di radice di eventi anomali e delle responsabilità connesse con azioni e comportamenti inappropriati. In parallelo sarà utile proporre iniziative esemplari di “Sicurezza partecipata dei lavoratori” che costituiscano esempi di Buone Pratiche
Cultura della Sicurezza e Sicurezza Partecipata
La definizione della Cultura della Sicurezza data nell’Introduzione mette in evidenza il suo carattere valoriale basato su attitudini, percezioni, competenze e modelli di comportamento che riguardano sia il singolo lavoratore che l’intera organizzazione del lavoro. Il punto di partenza non può che essere il vertice aziendale che deve assumere in maniera chiara e determinata la sicurezza come obiettivo dell’attività, al pari della produzione e del profitto. Gli obiettivi assunti devono poi trovare concreta applicazione attraverso tutta la catena di comando e di gestione dell’azienda, verificando costantemente la crescita del livello di sicurezza e l’eliminazione di condizioni e di comportamenti negativi per la salute e la sicurezza dell’intera organizzazione. Determinante è il ruolo dei dirigenti e dei responsabili dell’azienda, ma è essenziale coinvolgere in tale processo tutti i lavoratori, con iniziative di partecipazione alla sicurezza sia sul versante dell’acquisizione di nuove competenze che di un contributo attivo alla sicurezza, a partire dall’individuazione e dalla segnalazione di situazioni di potenziale pericolo prima che le stesse evolvano in situazioni incidentali. La raccolta e la valutazione degli eventi a soglia bassa “near miss” è il campo ideale in cui coinvolgere direttamente i lavoratori per il loro con-

tatto diretto con la realtà lavorativa e come un primo passo verso una presa di coscienza delle proprie potenzialità.
Il punto di partenza per lo sviluppo di un sistema di Sicurezza Partecipata è il cambio del punto di vista sul ruolo dei lavoratori: passando da un modello normativo di lavoratore ontologicamente imprudente (modello iperprotettivo del lavoratore di cui non c’è da fidarsi) a un modello collaborativo con obblighi ripartiti tra più soggetti, compresi i lavoratori a tutti i livelli [1].
Ciò comporta l’assunzione di una responsabilità personale del lavoratore nella sicurezza in linea con quanto previsto nell’Art. 20 del D.Lgs. 81/2008 [2].
L’instaurazione un sistema di Sicurezza Partecipata richiede che ci sia una struttura organizzativa in cui sia possibile instaurare un colloquio/ confronto tra i responsabili della sicurezza e i lavoratori a tutti i livelli. Il cambiamento culturale richiesto è notevole: con una immagine chimica i manager della sicurezza devono operare come catalizzatori di un processo che tende a rendere partecipi della sicurezza tutte le risorse aziendali.
Una prima fase iniziale per stimolare il ruolo attivo dei lavoratori consiste nel promuovere il loro coinvolgimento in una indagine:
• sulla percezione della sicurezza tra i lavoratori [3];
• sulla percezione degli incidenti mortali;
• sugli atteggiamenti di fronte a eventi anormali e ad eventi incidentali.
In prosieguo si potranno definire le fasi operative specifiche per quella azienda in quella specifica situazione; come confezionare un abito su misura. Ovviamente qui non forniamo soluzioni operative specifiche; l’obiettivo è quello di promuovere la metodologia per il coinvolgimento del personale lavorativo che consideriamo essenziale per fornire una ventata di ossigeno nell’ambito della cultura della sicurezza.
Elementi comuni della fase operativa possono essere:
• far percepire il rischio come un nemico degli interessi personali, non solo di quelli aziendali [3];
• favorire lo sviluppo delle potenzialità personali a favore della sicurezza, attraverso l’identificazione degli obiettivi di interesse dei lavoratori;
• innescare Il cambiamento delle micro e macro-abitudini poco funzionali in azienda e poco sicure;
• promuovere la creazione di una rete di relazioni interne ed esterne tra lavoratori e operatori coinvolti nella gestione del rischio;
• dare centralità al lavoratore per renderlo consapevole dell’importanza del suo operato nel processo di gestione della salute e della sicurezza sui luoghi di lavoro, anche




come possibile “suggeritore” di qualche tematica importante per la sicurezza [3];
• inserire nei programmi di formazione momenti di ascolto dei lavoratori e di discussione su temi da loro indicati;
• organizzare le attività di manutenzione con un briefing e un debriefing in cui le esperienze in campo dei lavoratori contribuiscano a sviluppare programmi più realistici;
• organizzare la raccolta e l’analisi degli eventi in cui i lavoratori individuano gli eventi a soglia bassa, effettuano una prima analisi con la determinazione delle cause dirette dell’evento e determinano i provvedimenti correttivi immediati;
• istituzionalizzare convegni aziendali periodici con testimonianze che consentano l’analisi e il riciclo dell’esperienza lavorativa;
• inserire a rotazione i lavoratori in piccoli gruppi di lavoro per l’individuazione e l’esame dei fattori umani in sequenze incidentali gravi.
Assetto normativo di riferimento
Nello spirito del D.Lgs. 81/2008 - Testo Unico sulla salute e sicurezza sul lavoro [2] - la partecipazione dei lavoratori alla sicurezza va concepita come attività intrinseca al contesto lavorativo, effettuata all’interno dell’orario e dell’ambiente di lavoro, fatta salva ovviamente la partecipazione a corsi di formazione e di aggiornamento. Con l’instaurazione di un sistema di Sicurezza Partecipata si innesca un processo di Formazione continua sulla base di un contatto sistematico tra esperti e lavoratori, con procedure e strumenti adeguati e definiti. Con questo approccio di tipo collaborativo la Sicurezza partecipata si configura come strumento di crescita della cultura della sicurezza dei lavoratori e di maggiore consapevolezza e motivazione, con effetti positivi sulla produzione, sulla salute e sulla sicurezza.
Si riportano di seguito i riferimenti ad alcuni elementi normativi rilevanti per la Sicurezza Partecipata dei lavoratori definiti nel D.Lgs. 81/2008:
• Art. 20 - Obblighi dei lavoratori:
1. ogni lavoratore deve prendersi cura del la propria salute e sicurezza e di quella delle altre persone presenti sul luogo di lavoro, su cui ricadono gli effetti delle sue azioni o omissioni, conformemente alla sua formazione, alle istruzioni e ai mezzi forniti dal datore di lavoro;
2. i lavoratori devono in particolare: a) contribuire, insieme al datore di lavoro, ai dirigenti e ai preposti, all’adempimento degli obblighi previsti a tutela della salute e sicurezza sui luoghi di lavoro;
• Art. 44 - Diritti dei lavoratori in caso di pericolo grave e immediato:
1. il lavoratore che, in caso di pericolo grave, immediato e che non può essere evitato, si allontana dal posto di lavoro o da una zona pericolosa, non può subire pregiudizio alcuno e deve essere protetto da qualsiasi conseguenza dannosa;
2. il lavoratore che, in caso di pericolo grave e immediato e nell'impossibilità di contattare il competente superiore gerarchico, prende misure per evitare le con seguenze di tale pericolo, non può subire pregiudizio per tale azione, a meno che non abbia commesso una grave negligenza.
Quindi al lavoratore vengono dati non solo compiti e responsabilità, ma anche la facoltà di intervenire nelle attività lavorative con iniziative autonome, ovviamente giustificate, in caso di pericolo grave ed immediato.
Su tali basi il lavoratore si configura come una figura su cui si può contare e che può svolgere un ruolo attivo nella sicurezza nei luoghi di lavoro.
Esperienza operativa e Fattori umani
Insieme all’analisi degli eventi incidentali è andata sempre più maturando la consapevolezza che la sicurezza nei luoghi di lavoro possa trarre beneficio dall’analisi dei dati su eventi anormali a soglia bassa (“near miss” e “unsafe conditions”).
Un sistema di raccolta e di analisi dei dati come quello accennato è già operativo da tempo in aree di lavoro con attività a rischio di incidente rilevante e/o con processi non direttamente accessibili nella fase di esercizio (area chimica, nucleare e aerospaziale), e si va estendendo ad organizzazioni medio-grandi in campi diversi grazie all’adozione della norma UNI EN ISO 45001.
In tali contesti sono state sviluppate iniziative e procedure di analisi di tendenza e di distribuzione dei guasti, che hanno prodotto risultati utilizzabili anche in campi diversi di attività (p. e. l’analisi dei guasti dei diesel generatori di emergenza in campo nucleare ha portato ad una maggiore affidabilità di sistemi analoghi utilizzati in campo ospedaliero).
La diffusione di tale approccio a tutti i campi di attività industriali e produttive è determinata sia da esigenze di continuità di esercizio che di affidabilità e sicurezza. In tale ottica produzione e sicurezza sono strettamente collegate. In ottica di prevenzione gli eventi a soglia bassa e ad elevata frequenza di accadimento possono essere visti nel lungo periodo come indicatori di decadimento del livello di sicurezza. Inoltre è andata maturando sempre più la consapevolezza che tali eventi possono costituire l’innesco di sequenze incidentali più gravi allorché si verifichino in coincidenza con altri eventi avversi.


Figura 1
Efficaci strumenti di analisi di tali problematiche sono il “SwissCheese Model”[8] di J. Reason e i “modelli SMS”[9] di Gestione della Sicurezza. I lavoratori a contatto diretto e costante con la realtà lavorativa quotidiana possono essere i più adatti a individuare gli eventi a soglia bassa, a raccogliere i dati relativi e a fare la prima analisi delle cause dirette e dei provvedimenti correttivi immediati. Tale attività può diventare
uno strumento per realizzare con continuità nel tempo e con sistematicità, magari a rotazione, la partecipazione dei lavoratori alla gestione della sicurezza.
Analisi più accurate sulle cause di radice degli eventi e sui provvedimenti di lunga durata richiederanno necessariamente l’impiego di risorse dedicate e opportunamente formate. In ogni caso sarà ancora utile coinvolgere nelle analisi chi vive giorno per giorno le problematiche lavorative e di sicurezza in campo.
Far partecipare alcuni lavoratori ai gruppi di lavoro che esaminano le sequenze incidentali più gravi richiede un maggiore impegno e si situa in una fase più matura di sicurezza partecipata.
I Fattori Umani comprendono un insieme di ele-

Figura 2 - Il modello del “formaggio svizzero”: le fette rappresentano le difese del sistema, i buchi gli eventi anormali. Il verificarsi contemporaneo di una serie di “eventi anormali” produce un “incidente” [13]
menti: ‘interni’ alla persona, come le capacità cognitive individuali, la disattenzione, la noia, l’assuefazione ad azioni ripetitive, l’emotività, la fatica e lo stress, questi ultimi due legati spesso ad un carico di lavoro eccessivo e/o non correttamente organizzato; ‘esterni’ che riguardano p. e. il contesto lavorativo, la concezione e la realizzazione della postazione di lavoro o l’interfaccia uomo-macchina, l’organizzazione del lavoro, procedure, regole e policy aziendale, nonché il contesto regolamentare e normativo. Per l’analisi dei fattori umani sono stati sviluppati dei “modelli” che aiutano a non dimenticarsi di
nessun componente potenzialmente significativa per la salute e la sicurezza; per esempio il così detto modello SHELL [10], acronimo delle iniziali dei suoi componenti:
• SOFTWARE (procedure): leggi, regole, procedure…;
• HARDWARE (macchina): equipaggiamento, veicoli, materiali;
• ENVIRONMENT (contesto): ambientale sociale, politico, fisico dei luoghi di lavoro;
• LIVEWARE (umano): il centro del modello è l’uomo, il componente più critico e più flessibile del sistema.

Una rappresentazione sintetica dei Fattori Umani è riportata in Figura 3, nella così detta “Dirty Dozen” of Human Factors, [12] di origine aeronautica: “Transport of Canada”.
Esperienze in campo
La letteratura tecnica sulla Sicurezza Partecipata riporta diverse esperienze già realizzate, alcune di carattere metodologico, altre più applicative. Si riporta una sintesi di due esperienze particolarmente interessanti:
• Una realizzazione effettuata col metodo della sicurezza partecipata [4]: il 26 settembre 2023 nell’auditorium dell’INAIL sono state presentate le conclusioni del progetto BRIC 2019 [14]. Anche se non espressamente presente tra gli obiettivi del progetto, questo è stato realizzato grazie ad una Buona Pratica di Sicurezza Partecipata. Ha facilitato questa impostazione il campo operativo circoscritto sia per l’omogeneità degli operatori e degli ambienti lavorativi sia per il numero relativamente limita-
to degli operatori in campo:
o ambito lavorativo: Biotech, laboratori di ricerca abilitati a trattare organismi geneticamente modificati presso due dipartimenti universitari ed una azienda ospedaliera;
o operatori in campo: ricercatori, studenti, borsisti, tesisti;
o operatori fuori campo: RSPP, dirigenti, INAIL, Ministero della Salute;
o punto di partenza (e anche un primo ostacolo da superare): gli operatori esposti ad un rischio professionale solitamente sottovalutato dai diretti interessati, i quali percepiscono l’esistenza di tale rischio solo in caso di incidente;
o obiettivo: la riduzione del rischio dove, fin dalle prime battute, risultava fondamentale la percezione dello stesso in concomitanza con il potenziamento della professionalità, addestramento, esperienza e buonsenso degli operatori in campo;


o metodo: senza chiamarlo così si è proceduto con criteri di Sicurezza Partecipata: ai partecipanti al progetto è stato proposto un percorso motivazionale e formativo comprensivo di lezioni frontali e da remoto, accompagnato da una analisi del rischio percepito, in modo che i lavoratori stessi effettuassero l’analisi di comportamenti corretti/scorretti, suggerissero le procedure di lavoro o apportassero modifiche alle lavorazioni effettuate;
o conclusioni: nel corso di due anni si è realizzata una stretta sinergia tra tutti gli operatori in campo e fuori campo; tra studenti, ricercatori, RSPP, dirigenti, figure istituzionali in rete tra di loro e, utilizzando una piattaforma come sede e mezzo di interazione, ci sono le basi per la continuazione nel tempo, l’ampliamento di scambi ed esperienze tese a raggiungere una sempre migliore consapevolezza e gestione del rischio nell’utilizzo delle biotecnologie.
• Il Coordinamento della Sicurezza nel cantiere di Porta Nuova Garibaldi a Milano - Il Cantiere Partecipato e la sua evoluzione [5] (Ing. Giuseppe G. Amaro, Arch. Patrizia Ganzi):
è un caso concreto di applicazione dei principi di “Sicurezza Partecipata” in cui i lavoratori sono stati coinvolti in una esperienza reale di partecipazione all’elaborazione della Sicurezza di un cantiere. In fasi successive sono state coinvolte anche altre imprese e la Committenza. Nell’iniziativa, in particolare nei concorsi, sono stati coinvolti anche il territorio, le famiglie dei lavoratori e i bambini (Il cantiere dei bambini).
È un valido esempio di “buone pratiche”.
Se ne riporta un estratto, rinviando al testo completo dell’articolo per un approfondimento.
Il progetto si proponeva di elaborare delle regole della sicurezza condivise con gli operai, a partire da un’autocritica e da un’analisi delle difficoltà operative radicate nell’approccio dei lavoratori alla sicurezza.


Si è constatato infatti che l’approccio alla sicurezza, basato in genere sulla prescrizione di norme e sanzioni, mostrava nella pratica ampie divergenze tra teoria e pratica, e che l’attività era invece regolata sulle esigenze della produzione. Al fine di chiarire i dubbi e le incoerenze evidenziate sono state avviate delle indagini basate su interviste a gruppi di esperti, tecnici di cantiere, preposti e addetti ai lavori.
Al termine è stato promosso un concorso di idee sulle buone pratiche da applicare per lavorare meglio in sicurezza, nonché varie attività di confronto creativo su lavorazioni, attrezzature e procedure specifiche.
Quindi è stato elaborato un PSC partecipato su una specifica opera di cantiere.
I temi di interesse emersi nella fase di ascolto sono quelli riportati qui di seguito:
o sicurezza e tempi;
o sicurezza e burocrazia;
o sicurezza e cultura;
o sicurezza ed ergonomia;
o sicurezza e committenza;
o sicurezza e lavoro sommerso.
Le opinioni raccolte sui temi sopra evidenziati sono state schematizzate in una tabella consultabile nell’articolo.
La constatazione che ogni singolo individuo ha
una percezione soggettiva della sicurezza è stata alla base per evidenziare gli strumenti condivisi per trasformare le prescrizioni in prassi. Pertanto, è stato chiesto agli operai e ai tecnici: Se tu avessi tutte le leve, che cosa faresti per migliorare la sicurezza del cantiere in cui lavori?
Ne sono derivate le diverse azioni che hanno costituito il Progetto della Sicurezza Partecipata:
• azione 1 - comunicare la sicurezza;
• azione 2 - laboratori di cantiere;
• azione 3 - premio “Zero Incidenti Zero sanzioni”;
• azione 4 - il cantiere è casa mia: le fami glie e la città in cantiere;
• azione 5 - personalizzare i DPI: “io disegno il mio casco”.
I risultati finali sono stati i seguenti:
- 34 idee creative per migliorare la sicurezza in cantiere;
- 15 idee per rispondere a dei bisogni specifici di sicurezza in cantiere;
- un manifesto con "7 regole da ricordare";
- Il primo PSC partecipato
Dalle valutazioni degli operai coinvolti attraverso i gruppi di confronto su temi proposti spontaneamente sono nate le sette regole della sicurezza contenute nel manifesto.

Figura 4 - Da: https://www.ingenio-web.it/pdfs/sicurezza-partecipata-cantiere-di-porta-nuova-garibaldi-amaro-6.pdf

LA PROGRAMMAZIONE OPERATIVA ATTRAVERSO
IL COINVOLGIMENTO E LA PARTECIPAZIONE
Un altro strumento, finalizzato alla partecipazione e al coinvolgimento delle ditte operanti in cantiere, è la condivisione di una programmazione delle attività settimanali dettagliate per:
• impresa e attività;
• localizzazione attività;
• tempistiche di intervento.
Attraverso la programmazione di dettaglio si è reso possibile focalizzare le interferenze delle sub fasi operative e delle procedure occorrenti per lo svolgimento corretto delle stesse.
IL PSC PARTECIPATO
Questo documento nasce dall’esigenza di colmare la distanza tra la norma e l’adempimento burocratico, che vede la stesura di elaborati spesso lontani dalle esigenze operative o che non sono in grado di interpretare le stesse né le criticità spesso affrontate dai lavoratori durante la realizzazione esecutiva di un’opera.
Nel progetto è stata coinvolta anche la Committenza.
Alla fase di esecuzione hanno partecipato imprese, preposti, capi cantiere e addetti specializzati nelle attività di carpenteria metallica e varo di strutture complesse.
Il piano, pur percorrendo quanto richiesto dal D.Lgs 81/08 nell’allegato XV attraverso i contenuti minimi, auspica un avvicinamento operativo su tematiche di sicurezza operative. Pertanto, sono stati sviluppati un PSC Standard (Art. 100 Testo Unico D.Lgs. 81/08) e un “PSC Partecipato” che coinvolge in maniera ampia tutti i lavoratori.
Il progetto ha l’obiettivo di accertare se complessivamente l’idea dell’approccio partecipativo applicato lungo tutto il procedimento possa essere effettivamente un processo innovativo atto a ridurre gli incidenti e i “quasi incidenti” e in modo che gli stessi documenti e le connesse procedure risultino e costituiscano certezza per tutti.
Il PSC elaborato ha costituito comunque, ai sensi di legge, il documento di riferimento cardine e principale.
L’impresa affidataria ha partecipato attivamente al processo di condivisione e puntualizzazione del PSC e del PSCP, rendendo disponibili la sua struttura e le maestranze.

L’analisi del progetto esecutivo e del piano di manutenzione hanno consentito di elaborare e di articolare il PSC e il Fascicolo dell’opera in maniera da rendere tali documenti il più possibile fruibili dalle imprese.
Considerazioni finali
L’ingegnere contribuisce da sempre ai vari aspetti del lavoro: lo incentiva, lo definisce, lo innova e lo fa eseguire, valutandone anche le condizioni di sicurezza.
Alla valutazione possono contribuire i lavoratori a tutti i livelli, sulla base delle esperienze acquisite su aspetti pratici dei processi.
Far emergere queste esperienze deve diventare un obiettivo dell’ingegnere della sicurezza, o di qualunque altro professionista della sicurezza, mettendo in atto adeguate capacità di ascolto per stimolare la sensibilità del lavoratore per le problematiche di sicurezza e per guadagnarne fiducia e stima.
Ne può derivare uno scambio reciproco di conoscenze fondamentale per instaurare un sistema di Sicurezza Partecipata utile per i lavoratori, per l’impresa e per l’ambiente. In tale contesto l’ingegnere assume un ruolo di cerniera tra i lavoratori e il vertice aziendale cui compete la promozione e l’attuazione della sicurezza in azienda.
Le esperienze in campo mostrano che coinvolgere i lavoratori in un sistema di Sicurezza Partecipata non è un’operazione immediata. Va superata la scarsa sensibilità in genere per le problematiche di sicurezza e la mancanza spesso della necessaria autostima. Inoltre, vi si oppongono difficoltà di tipo comunicativo e culturale, soprattutto in presenza di lavoratori stranieri, con lingue e culture diverse.
Il problema linguistico va affrontato sia con attività formative mirate, sia con una cartellonistica multilingue, sia con l’affiancamento con lavoratori con più mature conoscenze linguistiche. Il problema culturale richiede iniziative di integrazione di lungo periodo che salvaguardino anche la cultura del paese di origine.
Le difficoltà sono acuite in situazioni di precarietà che impediscano l’instaurarsi di un rapporto continuo, alla base della costruzione di un sistema di Sicurezza partecipata.
È chiaro anche che è difficile instaurare un sistema di sicurezza partecipata in una impresa di piccole dimensioni con disponibilità limitata di risorse. In tali situazioni risulta fondamentale il ruolo di strutture di categoria consortili e di comparto, che favoriscano il coagulo delle scarse risorse disponibili e si strutturino come poli informativi sui temi della salute e della sicurezza e della diffusione di buone pratiche
Inoltre, su attività complesse di interesse generale è auspicabile promuovere iniziative che
coinvolgano enti e organizzazioni pubbliche e private operanti a livello regionale o nazionale. È il caso, ad esempio, del riciclo dell’esperienza operativa, in cui la raccolta e l’analisi dei dati e la diffusione dei risultati possono diventare un volano per la messa in comune di dati ed esperienze utili per la produttività, la sicurezza, e l’ottimizzazione delle risorse.
Le esperienze realizzate indicano una maggiore propensione a sviluppare un Sistema di sicurezza partecipata in ambienti di lavoro a più elevata professionalità. È il caso, ad esempio, del progetto BRIC 2019-ID54 riassunto nel capitolo precedente, in cui si è sperimentata un’esperienza di “Sicurezza partecipata di fatto” facilitata dalla elevata competenza e professionalità dei lavoratori coinvolti.
Sono state anche sviluppate in piccole realtà lavorative, spesso a carattere familiare, esperienze di coinvolgimento dei lavoratori in attività sistematiche di discussione e di analisi degli eventi anormali a soglia bassa verificatisi in azienda. Tali esperienze sono state facilitate dalla presenza di elevate professionalità nella gestione dell’azienda e di responsabili di impresa illuminati coinvolti direttamente nelle attività. Come già detto, la raccolta e la valutazione degli eventi a soglia bassa è il campo ideale in cui coinvolgere i lavoratori valorizzandone le potenzialità inespresse e facendo crescere consapevolezza e autostima.
Oltre alla ridotta sensibilità per problematiche di sicurezza e alla scarsa autostima, i lavoratori devono anche superare il timore che la segnalazione di problemi di sicurezza possa ritorcersi contro sé stessi. Peraltro, nell’analisi di eventi anormali o incidentali con componente significativa di fattori umani si riscontra spesso la tendenza ad attribuire impropriamente a guasti di macchine o di attrezzature le cause degli eventi. Tale atteggiamento si riscontra anche in figure di livello elevato, dirigenti sindacali ed RLS.
La tendenza a cercare di attenuare le responsabilità umane testimonia un atteggiamento mentale che può portare ad analisi incidentali distorte e che non aiuta a migliorare il livello di sicurezza.
La promozione di un Sistema di sicurezza partecipata dei lavoratori deve diventare un’abitudine per le figure apicali che operano nella sicurezza, utilizzando tutte le opportunità. L’occasione più immediata, con carattere di continuità, può essere l’utilizzo dei momenti di formazione e di aggiornamento, in cui si è già stabilito un contatto tra esperti e lavoratori. Si deve però instaurare anche un cambio di prospettiva basato su un rapporto di scambio reciproco di esperienze e su momenti di discussione di temi indicati dai lavoratori. Ciò può agevolare lo sviluppo di consapevolezza e di sensibilità nuove, facendo

leva sugli interessi diretti dei lavoratori. In tutte queste esperienze un atteggiamento sanzionatorio può ostacolare il dialogo e va limitato alle sole situazioni indispensabili, privilegiando invece un approccio preventivo. Infine va sottolineata la necessità di iniziative di crescita della Cultura della sicurezza già in età giovanile, ancor prima dell’ingresso nel mondo del lavoro. In tale direzione il 18 ottobre 2024
scorso è stata approvata in Parlamento la proposta di Legge per l'introduzione, dal prossimo anno scolastico, di lezioni curricolari dedicate alla sicurezza sul lavoro nelle scuole secondarie di primo grado (come annunciato dal primo firmatario della proposta, On. Walter Rizzetto, Presidente della XI Commissione llavoro) [][7]. La Sicurezza partecipata dei lavori rientra a pieno titolo tra gli argomenti da trattare.
Bibliografia
[1] https://www.puntosicuro.it/lavoratori-C-73/sicurezza-partecipata-una-procedura-per-la-collaborazione-dei-lavoratori-AR-21981/;
[2] https://www.8108amatodifiore.it/download/edizione-novembre-2023/ DECRETO LEGISLATIVO 9 aprile 2008, n. 81 - Edizione aggiornata del D. Lgs. 81/2008;
[3] Cultura della sicurezza o sicurezza partecipata - Blog HS Formazione By Jessica Gaglione; [4] https://www.biotechsafety.org/presentazione-dei-risultati-finali-del-progetto-bric-id-54-approcci-innovativi-alla-biosicurezza-per-la-tutela-della-salute-delluomo-e-dellambiente/?_gl=1*c8qu3r*_up*MQ..*_ ga*MTc1MTc5MTAzMC4xNzMyMjI4OTkw*_ga_ME9FPK9VT6*MTczMjIyODk4OS4xLjAuMTczMjIyODk4OS4wLjAuMA..*_ga_K6EYQFCX9E*MTczMjIyODk4OS4xLjAuMTczMjIyODk4OS4wLjAuMA..; [5] https://www.ingenio-web.it/pdfs/sicurezza-partecipata-cantiere-di-porta-nuova-garibaldi-amaro-6.pdf; [6] https://www.quotidianosanita.it/governo-e-parlamento/articolo.php?articolo_id=125673; [7] LEGGE 20 agosto 2019, n. 92 - Normattiva; [8] https://clinicalriskmanagement.it/swiss-cheese-model/; [9] https://it.wikipedia.org/wiki/Safety_Management_System; [10] https://skybrary.aero/articles/icao-shell-model; [11] Indagine sulla sicurezza e i rischi legati agli oli lubrorefrigeranti - Landoil Technology; [12] Dirty Dozen of Human Factors - AviationHunt; [13] La teoria del formaggio svizzero | Clinical Risk Management; [14] Sturchio, Bonsi, Luperini, Bellati, Boccia, Russo, Tassone, Zanellato - IL PROGETTO BRIC 2019-ID54. Approcci innovativi alla biosicurezza per la tutela della salute dell’uomo e dell’ambiente www.BiotechSafety.org.



1.1 Atti di pianificazione del 2003 e del 2009
1.1.1 Pregresse previsioni di crescita
Vale la pena di ricordare gli indirizzi di atti di pianificazione pregressi, che avevano confermato l’intendimento di sviluppare la rete tranviaria: il Programma Integrato Mobilità del 2001 e il Piano Strategico per la Mobilità Sostenibile del 2009.
1.1.2 PROIMO
Venivano proposte le seguenti linee:
• “TVA”: Termini – Piazza Venezia – Largo Tassoni – Piazza Pio XI, con diramazione Largo Tassoni – Piazza Risorgimento (7,0 km);
• “Caravaggio”: Piazzale Ostiense – Piazzale Caravaggio (6,6 km);
• “Direttrice Casilina”: Porta Maggiore – Centocelle (4,2 km);
• “Direttrice Nomentana”: Termini – Piazza Sempione (5,0 km);
• “Direttrice Tiburtina”: Piazzale del Verano –Via Tiburtina alt. Via Fiorentini (3,4 km).
• Erano inoltre previste tre linee servite da sistemi a guida vincolata di tipo da definire:
• Tiburtina GRA – Settecamini (5,0 km);
• Centocelle – Tor Vergata (11,7 km);
• Eur Palasport – Tor de’ Cenci (8,3 km);
Già realizzata nel 1998 la linea di Casaletto, del piano ATAC del 1993 PROIMO manteneva la sola linea della direttrice Nomentana, accorciata. Dell’Agenda del Trasporto pubblico del 1995, era confermata la TVA, mentre non compariva la Tangenziale su Viale Togliatti, la cui domanda di trasporto fu ritenuta allora insufficiente.
1.1.3 PSMS
I temi prioritari erano i seguenti:
• definizione del tracciato nel centro storico della linea 8;
• diramazione della linea 8 da Piazza Flavio Biondo alla stazione metro Marconi (o, in alternativa, collegamento da Porta San Paolo su via Ostiense);
• trasformazione in tranvia della ferrovia concessa Roma – Pantano nella tratta Termini –Torre Spaccata;
• riqualificazione dei tracciati di via Flaminia, viale Carlo Felice e del nodo di Porta San Paolo;
• nuovi depositi;
Erano inoltre considerati temi di orizzonte più lontano, con fattibilità da verificare:
• Itinerario tranviario lungo il Muro Torto;
• Itinerario tranviario sui Lungotevere;
Erano inoltre previsti vari “Corridoi della mobilità”, con tipologia di sistema da definire, di cui erano dati in fase attuativa quelli delle direttrici Tor Vergata e Tor de’ Cenci / Trigoria. Ad essi si aggiungevano quelli inseriti nel PRG ed altri assegnati al lungo termine, con necessità di approfondimenti.
L’idea di riportare il tram sui Lungotevere, che avrebbe potuto ripristinare funzioni della mitica “circolare rossa”, era fortemente appoggiata dall’urbanista Italo Insolera, convinto sostenitore delle tranvie.
1.2 I Piani Urbani della Mobilità Sostenibile
1.2.1 PUMS di Roma Capitale
Per la presentazione di istanze di finanziamento di interventi per il trasporto rapido di massa, a seguito dell’Avviso n. 2 del Ministero delle Infrastrutture e dei Trasporti (nel seguito: MIT), era necessario avere un PUMS già adottato. Ciò ha spinto Roma Capitale (nel seguito: RC) a redigere sollecitamente un suo PUMS, senza attendere quello della Città Metropolitana (nel seguito: CM). Tale PUMS fu tempestivamente adottato1 con delibera dell’Assemblea capitolina del 2 agosto 2019 e, compiute poi le procedure delle osservazioni e controdeduzioni, fu approvato con Delibera del 22 febbraio 2022. Riguardo al trasporto pubblico, il PUMS di RC ha sviluppato un’ampia e dettagliata previsione dello sviluppo dei diversi sistemi, riferendola a uno scenario di piano, collocato a 10 anni, e a uno scenario detto “tendenziale”, da attuare successivamente. Le tranvie hanno un ruolo notevole: è prevista la realizzazione di 58 km di nuovi impianti tranviari nello scenario di piano e di altri 20 km nello scenario tendenziale. I servizi previsti (corrispondenti a linee già esistenti, a loro prolungamenti o a linee nuove) sono elencati nella Tabella I. Il PUMS di RC appare ambizioso e ormai è da ritenersi che lo scenario di piano non potrà essere completato nei tempi previsti. Una valutazio-

a cura di: Ing. Giovanni
Commissione: Sistemi di trasporto rapido di massa
I
Servizi tranviari previsti dal PUMS di Roma Capitale
1 - PUMS di Roma Capitale, schema di rete tranviaria nello scenario di Piano. Elaborazione grafica dell’autore.



Tabella II - Servizi tranviari previsti dal PUMS della Città Metropolitana.
Figura 2 PUMS della Città Metropolitana, Schema dei servizi tramviari di Roma Capitale. Altre due linee sono previste sul litorale. Città metropolitana di Roma Capitale, Piano Urbano della Mobilità Sostenibile, volume 3, 2022; p. 187.


Figura 3 - Rete tranviaria di Roma con le quattro linee in corso di realizzazione della Città Metropolitana, schema di rete tranviaria. Elaborazione grafica dell’autore.
ne delle scelte dei PUMS esula dallo scopo di questo articolo e richiederebbe un’ampia e approfondita analisi. Limitandoci a qualche cenno, è da ritenersi appropriato il sostanziale mantenimento dell’impostazione di rete magliata, ma qualche perplessità è destata da alcune tratte dove si sovrappongono troppe linee e preoccupa in particolare il nodo di Porta Maggiore, sovraccarico. Pone dubbi la lunghezza di un paio di linee, che appare eccessiva. Spiace il rinvio della tratta Auditorium-Ungheria, che appare molto funzionale, allo scenario tendenziale. Anche il ritorno del tram sul lungotevere, di grande interesse, è rinviato allo scenario tendenziale, ma ciò è comprensibile, se si considerano i notevoli problemi della realizzazione3
1.2.2 PUMS della Città Metropolitana
Successivamente è stato sviluppato il PUMS della CM, approvato con Delibera del Consiglio Metropolitano del 13 dicembre 2024. Esso aggiunge altre tratte alla rete tranviaria romana e cambia il quadro dei servizi previsti dal PUMS di RC, modificando e aggiungendo linee. Quelle previste all’orizzonte 2035 divengono così 20,
elencate nella Tabella II. Sono comprese due linee, isolate dalla rete principale, che collegano la Fiera di Roma col litorale.
Si accentuano I dubbi, già posti dal piano di RC, sulla realizzabilità di un piano così vasto nel termine previsto e pare necessario assegnare agli interventi una ben fondata sequenza di priorità, per garantire la tempestiva realizzazione delle linee più importanti. Non è facile avanzare ipotesi a tale riguardo, perché i documenti del piano non offrono elementi atti a comprendere come si sia dipanato il processo di definizione della rete. E permangono le perplessità cui si è già accennato per il piano di RC.
Le Linee Guida dei PUMS prevedono l’aggiornamento, con cadenza almeno quinquennale. Pare opportuno prepararsi all’aggiornamento, anche tenendo conto dello stato di avanzamento delle nuove linee e di possibili deviazioni del tracciato della metro D da quello del PUMS vigente.
2. SVILUPPI IN CORSO DI REALIZZAZIONE E ALTRI PROGETTI
2.1 Generalità Grazie all’esito positivo delle istanze presentate

Figura 4 - Rendering della tranvia TVA in Via Gregorio VII. Dalla presentazione nella consultazione pubblica di gennaio 2024. Roma Servizi per la Mobilità.
a seguito dell’Avviso n. 2 concernente il Trasporto rapido di massa del MIT, RC ha ottenuto un finanziamento complessivo di 885 milioni di euro per la realizzazione di 4 linee tranviarie, l’acquisto di un elevato numero di tram e la ristrutturazione del deposito di Centocelle. Una parte del finanziamento è stata trasferita al PNRR. Le procedure finalizzate alla realizzazione di queste linee hanno richiesto tempi superiori a quelli previsti.
2.2 Linea Termini – Vaticano – Aurelio (TVA)
Già nel 1995 l’«Agenda» inseriva la “TVA” nello scenario di primo periodo e in effetti negli anni successivi furono redatti dei progetti, senza però seguito. È ricomparsa nel 2018, includendola nella rete del PUMS, come opera invariante, e dando così luogo alla redazione del Progetto di Fattibilità Tecnica-Economica (nel seguito: PFTE) e all’istanza di finanziamento, con esito positivo. Il tracciato inizia in Piazza dei Cinquecento e si sviluppa sulle Vie Nazionale, IV Novembre, del Plebiscito e su Corso Vittorio Emanuele II per poi diramarsi dopo Largo Tassoni da un lato su
Ponte Amedeo di Savoia Aosta, Via Gregorio VII e le Circonvallazioni Aurelia e Cornelia fino a Piazza dei Giureconsulti, dall’altro su Ponte Vittorio Emanuele, Via della Traspontina e Via Vitelleschi fino a Piazza Risorgimento, dove si connette alla rete esistente. L’itinerario Termini – Piazza Giureconsulti misura 8,0 km, la diramazione verso Piazza Risorgimento 1,1 km. I servizi previsti dai due PUMS e dal PFTE sono diversi4. La sede sarà quasi sempre riservata esclusiva. Alcune tratte saranno prive di linea aerea di contatto per prescrizione della competente Soprintendenza. È un intervento molto importante. Nell’area centrale sostituirà numerose autolinee (che oggi si sovrappongono in modo irrazionale) con un vettore di maggiore capacità, regolarità e comfort; integrerà l’offerta di trasporto pubblico forte nel settore Aurelio; dovrebbe dare continuità all’itinerario tranviario attualmente troncato in Piazza Risorgimento, ma non sarà facile5. È anche un intervento difficile, a causa dell’ambiente urbano in cui si inserisce tra Termini e il Tevere, della necessità di togliere spazio alla circolazione ordinaria e delle interferenze con numerose importanti attività. È stato necessario rivedere vari aspetti progettuali, come per esempio la risali-

ta da Via San Pio X sul Lungotevere in Sassia, impraticabile per la compresenza di un’elevata pendenza e di una curva orizzontale di piccolo raggio6 o la giacitura dei binari lungo i marciapiedi in Corso Vittorio Emanuele II, non rispondente a obiettivi funzionali e di sicurezza. Si è ritenuto molto opportunamente di associare alla realizzazione della tranvia interventi di riqualificazione urbana, per la definizione dei quali è stata chiesta la collaborazione della Facoltà di Architettura della Sapienza.
La prospettiva della realizzazione della “TVA” ha suscitato, come spesso accade per i progetti tranviari, manifestazioni di contrarietà, dettate dalla presunta penalizzazione di interessi privati e anche di natura del tutto pregiudiziale. Per diffondere corrette informazioni sul progetto e raccogliere opinioni e proposte, da vagliare opportunamente, l’Amministrazione comunale ha organizzato un’approfondita consultazione pubblica, articolata in cinque sedute tenutesi nei primi mesi del 2024.
Non è noto, al momento, quando inizieranno i lavori.
2.3 Linea Tangenziale Est
Lunga 8,0 km, collega la stazione Ponte Mammo-
lo della metro B con la stazione Subaugusta della metro A e si sviluppa tutta sul Viale Togliatti salvo una breve tratta su Via Quinto Publicio e Via Orazio Pulvillo, presso la stazione Subaugusta. Avrà corrispondenza anche con la metro C, con la ferrovia FL2 e con le tranvie di Via Casilina e di Via Prenestina, svolgendo così un’importante funzione di scambio con sei servizi forti di trasporto radiali7. La realizzazione è facilitata dall’ampio spartitraffico di Viale Togliatti, nel quale sarà realizzata la sede tranviaria, per lo più col binario doppio al centro, ma anche col binario doppio su un bordo o con i binari, separati, sui due bordi. Una breve tratta, tra due fermate, sarà priva di linea di aerea di contatto, a causa dell’attraversamento dell’Acquedotto Alessandrino.
I lavori sono già iniziati e, poiché l’opera fruisce di un finanziamento PNRR, il termine per l’ultimazione è fissato al 30 giugno 2026.
2.4 Linea Termini – Giardinetti – Tor Vergata
Deriverà dalla ricostruzione come metrotranvia della residua tratta Laziali – Giardinetti della ferrovia a scartamento ridotto Roma – Fiuggi – Frosinone, con adozione dello scartamento di 1445 mm e dal prolungamento da un lato a Piazza dei Cinquecento, lungo via Giolitti8, e dall’altro a
Figura 5 - Primi lavori per la tranvia tangenziale Est, in Viale Togliatti, presso Ponte Mammolo. Giugno 2025. Foto dell’autore.


Tor Vergata, servendo l’omonima Università e, a breve distanza, mediante un percorso protetto, l’omonimo Policlinico9. Via Casilina viene abbandonata poco prima della stazione Torrenova della metro C per procedere su nuovo tracciato verso Tor Vergata. La lunghezza totale è di 12,8 km. Dovrà essere mantenuta la breve tratta a binari intercalati tra Ponte Casilino e Piazzale Labicano, mentre un'altra tratta a binari intercalati (o a binario semplice) e l’assenza della linea aerea di contatto sono imposte in Via Giolitti da una prescrizione della competente Soprintendenza, motivata principalmente dalla tutela del cosiddetto Tempio di Minerva Medica. È stato oggetto di discussione il cambiamento dello scartamento, peraltro richiesto dal MIT. Risulta però ben motivato dall’obiettivo di interoperabilità (già postulata dalla linea 13 del PUMS della CM) e dal fatto che l’infrastruttura e il materiale rotabile hanno comunque bisogno di un completo rinnovo.
Ripetute problematiche di vario genere hanno prolungato le fasi di progettazione ed approvazione, cosicché si prevede che i lavori non potranno iniziare prima del 2026. Una delle ultime difficoltà è sorta per l’opposizione dell’Università Tor Vergata al transito dei tram in Viale della
Sorbona, superata con la definizione di una variante consistente in una tratta in viadotto.
2.5 Linea Verano – Tiburtina
Si tratta di una breve tratta che ricalca quasi interamente un tracciato tranviario utilizzato fino al 1973. Invece di terminare su Via Tiburtina prima del ponte sulla ferrovia, scenderà sul Piazzale della Stazione Tiburtina10. La lunghezza è di 1,3 km. Consentirà di migliorare notevolmente i collegamenti con quella stazione, attestandovi servizi sia della direttrice di Porta Maggiore sia di quella di Piazza Ungheria.
2.6 Nuovo materiale rotabile
Per il rinnovo e l’ampliamento della flotta, in vista della crescita della rete, ATAC ha indetto nel 2023 la gara per un accordo quadro avente per oggetto 121 tram. È stata aggiudicata alla società spagnola CAF (Construcciones y Auxiliar de Ferrocarriles), che fornirà tram Urbos a 5 casse con un rodiggio ibrido, ovvero composto da due carrelli pivotanti tipo AXL (quelli alle estremità, maggiormente soggetti a criticità di interazione ruota/rotaia) e due carrelli intermedi non pivotanti tipo 100X. Questa con-
Figura 6 - Dalle Laziali a Torrenova la metrotranvia Termini – Tor Vergata utilizzerà il sedime della ferrovia Roma – Giardinetti. Qui l’anziano convoglio 066-425-069 a Porta Maggiore. Giugno 2025. Foto dell’autore.




figurazione e la cassa centrale sospesa sono caratteristiche comuni ai Cityway Roma 1, ma il tram Urbos per Roma presenta fondamentali differenze: anche i carrelli intermedi sono motori e hanno sale montate; la concezione di ambedue i tipi di carrello (dotati di ruote superelastiche e di sospensioni primaria e secondaria) consente di avere, in corrispondenza di essi, il pavimento a una quota sul p.d.f. relativamente bassa, 495 o 500 mm, raccordata alle aree a 350 mm mediante rampe aventi pendenza non
superiore all’8%. Si ha così un veicolo a pavimento sostanzialmente tutto basso, in grado di circolare senza problemi su una rete storica impegnativa.
Il tram è lungo 33,5 m e largo 2,4 m. I posti a sedere sono 68 e quelli in piedi 147, alla densità di 4 p/m2. La cassa centrale, senza posti a sedere, è multifunzionale e può accogliere due sedie a ruote.
I carrelli sono bimotorici. La velocità massima è 60 km/h, l’accelerazione massima 1,2 m/s2. La fre-

natura di servizio è normalmente solo elettrodinamica, fino a una velocità molto bassa (< 5 km/h).
Un aspetto innovativo è la capacità di percorrere tratte prive di linea aerea, previste dalle nuove linee romane, lunghe anche più di 1 km, grazie a un sistema di accumulo di energia utilizzante batterie di trazione al litio-titanato, caratterizzate da elevata potenza specifica e buona stabilità. Le batterie vengono ricaricate durante la marcia sotto linea aerea e ricevono anche, l’energia rigenerata in frenatura.
La consegna del primo tram è prevista per dicembre 2025.
Anche una gara indetta successivamente dal Comune di Bologna è stata aggiudicata a CAF, che fornirà tram simili a quelli per Roma.
2.7 Altri progetti
Sono stati recentemente redatti altri sette PFTE, relativi alle nuove tratte elencate nella Tabella III, nella quale sono anche indicate le linee che, secondo i PUMS di RC (scenario tendenziale)

Figura 9 - Rete della figura 3 completata con le linee per le quali è stato sviluppato il PFTE ed è stata presentata istanza di finanziamento. Elaborazione grafica dell’autore.
e della CM, utilizzerebbero, interamente o in parte, tali tratte. In alcuni casi la realizzazione completa delle linee previste dai PUMS richiede la realizzazione di ulteriori tratte.
Il MIT ha pubblicato il 9 febbraio 2024 il 3° avviso per la presentazione di istanze per il finanziamento di interventi di sviluppo del trasporto rapido di massa, con scadenza prorogata al 31 maggio 2025. La disponibilità dei PFTE ha permesso a RC di presentare istanza per cinque di dette linee, che darebbero luogo a nuove importanti estensioni della rete tranviaria romana.
Brevi annotazioni sulle cinque linee:
P1) il prolungamento della tranvia dalla stazione Tiburtina a Ponte Mammolo offrirà un trasporto rapido di massa alla densa zona gravitante sulla tratta di via Tiburtina tra Portonaccio e Santa Maria del Soccorso, lontana dalla metro B. Tranvia e metro B scambieranno a Tiburtina, Santa Maria del Soccorso e Ponte Mammolo;
P2) il prolungamento dell’esistente linea 2 ne rafforzerà notevolmente la funzione e con-
sentirà di arretrare varie linee di autobus ora attestate a Piazza Mancini. La realizzazione dell’anello ferroviario contribuirà a caricare la linea, grazie allo scambio alla stazione Vigna Clara;
P3) nel passato sono state concepite soluzioni di vario tipo per connettere Romanina e Tor Vergata sia alla metro A (Anagnina) sia alla metro C (Torre Angela). La soluzione metrotranviaria ora definita appare efficace perché consentirà di raggiungere rapidamente Tor Vergata da molte zone di Roma, con un solo scambio e con percorsi sviluppati per la maggior parte su una metropolitana, quindi con velocità maggiore di una metrotranvia. Potrebbe quindi mostrarsi più utile della linea G di prossima costruzione, diretta ma più lenta e con limitata area di cattura diretta;
P4) il prolungamento da Tor Vergata allo Scambiatore con l’autostrada A1, ramo Sud, è utile anche per il servizio del complesso della Banca d’Italia. Una vantaggiosa modifica del progetto originale ha messo una

tratta in comune con la linea P3, riducendo così quella da costruire; P5) costituisce il prolungamento a Sud della tangenziale ora in costruzione. Si verrà così a creare un importante itinerario semi-anulare di 17 km tra Ponte Mammolo e Laurentina, integrato dalla diramazione di 7 km verso la stazione Trastevere, con origine a 1,4 km dal capolinea Laurentina e transito in Viale Marconi. Condizione importante per il successo è assegnare un carattere metrotranviario, in modo da contenere i temi di viaggio delle relazioni più lunghe. Un problema incontrato nello sviluppo del progetto è stato il parere contrario al passaggio nel Parco dell’Appia Antica, superato introducendo due tratte in galleria, per
un totale di circa 3 km, che comporta un notevole aumento del costo dell’opera. Può spiacere la mancata inclusione nell’istanza della linea P6) da viale delle Milizie all’Auditorium (Parco della Musica), che appare molto funzionale (e ancor più lo sarebbe, come già detto, se prolungata fino a una riconnessione in Piazza Ungheria, come prevedono i PUMS di RC e CM), ma ciò può dare la possibilità di riesaminare il tracciato in Prati, evitando un inopportuno inserimento in una tratta di Viale Mazzini e servendo in modo passante Piazzale Clodio, polo di grande importanza sia per i circostanti insediamenti residenziali e di attività, sia per la possibilità di ubicarvi utili scambi con linee autobus11

Focus sulla protezione delle linee e sull’esclusività della sede
È opportuno soffermarsi su due questioni spesso affrontate nei progetti tranviari romani e molto dibattute in generale. Le barriere poste ai lati della sede tranviaria, per impedire ai pedoni indisciplinati di attraversarla fuori dai punti resi sicuri1, destano forti polemiche, sia per l’impatto visuale, sia per la riduzione della permeabilità trasversale delle strade, cioè per i più lunghi percorsi imposti ai pedoni.
In generale, è necessario tenere conto della configurazione dei luoghi e del tipo di frequentazione pedonale, nonché del comportamento usuale delle persone. Mentre in tratte periferiche, su ampie arterie, la protezione materiale di una sede tranviaria posta in centro strada (realizzata in modo valido dal punto di vista ambientale, per esempio con siepi) appare certamente necessaria ai fini della regolarità di esercizio e della sicurezza, ma anche accettabile dal punto di vista ambientale, nei tessuti urbani centrali si deve ricorrere a soluzioni ottimizzate in funzione delle specifiche caratteristiche dei luoghi. Nei casi di binario in sede riservata esclusiva in centro strada è vantaggioso ricorrere alla storica soluzione del marciatram, ovvero alla sede rialzata, eventualmente valicabile; altrimenti si può proteggere la sede con cordoli o, meglio, quando sia possibile, con piccole banchine, atte anche a fungere di rifugio per chi avesse avventatamente iniziato un attraversamento irregolare. Naturalmente è necessario offrire attraversamenti pedonali con interdistanze ragionevoli e semaforizzazione asservita al tram.
Nei casi di binario adiacente a un marciapiede stretto e/o molto frequentato (soluzione, peraltro, decisamente sconsigliabile per molte ragioni) la barriera è invece inevitabile, per scongiurare l’investimento di chi scenda distrattamente dal marciapiede, magari dando le spalle a un tram sopravveniente. Con marciapiedi più ampi potranno invece bastare particolari forme visuali di allertamento, ad esempio file di paletti di idonea foggia, con o senza catenelle di collegamento. Particolare attenzione richiedono i marciapiedi presso gli accessi a scuole2
Sono da evitare dovunque i parapedonali bassi (tipici quelli a “U” rovesciata, alti circa 30 cm) perché facilmente scavalcabili ed anche possibile causa di inciampo e caduta. Previsti per la linea 8 in Viale Trastevere, furono soppressi in fase realizzativa.
Diverso è il caso del transito in zone a pedonalità privilegiata, precluse ad altri tipi di traffico, dove si può rinunciare a una protezione fisica, risultando in generale sufficienti una riduzione di velocità e un’appropriata segnaletica orizzontale, magari realizzata con la diversificazione della pavimentazione o della sua colorazione3
Bastano poche parole per ricordare che per le moderne tranvie è fondamentale l’esclusività della sede, da interdire anche ad autobus e taxi, eccetto brevi tratte in cui vi sia assoluta necessità di tale promiscuità e si adottino idonee misure di priorità all’inizio della tratta promiscua (gate control). Le linee tranviarie comportano infatti elevati investimenti e alti costi di esercizio; occorre quindi giustificare e compensare tali oneri, assicurando ottimi valori di regolarità e velocità operativa (con effetto favorevole sui costi, oltre che sul gradimento dei passeggeri).

Note
1. Il Decreto del Ministero delle Infrastrutture e dei Trasporti n. 397 del 4 agosto 2017 “Individuazione delle linee guida per i piani urbani delle mobilità sostenibile, ai sensi dell’art. 3, comma 7, del Dlgs 16 dicembre 2016, n. 257 (aggiornato dal Decreto 396 del 28 agosto 2019) fissava il termine di adozione (poi prorogato) del PUMS da parte delle Città metropolitane, degli enti di area vasta, dei comuni e delle associazioni di comuni con popolazione superiore a 100.000 abitanti. Condizionava inoltre l’accesso ai finanziamenti statali di infrastrutture di trasporto rapido di massa, per le città metropolitane, alla definizione del PUMS;
2. Per le due ultime linee è stata adottata dal PUMS di RC una denominazione con lettere, come quella delle metropolitane, per evidenziare la loro natura di metrotranvia;
3. Per assicurare l’importante funzione di gronda del centro storico, ambedue i sensi di marcia dovrebbero trovare posto sul lungotevere di sinistra, il che comporta almeno l’eliminazione dei parcheggi sui due lati della carreggiata. La problematica delle alberate potrebbe invece essere risolta ricorrendo alla marcia mediante batteria;
4. Il PFTE prevedeva un servizio Piazza Giureconsulti – Termini e un servizio Piazza Risorgimento - Termini. Secondo il PUMS della CM la “TVA” verrebbe invece utilizzata tra Piazza Giureconsulti e Piazza Pio XI come parte delle linee 1, 6 e 17, tra Piazza Pio XI e Largo Tassoni come parte delle linee 1 e 3, tra Largo Tassoni e Piazza Risorgimento come parte delle linee 3 e 11, tra Largo Tassoni e Piazza Venezia come parte delle linee 1 e 11, tra Piazza Venezia e Termini come parte delle linee 1, 8 e 11. Un breve tratto di Corso Vittorio Emanuele verrebbe inoltre utilizzato dalla linea 7. Il PUMS di RC assegnava la tratta tra Piazza Giureconsulti e Largo Tassoni alla linea 3, quella tra Largo Tassoni e Termini alla linea 1 e quella tra Largo Tassoni e Piazza Risorgimento alle linee 1 e 3; 5. In effetti l’esercizio tranviario tra Valle Giulia e Piazza Risorgimento è sospeso da maggio 2023, dapprima per l’incendio in una galleria dei sottoservizi che ospitava un cavo di alimentazione della tratta, poi per gli interventi legati al Giubileo in Piazza Risorgimento e Via Ottaviano. All’inizio del 2026 sopravverrà un’altra causa, la chiusura di via Barletta per l’apertura del cantiere della stazione Ottaviano della metro C, per una durata prevista di 10 anni. Per riportare la linea 19 in Prati, si sta attualmente ipotizzando un capolinea in Viale delle Milizie, all’altezza di Via Barletta;
6. Questo vincolo e altri relativi all’assetto del Lungotevere in Sassia hanno portato a sostituire all’anello a binario semplice tra Via Paola, Ponte Vittorio Emanuele II, Lungotevere in Sassia, Ponte Amedeo di Savoia-Aosta, nel quale si innestavano le tratte a binario doppio di Corso Vittorio Emanuele II, di Piazza Della Rovere e di Via San Pio X, una diramazione del binario doppio all’altezza di Via Paola, separatamente verso i due ponti;
7. La linea verrebbe esercitata, secondo i PUMS di RC e della CM, come parte della linea 10; 8. Dove a suo tempo aveva origine la Roma – Fiuggi – Frosinone;
9. La linea verrebbe esercitata, secondo il PUMS di RC, come linea G (11) priva della breve tratta terminale fino allo Scambiatore A1 Sud. Secondo il PUMS della CM varie tratte farebbero parte delle linee 12, 13 e 14; 10. Secondo il PUMS di RC verrebbe esercitata come parte delle linee 3 e 7; secondo quello della CM come parte delle linee 1, 8, 9; 11. Va ricordato che nell’abbandonato progetto di diramazione della metro A verso la Farnesina (di cui esiste il bivio ed un moncone presso la stazione Ottaviano) era opportunamente prevista una stazione in Piazzale Clodio.
Note Focus
1. Mediante impianto semaforico. Un parere del MIT-DGMC del 2007 ha dato la precedenza ai pedoni anche nei confronti dei tram, sugli attraversamenti zebrati non regolati da semafori. La disciplina degli attraversamenti pedonali di linee tranviarie sembra comunque materia da rivedere;
2. Per l’inserimento di moderne tranvie nelle strade urbane si veda: AIIT, Linee Guida per la redazione del Regolamento Viario Urbano – Parte II, Mobilità motorizzata. Forlì: EGAF, 2025;
3. Varie esperienze hanno mostrato che, dal punto di vista della sicurezza, il tram è più compatibile dell’autobus con le aree pedonali. Riguardo alla riduzione di velocità (limite di 15 km/h, indicativamente), va tenuto presente che una modesta estensione della tratta a velocità limitata incide ben poco sul tempo di percorrenza globale della linea.





a cura di:
Ing. Roberto Francini
Revisionato da:
Ing. Luigi Carlo Chiarenza
Commissione:
Modelli Organizzativi
231 e Modelli Gestionali
Prefazione
Il 7 febbraio 2023, il Ministero della Giustizia ha istituito un tavolo tecnico per la revisione della disciplina della responsabilità amministrativa degli enti, prevista dal decreto legislativo n. 231/2001 e successive integrazioni – qui di seguito per brevità indicato come 231/01-, ed ha recentemente avviato un ciclo di audizioni con associazioni, ordini professionali, accademici ed esperti della materia, allo scopo di arricchire il dibattito e acquisire elementi utili in funzione della riforma della normativa.
In particolare, lo scorso 10 Febbraio, in una dedicata audizione il tavolo tecnico del Ministero della Giustizia, Assonime ha presentato una serie di proposte finalizzate alla riforma del DLGS 231/01. ASSONIME sin dal 1910 agisce come un anello di congiunzione tra imprese ed istituzioni sottoponendo alle istituzioni le esigenze delle imprese e assistendo le imprese nella migliore applicazione delle leggi.
Riprendiamo qui alcuni argomenti principali, alcune proposte ed il loro possibile impatto sui modelli organizzati e gestionali che regolano il nostro lavoro all’interno degli Enti pubblici e privati. Finalità di questo articolo è evidenziare le principali richieste avanzate ed il loro possibile impatto sul Modello Organizzativo e Gestionale.
Cosa auspichiamo venga introdotto nella revisione in corso del 231
È un dato ormai acquisito che il decreto legislativo n. 231/2001 rappresenti una delle più significative innovazioni del diritto penale contemporaneo, che ha segnato un cambio di paradigma nel diritto penale dell’economia, incentivando forme di cooperazione attiva delle imprese nella prevenzione degli illeciti e nel controllo della legalità. Tale decreto ha dato impulso alla moderna concezione della prevenzione, coniugando cultura del controllo interno e cultura della legalità, mediante l’aspettativa di un esonero da responsabilità per efficienza organizzativa.


Il collegamento dell’efficacia esimente a un assetto organizzativo adeguato ha anticipato un approccio al governo dell’impresa basato sull’identificazione, valutazione e gestione dei rischi, che è stato confermato dalla riforma del diritto societario del 2003 e che ispira e guida ancora oggi le più recenti evoluzioni normative, elevando i principi della buona governance a presidio non solo della legalità, ma anche di tutela dei valori della sostenibilità economica, sociale e ambientale a beneficio dell’impresa e della generalità. Nel corso di quasi venticinque anni di applicazione, l’impianto normativo della disciplina è rimasto invariato e le modifiche legislative hanno riguardato:
• l’espansione del catalogo dei reati, che copre ormai tutti i reati di natura economica;
• la governance dei controlli societari, con la facoltà di designare il collegio sindacale quale organismo di vigilanza;
• l’inasprimento delle sanzioni e l’adeguamento alla disciplina europea sul whistleblowing.

È invece profondamente mutato il contesto, innanzitutto, con l’estensione dei modelli di organizzazione in funzione di prevenzione anche in ambito pubblico, con la legge 190/2012 per le pubbliche amministrazioni, ma anche con il rafforzamento degli incentivi previsti per la quotazione nel segmento STAR della Borsa o l’acquisizione del rating di legalità e il rafforzamento della qualificazione degli operatori economici negli appalti pubblici. Inoltre, si è affermato il rilievo della conformità dell’organizzazione dell’impresa alle regole a protezione di interessi generali, siano essi la tutela della salute e sicurezza nel lavoro, l’ambiente, la prevenzione di illeciti tributari o del commercio. Oggi il rilievo degli strumenti di prevenzione della legalità è inserito nel contesto della sostenibilità dell’attività d’impresa, attraverso nuovi obblighi di rendicontazione e condotta introdotti dalla normativa europea per le società di grandi dimensioni. Organizzazione, gestione del rischio e compliance costituiscono ormai parte integrante delle strategie e della governance dell’impresa di medio- grandi dimensioni, nelle quali processi, strutture organizzative e regole aziendali sono volte a preservare il perseguimento dei fini dell’impresa, con modelli di controllo interno sempre più integrati che danno luogo a una compliance sostanziale e multilivello. Una rivisitazione del DLGS 231/01 ed il sistema di compliance nel nostro ordinamento non può non tenere conto di questi cambiamenti, che incidono nella valutazione dei presupposti della responsabilità delle imprese.
Nel corso di questi anni alcune commissioni tecniche e proposte di legge hanno prospettato modifiche alla disciplina 231/01 per valorizzare la funzione di prevenzione e per risolvere le criticità interpretative che si sono evidenziate.
La prassi, la dottrina e la giurisprudenza hanno dato un contributo significativo nella prospettazione di soluzioni applicative. La giurisprudenza, in particolare, a partire dalla nota sentenza Impregilo, le cui motivazioni sono state pubblicate il 15 giugno 2022 segnando una decisa inversione nella responsabilità di prova, ha avviato una sistemazione dei profili di responsabilità penale derivanti dalla disciplina 231/01, con una interpretazione che valorizza l’efficienza organizzativa e i sistemi gestione del rischio all’interno delle imprese.
Possiamo con serenità affermare che Il meccanismo premiale, previsto dalla disciplina 231/01, per almeno due decenni di applicazione giurisprudenziale, non ha funzionato. I modelli organizzativi predisposti dalle imprese e i sistemi di monitoraggio attuati sugli stessi non sono stati ritenuti dal giudice, quasi mai, idonei a provare la “buona condotta” dell’ente ed esimere la società dalla responsabilità.

Le ragioni del fallimento individuate negli studi in materia sono state diverse, tra cui:
• meccanismi d’imputazione della responsabilità che rendono difficile sul piano processuale la difesa della società (onere della prova e elusione fraudolenta);
• eccessi di formalismo e genericità dei principi che guidano l’elaborazione dei modelli;
• assenza di una chiara contestazione della specifica regola cautelare violata e conseguente valutazione complessiva e generica del modello da parte del giudice;
• assenza di valorizzazione della storia virtuosa dell’impresa e del complessivo assetto organizzativo della stessa.
Un radicale cambio di prospettiva, tuttavia, è stato assunto dalla giurisprudenza a partire dal noto caso Impregilo dove, con la sentenza n. 23401 dell’11 novembre 2021, la Corte di Cassazione ha definitivamente abbandonato il sillogismo “reato commesso uguale modello inadeguato”, delineando i criteri ermeneutici per una corretta applicazione della disciplina 231/01 e risolvendo in radice le principali questioni interpretative sorte nell’applicazione del decreto.
In estrema sintesi, la Corte riconduce la colpa di organizzazione dell’ente alla struttura della colpa specifica della persona fisica, con la conseguenza che essa si caratterizza come:
a. un illecito di evento (coincidente con il reato presupposto commesso dalla persona fisica);
b. integrato da una condotta inosservante di una regola cautelare specifica (auto-normata dall’impresa e ritenuta idonea, sulla base dell’esperienza e delle prassi esistenti al momento del fatto, ad evitare la commissione del reato);
c. dotato di un nesso di causalità tra regola cautelare violata e risultato offensivo (che impone al giudice di verificare se il diverso comportamento alternativo lecito osservante la regola cautelare specifica avrebbe impedito il verificarsi dell’evento).
Anche questo recente filone interpretativo, che si va consolidando, potrebbe essere considerato un punto di partenza per la riforma della disciplina.
La responsabilità amministrativa degli enti e la “corporate compliance” nell’imprese di medio-grande dimensione.
Il decreto 231/01 ha anticipato e ispirato un approccio alla gestione dell’impresa basato sull’identificazione dei rischi, orientando la gestione aziendale verso scelte compatibili con i profili di rischio individuati.
Nella moderna compliance i controlli sull’attività d’impresa medio-grande vedono interagire sia soggetti privati, preposti alle funzioni strategiche (organi societari), di monitoraggio (organismo di vigilanza), o operative, le diverse figure apicali responsabili dei sistemi di gestione dei rischi di terzo livello (responsabile Internal audit), o di secondo livello sui rischi operativi aziendali (il responsabile antiriciclaggio, pri-


vacy, ecc.), sia soggetti pubblici, come l’ANAC, l’Agenzia delle Entrate, l’Agenzia delle dogane, il Garante Privacy.
Anche il quadro dei rischi evolve e ai rischi tradizionali connessi all’attività (strategici, operativi, finanziari, ecc.) se ne sono aggiunti progressivamente di nuovi, da valutare e integrare nelle strategie e nella governance. Le grandi trasformazioni in atto in tema di sostenibilità e digitalizzazione impegnano, infatti, le imprese all’adozione di piani strategici e modelli organizzativi in funzione di tutela della legalità, di diritti umani e dell’ambiente, socialmente responsabili e tecnologicamente avanzati.
Alle leggi speciali che prevedono nuovi obblighi di compliance si affiancano fonti di autoregolamentazione o regimi volontari, che possono misurare la diligenza dell’impresa ed aiutano l’impresa a organizzare Modelli gestionali funzionali al raggiungimento degli obbiettivi prefissati dalle leggi vigenti. Si pensi, ad esempio, alle certificazioni, che attestano la creazione e il mantenimento di sistemi di gestione e di organizzazione conformi a specifiche norme di riferimento (ad es. le norme UNI EN ISO 9001:2015 sulla qualità di servizi e prodotti; UNI ISO 45001: 2023 sulla sicurezza sul lavoro con l'inclusione della sezione A1 che riguarda le azioni relative al cambiamento del contesto climatico; UNI ISO 37001, sulle misure anticorruzione).
Inoltre, lo scorso 17 dicembre, l'Ente Italiano di Normazione ha pubblicato la UNI 11961:2024 che definisce le "Linee Guida per l'integrazione
del sistema di gestione per la compliance UNI ISO 37301:2021 a supporto dei Modelli Organizzativi di Gestione e Controllo e degli Organismi di Vigilanza in conformità al D.Lgs. 231/2001". I nuovi standard hanno lo scopo di agevolare gli enti nella elaborazione di Modelli efficaci e di supportare gli Organismi di Vigilanza nelle attività di monitoraggio e controllo sul MOGC. Offrono inoltre indicazioni per armonizzare i protocolli "231" con i Sistemi di gestione della compliance adottati in base alla UNI ISO 37301. Il modello organizzativo 231 integra e assorbe i nuovi presidi previsti dalle norme ISO/UNI di competenza rispetto alle regole e alle funzioni del sistema aziendale nel suo complesso, rafforzando presidi già esistenti al suo interno. Questo complessivo assetto organizzativo in funzione di prevenzione del rischio sarebbe utile fosse valorizzato in una prospettiva di riforma al fine di orientare il giudice, nella inaugurabile ipotesi di un procedimento penale, in una più corretta valutazione delle misure preventive adottate dalla singola impresa per impedire la commissione di reati. Ricostruendo in tal modo la “colpa da organizzazione” la Corte di Cassazione offre una chiara interpretazione delle questioni principalmente dibattute in tema di:
• valutazione dell’idoneità dei modelli organizzativi (che deve essere basata sulla specifica regola cautelare violata e non su una valutazione globale del modello stesso);
• onere della prova (a carico del pubblico mi-


nistero anche in caso di commissione del reato da parte di un soggetto apicale);
• ruolo delle linee guida di categoria (quali parametro di riferimento, seppur non vincolante, nella valutazione del modello da parte del giudice);
• funzioni dell’Organismo di vigilanza (coincidente con un controllo sistemico e continuativo sulle regole cautelari predisposte nel modello e sul rispetto delle stesse).
La chiarezza argomentativa della sentenza, e l’impegno dei giudici ad affrontare i nodi più critici della disciplina stanno restituendo efficacia alla funzione premiale del modello organizzativo,
Regime sanzionatorio e cautelare
Il decreto 231/2001 prevede, infine, un regime sanzionatorio e cautelare complesso e rigoroso. Il sistema di repressione si articola in un doppio binario:
• sanzioni pecuniarie, che possono essere inferiori alla normativa da cui deriva il reato presupposto. Infatti, le sanzioni pecuniarie previste dall’art. 10 del D.Lgs. 231/01 si basano su un sistema a quote, che tiene conto della gravità del reato e delle condizioni
economiche dell’ente. In particolare, l’importo della sanzione si calcola moltiplicando il numero delle quote (da un minimo di 100 a un massimo di 1000) per il valore di ciascuna quota (da un minimo di 258 euro a un massimo di 1.549 euro). Il valore della quota viene stabilito considerando la capacità economica e patrimoniale dell’ente;
• sanzioni interdittive, molto invasive per l’attività dell’impresa (interdizione dall’esercizio dell’attività; sospensione, revoca di autorizzazioni, licenze, divieto di contrattare con la p.a.; esclusione da agevolazioni, finanziamenti, contributi o sussidi o revoca di quelli concessi, divieto di pubblicizzare beni o servizi). Queste ultime possono essere applicate anche come misure cautelari, cui si aggiungono le misure del sequestro preventivo e conservativo. Si tratta di misure che possono incidere pesantemente sull’esercizio dell’attività d’impresa e che appaiono spesso in contrasto con le garanzie proprie delle sanzioni penali.
Le misure interdittive dovrebbero al contrario essere applicate per una durata circoscritta nel tempo e come misura estrema per i casi di acclarata e gravissima reiterazione di reati assurti a “modello operativo” d’impresa.

Il nuovo Codice degli appalti prevede tra l’altro come causa di esclusione non automatica dalle gare e cioè a discrezione della stazione appaltante, la commissione di un illecito professionale grave, desumibile – fra gli altri motivi – dalla commissione o dalla semplice contestazione di un qualsiasi reato-presupposto di cui al d.lgs. n. 231/2001. Quest’ultima previsione (art. 98, comma 3, lett. h), in particolare, solleva gravi perplessità, posto che consente l’esclusione dell’operatore economico coinvolto in un illecito rilevante ai sensi del d.lgs. 231/2001, anche se solo imputato e non ancora accertato. La stessa disposizione prevede, inoltre, che costituiscono mezzi di prova adeguati alla dimostrazione dell’illecito professionale legato alle violazioni 231 oltre alle sentenze e ai decreti di condanna, anche i provvedimenti cautelari ove emessi dal giudice. Ne consegue il rischio che nell’attesa della decisione giurisdizionale - che può avvenire anche a distanza di anni (v. caso Impregilo) un operatore potrebbe essere escluso dalla gara per una contestazione successivamente risultata infondata, in violazione dei principi costituzionali di non colpevolezza. Si può auspicare che questo argomento porti ad una riscrittura delle regole sanzionatorie previste dal decreto 231/2001 per un uso corretto
delle misure interdittive e cautelari, limitandone il perimetro applicativo e ripristinando la funzione di prevenzione che ad esse è propria.
Piccole e Medie Imprese
Il Decreto 231/01 è stato redato più di 20 anni fa pensando a grandi imprese organizzate con deleghe funzionali ed individuali adatte al corretto funzionamento dell’Ente stesso. Tuttavia, nella piccola impresa il modello organizzativo destinato a contenere il rischio della commissione di reati da parte di un soggetto in posizione apicale rappresenta una scelta solo formale, essendo difficile distinguere l’interesse dell’ente da quello della persona fisica che lo governa.
D’altro canto, l’esclusione dall’ambito di applicazione della disciplina 231 potrebbe creare un’ingiustificata area d’impunità per comportamenti illeciti, tale da minare i principi di leale concorrenza tra imprese e conseguente impatto sulla crescita delle imprese.
Al momento sono pubblicate a solo titolo esemplificativo, ma non esaustivo:
• Guida INAIL 2024: Esempi di MOG semplificati prodotti da aziende afferenti al settore terziario: analisi di punti qualificanti e criticità;



• UNI/PDR 138 /2023 Modello semplificato di organizzazione, gestione e controllo di cui al D.Lgs. 231/2001 per la prevenzione dei reati contro la Pubblica Amministrazione e dei reati societari nelle micro e piccole imprese;
• Confindustria, Linee guida per la costruzione dei modelli di organizzazione gestione e controllo; paragrafo VI. Modelli Organizzativi e soglie dimensionali: una chiave di lettura per le piccole imprese;
• Confindustria: Whistleblowing” Guida operativa per gli enti privati, 2023;
• Linee guida per la predisposizione dei modelli organizzativi e di controllo dell’attività sportiva e dei codici della condotta.
Conclusioni
Un’efficace attuazione della disciplina 231 si realizza attraverso la solidità di un impianto normativo con una flessibilità nell’accogliere e integrare l’evoluzione normativa figlia della rapida evoluzione del contesto lavorativo in cui il sistema 231 oggi si colloca.
Concludiamo ripercorrendo le principali aspirazioni e aspettative riposte nella riforma in corso del DLGS 231:
1. riduzione e razionalizzazione dei “reati presupposto”, ove possibile e consentito dalle direttive UE. Uno dei temi chiave della riforma è la necessità di ridurre il numero di reati che possono generare responsabilità per le imprese.
Attualmente, il Decreto 231 include una vasta gamma di reati presupposto, che nel tempo sono aumentati sensibilmente, creando incertezza e complessità applicativa.
Il rischio, evidenziato dagli esperti, è che le imprese possano trovarsi in difficoltà nel prevenire o gestire reati sempre più eterogenei, compromettendo l’efficacia del modello organizzativo e di gestione. Dobbiamo comunque ricordare molti reati presupposto sono imposti da Direttive UE o Convenzioni internazionali;
2. chiarezza sui requisiti dell’Organismo di Vigilanza (OdV) Un ruolo cruciale nel sistema di compliance previsto dal Decreto 231, è senza dubbio svolto dall’OdV.
Ciò nondimeno, i requisiti di indipendenza, professionalità e autonomia di tale organismo sono ancora oggi oggetto di interpretazioni diverse.
Il Tavolo tecnico sta lavorando per introdurre criteri più stringenti e definitivi che garantiscano l’effettiva autonomia dell’OdV, il quale deve essere in grado di monitorare in modo indipendente e competente il funzionamento del modello organizzativo, senza
pressioni esterne da parte dell’azienda. La competenza potrebbe essere assicurata dalla presenza di un “tecnico”, nell’ambito della triade, del processo oggetto dell’organizzazione aziendale;
3. uno dei cambiamenti più significativi in discussione riguarda i modelli organizzativi.
Oltre alla revisione dei requisiti formali e sostanziali, è stata sollevata la questione della loro certificazione. Ad oggi possono essere certificate solo parti del MOG che si riferiscono a discipline normate da Norme ISO/ EN/UNI.
Attualmente, le imprese possono auto-dichiararsi conformi ai requisiti del Decreto 231, ma un simile approccio rischia di favorire comportamenti opportunistici.
La riforma potrebbe introdurre un sistema di certificazione indipendente, basato su standard internazionali, che offra garanzie maggiori in termini di efficacia preventiva dei modelli e di trasparenza nel mercato; 4. il Tavolo tecnico sta esplorando la possibilità di introdurre una disciplina semplificata per le micro e piccole imprese che tenga conto delle loro limitate risorse senza comprometterne la responsabilità.
Il Decreto 231, nella sua formulazione attuale, è infatti spesso percepito come troppo complesso e oneroso da tali soggetti. Assomine nella udizione sopra citata propone come soluzione intermedia quella di estendere la previsione contenuta nel “Disegno di legge annuale sulle piccole e medie imprese”, approvato il 14 gennaio 2025 dal Consiglio dei Ministri, Il Disegno legge infatti introduce un principio di proporzionalità degli adempimenti amministrativi in materia di salute e sicurezza sul luogo di lavoro (art. 30 d.lgs. n. 81/2008) rispetto alla dimensione aziendale, attribuendo all’INAIL il compito di elaborare d’intesa con le organizzazioni di rappresentanza delle imprese e dei lavoratori, modelli semplificati di organizzazione e gestione per le micro, piccole e medie imprese, individuando precisi parametri per la declinazione degli stessi a livello aziendale, nonché quello di supportare le imprese nell’adozione dei modelli sul piano gestionale e applicativo; 5. prescrizione dell’illecito amministrativo dell’ente, il cui regime andrebbe equiparato a quello previsto per il reato della persona fisica. Il caso Impregilo ne offre una chiara evidenza: una vicenda processuale durata diciannove anni per l’ente – tra l’altro, a causa della lunga aspettativa richiesta dal giudice di appello per vicende personali – nonostante la chiusura del processo a carico delle persone fisiche, più di dieci

anni prima, “per intervenuta prescrizione del reato”. Appare, dunque, necessario un intervento normativo che tenga conto dello stretto legame che intercorre tra il reato presupposto e l’illecito dell’ente, in modo da garantire l’applicabilità dei principi costituzionali di ragionevole durata del processo;
6. la previsione dell’elusione fraudolenta del modello organizzativo come condizione necessaria per l’esonero dalla responsabilità. Tale condizione dovrebbe essere abrogata (equiparando il regime previsto per gli apicali a quello dei sottoposti), oppure quanto meno attenuata eliminando la connotazione “fraudolenta” dell’azione, riconducendo l’elusione a una semplice violazione del modello;
7. il sistema sanzionatorio e cautelare da modificare al fine di assicurare proporzionalità e ragionevolezza della pena, tutelando altresì il valore della continuità aziendale come bene collettivo. Tuttavia, ricordiamo l’orientamento dell’UE per la sanzione pecuniaria. La nuova Direttiva sui reati ambientali 2024/1203 e la proposta di Direttiva contro la corruzione prevedono sanzioni pecuniarie commisurate al fatturato dell’azienda o comunque con importi notevolmente superiori a quelli oggi previsti nel Dlgs. 231.
Nota:
Il Tavolo tecnico, operante presso il Ministero della Giustizia dal febbraio 2024, riunisce magistrati, avvocati e rappresentanti del mondo imprenditoriale per affrontare i punti più critici del Decreto 231.
Il gruppo di lavoro è chiamato a elaborare proposte che bilancino le esigenze di certezza giuridica per le imprese con la necessità di mantenere alti standard di prevenzione e repressione dei reati societari.
Gli esperti, hanno l’obiettivo di fornire indicazioni precise su come ristrutturare la normativa sulla responsabilità da reato degli enti, al fine di renderla più efficiente, moderna e in linea con gli sviluppi giuridici e tecnologici internazionali.
Tra le attività principali del Tavolo rientra l’analisi del “catalogo” dei reati presupposto, l’approfondimento sui criteri per l’effettiva applicazione dei modelli organizzativi e una revisione dei meccanismi di esonero dalla responsabilità.
La digitalizzazione dei processi aziendali e l’uso di strumenti informatici per monitorare la conformità sono inoltre tra i temi centrali del dibattito, con l’intento di snellire gli adempimenti, specialmente per le imprese di dimensioni ridotte.
Bibliografia
• Audizione presso il tavolo tecnico del Ministero della Giustizia per la revisione della disciplina della responsabilità amministrativa degli enti (d.lgs. 8 giugno 2001 n. 231);
• AOdV231; 2016 indicazioni per le modifiche al DLGS 231/2001;
• Vari articoli del AOdV (Associazione Organismi di Vigilanza);
• Colpa di Organizzazione, modello organizzativo, organismo di Vigilanza: Prospettive di riforma del DLGS 231/2001 redatto da Maurizio Arena, Avvocato in Roma;
• Diritto penale: Orientamenti della Giurisprudenza penale sull’Organismo di Vigilanza ex DLGS 231/2001 redatto da Maurizio Arena;
• Motivazioni della sentenza Impregilo della Corte di Cassazione (Sez. VI, 11 novembre 2021 – 15 giugno 2022, n. 23401/22, Pres. Fidelbo, Rel. Rosati).


ORDINE DEGLI INGEGNERI DELLA PROVINCIA DI ROMA
Piazza della Repubblica, 59 - 00185 - Roma
Tel. 06.487.93.11 - Fax: 0.487.931.223
Cod. Fisc. 80201950583
Orario di apertura al pubblico degli uffici
Lunedì 09:30-12:30 14:30-17:30
Martedì 09:30-12:30 14:30-17:30
Mercoledì 09:30-12:30 14:30-17:30
Giovedì 09:30-12:30 14:30-17:30
Venerdì 09:30-12:30 chiuso
L'Ufficio cassa è aperto
Lunedì 09:30-12:30 14:30-17:30
Martedì 09:30-12:30 14:30-18:30
Mercoledì 09:30-12:30 14:30-18:30
Giovedì 09:30-12:30 14:30-18:30
Venerdì 09:30-12:30 14:30-18:30
Sabato 09:30-12:30

L’Homepage
https://www.ording.roma.it

L'Albo degli iscritti
https://www.ording.roma.it/albo-iscritti

L'Area degli iscritti
https://area-iscritti.ording.roma.it

I seminari
https://www.ording.roma.it/formazione

Sito della rivista
https://ioroma.info

Elenco delle Commissioni
https://www.ording.roma.it/servizi-agli-iscritti/ commissioni

