Revista Asfalto y Pavimentación Nº58 3º trimestre 2025

Page 1


Número 58 Volumen XV Tercer trimestre · 2025

ASFALTO Y PAVIMENTACIÓN

Director Juan José Potti

Comité de Redacción

María del Mar Colás, Andrés Costa, Jesús Felipo, Jacinto Luis García Santiago, Lucía Miranda, José Luis Peña, Ángel Sampedro, José Antonio Soto, Javier Loma, Marisol Barral

Secretario

Andrés Pérez de Lema

Coordinador

Francisco Muriel

Secretaría Lies Ober

Editorial Prensa Técnica, S. L. Castiello de Jaca, 29 3º Puerta 2 28050 Madrid

Tel. 91 287 71 95

Fax 91 287 71 94

Directo 629 877 460 www.asfaltoypavimentacion.com asfalto@asfaltoypavimentacion com

Suscripción anual (4 números)

España: 10 €

Extranjero: 12 €

ISSN: 2174-2189

Depósito Legal: M21967-2011

Prohibida la reproducción, total o parcial, de los contenidos aparecidos en esta publicación sin previa autorización por escrito

Las opiniones vertidas en esta revista son de responsabilidad exclusiva de sus autores, sin que Editorial Prensa Técnica, S L los comparta necesariamente

Editorial

Car reter as en estado crítico: el peaje invisible que pagamos todos

Tribuna

Car sten Karcher

Tribuna

José Luis Peña

Tribuna

Lucia Mir anda

Aplicación de un algoritmo de Inteligencia Artificial a mezclas asfálticas

Fer nando Mar tínez - Mar ina Cauhape CasauxLuis Zorzutti - Silvia Angelone

Maquinaria de Obra Equipos autónomos y automatizados

Estimación de la condición del pavimento a partir de datos de vehículos autónomos y conectados

David Llopis Castelló - Fr ancisco Javier Camacho Tor regrosa - Fabio Romer al Pérez - José Car los Valdecantos Álvarez - Pedro Tomás Mar tínez

Secciones fijas

Nor mativa, Mir ando al Pasado, Calendar io, Noticias del Sector, Resumen XIV Jor nada Técnica de ASEFMA, Aleas, Lectur as Recomendadas, Digitalización del Sector, Afimaciones Asfálticas

Carreteras en estado crítico: el peaje invisible que pagamos todos

En España, recorrer la red viaria empieza a convertirse en una metáfora incómoda: baches que se multiplican, grietas que serpentean como cicatrices y señales que ya no indican destinos, sino advertencias de peligro El último informe de la Asociación Española de la Carretera (AEC) revela una fotografía preocupante: más de la mitad de las carreteras presentan deterioros graves, y un tercio de la red 34 000 kilómetros necesita reconstrucción urgente Nunca en nuestra historia reciente, desde finales de los años 80, se había alcanzado semejante nivel de deterioro

El diagnóstico es demoledor. El déficit acumulado de conservación supera los 13 400 millones de euros, cifra récord que crece a un ritmo del 8% anual Las regiones de Aragón, Castilla-La Mancha y Galicia encabezan el ranking de la mala conservación, mientras que comunidades como Valencia, Madrid o Cataluña muestran una situación algo menos crítica Pero en conjunto, el panorama es desolador: si no se actúa con urgencia, en apenas cuatro años será necesario intervenir en más de 54 000 kilómetros, la mitad de toda la red española

Más allá de las estadísticas, la realidad se palpa en la vida diaria Conducir sobre un pavimento deteriorado no solo aumenta el riesgo de accidentes, también vacía los bolsillos: el informe calcula que solo este verano los conductores pagarán un sobrecoste superior a 270 millones de euros en combustible debido al mal e s t a d o d e l f i r m e U n a s f a l t o a g ri e t a d o i m p l i c a m á s consumo, más tiempo de viaje y, en consecuencia, más costes de transporte que terminan repercutiendo en el precio de los productos Cada bache, en definitiva, tiene un reflejo directo en la economía de familias y empresas

La gravedad de la situación amenaza además los grandes objetivos de país: la descarbonización, la mo-

vilidad segura y conectada, la resiliencia frente al cambio climático o la repoblación de la España vaciada. Incluso los compromisos europeos en materia de seguridad vial reducir a la mitad las víctimas de tráfico para 2030 podrían quedar en entredicho si seguimos circulando por carreteras del pasado en un tiempo que exige infraestructuras del futuro

La AEC plantea soluciones que van desde la creación de un fondo específico de conservación, nutrido con presupuestos públicos, fondos europeos y fórmulas de colaboración público-privada, hasta la eliminación de las exenciones fiscales que benefician a otros modos de transporte. Solo con una medida de equidad impositiva, como aplicar el impuesto de hidrocarburos también al ferrocarril, al transporte marítimo y aéreo, se podrían recaudar más de 4 000 millones de euros al año: suficiente para revertir el déficit en apenas tres ejercicios

Pero no todo son sombras La auditoría de 2025 inaugura una nueva etapa: por primera vez, el estado del pavimento se ha evaluado con tecnologías digitales e inteligencia artificial, multiplicando por diez la capacidad de inspección frente al método visual tradicional. Un salto cualitativo que no solo ofrece datos más precisos, sino que también abre la puerta a una gestión más eficiente, objetiva y moderna

El futuro de nuestras carreteras no depende únicamente de presupuestos o impuestos; depende de entender que cada kilómetro de asfalto es una arteria de cohesión social, de competitividad económica y de seguridad ciudadana. Ignorarlo es aceptar un peaje invisible que ya estamos pagando todos, cada día, con más coste y menos confianza

Hoy más que nunca, España necesita volver a asfaltar su futuro

Nada se pierde todo se recicla.

Para construir o reparar calzadas Probisa elabora soluciones alternativas como el reciclaje de la carretera “in situ”, la reutilización de residuos industriales y domésticos, o de los materiales de demolición. Las viejas carreteras ya no se pierden, y de este modo, ahorramos recursos naturales. Nuevas ideas hechas realidad. www.probisa.com

rep o construir Para re Nuevas modo este de y demolic de materiales os indust residuos de ación de el como tivas el Probisa calzadas parar ealidad. ahorramos o, viejas Las ción. y riales carretera la e labora a paso Abrimos ideas nuevas

Probisa Abrimos paso a nuevas ideas pi se Nada r se todo erde ecicla. recursos se no ya carreteras lo de o domésticos, reutiliza la situ”, “in alternat soluciones

Highlights from International Road Maintenance Day 2025

On 3 April 2025, the European Road Maintenance Forum (ERMF) brought together industry leaders, policymakers, and infrastructure experts to mark International Road Maintenance Day 2025 (IRMD) with a strong focus on proactive solutions Hosted by the European Asphalt Pavement Association (EAPA) and streamed live from Brussels, the event highlighted how t i m e l y a n d s t r a t

y

critical role in reducing CO₂ emissions and advancing Europe’s sustainability goals With speakers gathered i n p e rs o n a n d a g l o b a l a u d

n

reduction by 2030 and carbon neutrality by 2050, the transport sector – one of the largest CO₂ emitters –has a significant role to play Asphalt, covering more than 90% of Europe’s roads, has the potential to contribute meaningfully to these targets through wellplanned maintenance strategies and tailor made asphalt solutions. Research shows that smoother road surfaces can reduce fuel consumption and CO₂ emiss i o n s b y u p t

three million cars from circulation

Beyond reducing emissions, good road maintenance improves safety, increases travel distance of electric vehicles, cuts noise and vehicle repair costs, and fits into the circular economy – since asphalt is 100% reu-

, th e event attracted participants from more than 60 countries and featured interactive round tables, real-time audience engagement, and a live chat that encouraged meaningful exchanges T

gency to reduce emissions is central to both European and international policy With the EU targeting a 55%

sable However, maintenance is often delayed due to budget constraints

The ERMF online event on the International Road

Maintenance Day in 2025 opened space to explore t h e s e i s s u e s S p e a k e r s d i s c u s s e d h o w m a i n t e n a n c e could get more attention in policy, how innovation can be scaled, and how funding should support long-term planning The event made clear that maintenance is not just technical, it’s a strategic investment in the clean future of transport.

One of the highlights was the high level of interaction Participants asked insightful questions and shared ideas, leading to rich and lively exchanges Feedback was very positive, with many praising both the relevance of the topic and the quality of the discussion A full recording of the session is available online

more than we think Add to that a closer look at lowtemperature asphalt, and it becomes clear: the intersection of road maintenance, digitalisation, and environmental responsibility is not just relevant, it’s rapidly evolving

Throughout the session, speakers addressed realworld challenges and shared insights from across Europe Camino Arce Blanco from SEITT highlighted how i

adapting infrastructure for the decarbonisation of heavy-duty vehicles Christophe Nicodème from ERF focussed on the importance of proactive road maintance

Presentations explored how the green transition is reshaping national road networks, how cutting-edge innovations are changing the way road authorities tackle emerging challenges, and why the condition of our roads could be affecting both fuel bills and emissions

and safe mobility, while Dr Juan José Potti, founder of IRMD, stressed the need to adapt quickly in changing times Malcolm Simms from MPA Asphalt presented the latest findings of UK’s Alarm survey , and Steve Philips from CEDR shared perspectives from national

road authorities

International Road Maintenance Day is held every year on the first Thursday of April ERMF will continue to be a space for industry and policy to come together and move the conversation forward If you missed it live, you can still watch the full session on YouTube and hear the conversations first-hand – https://bit ly/43Ds6bg

Subscribe to the EAPA newsletter to stay informed about future events and updates from the industry –https://bit ly/3SJObyH

Córdoba

22 a 24 de octubre 2025

Colaboradores

VII Congreso Nacional

VII Nacional

Oro
Plata Bronce
Patrocinado por: Platino

La reutilización de asfalto recuperado.

Un

reto en marcha

@joluperd

La reutilización de asfalto recuperado acumula una e x p e ri e n c i a d e m á s d e t re s d é c a d a s e n E s p a ñ a c o n unos resultados globales que pueden valorarse como muy positivos

La red de carreteras española ha pasado a una fase de madurez, propia de países muy desarrollados, lo que implica que las necesidades de inversión se deban centrar en el mantenimiento de la red existente o en su adaptación a nuevos estándares exigidos por temas de seguridad o por el tráfico creciente en ciertas áreas específicas de nuestra geografía

La mayor proporción de obras de mantenimiento y re h a b i l i t a c i ó n d e l o s p a v i m e n t o s t a m b i é n g e n e r a cantidades crecientes de asfalto retirado que, o bien puede ser enviado a vertedero, o puede ser reciclado o reutilizado

El asfalto recuperado que está compuesto de betún (envejecido) y áridos es una importante fuente de materia prima para la construcción de pavimentos asfálticos Los análisis de ciclo de vida le asignan una de las mayores aportaciones en el proceso de descarbonización, como lo atestiguan diversos estudios publicados por NAPA en EE UU, EAPA o el realizado por Asefma bajo el titulo “Camino a la descarbonización” Las ventajas medioambientales procedentes de la reutilización del asfalto recuperado no solo se ciñen a la descarbonización, sino que también proporciona ventajas en categorías ambientales como el uso de recursos naturales

Por lo tanto, parece claro que la promoción de la reutilización de asfalto recuperado es una buena op-

ción en la aplicación del concepto de economía circular en la construcción y mantenimiento de las infraestructuras viarias Sin embargo, el uso de tasas crecientes de asfalto recuperado en las mezclas bituminosas exige extremar los cuidados en los procesos de generación del asfalto retirado, su gestión como residuo, su tratamiento y clasificación, así como sus efectos sobre el diseño de las mezclas asfálticas en las que la mayor tasa de reutilización puede exigir el uso de aditivos específicos que ayudan a activar el betún envejecido proporcionándole propiedades similares a las del betún virgen

El comité técnico de asefma identificó la necesidad de publicar un documento que recogiese todas estas prácticas recomendables para optimizar el potencial de reutilización del asfalto recuperado Con este objetivo se elaboró la Monografía 18 que tiene por título “Reutilización del asfalto recuperado procedente del fresado de pavimentos asfálticos. Guía de buenas prácticas”

Esta monografía se centra especialmente en aspectos técnicos y operativos relacionados con la extracción, recogida y tratamiento del asfalto retirado y del asfalto recuperado, pero también incluye un capítulo específico sobre temas legales y normativos, asunto que es de plena actualidad en estos momentos.

Como conclusión, el aumento de la reutilización del asfalto recuperado exige mayores controles en todo el ciclo de vida que afecta al residuo generado al demoler pavimentos asfálticos La monografía 18 puede ser un elemento de apoyo verdaderamente relevante en dicho objetivo

se transforma en

Juntos impulsamos tu futuro se trransfo ma en r n

Nuestros ligantes y betunes contribuyen a la economía circular y hacen que las carreteras sean más sostenibles, eficientes y duraderas.

Reconocimiento a los fundadores, asociados y gestores de ATEB

Asfalto

@lmiranda01

El acrónimo ATEB corresponde a Asociación Técnica de Emulsiones Bituminosas, y dentro de su título es importante destacar dos palabras “técnica” y “emulsión” por su importancia con el espíritu de la asociación

ATEB fue fundada en el año 2002 por un grupo de técnicos que formaban parte de diferentes empresas del sector entre las que se encontraban empresas fabricantes de emulsiones, aplicadores y suministradores de emulgentes Este grupo de “sabios” vieron la necesidad de unirse para crear un espacio de trabajo por el bien de la emulsión, para potenciar su empleo en las actividades de pavimentación con un enfoque principalmente técnico.

A lo largo de todos estos años, el trabajo de esta asociación se ha mantenido con el mismo objetivo con el que se fundó y con un reconocimiento dentro del sector de la pavimentación, conseguido todo ello con el esfuerzo tanto de las empresas fundadoras como de s u s a s o c i a d o s , a s í c o m o d e l o s g e s t o re s q u e c o n s u contribución han mantenido la actividad de la asociación

Uno de los pilares principales se basa en el desarrollo de documentación técnica generada dentro de los grupos de trabajo donde de manera desinteresada, los asociados participan con su “savoir faire” en la creación de documentos que describen procesos y actividades con las mejores respuestas prácticas a aplicar con el empleo de las emulsiones bituminosas para aplicaciones como: la reutilización del 100% del material bituminoso envejecido y extraído de la carretera, las

temperaturas de empleo, la importancia de las emulsiones de adherencia para conseguir firmes más duraderos, el empleo de microaglomerados en frío para mejorar las condiciones de seguridad de los usuarios de la carretera, el avance tecnológico en la mejora de las mezclas con el desarrollo de las mezclas templadas con emulsión, etc, son un ejemplo de las diversas posibilidades que puede ofrecer la emulsión para conseguir unas carreteras más duraderas y sostenibles

Importante es destacar la actividad de formación que a través de jornadas específicas que se llevan a cabo con universidades y administraciones, a los futuros profesionales, así como a técnicos del sector, se les explica las características principales de las emulsiones, así como sus aplicaciones.

Toda esta actividad técnica permite el desarrollo además de Jornadas Técnicas Nacionales organizadas cada dos años y donde la última celebrada en el año 2024 correspondió ya a la VI Jornada Nacional con un gran éxito de congregación

También es importante destacar la concienciación de la administración central por su apuesta por el empleo de las emulsiones bituminosas con la publicación en el año 2024 de la Orden Circular 1/2024 con una apuesta clara con la definición de las características, así como los requisitos a solicitar con la aplicación de técnicas con emulsión como los tratamientos superficiales de riegos con gravilla, las mezclas en frío y la grava emulsión sin olvidar el reciclado en frío in situ con emulsión

Para completar la importancia que está adquiriendo el empleo de la emulsión, destacar el proyecto que ac-

tualmente está llevando a cabo el Ministerio de Transportes y Movilidad Sostenible con el proyecto EFAPAVES donde existe una apuesta por el desarrollo tecnológico de aplicaciones con emulsión como los que se han propuesto realizar con mezclas templadas y reciclados en frío con emulsión, considerado un reto importante dentro de los objetivos de sostenibilidad

Es de agradecer que un grupo de “sabios” tomaran la iniciativa para conseguir que un producto como la emulsión bituminosa, adquiera un protagonismo como el que actualmente existe dentro del sector, afianzado por los requisitos de sostenibilidad y economía circular, y por ello desde ATEB seguimos trabajando para continuar con nuevos retos, mantener este espírit u y p a r a q u e s u l e g a d o c o n t i n u e d u r a n t e m u c h o s años con el mismo entusiasmo e interés por parte de todos los que contribuyen a ello

Aplicación de un algoritmo de Inteligencia Artificial a mezclas asfálticas

Fernando Martínez ermar@fceia unr edu ar Marina Cauhape Casaux mccasaux@fceia unr edu ar

Luis Zorzutti zorzutti@fceia unr edu ar

Silvia Angelone sangelon@fceia unr edu ar

El concepto denominado Mezclas Asfálticas Virtuales (MAVir) se desarrolla en la Universidad Nacional de Rosario como una nueva e innovadora concepción de las mezclas asfálticas MAVir es un conjunto de modelos matemáticos, ecuaciones y datos combinados y conectados para imitar y representar mezclas asfálticas como una aplicación de software que considera o analiza en forma digital o computarizada a la mezcla asfáltica mimetizando y sustituyendo a la mezcla física real Se espera utilizar Mezclas Asfálticas Virtuales para diseñar, probar y analizar diferentes composiciones y su influencia en sus propiedades, simular su comportamiento en diversas condiciones de tránsito y clima, aprender sobre los materiales asfálticos en un entorno digital controlado o desarrollar y perfeccionar nuevas tecnologías, reduciendo la necesidad de pruebas o ensayos de laboratorio o de campo En la actualidad, diferentes técnicas de Inteligencia Artificial (IA) se aplican en diversos problemas de ingeniería debido a su habilidad para el procesamiento, optimización y estimación de datos Este trabajo presenta un algoritmo de IA para la estimación del módulo dinámico y el ángulo de fase de mezclas asfálticas concluyéndose que el algoritmo es suficientemente potente para obtener estimaciones confiables con coeficientes de regresión entre valores medidos y estimados superiores al 80%

Palabras Clave: Inteligencia Artificial, Aprendizaje Automático, Propiedades Viscoelásticas, Predicción.

The concept known as Virtual Asphalt Mixtures (MAVir) is being developed at the National University of Rosario as a new and innovative approach to asphalt mixtures. MAVir is a set of mathematical models, equations, and data combined and connected to imitate and represent asphalt mixtures as a software application that considers or analyzes the asphalt mixture digitally or computerized, mimicking and replacing the real mixture. Virtual Asphalt Mixtures are expected to be used to design, test, and analyze different compositions and their influence on their properties; simulate their behavior under various traffic and weather conditions; learn about asphalt materials in a controlled digital environment; or develop and improve new technologies, reducing the need for laboratory or field testing. Currently, various Artificial Intelligence (AI) techniques are being applied to various engineering problems due to their ability to process, optimize, and estimate data This work presents an AI algorithm for estimating the dynamic modulus and phase angle of asphalt mixtures, concluding that the algorithm is sufficiently powerful to obtain reliable estimates with regression coefficients between measured and estimated values greater than 80%

Keywords: Artificial Intelligence, Machine Learning, Viscoelastic Properties, Prediction

INTRODUCCIÓN

El concepto denominado Mezclas Asfálticas Virtuales (MAVir) se viene desarrollando en la Universidad Nacional de Rosario como una nueva e innovadora concepción de las mezclas asfálticas

MAVir es un conjunto de modelos matemáticos, ecuaciones y datos combinados y conectados para imitar y representar mezclas asfálticas como una aplicación de software que considera o analiza en forma digital o computarizada a la mezcla asfáltica mimetizando y sustituyendo a la mezcla física real El desarrollo de Mezclas Asfálticas Virtuales es parte de una tendencia más amplia en la Ingeniería utilizando simulaciones y modelos por computadora para optimizar materiales, diseños y procesos de construcción que posibiliten mejorar la eficiencia y la durabilidad de los proyectos de infraestructura

Esta representación virtual tiene distintos objetivos entre los que se pueden destacar:

- Diseño y análisis: se pueden diseñar, probar y analizar diferentes composiciones de mezclas, evaluando cómo las diferentes granulometrías de agregados, tipos de ligantes y aditivos podrían afectar el desempeño y la durabilidad de la mezcla

- Simulación: se pueden utilizar en programas de simulación para modelar el comportamiento de los pavimentos asfálticos en diversas condiciones tales como cargas de tránsito, variaciones de temperatura y condiciones de humedad para predecir el comportamiento a largo plazo

- Formación: se pueden utilizar con fines educativ o s , p e r m i t i e n d o a e s t u d i a n t e s y p r o f e s i o n a l e s aprender sobre las propiedades y el comportamiento de los materiales asfálticos en un entorno digital controlado

- Investigación y desarrollo: se pueden desarrollar y perfeccionar nuevas tecnologías asfálticas, aditivos y métodos de diseño de pavimentos antes de realizar pruebas físicas reales en el laboratorio o en el campo

En este entorno, ya se han producido avances en modelos de predicción del comportamiento de mezclas asfálticas [1] en la caracterización de la estructura granular de las mismas mediante análisis de imágenes [2]

Para las mezclas asfálticas, el módulo dinámico |E*| y el ángulo de fase  son las propiedades viscoelásticas más importantes que caracterizan su comportamiento reológico El módulo dinámico es la principal propiedad del material utilizado como dato de entrada para los procedimientos modernos de diseño de pavimentos basados en principios mecanicistas porque determina la distribución de tensiones y deformaciones en la estructura del pavimento y puede correlacionarse con la fallas por fatiga y acumulación de la deformación permanente Por otra parte, el ángulo de fase es el parámetro que caracteriza el desfase entre la tensión aplicada y la respuesta de deformación en materiales viscoelásticos.

Convencionalmente, estas propiedades viscoelásticas dinámicas se determinan en el laboratorio utilizando equipos sofisticados y técnicos bien capacitados Cuando no se dispone de este equipamiento, el módulo dinámico puede estimarse mediante diferentes modelos predictivos en función de las propiedades volumétricas de la mezcla, su granulometría y las características del ligante asfáltico utilizado

Se han desarrollado varios modelos predictivos para estimar el módulo dinámico como una alternativa a los ensayos de laboratorio y los modelos más utilizados son el modelo predictivo de Witczak [3, 4], el modelo de Hirsch modificado [5] y el modelo Al-Khateeb [6]

Diferentes autores han evaluado estos modelos predictivos y, en general, concluyeron que se pueden obtener estimaciones confiables de primer orden del módulo dinámico utilizando estos procedimientos Menos atención ha recibido la predicción del ángulo de fase y solo unos pocos estudios de investigación han establecido modelos predictivos para esta propiedad viscoelástica para materiales asfálticos [7, 8, 9, 10, 11]

Más recientemente, las técnicas de Inteligencia Artificial (IA) se aplican en diferentes áreas tecnológicas imitando un comportamiento inteligente para gestionar cantidades masivas de información y tomar decisiones propias. Dentro de la IA, el Aprendizaje Automático (AA) (ó Machine Learning en inglés, ML) se aplica en diferentes tipos de problemas de ingeniería debido a sus capacidades en el procesamiento, optimización y estimación de datos Los algoritmos de AA utilizan métodos computacionales para "aprender" información directamente de

datos históricos o de la experiencia Los algoritmos de AA se han vuelto populares hoy en día porque pueden procesar y encontrar patrones naturales en grandes conjuntos de datos para tomar decisiones informadas basadas en mejores predicciones [12]

Muzzulini et al , [13, 14] han utilizado técnicas de Aprendizaje Automático para la predicción de deterioros de pavimentos asfálticos considerando la acción del tránsito y la interacción con otros deterioros de la superficie.

Chaabene et al [15] han revisado y comparado diferentes técnicas de AA utilizadas para pronosticar las propiedades mecánicas de materiales y estructuras de hormigón. El estudio de Khambra y Shukla [16] presenta el desarrollo y aplicación de técnicas de aprendizaje automático en concreto a base de cenizas volantes utilizando diferentes modelos, algoritmos y enfoques para predecir propiedades de ingeniería

Se aplicaron diferentes algoritmos y técnicas de AA en problemas de ingeniería como aumento de gradiente, K-Vecinos Cercanos y regresión de vectores de soporte para predecir la resistencia a la compresión del concreto [17] y algoritmos de árbol de regresión potenciada por gradiente (GBRT) para predecir el módulo de compresión de los suelos en cimientos geotécnicos [18] Se utilizaron también algoritmos de aprendizaje automático de redes neuronales, descenso de gradiente estocástico, máquina de vectores de soporte y árbol de decisión para predecir la profundidad de las heladas en pavimentos asfálticos [19]

En relación con las mezclas asfálticas sus ligantes, Martínez y Angelone [20] han utilizado técnicas de redes neuronales artificiales (RNA) para desarrollar un modelo de predicción del módulo dinámico de las mezclas asfálticas También se utilizó un algoritmo de AA llamado optimización basada en biogeografía (OBB) para desarrollar un procedimiento predictivo de |E*| con mejor precisión que los modelos empíricos [21]

Leiva-Villacorta y Vargas-Nordcbeck [22] han utilizado un modelo de red neuronal artificial (RNA) para estimar |E*| para mezclas asfálticas en Costa Rica

Reyes Ortíz et al [23] han aplicado tres técnicas de AA diferentes para predecir las propiedades reológicas de ligantes Se han utilizado distintos métodos de AA para la predicción de la estabilidad y la fluencia Marshall de

mezclas asfálticas [24]

Botella et al. han utilizado tres técnicas de AA diferentes para estimar el grado de actividad del ligante asfáltico recuperado de pavimentos asfálticos [25] Majidifard et al han empleado métodos innovadores de AA para predecir la energía de fractura de muestras de mezcla asfáltica [26]

Este artículo propone el algoritmo K-Vecinos Cercanos (K-NN por su designación en inglés K-Nearest Neigborgs) como método de Aprendizaje Automático para la predicción del módulo dinámico |E*| y el ángulo de fase  de mezclas asfálticas

El método K-NN se utilizó con éxito para la caracterización de la fisuración de pavimentos desgastados [27], el modelado de datos de ensayos de estabilidad Marshall [28] y la predicción del consumo de combustible de la maquinaria agrícola [29] Se considera que el algoritmo K-NN es simple de desarrollar, intuitivo para comprender su funcionamiento, suficientemente robusto para propósitos de predicción y que podría implementarse en una hoja de cálculo

El desarrollo del modelo K-NN para la estimación de las propiedades viscoelásticas de mezclas asfálticas, los resultados obtenidos y la evaluación de su desempeño predictivo se discuten en las siguientes secciones

2.DESCRIPCIÓN DEL ALGORITMO K-VECINOS CERCANOS (K-NN)

El algoritmo K-Vecinos Cercanos (K-NN) es un método de aprendizaje automático supervisado no paramétrico que se utiliza para problemas de regresión y clasific a c i ó n q u e u t i l i z a l a s i m i l i t u d d e c a r a c t e r í s t i c a s p a r a predecir el valor de cualquier punto de datos nuevo Se considera un algoritmo de aprendizaje “perezoso”, de bajo costo computacional y de implementación muy sencilla Es considerado “perezoso” porque trabaja memorizando datos de un conjunto de entrenamiento en lugar de desarrollar un modelo general El principio de este algoritmo se basa en la suposición intuitiva de que los objetos cercanos en distancia son potencialmente similares

El algoritmo K-NN requiere un conjunto de datos de entrenamiento que contenga una cantidad determina-

da de objetos con entradas (inputs) y salidas (outputs) Estos datos de entrenamiento son vectores en un espacio de características multidimensionales y los objetos son n variables de entrada (predictores) y m salidas como Xi = {xi1, xi2 xin, yi1, yi2, yim}

La Figura 1 muestra un ejemplo con solo dos predictores (inputs) denominados x1 y x2 Cada punto de datos tiene una sola salida y El punto 1 tiene entradas x11 y x21 y una salida y1. El punto 2 tiene entradas x21 y x22 y una salida y2, y así para todos los restantes puntos El valor de salida estimado yU para un nuevo punto de datos U con entradas xU1 y xU2 se calcula como un promedio ponderado de las distancias di y las salidas yi de los cuatro vecinos más cercanos si por ejemplo, K es 4

Figura 1 Ejemplo del algoritmo K-Vecinos Cercanos (K-NN)

El valor de K es un parámetro definido por el usuario que determina el número de vecinos más cercanos utilizados para realizar la predicción El algoritmo utiliza un promedio ponderado de los K vecinos más cercanos; el método más simple es utilizar el promedio de los K valores como predicción Sin embargo, de esa manera no se considera la distancia relativa de los vecinos al punto de interés donde se desea realizar la predicción. Por ello es lógico considerar que los casos más próximos deberían ser los mejores predictores y entonces tiene sentido aplicar una ponderación a los vecinos en función de su distancia al punto de interés de tal manera que los vecinos más cercanos contribuyan más a la predicción final que los vecinos más distantes Algunos

ejemplos de esta ponderación de distancia incluyen la inversa del cuadrado de la distancia o la exponencial negativa de la distancia Para la distancia di, la medida más comúnmente utilizada es la distancia euclidiana como la longitud geométrica de un segmento de línea entre dos puntos que se puede calcular a partir de las coordenadas cartesianas de los mismos

El rendimiento del algoritmo depende en gran medida del parámetro K. Un valor óptimo para K generalmente se determina empíricamente, mediante validación cruzada con diferentes valores de K y determinando cuál proporciona el error más bajo

3 MATERIALES Y PROCEDIMIENTOS

3 1 Datos de las mezclas asfálticas consideradas

Para el desarrollo del algoritmo se ha compilado una única base de datos a partir de combinar cuatro conjuntos de datos que han sido reportados en la literatura.

El primer conjunto de datos (denominado conjunto de datos Arizona) con 2183 datos fue desarrollado en la Universidad Estatal de Arizona por el Dr Witczak y sus colaboradores como parte del proyecto NCHRP 9 -19 [30] Este conjunto de datos contiene información de 57 diferentes mezclas asfálticas confeccionadas con ligantes convencionales, modificados y con adición de caucho

El segundo conjunto de datos (denominado conjunto de datos Maryland) con 2132 datos fue desarrollado en la Universidad de Maryland y fue usada para calibrar el modelo predictivo del módulo dinámico de mezclas asfálticas [31] El mismo contiene información de 41 mezclas asfálticas del tipo denso con ligantes asfálticos convencionales

El tercer conjunto de datos (denominado Virginia) con 985 datos fue desarrollado por el Dr Fintsch y colaboradores en el Instituto de Transporte Virginia Tech [32] Este conjunto contiene datos de 31 mezclas asfálticas del tipo concreto asfáltico para capas de base, intermedia y rodamiento elaboradas con ligantes convencionales

Finalmente, el cuarto conjunto de datos (llamado Florida) con 265 datos fue desarrollado por el Dr Birgisson y

colaboradores en la Universidad de Florida como parte del proyecto para implementar el módulo complejo para el estado de Florida [33] Este conjunto de datos contiene información de 27 distintas mezclas asfálticas elaboradas con distintas granulometrías y tipos de agregados

La Tabla 1 resume los principales parámetros de la estadística descriptiva de estos conjuntos de datos donde A y VTS: Parámetros de la relación Temperatura-Viscosidad de ligantes asfálticos; %Vb: Volumen de ligante; Va%: Contenido de vacíos: VAM: Vacíos del Agregado Mineral (%); RBV: Relación Betún-Vacíos (%); T: Temperatura; f: Frecuencia; |E*|: Módulo Dinámico; : Angulo de Fase.

3 2 Selección de predictores (inputs) del algoritmo

La selección de los parámetros considerados predictores para el algoritmo K-NN es básicamente intuitiva so-

bre la base de aquellos considerados como influyentes por la literatura en otros métodos de predicción. Los factores más citados que influencian las propiedades viscoelásticas de las mezclas asfálticas son la consistencia del lig a n t e a s f á l t i c o , l a s p r o p i e d a d e s v o l u m é t r i c a s y l a s condiciones de ensayo (temperatura y frecuencia)

A partir de los parámetros A y VTS de la relación logarítmica de la norma ASTM D2493 [34], la viscosidad del ligante asfáltico se calculó como:

donde Visc: viscosidad del ligante en cP; T: temperatura en °Rankine

Considerando que los modelos de Witczak y Hirsch son los más popularmente adoptados como modelos de Tabla 1 Estadística descriptiva de los conjuntos de datos

predicción del módulo dinámico [35], los inputs finalmente adoptados para el desarrollo del algoritmo fueron log(Visc), VAM, RBV, T y f y los outputs, |E*| y 

3 3 Sub-conjuntos de datos

Para el desarrollo del algoritmo K-NN, el conjunto de datos debe ser dividido en dos subconjuntos denominados de entrenamiento y de validación.

El sub-conjunto de entrenamiento es utilizado por el algoritmo para basar sus predicciones en tanto que el sub-conjunto de validación se utiliza para valorar el rendimiento del algoritmo con datos que no se han usado en el entrenamiento [36] Entonces la totalidad de los datos disponibles fue reordenada de una manera aleatoria y dividida en los dos sub-conjuntos resultando que el 75 % de los datos (4174 inputs y outputs) corresponden al entrenamiento y el 25% de datos restantes (1394 inputs y outputs) fueron considerados para la validación

El algoritmo fue implementado en una hoja de cálculo Excel donde, para un dado grupo de inputs del subconjunto de validación, fueron automáticamente calculados los valores estimados de los outputs |E*| y 

3 4 Valor óptimo de K

La elección del parámetro K es importante porque influye en el rendimiento predictivo del modelo Si K es pequeño entonces la variabilidad de las predicciones puede ser alta, pero también las predicciones podrían basarse en puntos que están relativamente lejos de nuestro punto de interés si K es grande [37]

Un valor óptimo de K generalmente se determina empíricamente mediante un procedimiento de validación cruzada con diferentes valores de K y determinando cuál proporciona el error más bajo El error cuadrático m e d i o n o r m a l i z a d o ( N R M S E ) , q u e s e m u e s t r a e n l a

Ecuación 2, se eligió para valorar el rendimiento relativo del algoritmo con diferentes valores de K

donde N: número de casos en el conjunto de datos; |E*|i y i: valores medidos de |E*| y  para el caso i-ésim o d e l c o n j u n t o d e d a t o s ; | E * | e s t y  e s t : v a l o r e s

estimados de |E*| y  para el i-ésimo caso del conjunto d e d a t o s ; | E * | m e d i o y  m e d i o : p r o m e d i o d e l o s v a l o r e s medidos de |E*| y  en el conjunto de datos

La Figura 2 muestra la variación del error cuadrático medio normalizado (NRMSE) en función del número de Vecinos Cercanos K. Se seleccionó el valor óptimo de K igual a 6 que es el que proporciona el valor NRMSE mínimo igual a 0 532

4. RESULTADOS Y DISCUSIÓN

Mediante la aplicación del algoritmo se han calculado los valores estimados de |E*| y  para todos los datos incluidos en el sub-conjunto de validación Estos valores estimados se compararon con los respectivos valores medidos a fin de evaluar la dispersión de los mismos a lo largo de la línea de igualdad (LDI).

Figura 2 Variación de NRMSE en función del número de Vecinos Cercanos K

La Figura 3(a) muestra la comparación de valores de |E*| medidos (|E*|med) y estimados (|E*|est) en un espacio aritmético en tanto que la Figura 3(b) presenta la misma comparación en un espacio bi-logarítmico

Los puntos de datos se ubican a lo largo de la línea de igualdad LDI en una banda relativamente estrecha y se distribuyen a ambos lados de la misma sin un sesgo notable Se observa que los valores más dispersos son

Figura 3 Comparación de valores medidos y estimados del módulo dinámico |E*|

los que corresponden al conjunto de datos de Arizona con ubicaciones más alejadas respecto a la LDI Se ha analizado la relación entre los valores estimados y medidos para determinar la intersección, la pendiente y el error relativo medio (MRE) para la totalidad de puntos representados. El MRE se calculó como:

con Xmed: |E*| o  medido; Xest: |E*| o  estimado

Los valores representados en la Figura 3(a) muestran un bajo valor para la intersección (930 MPa) y una pendiente cercana a la unidad (0 92) con un MRE igual al 33%

La Figura 4 muestra la comparación de valores medidos y estimados del ángulo de fase  Igualmente que para el módulo dinámico, los valores representados de  se ubican a lo largo de la LDI, distribuidos a ambos lados de la misma y sin un sesgo apreciable. La intersección es de sólo 3 4° con una pendiente también cercana a la unidad (0 85) con un error relativo medio igual al 17% Estas estimaciones tanto para |E*| como para  pueden calificarse como muy buenas si se las compara con otras similares reportadas por otros investigadores [38, 39]

Figura 4. Comparación de valores medidos y estimados del ángulo de fase 

Para evaluar el desempeño general del algoritmo, se evaluó la “bondad del ajuste” en la correlación entre valores medidos y estimados usando criterios estadísticos subjetivos basados en el coeficiente de regresión R2 y la relación entre el error estándar de los valores medidos y la desviación estándar de los valores medidos Se/Sy

El coeficiente de correlación, R2, es una medida de precisión del algoritmo. Cuanto mayor sea el valor de R2, mejor será la calidad de la estimación La relación Se/Sy es una medida de la mejora en la precisión de la estimación debida al algoritmo predictivo Cuanto menor sea la relación Se/Sy, más variación en los valores del módulo dinámico con respecto a su media se puede explicar mediante el algoritmo predictivo y en consecuencia, me-

Tabla 2 Criterio subjetivo de “bondad de ajuste”

jor será la estimación.

Singh et al [40] y Pellinen [41] han propuesto el criterio de valoración que se muestra en la Tabla 2

La Tabla 3 presenta la evaluación de la calidad de la estimación con el algoritmo K-NN de |E*| y  de acuerdo con este criterio subjetivo

riores a 0.74 y relaciones Se/Sy menores a 0.45.

Como se observó en la Figura 3, el subconjunto de datos Arizona es el más disperso con el menor valor de R2 comparado con los restantes sub-conjuntos de datos

Se ha realizado también un análisis de varianza ANOVA para determinar si hay una diferencia significativa en

Tabla 3 Evaluación del desempeño del algoritmo K-NN

La calidad del algoritmo para estimar a |E*| varía entre Excelente y Bueno con R2 superiores a 0 85 en todos los casos y relaciones Se/Sy significativamente menores a 0 37

Para el ángulo de fase , la calidad de las estimaciones también varía entre Bueno y Excelente con R2 supe-

los promedios de las estimaciones del módulo dinámico y el ángulo de fase Los resultados de este análisis con un nivel de confianza del 95% se muestran en la Tabla 4

En ambos casos el valor de F es notablemente menor que el F crítico lo que permite inferir que los promedios de las estimaciones de |E*| y  son estadísticamente

Tabla 4 Análisis ANOVA para |E*| y 

iguales con un nivel de confianza del 95%

Finalmente, la Figura 5 muestra el espacio de Black (|E*| - ) para la totalidad de los valores medidos y estimados del sub-conjunto de validación

Los valores estimados responden a la misma tendencia que los valores medidos con un trazado de tipo parabólico y con una notable superposición sin desviaciones notables

Finalmente, una mejor estimación de valores depende en gran medida de la calidad de los datos de entrada ya que el algoritmo no tiene capacidad para mejorar las dispersiones que pudieran tener los valores medidos asociadas a errores experimentales casuales o sistemáticos de la metodología experimental de medición utilizada

5 CONCLUSIONES

El concepto denominado Mezclas Asfálticas Virtuales (MAVir) se viene desarrollando en la Universidad Nacional de Rosario como una nueva e innovadora concepción de las mezclas asfálticas

MAVir es un conjunto de modelos matemáticos, ecuaciones y datos combinados y conectados para imitar y representar mezclas asfálticas como una aplicación de software que considera o analiza en forma digital o computarizada a la mezcla asfáltica mimetizando y sustituyendo a la mezcla física real En ese marco, el desarrollo de procedimientos que permitan estimar propiedades de

las mezclas asfálticas es un apartado importante dentro de ese concepto.

Por otra parte, las técnicas de Inteligencia Artificial (IA) y de Aprendizaje Automático (AA) (ó Machine Learning en inglés, ML) se están aplicando en diferentes campos de ingeniería debido a sus capacidades en el procesamiento, optimización y estimación de datos

En este artículo, se utilizó el algoritmo K-Vecinos Cercanos (K-NN) de Aprendizaje Automático para predecir las propiedades viscoelásticas de mezclas asfálticas a partir de las características del ligante asfáltico, las propiedades volumétricas de la mezcla y las condiciones de ensayo.

La principal ventaja del algoritmo K-NN sobre otros procedimientos de predicción convencionales es su capacidad para formular predicciones sin presunciones, simplificaciones o consideraciones empíricas sobre la relación entre sus diferentes factores de influencia

El algoritmo K-NN se ha implementado en una hoja de cálculo de Excel utilizando una base de datos compilada a partir de cuatro conjuntos de datos diferentes reportados en la literatura con más de 5500 conjuntos de datos Se adoptó un valor de K igual a 6 produciendo el NRMSE mínimo En general, los resultados obtenidos muestran que el algoritmo funciona muy bien para el conjunto de datos completo con coeficientes de regresión R2 mayores a 0,89 para los valores de |E*| y de 0,84 para los valores de 

Según un criterio estadístico para calificar al algoritmo respecto a la calidad de las estimaciones del módulo dinámico |E*|, resultó que la misma varía entre Excelente y Bueno con R2 superiores a 0 85 en todos los casos y relaciones Se/Sy significativamente menores a 0 37

Para el ángulo de fase , la calidad de las estimaciones también varía entre Bueno y Excelente con R2 superiores a 0 74 y relaciones Se/Sy menores a 0 45

Finalmente, se concluye que el algoritmo K-Vecinos Cercanos (K-NN) es capaz de proporcionar estimaciones suficientemente precisas y robustas de |E*| y  para ser utilizadas en el diseño de mezclas asfálticas, evaluación de las mismas o en procedimientos de diseño de pavimentos basados en principios empíricos-mecanicistas

Figura 5. Espacio de Black de valores medidos y estimados

Aplicación de un algoritmo de Inteligencia Artificial a mezclas asfálticas

AGRADECIMIENTOS

Esta investigación recibió financiamiento de la Universidad Nacional de Rosario en el marco del Proyecto de Investigación acreditado 80020220700227UR “Diseño Balanceado de Mezclas Templadas con Emulsión Asfáltica”

7. BIBLIOGRAFÍA

[1] M a r t í n e z , F O , A n g e l o n e , S M , G i o v a n o n , O (2009) Un modelo de estimación del módulo dinámico de mezclas asfálticas utilizando redes neuronales XV Congreso Ibero Latinoamericano del Asfalto, Lisboa (Portugal)

[2] Zorzutti, L Muzzulini, R , Cauhapé Cassaux, M , Angelone, S (2022) Análisis por imágenes de mezclas asfálticas para su control expeditivo XXI Congreso Ibero Latinoamericano del Asfalto, Punta del Este, Uruguay. pp. 1770-1783.

[3] Andrei, D , Mirza, W and Witczak, M W (1999) Development of a Revised Predictive Model for the Dynamic (Complex) Modulus of Asphalt Mixtures

NCHRP Report 1-37A

[4] Bari, J and Witczak, M W (2006) Development of a New Revised Version of the Witczak E* Predictive Model for Hot Mix Asphalt Mixtures. Journal Association of Asphalt Paving Technologists: 75, 381424

[5] C h r i s t e n s e n , D W, P e l l i n e n , T , B o n a q u i s t , R F (2003). Hirsch Model for Estimating the Modulus of Asphalt Concrete Journal Association of Asphalt Paving Technologists: 72, 97-121

[6] Al-Khateeb G , Shenoy A , Gibson N , and Harman T ( 2 0 0 6 ) A N e w S i m p l i s t i c M o d e l f o r D y n a m i c

Modulus Predictions of Asphalt Paving Mixtures

Journal of the Association of Asphalt Paving Technologists: 75, 1254–1293.

[7] P i c a d o - S a n t o s , L , C a p i t a o , S D a n d P a i s , J C (2003) Stiffness modulus and phase angle prediction models for high modulus bituminous mixtures

International Journal of Pavements: Volume 2, issue 3

[8] Biligiri, K P , Kaloush, K , and Uzan, J (2010) Eva-

luation of asphalt mixtures' viscoelastic properties using phase angle relationships. International Journal of Pavement Engineering, 11(2), 143-152

[9] Naik, A K and Biligiri, K P (2014) Predictive Models to Estimate Phase Angle of Asphalt Mixtures

Journal of Materials in Civil Engineering: Volume 27, Issue 8

[10] Yang, X , and You, Z (2015) New Predictive Equations for Dynamic Modulus and Phase Angle Using a Nonlinear Least-Squares Regression Model Journal of Materials in Civil Engineering: 27(3)

[11] Venudharan, V and Biligiri, K P (2015) Estimation of phase angles of asphalt mixtures using resilient modulus test Construction and Building Materials: Volume 82, 274-286

[12] J u s t o - S i l v a , R , F e r re i r a , A a n d F l i n t s c h , G (2021) Review on Machine Learning Techniques for Developing Pavement Performance Prediction Models Sustainability: 13, 5248

[13] M u z z u l i n i , R . , P

, M . , G

, O . (2019) Application of machine learning techniques to predict asphalt pavement surface deteriorations Bituminous Mixtures and Pavements VII, 1st Edition, ISBN 9781351063265

[14] G i o v a n o n O , M u z z u l i n i , R , P a g o l a , M (2019) Prediction of each road deterioration considering traffic and the interaction with other surface deteriorations, using automated learning machin e t e c h n i c s V I I I I n t e r n a t

n Computational Methods for Coupled Problems in Science and Engineering (COUPLED 2019) Sitges, Spain

[15] C h a a b e n e , W B , F l a h , M , N e h d i , M L (2020) Machine learning prediction of mechanical properties of concrete: Critical review Construction and Building Materials: 260(7), 1-18

[16] Khambra, G , Shukla, P (2021) Novel machine learning applications on fly ash based concrete: A n o v e r v i e w M

: 80(6245)

[17] Beskopylny, A N , Stelmakh, S A , Shcherban, E M , Mailyan, L R , Meskhi, B , Razveeva, I , Chernilnik, A , Beskopylny, N (2022) Concrete Strength Prediction Using Machine Learning Methods Cat-

Boost, k-Nearest Neighbors, Support Vector Regression. Appl. Sci. 12, 10864.

[18] Zhang, D , Hang, J , Zhang, H, Huang, C , Qi, C , Chang, E (2020) Machine learning-based prediction of soil compression modulus with application of 1D settlement Journal of Zhejiang Univers i t y - S c i e n c e A ( A p p l i e d P h y s i c s & E n g i n e e ri n g ) : 21(6):430-444

[19] Choi, H.J., Kim, S., Kim, Y., Won, J. 2022. Predicting Frost Depth of Soils in South Korea Using Machine Learning Techniques Sustainability: 14, 9767

[20] Martínez, F., Angelone, S. (2010). The estimation of the dynamic modulus of asphalt mixtures using Artificial Neural Networks 11th International Conference on Asphalt Pavements: Volume 1, 354363

[21] Behnood, A , Golafshan, E M (2021) Predicting the dynamic modulus of asphalt mixture using m a c h i n e l e a r n i n g t e c h n i q u e s : A n a p p l i c a t i o n o f multi biogeography-based programming Construction and Building Materials, Volume 266, Part A

[22] Leiva-Villacorta F and Vargas-Nordcbeck, A (2019) Neural network based model to estimate dynamic modulus E* for mixtures in Costa Rica J Soft Comput Civ Eng: 3(2):01–15

[23] Reyes-Ortiz, O. J., Alvarez, A, E. and UsecheCastelblanco, J S (2022) Aplicación de técnicas de machine learning para la predicción de propiedades reológicas para asfaltos modificados Proceedings of the XXI Congreso Ibero Latinoamericano del Asfalto Uruguay

[24] Gul, M A , Islam, M K , Awan, H H , Sohail, M , Al Fuhaid, A F , Arifuzzaman, M , Qureshi, H J (2022) Prediction of Marshall stability and Marsh a l l f l o w o f a s p h a l t p a v e m e n t s u s i n g s u p e r v i s e d

Machine Learning algorithms Symmetry: 14, 2324

[25] Botella, R., Lo Presti, D., Vasconcelos, K. et al. (2022) Machine learning techniques to estimate the degree of binder activity of reclaimed asphalt pavement Materials and Structures: 55, 112

[26] M a j i d i f a rd , H , J a h a n g i ri , B , B u t t l a r, W G , Alavi, A H (2019) New Machine Learning-based Prediction Models for Fracture Energy of Asphalt

Mixtures Measurement: 135, 438–451

[27] Ibrahim, A., Osman, M. K. Yusof, N.A., Ahmad, K , Harun, N H , Raof R A (2019) Characterization of cracking in pavement distress using image processing techniques and k-Nearest neighbour I n d o n e s i a n J o u

Computer Science Vol 14, No 2, pp 810-818

d

[28] A k s o y, A , I s k e n d e r, E , K a h r a m a n , H T (2012). Application of the intuitive k-NN Estimator for pre-diction of the Marshall Test (ASTM D1559) results for asphalt mixtures Construction and Building Materials, 34, pp 561–569

[29] Al-Dosary, N. M. N, Al-Hamed, S. A., Aboukarima, A M (2019) K-Nearest Neighbors method for prediction of fuel consumption in tractor-chisel p l o w s y s t e m s E n g A g r i c ( O n l i n e ) : 3 9 ( 6 ) , 729–736

[30] Witczak, M (2005) NCHRP Project No 9-19, Superpave Support and Performance Models Management, Database Dynamic Modulus (E*) Test and Master Curves (AC Mixture Simple Performance Test) Final Report

[31] Witczak, M W , Fonseca, O A (1996) Revised Predictive Model for Dynamic (Complex) Modulus of Asphalt Mixtures Transportation Research Record: 1540 (1), 15–23

[32] Fintsch, G., Loulizi, A., Diefenderfer, S. D., Galal, K A , Diefenderfer, B K (2007) Asphalt Materials Characterization in Support of Implementation of the Proposed Mechanistic-Empirical Pavement Design Guide. Report No.: VTRC 07-CR10, Virginia Tech Transportation Institute

[33] Birgisson, B , Roque, R , Kim, J , Pham, L J (2004) The use of complex modulus to characterize the performance of asphalt mixtures and pavements in Florida UF Project No : 4910-4504-78412, Department of Civil and Coastal Engineering, College of Engineering, University of Florida.

[34] ASTM International (2009) ASTM D2493 Standard Viscosity–Temperature Chart for Asphalts A m e r i c a n S o c i e t y f o r Te s t i n g a n d M a t e r i a l s , Pennsylvania, USA

[35] Zhang, C , Shen, S (2017) Modification of the Hirsch dynamic modulus prediction model for

asphalt mixtures Journal of Materials in Civil Engineering, 29(12): 04017241.

[36] Imandoust, S B , Bolandraftar, M (2013) Application of k nearest neighbor (KNN) approach for p r e d i c t i n g e c o n o m i c e v e n

: t h e o r

l b a c kground International Journal of Engineering Research and Applications: 3(5) 605-610

[37] Seman, P , Shoop, S , McGrath, Rollings, R ( 2 0 0 6 ) . S o i l s t r e n g t h p r e d i c t i o n w i t h K - n e a r e s t neighbour method Proceedings of the 59th Canadian Geotechnical Conference Canadian Geotechnical Society

[38] Tran, N., Hall, K. (2005). Evaluating the Predictive Equation in Determining Dynamic Moduli of Typical Asphalt Mixtures Used in Arkansas Journal of the Association of Asphalt Paving Technologists, 74, 1–17

[39] Abdo, A , Bayomy, F , Nielsen, R , Weaver, T , Jung, S (2009) Prediction of the Dynamic Modulus of Superpave Mixes. Proc., 8th International Conference on the Bearing Capacity of Roads, Railways and Airfields 305–314

[40] Singh, D , Zaman, M , Commuri, S (2011) E v a l u a t i o n o f p r e d i c t i v e m o d e l s f o r e s t i m a t i n g dynamic modulus of Hot-Mix Asphalt in Oklahoma Transportation Research Record, 2210, 57-72

[41] Pellinen TK. (2001), Investigation of the Use of Dynamic Modulus as an Indicator of Hot-Mix A s p h a l t P e

State University, Tempe, Arizona

ASTM- D8225 Índice de resistencia a la fisuración de MB mediante el ensayo de fisuración por

tracción indirecta a temperatura

intermedia

Métodos de ensayo para mezclas bituminosas en caliente

Javier Loma, javierloma@padecasa com

Padecasa

1 OBJETO Y PRINCIPIO DEL ENSAYO

Determinación de la resistencia a la fisuración en mezclas bituminosas a partir del análisis de la curva de carga-desplazamiento del ensayo de rotura a tracción indirecta a una temperatura predefinida.

2 MÉTODO OPERATIVO

El ensayo puede ser realizado con probetas de laboratorio y/o con testigos extraídos de la obra

2.1 Preparación de las probetas.

2 1 1 Probetas de laboratorio

Se utilizan probetas con diámetro 150±2 mm y espesor 62±1 mm.

La mezcla debe acondicionarse antes de la compactación manteniéndolas durante 4 horas en estufa a 135 ºC (AASTHO R30)

Se ensayan un mínimo de 3 probetas con un porcentaje de huecos de ±0,5% respecto al teórico fijado

El valor habitual de huecos en mezcla utilizado es del 7 %.

2 1 2 Muestras extraídas del pavimento

Deben tener el diámetro de 150±2 mm, un espesor mínimo de 38 mm y las paredes de corte deben ser perpendiculares a las caras del testigo

Se ensayan un mínimo de 3 testigos

2 2 Procedimiento

Acondicionar las probetas a la temperatura de ensayo ±1 ºC durante 2 horas ±10 min.

La temperatura de ensayo que recomienda la norma es de 25ºC aunque se puede determinar el valor intermedio a la que va a estar sometido el pavimento en la zona de aplicación y realizar el ensayo a otras temperaturas

Insertar la probeta y centrar correctamente en el dispositivo de ensayo,

Aplicar la carga a la velocidad normalizada de 50±2 mm/min y terminar cuando la carga sea inferior a 100 N, registrando los valores de carga y desplazamiento en 40 puntos por segundo.

El tiempo máximo de ensayo de cada probeta es de 4 minutos

2 3 Resultados

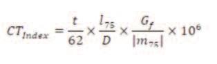
El resultado obtenido como índice de resistencia a la fisuración (CTindex) se calcula con la siguiente ecuación:

ASTM- D8225 Índice de resistencia a la fisuración de MB mediante el ensayo de fisuración por tracción indirecta a temperatura intermedia

Donde:

- CTIndex índice de resistencia a la fisuración.

-Gf E n e r g í a d e r o t u r a ( e x p r e s a d a e n

J/m2) La energía de rotura se calcula a partir del trabajo de rotura Wf (el área bajo la curva expresada en Julios) dividida por la sección transversal de la probeta D x t

-|m75| Valor absoluto de la pendiente postpico (expresada en N/m) La pendiente se calcula mediante la siguiente ecuación utilizando una regresión lineal con todos los puntos entre P85 (l85) y P65 (l65)

- l75 Desplazamiento al 75% de la carga postpico (expresado en mm)

- D Diámetro de la probeta (en mm)

- t Altura de la probeta (en mm)

El CTIndex se calcula como el promedio de los índices obtenidos en cada probeta

3 EQUIPAMIENTO

Para la realización del ensayo se precisan los siguientes equipos:

• P re n s a d e ro t u r a a t r a c c i ó n i n d i re c t a c a p a z d e mantener constante una velocidad de deformación d e 5 0 ± 2 m m / m i n y c o n c a p a c i d a d m í n i m a d e 25kN.

• Bastidor de ensayo con dos bandas de carga Hay dos opciones (A y B) en función de la estructura y tipología de dispositivo empleado

• Cámara de acondicionamiento.

• Compactador giratorio

• Dispositivo de desplazamiento interno y/o externo con una resolución de 0,01 mm

• Sistema de adquisición de datos de tiempo, carga y deformación Los datos se recopilan a un mínimo de 40 puntos de muestreo por segundo

• Elementos habituales de laboratorios de ensayo: baño, sierra, estufas, etc

4 PUNTOS CRÍTICOS

Los resultados del ensayo dependen del procedimiento de acondicionamiento previo de la mezcla empleado para la posterior fabricación de las probetas

Es importante que los equipos se encuentren perfectamente calibrados y cumplan los requisitos que se indican en la norma

Figura 1 Curva de rotura de ensayo
Figura 2 Bastidor de ensayo

5 COMENTARIOS

El ensayo permite obtener información importante para conocer propiedades relevantes de las mezclas fabricadas, en mayor grado por su relevancia para mezclas bituminosas con tasas medias y altas de material fresado

Generalmente, cuanto mayor sea el CTIndex mayor será la resistencia a la fisuración y por lo tanto mejor su comportamiento

En el grupo de trabajo de ensayos de mezclas con materiales fresado de Aleas se ha realizado un Procedimiento Experimental introduciendo algunos cambios en el desarrollo del ensayo En los trabajos realizados por el GT se han utilizado probetas con diámetro de 101±2 mm, fabricadas con el compactador de impacto UNE EN 12697-30 y aplicando 75 golpes por cada cara, lo que ha requerido la modificación de la forma de las bandas de carga En los trabajos realizados se ha util i z a d o m e z c l a r e c a l e n t a d a h a s t a l a t e m p e r a t u r a d e compactación

6 ESPECIFICACIONES

En la actualidad no se dispone de especificaciones ni recomendaciones para este método de ensayo en España

7 BIBLIOGRAFÍA

• UNE-EN 12697-30 Compactador impacto.

• UNE-EN 12697-31 Compactador giratorio

• AASTHO R30 Acondicionamiento de mezcla asfáltica en caliente

El ensayo permite determinar la resistencia a la fis u r a c i ó n d e l a s m e z c l a s b i t u m i n o s a s e n p r o b e t a s a partir de un ensayo de tracción indirecta Se elimina la manipulación de las probetas con la realización de cortes o fisuras inducidas (ensayos de medición de la energía de rotura de las mezclas bituminosas) Se requiere en todos los casos realizar un proceso de envejecimiento previo a la mezcla antes de la compactación de las probetas

Figura 3 Posición de rotura Ideal CT

Novedades en la maquinaria de obra

Equipos autónomos y automatizados

Andrés Pérez de Lema

La robotización de las máquinas, la capacidad de autogestionarse, de recargar y de suplantar al operador, está en franco desarrollo para un gran número de tareas

La falta de mano especializada en nuestro sector, observa estos adelantos como una alternativa al relevo generacional que no llega

En las últimas ferias internacionales hemos podido asistir a las presentaciones de equipos como los que detallamos a continuación Estos primeros robots son sólo un adelanto de lo que está por venir

Aún no ha llegado el momento en el que la máquina pueda prescindir del ser humano, pero de momento quizá sirva para atraer hacia nuestra actividad a trabajadores que nunca antes se plantearon trabajar con maquinaria en una obra

Rumbo a la conducción autónoma Estudio de diseño del rodillo autopropulsado ROBOMAG BW 177.

Boppard, a 24.10.2022: BOMAG, en bauma 2019, ya enseñó un rodillo tándem totalmente autónomo como estudio de futuro. En esta línea, esta empresa con sede en Boppard, en Renania-Palatinado, presenta como primicia para la bauma 2022 de Múnich el modelo de máquina ROBOMAG BW 177, un rodillo autopropulsado como estudio de diseño

E l r o d i l l o a u t o p r o p u l s a d o R O B O M A G B W 1 7 7 cumple la misión de demostrador tecnológico que incorpora todos los subsistemas creados, probados y necesarios para llegar a un funcionamiento totalmente autónomo En líneas generales, esta máquina tiene prevista una forma de utilización flexible, con un control manual o autónomo en función del cometido o la situación en la obra El diseño innovador y estilizado de ROBOMAG asegura la operación del rodillo autopro-

pulsado también en situaciones en que haya poco espacio en la obra

El estudio de diseño ROBOMAG BW 177 se presenta en la bauma con un equipamiento y una interfaz de automatización ya operativos: Gracias al control remoto de campo cercano, el conductor siempre tiene la máquina a la vista y puede controlar este pesado equipo desde una distancia segura en los entornos críticos y, a la vez, obtener los resultados deseados El entorno de la obra está protegido adicionalmente por un sistema de detección de obstáculos Los dos sistemas – el control remoto inalámbrico y la detección de obstáculos –están ya disponibles para los rodillos autopropulsados convencionales y, después de la bauma, se irán introduciendo progresivamente en los diversos modelos de rodillos autopropulsados de BOMAG

La primera fase en la vía hacia la conducción autónoma está constituida por la interfaz de automatización incorporada en la máquina, un programa especial que se puede ampliar con diversas tecnologías y niveles hasta llegar a un rodillo autopropulsado con una conducción totalmente autónoma El software de ROBOMAG permite ya hoy establecer una conexión con un mando a distancia En una segunda fase, la máquina se podrá controlar sin contacto visual, por ejemplo, por parte de una persona ubicada en una oficina Esta máquina controlada desde una oficina ya es factible desde el punto de vista técnico y el rodillo autopropulsado ROBOMAG ya está listo para este escenario de uso

La última fase de consolidación representa un rodillo autopropulsado totalmente autónomo con un control que funcione sin intervención humana, únicamente mediante un control informatizado BOMAG, con el estudio de diseño ROBOMAG BW 177 y todos los sistemas de seguridad necesarios, va preparando paso a paso la máquina en su conjunto para que sea posible

técnicamente ir conectando diferentes tipos de controles, hasta llegar al rodillo autopropulsado totalmente autónomo. Para la última fase de consolidación se requiere una tecnología de seguridad con una certificación muy superior, como p ej desconexiones automát i c a s , s i s t e m a s d e c á m a r a s e s p e c i a l e s , e t c y u n o s sistemas con una garantía absolutamente confiable que excluyan todos los potenciales riesgos de seguridad Aún no se reúnen todas condiciones marco legales y normativas para todas las fases de expansión de la cond u c c i ó n a u t ó n o m a , p e ro , n o o b s t a n t e , B O M A G y a ofrece con el ROBOMAG BW 177 una base orientada al futuro y al presente, con tecnologías como la detección de obstáculos y equipamientos que ya se utilizan de serie en otros rodillos autopropulsados de BOMAG

ROBOMAG: El rodillo tándem totalmente automático como estudio prospectivo de BOMAG

Boppard, a 09.04.2019. ROBOMAG, así se llama el rodillo tándem totalmente automatizado que BOMAG ha creado como estudio tecnológico ROBOMAG se basa en el resultado de las investigaciones llevadas a cabo por BOMAG en colaboración con la U n i v e r s i d a d Té c n i c a d e K a i s e r s l a u t e r n c o n v i s t a s a transformar los rodillos compactadores en sistemas totalmente automáticos. Se han aplicado tecnologías como GPS, Lidar y los más modernos sensores de posición Con ROBOMAG, BOMAG da cuerpo a su visión de unas máquinas de construcción totalmente automatizadas.

El rodillo tándem totalmente automatizado puede utilizarse de forma totalmente autónoma en un área de trabajo definida Para la carga y descarga o en el mo-

do manual, el rodillo tándem ROBOMAG se maneja, simplemente, con el sistema de control remoto El sistema obtiene información sobre la posición, la ubicación y el movimiento mediante distintas tecnologías combinadas para la orientación espacial, la percepción del entorno y la seguridad del área circundante Para evitar colisiones se aplica un completo concepto de seguridad con reconocimiento del entorno mediante sensores El sistema ROBOMAG cuenta, además de con el modo totalmente automático, también con la posibilidad de programar manualmente el seguimiento de patrones de trayectorias, que permiten al rodillo hacer su trabajo autónomamente, también en los casos de compactación especiales Por supuesto, el rodillo tiene en todos los modos un dispositivo mecánico de parada de emergencia

Lleva a bordo la acreditada tecnología de BOMAG

Mientras el rodillo tándem se desplaza autónomamente, ASPHALT MANAGER 2, el probado sistema de BOMAG, asume una regulación activa e inteligente y la supervisión del rendimiento de compactación Al mismo tiempo, ASPHALT MANAGER

2 asegura una documentación integral y transparente de la compactación realizada. ROBOMAG es un mero estudio de tecnología que le sirve a BOMAG como exploración del futuro venidero En Bauma 2019, el público interesado puede ver a ROBOMAG desplazarse autónomamente en una demostración en vivo En el stand FS 1009 BOMAG presenta cada hora en una exhibición su ROBOMAG, así como otras máquinas futuristas.

Digital impact of @asefma_es through Twitter, Facebook, Instagram and LinkedIn social networks

· More than 26,000 messages sent

· More than 18,000 engaged followers

· More than 1,000,000 reactions

Últimas monografías publicadas Most recent monographs

Catalogue of Technical Capacities

Catálogo de Capacidades Técnicas Asefma is promotor of the International Road Maintenance Day (IRMD) www.roadmaintenanceday.org

Estimación de la condición del pavimento a partir de datos de vehículos autónomos y conectados

David Llopis Castelló dallocas@upv.es

Francisco Javier Camacho Torregrosa fracator@tra upv es

Fabio Romeral Pérez fabio@xouba io

José Carlos Valdecantos Álvarez jose@xouba es

Pedro Tomás Martínez ptomas@transportes gob es

Un adecuado mantenimiento de la red vial es crucial para preservar y mejorar la calidad de vida de los ciudadanos En caso contrario, el coste asociado al transporte de mercancías y personas se incrementaría, pues un mal estado de la vía está asociado a un mayor riesgo de ocurrencia de accidentes y un mayor consumo de combustible y, consecuentemente, a un aumento también de las emisiones de gases de efecto invernadero

Los métodos actuales de evaluación de la condición del pavimento de las carreteras implican la realización de inspecciones con equipos especializados para evaluar el estado del firme y la calidad o confort de la conducción, lo que implica que la administración no pueda abarcar la inspección de toda la red vial anualmente debido a limitaciones tanto técnicas como económicas En este contexto, el crowdsourcing de d a t o s d e v e h í c u l o s a u t ó n o m o s y c o n e c t a d o s ( C AV s ) c o n a t ri b u t o s m e j o r a d o s s e p o s t u l a c o m o u n a alternativa al empleo de equipos instrumentados A diferencia de los métodos de auscultación, cuyos resultados dependen en gran medida de la rodada del equipo especializado en el momento de la medición y cuya frecuencia de toma de datos es muy reducida, el empleo de datos provenientes de CAVs permite disponer del estado real de la vía con mayor fiabilidad puesto que en cada punto de la carretera se dispone de los datos de centenares o miles de vehículos prácticamente en tiempo real

Así, el objetivo principal de este trabajo es evaluar la posibilidad del empleo de los datos provenientes de los CAVs para evaluar el estado del pavimento a través del Índice de Regularidad Internacional (IRI). Para ello, se han comparado los datos provenientes de CAVs con datos de auscultaciones, estableciendo distintos umbrales para definir cuantitativa y cualitativamente la condición del pavimento a partir de los datos de los vehículos.

Palabras Clave: Pavimento; mantenimiento de carreteras; Índice de Regularidad Internacional; vehículos autónomos y conectados

Proper maintenance of the road network is crucial to preserving and improving citizens’ quality of life Otherwise, the costs associated with the transportation of goods and people would increase, since poor road conditions are linked to a higher risk of accidents, greater fuel consumption, and consequently, an increase in greenhouse gas emissions Current methods for assessing pavement conditions on roads involve carrying out inspections with specialized equipment to evaluate both the state of the surface and driving quality or comfort This means that the administration cannot inspect the entire road network annually due to technical and economic limitations In this context, crowdsourcing data from connected and a u t o n o m o u s v e h i c l e s ( C AV s ) w i t h e n h a n c e d a t t r i b u t e s e m e rg e s a

instrumented equipment Unlike traditional inspection methods whose results largely depend on the

Estimación de la condición del pavimento a partir de datos de vehículos autónomos y conectados

collection frequency is very limited the use of data from CAVs provides more reliable, near real-time information on road conditions, since each point of the roadway can be monitored by hundreds or thousands of vehicles Therefore, the main objective of this work is to evaluate the feasibility of using CAV data to assess pavement conditions through the International Roughness Index (IRI). To this end, CAV-derived data have been compared with traditional inspection data, establishing different thresholds to quantitatively and qualitatively define pavement condition based on vehicle data

autonomous vehicles (CAVs)

INTRODUCCIÓN

Un adecuado mantenimiento de la red vial es crucial para preservar y mejorar la calidad de vida de los ciudadanos [1, 2] En caso contrario, el coste asociado al transporte de mercancías y de personas se incrementaría, pues un mal estado de la vía está asociado a un mayor consumo de combustible y, consecuentemente, a un aumento también de las emisiones de gases de efecto invernadero. Asimismo, un pavimento en mal estado constituye un gran peligro para los usuarios de la red vial, produce un mayor desgaste de los neumáticos y puede llegar a ocasionar daños en los vehículos [3, 4]

Por tanto, es fundamental que las administraciones competentes en materia de carreteras desarrollen un sistema de gestión de pavimentos con el fin de analizar el ciclo de vida de la infraestructura vial y alcanzar valores óptimos del estado del pavimento, siendo necesaria la evaluación de la condición del pavimento y el desarrollo de modelos predictivos que permitan conocer cómo evolucionará el deterioro del pavimento [5].

En este contexto, la Red de Carreteras del Estado dispone de un sistema de gestión de firmes cuyo objeto es realizar la gestión del pavimento de manera eficaz y eficiente Este sistema de gestión fue definido con el objetivo de facilitar la realización de un inventario, contener una base de datos donde se recogieran las auscultaciones e inspecciones realizadas y evaluar la condición del pavimento a partir de una serie de indicadores Sin embargo, en la actualidad el sistema se encuentra desaprovechado por la falta de información sobre el estado del pavimento debido a los costes elevados de los sistemas de auscultación Además, este sistema requiere la realización de una inspección visual previa a la toma de deci-

siones, lo que provoca una pérdida de agilidad en la gestión del firme e introduce valoraciones subjetivas que pueden afectar a la eficacia y eficiencia de la gestión. Por último, dicho sistema carece de modelos evolutivos que permitan predecir la evolución del comportamiento del pavimento, estimar su vida útil y determinar el momento óptimo de actuación

Como consecuencia de lo anterior, según la Asociación Española de la Carretera, las carreteras españolas se encuentran en un estado de conservación “deficiente” a solo unas décimas del “muy deficiente” [6] Uno de cada trece kilómetros de la red de carreteras y autovías española presenta deterioros relevantes en más del 50% de la superficie del pavimento, acumulando baches, roderas y grietas longitudinales y transversales La falta de conservación está haciendo mella en las infraestructuras viarias españolas, cuya pérdida de valor patrimonial ha sido del 36% entre 2001 y 2017 para las carreteras del Estado y del 38% para las carreteras de las Comunidades Autónomas y Diputaciones Forales Esta situación de deterioro progresivo de las vías conduce a una incomodidad de la circulación, inseguridad vial, pérdida de competitividad interterritorial y europea, aumento exponenc i a l d e l o s c o s t e s d e r e p a r a c i ó n d e l p a v i m e n t o , incremento de los costes de mantenimiento de los vehículos y aumento de las emisiones contaminantes

Los métodos actuales de evaluación de la condición del pavimento de las carreteras implican la realización de inspecciones con equipos especializados para evaluar el estado del firme y la calidad o confort de la conducción [7-10], lo que conduce a que la administración no pueda abarcar la inspección de toda la red vial anualmente debido a limitaciones tanto técnicas como económicas Este hecho suele dar lugar a que solo se recojan datos de-

tallados de las carreteras con mayor volumen de tráfico, prestando menos atención a las de menor rango de importancia

Con el objetivo de evitar el elevado coste que supone el empleo de equipos especializados para llevar a cabo las auscultaciones y eliminar la subjetividad asociada a la inspección visual, se han desarrollado distintos estudios que emplean técnicas de procesamiento de imágenes para estimar el IRI y detectar distintos tipos de deterioros como baches, grietas o parches [11-16] No obstante, una de las principales limitaciones de estos métodos es que a menudo requieren la instrumentación de un vehículo que recorra la red de carreteras que, en algunos casos, también supone un elevado coste

Una alternativa a estos equipos instrumentados es el crowdsourcing de datos de vehículos autónomos y conectados (CAVs) con atributos mejorados Los fabricantes de equipos originales (OEM) integran sensores, acelerómetros y conexiones de red móvil en los vehículos que pueden proporcionar una fuente de datos sobre el estado actual de las carreteras

La integración y utilización de los datos de los vehículos ha permitido la evaluación del estado de las marcas viales, de las señales de tráfico y la mitigación de accidentes mediante medidas sustitutorias de seguridad y frenado brusco [18-21] En el ámbito de la evaluación de la condición del pavimento, los vehículos integran un sistema que aprovecha la velocidad individual de las ruedas mediante sensores rotacionales en combinación con información de la transmisión para proporcionar información sobre la calidad o confort de la rodadura [22].

Esta información puede ser empleada para estimar el Índice de Regularidad Internacional (IRI) a partir de una flota de vehículos de crowdsourcing

A diferencia de los métodos de auscultación, cuyos resultados dependen en gran medida de la rodada del equipo especializado en el momento de la medición y cuya frecuencia de toma de datos es muy reducida, el empleo de datos provenientes de CAVs permitirá disponer del estado real de la vía con mayor fiabilidad puesto que en cada punto de la carretera se dispone de los datos de centenares o miles de vehículos prácticamente en tiempo real

Así, el objetivo principal de este trabajo es evaluar la

posibilidad del empleo de los datos provenientes de los CAVs para evaluar el estado del pavimento a través del Índice de Regularidad Internacional (IRI) Para ello, se han comparado los datos provenientes de CAVs con datos de auscultaciones, estableciendo distintos umbrales para definir cuantitativa y cualitativamente la condición del pavimento a partir de los datos de los vehículos

2. METODOLOGÍA

Este trabajo tiene como objeto analizar la relación entre los datos de IRI obtenidos a partir de auscultaciones del firme por equipos especializados y los valores de IRI obtenidos de los datos registrados por vehículos autónomos y conectados (CAVs) con el fin de estudiar la posibilidad de emplear los datos de estos últimos para evaluar el estado en que se encuentra el pavimento de las carreteras interurbanas en cuanto a su regularidad superficial

Para realizar este estudio, en primer lugar, se desarrollará una descripción de los datos de regularidad superficial disponibles, localizando las carreteras donde estos datos han sido obtenidos

Después, se llevará a cabo un análisis descriptivo y gráfico de los valores de IRI obtenidos mediante auscultaciones y a través de CAVs con el fin de evaluar la relación, a priori, que pueden guardar ambos conjuntos de datos

Tras el análisis descriptivo, se llevará a cabo un análisis estadístico consistente en el test de muestras pareadas, emparejando los datos de IRI de ambas muestras en cada punto kilométrico y hectómetro del trazado En esta prueba estadística la hipótesis nula a contrastar se basa en que la diferencia de las medias de ambos conjuntos de datos es nula Para ello, será previamente necesario evaluar la normalidad de los datos

Finalmente, se propone determinar distintos umbrales que permitan determinar de una manera cuantitativa y cualitativa la condición del pavimento a partir de los datos de vehículos autónomos y conectados

Estimación de la condición del pavimento a partir de datos de vehículos autónomos y conectados

3 DESCRIPCIÓN DE DATOS

3 1 Tramo de carretera de estudio

El tramo de carretera empleado para el desarrollo de este estudio es el tramo de la carretera N-310, desde el PK 144+990 (San Clemente) hasta el PK 198+710 (Villanueva de la Jara), en la provincia de Cuenca (España)

Este tramo de carretera se trata de una carretera convencional de dos carriles, uno por sentido de circulación

La plataforma de la carretera tiene una dimensión total de 10 m, dividida en carriles de circulación de 3,5 m de ancho y arcenes de 1,5 m. Concretamente, a lo largo del tramo hay instaladas un total de seis estaciones de aforo (ver Tabla 1) En este sentido, la intensidad media diaria de tráfico en el año 2021 a lo largo del tramo de carretera osciló, aproximadamente, entre 1 000 y 3 000 vehículos/día

Tabla 1 Intensidad Media Diaria de tráfico en el tramo de carretera en 2021 [23]

(ii) carretera (Idcarretera), (iii) punto kilométrico inicial (PKIHito & PKIDist), (iv) punto kilométrico final (PKFHito & PKFDist), (v) IRI rodada derecha (IRI der), (vi) IRI rodada izquierda (IRI izq), y (vii) IRI medio (IRI med)

Además de estos datos, se proporcionó otro conjunto de datos de georreferenciación con la siguiente información: (i) identificador del tramo (IdTramo), (ii) carretera (Idcarretera), (iii) punto kilométrico inicial (PKIHito & P K I D i s t ) , ( i v ) p u n t o k i l o m é t r i c o f i n a l ( P K F H i t o & PKFDist) y (v) coordenadas UTM (UTMX & UTMY) A partir de estos datos se puede asignar los valores de IRI a la carretera y a la unidad de medida correspondiente, dado que los datos relativos a los puntos kilométricos podrían no ser lo suficientemente precisos

3 3 Datos de vehículos autónomos y conectados

Los datos relativos al estado del pavimento provenientes de los vehículos autónomos y conectados fueron recogidos el mismo día que la realización de la auscultación del firme, es decir, el 15 de junio de 2023 En particular, los datos fueron proporcionados por la empresa NIRA Dynamics

Los vehículos conectados tienen la virtud de ser un sensor permanente del estado de la infraestructura siempre que se circule sobre ella con una muestra mínima de vehículos para poder determinar que esa medida no es exclusiva de un único vehículo

3 2 Datos de auscultaciones

Los datos del estado del pavimento han sido proporcionados por la Demarcación de Carreteras del Estado en Castilla La Mancha, dependiente de la Dirección General de Carreteras del Ministerio de Transportes y Movilidad Sostenible

La fecha de obtención de los datos en campo fue el 15 de junio de 2023 Concretamente, se dispuso de las siguientes variables: (i) identificador del tramo (IdTramo),

Los fabricantes de equipos originales (OEM) integran sensores mejorados, acelerómetros y conexiones móviles en los vehículos para proporcionar una rica fuente de datos sobre las condiciones actuales de las carreteras Se aprovecha la velocidad individual de las ruedas a través de sensores de rotación en combinación con información del tren de transmisión para proporcionar información sobre la calidad del pavimento a través de los vehículos Esta información puede estimar distintos valores acerca del estado del pavimento a partir de una flota de vehículos comerciales Mediante un estudio de la señal de las ruedas que son obtenidos por acelerómetros tanto vertical como horizontal, al estar integrado en el vehículo y poder ser analizado de manera constante, pued e d e t e r m i n a r s e l a r e g u l a r i d a d d e l a s u p e r f i c i e d e contacto del neumático

Los datos proporcionados por el proveedor son agregados en segmentos de distinta longitud, aproximadamente 20 metros, basados en cartografías de empresas dedicadas a la elaboración de mapas y navegadores Una vez dicho segmento es obtenido, se georreferencia y se asigna a la carretera de estudio Concretamente, la estructura de datos que se dispone para cada uno de los segmentos de carretera es la siguiente: (i) identificador del tramo (idtramo), (ii) valor de IRI, en dm/hm (IRI), (iii) coordenadas UTM de los puntos que se integran en un segmento (geometría), (iv) coordenadas UTM del punto inicial del segmento de carretera (geometriapuntoinicial) y (v) coordenadas UTM del punto final del segmento de carretera (geometriapuntofinal)

4 ANÁLISIS DE

RESULTADOS

4 1 Análisis descriptivo

Para profundizar sobre lo comentado anteriormente, se ha representado las distribuciones de densidad de todos los conjuntos de datos de IRI (Figura 1) En primer lugar, cabe destacar que todas las distribuciones presentan una asimetría positiva, es decir, los datos se acumulan en valores reducidos del IRI, describiendo una cola para los valores más elevados Esto supone que los valores medios de los conjuntos de datos son mayores a la mediana o percentil 50 (ver Tabla 2). Además, se observa que la curva de densidad que más se asemeja a la curva

d e s c r i t a p o r l o s d a t o s d e I R I p r o v e n i e n t e s d e C AV s (IRI cavs) es la relativa a los valores mínimos obtenidos mediante auscultaciones (IRI min) No obstante, en la cola de la distribución el conjunto de datos de IRI de CAVs (IRI cavs) se asemeja más a la distribución de los datos medios de auscultaciones (IRI med)

Figura 1 Distribución de densidad de los conjuntos de datos de IRI

Sin embargo, que una distribución se asemeje más a otra no tiene por qué conducir a una correlación mayor entre ambos conjuntos de datos, puesto que en realidad se dispone de datos pareados según la localización de las observaciones

Tabla 2 Resumen estadístico de los datos de IRI

Estimación de la condición del pavimento a partir de datos de vehículos autónomos y conectados

La Figura 2 incluye la matriz de correlaciones entre los distintos conjuntos de datos de IRI analizados, así como los gráficos correspondientes a la representación de los datos enfrentados entre los valores de IRI procedentes de CAVs y el resto de conjuntos de datos Como era de esperar, las correlaciones entre los conjuntos de datos de IRI de auscultaciones son fuertes (>0,8) En cuanto a la correlación entre el IRI cavs y el IRI de auscultac i o n e s c a b e d e s t a c a r q u e s o n m u y s i m i l a r e s independientemente del conjunto considerado No obstante, la correlación entre el IRI cavs y el conjunto de datos de auscultaciones de IRI mínimo y medio es muy similar (>0,5), cuando previamente se había identificado que la distribución de densidades más similar al conjunto de datos de IRI proveniente de CAVs era la relativa a los valores mínimos de auscultación

Adicionalmente, se ha elaborado un gráfico de puntos que incluye la densidad de puntos localizados en la región representada (ver Figura 3) A este respecto, se ha representado únicamente la relación entre el IRI cavs y el IRI min, siendo representativo del resto de casos Como se puede observar, la mayoría de las observaciones se sitúan entre un IRI de 1 dm/hm y 2,5 dm/hm y, además, estos valores parecen concentrarse en un área muy cercana a la línea que representa IRI cavs=IRI min. Concretamente, parece ser que los valores obtenidos a partir de los vehículos son ligeramente inferiores a los obtenidos mediante auscultaciones, sobre todo a medida que el valor del IRI es mayor (ver Figura 2). Este hecho podría explicarse a partir del comportamiento de los usuarios de la carretera, que tenderían a evitar rodadas con un mayor grado de deterioro circulando de una ma-

2 Análisis de correlación: (a) IRI cavs & IRI med, (b) IRI cavs & IRI med, (c) IRI cavs & IRI med y (d) matriz de correlación.

Figura

nera no centrada en el carril

4 2 Análisis estadístico

Una vez realizado el análisis descriptivo, en esta sección se pretende determinar si los datos de IRI provenientes de los CAVs pueden considerarse equivalentes o no de los obtenidos mediante auscultaciones Para ello, e l t e s t e s t a d í s t i c o e s c o g i d o e s l a c o m p a r a c i ó n e n t re muestras pareadas Este tipo de prueba tiene como principal objetivo comparar los valores de IRI obtenidos me-

diante auscultaciones y a partir de los datos de CAVs para cada punto kilométrico y hectómetro.

Concretamente, para definir la prueba estadística a aplicar es necesario, en primer lugar, evaluar la normalidad de los datos Como ya se ha adelantado durante el análisis descriptivo, todos los conjuntos de datos presentan una fuerte asimetría positiva Es por ello que, después de llevar a cabo la prueba Shapiro-Wilk, no se puede confirmar, con un nivel de confianza del 95%, que los conjuntos de datos provengan de una distribución normal puesto que los p-value son menores a 0,05 (Tabla 3)

Esto supone que no se puede desarrollar la prueba de datos pareados a partir del habitual t-test, proponiéndose realizar las siguientes pruebas alternativas: (i) Prueba de Wilcoxon y (ii) Prueba de Kruskal-Wallis Ambas pruebas son pruebas no paramétricas y, por tanto, están sujeta a muchos menos supuestos que la prueba t-test para muestras dependientes En particular, la prueba de Wilcoxon comprueba si los valores medios de dos grupos dependientes difieren significativamente entre sí Por otro lado, la prueba de Kruskal-Wallis determina si las medianas de dos o más grupos son diferentes

La Tabla 4 y la Tabla 5 presentan los resultados de las pruebas de Wilcoxon y de Kruskal-Wallis, respectivamente Estas pruebas se han realizado para cada pareja

Figura 3 Histograma de puntos
Tabla 3 Evaluación de la normalidad de los datos: Prueba Shapiro-Wilk
Tabla 5 Resultados de la Prueba de Kruskal-Wallis
Tabla 4 Resultados de la Prueba de Wilcoxon

de conjuntos de datos Como resultado, con un nivel de confianza del 95%, no se pueden confirmar las hipótesis nulas de ninguna de las pruebas consideradas Por tanto, se concluye que los datos de IRI provenientes de CAVs no representan los datos obtenidos mediante auscultaciones

No obstante, esto no quiere decir que no se pueda obtener una relación entre ambos conjuntos de datos con el fin de que a partir de los datos de IRI de CAVs se puedan inferir o determinar los valores que serían obtenidos mediante auscultaciones

4.3 Propuesta de umbrales para la evaluación del pavimento

Dado que no es posible considerar, con un nivel de confianza del 95%, que los valores de IRI obtenidos a partir de CAVs sean similares a los obtenidos por equipos de auscultación, pero existe un nivel de correlación moderado entre ambos conjuntos de datos, se ha procedido a analizar con mayor profundidad la relación que guarda concretamente el IRI cavs con el IRI min

Para ello, se ha partido de la evaluación cualitativa del estado del pavimento establecida por la Dirección general de Carreteras (DGC) según el valor del IRI para vías de la red convencional (ver Tabla 6)

6 Niveles cualitativos del estado del pavimento según la DGC

Tomando como base estos niveles cualitativos del estado del pavimento y el valor de IRI min, se han clasificado los datos de IRI de CAVs en diferentes subconjunt o s , re p re s e n t a n d o e l re s u l t a d o d e c a d a n i v e l e n u n diagrama box-whisker (ver Figura 7) De este modo, se puede apreciar como a medida que la condición del pavimento empeora el valor medio y la mediana del subconjunto de IRI cavs se incrementa, demostrando que evidentemente hay una relación directa entre el valor de IRI obtenido a partir de datos de CAVs y el estado del pavimento En este punto, cabe recordar que la mayoría de los valores disponibles de IRI cavs se encuentran entre 1,0 y 2,5 dm/hm, de ahí que para niveles del estado del pavimento regular, pobre o muy pobre la variabilidad sea bastante elevada Para estudiar con mayor nivel de detalle estos niveles de estado del pavimento se requiere de un mayor volumen de datos

4 Diagramas box-whisker para IRI cavs según nivel de estado del pavimento

Por otro lado, se ha estimado la matriz de confusión generada al clasificar el estado del pavimento a partir de las variables IRI cavs e IRI min Para ello, se ha decidido reducir el número de umbrales anteriormente expuestos en la Tabla 6 debido a la baja representatividad de los niveles asociados a valores de IRI elevados, quedando como se muestran en la Tabla 7

La Tabla 8 presenta la matriz de confusión considerando los valores de IRI obtenidos mediante auscultaciones como verdaderos Así, cada fila de la matriz suma 100%, indicando para un mismo umbral del IRI min la Estimación

Figura
Tabla

Tabla 7 Niveles cualitativos del estado del pavimento (simplificación DGC)

CAVs

proporción de datos que son clasificados en los distintos umbrales propuestos según el IRI cavs En particular, se puede observar cómo más del 80% de los datos que son clasificados con una condición del pavimento buena según el IRI min también son clasificados como tal según el valor de IRI cavs Sin embargo, el 50% de los datos que son evaluados según el valor de IRI min con un nivel aceptable de la condición del pavimento, son evaluados según el valor de IRI cavs con nivel bueno, lo que podría llevar a una inadecuada gestión del pavimento. Estos resultados eran de esperar en vista de lo comentado a partir de la Figura 3 y los resultados del análisis estadístico y, por tanto, los umbrales considerados para determinar la condición del estado del pavimento a partir de los valores de IRI obtenidos mediante auscultaciones no tienen por qué ser los mismos que los umbrales establecidos para los valores de IRI obtenidos a partir de

De este modo, se ha procedido a calibrar unos nuevos umbrales para determinar la condición del pavimento a partir de los valores de IRI procedentes de los vehículos Para ello, la función objetivo responde a maximizar los valores de la diagonal principal de la matriz de confusión, estableciendo los umbrales para IRI min fijos según la Tabla 7 y variando los valores de los umbrales par a I R I c a v s . C o m o r e s u l t a d o , s e h a n o b t e n i d o l o s umbrales que se presentan en la Tabla 9 La matriz de confusión actualizada se presenta en la Tabla 10, donde se puede observar que alrededor del 70% de los datos son adecuadamente clasificados. No obstante, se recomienda recalibrar estos umbrales y validar los resultados obtenidos a partir de un conjunto de datos más amplio y con una mayor variabilidad de estados de condición del pavimento, sobre todo disponiendo de datos de IRI sobre pavimentos en un estado pobre

8 Matriz de confusión según los niveles cualitativos

Tabla
Tabla 9 Niveles
Tabla 10 Matriz de confusión considerando los umbrales definidos en la Tabla 7 y la Tabla 9 para el IRI min y IRI cavs, respectivamente
Nivel IRI (dm/hm)

Estimación de la condición del pavimento a partir de datos de vehículos autónomos y conectados

CONCLUSIONES

El presente estudio presenta el análisis de la relación entre los valores de IRI obtenidos mediante auscultaciones y los valores de IRI registrados por vehículos autónomos y conectados Las conclusiones más interesantes son:

• Las distribuciones de densidad de los conjuntos de datos de IRI presentan una asimetría positiva, acumulándose las observaciones en valores reducidos de IRI Esto supone que se debería ampliar la muestra de datos con valores de IRI elevados con el fin de definir con mayor precisión la correlación entre los dos conjuntos de datos cuando el estado del pavimento es pobre

• El análisis de correlación indica que existe una correlación positiva moderada entre el IRI registrado por los vehículos autónomos y conectados y los obtenidos mediante auscultaciones

• La mayoría de las observaciones se sitúan entre un IRI de 1 dm/hm y 2,5 dm/hm, cuyos valores indican que la carretera contiene tramos con un nivel de regularidad superficial entre “Muy Bueno” y “Aceptable”, considerando los umbrales establecidos por la Dirección General de Carreteras

• Los valores de IRI obtenidos a partir de los vehículos son ligeramente inferiores a los obtenidos mediante auscultaciones a medida que el valor del IRI es mayor. Este hecho podría explicarse a partir del comportamiento de los usuarios de la carretera, que tenderían a evitar rodadas con un mayor grado de deterioro circulando de una manera no centrada en el carril.

• A pesar de que los valores de IRI obtenidos a través de los vehículos autónomos y conectados no pueden ser considerados similares a los valores de IRI obtenid o s m e d i a n t e a u s c u l t a c i o n e s , e s p o s i b l e e s t a b l e c e r distintos umbrales de IRI para ambos conjuntos de datos con el fin de evaluar cualitativamente el estado de la condición del pavimento

• La matriz de confusión obtenida (ver Tabla 10) indica que los umbrales definidos para los valores de IRI obtenidos de los vehículos autónomos y conectados son capaces de identificar adecuadamente el estado de la condición del pavimento

• Dado que el valor del IRI obtenido a partir de los

vehículos autónomos y conectados considera cientos o miles de vehículos circulando por la infraestructura, se considera que es un dato con una alta fiabilidad con el fin de realizar una primera aproximación al estudio del estado de la condición del pavimento De este modo, el empleo de los datos de IRI provenientes de los vehículos autónomos y conectados se postula como una alternativa de bajo coste y no destructiva de auscultación de firmes, pudiendo complementar y optimizar las campañas tradicionales de auscultaciones

6 BIBLIOGRAFÍA

[1] Bull, A , & CEPAL, N (2003) Traffic Congestion: The Problem and how to Deal with it ECLAC

[2] Hajj, E Y , Loria, L , & Sebaaly, P E (2010) Performance evaluation of asphalt pavement preservation activities Transportation research record, 2150(1), 36-46

[3] Santero, N. J., & Horvath, A. (2009). Global warming potential of pavements Environmental Research Letters, 4(3), 034011

[4] Lee, J , Abdel-Aty, M , & Nyame-Baafi, E (2020) Investigating the effects of pavement roughness on freeway safety using data from five states Transportation research record, 2674(2), 127-134

[5] Pérez-Acebo, H., Bejan, S., & Gonzalo-Orden, H. (2018) Transition probability matrices for flexible pavement deterioration models with half-year cycle t i m e I n t e r n a t i o n a l J o u r n a l o f C i v i l E n g i n e e ri n g , 16(9), 1045-1056.

[6] Asociación Española de la Carretera, 2020 Análisis de la relación entre el estado de conservación del pavimento, el consumo de combustible y las emisiones de los vehículos

[7] Pierce, L M , McGovern, G , & Zimmerman, K A (2013) Practical guide for quality management of pavement condition data collection.

[8] Attoh-Okine, N , & Adarkwa, O (2013) Pavement condition surveys–overview of current practices Delaware Center for Transportation, University of Delaware: Newark, DE, USA

[9] Seraj, F , Van Der Zwaag, B J , Dilo, A , Luarasi, T , & Havinga, P (2014, April) RoADS: A road pave-

m e n t m o n i t o ri n g s y s t e m f o r a n o m a l y d e t e c t i o n using smart phones. In International Workshop on M o d e l i n g S o c i a l M e d i a ( p p 1 2 8 - 1 4 6 ) C h a m : Springer International Publishing

[10] Kamranfar, P , Lattanzi, D , Shehu, A , & Stoffels, S (2022) Pavement Distress Recognition via Wavelet-Based Clustering of Smartphone Accelerometer Data Journal of Computing in Civil Engineering, 36(4), 04022007.

[11] Mahmoudzadeh, A , Golroo, A , Jahanshahi, M R , & Firoozi Yeganeh, S (2019) Estimating pavement roughness by fusing color and depth data obtained from an inexpensive RGB-D sensor. Sensors, 19(7), 1655

[12] Baek, J W , & Chung, K (2020) Pothole classification model using edge detection in road image Applied Sciences, 10(19), 6662

[13] Fan, R , Wang, H , Wang, Y , Liu, M , & Pitas, I (2021) Graph attention layer evolves semantic segmentation for road pothole detection: A benchmark and algorithms IEEE transactions on image processing, 30, 8144-8154

[14] Tedeschi, A , & Benedetto, F (2017) A real-time automatic pavement crack and pothole recognition system for mobile Android-based devices Advanced Engineering Informatics, 32, 11-25

[15] Llopis-Castelló, D., Paredes, R., Parreño-Lara, M., García-Segura, T , & Pellicer, E (2021) Automatic classification and quantification of basic distresses on urban flexible pavement through convolutional neural networks. Journal of Transportation Engineering, Part B: Pavements, 147(4), 04021063

[16] Ravi, R , Bullock, D , & Habib, A (2021) Pavement distress and debris detection using a mobile mapping system with 2d profiler lidar Transportation research record, 2675(9), 428-438

[17] Xie, K , Yang, D , Ozbay, K , & Yang, H (2019) Use of real-world connected vehicle data in identifying high-risk locations based on a new surrogate safety measure Accident Analysis & Prevention, 125, 311-319

[18] Mahlberg, J A , Sakhare, R S , Li, H , Mathew, J K , Bullock, D M , & Surnilla, G C (2021) Prioritiz i n g r o a d w a y p a v e m e n t m a r k

using lane keep assist sensor data Sensors, 21(18), 6014.

[19] Mahlberg, J A , Li, H , Cheng, Y T , Habib, A , & B u l l o c k , D M ( 2 0 2 2 ) M e a s u ri n g ro a d w a y l a n e widths using connected vehicle sensor data Sensors, 22(19), 7187

[20] Saldivar-Carranza, E , Li, H , Mathew, J , Hunter, M , Sturdevant, J , & Bullock, D M (2021) Deriving operational traffic signal performance measures from vehicle trajectory data Transportation research record, 2675(9), 1250-1264

[21] Hunter, M , Saldivar-Carranza, E , Desai, J , Mathew, J. K., Li, H., & Bullock, D. M. (2021). A proactive approach to evaluating intersection safety using hard-braking data Journal of big data analytics in transportation, 3(2), 81-94

[22] Magnusson, P ; Svantesson, T (2021) Road Condition Monitoring U S Patent 10,953,887 B2, 23 March 2021

[23] Ministerio de Transportes y Movilidad Sostenible (2021) Mapa de tráfico 2021: https://www mitma es/carreteras/trafico-velocidades-y-accidentesmapa-estimacion-y-evolucion/mapas-de-trafico/2021

Últimas actualizaciones en legislación, normativa y otras disposiciones

En esta sección se lista la actualización de la legislación y otras disposiciones, las normas EN que se han publicado, así como las nuevas normas que se han incluido para su revisión y que se encuentran en proyecto, para diferentes materiales relacionados con las mezclas bituminosas (áridos, ligantes bituminosos y mezclas)

En esta entrega se recoge el listado de normas desde el 16 de mayo hasta el 8 de septiembre de 2025.

BETUNES Y LIGANTES BITUMINOSOS (COMITÉ TÉCNICO AEN/CTN 51/SC1)

NORMATIVA EN PROYECTO

• PNE- prEN 1427 (Última publicación año 2015) ESTADO: TRAMITACIÓN EN AENOR Betunes y ligantes bituminosos. Determinación del punto de reblandecimiento. Método del anillo y bola

• PNE- EN 15626 (Última publicación año 2016). ESTADO: TRAMITACIÓN EN AENOR Betunes y ligantes bituminosos Determinación de la adhesividad de los ligantes bituminosos fluidificados y fluxados

• PNE- prEN 16659 (Última publicación año 2016). ESTADO: TRAMITACIÓN EN AENOR Betunes y ligantes bituminosos Ensayo de fluencia-recuperación bajo múltiples esfuerzos repetidos (ensayo MSCR)

• PNE 51136 IN (Norma nueva). ESTADO: TRAMITACIÓN EN AENOR Emulsiones bituminosas. Reglas de categoría de producto

MEZCLAS BITUMINOSAS (COMITÉ TÉCNICO AEN/CTN 41/SC2)

NORMATIVA APROBADA

• UNE- EN 1426 (Publicada en JULIO DE 2025). Betunes y ligantes bituminosos Determinación de la penetración con aguja

• UNE- EN 12594 (Publicada en JUNIO DE 2025) Betunes y ligantes bituminosos Preparación de las muestras de ensayo

• UNE- EN 12597 (Publicada en JUNIO DE 2025). Betunes y ligantes bituminosos Terminología

• UNE- EN 12607-1 (Publicada en JULIO DE 2025) Betunes y ligantes bituminosos Determinación de la resistencia al endurecimiento por efecto del calor y del aire Parte 1: Método RTFOT (película fina y rotatoria)

Secciones fijas

MEZCLAS BITUMINOSAS (COMITÉ TÉCNICO AEN/CTN 41/SC2)

NORMATIVA EN PROYECTO

• PNE-EN ISO 11819-1: (última publicación año 2002)

ESTADO: TRAMITACIÓN EN AENO Acústica. Medición de la influencia de las superficies de carretera sobre el ruido del tráfico. Parte 1: Método estadístico del paso de vehículos

• PNE-prEN 12272-1 (última publicación año 2002). ESTADO: TRAMITACIÓN EN AENOR Tratamientos superficiales Métodos de ensayo Parte 1: Índice y regularidad de la dispersión del ligante y de las gravillas.

• PNE-prEN 12272-3 (última publicación año 2003). ESTADO: TRAMITACIÓN EN AENOR Tratamientos superficiales Métodos de ensayo Parte 3: Determinación de la adhesión entre ligante y árido por el método de ensayo de choque de la placa Vialit

• PNE-EN 12697-2 (última publicación año 2015). ESTADO: TRAMITACIÓN EN AENOR Mezclas bituminosas Métodos de ensayo Parte 2: Determinación de la distribución granulométrica

• PNE-prEN 12697-3 (última publicación año 2020) ESTADO: TRAMITACIÓN EN AENOR Mezclas bituminosas Métodos de ensayo Parte 3Recuperqación de betún Evaporador rotatorio

• PNE-EN 12697-4 (última publicación año 2015).

ESTADO: TRAMITACIÓN EN AENOR Mezclas bituminosas Métodos de ensayo Parte 4: Recuperación de betún: Columna de fraccionamiento

• PNE-prEN 12697-10 (última publicación año 2004) ESTADO: TRAMITACIÓN EN AENOR Mezclas bituminosas. Métodos de ensayo. Parte 10: Compactibilidad

• PNE-EN 12697-13 (última publicación año 2018).

ESTADO: TRAMITACIÓN EN AENOR Mezclas bituminosas Métodos de ensayo Parte 13: Medición de la temperatura

• PNE-EN 12697-16 (última publicación año 2017) ESTADO: TRAMITACIÓN EN AENOR Mezclas bituminosas Métodos de ensayo Parte 16: Abrasión por neumáticos claveteados

• PNE-prEN 12697-17 (última publicación año 2018). ESTADO: TRAMITACIÓN EN AENOR Mezclas bituminosas Métodos de ensayo Parte 17: Pérdida de partículas de probetas de mezclas bituminosas drenantes

• PNE-prEN 12697-18 (última publicación año 2018). ESTADO: TRAMITACIÓN EN AENOR Mezclas bituminosas Métodos de ensayo Parte 18: Ensayo de escurrimiento de ligante

• PNE-EN 12697-22 (última publicación año 2020) ESTADO: TRAMITACIÓN AENOR Mezclas bituminosas Métodos de ensayo Parte 22: Deformación en pista

• PNE-prEN 12697-23 (última publicación año 2018). ESTADO: TRAMITACIÓN EN AENOR Mezclas bituminosas Métodos de ensayo Parte 23: Determinación de la resistencia a la tracción indirecta de probetas bituminosas

• PNE-EN 12697-26 (última publicación año 2018). ESTADO: TRAMITACIÓN EN AENOR Mezclas bituminosas Métodos de ensayo Parte 26: Rigidez

• PNE-EN 12697-27 (última publicación año 2018)

ESTADO: TRAMITACIÓN EN AENOR Mezclas bituminosas. Métodos de ensayo. Parte 27: Toma de muestras

• PNE-EN 12697-31 (última publicación año 2020). ESTADO: TRAMITACIÓN EN AENOR Mezclas bituminosas Especificaciones de materiales Métodos de ensayo Parte 31: Preparación de la muestra mediante el compactador giratorio

• PNE-EN 12697-33 (última publicación año 2019). ESTADO: TRAMITACIÓN EN AENOR Mezclas bituminosas Métodos de ensayo Parte 33: Elaboración de probetas con compactador de placa

• PNE-prEN 12697-35 (última publicación año 2017) ESTADO: TRAMITACIÓN EN AENOR Mezclas bituminosas. Métodos de ensayo. Parte 35: Mezclado en laboratorio

• PNE-EN 12697-41 (última publicación año 2014). ESTADO: TRAMITACIÓN EN AENOR Mezclas bituminosas Métodos de ensayo Parte 41: Resistencia a los fluidos de deshielo

Secciones fijas

MEZCLAS BITUMINOSAS (COMITÉ TÉCNICO AEN/CTN 41/SC-2)

NORMATIVA EN PROYECTO (continuación)

• PNE-EN 12697-43 (última publicación año 2014). ESTADO: TRAMITACIÓN EN AENOR Mezclas bituminosas Métodos de ensayo Parte 43: Resistencia a los combustibles

• PNE-EN 12697-47 (última publicación año 2011). ESTADO: TRAMITACIÓN EN AENOR Mezclas bituminosas Métodos de ensayo Parte 47: Determinación del contenido de cenizas de los asfaltos naturales

• PNE-FprCEN/TS 12697-51 (norma nueva). ESTADO: TRAMITACIÓN EN AENOR Mezclas bituminosas Métodos de ensayo Parte 51: Ensayo de resistencia superficial cortante

• PNE-FprCEN/TS 12697-52 (norma nueva) ESTADO: TRAMITACIÓN EN AENOR Mezclas bituminosas Métodos de ensayo Parte 52: Acondicionamiento para determinar el envejecimiento oxidativo

• PNE-EN 12697-54 (norma nueva) ESTADO: TRAMITACIÓN EN AENOR Mezclas bituminosas Métodos de ensayo. Parte 54: Curado de las muestras para el ensayo de mezclas con emulsión de betún

• PNE-prEN ISO 13473-5 (última publicación año 2010). ESTADO: TRAMITACIÓN EN AENOR Caracterización de la textura de los pavimentos mediante el uso de perfiles de superficie Parte 5: Determinación de la megatextura.

• PNE-EN 13036-5 (norma nueva). ESTADO: TRAMITACIÓN EN AENOR Características superficiales de carreteras y superficies aeroportuarias Métodos de ensayo Parte 5: Determinación de los índices de regularidad superficial longitudinal

• PNE-prEN 13036-8 (última publicación año 2008). ESTADO: TRAMITACIÓN EN AENOR Características superficiales de carreteras y superficies aeroportuarias Métodos de ensayo Parte 8: Determinación de los índices de regularidad superficial transversal

• PNE-EN 13108-2 (última publicación año 2007) ESTADO: TRAMITACIÓN EN AENOR Mezclas bituminosas Especificaciones de materiales Parte 2: Hormigón bituminoso para capas muy delgadas

• PNE-EN 13108-3 (última publicación año 2008) ESTADO: TRAMITACIÓN EN AENOR Mezclas bituminosas. Especificaciones de materiales. Parte 3: Mezclas bituminosas tipo SA

• PNE-EN 13108-4 (última publicación año 2008). ESTADO: TRAMITACIÓN EN AENOR Mezclas bituminosas Especificaciones de materiales Parte 4: Mezcla bituminosa tipo HRA

• PNE-EN 13108-5 (última publicación año 2008)

ESTADO: TRAMITACIÓN EN AENOR Mezclas bituminosas Especificaciones de materiales Parte 5: Mezclas bituminosas tipo SMA

• PNE-EN 13108-6 (última publicación año 2008).

ESTADO: TRAMITACIÓN EN AENOR Mezclas bituminosas Especificaciones de materiales Parte 6: Másticos bituminosos

• PNE-EN 13108-7 (última publicación año 2008).

ESTADO: TRAMITACIÓN EN AENOR Mezclas bituminosas Especificaciones de materiales Parte 7: Mezclas bituminosas drenantes

• PNE-EN 13108-20 (última publicación año 2009)

ESTADO: TRAMITACIÓN EN AENOR Mezclas bituminosas Especificaciones de materiales Parte 20: Ensayos de tipo

• PNE-EN 13108-21 (última publicación año 2009). ESTADO: TRAMITACIÓN EN AENOR Mezclas bituminosas Especificaciones de materiales Parte 21: Control de producción en fábrica

• PNE-EN 13108-31 (norma nueva) ESTADO: TRAMITACIÓN EN AENOR Mezclas bituminosas Especificaciones de materiales Parte 31: Hormigón asfáltico con emulsión bituminosa

• PNE-prEN ISO 13473-5 (última publicación año 2010). ESTADO: TRAMITACIÓN EN AENOR Caracterización de la textura de los pavimentos mediante el uso de perfiles de superficie Parte 5: Determinación de la megatextura

Secciones fijas

MEZCLAS BITUMINOSAS (COMITÉ TÉCNICO AEN/CTN 41/SC-2)

NORMATIVA EN PROYECTO (continuación)

• PNE-prEN 13880-11 (última publicación año 2004)

ESTADO: TRAMITACIÓN EN AENOR Productos de sellado aplicados en caliente Parte 11: Método de ensayo para la preparación de bloques de mezcla bituminosa

• PNE 41265-2 IN (norma nueva). ESTADO: TRAMITACIÓN EN AENOR Firmes de carreteras Ejecución y control Parte 2: Prefisuración de materiales tratados con conglomerantes hidráulicos

ÁRIDOS (COMITÉ TÉCNICO AEN/CTN 146/SC3)

NORMATIVA EN PROYECTO

• PNE-prEN 933-1 (última publicación año 2012) ESTADO: TRAMITACIÓN EN AENOR Ensayos para determinar las propiedades geométricas de los áridos Parte 1: Determinación de la granulometría de las partículas Método de tamizado

• PNE-prEN 933-11 (última publicación año 2009). ESTADO: VERSIÓN EN INGLÉS Y ALEMÁN Tests for geometrical properties of aggregates Part 11: Classification test for the constituents of coarse recycled aggregate

• PNE-CEN/TS 17438 (Norma nueva). ESTADO: TRAMITACIÓN EN AENOR Origen de los materiales considerados en el desarrollo de las normas de áridos del CEN/TC 154

• PNE-prEN 17555-1 (Norma nueva) ESTADO: TRAMITACIÓN EN AENOR Áridos para obras de construcción. Parte 1: Características

• DIN EN 17555-2 (Norma nueva). ESTADO: EXISTE VERSIÓN EN INGLÉS Y ALEMÁN Agregates for construction Works Pat 2: Complementary information

COMENTARIOS SOBRE LAS NORMAS

Para cada uno de los Comités desde la última publicación han tenido lugar las siguientes actualizaciones: Betunes y ligantes bituminosos (Comité Técnico AEN/CTN 51/SC1)

• Se han publicado las siguientes normas de ensayo de betunes

o UNE EN 1426 de penetración

o UNE EN 12607-1 de endurecimiento por calentamiento por el método RTFOT

• Se han publicado normas generales de ligantes bituminosos

o UNE EN 12594 de preparación de muestras de ensayo

o UNE EN 12597 de terminología

Mirando al pasado

Documento publicado en mayo- junio de 1971.

PRACTICIDAD, CALIDAD Y ALTO RENDIMIENTO A UN COSTO MUY COMPETITIVO

LA PLANTA DE ASFALTO AMMANN ABC SOLIDBATCH CUBRE UNA AMPLIA GAMA DE NECESIDADES, EMPEZANDO DE LA CAPACIDAD DE PRODUCCIÓN DE 100 T/H HASTA 340 T/H.

Las características que la distinguen son:

• Planta discontinua, diseñada para producir mezclas tradicionales en caliente, asfaltos tibios con espumado Ammann, mezclas con aditivos sólidos y líquidos

• Garantiza confiabilidad a largo plazo

• Diseñada para el uso de RAP introducido en el mezclador, hasta 40%

• Un proceso optimizado y de alto rendimiento también gracias a la simplicidad y seguridad en el uso y mantenimiento

• Alto ahorro energético gracias a la eficiencia del proceso de secado y filtración de AMMANN

• La baja inversión inicial y los bajos costes de gestión maximizan los beneficios para nuestros clientes

• Diseñada para ser modernizada gradualmente con las últimas tecnologías de Ammann

Noticias

Noticias del sector

En esta sección se recoge informaciones sobre citas relevantes, convocatorias e iniciativas relacionadas con el sector de la pavimentación

ASEFMA sella un acuerdo estratégico para impulsar la eficiencia energética en el sector del asfalto

La Asociación Española de Fabricantes de Mezclas Asfálticas (ASEFMA) ha suscrito un acuerdo estratégico con la ingeniería Emin Energy, especializada en eficiencia energética y gestión del Sistema de Certificados de Ahorro Energético (CAEs) Este convenio permitirá a las empresas asociadas transformar en valor económico los ahorros generados en obras, procesos o instalaciones mediante su certificación y comercialización en el mercado energético

El acuerdo, firmado por Juan José Potti, presidente ejecutivo de ASEFMA, y Jaime Sastre, CEO de Emin Energy, contempla servicios de asesoría técnica, formación especializada y desarrollo de proyectos innovadores vinculados a la mejora energética en el sector de la pavimentación asfáltica Gracias a esta colaboración, las empresas asociadas podrán acceder a un servicio de asesoría CAE 360, que incluye la identificación de actuaciones elegibles, el análisis técnico y documental, la elaboración del expediente completo y la gestión para su monetización Todo ello bajo un modelo de remuneración “a éxito”, con bajos costes iniciales, que alinea los intereses de ambas partes

Además, el acuerdo impulsa una línea de formación técnica especializada en CAEs, bonificable a través de la Fundación Estatal para la Formación en el Empleo ( F U N D A E ) , c o n c o n t e n i d o s a d a p t a d o s a l s e c t o r d e mezclas asfálticas ASEFMA podrá alojar sus propios cursos en la plataforma online de Emin Energy, facilitando el acceso a una oferta formativa actualizada y de calidad

El acuerdo contempla también la puesta en marcha de proyectos singulares de alto impacto, en colaboración con empresas asociadas, en ámbitos como la rehabilitación de firmes o la modernización de infraest r u c t u r a s E s t o s p ro y e c t o s p o d r á n t r a n s f o r m a r s e e n

CAEs, generando ingresos que reducen el periodo de retorno de las inversiones realizadas

Con esta iniciativa, ASEFMA refuerza su compromiso con la sostenibilidad y la innovación, facilitando a sus asociados herramientas concretas para afrontar los retos energéticos actuales y avanzar hacia un modelo más eficiente y competitivo

ASEFMA y Emin Energy anuncian el lanzamiento de la formación integral sobre eficiencia energética aplicada al sector de la pavimentación

ASEFMA anuncia la apertura del período de inscripciones para el primer curso “Formación integral sobre el sistema CAE: origen, agentes, características y aplicación en el marco del RD 36/2023”, dirigido a capacitar a personal técnico y directivo en el funcionamiento de este sistema de certificados de ahorro energético

La formación abordará los fundamentos y marco normativo del CAE, las actuaciones de ahorro y su catálogo de fichas, el papel de los agentes implicados y el procedimiento de solicitud e inscripción de ahorros

Con una duración total de ocho horas, se ofrecerá en modalidad híbrida (cuatro horas online y cuatro presenciales en la sede de ASEFMA) y también en formato 100% online, a través del campus de formación de

Emin Energy (Moodle), bonificable a través de FUNDAE. La primera edición de 2025 será en formato híbrido y comenzará el 8 de septiembre con la parte online, seguida de la sesión presencial el 23 de septiembre en la sede de ASEFMA Las inscripciones pueden formalizarse a través del correo caes@asefma com es o contactando con la secretaría técnica de ASEFMA

El anuncio coincide con la presentación del nuevo microsite asefma.es/cae, que reúne toda la información técnica y normativa sobre el Sistema CAE, así como los servicios que ASEFMA pone a disposición de sus asociados para mejorar su eficiencia energética:

• F o r m a c i ó n : p r o g r a m a s e s p e c i a l i z a d o s e n modalidad híbrida (online y presencial) y 100% online, bonificables a través de FUNDAE, para avanzar en la capacitación del sector

• Asesoramiento 360º: acompañamiento integral en el análisis, justificación y monetización de actuaciones de eficiencia energética, tanto estandarizadas como singulares.

• D e s a r ro l l o d e p ro y e c t o s s i n g u l a re s : a p o y o técnico en intervenciones de alto impacto energético que no estén incluidas en el catálogo oficial de medidas y que requieran metodologías específicas de cálculo y validación

El nuevo espacio web también explica el potencial de los CAEs como herramienta para monetizar los ahorros energéticos derivados de mejoras como cambios en la iluminación, aislamiento térmico o renovación de equipos, ofreciendo así una oportunidad doble: reducción de costes y generación de ingresos.

España estará presente en el XXIII CILA con 35 comunicaciones, el 9% del total de las comunicaciones seleccionadas

España refuerza su liderazgo técnico en el sector del asfalto con la presentación de 35 comunicaciones en el XXIII Congreso Ibero-Latinoamericano del Asfalto (CIL A ) , q u e s e c e l e b r a r á d e l 1 7 a l 2 1 d e n o v i e m b re e n Asunción, Paraguay Así lo ha anunciado el comité organizador en el segundo boletín oficial del evento, que

confirma la aprobación de 395 trabajos técnicos procedentes de 23 países.

España se sitúa entre las delegaciones más destacadas, junto a Brasil (75), México (43), Argentina (42) y Colombia (42), consolidando su posición como referente en innovación y transferencia de conocimiento en infraestructuras viarias

El análisis temático de las comunicaciones aprobadas revela que el área con mayor atención por parte de la comunidad técnica ha sido el estudio de materiales asfálticos, que concentra el 29,6% del total de trabajos Le siguen las técnicas de pavimentación ecológicas ( 1 7 % ) , e l d i s e ñ o d e m e z c l a s a s f á l t i c a s ( 1 5 , 7 % ) y l a gestión de pavimentos (13,4%), lo que evidencia un interés prioritario por la calidad, la sostenibilidad, la durabilidad y la optimización del comportamiento mecánico de los firmes

Destacan también las comunicaciones dedicadas a la construcción y conservación de pavimentos flexibles (8,6%) y al proyecto estructural de pavimentos (7,6%), que abordan soluciones para una infraestructura más re si l i e nte y e fi ci e nte F i na l m e nte , a unque e n m e nor proporción, también se han presentado trabajos sobre áridos (3%), materiales o aplicaciones bituminosas no convencionales (4%) y formación de recursos humanos y divulgación técnica del asfalto (1%), que completan el mapa de intereses del sector.

El Congreso CILA constituye el principal punto de encuentro técnico-científico del ámbito iberoamericano en materia de pavimentación y mezclas bituminosas, y este año volverá a ser el espacio donde administ r a c i o n e s , e m p r e s a s , u n i v e r s i d a d e s y c e n t r o s tecnológicos compartirán experiencias, debatirán soluciones y reforzarán su cooperación internacional en favor de una movilidad más eficiente, segura y sostenible ]

Más de la mitad de las carreteras españolas requiere intervención urgente, según un reciente informe de la AEC

Un estudio de la Asociación Española de la Carretera (AEC), publicado el 3 de julio de 2025, revela que

el 52 % de las carreteras presentan firmes en estado grave o muy grave (34.000 km) y requieren intervención en menos de un año El déficit de inversión acumula ya 13 491 millones de euros, un 43 % superior a lo estimado en 2022 El informe, basado por primera vez en inspección digital mediante inteligencia artificial, estima que 34 000 kilómetros requieren reconstrucción urgente y que el déficit acumulado de conservación supera los 13.400 millones de euros.

El estudio, que se ha realizado sobre una muestra de 4 000 kilómetros representativos de los 101 700 kilómetros de red estatal, autonómica y foral, identifica daños estructurales (como baches y piel de cocodrilo) y superficiales (grietas longitudinales y transversales, y descarnaduras) que exigen intervención en plazos inferiores a un año

Además, se contabilizan otros 20 407 kilómetros que presentan daños graves y deberían ser atendidos antes de cuatro años En conjunto, más de la mitad de las carreteras españolas (54.373 km) requerirían trabajos de conservación a corto o medio plazo

El análisis territorial sitúa a Aragón, Castilla-La Mancha y Galicia entre las comunidades autónomas con mayor proporción de red en mal estado En Aragón, el 68% de la red presenta daños muy graves, muy por encima de la media nacional (52%)

El informe destaca también el impacto económico del deterioro viario: durante los meses de julio y agosto, el sobrecoste en combustible derivado del mal estado de los firmes podría superar los 270 millones de euros, debido al aumento del consumo energético y la reducción de la velocidad media en los desplazamientos

La AEC subraya que el ritmo de deterioro de los últimos tres años ha sido del 8% anual El déficit de conservación se reparte en 4 721 millones de euros para la Red del Estado y 8 770 millones para la Red Autonómica y Foral

En esta edición, la auditoría se ha realizado con tecnología de captación dinámica de imágenes y análisis mediante inteligencia artificial, lo que ha permitido una evaluación más precisa, rápida y con una mayor cobertura territorial que en los informes anteriores basados en inspección visual

Operación asfalto 2025 en Madrid

Durante este verano se ha realizado la campaña de renovación de pavimentos en 256 calles de los 21 dist r i t o s d e M a d r i d , c o n u n a i n t e r v e n c i ó n s o b r e c a s i 605 000 m² y una inversión de 12,2 millones de euros

Se ha previsto el empleo de unas 73 000 toneladas de mezcla asfáltica sostenible, incluyendo:

◦ Mezclas semicalientes (aproximadamente el 50 % del material) que reducirán emisiones (CO₂, SO₂ y compuestos orgánicos volátiles), mejorando la seguridad laboral y el ahorro energético (11–35 %) con u n a r e d u c c i ó n p r e v i s t a d e 1 5 0 t o n e l a d a s d e C O ₂ equivalente

◦ Mezclas calientes con betún modificado con caucho reciclado, reutilizando 33 000 neumáticos,

◦ Mezclas SMA (8 000 toneladas) para calles de alta intensidad de tráfico, aportando durabilidad y menor ruido

La iniciativa Young Paving Talent (YPT) se consolida con la constitución de su primer Consejo Directivo

La Asociación Española de Fabricantes de Mezclas Asfálticas (ASEFMA) ha dado un paso firme en el impulso de la iniciativa Young Paving Talent (YPT) con la constitución de su primer consejo directivo Este nuevo órgano está formado por los integrantes del grupo de trabajo “Talento joven” de ASEFMA y por jóvenes profesionales del sector del asfalto que representan distintas empresas, trayectorias y perfiles técnicos

En la reunión celebrada el 10 de junio de 2025, se acordó por unanimidad que el consejo estaría presidido por Juan José Potti, presidente de ASEFMA, y compuesto por Eloi Baró, de Sorigué; Guillermo García, de Virtón; Javier Cameo, de Tecnofirmes; y Mateo Velasco, de Asfalpasa, todos ellos miembros activos del grupo “Talento joven”

A este equipo se suman, como representantes del relevo generacional, los jóvenes seleccionados por sus empresas: Aida Marzá (BECSA), Antonio Puerto (Guerola), Bogdan Constantin Popescu (Asfalpasa), Israel

Noticias del Sector

M a r t í n ( S o ri g u é ) , P e d ro C a m p o s ( P ro b i s a ) y R u b é n

Moreno (Virtón). La composición del consejo refleja un equilibrio entre experiencia, juventud y diversidad, tanto en perfiles como en representación geográfica y de género, de acuerdo con los datos preliminares obtenid o s d e l a e s t a d í s t i c a s e c t o r i a l q u e e s t á e l a b o r a n d o

ASEFMA

Esta configuración ha sido el resultado de una convocatoria abierta a los socios fabricantes de ASEFMA, orientada a fomentar la participación activa del talento joven en el futuro del sector La creación de YPT ha contado desde el inicio con respaldo institucional y económico, aprobado en la Asamblea General de ASEFMA 2025

Además, ASEFMA ha lanzado una encuesta sectorial para recopilar datos sobre la estructura de las plantillas, con especial atención a la edad, la antigüedad y las categorías profesionales del personal Esta herramienta permitirá identificar retos y oportunidades clave para el diseño de las futuras acciones de YPT.

Entre los primeros objetivos del consejo figuran la puesta en marcha de grupos de trabajo temáticos, el desarrollo de programas de formación y atracción de talento, la creación de materiales divulgativos y el fortalecimiento de la presencia del sector entre los jóvenes, especialmente a través de redes sociales, centros educativos y alianzas con otras entidades.

C o n Yo u n g P a v i n g Ta l e n t , A S E F M A r e f u e r z a s u compromiso con una transición generacional ordenada, participativa y comprometida con la sostenibilidad, la innovación y el desarrollo profesional en el sector de la pavimentación

ASEFMA concede el premio a la mejor comunicación de 2025 en su XIV Jornada Técnica

La Asociación Española de Fabricantes de Mezclas Asfálticas (ASEFMA) ha concedido el Premio a la Mejor Comunicación del año 2025 al trabajo “IASF: herramienta de optimización en fabricación, transporte y ejecución de mezclas asfálticas” presentado por el equipo de PAVASAL, que integra José Ramón Albert García, José Ramón López Marco y Jesús Felipo Sanjuán La

exposición oral, a cargo del primer integrante y coordinador de I+D en la entidad, tuvo lugar durante la XIV Jornada Técnica de ASEFMA, celebrada los días 3 y 4 de junio en el centro Meeting Place de Madrid y retransmitida en streaming

El Comité Técnico de ASEFMA seleccionó esta propuesta entre 15 comunicaciones seleccionadas, de las cuales ocho fueron elegidas para su presentación oral y optaban al premio a la Mejor Comunicación Libre. El trabajo de PAVASAL destacó por su rigor científico, su carácter disruptivo en el ámbito de la digitalización y su impacto directo sobre la eficiencia y sostenibilidad del sector.

La solución IASF (Inteligencia Artificial para mezclas asfálticas) plantea una transformación integral en la gestión operativa del proceso productivo Mediante el uso de algoritmos de IA y herramientas de digitalización en tiempo real, permite planificar de forma óptima el día anterior (N-1) y reaccionar dinámicamente el día de ejecución (N) frente a cualquier alteración en el sistema: desde incidencias de tráfico o meteorológicas hasta retrasos en planta o en obra

Una de las aportaciones más relevantes del trabajo es la implementación del concepto “ruptura de ronda”, que rompe con la asignación fija de transporte a una obra y redistribuye recursos en tiempo real allí donde se minimizan los tiempos de espera globales. Esta innovación ha demostrado una reducción del 15% en los tiempos de ejecución, así como mejoras en el uso del transporte, consumo energético y producción en planta.

Además, la herramienta integra cuadros de mando y sistemas de trazabilidad digital que permiten a los dif e re n t e s a c t o re s i m p l i c a d o s ( j e f e s d e o b r a , p l a n t a y transporte) tomar decisiones con mayor precisión, monitorizar desviaciones y establecer sistemas de mejora continua

El comité técnico ha destacado también el enfoque aplicado y la validación en escenarios reales, que convierten a IASF en una herramienta ya disponible para el sector y con alto potencial de replicabilidad

Las ocho investigaciones finalistas al Premio Mejor Comunicación Libre presentadas durante la jornada, y que forman parte de las actas oficiales de la XIV Jorna-

Secciones fijas

da Técnica de ASEFMA, son muestra del patrimonio técnico, capacidad de innovación y compromiso medioambiental del sector de la pavimentación asfáltica en España

El Premio “Mejor Comunicación Libre” es una iniciativa sectorial vinculada a las jornadas técnicas de ASEFMA que quiere visibilizar y fomentar la investigación y desarrollos en materia de mezclas asfálticas Responde a la apuesta por la innovación de las entidades fabricantes de asfalto y aquellas vinculadas a su producción, transporte y aplicación

Siobhan McKelvey, directora general de Eurobitume, recibe el Premio Defensora del Asfalto 2025 de EAPA

La Asociación Europea del Asfalto (EAPA) ha reconocido a Siobhan McKelvey, directora general de Eurobitume, con el premio Asphalt Advocate 2025, por su contribución destacada a la visibilidad del asfalto como solución vial y su impulso a la comunicación sectorial en Europa

El galardón, instaurado en 2017, reconoce anualmente a una persona que haya demostrado un firme compromiso con la defensa del asfalto, especialmente en relación con la campaña conjunta “Asphalt Advantages”, desarrollada por EAPA y Eurobitume

Durante la ceremonia, el secretario general de EAPA, Carsten Karcher, destacó la prolongada colaboración de McKelvey con la asociación y su papel esencial en el fortalecimiento de la relación entre EAPA y Eurobitume: “Tu dedicación a reforzar la voz de las industrias del asfalto y el betún en toda Europa es ejemplar Bajo tu liderazgo, la campaña ‘Asphalt Advantages’ se ha consolidado como una fuente de referencia en conocimiento y defensa del sector”

Por su parte, Siobhan McKelvey expresó su agradecimiento por el reconocimiento y compartió su visión positiva sobre el futuro del sector: “Es gratificante ver los cambios en la industria y a las nuevas personas que se están incorporando, con la misma pasión y compromiso que quienes hemos trabajado codo con codo durante más de una década El liderazgo de EAPA está

marcando la diferencia, y creo que todas y todos miramos con ilusión hacia un futuro prometedor y exitoso”

El reconocimiento a Siobhan McKelvey subraya el valor de las alianzas entre asociaciones sectoriales y el valor esencial de la comunicación para avanzar hacia una movilidad más eficiente y sostenible en Europa

Eurobitume en el Registro de Transparencia de la UE

Desde agosto de 2025, EUROBITUME forma parte del registro oficial, reforzando la transparencia y legitimidad de su representación institucional

Esta acción de transparencia institucional refuerza el liderazgo renovado en Eurobitume este año con nuevo presidente y nuevas membresías destacando la incorporación de PEAB Asfalt (grupo nórdico) y Schenk UK (transportista de betún), que se unieron a Eurobitume en agosto de 2025, ampliando su representatividad en el sector bituminoso europeo

Así mismo destaca la difusión científica del informe LCA 4 0 y diversos eventos educativos y congresos, el Premio “Asphalt Advocate”comentado anteriorm e n t e , e l r e p o r t e d e d a t o s s e c t o r i a l e s ; i m p u l s o e n digitalización (Asphalt 4 0) I

Entre los Webinar, hay cierta expectación sobre el titulado “Future Bitumen Specifications”, que se celebrará en septiembre de 2025 para todos los interesados en el tema, dentro de la serie “Open to All” de Eurobitume.

XIV JORNADA TÉCNICA DE ASEFMA.

Impacto de los cambios normativos en el sector de la pavimentación asfáltica

Jesús Felipo Sanjuán

En los últimos años se han producido importantes cambios normativos que afectan al sector de la pavimentación asfáltica Temas como los materiales bituminosos y su diseño, la reutilización de las capas de firmes y los pavimentos bituminosos o también cuestiones relacionadas con criterios ambientales han sufrido cambios normativos profundos que afectan, y van a afectar en el futuro de una forma muy importante, a todo el sector

Por ello, la XIV jornada técnica de ASEFMA (Asociación Española de Fabricantes de mezclas asfálticas), celebrada en Madrid los días 3 y 4 de junio de 2025, abordó esta temática, de vital importancia para el sector, analizando el impacto que representan los recientes cambios

normativos y la adaptación necesaria en el sector de la pavimentación asfáltica para cumplir los nuevos requisitos Este análisis se realizó desde diferentes puntos de vista, teniendo en cuenta tanto la opinión de las empresas como la de las administraciones públicas

El programa técnico, estructurado en siete sesiones, abordó temáticas de gran relevancia, como las nuevas Órdenes Circulares (O C ) que regulan las nuevas familias de mezclas bituminosas (SMA y AUTL), la reutilización de materiales, las tecnologías en frío, la huella de carbono y la digitalización Además, y tal y como es habitual, no faltaron las sesiones dedicadas a la presentación de las tareas realizadas por los grupos de trabajo

XIV JORNADA TÉCNICA DE ASEFMA.

Impacto de los cambios normativos en el sector de la pavimentación asfáltica

tanto de ASEFMA como de ALEAS, así como la habitual y muy interesante sesión de comunicaciones libres.

Entrando ya en detalle de lo que fue el desarrollo de la jornada y las cuestiones técnicas tratadas, en la primera sesión, el debate giró en torno a las mezclas de alto rendimiento, como las Stone Mastic Asphalt (SMA) y las mezclas bituminosas de bajo espesor (AUTL), cuestiones directamente reguladas por las órdenes circulares 3/2019 y 3/2022, respectivamente. A lo largo de la sesión se hizo referencia a las características de dichas familias de mezclas, con sus ventajas e inconvenientes, así como a las cuestiones normativas más importantes Destacó el tratamiento realizado sobre los ensayos y controles a realizar sobre dichas mezclas y el planteamiento de la dificultad de aplicar ciertas normas de ensayo a las mezclas una vez extendidas, especialmente en las cuestiones relacionadas con la densidad y dotación

Posteriormente, en esta misma sesión, se expuso la estimación de empleo de este tipo de mezclas en el mercado español, detectándose que, a pesar de las ventajas que ofrecen, se emplean en muy pequeño porcentaje sobre el total de las mezclas fabricadas En la mesa redonda posterior se analizaron las posibles causas de este bajo empleo, planteándose algunas medidas para impulsar su uso

Durante la segunda sesión se abordó uno de los temas más recurrentes en las últimas jornadas, que es el de la reutilización Esta sesión abordó la importancia de reutilizar los materiales envejecidos en las mezclas nue-

vas fabricadas, y cómo se puede incrementar su empleo, analizando en profundidad la Orden Circular 2/2023 sobre reutilización de las capas de firme y pavimentos bituminosos, tanto desde el punto de vista de la Administración como desde el punto de vista de los fabricantes; éstos últimos plantearon algunas cuestiones establecidas en la normativa, especialmente relacionadas con el control de calidad y con el abono de las mezclas, que podrían limitar el interés por la reutilización del material fresado

Por otra parte, se trató en profundidad la problemática de fabricar mezclas reutilizadas con altas de RA, intentando plantear las metodologías y controles adecuados para asegurar la durabilidad de las mezclas con altos contenidos de material recuperado Este punto se consideró fundamental, ya que una técnica que se puede considerar muy positiva medioambientalmente y totalmente alineada con la economía circular, podría perder parte de sus bondades si la durabilidad de las soluciones se viese afectada. En la sesión se pudieron analizar diferentes acciones, como la adición de aditivos o la aplicación de controles específicos a este tipo de mezclas, que pueden ayudar a asegurar la durabilidad de las mezclas reutilizadas

La tarde del primer día estuvo compuesta por dos sesiones La temática de la tercera sesión se centró en la tecnología en frío, planteada desde el análisis de una de las órdenes circulares más recientes, como es la Orden Circular 1/2024 sobre materiales compuestos de áridos y emulsión bituminosa fabricados y puestos en obra a temperatura ambiente. En este punto se hizo un repaso a los materiales considerados en la norma y sus principales requisitos

La cuarta y última sesión del día se centró en la presentación de las tareas realizadas por los grupos de trabajo de ASEFMA así como los avances realizados en ALEAS (Agrupación de Laboratorios de Entidades asociadas a ASEFMA). Así, se presentó la monografía número 22 de ASEFMA, que lleva por título “Pavimentos asfálticos urbanos”, y que trata todos los aspectos relacionados con las características específicas de esta especialidad dentro de la pavimentación asfáltica

En relación con los trabajos que se están realizando en ALEAS, se presentaron los avances en los grupos de

Reutilización de mezclas bituminosas, Mezclas fabricadas a menor temperatura, así como los que se han producido en el grupo de Toma de muestras y ensayos interlaboratorios También se expusieron las publicaciones elaboradas por esta entidad (protocolos, procedimientos experimentales, guías técnicas e informes) cuya descarga gratuita está disponible en la página web de ASEFMA Finalmente se dio una visión de futuro de las próximas tareas a realizar, entre las que destaca la Formación en la realización de ensayos sobre mezclas bituminosas, y de la que ya se ha realizado un curso en colaboración con el Centro de Estudios y Experimentación de obras públicas (CEDEX) con gran éxito de asistencia y resultados

El segundo día se inició con una de las clásicas sesiones en todas las jornadas Técnicas de ASEFMA Fue durante la quinta sesión donde se presentaron, por parte de sus autores, las ocho comunicaciones libres seleccionadas, de entre las dieciséis recibidas Estas comunicaciones versan, en general, sobre temáticas diversas, especialmente tratando temas como son la innovación de materiales, cuestiones medioambientales y, en las últimas fechas, muchas presentan temas relacionados con la digitalización del sector Y, precisamente, una comu-

nicación sobre digitalización fue la que obtuvo el premio a la mejor comunicación libre de esta jornada (IASF, herramienta de optimización en fabricación, transporte y ejecución de mezclas asfálticas)

En las dos siguientes sesiones se trataron temas transversales, como son la sostenibilidad y la durabilidad de las soluciones asfálticas

L a s e x t a s e s i ó n , c e n t r a d a e n l a O r d e n C i r c u l a r

3/2024 sobre el cálculo de la huella de carbono de la construcción o rehabilitación de firmes, dio la posibilidad de trasladar la gran preocupación existente en toda la sociedad sobre el calentamiento global y sus efectos, analizando las medidas que está adoptando el sector, tanto la parte empresarial como la administración Destacar en esta última cuestión las inversiones realizadas por las empresas para reducir su huella de carbono, así como también la incorporación de nueva normativa a los pliegos que valore las mejoras ambientales y las licitaciones de obras con mejoras en sostenibilidad de todo el proceso, cuyos ejemplos más destacados son las obras licitadas bajo los proyectos EfaPaves y EcoPaves

En la séptima y última sesión se realizó un análisis en profundidad de la Orden Circular 1/2023 sobre la actualización de espesores de las capas y tipos de mezclas bi-

tuminosas en caliente y semicaliente en la norma 6 1 IC “Secciones de firme”, presentando posteriormente algunas ideas de cómo se podían trasladar las ventajas de las nuevas familias de mezclas normalizadas al diseño de los firmes, y planteando la importancia que pueden tener los ensayos prestacionales para poder diseñar estos firmes con las nuevas herramientas con las mayores garantías posibles Así, se destacó la importancia de pasar de los tradicionales ensayos de control a ensayos orientados a prestaciones, que evalúan el comportamiento real

de las diferentes mezclas en los firmes Esta transición permite al sector investigar y aplicar nuevos productos siempre y cuando se demuestre su cumplimiento de los criterios de durabilidad y rendimiento exigidos

En definitiva, la XIV Jornada Técnica de ASEFMA ha servido como un barómetro preciso del estado actual y de las proyecciones futuras de la industria española de la pavimentación asfáltica Si bien la jornada evidenció que el sector es innovador y con gran capacidad de respuesta, también puso de manifiesto desafíos estructurales y retos para un futuro próximo

Finalmente, como coordinador de la jornada, quiero agradecer a todos los ponentes y asistentes, tanto presenciales (más de 200 asistentes) como a través del streaming, su elevada participación activa en los debates (no en vano la jornada generó cerca de 4,5 millones de impactos en los canales digitales) y su implicación en la realización de esta jornada También quiero agradecer especialmente a la Dirección General de Carreteras del Ministerio de Transportes y Movilidad Sostenible su participación activa en las ponencias y en los debates posteriores, muy necesaria para el avance del sector, y al Comité Técnico de ASEFMA su apoyo e implicación en la realización de la jornada, sin el cual hubiese sido imposible su realización

GRUPO DE TRABAJO DE ENSAYOS PRESTACIONALES.

Aleas, desde su formación en 2012, ha realizado diferentes trabajos sobre la metodología y ejecución de los ensayos de laboratorio de mezclas bituminosas en caliente Este nuevo formato de trabajo colaborativo entre numerosos profesionales de diferentes entidades ha facilitado la realización de numerosos documentos que van a permitir facilitar el desempeño de los trabajos de laboratorio para obtener resultados más representativos y poder tomar las decisiones adecuadas sobre su composición (ajustes) y tratamiento en la fase de fabricación o ejecución en las obras

Fruto del trabajo realizado durante estos años se han publicado numerosos documentos técnicos que sirven de ayuda en la realización de los trabajos de laboratorio

En la sección de Aleas de este número de la revista se hace una revisión a todos estos documentos, publicados en la página web de Asefma con posibilidad de descarga gratuita

https://asefma es/aleas/

Los documentos están clasificados de la siguiente forma:

Protocolos de ensayo.

Tienen el objetivo de explicar el desarrollo del ensayo y aclarar algunos criterios sobre la selección de los apartados adecuados o las condiciones de ensayo requeridas en nuestras especificaciones, respetando las condiciones que marca la norma de ensayo

En la actualidad se dispone del protocolo de ensayo de las siguientes normas de ensayo:

• UNE EN 12697-33

• UNE EN 12697-22

• UNE EN 12697-12

• UNE EN 12697-31

Publicaciones.

Documentos técnicos de los resultados obtenidos en los trabajos realizados y que han sido presentados en distintos congresos, jornadas sectoriales o revistas técnicas Describen la composición del grupo de trabajo, el desarrollo de la metodología empleada y los resultados obtenidos en los mismos

Los documentos publicados son los siguientes:

• Recomendaciones para la toma de muestra y tratamiento en laboratorio de materiales bituminosos y sus componentes XXI CILA, Punta del Este Uruguay (2022)

• P r e s e n t a c i ó n d e A l e a s X I I J o r n a d a Té c n i c a d e Asefma (2022)

• El ensayo de adherencia de capas de firme según

la NLT 382/08 Estudio comparativo de los resultados obtenidos con los dispositivos A y B. XIX CILA. (2017)

• Resistencia la deformación permanente de mezclas bituminosas: estimación de la precisión del ensayo EN 12697-22 y su influencia en la interpretac i ó n d e l o s r e s u l t a d o s A s f a l t o y P a v i m e n t a c i ó n (2017)

• Deformación plástica de las mezclas bituminosas. Métodos de caracterización y aplicabilidad en las obras Asfalto y Pavimentación (2017)

• Análisis del ensayo de resistencia a la deformación permanente (UNE-EN 12697-22): conclusiones de trabajo de ALEAS Asefma (2016)

• Herramienta de análisis de la incertidumbre de ensayos de mezclas bituminosas (2015)

• E s t u d i o c o m p a r a t i v o d e l a m e t o d o l o g í a d e compactación giratoria-impacto Parte IV (8), mezc l a s p o r o s a s I X J o r n a d a N a c i o n a l d e A s e f m a (2014)

• E s t i m a c i ó n d e l a i n c e r t i d u m b re d e u n a m e d i d a

aplicada a métodos de ensayos de control de calidad en mezclas bituminosas. IX Jornada Nacional de Asefma (2014)

• Estudio de la equivalencia entre la compactadora giratoria y el equipo de impacto Marshall XVII CILA (2013)

• Comparative study between gyratory compactor and impact compactor (Marshall) to prepare bituminous mixture specimens. IRF (2013)

• Estudio comparativo de la metodología de compactación giratoria-impacto, parte IV VIII Jornada Nacional de Asefma (2013)

• Estudio comparativo de la metodología de compactación giratoria-impacto, parte III VII Jornada Nacional de Asefma (2012)

• Estudio comparativo de la metodología de compactación giratoria-impacto, parte II IV Jornada Nacional de Asefma (2009)

Procedimientos experimentales.

Documentos realizados dentro de un grupo de trabajo en Aleas para dar a conocer cómo debe realizarse un procedimiento de ensayo, muestreo o fabricación en una mezcla bituminosa, sin necesidad de tener que ceñirse a lo indicado en una norma ya publicada

• Plantilla toma datos PEAleas 03

• Acondicionamiento de muestras de mezclas bituminosas para la preparación de probetas (2023)

• Metodología de trabajo para determinar los parámetros óptimos de un betún espumado Relación de expansión y vida media (2022).

• Propagación de la fisuración mediante un ensayo a flexión de una probeta semicircular UNE EN 1269744 (2023)

Guías técnicas

Documentos que, de manera consensuada entre los miembros de Aleas, recogen las recomendaciones sobre cómo se debe llevar a cabo alguna actividad técnica relacionada con las mezclas bituminosas

Guía Técnica nº 1 – Recomendaciones para la toma de muestra y tratamiento en laboratorio de materiales bituminosos y sus componentes (2023)

Informes.

Documentos donde se recoge todos los datos recopilados en el proceso de desarrollo del estudio de un trabajo de laboratorio o en un estudio a escala industrial Ejercicio de comparación interlaboratorio densidad máxima UNE EN 12697-5:2020 (2023)

Número

Son documentos importantes en los laboratorios de ensayo para su consulta y aplicación en los laboratorios de materiales de mezclas bituminosas Como se ha indicado anteriormente, todos estos documentos están a disposición de cualquier persona para su consulta o con posibilidad de descarga gratuita desde la página web de Asefma

En un futuro todos los trabajos que sean realizados en dentro de los grupos de trabajo de Aleas que sean presentados en jornadas técnicas o para su utilización en el desarrollo de alguna de las metodologías de ensayo, serán incorporados a la biblioteca de documentos de Aleas para su posterior difusión en todo el sector.

Lecturas recomendadas

Improving Performance of Longitudinal Joints in Airfield Asphalt Pavements Volume 1, 2 and 3. NAPA & AAPTP. 2025.

Las especificaciones de construcción y mantenimiento de los pavimentos aeroportuarios son de las más estrictas en el sector de la pavimentación debido a las implicaciones que tienen en la seguridad de las operaciones de las aeronaves

El Acuerdo de Cooperación entre NAPA (National Asphalt Pavement Association) y la Administración Federal de Aviación (FAA) impulsa múltiples áreas relacionadas con los pavimentos asfálticos y sus materiales Este esfuerzo se centra en impulsar soluciones del siglo XXI para el diseño, la construcción y los materiales de pavimento asfáltico considerados importantes para la fiabilidad, la eficiencia y la seguridad de los aeródromos, con el objetivo general de impulsar el progreso de Estados Unidos

Fruto de este acuerdo se ha publicado el documento “Improving Performance of Longitudinal Joints in Airfield Asphalt Pavements” que está dividido en tres volúmenes:

i Este volumen resume una revisión de la literatura sobre las prácticas de construcción de juntas longitudinales en aeródromos y carreteras, incluido el uso de membranas asfálticas reductoras de huecos (VRAM), adhesivos para juntas, calentadores de juntas y selladores de juntas, que se han utilizado para mejorar el rendimiento de las juntas

ii Este informe describe las inspecciones realizadas para proyectos existentes con aplicación de membranas reductoras de huecos (VRAM) para evaluar su desempeño, así como las inspecciones de nuevas obras que instalan VRAM y emulsiones de penetración rápida (RPE).

iii Se prescriben procedimientos específicos para la construcción de juntas longitudinales en pavimentos aeroportuarios, y se deben cumplir requisitos específicos de densidad para dichas juntas Este manual abarca el proceso general de construcción de juntas, con especial énfasis en las consideraciones de construcción, los materiales, las especificaciones y las prácticas que se basan en la información proporcionada en las normas AC 150/5370-10 y 150/5380-6 de la FAA

https://www asphaltpavement org/expertise/engineering/airports/resources-reports

“Monografía 18. Reutilización del asfalto recuperado procedente del fresado de pavimentos asfálticos. Guía de buenas prácticas”. 2025. Asefma. 56 páginas. ”

Los análisis de ciclo de vida de los pavimentos asfálticos asignan a la reutilización del asfalto recuperado un papel crucial en el proceso de descarbonización de las mezclas bituminosas y su fabricación mediante criterios de economía circular.

La Monografía 18 facilita información práctica a los técnicos que tienen que trabajar con esta materia prima secundaria de forma que puedan maximizar su empleo en la fabricación de mezclas bituminosas y conseguir las mejores prestaciones mecánicas posible de los pavimentos

Ese documento recoge un importante capítulo dedicado a temas normativos relativos a su procesamiento como residuo y su posterior conversión en materia prima secundaria

“El desarrollo e innovación contínua en las mezclas asfálticas permite disponer de soluciones muy eficientes en cuanto a Seguridad Vial con un alto nivel de adherencia y bajo siesgo de hidroplaneo” (Editorial)

#CONFORT Y SEGURIDAD

Monografía Asphalt 4.0 de Asefma

En el año 2024 se puso en marcha el Grupo “Asphalt 4 0” de Asefma El objetivo de este grupo es crear una monografía sobre el estado del arte en España y publicar una referencia sectorial relativa a la digitalización de la actividad de pavimentación de carreteras En realidad es un objetivo similar al que desde hace varios años, se está desarrollando dentro de la asociación europea, EAPA, y de la que el coordinador de este grupo, Juan José Potti, es también el coordinador de EAPA

En el caso de este grupo de Asefma, no se trataría de transponer la documentación europea, sino de explicar y desarrollar la realidad en España y dar un espacio dentro de las empresas asociadas a Asefma dentro de este grupo de trabajo La composición del grupo de Asefma “Asphalt 4 0” que está compuesto por más de 25 participantes, pertenecientes a más de 20 organizaciones asociadas a Asefma.

El trabajo desarrollado ha sido muy intenso porque la Monografía del Grupo “Asphalt 4 0” ya es una realidad y será presentado durante la 4th International Conference on Asphalt 4 0, en la sesión 7, el próximo día 25 de septiembre de 2025 en Madrid

La Monografía Asphalt 4 0 de Asefma aborda la digitalización y transformación digital en el sector de la p a v i m e n t a c i ó n a s f á l t i c a e n E s p a ñ a , d e s t a c a n d o l o s avances tecnológicos y su impacto positivo en la calidad, sostenibilidad y eficiencia de los procesos Se estructura en 12 apartados principales, que cubren desde la digitalización general y el concepto Asphalt 4 0, hasta innovaciones específicas en plantas asfálticas, logística, extendido y compactación, control de calidad, gest i ó n d i g i t a l d e l p a t r i m o n i o v i a l , g e m e l o s d i g i t a l e s , inteligencia artificial y nuevas visiones de futuro

El concepto Asphalt 4 0 se basa en tres pilares clave: uso de tecnologías digitales, desarrollo de sistemas inteligentes de decisión y mejora de la experiencia del cliente mediante trazabilidad del producto y del firme Este enfoque permite optimizar procesos, anticipar mantenimientos y mejorar la sostenibilidad del sector.

Asefma ha sido pionera en promover Asphalt 4 0 a nivel nacional, con iniciativas como la XIII Jornada Na-

cional centrada en este tema y la constitución en 2024 del Grupo de Trabajo Asphalt 4.0 que reúne a expertos de más de 20 organizaciones para analizar y evaluar el estado actual y futuro de la digitalización en el sector

El grupo trabaja colaborativamente para completar y actualizar la monografía, incluyendo referencias bibliográficas, proyectos y ejemplos prácticos que resalten el avance digital en el sector

Para más detalles sobre la monografía y los integrantes del grupo, puede accederse a la web de Asefma en https://asefma es/

#94 AFIRMACIONES ASFÁLTICAS

“Las carreteras con pavimentos bien mantenidos con mezclas bituminosas ofrecen una superficie de rodadura cómoda, silenciosa, segura y con bajo consumo de combustible” (Editorial)

#SOSTENIBILIDAD Y MEDIO AMBIENTE

Asfalto

epsol os R

l, abriend

epsol inno En R

da par amos ca ov

tarnos a las n dap a a

o

do camino

Asfaltos Repsol, abriendo camino

des as necesida nuev

En Repsol innovamos cada día para adaptarnos a las nuevas necesidades en pavimentación. Por eso, ahora te ofrecemos 5 gamas de asfaltos de para crear carreteras y pavimentos más seguros: PAVE, PERFORM, ADVANCE, COLOR e ISOLATE.

OLO ANCE, C V VANCE, RM, as y p eter ear carr cr a t ción. ahor

TE. OR e ISOLAATE. vimentos seg pa 5 gama ecemos te ofr uros: tos de al as de asf

Altas prestaciones

VE, PERFOR A AVE, AD P PA para vimentac en pa ollo. nica desarr iones

écn encia t asist estaci tas pr Al

asistencia técnica y desarrollo.

A tu medida

Descubre más

Des escubr

Turn static files into dynamic content formats.

Create a flipbook
Issuu converts static files into: digital portfolios, online yearbooks, online catalogs, digital photo albums and more. Sign up and create your flipbook.