SUPLEMENTO - AGRUPADOS - EDICIÓN 10.449

Page 1

AGRUPADOS&JUDICIAL.

DISOLUCIÓN CONYUGAL. El Juez de Primera Instancia en lo Civil del Segundo Turno, Abg. LAURA

BEATRIZ ROJAS CAÑETE, cita y emplaza por quince veces a los que tengan interés en reclamar derechos contra la sociedad conyugal formada por los esposos LIZ

MARIANA FIGUEREDO KARAJALLO C/ SABINO AGUILERA

FLORENTIN, para que, en el término de 30 días, contados desde la publicación del presente edicto, comparezcan a deducir sus acciones bajo apercibimiento de lo dispuesto en el Art. 55 de la ley 1/92. El juicio radica en la secretaría a mi cargo.

CORONEL OVIEDO, 27 de diciembre de 2023. Abg. WILSON F. SILVA, Actuario Judicial. - Se hace saber al destinatario de este edicto que el mismo cuenta con el Código QR, por lo cual, para tener certeza de que este documento es válido, deberá utilizar el lector del Código QR, siendo ya en consecuencia, innecesaria la autenticación manual del Actuario del Juzgado conforme Acordada 1366/2019.- 63340/28/02-

DISOLUCIÓN CONYUGAL. LA

JUEZ DE PRIMERA INSTANCIA EN LO CIVIL Y COMERCIAL DEL PRIMER TURNO DE LA CIRCUNS-

CRIPCIÓN JUDICIAL DE GUAIRA

(Villarrica), Abg. LIZA MARÍA

ALFONSO VERA, cita y emplaza por 15 veces a los que tengan que reclamar derechos contra la sociedad conyugal formada por los esposos GLADYS ROSA TORRES

CANO y CRISTOBAL CANDIA

BENITEZ para que en el término de 30 (treinta) días de la publicación del presente edicto comparezca a deducir sus acciones bajo apercibimiento de lo dispuesto en el Art. 55 de la ley N° 1/92 modificado del código civil paraguayo vigente. El juicio radica en la secretaria a mi cargo. VILLARRICA, 18 de diciembre de 2023.Firmado digitalmente por:

CESAR RIGOBERTO BATTAGLIA (ACTUARIO). 63338/28/02-

DISOLUCIÓN CONYUGAL. El

Juez de Primera Instancia en lo Civil, Comercial y Laboral de San Juan Nepomuceno Abog. Carlos Alberto Rojas Cañete, cita y emplaza por quince veces a los que tengan interés en reclamar derechos contra la sociedad conyugal formada por los esposos ELADIO CARRERA ESCOBAR C/ VICTORIANA NOGUERA SAENGER S/ DISOLUCION Y LIQUIDACION DE LA COMUNIDAD DE GANANCIALES, para que, en el término de 30 días contados desde la publicación del presente Edicto, comparezcan a deducir sus acciones, bajo apercibimiento de lo dispuesto en el Art. 212 del Código Civil Paraguayo. El juicio radica en la secretaria a mi cargo. San Juan Nepomuceno, 08 de febrero de 2.023, Secretaría N.º 1. Abog. Leónida E. Pereira, Actuaria Judicial. Circunscripción Judicial de Caazapá. 63395/30/02-

DISOLUCIÓN CONYUGAL. La Juez de Primera Instancia en lo Civil

y Comercial del Primer Turno, Abg. Gabriela Maricel Meaurio Samudio, de la Sexta Circunscripción Judicial, Alto Paraná cita y emplaza por quince veces a los que tengan interés en reclamar derechos contra la sociedad conyugal formada por los esposos DIEGO DAVID PORTILLO VAZQUEZ Y VANINA GISSEL OLMEDO QUIÑONEZ, para que en el término de 30 días, contados desde la publicación del presente edicto, comparezcan a deducir sus acciones bajo apercibimiento de lo dispuesto en el Art. 212 del Código Civil Paraguayo vigente. El juicio radica en la secretaría a mi cargo. Ciudad del Este, 13 de febrero de 2024. Abg. Emilce Y. Rodríguez Ovelar, Actuaria Judicial. Se hace saber al destinatario de este edicto que el mismo cuenta con el Código QR, por lo cual, para tener certeza de que este documento es válido, deberá utilizar el lector del Código QR, siendo ya en consecuencia, innecesaria la autenticación manual de la Actuaria del Juzgado conforme Acordada 1366/2019 y 1370/2020 de la Corte Suprema de Justicia. 63400/30/02-

DISOLUCIÓN CONYUGAL. La Juez de Primera Instancia en lo Civil y Comercial del Primer Turno. Abg. Gabriela Maricel Meaurio Samudio, de la Sexta Circunscripción Judicial, Alto Paraná cita y emplaza por quince veces a los que tengan interés en reclamar derechos contra la sociedad conyugal formada por los esposos TANIA LIDUVINA COLMAN GARAY y RICHARD HERMINIO CABRERA FERREIRA, para que, en el término de 30 días, contados desde la publicación del presente edicto, comparezcan a deducir sus acciones bajo apercibimiento de lo dispuesto en el Art. 212 del Código Civil Paraguayo vigente. El juicio radica en la secretaría a mi cargo. Ciudad del Este, 9 de febrero de 2024. Ahg. Emilce Y. Rodríguez Ovelar, Actuaria Judicial. Se hace saber al destinatario de este edicto que el mismo cuenta con el Código QR, por lo cual, para tener certeza de que este documento es válido, deberá utilizar el lector del Código QR, siendo ya en consecuencia, innecesaria la autenticación manual de la Actuaria del Juzgado conforme Acordada 1366/2019 y 1370/2020 de la Corte Suprema de Justicia. 63394/01/03-

DISOLUCIÓN CONYUGAL. La Juez de Primera Instancia en lo Civil y Comercial del Quinto Turno, Abg. Gabriela Ramírez, de la Sexta Circunscripción Judicial - Alto Paraná cita y emplaza por quince veces a los que tengan interés en reclamar derechos contra la sociedad conyugal formada por los esposos LIZA

YOHANA AGUERO SILVA Y ARNALDO RUBEN MARTINEZ SAMANIEGO, para que en el término de 30 días, contados desde la publicación del presente edicto, comparezcan a deducir sus acciones bajo apercibimiento de lo dispuesto en el Art. 212 del Código Civil Para-

guayo vigente. El juicio radica en la secretaría a mi cargo. Ciudad del Este, 12 de febrero de 2024. Abg. Sara Ojeda Ramos, Actuaria Judicial. Se hace saber al destinatario de este edicto que el mismo cuenta con el Código QR, por lo cual, para tener certeza de que este documento es válido, deberá utilizar el lector del Código QR, siendo ya en consecuencia, innecesaria la autenticación. 63418/01/03-

DISOLUCION CONYUGAL. La Jueza de Primera Instancia en lo Civil y Comercial del Décimo Turno de la Capital, Secretaría Nº 20, Abg. ROCÍO GONZÁLEZ MOREL, cita y emplaza por quince veces a los que tengan interés en reclamar derechos contra la sociedad conyugal formada por los esposos HIPOLITO RUBEN BAUZA CABRERA y LETICIA PABLINA BURGOS DUARTE, para que en el término de 30 días contados desde la publicación del presente edicto, comparezcan a deducir sus acciones bajo apercibimiento de lo dispuesto en el Art. 98 de la Ley N° 1/92. El juicio radica en la Secretaría N° 20 a mi cargo. Fdo. Abg. TOBIAS REDEKOP HARDER. Se hace saber al destinatario de este documento que el mismo cuenta con el Código QR, por lo cual, para tener certeza de que este documento es válido, deberá utilizar el lector del Código QR, siendo ya en consecuencia, innecesaria la autenticación manual del Actuario del Juzgado conforme Acordada 1335/2019 de la Corte Suprema de Justicia. ASUNCION, 29 de diciembre de 2023. 63432/01/03-

DISOLUCIÓN CONYUGAL. La Juez de Primera Instancia en lo Civil y Comercial del Primer Turno. Abg. Gabriela Maricel Meaurio Samudio, de la Sexta Circunscripción Judicial, Alto Paraná cita y emplaza por quince veces a los que tengan interés en reclamar derechos contra la sociedad conyugal formada por los esposos TANIA LIDUVINA COLMAN GARAY y RICHARD HERMINIO CABRERA FERREIRA para que, en el término de 30 días, contados desde la publicación del presente edicto, comparezcan a deducir sus acciones bajo apercibimiento de lo dispuesto en el Art. 212 del Código Civil Paraguayo vigente. El juicio radica en la secretaría a mi cargo. Ciudad del Este, 9 de febrero de 2024. Ahg. Emilce Y. Rodríguez Ovelar, Actuaria Judicial. Se hace saber al destinatario de este edicto que el mismo cuenta con el Código QR, por lo cual, para tener certeza de que este documento es válido, deberá utilizar el lector del Código QR, siendo ya en consecuencia, innecesaria la autenticación manual de la Actuaria del Juzgado conforme Acordada 1366/2019 y 1370/2020 de la Corte Suprema de Justicia. 63394/01/03-

DISOLUCIÓN CONYUGAL. LA JUEZA DE PRIMERA INSTANCIA EN LO CIVIL, COMERCIAL y LABO-

RAL DEL PRIMER TURNO E INTERINA DEL SEGUNDO TURNO DE LA CIRCUNSCRIPCION JUDICIAL DE SAN PEDRO, Abg. NORMA MABEL FLEITAS, cita y emplaza por quince veces a los que tengan interés en reclamar derechos contra la sociedad conyugal formada por los esposos PASTOR NUÑEZ MARTINEZ Y SIMONA MENDOZA TOLEDO, para que en el término de 30 días, contados desde la publicación del presente edicto, comparezcan a deducir sus acciones bajo apercibimiento de lo dispuesto en el Art. 212 del Código Civil Paraguayo vigente. El juicio radica en la secretaría N° 03 a cargo de la Abg. MERCEDES RAMIREZ, Actuaria Judicial. SAN PEDRO DE YCUAMANDYYU, 15 de febrero de 2024 Se hace saber al destinatario de este edicto que el mismo cuenta con el Código QR, por lo cual, para tener certeza de que este documento es válido, deberá utilizar el lector del Código QR, siendo ya en consecuencia, innecesaria la autenticación manual de la Actuaria del Juzgado conforme Acordada 1366/2019.-63499/01/03-

DISOLUCION CONYUGAL. EL JUEZ PENAL ADOLESCENTE E INTERINO DEL JUZGADO CIVIL, COMERCIAL, LABORAL, DE LA NIÑEZ Y ADOLESCENCIA DE CURUGUATY, ABG.VICTOR DARIO GODOY CHAMORRO, cita y emplaza por quince veces a los que tengan interés en reclamar derechos contra la sociedad conyugal conformada por los esposos:

NANCY RAMONA BENITEZ VILLALBA Y IVAN DAVI. Para que en el perentorio termino de treinta días, contados desde la publicación del presente edicto, comparezcan a deducir sus acciones, bajo apercibimiento de lo dispuesto en el Art. 55 de la Ley 1/92 del Código Civil Paraguayo. El juicio radica en la secretaria Nº 2 a cargo de la Actuaria Judicial Abg. SCHIRLEY PAOLA IRALA, Actuaria Judicial. CURUGUATY, 12 de febrero de 2024. 63568/02/03-

DISOLUCION CONYUGAL. El Juez de Primera Instancia en lo Civil, Comercial y Laboral de San Juan Nepomuceno, Abg. Carlos Alberto Rojas Cañete cita emplaza por quince veces a los que tengan interés en reclamar derechos contra la sociedad conyugal conformada por los esposos ESTELA RIVAS DE MOREL C/ ALDO HUGO MOREL  BRITEZ para que en el perentorio término de 30 días contados desde la publicación del presente Edicto, comparezcan a deducir sus acciones, bajo apercibimiento de lo dispuesto en el artículo 212 del Código Civil. El juicio radica en la Secretaría a mi cargo. Secretaria N° 1, San Juan Nepomuceno, 16 de febrero de 2024.  Abg.  Leonida E. Pereira, Actuaria Judicial - 63566/02/03-

DISOLUCION CONYUGAL. EL JUEZ DE PRIMERA INSTANCIA EN LO CIVIL Y COMERCIAL DEL PRIMER TURNO DE LA CIRCUNS-

CRIPCION JUDICIAL DE AMAMBAY, Abg. JUAN MARCELINO GONZALEZ, emplaza por quince (15) veces a los que tengan interés en reclamar derechos contra la sociedad conyugal formada por los esposos JONAS SOARES DA COSTA y CICERA KARINA ALENCAR DOS SANTOS, para que en el perentorio término de treinta (30) días contados desde la publicación del presente edicto, comparezcan a deducir acciones bajo apercibimiento de lo dispuesto en el Art. 55 de la Ley 1/92.- El juicio radica en la Secretaría a cargo de la Actuaria Judicial, Abg. ANNY GREGORIA ACOSTA G. Pedro Juan Caballero, 13 de Febrero de 2024. 63551/02/03DISOLUCION CONYUGAL. EL JUEZ DE PRIMERA INSTANCIA EN LO CIVIL Y COMERCIAL DEL PRIMER TURNO E INTERINO DEL TERCER TURNO DE LA CIRCUNSCRIPCION JUDICIAL DE AMAMBAY, Abg. JUAN MARCELINO GONZALEZ GARCETE, emplaza por el plazo de 15 veces a los que tengan interés en reclamar derechos contra la sociedad conyugal formada por los esposos EDER GUSTAVO VALENZUELA SANCHEZ Y FANNY

LOPEZ ALVARENGA, para que en el perentorio término de treinta 30 días contados desde la última publicación del presente edicto, comparezcan a deducir acciones bajo apercibimiento de lo dispuesto en el Art. 55 de la Ley 1/92.- El juicio radica en la Secretaría a cargo de la Actuaria Judicial, Abg. CAROLINA

FRENCO VAZQUEZ. Pedro Juan Caballero, 14 de febrero de 2024. 63532/02/03-

DISOLUCIÓN CONYUGAL. JUEZ DE PRIMERA INSTANCIA EN LO CIVIL Y COMERCIAL DEL VIGESIMO SEGUNDO TURNO - SECRETARIA Nº 43, ABG. MARTIN ACOSTA CONDE, cita y emplaza por 15 días a fin de que aquellos que tengan interés en reclamar derechos contra la sociedad conformada por los esposos LUIS MARTIN

LOPEZ OJEDA y MARIA CAROLINA CABALLERO MARTINEZ para que en el término de 30 días, contados desde la publicación del presente edicto comparezcan a deducir sus acciones bajo apercibimiento de lo dispuesto en el art. 55 de la Ley 1/92. El juicio radica en la secretaria a mi cargo. Abg. FABRICZIO LEONEL DOMINGO SARUBBI RAMOS. - Asunción, 06 de septiembre de 2023. 63670/05/03-

DISOLUCIÓN CONYUGAL. La Juez de Primera Instancia en lo Civil y Comercial del Primer Turno, Abg. Gabriela Maricel Meaurio Samudio, de la Sexta Circunscripción Judicial – Alto Paraná cita y emplaza por quince veces a los que tengan interés en reclamar derechos contra la sociedad conyugal formada por los esposos JORGELINA BRITEZ BOGARIN y MIGUEL ANGEL BENITEZ LOPEZ, para que en el término de 30 días, contados desde

la publicación del presente edicto, comparezcan a deducir sus acciones bajo apercibimiento de lo dispuesto en el Art. 212 del Código Civil Paraguayo vigente. El juicio radica en la secretaría a mi cargo. Ciudad del Este, 3 de agosto de 2023. Abg. Emilce Y. Rodríguez Ovelar, Actuaria Judicial. Se hace saber al destinatario de este edicto que el mismo cuenta con el Código QR, por lo cual, para tener certeza de que este documento es válido, deberá utilizar el lector del Código QR, siendo ya en consecuencia, innecesaria la autenticación manual de la Actuaria del Juzgado conforme Acordada 1366/2019 y 1370/2020 de la Corte Suprema de Justicia. 63716/06/02-

DISOLUCIÓN CONYUGAL. El Juez de Primera Instancia en lo Civil y Comercial del Décimo Cuarto Turno, Abg. Guillermo Riveros Florentín cita y emplaza por quince veces a los que tengan interés en reclamar derechos contra la sociedad conyugal formada por los esposos "MARIA BETANIA BALMA-

CEDA RODRIGUES y JUAN MANUEL PAREDES FLORENTIN s/ Disolución de la Comunidad Conyugal para que en el término de 30 días contados desde la publicación del presente Edicto comparezcan a deducir sus acciones, bajo apercibimiento de lo dispuesto en el Código Civil Paraguayo. El juicio radica en la Secretaría a mi cargo. Asunción, 19 de febrero de 2024. Romina Estigarribia Dalla F., Actuaria Judicial. 63710/06/02-

DISOLUCIÓN CONYUGAL. EL JUEZ DE PRIMERA INSTANCIA EN LO CIVIL Y COMERCIAL DEL SEXTO TURNO DE LA CAPITAL, ABG. ULISES AGUSTÍN PEÑA VARGAS, cita y emplaza por treinta (30) días a los que tengan créditos o derechos que reclamar contra la comunidad conyugal formada por los Sres. PEDRO GUSTAVO GONZALEZ PATIÑO Y MARLENE SEBASTIANA GONZALEZ BENITEZ, bajo apercibimiento de lo dispuesto en el Art. 55 de la Ley N° 1/92.- ASUNCIÓN, 31 de octubre de 2023 ANTE MÍ: Olga Carolina Vázquez Domínguez. (Actuaria Judicial – Secretaría N° 11). Se hace saber al destinatario de este edicto que el mismo cuenta con el Código QR, por lo cual para tener certeza de que este documento es válido deberá utilizar el Lector del Código QR, siendo así innecesaria la autenticación manual de la Actuaria del Juzgado conforme Acordada N°1366/2020 y Acordada N° 1370/2020 de la Corte Suprema de Justicia. Firmado digitalmente por: OLGA CAROLINA VAZQUEZ DOMINGUEZ (ACTUARIA). 63706/06/02-

DISOLUCIÓN CONYUGAL. La Juez de Primera Instancia en lo Civil y Comercial del Sexto Turno, Abg. Nathalia Moreno Tottil, de la Sexta Circunscripción Judicial - Alto Paraná cita y emplaza por quince veces a los que tengan interés en reclamar derechos contra la sociedad conyu-

1 LUNES 26 FEBRERO DE 2024

2 JUDICIAL .

gal formada por los esposos DEISY PATRICIA ORTIZ ACOSTA y GERSON GUIMARAES NETO en los autos caratulados: “DEISY PATRICIA ORTIZ ACOSTA C/ GERSON GUIMARAES NETO s/ Disolución de la Comunidad Conyugal” Exp Nº: 12. Año: 2024, para que, en el término de 30 días, contados desde la publicación del presente edicto, comparezcan a deducir sus acciones bajo apercibimiento de lo dispuesto en el Art. 212 del Código Civil Paraguayo vigente. El juicio radica en la secretaría a mi cargo.

Abg. Sixto Raúl Melgarejo, Actuario Judicial. Ciudad del Este, 12 de Febrero de 2024. 63705/06/02-

DISOLUCIÓN CONYUGAL. LA JUEZA DE PRIMERA INSTANCIA EN LO CIVIL Y COMERCIAL Y LABORAL DE LA TERCERA CIRCUNSCRIPCION JUDICIAL DE LA REPUBLICA,CON SEDE EN MARIA AUXILIADORA Abg R. EVELIN

CABRERA PAREDES, cita y emplaza por quince veces a los que tengan interés en reclamar derechos contra la sociedad conyugal formada por los esposos GUSTAVO ADAL-

BERTO CENTURION MENDOZA y DALVI EMILIA AMA-

RILLA DE CENTURION, para que en el término de 30 días, contados desde la publicación del presente edicto, comparezcan a deducir sus acciones bajo apercibimiento de lo dispuesto en el Art. 212 del Código Civil Paraguayo vigente. El juicio radica en la secretaria N°2 a mi cargo Abg. Mirian Ortiz Yurtz, Actuaria Judicial. MARIA AUXILIADORA, 21 de Diciembre de 2023.- Se hace saber al destinatario de este edicto que el mismo cuenta con el Código QR, por lo cual, para tener certeza de que este documento es válido, deberá utilizar el lector del Código QR, siendo ya en consecuencia ,innecesaria la autenticación manual de la Actuaria del Juzgado conforme Acordada 1366/2019.- 63684/06/03-

DISOLUCIÓN CONYUGAL. LA JUEZA DE PRIMERA INSTANCIA EN LO CIVIL, COMERCIAL y LABORAL LA TERCERA CIRCUNSCRIPCION JUDICIAL DE LA REPUBLICA, con sede en María Auxiliadora, Abg. R. Evelin Cabrera Paredes, cita y emplaza por quince veces a los que tengan interés en reclamar derechos contra la sociedad conyugal formada por los esposos “TEODORO CABALLERO Y EVANGELISTA ULIAMBRE DE CABALLERO”, para que en el término de 30 días, contados desde la publicación del presente edicto, comparezcan a deducir sus acciones bajo apercibimiento de lo dispuesto en el Art. 212 del Código Civil Paraguayo vigente. El juicio radica en la secretaría N°1, a mi cargo Abg. Elcira Hayde González Ojeda, Actuaria Judicial. MARIA AUXILIADORA, 1 de Diciembre de 2023.- Se hace saber al destinatario de este edicto que el mismo cuenta con el Código QR, por lo cual, para tener certeza de que este documento es válido, deberá utilizar el lector del Código

QR, siendo ya en consecuencia, innecesaria la autenticación manual de la Actuaria del Juzgado conforme Acordada 1366/2019. 63682/06/03-

DISOLUCIÓN CONYUGAL. El Juez de Primera Instancia en lo Civil, Comercial y Laboral de Santa Rosa del Aguaray, Abg. Nelson Antonio Mercado cita y emplaza por quince veces a los que tengan interés en reclamar derechos contra la sociedad conyugal formada por los esposos "FANY MARIA SPAINI BRITEZ y JOSE FELIX GONZALEZ

BARRETO s/ Disolución de la Comunidad Ganancial" para que en el perentorio término de treinta días contados desde la publicación del presente Edicto comparezcan a deducir sus acciones, bajo apercibimiento de lo dispuesto en el Art. 55 de la Ley 1/92 del Código Civil. El juicio radica en la Secretaría a mi cargo. Santa Rosa del Aguaray, 15 de febrero de 2024. Cinthia Maricel Acevedo Méndez, Actuaria Judicial. 63648/06/03-

DISOLUCIÓN CONYUGAL. La Jueza de Primera Instancia en lo Civil y Comercial del 2º turno, Dra. MIRIAN FERREIRA RUIZ DIAZ cita y emplaza por quince veces a los que tengan interés en reclamar derechos contra la sociedad conyugal formada por los esposos SONIA

CRISTINA VALDEZ ESTIGARRIBIA Y CARLOS ALBERTO PACHECO AREVALO para que en el perentorio término de 30 días contados desde la publicación del presente Edicto, comparezcan a deducir sus acciones bajo apercibimiento de lo dispuesto en el Art. 212 del Código Civil Paraguayo. El juicio radica en el Secretaría a mí cargo. Fernando de la Mora, 9 de mayo de 2023, Abog. Alvaro Bueno Martínez, Actuario Judicial. 63726/07/03-

DISOLUCIÓN CONYUGAL. La Juez de Primera Instancia en lo Civil y Comercial del Quinto Turno, Abg. Gabriela Ramírez, de la Sexta Circunscripción Judicial - Alto Paraná cita y emplaza por quince veces a los que tengan interés en reclamar derechos contra la sociedad conyugal formada por los esposos

ARNULFO CABRERA GAONA y MARIA ESTER ARMOA DE CABRERA para que en el término de 30 dias, contados desde la publicación del presente edicto, comparezcan a deducir sus acciones bajo apercibimiento de lo dispuesto en el Art. 212 del Código Civil Paraguayo vigente. El juicio radica en la secretaria a mi cargo. CIUDAD DEL ESTE, 20 de Febrero de 2024. Abg. Sara Ojeda Ramos, Actuaria Judicial. Se hace saber al destinatario de este edicto que el mismo cuenta con el Código QR, por lo cual, para tener certeza de que este documento es válido, deberá utilizar el lector del Código QR, siendo ya en consecuencia, innecesaria la autenticación. 63746/07/03-

DISOLUCIÓN CONYUGAL.  EL JUEZ DE PRIMERA INSTANCIA EN

LO CIVIL Y COMERCIAL DEL PRIMER TURNO DE LA CIRCUNSCRIPCION JUDICIAL DE AMAMBAY, Abg. JUAN MARCELINO

GONZALEZ, emplaza por quince (15) veces a los que tengan interés en reclamar derechos contra la sociedad conyugal formada por los esposos JUAN JAVIER RAMIREZ PEREZ y LUANNA BOGARIM

MIRANDA, para que en el perentorio término de treinta (30) días contados desde la publicación del presente edicto, comparezcan a deducir acciones bajo apercibimiento de lo dispuesto en el Art. 55 de la Ley 1/92.- El juicio radica en la Secretaría a cargo de la Actuaria Judicial, Abg. ANNY GREGORIA ACOSTA G. Pedro Juan Caballero, 21 de Febrero de 2024. 63846/08/03DISOLUCIÓN CONYUGAL. El Juez de Primera Instancia en lo Civil y Comercial del Segundo Turno de la Circunscripción Judicial de Villarrica, Abg. Oscar Alfredo Ortega Varela, en los autos caratulados: DIEGO DARIO DUARTE ANDINO C/ LAUDELINA LECOQUE URUNAGA s/ Disolución de la Comunidad Conyugal” conforme al A.I. N° 34 de fecha Villarrica, 14 de febrero de 2024, ha ordenado publicación de los edictos de citación y emplazamiento en el Diario La Nación de la capital, por todo el término de Ley, para que dentro del perentorio plazo de treinta días comparezcan ante este Juzgado los que tengan derechos a reclamar contra la comunidad conyugal que tenían formado los Sres.: DIEGO DARIO DUARTE ANDINO Y LAUDELINA LECOQUE URUNAGA, bajo apercibimiento de no poder hacerlo en adelante, sino sólo contra bienes propios del deudor, conforme al Art. 614 inc. c) del C.P.C.- Ante mí: Abg. Myriam Stella Chaparro de Matto. Villarrica, 19 de febrero de 2024. 63839/08/03-

DISOLUCIÓN CONYUGAL. La Juez de Primera Instancia en lo Civil y Comercial del Sexto Turno, Abg. Nathalia Moreno Tottil, de la Sexta Circunscripción Judicial, Alto Paraná cita y emplaza por quince veces a los que tengan interés en reclamar derechos contra la sociedad conyugal formada por los esposos RODRIGO FABIAN JAVIER

CABRAL CÁCERES y MARÍA CRISTINA DE MAGALHAES, en los autos caratulados: “RODRIGO

FABIAN JAVIER CABRAL CACERES

C/ MARIA CRISTINA DE MAGALHAES s/ Disolución de la Comunidad Conyugal” Exp Nº: 103. Año: 2022, para que, en el término de 30 días, contados desde la publicación del presente edicto, comparezcan a deducir sus acciones bajo apercibimiento de lo dispuesto en el Art. 212 del Código Civil Paraguayo vigente. El juicio radica en la secretaría a mi cargo. Abg. Sixto Raúl Melgarejo, Actuario Judicial. Ciudad del Este, 21 de febrero de 2024. 63838/08/03-

CONYUGAL. La

Juez de Primera Instancia en lo Civil, Comercial y Laboral del Segundo Turno, Abg. Laura Mercedes Gonzalez Cristaldo, cita y emplaza por quince veces a los que tengan derechos que reclamar contra la sociedad conyugal formada por los esposos LORENZA ZARATE

VILLALBA y MILCIADES

ROMERO GARCETE, para que, en el término de 30 días contados desde la última publicación del presente Edicto, comparezcan a deducir sus acciones, bajo apercibimiento de lo dispuesto en el Art. 55 de la Ley 1/92. El juicio radica en la Secretaría N° 3 a mi cargo.  Abg. GLORIA MABEL VILLALBA. Actuaria Judicial. Se hace saber al destinatario de este edicto que el mismo cuenta con el código QR, por lo cual, para tener certeza de que este documento es válido, deberá utilizar el lector del código QR, siendo ya en consecuencia, innecesaria la autenticación manual de la Actuaria del Juzgado conforme Acordada 1366/2019.Caaguazú, 20 de febrero de 2024. 63832/08/03-

DISOLUCIÓN CONYUGAL. LA JUEZA DE PRIMERA INSTANCIA EN LO CIVIL, COMERCIAL y LABORAL DEL PRIMER TURNO E INTERINA DEL SEGUNDO TURNO DE LA CIRCUNSCRIPCION JUDICIAL DE SAN PEDRO, Abg. NORMA MABEL FLEITAS, cita y emplaza por quince veces a los que tengan interés en reclamar derechos contra la sociedad conyugal formada por los esposos CLAUDIO ARECO GABILAN Y SONIA RAQUEL AGUILERA DE ARECO, para que en el término de 30 días, contados desde la publicación del presente edicto, comparezcan a deducir sus acciones bajo apercibimiento de lo dispuesto en el Art 212 del Código Civil Paraguayo vigente. El juicio radica en la secretaria Nº 03 a cargo de la Abg. MERCEDES RAMIREZ, Actuaria Judicial. SAN PEDRO DE YCUAMANDYYU, 15 de febrero de 2024. Se hace saber al destinatario de este edicto que el mismo cuenta con el Código QR, por lo cual, para tener certeza de que este documento es válido, deberá utilizar el lector del Código QR, siendo ya en consecuencia, innecesaria la autenticación manual de la Actuaria del Juzgado conforme Acordada 1366/2019.63827/08/03-

DISOLUCIÓN Y LIQUIDACIÓN DE LA COMUNIDAD CONYUGAL. El Juez de Primera Instancia en lo Civil y Comercial del Primer Turno de la Ciudad de Hernandarias de la Circunscripción Judicial de Alto Paraná, Abog. Heriberto Lugo Cañiza, cita y emplaza por 15 (quince) días, a quienes tengan intereses a reclamar contra la sociedad conyugal formada por los esposos RAMONA CONCEPCIÓN CUELLAR DE LÓPEZ y EMILIANO LÓPEZ SAMUDIO, para que comparezcan en el término perentorio de 30 (treinta) días contados desde la última publicación del presente Edicto, a ejercer sus acciones, bajo

apercibimiento de lo dispuesto en el Artículo 55 de la Ley 1/92 y en el Art. 614 del C.P.C. del Código Procesal Civil. El Juicio radica en la secretaría N° 02. Hernandarias, 8 de junio de 2023. Se hace saber al destinatario, para tener certeza que este documento es válido, el mismo cuenta con el Código QR, por lo cual, deberá recurrir a la utilización del lector del mencionado Código, a fin de constatar su autenticidad. 63855/08/03-

EDICTO. EL JUEZ DE PRIMERA

INSTANCIA EN LO CIVIL, COMERCIAL Y LABORAL DEL PRIMER TURNO DE J. AUGUSTO SALDIVAR, en auto caratulados: "JUAN ALBERTO DOMINGUEZ

RIQUELME C/ DEL ROSARIO

ROJAS DE BRITEZ Y OTRO S/ USUCAPION", ha dictado la providencia de fecha 05 de febrero de 2024, que copiada en la parte correspondiente dice: "Citase por edictos a los Sres. DEL ROSARIO ROJAS DE BRITEZ y MARCOS BRITEZ, a ser publicados en los diarios "ABC COLOR" y "LA NACION", por quince días, fin de que en el plazo de diez días, comparezcan ante este Juzgado, a objeto de tomar intervención en el presente juicio, bajo apercibimiento de que si así no lo hiciere, se le designará como representante al Defensor Público de Ausentes. Fdos. ABOG. ROBERTO SALDIVAR M. (Juez) y ABOG. GRACIELA

DAVALOS LEZCANO (Actuaria). 63344/28/02-

EDICTO. La Juez de Primera Instancia en lo Civil y Comercial de la Niñez y la Adolescencia y Laboral de Naranjal e Interina del Juzgado de Primera Instancia en lo Civil, Comercial del Primer Turno de la Niñez y adolescencia de Santa Rita, de la VI Circunscripción judicial del Alto Paraná, cita y emplaza por el termino de quince días a la Sra. Señora Cristiane  Flor de Maio con C.I.N° 8.308.169 y el Sr. Jhony Julio Barbosa Miranda con C.I. N° 6.923.740 para que comparezcan a estar en juicio por sí o por apoderado en los autos caratulados:

KEMILI DANTAS FLOR DE MAIO Y NAYARA VICTORIADANTAS FLOR DE MAIO S/ PERDIDA DE LA PATRIA

POTESTAD. Exp. Nº5 Año 2021, bajo apercibimiento de que, si así no lo hicieren, se nombrara defensor de ausentes. El juicio radica en la Secretaría a mi cargo Santa Rita, 23 de agosto de 2023 Abog. María Auxiliadora Caballero. Se hace saber al destinatario de este edicto que el mismo cuenta con el Código QR por lo cual, para tener certeza de que este documento es válido, deberá utilizar el lector del Código QR, siendo ya en consecuencia innecesaria la autenticación manual de la Actuaria del Juzgado conforme la Acordada N° 1366/2019 y N° 1370/2020 de la Excelentísima Corte Suprema de Justicia. 63494/01/03-

EDICTO. La Jueza de Primera Instancia en lo Civil, Comercial del Décimo Quinto Turno de la Capital, ha Dispuesto se cite por Edictos a la parte demandada, FLORENTIN SILVA QUINTANA, por quince veces, que se publicarán en los diarios “La Nación” y “Ultima Hora”, para que comparezca por sí o por apoderado a estar en el presente juicio caratulado “CARDENALES

S.A. C/ FLORENTIN SILVA QUINTANA Y OTROS s/ Nulidad de Acto Jurídico”, bajo apercibimiento de que si así no lo hiciere dentro del término establecido, se continuará los trámites en rebeldía y se tendrá por constituido su domicilio en los estrados de la secretaría del Juzgado en atención a lo dispuesto en el Art. 48 del C.P.C. El juicio radica en la secretaría N° 29 a mi cargo Abg. Pedro Juan Costantini. Asunción, 14 de febrero de 2024. Se hace saber al destinatario de este edicto que el mismo cuenta con el Código QR, por lo cual, para tener certeza de que este documento es válido, deberá utilizar el lector del Código QR, siendo ya en consecuencia, innecesaria la autenticación manual de la Actuaria del Juzgado conforme Acordada 1366/2019 y 1370/2020 de la Corte Suprema de Justicia. 63523/02/03-

EDICTO DE DESALOJO. El Juez de Primera Instancia en lo Civil, Comercial y Laboral de la ciudad de J. Augusto Saldívar, departamento Central, Dr. Roberto Saldívar Martínez, cita y emplaza por quince (15 ) veces a la Sra. MARÍA SOLEDAD GONZÁLEZ CARRILLO, a fin de que en el plazo de 30 días desde la primera publicación presente ante este Juzgado a contestar el presente juicio caratulado: “ALICIA CARNIBLLA C/ LA SUCESIÓN DE MARTÍN GONZÁLEZ S/ REPETICIÓN DE PAGO”. AÑO 2022. Nº 703. Folio 62 (INIBIDO), bajo apercibimiento de designarle como representante al Defensor Público de Ausentes de Turno de esta ciudad. El expediente radica en la Secretaría Nº 01 a mi cargo. J. Augusto Saldívar, 16 de febrero de 2024. 63557/02/03-

EDICTO DE USUCAPIÓN. LA JUEZA DE PRIMERA INSTANCIA EN LO CIVIL, COMERCIAL Y LABORAL DEL PRIMER TURNO DE PARAGUARI, ABOG. SADY CAROLINA BARRETO TORRES, cita, llama y emplaza por el término de quince veces al demandado Sr. ARNALDO ANDRES ACOSTA para que comparezca por sí o por apoderado, ante este Juzgado, a tomar intervención en el juicio que le promueve la señora LEONIDAS CORONEL DE RIOS en relación al inmueble individualizado como Finca N° 1387, Padrón N° 1830, Lugar denominado Pereira Cue del Distrito de Ybycui, bajo apercibimiento de que si así no lo hiciere dentro del plazo de ley, el Juzgado nombrará como representante del citado demandado a la Defensora de Pobres y Ausentes de Turno de Paraguarí. Los autos radican en la secre-

LUNES 26 FEBRERO DE 2024
DISOLUCIÓN

taria N°. 1 a cargo de la Actuaria Abogada DENISE GALEANO. PARAGUARI, 28 de diciembre de 2023. 63694/60/03-

EDICTO. LA JUEZA DE PRIMERA

INSTANCIA DE LA NINEZ Y ADO-

LESCENCIA DEL  SEGUNDO

TURNO DE  LA  TERCERA CIRCUNSCRIPCION JUDICIAL DE LA REPUBLICA, Abg. NILSA MONZON DE SARQUIS, dando cumplimiento al proveído de esta misma fecha, cítese por edictos a la demandada de autos señora CINTHIA

LORENA BARRIOS con C.I. N° 6.569.177, por 15veces para que comparezca por sí o por apoderado a intervenir en el juicio: "MICAELA

NOEMI BARRIOS ROJAS S/PER-

DIDA DE LA PATRIA POTESTAD Y DECLARACION EN ESTADO DE ADOPTABILIDAD" N° 302/2021, en el plazo de 6 días, a partir de la última publicación, bajo apercibimiento de que si así no lo hiciere dentro del término establecido se le nombrará como representante al Defensor de Ausentes de Turno. E1juicio radica en la secretaría N° 4 a mi cargo Abg. ANDREA

SARQUIS NOVISKY, Actuario/a Judicial. ENCARNACION, 31 de octubre de 2023.- Se hace saber al destinatario de este oficio que el mismo cuenta con el Código QR, por 1o cual, para tener certeza de que este documento es válido, deberá utilizar el lector del Código QR, siendo ya en consecuencia, innecesaria la autenticación manual de la Actuaria del Juzgado conforme Acordada 1366/2019.-63767/07/03-

EDICTO DE QUIEBRAS. CURUGUATY, 16 de febrero de 2024 EL JUEZ PENAL DE GARANTÍAS DEL SEGUNDO TURNO DE LA CIUDAD DE CURUGUATY; ABG.

RAMON ALBERTO FLORETIN

comunica que ha declarado la Quiebra del señor ARNALDO FLORENTIN ORTIZ SALINAS con C.I. Nº 4.844.796, en consecuencia, cita y emplaza por el termino de 30 días hábiles a fin de que los acreedores en Secretaría los títulos justificativos de sus créditos, contados a partir del día siguiente de la última publicación. EL JUICIO RADICA ANTE

LA SECRETARIA ABG. RAQUEL CACERES ACTUARIA JUDICIAL Conste. 63830/27/02-

EDICTO DE QUIEBRAS. CURU-

GUATY, 14 de febrero de 2024 EL JUEZ PENAL DE GARANTÍAS DEL

SEGUNDO TURNO DE LA CIUDAD DE CURUGUATY; ABG. RAMON ALBERTO FLORETIN comunica que ha declarado la Quiebra del señor/a AGUSTINA DIAZ

OLMEDO con C.I. Nº 3.400.282.en consecuencia, cita y emplaza por el termino de 30 días hábiles a fin de que los acreedores en Secretaría los títulos justificativos de sus créditos, contados a partir del día siguiente de la última publicación.

EL JUICIO RADICA ANTE LA

SECRETARIA ABG. RAQUEL CACERES ACTUARIA JUDICIAL Conste. 63830/27/02-

EDICTO DE QUIEBRAS. CURUGUATY, 14 de febrero de 2024 EL JUEZ PENAL DE GARANTÍAS DEL SEGUNDO TURNO DE LA CIU-

DAD DE CURUGUATY; ABG. RAMON ALBERTO FLORETIN comunica que ha declarado la Quiebra del señor/a ANA LOREN VEGA QUIÑONEZ, con C.I. Nº 3.532.970, en consecuencia, cita y emplaza por el termino de 30 días hábiles a fin de que los acreedores en Secretaría los títulos justificativos de sus créditos, contados a partir del día siguiente de la última publicación. EL JUICIO RADICA ANTE LA SECRETARIA ABG. RAQUEL CACERES ACTUARIA JUDICIAL Conste. 63830/27/02-

EDICTO DE DESALOJO. El Juez de Primera Instancia en lo Civil, Comercial y Laboral del Tercer Turno de la Cordillera, Mg. JUSTO RAMOS ARRÚA, en los autos caratulados: "CLEMENTINO OVIEDO DAVALOS C/ JULIAN OVIEDO DÁVALOS, RAFAEL OVIEDO DÁVALOS Y FERMINA OVIEDO DÁVALOS S/ DESALOJO"; ha dictado la providencia de fecha 18 de diciembre de 2.023, ordenando la Anotación de la Litis en el Registros Públicos del inmueble individualizado como Finca N° 6800, con Cta. Cte. Ctral. N° 19-0042-01, del Distrito de Caraguatay. El juicio radica en la secretaría 5 a mi cargo del Actuario Judicial Abg. ROBERTO ALMADA, Actuario Judicial. CAACUPE, 13 de febrero de 2024. Se hace saber al destinatario de este edicto que el mismo cuenta con el Código QR, por lo cual, para tener certeza de que este documento es válido, deberá utilizar el lector del Código QR, siendo ya en consecuencia, innecesaria la autenticación manual de la Actuaria del Juzgado conforme Acordada 1366/2019. 63829/27/02-

EDICTO. LA JUEZA DE PRIMERA INSTANCIA EN LO CIVIL Y COMERCIAL DEL DECIMO TERCER TURNO DE LA CAPITAL, Abg. LUZ

MARLENE RUIZ DIAZ, ha dispuesto se cite por edictos a la señora LILIAN NOEMI ROLÓN BENITEZ, por quince veces, que se publicarán en los diarios "ABC COLOR" y "LA NACIÓN", para que comparezca por sí o por apoderado a estar en el presente juicio caratulado "LILIAN NOEMI ROLÓN BENITEZ S/ CURATELA DE BIENES", bajo apercibimiento de que si así no lo hiciere dentro del término de cinco días de la publicación del último edicto, se nombrará curador de sus bienes. El juicio radica en la secretaría Nº 25 a cargo del Abg. ROQUE LUIS MALDONADO. ASUNCIÓN, 23 de febrero de 2024. Se hace saber al destinatario de este EDICTO que el mismo cuenta con el Código QR, por lo cual, para tener certeza de que este documento es válido, deberá utilizar el lector del Código QR, siendo ya en consecuencia, innecesaria la autenticación manual de la Actuaria del Juzgado conforme Acordada 1366/2019 y 1370/2020 de la Corte Suprema de Justicia. Fir-

mado digitalmente por: Roque Luis María Maldonado Torres (Actuario). 63916/09/03-

CONVOCATORIA DE ACREEDORES. EL JUZGADO DE PRIMERA INSTANCIA EN LO CIVIL, COMERCIAL DEL PRIMER TURNO SECRETARIA Nº 1,de la Ciudad de Villarrica, Circunscripción Judicial de Guaira. En el expediente caratulado: “NOELIA COLMAN CORTAZA S/ CONVOCATORIA DE ACREEDORES” resolvió por A.I. N° 65, de fecha 23 de Febrero del 2024, cuanto sigue: “1. TENER por presentado la Sra. NOELIA COLMAN CORTAZA y por constituido su domicilio en el lugar señalado. Agréguense los documentos anexados al sistema de gestión de casos previa autenticacion digital por el Sr. Actuario. 2. ADMITIR la CONVOCATORIA DE ACREEDORES del Sr. NOELIA COLMAN CORTAZA con C. I. N° 6.606.858. 3. DEJAR establecido que el convocatario no es comerciante. -4.- CITAR a los acreedores del convocatario para que en el plazo de 30 (treinta) días presenten los títulos justificativos de sus respectivos créditos.5.- ORDENAR la publicación de los edictos respectivos, haciendo saber la admisión de la presente convocación en el diario “LA NACION”, por el término de 5 (cinco) días.6.ORDENAR la suspensión todo tipo de descuentos y/o acciones ejecutivas iniciadas o a iniciarse contra el patrimonio del convocatario, con la excepción de los que tuvieren como objeto el cobro de un crédito con garantía real o del que corresponda al trabajador, como consecuencia de un contrato de trabajo, para cuyo efecto se librarán los oficios correspondientes a los Juzgados de Primera Instancia en lo Civil y Comercial donde sean tramitados los juicios.7.- ADJUNTAR toda la documentación dentro de los plazos previstos en la Ley.8.- DAR intervención al Ministerio Público. 9.- COMUNICAR esta Resolución al Registro General de Quiebras y a la Dirección Nacional de los Registros Públicos, librándose los correspondientes oficios.10.- LIBRAR los oficios en la forma y a los efectos solicitados.11.- DESIGNAR al Síndico de turno, a los efectos de la intervención correspondiente. Notifíquese por cédula. 12.- ANOTAR, registrar y conservar en el gestor documental del Poder Judicial, en los términos del art. 66 de la ley 6822/2021 y a la Acordada N° 1108 en su ítem 5, de la Excelentísima Corte Suprema de Justicia. Ante mi FDO: Abg. LIZA MARIA ALFONSO VERA (JUEZ). 63911/28/02-

CONVOCATORIA DE ACREEDORES. EL JUZGADO DE PRIMERA INSTANCIA EN LO CIVIL, COMERCIAL DEL PRIMER TURNO SECRETARIA Nº 1,de la Ciudad de Villarrica, Circunscripción Judicial de Guaira. En el expediente caratulado: “JUAN CARLOS RODRIGUEZ MONGES S/ CONVOCATORIA DE ACREEDORES” resolvió por A.I. N° 63, de fecha 23 de Febrero

del 2024, cuanto sigue: “1. TENER por presentado al Sr. JUAN CARLOS RODRIGUEZ MONGES y por constituido su domicilio en el lugar señalado. Agréguense los documentos anexados al sistema de gestión de casos previa autenticacion digital por el Sr. Actuario. 2. ADMITIR la CONVOCATORIA DE ACREEDORES del Sr. JUAN CARLOS RODRIGUEZ MONGES con C. I. N° 4.692.107.- 3. DEJAR establecido que el convocatario no es comerciante. -4.- CITAR a los acreedores del convocatario para que en el plazo de 30 (treinta) días presenten los títulos justificativos de sus respectivos créditos.5.- ORDENAR la publicación de los edictos respectivos, haciendo saber la admisión de la presente convocación en el diario “LA NACION”, por el término de 5 (cinco) días.6.ORDENAR la suspensión todo tipo de descuentos y/o acciones ejecutivas iniciadas o a iniciarse contra el patrimonio del convocatario, con la excepción de los que tuvieren como objeto el cobro de un crédito con garantía real o del que corresponda al trabajador, como consecuencia de un contrato de trabajo, para cuyo efecto se librarán los oficios correspondientes a los Juzgados de Primera Instancia en lo Civil y Comercial donde sean tramitados los juicios.7.- ADJUNTAR toda la documentación dentro de los plazos previstos en la Ley.8.- DAR intervención al Ministerio Público. 9.- COMUNICAR esta Resolución al Registro General de Quiebras y a la Dirección Nacional de los Registros Públicos, librándose los correspondientes oficios.10.- LIBRAR los oficios en la forma y a los efectos solicitados.11.- DESIGNAR al Síndico de turno, a los efectos de la intervención correspondiente. Notifíquese por cédula.-12.- ANOTAR, registrar y conservar en el gestor documental del Poder Judicial, en los términos del art. 66 de la ley 6822/2021 y a la Acordada N° 1108 en su ítem 5, de la Excelentísima Corte Suprema de Justicia.- Ante mi FDO: Abg. LIZA MARIA ALFONSO VERA (JUEZ). 63909/28/02-

CONVOCATORIA DE ACREEDORES. EL JUZGADO DE PRIMERA INSTANCIA EN LO CIVIL, COMERCIAL DEL PRIMER TURNO SECRETARIA Nº 1,de la Ciudad de Villarrica, Circunscripción Judicial de Guaira. En el expediente caratulado: “ALCIDES ABRAHAM BURGOS RAGGINI S/ CONVOCATORIA DE ACREEDORES” resolvió por A.I. N° 66, de fecha 23 de Febrero del 2024, cuanto sigue: “1. TENER por presentado al Sr. ALCIDES ABRAHAM BURGOS RAGGINI y por constituido su domicilio en el lugar señalado. Agréguense los documentos anexados al sistema de gestión de casos previa autenticacion digital por el Sr. Actuario. 2. ADMITIR la CONVOCATORIA DE ACREEDORES del Sr. ALCIDES

ABRAHAN BURGOS RAGGINI con C. I. N° 2.070.399.- 3. DEJAR establecido que el convocatario no es comerciante. -4.- CITAR a los acree-

dores del convocatario para que en el plazo de 30 (treinta) días presenten los títulos justificativos de sus respectivos créditos.5.- ORDENAR la publicación de los edictos respectivos, haciendo saber la admisión de la presente convocación en el diario “LA NACION”, por el término de 5 (cinco) días.6.- ORDENAR la suspensión todo tipo de descuentos y/o acciones ejecutivas iniciadas o a iniciarse contra el patrimonio del convocatario, con la excepción de los que tuvieren como objeto el cobro de un crédito con garantía real o del que corresponda al trabajador, como consecuencia de un contrato de trabajo, para cuyo efecto se librarán los oficios correspondientes a los Juzgados de Primera Instancia en lo Civil y Comercial donde sean tramitados los juicios.7.- ADJUNTAR toda la documentación dentro de los plazos previstos en la Ley.8.- DAR intervención al Ministerio Público. 9.- COMUNICAR esta Resolución al Registro General de Quiebras y a la Dirección Nacional de los Registros Públicos, librándose los correspondientes oficios.10.- LIBRAR los oficios en la forma y a los efectos solicitados.11.- DESIGNAR al Síndico de turno, a los efectos de la intervención correspondiente. Notifíquese por cédula.-12.- ANOTAR, registrar y conservar en el gestor documental del Poder Judicial, en los términos del art. 66 de la ley 6822/2021 y a la Acordada N° 1108 en su ítem 5, de la Excelentísima Corte Suprema de Justicia.- Ante mi FDO: Abg. LIZA MARIA ALFONSO VERA (JUEZ). 63908/28/02-

CONVOCATORIA DE ACREEDORES. EL JUZGADO DE PRIMERA INSTANCIA EN LO CIVIL, COMERCIAL DEL PRIMER TURNO SECRETARIA Nº 1,de la Ciudad de Villarrica, Circunscripción Judicial de Guaira. En el expediente caratulado: “JOSE MARIA RODRIGUEZ JARA S/ CONVOCATORIA DE ACREEDORES” resolvió por A.I. N° 67, de fecha 23 de Febrero del 2024, cuanto sigue: “1. TENER por presentado al Sr. JOSE MARIA RODRIGUEZ JARA y por constituido su domicilio en el lugar señalado. Agréguense los documentos anexados al sistema de gestión de casos previa autenticación digital por el Sr. Actuario. 2. ADMITIR la CONVOCATORIA DE ACREEDORES del Sr. JOSE MARIA RODRIGUEZ JARA con C. I. N° 1.906.347.DEJAR establecido que el convocatario no es comerciante. -4.CITAR a los acreedores del convocatario para que en el plazo de 30 (treinta) días presenten los títulos justificativos de sus respectivos créditos.5.- ORDENAR la publicación de los edictos respectivos, haciendo saber la admisión de la presente convocación en el diario “LA NACION”, por el término de 5 (cinco) días.6.ORDENAR la suspensión todo tipo de descuentos y/o acciones ejecutivas iniciadas o a iniciarse contra el patrimonio del convocatario, con la excepción de los que tuvieren como

objeto el cobro de un crédito con garantía real o del que corresponda al trabajador, como consecuencia de un contrato de trabajo, para cuyo efecto se librarán los oficios correspondientes a los Juzgados de Primera Instancia en lo Civil y Comercial donde sean tramitados los juicios.7.- ADJUNTAR toda la documentación dentro de los plazos previstos en la Ley.8.- DAR intervención al Ministerio Público. 9.- COMUNICAR esta Resolución al Registro General de Quiebras y a la Dirección Nacional de los Registros Públicos, librándose los correspondientes oficios.10.- LIBRAR los oficios en la forma y a los efectos solicitados.11.- DESIGNAR al Síndico de turno, a los efectos de la intervención correspondiente. Notifíquese por cédula.-12.- ANOTAR, registrar y conservar en el gestor documental del Poder Judicial, en los términos del art. 66 de la ley 6822/2021 y a la Acordada N° 1108 en su ítem 5, de la Excelentísima Corte Suprema de Justicia.- Ante mi FDO: Abg. LIZA MARIA ALFONSO VERA (JUEZ). 63900/28/02-

CONVOCATORIA DE ACREEDORES. EL JUZGADO DE PRIMERA INSTANCIA EN LO CIVIL, COMERCIAL DEL PRIMER TURNO SECRETARIA Nº 2, de la Ciudad de Villarrica, Circunscripción Judicial de Guaira. En el expediente caratulado: “JUAN DIOSNEL RIOS S/ CONVOCATORIA DE ACREEDORES” resolvió por A.I. N° 69, de fecha 23 de Febrero del 2024, cuanto sigue: “1. TENER por presentado al Sr. JUAN DIOSNEL RIOS y por constituido su domicilio en el lugar señalado. Agréguense los documentos anexados al sistema de gestión de casos previa autenticacion digital por el Sr. Actuario. 2. ADMITIR la convocación de acreedores del Señor JUAN DIOSNEL RÍOS con Cédula de Identidad N° 5.327.859.- DEJAR establecido que el convocatario no es comerciante. -4.- CITAR a los acreedores del convocatario para que en el plazo de 30 (treinta) días presenten los títulos justificativos de sus respectivos créditos.5.ORDENAR la publicación de los edictos respectivos, haciendo saber la admisión de la presente convocación en el diario “LA NACION”, por el término de 5 (cinco) días.6.ORDENAR la suspensión todo tipo de descuentos y/o acciones ejecutivas iniciadas o a iniciarse contra el patrimonio del convocatario, con la excepción de los que tuvieren como objeto el cobro de un crédito con garantía real o del que corresponda al trabajador, como consecuencia de un contrato de trabajo, para cuyo efecto se librarán los oficios correspondientes a los Juzgados de Primera Instancia en lo Civil y Comercial donde sean tramitados los juicios.7.- ADJUNTAR toda la documentación dentro de los plazos previstos en la Ley.8.- DAR intervención al Ministerio Público. 9.- COMUNICAR esta Resolución al Registro General de Quiebras y a la Dirección Nacional de los Registros Públicos,

3 LUNES 26 FEBRERO DE 2024

4 JUDICIAL .

librándose los correspondientes oficios.10.- LIBRAR los oficios en la forma y a los efectos solicitados.11.- DESIGNAR al Síndico de turno, a los efectos de la intervención correspondiente. Notifíquese por cédula. -12.- ANOTAR, registrar y conservar en el gestor documental del Poder Judicial, en los términos del art. 66 de la ley 6822/2021 y a la Acordada N° 1108 en su ítem 5, de la Excelentísima Corte Suprema de Justicia.- Ante mi FDO: Abg. LIZA MARIA ALFONSO VERA (JUEZ). 63901/28/02-

CONVOCATORIA DE ACREE-

DORES. EL JUZGADO DE PRIMERA INSTANCIA EN LO CIVIL, COMERCIAL DEL PRIMER TURNO

SECRETARIA Nº 1, de la Ciudad de Villarrica, Circunscripción Judicial de Guaira. En el expediente caratulado: “GUSTAVO ADOLFO ESCOBAR

ALMIRON S/ CONVOCATORIA DE ACREEDORES” resolvió por A.I. N° 62, de fecha 23 de Febrero del 2024, cuanto sigue: “1. TENER por presentado al Sr. GUSTAVO

ADOLFO ESCOBAR ALMIRON y por constituido su domicilio en el lugar señalado. Agréguense los documentos anexados al sistema de gestión de casos previa autenticacion digital por el Sr. Actuario.2.

ADMITIR la CONVOCATORIA DE ACREEDORES del Sr. GUSTAVO

ADOLFO ESCOBAR ALMIRON con

C. I. N° 4.511.935 3.- DEJAR establecido que la convocatario no es comerciante. -4.- CITAR a los acreedores del convocatario para que en el plazo de 30 (treinta) días presenten los títulos justificativos de sus respectivos créditos.5.- ORDENAR la publicación de los edictos respectivos, haciendo saber la admisión de la presente convocación en el diario “LA NACION”, por el término de 5 (cinco) días.6.- ORDENAR la suspensión todo tipo de descuentos y/o acciones ejecutivas iniciadas o a iniciarse contra el patrimonio del convocatario, con la excepción de los que tuvieren como objeto el cobro de un crédito con garantía real o del que corresponda al trabajador, como consecuencia de un contrato de trabajo, para cuyo efecto se librarán los oficios correspondientes a los Juzgados de Primera Instancia en lo Civil y Comercial donde sean tramitados los juicios.7.- ADJUNTAR toda la documentación dentro de los plazos previstos en la Ley.8.- DAR intervención al Ministerio Público. 9.- COMUNICAR esta Resolución al Registro General de Quiebras y a la Dirección Nacional de los Registros Públicos, librándose los correspondientes oficios.10.- LIBRAR los oficios en la forma y a los efectos solicitados.11.- DESIGNAR al Síndico de turno, a los efectos de la intervención correspondiente. Notifíquese por cédula. -12.- ANOTAR, registrar y conservar en el gestor documental del Poder Judicial, en los términos del art. 66 de la ley 6822/2021 y a la Acordada N° 1108 en su ítem 5, de la Excelentísima Corte Suprema de Justicia.- Ante mi FDO: Abg. LIZA

MARIA ALFONSO VERA (JUEZ). 63896/28/02-

CONVOCATORIA DE ACREEDORES. EL JUZGADO DE PRIMERA INSTANCIA EN LO CIVIL, COMERCIAL DEL PRIMER TURNO SECRETARIA Nº 1,de la Ciudad de Villarrica, Circunscripción Judicial de Guaira. En el expediente caratulado:

“ZUNILDA CABALLERO GIMENEZ S/ CONVOCATORIA DE ACREEDORES” resolvió por A.I. N° 61, de fecha 23 de Febrero del 2024, cuanto sigue: “1.- TÉNGASE por presentado a la Sra. ZUNILDA CABALLERO GIMENEZ y por constituido su domicilio en el lugar señalado.Agreguense los docuemtos anexados al sitema de gestion de casos previa autenticacion digital por el actuario. -2.- ADMITIR la convocación de acreedores de la Señora ZUNILDA CABALLERO GIMENEZ con Cédula de Identidad N° 2.857.335.- 3.- DEJAR establecido que la convocataria no es comerciante. -4.- CITAR a los acreedores de la convocataria para que en el plazo de 30 (treinta) días presenten los títulos justificativos de sus respectivos créditos.5.- ORDENAR la publicación de los edictos respectivos, haciendo saber la admisión de la presente convocación en el diario

“LA NACION”, por el término de 5 (cinco) días.6.- ORDENAR la suspensión todo tipo de descuentos y/o acciones ejecutivas iniciadas o a iniciarse contra el patrimonio del convocataria, con la excepción de los que tuvieren como objeto el cobro de un crédito con garantía real o del que corresponda al trabajador, como consecuencia de un contrato de trabajo, para cuyo efecto se librarán los oficios correspondientes a los Juzgados de Primera Instancia en lo Civil y Comercial donde sean tramitados los juicios.7.- ADJUNTAR toda la documentación dentro de los plazos previstos en la Ley.8.- DAR intervención al Ministerio Público. 9.COMUNICAR esta Resolución al Registro General de Quiebras y a la Dirección Nacional de los Registros Públicos, librándose los correspondientes oficios.10.- LIBRAR los oficios en la forma y a los efectos solicitados. - 11.- DESIGNAR al Síndico de turno, a los efectos de la intervención correspondiente. Notifíquese por cédula. -12.- ANOTAR, registrar y conservar en el gestor documental del Poder Judicial, en los términos del art. 66 de la ley 6822/2021 y a la Acordada N° 1108 en su ítem 5, de la Excelentísima Corte Suprema de Justicia.- Ante mi FDO: Abg. LIZA MARIA ALFONSO VERA (JUEZ). 63906/28/02-

CONVOCATORIA DE ACREEDORES. EL JUZGADO DE PRIMERA INSTANCIA EN LO CIVIL, COMERCIAL DEL PRIMER TURNO SECRETARIA Nº 1, de la Ciudad de Villarrica, Circunscripción Judicial de Guaira. En el expediente caratulado: “FRANCISCO JAVIER BENITEZ S/ CONVOCATORIA DE ACREEDORES” resolvió por A.I. N° 68, de fecha 23 de Febrero del 2024, cuanto

sigue: “1. TENER por presentado al Sr. FRANCISCO JAVIER BENITEZ y por constituido su domicilio en el lugar señalado. Agréguense los documentos anexados al sistema de gestión de casos previa autenticación digital por el Sr. Actuario.2. ADMITIR la CONVOCATORIA DE ACREEDORES del Sr. FRANCISCO JAVIER BENITEZ con C. I. N° 4.215.577. 3.- DEJAR establecido que el convocatario no es comerciante. -4.- CITAR a los acreedores del convocatario para que en el plazo de 30 (treinta) días presenten los títulos justificativos de sus respectivos créditos.5.- ORDENAR la publicación de los edictos respectivos, haciendo saber la admisión de la presente convocación en el diario “LA NACION”, por el término de 5 (cinco) días.6.ORDENAR la suspensión todo tipo de descuentos y/o acciones ejecutivas iniciadas o a iniciarse contra el patrimonio del convocatario, con la excepción de los que tuvieren como objeto el cobro de un crédito con garantía real o del que corresponda al trabajador, como consecuencia de un contrato de trabajo, para cuyo efecto se librarán los oficios correspondientes a los Juzgados de Primera Instancia en lo Civil y Comercial donde sean tramitados los juicios.7.- ADJUNTAR toda la documentación dentro de los plazos previstos en la Ley.8.- DAR intervención al Ministerio Público. 9.- COMUNICAR esta Resolución al Registro General de Quiebras y a la Dirección Nacional de los Registros Públicos, librándose los correspondientes oficios.10.- LIBRAR los oficios en la forma y a los efectos solicitados.11.- DESIGNAR al Síndico de turno, a los efectos de la intervención correspondiente. Notifíquese por cédula.-12.- ANOTAR, registrar y conservar en el gestor documental del Poder Judicial, en los términos del art. 66 de la ley 6822/2021 y a la Acordada N° 1108 en su ítem 5, de la Excelentísima Corte Suprema de Justicia.- Ante mi FDO: Abg. LIZA MARIA ALFONSO VERA (JUEZ). 63904/28/02-

CONVOCATORIA DE ACREEDORES. EL JUZGADO DE PRIMERA INSTANCIA EN LO CIVIL, COMERCIAL DEL PRIMER TURNO SECRETARIA Nº 1,de la Ciudad de Villarrica, Circunscripción Judicial de Guaira. En el expediente caratulado: “FIDEL CABALLERO VILLANUEVA S/ CONVOCATORIA DE ACREEDORES” resolvió por A.I. N° 59, de fecha 23 de Febrero del 2024, cuanto sigue: “1.- TÉNGASE por presentado al Sr. FIDEL CABALLERO VILLANUEVA y por constituido su domicilio en el lugar señalado.Agreguense los docuemtos anexados al sitema de gestion de casos previa autenticacion digital por el actuario. -2.- ADMITIR la convocación de acreedores del Señor FIDEL CABALLERO VILLANUEVA con Cédula de Identidad N° 3.573.759.- 3.- DEJAR establecido que la convocataria no es comerciante. -4.- CITAR a los acreedores de la convocataria para que en el plazo

de 30 (treinta) días presenten los títulos justificativos de sus respectivos créditos.5.- ORDENAR la publicación de los edictos respectivos, haciendo saber la admisión de la presente convocación en el diario “LA NACION”, por el término de 5 (cinco) días.6.- ORDENAR la suspensión todo tipo de descuentos y/o acciones ejecutivas iniciadas o a iniciarse contra el patrimonio del convocataria, con la excepción de los que tuvieren como objeto el cobro de un crédito con garantía real o del que corresponda al trabajador, como consecuencia de un contrato de trabajo, para cuyo efecto se librarán los oficios correspondientes a los Juzgados de Primera Instancia en lo Civil y Comercial donde sean tramitados los juicios.7.- ADJUNTAR toda la documentación dentro de los plazos previstos en la Ley.8.- DAR intervención al Ministerio Público. 9.COMUNICAR esta Resolución al Registro General de Quiebras y a la Dirección Nacional de los Registros Públicos, librándose los correspondientes oficios.10.- LIBRAR los oficios en la forma y a los efectos solicitados. - 11.- DESIGNAR al Síndico de turno, a los efectos de la intervención correspondiente. Notifíquese por cédula. -12.- ANOTAR, registrar y conservar en el gestor documental del Poder Judicial, en los términos del art. 66 de la ley 6822/2021 y a la Acordada N° 1108 en su ítem 5, de la Excelentísima Corte Suprema de Justicia.- Ante mi FDO: Abg. LIZA MARIA ALFONSO VERA (JUEZ). 63903/28/02

CONVOCATORIA DE ACREEDORES. EL JUZGADO DE PRIMERA INSTANCIA EN LO CIVIL, COMERCIAL DEL PRIMER TURNO SECRETARIA Nº 1,de la Ciudad de Villarrica, Circunscripción Judicial de Guaira. En el expediente caratulado: “JESUS MANUEL TESTA PEREIRA S/ CONVOCATORIA DE ACREEDORES” resolvió por A.I. N° 64, de fecha 23 de Febrero del 2024, cuanto sigue: “1. TENER por presentado al Sr. JESUS MANUEL TESTA PEREIRA y por constituido su domicilio en el lugar señalado. Agréguense los documentos anexados al sistema de gestión de casos previa autenticacion digital por el Sr. Actuario. 2. ADMITIR la CONVOCATORIA DE ACREEDORES del Sr. JESUS MANUEL TESTA PEREIRA con C. I. N° 3.189.140.DEJAR establecido que el convocatario no es comerciante. -4.- CITAR a los acreedores del convocatario para que en el plazo de 30 (treinta) días presenten los títulos justificativos de sus respectivos créditos.5.ORDENAR la publicación de los edictos respectivos, haciendo saber la admisión de la presente convocación en el diario “LA NACION”, por el término de 5 (cinco) días.6.ORDENAR la suspensión todo tipo de descuentos y/o acciones ejecutivas iniciadas o a iniciarse contra el patrimonio del convocatario, con la excepción de los que tuvieren como objeto el cobro de un crédito con garantía real o del que corresponda

al trabajador, como consecuencia de un contrato de trabajo, para cuyo efecto se librarán los oficios correspondientes a los Juzgados de Primera Instancia en lo Civil y Comercial donde sean tramitados los juicios.7.- ADJUNTAR toda la documentación dentro de los plazos previstos en la Ley.8.- DAR intervención al Ministerio Público. 9.- COMUNICAR esta Resolución al Registro General de Quiebras y a la Dirección Nacional de los Registros Públicos, librándose los correspondientes oficios.10.- LIBRAR los oficios en la forma y a los efectos solicitados.11.- DESIGNAR al Síndico de turno, a los efectos de la intervención correspondiente. Notifíquese por cédula.-12.- ANOTAR, registrar y conservar en el gestor documental del Poder Judicial, en los términos del art. 66 de la ley 6822/2021 y a la Acordada N° 1108 en su ítem 5, de la Excelentísima Corte Suprema de Justicia.- Ante mi FDO: Abg. LIZA MARIA ALFONSO VERA (JUEZ). 63899/28/02-

MODIFICACIÓN DE ESTATUTO

SOCIAL “INDUSTRIAL DUECK SOCIEDAD ANÓNIMA”. Estatuto modificado por Escritura Pública Nº 1 de fecha 30/01/2024 pasada ante Lourdes Ramona Mariño De Rios, inscripto en Sección Personas Jurídicas y Comercio Matricula Jurídica N° 9212 Serie Comercial Inscripto bajo el Nº 4, folio 26-34, el 08/02/2024.Duración: 99 años. - Domicilio: En la ciudad de Asunción, República del Paraguay. Capital suscripto e integrado: Gs. 5.500.000.000.- (Cinco mil quinientos millones de guaraníes), representado por 5.500 (cinco mil quinientas) acciones con un valor nominal de Un millón de guaraníes (Gs. 1.000.000) cada una, numeradas del 1 en adelante. Objeto principal: Fabricación Básica de Hierro y Acero. Directorio: Presidente: David Dueck Doerksen Vicepresidente: Dani Dueck Doerksen   Síndico titular: Rubén Giesbrecht. INDUSTRIAL DUECK S.A. RUC: 80025024-9. 63913/26/02-

CAMBIO DE DENOMINACIÓN. Por Escritura Pública Nº 109 de fecha 12/12/2.023, autorizada por la N.P. Limpia Stela García Cano, se formalizó el Cambio de denominación Social de la firma ESTRELLA DEL PARANÁ S.A por el de ESTRELLA

DE ARAGUAIA S.A. y la Modificación de los Artículos 1º, 2º y 4º del Estatuto Social. Inscripto en la Sección Personas Jurídicas y Asociaciones y Comercio, Matrícula Jurídica Nº 28376, Serie Comercial, bajo el Nº 2, Folio 16, en fecha 30/01/2024. y en la Matrícula De Comerciante bajo el Nº 7440 Folio: 7440, en fecha 20/02/2024. 63907/26/02-

CESIÓN DE CUOTAS. Por Esc. Pub. N° 81 de fecha 16/01/2024, autorizada por el Notario Luis E. Peroni G. e inscripta en la Direc. Gral. De los Reg. Púb., el 30/01/2024. Reg.

De Personas Jurídicas y de Comercio, Matricula N° 1.212, bajo el N° 02, folio 25-33, Serie “SUACE”, los Sres. GUSTAVO JOSE PIAZZA, HORACIO DAVID PIAZZA, REINALDO JOSE PIAZZA y VALERIA ALEJANDRA MORALES. Han resuelto formalizar un contrato de DONACION de cuotas del capital perteneciente al señor GUSTAVO JOSE PIAZZA, donde el Sr. GUSTAVO JOSE PIAZZA, con el consentimiento que otorga en nombre de los demás socios (HORACIO DAVID PIAZZA y REINALDO JOSE PIAZZA) y con el consentimiento de la esposa del cedente (VALERIA ALEJANDRA MORALES) CEDE Y TRANSFIERE A TÍTULO GRATUITO a la señora LUCIA PIAZZA la cantidad de (18) cuotas de capital de Gs. 700.000 c/u, más la suma de (Gs.71.342.451) para aportes a cuenta de futuras capitalizaciones, que tiene y posee en la firma “ELCOR PY S.R.L”; y al señor SANTIAGO JOSE PIAZZA, la cantidad de (18) cuotas de Gs. 700.000 c/u, más la suma de (Gs. 71.342.451) para aportes a cuenta de futuras capitalizaciones, que tiene y posee en la firma “ELCOR PY S.R.L”- TERCERA: La transferencia de las TREINTA Y SEIS (36) cuotas de capital y la suma de (Gs. 142.684.902) como aportes a cuenta de futuras capitalizaciones de ELCOR PY S.R.L se formaliza a título gratuito (a título de donación). Como consecuencia del presente contrato de cesión de cuotas de capital: a) Deja de ser socio el señor GUSTAVO JOSE PIAZZA; b) Se mantienen como socios los señores HORACIO DAVID PIAZZA y REINALDO JOSE PIAZZA; c) Ingresan como nuevos socios los señores LUCIA PIAZZA y SANTIAGO JOSE PIAZZA; y d) Queda modificada la cláusula N° 5 que se refiere al capital social fijado en Gs. 105.000.000. /26/02-

ESCISIÓN DE LA FIRMA. Por Esc. Pub. Nº 2.281 de fecha 07/12/2023, autorizada por el Notario Luis E. Peroni G. e inscripta en la Dirección Gral. De los Registros Públicos, el 14/02/2024. Reg. De Personas Jurídicas y de Comercio, Matricula N° 19.045, bajo el N° 04, folio 35, Serie “COMERCIAL”; se formaliza la escisión de la firma COMPAÑÍA DE PETROLEO Y ASFALTO S.A, y como consecuencia queda reducido el patrimonio social en Gs.26.000.000.000. /26/02-

MODIFICACION ESTATUTOS.

Por Escritura Pública N° 280, del 22/10/2020, pasada ante la Escribana Pública Maria Basilia Gauto Galeano ,se ha modificado el Estatuto social de la firma MDM INDUSTRIAL S.R.L., donde fueron  modificadas el capital social, aumentando a la suma de 1.000.000.000 Gs.  Inscripta en el Registro de Personas Jurídica y Asociaciones en la Matricula Jurídica N° 7364, Serie Comercial bajo el N° 1 folio 1/06. y en Registro Público de Comercio en la Matricula Comercial n° 7364, Serie Comercial, bajo el N° 02, folio 07, el 10 de noviembre de

LUNES 26 FEBRERO DE 2024

2021. 63895/26/02-

MODIFICACIÓN DE ESTATUTO

SOCIAL. Por Escritura Pública Nº 24 del 07/12/2023 autorizada por Escribano Caden Brugada Huespe al folio 77 y Sgtes., Protocolo de la División Civil sección B, se realizó

MODIFICACION DE ESTATUTO de TECNOFOR S.A. en los Art. 5. Inscripción en DGRPC Matricula N°10963 serie Comercial bajo N°5 y Folio 40 y Sgtes. En fecha 24/01/2024. 63873/26/02-

MODIFICACION DE ESTATUTOS. Por Escritura Pública de fecha 18/07/2023, pasada ante la escribana LILIA IRECHI BALLASCH GUERRA, fue modificada el Estatuto de la firma DON UMBERTO S.A.

INMOBILIARIA Y GANANDERA., por aumento de capital y emisión de acciones. Inscripta en la Dirección General de los Registros Públicos, sección Personas Jurídicas y Comercio con matricula 693, serie Comercial, inscripto bajo el nro. 2, folio 15 de fecha 5/01/2024. 63871/26/02-

AUMENTO DE CAPITAL. Por Esc. Nº 61 Comercial “B” del 22/12/2023, ante la NP Inés Rodríguez Alcalá de Bauzá. Se aumentó el capital social de CAMINOS DEL VINO SOCIEDAD ANÓNIMA con RUC N° 80079681-0, a la suma de G. 5.500.000.000 y la emisión de acciones por G. 2.000.000.000, modificando el Art. 5º de los Estatutos Sociales. Inscripto en la D.G.R.P. Sección Personas Jurídicas y Comercio, Matrícula Jurídica N° 12073. Serie Comercial, bajo el Nº 2, folio 19, en fecha 12/01/24. DRFS Nº 103402 del 03/01/2024. 63922/26/02-

MODIFICACIÓN DE ESTATUTOS SOCIALES. Por Escritura Pública Nº77 del 22/12/2023 pasada ante el Escribano Público Víctor Manuel Pérez Pérez, se ha modificado el Estatuto social de la firma FULL EQUIPO S.R.L., en su artículo quinto que se refiere al capital de la empresa, que aumento a Gs. 18.000.000.000. Fue inscripta en los Registros Públicos de Personas Jurídicas y Comercio en la Matrícula Jurídica N°10575, Serie Comercial bajo el Nº 03, folio 26, en fecha 16/01/2024. 63920/26/02-

liaria Santa Regina S.A. y JDJ S.A. identificado con Matrículas Nº E01/17331 y E01/2968, con Padrón Nº 3.797 y 1.602, respectivamente, del distrito de Villarrica, cuyos linderos unificados según título son los siguientes: AL NORTE: linda con el Arroyo Suliman, los Derechos de Ascención Vázquez y los Derechos Fiscales; AL ESTE: linda con Derechos Privados; AL SUR: linda con el Camino abandonado y Calle. AL OESTE: linda con la Fracción adjudicada a Antonio Vázquez.- La comisión de mensura le fue conferida a la Jueza de Primera Instancia en lo Civil y Comercial del Primer Turno de la ciudad de Villarrica, Abog. Liza María Alfonso Vera. El expediente se tramita ante la Secretaria Nº 2, a cargo de la Actuaria Judicial Abog. Teresita Noemi Ortellado Zorrilla. Las operaciones técnicas arrancarán en el esquinero Sur-este de la propiedad sobre Calle Existente, en el mojón cuyas coordenadas son las siguientes, N: 7.149.282,2163 - E: 559.306,8056.- Villarrica 23 de febrero de 2024.-Ing. Fátima Sánchez, Reg. MOPC Nº 1685. Mat. C.S.J. Nº 4431,Cel: (0981)415208. 63893/26/02-

diente activo agroquímico que es líquido a temperatura ambiente y es insoluble en agua; - entre 0,5 y 30% en peso, con respecto al peso total de la formulación, de un segundo ingrediente activo agroquímico que es insoluble en el primer ingrediente activo agroquímico y es sólido a temperatura ambiente; -entre 0,1 y 10% en peso, con respecto al peso total de la formulación, de un primer tensioactivo que es una sal de sulfonato; y - entre 1 y 30% en peso, con respecto al peso total de la formulación, de un segundo tensioactivo seleccionado de arilalquilarilalcoxilatos. Abog. María Belén Cubilla, Encargada de Despacho – Dirección de Patentes. 63697/26/02-

por el término de la Ley. (57) Resumen: (103/17) La presente invención proporciona compuestos de éster de oxaborol y composiciones de los mismos, que son útiles para tratar enfermedades relacionadas con parásitos tales como la enfermedad de Chagas y la Tripanosomiasis Animal africana. Dirección de Patentes. Farm. Berta Segovia. 63806/28/02-

notablemente los costos afines. Dirección de Patentes. Farm. Berta Segovia. 63806/27/02-

PATENTE DE INVENCIÓN. (19)

el dispositivo extractor (b) acarree solamente el producto (c) en buen estado, mientras que la cama inferior del producto en mal estado de conservación (c1), es arrastrada por la porción inferior (d2) de la pared de la bolsa y desechada a través del extremo abierto de la bolsa. Dirección de Patentes. Farm. Berta Segovia. 63806/27/02-

CIRCULAR DE MENSURA JUDICIAL. Comunico a quienes puedan tener interés y en especial a las partes linderas que el día 14 de marzo de 2024, a las 13:15 horas, daré inicio a las operaciones técnicas de Mensura Judicial caratulado “FINANZAS & TERRENOS S.A.; GANADERA & INMOBILIARIA SANTA REGINA S.A. y JDJ S.A. S/ MENSURA JUDICIAL Y UNIFICACIÓN DE FINCAS” Año 2024, propiedad de las firmas Finanzas & Terrenos S.A., Ganadera & Inmobi-

PATENTE DE INVENCIÓN. (19)

DIRECCIÓN NACIONAL DE PROPIEDAD INTELECTUAL GOBIERNO DEL PARAGUAY / PARAGUÁI

REKUÁI (11)Nro. Publicación: PY2023-2352279A (43) Asunción, 31 de Enero de 2024 Orden de Publicación de Solicitud de Patente de Invención (12) DATOS DE LA SOLICITUD (21) Nro de Solicitud: 20232352279 (22) Fecha de Solicitud: 05/07/2023 11:20:41 (71) Solicitante: ADAMA AGAN LTD. Domicilio

Solicitante: P.O. Box 262, Northern Industrial Zone, Ashdod 7710001, Israel (72) Inventor: 1. Mocatta David 2. Gubriy Vladimir 3. Babushkin Victoria 4. Silbert Gilad Domicilio Inventor: 1. 1 Dr. Hugo Hasner Street, 7044651 Gedera, Israel 2. 15/24 Hahalutsim Street, 7745510 Ashdod, Israel 3. 101/30 Hatzionut Street, 7745683 Ashdod, Israel 4. 1 Kibbutz Dorot, 7917500 Kibbutz Dorot, Israel (54) Título: DISPERSIONES OLEOSAS ESTABLES (74) Agente: Wilfrido Fernández De Brix - 25 (30) Prioridad/es: US 63/358,245 - 05/07/2022 – US (51) lnt. CI 8: A 01N 25/04(2006.01), A 01N 37 /22(2006.01), A 01P 13/00(2006.01) En cumplimiento al Artículo 1 de la Ley Nº 2593/05 que modifica el Artículo 23 de publicaciones de la Ley Nº 1630/00 de Patentes de Invención, se dispone que a partir de la fecha de la presente orden de publicación, esta solicitud de patente se hace pública y se ordena su publicación por el término de la Ley. (57) Resumen:(187 /23). La presente solicitud se refiere a una formulación de dispersión oleosa agroquímica que comprende: - más del 30% en peso, con respecto al peso total de la formulación, de un primer ingre-

PATENTE DE INVENCIÓN. (19) Dirección Nacional de Propiedad Intelectual, REPÚBLICA DEL PARAGUAY (11) Nro. Publicación: PY1728494A (43)Asunción, 3 de Mayo de 2018.- Orden de Publicación de SOLICITUD de Patente de INVENCIÓN (12)DATOS DE LA SOLICITUD (21)N° de Solicitud:1728494(22)Fecha de Solicitud: 11/05/2017 (71)Solicitante: ANACOR PHARMACEUTICALS, INC. Domicilio Solicitante: 1020 EAST MEADOW CIRCLE, PALO ALTO, CALIFORNIA, 94303, ESTADOS UNIDOS DE AMERICA (72) INVENTOR: AKAMA, TSUTOMU/ CARTER, DAVID SCOTT.-/HALLADAY, JASON S./ JACOBS, ROBERT T./ LIU, YANG/ PLATTNER, JACOB J./ ZHANG,YONG-KANG/ WITTY, MICHAEL JOHN.- Domicilio Inventor: 933 BERKSHIRE AVE, SUNNYVALE, CALIFORNIA, 94087, ESTADOS UNIDOS DE AMÉRICA/ 1452 La Crosse Dr, Sunnyvale, California 94087, Estados Unidos de América.-/ 16400 Hilow Rd., Los Gatos, California, 98032, Estados Unidos de América.-/ 1849 Old College Circle, Wake Forest, North Carolina, 27857, Estados Unidos de América.-/740 Polaris, Foster City, California 94404, Estados Unidos de América.-/ 1026 Alvarado Road, Berkeley, California, 94705, Estados Unidos de América.-/ 5151 Westmont, Ave, San José, California, 95130, Estados Unidos de América.-/ Anacor Pharmaceuticals, Inc, 1020 East Maedow circle, palo alto, california, 984303, Estados Unidos (54) Titulo: ÉSTERES DE OXABOROL Y SUS USOS (74) Agente: BERKEMEYER, HUGO T.-6 (30)Prioridad/es: 62/335, 565-12/05/2016-US (51) Int. Cl 8: A61K 31/C07F 5/ En cumplimiento al Artículo 1 de la Ley Nº 2593/05 que modifica el Artículo 23 De publicaciones de la Ley N° 1630/00 de Patentes de Invención, se dispone que a partir de la fecha de la presente orden de publicación, esta solicitud de patente se hace pública y se ordena su publicación

PATENTE DE INVENCIÓN. (19) Dirección Nacional de Propiedad Intelectual, REPÚBLICA DEL PARAGUAY (11) Nro. Publicación: PY20212113440A (43) Asunción, 17 de Noviembre de 2021.- Orden de Publicación de SOLICITUD de Patente de MODELO DE UTILIDAD (12) DATOS DE LA SOLICITUD (21) N° de Solicitud: 2021-2113440 (22) Fecha de Solicitud: 17/02/2021 10:56:21 (71)Solicitante: 1. Pablo Battilana 2. Mariano Colombo Domicilio Solicitante: 1. Billinghurst 38, San Isidro, Buenos Aires, Argentina 2. Luis Sáenz Peña 1926, Martínez, Buenos Aires, Argentina (72) INVENTOR: 1. Pablo Battilana 2. Mariano Colombo Domicilio Inventor: 1. Billinghurst 38, San Isidro, Buenos Aires, Argentina 2. Luis Sáenz Peña 1926, Martínez, Buenos Aires, Argentina (54) Título: LÁMINA

PARA EL ARMADO DE UN

ESTANTE EXHIBIDOR Y ESTANTE EXHIBIDOR OBTENIDO (74)

Agente: Hugo Teodoro Berkemeyer-6 (30) Prioridad/es: 20200100441-17/02/2020-AR (51)

Int. Cl 8: A 47F 5/10(2006.01) En cumplimiento al Artículo 1 de la Ley Nº 2593/05 que modifica el Artículo 23 De publicaciones de la Ley N° 1630/00 de Patentes de Invención, se dispone que a partir de la fecha de la presente orden de publicación, esta solicitud de patente se hace pública y se ordena su publicación por el término de la Ley. (57) Resumen: (58/21) (MU). Una lámina para el armado de un estante exhibidor obtenido, en donde la lámina gracias a su simplicidad estructural puede ser armada/ desarmada en forma práctica, rápida y fácil para su reciclado, siendo además que está realizada de materiales reciclados los cuales incurren en menores procesos productivos, y en donde gracias a su volumen mínimo permiten trasladar una cantidad mayor de láminas en un mismo viaje, reduciendo así

Dirección Nacional de Propiedad Intelectual, REPÚBLICA DEL PARAGUAY (11)Nro. Publicación: PY1770907A (43)Asunción, 4 de Abril de 2019.- Orden de Publicación de SOLICITUD de Patente de INVENCIÓN (12)DATOS DE LA SOLICITUD (21)N° de Solicitud:1770907 (22)Fecha de Solicitud: 21/09/2017 (71)Solicitante: MARTIN ERRAZQUIN Domicilio Solicitante: URDAPILLETA 937, CORONEL DORREGO, PROVINCIA DE BUENOS AIRES, CODIGO POSTAL Nº 8150, ARGENTINA (72)INVENTOR: MARTIN ERRAZQUIN Domicilio Inventor: URDAPILLETA 937, CORONEL DORREGO, PROVINCIA DE BUENOS AIRES, CODIGO POSTAL Nº 8150, ARGENTINA (54) Título: DESEMBOLSADOR MECÁNICO COMBINADO CON DISPOSITIVO EXTRACTOR DEL PRODUCTOAGRANELALMACENADO

EN SILO-BOLSA (74) Agente: BERKEMEYER, HUGO T.-6 (30)Prioridad/es: 160102878- 22/09/2016-AR (51) Int. Cl 8: A01D 87/ A01D 89/ En cumplimiento al Artículo 1 de la Ley Nº 2593/05 que modifica el Artículo 23 De publicaciones de la Ley N° 1630/00 de Patentes de Invención, se dispone que a partir de la fecha de la presente orden de publicación, esta solicitud de patente se hace pública y se ordena su publicación por el término de la Ley. (57) Resumen: (226/17). Se propone un desembolsador mecánico (a) combinado con dispositivo extractor (b) del producto a granel (c) almacenado en silo-bolsa (d), del tipo que comprende un tubo en enrollador (10) impulsado rotativamente, que está montado en brazos-soportes (11) articulados a un bastidor (1) con ruedas (2), y donde el dispositivo extractor (b) del producto es una estructura de un acarreador continuo, que tiene una porción inferior de carga (5) posicionable substancialmente horizontal y transversalmente en el interior de la silo-bolsa (d). Desde el extremo de descarga, la pared de la silo-bolsa (d) es cortada con dos cortes longitudinales laterales, quedando dicha pared dividida en una porción superior (d1) y otra inferior (d2). El tubo enrollador (10) tracciona rotativamente por el extremo correspondiente la porción media superior (d1) de la silo-bolsa(d). Un segundo tubo enrollador (20) está montado subyacente y paralelo al primer tubo enrollador (10), a través de medios de soporte y posicionamiento (30) y de una transmisión mecánica (40). El segundo tubo enrollador (20) tracciona rotativamente, por el mismo extremo, la porción media inferior (d2) de la silo-bolsa (d). Se logra que

PATENTE DE INVENCIÓN. (19)

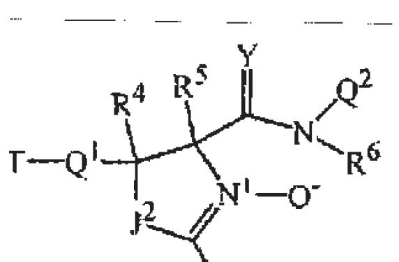
Dirección Nacional de Propiedad Intelectual, REPÚBLICA DEL PARAGUAY (11)Nro. Publicación: PY1796942A (43)Asunción, 11 de Diciembre de 2018.- Orden de Publicación de SOLICITUD de Patente de Invención.- (12)DATOS DE LA SOLICITUD (21)N° de Solicitud:1796942 (22)Fecha de Solicitud: 21/12/2017 (71)Solicitante: FMC CORPORATION Domicilio Solicitante: 2929 Walnut Street Philadelphia, Pennsylvania 19104 (72) INVENTOR: CAMPBELL, MATTHEW JAMES Domicilio Inventor: 791 Joseph Biggs Memorial Hway, Rising Sun, MD 21911 (54)Título: HERBICIDAS DE NITRONA (74) Agente: BERKEMEYER, HUGO T.-6 (30)Prioridad/es: 62/437,248-21/12/2016-US (51) Int. Cl 8: C07D 207/ C07D 401/ C07D 403/ C07D 405/ C07D 409/ C07D 413/ C07D 417 En cumplimiento al Artículo 1 de la Ley Nº 2593/05 que modifica el Artículo 23 De publicaciones de la Ley N° 1630/00 de Patentes de Invención, se dispone que a partir de la fecha de la presente orden de publicación, esta solicitud de patente se hace pública y se ordena su publicación por el término de la Ley. (57) Resumen: (306/17) Compuestos de la Fórmula 1, incluyendo todos los estereoisómeros, N-óxidos y sales de los mismos, en donde R1, R2, R3, R4, R5, R6, J2, Q1, Q2, T e Y son como se definen en la divulgación. También se divulgan composiciones que contienen los compuestos, N-óxidos y sales, y métodos para controlar una vegetación indeseada que comprende poner la vegetación indeseada o su entorno en contacto con una cantidad eficaz de un compuesto, N-óxido, sal o composición. Dirección de Patentes. Farm. Berta Segovia. 63806/27/02

PATENTE DE INVENCIÓN. (19)

Dirección Nacional de Propiedad Intelectual, REPÚBLICA DEL PARAGUAY (11) Nro. Publicación: PY1772824A (43) Asunción, 11 de Enero de 2019.- Orden de Publicación de SOLICITUD de Patente de

5 LUNES 26 FEBRERO DE 2024

6 JUDICIAL .

INVENCIÓN (12) DATOS DE LA

SOLICITUD (21)N° de Solicitud: 1772824 (22)Fecha de Solicitud: 28/09/2017 (71)Solicitante: MAN LATIN AMERICA INDÚSTRIA E COMÉRCIO DE VEÍCULOS

LTDA. Domicilio Solicitante: RUA WOLKSWAGEN, 291-7°, 8° E 9° ANDARES CPI 8090- PARQUE JABAQUARA, 04344-901 SAO

PAULO, BRASIL. (72)INVENTOR: RODRIGO DE OLIVEIRA DOS REIS/ FELIPE NOGUEIRA/ ENIO MENENGOY DA COSTA/ PEDRO RODRIGUES GOMES SIMAO

Domicilio Inventor: RUA DEZESSETE, 206, VILA RICA, 27259-200 VOLTA REDONDA-RJ-BRASIL/ AV. DR. ARNALDO MARZOTTO, 47, JARDIM MARTINELLI, 27580-000, PENEDO, RJ, BRASIL/ RUA PROF. CHRYSO FONTES, 80, CASA DA LUA, 27523-260, RESENDE, RJ-BRASIL/ AV. 17 DE JULHO, 598, APTO 202, ATERRADO, 27213-200 VOLTA REDONDA-RJ, BRASIL (54)Título: SUSPENSIÓN FRONTAL INDEPENDIENTE (74) Agente: BERKEMEYER, HUGO T.-6 (30)Prioridad/es: (no aplica)-(no aplica)-(no aplica) 102016022489-6-28/09/2016- BR (51) Int. Cl 8: B60G 11/ B60G 15/ B60G 3/ En cumplimiento al Artículo 1 de la Ley Nº 2593/05 que modifica el Artículo 23 De publicaciones de la Ley N° 1630/00 de Patentes de Invención, se dispone que a partir de la fecha de la presente orden de publicación, esta solicitud de patente se hace pública y se ordena su publicación por el término de la Ley. (57) Resumen: (235/17). La presente invención se refiere a una suspensión frontal independiente (10) para la aplicación en vehículos comerciales, tales como camiones y ómnibus, que comprende una subestructura (30) asociada a una horquilla superior (11) y a una horquilla interior (12), las hosquillas superior e inferior (11,12) estando ambas asociadas a una rueda (200,200´) y configurando un ángulo de caster (40), un ángulo de camber (50) y un ángulo de convergencia/divergencia (toe)(62), siendo que el ángulo de caster (40) es de 4,7° a 5,3°, el ángulo de camber (50) es de -0,3° a 0,3°, y el ángulo de convergencia/divergencia (toe) (62) es de -0,85° a 1,15°, confiriendo a la suspensión de la presente invención una característica de no reactividad a los momentos generados en el conjunto rodante, especialmente durante las situaciones de frenado. Dirección de Patentes. Abog. María Belén Cubilla. 63806/27/02

PATENTE DE INVENCIÓN. (19) Dirección Nacional de Propiedad

Intelectual, REPÚBLICA DEL PARAGUAY (11)Nro. Publicación: PY1709598A (43)Asunción, 11 de Julio de 2018.- Orden de Publicación de SOLICITUD de Patente de INVENCIÓN (12)DATOS DE LA SOLICITUD (21)N° de Solicitud: 1709598 (22)Fecha de Solicitud: 23/02/2017 (71)Solicitante: PFIZER, INC. Domicilio Solicitante: 235 EAST 42ND STREET, NEW YORK, NEW YORK 10017, ESTADOS UNIDOS DE AMERICA (72)INVENTOR: BROWN, MATTHEW FRANK / DERMENCI, ALPAY / FENSOME, ANDREW / GERSTENBERGER, BRIAN STEPHEN / HAYWARD, MATTHEW MERRIL/ OWEN, DAFYDD RHYS/ WRIGHT, STEPHEN WAYNE/ XING, LI HUANG/ YANG, XIAOJING Domicilio Inventor: 443 WHEELER ROAD, STONINGTON, CONNECTICUT, 06378, ESTADOS UNIDOS DE AMÉRICA / 9 Peach Lane, East Lyme, Connecticut, 06333 / 260 Bolton Road, Harvard, Massachusetts, 01451 /210 Winthrop Road, 9, Brookline, Massachusetts, 02445 / 3 Pyrus Court, Old Lyme, Connecticut, 06371 / 98 Peter Bulkeley Road, Concord, Massachusetts, 01742/ 1 Whitman Lane, Old Lyme, Connecticut, 06371 / 8 Great Rock Road, Lexington, Massachusetts, 02421 / 18 Maple Terrace, Waterford, Connecticut, 06385 (54)Título: DERIVADOS DE PIRAZOLO (1,5-A) PIRAZIN-4-ILO (74) Agente: BERKEMEYER, HUGO T.-6 (30)Prioridad/es: 62/299,130-24/02/2016US (51) Int. Cl 8: A61K 31/ A61P 25/ A61P 29/ A61P 37/ C07D 487/ En cumplimiento al Artículo 1 de la Ley Nº 2593/05 que modifica el Artículo 23 De publicaciones de la Ley N° 1630/00 de Patentes de Invención, se dispone que a partir de la fecha de la presente orden de publicación, esta solicitud de patente se hace pública y se ordena su publicación por el término de la Ley. (57) Resumen: (45/17) Un compuesto que tiene la siguiente estructura:(I) o una sal de este aceptable desde el punto de vista farmacéutico, o un solvato aceptable desde el punto de vista farmacéutico de un compuesto o una sal aceptable desde el punto de vista farmacéutico, en donde A, A' y A" son independientemente O, C=O, C-R' o N-R", en donde R' y R" pueden ser independientemente H, amino, - NR7COR6, COR6, -CONR7R8, C1-C6 alquilo o hidroxi(C1-C6 alquilo), y R" puede estar presente o ausente, y está presente donde las reglas de valencia lo permiten, y en donde no más de uno de A, A' y A" es O o C=O; R0 y R son independientemente H, Br, Cl, F o C1-C6 alquilo; R1 es H, C1-C6 alquilo o hidroxi(C1-C6 alquilo); R2 se selecciona del grupo que consiste en H, C1-C6 alquilo, C1- C6 alcoxi, hidroxi(C1-C6 alquilo), fenil(C1-C6 alquilo), formilo, heteroarilo, heterocíclico, -COR6, -OCOR6, -COOR6, -NR7COR6, - CONR7R8 y -(CH2) n-W, en donde W es ciano, hidroxi, C3-CB cicloalquilo, -SO2NR7R8 y -SO2-R9, en donde R9 es C1-C6 alquilo, C3-C8 cicloalquilo, hete-

roarilo o heterociclico; en donde cada uno de alquilo, cicloalquilo, heterociclico o heteroarilo puede ser no sustituido o sustituido por halo, ciano, hidroxi o C1-C6 alquilo; X es C-R3 o N, en donde R3 puede ser H o C1-C6 alquilo; R4 y R5 son independientemente H, amino, C1-C6 alquilo o hidroxi(C1-C6 alquilo); R6, R7 y R8 son, cada uno independientemente, H, C1- C6 alquilo, C1-C4 alcoxi(C1-C6 alquilo) o C3-C8 cicloalquilo, dicho C1-C6 alquilo se sustituye opcionalmente con halo, CN o hidroxi; o R7 y R8, junto con el átomo unido a estos, forman un anillo de 5 o 6 miembros, en donde el anillo se sustituye opcionalmente con halo, hidroxi, CN o C1-C6 alquilo; y n es 0, 1, 2 o 3. También se proporcionan métodos de tratamiento tales como inhibidores de quinasas Janus y composiciones farmacéuticas que con contienen los compuestos de la invención y combinaciones de estos con otros agentes terapéuticos. Dirección de Patentes. Farm. Berta Segovia. 63806/27/02

PATENTE DE INVENCIÓN. (19) Dirección Nacional de Propiedad Intelectual, REPÚBLICA DEL PARAGUAY (11) Nro. Publicación: PY1904718A (43)Asunción, 28 de noviembre de 2019.- Orden de Publicación de SOLICITUD de Patente de Invención (12)DATOS DE LA SOLICITUD (21)N° de Solicitud:1904718 (22)Fecha de Solicitud: 24/01/2019 (71)Solicitante: CRYSTAL LAGOONS (CURAÇAO) B.V.  Domicilio Solicitante: KAYA W.F.G. (JOMBI), MENSING 14/ CURACAO (CW) (72)INVENTOR: FISCHMANN TORRES, FERNANDO BENJAMIN Domicilio Inventor: AVDA. KENNEDY 9070, 10TH FLOOR, LAS CONDES SANTIAGO/ CHILE (CL) (54)Título: UN COMPLEJO URBANO DE ENTRETENIMIENTO CON UN PLAYA DE ACCESO PÚBLICO QUE INCLUYE UNA LAGUNA ARTIFICIAL CON ESTILO TROPICAL COMO CARACTERÍSTICA PRINCIPAL Y MÉTODO PARA PERMITIR UNA UTILIZACIÓN EFICIENTE DE TERRENOS DE USO LIMITADO (74) Agente: Hugo Teodoro Berkemeyer-6 (30) Prioridad/es: 62/625,18201/02/2018-US 62/639,21106/03/2018-US 15/990,14124/05/2018-US (51) Int. Cl 8: E 04B 1/00, E 04H 17/00, A 63G 31/00 En cumplimiento al Artículo 1 de la Ley Nº 2593/05 que modifica el Artículo 23 De publicaciones de la Ley N° 1630/00 de Patentes de Invención, se dispone que a partir de la fecha de la presente orden de publicación, esta solicitud de patente se hace pública y se ordena su publicación por el término de la Ley. (57) Resumen: (15/19). Se presenta un complejo urbano de entretenimiento

con playa de acceso público, con una laguna artificial tropical de aguas cristalinas como elemento central del complejo. Los alrededores de la laguna incluyen instalaciones de entretenimiento, educativas, deportivas y comerciales. El complejo cuenta con un acceso público controlado y ofrece la apariencia y ambiente de una playa tropical con aguas cristalinas y playas de arena. Además, se describe un método para utilizar eficientemente las instalaciones y terrenos baldíos, infrautilizados, que tienen usos limitados o que están contiguos o cercanos a lugares recreativos, educativos, deportivos o comerciales. El método proporciona un complejo urbano de entretenimiento con playa de acceso público con una laguna artificial de aguas cristalinas de estilo tropical. El método permite generar ingresos y aumentar la eficiencia al combinar sitios vacantes, sitios infrautilizados, terrenos de uso limitado o sitios contiguos o cercanos a lugares de entretenimiento, educativos, deportivos o comerciales con complejos urbanos de entretenimiento con playa. El complejo tiene preferiblemente un acceso público controlado, lo que permite la entrada mediante el pago de una tarifa. Dirección de Patentes. Farm. Berta Segovia. 63806/27/02

PATENTE DE INVENCIÓN. (19) Dirección Nacional de Propiedad Intelectual, REPÚBLICA DEL PARAGUAY (11) Nro. Publicación: PY1963394A (43)Asunción, 10 de febrero de 2020.- Orden de Publicación de SOLICITUD de Patente de Invención (12)DATOS DE LA SOLICITUD (21)N° de Solicitud:1963394 (22)Fecha de Solicitud: 05/08/2019 (71)Solicitante: MONSANTO TECHNOLOGY LLC Domicilio Solicitante: 800 North Lindbergh Boulevard, St. Louis, Missouri 63167, Estados Unidos de América (72)INVENTOR: 1. Shariff, Aabid 2. Davis, Ian W. Domicilio Inventor: 1. 800 North Lindbergh Boulevard, St. Louis, Missouri 63167, Estados Unidos de América 2. 800 North Lindbergh Boulevard, St. Louis, Missouri 63167, Estados Unidos de América (54) Título: ELEMENTOS REGULADORES DE PLANTAS Y USOS DE LOS MISMOS (74) Agente: Hugo Teodoro Berkemeyer-6 (30)Prioridad/es: 62/714, 228-03/08/2018-US (51) Int. Cl 8: C 12N 15/82, C 12N 5/04 En cumplimiento al Artículo 1 de la Ley Nº 2593/05 que modifica el Artículo 23 De publicaciones de la Ley N° 1630/00 de Patentes de Invención, se dispone que a partir de la fecha de la presente orden de publicación, esta solicitud de patente se hace pública y se ordena su publicación por el término de la Ley. (57) Resumen: (199/19). La invención provee construcciones y moléculas de ADN recombinante, asi como sus secuencias de nucleótidos útiles para modular la expresión génica en plantas. La invención también provee plantas, células vegetales, partes de las plantas, semillas y plantas de progenies transgénicas que

LUNES 26 FEBRERO DE 2024

comprenden las moléculas de ADN recombinante operativamente ligadas a moléculas de ADN transcriptibles heterólogas, junto con sus métodos de uso. Dirección de Patentes. Farm. Berta Segovia. 63806/27/02-

PATENTE DE INVENCIÓN (19)

Dirección Nacional de Propiedad Intelectual, REPÚBLICA DEL PARAGUAY (11)Nro. Publicación: PY1759841A (43)Asunción, 12 de Febrero de 2019.- Orden de Publicación de SOLICITUD de Patente de MODELO DE UTILIDAD (12) DATOS DE LA SOLICITUD (21)N° de Solicitud:1759841 (22)Fecha de Solicitud: 23/08/2017 (71)Solicitante: ARCONIC INDÚSTRIA E COMÉRCIO DE METAIS LTDA. Domicilio Solicitante: RUA FELIPE CAMARAO, 454, UTINGA 09220580 SANTO ANDRÉ-SP, BRASIL (72) INVENTOR: PAULO EDSON GENTILE/ RODRIGO CARNEIRO GOMES Domicilio Inventor: RUA FELIPE CAMARAO, 454, UTINGA 09220-580 SANTO ANDRÉ-SP, BRASIL/ RUA FELIPE CAMARAO, 454, UTINGA 09220-580 SANTO ANDRÉ-SP, BRASIL (54)Título: CIERRE POR TOQUE CON RETORNO MANUAL Y AUTOMÁTICO (74) Agente: BERKEMEYER, HUGO T.-6 (30)Prioridad/es: (no aplica)-(no aplica)-(no aplica) BR102017009349-203/05/2017-BR (51) Int. Cl 8: E05C 1/ E05C 5/ En cumplimiento al Artículo 1 de la Ley Nº 2593/05 que modifica el Artículo 23 De publicaciones de la Ley N° 1630/00 de Patentes de Invención, se dispone que a partir de la fecha de la presente orden de publicación, esta solicitud de patente se hace pública y se ordena su publicación por el término de la Ley. (57) Resumen: (192/17) La presente invención se refiere a un cierre por toque con retorno manual y automático que comprende una carcasa (10) que se puede asociar a una hoja de puerta o ventana a través de al menos un elemento de fijación (60), estando asociada la carcasa (10) a un perno (20) y a una caja de corredera (30), comprendiendo el cierre además una pieza de toque (40) asociada a la carcaza (10),estando asociada a la pieza de toque (40) al perno (20) y configurando un movimiento de palanca en torno del perno (20) mediante el toque de un usuario, pudiendo asociarse la pieza de toque (40) a la caja de corredera (30) mediante su movimiento de palanca, comprendiendo el cierre un elemento de retorno (70) que se puede asociar y disociar selectivamente a la pieza de toque (40) mediante la manipulación del usuario, eliminando así los problemas causados por el retorno automático del cierre de forma práctica. Dirección de Patentes. Farm. Berta Segovia. 63806/27/02-

PATENTE DE INVENCIÓN. (19) DIRECCIÓN NACIONAL DE PROPIEDAD INTELECTUAL GOBIERNO DEL PARAGUAY / PARAGUÁI

REKUÁI (11)Nro. Publicación: PY2023-2356216A (43) Asunción, 1

de Febrero de 2024.- Orden de Publicación de SOLICITUD de Patente de Invención (12) DATOS DE LA SOLICITUD (21) Nº de Solicitud: 2023-2356216 (22) Fecha de Solicitud: 18/07/2023 10:53:46 (71) Solicitante: ADAMA MAKHTESHIM LTD. Domicilio Solicitante: P.O. Box 60, Beer Sheva 8410001, Israel (72) Inventor: 1. Eliz Amar-Lewis 2. Yohai Dayagi Domicilio Inventor: 1. Harav Shlomo Adani 17 Beer Sheva, 8465117, Israel 2. Kibutz Kramim P.O.B Hanegev, 8496300, Israel (54) Título: COMPOSICIÓN SÓLIDA DE CIANTRANILIPROL Y ACETAMIPRID (74) Agente: Wilfrido Fernández De Brix - 25 (30) Prioridad/es: US 63/389,961-18/07 /2022 -US (51) lnt. CI 8: A 01N 25/04(2006.01), A 01N 43/56(2006.01), A 01P 7/04(2006.01) En cumplimiento al Artículo 1 de la Ley Nº 2593/05 que modifica el Artículo 23 de publicaciones de la Ley Nº 1630/00 de Patentes de Invención, se dispone que a partir de la fecha de la presente orden de publicación, esta solicitud de patente se hace pública y se ordena su publicación por el término de la Ley. (57) Resumen:(196/23). La presente invención se refiere a composiciones solidas dispersables en agua que comprenden partículas de acetamiprid y partículas de ciantraniliprol caracterizado por una desintegración espontánea y rápida, produciendo suspensiones físicamente estables de partículas de ciantraniliprol en soluciones acuosas de acetamiprid, con baja formación de aglomeración o crecimiento del tamaño de partículas y mínima espuma persistente. La presente invención también se refiere a métodos de uso y proceso de preparación de la composición sólida que comprende acetamiprid y ciantraniliprol. Abog. María Belén Cubilla, Encargada de Despacho –Dirección de Patentes. 63693/27/02-

PATENTE DE INVENCIÓN. (19) DIRECCIÓN NACIONAL DE PROPIEDAD INTELECTUAL GOBIERNO DEL PARAGUAY PARAGUÁI REGUÁI (11) Nro. Publicación: PY2023-2320702A (43) Asunción, 26 de Enero de 2024.- Orden de Publicación de SOLICITUD de Patente de Invención (12) DATOS DE LA SOLICITUD (21) Nº de Solicitud: 2023-2320702 (22) Fecha de Solicitud: 22/03/2023 11:50:22 (71) Solicitante: ORO AGRI EUROPE, S.A. Domicilio Solicitante: Estrada

Municipal 533, Biscaia, Lau Palmela, 2950-065 Setúbal, Portugal (72) Inventor: l. Pullen, Carol 2. Monteiro, Sara Alexandra Valadas Silva 3. Malek, Robert 4. Ibrahim, Aya 5. Marais, Charl Guillaume 6. Berg, Paulo Sergio Domicilio Inventor: l. Estrada Municipal 533, Biscaia, Lau Palmela, 2950-065 Setúbal, Portugal 2. Estrada Municipal 533, Biscaia, Lau Palmela, 2950-065 Setúbal, Portugal 3. Estrada Municipal 533, Biscaia, Lau Palmela, 2950-065 Setúbal, Portugal 4. Estrada Municipal 533, Biscaia, Lau Palmela, 2950-06 5 Setúbal, Portugal 5. Estrada Municipal 533, Biscaia, Lau Palmela, 2950065 Setúbal, Portugal 6. Estrada Municipal 533, Biscaia, Lau Palmela, 2950-065 Setúbal, Portugal (54) Título: COMPOSICIÓN AGRÍCOLA (74) Agente: Hugo R. Mersan Galli - 5 (30) Prioridad/es: 2022/0327822/03/2022 - ZA (51) Int. CI 8: A 01N 63/00(2006.01), A 01P 5/00(2006.01) En cumplimiento al Artículo 1 de la Ley N2 2593/05 que modifica el Artículo 23 De publicaciones de la Ley Nº 1630/00 de Patentes de Invención, se dispone que a partir de la fecha de la presente orden de publicación, esta solicitud de patente se hace pública y se ordena su publicación por el término de la Ley. (57) Resumen: (69/23). Esta divulgación se refiere a una composición agrícola. En particular, la divulgación se refiere a la composición de portadora agrícola. Además, en particular, esta divulgación se refiere a las composiciones de portadores agrícolas que pueden estar cargadas con al menos un agente antipatógeno y/o al menos un agente de biocontrol y/o un agente fertilizante y/o un agente biostimulante y/o un agente elicitor y/o un regulador del crecimiento vegetal y/o un repelente de insectos. La divulgación se extiende a métodos de fabricación antes mencionados. La composición agrícola puede comprender un (C2 - C26) alquil lactato y/o derivado del mismo, un alcohol (C2-C22), un humectante y un surfactante no iónico y/o aniónico. La composición agrícola puede incluir además un aglutinante, siempre que en él se proporcione una composición de portador agrícola. La composición del portador agrícola podrá cargarse además con al menos un agente antiopatógeno y/o al menos un agente de biocontrol y/o agente fertilizante y/o agente biostimulante y/o un agente elicitor y/o un regulador del crecimiento vegetal y/o un repelente de insectos. Abog. María Belén Cubilla – Encargada de Despacho Dirección de Patentes. 63887/27/02-

2024. Abog. Alexis N. Brambilla, Actuario Judicial. 63564/26/02-

SUCESION. LA JUEZ DE PRIMERA INSTANCIA EN LO CIVIL, COMERCIAL Y LABORAL DE LA TERCERA CIRCUNSCRIPCION JUDICIAL DE LA REPUBLICA, SEDE MARIA AUXILIADORA; Abg. R. EVELIN CABRERA PAREDES, cita y emplaza por sesenta días a herederos y acreedores de la sucesión de REINALDO CARDOZO GONZALEZ. El juicio radica en la secretaría N° 02 a mi cargo Abg. MIRIAN ORTIZ YURTZ, Actuaria Judicial. MARIA AUXILIADORA, 9 de febrero de 2024 Se hace saber al destinatario de este edicto que el mismo cuenta con el Código QR, por lo cual, para tener certeza de que este documento es válido, deberá utilizar el lector del Código QR, siendo ya en consecuencia, innecesaria la autenticación manual de la Actuaria del Juzgado conforme Acordada 1366/2019. 63563/26/02-

SUCESION. El Juez de Primera Instancia en lo Civil y Comercial del Sexto Turno de la Capital, Abg. Ulises Agustín Peña Vargas cita y emplaza por sesenta (60) días a herederos y acreedores de la sucesión de la Sra. NORMA BEATRIZ

GONZALEZ BAREIRO. Asunción, 16 de febrero de 2024. Ante mí: Alicia María Méndez Rodríguez, Actuaria Judicial. 63550/26/02-

SUCESION. El Juez de Primera Instancia en lo Civil, Comercial y Laboral del Tercer Turno de la ciudad de Caaguazú, Abg. FRANCISCO LUIS ASTIGARRAGA FELTES, cita y emplaza por sesenta días a herederos y acreedores de la Sucesión de CRISTOBAL VILLALBA y LIBORIA BOGADO DE VILLALBA. El Juicio radica en la Secretaría N° 5 a mi cargo. CAAGUAZU, 15 de febrero de 2024. Abg. FIDENCIA MARTINEZ RIVEROS, Actuaria Judicial. Se hace saber al destinatario de este edicto que el mismo cuenta con el código QR, por lo cual, para tener certeza de que este documento es válido, deberá utilizar el lector del código QR, siendo ya en consecuencia, innecesaria la autenticación manual de la Actuaria del Juzgado conforme Acordada 1366/2019. 63543/26/02-

ticación manual del Actuario del Juzgado conforme Acordada 1366/2019. 63542/26/02-

SUCESIÓN. EL JUEZ DE PAZ DE TAVAI E INTERINO DEL JUZGADO DE PAZ DEL PRIMER TURNO DE LA CIUDAD DE SAN JUAN NEPOMUCENO CIRCUNSCRIPCIÓN JUDICIAL DE CAAZAPÁ, ABOG. RUBEN DARIO BENITEZ MARTIN, CITA y EMPLAZA por sesenta días a herederos y acreedores de la Sucesión de PETRONIO AREVALOS TOLEDO. San Juan Nepomuceno, 30 de octubre de 2023. Abg. Rossana Heddy Luz Mendoza. Actuaria Judicial. 63584/26/02-

SUCESIÓN. El Juez de Primera Instancia en lo Civil y Comercial de la Niñez y Adolescencia de VallemiConcepción Cuarta Circunscripción Judicial, Abg. MARCELO EUGENIO VILLARTA QUINTANA, cita y emplaza por 60 días a los herederos y acreedores de la sucesión de la señora LEDA ROSANNA AGUILAR GOMEZ. El expediente radica en la Secretaría N°1. Fdo. Abg. MIRTHA RUIZ. Se hace saber al destinatario de este documento que el mismo cuenta con el Código QR, por lo cual, para tener certeza de que este documento es válido, deberá utilizar el lector del Código QR, siendo ya en consecuencia, innecesaria la autenticación manual de la Actuaria del Juzgado conforme Acordada 1366/2019 de la Corte Suprema de Justicia. VALLEMI, 13 de febrero de 2024. Firmado digitalmente por: Mirtha Teofila Ruiz Aguilar (Actuaria). 63539/26/02-

SUCESION. El Juez de Paz en lo Civil y Comercial de la Ciudad de Dr. Juan León Mallorquín, ABOG. Héctor Pastor Ibarra González, conforme a la Ley 6059/2018, Cita y Emplaza por sesenta (60) días a herederos y acreedores de la sucesión de MAXIMINA GONZÁLEZ DE OZORIO. Dr. Juan León Mallorquín, de febrero de 2024. Abog. Roberto Trinidad Escobar (Actuario). 63533/26/02-

forme a la Ley 6059/2018, Cita y Emplaza por sesenta (60) días a herederos y acreedores de la sucesión de CATALINO GARCETE MEDINA. Dr. Juan León Mallorquín, 7 de febrero de 2024. Abog. Roberto Trinidad Escobar (Actuario). 63525/26/02-

SUCESION. El Juez de Paz en lo Civil y Comercial de la Ciudad de Dr. Juan León Mallorquín, ABOG. Héctor Pastor Ibarra González, conforme a la Ley 6059/2018, Cita y Emplaza por sesenta (60) días a herederos y acreedores de la sucesión de ISABELINO SANTACRUZ CABRERA. Dr. Juan León Mallorquín, 4 de febrero de 2024. Abog. Roberto Trinidad Escobar (Actuario). 63524/26/02-

SUCESION. La JUEZA DE PRIMERA INSTANCIA EN LO CIVIL, COMERCIAL Y LABORAL DEL PRIMER TURNO DE LA CIRCUNSCRIPCION JUDICIAL DE SAN PEDRO, Abg. NORMA MABEL FLEITAS AQUINO, cita y emplaza por sesenta dias a herederos y acreedores de la sucesión de JUAN CARLOS SILVA. El juicio radica en la secretaría N° 2 a mi cargo Abg. LUISA HAUDENSCHILD, Actuaria Judicial. SAN PEDRO DE YCUAMANDYYU, 15 de febrero de 2024Se hace saber al destinatario de este documento que el mismo cuenta con el Código QR, por lo cual, para tener certeza de que este documento es válido, deberá utilizar el lector del Código QR, siendo ya en consecuencia, innecesaria la autenticación manual de la Actuaria del Juzgado conforme Acordada 1366/2019.- 63522/26/02-

SUCESIÓN. La Juez de Paz del Tercer Turno de la VI Circunscripción Judicial del Alto Paraná; con asiento en Ciudad Del Este Abog. Vicenta Fariña: cita y emplaza por sesenta días a herederos y acreedores de la sucesion de ABELARDO SEGOVIA COLMAN con CI N° 797.255.  Secretaria: Abog. Hugo D. Martínez. Ciudad Del Este Juzgado de Paz, 15 de Febrero de 2024. 63520/26/02-

MER TURNO DE LA CIRCUNSCRIPCION JUDICIAL DE SAN PEDRO, Abg. NORMA MABEL FLEITAS AQUINO, cita y emplaza por sesenta días a herederos y acreedores de la sucesión de ALCIDES

SORIA MOREL. El juicio radica en la secretaría N° 2 a mi cargo Abg.

LUISA HAUDENSCHILD, Actuaria Judicial. SAN PEDRO DE YCUAMANDYYU, 15 de febrero de 2024.Se hace saber al destinatario de este documento que el mismo cuenta con el Código QR, por lo cual, para tener certeza de que este documento es válido, deberá utilizar el lector del Código QR, siendo ya en consecuencia, innecesaria la autenticación manual de la Actuaria del Juzgado conforme Acordada 1366/2019.- 63668/29/02-

SUCESION. LA JUEZA DE PAZ EN LO CIVIL Y COMERCIAL DEL DISTRITO DE LA CATEDRAL, SEGUNDO TURNO, ABG. NATHALIA GUADALUPE GARCETE AQUINO, por providencia de fecha 26 de enero de 2024, dictada en los autos caratulados: "ANDRES MOREL GONZALEZ S/ SUCESION INTESTADA", Secretaria 3, Año: 2.023, Expte. N° 5152, Folio: 115", cita y emplaza por el término de sesenta (60) días, contados desde la primera publicación, a los herederos y acreedores del Sr. ANDRES GONZALEZ MOREL a presentar los derechos que pudieran tener en esta sucesión, Firmado: NATHALIA GUADALUPE GARCETE AQUINO (JUEZ) Ante mi OLIVIA MOSQUEDA ACTUARIA JUDICIAL). As. 26 enero de 2024. Pablo Cabrera Irigoitia, Actuario Judicial. 63712/01/03-

SUCESION. La Jueza de Primera Instancia en lo Civil y Comercial del Décimo Turno de la Capital, Secretaría Nº 20, Abg. Rocío González Morel, cita y emplaza por 60 días a los herederos y acreedores de la sucesión de la señora JULIANA

SUCESION. La Juez de Paz en lo civil y comercial del Primer Turno de la Ciudad de Hernandarias, Abg. Ignacia Mabel Escobar, cita y emplaza por el término de 60 días, a Herederos y Acreedores de la Sucesión de ROGELIA MARTINEZ ESQUIVEL Y JUSTO KIRNO ENCISO ORTIZ, para que se presenten ante la Secretaria del Juzgado a cargo de la Abg. Dulce María Zorrilla Salinas, si así creyeren a sus derechos. Hernandarias Juzgado de Paz, 9 de Febrero de 2024. 63674/01/03-

SUCESIÓN. El Juez de Primera Instancia en lo Civil y Comercial del 12° Turno, Dr. José Guillermo Trovato Fleitas cita y emplaza por sesenta días a herederos y acreedores de la sucesión de ALCIDES ANTONIO BAEZ FLEYTAS. Asunción, 21 de febrero de 2024. Abg. Carmen Franco, Actuaria Judicial. 63771/02/03-

SUCESION. JORGE ADOLFO FRANCO GARELIK, JUEZ DE PAZ TITULAR DE TTE. AMERICO PICO E INTERINO DEL JUZGADO DE PAZ DE CHACO-I, NUEVA ASUNCIÓN , por providencia de fecha 02 de febrero del 2024, ORDENA la publicación de Edictos en el DIARIO LA NACIÓN, por el termino de 10 días, y cita y emplaza por el término de (60) sesenta días a herederos y acreedores de la sucesión de los causantes (+) RAMON FERNANDEZ TALAVERA, de conformidad al Art. 714 inciso b) C. P. C, concordantes con el Art. 01 de la Ley 3236/2007 y el Art. 1 de la ley 6059/18. Abg.

GABRIEIA NOEMI GAONA BENITEZ ACTUARIA JUDICIAL, Chaco-í, Distrito de Nueva Asunción a los Dos días del mes de febrero del 2024. 63769/02/03-

SUCESION. El Juez de Primera Instancia en lo Civil y Comercial del Octavo Turno, Dr. Walter Raúl Mendoza Orue, cita y emplaza por 60 días a herederos y acreedores de la sucesión de ANTONIO MARÍA

ACOSTA MONZON S/ SUCESION INTESTADA. 16 de febrero de

SUCESIÓN. La Juez de Primera Instancia en lo Civil, Comercial, Laboral y de la Niñez y Adolescencia del Segundo Turno de Coronel Oviedo de la Circunscripción Judicial del Caaguazú, Abg. LAURA BEATRIZ ROJAS CAÑETE, cita y emplaza por sesenta días a herederos y acreedores de la sucesión de EUGENIA BEATRIZ ESPINOLA GALEANO (CORONEL OVIEDO, 28 de diciembre de 2023). Ante mí: WILSON F. SILVA. Actuario Judicial - Secretaría N° 4. Se hace saber al destinatario de este edicto que el mismo cuenta con el Código QR, por lo cual, para tener certeza de que este documento es válido, deberá utilizar el lector del Código QR, siendo ya en consecuencia, innecesaria la auten-

SUCESION. EL JUEZ DE PRIMERA INSTANCIA EN LO CIVIL, COMERCIAL, LABORAL, NIÑEZ Y ADOLESCENCIA DE LA CIUDAD DE CAPITAN BADO. CIRCUNSCRIPCION JUDICIAL DE AMAMBAY, ABG. CRISTHIAN ARIEL SANCHEZ ZARACHO, cita y emplaza por el término de 60 (sesenta) días, contados desde la publicación del presente Edicto, a los herederos y acreedores de quien en vida fuera MARIA CELESTE CONCEPCIÓN

TORRES DE COLLAR con CI N.º 576.205 de conformidad al Art 741 del C.P.C. El juicio radica en la secretaría a cargo del Actuario Judicial Abg. CARLOS RUBEN MARTINEZ GIMENEZ. Capitán Bado, 15 de febrero de 2024. 63530/26/02-

SUCESION. El Juez de Paz en lo Civil y Comercial de la Ciudad de Dr. Juan León Mallorquín, ABOG. Héctor Pastor Ibarra González, con-

SUCESIÓN. La Juez de Primera Instancia en lo Civil y Comercial del Primer Turno, Abg. Gabriela Maricel Meaurio Samudio, cita y emplaza por sesenta días a herederos y acreedores de la sucesión del señor

RUFINO GONZALEZ CABRERA, Ciudad del Este, 16 de febrero de 2024. Abg. Emilce Y. Rodríguez Ovelar (Actuaria Judicial, Secretaría N° 02). Se hace saber al destinatario de este edicto que el mismo cuenta con el Código QR, por lo cual, para tener certeza de que este documento es válido, deberá utilizar el lector del Código QR, siendo ya en consecuencia, innecesaria la autenticación manual de la Actuaria del Juzgado conforme Acordada 1366/201. 63507/26/02-

SUCESIÓN. LA JUEZA DE PRIMERA INSTANCIA EN LO CIVIL, COMERCIAL Y LABORAL DEL PRI-

GAVILAN DE ZARZA. Fdo. Abg. TOBIAS REDEKOP HARDER. Se hace saber al destinatario de este edicto que el mismo cuenta con el Código QR, por lo cual, para tener certeza de que este documento es válido, deberá utilizar el lector del Código QR, siendo ya en consecuencia, innecesaria la autenticación manual del Actuario del Juzgado conforme Acordada 1335/2019 de la Corte Suprema de Justicia.- ASUNCION, 12 de Febrero de 2024. 63688/01/03-

SUCESION. El Juez de Primera Instancia en lo Civil, Comercial y Laboral de San Juan Nepomuceno, Dr. Abg. Carlos Alberto Rojas Cañete, cita y emplaza por sesenta días a herederos y acreedores de la sucesión de LILIA

ROSA ORTIZ MARTINEZ S/ SUCESION. San Juan Nepomuceno, 13 de Febrero 2024. Secretaría N° 1. Abg. Leonida E. Pereira – Actuaria Judicial – Circunscripción Judicial de Caazapá. 63681/02/03-

SUCESION. La Jueza de Primera Instancia en lo Civil, Comercial y Laboral del Primer turno de la circunscripción Judicial de San Pedro, Abg. Norma Mabel Fleitas Aquino, cita y emplaza por sesenta días a herederos y acreedores de la sucesión de APOLONIO RIVAS MARTINEZ. El juicio radica en la secretaría N° 2 a mi cargo Abg. Luisa Haudenschild, Actuaria Judicial. San Pedro De Ycuamandyyu, 15 de febrero de 2024. 63751/02/03-

SUCESIÓN. El Juzgado de Paz del Segundo Turno de Caacupé, Circunscripción de Cordillera, a cargo del Juez Abg. AGUSTIN GONZALEZ PORTILLO y el Secretario Abg. CARLOS EDUARDO NUÑEZ CANO, ordena la publicación del presente edicto por el plazo de 10 (diez) días, citando y emplazando a los que tengan o pudieran tener interés en reclamar derechos contra la sucesión de la SRA. MARIA LUCIA LEON VDA DE ASILVERA a comparecer a deducir sus acciones dentro del término de 60 (sesenta) días contados desde la publicación del presente edicto, de conformidad a lo establecido en el Art. 741 del C.P.C. y demás concordantes. CAACUPE

7 LUNES 26 FEBRERO DE 2024

8 JUDICIAL .

JUZGADO DE PAZ, 20 de febrero de 2024. 63745/02/03-

SUCESIÓN. La Jueza de Paz, en lo Civil, Comercial y Laboral y de la Niñez y Adolescencia del Primer Turno de la Ciudad de Carapeguá.  Abog. MARÍA MARCELA DIAZ MEDINA, cita y emplaza por sesenta días a herederos y Acreedores de la sucesión de SILVERIA ESCOBAR - Carapeguá, 19 de febrero de 2024.- Actuario Judicial Abog. Lucio Ramón Rodriguez L.  Circunscripción Judicial Paraguarí. 63743/02/03-

SUCESIÓN. El Juez de Primera Instancia en lo Civil y Comercial del Cuarto Turno de la VI Circunscripción Judicial del Alto Paraná, con asiento en Ciudad del Este Turno, Abg. Juan Pereira, cita y emplaza por sesenta días a herederos y acreedores de la sucesión de JUAN RAMON

REYES VILLALBA. Ciudad del Este, 20 de febrero de 2024 (Actuario Judicial, Fredy A. Colman – Secretaría N° 07). Se hace saber al destinatario de este edicto que el mismo cuenta con el Código QR, por lo cual, para tener certeza de que este documento es válido, deberá utilizar el lector del Código QR, siendo ya en consecuencia, innecesaria la autenticación manual del Actuario del Juzgado. 63741/02/03-

SUCESIÓN. La Juez de Primera Instancia en lo Civil y Comercial del Primer turno, Abogada Gabriela Maricel Meaurio, cita y emplaza por sesenta días a herederos y acreedores de la sucesión de DARÍO

RAMÍREZ DOMÍNGUEZ, el juicio radica en la secretaría a mi cargo, Abogado Oscar Gaona (Actuario Judicial, Secretaría N° 1°). Ciudad del Este, 20 de febrero de 2024. Se hace saber al destinatario de este edicto cuenta con el Código QR por lo cual, para tener certeza de que este documento es válido, deberá utilizar el lector del Código QR, siendo ya en consecuencia, innecesaria la autenticación manual de la Actuaria del Juzgado conforme Acordada 1366/201. 63782/02/03-

SUCESIÓN. El Juez de Paz de la Colonia Tupa Renda, e Interino del Juzgado de Paz de Abai, Circunscripción Judicial de Caazapá Abg. Porfirio Guzmán Bernal Ramirez, cita y emplaza, por el término de 60 (sesenta) días, contados a partir de la primera publicación a todos los que tengan interés en la sucesión de ANDRES CACERES MARTINEZ. Secretaría a cargo de la Abg. Getulio Acosta Zarza. Abai, 12 de Febrero    de 2.024.- 63802/02/03-

SUCESION. La Jueza de Paz del Juzgado de Paz de Tacuati Circunscripción Judicial de San Pedro Abog. Yenni Beatriz Areco F., cita y emplaza por el termino de diez días, a todas las personas que se crean con derechos en la sucesión de EMILIANO

RAMOS a fin de que los mismos se presenten dentro del plazo de 60 días a ser contado desde la fecha de la primera publicación de edicto por

si o por apoderados a reclamarlos. Los trámites se encuentran a cargo de este Juzgado. Tacuati, 16 de febrero de 2024. Norma Montiel Carmona, actuaria judicial. 63800/02/03-

SUCESION. La Jueza de Primera Instancia en lo Civil, Comercial y Laboral del Primer Turno e Interina del Segundo Turno de la Circunscripción Judicial de San Pedro, Abg. Norma Mabel Fleitas, cita y emplaza por sesenta días a herederos y acreedores de la sucesión de VIDAL

PALACIOS IBAÑEZ. El juicio radica en la secretaría N° 03 a cargo de la Abg. Mercedes Ramirez, Actuaria Judicial. San Pedro De Ycuamandyyu, 16 de febrero de 2024 Se hace saber al destinatario de este edicto que el mismo cuenta con el Código QR, por lo cual, para tener certeza de que este documento es válido, deberá utilizar el lector del Código QR, siendo ya en consecuencia, innecesaria la autenticación manual de la Actuaria del Juzgado conforme Acordada 1366/2019. 63799/02/03-

SUCESION. La Jueza de Primera Instancia en lo Civil, Comercial y Laboral del Primer Turno e Interina del Segundo Turno de la Circunscripción Judicial de San Pedro, Abg. Norma Mabel Felitas, cita y emplaza por sesenta días a herederos y acreedores de la sucesión de ANTONIO

VALLEJOS COLMAN. El juicio radica en la Secretaria N° 03 a cargo de la Abg. Mercedes Ramirez, Actuaria Judicial. San Pedro De Ycuamandyyu, 21 de febrero de 2024. Se hace saber al destinatario de este edicto que el mismo cuenta con el Código QR, por lo cual, para tener certeza de que este documento es válido, deberá utilizar el lector del Código QR, siendo ya en consecuencia, innecesaria la autenticación manual de la Actuaria del Juzgado conforme Acordada 1366/2019. 63797/02/03-

SUCESION. La Jueza de Primera Instancia en lo Civil y Comercial del Primer Turno, Dra. LILIAN ROSMARY GONZALEZ DE DUARTE, cita y emplaza por sesenta (60) días a herederos y acreedores de la sucesión de "CARLOS ANTONIO BARRIOS CHAPARRO Y REINERIA MOSQUEDA DE BARRIOS" CORONEL OVIEDO, 14 de Setiembre de 2023. Ante mí: CRISTELL A. PORTILLO ARIAS. Secretaría Nº 2. Se hace saber al destinatario de este edicto que el mismo cuenta con el Código QR, por lo cual, para tener certeza de que este documento es válido, deberá utilizar el lector del Código QR, siendo ya en consecuencia, innecesaria la autenticación manual de la Actuaria del Juzgado conforme Acordada 1366/2019.63796/02/03-

SUCESIÓN. La Jueza de Primera Instancia en lo Civil y Comercial del Décimo Turno de la Capital, Secretaría Nº 20, Abg. Rocío González Morel, cita y emplaza por 60 días a los herederos y acreedores de la sucesión de la señora ISABEL ALCARAZ DE

SALINAS. Fdo. Abg. TOBIAS REDEKOP HARDER. Se hace saber al destinatario de este edicto que el mismo cuenta con el Código QR, por lo cual, para tener certeza de que este documento es válido, deberá utilizar el lector del Código QR, siendo ya en consecuencia, innecesaria la autenticación manual del Actuario del Juzgado conforme Acordada 1335/2019 de la Corte Suprema de Justicia. ASUNCION, 12 de febrero de 2024. 63841/03/03-

SUCESIÓN. EL JUEZ DE PAZ, EN LO CIVIL, COMERCIAL Y LABORAL de la ciudad de Caaguazú, ABG. EVER GUSTAVO SERAFINI MANCUELLO, cita y emplaza por 60 días a herederos, acreedores y legatarios de la sucesión de JUAN BAUTISTA CABALLERO GONZALEZ Y REGINA BENITEZ DE CABALLERO S/ SUCESION - AB-INTESTATO LEY 6059/18 - AÑO 2024, N° 43, FOLIO 106. Caaguazú 19 de FEBRERO de 2024. Abg. Wilson I. Rotela Rotela. Actuario Judicial.  Abog. Ever Serafini. Juez de Paz. 63831/03/03-

SUCESIÓN. La Jueza de Primera Instancia en lo Civil y Comercial del Primer Turno, Dra. LILIAN ROSMARY GONZALEZ DE DUARTE, cita y emplaza por sesenta (60) días a herederos y acreedores de la sucesión de "JUAN GUALBERTO

RECALDE MARTINEZ”. CORONEL OVIEDO, 14 de junio de 2023. Ante mí: CRISTELLA. PORTILLO ARIAS. Secretaría Nª 2. Se hace saber al destinatario de este edicto que el mismo cuenta con el Código QR, por lo cual, para tener certeza de que este documento es válido, deberá utilizar el lector del Código QR, siendo ya en consecuencia, innecesaria la autenticación manual de la Actuaria del Juzgado conforme Acordada 1366/2019.- 63828/03/03-

SUCESION. LA JUEZA DE PRIMERA INSTANCIA EN LO CIVIL, COMERCIAL Y LABORAL DEL PRIMER TURNO E INTERINA DEL SEGUNDO TURNO DE LA CIRCUNSCRIPCION JUDICIAL DE SAN PEDRO, Abg. NORMA MABEL FELITAS, cita y emplaza por sesenta días a herederos y acreedores de la sucesión de APOLONIO AVALOS LOPEZ. El juicio radica en la Secretaria N° 03 a cargo de la Abg. MERCEDES RAMIREZ, Actuaria Judicial. SAN PEDRO DE YCUAMANDYYU, 22 de Febrero de 2024 Se hace saber al destinatario de este edicto que el mismo cuenta con el Código QR, por lo cual, para tener certeza de que este documento es válido, deberá utilizar el lector del Código QR, siendo ya en consecuencia, innecesaria la autenticación manual de la Actuaria del Juzgado conforme Acordada 1366/2019.- 63821/03/03-

SUCESION. LA JUEZ DE PRIMERA INSTANCIA EN LO CIVIL, COMERCIAL Y LABORAL DE LA TERCERA CIRCUNSCRIPCION JUDICIAL DE LA REPUBLICA, SEDE MARIA AUXILIADORA, Abg. R. EVELIN

CABRERA PAREDES, cita y emplaza por sesenta días a herederos y acreedores de la sucesión de DOMINGO SILVIO VELAZQUEZ INSAURALDE. El juicio radica en la secretaría N° XX a mi cargo Abg. MIRIAN ORTIZ YURTZ, Actuaria Judicial. (MARIA AUXILIADORA, 15 de febrero de 2024.-Se hace saber al destinatario de este edicto que el mismo cuenta con el Código QR, por lo cual, para tener certeza de que este documento es válido, deberá utilizar el lector del Código QR, siendo ya en consecuencia, innecesaria la autenticación manual de la Actuaria del Juzgado conforme Acordada 1366/2019. 63860/03/03-

SUCESIÓN. EL JUEZ DE PRIMERA INSTANCIA EN LO CIVIL Y COMERCIAL DEL PRIMER TURNO DE LA CIRCUNSCRIPCIÓN JUDICIAL DE AMAMBAY, ABG. JUAN MARCELINO GONZÁLEZ, cita y emplaza por el termino de 60 (sesenta) días, contados desde la publicación del presente edicto, a los que tengan interés en reclamar derechos en la sucesión de LUCILA HORTENCIA ARCE DE FRANCO, de conformidad con lo dispuesto en el Art. 741 del Código Procesal Civil.- El juicio radica en la Secretaria a cargo de la Actuaria Judicial Abg. CAROLINA FRANCO VAZQUEZ. PEDRO JUAN CABALLERO, 21 de Febrero de 2024. 63854/03/03-

SUCESIÓN. La Juez de Primera Instancia en lo Civil y Comercial del PRIMER TURNO DE LA CIRCUNSCRIPCION DE CAAGUAZU, con asiento en la ciudad de Coronel Oviedo, Dra. LILIAN ROSMARY GONZALEZ DE DUARTE, cita y emplaza por sesenta días a herederos y acreedores de la sucesión de AGUSTIN PALACIOS PAEZ. CORONEL OVIEDO, 23 de Febrero de 2024. Ante mí: Abg. ADELA BENITEZ RAMOS Actuaria Judicial - Secretaría N° 1. Se hace saber al destinatario de este edicto que el mismo cuenta con el Código QR, por lo cual, para tener certeza de que este documento es válido, deberá utilizar el lector del Código QR, siendo ya en consecuencia, innecesaria la autenticación manual de la Actuaria del Juzgado conforme Acordada 1366/2019. 63912/04/03-

SUCESIÓN. El Juez de Primera Instancia en lo Civil y Comercial del Sexto Turno, Abg. Ulises Agustín Peña Vargas, ha dictado la providencia de fecha 20 de febrero de 2024, en los autos caratulados: “GABRIEL AYALA AVALOS S/ SUCESIÓN INTESTADA” AÑO 2024, N° 26, por la cual cita y emplaza por sesenta (60) días a los herederos y acreedores de la sucesión del citado causante, para que se presenten a reclamar sus derechos. El expediente radica en la Secretaría No: 12 a mi cargo, sito en el Tercer Piso, Torre Sur, del Palacio de Justicia, ubicado en Alonso y Testanova, de ésta capital.- ASUNCION, 21 de Febrero de 2024 Se hace saber, al destinatario del presente edicto, que el mismo cuenta con el Código QR, por lo que

para tener certeza de la validez del presente documento, deberá contar con el lector del Código QR, siendo innecesaria la autenticación manual por parte de la Actuaria del Juzgado, conforme a las Acordadas Nos: 1366/ 2020 y 1370/ 2020, ambas dictadas por la Excma. Corte Suprema de Justicia. 63898/04/03-

SUCESIÓN. El Juez De Primera Instancia En Lo Civil Y Comercial Del Tercer Turno De La Ciudad De San Lorenzo, Secretaria 5, Abg. FELIPE MERCADO NAVARRO CITA Y EMPLAZA Por sesenta días a herederos y acreedores de la sucesión deANIBAL ORTIZ CESPEDES. - SAN LORENZO, 23 de febrero de 2024. Abg. Nelida Rosa Venialgo Torres - Actuaria Judicial. 63892/04/03-

SUCESIÓN. La Jueza de Primera Instancia en lo Civil y Comercial del Segundo Turno de la Circunscripción Judicial de Concepción, Abogada CELSA ESTELA SANGUINEZ DE GALIANO, cita y emplaza por término de sesenta (60) días a los herederos y acreedores de la sucesión de "FERNANDOLOPEZBOGADO". Expte. Nº 142, Año 2023. El juicio radica en la secretaria Nº 4 a mi cargo. - CONCEPCION, 14 de febrero de 2024. Se hace saber al destinatario de este documento que el mismo cuenta con el Código QR, por lo cual, para tener certeza de que este documento es válido, deberá utilizar el lector del Código QR, siendo ya en consecuencia, innecesaria la autenticación manual de la Actuaria del Juzgado conforme Acordada 1366/2019 de la Corte Suprema de Justicia. -Firmado digitalmente por: ROSA ELIZABETH MISKINICH LESME (ACTUARIO/A) 63891/04/03-

SUCESIÓN. La Juez de Primera Instancia en lo Civil, Comercial, Laboral y de la Niñez y Adolescencia del Segundo Turno de Coronel Oviedo de la Circunscripción Judicial del Caaguazú, Abg. LAURA BEATRIZ ROJAS CAÑETE, cita y emplaza por sesenta días a herederos y acreedores de la sucesión de ILSA GONZALEZ ORTIZ con C.I. N° 1.998.930 y JUAN URAN JARA con C.I. Nº 1.813.914 S/ SUCESIÓN INTESTADA AÑO 2023

N° 353 FOLIO 178.- Ante mí: WILSON F. SILVA. Actuario Judicial - Secretaría Nº 4. Se hace saber al destinatario de este edicto que el mismo cuenta con el Código QR, por lo cual, para tener certeza de que este documento es válido, deberá utilizar el lector del Código QR, siendo ya en consecuencia, innecesaria la autenticación manual del Actuario del Juzgado conforme Acordada 1366/2019. 63890/04/03-

SUCESION. El Juez De Primera Instancia En Lo Civil Y Comercial Del Tercer Turno De La Ciudad De San Lorenzo, Secretaria 5, Abg. Felipe Mercado Navarro CITA Y EMPLAZA Por sesenta días a herederos y acreedores de la sucesión de TEODORA

ENCISO JARA. SAN LORENZO, 23 de febrero de 2024. Nelida Rosa Venialgo Torres, Actuaria Judicial. 63886/04/03-

SUCESION. El Juez de Primera Instancia en lo Civil y Comercial del Sexto Turno, Abg. Ulises Agustín Peña Vargas, ha dictado la providencia de fecha 19 de FEBRERO de 2024, en los autos caratulados: “WLADIMIRO WORONIECKI QUINTANA S/ SUCESIÓN INTESTADA” AÑO 2024, N° 25, por la cual cita y emplaza por sesenta (60) días a los herederos y acreedores de la sucesión del citado causante, para que se presenten a reclamar sus derechos. El expediente radica en la Secretaría No: 12 a mi cargo, sito en el Tercer Piso, Torre Sur, del Palacio de Justicia, ubicado en Alonso y Testanova, de ésta capital.- ASUNCION, 21 de Febrero de 2024 Se hace saber, al destinatario del presente edicto, que el mismo cuenta con el Código QR, por lo que para tener certeza de la validez del presente documento, deberá contar con el lector del Código QR, siendo innecesaria la autenticación manual por parte de la Actuaria del Juzgado, conforme a las Acordadas Nos: 1366/ 2020 y 1370/ 2020, ambas dictadas por la Excma. Corte Suprema de Justicia. Alicia María Mendez Rodriguez, Actuaria Judicial. 63885/04/03-

SUCESION. La Jueza de Paz en lo Civil y Comercial del Juzgado de Villa Elisa Del Único Turno de la Circunscripción Judicial de Central Abog. Martha Benitez Alderete, cita y emplaza por sesenta días a herederos y acreedores de la sucesión de CELINO CANDIDO GAUTO Villa Elisa, 15 de DICIEMBRE de 2023, Abog Veronica Benitez Cortaza , Actuaria Judicial. 63881/04/03-

SUCESION. El Juez de Primera Instancia en lo Civil y Comercial de Yuty - Caazapa, Dr. Miguel Angel Riquelme Irala, cita y emplaza por sesenta días a herederos y acreedores de la SUCESION: EUGENIO TABOADA, ANTONIA NUÑEZ, MANUEL VICENTE CABRERA, ISIDORA TABOADA y/o ISIDORA VDA. DE CABRERA. Yuty, 23 de febrero de 2024.- Ang. Carolina González. Actuaría Judicial Circunscripción Judicial Caazapá. 63925/04/03-

SUCESION. El Juez de Primera Instancia en lo Civil y Comercial de Yuty - Caazapa, Dr. Miguel Angel Riquelme Irala, cita y emplaza por sesenta días a herederos y acreedores de la SUCESION: MARGARITA LARRAMENDIA y/o MARGARITA LARRAMENDIA DUARTE  Yuty, 23 de febrero de 2024.- Ang. Carolina González. Actuaría Judicial Circunscripción Judicial Caazapá. 63928/04/03-

SUCESION. El Juez de Primera Instancia en lo Civil y Comercial del Octavo Turno, Abg. Walter Mendoza, cita y emplaza por sesenta días a herederos y acreedores de la sucesión de MIGUEL ANGEL LADISLAO RIOS ARZAMENDIA. ASUNCIÓN, 23 de febrero de 2024 Ante mí: OSCAR BAREIRO. (Actuario Judicial – Secretaría 15). 63931/05/03-

LUNES 26 FEBRERO DE 2024

Turn static files into dynamic content formats.

Create a flipbook
Issuu converts static files into: digital portfolios, online yearbooks, online catalogs, digital photo albums and more. Sign up and create your flipbook.