SUPLEMENTO - PATENTE - EDICIÓN 10.553

Page 1

AGRUPADOS&JUDICIAL. 1

PATENTE DE INVENCIÓN (19) DIRECCIÓN NACIONAL DE PROPIEDAD INTELECTUAL REPUBLICA DEL PARAGUAY

Dirección Nacional de Propiedad Intelectual (11) Nro. Publicación: PY2020-2056233A (43) Asunción, 27 de Abril de 2022. Orden de Publicación de SOLICITUD de Patente de Invención (12) DATOS DE LA SOLICITUD (21) Nº de Solicitud: 20202056233 (22) Fecha de Solicitud: 18/09/2020 12:21:28 (71)

Solicitante: SYNGENTA CROP PROTECTION AG

Domicilio Solicitante: Rosentalstrasse 67, 4058 Basel, Suiza (72) Inventor: 1. Emery, Daniel 2. Muehlebach, Michel 3. Sen, Indira 4. Sikervar, Vikas 5. Rendler, Sebastian 6. Stoller, André 7. Kurtz, Benedikt 8. Buchholz, Anke Domicilio

Inventor: 1. Schaffhauserstrasse 4332 Stein Suiza 2. Schaffhauserstrasse 4332 Stein Suiza 3. Santa Monica Works Corlim, llhas Goa 403 110, India 4. Syngenta Biosciences Private Ltd. Santa Monica Works Corlim, llhas Goa 403 110, India 5. Rosentalstrasse 67 4058 Basel, Suiza 6. Schaffhauserstrasse 4332 Stein Suiza 7. Schaffhauserstrasse 4332 Stein Suiza 8. Schaffhauserstrasse 4332 Stein Suiza (54) Título: DERIVADOS HETEROCÍCLICOS ACTIVOS COMO PLAGUICIDAS CON SUSTITUYENTES QUE CONTIENEN AZUFRE Y SULFOXIMINA (74)

Agente: Juan Pablo Salomoni Guanes - 4795 (30) Prioridad/ es: 201911038070 - 20/09/2019 - IN 20201103092620/07/2020 - IN (51) Int. CI 8: A 01N 43/90(2006.01), A 01P 5/00(2006.01), C 07D 401/04(2006.01) En cumplimiento al Artículo 1 de la Ley N° 2593/05 que modifica el Artículo 23 de publicaciones de la Ley N° 1630/00 de Patentes de Invención, se dispone que a partir de la fecha de la presente orden de publicación, esta solicitud de patente se hace pública y se ordena su publicación por el término de la Ley. (57) Resumen: (234/20). Compuestos de fórmula (I) donde los sustituyentes son tal como se definen en la reivindicación 1. Además, la presente invención se refiere a composiciones agroquímicas que comprenden compuestos de fórmula (I), a la preparación de

estas composiciones y al uso de los compuestos o las composiciones en agricultura u horticultura para combatir, prevenir o controlar plagas de animales, incluyendo artrópodos y, en particular, insectos o representantes del orden Acarina. Farm. Berta Segovia, Directora Interina – Dirección de Patentes. 11/06 -

PATENTE DE INVENCIÓN (19) DIRECCIÓN NACIONAL DE PROPIEDAD INTELECTUAL REPUBLICA DEL PARAGUAY

Dirección Nacional de Propiedad Intelectual (11) Nro. Publicación: PY2022-2246056A (43) Asunción, 9 de Marzo de 2023.Orden de Publicación de SOLICITUD de Patente de Invención (12) DATOS DE LA SOLICITUD (21) N° de Solicitud: 20222246056 (22) Fecha de Solicitud: 07/06/2022 13:01:50 (71)

Solicitante: SYNGENTA CROP PROTECTION AG Domicilio Solicitante: Rosentalstrasse 67, 4058 Basel, Suiza (72) Inventor: REYNOLDS, CLARENCE MICHAEL Domicilio Inventor: 9 Davis Drive Road Durham NC 27709 , U.S.A. (54) Título: COMPOSICIONES Y MÉTODOS PARA CONTROLAR INSECTOS (74) Agente: Rafael Augusto Salomoni Flores - 462 (30) Prioridad/es: 63/208097 - 08/06/2021 - US (51) Int. CI 8: A 01N 63/00(2006.01), C 07K 14/195(2006.01), C 12N 15/82(2006.01) En cumplimiento al Artículo 1 de la Ley N° 2593/05 que modifica el Artículo 23 de publicaciones de la Ley N° 1630/00 de Patentes de Invención, se dispone que a partir de la fecha de la presente orden de publicación, esta solicitud de patente se hace pública y se ordena su publicación por el término de la Ley. (57) Resumen: (142/22). Se dan a conocer polipéptidos pesticidas novedosos que son activos contra plagas de coleópteros. También se proporcionan moléculas de ácido nucleico que codifican las novedosas proteínas insecticidas. Las secuencias de nucleótidos que codifican los polipéptidos pesticidas pueden usarse para transformar organismos procariotas y eucariotas para expresar las proteínas insecticidas. También se divulgan métodos para producir las proteínas insecticidas y métodos de uso de las proteínas insecticidas, por ejemplo, en plantas transgénicas, para conferir protección frente al daño por insectos. Farm. Berta Segovia, Directora Interina – Dirección de Patentes. 11 / 06 -

PATENTE DE INVENCIÓN. (19) DIRECCIÓN NACIONAL DE PROPIEDAD INTELECTUAL REPÚBLICA DEL PARAGUAY

Dirección Nacional de Propiedad Intelectual (11) Nro. Publicación: PY2022-2258663A (43) Asunción, 20 de Febrero de 2023.- Orden de Publicación de SOLICITUD de Patente de Invención (12) DATOS DE LA SOLICITUD (21) Nº de Solicitud: 2022-2258663 (22) Fecha de Solicitud: 11/07/2022 08:39:33 (71) Solicitante: HERMAN BRIAN ELIAS MOURA

Domicilio Solicitante: Rua Comendador Camilo Junior, 2600- Cidade de Sorocaba -Estado de São Paulo-SP- , Brasil (72) Inventor: HERMAN BRIAN ELIAS MOURA Domicilio Inventor: Rua Comendador Camilo Junior, 2600Cidade de Sorocaba -Estado de São Paulo-SP-, Brasil (54) Título: EMPAQUE DE PELÍCULA PLÁSTICA CON CIERRE ADHERENTE PARA ENVOLVER PRODUCTOS DIVERSOS (74) Agente: Juan Pablo Salomoni Guanes - 4795 (30) Prioridad/es: 102021016242-2 -17/08/2021 - BR (51) Int. CI 8: Int.CI.2017.01: B 29C 65/48(2006.01), B 65D 65/14(2006.01) En cumplimiento al Artículo 1 de la Ley Nº 2593/05 que modifica el Artículo 23 de publicaciones, de la Ley Nº 1630/00 de Patentes de Invención, se dispone que a partir de la fecha de la presente orden de publicación, esta solicitud de patente se hace pública y se ordena su publicación por el término de la Ley. (57) Resumen: (184/22). Obtenida de una película termoplástica (1), teniendo su lado externo (1A) con tratamiento corona y distribuye líneas rompibles (2), entre las cuales son configurados segmentos (3A3N), cada uno de los cuales incluye una marca de señalización (4) de la posición “cero” de cada empaque, una primera capa de adhesivo de media adherencia (5), dos (segunda y tercera) capas de adhesivo de alta adherencia (6A) y (6B), entre las cuales queda aquella línea rompible (2); además

incluye una tira protectora/guía (7) que se extiende sobre las dos capas de adhesivos de alta adherencia (6A) y (6B), donde uno de sus extremos es pegado permanentemente, mientras su extremo opuesto es doblado en gancho (8) que, a su vez, es siliconizada en la cara que se ajusta sobre la capa de adhesivo de alta adherencia (6B).

Abg. María Belén Cubilla, Encargada de DespachoDirección de Patentes. 11/06 -

PATENTE DE INVENCIÓN (19) DIRECCIÓN NACIONAL DE PROPIEDAD INTELECTUAL REPUBLICA DEL PARAGUAY Dirección Nacional de Propiedad Intelectual (11) Nro. Publicación: PY2021-2139858A (43) Asunción, 14 de Febrero de 2022.- Orden de Publicación de SOLICITUD de Patente de INVENCIÓN (12) DATOS DE LA SOLICITUD (21) Nº de Solicitud: 2021-2139858 (22) Fecha de Solicitud: 20/05/2021 12:05:31 (71) Solicitante: SYNGENTA CROP PROTECTION AG Domicilio Solicitante: Rosentalstrasse 67, 4058 Basel, Suiza (72) Inventor: 1. Liu, Qingli 2. Craig Schuller 3. Kelliher, Timothy 4. Dawson, John Luther Domicilio Inventor: 1. 9 Davis Drive Durham NC 27709 EEUU 2. 9 Davis Drive Durham NC 27709 EEUU 3. Syngenta Biotechnology, Inc. 9 Davis Drive Durham NC 27709-2257 EEUU 4. 9 Davis Drive Durham NC 27709 EEUU (54) Título: MEJORAMIENTO DE CRUZAMIENTO DIVERGENTE (74) Agente: Juan Pablo Salomoni Guanes - 4795 (30) Prioridad/ es: 63/064511 -12/08/2020 - US (51) Int. CI 8: C 12N 15/82(2006.01) En cumplimiento al Artículo 1 de la Ley N° 2593/05 que modifica el Artículo 23 de publicaciones de la Ley N° 1630/00 de Patentes de Invención, se dispone que a partir de la fecha de la presente orden de publicación, esta solicitud de patente se hace pública y se ordena su publicación por el término de la Ley. (57) Resumen: (156/21). Los genes que se encuentran en especies silvestres pueden proporcionar rasgos beneficiosos a los cultivos domésticos. Por ejemplo, las especies silvestres de Glycine pueden proporcionar resistencia a un amplio espectro de poblaciones de roya de la soya si se

introducen en la soya. Anteriormente, la introgresión exitosa requería amplias polinizaciones de cruzamiento divergente, rescate embrionario y regeneración de brotes F1. Además, se requirió la duplicación de cromosomas, que se puede lograr mediante el tratamiento químico de los embriones, para obtener anfidiploides fértiles (F1D). A continuación se requirió un retrocruzamiento con soya para obtener la genética BC1F1. Aquí se describen procedimientos mejorados para cruces interespecíficos entre soya y Glycine tomentella. Estos procedimientos ofrecen una ruta más eficiente a la genética BC1F1 al evitar la generación anfidiploide. Estos principios se pueden aplicar a especies domésticas adicionales y a sus parientes silvestres tales como Brassica. Farm. Berta Segovia, Directora Interina –Dirección de Patentes. 11/06 -

PATENTE DE INVENCIÓN. (19) DIRECCIÓN NACIONAL DE PROPIEDAD INTELECTUAL REPÚBLICA DEL PARAGUAY

Dirección Nacional de Propiedad Intelectual (11) Nro. Publicación: PY2021-2142442A (43) Asunción, 30 de diciembre de 2022.- Orden de Publicación de SOLICITUD de Patente de Invención (12) DATOS DE LA SOLICITUD (21) Nº de Solicitud: 2021-2142442 (22) Fecha de Solicitud: 27/05/2021 11:09:38 (71) Solicitante: MYOVANT SCIENCES GMBH Domicilio Solicitante: Aeschengraben 27 Floor 22 4051 Basel

Suiza (72) Inventor: 1. Ullmer, Kathleen D. 2. Xie, Minli 3. David E. Alonzo Domicilio

Inventor: 1. Viaduktstrasse 8, Basel, 4051, Suiza 2. Viaduktstrasse 8, Basel, 4051, Suiza 3. Viaduktstrasse 8, Basel, 4051, Suiza (54) Título: FORMAS DE DOSIFICACIÓN ORAL SÓLIDAS DE COMBINACIÓN DE ANTAGONISTAS DE LA HORMONA LIBERADORA DE GONADOTROPINA (74)

Agente: Juan Pablo Salomoni Guanes - 4795 (30) Prioridad/ es: 63/032,469 - 29/05/2020 – US (51) Int. CI 8: A 61K 31/519(2006.01), A 61K 9/20(2006.01), C 07D 495/04(2006.01) En cumplimiento al Artículo 1 de la Ley Nº 2593/05 que modifica el Artículo 23 de publicaciones, de la Ley Nº 1630/00 de Paten-

tes de Invención, se dispone que a partir de la fecha de la presente orden de publicación, esta solicitud de patente se hace pública y se ordena su publicación por el término de la Ley. (57) Resumen: (158/21). La presente descripción incluye formas de dosificación oral sólidas de combinación que tienen 40 mg de N-(4-(1-(2,6-difluorobencil)-5-((dimetilamino) metil)-3-(6-metoxi-3-piridazinil)-2,4-dioxo-1,2,3,4- tetrahidrotieno[2,3-d]pirimidin-6-il)fenil)-N'-metoxiurea, o una cantidad correspondiente de una sal farmacéuticamente aceptable de esta, y medicamentos de reemplazo hormonal. También se proporcionan procesos para elaborar y usar las formas de dosificación oral sólidas. Farm. Berta Segovia, Directora Interina - Dirección de Patentes. 11/06 -

PATENTE DE INVENCIÓN (19) DIRECCIÓN NACIONAL DE PROPIEDAD INTELECTUAL REPUBLICA DEL PARAGUAY Dirección Nacional de Propiedad Intelectual (11) Nro. Publicación: PY2022-2253193A (43) Asunción, 19 de Junio de 2023. Orden de Publicación de SOLICITUD de Patente de Invención (12) DATOS DE LA SOLICITUD (21) Nº de Solicitud: 20222253193 (22) Fecha de Solicitud: 24/06/2022 10:57:04 (71) Solicitante: SYNGENTA CROP PROTECTION AG Domicilio Solicitante: Rosentalstrasse 67, 4058 Basel, Suiza (72) Inventor: 1. Weiss, Matthias 2. Hall, Roger Graham 3. Jeanguenat, André 4. Pitterna, Thomas 5. Phadte, Mangala 6. Berardozzi, Simone 7. Kilaru, Jagadeesh Prathap Domicilio Inventor: 1. Syngenta Crop Protection AG Schaffhauserstrasse, 4332 Stein, Suiza 2. Syngenta Crop Protection AG Schaffhauserstrasse, 4332 Stein, Suiza 3. Syngenta Crop Protection AG Schaffhauserstrasse, 4332 Stein, Suiza 4. Syngenta Crop Protection AG Schaffhauserstrasse, 4332 Stein, Suiza 5. Syngenta Biosciences Pvt Ltd Santa Monica Works, Corlim, llhas, 403 110 Goa, India 6. Syngenta Crop Protection AG Schaffhauserstrasse, 4332 Stein, Suiza 7. Syngenta Biosciences Pvt Ltd Santa Monica Works, Corlim, llhas, 403 110 Goa, India (54) Título: COMPUESTOS HETEROAROMÁTICOS BICÍCLICOS

Anuncia con nosotros llamando al (021) 959 3161 o escríbenos al e-mail: comercial@nacionmedia.com
LUNES 10
2024
JUNIO DE

CONDENSADOS ACTIVOS

COMO PESTICIDAS (74)

Agente: Juan Pablo Salomoni Guanes - 4795 (30) Prioridad/ es: 202111028439 – 24/06/2021

- IN 202111058395 - 15/12/2021

- IN (51) Int. CI 8: A 01N 43/86(2006.01), A 01P 3/00(2006.01), C 07D 417/14(2006.01) En cumplimiento al Artículo 1 de la Ley N° 2593/05 que modifica el Artículo 23 de publicaciones de la Ley N° 1630/00 de Patentes de Invención, se dispone que a partir de la fecha de la presente orden de publicación, esta solicitud de patente se hace pública y se ordena su publicación por el término de la Ley. (57) Resumen: (165/22). Los compuestos de fórmula I en donde los sustituyentes son como se definen en la reivindicación 1, y las sales, los etereosisómeros, los enantiómeros, los tautómeros y los N-óxidos agroquímicamente aceptables de esos compuestos pueden utilizarse como insecticidas. Farm. Berta Segovia, Directora Interina – Dirección de Patentes. 11/06 -

PATENTE DE INVENCIÓN. (19) DIRECCIÓN NACIONAL DE PROPIEDAD INTELECTUAL REPUBLICA DEL PARAGUAY

Dirección Nacional de Propiedad Intelectual (11) Nro. Publicación: PY2021-2142066A (43) Asunción, 9 de Mayo de 2022.Orden de Publicación de SOLICITUD de Patente de Invención (12) DATOS DE LA SOLICITUD (21) N° de Solicitud: 20212142066 (22) Fecha de Solicitud: 26/05/2021 11:51:16 (71) Solicitante: SYNGENTA CROP PROTECTION AG

Domicilio Solicitante: Rosentalstrasse 67, 4058 Basel, Suiza (72) Inventor: 1. Wolf, Hanno Christian 2. Loiseleur, Olivier Domicilio Inventor: 1. Schaffhauserstrasse, 4332 Stein, Suiza 2. Schaffhauserstrasse, 4332 Stein, Suiza (54) Título: COMPOSICIONES FUNGICIDAS (74) Agente: Juan Pablo Salomoni Guanes - 4795 (30) Prioridad/es: 20178364.406/04/2020 - EP (51) Int. CI 8: A 01N 43/72(2006.01), A 01P 3/00(2006.01), C 07D 498/04(2006.01) En cumplimiento al Artículo 1 de la Ley N° 2593/05 que modifica el Artículo 23 de publicaciones de la Ley N° 1630/00 de Patentes de Invención, se dispone que a partir de la fecha de la

presente orden de publicación, esta solicitud de patente se hace pública y se ordena su publicación por el término de la Ley. (57) Resumen: (157/21). Una composición fungicida que comprende una mezcla de componentes (A) y (B), en donde los componentes (A) y (B) son como se ha definido en la reivindicación 1, y el uso de las composiciones en agricultura u horticultura para controlar o prevenir la infestación de plantas por microorganismos fitopatógenos, preferentemente hongos. Farm. Berta Segovia, Directora Interina – Dirección de Patentes. 11/06 -

PATENTE DE INVENCIÓN. (19) DIRECCIÓN NACIONAL DE PROPIEDAD INTELECTUAL REPÚBLICA DEL PARAGUAY

Dirección Nacional de Propiedad Intelectual (11) Nro. Publicación: PY2022-2220667A (43) Asunción, 28 de Septiembre de 2022.- Orden de Publicación de SOLICITUD de Patente de Invención (12) DATOS DE LA SOLICITUD (21) Nº de Solicitud: 2022-2220667 (22) Fecha de Solicitud: 22/03/2022 10:17:55 (71) Solicitante: NANTONG JIANGSHAN AGROCHEMICAL & CHEMICALS CO., LTD

Domicilio Solicitante: No. 998, Jiangshan Road, Economic and Technological Development Zone, Nantong City, Jiangsu Province 226000, China (72)

Inventor: 1. Du Hui 2. Ren Xinfeng 3. Zhu Yanmei 4. Fan Meiyun 5. Dong Lei 6. Xu Yingrong Domicilio Inventor: 1. No. 998, Jiangshan Road, Economic and Technological Development Zone, Nantong City, Jiangsu Province 226000, China 2. No. 998, Jiangshan Road, Economic and Technological Development Zone, Nantong City, Jiangsu Province 226000, China 3. No. 998, Jiangshan Road, Economic and Technological Development Zone, Nantong City, Jiangsu Province 226000, China 4. No. 998, Jiangshan Road, Economic and Technological Development Zone, Nantong City, Jiangsu Province 226000, China 5. No. 998, Jiangshan Road, Economic and Technological Development Zone, Nantong City, Jiangsu Province 226000, China (54) Título: Un tipo de composición herbicida, y su formulación y aplicación (74) Agente: Juan Pablo Salomoni Guanes - 4795 (30) Prioridad/ es: 202110304261.2 –22/03/2021- CN (51) Int. CI 8: A 01N 43/54(2006.01), A 01N 57/20(2006.01), C 07D 413/02(2006.01) En cumplimiento al Artículo 1 de la Ley Nº 2593/05 que modifica el Artículo 23 de publicaciones, de la Ley Nº 1630/00 de Patentes de Invención, se dispone

que a partir de la fecha de la presente orden de publicación, esta solicitud de patente se hace pública y se ordena su publicación por el término de la Ley. (57) Resumen: (59/22). Esta invención se relaciona con el campo técnico de pesticidas, en particular con un tipo de composición herbicida, su formulación y aplicación. Una composición herbicida que comprende Phenylenapyr y glifosato; la proporción en peso de Phenylenapyr y glifosato; la proporción en peso de Phenylenapyr y glifosato es 1: (10100). La presente invención también proporciona un agente de suspensión de aceite dispersable que comprende la composición herbicida anterior. Al seleccionar y optimizar los tipos y contenidos de emulsionantes, dispersantes, sinergistas, modificadores de viscosidad y medios de dispersión, el agente de suspensión de aceite dispersable preparado puede tener una calidad estable y un buen rendimiento, lo que es más propicio para el ejercicio del efecto de herbicida, y tiene una excelente fluidez a baja temperatura, estabilidad de dispersión, estabilidad de almacenamiento térmico, etc.; además, sus materias primas están fácilmente disponibles, el proceso de preparación es simple y la producción industrial es fácil, y el método es adecuado para prevenir malezas en tierras no cultivables. Farm. Berta Segovia, Directora InterinaDirección de Patentes. 11/06 -

PATENTE DE INVENCIÓN (19) DIRECCIÓN NACIONAL DE PROPIEDAD INTELECTUAL REPUBLICA DEL PARAGUAY

Dirección Nacional de Propiedad Intelectual (11) Nro. Publicación: PY2022-2288715A (43)

Asunción, 2 de Junio de 2023. Orden de Publicación de SOLICITUD de Patente de Invención (12) DATOS DE LA SOLICITUD (21) Nº de Solicitud: 20222288715 (22) Fecha de Solicitud: 11/10/2022 13:23:48 (71) Solicitante: SYNGENTA CROP PROTECTION AG Domicilio

Solicitante: Rosentalstrasse 67, 4058 Basel, Suiza (72) Inventor: VARSHNEY, MANOJ Domicilio

Inventor: Syngenta Crop Protection LLC 410 Swing Road Greensboro, NC 27409, U.S.A. (54) Título: Composición (74)

Agente: Juan Pablo Salomoni Guanes - 4795 (30) Prioridad/ es: 2114743.4 – 15/10/2021 - GB (51) Int. CI 8: A 01N 25/02(2006.01), A 01N 37/22(2006.01), A 01P 13/00(2006.01) En cumplimiento al Artículo 1 de la Ley N° 2593/05 que modifica el Artículo 23 de publicaciones de la Ley N° 1630/00 de Patentes de Invención, se dispone que a

partir de la fecha de la presente orden de publicación, esta solicitud de patente se hace pública y se ordena su publicación por el término de la Ley. (57) Resumen: (283/22). Una composición que comprende S-metolaclor (S-MOC), sulfentrazona, metribuzina y N, N-dimetil lactamida, preferiblemente en donde la composición es un Concentrado de Emulsión (EC). Farm. Berta Segovia, Directora Interina – Dirección de Patentes. 11/06 -

PATENTE DE INVENCIÓN. (19) DIRECCIÓN NACIONAL DE PROPIEDAD INTELECTUAL GOBIERNO DEL PARAGUAY / PARAGUÁI REKUÁI (11) Nº Publicación: PY2023-2330282A (43) Asunción, 31 de Octubre de 2023. Orden de Publicación de SOLICITUD de Patente de Invención (12) DATOS DE LA SOLICITUD (21) Nº de Solicitud: 2023-2330282A (22) Fecha de Solicitud: 25/04/2023 10:20:16 (71) Solicitante: SYNGENTA CROP PROTECTION AG Domicilio Solicitante: Rosentalstrasse 67, 4058 Basel, Suiza (72) Inventor: 1. Wang, Linhua 2. Sardzik, Robert 3. Mitchener Jr, Joseph Pike Domicilio Inventor: 1. Syngenta Crop Protection lnc., 410 Swing Road, Greensboro, North Carolina 27409, U.S.A. 2.Syngenta Earls Road Grangemouth, Stirlingshire FX3 8XG, Gran Bretaña 3. Syngenta Crop Protection lnc., 410 Swing Road, Greensboro, North Carolina 27409, U.S.A. (54) Título: PROCESO (74) Agente: Juan Pablo Salomoni Guanes - 4795 (30) Prioridad/es: 2206290.529/04/2022 – GB (51) Int. CI 8: C 12N 15/10 (2006.01) En cumplimiento al Artículo 1 de la Ley Nº 2593/05 que modifica el Artículo 23 de publicaciones de la Ley Nº 1630/00 de Patentes de Invención, se dispone que a partir de la fecha de la presente orden de publicación, esta solicitud de patente se hace pública y se ordena su publicación por el término de la Ley. (57) Resumen: (105/23). Un proceso para preparar un compuesto de fórmula (I) que comprende la reacción de R1-C (O)-NH-NH-C (O)-R2, con R3-CH2-CH2-O-CH2-CH2-R4, en presencia de un disolvente alcohólico; en donde R1 y R2 se seleccionan independientemente de grupos alquilo de cadena lineal o ramificada, o están unidos para formar un

heterociclo de 4, 5 o 6 miembros, y en donde R3 y R4 se seleccionan independientemente de un haluro o un sulfato. Farm. Berta Segovia, Directora Interina – Dirección de Patentes. 11/06 -

PATENTE DE INVENCIÓN. (19) DIRECCIÓN NACIONAL DE PROPIEDAD INTELECTUAL REPÚBLICA DEL PARAGUAY Dirección Nacional de Propiedad Intelectual (11) Nro. Publicación: PY2021-2187176A (43) Asunción, 10 de Junio de 2022.Orden de Publicación de SOLICITUD de Patente de Invención (12) DATOS DE LA SOLICITUD (21) Nº de Solicitud: 20212187176 (22) Fecha de Solicitud: 06/10/2021 08:36:49 (71) Solicitante: VALTUIR ANTONIO

PANHO Domicilio Solicitante: Ruta Paraguay 03 Km 346 Cruce Carolina Corpus Christi - Canindeyu, Paraguay (72) Inventor: VALTUIR ANTONIO PANHO Domicilio Inventor: Ruta Paraguay 03 km 346 Cruce Carolina Corpus Christ - Canindeyu, Paraguay (54) Título: IMPLEMENTO AGRÍCOLA

INCORPORADOR DE SEMILLAS AL SUELO (74) Agente: Juan Pablo Salomoni Guanes - 4795 (30) Prioridad/es: 102020022780-7 - 09/11/2020 - BR (51) Int. CI 8: A 01C 5/06(2006.01) En cumplimiento al Artículo 1 de la Ley Nº 2593/05 que modifica el Artículo 23 de publicaciones, de la Ley Nº 1630/00 de Patentes de Invención, se dispone que a partir de la fecha de la presente orden de publicación, esta solicitud de patente se hace pública y se ordena su publicación por el término de la Ley. (57) Resumen: (305/21). El incorporador de semillas al suelo comprende un chasis provisto de un cabezal (1) para enganchar en el tractor y un larguero transversal (15) con ruedas extremas (12) y ganchos extremos (13) para el montaje de las puntas de dos segmentos de cadena (2) con un carrito (3) central. Los segmentos de cadena (2) están compuestos por eslabones (21) y distorsionadores extremos (22), pues los eslabones de la cadena son giratorios, estando los distanciadores delanteros montados en los ganchos extremos (13) del larguero transversal (151) y

los distanciadores traseros montados en el carrito (3). El carrito (3) comprende una barra longitudinal (31) con un marco trasero (32) provisto de cojinetes (33) para el eje de un rodillo dentado (34) que gira durante el desplazamiento del implemento incorporador. En la parte delantera de la barra longitudinal (31) está dispuesto un soporte (35) con pernos (36) para el montaje de los distorsionadores (22) de los segmentos de cadena (2). El rodillo dentado (34) que consiste en un eje (37) con placas radiales soldadas (38). El eslabón de los segmentos de cadena (2) está formado por un eslabón oblongo (21) con placas radiales soldadas (23) y una roseta (24) presa entre sus ramas. Farm. Berta Segovia, Directora Interina - Dirección de Patentes. 11/06 -

PATENTE DE INVENCIÓN. (19) DIRECCIÓN NACIONAL DE PROPIEDAD INTELECTUAL REPUBLICA DEL PARAGUAY Dirección Nacional de Propiedad Intelectual (11) Nro. Publicación: PY2022-2261643A (43) Asunción, 22 de Febrero de 2023.- Orden de Publicación de SOLICITUD de Patente de Invención (12) DATOS DE LA SOLICITUD (21) Nº de Solicitud: 2022-2261643 (22) Fecha de Solicitud: 19/07/2022 12:29:10 (71) Solicitante: SYNGENTA CROP PROTECTION AG Domicilio Solicitante: Rosentalstrasse 67, 4058 Basel, Suiza (72) Inventor: 1. He, Chengkun 2. Li, Jianquan 3. Chen, Jeng Shong Domicilio Inventor: 1. 9 Davis Drive Research Triangle Park NC 27709, U.S.A. 2. 9 Davis Drive Durham NC 27709, U.S.A. 3. 9 Davis Drive Research Triangle Park NC 27709 Durham, U.S.A. (54) Título: COMPOSICIONES Y MÉTODOS PARA CONTROLAR INSECTOS (74) Agente: Juan Pablo Salomoni Guanes - 4795 (30) Prioridad/es: 63/22359920/07/2021- US (51) Int. CI 8: A 01N 63/00(2006.01), C 12N 15/82(2006.01). En cumplimiento al Artículo 1 de la Ley N° 2593/05 que modifica el Artículo 23 de publicaciones de la Ley N° 1630/00 de Patentes de Invención, se dispone que a partir de la fecha de la presente orden de publicación, esta solicitud de patente se hace pública y se ordena su publicación por el término de la Ley. (57) Resumen: (189/22). Se divulgan polipéptidos plaguicidas novedosos que son activos contra plagas de insectos lepidópteros. También se proporcionan moléculas de ácido nucleico que codifican las proteínas insecticidas novedosas. Las secuencias de nucleótidos que codifican los polipéptidos pla-

LUNES
JUNIO DE 2024 2 JUDICIAL .
10

guicidas pueden utilizarse para transformar organismos procarióticos y eucarióticos para expresar las proteínas insecticidas. También se divulgan métodos para producir las proteínas insecticidas y métodos para utilizar las proteínas insecticidas, por ejemplo, en plantas transgénicas, para conferir protección frente al daño por insectos. Abg. María Belén Cubilla, Encargada de Despacho– Dirección de Patentes. 11/06 -

PATENTE DE INVENCIÓN. (19) DIRECCIÓN NACIONAL DE PROPIEDAD INTELECTUAL REPUBLICA DEL PARAGUAY

Dirección Nacional de Propiedad Intelectual (11) Nro. Publicación: PY2022-2289105A (43) Asunción, 10 de Mayo de 2023. Orden de Publicación de SOLICITUD de Patente de Invención (12) DATOS DE LA SOLICITUD (21) Nº de Solicitud: 20222289105 (22) Fecha de Solicitud: 12/10/2022 13:03:11 (71) Solicitante: SYNGENTA CROP PROTECTION AG Domicilio Solicitante: Rosentalstrasse 67, 4058 Basel, Suiza (72) Inventor: 1. Wilkins, Lewis Charles 2. Coughlin, Andrew James 3. De Heer, Martine Ingrid Domicilio Inventor: 1. Syngenta Crop Protection LLC 410 Swing Road Greensboro, NC 27409, U.S.A. Syngenta Crop Protection LLC 410 Swing Road Greensboro, NC 27409, U.S.A. 3. Syngenta Limited Syngenta, Jealotts Hill International Research Centre Bracknell, Berkshire RG42 6EY, Gran Bretaña (54) Título: COMPOSICIÓN QUÍMICA ESTABILIZADA CON NANOCRISTALES DE CELULOSA (74) Agente: Juan Pablo Salomoni Guanes – 4795 (30) Prioridad/es: 63/262525 - 14/10/2021 – US (51) Int. Cl 8: A 01N 25/04(2006.01), A 01N 37/10(2006.01), A 01N 53/00(2006.01) En cumplimiento al Artículo 1 de la Ley N° 2593/05 que modifica el Artículo 23 de publicaciones de la Ley N° 1630/00 de Patentes de Invención, se dispone que a partir de la fecha de la presente orden de publicación, esta solicitud de patente se hace pública y se ordena su publicación por el término de la Ley. (57) Resumen: (284/22). Composiciones líquidas que tienen una primera fase, una segunda fase que es inmiscible

y que está dispersa en la primera fase, una matriz de nanocristales de celulosa reticulados en la interfaz entre la primera fase y la segunda fase y al menos un principio activo agroquímico en la segunda fase, así como métodos de uso y producción de las mismas. Farm. Berta Segovia, Directora Interina – Dirección de Patentes. 11/06 -

PATENTE DE INVENCIÓN. (19) DIRECCIÓN NACIONAL DE PROPIEDAD INTELECTUAL REPÚBLICA DEL PARAGUAY Dirección Nacional de Propiedad Intelectual (11) Nro. Publicación: PY2011-1148070A (43) Asunción, 9 de Agosto de 2021.Orden de Publicación de SOLICITUD de Patente de INVENCIÓN (12) DATOS DE LA SOLICITUD (21) Nº de Solicitud: 2011-1148070 (22) Fecha de Solicitud: 08/11/2011 (71) Solicitante: POSI VISIONARY SOLUTIONS, LLP. Domicilio

Solicitante: 26-28 Bedford Row, WClR 4HE, Londres, Inglaterra (72) Inventor: 1. John Claude Savoir Vilboeuf 2. Roberto Bernardo Escudero Domicilio

Inventor: 1. Nicolás San Juan Nº 1046, Colonia Del Valle 03100, México D.F. México 2. Valle De Cáceres Nº 136, Fraccionamiento Valle De San Javier, 42086, Pachuca Hidalgo, México (54) Título: COMPOSICIÓN FARMACÉUTICA DE ADMINISTRACIÓN ORAL PARA El TRATAMIENTO DEL SÍNDROME DEL INTESTINO IRRITABLE A BASE DE UN MODIFICADOR DE LA MOTILIDAD INTESTINAL, UN AGENTE QUE PREVIENE LA RETENCIÓN DE GASES Y ENZIMAS DIGESTIVAS Y PROCESO DE PREPARACIÓN (74) Agente: Rafael Augusto Salomoni Flores - 462 (30) Prioridad/es: MX/a/2010/01247916/11/2010 - MX (51) Int. CI 8: A 61K 31/24(2006.01), A 61P 1/00 En cumplimiento al Artículo 1 de la Ley Nº 2593/05 que modifica el Artículo 23 de publicaciones, de la Ley Nº 1630/00 de Patentes de Invención, se dispone que a partir de la fecha de la presente orden de publicación, esta solicitud de patente se hace pública y se ordena su publicación por el término de la Ley. (57) Resumen: 279/11. Una composición o formulación farmacéutica adaptada para administración oral en forma de tableta, tableta recubierta, capsula o polvo para reconstituir en la prevención o tratamiento de trastornos intestinales tales como el síndrome de intestino irritable, también conocido como síndrome de colon irritable, a base de un modificador de la motilidad intestinal, de un agente que previene la reten-

ción de gases, de enzimas digestivas de un agente aglutinante, de un agente diluyente, de un agente absorbente, de un agente lubricante, de un agente deslizante y, de un agente desintegrante o agente suspensor, efectiva para normalizar el tránsito intestinal, para lograr una actividad analgésica, para lograr una actividad antiespasmódica y para reducir los síntomas relacionados con el gas intestinal como son, la distensión, el dolor abdominal y la flatulencia. Farm. Berta Segovia, Directora Interina - Dirección de Patentes. 11/06 -

PATENTE DE INVENCIÓN (19) DIRECCIÓN NACIONAL DE PROPIEDAD INTELECTUAL REPUBLICA DEL PARAGUAY Dirección Nacional de Propiedad Intelectual (11) Nro. Publicación: PY2022-2226090A (43) Asunción, 7 de Febrero de 2023.- Orden de Publicación de SOLICITUD de Patente de Invención (12) DATOS DE LA SOLICITUD (21) N° de Solicitud: 2022-2226090 (22) Fecha de Solicitud: 06/04/2022 11:45:15 (71) Solicitante: SYNGENTA CROP PROTECTION

AG Domicilio Solicitante: Rosentalstrasse 67, 4058 Basel, Suiza (72) Inventor: 1. Wailes, Jeffrey Steven 2. Williams, John 3. Whittingham, William Guy Domicilio Inventor: 1. Syngenta, Jealott’s Hill International Research Centre, Bracknell, Berkshire RG42 6EY, Gran Bretaña 2. Syngenta, Jealott’s Hill International Research Centre, Bracknell, Berkshire RG42 6EY, Gran Bretaña 3. Syngenta, Jealott’s Hill International Research Centre, Bracknell, Berkshire RG42 6EY, Gran Bretaña (54) Título: Compuestos herbicidas (74) Agente: Juan Pablo Salomoni Guanes - 4795 (30) Prioridad/es: 21167290.2 - 07/04/2021 - EP 21188781.530/07/2021 - EP (51) Int. CI 8: A 01N 43/80(2006.01), C 07D 413/14(2006.01). En cumplimiento al Artículo 1 de la Ley N° 2593/05 que modifica el Artículo 23 de publicaciones de la Ley N° 1630/00 de Patentes de Invención, se dispone que a partir de la fecha de la presente orden de publicación, esta solicitud de patente se hace pública y se ordena su publicación por el término de la Ley. (57) Resumen: (81/22). Compuestos de fórmula (I) en donde los sustituyentes son como se definen en la reivindicación 1, útiles como pesticidas, especialmente como her-

bicidas. Abg. María Belén Cubilla, Encargada de Despacho– Dirección de Patentes. 11/06 -

PATENTE DE INVENCIÓN. (19) DIRECCIÓN NACIONAL DE PROPIEDAD INTELECTUAL REPUBLICA DEL PARAGUAY

Dirección Nacional de Propiedad Intelectual (11) Nro. Publicación: PY2022-2291115A (43) Asunción, 20 de Junio de 2023. Orden de Publicación de SOLICITUD de Patente de Invención (12) DATOS DE LA SOLICITUD (21) Nº de Solicitud: 20222291115 (22) Fecha de Solicitud: 19/10/2022 11:15:43 (71) Solicitante: SYNGENTA CROP PROTECTION AG Domicilio Solicitante: Rosentalstrasse 67, 4058 Basel, Suiza (72) Inventor: 1. Lamers, Philip 2. Scheuble, Nathalie 3. Blind, Philippe Domicilio Inventor: 1. Breitenloh 5 4333 Münchwilen, Suiza 2. Breitenloh 5 4333 Münchwilen, Suiza 3. Breitenloh 54333 Münchwilen, Suiza (54) Título: SISTEMA DE TRANSPORTE DE HERBICIDA (74) Agente: Juan Pablo Salomoni Guanes – 4795 (30 Prioridad/es: 21204229.5 –22/10/2021 – EP (51) Int. CI 8: A 01N 25/02(2006.01), A 01N 43/90(2006.01), A 01P 13/00(2006.01) En cumplimiento al Artículo 1 de la Ley N° 2593/05 que modifica el Artículo 23 de publicaciones de la Ley N° 1630/00 de Patentes de Invención, se dispone que a partir de la fecha de la presente orden de publicación, esta solicitud de patente se hace pública y se ordena su publicación por el término de la Ley. (57) Resumen: (296/22). Un sistema de transporte que comprende un recipiente adecuado que contiene una composición que consiste esencialmente en pinoxaden y un éster, una cetona y/o un alcohol, una composición que consiste esencialmente en pinoxaden y un éster, una cetona y/o un alcohol y un método de reducción o eliminación del riesgo de que el polvo de pinoxaden se transporte por el aire que comprende añadir un éster, una cetona y/o un alcohol al polvo de pinoxaden y mezclarlo minuciosamente para formar una composición homogénea. Farm. Berta Segovia, Directora Interina – Dirección de Patentes. 11/06 -

PATENTE DE INVENCIÓN. (19) DIRECCIÓN NACIONAL DE PROPIEDAD INTELECTUAL REPÚBLICA DEL PARAGUAY Dirección Nacional de

LUNES 10 JUNIO DE 2024

Propiedad Intelectual (11) Nro.

Publicación: PY20222205544A (43) Asunción, 5 de Septiembre de 2022.- Orden de Publicación de SOLICITUD de Patente de Invención (12)

DATOS DE LA SOLICITUD (21) Nº de Solicitud: 2022-2205544 (22) Fecha de Solicitud: 02/02/2022 09:29:49 (71) Solicitante: BSC SOLUTIONS,

S.A. Domicilio Solicitante: CI. Gaieta García, Nº 34 BJ DR 46702 Gandía (Valencia) España (72) Inventor: VICENTE JAVIER PELLICER VITORIA

Domicilio Inventor: CI. Lope de Vega, 146724 Palma de Gandía (Valencia) España (54) Título: DISPOSITIVO PARA CONSERVACIÓN PRECINTADA, TRAZABILIDAD Y CONTROL DE SEMILLAS CERTIFICADAS Y PROCEDIMIENTO ASOCIADO (74)

Agente: Juan Pablo Salomoni Guanes - 4795 (30) Prioridad/ es: 202130088 - 04/02/2021ES (51) Int. CI 8: A 01C 1/00, B 65D 51/00(2006.01), B 65D 81/26(2006.01) En cumplimiento al Artículo 1 de la Ley Nº 2593/05 que modifica el Artículo 23 de publicaciones, de la Ley Nº 1630/00 de Patentes de Invención, se dispone que a partir de la fecha de la presente orden de publicación, esta solicitud de patente se hace pública y se ordena su publicación por el término de la Ley. (57) Resumen: (13/22). Dispositivo y procedimiento para conservación y control de semillas que comprende al menos: un depósito externo que comprende al menos: una abertura, un compartimento interior, un elemento químico de absorción de la humedad y un elemento de separación configurado para separar el elemento químico de absorción del resto del compartimento interior del depósito externo; un depósito interno configurado para encajar en el interior del compartimento interior del depósito externo, que comprende al menos un compartimento interior y al menos una abertura; un elemento de cierre que comprende un elemento de estanqueidad, configurado como único medio de acceso al compartimento interior del depósito externo y, por tanto, también del compartimento interior del depósito interno; un elemento antifraude, que será preferiblemente un precinto antifraude, ubicado de forma que cubra al menos una parte del depósito externo y/o una parte del elemento de cierre, y que comprenderá tecnologías de identificación electrónica. Farm. Berta Segovia, Directora Interina - Dirección de Patentes. 11/06 -

PATENTE DE INVENCIÓN. (19) DIRECCIÓN NACIONAL DE PROPIEDAD INTELECTUAL REPUBLICA DEL PARAGUAY Dirección Nacional de Propiedad Intelectual (11) Nro. Publicación: PY20222256180A (43) Asunción, 31 de Enero de 2023.- Orden de Publicación de SOLICITUD de Patente de Invención (12) DATOS DE LA SOLICITUD (21) Nº de Solicitud: 2022-2256180 (22) Fecha de Solicitud: 01/07/2022 11:45:45 (71) olicitante: SYNGENTA CROP PROTECTION AG Domicilio Solicitante: Rosentalstrasse 67, 4058 Basel, Suiza (72) Inventor: 1. Joyce, Philip Matthew 2. Vaz Da Silva, Joao Renato Domicilio Inventor: 1. Syngenta, Jealott's Hill International Centre Bracknell Berkshire RG42 6EY Gran Bretaña 2. Rosentalstrasse 67 4058 Basel Suiza (54) Título: COMPOSICIONES HERBICIDAS (74) Agente: Juan Pablo Salomoni Guanes - 4795 (30) Prioridad/es: 21184783.509/07/2021 -EP (51) Int. CI 8: A 01N 35/06(2006.01), A 01N 47/06(2006.01), A 01P 13/02(2006.01) En cumplimiento al Artículo 1 de la Ley N° 2593/05 que modifica el Artículo 23 de publicaciones de la Ley N° 1630/00 de Patentes de Invención, se dispone que a partir de la fecha de la presente orden de publicación, esta solicitud de patente se hace pública y se ordena su publicación por el término de la Ley. (57) Resumen: (175/22). La presente invención se refiere a una composición herbicida que comprende (A) una cantidad eficaz como herbicida de un compuesto de Fórmula (I) o un éster o sal agroquímicamente aceptable de este; y (B) al menos un herbicida, o éster o sal agroquímicamente aceptable de este, seleccionado del grupo que consiste en: B1 glufosinato; B2 glifosato; B3 un herbicida que inhibe la protoporfirinógeno··oxidasa (PPO); y B4 un herbicida seleccionado del grupo que consiste en paracuat (B4a), dicuat (B4b) y un compuesto herbicida de piridazina de Fórmula (II) (B4c). La presente invención se refiere además a métodos para controlar malezas que comprenden las composiciones herbicidas de la invención. Abg. María Belén Cubilla, Encargada de Despacho – Dirección de Patentes.

3

PATENTE DE INVENCIÓN. (19) DIRECCIÓN NACIONAL DE PROPIEDAD INTELECTUAL REPUBLICA DEL PARAGUAY

Dirección Nacional de Propiedad Intelectual (11) Nro. Publicación: PY2022-2297743A (43) Asunción, 11 de Julio de 2023. Orden de Publicación de SOLICITUD de Patente de Invención (12)DATOS DE LA SOLICITUD (21) Nº de Solicitud: 20222297743 (22) Fecha de Solicitud: 11/11/2022 10:06:19 (71) Solicitante: SYNGENTA CROP PROTECTION AG

Domicilio Solicitante: Rosentalstrasse 67, 4058 Basel, Suiza (72) Inventor: 1. Dale, Richard Paul 2. Blain, Rachael Elizabeth 3. Simoes, Marta Andreia Horta 4. Langford, Michael Phillip Domicilio Inventor: 1. Syngenta Limited Syngenta, Jealott’s Hill International Research Centre Bracknell, Berkshire RG42 6EY, Gran Bretaña 2. Syngenta Limited Syngenta, Jealott's Hill International Research Centre Bracknell, Berkshire RG42 6EY, Gran Bretaña 3. Syngenta Limited Syngenta, Jealott’s Hill International Research Centre Bracknell, Berkshire RG42 6EY, Gran Bretaña 4. Syngenta Limited Syngenta, Jealott’s Hill International Research Centre Bracknell, Berkshire RG42 6EY, Gran Bretaña (54) Título: RESISTENCIA

A HERBICIDAS (74) Agente: Juan Pablo Salomoni Guanes - 4795 (30) Prioridad/es: 2116307.6 - 12/11/2021- GB (51) Int. CI 8: C 12N 15/00(2006.01), C 12N 9/10(2006.01) En cumplimiento al Artículo 1 de la Ley N° 2593/05 que modifica el Artículo 23 de publicaciones de la Ley N° 1630/00 de Patentes de Invención, se dispone que a partir de la fecha de la presente orden de publicación, esta solicitud de patente se hace pública y se ordena su publicación por el término de la Ley. (57) Resumen: (320/22). Se utilizan ensayos de cribado para identificar enzimas homogentisato-solanesiltransferasas (HST) mutantes que son al menos parcialmente resistentes a herbicidas inhibidores de la HST. Los ácidos nucleicos que codifican las proteínas de enzima HST mutantes se ponen a disposición y son útiles para modificar plantas y partes de plantas de modo que puedan hacerse resistentes a los herbicidas. Las plantas de cultivo que expresan las enzimas HST mutantes pueden cul-

tivarse en el campo y utilizarse herbicidas para controlar otra vegetación no deseada. La enzima homogentisato-solanesiltransferasa (HST) o un fragmento activo de la misma comprende el motivo de secuencia de aminoácidos F[V/M]TX[F/Y]

(SEQ ID NO: 1), en donde X es cualquier aminoácido; y en donde uno o más de los restos de aminoácidos del motivo están mutados. Farm. Berta Segovia, Directora Interina –Dirección de Patentes. 11/06 -

PATENTE DE INVENCIÓN. (19) DIRECCIÓN NACIONAL DE PROPIEDAD INTELECTUAL REPUBLICA DEL PARAGUAY

Dirección Nacional de Propiedad Intelectual (11) Nro. Publicación: PY2022-2271286A (43)

Asunción, 21 de Marzo de 2023.- Orden de Publicación de SOLICITUD de Patente de Invención (12) DATOS DE LA SOLICITUD (21) N° de Solicitud: 2022-2271286 (22) Fecha de Solicitud: 18/08/2022 10:05:55 (71) Solicitante: SYNGENTA CROP PROTECTION

AG Domicilio Solicitante: Rosentalstrasse 67, 4058 Basel, Suiza (72) Inventor: 1. Rendine, Stefano 2. Stoller, André 3. Hall, Roger Graham 4. Monaco, Mattia Riccardo 5. Finkbeiner, Peter 6. Benfatti, Fides 7. Kolleth Krieger, Amandine Domicilio Inventor: 1. Schaffhauserstrasse 4332 Stein Suiza 2. Schaffhauserstrasse 4332 Stein Suiza 3. Schaffhauserstrasse 4332 Stein Suiza 4. Schaffhauserstrasse 4332 Stein Suiza 5. Schaffhauserstrasse 4332 Stein Suiza 6. Schaffhauserstrasse 4332 Stein Suiza 7. Schaffhauserstrasse 4332 Stein Suiza (54) Título: MÉTODO PARA CONTROLAR PLAGAS RESISTENTES A DIAMIDAS Y COMPUESTOS PARA ESTO (74) Agente: Juan Pablo Salomoni Guanes - 4795 (30) Prioridad/es: 21192177.0 -19/08/2021- EP (51) Int. CI 8: A 01N 25/00(2006.01), A 01N 43/56(2006.01), C 07D 401/04(2006.01) En cumplimiento al Artículo 1 de la Ley N° 2593/05 que modifica el Artículo 23 de publicaciones de la Ley N° 1630/00 de Patentes de Invención, se dispone que a partir de la fecha de la presente orden de publicación, esta solicitud de patente se hace pública y se ordena su

publicación por el término de la Ley. (57) Resumen: (220/22). Un método para combatir y controlar insectos resistentes a diamidas para (i) reducir el daño en una planta, que comprende aplicar al insecto, al emplazamiento del insecto o a una planta sensible a ser atacada por el insecto, una cantidad eficaz de un compuesto de fórmula I; o (ii) proteger material de propagación vegetal, lo que comprende tratar el material de propagación vegetal o el sitio, donde el material de propagación vegetal se planta, con una cantidad eficaz de un compuesto de fórmula I; donde el compuesto de fórmula I es (I) donde los sustituyentes son como se definen en la reivindicación 1, y las sales, estereoisómeros, enantiómeros, tautómero y N-óxidos agroquímicamente aceptables de esos compuestos se pueden utilizar como insecticidas. Farm. Berta Segovia, Directora Interina – Dirección de Patentes. 11/06 -

PATENTE DE INVENCIÓN. (19) DIRECCIÓN NACIONAL DE PROPIEDAD INTELECTUAL GOBIERNO DEL PARAGUAY / PARAGUÁI REKUÁI (11) Nro. Publicación: PY2022-2299407A (43) Asunción, 11 de Octubre de 2023. Orden de Publicación de SOLICITUD de Patente de Invención (12) DATOS DE LA SOLICITUD (21) Nº de Solicitud: 2022-2299407 (22) Fecha de Solicitud: 16/11/2022 13:09:59 (71) Solicitante: SYNGENTA CROP PROTECTION AG Domicilio Solicitante: Rosentalstrasse 67, 4058 Basel, Suiza (72) Inventor: 1. Anderson, Zoe Jane 2. Whalley, Louisa 3. Morris, James Alan Domicilio Inventor: 1. Syngenta Limited Syngenta, Jealott's Hill Int. Research Centre Bracknell, Berkshire RG42 6EY Gran Bretaña 2. .Syngenta Limited Syngenta, Jealott's Hill Int. Research Centre Bracknell, Berkshire RG42 6EY Gran Bretaña 3. Syngenta Limited Syngenta, Jealott's Hill Int. Research Centre Bracknell, Berkshire RG42 6EY Gran Bretaña (54) Título: DERIVADOS HERBICIDAS (74) Agente: Juan Pablo Salomoni Guanes - 4795 (30) Prioridad/es: 21208993.2

- 18/11/2021 - EP (51) Int. CI 8: A 01N 43/58(2006.01), C 07D 401/04(2006.0l) En cumplimiento al Artículo 1 de la Ley Nº 2593/05 que modifica el Artículo 23 de publicaciones de la Ley Nº 1630/00 de Patentes de Invención, se dispone que a partir de la fecha de la

presente orden de publicación, esta solicitud de patente se hace pública y se ordena su publicación por el término de la Ley. (57) Resumen: (325/22). Los compuestos de fórmula (I) donde los sustituyentes son tal como se definen en la reivindicación 1. La invención se refiere además a composiciones herbicidas que comprenden un compuesto de fórmula (I) y al uso de compuestos de fórmula (I) para controlar malezas, en particular en cultivos de plantas útiles. Farm. Berta Segovia, Directora Interina - Dirección de Patentes. 11/06 -

PATENTE DE INVENCIÓN. (19) DIRECCIÓN NACIONAL DE PROPIEDAD INTELECTUAL REPUBLICA DEL PARAGUAY Dirección Nacional de Propiedad Intelectual (11) Nro. Publicación: PY2022-22108293A (43) Asunción, 3 de Julio de 2023.Orden de Publicación de SOLICITUD de Patente de Invención (12) DATOS DE LA SOLICITUD (21) Nº de Solicitud: 202222108293 (22) Fecha de Solicitud: 14/12/2022 13:16:26 (71) Solicitante: SYNGENTA CROP PROTECTION AG Domicilio Solicitante: Rosentalstrasse 67, 4058 Basel, Suiza (72) Inventor: 1. Edmunds, Andrew 2. Scarborough, Christopher Charles 3. Pouliot, Martin 4. Bonvalot Damien Domicilio Inventor: 1. Schaffhauserstrasse 4332 Stein Suiza 2. Schaffhauserstrasse 4332 Stein Suiza 3. Schaffhauserstrasse 4332 Stein Suiza 4. Schaffhauserstrasse 4332 Stein Suiza (54) Título: “DERIVADOS DE PIRAZOL MICROBIOCIDAS” (74) Agente: Juan Pablo Salomoni Guanes - 4795 (30) Prioridad/es: 21215562.617/12/2021 - EP (51) Int. CI 8: A 01N 43/78(2006.01), C 07D 231/12(2006.0l) En cumplimiento al Artículo 1 de la Ley N° 2593/05 que modifica el Artículo 23 de publicaciones de la Ley N° 1630/00 de Patentes de Invención, se dispone que a partir de la fecha de la presente orden de publicación, esta solicitud de patente se hace pública y se ordena su publicación por el término de la Ley. (57) Resumen: (360/22). Un compuesto de fórmula (I) en la que los sustituyentes son como se definen en la reivindicación 1, y las sales, estereoisómeros, enantiómeros, tautómeros y N-óxidos agroquímicamente aceptables de estos compuestos, que pueden usarse como fungicidas.

Farm. Berta Segovia, Directora Interina – Dirección de Patentes. 11/06 -

PATENTE DE INVENCIÓN. (19) DIRECCIÓN NACIONAL DE PROPIEDAD INTELECTUAL REPUBLICA DEL PARAGUAY Dirección Nacional de Propiedad Intelectual (11) Nro. Publicación: PY20222299409A (43) Asunción, 28 de Junio de 2023. Orden de Publicación de SOLICITUD de Patente de Invención (12) DATOS DE LA SOLICITUD (21) Nº de Solicitud: 20222299409 (22) Fecha de Solicitud: 16/11/2022 13:14:04 (71) Solicitante: SYNGENTA CROP PROTECTION AG Domicilio Solicitante: Rosentalstrasse 67, 4058 Basel, Suiza (72) Inventor: 1. Wilkins, Lewis Charles 2. Coughlin, Andrew Jame 3. Stockmal, Kelli Anne 4. De Heer, Martine Ingrid 5. Rymaruk, Matthew Joseph 6. Kynaston, Emily Louise 7. Waller, Catherine Paula Domicilio Inventor: 1. Syngenta Crop Protection LLC 410 Swing Road Greensboro NC 27409, U.S.A. 2. Syngenta Crop Protection LLC 410 Swing Road Greensboro NC 27409, U.S.A. 3. Syngenta Crop Protection LLC 410 Swing Road Greensboro NC 27409, U.S.A. 4. Syngenta

Limited Syngenta, Jealott’s Hill lnternational Research Centre Bracknell, Berkshire RG42 6EY, Gran Bretaña 5. Syngenta Limited Syngenta, Jealott’s Hill International Research Centre Bracknell, Berkshire RG42 6EY, Gran Bretaña 6. Syngenta Limited Syngenta, Jealott's Hill International Research Centre Bracknell, Berkshire RG42 6EY, Gran Bretaña 7. Syngenta Limited Syngenta, Jealott’s Hill International Research Centre Bracknell, Berkshire RG42 6EY, Gran Bretaña (54) Título: “MÉTODO” (74) Agente: Juan Pablo Salomoni Guanes - 4795 (30) Prioridad/ es: 63/283644 - 29/11/2021 –US (51) Int. CI 8: A 01N 25/28(2006.01), A 01N 37/22(2006.01), A 01P 7/00(2006.01) En cumplimiento al Artículo 1 de la Ley N° 2593/05 que modifica el Artículo 23 de publicaciones de la Ley N° 1630/00 de Patentes de Invención, se dispone que a partir de la fecha de la presente orden de publicación, esta solicitud de patente se hace pública y se ordena su publicación por el término de la Ley (57) Resumen: (326/22). Un método para encapsular un producto agroquímico en una cápsula biodegradable que comprende la coacervación compleja de gelatina y un polisacárido carboxilado. Farm. Berta Segovia,

Directora Interina – Dirección de Patentes. 11/06PATENTE DE INVENCIÓN. (19) DIRECCIÓN NACIONAL DE PROPIEDAD INTELECTUAL REPUBLICA DEL PARAGUAY Dirección Nacional de Propiedad Intelectual (11) Nro. Publicación: PY20222269343A (43) Asunción, 20 de Marzo de 2023.- Orden de Publicación de SOLICITUD de Patente de Invención (12) DATOS DE LA SOLICITUD (21) N° de Solicitud: 2022-2269343 (22) Fecha de Solicitud: 10/08/2022 14:04:49 (71) Solicitante: SYNGENTA CROP PROTECTION AG

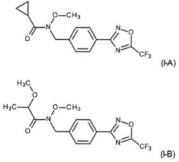
Domicilio Solicitante: Rosentalstrasse 67, 4058 Basel, Suiza (72) Inventor: 1. Emery, Daniel 2. Muehlebach, Michel 3. Sikervar, Vikas 4. Stoller, André 5. Hueter, Ottmar Franz Domicilio Inventor: 1. Schaffhauserstrasse 4332 Stein Suiza 2. Schaffhauserstrasse 4332 Stein Suiza 3. Bracknell Berkshire RG42 GEY Gran Bretaña 4. Schaffhauserstrasse 4332 Stein Suiza 5. Schaffhauserstrasse 4332 Stein Suiza (54) Título: DERIVADOS HETEROCÍCLICOS ACTIVOS COMO PLAGUICIDAS CON SUSTITUYENTES QUE CONTIENE AZUFRE (74) Agente: Juan Pablo Salomoni Guanes - 4795 (30) Prioridad/ es: 202111036124-10/08/2021IN (51) Int. CI 8: A 01N 43/38(2006.01), A 01N 43/42(2006.01), C 07D 471/04(2006.01) En cumplimiento al Artículo 1 de la Ley N° 2593/05 que modifica el Artículo 23 de publicaciones de la Ley N° 1630/00 de Patentes de Invención, se dispone que a partir de la fecha de la presente orden de publicación, esta solicitud de patente se hace pública y se ordena su publicación por el término de la Ley. (57) Resumen: (212/22). Compuestos de fórmula (I) en donde Q es como se define en la reivindicación l. Además, la presente invención se refiere a composiciones agroquímicas que comprenden compuestos de fórmula (I), a la preparación de estas composiciones y al uso de los compuestos o las composiciones en agricultura u horticultura para combatir, prevenir o controlar plagas de animales, incluyendo artrópodos y, en particular, insectos, moluscos, nematodos o representantes del orden Acarina. Farm. Berta Segovia, Directora Interina – Dirección de Patentes. 11/06 -

LUNES 10 JUNIO DE 2024
11/06 -
4 JUDICIAL .

PATENTE DE INVENCIÓN. (19) DIRECCIÓN NACIONAL DE PROPIEDAD INTELECTUAL REPUBLICA DEL PARAGUAY

Dirección Nacional de Propiedad Intelectual (11) Nro. Publicación: PY2022-2299504A (43)

Asunción, 28 de Junio de 2023. Orden de Publicación de SOLICITUD de Patente de Invención (12) DATOS DE LA SOLICITUD (21)Nº de Solicitud: 20222299504 (22) Fecha de Solicitud: 17/11/2022 09:53:33 (71)

Solicitante: SYNGENTA CROP PROTECTION AG Domicilio Solicitante: Rosentalstrasse 67, 4058 Basel, Suiza (72) Inventor: 1. Lamers, Philip 2. Siebold, Claudia Domicilio

Inventor: 1. Syngenta Crop Protetion AG Breitenloh 5, 4333 Münchwilen, Suiza 2. Syngenta Crop Protetion AG Breitenloh 5, 4333 Münchwilen, Suiza (54) Título: COMPOSICIONES HERBICIDAS (74) Agente: Juan Pablo Salomoni Guanes - 4795 (30) Prioridad/es: 2117597.1 –06/12/2021 - GB (51) Int. CI 8: A 01N 25/30(2006.01), A 01P 13/00(2006.01) En cumplimiento al Artículo 1 de la Ley N° 2593/05 que modifica el Artículo 23 de publicaciones de la Ley N° 1630/00 de Patentes de Invención, se dispone que a partir de la fecha de la presente orden de publicación, esta solicitud de patente se hace pública y se ordena su publicación por el término de la Ley (57) Resumen: (329/22). Una composición herbicida líquida que comprende pinoxaden y un adyuvante; en la que el adyuvante es un adyuvante de tipo oleoso incorporado. Farm. Berta Segovia, Directora Interina – Dirección de Patentes. 11/06 -

PATENTE DE INVENCIÓN. (19) DIRECCIÓN NACIONAL DE PROPIEDAD INTELECTUAL REPUBLICA DEL PARAGUAY Dirección Nacional de Propiedad Intelectual (11) Nro. Publicación: PY2022-2239435A (43) Asunción, 20 de Enero de 2023.- Orden de Publicación de SOLICITUD de Patente de Invención (12) DATOS DE LA SOLICITUD (21) N° de Solicitud: 2022-2239435 (22) Fecha de Solicitud: 19/05/2022

10:59:55 (71) Solicitante: SYNGENTA CROP PROTECTION

AG Domicilio Solicitante: Rosentalstrasse 67, 4058 Basel, Suiza (72) Inventor: CHRISTOPHER FLEMING Domicilio Inventor: Syngenta Crop Protection LLC 9 Davis Drive Research Triangle Park,

NC 27709, U.S.A. (54) Título: COMPOSICIONES Y MÉTODOS PARA CONTROLAR INSECTOS (74) Agente: Juan Pablo Salomoni Guanes - 4795 (30) Prioridad/es: 63/19151621/05/2021 - US (51) Int. CI 8: G 06Q 10/08(2012.01), H 02J 7/00(2006.01) En cumplimiento al Artículo 1 de la Ley N° 2593/05 que modifica el Artículo 23 de publicaciones de la Ley N° 1630/00 de Patentes de Invención, se dispone que a partir de la fecha de la presente orden de publicación, esta solicitud de patente se hace pública y se ordena su publicación por el término de la Ley, esta solicitud de patente se hace pública y se ordena su publicación por el término de la Ley. (57) Resumen: (123/22). Se dan a conocer polipéptidos pesticidas novedosos que son activos contra plagas de insectos lepidópteros. También se proporcionan moléculas de ácido nucleico que codifican las novedosas proteínas insecticidas. Las secuencias de nucleótidos que codifican los polipéptidos pesticidas pueden usarse para transformar organismos procariotas y eucariotas para expresar las proteínas insecticidas. También se divulgan métodos para producir las proteínas insecticidas y métodos de uso de las proteínas insecticidas, por ejemplo, en plantas transgénicas, para conferir protección frente al daño por insectos. Abg. María Belén Cubilla, Encargada de Despacho–Dirección de Patentes. 11/06 -

PATENTE DE INVENCIÓN. (19) DIRECCIÓN NACIONAL DE PROPIEDAD INTELECTUAL GOBIERNO DEL PARAGUAY / PARAGUÁI REKUÁI (11) Nro. Publicación: PY2023-2301734A (43) Asunción, 18 de Agosto de 2023. Orden de Publicación de SOLICITUD de Patente de Invención (12) DATOS DE LA SOLICITUD (21) Nº de Solicitud: 2023-2301734 (22) Fecha de Solicitud: 11/01/2023 12:21:07 (71) Solicitante: SYNGENTA CROP PROTECTION AG

Domicilio Solicitante: Rosentalstrasse 67, 4058 Basel, Suiza (72) Inventor: 1. Torriani, Stefano 2. Targett, Sarah Margaret 3. Galli, Paolo 4. Cornetti, Luca 5. Borghi, Lorenzo Domicilio

Inventor: 1. Schaffhauserstrasse 4332 Stein Suiza 2. Syngenta, Jealott’s Hill Int. Research Centre Bracknell, Berkshire RG42 6EY Gran Bretaña 3. Rosentalstrasse 67 4058 Basel Suiza 4. Schaffhauserstrasse 4332 Stein Suiza 5. Schaffhauserstrasse 4332 Stein Suiza (54) Título: DIAGNÓSTICO DE RESISTENCIA Y VIRULENCIA (74) Agente: Juan Pablo Salomoni Guanes - 4795 (30) Prioridad/es: 22152290.7 - 19/01/2022 -EP (51) Int. CI 8: C 12N 1/14(2006.01) En cumplimiento al Artículo 1 de la Ley Nº 2593/05 que modifica el Artículo 23 de publicaciones de la Ley Nº 1630/00 de Patentes de Invención, se dispone que a partir de la fecha de la presente orden de publicación, esta solicitud de patente se hace pública y se ordena su publicación por el término de la Ley. (57) Resumen: (03/23). Un método para determinar un perfil de resistencia y/o virulencia para un patógeno vegetal en un lugar. El método que comprende recibir una muestra de un patógeno vegetal, someter la muestra a secuenciación de ADN, determinar la presencia de al menos una variación genética del patógeno vegetal y cuantificar dicha al menos una variación genética en base a la secuenciación de ADN, y generar un perfil de resistencia y/o perfil de virulencia del patógeno vegetal. Farm. Berta Segovia, Directora Interina - Dirección de Patentes. 11/06 -

PATENTE DE INVENCIÓN. (19) DIRECCIÓN NACIONAL DE PROPIEDAD INTELECTUAL REPUBLICA DEL PARAGUAY Dirección Nacional de Propiedad Intelectual (11) Nro. Publicación: PY2022-2293447A (43) Asunción, 21 de Junio de 2023.Orden de Publicación de SOLICITUD de Patente de Invención (12) DATOS DE LA SOLICITUD (21)N° de Solicitud: 20222293447 (22) Fecha de Solicitud: 27/10/2022 08:43:15 (71)

Solicitante: SYNGENTA CROP PROTECTION AG Domicilio

Solicitante: Rosentalstrasse 67, 4058 Basel, Suiza (72) Inventor: 1. Zhang, Lianhong 2. Lu, Liang 3. Lan, Lan Domicilio Inventor: 1. ZhongGuanCun Life Science Park No. 25, Life Garden Road Beijing 102206 China 2. 6-7/F, Expo Mansion, No. 567 Bocheng Road Pudong New District Shanghai 200126 China 3. ZhongGuanCun Life Science Park No. 25, Life Garden Road Beijing 102206 China (54) Título: COMPOSICIONES FUNGICIDAS (74) Agente: Rafael Augusto Salomoni Flores - 462 (30) Prioridad/es: 2021/12724829/10/2021 - CN (51) Int. CI 8: A 61K 38/17(2006.01), C 12N 1/20(2006.01) En cumplimiento al Artículo 1 de la Ley N°

2593/05 que modifica el Artículo 23 de publicaciones de la Ley N° 1630/00 de Patentes de Invención, se dispone que a partir de la fecha de la presente orden de publicación, esta solicitud de patente se hace pública y se ordena su publicación por el término de la Ley. (57) Resumen: (306/22). La presente invención se refiere a composiciones fungicidas novedosas, a su uso en agricultura u horticultura para controlar enfermedades provocadas por fitopatógenos, especialmente hongos fitopatógenos y a métodos de control de enfermedades en plantas útiles. Farm. Berta Segovia, Directora Interina – Dirección de Patentes. 11/06 -

PATENTE DE INVENCIÓN. (19) DIRECCIÓN NACIONAL DE PROPIEDAD INTELECTUAL REPUBLICA DEL PARAGUAY Dirección Nacional de Propiedad Intelectual (11) Nro. Publicación: PY2022-22100088A (43) Asunción, 29 de Junio de 2023. Orden de Publicación de SOLICITUD de Patente de Invención (12) DATOS DE LA SOLICITUD (21) Nº de Solicitud: 2022-22100088 (22) Fecha de Solicitud: 18/11/2022 12:49:51 (71) Solicitante: SYNGENTA CROP PROTECTION AG Domicilio Solicitante: Rosentalstrasse 67, 4058 Basel, Suiza (72) Inventor: 1. Scheuble, Nathalie 2. Siebold, Claudia Domicilio Inventor: 1. Syngenta Crop Protection AG Breitenloh, 5, 4333 Münchwilen, Suiza 2. Syngenta Crop Protection AG Breitenloh, 5, 4333 Münchwilen, Suiza (54) Título: COMPOSICIONES HERBICIDAS (74) Agente: Juan Pablo Salomoni Guanes - 4795 (30) Prioridad/ es: 2117595.5 - 06/12/2021- GB (51) Int. CI 8: Int.Cl.2017.01: A 01N 25/30(2006.01), A 01N 43/90(2006.01), A 01P 13/00(2006.01) En cumplimiento al Artículo 1 de la Ley N° 2593/05 que modifica el Artículo 23 de publicaciones de la Ley N° 1630/00 de Patentes de Invención, se dispone que a partir de la fecha de la presente orden de publicación, esta solicitud de patente se hace pública y se ordena su publicación por el término de la Ley (57) Resumen: (331/22). Una composición herbicida líquida que comprende pinoxaden, fenoxaprop-p-etilo, y un adyuvante; en la que el adyuvante es un adyuvante de tipo oleoso incorporado. Farm.

Berta Segovia, Directora Interina – Dirección de Patentes. 11/06 -

PATENTE DE INVENCIÓN. (19) DIRECCIÓN NACIONAL DE PROPIEDAD INTELECTUAL REPUBLICA DEL PARAGUAY Dirección Nacional de Propiedad Intelectual (11) Nro. Publicación: PY202222104321A (43) Asunción, 30 de Junio de 2023. Orden de Publicación de SOLICITUD de Patente de Invención (12) DATOS DE LA SOLICITUD (21) Nº de Solicitud: 2022-22104321 (22) Fecha de Solicitud: 29/11/2022 13:33:52 (71) Solicitante: SYNGENTA CROP PROTECTION AG Domicilio Solicitante: Rosentalstrasse 67, 4058 Basel, Suiza (72) Inventor: 1. Maechler, Hans-Peter 2. Scheuble, Nathalie 3. Formstone, Carl Andrew 4. Blind, Philippe 5. Guyon, Frederique Domicilio Inventor: 1. Syngenta Crop Protection AG Breitenloh 5 4333 Münchwilen, Suiza 2. Syngenta Crop Protection AG Breitenloh 5 4333 Münchwilen, Suiza 3. Syngenta Limited Syngenta, Jealott's Hill Int. Research Centre Bracknell, Berkshire RG42 6EY, Gran Bretaña 4. Syngenta Crop Protection AG Breitenloh 5 4333 Münchwilen, Suiza 5. Syngenta Crop Protection AG Breitenloh 5 4333 Münchwilen, Suiza (54) Título: COMPOSICIONES HERBICIDAS (74)

Agente: Juan Pablo Salomoni Guanes - 4795 (30) Prioridad/es: 2117598.9 -06/12/2021 - GB (51) Int. CI 8: A 01N 25/30(2006.01), A 01N 43/90(2006.01), A 01P 13/00(2006.01) En cumplimiento al Artículo 1 de la Ley N° 2593/05 que modifica el Artículo 23 de publicaciones de la Ley N° 1630/00 de Patentes de Invención, se dispone que a partir de la fecha de la presente orden de publicación, esta solicitud de patente se hace pública y se ordena su publicación por el término de la Ley. (57) Resumen: (344/22). Una composición herbicida líquida que comprende pinoxaden, mesosulfurón y un adyuvante, en la que el adyuvante es un adyuvante de tipo oleoso incorporado. Farm. Berta Segovia, Directora Interina – Dirección de Patentes. 11/06 -

PATENTE DE INVENCIÓN. (19) DIRECCIÓN NACIONAL DE PROPIEDAD INTELECTUAL REPUBLICA DEL PARAGUAY Dirección Nacional de Propiedad Intelectual (11) Nro. Publicación: PY2022-22108501A (43) Asunción, 4 de Julio de 2023.Orden de Publicación de SOLICITUD de Patente de Invención (12) DATOS DE LA SOLICITUD (21) N° de Solicitud: 202222108501 (22) Fecha de Solicitud: 15/12/2022 10:42:00 (71) Solicitante: SYNGENTA CROP

PROTECTION AG Domicilio Solicitante: Rosentalstrasse 67, 4058 Basel, Suiza (72) Inventor: IBRAHIM, RUFAI Domicilio Inventor: 9 Davis Drive Research Triangle Park Durham NC 27709, U.S.A. (54) Título: “COMPOSICIÓN AGROQUÍMICA” (74) Agente: Juan Pablo Salomoni Guanes – 4795 (30) Prioridad/es: 63/292128 –21/12/2021 - US (51) Int. CI 8: A 01N 37/46(2006.01), A 01N 43/40(2006.01), A 01P 5/00(2006.01) En cumplimiento al Artículo 1 de la Ley N° 2593/05 que modifica el Artículo 23 de publicaciones de la Ley N° 1630/00 de Patentes de Invención, se dispone que a partir de la fecha de la presente orden de publicación, esta solicitud de patente se hace pública y se ordena su publicación por el término de la Ley. (57) Resumen: (363/22). La presente invención se refiere a una composición agroquímicamente activa, estable en almacenamiento, para el tratamiento de semillas y suelo que comprende: (iv) al menos un principio activo, (v) al menos un dispersante de lignosulfonato; y (vi) al menos un tensioactivo de polímero de injerto. Farm. Berta Segovia, Directora Interina – Dirección de Patentes. 11/06 -

PATENTE DE INVENCIÓN. (19) DIRECCIÓN NACIONAL DE PROPIEDAD INTELECTUAL REPUBLICA DEL PARAGUAY Dirección Nacional de Propiedad Intelectual (11) Nro. Publicación: PY2022-2254929A (43) Asunción, 30 de Enero de 2023.- Orden de Publicación de SOLICITUD de Patente de Invención (12) DATOS DE LA SOLICITUD (21) N° de Solicitud: 2022-2254929 (22) Fecha de Solicitud: 29/06/2022 13:00:10 (71) Solicitante: SYNGENTA CROP PROTECTION AG Domicilio Solicitante: Rosentalstrasse 67, 4058 Basel, Suiza (72) Inventor: 1. Joyce, Philip Matthew 2. Vaz Da Silva, Joao Renato Domicilio Inventor: 1. Syngenta, Jealott's Hill International Research Centre Bracknell Berkshire RG42 6EY Gran Bretaña 2. Rosentalstrasse 67 4058 Basel Suiza (54) Título: COMPOSICIONES HERBICIDAS (74) Agente: Juan Pablo Salomoni Guanes - 4795 (30) Prioridad/es: 21184839.509/07/2021 - EP (51) Int. CI 8: A 01N 35/06(2006.01), A 01N 47/06(2006.01), A 01P 13/02(2006.01) En cumplimiento al Artículo 1 de la Ley N° 2593/05 que modifica el Artículo 23 de publicaciones

5
JUNIO
2024
LUNES 10
DE

6 JUDICIAL .

de la Ley N° 1630/00 de Patentes de Invención, se dispone que a partir de la fecha de la presente orden de publicación, esta solicitud de patente se hace pública y se ordena su publicación por el término de la Ley. (57) Resumen: (170/22). La presente invención se refiere a una composición herbicida que comprende (A) una cantidad eficaz como herbicida de un compuesto de Fórmula (I) donde G se selecciona del grupo que consiste en hidrógeno, -C(O)CH3 y-C(O)OCH3; y (B) un herbicida inhibidor de acetil-CoA carboxilasa (ACCasa). La presente invención se refiere además a métodos para controlar malezas que comprenden las composiciones herbicidas de la invención. Abg. María Belén Cubilla, Encargada de Despacho– Dirección de Patentes. 11/06 -

PATENTE DE INVENCIÓN. (19) DIRECCIÓN NACIONAL DE PROPIEDAD INTELECTUAL REPUBLICA DEL PARAGUAY

Dirección Nacional de Propiedad Intelectual (11) Nro. Publicación: PY2022-22107115A (43)

Asunción, 3 de Julio de 2023. Orden de Publicación de SOLICITUD de Patente de Invención (12) DATOS DE LA SOLICITUD (21) Nº de Solicitud: 202222107115 (22) Fecha de Solicitud: 09/12/2022 12:13:38 (71)

Solicitante: SYNGENTA CROP PROTECTION AG Domicilio Solicitante: Rosentalstrasse 67, 4058 Basel, Suiza (72) Inventor: 1. Kilaru, Jagadeesh Prathap 2. Phadte, Mangala 3. Berardozzi, Simone 4. Hall, Roger Graham 5. Jeanguenat, André 6. Pitterna, Thomas 7. Weiss Matthias Domicilio

Inventor: 1. Santa Monica Works Corlim, llhas Goa 403 110, India 2. Santa Monica Works, Corlim, llhas Goa 403 110, India 3. Schaffhauserstrasse 4332 Stein, Suiza 4. Schaffhauserstrasse 4332 Stein, Suiza 5. Schaffhauserstrasse 4332 Stein, Suiza 6. Schaffhauserstrasse 4332 Stein, Suiza 7. Schaffhauserstrasse 4332 Stein, Suiza (54) Título: COMPUESTOS DE PIRIDAZINONA ACTIVOS COMO PESTICIDAS

(74) Agente: Juan Pablo Salomoni Guanes - 4795 (30) Prioridad/es: 202111057521 –10/12/2021 - IN (51) Int. CI 8: A 01N 43/60(2006.01), A 01P 7/02(2006.01), C 07D 403/14(2006.01) En cumplimiento al Artículo 1 de la Ley Nº 2593/05 que modifica el Artículo 23 de publicaciones

de la Ley Nº 1630/00 de Patentes de Invención, se dispone que a partir de la fecha de la presente orden de publicación, esta solicitud de patente se hace pública y se ordena su publicación por el término de la Ley. (57) Resumen:(354/22). Compuestos de fórmula donde Q es Qa o Qb 5 ; y R4 es R4a o R4b, y donde los sustituyentes son como se definen en la reivindicación, y las sales, estereoisómeros, enantiómeros, tautómero y N-óxidos agroquímicamente aceptables de esos compuestos se pueden utilizar como insecticidas. Farm. Berta Segovia, Directora Interina –Dirección de Patentes. 11/06 -

PATENTE DE INVENCIÓN. (19) DIRECCIÓN NACIONAL DE PROPIEDAD INTELECTUAL REPUBLICA DEL PARAGUAY Dirección Nacional de Propiedad Intelectual (11) Nro. Publicación: PY20222256865A (43) Asunción, 30 de Enero de 2023.- Orden de Publicación de SOLICITUD de Patente de Invención (12) DATOS DE LA SOLICITUD (21) Nº de Solicitud: 2022-2256865 (22) Fecha de Solicitud: 05/07/2022 11:18:23 (71) Solicitante: SYNGENTA CROP PROTECTION AG Domicilio Solicitante: Rosentalstrasse 67, 4058 Basel, Suiza (72) Inventor: 1. Joyce, Philip Matthew 2. Vaz Da Silva, Joao Renato Domicilio Inventor: 1. Syngenta, Jealott's Hill International Research Centre Bracknell Berkshire RG42 6EY Gran Bretaña 2. Rosentalstrasse 67 4058 Basel Suiza (54) Título: COMPOSICIONES HERBICIDAS (74) Agente: Juan Pablo Salomoni Guanes - 4795 (30) Prioridad/es: 21184832.0 - 09/07/2021- EP (51) Int. CI 8: A 01N 35/06(2006.01), A 01N 47/06(2006.01), A 01P 13/02(2006.01) En cumplimiento al Artículo 1 de la Ley N° 2593/05 que modifica el Artículo 23 de publicaciones de la Ley N° 1630/00 de Patentes de Invención, se dispone que a partir de la fecha de la presente orden de publicación, esta solicitud de patente se hace pública y se ordena su publicación por el término de la Ley. (57) Resumen: (179/22). La presente invención se refiere a una composición herbicida que comprende (A) una cantidad eficaz como herbicida de un compuesto de Fórmula (I) donde G se selecciona del grupo que consiste en hidrógeno, -C(O)CH3 y -C(O)

OCH3; y (B) al menos un herbicida seleccionado del grupo que consiste en 2,4-D, clopiralida, dicamba, florpirauxifeno, fluroxipir, halauxifeno, triclopir y ácido 4-amino-3-cloro-5-fluoro-6-(7fluoro-1H-indol-6-il)piridin-2-carboxílico, incluidos los ésteres o sales agroquímicamente aceptables de cualquiera de los compuestos (B) mencionados anteriormente. La presente invención se refiere además a métodos para controlar malezas que comprenden las composiciones herbicidas de la invención. Abg. María Belén Cubilla, Encargada de Despacho–Dirección de Patentes. 11/06-

PATENTE DE INVENCIÓN. (19) DIRECCIÓN NACIONAL DE PROPIEDAD INTELECTUAL REPUBLICA DEL PARAGUAY Dirección Nacional de Propiedad Intelectual (11) Nro. Publicación: PY2022-22108294A (43) Asunción, 21 de Junio de 2023. Orden de Publicación de SOLICITUD de Patente de Invención (12) DATOS DE LA SOLICITUD (21) Nº de Solicitud: 2022-22108294 (22) Fecha de Solicitud: 14/12/2022 13:17:02 (71) Solicitante: SYNGENTA CROP PROTECTION AG Domicilio Solicitante: Rosentalstrasse 67, 4058 Basel, Suiza (72) Inventor: 1. Boyles, Claire 2. Wesley, Robin Domicilio Inventor: 1. Syngenta, Jealott’s Hill International Research Centre Bracknell, Berkshire RG42 6EY Gran Bretaña 2. Syngenta, Jealott’s Hill International Research Centre Bracknell, Berkshire RG42 GEY Gran Bretaña (54) Título: “COMPOSICIONES FUNGICIDAS” (74) Agente: Juan Pablo Salomoni Guanes - 4795 (30) Prioridad/es: 21215713.5 - 17/12/2021 - EP (51) Int. CI 8: A 01N 43/653(2006.01) En cumplimiento al Artículo 1 de la Ley Nº 2593/05 que modifica el Artículo 23 de publicaciones de la Ley Nº 1630/00 de Patentes de Invención, se dispone que a partir de la fecha de la presente orden de publicación, esta solicitud de patente se hace pública y se ordena su publicación por el término de la Ley. (57) Resumen: (361/22). Una composición fungicida que comprende (i) florilpicoxamid como un principio activo fungicida; y (ii) un ácido orgánico seleccionado de un ácido hidroxi-monocarboxílico alifático C2 a C8 o un ácido di o tricarboxilico alifático C2 a C8 o ácido cítrico. Farm. Berta Segovia, Directora Interina – Dirección de Patentes. 11/06 -

PATENTE DE INVENCIÓN. (19) DIRECCIÓN NACIONAL DE PROPIEDAD INTELEC-

TUAL REPUBLICA DEL PARAGUAY Dirección Nacional de Propiedad Intelectual (11) Nro. Publicación: PY20222256863A (43) Asunción, 30 de Enero de 2023.- Orden de Publicación de SOLICITUD de Patente de Invención (12) DATOS DE LA SOLICITUD (21) Nº de Solicitud: 2022-2256863 (22) Fecha de Solicitud: 05/07/2022 11:16:21 (71) Solicitante: SYNGENTA CROP PROTECTION AG Domicilio Solicitante: Rosentalstrasse 67, 4058 Basel, Suiza, Switzerland (72) Inventor: 1. Joyce, Philip Matthew 2. Vaz Da Silva, Joao Renato Domicilio Inventor: 1. Syngenta, Jealott’s Hill International Research Centre Bracknell Berkshire RG42 6EY Gran Bretaña 2. Rosentalstrasse 67 4058 Basel Suiza, Switzerland (54) Título: COMPOSICIONES HERBICIDAS (74) Agente: Juan Pablo Salomoni Guanes - 4795 (30) Prioridad/es: 21184857.7 – 09/07/2021 - EP (51) Int. CI 8: A01N35/06; A01N47/06; A01P13/02 En cumplimiento al Artículo 1 de la Ley N° 2593/05 que modifica el Artículo 23 de publicaciones de la Ley N° 1630/00 de Patentes de Invención, se dispone que a partir de la fecha de la presente orden de publicación, esta solicitud de patente se hace pública y se ordena su publicación por el término de la Ley. (57) Resumen: (178/22). La presente invención se refiere a una composición herbicida que comprende (A) una cantidad eficaz como herbicida de un compuesto de Fórmula (I) donde G se selecciona del grupo que consiste en hidrógeno, -C(O) CH3 y -C(O)OCH3; y (B) al menos un herbicida, o un éster o sal agroquímicamente aceptable de este, seleccionado del grupo que consiste en: B1 un herbicida inhibidor de la hidroxifenilpiruvato.. dioxigenasa (HPPD); B2 un herbicida inhibidor de ácidos grasos de cadena muy larga (VLCFA); B3 un herbicida inhibidor de la acetolactato..sintasa (ALS); B4 un herbicida inhibidor del fotosistema II (PS-II) y B5 un herbicida seleccionado del grupo que consiste en tetflupirolimet (B5a), ciclopirimorato (B5b), bixlozona (B5c) y rimisoxafeno (B5d). La presente invención se refiere además a métodos para controlar malezas que comprenden las composiciones herbicidas de la invención. Abg. María Belén Cubilla, Encargada de Despacho–Dirección de Patentes. 11/06-

DE PROPIEDAD INTELECTUAL GOBIERNO DEL PARAGUAY / PARAGUÁI REKUÁI (11)Nro. Publicación: PY202222108297A (43) Asunción, 21 de Septiembre de 2023. Orden de Publicación de SOLICITUD de Patente de Invención (12)

DATOS DE LA SOLICITUD (21)

Nº de Solicitud: 202222108297 (22) Fecha de Solicitud: 14/12/2022 13:18:40 (71)

Solicitante: SYNGENTA

CROP PROTECTION AG

Domicilio Solicitante: Rosentalstrasse 67, 4058 Basel, Suiza (72) Inventor: 1. Edmunds, Andrew 2. Scarborough, Christopher Charles 3. Mahajan, Atul 4. Lamberth, Clemens 5. Stierli, Daniel 6. Grosheva, Daria 7. Pinson, Benjamin Domicilio Inventor: 1. Schaffhauserstrasse 4332

Stein Suiza 2. Schaffhauserstrasse 4332 Stein Suiza 3. Santa Monica Works Corlim Ilhas Goa 403 110 India 4. Schaffhauserstrasse 4332

Stein Suiza 5. Schaffhauserstrasse 4332 Stein Suiza 6. Schaffhauserstrasse 4332

Stein Suiza 7. Schaffhauserstrasse 4332 Stein Suiza (54) Título: “DERIVADOS HETEROCÍCLICOS BICÍCLICOS

MICROBIOCIDAS” (74)

Agente: Juan Pablo Salomoni

Guanes - 4795 (30) Prioridad/ es: 202111058396 – 15/12/2021

- IN 22163082.5 - 18/03/2022

- IN (51) Int. CI 8: En cumplimiento al Artículo 1 de la Ley Nº 2593/05 que modifica el Artículo 23 de publicaciones de la Ley Nº 1630/00 de Patentes de Invención, se dispone que a partir de la fecha de la presente orden de publicación, esta solicitud de patente se hace pública y se ordena su publicación por el término de la Ley. (57) Resumen: (362/22). Un compuesto de formula (I) donde los sustituyentes son como se definen en la reivindicación 1, y las sales, estereoisómeros, enantiómeros, tautómeros y N-óxidos agroquímicamente aceptables de estos compuestos, que pueden usarse como fungicidas. Farm. Berta Segovia, Directora Interina - Dirección de Patentes. 11/06 -

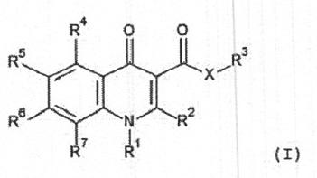
PATENTE DE INVENCIÓN. (19) DIRECCIÓN NACIONAL DE PROPIEDAD INTELECTUAL REPUBLICA DEL PARAGUAY Dirección Nacional de Propiedad Intelectual (11) Nro. Publicación: PY2022-2243835A (43) Asunción, 9 de Mayo de 2023.Orden de Publicación de SOLI-

CITUD de Patente de Invención (12) DATOS DE LA SOLICITUD (21) N° de Solicitud: 20222243835 (22) Fecha de Solicitud: 01/06/2022 10:33:57 (71) Solicitante: SYNGENTA CROP PROTECTION AG Domicilio Solicitante: Rosentalstrasse 67, 4058 Basel, Suiza (72) Inventor: 1. Williams, Simon 2. Stierli, Daniel 3. Lumbroso, Alexandre Franco Jean Camille 4. El Qacemi, Myriem 5. Jung, Pierre Joseph Marcel 6. Lamberth Clemens 7. Mahajan, Atul 8. Scarborough, Christopher Charles 9. Edmunds, Andrew 10. Bigot, Aurelien 11. Compagnone, Nicola 12. Pouliot, Martin 13. Finkbeiner, Peter Domicilio Inventor: 1. Schaffauserstrasse 4332 Stein Suiza 2. Schaffauserstrasse 4332 Stein Suiza 3. Schaffauserstrasse 4332 Stein Suiza 4. Schaffauserstrasse 4332 Stein Suiza 5. Schaffauserstrasse 4332 Stein Suiza 6. Schaffauserstrasse 4332 Stein Suiza 7. Santa Monica Works Corlim Ilhas Goa 403 110 India 8. Schaffauserstrasse 4332 Stein Suiza 9. Schaffauserstrasse 4332 Stein Suiza 10. Schaffauserstrasse 4332 Stein Suiza 11. Schaffauserstrasse 4332 Stein Suiza 12. Schaffauserstrasse 4332 Stein Suiza 13. Schaffauserstrasse 4332 Stein Suiza (54) Título: DERIVADOS DE TETRAHIDROISOQUINOLINA MICROBIOCIDA (74) Agente: Luis Alberto Salomoni Flores - 48 (30) Prioridad/es: 202111024417 - 01/06/2021- IN 21202529.0-13/10/2021 - EP (51) Int. CI 8: A 01N 43/56(2006.01), A 01P 13/00(2006.01), C 07D 217/00(2006.01) En cumplimiento al Artículo 1 de la Ley N° 2593/05 que modifica el Artículo 23 de publicaciones de la Ley N° 1630/00 de Patentes de Invención, se dispone que a partir de la fecha de la presente orden de publicación, esta solicitud de patente se hace pública y se ordena su publicación por el término de la Ley. (57) Resumen: (135/22). Un compuesto de fórmula (I) en la que los sustituyentes son como se definen en la reivindicación 1, y las sales, estereoisómeros, enantiómeros, tautómeros y N-óxidos agroquímicamente aceptables de estos compuestos, que pueden usarse como fungicidas.9. Farm. Berta Segovia, Directora Interina – Dirección de Patentes. 11/06PATENTE DE INVENCIÓN. (19) DIRECCIÓN NACIONAL DE PROPIEDAD INTELECTUAL REPUBLICA DEL PARAGUAY Dirección Nacional de Propiedad Intelectual (11) Nro. Publicación: PY2022-22108505A (43) Asunción, 4 de Julio de 2023.

LUNES 10 JUNIO DE 2024
PATENTE DE INVENCIÓN. (19) DIRECCIÓN NACIONAL

Orden de Publicación de SOLICITUD de Patente de Invención (12) DATOS DE LA SOLICITUD (21) Nº de Solicitud: 202222108505 (22) Fecha de Solicitud: 15/12/2022 10:43:47 (71)

Solicitante: SYNGENTA CROP PROTECTION AG Domicilio

Solicitante: Rosentalstrasse 67, 4058 Basel, Suiza (72) Inventor: 1. Boyles, Claire 2. Wesley, Robin Domicilio Inventor: 1. Syngenta, Jealott’s Hill Int. Research Centre Bracknell, Berkshire RG42 6EY Gran Bretaña

2. Syngenta, Jealott’s Hill Int. Research Centre Bracknell, Berkshire RG42 6EY Gran Bretaña (54) Título: “COMPOSICIONES FUNGICIDAS” (74) Agente: Juan Pablo Salomoni Guanes - 4795 (30) Prioridad/es: 21216791.0 - 22/12/2021- EP (51) Int. CI 8: A 01N 25/04(2006.01), A 01N 43/54(2006.01), A 01P 3/00(2006.01) En cumplimiento al Artículo 1 de la Ley Nº 2593/05 que modifica el Artículo 23 de publicaciones de la Ley Nº 1630/00 de Patentes de Invención, se dispone que a partir de la fecha de la presente orden de publicación, esta solicitud de patente se hace pública y se ordena su publicación por el término de la Ley. (57) Resumen: (364/22). Una composición fungicida que comprende (i) floriipicoxamid como un principio activo fungicida; y (ii) (ii) un ácido orgánico seleccionado de un compuesto de Fórmula (I): donde: X= un enlace, -CH2-, - CH2CH2-, -CH=CH_ (cis- o trans-); n= 0,1,2 o 3; y R1 = -OH o -OCH3; o n = 1; y R1 = -C(O)OH. Farm. Berta Segovia, Directora Interina – Dirección de Patentes. 11/06PATENTE DE INVENCIÓN. (19) DIRECCIÓN NACIONAL DE PROPIEDAD INTELECTUAL GOBIERNO DEL PARAGUAY / PARAGUÁI REKUÁI (11)Nro. Publicación: PY2023-2307736A (43) Asunción, 13 de Septiembre de 2023.- Orden de Publicación de SOLICITUD de Patente de Invención (12) DATOS DE LA SOLICITUD (21) Nº de Solicitud: 2023-2307736 (22) Fecha de Solicitud: 07/02/2023 10:21:52 (71) Solicitante: SYNGENTA CROP PROTECTION AG Domicilio Solicitante: Rosentalstrasse 67, 4058 Basel, Suiza (72) Inventor: 1. Sikervar, Vikas 2. Sasmal, Swarnendu 3. Stoller André 4. Muehlebach, Michel 5. Emery, Daniel 6. Jeanguenat, André 7. Buchholz, Anke 8. Kurtz, Benedikt Domicilio Inventor: 1. Syngenta, Jealott's Hill International Research Centre Bracknell Berkshire RG42 6EY, Gran Bretaña 2. Santa Monica Works

Corlim, Ilhas 403 110 Goa India 3. Schaffhauserstrasse 4332 Stein Suiza 4. Schaffhauserstrasse 4332 Stein Suiza 5. Schaffhauserstrasse 4332 Stein Suiza 6. Schaffhauserstrasse 4332 Stein Suiza 7. Schaffhauserstrasse 4332 Stein Suiza 8. Schaffhauserstrasse 4332 Stein Suiza (54) Título: DERIVADOS DE PIRAZOLO[3,4-C]PIRIDIN5-IL]-2-QUINOXALINA O 2-QUINOLINA ACTIVOS COMO PESTICIDAS CON SUSTITUYENTES QUE CONTIENEN AZUFRE (74)Agente: Juan Pablo Salomoni Guanes - 4795 (30) Prioridad/es: 202211006522 - 07/02/2022IN (51) Int. CI 8: A 01N 43/00(2006.01), C 07D 471/04(2006.01) En cumplimiento al Artículo 1 de la Ley Nº 2593/05 que modifica el Artículo 23 de publicaciones de la Ley Nº 1630/00 de Patentes de Invención, se dispone que a partir de la fecha de la presente orden de publicación, esta solicitud de patente se hace pública y se ordena su publicación por el término de la Ley. (57) Resumen: (33/23). Se dan a conocer compuestos de fórmula (I) en la que los sustituyentes son tal como se definen en la reivindicación 1. Además, la presente invención se refiere a composiciones agroquímicas que comprenden compuestos de fórmula (I), a la preparación de estas composiciones y al uso de los compuestos o las composiciones en agricultura u horticultura para combatir, prevenir o controlar plagas de animales, que incluyen artrópodos y, en particular, insectos, nematodos, moluscos o representantes del orden Acarina. Farm. Berta Segovia, Directora Interina – Dirección de Patentes. 11/06 -

PATENTE DE INVENCIÓN. (19) DIRECCIÓN NACIONAL DE PROPIEDAD INTELECTUAL REPUBLICA DEL PARAGUAY Dirección Nacional de Propiedad Intelectual (11) Nro. Publicación: PY2021-21103556A (43) Asunción, 3 de Mayo de 2023.Orden de Publicación de SOLICITUD de Patente de Invención (12) DATOS DE LA SOLICITUD (21) Nro de Solicitud: 202121103556 (22) Fecha de Solicitud: 23/11/2021 11:57:38 (71) Solicitante: SYNGENTA CROP

PROTECTION AG Domicilio

Solicitante: Rosentalstrasse 67, 4058 Basel, Suiza (72) Inventor: 1. Quanranta, Laura 2. Duvaresch, Dhiego 3. Haas, Ulrich Johannes Domicilio Inventor: 1. Rosentalstrasse 67 4058 Basel

Suiza 2. Av. Nacoes Unidas 17.007 Torre Sigma-13o andar

Sao Paulo-SP 04730-300, Brazil 3. Schaffhauserstrasse 4332

Stein Suiza (54) Título: COMPOSICIONES FUNGICIDAS (74) Agente: Rafael Augusto Salomoni Flores - 462 (30) Prioridad/es: 20211348.6 –02/12/2020 - EP 20213345.011/12/2020

- EP 21196079.4 – 10/09/2021 - EP (51) Int. CI 8: A 01N 43/40(2006.01), C 07D 213/62(2006.01) En cumplimiento al Artículo 1 de la Ley N° 2593/05 que modifica el Artículo 23 de publicaciones de la Ley N° 1630/00 de Patentes de Invención, se dispone que a partir de la fecha de la presente orden de publicación, esta solicitud de patente se hace pública y se ordena su publicación por el término de la Ley. (57) Resumen: (334/21). Una composición fungicida que comprende una mezcla de componentes (A) y (B), en donde los componentes (A) y (B) 5 son como se definen en la reivindicación 1, y el uso de las composiciones en agricultura u horticultura para controlar o prevenir la infestación de plantas por parte de microorganismos fitopatógenos, preferiblemente hongos. Farm. Berta Segovia, Directora Interina – Dirección de Patentes. 11/06 -

PATENTE DE INVENCIÓN. (19) DIRECCIÓN NACIONAL DE PROPIEDAD INTELECTUAL REPUBLICA DEL PARAGUAY

Dirección Nacional de Propiedad Intelectual (11) Nro. Publicación: PY2022-2246553A (43) Asunción, 26 de Enero de 2023.Orden de Publicación de SOLICITUD de Patente de Invención (12) DATOS DE LA SOLICITUD (21) Nº de Solicitud: 20222246553 (22) Fecha de Solicitud: 08/06/2022 11:57:54 (71)

Solicitante: SYNGENTA CROP PROTECTION AG Domicilio

Solicitante: Rosentalstrasse 67, 4058 Basel, Suiza (72) Inventor: 1. Phadte, Mangala 2. Jeanguenat, André 3. Le Chapelain, Camille 4. Pitterna, Thomas 5. Hall, Roger Graham 6. El Qacemi, Myriem 7. Kilaru, Jagadeesh Prathap 8. Berardozzi, Simone 9. Weiss, Matthias Domicilio Inventor: 1. Syngenta Biosciences Pvt Limited Santa Monica Works, Corlim, Ilhas, 403 110 Goa, India 2. Syngenta Crop Protection AG Schaffhauserstrasse, 4332 Stein, Suiza 3. Syngenta Crop Protection AG Schaffhauserstrasse, 4332 Stein, Suiza 4. Syngenta Crop Protection AG Schaffhauserstrasse, 4332 Stein, Suiza 5. Syngenta Crop Protection AG Schaffhauserstrasse, 4332 Stein, Suiza 6. Syngenta Crop Protection AG Schaffhauserstrasse,

4332 Stein, Suiza 7. Syngenta Biosciences Pvt Limited Santa Monica Works, Corlim, IIhas, 403 110 Goa, India 8. Syngenta Crop Protection AG Schaffhauserstrasse, 4332 Stein, Suiza 9. Syngenta Crop Protection AG Schaffhauserstrasse, 4332 Stein, Suiza (54) Título: COMPUESTOS DE DIAZINA-AMIDA ACTIVOS COMO PESTICIDAS (74) Agente: Rafael Augusto Salomoni Flores - 462 (30) Prioridad/ es: 202111025712 - 09/06/2021 - IN 202111032997 - 22/07/2021 - IN 21211839.2 - 01/12-2021 - EP (51) Int. CI 8: A 01N 43/54(2006.01), C 07D 403/04(2006.0l) En cumplimiento al Artículo 1 de la Ley N° 2593/05 que modifica el Artículo 23 de publicaciones de la Ley N° 1630/00 de Patentes de Invención, se dispone que a partir de la fecha de la presente orden de publicación, esta solicitud de patente se hace pública y se ordena su publicación por el término de la Ley (57) Resumen: (144/22). Los compuestos de fórmula I en donde los sustituyentes son como se definen en la reivindicación 1 y las sales, los estereoisómeros, los enantiómeros, los tautómeros y los N-óxidos agroquímicamente aceptables de esos compuestos pueden usarse como insecticidas. Abg. María Belén Cubilla, Encargada de Despacho–Dirección de Patentes. 11/06-

PATENTE DE INVENCIÓN. (19) DIRECCIÓN NACIONAL DE PROPIEDAD INTELECTUAL GOBIERNO DEL PARAGUAY / PARAGUÁI REKUÁI (11) Nro. Publicación: PY2023- 2302201A (43) Asunción, 16 de Agosto de 2023.- Orden de Publicación de SOLICITUD de Patente de Invención (12) DATOS DE LA SOLICITUD (21) Nº de Solicitud: 2023-2302201 (22) Fecha de Solicitud: 13/01/2023 13:29:34 (71) Solicitante: SYNGENTA CROP PROTECTION AG Domicilio Solicitante: Rosentalstrasse 67, 4058 Basel, Suiza (72) Inventor: 1. Qingli Liu 2. Robert Arthur Dietrich 3. Thomas Joseph Curley Jr. 4. John Daniel Hipskind 5. Becky Welsh Breitinger 6. John Luther Dawson Domicilio Inventor: 1. 9 Davis Drive Durham, NC 27709, U.S.A. 2. 9 Davis Drive Durham, NC 27709, U.S.A. 3. 9 Davis Drive Durham, NC 27709, U.S.A. 4. 9 Davis Drive Durham, NC 27709, U.S.A. 5. 9 Davis Drive Durham, NC 27709, U.S.A. 6. 9 Davis Drive Durham, NC 27709, U.S.A. (54) Título: NUEVOS LOCI GENÉTICOS ASOCIADOS CON LA RESISTENCIA A ENFERMEDADES EN LA SOJA (74) Agente: Luis Alberto Salomoni Flores - 48 (30) Prioridad/es: 63/29956614/01/2022 – US (51) Int. CI 8:

A 01H 1/00, C 12N 15/82(2006.01) En cumplimiento al Artículo 1 de la Ley Nº 2593/05 que modifica el Artículo 23 de publicaciones de la Ley Nº 1630/00 de Patentes de Invención, se dispone que a partir de la fecha de la presente orden de publicación, esta solicitud de patente se hace pública y se ordena su publicación por el término de la Ley. (57) Resumen: (08/23). La presente invención se refiere a métodos y composiciones para identificar, seleccionando o produciendo una planta o germoplasma de soja resistente a enfermedades utilizando marcadores, genes e intervalos cromosómicos derivados de Glycine canescens PI446934, o una progenie de la misma. También se proporciona una planta o germoplasma de soja que se ha identificado, seleccionado y/o producido mediante cualquiera de los métodos de la presente invención. También se proporcionan realizaciones de semillas, plantas y germoplasmas de soja resistentes a la roya asiática de la soja. Farm. Berta Segovia, Directora Interina –Dirección de Patentes. 11/06PATENTE DE INVENCIÓN. (19) DIRECCION NACIONAL DE PROPIEDAD INTELECTUAL PARAGUAY / PARAGUAY TETÃYGUA AKÃPYROKY MBA'ETEE MOAKÃHA (11) Nro. Publicación: PY2023-2367743A (43) Asunción, 18 de Abril de 2024. Orden de Publicación de SOLICITUD de Patente de Invención (12) DATOS DE LA SOLICITUD (21) N.º de Solicitud: 2023-2367743 (22) Fecha de Solicitud: 24/08/2023 11:17:10 (71) Solicitante: SYNGENTA CROP PROTECTION AG Domicilio Solicitante: Rosentalstrasse 67, 4058 Basel, Suiza. (72) Inventor: Reynolds Clarence Michael Domicilio Inventor: 9 Davis Drive Research Triangle Park, Nc 27709 Estados Unidos de América. (54) Título: COMPOSICIONES y MÉTODOS PARA CONTROLAR INSECTOS COLEÓPTEROS (74) Agente: Juan Pablo Salomoni Guanes – 4795 (30) Prioridad/ es: US 63/400892 25/08/2022 (51) Int. CI 8: Int.CI.2017.01: A 01N 25/02(2006.01) En cumplimiento al Artículo 1 de la Ley Nº 2593/05 que modifica el Artículo 23 de publicaciones de la Ley Nº 1630/00 de Patentes de Invención, se dispone que a partir de la fecha de la presente orden de publicación, esta solicitud de patente se hace pública y se ordena su publicación por el término de la Ley. (57) Resumen: (218/23) Se divulgan nuevos polipéptidos plaguicidas que son activos contra plagas de coleópteros. También se proporcionan moléculas de

ácido nucleico que codifican las nuevas proteínas insecticidas. Las secuencias de nucleótidos que codifican los polipéptidos plaguicidas pueden usarse para transformar organismos procariotas y eucariotas para expresar las proteínas insecticidas. También se divulgan métodos para producir las proteínas insecticidas y método de uso de las proteínas insecticidas, por ejemplo, en plantas transgénicas, para conferir protección frente al daño por insectos. Farm. Berta Segovia, Directora Interina – Dirección de Patentes. 11/06 -

PATENTE DE INVENCIÓN. (19) DIRECCIÓN NACIONAL DE PROPIEDAD INTELECTUAL REPUBLICA DEL PARAGUAY Dirección Nacional de Propiedad Intelectual (11) Nro. Publicación: PY2022-22108518A (43) Asunción, 4 de Julio de 2023.Orden de Publicación de SOLICITUD de Patente de Invención (12) DATOS DE LA SOLICITUD (21) Nº de Solicitud: 202222108518 (22) Fecha de Solicitud: 15/12/2022 10:59:08 (71) Solicitante: SYNGENTA CROP PROTECTION AG Domicilio Solicitante: Rosentalstrasse 67, 4058 Basel, Suiza (72) Inventor: 1. lbrahim, Rufai 2. Fajalia, Ankit Domicilio Inventor: 1. 410 Swing Road Greensboro NC 27409, U.S.A. 2. 410 Swing Road Greensboro NC 27409, U.S.A. (54) Título: “COMPOSICIÓN AGROQUÍMICA ESTABLE A ALTA TEMPERATURA” (74) Agente: Juan Pablo Salomoni Guanes - 4795 (30) Prioridad/ es: 63/292130 – 21/12/2021 - US (51) Int. CI 8: A 01N 25/00(2006.01), A 01N 43/40(2006.01), A 01P 3/00(2006.01) En cumplimiento al Artículo 1 de la Ley N° 2593/05 que modifica el Artículo 23 de publicaciones de la Ley N° 1630/00 de Patentes de Invención, se dispone que a partir de la fecha de la presente orden de publicación, esta solicitud de patente se hace pública y se ordena su publicación por el término de la Ley. (57) Resumen: (366/22). La presente invención se refiere a una composición agroquímica que comprende: a. al menos un compuesto agroquímicamente activo; b. al menos un pigmento, en una concentración p/p (peso/peso) de al menos el 2%, basándose en el peso total de la composición; y c. al menos un tensioactivo no iónico seleccionado de cada uno de: un polímero acrílico injertado; un poloxámero; y un copolímero de bloques de óxido de butil polialquileno. Preferentemente el al menos un compuesto activo es un nematicida, más preferentemente ciclobutrifluram. Farm. Berta Segovia, Direc-

7
LUNES 10 JUNIO DE 2024

tora Interina – Dirección de Patentes. 11/06 -

PATENTE DE INVENCIÓN. (19) DIRECCIÓN NACIONAL DE PROPIEDAD INTELECTUAL GOBIERNO DEL PARAGUAY / PARAGUÁI REKUÁI (11) Nro. Publicación: PY20232303499A (43) Asunción, 5 de Septiembre de 2023.- Orden de Publicación de SOLICITUD de Patente de Invención (12) DATOS DE LA SOLICITUD (21) Nº de Solicitud: 2023-2303499 (22) Fecha de Solicitud: 20/01/2023 11:53:20 (71) Solicitante: SYNGENTA CROP PROTECTION AG Domicilio

Solicitante: Rosentalstrasse 67, 4058 Basel, Suiza (72)

Inventor: WHITTINGHAM, WILLIAM GUY Domicilio

Inventor: Syngenta, Jealott's Hill Int. Research Centre Bracknell, Berkshire, Gran Bretaña (54) Título: COMPUESTOS HERBICIDAS (74) Agente: Juan Pablo Salomoni Guanes - 4795 (30) Prioridad/es: 22153395.3 - 26/01/2022 - EP (51) Int. CI 8: A 01N 43/88(2006.01), A 01P 13/00(2006.01), C 07D 251/32(2006.01) En cumplimiento al Artículo 1 de la Ley Nº 2593/05 que modifica el Artículo 23 de publicaciones de la Ley Nº 1630/00 de Patentes de Invención, se dispone que a partir de la fecha de la presente orden de publicación, esta solicitud de patente se hace pública y se ordena su publicación por el término de la Ley. (57) Resumen: (21/23). Compuesto de fórmula (I) o una sal agronómicamente aceptable del mismo: donde los sustituyentes son como se definen en la reivindicación 1, útiles como pesticidas, especialmente como herbicidas. Farm. Berta Segovia, Directora Interina – Dirección de Patentes. 11/06 -

PATENTE DE INVENCIÓN. (19) DIRECCIÓN NACIONAL DE PROPIEDADINTELECTUALGOBIERNO

DEL PARAGUAY / PARAGUÁI REKUÁI(11)Nro.Publicación:PY20232357781A(43) Asunción,2deFebrero de 2024.- Orden de Publicación de

SOLICITUDdePatentedeInvención (12) DATOS DE LA SOLICITUD (21) Nº de Solicitud: 2023-2357781 (22)

FechadeSolicitud:21/07/202311:26:34 (71) Solicitante: SYNGENTA CROP

PROTECTION AG Domicilio Solicitante: Rosentalstrasse 67, 4058 Basel, Suiza (72) Inventor: 1. Elsner, Jochen 2. Terinek, Miroslav Domicilio Inventor:1.SyngentaCropProtection AG Breitenloh 5 4333 Münchwilen Suiza 2. Syngenta Crop Protection AG Rosentalstrasse 67 4058 Basel Suiza (54) Título: POLIMORFOS (74) Agente:JuanPabloSalomoniGuanes - 4795 (30) Prioridad/es: 22186283.2 - 21/07/2022 - EP (51) Int. CI 8: A 01N 43/82(2006.01),A01P3/00(2006.01), C 070 271/06(2006.01) En cumplimiento al Artículo 1 de la Ley Nº 2593/05 que modifica el Artículo 23 depublicacionesdelaLeyNº1630/00 de Patentes de Invención, se dispone que a partir de la fecha de la presente orden de publicación, esta solicitud depatentesehacepúblicayseordena su publicación por el término de la Ley.(57)Resumen:(202/23).Lainvención se refiere a formas cristalinas de compuestos de fórmula (I-A) y (1-B), composiciones que comprenden dichas formas cristalinas y métodos para su uso como fungicidas. Abg. María Belén Cubilla, Encargada de Despacho - Dirección de Patentes. 11/06-

PATENTE DE INVENCIÓN. (19) DIRECCIÓN NACIONAL DE PROPIEDAD INTELECTUAL REPUBLICA DEL PARAGUAY Dirección Nacional de Propiedad Intelectual (11) Nro. Publicación: PY2022-2265975A (43) Asunción, 8 de Agosto de 2023.- Orden de Publicación de SOLICITUD de Patente de Invención (12) DATOS DE LA SOLICITUD (21) Nº de Solicitud: 2022-2265975 (22) Fecha de Solicitud: 01/08/2022 12:08:27 (71) Solicitante: SYNGENTA CROP PROTECTION AG Domicilio Solicitante: Rosentalstrasse 67, 4058 Basel, Suiza (72) Inventor: 1. Edmunds, Andrew 2. Williams, Simon 3. Jung, Pierre Joseph Marcel 4. Scarborough, Christopher Charles 5. Pouliot, Martin 6. Finkbeiner, Peter 7. Grosheva, Daria 8. Suesse, Lars 9. Brunot, Guillaume 10. Bonvalot, Damien Domicilio Inventor: 1. Schaffhauserstrasse 4332 Stein Suiza 2. Schaffhauserstrasse 4332 Stein Suiza 3. Schaffhauserstrasse 4332 Stein Suiza 4. Schaffhauserstrasse 4332 Stein Suiza 5. Schaffhauserstrasse 4332 Stein Suiza 6. Schaffhauserstrasse 4332 Stein Suiza 7.

Schaffhauserstrasse 4332 Stein Suiza 8. Schaffhauserstrasse 4332 Stein Suiza 9. Schaffhauserstrasse 4332 Stein Suiza 10. Schaffhauserstrasse 4332 Stein Suiza (54) Título: DERIVADOS DE PIRAZOL MICROBIOCIDAS (74) Agente: Juan Pablo Salomoni Guanes - 4795 (30) Prioridad/es: 21189099.102/08/2021- EP 22154772.202/02/20222 - EP (51) Int. CI 8: A 01N 43/80(2006.01), A 01P 13/00(2006.01), C 07D 413/12(2006.0l) En cumplimiento al Artículo 1 de la Ley N° 2593/05 que modifica el Artículo 23 de publicaciones de la Ley N° 1630/00 de Patentes de Invención, se dispone que a partir de la fecha de la presente orden de publicación, esta solicitud de patente se hace pública y se ordena su publicación por el término de la Ley. (57) Resumen: (203/22). Un compuesto de fórmula (I) en la que los sustituyentes son como se definen en la reivindicación 1, y las sales, estereoisómeros, enantiómeros, tautómeros y N-óxidos agroquímicamente aceptables de estos compuestos, que pueden usarse como fungicidas. Farm. Berta Segovia, Directora Interina – Dirección de Patentes. 11/06PATENTE DE INVENCIÓN. (19) DIRECCIÓN NACIONAL DE PROPIEDAD INTELECTUAL GOBIERNO DEL PARAGUAY / PARAGUÁI REKUÁI (11) Nro. Publicación: PY2023-2307713A (43) Asunción, 7 de Septiembre de 2023.- Orden de Publicación de SOLICITUD de Patente de Invención (12) DATOS DE LA SOLICITUD (21) Nº de Solicitud: 2023-2307713 (22) Fecha de Solicitud: 07/02/2023 09:56:46 (71) Solicitante: SYNGENTA CROP PROTECTION AG Domicilio Solicitante: Rosentalstrasse 67, 4058 Basel, Suiza (72) Inventor: 1. Muehlebach, Michel 2. Sikervar, Vikas 3. Stoller, André 4. Emery, Daniel 5. Jeanguenat, André 6. Sasmal, Swarnendu 7. Buchholz, Anke 8. Kurtz, Benedikt Domicilio Inventor: 1. Schaffhauserstrasse 4332 Stein Suiza 2. Syngenta, Jealott's Hill International Research Centre Bracknell, Berkshire RG42 6EY, Gran Bretaña 3. Schaffhauserstrasse 4332 Stein Suiza 4. Schaffhauserstrasse 4332 Stein Suiza 5. Schaffhauserstrasse 4332 Stein Suiza 6. Santa Monica Works Corlim, Ilhas 403 110 Goa India 7. Schaffhauserstrasse 4332 Stein Suiza 8. Schaffhauserstrasse 4332 Stein Suiza (54) Título: DERIVADOS

DE IMIDAZOL [1,2-A]PIRIDIN-2-IL]-1-PIRAZOLO[3,4-C] PIRIDINA ACTIVOS COMO PESTICIDAS CON SUSTITUYENTES QUE CONTIENEN AZUFRE (74) Agente: Juan Pablo Salomoni Guanes - 4795 (30) Prioridad/es: 202211006523 - 07/02/2022 - IN (51) Int. CI 8: A 01N 43/00(2006.01), C 07D 471/04(2006.01), C 07D 519/00(2006.01) En cumplimiento al Artículo 1 de la Ley Nº 2593/05 que modifica el Artículo 23 de publicaciones de la Ley Nº 1630/00 de Patentes de Invención, se dispone que a partir de la fecha de la presente orden de publicación, esta solicitud de patente se hace pública y se ordena su publicación por el término de la Ley. (57) Resumen: (32/23). Compuestos de fórmula (I) en donde los sustituyentes son tal como se definen en la reivindicación 1. Además, la presente invención se refiere a composiciones agroquímicas que comprenden compuestos de fórmula (I), a la preparación de estas composiciones y al uso de los compuestos o las composiciones en agricultura u horticultura para combatir, prevenir o controlar plagas de animales, que incluyen artrópodos y, en particular, insectos, nematodos, moluscos o representantes del orden Acarina. Farm. Berta Segovia, Directora Interina – Dirección de Patentes. 11/06-

PATENTE DE INVENCIÓN. (19) DIRECCIÓN NACIONAL DE PROPIEDAD INTELECTUAL GOBIERNO DEL PARAGUAY / PARAGUÁI REKUÁI (11) Nro. Publicación: PY2023-2353876A (43) Asunción, 13 de Febrero de 2024.- Orden de Publicación de SOLICITUD de Patente de Invención (12) DATOS DE LA SOLICITUD (21) Nº de Solicitud: 2023-2353876 (22) Fecha de Solicitud: 10/07/2023 12:49:31 (71) Solicitante: SYNGENTA CROP PROTECTION AG Domicilio Solicitante: Rosentalstrasse 67, 4058 Basel, Suiza (72) Inventor: 1. Lamberth, Clemens 2. Haas, Ulrich Johannes Domicilio Inventor: 1. Syngenta Crop Protection AG Schaffhauserstrasse, 4332 Stein, Suiza 2. Syngenta Crop Protection AG Schaffhauserstrasse, 4332 Stein, Suiza (54) Título: COMPOSICIONES FUNGICIDAS (74) Agente: Juan Pablo Salomoni Guanes - 4795 (30) Prioridad/es: 22184215.6 - 11/07/2022 – EP (51) Int. CI 8: A 01N 43/56(2006.01), A 01N 47/12(2006.01), A 01P 3/00(2006.01) En cumplimiento al Artículo 1 de la Ley

LUNES 10 JUNIO

Nº 2593/05 que modifica el Artículo 23 de publicaciones de la Ley Nº 1630/00 de Patentes de Invención, se dispone que a partir de la fecha de la presente orden de publicación, esta solicitud de patente se hace pública y se ordena su publicación por el término de la Ley. (57) Resumen: (189/23). Una composición adecuada para el control de enfermedades causadas por fitopatógenos, que comprende (A) un compuesto de fórmula I en donde R1 es hidrógeno o halógeno; R2 y R3 son independientemente entre sí hidrógeno o alquilo C1-C3 o forman junto con el átomo de carbono al que están unidos un anillo cicloalquilo C3-C5; R4, R5, R6 y R6 son independientemente entre sí hidrógeno, halógeno o alcoxi C1-C3; y X es O o NH; y (B) al menos un compuesto seleccionado entre compuestos conocidos por su actividad fungicida; y un método de control de enfermedades en plantas útiles, especialmente enfermedades de roya en soja o cereales. Farm. Berta Segovia, Directora Interina – Dirección de Patentes. 11/06PATENTE DE INVENCIÓN. (19) DIRECCIÓN NACIONAL DE PROPIEDAD INTELECTUAL GOBIERNO DEL PARAGUAY / PARAGUÁI REKUÁI (11) Nro. Publicación: PY2023-2310161A (43) Asunción, 13 de Septiembre de 2023.Orden de Publicación de SOLICITUD de Patente de Invención (12)DATOS DE LA SOLICITUD (21) Nº de Solicitud: 2023-2310161 (22) Fecha de Solicitud: 14/02/2023 11:43:13 (71) Solicitante: SYNGENTA CROP PROTECTION AG Domicilio Solicitante: Rosentalstrasse 67, 4058 Basel, Suiza (72) Inventor: 1. Anderson, Zoe Jane 2. Seden, Peter Timothy 3. Emmett, Edward John 4. Dale, Suzanna Jane 5. Morris, James Alan 6. Munns, Gordon Richard Domicilio Inventor: 1. Syngenta Limited Syngenta, Jealott's Hill Int. Research Centre Bracknell, Berkshire RG42 6EY Gran Bretaña

2. Syngenta Limited Syngenta, Jealott's Hill Int. Research Centre Bracknell, Berkshire RG42 6EY Gran Bretaña 3. Syngenta Limited Syngenta, Jealott’s Hill Int. Research Centre Bracknell, Berkshire RG42 6EY Gran Bretaña 4. Syngenta Limited Syngenta, Jealott’s Hill Int. Research Centre Bracknell, Berkshire RG42 6EY Gran Bretaña 5. Syngenta Limited Syngenta, Jealott's Hill Int. Research Centre Bracknell, Berkshire RG42 6EY Gran Bretaña

6. Syngenta Limited Syngenta, Jealott's Hill Int. Research Centre Bracknell, Berkshire RG42 6EY Gran

Bretaña (54) Título: DERIVADOS HERBICIDAS (74) Agente: Juan Pablo Salomoni Guanes - 4795 (30) Prioridad/es: 22157289.417/02/2022 - EP (51) Int. CI 8: A 01N 43/42(2006.01), C 07D 215/22(2006.01), C 07D 215/56(2006.01) En cumplimiento al Artículo 1 de la Ley Nº 2593/05 que modifica el Artículo 23 de publicaciones de la Ley Nº 1630/00 de Patentes de Invención, se dispone que a partir de la fecha de la presente orden de publicación, esta solicitud de patente se hace pública y se ordena su publicación por el término de la Ley. (57) Resumen: (35/23). Los compuestos de Fórmula (I) en donde los sustituyentes son tal como se definen en la reivindicación 1. La invención se refiere además a composiciones herbicidas que comprenden un compuesto de Fórmula (I) y al uso de compuestos de Fórmula (I) para controlar malezas, en particular en cultivos de plantas útiles. Farm. Berta Segovia, Directora Interina – Dirección de Patentes. 11/06 -

PATENTE DE INVENCIÓN. (19) DIRECCIÓN NACIONAL DE PROPIEDAD INTELECTUAL GOBIERNO DEL PARAGUAY / PARAGUÁI REKUÁI (11) Nº Publicación: PY2023-2338010A (43) Asunción, 4 de Diciembre de 2023. Orden de Publicación de SOLICITUD de Patente de Invención (12) DATOS DE LA SOLICITUD (21) Nº de Solicitud: 2023-2338010 (22) Fecha de Solicitud: 23/05/2023 10:58:32 (71) Solicitante: SYNGENTA CROP PROTECTION AG Domicilio Solicitante: Rosentalstrasse 67, 4058, Bazel, Suiza (72) Inventor: 1. Gribkov, Denis 2. Unsinn, Andreas 3. Antelmann, Björn 4. Luettin, Antonia Domicilio Inventor: 1. Syngenta Crop Protection AG Breitenloh 5, 4333 Münchwilen, Suiza 2. Syngenta Crop Protection AG GETEC PARK.SWISS AG Rothausstrasse 61, 4132 Muttenz, Suiza 3. Syngenta Crop Protection AG Breitenloh 5, 4333 Münchwilen, Suiza 4. Syngenta Crop Protection AG Breitenloh 5, 4333 Münchwilen, Suiza (54) Título: PROCEDIMIENTO PARA LA PREPARACIÓN DE 2-OXAZOLIDINONAS 4-SUSTITUIDAS (74) Agente: Juan Pablo Salomoni Guanes - 4795 (30) Prioridad/ es: 22176222.2 - 30/05/2022 -

DE 2024 8 JUDICIAL .

EP (51) Int. CI 8: C 12P 17/14 (2006.01) En cumplimiento al Artículo 1 de la Ley Nº 2593/05 que modifica el Artículo 23 de publicaciones de la Ley Nº 1630/00 de Patentes de Invención, se dispone que a partir de la fecha de la presente orden de publicación, esta solicitud de patente se hace pública y se ordena su publicación por el término de la Ley. (57) Resumen: (136/23). La presente invención se refiere a un procedimiento para la preparación de un compuesto de fórmula II (II) en donde M se selecciona entre Na, K y Li, haciendo reaccionar un compuesto de fórmula I (I) en donde R1 se selecciona entre hidrógeno, Na, K y Li, con una base, un reactivo, y opcionalmente un disolvente orgánico, caracterizado porque la base es una sal metálica de alcóxido. Farm. Berta Segovia, Directora Interina – Dirección de Patentes. 11/06 -

PATENTE DE INVENCIÓN. (19) DIRECCIÓN NACIONAL DE PROPIEDAD INTELECTUAL GOBIERNO DEL PARAGUAY / PARAGUÁI REKUÁI (11) Nº Publicación: PY2023-2339382A (43) Asunción, 30 de Noviembre de 2023. Orden de Publicación de SOLICITUD de Patente de Invención (12) DATOS DE LA SOLICITUD (21) Nº de Solicitud: 2023-2339382 (22) Fecha de Solicitud: 26/05/2023 09:40:21 (71) Solicitante: SYNGENTA CROP PROTECTION AG Domicilio Solicitante: Rosentalstrasse 67, 4058 Basel, Suiza (72) Inventor: 1. Burton, Paul Matthew 2. Carter, Neil Brian 3. Croft, Rosemary Anna 4. Dale, Suzanna Jane 5. Hennessy, Alan Joseph 6. Mulholland, Nicholas Phillip 7. Tate, Joseph Andrew 8. Wailes, Jeffrey Steven 9. Frye, Elizabeth Catherine Domicilio

Inventor: 1. Syngenta Limited Syngenta, Jealott’s Hill lnternational Research Centre Bracknell, Berkshire RG42 6EY

Gran Bretaña 2. Syngenta Limited Syngenta, Jealott's Hill lnternational Research Centre

Bracknell, Berkshire RG42 6EY

Gran Bretaña 3. Syngenta Limited Syngenta, Jealott’s Hill lnternational Research Centre

Bracknell, Berkshire RG42 6EY

Gran Bretaña 4. Syngenta Limited Syngenta, Jealott’s Hill lnternational Research Centre

Bracknell, Berkshire RG42 6EY

Gran Bretaña 5. Syngenta Limited Syngenta, Jealott’s Hill lnternational Research Centre Bracknell, Berkshire RG42 6EY

Gran Bretaña 6. Syngenta Limited Syngenta, Jealott’s Hill lnternational Research Centre

Bracknell, Berkshire RG42 6EY

Gran Bretaña 7. Syngenta Limited Syngenta, Jealott’s Hill lnternational Research Centre

Bracknell, Berkshire RG42 6EY

Gran Bretaña 8. Syngenta Limited Syngenta, Jealott’s Hill lnternational Research Centre

Bracknell, Berkshire RG42 6EY

Gran Bretaña 9. Syngenta Limited Syngenta, Jealott’s Hill lnternational Research Centre

Bracknell, Berkshire RG42 6EY

Gran Bretaña (54) Título: COMPUESTOS HERBICIDAS (74) Agente: Juan Pablo Salomoni Guanes - 4795 (30) Prioridad/es: 2207819.027/05/2022 – GB (51) Int. CI 8: A 01N 43/713 (2006.01), A 01N 43/80 (2006.01), C 07D 271/113 (2006.0l) En cumplimiento al Artículo 1 de la Ley Nº 2593/05 que modifica el Artículo 23 de publicaciones de la Ley Nº 1630/00 de Patentes de Invención, se dispone que a partir de la fecha de la presente orden de publicación, esta solicitud de patente se hace pública y se ordena su publicación por el término de la Ley. (57) Resumen: (140/23). La presente invención se refiere a compuestos de Fórmula (I), o una sal agronómicamente aceptable de dichos compuestos en donde A1, A2, A3, X1, R2, R3, R4, R5, R6, R7 y R8 son tal como se definen en la presente. La invención se refiere además a composiciones herbicidas que comprenden un compuesto de Fórmula (I) y al uso de los compuestos de Fórmula (I) para controlar malezas, en particular en cultivos de plantas útiles. Farm. Berta Segovia, Directora Interina – Dirección de Patentes. 11/06 -

PATENTE DE INVENCIÓN (19) DIRECCIÓN NACIONAL DE PROPIEDAD INTELECTUAL GOBIERNO DEL PARAGUAY / PARAGUÁI REKUÁI (11) Nº Publicación: PY 20232340293 A (43) Asunción, 30 de Enero de 2024 . Orden de Publicación de SOLICITUD de Patente de Invención (12) DATOS DE LA SOLICITUD (21) Nº de Solicitud: 2023-2340293 (22) Fecha de Solicitud: 30/05/2023 10:23:46 (71)Solicitante: SYNGENTA CROP

PROTECTION AG Domicilio

Solicitante: Rosentalstrasse 67, 4058 Basel, Suiza (72) Inventor: 1. lngram, Katharine Mary 2. Leggott, Abbie Louise 3. Whalley, Louisa 4. Morris, James

Alan 5. Emmett, Edward John 6. Seden, Peter Timothy Domicilio Inventor: 1. Syngenta Limited Syngenta, Jealott’s Hill lnt. Research Centre Bracknell, Berkshire RG42 6EY Gran Bretaña 2. Syngenta Limited Syngenta, Jealott’s Hill lnt. Research Centre Bracknell, Berkshire RG42 6EY Gran Bretaña 3. Syngenta Limited Syngenta, Jealott’s Hill lnt. Research Centre Bracknell, Berkshire RG42 6EY Gran Bretaña 4. Syngenta Limited Syngenta, Jealott’s Hill lnt. Research Centre Bracknell, Berkshire RG42 6EY Gran Bretaña 5. Syngenta Limited Syngenta, Jealott’s Hill lnt. Research Centre Bracknell, Berkshire RG42 6EY Gran Bretaña 6. Syngenta Limited Syngenta, Jealott’s Hill lnt. Research Centre Bracknell, Berkshire RG42 6EY Gran Bretaña (54) Título: “DERIVADOS HERBICIDAS” (74) Agente: Juan Pablo Salomoni Guanes - 4795 (30) Prioridad/es: 22176867.4 –01/06/2022 - EP (51) Int. CI 8: A 01N 43/40 (2006.01), A 01P 13/00 (2006.01), C 07D 213/55 (2006.01) En cumplimiento al Artículo 1 de la Ley Nº 2593/05 que modifica el Artículo 23 de publicaciones de la Ley Nº 1630/00 de Patentes de Invención, se dispone que a partir de la fecha de la presente orden de publicación, esta solicitud de patente se hace pública y se ordena su publicación por el término de la Ley (57) Resumen: (143/23). Los compuestos de Fórmula (I) donde los sustituyentes son tal como se definen en la reivindicación 1. La invención se refiere además a composiciones herbicidas que comprenden un compuesto de Fórmula (I) y al uso de compuestos de Fórmula (I) para controlar malezas, en particular en cultivos de plantas útiles. Abg. María Belén Cubilla, Encargada de Despacho - Dirección de Patentes. 11/06-

PATENTE DE INVENCIÓN. (19) DIRECCIÓN NACIONAL DE PROPIEDAD INTELECTUAL GOBIERNO DEL PARAGUAY / PARAGUÁI REKUÁI (11) Nº Publicación: PY20232340970A (43) Asunción, 4 de Diciembre de 2023. Orden de Publicación de SOLICITUD de Patente de Invención (12) DATOS DE LA SOLICITUD (21) Nº de Solicitud: 2023-2340970 (22) Fecha de Solicitud: 01/06/2023 08:36:51 (71) Solicitante: SYNGENTA CROP PROTECTION AG Domicilio Solicitante: Rosentalstrasse 67, 4058 Basel, Suiza (72) Inventor: 1. Gomm, Andrew 2. Morris, James Alan 3. Whalley,

Louisa 4. Leggott, Abbie Louise Domicilio Inventor: 1. Syngenta Limited Syngenta, Jealott’s Hill lnt. Research Centre Bracknell Berkshire RG42 6EY Gran Bretaña 2. Syngenta Limited Syngenta, Jealott’s Hill lnt. Research Centre Bracknell Berkshire RG42 6EY Gran Bretaña 3. Syngenta Limited Syngenta, Jealott’s Hill lnt. Research Centre Bracknell Berkshire RG42 6EY Gran Bretaña 4. Syngenta Limited Syngenta, Jealott’s Hill lnt. Research Centre Bracknell Berkshire RG42 6EY Gran Bretaña (54) Título: DERIVADOS HERBICIDAS (74) Agente: Juan Pablo Salomoni Guanes - 4795 (30) Prioridad/es: 22176869.0 - 01/06/2022 - EP (51) Int. CI 8: A 01N 43/42 (2006.01), C 07D 215/00 (2006.01) En cumplimiento al Artículo 1 de la Ley Nº 2593/05 que modifica el Artículo 23 de publicaciones de la Ley Nº 1630/00 de Patentes de Invención, se dispone que a partir de la fecha de la presente orden de publicación, esta solicitud de patente se hace pública y se ordena su publicación por el término de la Ley (57) Resumen: (145/23). Los compuestos de Fórmula (I) donde los sustituyentes son tal como se definen en la reivindicación 1. La invención se refiere además a composiciones herbicidas que comprenden un compuesto de Fórmula (I) y al uso de compuestos de Fórmula (I) para controlar malezas, en particular en cultivos de plantas útiles. Farm. Berta Segovia, Directora Interina – Dirección de Patentes. 11/06 -

PATENTE DE INVENCIÓN. (19) DIRECCIÓN NACIONAL DE PROPIEDAD INTELECTUAL GOBIERNO DEL PARAGUAY / PARAGUÁI REKUÁI (11) Nº Publicación: PY20232347215A (43) Asunción, 27 de Diciembre de 2023. Orden de Publicación de SOLICITUD de Patente de Invención (12) DATOS DE LA SOLICITUD (21) Nº de Solicitud: 2023-2347215 (22) Fecha de Solicitud: 21/06/2023 10:16:34 (71) Solicitante: SYNGENTA CROP PROTECTION AG Domicilio Solicitante: Rosentalstrasse 67, 4058 Basel, Suiza (72) Inventor: 1. Burton, Paul Matthew 2. Croft, Rosemary Anna 3. Dale, Suzanna Jane 4. Hennessy, Alan Joseph s. Mulholland, Nicholas Phillip 6. Tate, Joseph Andrew 7. Wailes, Jeffrey Steven Domicilio Inventor: 1. Syngenta Limited Syngenta, Jealott’s Hill lnternational Research Centre Bracknell

Berkshire RG42 6EY Gran Bretaña 2. Syngenta Limited Syngenta, Jealott’s Hill lnternational Research Centre Bracknell

Berkshire RG42 6EY Gran Bretaña 3. Syngenta Limited Syngenta, Jealott’s Hill lnternational Research Centre Bracknell

Berkshire RG42 6EY Gran Bretaña 4. Syngenta Limited Syngenta, Jealott’s Hill lnternational Research Centre Bracknell

Berkshire RG42 6EY Gran Bretaña 5. Syngenta Limited Syngenta, Jealott’s Hill lnternational Research Centre Bracknell

Berkshire RG42 6EY Gran Bretaña 6. Syngenta Limited Syngenta, Jealott’s Hill lnternational Research Centre Bracknell

Berkshire RG42 6EY Gran Bretaña 7. Syngenta Limited Syngenta, Jealott’s Hill lnternational Research Centre Bracknell

Berkshire RG42 6EY Gran Bretaña (54) Título: COMPUESTOS HERBICIDAS (74) Agente: Juan Pablo Salomoni Guanes - 4795 (30) Prioridad/es: 2209172.2 - 22/06/2022 - GB (51) Int. CI 8: A 01N 43/80 (2006.01), C 07D 401/12 (2006.01) En cumplimiento al Artículo 1 de la Ley Nº 2593/05 que modifica el Artículo 23 de publicaciones de la Ley Nº 1630/00 de Patentes de Invención, se dispone que a partir de la fecha de la presente orden de publicación, esta solicitud de patente se hace pública y se ordena su publicación por el término de la Ley. (57) Resumen: (165/23). La presente invención se refiere a compuestos de Fórmula (I), o una sal agronómicamente aceptable de dichos compuestos en donde A1, A2, A3, X1, R3, R4, son tal como se definen en la presente. La invención se refiere además a composiciones herbicidas que comprenden un compuesto de Fórmula (I) y al uso de los compuestos de Fórmula (I) para controlar malezas, en particular en cultivos de plantas útiles. Farm. Berta Segovia, Directora Interina – Dirección de Patentes. 11/06 -

PATENTE DE INVENCIÓN. (19) DIRECCIÓN NACIONAL DE PROPIEDAD INTELECTUAL PARAGUAY / PARAGUAY TETÃYGUA AKÃPYROKY

MBA’ETEE MOAKÃHA (11) Nº. Publicación: PY2023-2380360A (43) Asunción, 23 de Abril de 2024.- Orden de Publicación de SOLICITUD de Patente de Invención (12) DATOS DE LA SOLICITUD (21) N° de Solicitud: 2023-2380360 (22) Fecha de Solicitud: 04/10/2023 11:08:49 (71) Solicitante: SYNGENTA CROP PROTECTION AG Domicilio Solicitante: Rosentalstrasse 67, 4058 Basel, Suiza. (72) Inventor: Bieri Stephane; Ray Lauren; Papasotiriou Dimitrios; Irwin Dianne; Drakopoulos Dimitrios; Van De Vondervoort Peter; Coulier Leon; Domínguez- Espinoza Rosa y Whittingham William Guy. Domicilio Inventor: Syngenta Crop Protection AG Schaffhauserstrasse, 4332 Stein, Suiza; Syngenta Limited Syngenta, Jealott’s Hill Internacional Research Centre Bracknell, Berkshire, RG42 6EY, Gran Bretaña; Syngenta Limited Syngenta Jealott’s Hill Internacional Research Centre Bracknell, Berkshire, RG42 6EY, Great Britain; Gran Bretaña; Syngenta Limited Syngenta Jealott's Hill Internacional Research Centre Bracknell, Berkshire, RG42 6EY, Gran Bretaña; Syngenta Crop Protection AG Schaffhauserstrasse, 4332 Stein, Suiza; P.O. Box 4, 6100 AA Echt, Países Bajos; P.O. Box 4, 6100 AA Echt, Países Bajos; Syngenta Limited Syngenta, Jealott’s Hill International Research Centre Bracknell, Berkshire, RG42 6EY Gran Bretaña; y Syngenta Limited Syngenta, Jealott's Hill International Bracknell, Berkshire, RG42 6EY Gran Bretaña (54) Título: MEDIOS Y MÉTODOS PARA CONTROLAR PATÓGENOS Y PLAGAS EN PLANTAS (74) Agente: Juan Pablo Salomoni Guanes - 4795 (30) Prioridad/es: EP - 22200224.807/10/2022 y EP - 22200225.5 – 07/10/2022 (51) Int. CI 8: Int. CI.2017.01: A 01N 43/04 (2006.01), A 01P 3/00 (2006.01) En cumplimiento al Artículo 1 de la Ley Nº 2593/05 que modifica el Artículo 23 de publicaciones de la Ley Nº 1630/00 de Patentes de Invención, se dispone que a partir de la fecha de la presente orden de publicación, esta solicitud de patente se hace pública y se ordena su publicación por el término de la Ley. (57) Resumen: (264/23) La presente invención se refiere a una cepa microbiana y una composición que comprende la cepa microbiana, un proceso de producción de la cepa microbiana o composición que comprende la cepa microbiana y un método de uso de la cepa microbiana y composiciones que comprenden la cepa microbiana para prevenir o controlar hongos en plantas. Farm. Berta Segovia, Directora Interina – Dirección

9
LUNES 10 JUNIO DE 2024

10 JUDICIAL .

de Patentes. 11/06 -

PATENTE DE INVENCIÓN. (19) DIRECCIÓN NACIONAL DE PROPIEDAD INTELECTUAL PARAGUAY / PARAGUAY TETÃYGUA AKÃPYROKY MBA’ETEE MOAKÃHA (11) Nº Publicación: PY2023-2380365A (43) Asunción, 22 de Abril de 2024.- Orden de Publicación de SOLICITUD de Patente de Invención (12) DATOS DE LA SOLICITUD (21) N° de Solicitud: 2023-2380365 (22) Fecha de Solicitud: 04/10/2023 11:12:14 (71) Solicitante: SYNGENTA CROP PROTECTION AG Domicilio Solicitante: Rosentalstrasse 67, 4058 Basel, Suiza.- (72) Inventor: Bieri Stephane; Irwin Dianne y Coulier Leon Domicilio Inventor: Syngenta Crop Protection AG Schaffhauserstrasse, 4332 Stein, Suiza; Syngenta Limited Syngenta, Jealott’s Hill International Research Centre Bracknell, Berkshire, RG42 6EY Gran Bretaña y P.o. Box 4, 6100 AA Echt, Países Bajos.- (54) Título: MEZCLA FUNGICIDA (74) Agente: Juan Pablo Salomoni Guanes - 4795 (30) Prioridad/es: EP - 22200224.807/10/2022 y EP - 22200225.S - 07/10/2022 (51) Int. CI 8: Int. CI.2017.01: A 01N 43/36 (2006.01), A 01N 43/90 (2006.01), A 01P 3/00 (2006.01) En cumplimiento al Artículo 1 de la Ley Nº 2593/05 que modifica el Artículo 23 de publicaciones de la Ley Nº 1630/00 de Patentes de Invención, se dispone que a partir de la fecha de la presente orden de publicación, esta solicitud de patente se hace pública y se ordena su publicación por el término de la Ley (57) Resumen: (265/23) Una composición que comprende ciclotiazomicina C y malonomicina, una composición agroquímica que comprende esta mezcla y métodos y usos de las composiciones para controlar o prevenir la infestación de plantas u otros sustratos por hongos. Farm. Berta Segovia, Directora Interina – Dirección de Patentes. 11/06PATENTE DE INVENCIÓN. (19) DIRECCIÓN NACIONAL DE PROPIEDAD INTELECTUAL PARAGUAY / PARAGUAY TETÃYGUA AKÃPYROKY MBA’ETEE MOAKÃHA (11) Nº. Publicación: PY2023-2378591A

( 43) Asunción, 4 de Abril de 2024.- Orden de Publicación de SOLICITUD de Patente de Invención (12) DATOS DE LA SOLICITUD (21) N.º de Solicitud: 2023-2378591 (22) Fecha de Solicitud: 27/09/2023 12:19:12 (71) Solicitante: SYNGENTA CROP PROTECTION

AG.- Domicilio Solicitante: Rosentalstrasse 67, 4058 Basel, Suiza. (72) Inventor: Beattie, David. Domicilio Inventor: Syngenta Crop Protection Ag Rosentalstrasse 67 4058 Basel Suiza. (54) Título: MÉTODOS AGRÍCOLAS. (74) Agente: Juan Pablo Salomoni Guanes – 4795 (30) Prioridad/es: GB2214202.0 – 28/09/2022 (51) Int. CI 8: Int.CI.2017.01: A 01N 43/56 (2006.01), A 01P 3/00 (2006.01). En cumplimiento al Artículo 1 de la Ley Nº 2593/05 que modifica el Artículo 23 de publicaciones de la Ley Nº 1630/00 de Patentes de Invención, se dispone que a partir de la fecha de la presente orden de publicación, esta solicitud de patente se hace pública y se ordena su publicación por el término de la Ley (57) Resumen: (244/23) La presente invención se refiere a un método de control o prevención de la infestación por hongos fitopatogénicos en una planta, en el que los hongos fitopatogénicos comprenden una mutación F129L en el citocromo b mitocondrial que confiere resistencia a los inhibidores de Qo. 1. Un método para controlar o prevenir la infestación por hongos fitopatogénicos en una planta, en el que los hongos fitopatogénicos comprenden una mutación F129L en el citocromo b mitocondrial que confiere resistencia a los inhibidores de Qo, el método comprende aplicar a la planta, a partes de la misma o al sitio de la misma, una composición fungicida que comprende una mezcla de componentes (A) y (B) como ingredientes activos, en la que el componente (A) es un compuesto seleccionado entre: (Z)-2-(5-ciclobutil-2-metil-fenoxi)-3-metoxi-prop-2-enoato de metilo (compuesto X.01), (Z)-2-(5- ciclopentil-2-metil-fenoxi)-3-metoxi-prop-2-enoato de metilo (compuesto X.02 ), (Z)-2-(5-ciclopropil-2-metil-fenoxi)-3-metoxiprop-2-enoato de metilo (compuesto X.03), o (Z)-2-(5-ciclohexil-2-metil-fenoxi)-3-metoxi-prop-2-enoato de metilo (compuesto X.04); o una sal agronómicamente aceptable del mismo; y el componente (B) es un compuesto seleccionado del grupo que consiste en: bixafeno, acibenzolar, acibenzolar-S-metilo, sulfato de cobre, hidróxido de cobre, oxicloruro de cobre, óxido de cobre, ciproconazol, difenoconazol, hexaconazol, protioconazol, propiconazol,

tebuconazol, epoxiconazol, fenpropidina, fenpropimorf, azoxistrobina, dimoxistrobina, trifloxistrobina, picoxistrobina, piraclostrobina, mancozeb, clorotalonil, fluazinam, fluxapiroxad, isopirazam, sedaxano, boscalid, flufenoxadiazam, benzovindiflupir, pidiflumetofeno, isoflucipram, fluindapir, inpirfluxam, mefentrifluconazol, florilpicoxamid, metarilpicoxamid y metiltetraprol. 2. El método de acuerdo con la reivindicación 1, en el que la planta es una planta de soja. 3. El método de acuerdo con la reivindicación 2, en el que el hongo fitopatogénico es Phakopsora pachyrhizi.4. El método de acuerdo con cualquiera de las reivindicaciones 1 a 3, en el que la planta es una planta de soja transgénica. Farm. Berta Segovia, Directora Interina – Dirección de Patentes. 11/06 -

PATENTE DE INVENCIÓN. (19) DIRECCIÓN NACIONAL DE PROPIEDAD INTELECTUAL GOBIERNO DEL PARAGUAY / PARAGUÁI REKUÁI (11) Nº Publicación: PY2023-2378944A (43) Asunción, 5 de Abril de 2024.- Orden de Publicación de SOLICITUD de Patente de Invención (12) DATOS DE LA SOLICITUD (21) N.º de Solicitud: 2023-2378944 (22) Fecha de Solicitud: 28/09/2023 10:29:25 (71) Solicitante: SYNGENTA CROP PROTECTION AG Domicilio Solicitante: Rosentalstrasse 67, 4058 Basel, Suiza, (72) Inventor: Lamberth Clemens Hass Ulrich Johannes Domicilio Inventor: Syngenta Crop Protection Ag Schaffhauserstrasse, 4332 Stein, Suiza, y Syngenta Crop Protection Ag Schaffhauserstrasse, 4332 Stein, Suiza.- (54) Título: COMPOSICIONES FUNGICIDAS (74) Agente: Juan Pablo Salomoni Guanes – 4795 (30) Prioridad/es: EP – 22199262.130/09/2022 (51) Int. CI 8: Int. CI.2017.01: A 01N 43/00 (2006.01) En cumplimiento al Artículo 1 de la Ley Nº 2593/05 que modifica el Artículo 23 de publicaciones de la Ley Nº 1630/00 de Patentes de Invención, se dispone que a partir de la fecha de la presente orden de publicación, esta solicitud de patente se hace pública y se ordena su publicación por el término de la Ley (57) Resumen: (246/23) Una composición adecuada para el control de enfermedades causadas por fitopatógenos, que comprende (A) un compuesto de fórmula I en donde R¹ es alquilo C₁-C₆, haloalquilo C₁-C₆, alcoxi C₁-C₃. alquilo C₁-C₃, cicloalquilo C₃-C₅, alquenilo C₂- C₄, alqui-

nilo C₂-C₄; R² es hidrógeno, alquilo C₁-C₃, alcoxi C₁-C₃ o cicloalquilo C₃-C₅; R³ es alquilo C₁-C₆; R⁴ es hidrógeno o flúor y A es 1,4-fenilo o 2,5-tienilo; y (B) al menos un compuesto seleccionado entre compuestos conocidos por su actividad fungicida; y un método de control de enfermedades en plantas útiles, especialmente enfermedades de roya en soja o cereales. Farm. Berta Segovia, Directora Interina – Dirección de Patentes. 11/06 -

PATENTE DE INVENCIÓN. (19) DIRECCIÓN NACIONAL DE PROPIEDAD INTELECTUAL REPÚBLICA DEL PARAGUAY Dirección Nacional de Propiedad Intelectual (11) Nº Publicación: PY2022-22104284A (43) Asunción, 14 de Junio de 2023.Orden de Publicación de SOLICITUD de Patente de Invención (12) DATOS DE LA SOLICITUD (21) Nº de Solicitud: 202222104284 (22) Fecha de Solicitud: 29/11/2022 13:21:55 (71)

Solicitante: SYNGENTA CROP PROTECTION AG

Domicilio Solicitante: Rosentalstrasse 67, 4058 Basel, Suiza (72) Inventor: 1. Dale, Suzanna Jane 2. Elves, Philip Michael 3. Morris, James Alan 4. Watkin, Samuel Vaughan Domicilio

Inventor: 1. Syngenta Limited Syngenta, Jealott’s Hill lnternational Research Centre Bracknell Berkshire RG42 6EY Gran Bretaña 2. Syngenta Limited Syngenta, Jealott’s Hill lnternational Research Centre Bracknell Berkshire RG42 6EY Gran Bretaña 3. Syngenta Limited Syngenta, Jealott’s Hill lnternational Research Centre Bracknell Berkshire RG42 6EY Gran Bretaña 4. Syngenta Limited Syngenta, Jealott’s Hill lnternational Research Centre Bracknell Berkshire RG42 6EY Gran Bretaña (54) Título: “COMPUESTO HERBICIDAS DE PIRAZOL PIRIMIDINA” (74)

Agente: Juan Pablo Salomoni Guanes - 4795 (30) Prioridad/ es: 2117474.3 - 03/12/2021 - GB (51) Int. CI 8: A 01N 43/54 (2006.01), C 07D 401/14 (2006.01), C 07D 403/06 (2006.01) En cumplimiento al Artículo 1 de la Ley N° 2593/05 que modifica el Artículo 23 de publicaciones de la Ley N° 1630/00 de Patentes de Invención, se dispone que a partir de la fecha de la presente orden de publicación, esta solicitud de patente se hace pública y se ordena su publicación por el término de la Ley (57) Resumen: (342/22). La presente

invención se refiere a compuestos de Fórmula (I) o una sal agronómicamente aceptable de dichos compuestos en donde Q, R 1, R 2 y R 4 son tal como se definen en el presente documento. La invención se refiere además a composiciones herbicidas que comprenden un compuesto de Fórmula (I) y al uso de los compuestos de Fórmula (I) para controlar malezas, en particular, en cultivos de plantas útiles. Farm. Berta Segovia, Directora Interina – Dirección de Patentes. 11/06 -

PATENTE DE INVENCIÓN. (19) DIRECCIÓN NACIONAL DE PROPIEDAD INTELECTUAL PARAGUAY / PARAGUAY TETÃYGUA AKÃPYROKY MBA’ETEE MOAKÃHA (11) Nº Publicación: PY2023-2379985A (43) Asunción, 8 de Abril de 2024. Orden de Publicación de SOLICITUD de Patente de Invención (12) DATOS DE LA SOLICITUD (21) Nº de Solicitud: 2023-2379985 (22) Fecha de Solicitud: 03/10/2023 10:47:47 (71) Solicitante: Syngenta Crop Protection AG Domicilio Solicitante: Rosentalstrasse 67, 4058 Basel, Switzerland, Switzerland (72) Inventor: Van De Vondervoort Peter Coulier Leon Bieri Stephane Sidebottom Philip Papasotiriou Dimitrios Irwin Dianne Domicilio Inventor: P.O. Box 4, 6100 AA Echt, The Netherlands,Países Bajos; P.O. Box 4, 6100 AA Echt, The Netherlands, Países Bajos; Syngenta Crop Protection AG Schaffhauserstrasse, 4332 Stein, Switzerland, Suiza; Syngenta Limited Syngenta, Jealott’s Hill International Research Centre Bracknell, Berkshire, RG42 6EY Great Britain, Gran Bretaña; Syngenta Limited Syngenta, Jealott’s Hill lnternational Research Centre Bracknell, Berkshire, RG42 6EY Great Britain, Gran Bretaña y Syngenta Limited Syngenta, Jealott’s Hill International Research Centre Bracknell, Berkshire, RG42 6EY Great Britain, Gran Bretaña. (54) Título: COMPUESTO FUNGICIDA (74) Agente: Juan Pablo Salomoni Guanes - 4795 (30) Prioridad/es: EP - 22200225.5 –07/10/2022 (51) Int. CI 8: Int. CI.2017.01: A 01N 25/02 (2006.01) En cumplimiento al Artículo 1 de la Ley Nº 2593/05 que modifica el Artículo 23 de publicaciones de la Ley Nº 1630/00 de Patentes de Invención, se dispone que a partir de la fecha de la presente orden de publicación, esta solicitud de patente se hace pública y

se ordena su publicación por el término de la Ley. (57) Resumen: (261/23) La presente invención se refiere a un compuesto de Fórmula (I) y una composición que contiene, un proceso de producción del compuesto y un método de uso del compuesto y las composiciones para prevenir o controlar hongos en plantas. Farm. Berta Segovia, Directora Interina – Dirección de Patentes. 11/06 -

PATENTE DE INVENCIÓN. (19) DIRECCIÓN NACIONAL DE PROPIEDAD INTELECTUAL REPÚBLICA DEL PARAGUAY Dirección Nacional de Propiedad Intelectual (11) Nº Publicación: PY202222105170A (43) Asunción, 23 de Junio de 2023.- Orden de Publicación de SOLICITUD de Patente de Invención (12) DATOS DE LA SOLICITUD (21) Nº de Solicitud: 202222105170 (22) Fecha de Solicitud: 02/12/2022 10:23:26 (71) Solicitante: SYNGENTA CROP PROTECTION AG Domicilio Solicitante: Rosentalstrasse 67, 4058 Basel, Suiza (72) Inventor: 1. Edmunds, Andrew 2. Blum, Mathias Domicilio Inventor: 1. Syngenta Crop Protection AG Schaffhauserstrasse 4332 Stein Suiza 2. Syngenta Crop Protection AG Schaffhauserstrasse 4332 Stein Suiza (54) Título: “COMPOSICIONES FUNGICIDAS” (74) Agente: Juan Pablo Salomoni Guanes -4795 (30)Prioridad/es: 212120935 - 02/12/2021-EP (51) Int. CI 8: A 01N 43/78 (2006.01), A 01P 3/00 (2006.01) En cumplimiento al Artículo 1 de la Ley N° 2593/05 que modifica el Artículo 23 de publicaciones de la Ley N° 1630/00 de Patentes de Invención, se dispone que a partir de la fecha de la presente orden de publicación, esta solicitud de patente se hace pública y se ordena su publicación por el término de la Ley. (57) Resumen: (348/22). Una composición fungicida que comprende una mezcla de componentes (A) y (B), en la que los componentes (A) y (B) son como se definen en la reivindicación 1, y el uso de las composiciones en agricultura u horticultura para controlar o prevenir la infestación de plantas por parte de microorganismos fitopatógenos, preferiblemente hongos. Farm. Berta Segovia, Directora Interina – Dirección de Patentes. 11/06 -

LUNES 10 JUNIO DE 2024

PATENTE DE INVENCIÓN. (19) DIRECCIÓN NACIONAL DE PROPIEDAD INTELECTUAL REPÚBLICA DEL PARAGUAY Dirección Nacional de Propiedad Intelectual (11) Nº Publicación: PY20202070735A (43) Asunción, 17 de Noviembre de 2021.- Orden de Publicación de SOLICITUD de Patente de INVENCIÓN (12) DATOS DE LA SOLICITUD (21) Nº de Solicitud: 20202070735 (22) Fecha de Solicitud: 30/10/2020 11:37:29 (71) Solicitante: SYNGENTA CROP PROTECTION AG

Domicilio Solicitante: Rosentalstrasse 67, 4058 Basel, Suiza (72)Inventor: 1. Edmunds, Andrew 2. Emery, Daniel 3. Jeanguenat, André 4. Kolleth Krieger, Amandine 5. Kilaru, Jagadeesh Prathap 6. Hall, Roger Grahan 7. losub, Viorel Andrei 8. Le Chapelain, Camille 9. Phadte, Mangala 10. Pitterna, Thomas 11. Scarborough, Christopher Charles Domicilio Inventor: 1. Schaffhausestrasse 4332 Stein Suiza 2. Schaffhausestrasse 4332 Stein Suiza 3. Schaffhausestrasse 4332 Stein Suiza 4. Schaffhausestrasse 4332 Stein Suiza 5. Santa Monica Works Corlim llhas Goa 403 110 Goa, India 6. Schaffhausestrasse 4332 Stein Suiza 7. Schaffhausestrasse 4332 Stein Suiza 8. Schaffhausestrasse 4332 Stein Suiza 9. Santa Monica Works Corlim llhas Goa 403 110 Goa, India 10. Schaffhausestrasse 4332 Stein Suiza 11. Schaffhausestrasse 4332 Stein Suiza (54) Título: COMPUESTOS HETEROAROMÁTICOS BICÍCLICOS CONDENSADOS ACTIVOS COMO PESTICIDAS (74)

Agente: Juan Pablo Salomoni Guanes - 4795 (30) Prioridad/ es: 19206744.5 -01/11/2019 - EP 202011005892 - 11/02/2020IN 202011025125 - 15/06/2020 - IN (51) Int. CI 8: A01N43/54 En cumplimiento al Artículo 1 de la Ley N° 2593/05 que modifica el Artículo 23 de publicaciones de la Ley N° 1630/00 de Patentes de Invención, se dispone que a partir de la fecha de la presente orden de publicación, esta solicitud de patente se hace pública y se ordena su publicación por el término de la Ley. (57) Resumen: (288/20). Los compuestos de fórmula I donde los sustituyentes son como se definen en la reivindicación 1, y las sales, estereoisómeros, enantiómeros, tautómeros y N-óxidos agroquímicamente aceptables de estos compues-

tos, pueden usarse como insecticidas. Farm. Berta Segovia, Directora Interina – Dirección de Patentes. 11/06 -

PATENTE DE INVENCIÓN. (19) DIRECCIÓN NACIONAL DE PROPIEDAD INTELECTUAL PARAGUAY / PARAGUAY TETÃYGUA AKÃPYROKY MBA’ETEE MOAKÃHA (11) Nº Publicación: PY2023-2379990A (43) Asunción, 8 de Abril de 2024.Orden de Publicación de SOLICITUD de Patente de Invención (12) DATOS DE LA SOLICITUD (21) Nº de Solicitud: 2023-2379990 (22) Fecha de Solicitud: 03/10/2023 10:51:32 (71) Solicitante: Syngenta Crop Protection Ag Domicilio Solicitante: Rosentalstrasse 67, 4058 Basel, Suiza. (72) Inventor: Van De Vondervoort Peter Coulier Leon Bieri Stephane Sidebottom Philip Papasotiriou Dimitrios Irwin Dianne Domicilio

Inventor: P.o Box 4, 6100 Aa Echt, Holanda, Netherlands; P.o Box 4, 6100 Aa Echt, Holanda, Netherlands; Syngenta Crop Protection Ag Schaffhauserstrasse, 4332 Stein, Suiza, Switzerland; Syngenta Limited Syngenta, Jealott’s Hill lnternational Research Centre Bracknell, Berkshire, Rg42 6ey Gran Bretaña, Great Britain; Syngenta Limited Syngenta, Jealott’s Hill lntemational Research Centre Bracknell, Berkshire, Rg42 6ey Gran Bretaña, Great Britain y Syngenta Limited Syngenta, Jealott’s Hill lnternational Research Centre Bracknell, Berkshire, Rg42 6ey Gran Bretaña, Great Britain (54) Título: COMPUESTO FUNGICIDA (74) Agente: Juan Pablo Salomoni Guanes - 4795 (30) Prioridad/es: EP - 22200224.807/10/2022 (51) Int. CI 8: A 01N 25/02 (2006.01) En cumplimiento al Artículo 1 de la Ley Nº 2593/05 que modifica el Artículo 23 de publicaciones de la Ley Nº 1630/00 de Patentes de Invención, se dispone que a partir de la fecha de la presente orden de publicación, esta solicitud de patente se hace pública y se ordena su publicación por el término de la Ley. (57) Resumen: (262/23). La presente invención se refiere a un compuesto de Fórmula (I) y una composición que lo contiene, un proceso para producir el compuesto y un método para usar el compuesto y las composiciones

para prevenir o controlar hongos en plantas y en la agricultura. Farm. Berta Segovia, Directora Interina – Dirección de Patentes. 11/06 -

PATENTE DE INVENCIÓN. (19) DIRECCIÓN NACIONAL DE PROPIEDAD INTELECTUAL GOBIERNO DEL PARAGUAY / PARAGUÁI REKUÁI (11) Nº Publicación: PY2022-2238932A (43) Asunción, 25 de Enero de 2024. Orden de Publicación de SOLICITUD de Patente de Invención (12) DATOS DE LA SOLICITUD (21) Nº de Solicitud: 2022-2238932 (22) Fecha de Solicitud: 18/05/2022 09:39:55 (71) Solicitante: SYNGENTA CROP PROTECTION AG Domicilio Solicitante: Rosentalstrasse 67, 4058 Basel, Suiza (72) Inventor: 1. Kleber, Raphael 2. Lamers, Philip 3. Tsoutsoura, Aikaterini Domicilio Inventor: 1. Breitenloh 5, 4333 Münchwilen, Suiza 2. Breitenloh 5, 4333 Münchwilen, Suiza 3. Breitenloh 5, 4333 Münchwilen, Suiza (54) Título: FORMULACIÓN (74) Agente: Juan Pablo Salomoni Guanes - 4795 (30) Prioridad/es:-(51) Int. CI 8: A 01N 25/04 (2006.01), A 01N 43/80 (2006.01) En cumplimiento al Artículo 1 de la Ley Nº 2593/05 que modifica el Artículo 23 de publicaciones de la Ley Nº 1630/00 de Patentes de Invención, se dispone que a partir de la fecha de la presente orden de publicación, esta solicitud de patente se hace pública y se ordena su publicación por el término de la Ley. (57) Resumen: (120/22). Esta invención se refiere a una composición acuosa que comprende: (a) al menos el 10 % en peso de fludioxonil con respecto al peso total de la composición, (b) al menos un copolímero de polioxialquileno que tiene un peso molecular promedio de hasta 4000 g/mol, (c) al menos un agente dispersante, y (d) agua. Abg. María Belén Cubilla, Encargada de DespachoDirección de Patentes. 11/06 -

PATENTE DE INVENCIÓN. (19) DIRECCIÓN NACIONAL DE PROPIEDAD INTELECTUAL REPÚBLICA DEL PARAGUAY Dirección Nacional de Propiedad Intelectual (11) Nro. Publicación: PY20222219706A (43) Asunción, 27 de setiembre de 2022. Orden de Publicación de SOLICITUD de Patente de Invención (12) DATOS DE LA SOLICITUD (21) Nº de Solicitud: 2022-2219706 (22) Fecha de Solicitud: 18/03/2022 09:38:17 (71) Solicitante: SYNGENTA CROP PROTECTION AG Domicilio

Solicitante: Rosentalstrasse 67, 4058 Basel, Suiza (72) Inventor: 1. Meunier, Celine 2. Janker, Marion 3. Garo, Kerstin 4. Siebold, Claudia 5. Schneider, Sandra 6. Kientz, Heloise 7. Bremont, Anne-Laure 8. Bircher, Rene Rolf. Domicilio Inventor: 1. Bre-

itenloh 5 4333 Münchwilen Suiza 2. Breitenloh. 5 4333 Münchwilen Suiza 3. Breitenloh 5 4333 Münchwilen Suiza 4. Breitenloh 5 4333 Münchwilen Suiza 5. Breitenloh 5 4333 Münchwilen Suiza 6. Breitenloh 5 4333 Münchwilen Suiza 7. Breitenloh 5 4333 Münchwilen Suiza 8. Breitenloh 5 4333 Münchwilen Suiza (54) Título: COMPOSICIÓN (74) Agente: Juan Pablo Salomoni Guanes - 4795 (30) Prioridad/es: 21163830.9 - 19/03/2021- EP 21163833.3 - 19/03/2021- EP 21163835.8 - 19/03/2021 - EP (51) Int. CI 8: A 01N 25/00(2006.01), A 01N 43/40 (2006.01), A 01P 3/00 (2006.01), A 01P 5/00 (2006.01). En cumplimiento al Artículo 1 de la Ley N° 2593/05 que modifica el Artículo 23 de publicaciones de la Ley N° 1630/00 de Patentes de Invención, se dispone que a partir de la fecha de la presente orden de publicación, esta solicitud de patente se hace pública y se ordena su publicación por el término de la Ley. (57) Resumen: (55/22). La presente invención se refiere a una composición de concentrado en suspensión acuosa útil en agricultura para 5 controlar plagas dañinas para cultivos comerciales, que comprende (I) ciclobutrifluram como principio activo; (II) de 1 a 30 gramos/litro de un agente humectante de sulfosuccinato; 10 (III) de 5 a 50 gramos/litro de un copolímero de bloque de butilo-poli (óxido de alquileno); y (IV) de 2.5 a 35 gramos/litro de lignosulfonato de sodio. Farm. Berta Segovia, Directora Interina – Dirección de Patentes. 11/06-

PATENTE DE INVENCIÓN. (19) DIRECCIÓN NACIONAL DE PROPIEDAD INTELECTUAL GOBIERNO DEL PARAGUAY / PARAGUÁI REKUÁI (11) Nro. Publicación: PY2022-2207731 A (43) Asunción, 30 de noviembre de 2023. Orden de Publicación de SOLICITUD de Patente de Invención (12) DATOS DE LA SOLICITUD (21) Nº de Solicitud: 2022-2207731 (22) Fecha de Solicitud: 10/02/2022 08:09: 27 (71) Solicitante: SYNGENTA CROP PROTECTION AG Domicilio Solicitante: Rosentalstrasse 67, 4058 Basel, Suiza (72) Inventor: 1. Farmer, Andrew David 2. Becky Welsh Breitinger 3. Qingli Liu 4. Thomas Joseph Curley Jr. Domicilio Inventor: 1. 2935 Rodeo Park Dr. E. Santa Fe, NM 87505, U.S.A. 2. 9 Davis Drive Durham, NC 27709, U.S.A. 3. 9 Davis Drive Durham, NC 27709, U.S.A. 4. 9 Davis Drive Durham, NC 27709, U.S.A. (54) Título: NUEVOS GENES DE RESISTENCIA ASOCIADOS A RESISTENCIA A ENFERMEDADES EN SOJA (74)

Agente: Juan Pablo Salomoni Guanes - 4795 (30) Prioridad/es: 63/147,849 - 10/02/2021-US 63/209,005 -10/06/2021 - US (51)

Int. CI 8: A 01H 1/00, A 01N 25/00 (2006.01), C 07K 14/415 (2006.01)

En cumplimiento al Artículo 1 de la Ley Nº 2593/05 que modifica el Artículo 23 de publicaciones de la Ley Nº 1630/00 de Patentes de Invención, se dispone que a partir de la fecha de la presente orden de publicación, esta solicitud de patente se hace pública y se ordena su publicación por el término de la Ley. (57) Resumen: (17/22). La presente invención se refiere a métodos y composiciones para identificar, seleccionar y/o producir una planta o germoplasma resistente a patógenos (por ejemplo, planta o germoplasma de soja) utilizando genes derivados de Glycine tomentella. Se proporcionan genes candidatos capaces de conferir resistencia a patógenos (por ejemplo, a la roya de la soja asiática). También se proporciona una planta o germoplasma que se ha identificado, seleccionado y/o producido mediante cualquiera de los métodos de la presente invención. También se proporcionan semillas, plantas y germoplasmas resistentes a patógenos. Farm. Berta Segovia, Directora Interina – Dirección de Patentes. 11/06-

PATENTE DE INVENCIÓN. (19) DIRECCIÓN NACIONAL DE PROPIEDAD INTELECTUAL GOBIERNO DEL PARAGUAY / PARAGUÁI REKUÁI (11) Nro. Publicación: PY2022-2244419A. (43) Asunción, 26 de Diciembre de 2022. Orden de Publicación de SOLICITUD de Patente de Invención (12) DATOS DE LA SOLICITUD (21) Nº de Solicitud: 20222244419 (22) Fecha de Solicitud: 02/06/2022 11:35:39 (71) Solicitante: SYNGENTA CROP PROTECTION AG Domicilio Solicitante: Rosentalstrasse 67, 4058

Basel Suiza (72) Inventor: 1.Rawal, Girish 2. Sen, lndira 3. Sikervar, Vikas 4. Stoller, André 5. Williams, Simon 6. Muehlebach Michel 7. Emery Daniel 8. Buchholz, Anke 9. Rendler, Sebastian 10. Edmuds, Andrew 11. Smits, Helmars 12. Comas-Barcelo, Julia Domicilio Inventor: 1. C/o Santa Mónica Works Corlim, llhas Goa 403 110 India 2. Santa Mónica Works Corlim, llhas 403 110 Goa India 3. Bracknell, Berkshire RG42 6EY Gran Bretaña 4. Schaffhauserstrasse 4332 Stein Suiza 5. Schaffhauserstrasse 4332 Stein Suiza 6. Scha-

ffhauserstrasse 4332 Stein Suiza 7. Schaffhauserstrasse 4332 Stein Suiza 8. Schaffhauserstrasse 4332 Stein Suiza 9. Rosentalstrasse 67 4058 Basel Suiza 10. Schaffhauserstrasse 4332 Stein Suiza 11. Schaffhauserstrasse 4332 Stein Suiza 12. Bracknell, Berkshire RG 42 6EY Gran Bretaña (54) Título: Derivados heterocíclicos con sustituyentes que contienen sulfoximina activos como plaguicidas (74) Agente: Luis Alberto Salomoni Flores - 48 (30) Prioridad/es: 202111024601 –02/06/2021 - IN (51) Int. CI 8: A 01N 43/50(2006.01), C 07D 471/04 (2006.01). En cumplimiento al Artículo 1 de la Ley Nº 2593/05 que modifica el Artículo 23 de publicaciones de la Ley Nº 1630/00 de Patentes de Invención, se dispone que a partir de la fecha de la presente orden de publicación, esta solicitud de patente se hace pública y se ordena su publicación por el término de la Ley. (57) Resumen: (137/22). Compuestos de fórmula (I) en los que los sustituyentes son como se definieron en la reivindicación 1. Además, la presente invención se refiere a composiciones agroquímicas que comprenden compuestos de fórmula (I), a la preparación de estas composiciones y al uso de los compuestos o las composiciones en agricultura u horticultura para combatir, prevenir o controlar plagas de animales, incluyendo artrópodos y, en particular, insectos o representantes del orden Acarina. Farm. Berta Segovia, Directora Interina – Dirección de Patentes. 11/06-

PATENTE DE INVENCIÓN. (19) DIRECCIÓN NACIONAL DE PROPIEDAD INTELECTUAL GOBIERNO DEL PARAGUAY / PARAGUÁI REKUÁI (11) Nro. Publicación: PY2022-2289695A (43) Asunción, 19 de febrero de 2024. Orden de Publicación de SOLICITUD de Patente de Invención (12) DATOS DE LA SOLICITUD (21) Nº de Solicitud: 2022-2289695 (22) Fecha de Solicitud: 14/10/2022 10:33:18 (71) Solicitante: SYNGENTA CROP PROTECTION AG Domicilio Solicitante: Rosentalstrasse 67, 4058 Basel, Suiza (72) Inventor: 1. Lumbroso, Alexandre Franco Jean Camille 2. Pouliot, Martin 3. Blum, Mathias 4. Jeanmart, Stephane André Marie 5. Germain, Nicolas Domicilio Inventor: 1. Schaffhauserstrasse, 4332, Stein, Suiza 2. Schaffhauserstrasse, 4332, Stein, Suiza 3. Schaffhauserstrasse, 4332, Stein, Suiza 4. Schaffhauserstrasse, 4332, Stein, Suiza 5. Schaffhauserstrasse, 4332, Stein, Suiza (54)

11
JUNIO DE 2024
LUNES 10

12 JUDICIAL .

Título: DERIVADOS DE IMIDAZO (1,2-A) PIRIDINA (74) Agente: Juan Pablo Salomoni Guanes - 4795 (30) Prioridad/es: 21202562.114/10/2021 - EP 22183563.007/07/2022 - EP (51) Int. CI 8: A 01N 43/836 (2006.01), A 01P 3/00 (2006.01), C 07D 271/06 (2006.01) En cumplimiento al Artículo 1 de la Ley Nº 2593/05 que modifica el Artículo 23 de publicaciones de la Ley Nº 1630/00 de Patentes de Invención, se dispone que a partir de la fecha de la presente orden de publicación, esta solicitud de patente se hace pública y se ordena su publicación por el término de la Ley. (57) Resumen: (289/22). La presente invención se refiere a compuestos de fórmula (I) donde los sustituyentes son tal como se definen en la reivindicación 1, a procedimientos y métodos para preparar compuestos de fórmula (I), a composiciones agroquímicas que comprenden compuestos de fórmula (I) tal como se definen en la reivindicación 1, a preparación de estas composiciones y al uso de los compuestos o las composiciones en agricultura u horticultura para combatir, prevenir o controlar la infestación de plantas, cultivos alimentarios cosechados, semillas o materiales inertes por parte de microorganismos fitopatógenos, en particular, hongos. Farm. Berta Segovia, Directora Interina –Dirección de Patentes. 11/06-

PATENTE DE INVENCIÓN. (19) DIRECCIÓN NACIONAL DE PROPIEDAD INTELECTUAL GOBIERNO DEL PARAGUAY / PARAGUÁI REKUÁI (11) Nº Publicación: PY2023-2346572A (43) Asunción, 27 de Diciembre de 2023. Orden de Publicación de SOLICITUD de Patente de Invención (12) DATOS DE LA SOLICITUD (21) Nº de Solicitud: 2023-2346572 (22) Fecha de Solicitud: 19/06/2023 13:15:59 (71)

Solicitante: SYNGENTA CROP PROTECTION AG Domicilio

Solicitante: Rosentalstrasse 67, 4058 Basel, Suiza (72) Inventor: 1. Burton, Paul Matthew 2. Carter, Neil Brian 3. Croft, Rosemary Anna 4. Dale, Suzanna Jane 5. Frye, Elizabeth Catherine 6. Hennessy, Alan Joseph 7. Mulholland, Nicholas Phillip 8. Plane, Matthew Carl 9. Tate, Joseph Andrew 10. Wailes, Jeffrey Steven Domicilio Inventor: 1. Syngenta Limited Syngenta, Jealott’s Hill lnternational Research Centre Bracknell Berkshie RG42 6EY Gran Bretaña 2. Syngenta Limi-

ted Syngenta, Jealott’s Hill lnternational Research Centre Bracknell Berkshie RG42 6EY Gran Bretaña 3. Syngenta Limited Syngenta, Jealott’s Hill lnternational Research Centre Bracknell Berkshie RG42 6EY Gran Bretaña 4. Syngenta Limited Syngenta, Jealott’s Hill lnternational Research Centre Bracknell Berkshie RG42 6EY Gran Bretaña 5. Syngenta Limited Syngenta, Jealott’s Hill lnternational Research Centre Bracknell Berkshie RG42 6EY Gran Bretaña 6. Syngenta Limited Syngenta, Jealott’s Hill lnternational Research Centre Bracknell Berkshie RG42 6EY Gran Bretaña 7. Syngenta Limited Syngenta, Jealott’s Hill lnternational Research Centre Bracknell Berkshie RG42 6EY Gran Bretaña 8. Syngenta Limited Syngenta, Jealott’s Hill lnternational Research Centre Bracknell Berkshie RG42 6EY Gran Bretaña 9. Syngenta Limited Syngenta, Jealott’s Hill lnternational Research Centre Bracknell Berkshie RG42 6EY Gran Bretaña 10. Syngenta Limited Syngenta, Jealott’s Hill lnternational Research Centre Bracknell Berkshie RG42 6EY Gran Bretaña (54) Título: COMPUESTOS HERBICIDAS (74) Agente: Juan Pablo Salomoni Guanes - 4795 (30) Prioridad/es: 2209005.420/06/2022 - GB (51) Int. CI 8: A 01N 43/713(2006.01), A 01N 43/78(2006.01), C 07D 257/06 (2006.01), C 07D 271/113 (2006.01) En cumplimiento al Artículo 1 de la Ley Nº 2593/05 que modifica el Artículo 23 de publicaciones de la Ley Nº 1630/00 de Patentes de Invención, se dispone que a partir de la fecha de la presente orden de publicación, esta solicitud de patente se hace pública y se ordena su publicación por el término de la Ley (57) Resumen: (160/23). La presente invención se refiere a compuestos de Fórmula (I), o una sal agronómicamente aceptable de dichos compuestos donde A1, A2, A3, X1, R3, R4, R5, R6 son como se definen en el presente documento. La invención se refiere además a composiciones herbicidas que comprenden un compuesto de Fórmula (I) y al uso de los compuestos de Fórmula (I) para controlar malezas, en particular en cultivos de plantas útiles. Farm. Berta Segovia, Directora Interina – Dirección de Patentes. 11/06-

PATENTE DE INVENCIÓN. (19) DIRECCIÓN NACIONAL DE PROPIEDAD INTELECTUAL

GOBIERNO DEL PARAGUAY / PARAGUÁI REKUÁI (11) Nº

Publicación: PY2023-2352054A

(43) Asunción, 30 de Enero de 2024.- Orden de Publicación de SOLICITUD de Patente de Invención (12) DATOS DE LA SOLICITUD (21) Nº de Solicitud: 20232352054 (22) Fecha de Solicitud: 04/07/2023 13:04:32 (71) Solicitante: SYNGENTA CROP PROTECTION AG Domicilio Solicitante: Rosentalstrasse 67, 4058 Basel, Suiza (72) Inventor: 1. Whittingham, William Guy 2. Desson, Timothy Robert (+) Domicilio Inventor: 1. Syngenta Limited Syngenta, Jealott’s Hill lnternational Research Centre Bracknell, Berkshire RG42 6EY Gran Bretaña 2. Syngenta Limited Syngenta, Jealott’s Hill lnternational Research Centre Bracknell, Berkshire RG42 6EY Gran Bretaña (54) Título: COMPUESTOS HERBICIDAS (74) Agente: Juan Pablo Salomoni Guanes - 4795 (30) Prioridad/es: 22184766.813/07/2022 - EP (51) Int. CI 8: A 01N 43/80(2006.01), A 01P 13/00 (2006.01), C 07D 413/10 (2006.01) En cumplimiento al Artículo 1 de la Ley Nº 2593/05 que modifica el Artículo 23 de publicaciones de la Ley Nº 1630/00 de Patentes de Invención, se dispone que a partir de la fecha de la presente orden de publicación, esta solicitud de patente se hace pública y se ordena su publicación por el término de la Ley. (57) Resumen: (186/23). Compuestos de fórmula (I) en donde los sustituyentes son tal como se definen en la reivindicación 1, útiles como pesticidas, especialmente como herbicidas. Abg. María Belén Cubilla, Encargada de Despacho – Dirección de Patentes. 11/06-

PATENTE DE INVENCIÓN. (19) DIRECCION NACIONAL DE PROPIEDAD INTELECTUAL PARAGUAY / PARAGUAY TETÃYGUA AKÃPYROKY MBA’ETEE MOAKÃHA (11) Nº Publicación: PY2023-2387113A (43) Asunción, 6 de Mayo de 2024. Orden de Publicación de SOLICITUD de Patente de Invención (12) DATOS DE LA SOLICITUD (21) Nº de Solicitud: 2023-2387113 (22) Fecha de Solicitud: 25/10/2023 09:51:39 (71)

Solicitante: Syngenta Crop Protection Ag Domicilio Solicitante: Rosentalstrasse 67, 4058 Basel, S (72) Inventor: Hueter Ottmar Franz Stoller Andre Sasmal, Swarnendu Muehlebach Michel Sikervar Vikas Domicilio

Inventor: Syngenta Biosciences Private Ltd Santa Monica Works Corlim, Iihas 403 110 Goa India; Syngenta Crop Protection Ag Schaffhauserstrasse 4332 Stein Suiza; Syngenta Limited Syn-

genta, Jealott’s Hill Internacional Research Centre Bracknell Berkshire Rg42 6ey Gran Bretaña; Syngenta Crop Protection Ag Schaffhauserstrasse 4332 Stein Suiza y Syngenta Crop Protection Ag Schaffhauserstrasse 4332 Stein Suiza. (54) Título: DERIVADOS HETEROCÍCLICOS ACTIVOS COMO PESTICIDAS CON SUSTITUYENTES QUE CONTIENEN AZUFRE (74)

Agente: Juan Pablo Salomoni Guanes - 4795 (30) Prioridad/ es: IN 202211060777 - 25/10/2022 (51) Int. Cl 8: Int.CI.2017.01: A 01N 25/02 (2006.01) En cumplimiento al Artículo 1 de la Ley Nº 2593/05 que modifica el Artículo 23 de publicaciones de la Ley Nº 1630/00 de Patentes de Invención, se dispone que a partir de la fecha de la presente orden de publicación, esta solicitud de patente se hace pública y se ordena su publicación por el término de la Ley. (57) Resumen: (284/23) Compuestos de fórmula (I) en la que los sustituyentes son tal como se definen en la reivindicación 1. Además, la presente invención se refiere a composiciones agroquímicas que comprenden compuestos de fórmula (I), a la preparación de estas composiciones y al uso de los compuestos o las composiciones en agricultura u horticultura para combatir, prevenir o controlar plagas de animales, incluyendo artrópodos y, en particular, insectos, moluscos, nematodos o representantes del orden Acarina. Farm. Berta Segovia, Directora Interina – Dirección de Patentes. 11/06-

PATENTE DE INVENCIÓN. (19) DIRECCIÓN NACIONAL DE PROPIEDAD INTELECTUAL GOBIERNO DEL PARAGUAY / PARAGUÁI REKUÁI (11) Nº Publicación: PY2023-2357700A (43) Asunción, 2 de Febrero de 2024. Orden de Publicación de SOLICITUD de Patente de Invención (12) DATOS DE LA SOLICITUD (21) Nº de Solicitud: 20232357700 (22) Fecha de Solicitud: 21/07/2023 10:46:20 (71) Solicitante: SYNGENTA CROP PROTECTION AG Domicilio Solicitante: Rosentalstrasse 67, 4058 Basel, Suiza (72) Inventor: 1. Hone, John 2. Marmier, Mathieu 3. Badoiu, Andrei Domicilio Inventor: 1. Syngenta Limited Syngenta, Jealott’s Hill lnternational Research Centre Brack-

nell, Berkshire, RG42 6EY, Gran Bretaña 2. Syngenta Crop Protection Monthey SA Route de I’lle au Bois, 1870 Monthey, Suiza 3. Syngenta Crop Protection Monthey SA Route de I’lle au Bois, 1870 Monthey, Suiza (54) Título: FORMA SÓLIDA DE UN DERIVADO AMÍDICO HETEROCÍCLICO (74) Agente: Juan Pablo Salomoni Guanes - 4795 (30) Prioridad/es: 22186568.622/07/2022 - EP (51) Int. CI 8: A 01N 43/56 (2006.01), A 01P 3/00 (2006.01), C 070 231/14 (2006.01) En cumplimiento al Artículo 1 de la Ley Nº 2593/05 que modifica el Artículo 23 de publicaciones de la Ley Nº 1630/00 de Patentes de Invención, se dispone que a partir de la fecha de la presente orden de publicación, esta solicitud de patente se hace pública y se ordena su publicación por el término de la Ley. (57) Resumen: (200/23). La presente invención se refiere a un polimorfo cristalino del compuesto de fórmula I que tiene un patrón de difracción de rayos X en polvo que comprende al menos tres valores de ángulos 20 seleccionados del grupo que consiste en 7.2 ± 0.2°, 10.8 ± 0.2º, 13.8 ± 0.2º, 14.4 ± 0.2º, 14.8 ± 0.2º, 15.9 ± 0.2º, 16.4 ± 0.2º, 19.9 ± 0.2º, 20.7 ± 0.2º, 22.2 ± 0.2º, 22.6 ± 0.2º, 23.9 ± 0.2º, 24.6 ± 0.2º, 26.0 ± 0.2º, 26.3 ± 0.2º, 27.5 ± 0.2º, 30.0 ± 0.2º, 32.0 ± 0.2º y 32.7 ± 0.2º. Figuras que se van a publicar: Figura 1. Abg. María Belén Cubilla, Encargada de Despacho –Dirección de Patentes. 11/06-

PATENTE DE INVENCIÓN. (19) DIRECCIÓN NACIONAL DE PROPIEDAD INTELECTUAL GOBIERNO DEL PARAGUAY / PARAGUÁI REKUÁI (11) Nº Publicación: PY2023-2311120A (43) Asunción, 14 de Septiembre de 2023.- Orden de Publicación de SOLICITUD de Patente de Invención (12) DATOS DE LA SOLICITUD (21) Nº de Solicitud: 20232311120 (22) Fecha de Solicitud: 16/02/2023 13:05:08 (71) Solicitante: SYNGENTA CROP PROTECTION AG Domicilio Solicitante: Rosentalstrasse 67, 4058 Basel, Suiza (72) Inventor: 1. Acharya, Vanitha 2. Chakave, Sunil 3. Phadte, Mangala Domicilio Inventor: 1. Syngenta Biosciences Private Limited Santa Monica Works Corlim, llhas 403 110 Goa India 2. Syngenta Biosciences Private Limited Santa Monica Works Corlim, llhas 403 110 Goa India 3. Syngenta Biosciences Private Limited Santa Monica Works Corlim, llhas 403 110 Goa India (54) Título: COM-

PUESTOS HERBICIDAS (74) Agente: Juan Pablo Salomoni Guanes - 4795 (30) Prioridad/es: 202211010935 - 01/03/2023 - IN (51) lnt. CI 8: A 01N 43/54 (2006.01), C 07D 401/12 (2006.01) En cumplimiento al Artículo 1 de la Ley Nº 2593/05 que modifica el Artículo 23 de publicaciones de la Ley Nº 1630/00 de Patentes de Invención, se dispone que a partir de la fecha de la presente orden de publicación, esta solicitud de patente se hace pública y se ordena su publicación por el término de la Ley. (57) Resumen: (41/23). La presente invención se refiere a compuestos de Fórmula (I), o una sal agronómicamente aceptable de dichos compuestos donde Y1, Y2, Z1, Z2, R1, R2, R5, R6, R9 y n son tal como se definen en el presente documento. La invención se refiere además a composiciones herbicidas que comprenden un compuesto de Fórmula (I) y al uso de los compuestos de Fórmula (I) para controlar malezas, en particular en cultivos de plantas útiles. Farm. Berta Segovia, Directora Interina – Dirección de Patentes.11/06-

PATENTE DE INVENCIÓN. (19) DIRECCIÓN NACIONAL DE PROPIEDAD INTELECTUAL GOBIERNO DEL PARAGUAY / PARAGUÁI REKUÁI (11) Nº Publicación: PY2023-2317290A (43) Asunción, 16 de Febrero de 2024. Orden de Publicación de SOLICITUD de Patente de Invención (12) DATOS DE LA SOLICITUD (21) Nº de Solicitud: 2023-2317290 (22) Fecha de Solicitud: 10/03/2023 11:15:22 (71) Solicitante: SYNGENTA CROP PROTECTION AG Domicilio Solicitante: Rosentalstrasse 67, 4058 Basel, Suiza (72) Inventor: WHITTINGHAM, WILLIAM GUY Domicilio Inventor: Syngenta Limited Syngenta, Jealott’s Hill lnt. Research Centre Bracknell, Berkshire RG42 6EY Gran Bretaña (54) Título: COMPUESTOS HERBICIDAS (74) Agente: Juan Pablo Salomoni Guanes – 4795 (30) Prioridad/ es: 22161532.1 - 11/03/2022 - EP (51) Int. CI 8: A 01N 43/40 (2006.01), C 07D 213/24 (2006.01) En cumplimiento al Artículo 1 de la Ley Nº 2593/05 que modifica el Artículo 23 de publicaciones de la Ley Nº 1630/00 de Patentes de Invención, se dispone que a partir de la fecha de la presente orden de publicación, esta solicitud de patente se hace pública y se ordena su publicación por el término de la Ley. (57) Resumen: (59/23). Compuestos de fórmula (I) donde los sustituyentes son como se definen en la reivindicación 1, útiles como pesticidas, especialmente como herbicidas. Farm. Berta Segovia, Directora Interina – Dirección de Patentes. 11/06-

LUNES 10 JUNIO DE 2024

Turn static files into dynamic content formats.

Create a flipbook
Issuu converts static files into: digital portfolios, online yearbooks, online catalogs, digital photo albums and more. Sign up and create your flipbook.