1500 BÀI TẬP VẬN DỤNG CAO MÔN VẬT LÝ TÁCH TỪ ĐỀ THI THỬ THPTQG NĂM 2019 - DÒNG ĐIỆN XOAY CHIỀU

Page 1

BÀI TẬP VẬN DỤNG CAO MÔN VẬT LÝ Ths Nguyễn Thanh Tú eBook Collection 1500 BÀI TẬP VẬN DỤNG CAO MÔN VẬT LÝ TÁCH TỪ ĐỀ THI THỬ THPTQG NĂM 2019 CÓ LỜI GIẢI - DÒNG ĐIỆN XOAY CHIỀU WORD VERSION | 2022 EDITION ORDER NOW / CHUYỂN GIAO QUA EMAIL TAILIEUCHUANTHAMKHAO@GMAIL.COM Hỗ trợ trực tuyến Fb www.facebook.com/DayKemQuyNhon Mobi/Zalo 0905779594 Tài liệu chuẩn tham khảo Phát triển kênh bởi Ths Nguyễn Thanh Tú Đơn vị tài trợ / phát hành / chia sẻ học thuật : Nguyen Thanh Tu Group vectorstock com/10212086

Lượng tử ánh sáng

51010 10080 510 100

  Đáp án D Hạt nhân nguyên tử Câu 1. ( Đỗ Ngọc Hà Hocmai-Đề 6) Bắn hạt α vào hạt nhân nguyên tử nhôm đang đứng yên gây ra

là 2,70 MeV; giả sử hai hạt tạo

DẠYKÈMQUYNHƠNOFFICIAL
phản ứng . Biết phản ứng thu năng lượng
427301 213150 HeAlPn  thành bay ra với cùng vận tốc và
A. 2,70 MeV.
Câu 1. (Đỗ Ngọc Hà Hocmai-Đề 3) Hai tấm kim loại A, B hình tròn được đặt gần nhau, đối diện nhau (trong chân không). A được nối với cực âm và B được nối với cực dương của nguồn điện một chiều. Để làm bứt các electron từ mặt trong của tấm A người ta chiếu một chùm ánh sáng đơn sắc công suất 4,9 mW mà mỗi photon có năng lượng 9,8.10-19 J vào mặt trong của tấm A thì cứ 100 phôton chiếu vào có một electron quang điện bứt ra. Một trong số những electron bứt ra chuyển động đến B để tạo ra dòng điện có cường độ 1,6 A. Tỉ lệ phần trăm electron  quang điện bứt ra khỏi A không đến được B là A. 30%. B. 20%. C. 70%. D. 80% ĐÁP ÁN CHI TIẾT Câu 1: + Số photon trong chùm sang đơn sắc là: 15P n5.10 W  + Số e bật ra thành dòng điện là: 13 19 i m10 1,610   + Phần trăm e bứt ra khỏi A không đến được B là: Câu 2. ( Đỗ Ngọc Hà
15 13 15 rã là T1 và T2, với
phản ứng không kèm bức xạ γ. Lấy khối lượng của các hạt tính theo đơn vị u có giá trị bằng số khối của chúng. Động năng của hạt α là
B. 1,35 MeV. C. 1,55 MeV. D. 3,10 MeV
Hocmai-Đề 6) Giả sử có một hỗn hợp gồm hai chất phóng xạ có chu kì bán
T2 = 2T1. Ban đầu t = 0, mỗi chất chiếm 50% về số hạt. Đến thời điểm t, tổng số hạt nhân phóng xạ của khối chất giảm xuống còn một nửa so với ban đầu. Giá trị của t là

A. 0,91T2. B. 0,49T2. C. 0,81T2. D. 0,69T2.

Câu 3: (Đỗ Ngọc Hà Hocmai-Đề 7) Tiêm vào máu bệnh nhân 10 cm3 dung dịch chứa 24Na có chu kì bán rã 15 giờ với nồng độ 10–3 mol/lít. Sau 6 giờ lấy 10 cm3 máu tìm thấy 1,4.10–8 mol 24Na. Coi 24Na phân bố đều trong máu của bệnh nhân. Lượng máu của bệnh nhân này vào khoảng A. 4,8 lít. B. 5,1 lít. C. 5,4 lít. D. 5,6 lít Câu 4. (Nguyễn Ngọc Hải Hocmai-Đề 1)Một ống Rơn - ghen hoạt động dưới điện áp U = 50000 V . Khi đó cường độ dòng điện qua ống Rơn - ghen là I = 5mA. Giả thiết 1% năng lượng của chùm electron được chuyển hóa thành năng lượng của tia X và năng lượng trung bình của các tia X sinh ra bằng 57% năng lượng của tia có bước sóng ngắn nhất. Biết electron phát ra khỏi catot với vận tốc bằng 0. Tính số photon của tia X phát ra trong 1 giây?

A. 3,125.1016 photon/s B. 4,2.1014 photon/s C. 4,2.1015 photon/s D. 5,48.1014 photon/s

Câu 5. (Nguyễn Ngọc Hải Hocmai-Đề 5) Giả sử ở một ngôi sao, sau khi chuyển hóa toàn bộ hạt nhân Hidrô thành hạt nhân thì ngôi sao lúc này chỉ có với khối lượng 4,6.1032 kg. Tiếp 4 2He 4 2He theo đó, chuyển hóa thành hạt nhân thông qua quá trình tổng 4 2He 12 6C . Coi toàn bộ năng lượng tỏa ra từ quá trình tổng hợp này đều 44412 22267,27 HeHeHeCMeV

được phát ra với công suất trung bình là 5,3.1030 W. Cho biết. 1 năm bằng 365,25 ngày, khối lượng mol của là4g/mol, số A-vô-ga-đrô NA=6,02.1023 mol-1,1eV=1,6.10-19J. Thời gian để chuyển 4 2He hóa hết He ở ngôi sao này thành vào khoảng 4 2He 12 6C

A. 481,5 triệu năm. B. 481,5 nghìn năm. C. 160,5 nghìn năm. D. 160,5 triệu năm.

Câu 6. (Nguyễn Ngọc Hải Hocmai-Đề 5) Ống phát tia X có hiệu điện thế giữa anôt và catôt là U, phát tia X có bước sóng ngắn nhất là λ. Nếu tăng hiệu điện thế này thêm 5000V thì tia X do ống phát ra có bước sóng ngắn nhất Nếu giảm hiệu điện thế này 2000V thì tia X do ống phát 1

ra có bước sóng ngắn nhất

Bỏ qua động năng ban đầu của electron khi ở catôt. Lấy

DẠYKÈMQUYNHƠNOFFICIAL

21 5 3
 . Giá trị của bằng 34 8 196,610,310/,1,610h Jscmse C    1  A.70,71 pm. B. 117,86 pm. C. 95 pm. D. 99 pm. ĐÁP ÁN CHI TIẾT Câu 1: Đáp án D Có Pnppp  
.

DẠYKÈMQUYNHƠNOFFICIAL Mặt khác PPPPP Pn nnnnn pmvpm30p30p pmvpm     (1) 2 2 n nn np31p2mK31mK4K31K       Phản ứng thu năng lượng nên có: (2) Pn n (KK)K2,731KK2,7      Từ (1) và (2) suy ra K3,1(MeV)   Câu 2: Đáp án D Gọi 2 chất là X và Y. Ta có X Y t = 0 0N 0N t 1t 0 N.e 2t 0 N.e Tại thời điểm N, tổng số hạt còn lại chỉ bằng 1 nửa ban đầu nên có : (1) 12 12 tt tt 0 0 1 N(ee)2Nee1 2      Mặt khác, và 1 T  2112 T2T2  Thay vào (1) ta có 2 22 2 t 2tt t 2 2 ae0 5151 ee1 ea tln 2 2 aa10            2 2 ln251ttln0,69 T2T   Câu 3: Đáp án C Số mol Na ban đầu 5 0M nC.V10(mol)  Gọi thể tích máu người là V (lít). Lượng Na trong máu người sau 6h là 8 6 3 V n'1,4.10.1,4.10V(mol) 1010   Theo định luật phóng xạ:

Câu 4 : Đáp án D

Công suất của ống rơn-ghen : . Đây chính là năng lượng của chùm e trong 1 giây. AK PUI  X AK W1%P0,01P0,01UI Mặt khác, năng lượng của tia X trung bình = 57% năng lượng của tia X cực đại

DẠYKÈMQUYNHƠNOFFICIAL
6 t 6515 T 0 n'n.21,4.10V10.2V5,41(l)   
   Câu 5. Đáp án D Câu 6: Đáp án A Công thức tổng quát min dmaxAK hchc We.U  Theo đề bài ta có 1 1 2 2 hc eU hcU20003U12500(V)e.(U5000)U50005 hc e.(U2000)                Suy ra 348 1 19 hc6,6.10.3.1070,71(pm)e(U5000)1,610(125005000)     
AK0,57.e.U Số photon của chùm tia X phát ra trong 1s là :  (photon/s) 14 X AK AK W0,01U.I n 5,4810 0,57.e.U

Câu 1:( Love book- 2019 ) Đặt điện áp u=U 2 cost (trong đó U không đổi,  thay đổi được) vào hai đầu đoạn mạch gồm điện trở thuần R, cuộc cảm thuần có độ tự cảm 2,5 LH   và tụ điện có điện dung C mắc nối tiếp. Thay đổi tần số gócthì thấy khi =1=60(rad/s), cường độ hiệu dụng của dòng điện trong mạch là I1. Khi 240/rads

Giá trị của R bằng A. 50 B. 25 C. 75 D. 100 Câu 2:( Love book- 2019 ) Điện năng được truyền từ nơi phát đến một xưởng sản xuất bằng đường dây một pha với hiệu suất truyền tải là 90%. Ban đầu xưởng sản xuất này có 90 máy hoạt động, vì muốn mở rộng quy mô sản xuất nên xưởng đã nhập về thêm một số máy. Hiệu suất truyền tải lúc sau (khi có thêm các máy mới cùng hoạt động) đã giảm đi 10% so với ban đầu. Coi hao phí điện năng chỉ do tỏa nhiệt trên đường dây, công suất tiêu thụ điện của các máy hoạt động (kể cả các máy mới nhập về) đều như nhau và hệ số công suất trong các trường hợp đều bằng 1. Nếu giữ nguyên điện áp nơi phát thì số máy hoạt động đã được nhập thêm về là A. 100 B. 70 C. 50 D. 160 Câu 3:( Love book- 2019 ) Đặt một điện áp xoay chiều có giá trị hiệu dụng U và tần số f không đổi vào hai đầu đoạn mạch gồm biến trở R mắc nối tiếp với tụ điện có điện dung C. Gọi điện áp hiệu dụng giữa hai đầu biến trở, giữa hai đầu tụ điện và hệ số công suất của đoạn mạch khi biến trở có giá trị 1R , lần lượt là 121,,cosRCUU . Khi biến trở có giá trị 2R , thì các giá trị tương ứng nói trên lần lượt là 222,,cosRCUU , biết rằng sự liên hệ:

phát điện xoay chiều một pha đặt tại vị trí M, điện năng được

N, cách M 180 km. Biết đường dây có điện trở tổng cộng 80 (coi dây

chất, có điện trở tỉ lệ thuận với chiều dài của dây). Do sự cố, đường dây bị rò điện tại điểm Q ( hai dây tải điện bị nối tắt bởi một vật có điện trở có giá trị xác định R). Để xác định vị trí Q, trước tiên người ta ngắt đường dây khỏi máy phát và tải tiêu thụ, sau đó dùng nguồn điện không đổi 12V, điện trở trong không đáng kể, nối vào hai đầu của hai dây tải điện tại M. Khi hai đầu dây tại N để hở thì cường độ dòng điện qua nguồn là 0,40 A, còn khi hai đầu dây tại N được nối tắt bởi một đoạn dây có điện trở không đáng kể thì cường độ dòng điện qua nguồn là 0,42 A. Khoảng cách MQ A. 135 km B. 167 km C. 45 km D. 90 km

DẠYKÈMQUYNHƠNOFFICIAL

2
R
 và 2 1
C
 .
A.
B. 1
C.
D.
 cường độ hiệu dụng của dòng điện trong mạch là I2. Khi tần số là =o thì cường độ hiệu dụng của dòng điện đạt giá trị cực đại Imax và max 125 I II
.
1
0,75R
U U
0,75C
U U
Giá trị của 1cos là
1
2
0,49
3 2 Câu 4:( Love book- 2019 ) Từ một trạm
truyền tải đến nơi tiêu thụ
tải điện là đồng

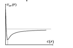
Câu 5:( Love book- 2019 ) Cho mạch điện xoay chiều R, L, Cmắc nối tiếp, trong đó R và L không đổi, còn Ccó thể thay đổi được. Đặt vào hai đầu mạch một điện áp xoay chiều có giá trị hiệu dụng 150 V và tần số không đổi. Điều chỉnh giá trị C thì dung kháng ZC của tụ điện và tổng trở Z của mạch biến đổi theo C như hình vẽ bên. Khi dung kháng của tụ điện CC1Z=Z (xem hình vẽ) thì điện áp hiệu dụng giữa hai bản tụ điện bằng A. 224,5 V B. 300,0V C. 112,5 V D. 200,0 V Câu 6:( Love book- 2019 ) Mạch RLC nối tiếp có L thay đổi. Khi

12sin 2 Câu 7:( Love book- 2019 ) Một mạch điện xoay chiều AB gồm một điện trở thuần R, một cuộn cảm thuần có độ tự cảm L, một tụ điện có điện dung C thay đổi được, mắc nối tiếp theo đúng thứ tự. Điểm M nằm giữa cuộn cảm và tụ điện. Đặt vào hai đầu mạch một điện áp xoay chiều 2cos uut   . Các đại lượng R, L, U,  không đổi. Điều chỉnh C sao cho điện áp hiệu dụng giữa 2 đầu đoạn mạch MB đạt giá trị cực đại, lúc này: điện áp hiệu dụng giữa hai đầu điện trở R là 150V; điện áp tức thời gữa 2 đầu đoạn mạch AB là 1506 (V). Điện áp hiệu dụng giữa hai đầu đoạn mạch AB là: A. 150V B. 300V C. 1003 V D. 1502 V Câu 8:( Love book- 2019 ) Đặt điện áp xoay chiều 0

uUt

(V) vào hai đầu đoạn mạch nối tiếp theo thứ tự:cuộn dây thuần cảm L thay đổi được, biến trở R và tụ điện có điện dung C. Khi L=L1 thì điện áp hiệu dụng hai đầu biến trở không phụ thuộc vào giá trị của R và khi L=L2 thì điện áp hai đầu đoạn mạch chứa C và R cũng không phụ thuộc R. Hệ thức liên hệ L1 và L2 là A. L2 = 2L1 B. 21 2 LL  C. 212LL  D. 21 LL  Câu 9:( Love book- 2019 ) Nối hai cực của một máy phát điện xoay chiều một pha vào hai đầu đoạn mạch AB gồm điện trở thuần R mắc nối tiếp với cuộn cảm thuần. Bỏ qua điện trở các cuộn

DẠYKÈMQUYNHƠNOFFICIAL
 1 2LL
      
1LL và
2LL thì
UU và hệ số công suất của mạch RLC khi đó tương ứng là 1cos và 2cos . Hệ số công suất của đoạn mạch RC là: A.     12cos 2 B.     12cos 2 C.     12sin 2 D.
cos


dây của máy phát. Khi rôto của máy quay đều với tốc độ 1n vòng/phút thì cường độ dòng điện hiệu dụng trong đoạn mạch là I(A); hệ số công suất của đoạn mạch AB là 2 2 . Khi rôto của máy quay đều với tốc độ 2n vòng/phút thì cường độ dòng điện hiệu dụng trong đoạn mạch là 2I 5 . Mối liên hệ của 2n so với 1n là A. 21 1 nn 2  B. 21 2 nn. 3  C. 12 1 nn 2  D. 12 2 nn. 3  Câu 10:( Love book- 2019 ) Tại một điểm M có một máy phát điện xoay chiều một pha có công suất phát điện và điện áp hiệu dụng ở hai cực của máy phát đều không đổi. Nối hai cực của máy phát với một trạm tăng áp có hệ số tăng áp là k đặt tại đó. Từ máy tăng áp điện năng được đưa lên dây tải cung cấp cho một xưởng cơ khí cách xa điểm M. Xưởng cơ khí có các máy tiện cùng loại công suất khi hoạt động là như nhau. Khi hệ số k = 2 thì ở xưởng cơ khí có tối đa 115 máy tiện cùng hoạt động. Khi hệ số k = 3 thì ở xưởng cơ khí có tối đa 125 máy tiện cùng hoạt động. Coi rằng chỉ có hao phí trên dây tải điện là đáng kể Điện áp và dòng điện trên dây tải điện luôn cùng pha. Do xẩy ra sự cố ở trạm tăng áp người ta phải nối trực tiếp dây tải điện vào hai cực của máy phát điện. Khi đó ở xưởng cơ khí có thể cho tối đa bao nhiêu máy tiện cùng hoạt động. A. 58. B. 74. C. 61. D. 93. Câu 11:( Love book- 2019 ) Đoạn mạch AB gồm hai hộp kín X và Y mắc nối tiếp (xem hình vẽ). Biết X, Y chỉ chứa một linh kiện hoặc là điện trở, hoặc là cuộn dây, hoặc là tụ điện. Đặt vào hai đầu đoạn mạch AB một điện áp  u103cos100tV

V và công suất tiêu thụ toàn mạch là P56W  . Biết điện áp tức thời giữa hai điểm AM sớm pha hơn điện áp hai đầu đoạn mạch. Điện trở thuần của hộp X gần bằng. A. 12,2 Ω. B. 9,7 Ω. C. 7,1 Ω. D. 2,6 Ω. Câu 12:( Love book- 2019 ) Đặt một nguồn điện xoay chiều có điện áp hiệu dụng U và tần số f vào hai đầu của đoạn mạch gồm R, L, C mắc nối tiếp, cuộn dây thuần cảm. Nối hai đầu tụ với một ampe kế thì thấy nó chỉ 1A đồng thời dòng điện chạy qua ampe kế chậm pha 6  so với điện áp tức thời giữa hai đầu đoạn mạch. Nếu thay ampe kế bằng một vôn kế thì thấy nó chỉ 167,3 V, đồng thời điện áp tức thời giữa hai đầu vôn kế chậm pha một góc 4  so với điện áp tức thời giữa hai đầu đoạn mạch. Điện áp hiệu dụng của nguồn xoay chiều là A. 125V B. 175V

DẠYKÈMQUYNHƠNOFFICIAL

 thì ampe kế (a) chỉ AM MB 1A;U2U102
C. 150V D. 100V

Câu 13 :( Love book- 2019 ) Điện áp xoay chiều ở phòng thực hành có giá trị hiệu dụng 24V tần số 50Hz. Một học sinh cần phải quấn một máy biến áp để từ điện áp nói trên tạo ra được điện áp hiệu dụng bằng 12V ở hai đầu cuộn thứ cấp khi để hở. Sau khi quấn máy một thời gian, học sinh này quên mất số vòng dây của các cuộn dây. Để tạo ra được máy biến áp theo đúng yêu cầu học sinh này đã nối cuộn sơ cấp của máy với điện áp của phòng thực hành sau đó dùng vôn kế có điện trở rất lớn để đo điện áp ở cuộn thứ cấp để hở. Ban đầu kết quả đo được là 8,4V. Sau khi quấn thêm 55 vòng dây vào cuộn thứ cấp thì kết quả đo được là 15V. Bỏ qua mọi hao phí ở máy biến áp. Để tạo ra được máy biến áp theo đúng yêu cầu học sinh này cần phải tiếp tục giảm bao nhiêu vòng dây của cuộn thứ cấp ? A. 15 vòng. B. 40 vòng. C. 20 vòng. D. 25 vòng. Câu 14:( Love book- 2019 ) Cho mạch điện xoay chiều như hình vẽ. Điện áp đặt vào hai đầu mạch có biểu thức u2202cos2ft   V với f thay đổi được. Khi cho 1ff  thì điện áp hiệu dụng giữa hai bản tụ và giữa hai đầu điện trở bằng nhau. Khi 21 ff1,5f  thì điện áp giữa hiệu dụng giữa hai đầu điện trở và giữa hai đầu cuộn cảm bằng nhau. Nếu thay đổi để cho điện áp giữa hiệu dụng giữa hai đầu cuộn cảm đạt giá trị cực đại thì giá trị cực đại đó gần với giá trị nào dưới đây nhất? A. 270 V B. 230 V C. 240 V D. 250 V Câu 15:( Love book- 2019 ) Điện năng được truyền từ đường dây điện một pha có điện áp ổn định 220V vào nhà một hộ dân bằng đương dây tải điện có chất lượng kém. Trong nhà của hộ dân này, dùng một máy biến áp lí tưởng để duy trì điện áp hiệu dụng ở đầu ra luôn là 220V (gọi là máy ổn áp). Máy ổn áp nay chỉ hoạt động khi điện áp hiệu dụng ở đầu vào lớn hơn 110V. Tính toán cho thấy, nếu công suất sử dụng điện trong là 1,1kW thì tỉ số giữa điện áp hiệu dụng ở đầu ra và điện áp hiệu dụng ở đầu vào (tỉ số tăng áp) của máy ổn áp là 1,1. Coi điện áp và cường độ dòng điện luôn cùng pha. Nếu công suất sử dụng điện trong nhà là 2,2kW thì chỉ số tăn áp của máy ổn áp bằng. A. 1,26. B. 2,20. C. 1,62. D. 1,55. Câu 16 :( Love book- 2019 ) Cho mạch điện RCL ghép nối tiếp. Đặt vào hai đầu đoạn mạch một điện áp xoay chiều có giá trị hiệu dụng khôn đổi và tần số góc thay đổi được. Điện

DẠYKÈMQUYNHƠNOFFICIAL
hiệu dụng giữa hai đầu
cảm L được biểu diễn như hình vẽ.
1  thì 2 ,CmaxmUU thì LmaxmUU  . Giá trị m U gần giá trị nào nhất sau đây
áp
bản tụ điện C và hai đầu cuộn thuần
Khi
A. 170V B. 174V C. 164V D. 155V

Câu 17:( Love book- 2019 ) Cho đoạn mạch điện mắc nối tiếp gồm điện trở thuần R, cuộn cảm thuần L và tụ điện có điện dung C thay đổi được. Đặt vào hai đầu đoạn mạch một điện áp xoay chiều có tần số và giá trị hiệu dụng không đổi. Mắc các vôn kế lý tưởng để đo điện áp hiệu dụng hai đầu mỗi phần tử. Lần lượt điều chỉnh giá trị của C thì thu được CmaxLmaxU,U và Rmax U. Biết CmaxLmax U3U.  Hỏi CmaxU gấp bao nhiêu lần Rmax U. A. 3 42 B. 3 8 C. 42 3 D. 8 3 Câu 18:( Love book- 2019 ) Một máy biến áp lí tưởng gồm hai cuộn dây (1) và cuộn dây (2) như hình vẽ. Cuộn dây (1) có số vòng dây là  1 N2200 vòng dây. Một đoạn mạch AB gồm điện trở thuần R100 , cuộn cảm thuần có độ tự cảm

1 LH, biểu diễn như hình vẽ. Người ta tiến hành nối hai đầu cuộn dây (1) vào điện áp xoay chiều ổn định 

uU2cos100tV, sau đó nối hai đầu cuộn dây (2) với đoạn mạch AB thì thấy rằng điện áp hiệu dụng đo trên đoạn NB có giá trị cực đại bằng 141,42 V. Người ta lại đổi cách mắc, cuộn (2) cũng nối với điện áp u còn cuộn (1) nối với đoạn mạch AB thì điện áp hiệu dụng đo trên đoạn mạch MB có giá trị cực đại bằng 783,13 V. Hỏi cuộn dây (2) có bao nhiêu vòng dây? A. 4840. B. 800. C. 1000. D. 1500. Câu 19:( Love book- 2019 ) Đặt điện áp xoay chiều 

uU2costV (trong đó U không đổi,  thay đổi được) vào hai đầu mạch điện gồm các linh kiện R, L, C mắc nối tiếp. Đồ thị biểu diễn sự phụ thuộc của điện áp hiệu dụng hai đầu tụ điện và hệ số công suất toàn mạch khi ω thay đổi được cho như hình vẽ. Đường trên là

DẠYKÈMQUYNHƠNOFFICIAL
 
 cos. Giá trị của k là A. 6 3 B. 6 4 C. 3 2 D. 3 3 Câu 20:( Love book- 2019 ) Đặt vào hai đầu đoạn mạch RLC nối tiếp (cuộn dây thuần cảm, 22LCR  ) một điện áp xoay chiều ổn định có biểu thức điện áp u4526costV   với  có thể thay đổi được. Điều chỉnh  đến giá trị sao cho các thông số thỏa mãn L C Z2 Z11  thì điện áp hiệu dụng giữa hai bản tụ điện đạt cực đại. Giá trị cực đại đó bằng bao nhiêu: A. 180V B.205V C. 165V D. 200V
 
 
 
U, đường dưới là

Câu 21:( Love book- 2019 ) Cho mạch điện xoay chiều RLC mắc nối tiếp, cuộn dây thuần cảm. Các giá trị điện trở R, độ tự cảm L và diện dung C của tụ điện thỏa mãn điều kiện 2L = CR2 . Đặt vào hai đầu đoạn mạch điện áp xoay chiều ổn định, tần số của dòng điện thay đổi đuợc. Khi tần số của dòng điện là f1 = 50Hz thì hệ số công suất của mạch điện là k1. Khi tần số f2 = 150Hz thì hệ số công suất của mạch điện là 21 k5k 4  . Khi tần số f3 = 200Hz thì hệ số công suất của mạch là k3. Giá trị của k3 gần với giá trị nào nhất sau đây: A. 0,846 B. 0,246 C. 0,734 D. 0,684 Câu 22:( Love book- 2019 ) Cho đoạn mạch AB gồm điện trở R, cuộn cảm thuần L và tụ điện C mắc nối tiếp (với 2 CR2L  ). Gọi M là điểm nối giữa cuộn cảm và tụ điện. Đặt vào hai đầu đoạn mạch điện áp xoay chiều uUcost  , trong đó U không đổi,  có thể thay đổi. Điều chỉnh  sao cho điện áp hiệu dụng trên tụ đạt cực đại, khi đó điện áp tức thời của đoạn mạch AM (chứa RL) và đoạn mạch AB lệch pha nhau một góc . Giá trị nhỏ nhất của chỉ có thể là A. 120,320 B. 70,530 C. 68,430 D. 900 Câu 23:( Love book- 2019 ) Điện áp xoay chiều u đặt vào hai đầu một đoạn mạch gồm điện trở có giá trị R và tụ điện có điện dung C mắc nối tiếp. Đồ thị biểu diễn sự phụ thuộc của điện áp u vào thời gian t như hình vẽ. biểu thức cường độ dòng điện chạy trong đoạn mạch là

24:( Love book- 2019 ) Một khung dây dẫn hình chữ nhật có 750 vòng, diện tích mỗi vòng 100cm2 quay đều quanh trục đối xứng của khung với tốc độ góc 120 vòng/phút trong một từ trường đều có cảm ứng từ bằng 0,5T. Trục quay vuông góc với các đường sức từ. Chọn gốc thời gian

DẠYKÈMQUYNHƠNOFFICIAL
i2costA 6    . Giá trị
A. 1 503;mF 2 B.
 
1
 
vecto pháp tuyến
thức suất điện động trong khung. A. 15cos4t  B. 15cos4t 2    C. 15cos4t  D. 15cos4t 2    Câu 25:( Love book- 2019 ) Đặt điện áp xoay chiều có giá trị hiệu dụng và tần số không đổi vào hai đầu đoạn mạch gồm biến trở, cuộn dây và tụ điện mắc nối tiếp. Hình vẽ bên là đồ thị biểu
của R và C là:
1 503;mF 2,5
C. 1 50;mF 2 
D.
50;mF 2,5
Câu
là lúc
của mặt phẳng khung dây cùng hướng với vecto cảm ứng từ. Viết biểu
DẠYKÈMQUYNHƠNOFFICIAL
A. 10,1 B.
 C.
 D.
 Lời giải: Câu 1. Chọn đáp án B 2 2 1 U I RL C          Theo bài max 12 I 5 II thì 125 ZZR  hay 2 2 2 2 1 2 1 2 1 1 5 RL RL R C C                     12225() L R    { Câu 2. Chọn đáp án B + Hiệu suất truyền tải điện năng  110 22 0 0,990 1 0,890     PPPPPP H PPnPPP STUDY TIP Tổng quát khi Hoặc công thức khác  12 max 12 21 L I II R n n    12 2 121 R Cn   
diễn sự phụ thuộc của công suất tỏa nhiệt P tren biến trở và hệ số công suất cos của đoạn mạch theo giá trị R của biến trở. Điện trở của cuộn dây có giá trị gần nhất với giá trị nào sau đây?
9,1
7,9
11,2
DẠYKÈMQUYNHƠNOFFICIAL  10 2 0 0,990 0,890     PP PnP (1) Trong đó P1, P2 lần lượt là công suất truyền đi trước và sau khi nhập thêm n máy và P0 là công suất tiêu thị mỗi máy + Mặt khác 2  PR P U 2 11 111 22 222 1 10,91 . 1 10,22      PPHPP PPHPP  Thay vào (1), ta tìm được n = 70 Câu 3. Chọn đáp án C 1 2 1 2 316(*); 49 R R R R U  U U U 1 2 1 2 39(**); 416 C C C C U  U U U 1122 1 1 2 2 22222 2 2169 916RCRC R C UUUUU UU     111 1 1 1 11 1 1 1 2 2 222 2 2 2 2 2 222 2 22 1 22 16 91 9 162 16 9 16 1 9 916 9 9 cos 0,490260,49 916 RRC C C R RC R R R UUUU UU UUU U U U U U                          Câu 4. Chọn đáp án C
DẠYKÈMQUYNHƠNOFFICIAL Khi đầu N để hở, điện trở của mạch là: 12 2 302 0,4 x x RRRR  Khi đầu N nối tắt, điện trở của mạch là    .80212 2 8020,42 302802200 2 10 11047 x x x x x x x RR x RR RR R R R      Điện trở tỉ lệ thuận với chiều dài nên 45 8080 x Rxxkm Câu 5. Chọn đáp án D Trên đồ thị cho ta có: Tại 1C thì min Z=R=120Ω , Khi đó CILZ=Z . Gọi 2C theo đồ thị thì C2 Z=Z=125Ω :    2 2 22 LC LC2 2 22 L Z=R+Z-Z125=120+Z-Z 125=120+Z125  
DẠYKÈMQUYNHƠNOFFICIAL L Z90  (loại) hoặc L C1Z160Z  Tại 1min min UU150 C:I====1,25A ZR120 Điện áp hiệu dụng giữa hai bản tụ điện CC1 U=I.Z=1,25.160=200V Câu 6. Chọn đáp án C. Khi 1LL  hoặc 2LL  ta luôn có 1 2 ;; LLUconstUU   22 cosRC RC C R constconst RZ      Sử dụng phương pháp giản đồ ta có Với 1LL  ta vẽ bình thường. Với 2LL  ta vẽ theo các bước sau B1Vẽ trục I nằm ngang, rồi vẽ 1 2LLUU  .

STUDY TIP

Đối với các bài toán liên quan đến góc lệch pha, hệ số, công suất...

- Cần làm rõ được từng giả thiết xem đại lượng nào là không đổi vế vẽ vào giản đồ các trường hợp cho chính xác.

- Phương trình liên hệ giữa các trường hợp là gi.

- Vẽ giản đồ, sau đó sử dụng các hệ thức lượng trong tam giác vuông, định lý pytago, định lí hàm sin, hàm cos…

Câu 7. Đáp án B.

Phương pháp giải:Sử dụng các công thức của bài toán điện dung của tụ điện thay đổi Điều chỉnh C để điện áp hiệu dụng hai đầu tụ đạt giá trị cực đại thì RLu vuông pha với .u

Ta có giản đồ véc tơ như hình bên dưới:

DẠYKÈMQUYNHƠNOFFICIAL B2:Vẽ 2RCU // 1RCU do RCconst . B3:Hạ từ 2RCU xuống
trục
2R
2CU . B4:Tổng
U. Áp dụng định ly hàm số sin ta có:  1 1sinsin L RC UU   (hình 1)  2 2sinsin L RC UU   (hình 2) Mà  1 2 1 2 sin sin LL RC RC UU     Vậy  1 2RC RC    12 22RC     12cossin 2 RC   
hai
I và Uc ta được
U và
hợp
DẠYKÈMQUYNHƠNOFFICIAL Khi đó 22 22 22 22 00 00 5061506 1 1(1) RL RL RL uu uUUU  Mặt khác, từ hệ thức lượng trong tam giác vuông ta có:( Love book- 2019 ) 2222 000 1111 1(2) 50.2 RL RLuUU  Giải (1) và (2) ta thu được 2 0 0 1800003002300()U U UV Câu 8. Đáp án A. Khi 1LL   2 2 2 2 UR IR () 1 R LIC LIC U U RZZ ZZ R     Để RU không phụ thuộc R thì 0LICZZ LICZZ (*) Khi 22 2RC CLLUIRZ 
DẠYKÈMQUYNHƠNOFFICIAL  22 2 2 2 22 2 22 2 1 C L LC LC C URZ U ZZZ RZZ RZ       Để RCU không phụ thuộc R thì 22L CZZ  (**) Từ (*) và (**) 2121 22.L L ZZLL Câu 9. Chọn đáp án B. Ta có 111 222 NUn BS U 2Un     Tương tự ta có L ZL  1 2 1 2 L11 2 LL L22 1 Znn ZZ Znn    Xét khi tốc độ quay của roto là 1n ta có: 1 1 1 L 22 L 2R2 cos ZR 2R2 Z    và 1 22 1 L ZRZ2R  Xét khi tốc độ quay của roto là 2n ta có: 2 1 2 2 22 22 2 2 2 2 21 2L L 2 1 1 1 n nnn ZZRZRRRR n n n           Vậy 22 111 121 221 222 21 IUZnnn 5 2 nn IUZ2n2n3     STUDY TIP Máy phát điện ta có 1 2 1 2 111 222 L11 L22 C22 C11 Un Un Zn Zn Zn Zn            Câu 10. Chọn đáp án C. Gọi P là công suất của máy phát điện và U điện áp hiệu dụng ở hai cực máy phát điện

STUDY TIP

DẠYKÈMQUYNHƠNOFFICIAL P0
ất của một
tiện. R là điện trở đường
tả
đ
ện Ta
R
2
R P115PP115PP1 4U  Khi
2
R
 Từ (1)
(2) ta
2 0 000 2 R P72PP115P18P133P U  Khi xảy ra sự cố: 2 0 02 R PNPPNPP3 U  với N là số máy tiện tối đa có thể hoạt động Từ đó ta có 000 133PNP752PN61  Câu 11. Chọn đáp án A. Công suất tiêu thụ của mạch: P56 PUIcoscos 1 UI56.1  
là công su
máy
dây
i
i
có:khi k = 2: 01 P120PP  Công suất hao phí 2 12 1
PP U  , với U1 = 2U
0102
k = 3 ta có:
0202
P125PP125PP2 9U
có:
mạch cộng hưởng vậy Y chỉ có thể là tụ điện C. Công suất tiêu thụ trên toàn mạch đúng bằng công suất tiêu thụ trên X: 2 2UU PR5612,2 RP 
với một ampe kế thì tụ được nối tắt, mạch điện khi đó chỉ có RL nối tiếp. Khi đó: Dòng điện trễ pha 6  so với điện áp tức thời hai đầu mạch L L Z 1 tan R3Z R63   + Thay ampe kế bằng một vôn kế thì nó chỉ 167,3V C U167,3V
Cuộn dây không thuần cảm gồm điện trở R và độ tự cảm L Câu 12. Chọn đáp án C. + Khi nối hai đầu tụ
DẠYKÈMQUYNHƠNOFFICIAL Khi đó điện áp tức thời hai đầu vôn kế chậm pha 4  so với điện áp tức thời hai đầu mạch nghĩa là Cu chậm pha hơn u góc u 4   trễ pha hơn I góc 4   CL C L L ZZ 1ZRZ31Z R   Ta có:     C C C 2 2 LC L 2 2 LL LL U.Z U.Z U ZRZZ U.31Z U31 6 3ZZ3ZZ         C 6 6 UU.167,3.150V 31 31      Câu 13. Chọn đáp án D Gọi số vòng dây cuộn sơ cấp và thứ cấp đã quấn là N1 và N2   2 2 1 1 NN558,4151;2 N24N24    Lấy  1 1 255158,46,6 1: N200 N2424   vòng và 2 N70  vòng Để tạo ra được máy biến áp theo đúng yêu cầu thì số vòng dây của cuộn thứ cấp ' ' 2 2 1 N12 N100 N24  vòng Học sinh này cần phải tiếp tục giảm số vòng dây của cuộn thứ cấp là ' 22 N55N25   vòng . Câu 14. Chọn đáp án B + Khi 1 thì RC 1 1 11 UUR CRC   + Khi 2 thì RL2 R UU L  Từ hai kết quả trên ta có 2 RC 1,5 L  + Áp dụng kết quả tính điện áp cực đại trên cuộn dây khi  biến thiên

U U 1n  Câu 15. Chọn đáp án A Ta có sơ đồ sau: Theo đề bài:điện áp đầu ra của MBA luôn là 220V 2122220 UUV +TH1: Khi công suất tiêu thụ điện của hộ gia đình là 1,1Kw 1212121.5PUIIA Hệ số tăng áp của MBA là 1,1 21 11 1,1 U U 21 11 11 1121 21 Đường dây truyền tải 0 U=220V

Đường vào của máy ổn áp 11U,I Đường ra của máy ổn áp 2U

UI U==200V;=1,1I=1,1.I=5,5 1,1I

TIP UUVIRR +TH2:Khi công suất tiêu thụ điện của hộ gia đình là 2,2Kw 2222222.10PUIIA Hệ số tăng áp của MBA là 22 12  kUk U   22 21 12 2122 22

Cực trị LmaxU khi f thay đổi các bạn nên nắm được công thức giải nhanh sau: maxL 2 UI 220 U==V;=kI=kI=10k I   A kk Độ giảm thế trên đường dây truyền tải: 2012 21 U20.  UUVIR 1,2622040 22010. 14,78 1    k k k k Theo đề bài MBA chỉ hoạt động khi

  Độ giảm thế trên đường dây truyền tải: 1011 11 40 U20. 11  

DẠYKÈMQUYNHƠNOFFICIAL
2 max max 1 n4 1RC 2L L L 2 2 U 220 U U 227V 1n 14    
STUDY

STUDY TIP

Khi mạng điện lưới cho điện áp không ổn định, các hộ gia đình cần dùng ổn áp. Đây là kiến thức thực tiễn bạn học cần tìm hiểu để trả lời các câu hỏi thực tế thực tiễn. Câu 16. Chọn đáp án C

DẠYKÈMQUYNHƠNOFFICIAL 1
Ukk
11021,26
C

R  ,
5 150, 120 4 LC R LC R UUVUUVZZ   Áp dụng: 22 2.. .4 mCmaxLmax UL UUU RLCRC  2 25.120 ..16163,66 251 .. 4164 LC m LC ZZU U V R RZZ    Câu 17. Chọn đáp án B Điều chỉnh C để Cmax U. Ta có 22 L Cmax L RZ UU Z   Điều chỉnh C để LmaxRmaxU,U tương ứng với mạch xảy ra cộng hưởng điện 22 LL CmaxLmax L RZZ U3UU3U ZR    2 22 LL 2 RZZ 9 RR     Chuẩn hóa 2 22 ShiftSolveLL L 2 1ZZ 1 R19 Z 11 22        Tỉ số: Cmax Rm 22 L 22 L ax RZ UR UU R R8 U Z3      Câu 18: Chọn đáp án C. Phương pháp giải:Sử dụng lí thuyết máy biến áp kết hợp với lí thuyết vầ mạch RLC có C biến thiên
Khi 0:: 120 C
ZUUV
Khi
mạch cộng hưởng
DẠYKÈMQUYNHƠNOFFICIAL + Khi nối cuộn 1 với u. cuộn 2 với mạch AB ta có  1 2 AB AB2 1 N N U U.UkU UN N Khí đó điện áp hiệu dụng hai đầu NB hay CmaxU       A22 B Cmax L 2 2 U U RZ R kU100100 2kU141,42V1 100 + Khi nối cuộn 2 với cuộn u. cuộn 1 với mạch AB ta có:  2 1 AB AB1 2 N N U U U.U UN Nk Khí đó điện áp hiệu dụng hai đầu MB hay RCmaxU          AB RCmax 22 2 2 LL 2UR 2U.100 U 4RZZk4100100100 2U 783,13V2 k51 Từ (1) (2), ta có   2kU141,42 2U783,13 k51     2 2 1 k51141,42k0,4545 2783,13 NkN1000vong Câu 19. Chọn đáp án A.
DẠYKÈMQUYNHƠNOFFICIAL + Khi 2 ta thấy  C UUvà cos=1 mạch đang xảy ra cộng hưởng:   2 2 22 2 2 C CL CL L UUZZZRZZRR C Nên ta có:   2 1CR11 11 n2 n2L22 Áp dụng công thức khi CmaxU ta có:     2 1 n 2 RC 1 2L 2 6 cos= cos 1n 3 Câu 20. Chọn đáp án C. 2 CCmax 1LR UUkhi= LC2   và Cmax 22 2UL U R4LCRC  Khi đó 2 L C 2 LRL Z;Z C2LR C C2   2 22 L C ZCLRCRCR18 1 ZLC22L2L11        Cmax 222 22 2 2UL 2U U R4LCRCR4LCRC L   2 22 2U24513 165V 4RCRC1818 4. LL1111          STUDY TIP Đặt C L n    . Mặt khác lại có: 2 C L 1RC 1 2L    nên điện áp cực đại giữa hai bản tụ điện sẽ được tính theo công thức: Cmax2 U U 1n  Câu 21. Chọn đáp án D. Vì 22 LC2LR.CR2ZZ 

STUDY TIP

Đối với các dạng bài liên hệ giữa các đại lượng trong điện xoay chiều để tìm đại lượng theo yêu cầu bài toán thì phương pháp chuẩn hóa số liệu là một

DẠYKÈMQUYNHƠNOFFICIAL Ta
chuẩn
F R LZ C
1
a 21
31
Hệ số công suất của đoạn mạch là: 2 2 LC R cos RZZ   Theo đề 21 k5k 4  nên  2 2 151 2a42a1a a3 3      2 2 2 1511881 .a 4 1199a1a 9      Vậy  3 2 2 222 L3C3 R 2a k 0,684 aRZZ2a4 4       
có bảng
hóa số liệu
Z
f2a 1
f3f
2a 3 a/3
f4f
2a 4 a/4
ưu
đối với thế mạnh của nhiều bạn là đại
Câu 22. Chọn đáp án B. Khi  thay đổi để CmaxU thì ta có hệ thức RL 1 tan.tan 2 với RLtan0 Mà RL RL RL tantan tantan 1tantan      RL 2tantan  RL 2.2tantan22  Vậy 0 min min tan2270,53  Câu 23. Chọn đáp án A
phương pháp tối
và nhanh gọn. Tuy nhiên
số thì cũng không ảnh hưởng gì.
DẠYKÈMQUYNHƠNOFFICIAL Nhìn vào đồ thị ta có:  5T5T7sT0,05s40rads 21248  Phương trình điện áp của đoạn mạch là: u200costV 3    Lại có:  22 C C ui U1002 ZR 100 I2 Z 1 tantantan R 363          Từ đó tính ra C ZR503 50 1 R503CmF 2           Câu 24. Chọn đáp án B Ta có: 4 0NBS750.0,5.100.103,75Wb  n120.2.24rads 66060   0 0 cosB,ncost;   Khi t = 0 thì B,n00   Vậy  3,75cos4tWb;   e15sin4t15cos4t(V) 2   STUDY
Suất điện động trong khung và từ thông qua khung dao động vuông pha với nhau. Câu 25. Chọn đáp án C
TIP
DẠYKÈMQUYNHƠNOFFICIAL Nhìn vào đồ thị ta cũng thấy sự phân chia khoảng cách đều giữa các hàng cụ thể là: 5d1d0,2  Vậy khi R30 thì RmaxP và cos=0,8  Vì   2 2 R 2 2 2 2 LC LC U.R U P RrZZrZZ R2r R      Nên để công suất đạt giá trị cực đại thì 2 22 LCRrZZ  Bên cạnh đó: cos=0,8   2 2 LC Rr 0,8 RrZZ     2 2 2 LC Rr 0,8 R2RrrZZ     2 Rr 0,8 2R2Rr 30r 0,8r8,4 60       

DÒNG ĐIỆN XOAY CHIỀU

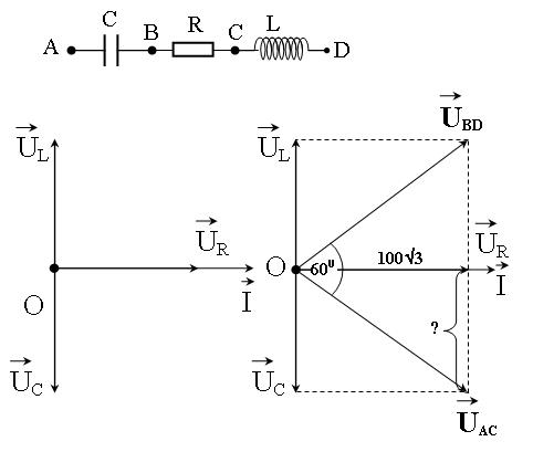
Câu 1. (PHAN BỘI CHÂU NGHỆ AN lần 1 2019) Đặt một điện áp xoay chiều (U và ꞷ uU2cost   cógiá trị dương, không đổi) vàohai đầu đoạn mạch AB. KhiđócôngsuấttiêuthụtrênđoạnmạchAMbằngcông suất tiêu thụ trên đoạn mạch MN. Sự phụ thuộc của điện áp tức thời hai đầu đoạn mạch AN và MB theo thời gian được cho như đồ thị hình vẽ. Giá trị của U gần nhất với đáp án nào sau đây? A. 20 V B. 29 V C. 115 V D. 58 V

Câu 2. (PHAN BỘI CHÂU NGHỆ AN lần 1 2019) Điện năng được truyền từ nhà máy điện đến nơi tiêu thụ bằng đường dây tải điện một pha. Biết công suất của nhà máy điện không đổi, hệ số công suất của mạch điện bằng 1. Ban đầu điện áp truyền đi bằng U thì công suất hao phí trên đường dây bằng 20% công suất ở nơi tiêu thụ. Vào giờ cao điểm công suất tải tiêu thụ tăng thêm 10% thì phải tăng điện áp hiệu dụng nơi phát lên A. 1,41 lần. B. 2,13 lần. C. 1,73 lần. D. 4,03 lần. Câu 3. (PHAN BỘI CHÂU NGHỆ AN lần 1 2019)

Đặt điện áp xoay chiều có giá trị hiệu dụng và tần số không đổi vào hai đầu đoạn mạch AB, trong đó R là biến trở, cuộn cảm thuần có hệ số tự cảm L, tụ điện có điện dung C thay đổi được. Khi C = C1 thì điện áp hai đầu đoạn mạch AM không phụ thuộc vào giá trị của biến trở R, khi C = C2 thì điện áp hiệu dụng giữa hai đầu đoạn mạch MB đạt giá trị cực đại. Hình bên là đồ thị biêu diễn sự phụ thuộc của tỉ số C1/C2 theo R. Giá trị của cảm kháng ZL là A. 100 Ω B. 200 Ω C. 150 Ω D. 50 Ω

Câu4: (LƯƠNG VĂN TỤY NINHBÌNH lần 12019) Đặt một điện áp u = U0cos(ωt)(V) vào hai đầu đoạn mạch gồm điện trở R, tụ điện có điện dung C và dây thuần cảm hệ số tự cảm L mắc theo đúng thứ tự trên. Trong đó tụ điện Ckhôngthay đổi, RvàLthay đổi được. Ứng với mỗi giá trị R, gọi L1, L2 lần lượt là giá trị L để uRC = U01sinωt (V) và để trong mạch có cộng hưởng. Hình bên là đồ thị biểu diễn sự phụ thuộc của x = L1 –L2 theo R. Giá trị của điện dung C gần đúng với giá trị nào sau đây. A. 540 nF B. 490 nF

33

1 2

A RL N

C B M 64 O

C C 100200R

1

1 2

x(mH)

O20 R

DẠYKÈMQUYNHƠNOFFICIAL
RL
C B
A
N
M t(s) u(V) 602 602 O MBu ANu

C. 450 nF

u(V) 150 140 150 140 O

t(s)

D. 590 nF Câu 5: (LƯƠNG VĂN TỤY NINH BÌNH lần 1 2019)Điện năng được truyền từ nơi phát đến một khu dân cư bằng đường dây tải một pha. Những ngày bình thường thì hiệu suất truyền tải là 90%. Nhưng vào một ngày nắng nóng, lượng điện tiêu thụ tăng trên 64% so với ngày thường. Coi hao phí chỉ do toả nhiệt trên đường dây, hệ số công suất trong các trường đều hợp bằng: Giữ nguyên điện áp nơi phát thì công suất phát vào ngày nắng nóng đã tăng lên bao nhiêu lần so với ngày thường và hiệu suất truyền tải ngày nắng nóng bằng bao nhiêu A. 1,8 và 82% B. 1,8 và 30% C. 1,6 và 84% D. 1,6 và 80% Câu6: (LƯƠNG VĂN TỤY NINHBÌNH lần 12019)Cho mạch điện xoay chiều gồm cuộn cảm thuần , điện trở R và tụ điện mắc nối tiếp .Điện trở R = 100Ω, tụ điện C có thể thay đổi ngược .Đặt vào hai đầu đoạn mạch điện áp xoay chiều ổn định điện áp hiệu dụng U=200V và tần số không đổi . Thay đổi C để ZC = 200Ω Thì điện áp hiệu dụng giữa hai đầu đoạn R-C là URC đạt cực đại . Khi đó giá trị của URC là: A. 400V B. 200V C. 300V D. 100V Câu 7. (LIỄU SƠN VĨNH PHÚC lần 2-2019)Cho mạch điện xoay chiều (hình 1), cuộn dây có điện trở hoạt động r = R/4. Khi đặt áp đặt có biểu thức u = U0cosωt (U0 và ω không đổi) vào hai đầu mạch AB thì điện áp giữa giữa hai đầu đoạn AN và điện áp hai đầu đoạn MB có đồ thị theo thời gian (hình 2). U0 gần nhất với giá trị nào dưới đây? AR C B L,r MN Hình 1 Hình 2

A. 220,5 V. B. 2005,1 V. C. 200,6 V. D. 212,5 V. Câu8. (LIỄU SƠN VĨNH PHÚC lần 2-2019)Một máy biến áp lí tưởng lúc mới sản xuất có tỉ số điện áp hiệu dụng cuộn sơ cấp và thứ cấp bằng 2. Sau một thời gian sử dụng do lớp cách điện kém nên có n vòng dây cuộn thứ cấp bị nối tắt, vì vậy tỉ số điện áp hiệu dụng cuộn sơ cấp và thứ cấp bằng 2,5. Để xác định số vòng dây bị nối tắt người ta cuốn thêm vào cuộn thứ cấp 45 vòng dây thì thấy tỉ số điện áp hiệu dụng cuộn sơ cấp

DẠYKÈMQUYNHƠNOFFICIAL
và thứ cấp bằng 1,6. Số vòng dây bị nối tắt là A. 50 vòng. B. 20 vòng. C. 40 vòng. D. 60 vòng Câu 9: (TÔ HOÀNG lần 11 năm 2019) Đặt điện áp xoay chiều (t u1002cos100tV 3        tính bằng s) vào hai đầu đoạn mạch gồm điện trở , cuộn dây cảm thuần có độ tự cảm H và 100 1  A 1V 2V 3V B C LR

tụ điện có điện dung C thay đổi được (hình vẽ). và là các vôn kế xoay chiều có điện trở 12V,V3V rất lớn. Điều chỉnh C để tổng số chỉ của ba vôn kế có giá trị cực đại, giá trị cực đại này là: A. 248 V B. 284 V C. 361 V D. 316 V Câu 10: (THÁI PHIÊN HẢI PHÒNG lần 1 2019) Từ một trạm điện, điện năng được truyền tải đến nơi tiêu thụ bằng đường dây tải điện 1 pha. Biết công suất truyền đến nơi tiêu thụ luôn không đổi, điện áp và cường độ dòng điện luôn cùng pha. Ban đầu, nếu ở trạm điện chưa sử dụng máy biến áp thì điện áp hiệu dụng ở trạm điện bằng 1,1785 lần điện áp hiệu dụng ở nơi tiêu thụ. Để công suất hao phí trên đường dây truyền tải giảm 100 lần so với lúc ban đầu thì ở trạm điện cần sử dụng máy biến áp lí tưởng có tỉ lệ số vòng dây của cuộn thứ cấp so với cuộn sơ cấp có giá trị gần nhất với giá trị nào sau đây? A. 7,8 B. 8,1 C. 9,1 D. 8,5 Câu11: (THÁI PHIÊN HẢI PHÒNG lần 1 2019) Lần lượt đặt hiệu điện thế không đổi có độ lớn U và điện áp xoay chiều có giá trị hiệu dụng là 1,5U vào hai đầu một cuộn dây thì công suất tiêu thụ trên cuộn dây đều bằng nhau. Hệ số công suất của cuộn dây có giá trị gần nhất với giá trị A. 0,5 B. 0,71 C. 0,67 D. 0,87 Câu 12: (TÔ HOÀNG lần 9-2019) Đặt điện áp (U và u) không đổi) vào hai uU2cost   đầu đoạn mạch AB. Hình bên là sơ đồ mạch điện và một phần đồ thị biểu diễn sự phụ thuộc của điện áp giữa hai điểm M, B theo thời gian t MBu khi K mở và khi K đóng. Biết điện trở R = 2r. Giá trị của U là: A. 193,2 V. B. 187,1 V. C. 136,6 V D. 122,5V

DẠYKÈMQUYNHƠNOFFICIAL
AR C B
K MB
t O 100 K
50 50 100
MLN
u(V)
m
K đóng
gồm biến trở , cuộn cảm thuần L và tụ điện R C. Gọi là điện áp hiệu dụng ở hai đầu đoạn mạch gồm R và L, là điện áp hiệu dụng ở hai RLU CU đầu tụ điện C. Hình bên là đồ thị biểu diễn sự phụ thuộc của và theo giá trị của biến trở RLUCU R. Khi giá trị của R bằng thì
80 A. 160 V B. 140 V C.
D.
V
Câu13:(TÔHOÀNG LẦN 10-2019) Đặt điện áp xoay chiều có giá trị hiệu dụng và tần số không đổi vào hai đầu đoạn mạch mắc nối tiếp theo thứ tự
điện áp hiệu dụng ở hai đầu biến trở có giá trị là:
1,60 V
180
Câu14:(TÔHOÀNG LẦN 10-2019) Điện năng được truyền từ một trạm phát điện đến nơi tiêu thụ bằng đường dây tải điện một pha. Biết đoạn mạch tại nơi tiêu thụ (cuối đường dây tải điện)

tiêu thụ điện với công suất không đổi và có hệ số công suất luôn bằng 0,8. Để tăng hiệu suất của quá trình truyền tải từ 80% lên 90% thì cần tăng điện áp hiệu dụng ở trạm phát điện lên: A. 1,33 lần. B. 1,38 lần. C. 1,41 lần. D. 1,46 lần.

Câu 15: (TÔ HOÀNG lần 12-2019) Một máy phát điện xoay chiều ba pha đang hoạt động bình thường. Trong ba cuộn dây của phần ứng có ba suất điện động có giá trị và. Ở thời điểm 12e,e3e mà thì tích . Giá trị cực đại của là: 1 e30V   2 23 e.e300V  1e A. 50 V. B. 40 V. C. 45 V. D. 35 V. Câu 16: (TÔ HOÀNG lần 12-2019) Điện năng được truyền từ trạm phát điện đến nơi tiêu thụ bằng đường dây tải điện một pha. Ban đầu hiệu suất truyền tải là 80%. Cho công suất truyền đi không đổi và hệ số công suất ở nơi tiêu thụ (cuối đường dây tải điện) luôn bằng 0,8. Để giảm hao phí trên đường dây 4 lần thì cần phải tăng điện áp hiệu dụng ở trạm phát điện lên n lần. Giá trị của n là: A. B. C. D. 2,1 2,2 2,3 2,0 Câu17:(TÔHOÀNG lần 12-2019) Đặt điện áp vào hai đầu đoạn u802cos100tV 4 



 mạch mắc nối tiếp gồm điện trở , cuộn thuần cảm và tụ điện có điện dung C thay đổi được. 203 Điều chỉnh điện dung đến giá trị để

điện áp xoay chiều có giá trị hiệu dụng và tần số không đổi vào hai đầu đoạn mạch mắc nối tiếp theo thứ tự gồm biến trở R, cuộn cảm thuần L và tụ điện C. Gọi URL là điện áp hiệu dụng ở hai đầu đoạn mạch gồm R và L, UC là điện áp hiệu dụng ở hai đầu tụ điện C. Hình bên là đồ thị biểu diễn sự phụ thuộc của

DẠYKÈMQUYNHƠNOFFICIAL
0
biểu
cường độ
0CC  trị là: A. B. i2cos100tA 6       i22cos100tA 6        C. D. i2cos100tA 12       i2cos100tA 12       Câu 18: (Sở GD HCM lần 1-2019) Đặt
UC
80 Ω thì điện áp hiệu dụng ở
trị là A. 120 V. B. 180 V. C. 140 V. D. 160 R4080120 O 80 160 240 320 U(V) RLU CU Câu 19: (Sở GD HCM lần 1-2019) Điện năng được truyền từ một nhà máy điện với công suất không đổi đến một khu dân cư có 30 hộ dân bằng đường dây tải điện một pha. Theo tính toán của các kỹ sư, nếu điện áp nơi truyền đi là U và lắp một máy hạ áp có hệ số hạ áp k =30 để dùng chung cho toàn khu dân cư thì cung cấp đủ điện cho 20 hộ. Cho rằng: công suất sử dụng điện năng của
điện áp hiệu dụng giữa hai đầu tụ điện đạt giá trị cực
CC
đại và bằng 160 V. Giữ nguyên giá trị
thức
dòng điện trong mạch đạt giá
URL và
theo giá trị của biến trở R. Khi giá trị của R bằng
hai đầu biến trở có giá

tất cả các hộ dân như nhau và điện áp luôn cùng pha với dòng điện. Khi tăng điện áp nơi truyền đi lên 2U, để cung cấp đủ điện năng cho cả 30 hộ dân thì cần sự dụng máy hạ áp có hệ số hạ áp là bao nhiêu? A. 63. B. 60. C. 90. D. 45. Câu 20: (Sở GD HCM lần 1-2019) Đặt điện áp (U và u) không đổi) vào hai uU2cost   đầu đoạn mạch AB. Hình bên là sơ đồ mạch điện vàmộtphầnđồthịbiểudiễnsựphụthuộccủađiện áp giữa hai điểm M, B theo thời gian t khi K MBu mở và khi K đóng. Biết điện trở R = 2r. Giá trị của U là: A. 193,2 V. B. 187,1 V. C. 136,6 V D. 122,5V

Câu21:(ChuyênVINH lần 1-2019) Cho mạch điện như hình vẽ bên. Biết uAB = 100cos100πt (V), UAE = 3 V, UEB = V. Điện áp hiệu dụng UFB có giá 5061002 trị là

A. 100 V B. 200 V C. 50 V D. 50 3 3 3 V 6 Câu 22: (Chuyên VINH lần 1-2019) Điện năng được truyền từ nơi phát đến nơi tiêu thụ là một nhà máy có 10 động cơ điện giống nhau, bằng đường dây tải một pha với hiệu suất truyền tải là 96 %. Nếu nhà máy lắp tăng thêm 2 động cơ điện cùng loại và điện áp ở nơi phát không đổi thì hiệu suất truyền tải điện năng trên đường dây tải lúc đó là A. 95,16 % B. 88,17 % C. 89,12 % D. 92,81 % Câu 23: (Chuyên VINH lần 1-2019) Một đoạn mạch AB gồm hai đoạn mạch AM và MB mắc nối tiếp. Đoạn mạch AM gồm biến trở R mắc nối tiếp với cuộn cảm thuần có độ tự cảm L, đoạn mạch MB là tụ điện có điện dung C. Đặt điện áp xoay chiều (U không đổi, tần uU2cos2ft   sốfthayđổiđược)vàohaiđầuđoạnmạchAB.Banđầuđiềuchỉnhbiếntrởđểcógiátrị RL/C  , thay đổi f, khi f = f1 thì điện áp hiệu dụng trên C đạt cực đại. Sau đó giữ tần số không đổi f = f2, điều chỉnh biến trở thì điện áp hiệu dụng giữa hai điểm AM không thay đổi. Hệ thức liên hệ giữa f2 và f1 là

24. (HOÀNG VĂN THỤ lần 1-2019) Điện năng được tải từ nơi phát đến nơi tiêu thị bằng dây dẫn chỉ có điện trở thuần. Ban đầu độ giảm thế trên dây bằng 15% điện áp hiệu dụng nơi phát điện. Để giảm hao phí trên đường dây 100 lần (công suất tiêu thụ vẫn không đổi, coi điện áp nơi tiêu thụ luôn cùng pha với dòng điện) thì phải nâng điện áp hiệu dụng nơi phát lên

DẠYKÈMQUYNHƠNOFFICIAL
AR C B MLN K MB u(V) t O 100 K mở K đóng 50 50 100
A L C
FE
A. B. C. D. 21 4 ff 3  21ff  1 2 f f 2  21 f3f 2 
B
Câu

A. 10 lần. B. 7,125 lần. C. 8,515 lần. D. 10,125 lần. Câu25:(HOÀNG VĂN THỤ lần 1-2019) Đặt điện áp V ( và không đổi) 2cos uUt

vào hai đầu đoạn mạch gồm điện trở có giá trị Ω, tụ a điện có điện dung và cuộn thuần cảm có hệ số tự C cảm mắc nối tiếp. Biết V, thay đổi được. L Ua L Hình vẽ bên mô tả đồ thị của điện áp hiệu dụng giữa hai bản tụ điện, điện áp hiệu dụng giữa hai đầu cuộn cảm vàcông suất tiêu thụ điện năng của toàn mạch theo cảm kháng. M và N lần lượt là hai đỉnh của đồ thị (1) và (2). Giá trị của bằng a

A. 30. B. 50. C. 40. D. 60. Câu 26: (Lương Thế Vinh lần 2-2019) Điện năng được truyền tải từ nhà máy phát điện đến nơi tiêu thụ cách xa đó với hiệu suất truyền tải là 80 % nếu điện áp hiệu dụng tại đầu ra máy phát là 2200 V. Coi hệ số công suất trong các mạch điện luôn bằng 1. Nếu tăng điện áp hiệu dụng tại đầu ra ở máy phát lên 4400 V mà công suất tiêu thụ điện không đổi thì hiệu suất truyền tải điện lúc này có giá trị A. 95,0 % B. 93,1 % C. 95,8 % D. 90,0 % Câu27:(Lương Thế Vinh lần 2-2019)Đặt điện áp xoay chiều V vào hai 200cos100 4 u t    

   đầu đoạn mạch gồm cuộn cảm thuần có độ tự cảm thay đổi được, điện trở và tụ điện mắc nối L tiếp theo thứ tự. Điều chỉnh thì thấy điện áp dụng giữa hai đầu cuộn cảm đạt giá trị cực đại bằng L V. Khi đó, điện áp giữa hai đầu tụ điện có biểu thức là 2002

tâm luyện thi chuyên Sư phạm) Một đoạn mạch AB gồm hai đoạn mạch AM và MB mắc nối tiếp. Đoạn mạch AM gồm điện trở thuần R1 mắc nối tiếp với tụ điện có điện dung C, đoạn mạch MB gồm điện trở thuần R2 mắc nối tiếp với cuộn cảm thuần có độ tự cảm L. Đặt điện áp xoay chiều có tần số và giá trị hiệu dụng không đổi vào hai đầu đoạn mạch AB. Khi đó đoạn mạch AB tiêu thụ công suất bằng 160 W và có hệ số công suất bằng 1. Nếu nối tắt hai đầu tụ điện thì điện áp hai đầu đoạn mạch AM và MB có cùng giá trị hiệu dụng nhưng lệch pha nhau 600, công suất tiêu thụ trên mạch AB trong trường hợp này bằng A. 160 W. B. 90 W. C. 180 W. D. 120 W. Câu 29. (Trung tâm luyện thi chuyên Sư phạm) Đặt điện áp xoay chiều có giá trị hiệu dụng không đổi 150 V vào đoạn mạch AMB gồm đoạn AM chỉ chứa điện trở R, đoạn mạch MB chứa tụ điện có điện dung C mắc nối tiếp với một cuộn cảm thuần có độ tự cảm L thay đổi được. Biết sau khi thay đổi độ tự cảm L thì điện áp hiệu dụng hai đầu mạch MB tăng lần và dòng điện 22 trong mạch trước và sau khi thay đổi lệch pha nhau một góc 0,5π. Điện áp hiệu dụng hai đầu mạch AM khi ta chưa thay đổi L có giá trị bằng

DẠYKÈMQUYNHƠNOFFICIAL
U
A. V B. V 1002cos100Cu t  1002cos100 2 Cu t          C. V D. V 300cos100 2 Cu t         5 300cos100 12 Cu t         Câu
(W)P
CL
O ()LZ 1 2 3 17,5 N M
28. (Trung
,()
UUV

A. 100 V. B. 120 V. C. 100 V. D. 100 3 2 V.

Câu 30. (Trung tâm luyện thi chuyên Sư phạm) Cho một đoạn mạch điện xoay chiều chỉ có cuộn dây thuần cảm. Tại thời điểm t1 điện áp và dòng điện qua cuộn cảm có giá trị lần lượt là 25 V; 0,3 A. Tại thời điểm t2 điện áp và dòng điện qua cuộn cảm có giá trị lần lượt là 15 V; 0,5 A. Cảm kháng của mạch có giá trị là A. 100 Ω B. 50 Ω C. 30 Ω D. 40 Ω Câu31.(Trungtâm luyện thichuyên Sư phạm)Một đoạn mạch AB gồm hai đoạn mạch AM và MB mắc nối tiếp. Đoạn mạch AM chỉ có biến trở R, đoạn mạch MB gồm điện trở thuần r mắc nối tiếp với cuộn cảm thuần có độ tự cảm L. Đặt vào AB một điện áp xoay chiều có giá trị hiệu dụng và tần số không đổi. Điều chỉnh R đến giá trị 80 Ω thì công suất tiêu thụ trên biến trở đạt cực đại và tổng trở của đoạn mạch AB chia hết cho 40. Khi đó hệ số công A. 1/4 B. 3/4 C. D. 4/5 3 4 Câu 32: (Tô Hoàng lần 14-2019) Đặt điện áp xoay chiều có giá trị hiệu dụng không đổi u = 220 (V), tần số f thay đổi. Khi thay đổi tần số của mạch điện xoay chiều R, L, C mắc nối tiếp, người ta vẽ được đồ thị biểu diễn sự phụ thuộc của tổng trở của toàn mạch vào tần số như hình bên. Tính công suất của mạch khi xảy ra cộng hưởng. A. 200 W B. 220 W C. 484 W D. 400 W

Câu33:(TôHoàng lần 15-2019) Cho mạch điện xoay chiều gồm một điện trở thuần, một cuộn cảm thuần và một tụ điện mắc nối tiếp. Đặt vào hai đầu mạch điện áp xoay chiều có giá trị hiệu dụng không đổi và tần số góc thay đổi được. Điện  áp hiệu dụng giữa hai bản tụ điện và điện áp hiệu dụng hai đầu cuộn cảm lần lượt là phụ thuộc vào , chúng được

DẠYKÈMQUYNHƠNOFFICIAL
f(x10Hz) O Z(x100)  4 3 2 1 246810 5 Hình 14
đồ thị như
. Khi thì
đại . Các giá CLU,U CCU m U trị và lần lượt là: m UC A. và rad/s B. và 1502V33021502V3303 rad/s C. V và rad/s D. V và 1003330210033303 rad/s O m U 150 U(V) C660(rad/s)  CU LU Hình 14 Câu34: (Bứt phá điểm thi lần 6-2019) Cho đoạn mạch xoay chiều RLC mắc nối tiếp. Cho biết R = 60Ω, cuộn dây thuần cảm có độ tự cảm thay đổi được, hiệu điện thế giữa hai đầu đoạn mạch có biểu thức u = U0cosωtV. Khi thay đổi L đến giá trị thì hiệu điện thế giữa hai đầu L1,25H   cuộn dây là cực đại. Giá trị điện dung C của tụ điện?
CLU,U  biểu diễn bằng các
hình vẽ bên, tương ứng với các đường
đạt cực

Câu 35: (Bứt phá điểm thi lần 6-2019) Cho mạch điện xoay chiều AB gồm hai đoạn mạch AM và MB ghép nối tiếp, AM gồm R1 nối tiếp tụ điện C, MB gồm R2 nối tiếp với cuộn dây thuần cảm. Biết R1 = ZC. Đồ thị uAM và uMB theo thời gian được cho như hình vẽ. Hệ số công suất của đoạn mạch MB gần với giá trị nàosau đây? A. 0,5 B. 0,71 C. 0,97 D. 20,85

DẠYKÈMQUYNHƠNOFFICIAL
A. và B. và 310 CH 8   310 CH 4,5   310 CH 4   310 CH 4,5   C. và D. và 310 CH 8   310 CH   310 CH 8   310 CH 2  
200
O t(s) ANu AMu u(V)
ĐÁP ÁNCHI TIẾT Câu1. Chọn đáp ánD Lời giải: + Với giải
AMMN PPRr  + Từ đồ thị ta có: vuông pha với uMB AN AN MB U60V ;uU40V    22 2 2 Rrr ANMB Rr UUU coscos1 1UU24V 6040        + 2 22 2 C L U402432V;U60242436V     + Điện áp hiệu dụng ở hai đầu đoạn mạch:  2 2 RrLC UUUUU46,5V    Chọn đáp ánD Câu2. Chọn đáp ánA Lời giải: + Khi chưa tăng công suất nơi tiêu thụ ta có: với PPP   P0,2PP1,2P    + Khi tăng công suất nơi tiêu thụ lên 10% ta có: / / tttttt PP10,1PP1,2P1,1P0,1P    + Lập tỉ số 2 / 1 UP 1,41 UP     Chọn đáp ánA Câu3. Chọn đáp ánA Lời giải: + Khi thì không phụ thuộc vào giá trị của R CC1ZZ  AMU C1LZ2Z
200
Hình 14
thiết:
DẠYKÈMQUYNHƠNOFFICIAL

 Ta
  +
7
    → Gần đáp án B nhất  Chọn đáp ánB Câu5. Chọn đáp ánA Lời giải: + Công suất hao phí: 2 22 PR P Ucos   P ΔP P’ 100 10 90 100.n 10.n2 147,6 2 100n10n147,6n1,8  Thay vào: P = 1,8.100 = 180W + Hiệu suất H147,682% 180   Chọn đáp ánA Câu6. Chọn đáp ánA Lời giải: +  22 C RC 2 2 LC URZ U RZZ   
+ Khi cực đại CC2MBZZU  22 L C2 L RZ Z Z   + Lập tỉ số: 22 1C2 L 2 2C1L CZRZ CZ2Z 
+ Từ đồ thị ta thấy tại 1 L 2 C 1R100Z100 C   Chọn đáp ánA Câu4. Chọn đáp ánB Lời giải: + Khi L = L1 thì URC vuông pha với u nên:  2 2 L1CC CL1CL1 C C ZZZ R .1RZZZZZ RR Z   + Khi L = L2 thì mạch có cộng hưởng nên L2CZZ
có:  2 L1L212 C R ZZLLx Z
Nhìn vào đồ thị ta thấy khi R200x0,2mH  2 2 2
C 3 C RR201 x.Z .C5.10F500nF Zx0,2.10C
DẠYKÈMQUYNHƠNOFFICIAL + Khi  22 22 CLL LL L ZZZ4R200ZZ4.100Z150  + Thay vào ta có:  22 RC 2 2 200100200 U 400V 100200150      Chọn đáp ánA Câu7. Chọn đáp ánC  Lời giải: + HBBM140HB14 HBMHAN: HBx HAAB1505x3   + Mà 2 2222214 MBMHHB140xx 3    84205 x 41 BH136,89     N H A B I M 4x 150V 140V i  x + Vậy   2 22 2 0AB 84205 UAB5xHB5.136,89200,627V 41             Chọn đáp ánC Câu8. Chọn đáp ánB  Lời giải: +    1 1 1 2 2 2 NN N 21;2,52;1,63 NNxNx45     + Lấy   2 2 2 1Nx2 N5x 2N2,5  + Lấy vòng.   2 2 1Nx45255xx455 x20 3N1,645x4       Chọn đáp ánB Câu9. Chọn đáp ánD  Lời giải: + Ta có: . Đặt . L ZL100C Zx  + ta có:        CL 123CL 2 2 2 2 LC UZZR100x200 fxUUUIZZR RZZ100100x      
DẠYKÈMQUYNHƠNOFFICIAL + Đạo hàm theo x ta có: fx    2 2 2 2 2 2 2x200100x200 100100100x 2100100x f' 100100x      Ta có:  2 2 400f'0100100xx100x2000x 3       Câu10. Chọn đáp ánD Lời giải: + // / 1 1111 1U1,1785UUUU0,1785U   + / /2 1212121 U P100PI10IU10UU 10  + Mà / / 1 222 1 1 U UUU10,0178U10,017858,5U 1,1785    22 11 UN 8,5 UN   Chọn
Câu11.
+
12 IU1,5U

Btronghai
hợp là bằng
đầu
áp trong
hợp mở và đóng là: MBu MB MB umo udong 3 2 3         + Do đó, ta có: MB1MB21MB12MB2MB1MB2 1 2 UU UUIZIZZZ ZZ       2 2 2 2 22 22 LC LC LR2r L 2 2 2 222 2 2 L LC L LC rZZ rZZrZ rZ 9rZRrZZRrZ9rZZ             
đáp ánD
Chọn đáp ánC
Lời giải:
Công suất tiêu thụ không đổi nên:
I Z1,5r rZ
+ Hệ số công suất của cuộn dây: r1 cos0,67 Z1,5 
Chọn đáp ánC Câu12. Chọn đáp ánD  Lời giải: + Từ đồ thị ta thấy điện áp hiệu dụng giữa hai điểm M và
trường
nhauvà bằng .Phaban 502V
của điện
hai trường
DẠYKÈMQUYNHƠNOFFICIAL 22 LCLLCLCLdongmodongmo ZZZZZZZ2ZZZII   + Chọn trục U làm chuẩn và nằm ngang, ta vẽ được giản đồ vectơ như hình: + Từ giản đồ vectơ ta có: LRr rL UUU APB~BPM UU  + Vì nên R2r  RrLrL U2UUU3Zr3  + Lại có:   L 22 22 Zr3 L L 2MB 2 22 2 L L UrZUrZ U 502 U506V122,4V 9rZRrZ          Câu13. Chọn đáp ánA  Lời giải: + Từ đồ thị ta thấy không phụ thuộc vào sự thay đổi của R (vì nằm ngang) RLU RLU + Ta có:  RC RL 22 LUR RL CL2UU 2 LC RZ UU Z2Z RZZ       + Lại có: RL 22 R L RL 2UU 2 LC UZ UU U200V RZZ      + Tại thì (2) R80  2 2 2 C C LC C 2 2 LC 200.Z 25 U240 80ZZZ 36 80ZZ     + Giải (1) và (2) ta có: và . C Z120L Z60 + Ta có:   R 2 2 2 2 LC UR 20080 U 160V 80ZZ8060120      Câu14. Chọn đáp ánB  Lời giải: + Ta có: 2 t2 t 2 R2 tt 2 tt 1 R1 1 1 1 H P I U 1 22 HIRP1 IRPHI13U3 1 H               + Lại có:   222 1R1tt1ttR1 222 Rtt RttttRtt222 2R2tt2tt2R2 UUU1,6UU1 UUUUUU2UUcos UUU1,6UU2       + Suy ra: 2 R2 1 R1 UU223922392 1,38 UU3 434434   
DẠYKÈMQUYNHƠNOFFICIAL Chú ý: Cách giải sai: + Ta có:   2 tt tt 2 2 tt tt hP.R 1H P PR Ucos1H 1HH HUcos Ucos PP HP PH                  2 11 11 22 2211 22 1HHU1HH U 4 1,33 1HHUU1HH3       Câu15. Đáp ánB + Ta có: 10 20 2 0 23 30 eEcost 2 eEcost 3E 4 eecos2tcos 2 3 2 eEcost 3                            + Theo đề   1 0 2 0 23 e30Ecost301 E 4 ee300cos2tcos3002 2 3                + Biến đổi (2) ta có:  2 2 2 2 2 0 0 0 1600 1600 300 cos2t2cost1cost0,753 2E 2E E    + Từ (1) và (3) ta có: 2 20 0 0 30300 0,75E40V EE      Câu16. Đáp ánA + Ta có:  1 2 P P tt 22 2 4 2 11 P P1H 1H PP 1 H PP1H H0,95 PP P1H410,8         + Lại có:   222 1R1tt1tt1R1 222 Rtt RttttR 222 2Rtttt2R2 UUU1,6UU1 UUUUUU2UUcos UUU1,6UU2      
DẠYKÈMQUYNHƠNOFFICIAL + Mặt khác:   1 1 R 1 11 tt1R11R1 Rtt1 2 R2 22 tt2 R2 2 R2 R2tt2 U h1H0,2 U5UU34U U0,8U U 9649 h1H0,05 U23,75UUU U0,8U 4                + Suy ra: 2 22 11 PIR 2 R2 2 2 IP1 1 R1 1 1IP2 UUIR U 96499649 96491 n 2,1 UUIR U2 434434 434         Chú ý: R ttRtttt UIPP h PPPUIUcos h1H          Câu17. Đáp ánC + Khi 22 Cmax LL 22 Cmax L C L U URZZ60 R U RZ Z80 Z         + Ta có:   802 u 4 i 22i22cos100tA Z 12 12 2036080i            Câu18: Đáp ánD + Ta có:  22 2 2 . 200L RLRL LC URZ UIZ V RZZ     + Từ đồ thị ta thấy URL không phụ thuộc R:  22 2 2 . 200L RLRL LC URZ UIZ V RZZ     + Khi 80240120 C L RU UV +   2 2 2 2 200120240160 RLC R R UUUU U UV    Câu19: Đáp ánC P: Công suất của nhà máy phát điện P1; P2: Công suất truyền tới cuộn sơ cấp của máy hạ áp U: Điện áp nơi truyền đi
DẠYKÈMQUYNHƠNOFFICIAL U0: Điện áp hai đầu cuộn thứ cấp của máy hạ áp. kU0: Điện áp hai đầu cuộn sơ cấp của máy hạ áp. + 0 0 0 0 40 20 3 100 30 43 PPPPP P PP PP             + Ta lại có: 1010 0 1 1 1 2 2 2020 2 0 200200 100100 226 3 3 90 3030 32 10021002 3 3 PPkU PPU kkk k k PPkU k PPU           Câu20: Đáp ánD Từ đồ thị ta thấy điện áp hiệu dụng giữa hai điểm M và B trong hai trường hợp là bằng nhau và bằng . Pha ban đầu của điện áp uMB trong hai trường hợp mở và đóng là: 502V 3 2 3 MB MB umo udong             + Do đó, ta có: 121122 1 2 1 2 MBMB MB MB MB MB UU UUIZIZZZ ZZ       2 2 2 2 22 22 2 2 2 2 222 2 2 9 9 LC LC Rr L L L LC L LC rZZ rZZ rZ rZ rZ RrZZRrZ rZZ              22 2 LC LLCLCLdongmodongmo ZZZZZZZZZZII   + Chọn trục U làm chuẩn và nằm ngang, ta vẽ được giản đồ vectơ như hình: + Từ giản đồ véc tơ ta có: ~ LLr r L UUU APBBPM UU  + Vì nên 2 Rr  233RrLr L UUUUZr  + Lại có:   22 22 3 2 2 22 2 502 506122,4 9 L Zr L L MB L L UrZ UrZ U UVV rZ RrZ          Câu21: Đáp ánA
DẠYKÈMQUYNHƠNOFFICIAL Ta có: 2 2 22 506 15000 502 21002 50615000 1001003 1002 10021002 1002 AB RLC L CL RL RL R RC C C C C U UUU U UU U UU U U U U U U                                Câu22: Đáp ánA + Dùng phương pháp 4 cột: P U P ’ P 125/12 U 5/12 10 12 + x U X 12 + Ta có: ( do U không đổi) 2 2 22 ~ .cos PR P pP U   + Suy ra: 0,615/12125/12 1235,8 2 x x x x      → Hiệu suất là: 1212 95,16% 12120,61 H x    Câu23: Đáp ánB  Ban đầu: Ta có: 2 LC L RRZZ C  + Khi 2 2 2 max 2 22 LC C LLC L CL RZZ UZZZZ ZZ    Lúc sau:  22 2 2 2 22 2 2 1 L RL CL CLC LC L URZ U Uconst ZZ ZZZ RZZ RZ        Vậy 21ff  Câu24: + Phương trình truyền tải điện năng trong hai trường hợp với công suất hao phí → hao phí giảm 100 lần tương ứng với dòng 11 22 tt tt PPP PPP    2 PIR điện truyền tại lúc sau giảm 10 lần so với ban đầu 12 10 II 

phương trình đầu tiên, ta tìm được → Đáp ánA CZ MLZ 30a

Câu26:

DẠYKÈMQUYNHƠNOFFICIAL + Chú ý rằng công suất nơi tiêu thụ là không đổi, do vậy 21 10tt ttUU  → → → → 111 222 tt tt UUU UUU    1 1 2 12 0,85 0,1 tt tt UU UUU    2 1 10,1.0,1510.0,85U UU   2 1 8,515 U U  → Đáp ánC Câu25: + Từ đồ thị, ta thấy rằng là giá trị của cảm kháng
điện áp
dụng trên cuộn dây cực MLZ đại → . 22 M C L C RZ Z Z   +
 →
40C
 +
để
hiệu
Tại N mạch xảy ra cộng hưởng, khi đó điện áp hiệu dụng trên tụ là 40 V →
C C UZ U R
Ω.
aZ a
40CZ
Ω và là hai giá trị của cảm kháng cho cùng công suất tiêu thụ. 17,5LZ MLZ → → Ω. 17,52ML C Z Z 62,5MLZ + Thay vào và vào
1P 2P → hay . 22 221 112 PPU PPU    2 2121 2112 PPPU PPPU   + Với , Ta có , mặc khác → 1 P H P   2 221 112 1 1 HPU HPU    2 2 ttP P H  2 2 1 1212 1 1 tt HPU HHPU    → ↔ → → Đáp ánC   2 221 112 1 1 HHU HHU      2211 0,810,84 HH 20,958H Câu27: + Điện áp hiệu dụng cực đại trên cuộn cảm → cos Lmax RC U U   10021 cos 22 002 RC Lmax U U  → . Mặc khác V 3RC   2 0 00 0 300 CLmax Lmax U UU U   Khi xảy ra cực đại của điện áp hiệu dụng trên cuộn dây thì chậm pha hơn một góc Cu u → V → Đáp ánD 2 33   5 300cos100 12 Cu t        
+ Với công suất nơi tiêu thụ là không đổi, để thay đổi hiệu suất của quá trình truyền tải, rõ ràng công suất nơi phát phải thay đổi. Gọi và lần lượt là hao phí truyền tải tương ứng với hai trường hợp
DẠYKÈMQUYNHƠNOFFICIAL Câu28:
+
2 max 12
U
RR    +
 +
  +
2 2 2 12 cos160cos30120 U P W RR      Câu29:
+ .
AMMBUUU   AMu MB
kính + Cường độ dòng điện trước và sau khi đổi L vuông pha nhau 12 12 21 AMMB AMAM AMMB UU uu UU  + Từ hình vẽ: 2 222222 11221 122AMMBAMMBMB MBUUUUUUU  22 22 11 1 1 1509 50 1002 MB MB AM MBUUVUUU V   Câu30: Đáp ánB + Mạch chỉ có cuộn dây thuần cảm nên ; mà 2222 1122 0000 : uiui ui UIUI     00 .L UZI   2222 12 2222 21 2515 50 0,50,3 L uu Z ii    Câu31: Đáp ánB + Điều chỉnh R để công suất trên biến trở đạt cực đại 2280LRrZ + Tổng trở của đoạn mạch AB là  2 2 2 22 2 80802.80160LZRrZ r r r  
Đáp ánD
Lúc đầu
160
P W
Khi nối tắt hai đầu tụ thì: lệch pha góc , AMMBAMUUu
MBu60
Dựa vào giản đồ véc-tơ ta có: 30
Công suất tiêu thụ trên mạch AB lúc này là:
Đáp ánC
Vì luôn vuông pha với nên quỹ tích điểm M
u
đường tròn nhận U làm đường
DẠYKÈMQUYNHƠNOFFICIAL Để Z chia hết cho 40 thì: = số nguyên → r phải là bội số của 10 2 28 410 0 Zr  10 rk + Hệ số công suất của đoạn mạch AB là:   2 2 2 22 8010 cos 801080100 L Rr k RrZ k k        Câu32: Đáp ánC + Từ đồ thị nhận thấy min100Z + Khi cộng hưởng thì và lúc đó LCZZ  2 min100 484 U ZR P W R  Câu33. Chọn đáp ánD + Ta có: (1) LL 2 2 222 U UIZ R11 .1 LLC         + Theo đồ thị ta thấy khi tiến đến vô cùng thì tiến đến 150V  LU + Thay vào (1) ta có:  2 2 222 U 150 U150V R11 .1 LLC          Khi và cho cùng , còn cho thì ta có: 12 CUC Umax  222 12C 2  Từ đồ thị ta thấy hai giá trị và cho cùng nên: 102660rad/s CU  22 0 06603302rad/s 2    Khi và cho cùng , còn cho thì ta có: 12 LULL Umax  222 12L 112 2   Từ đồ thị ta thấy hai giá trị và cho cùng nên: 1660rad/s 2  LU  L6602rad/s Lại có:  LmaxCmax 2 2 C L U150 Uu 1003V 330211 6602         
DẠYKÈMQUYNHƠNOFFICIAL Câu34: Đáp ánA Cảm kháng tương ứng của cuộn dây ZL = 125Ω Mặt khác 0 0 22 2 2 2 2012536000 C L CLC C C C RZ Z ZZZRZZ Z      → Phương trình trên cho ta hai nghiệm: và 1 2 3 1 10 800;45 8 C C Z Z CH   3 2 10 4,5 CH   Câu35: Đáp ánB Từ đồ thị ta thấy điện áp uAM vuông pha với điện áp hai đầu uMB 1 2 12 2 1 cos0,71 2 C ZR CL L MB ZZ ZR RR     

52 Câu VDC Hạt Nhân đề thi thử các trường

Câu 1(Đề Thi Thử MEGABOOK 2019 –Lần 21). Giả sử ban đầu có một mẫu phóng xạ X nguyên chất, có chu kỳ bán rã T và biến thành hạt nhân bền Y. Tại thời điểm tỉ lệ giữa hạt nhân 1t Y và hạt nhân X là k. Tại thời điểm thì tỉ lệ đó là 213 ttT A. k + 8 B. 8k C. 8k/3 D. 8k + 7 Câu 2(Đề Thi Thử MEGABOOK 2019- Lần 22). Cho phản ứng hạt nhân . 163 031 nLiH Hạt nhân đứng yên, nơtron có động năng . Hạt  và hạt nhân bay ra theo các 6 3Li 2 n KMeV  3 1H hướng hợp với hướng tới của nơtron những góc tương ứng bằng và . Lấy tỉ số 15 30  giữa các khối lượng hạt nhân bằng tỉ số giữa các số khối của chúng. Bỏ qua bức xạ gamma. Hỏi phản ứng tỏa hay thu bao nhiêu năng lượng? A. Thu 1,66MeV. B. Tỏa 1,52MeV. C. Tỏa 1,66MeV. D.Thu 1,52MeV Câu 3. (Đề Thi Thử MEGABOOK 2019- Lần 22) Đồng vị phóng xạ có chu kì bán rã 14,3 ngày được tạo thành trong lò phản ứng hạt nhân với tốc độ không đổi q = 2,7.109 hạt/s. Hỏi kể từ lúc bắt đầu tạo thành P32, sau bao lâu thì tốc độ tạo thành hạt nhân của hạt nhân con đạt giá trị N = 109 hạt/s (hạt nhân con không phóng xạ)

A. 9,5 ngày B. 5,9 ngày C. 3,9 ngày D. Một giá trị khác Câu 4(Đề Thi Thử MEGABOOK 2019- Lần 23 ). Cho prôtôn có động năng P K2,25MeV  bắn phá hạt nhân Liti đứng yên. Sau phản ứng xuất hiện hai hạt X giống nhau, có cùng động 7 3Li năng và có phương chuyển động hợp với phương chuyển động của prôtôn góc như nhau. Cho  biết ; . Coi phản ứng không p Li X ml,0073u;m7,0142u;m4,0015u    2lu931,5MeV/c  kèm theo phóng xạ gamma giá trị của góc là  A. B. C. D. 039,45 041,35 078,9 083,07 Câu 5(Đề

DẠYKÈMQUYNHƠNOFFICIAL
 A. . B. . C. . D. 4k. k4  4k/3 4k3  Câu 6(Đề Thi Thử MEGABOOK 2019-
24 ) . Hạt nhân có chu kì bán rã 1570
226 8Ra phân rã thành 1 hạt và biến đổi thành hạt nhân X. Tính số hạt nhân X được tạo thành trong  năm thứ 786. Biết lúc đầu có 2,26 gam radi. Coi khối lượng của hạt nhân tính theo u xấp xỉ bằng số khối của chúng và .231 A N6,0210mol  A. B. C. D. 202,529.10 181,88.10 143,896.10 173,896.10
Thi Thử MEGABOOK 2019- Lần 23 ). Giả sử ban đầu có một mẫu phóng xạ X nguyên chất, có chu kỳ bán rã T và biến thành hạt nhân bền Y. Tại thời điểm tỉ lệ giữa hạt 1t nhân Y và hạt nhân X là k. Tại thời điểm thì tỉ lệ đó là 21 tt2T
Lần
năm

Câu 7(Đề Thi Thử MEGABOOK 2019- Lần 24 ) . Người ta dùng hạt protôn bắn vào hạt nhân đứng yên để gây ra phản ứng . Biết động năng của các hạt p, X và 9 4Be 1946 4 3 pBeXLi  6 3Li lần lượt là 5,45 MeV ; 4 MeV và 3,575 MeV. Lấy khối lượng các hạt nhân theo đơn vị u gần đúng bằng khối số của chúng. Góc lập bởi hướng chuyển động của các hạt p và X là A. B. C. D. 045 060 090 0120 Câu 8(Đề Thi Thử MEGABOOK 2019- Lần 25). Đồng vị Na24 phóng xạ với chu kì T =  15 giờ, tạo thành hạt nhân con là Mg. Khi nghiên cứu một mẫu chất người ta thấy ở thời điểm bắt đầu khảo sát thì tỉ số khối lượng Mg24 và Na24 là 0.25, sau đó một thời gian thì tỉ số ấy bằng t

Tìm





 t45,00 giờ Câu 9(Đề Thi Thử MEGABOOK 2019- Lần 26). Một bệnh nhân điều trị ung thư bằng tia gama lần đầu tiên điều trị trong 10 phút. Sau 5 tuần điều trị lần 2. Hỏi trong lần 2 phải chiếu xạ trong thời gian bao lâu để bệnh nhân nhận được tia gama như lần đầu tiên. Cho chu kỳ bán rã ngày và xem t << T T70  A. 17 phút. B. 20 phút. C. 14 phút. D. 10 phút. Câu 10(Đề Thi Thử MEGABOOK 2019- Lần 27). Hạt nhân phân rã phóng xạ biến 238 94Pu  thành . Cho . Hạt có động năng cực đại 234 92U  233,9904;4,0015Um um u 

5,49W MeV

. Trong thực tế người ta thu được một số hạt có động năng nhỏ hơn động

 năng cực đại trên. Biết rằng trong sự phân rã nói trên có phát ra tia gamma với bước sóng .00,3A Động năng của hạt khi đó là  A. 5,75 MeV B. 5,45 MeV C. 4,85 MeV D. 4,45 MeV Câu 11(Đề Thi Thử MEGABOOK 2019- Lần 27). Đồ thị biểu diễn sự phụ thuộc giữa khối lượng chất giải phóng ra ở điện cực của bình điện phân và điện lượng tải qua bình. Đươ

DẠYKÈMQUYNHƠNOFFICIAL
6
nay urani tự nhiên chứa hai đồng vị phóng xạ và , với tỷ lệ số hạt và số hạt là 7/1000. Biết chu kì bán rã của 235U238U 235U 238U và lần lượt là năm và năm. Cách đây bao nhiêu năm, urani tự 235U238U 87,00.10 94,50.10 nhiên có tỷ lệ số hạt và số hạt là 3/100? 235U 238U A. 2,74 tỉ năm B. 2,22 tỉ năm C. 1,74 tỉ năm D. 3,15 tỉ năm
9.
? t A. giờ B. giờ C. giờ D. t4,83
t49,83
t54,66
  
max
 
ng lượng điện hóa của chất điện phân trong bình này là A. B.
11,18.10/kgC 6 1,118.10/kgC C. D. 6 1,118.10.kgC 6 11,18.10.kgC Câu 12(Đề Thi Thử MEGABOOK 2019- Lần 27). Hiện

Câu 13(Đề Thi Thử MEGABOOK 2019-Lần 28). Ban đầu có một mẫu nguyên chất, 210Po sau một thời gian nó phóng xạ và chuyển thành hạt nhân chì bền với chu kì bán rã 138  206Pb ngày. Xác định tuổi của mẫu chất trên biết rằng tại thời điểm khảo sát thì tỉ số giữa khối lượng của Pb và Po có trong mẫu là 0,4. A. 67 ngày B. 68 ngày C. 69 ngày D. 70 ngày Câu 14(Đề Thi Thử MEGABOOK 2019-Lần 29). Để xác định chu kỳ bán rã T của một đồng vị phóng xạ, người ta thường đo khối lượng đồng vị phóng xạ đó trong mẫu chất khác nhau 8 ngày được các thông số đo là 8g và 2g. Tìm chu kỳ bán rã T của đồng vị đó?

A. 2 ngày. B. 4 ngày. C. 1 ngày. D. 8 ngày. Câu 15(Đề Thi Thử MEGABOOK 2019- Lần 30). Ngày nay tỉ lệ của U235 là 0,72% urani tự nhiên, còn lại là U238. Cho biết chu kì bán rã của chúng là 7,04.108 năm và 4,46.109 năm. Tỉ lệ của U235 trong urani tự nhiên vào thời kì trái đất được tạo thành cách đây 4,5 tỉ năm là

A. 32%. B. 23%. C. 46%. D. 16%. Câu 16(Đề Thi Thử MEGABOOK 2019- Lần 30). Hai bình điện phân mắc nối tiếp với nhau trong một mạch điện, bình 1 chứa dung dịch CuSO4 có các điện cực bằng đồng, bình 2 chứa dung dịch AgNO3 có các điện cực bằng bạc. Trong cùng một khoảng thời gian nếu lớp bạc bám vào catot của bình thứ 2 là m2 = 41,04g thì khối lượng đồng bám vào catot của bình thứ nhất là bao nhiêu. Biết ACu = 64, nCu = 2, AAg = 108, nAg = 1: A. 12,16g B. 6,08g C. 24,32g D. 18,24g Câu 17(Đề Thi Thử MEGABOOK 2019- Lần 31). Tiêm vào máu bệnh nhân dung 310cm dịch chứa có chu kỳ bán rã T=15h với nồng độ Sau 6h lấy máu tìm 24 11Na 3 10mol/lit. 310cm thấy phân bố đều. Thể tích máu của người được tiêm khoảng: 82424 1,5.10molNa.CoiNa A. 5 lít. B. 6 lít. C. 4 lít. D. 8 lít. Câu 18(Đề Thi Thử MEGABOOK 2019- Lần 31). Bắn một proton vào hạt nhân đứng 7 3Li yên. Phản ứng tạo ra hai hạt nhân X giống nhau bay ra với cùng tốc độ và theo các phương hợp với phương tới của prôtôn các góc bằng nhau là . Lấy khối lượng của mỗi hạt nhân tính theo o60 đơn vị u bàng số khối của nó. Tỷ số giữa tốc độ của prôtôn và tốc độ của hạt nhân X là A. 4. B. 0,5. C. 2. D. 0,25. Câu 19(Đề Thi Thử MEGABOOK 2019 –Lần 32). Gọi là khoảng thời gian để số hạt nhân t của một lượng chất phóng xạ giảm đi e lần (e là cơ số của loga tự nhiên với 1ne=1), T là chu kỳ bán rã của chất phóng xạ. Hỏi sau khoảng thời gian chất phóng xạ còn lại bao nhiêu phần 0,51t  trăm khối lượng ban đầu? A. 40%. B. 50%. C. 60%. D. 70%.

DẠYKÈMQUYNHƠNOFFICIAL

Câu 20(Đề Thi Thử MEGABOOK 2019- Lần 33). Người ta dùng proton có động năng bắn vào hạt nhân đứng yên và thu được hai hạt X giống nhau có cùng động WMeV p2,2 Li7 3 năng. Cho khối lượng các hạt là: 29,5/0;1310;4,0150;7,1441,073 McuueV um mum X Lo p     . Động năng của mỗi hạt X là A. 4,81 MeV B. 12,81 MeV C. 9,81 MeV D. 6,81 MeV Câu 21(Đề Thi Thử MEGABOOK 2019- Lần 33). Cho chùm nowtron

nơtron kết thúc người ta thấy trong mẫu trên  Mn56 25 tỉ số giữa số nguyên tử và số lượng nguyên tử . Sau 10 giờ tiếp đó thì tỉ số Mn56 25 1056 2510Mn giữa nguyên tử của hai loại hạt trên là A. B. C. D. 112.101,5 121.103,25 122.106,5 112,5.10 Câu 22(Đề Thi Thử MEGABOOK 2019- Lần 34). Hạt nhân Pôloni là chất phóng xạ , sau  khi phóng xạ nó trở thành hạt nhân chì bền. Dùng một mẫu Po nào đó, sau 30 ngày, người ta thấy tỉ số khối lượng của chì và Po trong mẫu bằng 0,1595. Tính chu kì bán rã của Po A. 69 ngày B. 138 ngày C. 97,57 ngày D. 195,19 ngày Câu 23(Đề Thi Thử MEGABOOK 2019 – Lần 35). Một nơtron có động năng n W1,1MeV  bắn vào hạt nhân Liti đứng yên gây ra phản ứng . Biết hạt nhân He bay ra 16 4 03 2 nLiXHe  vuông góc với hạt nhân X. Động năng của hạt nhân X và He lần lượt là? Cho . n X He Li m1,00866u;m3,01600u;m4,0016u;m6,00808u

A. 0,12 MeV & 0,18 MeV. B. 0,1 MeV & 0,2MeV. C. 0,18 MeV & 0,12 MeV. D. 0,2 MeV & 0,1 MeV. Câu 24(Đề Thi Thử MEGABOOK 2019 – Lần 35). Giả sử ban đầu có một mẫu phóng xạ X nguyên chất, có chu kì bán rã T và biến thành hạt nhân bền Y. Tại thời điểm t1 tỉ lệ giữa hạt nhân Y và hạt nhân X là k. Tại thời điểm thì tỉ lệ đó là 21 tt3T  A. . B. 8k. C. . D. . k8  8k 3 8k7  Câu 25(Đề Thi Thử MEGABOOK 2019 –Lần 36). Pôlôni là chất phóng xạ tạo 210 84Po  thành hạt nhân . Chu kì bán rã của là 140 ngày. Lúc đầu có một mẫu Pôlôni nguyên 206 82Pb 210 84Po chất sau thời gian t = 420 ngày, người ta thu được 10,3g chì. Khối lượng chất lúc đầu là

DẠYKÈMQUYNHƠNOFFICIAL
bắn phá đồng vị bền ta thu được đồng vị phóng xạ . Đồng vị phóng xạ có chu trì bán rã T = 2,5h và Mn56 25 Mn56 25 Mn56 25 phát xạ ra tia . Sau quá trình bắn phá bằng
  
Đề Thi Thử
210 84Po A. 14g. B. 12,75g. C. 13g. D. 12g. Câu 26(
MEGABOOK 2019 –Lần 37). Gọi ∆t là khoảng thời gian để số hạt nhân của một lượng phóng xạ giảm đi e lần ( e là cơ số của lôga tự nhiên với lne = 1), T là chu kỳ bán

rã của chất phóng xạ. Hỏi sau khoảng thời gian 0,51 ∆t chất phóng xạ còn lại bao nhiêu phần trăm lượng ban đầu? A. 40% B. 50% C.60% D.70% Câu 27(Đề Thi Thử MEGABOOK 2019- Lần 38). Ban đầu có một mẫu nguyên chất có 210Po khối lượng 1(g). Cứ mỗi hạt khi phân rã tạo thành một hạt . Biết rằng trong một năm đầu nó  tạo ra khí Hêli ở (đktc). Chu kì bán rã của Po là ? 389,6cm A. 381,6 ngày. B. 154,7 ngày. C. 183,9 ngày. D. 138,1 ngày. Câu 28(Đề Thi Thử MEGABOOK 2019- Lần 38). Một bệnh nhân điều trị bằng đồng vị phóng xạ, dùng tia để diệt tế bào bệnh. Thời gian chiếu xạ lần đầu là , cứ sau 1  20phótt  tháng thì bệnh nhân phải tới bệnh viện khám bệnh và tiếp tục chiếu xạ. Biết đồng vị phóng xạ đó có chu kỳ bán rã T = 4 tháng (coi ) và vẫn dùng nguồn phóng xạ trong lần đầu. Hỏi tT lần chiếu xạ thứ 3 phải tiến hành trong bao lâu để bệnh nhân được chiếu xạ với cùng một lượng tia như lần đầu ?  A. 28,2 phút. B. 24,2 phút. C. 40 phút. D. 20 phút. Câu 29(Đề Thi Thử MEGABOOK 2019- Lần 39). Biết đồng vị phóng xạ có chu kì bán rã 14 6C 5730 năm. Giả sử một mẫu gỗ cổ có độ phóng xạ 200 phân rã/phút và một mẫu gỗ khác cùng loại, cùng khối lượng với mẫu gỗ cổ đó, lấy từ cây mới chặt, có độ phóng xạ 1600 phân rã/phút. Tuổi của mẫu gỗ cổ đã cho là

A. 1910 năm. B. 2865 năm. C. 11460 năm. D. 17190 năm.

Câu 30(Đề Thi Thử MEGABOOK 2019- Lần 39). Bình điện phân có anốt làm bằng kim loại của chất điện phân có hóa trị 2. Cho dòng điện 0,2 A chạy qua bình trong 16 phút 5 giây thì có 0,064g chất thoát ra ở điện cực. Kim loại dùng làm anot của bình điện phân là A. niken B. sắt C. đồng D. kẽm

Câu 31(Đề thi thử MEGABOOK 2019- lần 1 ). Cho phản ứng hạt nhân . 316 103nHH Hạt nhân đứng yên, nơtron có động năng K = 2 MeV. Hạt α và hạt nhân bay ra theo các 6 3Li 3 1H hướng hợp với hướng tới của nơtron những góc tương ứng bằng = 15° và φ = 30°. Lấy tỉ số  giữa các khối lượng hạt nhân bằng tỉ số giữa các số khối của chúng. Bỏ qua bức xạ gamma. Hỏi phản ứng tỏa hay thu bao nhiêu năng lượng? A. Thu 1,6 MeV. B. Tỏa 1,52 MeV. C. Tỏa l,6MeV. D. Thu 1,52 MeV .Câu 32(Đề thi thử MEGABOOK 2019- lần 1 ). Cho phản ứng hạt nhân: . 32 11TDn  Biết mT = 3,01605u; mD = 2,0141 lu; mα = 4,00260u; mn = 1,00867u; lu = 93 lMeV/c2 . Năng lượng toả ra khi 1 hạt a được hình thành là A. 11,04 MeV. B. 23,4 MeV. C. 16,7 MeV. D. 17,6MeV.

DẠYKÈMQUYNHƠNOFFICIAL

HH 2tt   12 HHT ln2  12 HHT ln2   12 HHln2 T Câu 34(Đề Thi Thử MEGABOOK 2019 –Lần 3). Chất phóng xạ Pôlôni () phóng xạ a 210 84Po rồi trở thành chì (). Dùng một mẫu Pôlôni tinh khiết ban đầu có khối lượng là 1 g. Sau 365 206 82Pb ngày đêm, mẫu phóng xạ trên tại ra một lượng khí Heli có thể tích là V = 89,6 cm3 ở điều kiện chuẩn. Chu kì bán rã của Pôlôni là A. 29,5 ngày. B. 73 ngày. C. 1451 ngày. D. 138 ngày. Câu 35(Đề Thi Thử MEGABOOK 2019-Lần 4). Cho phản ứng nhiệt hạch: . 22 11DTn Biết mD = 2,0136u; mT = 3,0160u; mn = 1,0087u và mα =4,0015u. Nước tự nhiên có chứa 0,015% nước nặng D2O. Nếu dùng toàn bộ đơteri có trong 0,5m3 nước để làm nhiên liệu cho phản ứng trên thì năng lượng thu được là A. 7,8.1012J B. 1,3.1013J C. 2,6.1014J D. 5,2.1015J Câu 36(Đề Thi Thử MEGABOOK 2019- Lần 5). Cho prôtôn có động năng 1,46 MeV bắn phá hạt nhân 7 Li đang đứng yên sinh ra hai hạt α có cùng động năng. Biết mP = 1,0073 u; mLi = 7,0142 u; mα = 4,0015 u và lu = 931,5 MeV/c2. Góc hợp bởi các véc tơ vận tốc của hai hạt a sau phản ứng có giá trị bằng: A. 71,3°. B. 84,25°. C. 142,6°. D. 168,5°. Câu 37(Đề Thi Thử MEGABOOK 2019- Lần 7). Hạt nhân phóng xạ biến thành 226 88Ra 

, quá trình phóng xạ còn có bức xạ Biết động năng của hạt là , khối

DẠYKÈMQUYNHƠNOFFICIAL
222 86
 
  lượng các hạt tính theo đơn vị u là ; ; ; Ra m226,025406  Rn m222,017574  m4,001505   . Lấy , bỏ qua động lượng của photon . Bước sóng của tia e m0,000549  21u931,5MeV/c    là A. B. C.
12 2,510m 12 510m 12
12
Câu 33(Đề thi thử MEGABOOK 2019 –Lần 2 ). Một mẫu chất phóng xạ có chu kì bán rã T. Ở các thời điểm t1 và t2 (với t2 > t1) kể từ thời điểm ban đầu thì độ phóng xạ của mẫu chất tương ứng là H1 và H2. số hạt nhân bị phân rã trong khoảng thời gian từ thời điểm t1 đến thời điểm t2 bằng: A. B. C. D.  12 21 yên thì
Rn
K4,54MeV
D.
7,510m
1010m Câu 38(Đề Thi Thử MEGABOOK 2019- Lần 7). Ta dùng prôtôn có 2,0MeV vào nhân 7Li đứng
thu hai nhân X có cùng động năng. Năng lượng liên kết của hạt nhân X là 28,3MeV

và độ hụt khối của hạt là 0,042lu. Cho ; khối lượng hạt nhân tính theo u 7Li 21u931,5MeV/c  xấp xỉ bằng số khối. Tốc độ của hạt nhân X bằng: A. l,96m/s. B. 2,20m/s. C. m/s. D. m/s. 72,1610 71,9310 Câu 39(Đề Thi Thử MEGABOOK 2019-LẦn 8). Thành phần đồng vị phóng xạ C14 có khi trong khí quyển có chu kỳ bán rã là 5568 năm. Mọi thực vật sống trên Trái đất hấp thụ các bon dưới dạng CO2 đều chứa một lượng cân bằng C14. Trong một ngôi mộ cổ người ta tìm thấy một mảnh xương nặng 18 g với tốc độ phóng xạ 112 phân rã/phút. Hỏi vật hữu cơ này chết cách đây bao nhiêu lâu? Biết độ phóng xạ từ C14 ở thực vật sống là 12 phân rã/phút. A. 5378,58 năm B. 5275,68 năm C.5168,28 năm Câu 40(Đề Thi Thử MEGABOOK 2019 –Lần 9): Dưới tác dụng của bức xạ gamma ( ), hạt  nhân của cacbon tách thành các hật nhân hạt . Tần số của tia là 4.1021 Hz. Các hạt 12 6C 4 2He  Hêli sinh ra có cùng động năng. Tính động năng của mỗi hạt Hêli.

Cho mC =12,0000u; mHe = 4,0015u; u = 1,66.10−27 kg; C =3.108 m/s; h = 6,625.10−34J.s A.4,56.10−13J. B. 7,56.10−13 J. C. 5,56.10−13J. D. 6,56.10−13 J. Câu 41(Đề Thi Thử MEGABOOK 2019 –Lần 9): Một bệnh nhân điều trị bằng đồng vị phóng xạ, dùng tia Y để diệt tế bào bệnh. Thời gian chiếu xạ lần đầu là Δt = 20 phút, cứ sau 1 tháng thì bệnh nhân phải tới bệnh viện khám bệnh và tiếp tục chiếu xạ. Biết đồng vị phóng xạ đó có chu kỳ bán rã T = 4 tháng (coi Δt ≪ T) và vẫn dùng nguồn phóng xạ trong lần đầu. Hỏi lần chiếu xạ thứ 3 phải tiến hành trong bao lâu để bệnh nhân được chiếu xạ với cùng một lượng tia Y như lần đầu?

A. 28,2 phút. B. 24,2 phút. C. 40 phút. D. 20 phút. Câu 42(Đề Thi Thử MEGABOOK 2019-Lần 10 ): Một khối chất phóng xạ A ban đầu nguyên chất. Ở thời điểm t1 người ta thấy có 75 % số hạt nhân của mẫu bị phân rã thành chất khác. Ở thời điểm t2 trong mẫu chỉ còn lại 5 % số hạt nhân phóng xạ A chưa bị phân rã (so với số hạt ban đầu). Chu kỳ bán rã bán

I = 138,8970u; mY= 93,89014u; luc2 = 931,5 MeV. Nếu có một lượng hạt nhân

nhiều, giả sử ban đầu ta kích thích cho 1010 hạt 235u phân hạch theo phương trình trên và sau đó phản ứng dây chuyền xảy ra trong khối hạt nhân đó với hệ số nhân nơtrôn là k = 2. Coi phản ứng không phóng xạ gamma. Năng lượng toả ra sau 5 phân hạch dây chuyền đầu tiên (kể cả phân hạch kích thích ban đầu) A. 175,85MeV B. 11,08.1012MeV C. 5,45.1013MeV D. 8,79.1012MeV Câu 44(

Thi Thử MEGABOOK 2019 –Lần 11). Một người bệnh phải chạy thận bằng phương pháp phóng xạ. Nguồn phóng xạ được sử dụng có chu kỳ bán rã T = 40ngày. Trong lần

DẠYKÈMQUYNHƠNOFFICIAL
A. B. C. D. 12tt T 3   12tt T 2   21tt T 3  21tt T 2 
(Đề Thi Thử MEGABOOK
sau: .
1235139941 09253390 nUIY3n 
n
rã của chất đó là
Câu 43
2019-Lần 10 ): Biết 235U có thể bị phân hạch theo phản ứng
Khối lượng của các hạt tham gia phản ứng: mU =
234,99332u; m
= l,0087u; m
235u đủ
Đề

khám đầu tiên người bệnh được chụp trong khoảng thời gian 12 phút. Do bệnh ở giai đoạn đầu nên trong 1 tháng người này 2 lần phải tới bệnh viện để chụp cụ thể lịch hẹn với bác sĩ như sau:

Thời gian: 08h ngày 05/11/2012

PP điều trị: Chụp phóng xạ (BS. Vũ Ngọc Minh)

Thời gian: 08h ngày 20/11/2012

PP điều trị: Chụp phóng xạ (BS. Vũ Ngọc Minh)

Hỏi ở lần chụp thứ 3 người này cần chụp trong khoảng thời gian bằng bao nhiêu để nhận được liều lượng phóng xạ như các lần trước: Coi rằng khoảng thời gian chụp rất nhỏ so với thời gian điều trị mỗi lần.

A. 15,24 phút B. 18,18 phút C. 20,18 phút D. 21,36 phút Câu 45(Đề Thi Thử MEGABOOK 2019 –Lần 15). Một bệnh nhân điều trị bằng đồng vị phóng xạ, dùng tia y để diệt tế bào bệnh. Thời gian chiếu xạ lần đầu là phút, cứ sau 1 t20 tháng thì bệnh nhân phải tới bệnh viện khám bệnh và tiếp tục chiếu xạ. Biết đồng vị phóng xạ đó có chu kỳ bán rã tháng (coi ) và vẫn dùng nguồn phóng xạ trong lần đầu. Hỏi lần T4  tT chiếu xạ thứ 3 phải tiến hành trong bao lâu để bệnh nhân được chiếu xạ với cùng một lượng tia  như lần đầu? Cho công thức gần đúng khi thì 1

A. 38,2 phút. B. 18,2 phút. C. 28,2 phút. D. 48,2 phút. Câu 46(Đề Thi Thử MEGABOOK 2019-Lần 16) Một mẫu chất phóng xạ, sau thời gian t1 còn 20% hạt nhân chưa bị phân rã. Đến thời điểm t2 = t1 + 100 s số hạt nhân chưa bị phân rã chỉ còn 5 %. Chu kỳ bán rã của đồng vị phóng xạ đó là

A. 400 s. B. 50 s. C. 300 s. D. 25 s. Câu 47(Đề Thi Thử MEGABOOK 2019 –Lần 17). Pônôli là chất phóng xạ phóng ra 210 84 (Po) tia biến thành chì , chu kì bán rã là 138 ngày. Sau bao lâu thì tỉ số số hạt giữa Pb và α 206 82 (Pb) Po là 3? A. 179 ngày B. 276 ngày C. 384 ngày D. 138 ngày Câu 48. (Đề Thi Thử MEGABOOK 2019 –Lần 17)

DẠYKÈMQUYNHƠNOFFICIAL
x x1ex
Hạt có động năng 3,1MeV đập vào α hạt nhân nhôm đứng yên gây ra phản ứng: Khối lượng các là hạt 2730 1315αAlPn. Giả α Al p m4,0015u,m26,97435u,m29,97005u,    2 n m1,008670u,1u931,5MeV/c.   dử hai hạt sinh ra có cùng tốc độ Động năng của hạt n là A. B. 0,9367MeV 0,0138MeV C. D. 0,8716MeV 0,2367MeV

Câu 49. (Đề Thi Thử MEGABOOK 2019- Lần 18) Cho phản ứng hạt nhân: Tính năng lượng toả ra từ phản ứng trên khi tổng hợp được 2g

Hêli A. . B. . 23 5,2976.10MeV 23 2,012.10MeV C. D. 23 52,97610MeV 24 2,01210MeV

Câu 50. (Đề Thi Thử MEGABOOK 2019- Lần 18) Một bệnh nhân điều trị bằng đồng vị phóng xạ, dùng tia để diệt tế bào bệnh. Thời gian chiếu xạ lần đầu là phút, cứ sau 1  t20 tháng thì bệnh nhân phải tới bệnh viện khám bệnh và tiếp tục chiếu xạ. Biết đồng vị phóng xạ đó có chu kỳ bán rã tháng (coi và vẫn dùng nguồn phóng xạ trong lần đầu. Hỏi lần T4  t) T chiếu xạ thứ 3 phải tiến hành trong bao lâu để bệnh nhân được chiếu xạ với cùng một lượng tia  như lần đầu? Cho công thức gần đúng khi thì x1  x 1ex 

A. 38,2 phút. B. 18,2 phút. C. 28,2 phút. D. 48,2 phút. Câu 51(Đề Thi Thử MEGABOOK 2019 –Làn 19 ). Phân hạch một hạt nhân trong lò 235U phản ứng hạt nhân sẽ tỏa ra năng lượng 200 MeV. Số Avôgađrô . Nếu 231 A N6,023.10mol  phân hạch 1 gam thì năng lượng tỏa ra bằng 235U

A. B. C. D. 26 5,1310MeV 20 5,1310MeV 23 5,1310MeV 23 5,1310MeV Câu 52(Đề Thi Thử MEGABOOK 2019 –Lần 20). Hạt nhân phóng xạ anpha thành hạt 210 84Po nhân chì bền. Ban đầu trong mẫu Po chứa một lượng . Bỏ qua năng lượng hạt của photon 0m gamma. Khối lượng hạt nhân con tạo thành tính theo sau bốn chu kì bán rã là? 0m A. B. C. D. 0

DẠYKÈMQUYNHƠNOFFICIAL
324
112 TDHeX17,6MeV. 
Giải Câu 1 D Câu 2 A Câu 3 A Câu 4 D Câu 5 C Câu 6 B Câu 7 C Câu 8 D Câu 9 C
0,98m 00,06m 00,92m 00,12m

Câu 10 B

Câu 11 C

Câu 12 C Câu 13 B Câu 14 B Câu 15 B Câu 16 A Câu 17 A Câu 18 A Câu 19C Câu 20 C Câu 21 C Câu 22 B Câu23 B Câu 24 D Câu 25 D Câu 26 C Câu 27 D Câu 28 A Câu 29 D Câu 30 C Câu 31.

DẠYKÈMQUYNHƠNOFFICIAL
Chọn đáp án A Lời giải: + Từ định luật bảo toàn động lượng ta vẽ được hình vẽ + Áp dụng định lý hàm sin ta có: H nppp sin30sin15sin135   22 2 H n 22 ppp sin30sin15sin135    + Sử dụng tính chất 2 H n 222 H K0,067MeV 34K .K K p2mK: 1 sin30sin15sin135KMeV 3          + Năng lượng phản ứng: HEn 1 EKKK0,06721,60MeV 3    Chọn đáp án A

Câu 32. Chọn đáp án D Lời giải: + Độ hụt khối của phản ứng: 3,01605u + 2,0141 lu - 4,00260u -1,00867u = 0,01889u TD n mmmmmm    + Năng lượng của phản ứng: ΔE = Δm.c2 =0,01889u.c2 = 0,01889.931,5 = 17,6MeV Chọn đáp án D

Câu 33. Chọn đáp án B Lời giải: + Tai thời điểm 1 1111 H t:HNN  + Tại thời điểm 2 2 22 H t:HNN  + Số hạt bị phân rã trong khoảng thời gian từ đến t2: 1t  1212 12 HHHT H NNN ln2     Chọn đáp án B Câu 34. Chọn đáp án D Lời giải:

DẠYKÈMQUYNHƠNOFFICIAL
+
   +
hạt nhân Pôlôni đã phóng xạ: 3 HeHeA ANnN410N   + Số hạt nhân Pôlôni ban đầu: 0A A m1 NNN A210  + Số hạt nhân Poloni còn lại: hạt 3 0 A A 1 2 NNB4.10NN 2102625         + Lập tỉ số: 0 N25 N4  + Chu kì bán rã của Poloni: (ngày) 0lN n t t kN2,644T138 Tln2 2,644      Chọn đáp án D
Số hạt nhân a tạo thành: 3 He 0,0896 n410mo 22,4
Ta thấy cứ một hạt nhân Pôlôni phóng xạ sẽ tạp ra một hạt nhân Heli nên, số

Với nước thường 1 (lít) = 1kg nên 3 6 m0,5.10kg0,5.10g

+ Khối lượng nước nặng D2O: 2

  

m75 DO:NN6,02102,257510 A2216

DO 23 24 2DO A DO

 + Số hạt nhân Dotori 2

24 24 DDO N2N2.2,2575.104,515.10   + Từ phương trình phản ứng ta có: Số phản ứng nhiệt hạch xảy ra: 24 puD NN4,515010  + Năng lượng tỏa ra trong 1 phản ứng:  13 12 E18,07MeV18,071,6102,8910J

 + Nhiệt lượng tỏa ra khi dùng 0,5m3 nước làm nhiên liệu:  2412 13 pupuD ENENN4,515102,89101,3110J 

36. Chọn đáp án

giải:

DẠYKÈMQUYNHƠNOFFICIAL
Câu 35. Chọn đáp án B đáp án B Câu
 D Lời
Lời giải: + Khối lượng nước: (lít) 333 30,5m0,5.10dm0,5.10 +
  2p1 ppp   222 p1212 ppp2ppcos   + Vì  2 PP PP 12p d 2mW4mWmW2mW pp;p2mWcos 1 4mW2mW        + Theo định luật bảo toàn năng lượng:     2 PLi P 2 2 PLiP mm2mcW mmcW2mc2WW 9,3464MeV2 2       → Từ (1) và (2): 0cos0,98168,5  Chọn đáp án D Câu 37. Chọn đáp án B. + Phương trình phản ứng: 2262224 88862 hc RaRnHe  + Năng lượng phản ứng tỏa ra:  2 RaeRne Em88mm86mmc    2 0,005229uc4,8708MeV 
 
6 HO m0,015%m0,015%0,51075g
+ Số phân tử nước nặng 2 2 2
  
Chọn
Định luật bảo toàn động lượng:
DẠYKÈMQUYNHƠNOFFICIAL
    RnRn
   Rn
  Rn
 
XL1PLiX

 
dX P
2 dX
2  dXdX2W2W v m4u   2 29,71MeV29,71 c 4MeV4.931,5 .931,5 c   Thay số vào ta được: 8 7 v3100,0722,1610m/s   Câu 39: ⇒ Chọn B +Nguyên tắc xác định tuổi cổ vật thì hai mẫu vật: cổ và mới (còn sống) phải cùng khối lượng +Độ phóng xạ ở thực vật sống là 12 phân rã/phút nên: H0 = 12.18 = 216 phân rã/ phút + Độ phóng xạ ở mảnh xương cổ: H = 112 phân rã/phút +Áp dụng công thức: ⇒t = 5275,86 năm 5568 02112216.2 t t THH Câu 40. Chọn đáp án D Lời giải:
+ Mặt khác: Rn hc EKK    + Theo định luật bảo toàn động lượng: RnRn RnRnmvmvmKmK
Rn m KKKK m
4 K.4,540,082MeV 222
hc EKK
  13 0,2488MeV0,398.10J
348 12 13 6,625103105.10m 0.398.10 
Chú ý 37 Định luật bảo toàn năng lượng toàn phần trong phản ứng hạt nhân: 2 sautruocEm.cKK Nếu phản ứng có xét đến năng lượng của tia gamma thì ta có: sautruocEKK   Câu 38. Chọn đáp án C + Ta có phương trình phản ứng: 174 132 HLi2X  Độ hụt khối của phản ứng: 
m2mmmm2m
0,0187u0
Phản ứng tỏa năng lượng AE:  E0,0187.931,5MeV17,42MeV
Áp dụng định luật bảo toàn năng lượng toàn phần:
2WEK19,42MeV 
mv W9,71MeV
DẠYKÈMQUYNHƠNOFFICIAL + Phương trình phản ứng: 124 623He + Áp dụng định luật bảo toàn năng lượng: 2 2
   + Thay số vào ta tính được: 2 3421 278 He 6,625.10.4.1012.1,66.10.3.10 K 3     22 78 13 He 34,00151,6610310 K6,5610J 3   Chọn đáp án D 41 Lời giải: + Lưọng tia γ phóng xạ lần đầu:  t 10 0 NN1eNt    (áp dụng công thức gần đúng: Khi thì ở đây coi x1  x 1ex  t 1et  + Sau thời gian 2 tháng, một nửa chu kì t = T/2, Lượng phóng xạ trong nguồn phóng xạ sử dụng lần đầu còn ln2Tln2 tT22 00 0 NNeNeNe    + Thời gian chiếu xạ lần này  / ln2 ln2 / t / 2 2 0 0 tNe1eNetN    + Do đó: phút ln2 2/ tet1,41.2028,2  Chọn đáp án A Câu 42. Chọn đáp án C Lời giải: + Ở thời điểm t1: người ta thấy có 60 % số hạt nhân của mẫu bị phân rã thành chất khác nên số hạt nhân còn lại là: 1t T 10 00 NN.240%N0,4N    1t 1 T 1 2tln2,5ln2,5 2,5 tT. Tln2ln2  + Ở thời điểm t2: trong mẫu chỉ còn lại 5 % số hạt nhân phóng xạ nên: 2t T 20 0 0NN25%N0,05N   2t 2 T 2 tln20ln20 220 tT Tln2ln2  Lấy t2 – t1 ta được: 21 21 tttln20ln2,5 tT. 3TT ln2ln2 3          Chọn đáp án C Câu 43. Chọn đáp án C Lời giải: + Năng lượng tỏa ra sau mỗi phân hạch: ΔE = (mU + mn - mI - mY -3mn)c2 = 0,18878uc2 = 175,84857 MeV= 175,85 MeV + Khi 1 phân hạch kích thích ban đầu sau 5 phân hạch dây chuyền số phân hạch xảy ra là
CHeHe h.fm.c3.m.c3K

Chọn đáp án C

Câu 44 C

Câu 45 C

Câu 46 B

Câu 47 B

Câu 48B

Câu 49 C

Câu 50 C

Câu 51 C Câu52 C

DẠYKÈMQUYNHƠNOFFICIAL
1+2 + 4 + 8 + 16 = 31 + Do đó số phân hạch sau 5 phân hạch dây chuyền từ 1010 phân hạch ban đầu: N = 31.1010 + Năng lượng tỏa ra: E = N. ΔE =31.1010.175,85 = 5,45.1013MeV

Hình 14 Câu 3: ( Thầy Ngô Thái Thọ- 2019 ) ( Thầy Ngô Thái Thọ- 2019 ) Lần lượt đặt hai điện áp xoay chiều vào hai đầu đoạn mạch xoay chiều RLC (R là biến trở, L thuần cảm) mắc nối tiếp: 1R2R3R R

uUcosV P(W) 1P 2P O Hình 14

101 1maxP 2maxP

trị nào sau đây nhất? A. 0,96. B. 0,64. C. 0,46. D. 0,69.

Câu4 : ( Thầy Ngô Thái Thọ- 2019 ) ( Thầy Ngô Thái Thọ- 2019 ) Một mạch điện gồm điện trở thuần R = 50Ω, cuộn cảm thuần L và tụ điện có điện dung C thay đổi được mắc nối tiếp. Đặt vào hai đầu đoạn mạch một điện áp xoay chiều u = U√2cos100πt, với U không đổi. Đồ thị biểu diễn sự phụ thuộc của điện áp hiệu dụng UC theo C cho bởi hình bên. Công suất tiêu thụ của mạch khi

11 C

người ta thu được đồ thị công suất toàn mạch P1, P2 theo biến trở R như hình bên. Biết 100 

DẠYKÈMQUYNHƠNOFFICIAL
11
  và 202 22uUcost   V,
Câu 1: ( Thầy Ngô Thái Thọ- 2019 ) ( Thầy Ngô Thái Thọ- 2019 ) Đặt điện áp xoay chiều có giá trị hiệu dụng 100V vào hai đầu đoạn mạch gồm đỉện trở 100 Ω, cuộn dây cảm thuần có độ tự cảm 100 (Ω) và tụ điện có điện dung C thay đổi được . Điều chỉnh C để tổng điện áp (UR + UL + UC) đạt giá trị cực đại, hệ số công suất của đoạn mạch lúc này là A. 0,86. B. 0,70. C. 0,95. D. 0,31. Câu 2: ( Thầy Ngô Thái Thọ- 2019 ) ( Thầy Ngô Thái Thọ- 2019 ) Một học sinh xác định độ tự cảm L bằng cách đặt điện áp u = U0 cosωt (U0 không đổi, ω = 300 rad/s) vào hai đầu một đoạn mạch gồm có cuộn dây thuần cảm mắc nối tiếp với biến trở R. Biết 22222 002 1 U2U2UL R  ; trong đó, điện áp U giữa hai đầu R được đo bằng đồng hồ đo điện đa năng hiện số. Dựa vào kết quả thực nghiệm đo được trên hình vẽ, học sinh này tính được giá trị của L là A. 5,44 H. B. 7,86 H. C. 9,76 H. D. 2,33 H. 13 2RR2R  và 1max 2max
0,0175 0,0135 0,0095 0,0055 0,0015 0,001,002,003,004,00 P3 P2  . Tỉ số 2 1
2 UW   6 2 2 10 R  U U gần giá

A. 800W. B. 400W. C. 3200W. D. 1600W. Câu 5: ( Thầy Ngô Thái Thọ- 2019 ) ( Thầy Ngô Thái Thọ- 2019 ) Một mạch điện AB gồm cuộn cảm thuần có độ tự cảm L thay đổi được, điện trở thuần R và tụ điện có điện dung 4210 C(F) 

mắc nối tiếp theo thứ tự đó. Đặt vào hai đầu A, B một điện áp xoay chiều u = 100√2cos100πt (V). Điều chỉnh L = L1 thì công suất tỏa nhiệt trên R cực đại và bằng 100 W, điều chỉnh L = L2 thì điện áp hiệu dụng giữa 2 đầu đoạn mạch chứa L và R cực đại. Giá trị của L2 gần nhất với giá trị nào sau đây?

A. 0,41 H. B. 0,62 H. C. 0,52 H. D. 0,32 H. A. x = 2cos(20t)(cm). B. x = 4cos(20t + π/2)(cm). C. x = 4cos(20t)(cm). D. x = 2cos(20t + π/2)(cm). Câu 6: ( Thầy Ngô Thái Thọ- 2019 ) ( Thầy Ngô Thái Thọ- 2019 ) Đặt điện áp xoay chiều u = U0cos(100πt + φ) (V) vào hai đầu đoạn A R mạch như hình vẽ. Khi khóa K mở, độ lệch pha giữa điện áp hai đầu tụ điện và hai đầu đoạn là φ1, điện áp hai đầu điện trở là U1. Khi khóa K đóng, các thông số trên lần luợt là φ2 và U2 Biết rằng 12/2 và U1 = 2U2. Hệ số công suất của đoạn mạch AB khi khóa K mở là

A. 0,894. B. 0,447. C. 0,866. D. 0,707. Câu 7: ( Thầy Ngô Thái Thọ- 2019 ) ( Thầy Ngô Thái Thọ- 2019 ) Mạch điện xoay chiều gồm ba phần tử RLC mắc nối tiếp như hình vẽ. Điện trở R = 50 Ω và tụ điện có dung kháng ZC = 100 Ω, cuộn dây thuần cảm có độ tự cảm L thay đổi đuợc. Đặt vào hai đầu AB một hiệu điện

A R M B C L thế xoay chiều ổn định có tần số f và điện áp hiệu dụng u. Điều chỉnh L để cảm kháng là 125 Ω. Tiếp tục tăng giá trị của L thì trong mạch có A. UAM tăng, I giảm. B. UAM giảm, I tăng. C. UAM tăng, I tăng. D. UAM giảm, I giảm. Câu8 : ( Thầy Ngô Thái Thọ- 2019 ) ( Thầy Ngô Thái Thọ- 2019 ) Đặt một điện áp xoay chiều ổn định

DẠYKÈMQUYNHƠNOFFICIAL
A R A L KC Hình 14
có giá trị hiệu dụng 120 V vào hai đầu đoạn mạch nối tiếp gồm điện trở R, tụ điện C và cuộn cảm thuần L. Ở hai đầu cuộn cảm có mắc một khóa K. Khi K mở dòng điện qua mạch là

i tA khi K đóng thì dòng điện qua mạch là 24cos100.    i tA Độ tự cảm L và điện dung C có giá trị A. 11 ; 3  HmF B. 31 ; 103 HmF C. 4310 ; 3  HmF D. 4310 ; 10 HmF Câu9 : ( Thầy Ngô Thái Thọ- 2019 ) ( Thầy Ngô Thái Thọ- 2019 ) Đặt điện áp 2cos

uUt (U không đổi,  có thể thay đổi) vào đoạn mạch gồm điện trở thuần R, cuộn cảm thuần có độ tự cảm L và tụ điện có điện dung C nối tiếp, với 22. CRL Điều chỉnh giá trị của ω để điện áp hiệu dụng giữa hai đầu cuộn dây cực đại, khi đó điện áp hiệu dụng trên hai đầu tụ điện 8 . 15  C UU Hệ số công suất của đoạn mạch có giá trị gần giá trị nào nhất sau đây?

A. 0,6. B. 0,72. C. 0,82. D. 0,65. Câu 10: ( Thầy Ngô Thái Thọ- 2019 ) ( Thầy Ngô Thái Thọ- 2019 ) Nối hai đầu một máy phát điện xoay chiều một pha (bỏ qua điện trở thuần của các cuộn dây máy phát) vào hai đầu đoạn mạch mắc nối tiếp gồm điện trở R và cuộn cảm thuần. Khi roto quay với tốc độ n vòng/phút thì công suất tiêu thụ của đoạn mạch là 16 W. Khi roto quay với tốc độ 2n vòng/phút thì công suất tiêu thụ của đoạn mạch là 20W. Khi roto quay với tốc độ 3n vòng/phút thì công suất tiêu thụ của đoạn mạch xấp xỉ A. 17,33 W. B. 23,42 W. C. 20,97 W. D. 21,76 W. Câu 11: ( Thầy Ngô Thái Thọ- 2019 ) ( Thầy Ngô Thái Thọ- 2019 ) Đặt điện áp 802cos100() 4

tV vào hai đầu đoạn mạch mắc nối tỉếp gồm điện trở 20√3 Ω cuộn cảm thuần và tụ điện có điện dung C thay đổi được. Đỉều chỉnh điện dung đến giá trị C = C0 để

đến nông trại từ một trạm phát, giá trị điện áp hiệu dụng tại trạm phát này là 1000 V, đường dây một pha tải điện đến nông trại có điện trở thuần 20 Ω và máy hạ áp tại nông trại là máy hạ áp lí tưởng. Coi rằng hao phí điện năng chỉ xảy ra trên đường dây tải. Số tối đa bòng đèn mà nông trại có thể sử dụng cùng một lúc để các đèn vẫn sáng bình thường là A. 66. B. 60. C. 64. D. 62. Câu 13: ( Thầy Ngô Thái Thọ- 2019 ) ( Thầy Ngô Thái Thọ- 2019 ) Điện năng được truyền đi từ một máy phát đến một khu dân cư bằng đường dây tải một pha, với hiệu suất truyền tải 90%. Do nhu cầu tiêu thụ điện của khu dân cư tăng 11% nhưng chưa có điều kiện nâng công suất máy

DẠYKÈMQUYNHƠNOFFICIAL
     
142cos100; 6
         u
,
cường độ dòng đỉện trong đoạn mạch là A. 2cos100. 6        i tA B. 22cos100 6         i tA C. 22cos100 12          i tA D. 2cos100 12         i tA Câu 12: ( Thầy Ngô Thái Thọ- 2019 ) ( Thầy Ngô Thái Thọ- 2019 ) Một nông trại dùng các bóng đèn dây tóc loại 200 W – 220 V để thắp sáng và sưởi ấm vườn cây vào ban đêm. Biết điện năng được truyền
điện áp hiệu dụng giữa hai đầu tụ điện đạt giá trị cực đại và bằng 160 V. Giữ nguyên gỉá trị C = C0
biểu thức

phát, người ta dùng máy biến áp để tăng điện áp trước khi truyền đi. Coi hệ số công suất của hệ thống không thay đổi. Tỉ số vòng dây giữa cuộn thứ cấp và cuộn sơ cấp là A. 11. B. 8. C. 9. D. 10. Câu 14: ( Thầy Ngô Thái Thọ- 2019 ) ( Thầy Ngô Thái Thọ- 2019 ) Đoạn mạch xoay chiều với điện áp hai đầu đoạn mạch ổn định có RLC (L thuần cảm) mắc nối tiếp. Biết điện áp hiệu dụng hai đầu đoạn mạch lệch pha là φ = π/6 so với cường độ dòng điện qua mạch. Ở thời điểm t, điện áp tức thời ở hai đầu đoạn mạch chứa LC là 1003LCu V và điện áp tức thời hai đầu điện trở R là uR = 100 V. Điện áp cực đại hai đầu điện trở R là A. 200 V. B. 321,5 V. C. 173,2 V. D. 316,2 V. Câu 15: ( Thầy Ngô Thái Thọ- 2019 ) ( Thầy Ngô Thái Thọ- 2019 ) Cho đoạn mạch RLrC như hình vẽ. Đặt điện áp xoay chiều có giá trị hiệu dụng U không đổi, tần số f không đổi vào hai đầu đoạn mạch. Hình bên là đồ thị biễu điễn sự phụ thuộc của công suất tiêu thụ trên toàn mạch phụ thuộc vào R khi K đóng và K mở. Công suất cực đại trên biến trở khi K mở gần giá trị nào sau đây nhất ? A. 69 W. B. 96 W. C. 100 W. D. 125 W. Câu16 : ( Thầy Ngô Thái Thọ- 2019 ) ( Thầy Ngô Thái Thọ- 2019 ) Đặt điện áp xoay chiều có giá trị hiệu dụng 220 V vào hai đầu hộp đen X thì cường độ dòng điện hiệu dụng trong mạch bằng 0,25 A và sớm pha π/3 so với điện áp giữa hai đầu đoạn mạch. Cũng đặt điện áp đó vào hai đầu hộp đen Y thì thấy cường độ dòng điện hiệu dụng vẫn là 0,25A và dòng điện chậm pha π/6 so với điện áp hai đầu đoạn mạch. Nếu đặt điện áp trên vào đoạn mạch gồm X, Y mắc nối tiếp thì cường độ dòng điện hiệu dụng có giá trị bằng

DẠYKÈMQUYNHƠNOFFICIAL
A. 2 8 A B. 2 4 A C. 2 2 A D. 2A

Câu 17: ( Thầy Ngô Thái Thọ- 2019 ) ( Thầy Ngô Thái Thọ- 2019 ) Xét 4 mạch điện xoay chiều sau: mạch (1) gồm R nối tiếp cuộn dây thuần cảm (L); mạch (2) gồm R nối tiếp tụ C; mạch (3) gồm cuộn dây thuần cảm (L) nối tiếp tụ C; mạch (4) gồm R, L, C nối tiếp. Người ta làm thí nghiệm với một trong bốn mạch điện.

* Thí nghiệm 1: Nối hai đầu mạch vào nguồn điện không đổi thì không có dòng điện trong mạch.

* Thí nghiệm 2: Nối hai đầu mạch vào nguồn điện xoay chiều có u = 100cos(ωt – π/3) V thì có dòng điện chạy qua mạch là i = 5cos(ωt – π/2) A. Người ta đã làm thí nghiệm với mạch điện (có thể) nào?

A. mạch (1) và (4). B. mạch (2) và (4). C. mạch (2) và (3). D. Mạch (4). Câu 18: ( Thầy Ngô Thái Thọ- 2019 ) ( Thầy Ngô Thái Thọ- 2019 ) Một máy biến áp lí tưởng có hai cuộn dây D1 và D2. Khi mắc hai đầu cuộn D1 vào điện áp xoay chiều có giá trị hiệu dụng U thì điện áp hiệu dụng ở hai đầu của cuộn D2 để hở có giá trị là 8 V. Khi mắc hai đầu cuộn D2 vào điện áp xoay chiều có giá trị hiệu dụng U thì điện áp hiệu dụng ở hai đầu của cuộn D1 để hở có giá trị là 2 V. Giá trị U bằng A. 8 V. B. 16 V. C. 6 V. D. 4 V. Câu19 : ( Thầy Ngô Thái Thọ- 2019 ) ( Thầy Ngô Thái Thọ- 2019 ) Đặt điện áp xoay chiều với tần số không đổi vào hai đầu đoạn mạch AB gồm tụ điện có điện dung C, điện trở thuần R và cuộn dây không thuần cảm L được mắc như hình vẽ (các vôn kế lý tưởng). Biết số chỉ cực đại của các vôn kế lần lượt là V01, V02, V03 thỏa mãn 0102032VVV  Hệ số công suất của đoạn mạch AB là 0,5. Hệ số công suất đoạn mạch MB gần giá trị nào sau đây nhất? A. 0,5. B. 0,6. C. 0,7. D. 0,8 Câu 20: ( Thầy Ngô Thái Thọ- 2019 ) ( Thầy Ngô Thái Thọ- 2019 ) Một học sinh làm thí nghiệm

DẠYKÈMQUYNHƠNOFFICIAL
để đo điện dung của tụ điện. Học sinh này mắc nối tiếp biến trở R với tụ điện C thành mạch điện AB, trong đó. Đặt vào hai đầu AB một điện áp xoay chiều u = 10√2cos100πt (V) rồi tiến hành thay đổi biến trở thu được kết quả thí nghiệm được biểu diễn bằng đồ thị như hình vẽ. Với UC là điện áp hiệu dụng giữa hai đầu tụ điện. Giá trị của điện dung C là

A. 168 μF. B. 110 μF. C. 170 μF. D. 106 μF.

Câu 21: ( Thầy Ngô Thái Thọ- 2019 ) ( Thầy Ngô Thái Thọ- 2019 ) Đặt vào hai đầu đoạn chứa biến trở R một nguồn điện ξ = 20V và điện trở trong r. Thay đổi giá trị của biến trở thì thấy đồ thị công suất tiêu thụ trên toàn mạch có dạng như hình vẽ. Công suất tiêu thụ cực đại trên mạch là

A. 10W B. 20W C. 30W D. 40W

Câu 22: ( Thầy Ngô Thái Thọ- 2019 ) ( Thầy Ngô Thái Thọ- 2019 ) Một máy phát điện xoay chiều ba pha đang hoạt động ổn định. Suất điện động trong ba cuộn dây của phần ứng có giá trị e1, e2 và e3 Ở thời điểm mà e1 = 30 V thì 23 ee30V  . Giá trị cực đại của e1 là

A. 40,2 V. B. 51,9V. C. 34,6 V. D. 45,1 V.

Câu 23: ( Thầy Ngô Thái Thọ- 2019 ) ( Thầy Ngô Thái Thọ- 2019 ) Có ba phần tử gồm: điện trở thuần R; cuộn dây có điện trở r = 0,5R; tụ điện C. Mắc ba phần tử song song với nhau và mắc vào một hiệu điện thế không đổi U thì dòng điện trong mạch có cường độ là I. Khi mắc nối tiếp ba phần tử trên và mắc vào nguồn xoay chiều có giá trị hiệu dụng U thì điện áp hiệu dụng trên ba phần tử bằng nhau. Cường độ dòng điện qua mạch lúc đó có giá trị hiệu dụng là A. 0,29I. B. 0,33I. C. 0,25I. D. 0,22I. Câu 24: ( Thầy Ngô Thái Thọ- 2019 ) ( Thầy Ngô Thái Thọ- 2019 ) Cho đoạn mạch gồm điện trở R, cuộn cảm thuần có độ tự cảm L thay đổi được và tụ điện C mắc nối tiếp. Điện áp xoay chiều giữa hai đầu đoạn mạch luôn ổn định. Khi L = L1 thì điện áp hiệu dụng giữa hai bản tụ điện có giá trị lớn nhất, điện áp hiệu dụng giữa hai đầu điện trở R bằng 220 V. Khi L = L2 thì điện áp hiệu dụng giữa hai đầu cuộn cảm có giá trị lớn nhất và bằng 275 V, điện áp hiệu dụng giữa hai đầu điện trở bằng 132 V. Lúc này điện áp hiệu dụng giữa hai bản tụ điện là

DẠYKÈMQUYNHƠNOFFICIAL

A. 99 V. B. 451 V. C. 457 V. D. 96 V.

Câu25 : ( Thầy Ngô Thái Thọ- 2019 ) ( Thầy Ngô Thái Thọ- 2019 ) Điện năng được truyền từ trạm phát điện đến nơi tiêu thụ bằng đường dây tải điện một pha. Ban đầu hiệu suất truyền tải là 80%. Cho công suất truyền đi không đổi và hệ số công suất ở nơi tiêu thụ (cuối đường dây tải điện) luôn bằng 0,8. Để giảm hao phí trên đường dây 4 lần thì cần phải tăng điện điện áp hiệu dụng ở trạm phát điện lên n lần. Giá trị của n là A. 2,1. B. 2,2. C. 2,3. D. 2,0.

, V2 và V3 là các vôn kế xoay chiều có điện trở rất lớn. Điều chỉnh C để tổng số chỉ của ba vốn kế có giá trị cực đại, giá trị cực đại này là A. 248 V. B. 284 V. C. 361 V. D. 316 V. Câu 27: ( Thầy Ngô Thái Thọ- 2019 ) ( Thầy Ngô Thái Thọ- 2019 ) Đặt điện áp xoay chiều có giá trị hiệu dụng 220 V vào hai đầu hộp đen X thì cường độ dòng điện trong mạch có giá trị hiệu dụng bằng 0,25 A và biến thiên cùng pha với điện áp hai đầu đoạn mạch. Nếu đặt điện áp đó vào hai đầu hộp đen Y thì cường độ dòng điện có giá trị hiệu dụng không đổi và biến thiên trễ pha 60° so với điện áp hai đầu đoạn mạch. Nếu đặt điện áp trên vào hai đầu đoạn mạch gồm X, Y mắc nối tiếp thì cường độ dòng điện hiệu dụng trong mạch là A. 0,144 A B. 0,129 A C. 0,125 A D. 0,25 A. Câu 28: ( Thầy Ngô Thái Thọ- 2019 ) ( Thầy Ngô Thái Thọ- 2019 ) Đặt điện áp 9010cos

DẠYKÈMQUYNHƠNOFFICIAL
u1002cos100t 3        (V)
vào hai đầu đoạn mạch gồm điện
cảm thuần có độ tự cảm 1  H và tụ điện có điện dung C thay đổi được. V1
Câu 26: ( Thầy Ngô Thái Thọ- 2019 ) ( Thầy Ngô Thái Thọ- 2019 ) Đặt điện áp xoay chiều
(t tính bằng s)
trở 100 , cuộn
 u t (V) vào hai đầu đoạn mạch mắc nối tiếp theo thứ tự điện trở thuần R, tụ điện có dung kháng ZC = 50 Ω và cuộn cảm thuần có độ tự cảm thay đổi. Khi ZL = ZL1 hoặc ZL = 1155 33 LZ Ω thì điện áp trên cuộn cảm bằng nhau và bằng 270 V. Thay đổi L để điện áp hiệu dụng hai đầu cuộn cảm đạt giá trị cực đại, giá trị cực đại này có giá trị gần nhất với A. 294 V B. 272 V C. 232 V D. 385 V

Câu 29: ( Thầy Ngô Thái Thọ- 2019 ) ( Thầy Ngô Thái Thọ- 2019 ) Đặt điện áp xoay chiều có tần số f và điện áp hiệu dụng U không đổi vào hai đầu đoạn mạch mắc nối tiếp gồm điện trở thuần R, cuộn cảm thuần có độ tự cảm L và tụ điện có điện dung C thay đổi được. Thay đổi C để điện áp hiệu dụng hai đầu R đạt giá trị cực đại là URm thì điện áp hiệu dụng giữa hai bản tụ điện là U1C, với U1C = 0,5URm. Nếu điều chỉnh C để điện áp hiệu dụng giữa hai bản tụ điện đạt giá trị cực đại UCm thì điện áp hiệu dụng hai đầu điện trở là U2R. Tỷ số 2

U U là

cm R

A. 1,24 B. 2,5 C. 1,75 D. 2,24

Câu 30: ( Thầy Ngô Thái Thọ- 2019 ) ( Thầy Ngô Thái Thọ- 2019 ) Cho đoạn mạch AB gồm điện trở thuần R, cuộn cảm thuần có độ tự cảm L thay đổi được và tụ điện có điện dung C theo thứ tự đó mắc nối tiếp. Gọi M là điểm nối giữa R và cuộn cảm; N là điểm nối giữa cuộn cảm và tụ điện. Đặt vào hai đầu đoạn mạch điện áp xoay chiều có giá trị hiệu dụng và tần sô không đổi. Cho L thay đổi, điện áp hiệu dụng hai đầu đoạn mạch AN và MN thay đổi theo đồ thị như hình vẽ. Khi L = L1 + L2 thì hệ số công suất của mạch là

A. 0,96 B. 0,36 C. 0,53 D. 0,86

Câu 31: ( Thầy Ngô Thái Thọ- 2019 ) ( Thầy Ngô Thái Thọ- 2019 ) Điện năng được truyền từ một trạm phát điện đến nơi tiêu thụ bằng đường dây tải điện một pha. Biết đoạn mạch tại nơi tiêu thụ (cuối đường dây tải điện) tiêu thụ điện với công suất không đổi và có hệ số công suất luôn bằng 0,8. Để tăng hiệu suất truyền tải từ 80% lên 90% thì cần tăng điện áp hiệu dụng ở trạm phát điện lên A. 1,46 lần B. 1,38 lần C. 1,41 lần D. 1,33 lần Câu 32: ( Thầy Ngô Thái Thọ- 2019 ) ( Thầy Ngô Thái Thọ- 2019 ) Một trạm phát điện truyền đi với công suất 100 kW, điện trở đường dây tải điện là 8 Ω. Điện áp ở hai đầu trạm là 1000V. Nối hai cực của trạm với một biến thế có tỉ số vòng dây cuộn sơ cấp và cuộn thứ cấp N1/N2 = 0,1. Cho rằng hao phí trong máy biến áp không đáng kể, hệ số công suất máy biến áp bằng 1. Hiệu suất tải điện của trạm khi có máy biến áp là A. 99% B. 90% C. 99,2% D. 92%

DẠYKÈMQUYNHƠNOFFICIAL

Câu33 : ( Thầy Ngô Thái Thọ- 2019 ) ( Thầy Ngô Thái Thọ- 2019 ) Đặt điện áp xoay chiều có giá trị hiệu dụng và tần số không đổi vào hai đầu đoạn mạch mắc nối tiếp theo thứ tự gồm biến trở R, cuộn cảm thuần L và tụ điện C. Gọi URL là điện áp hiệu dụng giữa hai đầu đoạn mạch gồm R và L, UC là điện áp hiệu dụng ở hai đầu tụ điện C. Hình bên là đồ thị biểu diễn sư phụ thuộc của URL và UC theo giá trị biến trở R. Khi giá trị của R bằng 80 Ω thì điện áp hiệu dụng ở hai đầu biến trở có giá trị là A. 160 V B. 180 V C. 120 V D. 140 V Câu 34: ( Thầy Ngô Thái Thọ- 2019 ) ( Thầy Ngô Thái Thọ- 2019 ) Đặt điện áp u = 40cos100 6

(V) vào hai đầu đoạn mạch AB như hình bên, trong đó tụ điện có điện dung C thay đổi được. Khi C = C0 thì tổng trở của đoạn mạch AB đạt giá trị cực tiểu và điện áp cực đại giữa hai đầu đoạn mạch AN là 80 V. Khi C = 0,5C0 thì biểu thức điện áp giữa hai đầu tụ điện là

DẠYKÈMQUYNHƠNOFFICIAL
   
 
A. 403cos100() 2          Cu tV B. 
  Cu tV C. 203cos100(). 2          Cu tV D. 
  Cu tV Câu35 : ( Thầy Ngô Thái Thọ- 2019 ) ( Thầy Ngô Thái Thọ- 2019 ) Đặt điện áp u80cos100t 4       (V) vào hai đầu đoạn mạch mắc nối tiếp gồm điện trở 20√3 Ω, cuộn cảm thuần và tụ điện có điện dung C thay đổi được. Điều chỉnh điện dung đến giá trị C = Co để điện áp hiệu dụng giữa hai đầu tụ điện đạt giá trị cực đại và bằng 80√2 V. Giữ nguyên giá trị C = Co, biểu thức cường độ dòng điện trong mạch là A. i2cos100A 6     B. i22cos100A 6      C. i22cos100 A 12      D. i2cos100 A 12    

t
203cos100()
403cos100().

Câu36 : ( Thầy Ngô Thái Thọ- 2019 ) ( Thầy Ngô Thái Thọ- 2019 ) Đặt điện áp uU2cost   (U và ω không đổi) vào hai đầu đoạn mạch AB. Hình bên là sơ đồ mạch điên và một phần đồ thị biểu diễn sự phụ thuộc của điện áp uMB giữa hai điểm M, B theo thời gian t khi K mở và khi K đóng. Biết điện trở R = 2r. Giá trị của U là

A. 193,2V B. 187,1V C. 136,6V D. 122,5V Câu 37: ( Thầy Ngô Thái Thọ- 2019 ) ( Thầy Ngô Thái Thọ- 2019 ) Đặt điện áp xoay chiều có giá trị hiệu dụng và tần số không đổi vào hai đầu đoạn mạch gồm điện trở thuần, cuộn cảm thuần và tụ điện mắc nối tiếp. Điện dung C của tụ có thể thay đổi được. Khi C = C1 thì điện áp hiệu dụng giữa hai đầu tụ điện là 40√3 V và trễ pha hơn điện áp hai đầu đoạn mạch một góc φ1. Khi C = C2 thì điện áp hiệu dụng giữa hai đầu tụ điện là 40√3 V và trễ pha hơn so với điện áp hai đầu đoạn mạch một góc φ2 = φ1 + π/3. Khi C = C3 thì điện áp hiệu dụng ở hai đầu tụ điện đạt cực đại và công suất bằng 50 % công suất cực đại của mạch. Điện áp hiệu dụng ở hai đầu đoạn mạch có giá trị A. 80√2 V. B. 40 V. C. 40√2 V. D. 80 V.

Câu 38: ( Thầy Ngô Thái Thọ- 2019 ) ( Thầy Ngô Thái Thọ- 2019 ) Một học sinh làm thí nghiệm để đo điện dung của tụ điện. Học sinh này mắc nối tiếp biến trở R với tụ điện C thành mạch điện AB. Đặt vào hai đầu AB một điện áp xoay chiều u = 10√2cos100πt (V) rồi tiến hành thay đổi biến trở thì thu được kết quả thí nghiệm được biểu diễn bằng đồ thị như hình vẽ, với UC là điện áp hai đầu tụ điện. Giá trị của điện dung C là

DẠYKÈMQUYNHƠNOFFICIAL
A. 168 μF. B. 170
C.
D.
Câu 39: ( Thầy Ngô
trạm hạ áp cung
điện cho một xưởng sản
220 V mắc
μF.
106 μF.
110 μF.
Thái Thọ- 2019 ) ( Thầy Ngô Thái Thọ- 2019 ) Một
cấp
xuất để thắp sáng các đèn dây tóc cùng loại có hiệu điện thế định mức
song song. Nếu dung 500 bóng thì tất cả đều sáng bình thường. Nếu dùng 2500 bóng thì công suất hao phí tăng lên 9 lần. Coi dòng điện luôn cùng pha với điện áp, hiệu điện thế nơi trạm phát cung cấp luôn không đổi. Hiệu suất truyền tải điện lúc đầu có giá trị gần nhất là

A. 90%. B. 85%. C. 60%. D. 95%.

Câu 40: ( Thầy Ngô Thái Thọ- 2019 ) ( Thầy Ngô Thái Thọ- 2019 ) Đặt điện áp xoay chiều 1502cos100u t

(V) vào hai đầu đoạn mạch AB nối tiếp gồm điện trở R, cuộn cảm thuần có độ tự cảm L và tụ điện có điện dung C thay đổi được. Hình vẽ là đồ thị biểu diễn sự phụ thuộc C của dung kháng ZC (Ω) của tụ và tổng trở Z (Ω) của mạch AB. Khi dung kháng của tụ là ZC1 thì điện áp hiệu dụng trên tụ là

A. 300 V. B. 200 V. C. 224,5 V. D. 112,5 V. Câu41 : ( Thầy Ngô Thái Thọ- 2019 ) ( Thầy Ngô Thái Thọ- 2019 ) Đặt điện áp u 90 2 cos100

(t tính bằng s) vào hai đầu đoạn mạch nối tiếp theo thứ tự gồm điện trở thuần 80 Ω, cuộn dây có điện trở trong 10 Ω và một tụ điện có điện dung C thay đổi. Khi thay đổi C thì thấy điện áp hiệu dụng hai đầu đoạn mạch gồm cuộn dây nối tiếp với tụ điện C sẽ A. đạt giá trị cực tiểu là 10 V. B. đạt giá trị cực đại là 10 V. C. luôn luôn tăng. D. luôn luôn giảm. Câu 42: ( Thầy Ngô Thái Thọ- 2019 ) ( Thầy Ngô Thái Thọ- 2019 ) Bằng đường dây truyền tải một pha , điện năng từ 1 nhà máy phát điện nhỏ được đưa đến 1 khu tái định cư. Biết rằng nếu tăng điện áp truyền đi từ U đến 2U thì số hộ dân được nhà máy cung cấp đủ điện năng tăng từ 36 lên 144. Biết rằng chỉ có hao phí trên đường dây là đáng kể, các hộ dân tiêu thụ điện năng như nhau. Khi điện áp truyền đi là 3U, nhà máy cung cấp đủ điện năng cho A. 324 hộ dân. B. 252 hộ dân. C. 180 hộ dân. D. 164 hộ dân. Câu 43: ( Thầy Ngô Thái Thọ- 2019 ) ( Thầy Ngô Thái Thọ- 2019 ) Đặt điện áp xoay chiều có tần số ω thay đổi được vào hai đầu đoạn mạch RLC nối tiếp. Khi ω thay đổi thì một giá trị ω0 làm cho cường

DẠYKÈMQUYNHƠNOFFICIAL
ω2 = 60π (rad/s) thì cường
2
của cuôn dây là A. 2 H  B 1 H  C. 3 H  D. 4 H 
 
độ hiệu dụng trong mạch đạt giá trị cực đại là Imax và hai giá trị ω1 và ω2 với ω1
độ hiệu dụng trong mạch đều bằng max
I . Biết R = 60 Ω. Độ tự cảm

Câu 44: ( Thầy Ngô Thái Thọ- 2019 ) ( Thầy Ngô Thái Thọ- 2019 ) Đặt điện áp xoay chiều có giá trị hiệu dụng U và tần số không đổi vào hai đầu đoạn mạch AB như hình vẽ. Đồ thị biểu diễn một phần sự phụ thuộc điện áp uMB giữa hai điểm M, B theo thời gian khi k mở và k đóng. Biết điện trở R = 2r. Giá trị của U là

A. 193,2 V. B. 187,1 V. C. 136,6 V. D. 122,5 V. Câu 45: ( Thầy Ngô Thái Thọ- 2019 ) ( Thầy Ngô Thái Thọ- 2019 ) Bằng một đường dây truyền tải, điện năng từ một nhà máy phát điện nhỏ có công suất không đổi được đưa đến một xưởng sản xuất. Nếu tại nhà máy điện, dùng máy biến áp có tỉ số vòng dây của cuộn thứ cấp và cuộn sơ cấp là 5 thì tại nơi sử dụng sẽ cung cấp đủ điện năng cho 80 máy hoạt động. Nếu dùng máy biến áp có tỉ số vòng dây của cuộn thứ cấp và cuộn sơ cấp là 10 thì tại nơi sử dụng cung cấp đủ điện năng cho 95 máy hoạt động. Nếu đặt xưởng sản xuất tại nhà máy điện thì cung cấp đủ điện năng cho bao nhiêu máy?

A. 90. B. 100. C. 85. D. 105. Câu 46: ( Thầy Ngô Thái Thọ- 2019 ) ( Thầy Ngô Thái Thọ- 2019 ) Đặt điện áp xoay chiều có giá trị hiệu dụng không đổi vào hai đầu đoạn mạch gồm biến trở R mắc nối tiếp với tụ điện. Dung kháng của tụ điện là 100 Ω. Khi điều chỉnh R thì tại hai giá trị R1 và R2 công suất tiêu thụ của đoạn mạch như nhau. Biết điện áp hiệu dụng giữa hai đầu tụ điện khi R = R1 bằng hai lần điện áp hiệu dụng giữa hai đầu tụ điện khi R = R2. Các giá trị R1 và R2 là A. 50 Ω và 100 Ω. B. 200 Ω và 50 Ω. C. 50 Ω và 200 Ω. D. 100 Ω và 50 Ω. Câu 47: ( Thầy Ngô Thái Thọ- 2019 ) ( Thầy Ngô Thái Thọ- 2019 ) Một động cơ điện xoay chiều có điện trở dây cuốn là 32 Ω, mạch điện có điện áp hiệu dụng 200 V thì sản ra công suất cơ học 43 W. Biết hệ số công suất của động cơ là 0,9 và công suất hao phí nhỏ hơn công suất cơ học. Cường

nối tiếp, cuộn dây có điện trở r. Đặt vào hai đầu đoạn mạch một điện áp xoay chiều

hiệu dụng không đổi, tần số f = 50 Hz. Cho điện dung C thay đổi người ta thu được

hệ giữa điện áp hiệu dụng hai đầu mạch chứa cuộn dây và tụ điện UrLC với điện dung

điện như hình vẽ phía dưới. Điện trở r có giá trị bằng

DẠYKÈMQUYNHƠNOFFICIAL
A. 0,25 A.
48: ( Thầy
C theo
đồ thị
độ dòng hiệu dụng chạy qua động cơ là
B. 5,375 A. C. 0,225 A. D. 17,3 A. Câu
Ngô Thái Thọ- 2019 ) ( Thầy Ngô Thái Thọ- 2019 ) Cho mạch điện gồm R, L và
thứ tự
có giá trị
liên
C của tụ

A. 50 Ω. B. 30 Ω. C. 90 Ω. D. 120 Ω. Câu 49: ( Thầy Ngô Thái Thọ- 2019 ) ( Thầy Ngô Thái Thọ- 2019 ) Một đoạn mạch RLC nối tiếp được mắc vào hai cực của máy phát điện xoay chiều một pha có rôto là một nam châm điện có một cặp cực. Bỏ qua điện trở của cuộn dây máy phát. Khi rôto quay với tốc độ n1 (vòng/s) hoặc n2 (vòng/s) thì cường độ hiệu dụng trong mạch có giá trị bằng nhau và đồ thị biểu diễn suất điện động xoay chiều do máy phát ra theo thời gian được cho như hình vẽ. Khi rôto quay với tốc độ n0 (vòng/s) thì cường độ hiệu dụng trong mạch đạt cực đại. Giá trị n0 gần giá trị nào nhất sau đây?

A. 41 (vòng/s). B. 59 (vòng/s). C. 61 (vòng/s). D. 63 (vòng/s). Câu 50: ( Thầy Ngô Thái Thọ- 2019 ) ( Thầy Ngô Thái Thọ- 2019 ) Cho mạch điện gồm điện trở, tụ điện và cuộn cảm thuần có độ tự cảm L mắc nối tiếp trong đó L có thể thay đổi được. Hiệu điện thế hiệu dụng hai đầu mạch là U = 100V. Khi L = L1 thì hiệu điện thế hai đầu cuộn cảm đạt giá trị cực đại ULmax và hiệu điện thế hai đầu đoạn mạch nhanh pha hơn dòng điện là α (0 < α < π/2). Khi L = L2 thì hiệu điện thế hai đầu cuộn cảm bằng Lmax 3 U 2 và hiệu điện thế hai đầu đoạn mạch nhanh pha hơn dòng điện là 0,25α. ULmax có giá trị gần với giá trị nào nhất sau đây? A. 120V. B. 190V. C. 155V. D. 220V. Câu 51: ( Thầy Ngô Thái Thọ- 2019 ) ( Thầy Ngô Thái Thọ- 2019 ) Cho đoạn mạch AB gồm đoạn mạch AM nối tiếp MB. Đoạn mạch AM gồm điện trở R nối tiếp với tụ điện có điện dung C, đoạn mạch MB có cuộn cảm có độ tự cảm L và điện trở r. Đặt vào AB một điện áp xoay chiều u = U√2cosωt (V). Biết L Rr C  điện áp hiệu dụng giữa hai đầu MB lớn gấp n = √3 lần điện áp giữa hai đầu AM. Hệ số công suất của đoạn mạch có giá trị là A. 0,087. B. 0,755. C. 0,866. D. 0,975. Câu 52: ( Thầy Ngô Thái Thọ- 2019 ) ( Thầy Ngô Thái Thọ- 2019 ) Cần truyền tải công suất điện P với điện áp nhất định từ nhà máy điện đến nơi tiêu thụ bằng dây dẫn có đường kính dây là

DẠYKÈMQUYNHƠNOFFICIAL

d. Thay thế dây truyền tải bằng một dây khác có cùng chất liệu nhưng đường kính 2d thì hiệu suất truyền tải là 91%. Biết hệ số công suất bằng 1. Khi thay thế dây truyền tải bằng loại dây cùng chất liệu nhưng có đường kính 3d thì hiệu suất truyền tải điện khi đó là A. 92% B. 94% C. 95% D. 96%

Câu 53: ( Thầy Ngô Thái Thọ- 2019 ) ( Thầy Ngô Thái Thọ- 2019 ) Đoạn mạch AB gồm hai đoạn mạch AM và MB nối tiếp: + Đoạn mạch AM chứa hai phần tử X, Y mắc nối tiếp (trong đó X, Y có thể là điện trở thuần R, cuộn cảm thuần L hoặc tụ điện C). + Đoạn mạch MB chứa điện trở thuần 30Ω và cuộn cảm thuần có độ tự cảm 0,3H  mắc nối tiếp. Đặt vào hai đầu đoạn mạch AB điện áp xoay chiều có tần số 50 Hz ta thu được đồ thị biểu diễn sự phụ thuộc vào thời gian của điện áp hai đầu đoạn mạch AM và điện áp hai đầu đoạn mạch MB như hình vẽ. Các phần tử X và Y là

. 310 902; 92 R CF

90,9 0; RCF



 D. 310 90; 9 RCF



54: ( Thầy Ngô Thái Thọ- 2019 ) ( Thầy Ngô Thái Thọ- 2019 ) Đoạn mạch AM nối tiếp với MB, trên AM có cuộn dây có điện trở thuần r = 5Ω và hệ số tự cảm 1 20 LH   trên MB gồm R = 10Ω nối tiếp với tụ có điện dung 310 CF   đặt vào hai đầu đoạn mạch một hiệu điện thế xoay chiều có điện áp hiệu dụng không đổi và tần số 50 Hz. Tại thời điểm t điện áp tức thời trên AM là 10V thì điện áp tức thời trên MB là 20 V. Điện áp cực đại hai đầu đoạn mạch là A. 100 V. B. 100√2 V. C. 10√10 V. D. 20√5 V. Câu 55: ( Thầy Ngô Thái Thọ- 2019 ) ( Thầy Ngô Thái Thọ- 2019 ) Đoạn mạch xoay chiều gồm điện trở thuần R, L, C mắc nối tiếp cuộn dây thuần cảm. Đặt vào hai đầu đoạn mạch hiệu điện thế xoay chiều u = 200√2 cosωt V, với ω có thể thay đổi đượC. Khi ω = ω1 = 100π rad/s thì cường độ dòng điện trong mạch sớm pha π/6 so với hiệu điện thế hai đầu mạch và có giá trị hiệu dụng là 1A. Khi ω = ω2 = 3ω1 thì dòng điện trong mạch cũng có giá trị hiệu dụng là 1A. Tính hệ số

DẠYKÈMQUYNHƠNOFFICIAL
A.
A. 90,92 02;.R CF   B.
C
Câu
tự cảm của cuộn dây
1,5/π H B. 2/π H C. 0,5/π H D. 1/π H

Câu56 : ( Thầy Ngô Thái Thọ- 2019 ) ( Thầy Ngô Thái Thọ- 2019 ) Một đoạn mạch xoay chiều gồm một điện trở R, một cuộn thuần cảm có hệ số tự cảm thay đổi đượcvà một tụ điện C mắc nối tiếp. Đặt vào hai đầu đoạn mạch một điện áp xoay chiều Điều chỉnh 0cos()uUtV 

hệ số tự cảm của cuộn tự cảm thì đồ thị tổng trở Z của đoạn mạch biến thiên theo cảm kháng ZL của cuộn cảm được mô tả như hình vẽ. Giá trị Z1 của tổng trở là A. 50Ω.

DẠYKÈMQUYNHƠNOFFICIAL
B. 120 Ω C. 80Ω. D. 70Ω. LỜI GIẢI: Câu 1 Đáp án C + Áp dụng công thức độc đáo đã được chứng minh: Khi C thay đổi để   RLCmaxUUU  thì RL 0 1 13tan tan   0 0 L 11 1 tanZcoscosarctan0,95 3 3 12 R           * Chứng minh công thức bài toán C thay đổi để tổng điện áp   RLC UUU đạt cực đại: C thay đổi ZC đóng vai trò là biến số. Xuất phát từ công thức    LC RLC LC 2 2 LC RZZ U UUURZZU. Z RZZ   
DẠYKÈMQUYNHƠNOFFICIAL + Đặt  LC RLC 2 2 LC RZZ yUUUyU. 1 RZZ     LCLC CL ZZZRtan Z tan 2 RZZRtan        + Thay (2) vào (1):    LC L L 2 222 2 LC RZZR2ZRtanU yU. U. R2ZcosRsin RRRtanRZZ           22 C L UR2ZR R y cos;tan R R2Z     + 22 L max 0 max UR2ZR y yR   khi RL 0 1 12tan tan   maxy được biến đổi về dạng góc như sau:   2 2 L max RL 2Z yU11U12tan1 R     0 được đưa về dạng đại số như sau: 2 L RL C0 L 0 LC0 L R2Z 1 R R 12tan Z Z tan ZZRR2Z        Kết quả: * Viết dưới dạng đại số:  22 L RLCmax UR2ZR UUU R   với 2 C0 L L R Z Z R2Z    * Viết dưới dạng góc:   2 RLC RL max UUUU12tan  khi RL 0 1 12tan tan   Câu 2. Đáp án A + 22222 222 00 0L 2 2 1 1 U2U2ULU2U1Z. R R        + Trên đồ thị ta chọn hai điểm:   26 6 2 1 ;U10:0,00552.10:0,0095 R     
DẠYKÈMQUYNHƠNOFFICIAL   26 2L 0 26 26 L L L 2 26 0 L 2 0,00551Z110 U 1Z10 2 0,00550,00951Z.2.10 Z1633 U 0,00951Z.2.10             + L Z1633 L5,44H 300   Câu 3. Chọn đáp án D  3LC12LC2 2 22 2 LC13 1 21 max 1max 2 LC LC1LC22LC22 RZ;RZ ZRUUUU 3 33 PP . .1 2Z2Z22ZU2Z2R          + Tại  22 2 22 22 131121121 112max22222 2 1LC1LC2132221 RRURUURUU RRPP 2 RZ2ZRR2RU2.R.R       + Từ (1) và (2): 22 22133 13131 3 212 RR3R 35 RR3RRRR 2RR2R 2   + Mà 3 132 332 2 R 35 4 RR2RRR2R 2 R55   + Kết hợp với (1): 1 1 2 2 U3U 4 0,68 U2U 55   Câu 4.A C thay đổi để UC đạt cực đại thì 22 1 1 125100    L C L L ZR Z Z ZC Khi 11 100 C thì 100  C LZZ Mạch xảy ra cộng hưởng 22 max 200 800. 50  U PP W R Câu 5 A Ta có: ZC = 50 Ω. Khi L = L1 thì ta có: 2 2 100100. 100 Max U U P R R Tại L = L2 thì ta có:
DẠYKÈMQUYNHƠNOFFICIAL 22 22 max2 450504.100 2 2     CC RL L ZZR UZ 2 2525170,41. LH Câu 6. Chọn đáp án A Như vậy ta thấy cường độ dòng điện trong hai trường hợp vuông pha nhau, ta có: 2 tantan1 1 1 LLC dm LCL ZZZ RZZZ RR   + 1222222 m d md dm m d UU UUIRIRII ZZ ZZ     2 2 222 222 2 2 2 2 44 34 02 L LC L LC LCL RZRZZRZRZZ RZZZ     Kết hợp (1) với (2)  2 2 2 2244 4 2 2 2 340340 340222,5 os 0,894 L L L L L L L L C m LC R R ZRZRZ Z ZZ Z ZRZR RR R R c RZZ               Câu 7. Chọn đáp án A + Ban đầu 125L C Z Z => Mạch đang có tính cảm kháng. + Tăng L => LZ tăng =>  LCZZ tăng => Z tăng => I giảm. +Mạch RLC có L thay đổi, LU cực đại khi và chỉ khi: 22 125C L C RZ Z Z    +Như vậy ban đầu UL đang cực đại. Như vậy ban đầu L đang ở giá trị để UL max => Tăng L thì UL giảm (hay UAM giảm) Câu 8 B Khi K mở thì mạch gồm R, L, C nối tiếp. Khi K đóng thì mạch chỉ gồm R, C.
DẠYKÈMQUYNHƠNOFFICIAL 1 1 120 30 4  U Z I   2 2 22 22 30  LC LCZRZZRZZ 2 22 2 2 120302(302) 22  C U Z R Z I 2 2 2 2 30 302   LC C ZZ Z 229000 LLCZZZ (1) Thử đáp án ta nhận thấy với ZC = 30 Ω => ZL = 30 Ω. Vậy 31 ; 103     LHCmF Các đáp án khác
thỏa mãn. Câu
Chuẩn
U = 1 Ta có maxLU khi ω thay đổi 22217 15  L CLUUUU 1 tan.tan 2 RC 14 25   CCL R R R UUU U UU 2 2 4 5 cos 0,8. 4178 51515       R Z Câu 10.C Ta có: E = ωΦ = 2πfΦ = 2π.np.Φ => E tỉ lệ thuận với n. ZL = ωL = 2πf.L = 2π.np.L => E tỉ lệ thuận với n. 2 1 2 2 En En 3 1 3 3 En En 2131 2 2 2 22 22 2;3        L LL L EU L L ZZZZ E E PRIR PR RZ RZ
không
9.C
hóa
DẠYKÈMQUYNHƠNOFFICIAL 2 2 2  E PRIR Z 222 22 2212 1 22 22 1121 2 .     L L PEZERZ PEZERZ 22 2122 1 22 2 20 4 2 17 11     L L L RZ RZ RZ 22222 333 1 1 22222 1313 . 1     L L PEEZRZ PEZERZ 2 1 2 3 22 1 4 1 111 63420,97 3 11       L L Z P W Z Câu 11.C Cách 1: Khi C thay đổi để UCmax ta có max 0 0 0 80 3 160 4 1 1   SHIFTSOLVEL C C L L C C Z U U Z Z Z Z Z 0 4 3  C LZZ 2 2 22 0 0 4203 6080 3      L L C L L C L L Z RZ Z Z Z Z Z Z 802 422 12203(6080)       u i Z i Cách 2: max 0 0 0 0 0 0 0 0 80 11 160sin sinsin 22612 8021 cos.cosarcsin2222cos100() 2 12 203                                      C u U U U I i tV R Câu 12 D *Gọi công suất phát là P0, số bóng đèn điện là n thì khi đó 2 2 0 0 0 2 6 20020020020 10  tt P P PPPnPnRn U
DẠYKÈMQUYNHƠNOFFICIAL 26 6 12 6 00 201020010010420200100    PP n n 62,5. n Câu 13.D Từ công thức tính phần trăm hao phí: 2 1 2 1 2 1 1 1 PUH RP hH PUUH   (1) 1 1 21 211 2 1,110,999 0,111,11 tt tttt tt tt P H P HH PPPP H PPP          Thay vào 2 22 1 11 10,91010. 10,999 U NU U NU   Chú ý: Ptt công suất tiêu thụ. Câu 14 D 0 0 0 1 tan 6 33 LC R LC R U U U U     2 22 2 0 0 0 0 1003100 1 1. /3 LC R LCR LC R R R uu uu UU U U                    0316.R UV Câu 15.D Từ đồ thị ta có: 2 2 0 0 22 22 () 0 () R LC LC U rU PRr P RrZ rZ       (Đường trên khi K mở, đường dưới là khi K đóng). 2 2 2max 2max 200 2.200 2 C C C U R ZP UZPV Z  

UU I A ZZ

Câu16: Chọn đáp án A. *Khi mắc vào hộp X: 220 880 0,25 X U Z I  *Khi mắc vào hộp Y: 220 880 0,25 X U Z I  *Khi hộp X và Y mắc nối tiếp với nhau , vẽ giản đồ vectơ trượt. Từ giản đồ suy ra ΔAMB vuông cân tại M. 220 1002 22XY U UU V Cường độ dòng điện lúc này: 11022 8808 XY XY

Câu 17: Chọn đáp án D.

Thí nghiệm 1. Nối hai đầu đoạn mạch vào nguồn điện không đổi thì không có dòng điện trong mạch tức là đoạn mạch đó chắc chắn chứa tụ điện có điện dung C. Loại mạch (1).

DẠYKÈMQUYNHƠNOFFICIAL
1
50
LC
    50
222
max0
R LC PRrZrrR 2 max 0
2()R U P W
  
2 2
1max 1 200
200 2()2(50)
U RZZrP Rr r 
r 
2
1 ()505
124
Rr


* Thí nghiệm 2: Nối hai đầu mạch vào nguồn điện xoay chiều có 100cos 3 u tV      thì có

dòng điện chạy qua mạch là 5cos 2 itA      . Đoạn mạch này có i trễ hơn u một góc 6 

nên đoạn mạch có tính cảm kháng nên loại mạch (2) vì mạch (2) có tính dung kháng. Loại mạch (3) vì u và i ngược pha. Mạch (4) chứa RLC có thể thỏa mãn nếu ZL > ZC

DẠYKÈMQUYNHƠNOFFICIAL
1 2 11 2 22 1 8 .14 82 2 UD D UD UU UV UDUD D         
Các vôn kế đo được giá trị hiệu dụng. Ta có tan L MB Z Rr  và cosAB Rr Z   0102032 2....2 C RrL CRrLVVVZIZIZIZZZ  2 222 2() 1C L C L Z Z Z ZZRrZ RrRrRr     Hay 2 2 2 2 1 1tan ()/ cos C L MB AB Z Z RrRrZRr           tan LC C L AB ZZZZ RrRrRr   2 2 tantan 1tan cos MB AB MB AB       Thay số 2 2 tan1tantan cos MB MB AB AB      Dùng chức năng SHIFT- SOLVE với biến số tanMB X ta tính được tan2,78cos0,3386 MB MB    Câu 20: Chọn D
Câu 18: Chọn D
Câu 19: Chọn A
DẠYKÈMQUYNHƠNOFFICIAL max 22 0 ...(1) 0 C CCC C C C RUU UU UZIZZ RUZRZ       (1) 22 .10 4066 40 C C C Z RUV Z   4 6 301,061010610106CZ C F FF     Câu 21: Chọn B Công suất tiêu thụ trên toàn mạch  2 2 2 PRPR2rPRPr0 Rr         Hai giá trị của R cho cùng công suất tiêu thụ trên mạch thỏa mãn 2 12 RRr  Công suất tiêu thị cực đại
22 max 12 UU P
4r4RR  
của mạch:
20W.
Suất điện động trong
cuộn
10 20 30 eEcost 2 eEcost 3 2 eEcost 3                             230 0 22 2 eeEcostcost2Esintsin 33 3                          Theo giả thiết của bài toán  23 0 2 ee30V2Esintsin30 3     Kết hợp 10 0 eEcost30E203V  
Câu 22: Chọn C
các
dây có dạng:

Câu 23: Chọn D

Khi mắc song song 3 phần tử này với nhau vào điện áp không đổi U khi đó cuộn cảm đóng vai trò là điện trở thuần r = 0,5R, tụ điện không cho dòng đi qua. U3URI I U R0,5RR3 R0,5R

Khi mắc nối tiếp 3 phần tử này vào nguồn điện áp xoay chiều có điện áp hiệu dụng U thì điện áp trên các đoạn mạch là bằng nhau

DẠYKÈMQUYNHƠNOFFICIAL
  
2 22 22 LC L L RR3 RZrZRZZ 22     2 2 2 2 LC R3 Z(Rr)(ZZ)(R0,5R)R 2         
 Dòng điện
URI/3
ZR43   Câu
Khi
Khi
Áp
2 2 LCL C C
 
ZR43
hiệu dụng trong mạch:
I' 0,22I.
24: Chọn A
L = L1, UC max => mạch xảy ra cộng hưởng UR = U = 220V.
L = L2, UL max => u vuông pha với uRC. Ta có giản đồ vecto:
dụng hệ thức lượng trong tam giác:
UUUU(275U).275220U99V.
DẠYKÈMQUYNHƠNOFFICIAL Câu 25: Chọn đáp án A. Hao phí ban đầu là: DP1 = 20%Pphát => hao phí lúc sau là ΔP2 = 5%Pphát với Pphát = P. 2 11 1 1 2 2 22 4 . 22 PI I U I U PI      Coi ΔU1 = 1 V => ΔU2 = 0,5 V, điện áp trạm phát ban đầu U1, lúc sau U2. Ban đầu, H = 0,8 => 1 11 1 1 1 11 1 0,80,80,855. 0,20,2 tt tt tt tt PPUIPU UV PPUPPU              22 1 1112...0,834. tt tt UUUUU V Lúc sau, H = 0,95 => 2 22 2 22 0,95.0,80,95 0,050,05 tt tt PPUI P PPUIP            1 1 1 23,7511,875.tt tt U UV U   22 222222...0,812,28 tt tt UUUUU V Từ đó ta có: n = 2 1 2,1 U U  Câu 26: Chọn đáp án D.

URZZ Z fZ RZZ Z  

Ta có: V1 + V2 + V3 =    2 2 22 2 100(200) ()100(100) LC C C LC C

Xét f(ZC) với ZC > 0, có 400 '()0. 3 C CfZZ

Khảo sát hàm f(ZC) ta có được max tại ZC = 400 3 => Giá trị cực đại cần tìm là 10010316V

Ngoài ra có thể dùng phương pháp tìm cực trị bằng toán học.

Câu 27: Chọn đáp án A.

Vì mắc vào hai đầu hộp đen X thì cường độ dòng điện trong mạch biến thiên cùng pha với điện áp hai đầu đoạn mạch nên ta có thể xem như hộp đen X chỉ có R để giải.

Khi đó 880.  U R I

220220 0,25 '440;4403 '2' 220 0,144 (')(880440)440.3      L

   L L I RZ RRZ Khi mắc điện áp U I A RRZ Câu 28: Chọn đáp án B. Vì khi ZL = ZL1 hoặc ZL = 1155 33 LZ thì điện áp trên cuộn cảm bằng nhau và bằng 270 V nên ta có: 2222 22 12 11

12 1 10013100 50 15550         C LL C LL

Z ZZRZR ZZR (1) Và:  1 1 2 2 2 2 1 1

. 905. 270 50     L L LC L

UZ Z RZZRZ (2)

DẠYKÈMQUYNHƠNOFFICIAL
   
Mặt khác: Khi mắc vào Y thì cường độ dòng điện trong mạch biến thiên trễ pha 60° so với điện áp hai đầu đoạn mạch nên ta có thể xem như hộp đen Y chỉ có R’ và ZL để giải. Khi đó: 0tan60 3' '  L L Z ZR R và 22 trên vào hai đầu đoạn mạch gồm X, Y mắc nối tiếp thì ta có: 1 22 22
DẠYKÈMQUYNHƠNOFFICIAL  1 102691:(2)1303   LZ R 22 0 272    C L URZ U V R Câu 29: Chọn đáp án B. +) Khi điện áp hiệu dụng 2 đầu R đạt cực đại: 2 2 .    R Rm LC UR U UU RZZ khi  LCZZ  1 2 2 2 22    C LRm L C LC UZUU Z UZ U R R RZZ +) Khi điện áp hiệu dụng giữa 2 bản tụ điện cực đại: 2222 4 2,5. 2      L Cm L RZRR Z R Z R 22 5    L Cm URZ U U R  2 22 2 2 . .25 . 5(22,5)      R LCm UR UR U U RRRRZZ 2 2,5 Cm R U U Câu 30: Chọn đáp án B. ;  MNLANRL uuuuu Khi L = 0 (H) +) 0;  L ANRUUU Suy ra đường màu xanh trên đồ thị biểu diễn ULR và đường màu đỏ biểu diễn UL 22 1. 40   R C UR U RZ (1)
DẠYKÈMQUYNHƠNOFFICIAL Khi L = L2: UL max: 22 max .2000 7   C L URZ U R (2) 2 22 22 140 49 (1);(2)2000 51 7    C C R RZ RZ 22 22 2 1 4 100 ; 1,6 51 2       C C C L CL C C ZRZ RZ Z ZZ Z Z Khi L = L1 + L2 ta có:  2 2 12 cos 0,36     LLC R RZZ Câu 31: Chọn đáp án C. 1. hpP H P Khi H = 80 %: 1 2 1 0. ,2 .0,8  hp PPR PU Khi H = 90 %: 2 2 2 0,1 0,8  hp PPR PU 2 2 221 1 2/21,41. U UU U Câu 32: Chọn đáp án C. 11 1 2 22 0,110000 0,1 UN N U V UN  3 2 2 2 .100.10.8 1110,99299,2% .110000 hp PPR H PU    Câu 33: Chọn đáp án A. Dựa vào đồ thị ta có:
DẠYKÈMQUYNHƠNOFFICIAL +) URL không bị phụ thuộc vào R mà 22 2 2 . 2 () L RL CL CL URZ U ZZ RZZ     Khi đó: 200 RL UUV  +) Khi R = 80 Ω: 2 2 2 2 .200. 240 12060 ()80 4 C C C C L CL C UZ Z U Z Z RZZ Z      2 222 .200.80 160. ()8060 R CL UR U V RZZ      Câu 34: Chọn đáp án D. Vì khi C = C0 thì tổng trở của đoạn mạch AB đạt giá trị cực tiểu suy ra ZCo = ZL. 22 22 0 0 40 80 3 L L AN L URZRZ VU ZR R R      01 0,52 C LCCZZ   01 1 222 2 40.23 403 3 C C LC UZ U V RRRZZ      Vì ZC1 – ZL = √3.R nên uC1 chậm pha hơn u một góc: 1 arctan. 36     1403cos100()Cu tV  Câu 35: Chọn đáp án D. Tại C = C0: 22 2 2 L L C L URZ402203Z U 802Z60 R 203     
DẠYKÈMQUYNHƠNOFFICIAL 0 22 L C L RZ Z 80 Z     0 2 LC ZRZZ40  0LC 0 0 ZZ U I 2A,arctan Z R 6     i2cos100 A 12     Câu 36: Chọn đáp án D. +) Từ đồ thị ta xác định được: Khi K đóng thì uMB sớm pha hơn 600 so với khi khi K mở +) Vì UMB không đổi => Z không đổi => I không đổi => URđ = URm +) Biểu diễn vectơ các điện áp: - U  nằm ngang, RU  trùng với RMBI,UUU   - Với d m d m R RMB MBUU,UU   và UMBđ = UMBm => các vectơ hợp thành hình thoi 0 060,120 Áp dụng đinh lý sin trong tam giác: MBUUU506V122,5V sin120sin30   Câu 37: Chọn đáp án C. Khi C = C1, độ lệch pha u và i là:
DẠYKÈMQUYNHƠNOFFICIAL 011. 2    Khi C = C2, độ lệch pha u và i là: 021 01 323     Khi C = C3, ta có Invalid Equation Và ta cũng có: 03 010203 01 .0 4 2. 5 2 12 RL RL RL uu                         Xét C = C1 thì:   1 1 01 11 .tantan. C C RL UZU U R ZZ  Biến đổi đưa về:   01 1 01 01 01 sin cos sin coscoscos RL C RL RL RL U UU       Thay số và rút ra được U = 40√2 V. Câu 38: Chọn đáp án C. Từ đồ thị ta thấy khi R = 30 Ω thì UC = 7 V. 22 10 1 7 29,4106. 30 C C C Z Z CF C Z      Câu 39: Chọn đáp án B. Công suất nơi phát ban đầu: P = Pdây + Ptt = I2(Rdây + Rtt). Lúc sau, Rtt’ = Rtt/5 = 0,2Rtt (mắc song song) và Pdây’ = 9Pdây=> I2 = 3I1.

Ta lại có: ttday

U I RR   U là điện áp nơi phát => 1 2 10,25. 3 day tt ttday daytt

IRR RR IRR    

Suy ra hiệu suất lúc đầu: Câu 40: Chọn đáp án B. Từ ZC = 1 C => Đường dốc xuống là ZC, đường còn lại là Z.

Ta có: Z = 2 2 1 LRZ C       đạt min bằng R => R = 120 Ω. Khi Z = ZC = 125 Ω => 1252 = 1202 + (ZL - 125)2 => ZL = 160 Ω. Khi ZC = ZC1 thì Zmin => xảy ra cộng hưởng => ZC1 = 160 Ω = 4 3 R => UC1 = 4U/3 = 200 V.

Câu 41: Chọn đáp án A. 2 2 2 2 () ()() LC rLC LC

rZZ UU rRZZ    Từ đồ thị, ta có: UrLC = min = .10. r U V Rr  

Câu 42: Chọn đáp án D.

DẠYKÈMQUYNHƠNOFFICIAL
DẠYKÈMQUYNHƠNOFFICIAL
có bảng như
vẽ, coi
Câu 43
đáp án B. max6(); 0 UU I A R  Tại ω1 và ω2 ta có: 2 2 11 602 LC U U I RZZ    2 2 11 11 60260LC LC RZZ ZZ    Không mất tính tổng quát giả sử: 2 11 1 1 1 1 1 60.60160.LCZZ L LC C C        (1) Vì hai giá trị ω1 và ω2 với ω1 - ω2 = 60π (rad/s) thì cường độ hiệu dụng trong mạch đều bằng max 2 I 2 0 12 1 LC   (2) Từ (1) và (2) suy ra: 1 1 2 21 1160 1 160 60.60. 1 C C CLH LC        
Ta
hình
mỗi hộ dân tiêu thụ là công suất là 1. Do Pphát không đổi nên: ΔP + 36 = 144 + ΔP/4 => ΔP = 144. Suy ra: P = 36 + 144 = 180 = ΔP/9 + x = 16 + x => x = 164. Vậy khi tăng lên 3U thì đủ cung cấp cho 164 hộ dân.
Chọn
DẠYKÈMQUYNHƠNOFFICIAL Câu 44: Chọn đáp án D. +) Từ đồ thị ta xác định được: Khi K đóng thì uMB sớm pha hơn 60oso với khi khi K mở. +) Vì UMB không đổi => Z không đổi => I không đổi => URđ = URm. +) Biểu diễn vectơ các điện áp: - U  nằm ngang; RU  trùng với I  RMBUUU   - Với URđ = URm và UMBđ = UMBm => các vectơ hợp thành hình thoi 00 60;120  Áp dụng đinh lý sin trong tam giác: 506122,5sin120sin30 MBUU UVV Câu 45: Chọn đáp án B. Gọi công suất hoạt động của mỗi máy là P0; điện áp tại nhà máy là U ta có: +) Khi 2 2 1 0 2 1 .5580 25cos N PR UUPP N U  (1) + Khi 2 2 1 0 2 1 101095 100cos N PR UUPP N U  (2) Từ (1) và (2) ta có: P = 100.P0.

Suy ra nếu đặt xưởng sản xuất tại nhà máy điện thì cung cấp đủ điện năng cho 100 máy.

Câu 46: Chọn đáp án C.

Khi điều chỉnh R để có cùng công suất thì: 2 12CRRZ  1 2 122222 1 2

R R UU RZRZ    

2C C C C

Giải hai phương trình trên với ZC = 100 Ω ta được R1 = 50 Ω và R2 = 200 Ω.

Câu 47: Chọn đáp án A.

Công suất toàn mạch là: UIcosφ = Pcơ + I2R => 32I2 - 180I + 43 = 0. Giải phương trình ra I = 0,25 A hoặc I = 5,375 A. Do Pcơ > I2R (có ích lớn hơn hao phí) => I = 0,25 A. Câu 48: Chọn đáp án A.

DẠYKÈMQUYNHƠNOFFICIAL
Khi
ZC
∞ =>
min
5 5rLC r U URrr Rr    Khi 22 22 0 () L C rLC L rZ CZUU RrZ    50r  Câu 49: Chọn đáp án B. + Từ hình ta có: 2 2 1 1 1 4 1,521010()150(/) 3 T T s rads   175(/) nvongs 2 2 2 2 2.0()100(/)50(/)Ts radsnvongs      2 2 2 22 1 22 LC E NBS I RZZ L RL CC           2 22 2 24 2 2 242 111112222 NBS NBS I L RL RL L C C CC               2 24 2 111 2 0 2 LR A C C      (*).
  2 2 2 2() LC rLC LC UrZZ U RrZZ   
C = 0 thì
=
UrLC = U = 87 V. Khảo sát UrLC đạt min khi xảy ra cộng hưởng.
87
DẠYKÈMQUYNHƠNOFFICIAL + Từ phương trình (*) ta có: 22 12 2 0 11 1 2 b a b a          0222222 120120 112112 58,83(/). nvongs nnn  Câu 50: Chọn đáp án C.   max 0 maxmax 3 cos cos0,25 2 LL L L UU UU      2 9() rad    0max 0 0 cos cos sinL L U U U     max 0 100 s2155,57() insin 9 L U U V   Chứng minh công thức: ...cosLL LL UU UIZZZ ZR    tan tan tan.cos LC L CL C ZZ U ZRZURZ R R         sincos L C U URZ R    22 22 22 sincos C L C C C Z U R URZ R RZ RZ               + Đăt: 22 22 sin;cos C C C Z R RZ RZ          22 22 .sinsincoscos cos L C C U U URZ RZ R R     + Gọi φ0 là độ lệch pha của u so với i khi UL = max, ta có: 22 0 0 tan tan C C LC C C RZ Z ZZZ R R RZ      
DẠYKÈMQUYNHƠNOFFICIAL 22 0cos L C U URZ R  + Mặt khác:  0 22 sin cos sinL C R U U RZ       Câu 51: Chọn đáp án C. 22 LC L RrRrZZ C  Đặt ZL = 1 và ZC = x => R2 = r2 = x Vì theo đề bài: UMB = n.UAM => ZMB = nZAM 2222 L CZrnRZ  21 1 13()3 3 C xxxxZRr  Hệ số công suất của mạch: 2 2 3 cos . 2 ()LC Rr RrZZ      Câu 52: Chọn đáp án D. Hiệu suất truyền tải điện năng 1 P H P   22 222 PPl PR UUr    221 Pl H Ur    Hay 221, Pl H Ur    từ các giả thuyết của đề bài ta có hệ 2 22 2 2 2 10,911 0,96. 110,91(1,5) (1,5) Pl xd Ur x Pl d x Ud                 Câu 53: Chọn đáp án C. Cảm kháng của đoạn mạch MB: 0 30 30tan 145 30 L LMB MB MB Z Z R    Mặt khác, từ đồ thị, ta thấy uAM chậm pha hơn uMB một góc AM phải chứa tụ điện C và điện trở thuần sao cho R = ZC Cường độ dòng điện chạy trong mạch là
DẠYKÈMQUYNHƠNOFFICIAL 22 60 2
MB MB U I A Z   
2
Và 310 . 92 CF  
Theo
ta
      1 1005 20 L ZL    3 11 110()10 00 CZ C    
521 2. 12 02 AM
 
3030
Tổng trở mạch AM là: 180 902902.
AM AM U Z R I 
Câu 54: Chọn đáp án C.
đề
có: f = 50 (Hz), 250100(/) 2 f rads
Trên đoạn AM gồm cuộn dây có điện trở thuần 22225552(). AM L ZZr  Trên đoạn BM gồm điện trở R và tụ điện C 22221010102(). MBC ZZR  Suy ra UAM = ZAM.I = (V) và UMB = ZBM.I = 10√2I
MBAM MB U I UU U I
Ta có hình vẽ sau:
DẠYKÈMQUYNHƠNOFFICIAL 5 tan 1. 54 L AM Z rad r     10 tan 1 10104 C MB Z rad    => uAM vuông pha với uMB. Do vuông pha nên ta áp dụng công thức vuông pha: 2 2 1 AM MB AM MB uu UU     2 2 2 1020101 1 102(). 2 2AM AM AM AM U V UU U       1022() 52 AM AM U I A Z  Ta có công thức tính tổng trở toàn mạch là: 2 2()() LCZRrZZ  2 2 (105)(510)510().Z   Vậy điện áp cực đại hai đầu đoạn mạch: Umạch = Z.I = 2.5√10 = 10√10 V. Câu 55: Chọn đáp án C. Theo đề ta có thể thay đổi 2 giá trị  là 1 và 2 đều cho cùng 1 giá trị cường độ dòng điện là 1A 2 120 .  (với 0 là  khi xảy ra cộng hưởng) 2 222 110 00.33.100 1003(/). rads    Khi 1  theo đề ta có:
DẠYKÈMQUYNHƠNOFFICIAL + 02002200(). 22 U U V   Mà I = 1(A) nên tổng trở toàn mạch sẽ là: 200 200. 1 U Z I  + i  sớm pha /6 so với 11 11 11 1 sin 100() 66 2200 LC LC LC ZZ ZZ u ZZ Z             (*) Khi cộng hưởng ta có: 00.1003.L ZL L   và 0 0 11 1003 CZ C C    (với ZL0 = ZC0) (1) Khi 1100   thì 11100 L ZLL  và 1 1 11 100 CZ CC  (2) Từ (1) và (2) 0 011 3 3 L L LL Z ZZZ  và 1 0 100 33 3 C C C C L Z Z ZZZ (3) Thay (3) vào (*) 1 0 00 0 310031003503() 3 L L LL L Z Z ZZ Z   Mà 00 5030,51003 () 1003. L ZLLL H       Câu 56: Chọn đáp án A. Từ đồ thị ta có: Zmin = R = 40Ω 1 2 1220;80;L L ZZZZ  1 2 50.LCLCC ZZZZZ 2 2 1 1250.LLZRZZ  

:

tự



0

L và tụ

iu 1 Rt C

2 2

 

bằng nhau. Giá trị của L bằng

A. 1 H 2 B. 2 H  C. 1 H 3 D. 3 H  Câu 4: : Đặt điện áp uU2cost   vào

hai đầu đoạn mạch AB gồm hai đoạn

với điện dung C. Đặt 0,5 10,5(LC) . Để điện áp hiệu dụng giữa hai đầu đoạn mạch AN không phụ thuộc R thì tần số góc 

DẠYKÈMQUYNHƠNOFFICIAL
   
   
0
   
   
    
Câu 1: : Đặt điện 0 uUcost  vào hai đầu cuộn cảm thuần có độ tự cảm L thì cường độ dòng điện qua cuộn cảm là A. 0 iUcos(t) L2 
B. 0 iUcos(t) L2 2
C.
iUcos(t) L2
D. 0 iUcos(t) L2 2
Câu 2:
Đặt điện áp
uUcost
vào hai đầu đoạn mạch gồm điện trở thuần R, cuộn cảm thuần có độ
cảm
điện có điện dung C mắc nối tiếp. Gọi i là cường độ dòng điện tức thời trong đoạn mạch; 1u , 2u và 3u lần lượt là điện áp tức thời giữa hai đầu điện trở, giữa hai đầu cuộn cảm và giữa hai đầu tụ điện. Hệ thức đúng là A.
 B. 3 iuC  C. 1iu R
D. 2iu L
Câu 3: : Đặt điện áp xoay chiều có giá trị hiệu dụng không đổi, tần số 50 Hz vào hai đầu đoạn mạch mắc nối tiếp gồm điện trở thuần R, cuộn cảm thuần có độ tự cảm L và tụ điện có điện dung
C thay đổi được. Điều chỉnh C đến giá trị mạch AN và NB mắc nối tiếp. Đoạn AN gồm biến trở R mắc nối tiếp với cuộn cảm thuần có độ tự cảm L, đoạn NB chỉ có tụ điện
410 F 4 hoặc bằng A. 10,5 2  B. 12 C. 1 2  D. 12 Câu 5: : Một đoạn mạch AB gồm hai đoạn mạch AM và MB mắc nối tiếp. Đoạn mạch AM có điện trở thuần50 mắc nối tiếp với cuộn cảm thuần có độ tự cảm 1  (H), đoạn mạch MB chỉ có
410 F (2)  thì công suất tiêu thụ trên đoạn mạch đều có giá trị

tụ điện với điện dung thay đổi được. Đặt điện 0 uUcos100t   (V) vào hai đầu đoạn mạch AB . Điều chỉnh điện dung của tụ điện đến giá trị 1C sao cho điện áp hai đầu đoạn mạch AB lệch pha

Câu 6:

Đặt điện áp xoay chiều có giá trị hiệu dụng 200 V và tần số không đổi v|o hai đầu A và B của đoạn mạch mắc nối tiếp theo thứ tự gồm biến trở R, cuộn cảm thuần có độ tự cảm L và tụ điện có điện dung C thay đổi. Gọi N là điểm nối giữa cuộn cảm thuần và tụ điện. Các giá trị R, L, C hữu hạn và khác không. Với 1CC  thì điện áp hiệu dụng giữa hai đầu biến trở R có giá trị không đổi và khác không khi thay đổi giá trị R của biến trở. Với 1C0,5C  thì điện áp hiệu dụng giữa A và N bằng

A. 200 V B. 1002 V C. 100 V D. 2002 V

Câu 7: : Tại thời điểm t, điện áp u2002cos(100t) 2 

(trong đó u tính bằng V, t tính bằng

s) có giá trị 1002 (V) đang giảm. Sau thời điểm đó 1 300 (s), điện áp này có giá trị là A. 100V B.1003 V C. 1002 (V) D. 200V

Câu 8: : Đặt điện áp xoay chiều có giá trị hiệu dụng và tần số không đổi vào hai đầu đoạn mạch gồm biến trở R mắc nối tiếp với tụ điện có điện dung C. Gọi điện áp hiệu dụng giữa hai đầu tụ điện, giữa hai đầu biến trở và hệ

DẠYKÈMQUYNHƠNOFFICIAL
 
 
 
 
2
so với điện áp hai đầu đoạn mạch AM. Giá trị của 1C bằng A. 40(F)
B. 80(F)
C. 20(F)
D. 10(F)
:
 
C1U , R1U và 1cos ; khi biến trở có giá trị 2R thì các giá trị tương ứng
trên là C2U , R2U và 2cos Biết C12 U2UC  , R2R1U2U  . Giá trị của 1cos và 2cos là: A. 1 2 12 cos,cos 35   B. 1 2 11 cos,cos 53   C. 1 2 12 cos,cos 55   D. 1 2 0,51 cos,cos 22   Câu 9: : Nối hai cực của một máy phát điện xoay chiều một pha vào hai đầu đoạn mạch AB gồm điện trở thuần R mắc nối tiếp với cuộn cảm thuần. Bỏ qua điện trở các cuộn dây của máy phát. Khi rôto của máy quay đều với tốc độ n vòng/phút thì cường độ dòng điện hiệu dụng trong đoạn mạch là 1 A. Khi rôto của máy quay đều với tốc độ 3n vòng/phút thì cường độ dòng điện
số công suất của đoạn mạch khi biến trở có giá trị 1R lần lượt là
nói

hiệu dụng trong đoạn mạch là 3 (A). Nếu rôto của máy quay đều với tốc độ 2n vòng/phút thì cảm kháng của đoạn mạch AB là

A. 2R3 B. 2R 3 C. R3 D. R 3

Câu 10: : Đặt điện áp uU2cost   vào hai đầu một tụ điện thì cường độ dòng điện qua nó có giá trị hiệu dụng là I. Tại thời điểm t, điện áp ở hai đầu tụ điện là u và cường độ dòng điện qua nó là i. Hệ thức liên hệ giữa các đại lượng là A.

22 22 ui1 UI4  B.

22 22 ui 1 UI  C.

22 22 ui 2 UI  D.

22 22 ui1 UI2 

Câu 11: : Đặt điện áp uU2cos2ft   (U không đổi, tần số f thay đổi được) vào hai đầu đoạn mạch mắc nối tiếp gồm điện trở thuần R, cuộn cảm thuần có độ tự cảm L và tụ điện có điện dung C. Khi tần số là 1f thì cảm kháng và dung kháng của đoạn mạch có giá trị lần lượt là 6và 8 . Khi tần số là 2f thì hệ số công suất của đoạn mạch bằng 1. Hệ thức liên hệ giữa 1f và 2f là A. 1 2 2f f 3  B. 21 f0,5f3  C. 21 f0,75f  D. 1 2 4f f 3  Câu 12: : Lần lượt đặt các điện áp xoay chiều 1 1 uU2cos(100t)   ; 2 2 uU2cos(120t)   và 3 3 uU2cos(110t)   vào hai đầu đoạn mạch gồm điện trở thuần R, cuộn cảm thuần có độ tự cảm L và tụ điện có điện dung C mắc nối tiếp thì cường độ

DẠYKÈMQUYNHƠNOFFICIAL
dòng điện trong đoạn mạch có biểu thức tương
 
2 2 iI2cos120t 3       và 3 2 iI'2cos110t 3       . So sánh I và I’, ta có: A. II'  B. II'2  C. II'  D. II'  Câu 13: Một khung dây dẫn phẳng quay đều với tốc độ góc  quanh một trục cố định nằm trong mặt phẳng khung dây, trong một từ trường đều có vectơ cảm ứng từ vuông góc với trục quay của khung. Suất điện động cảm ứng trong khung có biểu thức 0 eEcost 2    . Tại thời điểm t = 0, vectơ pháp tuyến của mặt phẳng khung dây hợp với vectơ cảm ứng từ một góc bằng A. 045 B. 0180 C. 090 D. 0150
ứng là: 1 iI2cos(100t)
;

Câu 14: : Một đoạn mạch AB gồm hai đoạn mạch AM và MB mắc nối tiếp. Đoạn mạch AM gồm điện trở thuần 1R mắc nối tiếp với tụ điện có điện dung C, đoạn mạch MB gồm điện trở thuần 2R mắc nối tiếp với cuộn cảm thuần có độ tự cảm L. Đặt điện áp xoay chiều có tần số và giá trị hiệu dụng không đổi vào hai đầu đoạn mạch AB. Khi đó đoạn mạch AB tiêu thụ công suất bằng 120 W và có hệ số công suất bằng 1. Nếu nối tắt hai đầu tụ điện thì điện áp hai đầu đoạn mạch AM và MB có cùng giá trị hiệu dụng nhưng lệch pha nhau 3  , công suất tiêu thụ trên đoạn mạch AB trong trường hợp này bằng

A. 75 W B. 160 W C. 90 W D. 180 W

Câu 15: Một học sinh quấn một máy biến áp với dự định số vòng dây của cuộn sơ cấp gấp hai lần số vòng dây của cuộn thứ cấp. Do sơ suất nên cuộn thứ cấp bị thiếu một số vòng dây. Muốn xác định số vòng dây thiếu để quấn tiếp thêm vào cuộn thứ cấp cho đủ, học sinh này đặt vào hai đầu cuộn sơ cấp một điện áp xoay chiều có giá trị hiệu dụng không đổi, rồi dùng vôn kết xác định tỉ số điện áp ở cuộn thứ cấp để hở và cuộn sơ cấp. Lúc đầu tỉ số điện áp bằng 0,43. Sau khi quấn thêm vào cuộn thứ cấp 24 vòng dây thì tỉ số điện áp bằng 0,45. Bỏ qua mọi hao phí trong máy biến áp. Để được máy biến áp đúng như dự định, học sinh này phải tiếp tục quấn thêm vào cuộn thứ cấp

A. 40 vòng dây. B. 84 vòng dây. C. 100 vòng dây. D. 60 vòng dây. Câu 16: : Đặt điện áp xoay chiều 0 uUcost  ( 0U không đổi và  thay đổi được) vào hai đầu đoạn mạch gồm điện trở thuần R, cuộn cảm thuần có độ tự cảm L và tụ điện có điện dung C mắc nối tiếp, với 2 CR2L  . Khi 1 hoặc 2

thì điện áp hiệu dụng giữa hai bản tụ điện có cùng một

DẠYKÈMQUYNHƠNOFFICIAL
0 thì
giữa 1 , 2 và 0 là A. 012 1 2() B. 222 012 1 2() C. 012  D. 222 012 1111 2         Câu 17: : Đặt điện áp xoay chiều uU2cos100t   vào hai đầu đoạn mạch mắc nối tiếp gồm điện trở thuần R, tụ điện có điện dung C và cuộn cảm thuần có độ tự cảm L thay đổi được. Điều chỉnh L để điện áp hiệu dụng ở hai đầu cuộn cảm đạt giá trị cực đại thì thấy giá trị cực đại đó bằng 100 V và điện áp hiệu dụng ở hai đầu tụ điện bằng 36 V. Giá trị của U là A. 80 V B. 136 V C. 64 V D. 48 V Câu 18: : Đoạn mạch AB gồm hai đoạn mạch AM và MB mắc nối tiếp. Đoạn mạch AM gồm điện trở thuần 1 R40 mắc nối tiếp với tụ điện có điện dụng C0,25   mF, đoạn mạch MB

giá trị. Khi
điện áp hiệu dụng giữa hai bản tụ điện đạt cực đại. Hệ thức liên hệ



gồm điện trở thuần 2R mắc nối tiếp với cuộn cảm thuần. Đặt vào A, B điện áp xoay chiều có giá trị hiệu dụng và tần số không đổi thì điện áp tức thời ở hai đầu đoạn mạch AM và MB lần lượt là: AM 7 u502cos100t 12

(V) và MB u150cos100t

 (V). Hệ số công suất của đoạn mạch AB là A. 0,86B. 0,84C. 0,95D. 0,71

Câu 19: : Một máy phát điện xoay chiều một pha có phần ứng gồm bốn cuộn dây giống nhau mắc nối tiếp. Suất điện động xoay chiều do máy phát sinh ra có tần số 50 Hz và giá trị hiệu dụng 1002 V. Từ thông cực đại qua mỗi vòng của phần ứng là 5  mWb. Số vòng dây trong mỗi cuộn dây của phần ứng là A. 71 vòng B. 200 vòng C. 100 vòng D. 400 vòng Câu 20: : Đặt điện áp xoay chiều uU2cos100t   (U không đổi, t tính bằng s) vào hai đầu đoạn mạch mắc nối tiếp gồm điện trở thuần R, cuộn cảm thuần có độ tự cảm 0,2  H và tụ điện có điện dung C thay đổi được. Điều chỉnh điện dung của tụ điện để điện áp hiệu dụng giữa hai bản tụ điện đạt giá trị cực đại. Giá trị cực đại đó bằng U3 . Điện trở R bằng A.10 B. 202 C. 102 D. 20

Câu 21: : Đặt một điện áp xoay chiều có giá trị hiệu dụng và tần số không đổi lần lượt vào hai đầu điện trở thuần R, cuộn cảm thuần có độ tự cảm L, tụ điện có điện dung C thì cường độ dòng điện hiệu dụng qua mạch tương ứng là 0,25 A; 0,5 A; 0,2 A. Nếu đặt điện áp xoay chiều này vào hai đầu đoạn mạch gồm ba phần tử trên mắc nối tiếp thì cường độ dòng điện hiệu dụng qua mạch là A. 0,2 A B. 0,3 A C. 0,15 A D. 0,05 A Câu 22:

DẠYKÈMQUYNHƠNOFFICIAL
  
 
gồm điện trở thuần R, cuộn cảm thuần có độ tự cảm L và tụ điện có điện dung C mắc nối tiếp. Gọi RU , LU , CU lần lượt
Đặt điện áp 0 uUcos2ft   vào hai đầu đoạn mạch
là điện áp hiệu dụng giữa hai đầu điện trở, giữa hai đầu cuộn cảm và giữa hai đầu tụ điện. Trường hợp nào sau đây, điện áp tức thời giữa hai đầu đoạn mạch cùng pha với điện áp tức thời giữa hai đầu điện trở?

A. Thay đổi C để RmaxU B. Thay đổi R để CmaxU

C. Thay đổi L để LmaxU D. Thay đổi f để CmaxU .

Câu 23 Đặt điện áp 0 uUcost  vào hai đầu đoạn mạch gồm điện trở thuần R, cuộn cảm thuần có độ tự cảm L và tụ điện có điện dung C mắc nối tiếp. Gọi i là cường độ dòng điện tức thời trong đoạn mạch; 1u2u và 3u lần lượt là điện áp tức thời giữa hai đầu điện trở, giữa hai đầu cuộn cảm và giữa hai đầu tụ điện; Z là tổng trở của đoạn mạch. Hệ thức đúng là A. 3 iuC

Câu 24Một động cơ điện xoay chiều hoạt động bình thường với điện áp hiệu dụng 220 V, cường độ dòng điện hiệu dụng 0,5 A và hệ số công suất của động cơ là 0,8. Biết rằng công suất hao phí của động cơ là 11 W. Hiệu suất của động cơ (tỉ số giữa công suất hữu ích và công suất tiêu thụ toàn phần) là A. 80% B. 90% C. 92,5% D. 87,5%

Câu 25Đặt điện áp xoay chiều 0 uUcost  ( 0U không đổi,  thay đổi được) vào hai đầu đoạn mạch có R, L, C mắc nối tiếp. Khi 1 thì cảm kháng và dung kháng của đoạn mạch lần lượt là 1LZ và 1CZ . Khi 2 thì trong đoạn mạch xảy ra hiện tượng cộng hưởng. Hệ thức đúng là A.

Câu 26 Khi đặt vào hai đầu một cuộn dây có độ tự cảm 0,4  (H) một hiệu điện thế một chiều 12 (V) thì cường độ dòng điện qua cuộn dây là 0,4 (A). Sau đó, thay hiệu điện thế này bằng một điện áp xoay chiều có tần số 50 (Hz) và giá trị hiệu dụng 12 (V) thì cường độ dòng điện hiệu dụng qua cuộn dây bằng A. 0,30 A B. 0,40 A C. 0,24 A D. 0,17A

DẠYKÈMQUYNHƠNOFFICIAL
 
 B. 1iu R
C. 2iu L
D. iu Z
1L

1L

1C


12 1C Z Z
B.
12 1C Z Z
C.
12 1L Z Z
D. 1C 12 1L Z Z

Câu 27 Đặt điện áp 0 uUcost  (V) ( 0U không đổi,  thay đổi được) vào hai đầu đoạn mạch gồm điện trở thuần R, cuộn cảm thuần có độ tự cảm 0,8  H và tụ điện mắc nối tiếp. Khi 0 thì cường độ dòng điện hiệu dụng qua đoạn mạch đạt giá trị cực đại m I . Khi 1 hoặc 2 thì cường độ dòng điện cực đại qua đoạn mạch bằng nhau và bằng m I Biết 12200  rad/s. Giá trị của R bằng A. 150 B. 200 C. 160 D. 50 Câu 28 Đặt điện áp u400cos100t   (u tính bằng V, t tính bằng s) vào hai đầu đoạn mạch AB gồm điện trở thuần 50 mắc nối tiếp với đoạn mạch X. Cường độ dòng điện hiệu dụng qua đoạn mạch là 2 A. Biết ở thời điểm t, điện áp tức thời giữa hai đầu AB có giá trị 400 V; ở thời điểm 1 t 400  cường độ dòng điện tức thời qua đoạn mạch bằng không và đang giảm. Công suất tiêu thụ điện của đoạn mạch X là A. 400 W B. 200 W C. 160 W D. 100 W Câu 29 Đặt điện áp 0 uUcost  ( 0U và  không đổi) vào hai đầu đoạn mạch AB theo thứ tự gồm một tụ điện, một cuộn cảm thuần và một điện trở thuần mắc nối tiếp. Gọi M là điểm nối giữa tụ điện và cuộn cảm. Biết điện áp hiệu dụng giữa hai đầu AM bằng điện áp hiệu dụng giữa hai đầu MB và cường độ dòng điện trong đoạn mạch lệch pha 12  so với điện áp giữa hai đầu đoạn mạch. Hệ số công suất của đoạn mạch MB là A. 0,53 B. 0,26C. 0,50D. 0,52 Câu 30 Đặt điện áp 0 uUcos100t   (V) vào hai đầu đoạn mạch AB gồm hai đoạn mạch AM và MB mắc nối tiếp. Đoạn mạch AM gồm điện trở thuần 1003 mắc nối tiếp với cuộn

DẠYKÈMQUYNHƠNOFFICIAL
cảm thuần có độ tự
mạch MB chỉ có tụ điện có điện dung 410 2 (F).
điện áp giữa
đầu đoạn mạch AM lệch pha 3  so với điện áp giữa hai đầu đoạn mạch AB. Giá trị của L bằng A. 2  (H) B. 1  (H) C. 2  (H) D. 3  (H)
cảm L. Đoạn
Biết
hai

Câu 31 Đặt điện áp u1502cos100t   (V) vào hai đầu đoạn mạch mắc nối tiếp gồm điện trở thuần 60 , cuộn dây (có điện trở thuần) và tụ điện. Công suất tiêu thụ điện của đoạn mạch bằng 250 W. Nối hai bản tụ điện bằng một dây dẫn có điện trở không đáng kể. Khi đó, điện áp hiệu dụng giữa hai đầu điện trở bằng điện áp hiệu dụng giữa hai đầu cuộn dây và bằng 503 V. Dung kháng của tụ điện có giá trị bằng A. 603 B. 303 C. 153 D. 453 Câu 32 Trong giờ thực hành, một học sinh mắc đoạn mạch AB gồm điện trở thuần 40 , tụ điện có điện dung C thay đổi được và cuộn dây có độ tự cảm L nối tiếp nhau theo đúng thứ tự trên. Gọi M là điểm nối giữa điện trở thuần và tụ điện. Đặt vào hai đầu đoạn mạch AB một điện áp xoay chiều có giá trị hiệu dụng 200 V và tần số 50 Hz. Khi điều chỉnh điện dung của tụ điện đến giá trị m C thì điện áp hiệu dụng giữa hai đầu đoạn mạch MB đạt giá trị cực tiểu bằng 75 V. Điện trở thuần của cuộn dây là A. 24 B. 16 C. 30 D. 40 Câu 33 Điện năng từ một trạm phát điện được đưa đến một khu tái định cư bằng đường dây truyền tải một pha. Cho biết, nếu điện áp tại đầu truyền đi tăng từ U lên 2U thì số hộ dân được trạm cung cấp đủ điện năng tăng từ 120 lên 144. Cho rằng chỉ tính đến hao phí trên đường dây, công suất tiêu thụ điện của các hộ dân đều như nhau, công suất của trạm phát không đổi và hệ số công suất trong các trường hợp đều bằng nhau. Nếu điện áp truyền đi

là 4U thì trạm phát này cung cấp đủ điện năng cho

A. 168 hộ dân B. 150 hộ dân C. 504 hộ dân D. 192 hộ dân

Câu 34 Từ một trạm phát điện xoay chiều một pha Đặt tại vị trí M, điện năng được truyền tải đến nơi tiêu thụ N, cách M 180 km. Biết đường dây có điện trở tổng cộng 80 (coi dây tải điện là đồng chất, có điện trở tỉ lệ thuận với chiều dài của dây). Do sự cố, đường dây bị rò điện tại điểm Q (hai dây tải điện bị nối tắt bởi một vật có điện trở có giá trị xác định R). Để xác định vị trí Q, trước tiên người ta ngắt đường dây khỏi máy phát và tải tiêu thụ, sau đó dùng nguồn điện không đổi 12 V, điện trở trong không đáng kể, nối vào hai đầu của hai dây tải điện tại M. Khi hai đầu dây tại N để hở thì cường độ dòng điện qua nguồn là 0,40 A, còn khi hai đầu dây tại N được nối tắt bởi một đoạn dây có điện trở không đáng kể thì cường độ dòng điện qua nguồn là 0,42 A. Khoảng cách MQ là

DẠYKÈMQUYNHƠNOFFICIAL
35 Đặt
 
độ
A. 135 km B. 167 km C. 45 km D. 90 km Câu
điện áp xoay chiều uU2cost(V)
vào hai đầu một điện trở thuần R110 thì cường
dòng điện qua điện trở có giá trị hiệu dụng bằng 2 A. Giá trị của U bằng: A. 2202V B. 220 V C. 110 V D. 1102V

Câu 36 Đặt một điện áp xoay chiều có giá trị hiệu dụng không đổi và tần số f thay đổi được vào hai đầu một cuộn cảm thuần. Khi f = 50 Hz thì cường độ dòng điện qua cuộn cảm có giá trị hiệu dụng bằng 3 A. Khi f = 60 Hz thì cường độ dòng điện qua cuộn cảm có giá trị hiệu dụng bằng A. 3,6 A B. 2,5 A C. 4,5 A D. 2,0 A Câu 37 Đặt điện áp 0 uUcos100t 12



(V) vào hai đầu đoạn mạch mắc nối tiếp gồm điện trở cuộn cảm và tụ điện thì cường độ dòng điện qua mạch là 0 iIcos100t 12   



 (A). Hệ số công suất của đoạn mạch bằng: A. 0,50B. 0,87C. 1,00D. 0,71

Câu 39 Một khung dây dẫn phẳng dẹt hình chữ nhật có diện tích 260cm , quay đều quanh một trục đối xứng (thuộc mặt phẳng khung) trong từ trường đều có véc tơ cảm ứng từ vuông góc với trục quay và có độ lớn 0,4T. Từ thông cực đại qua khung dây là: A. 3 1,210Wb B. 3 4,810Wb C. 3 2,410Wb D. 3 0,610Wb Câu 40 Đặt

DẠYKÈMQUYNHƠNOFFICIAL
Câu
Đặt điện áp có u2202cos100t   (V) vào
đầu một đoạn
có R100 , tụ điện có điện
4C0,5.10  
 
   
 
   
 
   
 
  
 
điện áp u2202cos100t   (V) vào hai đầu đoạn mạch mắc nối tiếp gồm điện trở 20 , cuộn cảm thuần có độ tự cảm 0,8  H và tụ điện có điện dung 1 6 mF. Khi điện áp tức thời giữa hai đầu điện trở bằng 1103 (V) thì điện áp tức thời giữa hai đầu cuộn cảm có độ lớn bằng: A. 440 V B. 330 V C. 4403 V. D. 3303 V.
   
 
38
hai
mạch gồm điện trở
dung
(F) và cuộn cảm có độ tự cảm 1 L
(H). Biểu thức của cường độ dòng điện trong mạch là: A. i2,2cos100tA 4

B. i2,22cos100tA 4

C. i2,2cos100tA 4

D. i2,22cos100tA 4 


Câu 41 Đặt vào hai đầu cuộn sơ cấp của máy biến áp 1M một điện áp xoay chiều có giá trị hiệu dụng 200 V. Khi nối hai đầu cuộn sơ cấp của máy biến áp 2M vào hai đầu cuộn thứ cấp của 1M thì điện áp hiệu dụng ở hai đầu cuộn thứ cấp của 2M để hở bằng 12,5 V. Khi nối hai đầu của cuộn thứ cấp của 2M với hai đầu cuộn thứ cấp của 1M thì điện áp hiệu dụng ở hai đầu cuộn sơ cấp của 2M để hở bằng 50V. Bỏ qua mọi hao phí. 1M có tỉ số giữa số vòng dây cuộn sơ cấp và số vòng cuộn thứ cấp là: A. 8 B. 4 C. 6 D. 15

42 Đoạn mạch nối tiếp gồm cuộn cảm thuần, đoạn mạch X và tụ điện (hình vẽ). Khi Đặt vào hai đầu A, B điện áp AB0 uUcos(t)  (V) ( 0U ,  ,  không đổi) thì 2 LC1  , AN U252  (V) và MB U502  (V), đồng thời ANu sớm pha 3  so với MBu . Giá trị của 0U là: A. 12,57V B. 12,514V C. 257V D. 2514V Câu 43 Đặt điện áp u1202cos2ft   (V) (f thay đổi được) vào hai đầu đoạn mạch mắc nối tiếp gồm cuộn cảm thuần có độ tự cảm L, điện trở R và tụ điện có điện dung C, với 2 CR2L  Khi 1ff  thì điện áp hiệu dụng giữa hai đầu tụ điện đạt cực đại. Khi 21 fff2  thì điện áp hiệu dụng giữa hai đầu điện trở đạt cực đại. Khi 3ff  thì điện áp giữa hai đầu cuộn cảm đạt cực đại LmaxU . Giá trị của LmaxU gần giá trị nào nhất

DẠYKÈMQUYNHƠNOFFICIAL
A.
V B. 145 V C.
V
Câu 44 Đặt điện 0 uUcost  (V) ( 0U và 
trở R, tụ điện có điện dung C, cuộn cảm thuần có độ tự cảm
1LL  và 2LL  điện áp hiệu dụng ở hai đầu cuộn
đầu cuộn cảm đạt cực đại; độ
điện là  . Giá trị của  gần giá trị nào nhất sau
A. 0,41 rad B. 1,57 rad C. 0,83 rad D. 0,26 rad Câu 45 Đặt điện áp 0 uUcost  ( 0U và  không đổi) vào
không thuần cảm mắc
Câu
sau đây:
85
57
D. 173 V
không đổi) vào hai đầu đoạn mạch mắc nối tiếp gồm điện
L thay đổi được. Khi
cảm có cùng giá trị; độ lêch pha của điện áp ở hai đầu đoạn so với cường độ dòng điện lần lượt là 0,52 rad và 1,05 rad. Khi 0LL  điện ápgiữa hai
lêch pha của điện áp hai đầu đoạn mạch so với cường độ dòng
đây:
hai đầu đoạn mạch gồm cuộn dây
nối tiếp với tụ điện có điện dung C (thay đổi được). Khi 0CC
thì cường

độ dòng điện trong mạch sớm pha hơn u 11 0 2         và điện áp hiệu dụng hai đầu cuộn dây là 45 V. Khi 0C3C  thì cường độ dòng điện trong mạch trễ pha hơn u 21 2   và điện áp hiệu dụng hai đầu cuộn dây là 135 V. Giá trị của 0U gần giá trị nào nhất sau đây : A. 130 V B. 64 V C. 95 V D. 75 V Câu 46 Nối hai cực của một máy phát điện xoay chiều một pha vào hai đầu đoạn mạch A, B mắc nối tiếp gồm điện trở 69,1 , cuộn cảm có độ tự cảm L và tụ điện có điện dung 176,8F  Bỏ qua điện trở thuần của các cuộn dây của máy phát. Biết rôtô máy phát có hai cặp cực. Khi rô to quay đều với tốc độ 1 n1350  vòng/phút hoặc 2 n1800  vòng/phút thì công suất tiêu thụ của đoạn mạch AB là như nhau. Độ tự cảm L có giá trị gần giá trị nào nhất sau đây : A. 0,7 H B. 0,8 H C. 0,6 H D. 0,2 H

Câu 47 Điện năng được truyền từ nơi phát đến một khu dân cư bằng đường dây một pha với hiệu suất truyền tải là 90%. Coi hao phí điện năng chỉ do tỏa nhiệt trên đường dây và không vượt quá 20%. Nếu công suất sử dụng điện của khu dân cư này tăng 20% và giữ nguyên điện áp ở nơi phát thì hiệu suất truyền tải điện năng trên chính đường dây đó là:

A. 87,7% B. 89,2% C. 92,8% D. 85,8%

Câu 48 Điện áp u1412cos100t(V)   có giá trị hiệu dụng bằng A. 141 V B. 200 V C. 100 V D. 282 V Câu 49 Dòng điện có cường độ i22cos100t(A)   chạy qua điện trở thuần 100. Trong 30 giây, nhiệt lượng tỏa ra trên điện trở là A. 12 kJ B. 24 kJ C. 4243 J D. 8485 J Câu 50 Một động cơ điện tiêu thụ công suất điện

DẠYKÈMQUYNHƠNOFFICIAL
110 W, sinh ra công suất cơ học bằng 88 W. Tỉ số của công suất cơ học với công suất hao phí ở động cơ bằng A. 3 B. 4 C. 2 D. 5 Câu 51: Đặt điện áp 0 uUcos100t(V) 4       vào hai đầu đoạn mạch chỉ có tụ điện thì cường độ dòng điện trong mạch là 0 iIcos(100t)   (A). Giá trị của bằng

A. 3 4

B. 2

C. 3 4

D. 2

Câu 52 Một đoạn mạch điện xoay chiều gồm điện trở thuần R mắc nối tiếp với một cuộn cảm thuần có cảm kháng với giá trị bằng R. Độ lệch pha của điện áp giữa hai đầu đoạn mạch với cường độ dòng điện trong mạch bằng

A. 4

B. 0 C. 2

D. 3

Câu 53: Đặt điện áp uU2cost(V) 

(với U và  không đổi) vào hai đầu đoạn mạch mắc nối tiếp gồm đèn sợi đốt có ghi 220 V – 100 W, cuộn cảm thuần có độ tự cảm L và tụ điện có điện dung C. Khi đó đèn s{ng đúng công suất định mức. Nếu nối tắt hai bản tụ điện thì đèn chỉ sáng với công suất bằng 50 W. Trong hai trường hợp, coi điện trở của đèn như nhau, bỏ qua độ tự cảm của đèn. Dung kháng của tụ điện không thể là giá trị nào trong các giá trị sau? A. 345 B. 484 C. 457 D. 274 Câu 54 Đặt điện áp xoay chiều ổn định vào hai đầu đoạn mạch AB mắc nối tiếp (hình vẽ). Biết tụ điện có dung kháng CZ , cuộn cảm thuần có cảm kháng LZ và LC3Z2Z  Đồ thị biểu diễn sự phụ thuộc vào thời gian của điện áp giữa hai đầu đoạn mạch AN và điện áp giữa hai đầu đoạn mạch MB như hình vẽ. Điệp áp hiệu dụng giữa hai điểm M và N là

A. 173 V B. 86 V C. 122 V D. 102 V Câu 55 Đặt điện áp u1802cost(V)

(với  không đổi) vào hai đầu đoạn mạch AB (hình vẽ). R là điện

DẠYKÈMQUYNHƠNOFFICIAL
 
điện dung C, cuộn cảm thuần có độ tự cảm L thay đổi được. Điện áp hiệu dụng ở hai đầu đoạn mạch MB và độ lớn góc lệch pha của cường độ dòng điện so với điện áp u khi 1LL  là U và 1 , còn khi 2LL  thì tương ứng là 8U và 2 . Biết 0 1290 . Giá trị U bằng A. 135 V B. 180 V C. 90 V D. 60 V
trở thuần, tụ điện có

Câu 56 Các thao tác cơ bản khi sử dụng đồng hồ đa năng hiện số (hình vẽ) để đo điện áp xoay chiều cỡ 120 V gồm:

a. Nhấn nút ON OFF để bật nguồn của đồng hồ.

b. Cho hai đầu đo của hai dây đo tiếp xúc với hai đầu đoạn mạch cần đo điện áp.

c. Vặn đầu đánh dấu của núm xoay tới chấm có ghi 200, trong vùng ACV.

d. Cắm hai đầu nối của hai dây đo vào hai ổ COM vàV .

e. Chờ cho các chữ số ổn định, đọc trị số của điện áp.

g. Kết thúc các thao tác đo, nhấn nút ON OFF để tắt nguồn của đồng hồ. Thứ tự đúng các thao tác là A. a, b, d, c, e, g B. c, d, a, b, e, g C. d, a, b, c, e, g D. d, b, a, c, e, g. Câu 57 Một học sinh làm thực hành xác định số vòng dây của hai máy biến áp lí tưởng A và B có các cuộn dây với số vòng dây (là số nguyên) lần lượt là 1AN , 2AN , 1BN , 2BN Biết 2A1ANkN

vòng và trong bốn cuộn dây có hai cuộn có số vòng dây đều bằng N. Dùng kết hợp hai máy biến áp này thì có thể tăng điện áp hiệu dụng U thành 18U hoặc 2U. Số vòng dây N là

A. 600 hoặc 372 B. 900 hoặc 372 C. 900 hoặc 750 D. 750 hoặc 600 Câu 58 Đặt điện áp xoay chiều có giá trị hiệu dụng 200 V và tần số không thay đổi vào hai đầu đoạn mạch AB (hình vẽ). Cuộn cảm thuần có độ tự cảm L xác định; R200; tụ điện có điện dung C thay đổi được. Điều chỉnh điện dung C để điện áp hiệu dụng giữa hai đầu đoạn mạch MB đạt giá trị cực tiểu là 1U và giá trị cực đại là 2 U400V  . Giá trị của 1U là A. 173 V B. 80 V C. 111 V D. 200 V Câu 59 Đặt điện

thay đổi được, U tỉ lệ thuận với f) vào hai đầu đoạn mạch

AM mắc nối tiếp với đoạn mạch MB. Đoạn mạch AM gồm điện trở thuần R mắc nối tiếp với tụ điện có điện dung C, đoạn mạch MB chỉ có cuộn cảm thuần có độ tự cảm L. Biết 2 2LRC  . Khi f = 60 Hz hoặc f = 90 Hz thì cường độ dòng điện hiệu dụng trong mạch có cùng giá trị. Khi f = 30 Hz hoặc f = 120 Hz thì điện áp hiệu dụng hai đầu tụ điện có cùng giá trị. Khi 1ff  thì điện áp ở hai đầu đoạn mạch MB lệch pha một góc 0135 so với điện áp ở hai đầu đoạn mạch AM. Giá trị của 1f bằng.

DẠYKÈMQUYNHƠNOFFICIAL
NNNN3100 
 ; 2B1BN2kN  ;k1  ; 1A2A1B2B
 
áp uU2cos2ft(V)
(f
AB gồm đoạn mạch
DẠYKÈMQUYNHƠNOFFICIAL
0 0 L iUUZcos(t)cos(t) 2L2      
Chỉ 1u
1
R 
C1 1 1 Z400 C   ;      12CocungPZZ C1C2 C2 L 2 ZZ 1 Z 200 Z 2 C 3 100L300L(H)  Câu 4: : Hướng dẫn: Chọn đáp án B 22 2 2 L RLRL LLCCL 2 2 LC RZ UIZU RZ(ZZ)Z2ZR(ZZ)      1 1 1 2L 22 C2LC    Câu 5: : Hướng dẫn: Chọn đáp án B L ZL100()  Vì AMuu  nên: LC C L AM ZZ100Z Z 100 tan.tan1.1.1 RR5050  
A. 60Hz B. 80 Hz C. 50 Hz D. 120 Hz Câu 1: : Hướng dẫn: Chọn đáp án C
mạch chỉ L thì i trễ pha hơn u là 2
nên
Câu 2: : Hướng dẫn: Chọn đáp án C
cùng pha với i nên
iu
Câu 3: Hướng dẫn: Chọn đáp án D
DẠYKÈMQUYNHƠNOFFICIAL 5 C C 18 Z125()C10(F) Z   Câu 6: Hướng dẫn: Chọn đáp án A 1 R L1 CL 2 2 L1 UR UIR RZZC0ZZ R(ZZC)     1 CC1LRLRL C CZ2Z2ZUIZ 2  22 22 L L 2 22 2 LC LL RZ RZ U U U200(V)R(ZZ)R(Z2Z)        Câu 7: Hướng dẫn: Chọn đáp án C Cách 1: (t1) 1 1 1 (t1) 1 u2002cost1002 2 5 tt 236 u'200sint0 2                   1 1 1 (t) 300 1 u2002cost31002(V) 002                  Cách 2: Khi u1002  và đang giảm thì pha dao động có thể chọn: 13   Sau thời điểm đó 1 300 (s) (tương ứng với góc quét 100 t 3003  ) thì pha dao động: 21 2 3  2 2 u2002cos1002(V)  Câu 8: Hướng dẫn: Chọn đáp án C
DẠYKÈMQUYNHƠNOFFICIAL 22 C UU I ZRZ   121221 R2R1 UC2UCI2IZ2Z2222 CC 2C1C 21 U2U 2 1 R C1 2222 2C1C UIZ RZ2RZ R4R RR UIR 2 Z2R RZRZ                 1 122 12 2 222 22 R1 cos R5 Z R2 cos R5 Z             Câu 9: Hướng dẫn: Chọn đáp án B Khi máy phát điện xoay chiều 1 pha mắc với mạch RLC thì cường độ hiệu dụng: 2 2 LC E I R(ZZ)   thì LC 0 1 fnp2fZL;ZC N2f E 2        Khi n'kn  thì E'kE  ; LLZ'kZ  ; C C Z Z' k  2 2 LC 2 2 2 2 C C L L R(ZZ)kEI' I' k ZI Z RkZ RkZ k k                  Áp dụng: 22 22 L L L 22 22 L L RZ RZ I' 3 R k 3 Z I 1 3R(kZ)R(3Z)        Khi tốc độ quay tăng 2 lần thì cảm kh{ng cũng tăng 2 lần: LL 2R Z'2Z 3  Câu 10 Hướng dẫn: Chọn đáp án C
DẠYKÈMQUYNHƠNOFFICIAL 22 22 u uU2cost 2cost ui U 2 i UIiI2costI2sint2sint 2 I                        Câu 11 Hướng
A 1L11 1 2 2C12 Zf2f 6f Zf83    Câu
Hướng
Đồ thị 2 2
I 1 RL C       theo  có
trí đỉnh
I'I 
Hướng
án B NBScos(t)   0 0 E 2 e'NBSsin(t)Ecost222                    Câu 14 Hướng dẫn: Chọn đáp án C 12 12 2 12 2 2 2 12 Mac U P RR U hRCRLconghöông: ' P' cosPcos MachR 120cos RR RL:             
dẫn: Chọn đáp án
12:
dẫn: Chọn đáp án C
U
dạng như hình vẽ. Càng gần vị
dòng hiệu dụng càng lớn nên
Câu 13:
dẫn: Chọn đáp
DẠYKÈMQUYNHƠNOFFICIAL Dùng phương pháp véc tơ trượt, tam giác cân AMB tính được 030 nên: 20 P'120cos3090(W)   Câu 15: Hướng dẫn: Chọn đáp án D 21 1 2 212 12 1 2 1 N0,43NN1200 U NNN240,45NN516 U N24n0,5N51624n0,51200n60                  Câu 16: Hướng dẫn: Chọn đáp án B C 2 2 224 22 2 1 U U CUI.ZC LR R1LC2C1 L C2 C               , CU phụ thuộc 2  theo kiểu hàm tam thức bậc 2 nên: 22 212 02   Câu 17: Hướng dẫn: Chọn đáp án A Lmax RCUUU   , áp dụng hệ thức lượng trong tam giác vuông 2 ba.b'  ta được: 2 LLC UU(UU)  2 U100(10036)U80(V)  Câu 18: Hướng dẫn: Chọn đáp án B
DẠYKÈMQUYNHƠNOFFICIAL C 1 Z40() C   ABAMMB MB AB AM AM AM AM u(uu)u 150 Z 1Z17(4040i)iuu502 12 Z                  Thực hiện các thao tác bấm máy tính shift21cos  được kết quả 0,84, nghĩa là cos0,84  Câu 19: Hướng dẫn: Chọn đáp án C 2f100(rad/s) 1 3 0 E210022 N N 400N100 5 4 10010      Câu 20: Hướng dẫn: Chọn đáp án C 22 22 L L Cmax URZ ZUR20 U U3 R102 R R2      Câu 21: Hướng dẫn: Chọn đáp án A LC 2 2 2 2 LC 2 UUU R;Z;Z 0,250,50,2 U U I 0,2(A) R(ZZ)UUU 0,250,50,2                      Câu 22: Hướng dẫn: Chọn đáp án C Khi C thay đổi: R 2 2 U 1 UIR RmaxL C 1 RL C        

Câu

DẠYKÈMQUYNHƠNOFFICIAL
1
Câu 23 Hướng dẫn: Chọn đáp án B Mạch chỉ chứa điện trở thuần thì u1 và i cùng pha và
iu R
hp co PUIcosP11 H 1
PUIcos220.0,5.0,8     
24 Hướng dẫn: Chọn đáp án D
0,87587,5%
Hướng
Khi
số 1 thì 2L11 1 C1 1 ZL LC Z1 C    mà 2 2 1 LC  nên 2 L11 2 C12 Z Z    L1 12 C1 Z Z 
Hướng dẫn: Chọn đáp án C Nguồn một chiều: 1 1 UU IR30() RI  Nguồn xoay chiều: L 22222 L ZL40() U12 I 0,24(A) RZ3040           Câu 27 Hướng dẫn: Chọn đáp án C Khi cho biết hai giá trị 1 và 2 mà max 12 I II n  thì 12 ZZnR  hay
Câu 25
dẫn: Chọn đáp án B
tần
Câu 26
DẠYKÈMQUYNHƠNOFFICIAL 2 2 2 2 1 2 1 2 1 1 RLRLnR C C                  Nếu 12 thì chỉ có thể xảy ra trường hợp: 2 1 1 2 2 2 1 LRn1 C 1 LRn1 C         Từ hệ này có thể đi theo hai hướng: * Nếu cho biết L mà không biết C thì khử C: 2 2 1 1 222 12 12 12 2 2 2 2 2 1 LRn1 L() C L()Rn1()R 1 n1 LRn1 C           * Nếu cho biết C mà không biết L thì khử L: 2 2 1 1 2 12 22 2 2 21 12 12 2 2 2 1Rn1 L C ()1111 Rn1R CC Cn1 1Rn1 L C                         Ý của bài toán, khi 1 hoặc 2 thì max 12 I II 2  Sau khi nghiên cứu kĩ phương pháp nói trên, thay giá trị vào công thức: 12 2 L0,8200 R()160() n21 1      Câu 28 Hướng dẫn: Chọn đáp án B Cách 1: t0 1 t0 400 i=0vaigiam u400cos100tu400(V) 1 i22cos(100t) 100 4002                  
DẠYKÈMQUYNHƠNOFFICIAL 2 XR PPPUIcosIR200(W)  Cách 2: Dùng véc tơ quay. Vì 1 t100 4004  nên 244   2 XR PPPUIcosIR200(W)  Câu 29 Hướng dẫn: Chọn đáp án C AMB cân tại M nên 0 0 0 MB MB MB 157560cos0,5  Câu 30 Hướng dẫn: Chọn đáp án B C 1 Z200() C   . Tam giác AMB đều: L L Z1 Z100L(H)  Câu 31 Hướng dẫn: Chọn đáp án B Lúc đầu công suất mạch tiêu thụ 2 2 2 2 LC U(Rr)PI(Rr) (1)(Rr)(ZZ)    Sau đó tụ nối tắt, vẽ giản đồ véc tơ trượt và từ giản đồ ta nhận thấy AMB
DẠYKÈMQUYNHƠNOFFICIAL cân tại M: MB ZR60()  0 MB 0 LMB rZcos6030() ZZsin60303()         Thay r và LZ vào (1) 2 C 2 2 C 15090 250 Z303() 90(303Z)    Câu 32 Hướng dẫn: Chọn đáp án A 2 2 LC LrCLrC 2 2 LC r(ZZ)UIZU min (rR)(ZZ)     LC ZZ0  và LrCmin r UU rR   Đồ thị phụ thuộc LrCU theo LC (ZZ)có dạng như hình bên LC LrCmin LC LrCmin r ZZ0UU rR ZZUU         MBminLrCmin r r UUU75200.r24() rRr40      Câu 33 Hướng dẫn: Chọn đáp án B Cách 1: Theo bài ra: 1 1 1 1 1 111 1 PP120PP32P P P144PP152P 4 32P P PnPnP152P150P 4 16               

Cách 2: Khi U tăng gấp đôi thì hao phí giảm 4 lần nghĩa là phần điện năng có ích tăng thêm 11 1 3P 144P120PP32P 4 

 . Khi U tăng 4 lần thì phần điện năng có ích tăng thêm 1 15P 30P 16 

, tức là đủ cho 120 + 30 = 150 hộ dân. Câu 34 Hướng dẫn: Chọn đáp án C Khi đầu N để hở, điện trở của mạch: U 2xR30()R302x I 

DẠYKÈMQUYNHƠNOFFICIAL
điện trở của mạch: 2R(802x)U200 x ()R(802x)I7    (302x)(802x)200 x 2x x10()MQMN45(km)1104x7 40    Câu 35 Hướng dẫn: Chọn đáp án B UIR220(V)  Câu 36 Hướng dẫn: Chọn đáp án B 211 1 21 L 122 2 UIff U I II2,5(A)ZLIff     Câu 37 Hướng dẫn: Chọn đáp án B ui 3 cos0,86 62   Câu 38 Hướng dẫn: Chọn đáp án C
Khi đầu N nối tắt,
DẠYKÈMQUYNHƠNOFFICIAL Cách 1: L ZL100 ; C 1 Z200 C   2 2 0 LC 0 LC U2202 ZR(ZZ)1002()I 2,2 Z1002 ZZ tan 1 0:utrephahônila R 4 4               i2,2cos100t(A) 4       Cách 2: Biểu thức dòng điện 0u LC iuU ZRi(ZZ)    Máy tính cầm tay: Fx 570ES, 570Es Plus: SHIFT MODE 1; MODE 2; SHIFT MODE 4 Nhập: 12202111i2,2cos100t(A) 00(100200)i54 4        Câu 39 Hướng dẫn: Chọn đáp án C 4 3 maxB.S0,4.60.102,4.10(Wb)  Câu 40 Hướng dẫn: Chọn đáp án A 0 02 2 LC 2 2 2 2 R L L RL L 00L U I 11(A) R(ZZ) uu1u 003 uu 1 1u440(V)IRIZ11.2011.80                     Câu 41 Hướng dẫn: Chọn đáp án A 34 11 22UU13 1 33 424 44 UN UNUNN(1)UNUNN UN         
DẠYKÈMQUYNHƠNOFFICIAL

   0X UU2257V Cách 2: Bình phương vô hướng: ANMB UU2U   , ta được: 2 2 02 (252)(502)2.252.50.2.cos60(2U)U12,514V   0X UU2257V Cách 3: Cộng số phức: ANMBLXXCX uuuuuu2u2u  shift23 ANMB 11 u(uu)5010025140,33 223        0 U257V Câu 43 Hướng dẫn: Chọn đáp án B CL 2 2 2 f22 ff C RC LC,Lmax RC,Lmax f f U U 1 1 fU fU                    2 4 C,Lmax C,Lmax 1U 2U1U138,56(V)        Câu 44
Khi đổi vai trò các cuộn dây của 2M thì: 114 423 UUNN(2) 'NN  Nhân vế theo vế (1) với (2): 2 1111 4422 UUNN200200 .8 UU'NN12,550      Câu 42 Hướng dẫn: Chọn đáp án C Cách 1: Ta nhận thấy: ANMBLXXCX UUUUUU2U2U 
Vẽ giản đồ véc tơ (nối đuôi), áp dụng định lí hàm số cosin: 2 2 2 0 (2U)(252)(502)2.252.50.2.cos120U12,514V

Câu 45 Hướng dẫn: Chọn đáp án C Cách 1: Khi gặp các bài toán liên quan đến độ lẹch pha của các dòng điện trong hai trường hợp do sự thay đổi của các thông số của mạch, ta phải vẽ hai giản đồ véc tơ. Hai giản đồ này có chung véctơ tổng U  Để giải quyết bài toán này, chúng ta tịnh tiến hai giản đồ lại gần nhau sao cho véc tơ tổng trùng nhau. Ta đã biết với mạch RLC nối tiếp thì:

DẠYKÈMQUYNHƠNOFFICIAL Hướng
Từ công
LC LC L C ZZ tan ZZRtanZRtanZ R   C L L C 2 2222 LC UU(RtanZ) Z U U R(RsinZcos)R(ZZ)RRtan        22 L C 0 U URZcos() R  với 0 C R tan Z Để LmaxU thì 0 . 1LL  và 2LL  thì L1L2UU  , từ đó suy ra: 10 20 cos()cos()  , hay 12 10200()() 0,785rad 2   .
RLCRLC UUUUUU   ( RU  cùng pha với I  , còn LCU  thì vuông pha với I  ). Vì hai dòng điện vuông pha với nhau thì tứ giác trên giản đồ ghép là hình chữ nhật. Do đó: 21 C C1CC2 R1LC212LC2I2I Z ZZ;ZR2LC121C1L 3 UUIRI(ZZ) UUIRI(ZZ)       
dẫn: Chọn đáp án C
thức:
DẠYKÈMQUYNHƠNOFFICIAL C L L C CL Z R3ZZ2R 3 Z5R 3R(ZZ)              Ban đầu: 2 2 0RL 00 22 RL U452 UIZZ R(2R5R)90(V)ZR4R     Cách 2: Phương pháp giản đồ véc tơ kếp lấy trục U làm chuẩn Ta thấy: R2R1 RL2RL121 L2L1 C1 21C2 U3U3a U3UI3I R3U3b Z C3CZ 3          C2C1L2R1R2L1 UUUUUU3ba3bab2a  R1 R2 L1 Ua U3a U2a       22 22 R1R2 0 22 22 1R1L1 UUUa(3a) U U452U90(V) ANU45Ua(2a)        Cách 3: Phương pháp giản đồ véc tơ kép lấy trục I làm chuẩn.

Lấy trục I làm chuẩn thì khi C thay đổi, phương của các véctơ AM và véctơ MB không thay đổi (chỉ thay đổi về độ lớn) còn véctơ U thì có chiều dài không đổi (đầu mút quay trên đường tròn tâm A). Vì 21 AM3AM

. Suy ra, điện áp hiệu dụng trên tụ không thay đổi 11BM và 22BM bằng nhau và song song với nhau 1122 MBBM là hình

DẠYKÈMQUYNHƠNOFFICIAL
bình hành 121221 BBMMAMAM1354590   Tam giác 12ABB vuông cân tại A nên 12 12 BB UABAB452V 2  0 UU290V Câu 46 Hướng dẫn: Chọn đáp án C * Để tìm điều kiện dòng hiệu dụng cực đại, ta biến đổi như sau: 2 2 22 2 22 NBS NBS L E2 L2 I Z 11LR2L RL CCC2                  2 2 224 22 c a x x b NBS L2 I 11LR11 2 1 LCC2L       2 2 1212 0222 120 b1111LR IIxx2x C(1) a2 C2       
 nên 21I3I  . Mặt khác, 21 C3C  nên C1 C2 Z Z 3
DẠYKÈMQUYNHƠNOFFICIAL 1 11 2 22 nP1350.2
       Thay
2 62 2222 6
             Câu
Hướng
tttt
' H'H'H' 2
1HH'      2 H'0,123H'H'0,1080 H'0,877    Câu 48 Hướng dẫn: Chọn đáp án A U=141 (V) Câu 49 Hướng dẫn: Chọn đáp án A 22 QIRt2.100.3012000(J)12(kJ)    Câu 50 Hướng dẫn: Chọn đáp án B co hp P88 4 P11088   Câu 51: Hướng dẫn: Chọn đáp án A Mạch chỉ C thì i sớm hơn u là 3 2424    Câu 52
2f2290(rad/s) 6060 nP18002 2f22120(rad/s) 6060
số vào công thức (1) ta được:
111L69,1(176,810)L0,477(H) 290120176,8.102
47
dẫn: Chọn đáp án A
PP'1,2P1,2HP
PR1H'P' 1H'1,2H 1Hh (Ucos)1HP
DẠYKÈMQUYNHƠNOFFICIAL Hướng dẫn: Chọn đáp án A LZ tan1 R4   Câu 53: Hướng dẫn: Chọn đáp án D Điện trở của đèn: 2 dd d dd UU R484 II  Vì P P' 2  nên I I' 2  hay 22 2 2 dL dLC Z'Z2RZ2R(ZZ)   2 22 LCLCd Z4ZZ(2ZR)0  . Điều kiện để phương trình này có nghiệm với biến số LZ là: 222 CCd C R 4Z(2ZR)0Z342,23() 2    Câu 54 Hướng dẫn: Chọn đáp án B Chu kì 221 T4.100,02(s)2f100(rad/s) 36       Biểu thức: AN u200cos100t(V)   Vì MBu sớm hơn ANu là TT 2 126  tương đương về pha là 3  nên: MB u100cos100t(V) 3      

Hướng dẫn: Chọn đáp án B

Bước 1: Vặn đầu đánh dấu của núm xoay tới chấm có ghi 200, trong vùng ACV.

Bước 2: Cắm hai đầu nối của hai dây đo vào hai ổ COM và V

Bước 3: Nhấn nút ON OFF để bật nguồn của đồng hồ.

Bước 4: Cho hai đầu đo của hai dây đo tiếp xúc với hai đầu đoạn mạch cần đo điện áp.

Bước 5: Chờ cho các chữ số ổn định, đọc trị số của điện áp.

Bước 6: Kết thúc các thao tác đo, nhấn nút ON OFF để tắt nguồn của đồng hồ.

DẠYKÈMQUYNHƠNOFFICIAL Ta nhận thấy: xANMB 5u2u3u400300608,2760,441 3    x U608,27686,023(V) 52   Câu 55 Hướng dẫn: Chọn
án D Vì 022 12 12 90sinsin1  Mà MB1 1 AB UUsin U180 ; MB2 2 AB UU8sin U180 2 2 UU81U60(V)180180      
đáp
Câu 56
57 Hướng dẫn: Chọn đáp án A Để tăng điện áp thì hoặc cả hai máy đều tăng áp ghép liên tiếp hoặc máy 1 hạ áp còn máy 2 tăng áp: 2A1A 2B1B k2k18N3N 1k3N6N 2k2 k           
Câu
DẠYKÈMQUYNHƠNOFFICIAL Từ 1A2A1B2B 1A1B NNNN31004N7N3100  * Nếu 2B2A NNN  thì: 1A N N 3  , 1B N N 6  và 4N7N 3100 36  1A N1240N413,33 không nguyên  loại * Nếu 1B1A NNN  thì4N7N3100N281,8  không nguyên loại * Nếu 1B2A NNN  thì 1A N N 3  và 4N 7N3100N372 3  * Nếu 2B1A NNN  thì 1B N N 6  và 7N 4N3100N600 6  Câu 58 Hướng dẫn: Chọn đáp án C 22 C RCRC2 2 LC RZ UIZU R(ZZ)    22 LL C 2RCmax 22 LL C RC() 2 2 C RC(0) 1 22 22 L L ZZ4R 2UR Z UU 2 ZZ4R ZUU R R Z0UUUUU RZ RZ                Theo bài ra: L22 LL 2 2 1 22 22 L 200.200.2 400 Z300() ZZ4200 200200 U200200 110,9(V)200Z200300                Câu 59 Hướng dẫn: Chọn đáp án B Cách 1: Bảng chuẩn hóa số liệu f(Hz) U LZ CZ I hoặc CU hoặctan 60 1 1 a 122 1 I R(1a)  
DẠYKÈMQUYNHƠNOFFICIAL f(Hz) U LZ CZ I hoặc CU hoặctan 90 1,5 1,5 2a 3 2 2 2 I1,5 2aR1,53        30 0,5 0,5 2a  C3 2 2 U0,52a R0,52a   120 2 2 0,5a  C4 2 2 U20,5a R20,5a   1f 1 60a f C1 RC 60a Zf tan RR (Áp dụng: 2 2 LC UU I ZR(ZZ)   ; C CC2 2 LC UZ UIZ R(ZZ)   ) Vì C3C4UU  nên  2 2 2 2 0,52a20,5aa1 R0,52aR20,5a     Từ 12II  suy ra: 22 2 2 1 1,5 5 R 3 R(11) 2.1R1,53          * Khi 1ff  thì Lu sớm pha hơn RCu là 0135 mà Lu sớm pha hơn i là 090 nên RCu trễ pha hơn i là 045 , tức là 0 RC45 hay 1 RC 1 60. f tan11 5 3  1 f36580(Hz) Cách 2:
DẠYKÈMQUYNHƠNOFFICIAL Vì U tỉ lệ thuận với f nên Ukvới k là hệ số tỉ lệ và  là tần số góc. Biểu thức cường độ hiệu dụng và điện áp hiệu dụng trên tụ:    2 2 2 2 224 22 c a x x b l Uk L I Z 111LR11 2 1 RL CLCC2L                 CC 2 2 2 2 k k1CUIZ 1C 1 RL RL C C                     * Từ C1C2 2 1 1 1 UU60L240LLC(1) 60C240C14400                * Từ 12II  suy ra: 22 12 22 12 b11 xx (2LCRC)(2) a   Thay (1) vào (2) suy ra: 2 2 2 1111 RC2 14400(120)(180)725      * Khi 1ff  thì Lu sớm pha hơn RCu là 03 135 4   mà Lu sớm pha hơn i là 2  nên RCu trễ pha hơn i là 4  , tức là RC4   hay 1 RC 1 2fC tantan R4     1 1 f36580(Hz) 2RC  
DẠYKÈMQUYNHƠNOFFICIAL

Câu 140 Đặt vào hai đầu đoạn mạch một điện áp xoay chiều 100 V – 50 Hz. Đoạn mạch mắc nối tiếp gồm điện trở thuần R, cuộn cảm có độ tự cảm 1 LH   và tụ điện có dung kháng ZC. Biết công suất tiêu thụ trên mạch là 100 W và không thay đổi nếu mắc vào hai đầu L một ampe-kế có điện trở không đáng kể. Giá trị R và ZC lần lượt là A. 40 và 30 B. 50 và 50 C. 30 và 30 D. 20 và 50.  Câu 141 Đặt vào hai đầu đoạn mạch AB một điện áp xoay chiều 100 V – 50 Hz. Mạch AB gồm cuộn dây có điện trở thuần 20 có cảm kháng 60 mắc nối tiếp với tụ điện có dung kháng 20 rồi mắc nối tiếp với điện trở R. Nếu công suất tiêu thụ R là 40 W thì R bằng A. 5 B. 10 hoặc 200 C. 15 hoặc 100.  D. 20 . Câu 142: Một mạch gồm có điện trở R, cuộn cảm thuần L và tụ điện C mắc nối tiếp, điện áp giữa hai đầu đoạn mạch 502cos100u t  (V). Điện áp hiệu dụng ở hai đầu cuộn cảm và hai đầu tụ điện lần lượt là 30L UV  và 60C UV  . Biết công suất tiêu thụ trong mạch là 20 W. Giá trị R bằng A. 80 B. 10 C. 15 D. 20

OFFICIAL

Câu 143: Một mạch điện xoay chiều gồm điện trở R nối tiếp với cuộn dây có điện trở 10.  Đặt vào hai đầu đoạn mạch điện áp 406cos100u t  (V), (t đo bằng giây) thì cường độ

dòng điện chậm pha hơn điện áp giữa hai đầu đoạn mạch là 6  và công suất tỏa nhiệt trên R là 50 W. Cường độ hiệu dụng trong mạch là: A. 1 A hoặc 5 A. B. 5 A hoặc 3 A. C. 2 A hoặc 5 A. D. 2 A hoặc 4 A.

Câu 144 Mạch điện gồm cuộn dây có điện trở thuần 10 mắc nối tiếp với một bóng đèn 120 V – 60 W. Nối hai đầu mạch điện với nguồn điện xoay chiều 220 V - 50 Hz, thì đèn sáng bình thường.

DẠYKÈMQUYNHƠN
Độ tự cảm cuộn dây là: A. 1,19 H. B. 1,15 H. C. 0,639 H. D. 0,636 H. Câu 145: Đặt điện áp 120sin100 3 u t        (V) vào hai đầu một đoạn mạch thì dòng điện trong mạch có biểu thức 4cos100 6 i t        (A). Công suất tiêu thụ của đoạn mạch là A. 2403W B. 120W C. 240W D. 1203W

Câu 146: Đoạn mạch AB gồm hai đoạn AD và DB ghép nối tiếp. Điện áp tức thời trên các đoạn mạch và dòng điện qua chúng lần lượt có biểu thức: 1002cos100 2



 (A). Công suất tiêu thụ của đoạn mạch AB là A. 173,2 W. B. 242 W. C. 186,6 W. D. 250 W.

Câu 147 Khi đặt vào hai đầu một cuộn dây có độ tự cảm 0,4  (H) một hiệu điện thế một chiều 12 (V) thì cường độ dòng điện qua cuộn dây là 0,4 (A). Sau đó, thay hiệu điện thế này bằng một điện áp xoay chiều có tần số 50 (Hz) và giá trị hiệu dụng 12 (V) thì cường độ dòng điện hiệu dụng qua cuộn dây bằng A. 0,30 A. B. 0,40 A. C. 0,24 A. D. 0,17 A.

0,35L 

(H) một điện áp không đổi 12 V thì công suất tỏa nhiệt trên cuộn dây là 28,8 (W). Nếu đặt vào hai đầu cuộn dây đó điện áp xoay chiều có tần số 50 Hz và giá trị hiệu dụng là 25 V thì công suất tỏa nhiệt trên cuộn dây bằng bao nhiêu?

Câu 148: Đặt vào hai đầu cuộn dây có độ tự cảm

A. 14,4 (W). B. 5,0 (W). C. 2,5 (W). D. 28,8 (W).

Câu 149: Đặt vào hai đầu ống dây một điện áp một chiều 12V thì cường độ dòng điện trong ống dây là 0,24A. Đặt vào hai đầu ống dây một điện áp xoay chiều có tần số 50 Hz và giá trị hiệu dụng 100 V thì cường độ dòng điện hiệu dụng trong ống dây là 1A. Mắc mạch điện gồm ống dây nối tiếp với tụ điện có điện dung 87 CF  vào mạch điện xoay chiều nói trên. Công suất tiêu thụ trên mạch là: A. 50W. B. 200W. C. 120W. D. 100W. Câu 150 Khi đặt điện áp không đổi 30V vào hai đầu đoạn mạch gồm điện trở thuần mắc nối tiếp với cuộn cảm thuần có độ tự cảm 0,25  (H) thì

DẠYKÈMQUYNHƠN OFFICIAL
 
 
DAu t    
   (V); 2 1006cos100 3 DBu t
   (V) và 2cos100 3 i t    
dòng điện trong đoạn mạch là dòng điện một chiều có cường độ 1 A. Nếu đặt vào hai đầu đoạn mạch này điện áp 1502cos120u t  (V) thì biểu thức của cường độ dòng điện trong đoạn mạch là A. 52cos120 4 i tA          B.  5cos120. 4 i tA        C.  52cos120. 4 i tA         D.  5cos120. 4 i tA        

Câu 151: Đặt điện áp xoay chiều có giá trị cực đại U0 vào hai đầu một điện trở thuần R thì công suất tiêu thụ là P. Khi đặt vào hai đầu điện trở đó một hiệu điện thế không đổi có giá trị U0 thì công suất tiêu thụ trên R là A. P. B. 2P. C. 2.P D. 4P.

Câu 152: Mạch gồm điện trở 100R mắc nối tiếp với cuộn dây thuần cảm 1 L   (H). Điện áp đặt vào hai đầu đoạn mạch có dạng 2 400cos50u t

(V). Cường độ dòng điện hiệu dụng qua mạch có giá trị bằng A. 1 A.B. 3,26 A. C.  22A D. 5. A

Câu 153: Đặt một điện áp có biểu thức 2 2002cos100u t  (V) vào hai đầu đoạn mạch

AB gồm điện trở 100R và cuộn cảm thuần có độ tự cảm 0,25  (H) mắc nối tiếp. Công suất tỏa nhiệt trên điện trở là A. 280 W. B. 50 W. C. 320 W. D. 80 W. Câu 154: Đặt vào 2 đầu mạch điện có 2 phần tử C và R với điện trở 100 RCZ  một nguồn điện tổng hợp có biểu thức 100cos100100 4

V. Tính công suất tỏa nhiệt trên điện trở. A. 50 W. B. 200 W. C. 25 W. D. 150 W.

BÀI TOÁN LIÊN QUAN ĐẾN GIẢN ĐỒ VÉCTƠ

Câu 155: Trên đoạn mạch xoay chiều không phân nhánh có bốn điểm theo đúng thứ tự A, M, N và B. Giữa hai điểm A và M chỉ có cuộn cảm thuần, giữa hai điểm M và N chỉ có điện trở thuần, giữa hai điểm N và B chỉ có tụ điện. Điện áp hiệu dụng giữa hai điểm A và N là 400 (V) và điện áp hiệu dụng hai điểm M và B là 300 (V). Điện áp tức thời trên đoạn AN và trên

đoạn MB lệch pha nhau 90 Điện áp hiệu dụng trên R là

A. 240 (V) B. 120 (V) C. 500 (V) D. 180 (V) Câu 156: Trên đoạn mạch xoay chiều không phân nhánh có bốn điểm theo đúng thứ tự A, M, N và B. Giữa hai điểm A và M chỉ có cuộn cảm thuần, giữa hai điểm M và N chỉ có điện trở thuần, giữa 2 điểm N và B chỉ có tụ điện. Điện áp hiệu dụng giữa hai điểm A và M là 150 (V) và điện áp hiệu dụng giữa hai điểm N và B là 200 3 (V). Điện áp tức thời trên đoạn AN và trên đoạn MB lệch pha nhau 90 . Điện áp hiệu dụng trên R là

DẠYKÈMQUYNHƠN
OFFICIAL
 
              
u t

A. 100 (V). B. 120 (V). C. 90 (V). D. 180 (V).

Câu 157: Mạch điện xoay chiều nối tiếp AB theo đúng thứ tự gồm cuộn cảm thuần L, điện

trở thuần R và tụ điện C. Cho biết điện áp hiệu dụng 0,75RC RLUU  và 2L R C  . Tính hệ số công suất của đoạn mạch AB.

A. 0,8. B. 0,864. C. 0,5. D. 0,867.

Câu 158: Mạch điện xoay chiều nối tiếp AB theo đúng thứ tự gồm cuộn cảm thuần L, điện trở thuần R và tụ điện C. Cho biết điện áp hiệu dụng 3RL RCUU  và 2L R C  . Tính hệ số công suất của đoạn mạch AB.

A. 2 7 B. 3 5 C. 3 7 D. 2 5

Câu 159: Trên đoạn mạch xoay chiều không phân nhánh có bốn điểm theo đúng thứ tự A, B, C và D. Giữa hai điểm A và B chỉ có tụ điện, giữa hai điểm B và C chỉ có điện trở thuần, giữa 2 điểm C và D chỉ có cuộn cảm thuần cảm. Điện áp hiệu dụng giữa hai điểm A và D là 1003 (V) và cường độ hiệu dụng chạy qua mạch là 1 (A). Điện áp tức thời trên đoạn AC và trên đoạn BD lệch pha nhau 60 nhưng giá trị hiệu dụng thì bằng nhau. Dung kháng của tụ điện là A. 40.  B. 100.  C. 503.  D. 20. 

Câu 160: Trên đoạn mạch xoay chiều không phân nhánh có bốn điểm theo đúng thứ tự A, M, N và B. Giữa hai điểm A và M chỉ có cuộn dây, giữa hai điểm M và N chỉ có điện trở thuần, giữa 2 điểm N và B chỉ có tụ điện. Điện áp hiệu dụng giữa hai điểm A và N là 60 (V) và điện áp hiệu dụng giữa hai điểm M và B là 403 (V). Điện áp tức thời trên đoạn AN và trên đoạn MB lệch pha nhau 90 , điện áp tức thời trên đoạn MB và trên đoạn NB lệch pha nhau 30 và cường độ hiệu dụng trong mạch là 3 (A). Điện trở thuần của cuộn dây là A. 40

B. 10

50.  D. 20.  Câu161: Trên đoạn mạch xoay chiều không phân nhánh có bốn

DẠYKÈMQUYNHƠN
OFFICIAL
C.

điểm theo đúng thứ tự A, N, M và B. Giữa hai điểm A và N chỉ có điện trở thuần R, giữa hai điểm N và M chỉ có cuộn dây (có điện trở thuần rR  ), giữa 2 điểm M và B chỉ có tụ điện. Đặt vào hai đầu đoạn mạch một điện áp U – 50 Hz thì điện áp hiệu dụng trên đoạn AM bằng trên đoạn NB và bằng 305 (V). Điện áp tức thời trên đoạn AM vuông pha với điện áp trên đoạn NB. Giá trị U bằng

OFFICIAL

A. 30 V. B. 90 V. C. 602 V. D. 120 V. Câu 162: Trên đoạn mạch xoay chiều không phân nhánh có bốn điểm theo đúng thứ tự A, M, N và B. Giữa hai điểm A và M chỉ có điện trở thuần R, giữa hai điểm M và N chỉ có cuộn dây, giữa hai điểm N và B chỉ có tụ điện. Cuộn dây điện trở thuần 0,5 rR  . Điện áp hiệu dụng trên đoạn AN là 3U và trên đoạn MB là U. Điện áp tức thời trên đoạn AN và trên đoạn MB lệch pha nhau 90 Điện áp tức thời ANu sớm pha hơn dòng điện là A. 60 B. 45 C. 30 D. 15 Câu 163 Đoạn mạch điện xoay chiều gồm điện trở thuần 30 mắc nối tiếp với cuộn dây. Điện áp hiệu dụng ở hai đầu cuộn dây là 120 V. Dòng điện trong mạch lệch pha 6  so với điện áp hai đầu đoạn mạch và lệch pha 3  so với điện áp hai đầu cuộn dây. Cường độ hiệu dụng dòng điện qua mạch bằng A.  33. A B. 3 (A). C. 4 (A). D. 2A

Câu 164 Đoạn mạch điện xoay chiều AB gồm điện trở thuần R mắc nối tiếp với cuộn dây. Điện áp hiệu dụng ở hai đầu điện trở, cuộn dây và hai đầu đoạn mạch lần lượt là 70 V, 150 V và 200 V. Hệ số công suất của cuộn dây là A. 0,5. B. 0,9. C. 0,6. D. 0,6.

Câu 165 Đoạn mạch điện xoay chiều gồm điện trở thuần R mắc nối tiếp với cuộn dây. Điện áp hiệu dụng ở hai đầu

DẠYKÈMQUYNHƠN

điện trở, cuộn dây và hai đầu đoạn mạch lần lượt là 35 V, 85 V và 752 V. Cuộn dây tiêu thụ công suất 40 W. Tổng điện trở thuần của toàn mạch là

A. 50 B. 35 C. 40 D. 75

Câu 166 Đặt một điện áp xoay chiều có giá trị hiệu dụng 200(V) vào hai đầu đoạn mạch AB gồm cuộn cảm thuần có độ tự cảm L, điện trở thuần R và tụ điện có điện dung C mắc nối tiếp

theo thứ tự trên. Điện áp hiệu dụng trên L là 2002 (V) và trên đoạn chứa RC là 200(V). Điện áp hiệu dụng giữa hai đầu tụ điện là

A. 80 (V). B. 60 (V). C. 1002 (V). D. 1003 (V). Câu 167 Đặt điện áp 1202cos100u t  (V) vào hai đầu đoạn mạch AB gồm hai đoạn mạch AM và MB mắc nối tiếp. Đoạn AM gồm cuộn cảm thuần L mắc nối tiếp với điện trở thuần R, đoạn MB chỉ có tụ điện C. Biết điện áp giữa hai đầu đoạn mạch AM và điện áp giữa hai đầu đoạn mạch MB lệch

OFFICIAL

pha nhau 2 3  . Điện áp hiệu dụng trên AM bằng một nửa trên MB. Điện áp hiệu dụng giữa hai đầu đoạn mạch AM bằng A. 403. V B. 220 . 3 V C. 120. V D. 40. V Câu 168 Mạch điện gồm cuộn dây mắc nối tiếp với tụ điện C. Đặt vào hai đầu đoạn mạch điện áp xoay chiều 200 V – 50 Hz thì điện áp hai đầu cuộn dây và hai đầu tụ điện có cùng giá trị hiệu dụng nhưng lệch pha nhau 120 . Điện áp hiệu dụng trên tụ là A. 100 V. B. 200 V. C. 300 V. D. 400 V. Câu 169 Một đoạn mạch xoay chiều gồm cuộn dây mắc nối tiếp với tụ điện. Độ lệch pha giữa cường độ dòng điện trong mạch và điện áp hai đầu mạch là 3  . Điện áp hiệu dụng giữa hai đầu tụ bằng 3 lần điện áp hai đầu cuộn dây. Độ lệch pha của điện áp giữa hai đầu cuộn dây so với cường

DẠYKÈMQUYNHƠN
A. . 3  B. . 2  C. . 4  D. . 6  Câu 170 Đặt điện áp 100
trở thuần r,
độ dòng điện trong mạch là
V – 25 Hz vào hai đầu đoạn mạch mắc nối tiếp gồm cuộn dây có điện
có độ tự cảm L và tụ điện có điện dung 0,1C 
(mF). Biết điện áp hai đầu

cuộn dây sớm pha hơn dòng điện trong mạch là 6  , đồng thời điện áp hiệu dụng hai đầu cuộn dây gấp đôi trên tụ điện. Công suất tiêu thụ của toàn mạch là A. 1003 W. B. 50 3 W. C. 200 W. D. 120 W. Câu 171 Đặt điện áp 0cos uUt 

(U0 và  không đổi) vào hai đầu đoạn mạch AB theo thứ tự gồm một tụ điện, một cuộn cảm thuần và một điện trở thuần mắc nối tiếp. Gọi M là điểm nối giữa tụđiện và cuộn cảm. Biết điện áp hiệu dụng giữa hai đầu MB gấp 3 lần điện áp hiệu dụng giữa hai đầu AM và cường độ dòng điện trong đoạn mạch lệch pha 6  so với điện áp giữa hai đầu đoạn mạch. Hệ số công suất của đoạn mạch MB là A. 0,53 B. 0,52 C. 0,50. D. 1. Câu 172 Đặt điện áp 0cos uUt  (U0 và  không đổi) vào hai đầu đoạn mạch AB theo thứ tự gồm một tụ điện, một cuộn cảm thuần và một điện trở thuần mắc nối tiếp. Gọi M là điểm nối giữa tụ điện và cuộn cảm. Biết điện áp hiệu dụng giữa hai đầu AM bằng điện áp hiệu dụng giữa hai đầu MB và cường độ dòng điện trong đoạn mạch lệch pha 12  so với điện áp giữa hai đầu đoạn mạch. Hệ số công suất của đoạn mạch MB là

410 2 (F). Biết điện áp giữa hai đầu đoạn mạch AM lệch pha 3  so với điện áp giữa hai đầu đoạn mạch AB. Giá trị của

L bằng

DẠYKÈMQUYNHƠN
OFFICIAL
A. 2 .H  B. 1 .H  C. 2 .H  D. 3 .H  Câu
A. 0,53 B. 0,26. C. 0,50. D. 0,52 Câu 173 Đặt điện áp 0cos100 uUt   (V) vào hai đầu đoạn mạch AB gồm hai đoạn mạch AM và MB mắc nối tiếp. Đoạn mạch AM gồm điện trở thuần 1003 mắc nối tiếp với cuộn cảm thuần có độ tự cảm L. Đoạn mạch MB chỉ có tụ điện có điện dung Đặt
174
điện áp xoay chiều tần số 50 Hz vào hai đầu đoạn mạch AB gồm hai đoạn mạch AM và MB mắc nối tiếp. Đoạn AM gồm điện trở thuần 1003

mắc nối tiếp với cuộn cảm thuần có độ tự cảm L, đoạn MB chỉ có tụ điện có điện dung 0,05  (mF). Biết điện áp giữa hai đầu đoạn mạch MB và điện áp giữa hai đầu đoạn mạch AB lệch pha nhau 3

Câu 175 Đặt điện áp xoay chiều tần số 300 V - 50 Hz vào hai đầu đoạn mạch AB gồm hai đoạn mạch AM và MB mắc nối tiếp. Đoạn AM gồm điện trở thuần mắc nối tiếp với cuộn cảm thuần, đoạn MB chỉ có tụ điện. Biết điện áp hiệu dụng giữa hai đầu đoạn mạch MB là 140 V và dòng điện trong mạch trễ pha hơn điện áp hai đầu đoạn mạch AB là  sao cho cos0,8 

Điện áp hiệu dụng giữa hai đầu đoạn mạch AM là

A. 300 V. B. 200 V. C. 500 V. D. 400 V. Câu 176 Một đoạn mạch gồm tụ điện mắc nối tiếp với một cuộn dây. Điện áp giữa hai đầu cuộn dây lệch pha 3  so với cường độ dòng điện và lệch pha 2  so với điện áp hai đầu đoạn mạch. Biết điện áp hiệu dụng giữa hai đầu đoạn mạch bằng 100 V, khi đó điện áp hiệu dụng trên tụ điện và trên cuộn dây lần lượt là A. 60V và 603 V. B. 200V và 1003 V. C. 603 V và 100V. D. 1003 V và 200V. Câu 177 Một đoạn mạch điện xoay chiều gồm một tụ điện có dung kháng 200 Ω và một cuộn dây mắc nối tiếp. Khi đặt vào hai đầu đoạn mạch trên một điện áp xoay chiều luôn có biểu thức

DẠYKÈMQUYNHƠN OFFICIAL
A. 2 H  B. 1 H  C. 3 H  D. 3 H 
. Giá trị L bằng
1202cos100 3 u t         (V)
là 120 và sớm pha 2  so
điện áp đặt vào mạch. Công suất tiêu thụ của cuộn dây là A. 72 W. B. 240 W. C. 120 W. D. 144 W. Câu 178 Trên đoạn mạch xoay chiều không phân nhánh có bốn điểm theo đúng thứ tự A, M, N và B. Giữa hai điểm A và M chỉ có điện trở thuần, giữa hai điểm M và N chỉ có tụ điện, giữa hai điểm N và B chỉ có cuộn cảm thuần. Đặt vào
thì thấy điện áp giữa hai đầu cuộn dây có giá trị hiệu dụng
với

AB một điện áp xoay chiều 120 V – 50 Hz thì điện áp tức thời trên đoạn AN và trên đoạn AB lệch pha nhau 600, điện áp tức thời trên đoạn AB và trên đoạn NB lệch pha nhau 600. Điện áp hiệu dụng giữa hai đầu tụ điện là|

A. 120 (V). B. 60 (V). C. 602 (V). D. 100 (V)

Câu 179 Trên đoạn mạch xoay chiều không phân nhánh có bốn điểm theo đúng thứ tự A, M, N và B. Giữa hai điểm A và M chỉ có điện trở thuần R, giữa hai điểm M và N chỉ có tụ điện, giữa hai điểm N và B chỉ có cuộn cảm. Đặt vào hai đầu đoạn mạch một điện áp 903V50Hz thì điện áp hiệu dụng trên R và trên đoạn MB đều là 90 (V). Điện áp tức thời hai đầu đoạn mạch AN và MB lệch pha nhau /2. Điện áp hiệu dụng trên đoạn AN là

OFFICIAL

A. 80 (V) B. 60 (V) C. 1002 (V)D. 603 (V).

Câu 180 Trên đoạn mạch xoay chiều không phân nhánh có bốn điểm theo đúng thứ tự A, M, N và B. Giữa hai điểm A và M chỉ có điện trở thuần, giữa hai điểm M và N chỉ có tụ điện, giữa hai điểm N và B chỉ có cuộn cảm. Đặt vào hai đầu đoạn mạch một điện áp xoay chiều 240V – 50 Hz thì uMB và uAM lệch pha nhau /3, uAB và uMB lệch pha nhau /6. Điện áp hiệu dụng trên R là A. 80 (V) B. 60 (V) C. 802 (V) D. 603 (V). Câu 181 Đặt điện áp xoay chiều 1206cosu t  vào hai đầu đoạn mạch AB gồm hai đoạn mạch AM và MB mắc nối tiếp thì cường độ hiệu dụng qua mạch là 0,5 A. Đoạn AM gồm điện trở thuần R mắc nối tiếp với tụ điện C, đoạn MB gồm cuộn cảm. Biết điện áp giữa hai đầu đoạn mạch MB và điện áp giữa hai đầu đoạn mạch AB lệch pha nhau /2. Điện áp hiệu dụng trên R bằng một nửa điện áp hiệu dụng trên đoạn AM. Công suất tiêu thụ của mạch là A. 60 (W) B. 90 (W) C. 903 (W) D. 603 (W)

DẠYKÈMQUYNHƠN

Câu 182 Trên đoạn mạch xoay chiều không phân nhánh có bốn điểm theo đúng thứ tự A, M, N và B. Giữa hai điểm A và M chỉ có cuộn dây, giữa hai điểm M và N chỉ có điện trở thuần R = 60 , giữa 2 điểm N và B chỉ có tụ điện. Điện áp hiệu dụng giữa hai điểm A và N là 120 (V) và điện áp hiệu dụng hai điểm M và B là 803(V) . Điện áp tức thời trên đoạn AN và trên đoạn MB lệch pha nhau 900 , điện áp tức thời trên MB và trên NB lệch pha nhau 300 Điện trở thuần của cuộn dây là A. 40 B. 60 C. 30 D. 20 Câu 183 Đặt điện áp xoay chiều 1206cos(V)u t  vào hai đầu đoạn mạch AB gồm hai đoạn mạch AM và MB mắc nối tiếp. Đoạn AM là cuộn dây có điện trở thuần r và có độ tự cảm L, đoạn MB gồm điện trở thuần R mắc nối tiếp với tụ điện C. Điện áp hiệu dụng trên đoạn MB gấp đôi điện áp hiệu dụng trên R và cường độ hiệu dụng của dòng điện trong mạch là 0,5 A. Điện áp trên đoạn MB lệch pha so với điện áp hai đầu đoạn mạch là /2. Công suất tiêu thụ toàn mạch là

OFFICIAL

A. 150W B.20W

C. 90W D. 100W

Câu 184 Trên đoạn mạch xoay chiều không phân nhánh có bốn điểm theo đúng thứ tự A, M, N và B. Giữa hai điểm A và M chỉ có cuộn dây, giữa hai điểm M và N chỉ có điện trở thuần R, giữa 2 điểm N à B chỉ có tụ điện. Điện áp hiệu dụng trên AB, AN và

MN thỏa mãn hệ thức UAB = UAN =UMN 3 = 120 3 (V). Dòng hiệu dụng trong mạch là 22 (A). Điện áp tức thời trên AN và trên đoạn AB lệch pha nhau một góc đúng bằng góc lệch pha giữa điện áp tức thời trên AM và dòng điện. Tính cảm kháng của cuộn dây. A. 603()  B. 156()  C. 303()  D. 302() 

Câu 185 Một mạch điện xoay chiều nối tiếp gồm tụ điện có điện dung C, điện trở huần R và cuộn dây có độ tự cảm L có điện trở thuần r. Dùng vôn kế có điện trở rất lớn lần lượt đo hai đầu điện trở, hai đầu cuộn dây và hai đầu đoạn mạch thì số chỉ lần lượt là 50 V, 302 V và 80 V. Biết điện áp tức thời trên cuộn dây sớm pha hơn dòng điện là /4. Điện áp hiệu dụng trên tụ là A. 30VB. 302 V C. 60VD. 20V Câu 186 Một mạch điện xoay chiều nối tiếp AB gồm: đoạn AN chứa tụ điện C nối tiếp với điện trở thuần R và đoạn NB chỉ có cuộn dây có độ tự cảm L có điện trở thuần r. Điện áp hiệu

DẠYKÈMQUYNHƠN

dụng trên các đoạn AN, NB và AB lần lượt là 80 V, 170 V và 150 V. Cường độ hiệu dụng qua mạch là 1 A. Hệ số công suất của đoạn AN là 0,8. Tổng điện trở thuần của toàn mạch là

A. 138 B. 302 C. 60 D. 90 Câu187 Đặt điện áp xoay chiều u = 80cost (V) vào hai đầu đoạn mạch nối tiếp gồm điện trở R, cuộn cảm có độ tự cảm L, có điện trở thuần r và tụ điện C thì công suất tiêu thụ của mạch là 40 W. Biết điện áp hiệu dụng trên điện trở, trên cuộn cảm và trên tụ điện lần lượt là 25V, 25V và 60 V. Giá trị r bằng A. 50 B. 15 C. 20 D. 30 Câu 188 Đặt điện áp uU2cos100t 6

vào hai đầu đoạn mạch AB. Đoạn AB có bốn điểm theo đúng thứ tự A, M, N và B. Giữa hai điểm A và M chỉ có điện trở thuần R, giữa hai điểm M và N chỉ có cuộn dây có cảm kháng 100  có điện trở r = 0,5R, giữa 2 điểm N và B chỉ có tụ điện có dung kháng 200  Điện áp hiệu dụng trên đoạn AN là 200 (V). Điện áp tức thời trên đoạn MN và AB lệch pha nhau /2. Nếu biểu thức dòng điện trong mạch là  iiI2cos100t   A thì giá trị của I và i lần lượt là A. 1A và π/3 B. 2 A và π/3 C. 2 A và π/4 D. 1A và π/4 Câu 189: Trên đoạn mạch xoay chiều không phân nhánh có bốn điểm theo đúng thứ tự A, M, N và B. Giữa hai điểm A và M chỉ có điện trở R, giữa hai điểm M và N chỉ có cuộn cảm mà điện trở thuần r = 0,5R và độ tự cảm L = 1/π H, giữa 2 điểm N và B chỉ có tụ điện có điện dung C = 50/π F. Điện áp hiệu dụng trên đoạn AN là 200 V. Điện áp trên đoạn MN lệch pha với điện áp trên AB là π/2. Biểu thức điện áp trên AB là 120 uUcos100t 12

OFFICIAL

Câu 190: Đoạn mạch xoay chiều AB gồm hai đoạn AM nối tiếp với MB. Đoạn AM gồm điện trở thuần R nối tiếp với cuộn cảm có điện trở r và đoạn MB chỉ có tụ điện. Điện áp trên đoạn AM và AB có cùng giá trị hiệu dụng nhưng lệch pha nhau 600 . Điện áp trên cuộn cảm vuông pha với điện áp trên AB. Tỉ số r/R là A. 0,5 B. 2. C. 1. D. 0,87

Câu 191: Đặt điện áp xoay chiều 60 V – 50 Hz vào hai đầu đoạn mạch AB gồm hai đoạn mạch AD và DB mắc nối tiếp. Đoạn AD gồm điện trở thuần nối tiếp cuộn cảm thuần, đoạn DB chỉ có tụ điện. Điện áp hiệu dụng trên AD và trên DB đều là 60 V. Hỏi dòng điện trong mạch sớm hay trễ pha hơn điện áp hai đầu đoạn mạch AB?

A. Trễ pha hơn 600 . B. Sớm pha hơn 600 . C. Sớm pha hơn 300 D. Trễ pha hơn 300

DẠYKÈMQUYNHƠN
 
 

  

V
      V. Biểu thức điện áp trên NB là A. NB u2002cos(100t5/12)V.   B. NB u2002cos(100t/4)V.   C. NB u2002cos(100t/4)V
D. NB u2002cos(100t7/12)V 

Câu 192: Mạch điện xoay chiều nối tiếp có bốn điểm theo đúng thứ tự A, M, N và B. Giữa hai điểm A và M chỉ có tụ điện, giữa hai điểm M và N chỉ có điện trở R, giữa 2 điểm N và B chỉ có cuộn cảm thuần. Điện áp hiệu dụng trên đoạn AN và trên MB là 120 2 V và 200 V. Điện áp tức thời trên đoạn AN và MB lệch pha nhau 98,130. Tính điện áp hiệu dụng trên R

A. 120 V B. 100V C. 250V D. 160V

Câu 193: Có hai hộp kín X và Y chỉ chứa các phần tử ghép nối tiếp và trong chúng chỉ có thể chứa các điện trở thuần, cuộn cảm và tụ điện. Khi đặt điện áp xoay chiều 220 V – 50 Hz vào hai đầu X, thì dòng điện có giá trị hiệu dụng 2 A và sớm pha so với điện áp là π/2. Nếu thay X bởi Y thì dòng điện có giá trị hiệu dụng vẫn bằng 2 A nhưng cùng pha với điện áp. Khi đặt điện áp đó vào đoạn mạch gồm X và Y mắc nối tiếp thì dòng điện có giá trị hiệu dụng là

A. 2 (A) và trễ pha π/4 so với điện áp.

B. 2 (A) và sớm pha π/4 so với điện áp.

C. 0,5 2 (A) và sớm pha π/3 so với điện áp.

D. 0,5 2 (A) và trễ pha π/3 so với điện áp.

OFFICIAL

Câu 194: Lần lượt đặt điện {p xoay chiều 220 V – 50 Hz vào các dụng cụ P và Q thì dòng điện trong mạch đều có giá trị hiệu dụng bằng 1 A nhưng đối với P thì dòng sớm pha hơn so với điện áp đó là /3 còn đối với Q thì dòng cùng pha với điện áp đó. Biết trong các dụng cụ P và Q chỉ chứa các điện trở thuần, cuộn cảm và tụ điện. Khi mắc điện áp trên vào mạch chứa P và Q mắc nối tiếp thì dòng điện trong mạch có giá trị hiệu dụng là

A. 0,125 2 (A) và trễ pha π/4 so với điện áp giữa hai đầu đoạn mạch.

B. 0,125 2 (A) và sớm pha π/4 so với điện áp giữa hai đầu đoạn mạch.

C. 1/ 3 (A) và sớm pha π/6 so với điện áp giữa hai đầu đoạn mạch.

D. 1/ 3 (A) và trễ pha π/6 so với điện áp giữa hai đầu đoạn mạch.

Câu 195: Lần lượt đặt điện áp xoay chiều 220 V – 50 Hz vào các dụng cụ P và Q thì dòng điện trong mạch đều có giá trị hiệu dụng bằng 5,5 A nhưng đối với P thì dòng trễ pha hơn so với điện áp đó là /6 còn đối với Q thì dòng sớm pha hơn so với điện áp đó là /2. Biết trong các dụng cụ P và Q chỉ chứa các điện trở thuần, cuộn cảm và tụ điện. Khi mắc điện áp trên vào mạch chứa P và Q mắc nối tiếp thì dòng điện trong mạch có giá trị hiệu dụng là A. 11 2 A và trễ pha /3 so với điện áp giữa hai đầu đoạn mạch.

DẠYKÈMQUYNHƠN

B. 11 2 A và sớm pha /6 so với điện áp giữa hai đầu đoạn mạch.

C. 5,5 A và sớm pha /6 so với điện áp giữa hai đầu đoạn mạch.

D. 5,5 A và trễ pha /3 so với điện áp giữa hai đầu đoạn mạch.

Câu 196: Một đoạn mạch gồm điện trở thuần R nối tiếp với tụ điện có điện dung 1/(3) (mF). Đặt vào hai đầu đoạn mạch một điện áp xoay chiều: u = 120cos100t (V). Điện áp hiệu dụng giữa hai đầu điện trở bằng 60 V. Tính R và viết biểu thức dòng điện qua mạch?

A. R30=W và   i22cos(100t/4)(A)

B. R30=W và   i22cos(100t/4)(A)

C. R103 = và   i4cos(100t/6)(A)

D. R30=W và   i4cos(100t/6)(A)

OFFICIAL

Câu 197: Đặt điện áp xoay chiều   u602cos100t(V) vào hai đầu đoạn mạch AB gồm hai đoạn mạch AD và DB mắc nối tiếp. Đoạn AD gồm điện trở thuần R mắc nối tiếp với cuộn cảm thuần L = 0,2/ (H), đoạn DB chỉ có tụ điện C. Điện áp hiệu dụng trên đoạn AD là 60 (V) và trên đoạn DB là 60 (V). Biểu thức dòng điện qua mạch là A.

 i2cos(100t/4)(A) B.

i4cos(100t/3)(A) C.

i4.cos(100t/6)(A) D.

 i1,52cos(100t/6)(A) Câu 198: Mạch điện gồm cuộn d}y mắc nối tiếp với tụ điện C. Đặt vào hai đầu đoạn mạch điện áp xoay chiều u = 200cos(100t + /12) (V) thì điện áp giữa hai đầu cuộn dây và hai đầu tụ điện có cùng giá trị hiệu dụng nhưng lệch pha nhau 1200 . Biểu thức điện áp giữa hai đầu

DẠYKÈMQUYNHƠN
A.   cd u1002cos(100t/3)(V) B.   cd u200cos(100t/6)(V) C.   cd u200cos(100t/3)(V) D.   cd u200cos(100t5/12)(V) Câu 199: Đặt điện áp xoay chiều u1006cos100tV 4        vào hai đầu đoạn mạch gồm một cuộn dây và một tụ điện mắc nối tiếp. Dùng vôn kế có điện trở rất lớn lần lượt đo
 
 
cuộn dây là

điện áp giữa hai đầu cuộn cảm và hai bản tụ điện thì thấy chúng có giá trị lần lượt là 100 V và 200 V. Biểu thức điện áp giữa hai đầu cuộn dây là A. cd u1002cos(100t/2)(V)   B. cd u200cos(100t/4)(V)   C. cd u2002cos(100t3/4)(V).   D. cd u1002cos(100t3/4)(V).  

Câu 200: Mạch điện xoay chiều gồm điện trở thuần R mắc nối tiếp với tụ điện rồi mắc nối tiếp với cuộn dây. Đặt vào hai đầu mạch một điện áp xoay chiều u = 120cos100t(V). Điện áp hiệu dụng ở hai đầu đoạn mạch RC là 60V và hai đầu cuộn dây là 60 V. Biểu thức điện áp hai đầu đoạn mạch RC là

A.   RC u60cos(100t/4)(V). B.

RC u602(100t/4)(V) C.

DẠYKÈMQUYNHƠN
OFFICIAL
 

 
Hướng dẫn: Chọn đáp án B  2 2 2 2 2 2 100 100 100 truoc LC C UR R P RZZRZ      2 2 2222 100 100 sau C C UR R P RZRZ        50 50 CZ R     Câu 141 Hướng dẫn: Chọn đáp án B  2 2 2 2 2 2 2 2 2 100 40 206020 R LC U UR R PIRR ZRrZZ R       2 10 21020000 200 R RR R    
RC u60(100t/4)(V) D.
RC u602(100t/4)(V). Câu 140
DẠYKÈMQUYNHƠN OFFICIAL Câu 142 Hướng dẫn: Chọn đáp án A     2 2 22 22 2 2 2 2 50306040 40 .2080 RLC R R R UUUU U UV U PIRR R R R        Câu 143: Hướng dẫn: Chọn đáp án A   2 2 1 3 cos 403..50.10 2 5 R IA UIPIrI I IA      Câu 144 Hướng dẫn: Chọn đáp án B Khi đèn sáng bình thường thì cường độ dòng điện chạy qua và điện trở thuần của đèn:   60 0,5 120 120 240 0,5 d d d d d d P I A U U R I          2 2220 100 1,15 0,5 d d U Z Rr L LH I   Câu 145: Hướng dẫn: Chọn đáp án B Cách 1:   120sin100120cos100 3 6 3 4cos100 6 ui u t tV i tA                                 cos60222cos120 3 PUI W     Cách 2: Gọi i* là số phức liên hợp của i thì công suất phức: *1 2 Piu   * * 11 4120120207,85120 2266 W Piu iP          

(Phần thực của công suất phức là công suất tiêu thụ còn phần ảo là công suất phản kháng). Thao tác bấm máy tính: sau khi nhập

kết quả 120207,85i Câu 146: Hướng dẫn: Chọn đáp án A Điện áp tổng: ADDBuuu  Công suất phức:

DẠYKÈMQUYNHƠN OFFICIAL
    sau
* * 11 2 210021006173,2200 22323 Piu i           173,2 PW Câu 147 Hướng
Nguồn
:  1 1 30 UU IR RI  Nguồn xoay chiều :  22222 40 12 0,24 3040 L L ZL U I A RZ            Câu 148: Hướng dẫn: Chọn
 2 2 1 1 5 UU PR RP  Nguồn
:   2 2 22222 35 255 2,5 535 L L ZL UR P W RZ           
 1 1 50 UU IR RI 
1 4 26     bấm 22120 6 shift

đó bấm
được
dẫn: Chọn đáp án C
1 chiều
đáp án C Nguồn 1 chiều :
xoay chiều
Câu 149: Hướng dẫn: Chọn đáp án D Nguồn 1 chiều (RL):

xoay chiều (RL):

xoay chiều (RLC):

DẠYKÈMQUYNHƠN OFFICIAL
 222 22 100
50 L L L U
Z
Z     

   2 2 2 33 2 2 2 2 100.50 100 5050336,6LC UR
W
    
Mắc
30 U

   22 0 0 30 302 5 tan10: 4 4usímphah¬nilµ L L L ZL U ZRZ I A Z Z R                5cos120. 4 i tA         Câu 151 Hướng dẫn: Chọn đáp án B Nguồn xoay chiều : 22 2 0 2 UU PIR RR  Nguồn một chiều : 2 20' U PIR R  '2 PP Câu 152: Hướng dẫn: Chọn đáp án D Áp dụng công thức hạ bậc viết lại:   2 400cos50200200cos100u t tV    
Nguồn
503
I I
RZ
Nguồn
1 36,6 CZ C
PIR
RZZ
Câu 150 Hướng dẫn: Chọn đáp án D
vào nguồn 1 chiều :
R I
Mắc vào nguồn xoay chiều :
DẠYKÈMQUYNHƠN OFFICIAL   1
1
c L xc xc L
A
                
1

 
L
      22 22 100.2100.100 280 10010050 P W    Câu
 2 2 2225W C UR PIR RZ   
Vì liên quan đến ANMBUU   nên ta tổng
đó: ANRL UUU   , MBRC UUU  
122 22
2222 200 2 1000 1002 1 100100 Dßng1chiªu: Dßngxoaychiªu: c
U I
RZ U I A RZ
22
5 cxc IIIA
Câu 153: Hướng dẫn: Chọn đáp án A Áp dụng công thức hạ bậc viết lại: 10021002cos200u tV
22 221 1 22 20050; c L cxc
UUR ZL PIRIRR RRZ

154: Hướng dẫn: Chọn đáp án C Dòng 1 chiều không qua tụ chỉ có dòng xoay chiều đi qua:
Câu 155: Hướng dẫn: Chọn đáp án A
hợp theo quy tắc hình bình hành các véc tơ điện áp
DẠYKÈMQUYNHƠN OFFICIAL  222 22 2222 111 300400 240 300400 HÖthøcl­îng: R hbc hbc bc bcUh V bc              Chú ý: Khi sử dụng giản đồ véc tơ ta tính được điện áp hiệu dụng và độ lệch pha. Từ đó có thể tính được dòng điện, công suất: 2 CRL LC UU U I RZZ PIR      Câu 156: Hướng dẫn: Chọn đáp án A Vì liên quan đến ANMBUU   nên ta tổng hợp theo quy tắc hình bình hành các véc tơ điện áp đó: ANRL UUU   , MBRC UUU    2' . ' 200 .150100 3 HÖthøcl­îng:h R bc U V         Chú ý: Nếu cho biết 2L R C  thì suy ra: 21 . 1LC LC ZZ RLZZ C R      tan.tan1RLRC RLRC UU    Câu 157: Hướng dẫn: Chọn đáp án B
DẠYKÈMQUYNHƠN OFFICIAL 2 2 vu«ngt¹iO LCRLC L RZZUUU C  cos0,8tan0,75sin0,6     0,75cos0,6 0,75sin0,45cos cos0,8 R C L Ua a R Ua a Z Ua a              2 2 cos 0,864 R RLC U UUU    Câu 158: Hướng dẫn: Chọn đáp án C 2 2 LCRLC L RZZUUU C  30 vu«ngt¹iORCRLOUU    cos0,53 sin0,5 3cos1,5 R C L Ua a Ua a Ua a            2 2 3 cos 7 R RLC U R ZUUU    Chú ý: Nếu dùng phương pháp véc tơ buộc thì không nên vẽ véc tơ tổng! Chỉ nên vẽ các điện áp bắt chéo để tính các điện áp thành phần UR, UL, UC rồi áp dụng hệ thức: 2 2 RLC UUU  ; tan LC R UU U ; cos RU U . Câu 159: Hướng dẫn: Chọn đáp án B Tam giác cân có một góc 60 là tam giác đều nên 3 R LC U UU Từ đó suy ra mạch cộng hưởng: 1003 R UU V 
DẠYKÈMQUYNHƠN OFFICIAL
R C U U V 
Z I 

RMBR
V      
RrANRr r
VUV        
r

 thì
Rr r

Dựa vào giản đồ véc tơ tính được: 100 3
100C C U
Câu 160: Hướng dẫn: Chọn đáp án B
:403.sin30203
OUUU
:60sin60303103
OUUU
10r U
I
Chú ý: Nếu cho biết Rnr
 1
UnU
Câu161: Hướng dẫn: Chọn đáp án C
DẠYKÈMQUYNHƠN OFFICIAL 1 :sin sin sin1 305 5 tan 2 2cos2 cos :cos 5 305305 r rNB Rr r RrAM U OUU UU OUU                               22 305.cos60 602 305.cos60 Rr RrLC LC U UUU V U              Chú ý: Mắt xích quan trọng trong bài toán trên là xác định góc  . Câu 162: Hướng dẫn: Chọn đáp án C :sin sin1 tan 30 3cos3 :cos 33 r rMB Rr r RrAN U OUU U UU OUU UU                   Câu 163 Hướng dẫn: Chọn đáp án C AMB cân tại M 120 R UMBV
DẠYKÈMQUYNHƠN OFFICIAL 4RU I A R 
Hướng
Cách
Áp
cos
tam
222 70150200 cos 0,6cos0,6 2.70.150 cd AMB     Cách 2: Bình phương vô hướng hai vế: ABAMMB   Ta được: 2222.AM.MB.coscd ABAMMB   222 200701502.70.150.coscos0,6 cd cd     Câu 165 Hướng dẫn: Chọn đáp án D 2 2 2 35752852 cos 22.35.752      cos7545 Rr r UAEAB VUV     2 1r r r r P PIrIUI A U  75RrU rR I   Câu 166 Hướng dẫn: Chọn đáp án C Vẽ giản đồ véc tơ trượt. Vì ABMB  nên B phải nằm trên. AMB là tam giác vuông cân tại B nên  4545AMBNMB NMB  là tam giác vuông cân tại N 1002 2C NB U V  Câu 167 Hướng dẫn: Chọn đáp án A Áp dụng định lý hàm số cos cho AMB : 2222cos60ABAMMBAMMB  
Câu 164
dẫn: Chọn đáp án D
1:
dụng định lý hàm số
cho
giác AMB:
DẠYKÈMQUYNHƠN OFFICIAL 222 1204220,5 AMAMAMAM  403 AMv   Câu 168 Hướng dẫn: Chọn đáp án B AMB là tam giác đều 200 C UUV  Câu 169 Hướng dẫn: Chọn đáp án A Áp dụng định lý hàm số sin cho AMB :  sin60sin30 d d C c c U U j   
DẠYKÈMQUYNHƠN OFFICIAL 3 sin606012060 2 d d d c c c j j j  Câu 170 Hướng dẫn: Chọn đáp án B 4 11 200 10 50. CZ W C p p    AMB vuông nên sin30 2 M¹chcéngh­ëng cd cd C U MEU U     22 tan30332003 10050 20033 CR RC CUUUURZ W U P W R       Câu 171
DẠYKÈMQUYNHƠN OFFICIAL Hướng
án C ABC
tại A nên  30AMB  60MBj cos0,5 MBj 
172 Hướng
án C AMB cân tại M nên 157560cos0,5 MB MB MB j j j 
173 Hướng dẫn: Chọn đáp án B 1 200. CZ W C  Tam giác AMB đều: 1 100 L L Z Z L H   Câu 174 Hướng dẫn: Chọn đáp án B   1 200;:cotan100 3 CZ AEBBEAE C     
dẫn: Chọn đáp
cân
Câu
dẫn: Chọn đáp
Câu
DẠYKÈMQUYNHƠN OFFICIAL  1 100 L LC Z ZZBE L H    Câu 175 Hướng dẫn: Chọn đáp án D 300cos240AE V  2 300sin3001cos180BE      320EMEBBM  22AMAEEM  22 240320400V Câu 176 Hướng dẫn: Chọn đáp án B Xét   100 1003 tan30 : 100 200 sin30 cd C U V AMB U V             Câu 177 Hướng dẫn: Chọn đáp án A AMB là cân tại B:

Chú ý: Đối với mạch có 4 phần tử trở lên mà không liên quan đến điện áp bắt chéo hoặc R ở giữa thì nên dùng phương pháp véc tơ trượt Câu 179 Hướng dẫn: Chọn đáp án D

DẠYKÈMQUYNHƠN OFFICIAL  221202 C UMBAB V   45 0,62 dc C C U I A Z        AMB là cân tại B: 602 2r MB U V  2 72W r r PIrIU  Câu
C

Cách 1: Dùng phương pháp Vec tơ
       0 0 R AN AMBc©ngãc뮸y30 30 U U 603(V) cos Cách 2: Dùng phương pháp Vec tơ buộc:
178 Hướng dẫn: Chọn đáp án B ∆ANB đều nên: NB = AB = 20 (V)
NB UMN60(V) 2
trượt:
DẠYKÈMQUYNHƠN OFFICIAL        0 0 R AN H×nhthoivu«nggãc60
cos
R 0
R
=
23
3 PUIcos12030,590(W) 2   Câu
Hướng
0 R MNB:MNUMB.sin30403(V)   0 AENENANcos30603(V)   r UENMN203  r R rU1R Rr30() U22  Câu 183
30 U U 603(V)
Bình luận: Cách giải 2 phải vẽ nhiều đường nét phức tạp! Câu 180 Hướng dẫn: Chọn đáp án C ∆ANB Cân tại M: (vì ABM=600 - 300=300) Theo định lí hàm số sin:
0
U AB sin30sin120 U803(V)
Þ= Câu 181 Hướng dẫn: Chọn đáp án B AN1AMN:sin AM2  
cos1sin 2  
182
dẫn: Chọn đáp án C
DẠYKÈMQUYNHƠN OFFICIAL Hướng dẫn: Chọn đáp án C R MB U MFB:sin0,5 U 6    PUIcos1203.0,5cos90(W) 6    Kinh nghiệm: Khi cho biết độ lệch pha bằng nhau thì trên giản đồ véc tơ có thể có tam giác cân! Câu 184 Hướng dẫn: Chọn đáp án B ∆ANB cân tại A mà  MAINAB   MANa ⇒ ∆AMN cân tại M và a = 300 L U1203sin603   L L U Z156() I  Câu 185 Hướng dẫn: Chọn đáp án A ∆ENB là tam giác vuông cân tại E NEEB30VMEMNNE80VAB   Tứ giác AMNB là hình chữ nhật C UAMEB30(V)
DẠYKÈMQUYNHƠN OFFICIAL Câu 186 Hướng dẫn: Chọn đáp án D Tam giác vuông :cos0,8 AN AMN   2 AN AN sin1cos0,6  ∆ANB là tam giác vuông tại A vì: 222 NBANAB   ANABFANM  (Góc có cạnh tương ứng vuông góc) AN AFABsin90(V) Rr UUAF RrI90() I    Câu187 Hướng dẫn: Chọn đáp án B 22 2 2MNE:NEMNME625xEB60625x    2 222 2 2AEB:ABAEEB3200(25x)60625x x15    r UP40 PIUcosIAEI1(A)r15() AE40I 
DẠYKÈMQUYNHƠN OFFICIAL Có thể dùng máy tính casio 570es để giải phương trình và bấm như sau: Đối với loại bài toán này mắt xích quan trọng là tìm Ur. Sau khi tìm được Ur ta sẽ tìm hệ số công suất và công suất: 2 2Rr Rr UU (UU) Rr cosZ;PI(Rr) U Rr       Câu 188 Hướng dẫn: Chọn đáp án A Cách 1: Phương pháp đại số: LLC MNAB ZZZ100 tantan1 1r()rRr3   AN AN 22 22 AN L UU 200 I 1(A)Z(Rr)Z(1003)100      LC ZZ1 tan 0 Rr36     Điện áp trễ hơn pha dòng điện là ��/6 hay dòng điện sớm pha hơn điện áp là ��/6.

Cách 2: Phương pháp giản đồ véc tơ buộc: Tổng hợp các véc tơ điện áp theo quy tắc hình bình thành:

∆OEF (UAN = 200 V, H là trung tâm EF, OG = GH) điểm G vừa là trọng tâm vừa là trung tâm nên tam giác

DẠYKÈMQUYNHƠN OFFICIAL
                
MNrLANRMNABANC
   
này là tam giác đều. C C C U U200VI1A Z i2cos100t(A) 66 6                  Cách 3: Phương pháp giản đồ véc tơ trượt: M vừa là trọng tâm vừa là trực tâm của tam giác AMB nên tam giác này là tam giác đều. Từ đó suy ra: CAN C C UU200(V) U I1(A) Z   Và I  sớm pha hơn ABU  là π/6. Do đó: i2cos100t(A) 66      
iI2100t2cos100t(A) 66 3
UUU;UUU;UUU.
Xét
DẠYKÈMQUYNHƠN OFFICIAL
L C
   : AM
NB AB NB200V UtrÔh¬nUlµ 3 3               NB u2002cos100t1(V) 23
  CL ZZvµR2 .Dựa vào ý tưởng này người ta đã “sáng tác” ra các “bài toán lạ”. Câu 190: Hướng dẫn: Chọn đáp án A Tam giác AMB là tam giác vì có AM = AB và góc   0MAB60 . Do đó, G vừa trực tâm vừa là trọng tâm  R r UUR2r
Câu 189: Hướng dẫn: Chọn đáp án B 1 100();Z200()2
L ZL Z C
là trung tuyến của ∆ANB. Suy ra, M là trọng tâm của ∆ANB. Mặt khác M cũng là trực tâm nên ∆ANB là tam giác đều
Kinh nghiệm: Nếu tam giác ANB đều thì

Chú ý: Với một bài toán cụ thể có thể dùng hoặc phương pháp đại số hoặc phương pháp giản đồ véc tơ buộc hoặc phương pháp giản đồ véc tơ trượt. Trong ba cách giải đó với một dạng cụ thể thì sẽ có một cách giải nhanh và ngắn gọn nhất.

Câu 191: Hướng dẫn: Chọn đáp án C Cách 1: Phương pháp đại số

DẠYKÈMQUYNHƠN OFFICIAL
22 2222 L LLC RLCLC 222 222 R ADRL ADRL U30UU(UU)UUUU2UU U303 UUUUUU                            LC LC R ZZUU1 tan R U 6 3
Phương
Từ  ADOUU
 6
 6
tơ trượt
dẫn:
Cách
  2 2 2 0 NEAEAN2AN.AE.cos98,13NE280
Cách 2:
pháp véc tơ buộc.
đều
Cách 3: Phương pháp véc tơ trượt. Từ ∆ADB đều
Bình luận: Với bài toán này thì phương pháp véc
hay hơn phương pháp véc tơ buộc. Nhưng trong Câu tiếp theo thì ngược lại. Câu 192: Hướng
Chọn đáp án A
1: Phương pháp véc tơ trượt.
DẠYKÈMQUYNHƠN OFFICIAL    R ANNE
Cách 2: Phương pháp véc tơ buộc. 2 2 2 0 EFOEOF2OE.OFcos98,13EF280 =+ Þ=    R 0 OFEF sina0,6UOE.sina120(V) sinasin98,13 Câu 193: Hướng dẫn: Chọn đáp án B X Y U220 ZZ 110(W)I2 ====
sina0,6UMB.sina120(V) sinasin98,13

Khi mắc nối tiếp, vẽ giản đồ véc tơ trượt, từ tam giác vuông cân AMB:

Từ giản đồ suy ra dòng điện sớm pha hơn điện áp là π/4. Câu 194: Hướng dẫn: Chọn đáp án C

Khi mắc nối tiếp, vẽ giản đồ véc tơ trượt, từ tam giác vuông cân AMB, Từ giản đồ suy ra dòng điện sớm pha hơn điện áp là π/6.

MBAMAB30 U U 220 U (V) 3 sinMBAsinAMB

Tử giản đồ suy ra ra dòng điện sớm pha hơn điện áp là π/6

Câu 195: Hướng dẫn: Chọn đáp án C

DẠYKÈMQUYNHƠN OFFICIAL
P Q
     
Q Q 0 U UU21102(V)U1102 I 2(A)Z110 MAB45
P Q U220 ZZ 220(W)I1 ====
         0 P P
P


P U2203 I A Z3 2203
==== Khi mắc nối tiếp, vẽ giản đồ véc tơ trượt, từ tam giác vuông cân AMB:  Q P Q Q U220 UUU220(V)I 5,5(A)Z40 Từ giản đồ suy ra dòng điện sớm pha hơn điện áp là π/6. Câu 196: Hướng dẫn: Chọn đáp án A    2 2 2 2 2 2 C R C C C R 1 ZC30(W);UUU60.260UU60U
P Q U220 ZZ 40(W) I5,5
DẠYKÈMQUYNHƠN OFFICIAL         C C RZ30W u120 i 22 30i.30 4 ZZRi(0Z)       i2cos100t(A) 4 Câu 197: Hướng dẫn: Chọn đáp án D Cách 1: kết hợp phương pháp đại số và phương pháp số phức                           L 2 2 2 L R L R 2 2 2 2 2 2 2 R LC R L L C 2 2 2 2 2 2 AD R L R L L L U30 ZL20W 60U(U60) U303 UU(UU)60UU60120UU60 UUU 60UU U I 1,5(A) Z          R LC sè¶o bÊmENG C C U R 203 I ZR(ZZ)203 (2040) U Z 40 I i i    u 602 1 i 1,52 Z 6 203i(2040)        i1,52cos100t(A) 6 Cách 2: Phương pháp gỉan đổ véc tơ buộc L ZL20(W)

ADOUU là tam giác đều nên: α = π/6 và UL = UAD/2 = 30 (V).

U I 1,5(A) Z



∆ADC là tam giác đều nên: α = π/6 và UL = UAD/2 = 30 (V).

Dòng điện sớm pha hơn điện áp là π/6 và có giá trị hiệu dụng:

 L L U

Z    i1,52cos(100t)(A) 6

Từ giản đồ ta suy ra, AMB là tam giác đều, vì vậy, ucd có cùng biên độ như u nhưng sớm pha hơn u là /3

Câu 199:

Hướng dẫn: Chọn đáp án D


DẠYKÈMQUYNHƠN OFFICIAL 
Dòng điện sớm pha hơn điện áp là π/6 và có giá trị hiệu dụng: 
L L
 i1,52cos(100t)(A) 6
Cách 3: Phương pháp gỉan đổ véc tơ trượt
I 1,5(A)
Câu 198: Hướng dẫn: Chọn đáp án D

Usímphah¬nUlµ2 u1002cos(100t4) 2 Câu 200: Hướng dẫn: Chọn đáp án D Từ giản đồ ta dễ thấy, AMB là tam giác vuông cân tại M nên:

u602cos(100t)(V) 4 Chú ý: Dựa vào dấu hiệu vuông pha và dùng phương pháp loại trừ có thể phát hiện nhanh phương án đúng mà không cần phải sử dụng hết dữ kiện của bài toán.

DẠYKÈMQUYNHƠN OFFICIAL Từ
            cd cd
    RC
   RC
giản đồ ta thấy, ∆AMB là tam giác vuông tại A ( vì MB2 = AB2 + AM2 ).
UtrÔphah¬nUlµ4

DÒNG ĐIỆN XOAY CHIỀU

Câu1: (Đỗ Ngọc Hàhocmai Đề 1) Đặt điện áp xoay chiều có biểu thức

0 2 uUcos V T   

  uAN giữa hai điểm A, N và uMB giữa hai điểm M, B vào thời gian t như hình vẽ. Biết R = r. Giá trị bằng 0U A. V. 485 B. V. 2410 C. 120 V. D. V. 602 Câu2: (Đỗ Ngọc Hàhocmai Đề 1)Một động cơ điện được mắc vào nguồn xoay chiều có tần số góc và điện áp hiệu dụng U không đổi. Điện trở cuộn dây của động cơ là R và hệ số tự cảm là  L với , động cơ có hiệu suất là 60%. Để nâng cao hiệu suất của động cơ với điều kiện 3 LR 

vào hai đầu đoạn mạch AB thì đồ thị biểu diễn sự phụ thuộc của điện áp

công suất tiêu thụ không đổi, người ta mắc nối tiếp động cơ với một tụ điện có điện dung C thỏa mãn điều kiện , khi đó hiệu suất của động cơ là 21LC

A. 69%. B. 100%. C. 80%. D. 90%. Câu 3: (Đỗ Ngọc Hà hocmai Đề 1) Đặt điện áp (với U, là các hằng 2cos uUt

 số dương và không đổi) lần lượt vào 2 đầu đoạn mạch X và Y, mỗi đoạn mạch đều chứa các phần tử: biến trở R, cuộn cảm thuần và tụ điện mắc nối tiếp. Hình bên là đồ thị biểu diễn sự phụ thuộc của công suất tiêu thụ điện của đoạn mạch X và của đoạn mạch Y theo biến trở R (tương ứng) là PX và PY. Giá trị của A gần nhất với giá trị nào sau đây? A. 115. B. 112. C. 117. D. 120. Câu 4. (Đỗ Ngọc Hà Hocmai-Đề 2) Đặt điện áp xoay chiều có tần số góc thay đổi được vào hai đầu đoạn mạch RLC mắc nối tiếp. Khi tần số góc thay đổi thì cường độ hiệu dụng trong mạch đạt cực đại là I và khi ở hai giá trị và thì giá trị cực

DẠYKÈMQUYNHƠNOFFICIAL
của
độ dòng
là . 12 5 I Cho .Giá trị điện trở R trong mạch là 12 12 150 C    A. B. C. D. 25 50 75 150 Câu5. (Đỗ Ngọc Hà Hocmai-Đề 2) Đặt điện áp xoay chiều vào hai đầu mạch đoạn AB như hình vẽ. C là tụ xoay còn L là cuộn dây thuần cảm. V1 và V2 là các vôn kế lí tưởng. Điều chỉnh giá trị của C để số chỉ của V1 cực đại là U1, khi đó số chỉ của V2 là 0,5 U1. Khi số chỉ của V2 cực đại là U2, thì số chỉ của V1 lúc đó là A.0,7 U2 B.0,6 U2..


 
đại
cường
điện đều

C.0,4 U2.. D.0,5 U2 Câu 6. (Đỗ Ngọc Hà Hocmai-Đề 3) Đặt một điện áp (V), trong đó không đổi 0 uUcost  0U nhưng thay đổi được, vào hai đầu một đoạn mạch gồm điện trở R, cuộn thuần cảm có độ tự  cảm L = H và tụ điện có điện dung C mắc nối tiếp. Khi thì hệ số công suất trong mạch 3 4 0

A. 50 B. 100 C. 150 D. 200     Câu7. (Đỗ Ngọc Hà Hocmai-Đề 3) Cho mạch điện như hình vẽ. X, Y là hai hộp, mỗi hộp chỉ chứa 2 trong 3 phần tử. điện trở thuần, cuộn cảm thuần và tụ điện mắc nối tiếp. Ampe kế có điện trở rất nhỏ, các vôn kế có điện trở rất lớn. Các vôn kế và ampe kế đo được cả dòng điện một chiều và xoay chiều. Ban đầu mắc vào 2 điểm N và D vào nguồn điện không đổi thì vôn kế V2 chỉ 45 V và ampe kế chỉ 1,5 A. Sau đó, mắc M, D vào nguồn điện xoay chiều có điện áp V thì ampe kế chỉ 1 A, hai vôn kế chỉ cùng giá trị và điện áp lệch pha 120100 ucost   MNU với . Sau đó tiếp tục thay đổi điện dung của tụ điện có trong mạch thì thấy số chỉ vôn 0,5 NDu kế V1 lớn nhất có thể là, giá trị gần với giá trị nào sau đây nhất 1ax m U 1ax m U A. 120 V. B. 90 V. C. 105 V. D. 85 V. Câu8. (Đỗ Ngọc Hà Hocmai-Đề 4) Đặt điện áp xoay chiều u có giá trị hiệu dụng U không đổi và tần số f thay đổi được) vào hai đầu đoạn mạch gồm điện trở R, cuộn cảm thuần có độ tự cảm L và tụ điện có điện dung C mắc nối tiếp. Biết (rad/s). Nếu tần số f = 50 Hz thì điện R 100 L  áp ở hai đầu điện trở R có giá trị hiệu dụng bằng U. Để trễ pha so với u thì ta phải Ru Ru 4  điều chỉnh tần số f đến giá trị f0. Giá trị f0 gần nhất với giá trị nào sau đây ? A. 80 Hz. B. 65 Hz. C. 50 Hz. D. 25 Hz. Câu9. (Đỗ Ngọc Hà Hocmai-Đề 4) Cho đoạn mạch AB gồm AN và NB mắc nối tiếp, đoạn AN gồm biến trở R và cuộn cảm thuần có độ tự cảm H, đoạn NB chỉ gồm tụ điện điện dung C 2  không đổi. Đặt vào AB điện áp xoay chiều (V). Mắc vào A và N một vôn u1002cos100t   kế lí tưởng. Thấy rằng số chỉ vôn kế không đổi khi thay đổi giá trị của biến trở. Điện dung của tụ là ?

DẠYKÈMQUYNHƠNOFFICIAL
 
 
 cực đại. Khi hoặc thì hệ số công suất trong mạch bằng nhau và bằng 0,5. Biết 1
2
rad/s. Giá trị của R bằng 21200 

410 F 2

410 F 

410 F 3

A. B. C. D.

410 F 4

Câu10: (Đỗ Ngọc Hà Hocmai-Đề 5) Đặt điện vào đoạn mạch AB gồm AM và MB mắc nối tiếp một điện áp xoay chiều ổn định Điện áp giữa hai đầu đoạn mạch 2202cos100u tV

AM sớm pha hơn cường độ dòng điện một lượng là 300. Đoạn mạch MB chỉ gồm tụ điện có điện dung C thay đổi được. Điều chỉnh C để tổng điện áp hiệu dụng UAM + UMB có giá trị lớn nhất, khi đó điện áp hiệu dụng giữa hai đầu tụ điện có giá trị là

A. 220 V. B. V. C. V. D. 440 V. 2203 2202

Câu11: (Đỗ Ngọc Hà Hocmai-Đề 5) Đặt điện áp xoay chiều có giá trị hiệu dụng không đổi, tần số thay đổi được vào hai đầu đoạn mạch gồm điện trở thuần R, cuộn cảm thuần L và tụ điện C sao cho . Thay đổi tần số đến các giá trị f1 và f2 thì hệ số công suất trong mạch là như 2L R C  nhau và bằng cosφ. Thay đổi tần số f3 thì điện áp hiệu dụng giữa hai đầu cuộn cảm đạt cực đại, biết rằng . Giá trị cosφ gần với giá trị nào nhất sau đây 1232fff  A. 0,56 B. 0,35 C. 0,86 D. 0,45 Câu12: (Đỗ Ngọc Hà Hocmai-Đề 5) Đặt điện áp xoay chiều ổn định vào hai đầu đoạn mạch gồm cuộn dây không thuần cảm nối tiếp với tụ điện, vôn kế nhiệt mắc vào hai đầu cuộn dây. Nếu nối tắt tụ điện thì số chỉ vôn kế tăng 3 lần và cường độ dòng điện tức thời trong hai trường hợp vuông pha với nhau. Hệ số công suất của mạch điện lúc đầu là

A. B. C. D. 3 10 1 10 1 3 1 3

Câu13.( Đỗ Ngọc Hà Hocmai-Đề 6) Một đoạn mạch gồm RLC mắc nối tiếp, L thuần cảm, trong đó RC2 < 2L. Đặt vào hai đầu đoạn mạch điện áp xoay chiều , trong đó U có 2cos2 uUftV   giá trị không đổi, tần số f có thể thay đổi được. Thay đổi tần số f, khi tần số f = f1 thì điện áp hiệu dụng trên tụ điện đạt giá trị cực đại và mạch tiêu thụ công suất bằng công suất cực đại, khi tần số 3 4 thì điện áp hiệu dụng trên cuộn cảm đạt giá trị cực đại. Giá trị f1 là 21100 fffHz

dung C nối tiếp, với . Điều chỉnh giá trị của ω để điện áp hiệu dụng giữa hai đầu cuộn dây 22 CRL  cực đại, khi đó điện áp hiệu dụng trên hai đầu tụ điện . Hệ số công suất của đoạn mạch 8 15C UU  có giá trị gần giá trị nào nhất sau đây? A. 0,6. B. 0,72. C. 0,82. D. 0,65.

DẠYKÈMQUYNHƠNOFFICIAL
ω có thể thay 2cos uUt   đổi) vào đoạn mạch gồm điện trở
tự
 A. Hz. B. 150 Hz. C. Hz. D. 125 Hz. 752 755 Câu 14: (Đỗ Ngọc Hà Hocmai-Đề 7) Đặt điện áp (U không đổi,
thuần R, cuộn cảm thuần có độ
cảm L và tụ điện có điện

Câu 15: (Đỗ Ngọc Hà Hocmai-Đề 8) Đặt điện áp (U không đổi, f có thể thay 2cos2 uUft   đổi) vào đoạn mạch gồm điện trở thuần R, cuộn cảm thuần có độ tự cảm L và tụ điện có điện dung C mắc nối tiếp theo đúng thứ tự đó. Khi tần số là 50 Hz thì điện áp hiệu dụng giữa hai đầu tụ điện là U. Khi tần số là 125 Hz thì điện áp hiệu dụng giữa hai đầu cuộn cảm cũng là U. Khi tần số là f0 thì điện áp giữa hai đầu đoạn mạch chứa RL và điện áp giữa hai đầu chứa tụ điện C lệch pha nhau góc 1350. Giá trị f0 là A. 100 Hz. B. 62,5 Hz. C. 31,25 Hz. D. 150 Hz. Câu16: (Đỗ Ngọc Hà Hocmai-Đề 8) Đặt điện áp (U không đổi, f có thể thay 2cos2 uUft   đổi) vào đoạn mạch gồm điện trở thuần R, cuộn cảm thuần có độ tự cảm L và tụ điện có điện dung C mắc nối tiếp thỏa mãn . Khi tần số f = f1 = 60 Hz thì hệ số công suất của mạch điện 21 4 L R C  là cosφ1. Khi tần số f = f2 = 120 Hz thì hệ số công suất của mạch điện là cosφ2 với cosφ1 = 0,8cosφ2. Khi tần số f = f3 = 180 Hz thì hệ số công suất của mạch gần với giá trị nào sau đây nhất ?

A. 0,6. B. 0,7. C. 0,8. D. 0,9. Câu17: (Đỗ Ngọc Hà Hocmai-Đề 9)Đặt điện áp xoay chiều u = U0cosωt ổn định vào đoạn mạch AB. Đoạn mạch AB gồm ba đoạn AM, MN và NB theo thứ tự mắc nối tiếp. Đoạn AM gồm điện trở R. Đoạn MN gồm tụ điện có điện dung C. Đoạn mạch NB gồm cuộn dây. Nếu dùng một ampe kế lí tưởng mắc nối tiếp vào đoạn mạch AB thì ampe kế chỉ 2,65 A. Nếu dùng ampe kế đó nối vào hai điểm A và M thì ampe kế chỉ 3,64 A. Nếu dùng ampe kế đó nối vào hai điểm M và N thì ampe kế chỉ 1,68 A. Khi nối ampe kế đó vào hai điểm A và N thì số chỉ của ampe kế gần giá trị nào nhất sau đây?

A. 1,54 A. B. 1,21 A. C. 1,86 A. D. 1,91 A Câu18: (Đỗ Ngọc Hà Hocmai-Đề 9)Đặt điện áp V vào đoạn mạch gồm điện 2202cosu t  trở R, tụ điện có điện dung C, cuộn cảm thuần có độ tự cảm L có thể thay đổi được. Khi L = L1 và L = L2 thì điện áp hiệu dụng ở hai đầu cuộn cảm có cùng giá trị UL; độ lệch pha của điện áp hai đầu đoạn mạch so với cường độ dòng điện trong mạch lần lượt là 0,52 rad và 1,05 rad. Khi L = L0 thì điện áp hiệu dụng giữa hai đầu cuộn cảm đạt cực đại ULmax. Giá trị ULmax và UL có giá trị lần lượt là

A. 311 V và 81 V. B. 311 V và 300 V. C. 440 V và 300 V. D. 440 V và 424 V.

Câu 19: (Đỗ Ngọc Hà Hocmai-Đề 9)Đặt vào hai đầu đoạn mạch AB như hình một điện áp xoay chiều có giá trị hiệu dụng và tần số không đổi. Biết r = 20 Ω. Cho C biến thiên thì đồ thị biểu diễn điện áp hiệu dụng giữa hai đầu tụ điện phụ thuộc và dung kháng ZC của mạch như trong hình. Khi ZC = 80 Ω thì công suất tiêu thụ trên R là 135 W. Giá trị cực đại của điện áp hiệu dụng giữa hai đầu tụ điện khi thay đổi C là A. V. B. 120 V. C. V. D. 240 V. 1202 1203 Câu20. (Đỗ Ngọc Hà Hocmai-Đề 10) Đặt điện áp (V) (với f có thể thay đổi 1202cos2u ft  được) vào hai đầu đoạn mạch mắc nối tiếp gồm cuộn cảm thuần có độ tự cảm L, điện trở R = 50 Ω và tụ điện có điện dung C, với CR2 < 2L. Khi f = f1 thì điện áp hiệu dụng giữa hai đầu tụ điện

DẠYKÈMQUYNHƠNOFFICIAL

đạt cực đại. Khi f = f2 = thì điện áp giữa hai đầu điện trở đạt cực đại. Khi f = f3 điện áp hiệu 13f dụng giữa hai đầu cuộn cảm đạt cực đại và công suất tiêu thụ trên mạch lúc này là P3. Giá trị của P3 là

A. 120 W. B. 124 W. C. 144 W. D. 160 W. Câu21. (Đỗ Ngọc Hà Hocmai-Đề 10) Đặt điện áp (V) vào đoạn mạch gồm điện 0cos100 uUt  trở R, tụ điện có điện dung C thay đổi được, cuộn cảm thuần có độ tự cảm L. Cho đồ thị sự phụ thuộc điện áp hiệu dụng giữa hai đầu tụ điện theo điện dung C của tụ như hình vẽ. Lấy . Giá trị R là 4810152 

A. 120 Ω. B. 60 Ω. C. 50 Ω. D. 100 Ω. Câu22. (Đỗ Ngọc Hà Hocmai-Đề 10) Đặt điện áp (U và ω không đổi theo thời 2cos uUt

gian) vào hai đầu đoạn mạch mắc nối tiếp gồm đèn sợi đốt 220 V – 100 W, cuộn cảm thuần có độ tự cảm L và tụ điện có điện dung C. Khi đó đèn sáng đúng công suất định mức. Nếu nối tắt hai bản tụ điện thì đèn chỉ sáng với công suất bằng 50 W. Trong hai trường hợp, coi điện trở của đèn là như nhau, bỏ qua độ tự cảm của đèn. Dung kháng của tụ điện không thể là giá trị nào sau đây? A. 345 Ω B. 484 Ω C. 274 Ω D. 475 Ω Câu23. (Đỗ Ngọc Hà Hocmai-Đề 11)Đặt điện áp xoay chiều u = U0cosωt vào hai đầu đoạn mạch gồm điện trở thuần R và cuộn cảm thuần có cảm kháng ZL mắc nối tiếp. Gọi U là điện áp hiệu dụng giữa hai đầu đoạn mạch; i, I0 và I lần lượt là giá trị tức thời, giá trị cực đại và giá trị hiệu dụng của cường độ dòng điện trong đoạn mạch; uL , uR tương ứng là điện áp tức thời giữa hai đầu cuộn cảm, giữa hai đầu điện trở, cosφ là hệ số công suất của đoạn mạch. Hệ thức nào sau đây sai?

Bỏ qua điện trở dây nối, coi từ thông cực đại gửi qua các cuộn dây của máy phát không đổi. Khi rôto máy phát quay với tốc độ n (vòng/phút) thì công suất tiêu thụ điện của mạch là P, hệ số công suất của mạch là Khi rôto máy phát quay với tốc độ 2n 1 . 2 (vòng/phút) thì công suất tiêu thụ điện của mạch là 4P. Khi rôto máy phát quay với tốc độ 2n (vòng/phút) thì công suất tiêu thụ điện của mạch là

DẠYKÈMQUYNHƠNOFFICIAL
A. B. C. D. 22 2 L Ruu L I ZR      0 22 2() L U I RZ   22 os L R c RZ   22222 0LL LuiZIZ  Câu 24. (Đỗ Ngọc Hà Hocmai-Đề 11) Nối hai cực của một
hai đầu đoạn
 
máy phát điện xoay chiều một pha vào
mạch RLC.

A. B. 1,414P. C. 4P. D. 2P. 8 . 3 P

Câu 25. (Đỗ Ngọc Hà Hocmai-Đề 11)Đặt điện áp xoay chiều ổn định vào mạch điện RLC (L thuần cảm), giữa hai đầu tụ điện có khóa K. Khi khóa K mở, điện áp hai đầu mạch trễ pha 450 so với cường độ dòng điện qua mạch. Tỉ số công suất tỏa nhiệt trên mạch lúc khóa K mở và khi khóa K đóng bằng 2. Tỉ số cảm kháng ZL so với R là

A. B. 0,5. C. 1. D. 2. 3 Câu 26. (Đỗ Ngọc Hà Hocmai-Đề 11) Cho mạch điện xoay chiều gồm một điện trở thuần, cuộn cảm thuần và tụ điện mắc nối tiếp theo thứ tự đó. Đặt vàohai đầu mạchđiện áp xoay chiều có giá trị hiệu dụng không đổi và tần số góc ω thay đổi được. Điện áp hiệu dụng giữa hai bản tụ điện và điện áp hiệu dụng hai đầu cuộn cảm lần lượt là UC, UL phụ thuộc vào ω, chúng được biểu diễn bằng các đồ thị như hình vẽ bên. Giá trị của Umax trong đồ thị là

A. V. B. V. 1502 1503

C. V. D. V. 1003 753 Câu 27. (Đỗ Ngọc Hà Hocmai-Đề 12) Đặt điện áp xoay chiều có tần số thay đổi được vào hai đầu đoạn mạch AB gồm điện trở thuần R, tụ điện C và cuộn cảm thuần L mắc nối tiếp. Biết rằng . Khi ω = ωL thì điện áp hiệu dụng giữa hai đầu cuộn cảm đạt cực đại là ULmax. Khi ω = 22 3 L R C  ω1 hoặc ω = ω2 thì điện áp hiệu dụng giữa hai đầu cuộn cảm có giá trị như nhau và bằng UL, tổng công suất tiêu thụ mạch AB trong hai trường hợp bằng công suất tiêu thụ cực đại của mạch khi thay đổi tần số. Tỉ số bằng max

L L

U U A. B. C. D. 1 . 32 5 . 4 2 3 5 . 22 Câu 28. (Đỗ Ngọc Hà Hocmai-Đề 12) Đặt điện áp (V) (f thay đổi được) vào 2cos2 uUft   hai đầu đoạn mạch AB mắc nối tiếp theo đúng thứ tự điện trở R, cuộn cảm thuần có độ tự cảm L và tụ điện có điện dung C, với 2L > R2C. Khi f = fC thì điện áp hiệu dụng giữa hai đầu tụ điện đạt cực đại và công suất tiêu thu bằng công suất cực đại. Khi thì hệ số công suất của 2 3 22Cff  mạch là A. B. C. D. 2 5 2 . 13 1 . 13 1 . 5 Câu 29. (Đỗ Ngọc Hà Hocmai-Đề 12) Một máy biến áp lí tưởng gồm hai cuộn dây (1) và cuộn dây (2) như hình vẽ. Cuộn dây (1) có 2200 vòng dây. Một đoạn mạch AB gồm điện trở thuần R = 100 Ω, cuộn cảm thuần có độ tự cảm và 1 LH 

tụ điện có điện dung C có thể thay đổi mắc nối tiếp. Nối hai đầu cuộn dây (1) vào

DẠYKÈMQUYNHƠNOFFICIAL

điện áp xoay chiều ổn định (V) và nối hai đầu AB vào hai đầu cuộn dây (2) thì 2cos100uU t

thấy khi thay đổi C điện áp hiệu dụng trên đoạn mạch NB có giá trị cực đại là 141,42 V. Nếu thay đổi cách mắc, cuộn (2) nối vào điện áp u, hai đầu AB nối vào hai đầu cuộn dây (1) thì thấy khi thay đổi C điện áp hiệu dụng trên đoạn MB có giá trị cực đại là 783,13 V. Số vòng dây cuộn (2) là

A. 1000 vòng. B. 1500 vòng. C. 4840 vòng. D. 800 vòng. Câu30. (Đỗ Ngọc Hà Hocmai-Đề 12) Cho đoạn mạch xoay chiều AB gồm: đoạn AM chứa biến trở R, đoạn MN chứa r, đoạn NP chứa cuộn cảm thuần, đoạn PB chứa tụ điện có điện dung biến thiên. Ban đầu thay đổi tụ điện sao cho UAP không phụ thuộc vào giá trị của biến trở R. Giữ nguyên giá trị điện dung khi đó và thay đổi biến trở. Khi uAP lệch pha cực đại so với uAB thì UPB = U1. Khi tích (UAN. UNP) cực đại thì UAM = U2. Biết rằng U1 = . Độ lệch pha cực đại giữa uAP 2263U và uAB gần giá trị nào nhất sau đây? A. . B. C. D. 3 7

4 7

5 7

6 7

Câu31. (Đỗ Ngọc Hà Hocmai-Đề 13) Đặt vào hai đầu đoạn mạch AB (gồm điện trở thuần, cuộn cảm thuần L, tụ điện C mắc nối tiếp) một điện áp xoay chiều u = 100cos2πft (V) (tần số f thay đổi được). Khi tần số là f0 hoặc f0 + 17 Hz thì điện áp hiệu dụng trên tụ điện bằng nhau và bằng UC = 120 V. Khi tần số là f0 + 27 Hz hoặc f0 + 57 Hz thì điện áp hiệu dụng trên cuộn dây bằng nhau và bằng UL = 120 V. Khi f = fC thì điện áp hiệu dụng trên hai đầu tụ điện là cực đại UCmax. Giá trị UCmax gần nhất với giá trị nào sau đây?

A. 147 V B. 127 V C. 135 V D. 124 V Câu 32. (Đỗ Ngọc Hà Hocmai-Đề 13) Đặt điện áp xoay chiều vào hai đầu đoạn mạch AB gồm: đoạn mạch AM chứa điện trở thuần R = 90 Ω và tụ điện C = 35,4 μF, đoạn mạch MB gồm hộp X chứa 2 trong 3 phần tử mắc nối tiếp (điện trở thuần R0; cuộn cảm thuần có độ tự cảm L0, tụ điện có điện dung C0). Khi đặt vào hai đầu AB một điện thế xoay chiều có tần số 50 Hz thì ta được đồ thị sự phụ thuộc của uAM và uMB thời gian như hình vẽ (chú ý 90 ≈156). Giá trị của các phần tử 3 chứa trong hộp X là

A. R0 = 60 Ω, L0 = 165 mH.

B. R0 = 30 Ω, L0 = 95,5 mH.

D. R0 = 60 Ω, C0 = 61,3 μF. Câu 33. (Đỗ Ngọc Hà Hocmai-Đề 14) Mắc nối tiếp ba phần tử gồm một tụ điện, một cuộn cảm thuần và một điện trở thuần vào điện áp xoay chiều

C. R0 = 30 Ω, C0 = 106 μF.

V thì dung kháng của tụ 1002cos100u t  điện và cảm kháng của cuộn dây lần lượt là 100 Ω và 110 Ω, đồng thời công suất tiêu thụ của mạch là 400 W. Để mắc ba phần tử này thành một mạch dao động và duy trì dao động trong mạch đó với điện áp cực đại 10 V thì phải cung cấp năng lượng cho mạch với công suất là

DẠYKÈMQUYNHƠNOFFICIAL

A. 0,113 W. B. 0,560 W. C. 0,091 W. D. 0,314 W. Câu34. (Đỗ Ngọc Hà Hocmai-Đề 14)Một nông trại dùng các bóng đèn dây tóc loại 200 W – 220 V để thắp sáng và sưởi ấm vườn cây vào ban đêm. Biết điện năng được truyền đến nông trại từ một trạm phát, giá trị điện áp hiệu dụng tại trạm phát này là 1000 V, đường dây một pha tải điện đến nông trại có điện trở thuần 20 Ω và máy hạ áp tại nông trại là máy hạ áp lí tưởng. Coi rằng hao phí điện năng chỉ xảy ra trên đường dây tải. Số tối đa bóng đèn mà nông trại có thể sử dụng cùng một lúc để các đèn vẫn sáng bình thường là

A. 66. B. 60. C. 64. D. 62. Câu35. (Đỗ Ngọc Hà Hocmai-Đề 14)Lần lượt đặt các điện áp xoay chiều u1, u2 và u3 có cùng giá trị hiệu dụng nhưng tần số khác nhau vào hai đầu một đoạn mạch có R, L, C nối tiếp thì cường độ dòng điện trong mạch tương ứng là:

i

sớm pha so với u

B. i3 sớm pha so với u3. C. i1 trễ pha so với u1. D. i1 cùng pha với i2. Câu 36. (Nguyễn Ngọc Hải Hocmai-Đề 1)Đặt điện áp (u tính bằng V, t tính u400cos100t   bằng s) vào hai đầu đoạn mạch AB gồm điện trở thuần mắc nối tiếp với đoạn mạch X. Cường 50 độ dòng điện hiệu dụng qua đoạn mạch là 2 A. Biết ở thời điểm t, điện áp tức thời giữa hai đầu AB có giá trị 400 V; ở thời điểm (s), cường độ dòng điện tức thời qua đoạn mạch bằng 1 t 400  không và đang giảm. Công suất tiêu thụ điện của đoạn mạch X là A. 400 W. B. 200 W. C. 160 W. D. 100 W. Câu37. (Nguyễn Ngọc Hải Hocmai-Đề 1) Cho mạch điện xoay chiều gồm cuộn cảm thuần, điện trở R và tụ điện mắc nối tiếp. Điện trở , tụ điện C có thể thay đổi được. Đặt vào hai đầu R100 đoạn mạch điện áp xoay chiều ổn định điện áp hiệu dụng U = 200V và tần số không đổi. Thay đổi C để thì điện áp hiệu dụng giữa hai đầu đoạn R - C là URC đạt cực đại. Khi đó giá trị C Z200 của URC là. A. 100V B. 400V C. 300V D. 200V Câu 38. (Nguyễn Ngọc Hải Hocmai-đề 2) Nối hai cực của một máy phát điện xoay chiều một pha vào hai đầu đoạn mạch A, B mắc nối tiếp gồm điện trở , cuộn cảm thuần có độ tự cảm L 50 và tụ điện có điện dung 138 F. Bỏ qua điện trở thuần của các cuộn dây của máy phát. Biết rôto  máy phát có hai cặp cực. Khi rôto quay đều với tốc độ n1=600 vòng/phút hoặc n2=800 vòng/phút thì công suất tiêu thụ của đoạn mạch AB là như nhau. Rôto phải quay với tốc độ bao nhiêu thì công suất trên mạch đạt cực đại ?

A. no = 1000 vòng/phút

B. no = 679 vòng/phút

C. no = 700 vòng/phút D. no = 480 vòng/phút Câu 39. (Nguyễn Ngọc Hải Hocmai-Đề 3) Một đoạn mạch RLC không phân nhánh mắc vào nguồn điện xoay chiều có điện áp hiệu dụng không đổi, tần số thay đổi được. Khi điều chỉnh tần số, người ta thấy rằng với tần số bằng 16 Hz và 36 Hz thì công suất tiêu thụ trên mạch như nhau. Hỏi muốn mạch xảy ra cộng hưởng thì phải điều chỉnh tần số của điện áp bằng bao nhiêu?

A. f = 24 Hz. B. f = 20 Hz. C. f = 52 Hz. D. f = 26 Hz.

DẠYKÈMQUYNHƠNOFFICIAL
       
t         .
3
t         
; và 12cos150 3 iI t
22cos200 3 iI
Phát biểu nào sau đây đúng?
2cos100 3 iI
A.
2
2.

410 CF

  R100 V . Cuộn dây thuần cảm có độ tự cảm L thay đổi. Điều chỉnh L = L0 thì công uU2cos100t   suất của mạch cực đại và bằng 484W. Điều chỉnh L để điện áp hai đầu cuộn cảm cực đại. Biểu thức điện áp giữa hai đầu tụ điện khi đó là.

P P

A. 1 B. 3 C. 2 D. 4

và 0 2 I i

đang

DẠYKÈMQUYNHƠNOFFICIAL
A.
C 3
4       C 3
4        C.
C u220cos100tV 4     C
Câu 40. (Nguyễn Ngọc Hải Hocmai-Đề 4) Cho đoạn mạch RLC mắc nối tiếp.Tụ điện có điện dung Điện trở Điện áp hai đầu đoạn mạch có biểu thức     
B.
u220cos100tV
u2202cos100tV
D.
u2202cos100tV 4
Câu41. (Nguyễn Ngọc Hải Hocmai-Đề 5) Đặt vào hai đầu đoạn mạch điện áp xoay chiều có giá trị hiệu dụng và tần số f không đổi. Điều chỉnh để thì công suất tiêu thụ 100 UV  150RR của mạch là và góc lệch pha của điện áp và dòng điện là . Điều chỉnh để 160 PW  1 thì công suất tiêu thụ của mạch là và góc lệch pha của điện áp và dòng điện là 225RR 2P với Tỉ số bằng 2 22 12 3 coscos 4 2 1
Biết , công suất
1 5 CmF   A. 200W B. 100W C. 400 W D. 50 W Câu43. (Nguyễn Ngọc Hải Hocmai-Đề 6) Ở mạch điện như hình vẽ bên, 0cos 6 AB uUt      và . Tìm độ lệch pha giữa điện áp hai đầu AN so với điện áp hai đầu MB. 0cos 3 MN uUt     
Câu42. (Nguyễn Ngọc Hải Hocmai-Đề 5) Đoạn mạch AB gồmđoạn AM (chứa tụ điện C nối tiếp điện trở R) và đoạn MB (chứa cuộn dây). Đặt vào hai đầu mạch một điện áp xoay chiều ổn định. Đồ thị theo thời gian của uAM và uMB như hình vẽ. Lúc t = 0, dòng điện đang có giá trị
giảm.
tiêu thụ của mạch là

Câu 44. (Nguyễn Ngọc Hải Hocmai-Đề 6) Điện năng được truyền từ một trạm phát đến một hộ tiêu thụ điện bằng đường dây một pha với hiệu suất truyền tải là 82%. Coi hao phí điện năng chỉ do tỏa nhiệt trên đường dây và không vượt quá 30%. Nếu công suất sử dụng điện hộ tiêu thụ tăng 25% và giữ nguyên điện áp ở nơi phát thì hiệu suất truyền tải điện năng trên chính đường dây đó là

A. 72,6%. B. 77,4%. C. 78,5,%. D. 75,6%.

Câu45. (Nguyễn Ngọc Hải Hocmai-Đề 7)Trong một giờ thực hành một học sinh muốn một quạt điện loại 220 V – 120W hoạt động bình thường dưới điện áp xoay chiều có giá trị hiệu dụng 300 V, nên mắc nối tiếp với quạt một biến trở. Ban đầu học sinh đó để biến trở có giá trị 50Ω thì đo thấy cường độ dòng điện hiệu dụng trong mạch là 0,5A và công suất của quạt điện đạt 85%. Muốn quạt hoạt động bình thường thì phải điều chỉnh biến trở như thế nào?

A.Tăng thêm 20,5Ω B.Giảm đi 82,5Ω C.Giảm đi 25Ω D.Tăng thêm 82,5Ω

Câu 46. (Nguyễn Ngọc Hải Hocmai-Đề 8) Cho mạch điện xoay chiều gồm một điện trở thuần, một cuộn cảm thuần và một tụ điện mắc nối tiếp. Đặt vào hai đầu mạch điện áp xoay chiều có giá trị hiệu dụng không đổi và tần số góc ω thay đổi được. Điện áp hiệu dụng giữa hai bản tụ điện và điện áp hiệu dụng hai đầu cuộn cảm lần lượt là UC, UL phụ thuộc vào ω, chúng được biểu diễn bằng các đồ thị như hình vẽ bên, tương ứng với các đường UC, UL. Khi ω = ω1 thì UC đạt cực đại Um. Các giá trị Um và ω1 lần lượt là A. V, rad/s. B. V, rad/s. 15023303 10033303 C. V, rad/s. D. V, rad/s. 10033302 15023302 Câu 47. (Nguyễn Ngọc Hải Hocmai-Đề 9) Đặt điện áp xoay chiều vào hai 2cos uUtV   đầu đoạn mạch nối tiếp theo thứ tự. biến trở R, cuộn dây thuần cảm L và tự điện có điện dung C thay đổi được. Khi C = C1 thì điện áp hiệu dụng hai đầu biến trở không phụ thuộc vào giá trị của R. Khi C = C2 thì điện áp hiệu dụng hai đầu đoạn mạch chứa L và R cũng không phụ thuộc R. Hệ thức liên hệ giữa C1 và C2 là A. C2 = 0,5 C1 B. C2 = C1 C. C2 = 2C1 D. 21 2CC

DẠYKÈMQUYNHƠNOFFICIAL
A. B. C. D. 3
3
2
2

Câu 48. (Nguyễn Ngọc Hải Hocmai-Đề 9) Đặt điện áp (U0, ω và φ không 0cos uUt  đổi) vào hai đầu đoạn mạch AB mắc nốitiếp theo thứ tự cuộn dây thuần cảm có độ tự cảm L, dụng cụ X và tụ điện có điện dụng C; Gọi M là điểm nối giữa cuộn dây và X, N là điểm nối giữa X và tụ điện. Biết (V). Điện áp hiệu dung 23LC



 602cos,1202cos 3 AN MB u tVu t 

  giữa hai đầu đoạn mạch AB gần giá trị nàosau đây. A. 50 V B. 141 V C.85 V D. 71 V Câu 49. (Nguyễn Ngọc Hải Hocmai-Đề 10) Mạch điện X (gồm 3 phần tử: R1, L1, C1 mắc nối tiếp) có tần số góc cộng hưởng là ω1 và mạch điện Y (gồm 3 phần tử: R2, L2, C2 mắc nối tiếp) có tần số góc cộng hưởng là ω2. Biết ω1 ≠ ω2 và L2 = 2L1. Mắc nối tiếp hai mạch X và Y với nhau thì tần số góc cộng hưởng của mạch này là A. B. C. D. 122 3

Câu50. (Nguyễn Ngọc Hải Hocmai-Đề 10) Điện áp giữa hai cực của một trạm phát điện cần tăng lên bao nhiêu lần để giảm công suất hao phí trên đường dây tải điện 100 lần, với điều kiện công suất truyền đến tải tiêu thụ không đổi ? biết rằng khi đã tăng điện áp, độ giảm thế trên đường dây tải điện bằng 0,15 điện áp giữa hai cực của trạm phát điện khi đó hiệu điện thế tại nơi phát cần tăng lên bao nhiêu lần. Biết cường độ dòng điện luôn cùng pha với điện áp.

A. 8,707 B. 8,515 C. 9,012 D. 9,011 Câu 51. (Nguyễn Thành Nam Hocmai-Đề 3) Điện năng từ một trạm phát điện được đưa đến một khu tái định cư bằng đường dây truyền tải một pha. Cho biết, nếu điện áp tại đầu truyền đi tăng từ U lên 2U thì số hộ dân được trạm cung cấp đủ điện năng tăng từ 36 lên 144. Cho rằng chỉ tính đến hao phí trên đường dây, công suất tiêu thụ điện của các hộ dân đều như nhau, công suất của trạm phát không đổi và hệ số công suất trong các trường hợp đều bằng nhau. Nếu điện áp truyền đi là 3U thì trạm phát huy này cung cấp đủ điện năng cho A. 324 hộ dân. B. 164 hộ dân. C. 252 hộ dân. D. 180 hộ dân. Câu 52. (Nguyễn Thành Nam Hocmai-Đề 3) Đặt một điện áp xoay chiều 0 uUcost vào mạch AB gồm điện trở , tụ điện và cuộn cảm thuần mắc nối tiếp. Ban đầu K đóng, R12 sau đó K mở. Hình vẽ là đồ thị biểu diễn sự phụ thuộc của cường độ dòng điện i vào thời gian t. Giá trị của U0 là U0

DẠYKÈMQUYNHƠNOFFICIAL
  
   22
   
 
  

12
22 122 3 
12 2 3

A. 240V. B. 180V. C. 120 V. D. 100 V. Câu53. (Trần Đức Hocmai-Đề 1) Cho đoạn mạch AB gồm đoạn AM chứa cuộn cảm thuần, đoạn MN chứa điện trở thuần và đoạn NB chứa tụ điện. Đặt điện áp ( V) (trong đó 0 uUcost   xác định) vào hai đầu mạch AB. Khi đó điện áp tức thời hai đầu đoạn mạch AN và MB 0 U,, có đồ thị như hình vẽ. Hệ số công suất của đoạn mạch MB là.

A. 0,65 B. 0,33 C. 0,74 D. 0,50 Câu 54. (Trần Đức Hocmai-Đề 4) Đặt điện áp xoay chiều AB gồm: đoạn mạch AM chứa điện trở thuần R=90 Ω và tụ điện C=35,4 μF, đoạn mạch MB gồm hộp X chứa 2 trong 3 phần tử mắc nối tiếp (điện trở thuần R0; cuộn cảm thuần có độ tự cảm L0, tụ điện có điện dung C0). Khi đặt vào hai đầu AB một điện thế xoay chiều có tần số 50 Hz thì ta được đồ thị sự phụ thuộc của uAM và uMB thời gian như hình vẽ (cho ). Giá trị của các phần tử chứa 903156  trong hộp X là

hai đầu đoạn mạch gồm điện trở có giá trị

Ω, tụ điện có điện dung C và cuộn thuần cảm có hệ số tự cảm L mắc nối tiếp. Biết U = a V, L thay đổi được. Hình vẽ bên mô tả đồ thị của điện áp hiệu dụng giữa hai đầu cuộn cảm , điện áp hiệu dụng giữa hai bản tụ điện và công suất tiêu thụ điện năng của toàn mạch theo cảm kháng. M và N lần lượt là hai đỉnh của đồ thị (1) và (2). Giá trị của a bằng

DẠYKÈMQUYNHƠNOFFICIAL
A. B. 0
RLmH 
C.
0
RCF  0 0
RCF  Câu
  V
ω
0 60,165
0 0 30,95,5 RLmH 
D.
0 30,106
60,61,3
55. (Trần Đức Hocmai-Đề 5) Đặt điện áp 2cos uUt
(U và
không đổi) vào
a

A. 30. B. 50. C. 40. D. 60. Câu 56. (Trần Đức Hocmai-Đề 5) Đặt một điện áp xoay chiều u = U0cosωt vào hai đầu đoạn mạch AB theo tứ tự gồm điện trở R = 90 Ω, cuộn dây không thuần cảm có điện trở r = 10 Ω và tụ điện có điện dung C thay đổi được. M là điểm nối giữa điện trở R và cuộn dây. Khi C = C1 thì điện áp hiệu dụng hai đầu đoạn mạch MB đạt giá trị cực tiểu bằng ; khi C = C2 = 0,5C1 thì điện áp hiệu dụng trên tụ điện đạt giá trị cực đại bằng U2. Tỉ số bằng. 2 1

U U A. B. C. D. 52 2 102 92 Câu 57. (Trần Đức Hocmai-Đề 5) Điện áp hiệu dụng giữa hai cực của một trạm phát điện cần tăng lên bao nhiêu lần để giảm công suất hao phí trên đường dây tải điện 100 lần, với điều kiện công suất truyền đến tải tiêu thụ không đổi? Biết rằng khi chưa tăng điện áp độ giảm điện áp trên đường dây tải điện bằng 5% điện áp hiệu dụng giữa hai cực của trạm phát điện. Coi cường độ dòng điện trong mạch luôn cùng pha với điện áp đặt lên đường dây. A. 8,515 lần B. 9,01 lần C. 10 lần D. 9,505 lần Câu 58. (Trần Đức Hocmai-Đề 7) Đặt một điện áp V vào hai đầu mạch 2cos120uU t

điện gồm điện trở thuần R = 125 Ω, cuộn dây và tụ điện có điện dung thay đổi được măc nối tiếp như hình vẽ. Điều chỉnh điện dung C của tụ, chọn r, L sao cho khi lần lượt mắc vôn kế lí tưởng vào các điểm A, M; M, N; N, B thì vôn kế lần lượt chỉ các gía trị UAM, UMN, UNB thỏa mãn biểu thức. 2UAM = 2UMN = UNB = U. Để điện áp hiệu dụng giữa hai đầu tụ điện đạt giá trị cực đại thì phải điều chỉnh điện dung của tụ điện đến giá trị gần nhất với giá trị nào?

A. 3,8 μF. B. 5,5 μF. C. 6,3 μF.

D. 4,5 μF. Câu59. (Trần Đức Hocmai-Đề 7) Tại một điểm M có một máy phát điện xoay chiều một pha có công suất phát điện và hiệu điện thế hiệu dụng ở hai cực của máy phát đều không đổi. Nối hai cực của máy phát với một trạm tăng áp có hệ số tăng áp là k đặt tại đó. Từ máy tăng áp điện năng được đưa lên dây tải cung cấp cho một xưởng cơ khí cách xa điểm M. Xưởng cơ khí có các máy tiện cùng loại công suất khi hoạt động là như nhau. Khi hệ số k = 2 thì ở xưởng cơ khí có tối đa 120 máy tiện cùng hoạt động. Khi hệ số k = 3 thì ở xưởng cơ khí có tối đa 125 máy tiện cùng hoạt động. Do xảy ra sự cố ở trạm tăng áp người ta phải nối trực tiếp dây tải điện vào hai cực của máy phát điện, khi đó ở xưởng cơ khí có thể cho tối đa bao nhiêu máy tiện cùng hoạt động. Coi rằng chỉ có hao phí trên dây tải điện là đáng kể. Điện áp và dòng điện trên dây tải điện luôn cùng pha. A. 93 B. 102 C. 84 D. 66 Câu60: (Trần Đức Hocmai-Đề 8) Điện năng được truyền từ nơi phát đến nơi tiêu thụ là một nhà máy có 10 động cơ điện giống nhau, bằng đường dây tải một pha với hiệu suất truyền tải là 96 %. Nếu nhà máy lắp tăng thêm 2 động cơ điện cùng loại và điện áp ở nơi phát không đổi thì hiệu suất truyền tải điện năng trên đường dây tải lúc đó là A. 95,16 % B. 88,17 % C. 89,12 % D. 92,81 % Câu 61: (Trần Đức Hocmai-Đề 9) Một đoạn mạch AB gồm hai đoạn mạch AM và MB mắc nối tiếp. Đoạn mạch AM gồm biến trở R mắc nối tiếp với cuộn cảm thuần có độ tự cảm L, đoạn mạch MB là tụ điện có điện dung C. Đặt điện áp xoay chiều (U không đổi, tần số f uU2cos2ft   thay đổi được) vào hai đầu đoạn mạch AB. Ban đầu điều chỉnh biến trở để có giá trị , RL/C  thay đổi f, khi f = f1 thì điện áp hiệu dụng trên C đạt cực đại. Sau đó giữ tần số không đổi f = f2,

DẠYKÈMQUYNHƠNOFFICIAL
 

điều chỉnh biến trở thì điện áp hiệu dụng giữa hai điểm AM không thay đổi. Hệ thức liên hệ giữa f2 và f1 là A. B. C. D. 21 4 ff 3

Câu62(Trần Đức Hocmai-Đề 9) Điện năng được tải từ nơi phát đến nơi tiêu thị bằng dây dẫn chỉ có điện trở thuần. Ban đầu độ giảm thế trên dây bằng 15% điện áp hiệu dụng nơi phát điện. Để giảm hao phí trên đường dây 100 lần (công suất tiêu thụ vẫn không đổi, coi điện áp nơi tiêu thụ luôn cùng pha với dòng điện) thì phải nâng điện áp hiệu dụng nơi phát lên A. 10 lần. B. 7,125 lần. C. 8,515 lần. D. 10,125 lần. Câu63: (Trần Đức Hocmai-Đề 10) Đặt điện áp V ( và không đổi) vào 2cos uUt

hai đầu đoạn mạch gồm điện trở có giá trị Ω, tụ a điện có điện dung và cuộn thuần cảm có hệ số tự C cảm mắc nối tiếp. Biết V, thay đổi được. L Ua L Hình vẽ bên mô tả đồ thị của điện áp hiệu dụng giữa hai bản tụ điện, điện áp hiệu dụng giữa hai đầu cuộn cảm và công suất tiêu thụ điện năng của toàn mạch theo cảm kháng. M và N lần lượt là hai đỉnh của đồ thị (1) và (2). Giá trị của bằng a A. 30. B. 50. C. 40. D. 60. Câu64: (Trần Đức Hocmai-Đề 10) Điện năng được truyền tải từ nhà máy phát điện đến nơi tiêu thụ cách xa đó với hiệu suất truyền tải là 80 % nếu điện áp hiệu dụng tại đầu ra máy phát là 2200 V. Coi hệ số công suất trong các mạch điện luôn bằng 1. Nếu tăng điện áp hiệu dụng tại đầu ra ở máy phát lên 4400 V mà công suất tiêu thụ điện không đổi thì hiệu suất truyền tải điện lúc này có giá trị A. 95,0 % B. 93,1 % C. 95,8 % D. 90,0 % Câu65: (Trần Đức Hocmai-Đề 11) Đặt điện áp xoay chiều V vào hai 200cos100 4 u t

DẠYKÈMQUYNHƠNOFFICIAL
được, điện trở và tụ điện mắc nối L tiếp theo thứ tự. Điều chỉnh thì thấy điện áp dụng giữa hai đầu cuộn cảm đạt giá trị cực đại L bằng V. Khi đó, điện áp giữa hai đầu tụ điện có biểu thức là 2002 A. V B. V 1002cos100Cu t  1002cos100 2 Cu t          C. V D. V 300cos100 2 Cu t         5 300cos100 12 Cu t         Câu66. (Trần Đức Hocmai-Đề 11) Một đoạn mạch AB gồm hai đoạn mạch AM và MB mắc nối tiếp. Đoạn mạch AM gồm điện trở thuần R1 mắc nối tiếp với tụ điện có điện dung C, đoạn mạch MB gồm điện trở thuần R2 mắc nối tiếp với cuộn cảm thuần có độ tự cảm L. Đặt điện áp (W)P,()CL UUV O ()LZ 1 2 3 17,5 N M
21ff  1 2 f f 2
21 f3f 2
  U
       đầu đoạn mạch gồm cuộn cảm thuần có độ tự cảm thay đổi

xoay chiều có tần số và giá trị hiệu dụng không đổi vào hai đầu đoạn mạch AB. Khi đó đoạn mạch AB tiêu thụ công suất bằng 160 W và có hệ số công suất bằng 1. Nếu nối tắt hai đầu tụ điện thì điện áp hai đầu đoạn mạch AM và MB có cùng giá trị hiệu dụng nhưng lệch pha nhau 600, công suất tiêu thụ trên mạch AB trong trường hợp này bằng A. 160 W.

DẠYKÈMQUYNHƠNOFFICIAL
ĐÁP ÁNCHI TIẾT Câu1: + Từ đồ thị ta thấy rằng uAN sớm pha hơn uMB một góc 0,5π → ↔1LCL ZZZ Rrr   .1 2r LLCZZZ r  + Để đơn giản, ta chuẩn hóa → .  1 CL r ZZX       2 LZ X  + Kết hợp với → . 2 222 2 2 4 4r 3 ANMB L CL UU ZrZZ X X   2 2 1 L X Z X      + Điện áp hiệu dụng hai đầu đoạn mạch MB → V.   2 2 22 2 2 22 125 302 222 2 LC MB LC rZZ UU U U RrZZ        02410U  Đáp ánB Câu2: + Khi chưa có tụ điện thì hệ số công suất của mạch là:  22L22 RR1 cos 2RZR3R      + Khi có tụ điện thì: mà   2 2 LC R cos RZZ   2LC1LCZZ cos1   Hệ số công suất tăng 2 lần. + Ta lại có: nên giảm 4 lần. 2 22 P P.R Ucos   P
B. 90 W. C. 180 W. D. 120 W.
DẠYKÈMQUYNHƠNOFFICIAL +  PP H0,6 P   P0,4P + % P P H4'0,990 P     Đáp ánD Câu3: + Từ đồ thị ta thấy bài toán thuộc trường hợp thay đổi R để Pmax khi LCRZZ  + Xét đối với ta thấy khi  thì Y PR200   2 2 Ymax 2 2 LC UU P .R100 2RRZZ     V U200  + Khi  thì  R300   2 X 2 2 LXCX U P100 300 300ZZ   LXCX ZZ1003  + 22 Xmax U200 AP 115 2R21003    Đáp ánA Câu4: + Hai giá trị của tần số cho cùng dòng điện hiệu dụng trong mạch là: 12 1 LC  + Mà  12 12 150 C     12 L150     hd 2 222 2 12 LC U U I RLRZZ     + Mặc khác:  2 2 2 2max hd III I 210 25      2 2 12 2 222 12 1UU L3R 10RRL      R50   Đáp ánB Câu5: + Khi thay đổi C mà V1 cực đại  Rmax1 UUI.R  Để thì RmaxU CLZZ 
DẠYKÈMQUYNHƠNOFFICIAL + Lúc này: 21CL U0,5UIZIZ   L Z0,5R  + Khi thay đổi C mà V2 cực đại, tức là khi ULR vuông góc với U CmaxU  2222 Cmax2LR UUUU     2 22222222 C CIZI0,5RRIR0,5RZ    C Z2,5R   2 1 2 U U0,4U 2,5   Đáp ánC Câu6: + Ta có → 12 1 LC  12LCZZ  Từ phương trình rad/s → Ω → Ω. 21200   21503LLZZ 22503LCZZ → Hệ số
→ Ω  2 2 2 22 cos 0,5 LC R RZZ    50R 
+
điện áp xoay chiều thì uND sớm pha hơn uMN một góc 0,5π → X chứa điện trở RX và tụ điện C, Y chứa cuộn dây L và điện trở RY. → với V1 = V2 → UX = UY = 60 V → ZX = ZY = 60 Ω. + Cảm kháng của cuộn dây Ω. 2222 LYY ZZR6030303    + Với uMN sớm pha 0,5π so với uND và → φY = 600 → φX = 300 . L Y Y Z303 tan 3 R30  → Ω. X C R303 Z30      + Điện áp hiệu dụng hai đầu MN:
công suất của mạch
Đáp ánA Câu7:
+ Khi mắc vào hai cực ND một điện áp không đổi → có dòng trong mạch với cường độ I = 1,5 A → ND không thể chứa tụ (tụ không cho dòng không đổi đi qua) và Ω. Y 40 R30 1,5  + Mắc vào hai đầu đoạn mạch MB một
DẠYKÈMQUYNHƠNOFFICIAL    22 22 C XC 1MN 2 2 2 2 XYLC C 602303Z URZ VU RRZZ30330303Z       + Sử dụng bảng tính Mode → 7 trên Caio ta tìm được V1max có giá trị lân cận 105 V.  Đáp ánC Câu8: Đáp ánA - Với trường hợp f = 50 Hz : uR = U => cộng hưởng điện => 42 11 LC L10 C   - Với trường hợp f = f0 : L0C0 L0C0 0 0 ZZ 1 tantan ZZRL100L 4R C       2 2 0 00 00422 11 LC1100LC1 508(rad/s)f80,85(Hz)1010      Câu9: Đáp ánD Có ZL = 200Ω. Có . Để UAN không đổi khi thay đổi R, ta phải có 22 L AN2 2 2 LC CLC 22 L URZU U R(ZZ)Z2ZZ 1 RZ       4 2 CLC CL 10 Z2ZZ0Z2Z400()C(F) 4   Câu10: Đáp ánA Vì φAM = π/6 nên suy ra đoạn AM có R và L, đồng thời có L RL L Z tanR3Z R  Ta có 22 22 L LC C LC AMMBRLC 2 2 2 2 LC LLCC U.RZURZZ .Z 2ZZ UUUU U U ZZR(ZZ)4Z2ZZZ         Xét . Đặt , ta có: . LC 2 2 LLCC 2ZZ F 4Z2ZZZ    C L Z x(x0) Z  2 x2 F x2x4   
DẠYKÈMQUYNHƠNOFFICIAL Khảo sát hàm số với x > 0, ta tìm được Max F = 2 khi và chỉ khi x = 2. Suy ra UAM + UMB lớn nhất khi ZC = 2ZL Khi đó C L C2 222 LC LL U.ZU.2Z U U220(V) R(ZZ)3ZZ      Câu11: Đáp ánD ω thay đổi, cosφ bằng nhau => ta có công thức 12 1 LC  ω thay đổi, ULmax => . Theo đề bài ta có R2C2 = LC nên suy ra 22 2 3 1RC LC 2   2 3 2 LC  Từ đó, kết hợp với đề bài ta có hệ . Giải hệ này ta tìm được . 2 312 123 2 2      1 2 32   Có 2 2 2 2 L1C1 L1C1 L1 L1C1 C1 L1 C1 R 1 1 cos R(ZZ)(ZZ)Z 1 1Z.ZZ 1 Z Z         Lại có . Thay cả 2 trường hợp vào cosφ, ta đều tìm được 2 L2 1 11 1 C1 122 Z LC Z    . 1 cos0,447 5  Câu12: Đáp ánB Lúc đầu: 22 L LC rL UrZrZZ U;cos;tan ZZr    Lúc sau (nối tắt tụ): L rL Z U'U;tan' r  Theo đề bài, có 2 2 22 2 LLC LLC rLrL LCL LCL ZZZU18r9Z(ZZ)89 U' rr 3ZZZ 1ZZZ tan.tan'1 .1 rr rr                            
DẠYKÈMQUYNHƠNOFFICIAL Đặt (y > 0) ta có: LCL ZZZ x;y rr   22 2 2 1 x x3 y89yx 11 y xy189y3 y                  Có 2 2 LC r111 cos ZZ1x10 Z 1 r           Câu13:
f
f1 Uc max,
U
max nên ta
(1) Cmax 12 CmaxLmax 2f coscos ff  Mặt
. Thay vào
222 max 3Ucos3U3 PP cos 4R4R2   150 Hz. Câu14: Đáp ánC ω thay đổi, UL max. Áp dụng định lý bhd4 chuẩn hóa số liệu, ta có: L C Lmax 2 Zn Z1 R2(n1) U U 1n          Có C Lmax CC L 2 2 L Z1 UU 8U I UI.ZU.1n2,125Z2,125 Z 15 n1 n1 R1,5         Từ đó dễ dàng tìm được cosφ = 0,8. Câu15: Đáp ánA + f = 50 Hz: 22 C11 L1L1C1ZZRZ2ZZ  + f = 125 Hz: 22 L22 C2L2C2ZZRZ2ZZ  Vì ZL . ZC = L/C luôn không đổi nên suy ra L1C2ZZ  22 L1L2L1RZ2ZZ Mặt khác (1) L2L1 L1Z2,5ZR2Z 
Đáp ánB
thay đổi,
f2
L
có công thức
khác:
(1), dễ dàng tìm được f1 =

+ f = f0: uRL sớm 1350 so với uC, suy ra φRL = 450 => R = ZL0 (2)

Từ (1) và (2) suy ra 01 f2f100(Hz) 

1 cos 1(ZZ)   + f = f2 = 120 Hz: có ZL2 = 2ZL1 ; ZC2 = 0,5ZC1 2 2 L1C1

1 cos 1(2Z0,5Z)   + f = f3 = 180 Hz: có ZL3 = 3ZL1 ; ZC3 = ZC1/3 3 C2 1 L1

1 cos Z 1(3Z) 3 Có (2). 2 2 1 2 L1C1 L1C1 cos0,8cos1616(ZZ)2525(2Z0,5Z)   Từ (1) và (2) tìm được . Thay vào cosφ3 = 0,923. L1 C1

 Z0,25 Z1    Câu17: Đáp ánC Chuẩn hóa số liệu : Cho U = 1. + Mạch ban đầu RrLC (cuộn dây không thuần cảm có r)=>(1) 2 2 LC 2 1 (Rr)(ZZ)2,65   + Mạch rLC (R bị nối tắt) (2) 2 2 LC 2 1 r(ZZ)3,64  + Mạch RrL (C bị nối tắt) (3) 22 L2 1 (Rr)Z1,68 + Mạch rL (RC bị nối tắt) (4) 22 L2 1 rZ x  Từ (1) (2) (3) (4) suy ra . 2222 1111 x1,865(A)2,653,641,68x  

 Theo đề bài:(1) 2 LC L1 C1 LR111 ZZ4Z C444Z 

DẠYKÈMQUYNHƠNOFFICIAL
Câu16: Đáp ánD Ta chuẩn hóa số liệu: + f = f1 = 60 Hz: Đặt R = 1 thì 1 2 L1C1

Câu18: Đáp ánB Bổ đề : LLmax 0 UUcos()  

Trong đó : + UL max là giá trị cực đại của UL khi L thay đổi. + φ0 là độ lệch pha của u và i trong trường hợp UL max. Áp dụng : UL như nhau thì . 12 020,785(rad)   Có Lmax L 0

U U311(V)U300(V) sin  

khác, khi ZC tiến đến vô cùng, UC tiệm cận đến

khi ZC tiến đến vô cùng, UC = U => U = 120 (V). Suy ra khi ZC = 80 thì ta

U P 120 Z80I1,5(A)R60() Z80 I  2f2f1 cos ffff2     Có 22 3 Ucos P144(W) R    Câu21: Đáp ánC Từ đồ thị ta có : + C = 0, ZC = vô cùng => UC = U = 120 (V)

DẠYKÈMQUYNHƠNOFFICIAL
Mặt
120V. Có C22 LL 2 CC U U RZZ 21 ZZ    nên
Câu19: Đáp ánA Dựa vào đồ thị, ta thấy khi C R C 2 C có : 2 2 222 2 C C C LC L L UUZZZ(Rr)(ZZ)8080(Z80)Z80()    C thay đổi, UC max 22 L Cmax UU(Rr)Z1202(V) Rr     Câu20: Đáp ánC Bài toán f thay đổi, ta có công thức : 2 21331 ffff3f  Và . C 1 CL13
DẠYKÈMQUYNHƠNOFFICIAL + C1 C1 2 2 1 L U.Z 120200 U152152 4810 ZR(Z200)    C2 C2 2 2 2 L 1200 20. U.Z 3U152152 4810 Z 200 R(Z) 3    Từ 2 pt trên suy ra được R = 50Ω Câu22: Đáp ánC Có 2 dm D dm U R484() P  Ban đầu : (1) 2 2 D d2 2 2 LC UR U484 P100 Z484(ZZ)   Sau khi nốt tắt tụ : (2) 2 2 D d2 22 L URU484 P50 Z484Z   Chia (1) cho (2) được (3) 22 2 22 L LCLC 2 2 LC 484Z 2 Z4ZZ2Z4840 484(ZZ)      Để có ZL thì pt (3) phải có nghiệm, tức là 222 CC C '04Z2Z4840Z342()  => Chọn C. Câu23: Đáp ánA + Câu A: vì uL và uR vuông pha nên: => A sai. 2 2 2 22 2 LR L R LR 0 0L0R 0L0 L uuuuuu 1 1 I UUI.ZI.RZR         + Câu B: => Đúng 0 0 22 L UUU I ZZ22(RZ)   + Câu C hiển nhiên đúng. + Câu D: vì uL và i vuông pha nên: => Đúng. 22 22 22222 L L LL0L 0L0 0L0 uiui 1 1uiZIZ UIIZI     Câu24: Đáp ánC
DẠYKÈMQUYNHƠNOFFICIAL Chú ý E tỉ lệ thuận với n. Chuẩn hóa R = 1. Áp dụng công thức tính . 2P(Ecos) R   Ta có bảng sau : n 2n 2n E 1 2 2 cos (1) 2 LC 11 21(ZZ)   (3) (2) 2 LC 11 21(2Z0,5Z)   P 1 P 2R  (4) 24(2cos) P R   Từ (1) và (2) dễ dàng tìm được . Suy ra điền được vào ô (3) giá trị LC Z1;Z2  cos1  => Ở ô (4) tìm được 2 P(Ecos)2 ' 4P RR    Câu25: Đáp ánA + K mở: mạch RLC: LC CL ZZ tan 1ZRZ R  2 2 2 LC UR P R(ZZ)   + K đóng: mạch RL: 2 22 L UR P' RZ   Theo đề bài: 22 22 L L L 2 2 2 LC PRZRZZ 2 223 P'R(ZZ)2RR       Câu26: Đáp ánC Ta có ngay U = 150 (V) (= 0 thì UC = U)  Gọi là giá trị để UC max, là giá trị để UL max. Ta có C L C L 6602 660 2     
DẠYKÈMQUYNHƠNOFFICIAL Mặt khác : Lmax 2 C L U U 1003(V) 1      Câu27: Đáp ánD Có: 2222 2 2 22 1 2 12max 12 UcosUcos (Ucos) U P PPP coscos1 R RRR        Mặt khác: 2 22RL L 12 22 L L1L2 UUR UR11 cos coscos 1 UZU UZZ          Lại có (1) 2 L 222222 2 12LL1L2Lmax Lmax UR112112 2 1 ZZZUZ       Gọi tổng trở trong trường hợp ULmax là Zmax, ta được (2) 22 2 2 maxL L 0 Lmaxmax Lmax Z.URU (1)2.12.cos1 U.ZZU             Có C L 0 0 2 L CL C C 221 25 cos ; 1,5cosRC 5 11 2L          Thay vào (2), tìm được L Lmax U5 U22  Câu28: Đáp ánB + f = fC : UC max C CL L 22 C 2f cos ff f 2 fP(Ucos)2U2 cos R3R3             Mặt khác 2 2 L LC 2 2 C f11 2RCLZZR fRCRC 11 2L2L    Đặt R = 1 . Có (1) C L 1 Z Z  2 L L 12 cos 13 1Z Z        
DẠYKÈMQUYNHƠNOFFICIAL Trong TH này vì UC max nên mạch có tính dung kháng L L 1 Z Z  Với điều kiện trên, từ (1) ta tìm được nghiệm . L 1 Z 2  + : tần số tăng lần thì cảm kháng cũng tăng lần. Cf22f  22 22 Có 2 2 L L 1 12 cos' 1131112 Z' 2Z'             Câu29: Đáp ánA Đặt . 22 11 UN x UN  + TH1: 2 UxU(V)  Có (1) 22 L Cmax xURZ UR141,42(V)    + TH2: 2 U U(V) x  Có (2) 22 LL RCmax UU(ZZ4R783,13(V) 2Rx    Chia (1) cho (2) được: (vòng) 2 21 x2 0,181x0,455NxN1000 1,618  Câu30 :Đáp ánB
DẠYKÈMQUYNHƠNOFFICIAL U UR Ur β α B P A N M Gọi độ lệch pha của uAP và uAB là β. Có và UAP luôn bằng U. 22 L AP CL 2 2 LC U(Rr)Z U RZ2Z (Rr)(ZZ)     Suy ra tam giác ABP cân tại A, góc α không đổi. Thay đổi R (AM) thì dễ thấy β max = 2α. + uAP lệch pha cực đại uAB khi R = 0 L 122 L 2UZ U rZ   +  222 ANNP ANNP ANNP ANNP UUU U.U U.UmaxUU 22     Suy ra tam giác ANP vuông cân tại N L ZRr 2ANMN L UUr UUU 2Z2   Mà L L L 1 222 L L Z6ZrZ 3 U2(633)U 1,37672 Z2Zr r        0 0tan1,3767254max108  Câu31: Đáp ánD Có:  (1) 222 C1C2C 2   (2) 222 L1L2L 112  
DẠYKÈMQUYNHƠNOFFICIAL  2 224 222 C224 222 C U U U LC(2LCRC)10 U LC(2LCRC)1         (3) 2 C 22 C1C2 1U U471 LC72LC      2 2 L 224 22 2 L 224 22 U 112R1U U 10 LCLCLU112R1 . 1 LCLCL                        (4) 2 22 L1L2 L 1U47 1LCLC U72     Từ (3) và (4) suy ra C1C2 00 0 L1L2 0 0 4(34) 7 47823(rad/s)72(54)(114)72       Thế vào (1) và (2) tìm được C L 878(rad/s);1074(rad/s)  Có Cmax 2 C L U U 122(V) 1      Câu32: Đáp ánB Nhìn vào đồ thị dễ dàng tìm được AM MB u180cos100t(V) 6 u60cos100t(V) 3              Giản đồ : R=90 ZL0 R0 302 902 ZC=90 A M B Từ giản đồ suy ra được R0 = ZL0 = 30 Ω => R0 = 30Ω ; L0 = 95,5 mH.

Câu32: Đáp ánC Công suất cần cung cấp: (1) 2 20 cc UC PIR.R 2L  Có: 4 2 2 2 LC

R5()1110UR LH;CF;P R20() 10 R(ZZ) 



Thay vào (1) tìm được Chọn C cc cc

P0,0227(W) P0,0909(W)    Câu34: Đáp ánD Các đèn sẽ mắc song song để U đèn bằng U2 (điện áp cuộn thứ cấp) và bằng 220V. Gọi n là số đèn. Trên đường dây tải điện: .phat11 UIRU  Ở MBA: 1211dm PPUInP  2 1 11 1

200n 100020.II50I10n0 I   Để pt này có nghiệm thì '62510n0n62,5  Vậy n Max = 62 (bóng đèn).

Câu35: Đáp ánB + Tần số khác nhau => i1 và i2 không bao giờ cùng pha được => D sai. + i1 và i2 có giá trị hiệu dụng như nhau 2 12001003  Có mạch có tính dung kháng => i3 sớm pha hơn so với u3. 30 

Câu36: Đáp ánB Vòng tròn đơn vị :

DẠYKÈMQUYNHƠNOFFICIAL
  
   
DẠYKÈMQUYNHƠNOFFICIAL 45° it ' ut ut ' O Ở thời điểm t, u có giá trị 400V (điểm ut trên hình). Sau đó T/8, u sẽ ở vị trí ut’. Lúc này, vì i có giá trị = 0 và đang giảm nên có vị trí it’ như hình vẽ. Suy ra 4   Coi hộp X gồm r, ZL và ZC. Giản đồ vecto : R r ZC-ZL Z 45° Từ giản đồ ta thấy (tam giác vuông cân) CLRrZZ  Có U Z1002() I  2 22 LC (Rr)(ZZ)100.2Rr100r50() 
DẠYKÈMQUYNHƠNOFFICIAL Suy ra 22 X22 Ur200.2.50 P 200(W)Z100.2   Câu37: Đáp ánB C thay đổi, URC max thì có công thức: 22 LCC RCmax22 LL ZZZR 2UR U 4RZZ      (1) (2) 22 L L (1)200Z200100Z150()   RCmax 22 2.200.100(2)U 400(V) 4.100150150    Câu38: Đáp ánB + Máy phát điện có E tỉ lệ thuận với Ek  Có 2 22 2 2 2 2 2 2 LC2 24 2 ERkR kR P 112L1 R(ZZ) 1 RLRLCC C                     Để P max thì mẫu số phải min. Để ý thấy mẫu số là dạng tam thức bậc 2, nên mẫu số min khi và chỉ khi 2 max b1b x 2a2a   Mặt khác, có 2 giá trị và làm P bằng nhau nên chúng sẽ thỏa mãn định lý Viete: 12 22 2 22 12 max12 11b1111 a2        Có (vòng/phút) 0222 012 np np1111f2f2n n679 60 60n2nn        Câu39: Đáp ánA Tần số thay đổi, f1 = f2 :P bằng nhau và f0: P max 2 1200 ffff163624(Hz)  Câu40: Đáp ánA L thay đổi: + P max => cộng hưởng điện
DẠYKÈMQUYNHƠNOFFICIAL L1C 2 max ZZ100() U P484U220(V) R      + UL max 22 C L2 C 22 C L RZ Z200() Z URZ UR2202(V)              L 0 0C0C L2 U2 I2,2(A)UIZ220(V) Z  Lại có L2C i C ZZ 3 tan1 R444      Biểu thức uC: C 3 u220cos100t(V) 4       Câu41: Đáp ánB Có 22 12 1 1 1 Ucos Pcos0,3 R    2 2 cos0,45 Lại có 22 2 2 2 2 1 Ucos P P180(W)3 R P     Câu42: Đáp ánA Đoạn mạch AM là đoạn RC, đoạn MB là đoạn rL. Theo đồ thị, ta thấy : + 0RC0rL UU200(V)  + uAM và uMB vuông pha nhau + T/4 = 10 ms T0,04(s)50(rad/s)  + t = 0 thì và đang giảm. AMMB uuu200(V)  Giản đồ vecto :
DẠYKÈMQUYNHƠNOFFICIAL uR ur uAM uC uMB uL u Dựa vào giản đồ, ta có : 22 00MB0AM UUU2002(V)  Suy ra
t = 0, và đang giảm 0 U2 u 2  u4  Mặt
0
i 2  i
4   Giản
: R r ZC ZL Dễ thấy R = r = ZC = 100(Ω) Có 2 2U200 P 200(W)Rr100100    Câu43: Đáp ánD
tại
khác, và đang giảm
I2
0
đồ vecto mới
DẠYKÈMQUYNHƠNOFFICIAL Có UAB = UMN và chúng vuông pha nhau. Giản đồ vecto: UR Ur Ur UL UMN U UAN UMB UC-UL B C A O D Có (ĐL Pytago) (1) 222 ACOAOC  Vì ABCD là HCN nên AC = BD (2) Có 2222 2 2 rLRrCL OAOCUU(UU)(UU)  và 22 222 2 RrLrCL OBOD(UU)UU(UU)  (3) 2222 OAOCOBOD Từ (1) (2) (3) 222 BDOBODOBOD  => uAN vuông pha với uMB. Câu44: Đáp ánD + Ban đầu: công suất trạm phát P, hao phí ∆P, tiêu thụ Ptt tt PPP0,82P;P0,18P + Lúc sau: công suất trạm phát P’ = kP; hao phí ; tiêu thụ Ptt’ = 1,25Ptt 2 P'kP 2 2 tt P'P'P'1,25.0,82PkPk0,18P0,18kk1,0250    k4,2 k1,356  
DẠYKÈMQUYNHƠNOFFICIAL
   Câu45:
U
U
U φ
φ
  Điện
 Từ
        Từ (1) và (2) 0 dc dc tan0,9543,531 + Lúc sau : động cơ hoạt động BT dcdcdc P'U'I'cos120220I'cos43,531I'0,7523(A)   Từ giản đồ : Rdcdc R dcdc Ucos'U'U'.cos300.cos'U'220.cos43,531 Usin'U'.sin300.sin'220.sin43,531             0 R R '30,337U'R'132,5(V) I'U'99,421(V)      Suy ra phải tăng biên trở thêm 132,5 – 50 = 82,5(Ω) Câu46: Đáp ánC Từ đồ thị ta thấy: + = 0 thì  C UU150(V)  + thì 0660rad/s CL UU150(V) 
Ta có => loại k = 4,2 và chọn k = 1,356. 2 P'k0,18P5 0,30,3kP'kP 3
 
P' H'110,18k0,756 P'
Đáp ánD Giản đồ vecto:
R
dc
dc
+ Ban đầu: Động cơ hoạt động dưới định mức: (1) dcdcdc dc dcdcdc PUIcos120.85%U.0,5.cosUcos204

áp trên R: R UIR=25(V)
giản đồ ta có: (2) 0 Rdcdc dcdc dcdc UcosUUcos40,241 UsinUsinUsin193,8
DẠYKÈMQUYNHƠNOFFICIAL TH này có cộng hưởng điện R LC LC UU150(V) 1 RZZR660L UU150(V) 660C      + thì UC max. 1 Các công thức: 1. với Cmax 2 U U 2xx  2 RC x 2L  Có . Thay vào ta được: 2 2 1 RR xC660R0,5 2R L2. 660   Cmaxm 2 150 UU 1003(V) 20,50,5   2. Cmax 41 1 0 U U 3302(rad/s) 1      Câu47: Đáp ánA + Khi C = C1: R2 2 2 LC1 LC1 2 U.R U U R(ZZ)(ZZ) 1 R     Để UR không phụ thuộc R thì ZL = ZC1 => cộng hưởng điện. + Khi C = C2: 22 L RL2 2 2 LC2 C2LC2 22 L URZU U R(ZZ)Z2ZZ 1 RZ       Để URL không phụ thuộc R thì 2 C2LC2 C2LZ2ZZ0Z2Z  Suy ra . 2C1 21 1C2 CZ1 C0,5C CZ2  Câu48: Đáp ánD Có 2 LCLC3Z3Z Giản đồ vecto:
DẠYKÈMQUYNHƠNOFFICIAL UL UC UX UX UAN UMB 60° H C O A D B Áp dụng định lý hàm cosin cho tam giác OBC: 222 22 BCOBOC2OBOCcos60601202601200,510800    BC603 Nhận xét thấy nên tam giác OBC vuông tại B => B trùng với H. 222 OCOBBC  Giản đồ mới: UL-UC UC UX UX UMB UAN U 60° F C O A D B E
DẠYKÈMQUYNHƠNOFFICIAL Có ABCD là hình bình hành => AD
UC
x thì AD
BC x153 4  Có OD
AE
BF
dụng ĐL
2222 2 OFOBBF60(153)4275OF65,4   Suy ra U = 65,4(V). Câu49:
ánD Có 1 2 11 22 ntnt nt121 21 111 ;; LCLCLC LLL3L L2L             1nt1121122 1111112 . 3LC3LCC3LC3LC           2222 1212 22 333   Câu50: Đáp ánB + Ban đầu : Công suất nơi phát P, điện áp nơi phát U, cường độ dòng điện I, độ giảm thế ∆U, công suất hao phí ∆P, công suất tiêu thụ Pt. Có UIR0,15UPUI0,15UI0,15P   t PPP0,85P + Lúc sau : tP',U',I',U',P',P  Có (1) t t P P'0,0015P 100 P0,85PU'I'0,8515UI P'PP0,8515P          Lại có 2 2 P100P'IR100I'RI10I'   Thay vào (1) được U'I'0,8515U10I'U'8,515U   Câu51:
= BC. Đặt
=
= 4x. Suy ra BC = 4x.
=
=
= x. Áp
Pytago cho tam giác vuông OBF:
Đáp
DẠYKÈMQUYNHƠNOFFICIAL
        
hp P P 4  hp0 0 P144P P180P      + Từ (1) và (3)  . Thay vào (3’) tìm được 'hp ' hp P P 9  n164   Đáp ánB Câu52: + Khi K đóng mạch chỉ có R và L nên ta có: . 2 2 0 0 d L22 L U U I 6Z144 36RZ    + Khi K mở mạch có R, L và C nên ta có:   2 2 0 0 m LC 2 2 LC U U I 8ZZ144 64 RZZ     + Từ đồ thì ta thấy 2 dòng điện vuông pha nhau nên: V  22 22 22 01212 UUUIRIR612812120       Đáp ánC Câu53: + Từ đồ thị ta có , tại s và có xu hướng tăng → → 2 MBANUU  5 123 T t 0ANu 0 2 3AN   2 3    Để đơn giản, ta chọn → . 1ANU 2MBU → ↔ tantan2 tan tan 1tantan3 MB AN MBAN         cos0,33 MB  Đáp ánB Câu54. Đáp ánB
+ Gọi P là công suất nơi truyền tải. Php, Php’, Php’’ lần lượt là công suất hao phí ứng với các điện áp truyền tải là U, 2U và 3U. + Ta có:  2 hp2 2 ' hp2 2 '' hp2 P PR(1) U P PR(2) 4U P PR(3) 9U  
hp0 ' hp0 '' hp0 PP36P(1') PP144P(2') PPnP(3') 
 
  + Từ (1) và (2)  . Thay vào (2’) và (1’) tìm được 'hp
DẠYKÈMQUYNHƠNOFFICIAL 30903 180 uMB uAM π/6 π/3 C D F E Zc= 90, R=90 => uAM chậm
so với i uAM
so
MB
=> MB chứa 2
R
0 I= =1 (A) =>ZMB =30 => R0= ZL0
=>
90 2 902+902 2 Câu55 Hướng dẫn: + Từ đồ thị, ta thấy rằng là giá trị của cảm kháng để điện áp hiệu dụng trên cuộn dây cực MLZ đại → . M 22 C L C RZ Z Z   + Tại N mạch xảy ra cộng hưởng, khi đó điện áp hiệu dụng trên tụ là 40 V → ↔ C C UZ U R  → ZC = 40 Ω. CaZ 40 a  + ZL = 17,5 Ω và là hai giá trị của cảm kháng cho cùng công suất tiêu thụ. MLZ → → Ω. ML CZ17,52Z  ML Z62,5  + Thay vào ZC và vào phương trình đầu tiên, ta tìm được a = 30. MLZ  Đáp ánA Câu56.
pha π/4
chậm pha π/2
vơi u
nên uMB nhanh pha hơn i π/4
thành phần
0 và L
=30 Ω
L0= 95,5mH
DẠYKÈMQUYNHƠNOFFICIAL Điện áp hiệu dụng hai đầu đoạn mạch MB :    2 2 LC MB 2 2 2 LC 2 2 LC UrZZ U U R2RrRrZZ1 rZZ        → UMBmin khi ZC1 = ZL. Và MBmin2 2 UU U R10 2Rr 1 r     + Khi C = C2 = 0,5C1 → ZC2 = 2ZC1 = 2ZL thì điện áp giữa hai đầu tụ điện cực đại →   2 22 L CL L 22 2 L RrZ Z2Z Z U URrZ Rr         L 2 Z100 U2U      → Lập tỉ số : 2 1 U 102 U   Đáp ánC Câu57: + Phương trình điện áp truyền tải trong hai trường hợp:
   
1. → Thay vào hệ phương trình trên: → → . 111tt 2 11tt U0,05UU U0,005U10U      1 2 1t 1 t U0,95U U9,505U    2 1 U 9,505 U   Đáp ánD Câu58. Hướng dẫn: + Từ giả thuyết bài toán ta có : →→ AMMN NBAM NB UU U2U UU       222 L 22 C 2 22 C LC RrZ Z4R ZRrZZ         22 L C 2 2 2 22 Z125r Z250 250125r125r250        → Ω. L r75 Z100    + Điện dụng của mạch khi điện áp hiệu dụng trên tụ điện là cực đại
với ΔU là độ sụt áp trên đường dây và Utt là điện áp nơi tiêu thụ. 111tt 222tt UUU UUU    + Công suất hao hí trên dây → hao phía giảm 100 lần → I2 = 0,1I1 → 2 PIR  21 2tt1ttt U0,1U U10UPconst   
+ Kết hợp với giả thuyết ΔU1 = 0,05U1 → ΔU2 = 0,0005U

RrZ Z 500 Z      

  0 0

 Đáp ánB Câu59. Hướng dẫn: + Gọi P là công suất truyền tải, ΔP là hao phí trên dây và P0 là công suất tiêu thụ của một máy. → Khi nối trực tiếp vào máy phát mà không qua trạm tăng áp: P = ΔP + nP0 + Ta có ΔP = I2R → khi tăng áp lên k lần thì dòng điện giảm k lần → ΔP giảm k2 lần: → → 0 0 P129P P36P    → Thay vào phương trình đầu, ta thu được n = 93.  Đáp ánA Câu60:

P P120P 4 P P125P 9 + Dùng phương pháp 4 cột: P U P ’ P 125/12 U 5/12 10 12 + x U X 12 + Ta có: ( do U không đổi) 2 2 22 ~ .cos PR P pP U   + Suy ra: 0,615/12125/12 1235,8 2 x x x x      → Hiệu suất là: 1212 95,16% 12120,61 H x    Câu61: Đáp ánB  Ban đầu: Ta có: 2 LC L RRZZ C  + Khi 2 2 2 max 2 22 LC C LLC L CL RZZ UZZZZ ZZ    Lúc sau:  22 2 2 2 22 2 2 1 L RL CL CLC LC L URZ U Uconst ZZ ZZZ RZZ RZ        Vậy 21ff  Câu62:

 

DẠYKÈMQUYNHƠNOFFICIAL
Ω → C ≈ 5,3 μF.  o
22 L C L
Đáp ánA

dụng trên tụ là 40 V → ↔ C C UZ U R 

40CZ

Ω. 40CaZ a

+ Ω và là hai giá trị của cảm kháng cho cùng công suất tiêu thụ. 17,5LZ MLZ → → Ω. 17,52ML C Z Z

DẠYKÈMQUYNHƠNOFFICIAL + Phương trình truyền tải điện năng trong hai trường hợp với công suất hao phí → hao phí giảm 100 lần tương ứng với dòng 11 22 tt tt PPP PPP    2 PIR điện truyền tại lúc sau giảm 10 lần so với ban đầu .12 10 II  + Chú ý rằng công suất nơi tiêu thụ là không đổi, do vậy 21 10tt ttUU  → → → → 111 222 tt tt UUU UUU    1 1 2 12 0,85 0,1 tt tt UU UUU    2 1 10,1.0,1510.0,85U UU   2 1 8,515 U U  → Đáp ánC Câu63: + Từ đồ thị, ta thấy rằng là giá trị của cảm kháng để điện áp hiệu dụng trên cuộn dây cực MLZ đại → 22 M C L C RZ Z Z   + Tại N mạch xảy ra cộng
hiệu
62,5MLZ + Thay vào và vào phương trình đầu tiên, ta tìm được → Đáp ánA CZ MLZ 30a Câu64: + Với công suất nơi tiêu thụ là không đổi, để thay đổi hiệu suất của quá trình truyền tải, rõ ràng công suất nơi phát phải thay đổi. Gọi và lần lượt là hao phí truyền tải tương ứng với hai trường hợp 1P 2P → hay . 22 221 112 PPU PPU    2 2121 2112 PPPU PPPU  
hưởng, khi đó điện áp
DẠYKÈMQUYNHƠNOFFICIAL + Với , Ta có , mặc khác → 1 P H P   2 221 112 1 1 HPU HPU    2 2 ttP P H  2 2 1 1212 1 1 tt HPU HHPU    → ↔ → → Đáp ánC   2 221 112 1 1 HHU HHU      2211 0,810,84 HH 20,958H Câu65: + Điện áp hiệu dụng cực đại trên cuộn cảm → cos Lmax RC U U   10021 cos 22 002 RC Lmax U U  → . Mặc khác V 3RC   2 0 00 0 300 CLmax Lmax U UU U   Khi xảy ra cực đại của điện áp hiệu dụng trên cuộn dây thì chậm pha hơn một góc Cu u → V → Đáp ánD 2 33   5 300cos100 12 Cu t         Câu66: Đáp ánD + Lúc đầu 2 max 12 160 U P W RR    + Khi nối tắt hai đầu tụ thì: lệch pha góc , AMMBAMUUu  MBu60 + Dựa vào giản đồ véc-tơ ta có: 30  + Công suất tiêu thụ trên mạch AB lúc này là: 2 2 2 12 cos160cos30120 U P W RR     

Câu 1: Đặt điện áp u=2002cosωt vào hai đầu đoạn mạch mắc nối tiếp gồm tụ điện có điện dung C thay đổi được, điện trở thuần R, và cuộn cảm thuần. Điện áp RLu lệch pha với dòng điện làπ/4 . Điều chỉnh C để u sớm hơn i là π/6 thì LU bằng A. 100 (V) B. 150 (V) C. 300 (V) D. 73,2 (V)

Câu 2: Mạch điện xoay chiều AB mắc nối tiếp gồm ba đoạn theo đúng thứ tự AM, MN và NB. Đoạn AM chỉ cuộn cảm thuần, đoạn MN chứa ampe kế lí tưởng nối tiếp với điện trở và đoạn NB chỉ có tụ điện có điện dung C thay đổi được. Khi điều chỉnh điện dung tới giá trị 0C thì ANu và ABu vuông pha. Điều chỉnh từ từ 0C>C thì điện áp hiệu dụng trên tụ điện

A. tăng, số chỉ ampe kế tăng.

B. giảm, số chỉ ampe kế giảm

C. giảm, số chỉ ampe kế tăng.

D. tăng, số chỉ ampe kế giảm. Câu 3: Đặt điện áp: u=1202cos100π (t+π/6)V vào đoạn mạch AB nối tiếp theo thứ tự gồm cuộn cảm thuần, điện trở thuần R và tụ điện có điện dung C thay đổi được. Điều chỉnh C để CCmaxUU=/2 (biết Cmax U=200V ) khi đó URL gần nhất giá trị nào sau đây? A. 240 V B. 220 V C. 250 V D. 180 V Câu 4: Đoạn mạch AB nối tiếp gồm hai đoạn mạch AM và MB. Đoạn mạch AM là một cuộn dây có điện trở thuần R=403Ω và độ tự cảmL=0,4/πH , đoạn mạch MB là một tụ điện có điện dung C thay đổi được, C có giá trị hữu hạn và khác không. Đặt vào AB một điện áp:

DẠYKÈMQUYNHƠNOFFICIAL
 AB
πtV . Điều chỉnh C
tổng
 AMMB
đạt
giá trị cực đại của tổng số này. A. 240 V B. 1203V C. 120 V D. 1202V Câu 5: Cho đoạn mạch AB theo thứ tự gồm điện trở R mắc nối tiếp với cuộn thuần cảm L nối tiếp với tụ điện có điện dung C thay đổi được. Gọi M là điểm nối L với C. Đặt vào 2 đầu đoạn mạch điện áp xoay chiều   AB u u=1002cos100πt+φV . Thay đổi C để điện áp hiệu dụng trên đoạn AM cực đại thì biểu thức điện áp trên đó là  AM u=2002cos100πtπ/6V. Xác định uφ .
u=1202cos100
để
điện áp hiệu dụng
U+U
giá trị cực đại. Tìm

Thay đổi C để điện áp hiệu dụng trên tụ cực đại viết biểu thức điện áp trên đoạn AM và MB lúc này.

Câu 6: Đặt điện áp xoay chiều vào hai đầu đoạn mạch nối tiếp gồm điện trở R, cuộn cảm thuần L và tụ điện có điện dung C thay đổi được. Khi C thay đổi thì điện áp hiệu dụng cực đại trên R, L và C lần lượt là x, y và z. Nếu z/y = 3 thì z/x bằng A. 22/3 B. 0,752 C. 0,75D. 22 Câu 7: Đặt điện áp xoay chiều  0 u=Ucos100tV  vào hai đầu đoạn mạch nối tiếp gồm, điện trở R=100 , cuộn cảm thuần có độ tự cảm L=2/πH , tụ điện có điện dung C thay đổi được. Điều chỉnh 1C=C thì CmaxU . Giá trị nào của C sau đây thì  C Cmax U=0,98UV ? A. 44/πμF B. 4,4/πμF C. 3,6/πμF D. 2/πμF Câu 8: Đặt điện áp xoay chiều u=U2cos100πtV vào hai đầu đoạn mạch nối tiếp gồm, điện trở R, cuộn cảm thuần L, tụ điện có điện dung C thay đổi được. Khi 1C=C thì C U=40V và Cu trễ hơn u là 1α . Khi 2C=C thì C U=40V và Cu trễ hơn u là 21α=α+π/3. Khi 3C=C thì CmaxU đồng thời lúc này công suất mạch tiêu thụ bằng 50% công suất cực đại mà mạch có thể đạt được. Tính U. A. 32,66 V B. 16,33 V C. 46,19 V D. 23,09 V Câu9: Đặt điện áp xoay chiều ổn định vào hai đầu đoạn mạch AB nối tiếp gồm cuộn cảm thuần có độ tự cảm L thay đổi, điện trở thuần R=30Ω và tụ điện có dung kháng 80. Thay đổi L để điện áp hiệu dụng trên đoạn mạch chứa RL đạt cực đại. Cảm kháng của cuộn cảm thuần lúc này là A. 50 B. 180 C. 90 D. 56

10: Đặt điện

DẠYKÈMQUYNHƠNOFFICIAL
A. trễ
/2
Câu
áp xoay chiều u=U2cosωtV vào hai đầu đoạn mạch AB nối tiếp theo thứ tự gồm cuộn cảm thuần có độ tự cảm L thay đổi, điện trở thuần R=30Ω và tụ điện có dung kháng 80. Thay đổi L để URL đạt cực đại. Lúc này, dòng điện
hơn u là π
. B. sớm hơn u là 0,32 rad. C. trễ hơn u là 0,32 rad. D. sớm hơn u là π/2

Câu 11: Đặt điện áp xoay chiều ổn định 120 V – 50 Hz vào hai đầu đoạn mạch AB nối tiếp gồm cuộn cảm thuần có độ tự cảm L thay đổi, điện trở thuần R=30Ω và tụ điện có dung kháng 80. Thay đổi L để điện áp hiệu dụng trên đoạn mạch chứa RL đạt cực đại. Giá trị cực đại đó là

A. 224 V B. 360 V C. 960 V D. 57 V

Câu 12: Đặt điện áp xoay chiều u=2002cosωtV vào hai đầu đoạn mạch AB nối tiếp gồm cuộn cảm thuần có độ tự cảm L thay đổi, điện trở thuần R và tụ điện có C. Biết hệ số công suất của đoạn mạch RC là 0,8. Thay đổi L để điện áp hiệu dụng trên đoạn mạch chứa RL đạt cực đại. Giá trị cực đại đó là A. 224,8 V B. 360 V C. 960 V D. 288,6 V Câu 13: Đặt điện áp u=U2cos100πtV vào hai đầu đoạn mạch mắc nối tiếp theo đúng thứ tự gồm cuộn cảm thuần có cảm kháng 120 , điện trở thuần R và tụ điện có điện dung C thay đổi. Khi 0C=C thì điện áp hiệu dụng trên đoạn mạch chứa RC đạt cực đại và giá trị cực đại đó bằng 2U. Dung kháng của tụ lúc này là A. 160 B. 100 C. 150 D. 200

Câu 14: Đặt điện áp u=U2cos100πtV vào hai đầu đoạn mạch mắc nối tiếp theo đúng thứ tự gồm cuộn cảm thuần có độ tự cảm L thay đổi được, điện trở thuần R và tụ điện có điện dung C. Khi 1L=L thì điện áp hiệu dụng trên đoạn mạch chứa RL đạt cực đại và giá trị cực đại đó bằng 2U, đồng thời hệ số công suất toàn mạch là 1k . Khi 2L=L thì hệ số công suất của mạch là 2k . Chọn các phương án đúng. A. 1 k=2/5 B. 1 k=1/5 C. 2 k3/2  D. 2 k3/13  Câu 15: Đặt điện áp xoay chiều có giá trị hiệu dụng và tần số không thay đổi vào hai đầu đoạn

DẠYKÈMQUYNHƠNOFFICIAL
mạch AB (hình vẽ). Cuộn cảm thuần có độ tự
L thay đổi được; điện trở R; tụ điện có điện dung C. Lần lượt điều chỉnh L để AMU và LU cực đại thì ABu lệch pha so với dòng
mạch tương ứng là 0φ và 0φ
0φ>0). Hỏi 0φ gần giá trị nào nhất trong số các giá trị sau đây?
cảm
điện trong
'=0,588rad (với

A. 0,32π B. 0,25π C. 0,18π D. 0,15π

Câu 16 Đặt điện áp xoay chiều có giá trị hiệu dụng 200 V và tần số không thay đổi vào hai đầu đoạn mạch AB (hình vẽ). Cuộn cảm thuần có độ tự cảm L xác định; R=200Ω ; tụ điện có điện dung C thay đổi được. Điều chỉnh điện dung C để điện áp hiệu dụng giữa hai đầu đoạn mạch MB đạt giá trị cực tiểu là 1U và giá trị cực đại là 2 U=400V . Giá trị của U1 là A. 173 V B. 80 V C. 111 V D. 200 V

Câu 17: Đặt điện áp xoay chiều u=U2cos100πtV vào hai đầu đoạn mạch AB gồm hai đoạn AM và MB mắc nối tiếp. Đoạn AM gồm điện trở R nối tiếp với cuộn cảm thuần có độ tự cảm L thay đổi. Đoạn MB chỉ có tụ điện có điện dung C. Điều chỉnh 1L=L để MB U=50V,I=0,5A và dòng điện trong mạch trễ pha hơn u là 060 . Điều chỉnh 2L=L thì AMU cực đại. Tính 2L A.  12/πH  B.  13/πH C. 23/2πH  D. 15/2πH  Câu 18: Đặt điện áp xoay chiều u=U2cos100πtV vào hai đầu đoạn mạch AB nối tiếp gồm cuộn cảm thuần có độ tự cảm L thay đổi, điện trở thuần R và tụ điện C. Khi 1L=L thì RL U=4013V và u sớm pha hơn i là φ (với tanφ=0,75). Khi 2L=L thì u sớm pha hơn i là π/4 và RL U=x . Tính x. A. 224,8 V B. 360 V C. 142,5 V D. 288,6 V Câu 19: Đặt điện áp xoay chiều u=U2cos100πtV vào hai đầu đoạn mạch AB nối tiếp gồm cuộn cảm thuần có độ tự cảm L thay đổi, điện trở thuần R và tụ điện có C. Khi 1L=L thì u sớm pha hơn i là φ (với tanφ=0,75). Khi 2L=L thì u sớm pha hơn i là π/4 và RL U=x . Tính x. A. 224,8 V B. 127,5 V C. 142,5 V D. 288,6 V

DẠYKÈMQUYNHƠNOFFICIAL

Câu 20: Đặt điện áp xoay chiều u=U2cos100πtV vào hai đầu đoạn mạch AB nối tiếp gồm cuộn cảm thuần có độ tự cảm L thay đổi, điện trở thuần R và tụ điện có C=1/3πmF. Khi 1L=L và 2L=L thì RLU có cùng giá trị nhưng độ lệch pha của u so với i lần lượt là π/4 và 0,4266 rad. Tìm R A. 50 B. 36 C. 40 D. 30

Câu 21: Một đoạn mạch không phân nhánh gồm: điện trở thuần 100 , cuộn dây thuần cảm có độ tự cảm 15 mH và tụ điện có điện dung 1μF . Đặt vào hai đầu mạch một điện áp xoay chiều mà chỉ tần số thay đổi được. Khi điện áp hiệu dụng hai đầu cuộn cảm đạt giá trị cực đại thì tần số góc có giá trị là

A. 20000/3 (rad/s) B. 20000 (rad/s) C. 10000/3 (rad/s) D. 10000 (rad/s)

Câu 22: Cho đoạn mạch không phân nhánh gồm điện trở thuần 80 , cuộn dây có điện trở trong 20 có độ tự cảm 0,318H, tụ điện có điện dung 15,9μF . Đặt vào hai đầu mạch điện một dòng điện xoay chiều có tần số f thay đổi được. Khi điện áp hiệu dụng hai đầu tụ C đạt giá trị cực đại thì tần số f có giá trị là

A. f = 70,45 Hz. B. f = 192,6 Hz. C. f = 61,3 Hz. D. f = 385,1 Hz.

Câu 24: Mạch điện RLC nối tiếp đang xảy ra cộng hưởng. Nếu chỉ giảm tần số một lượng rất nhỏ thì:

A. Điện áp hiệu dụng tụ không đổi.

B. điện áp hiệu dụng trên điện trở thuần không đổi.

C. Điện áp hiệu dụng trên tụ tăng.

D. Điện áp hiệu dụng trên tụ giảm

Câu 25: Nhận xét nào sau đây là SAI? Trong một mạch điện xoay chiều có RCL mắc nối tiếp đang có cộng hưởng, nếu ta tăng tần số mà vẫn giữ nguyên điện áp hiệu dụng của nguồn điện xoay chiều đặt vào mạch thì:

A. Điện áp hiệu dụng RU giảm.

B. Dòng điện trong mạch trở nên chậm pha hơn điện áp đặt vào mạch RCL.

C. Điện áp hiệu dụng trên đoạn R nối tiếp với C sẽ tăng.

D. Cường độ hiệu dụng trong mạch sẽ giảm.

DẠYKÈMQUYNHƠNOFFICIAL

Câu 26: Đặt một điện áp 0 u=Ucosωt( 0U không đổi, ω thay đổi được) vào hai đầu đoạn mạch gồm R, L, C mắc nối tiếp thỏa mãn điều kiện 2 CR<2L . Gọi 123 V,V,V lần lượt là các vôn kế mắc vào hai đầu R, L, C. Khi tăng dần tần số từ giá trị 0 thì thấy trên mỗi vôn kế đều có một giá trị cực đại, thứ tự lần lượt các vôn kế chỉ giá trị cực đại khi tăng dần tần số là A. 123 V,V,V B. 321 V,V,V C. 312 V,V,V D. 132 V,V,V

Câu 27: Đoạn mạch AB gồm AM nối tiếp với MB. Đoạn AM gồm điện trở thuần R nối tiếp với cuộn cảm thuần có độ tự cảm L, đoạn MB chỉ có tụ điện có điện dung C với 2 CR<2L Đặt vào AB một điện áp AB u=U2cosωt , U ổn định và ω thay đổi. Khi ω=ωC thì điện áp hai đầu tụ C cực đại, khi đó điện áp tức hai đầu đoạn mạch AM và hai đầu đoạn mạch AB lệch pha so với dòng điện lần lượt là RLφ và φ . Giá trị RLtanφtanφ là: A. -0,5B. 2 C. 1 D. -1 Câu 28: Đoạn mạch AB gồm AM nối tiếp với MB. Đoạn AM gồm điện trở thuần R nối tiếp với tụ điện có điện dung C, đoạn MB chỉ có cuộn cảm thuần có độ tự cảm L với 2 CR<2L . Đặt vào AB một điện áp AB u=U2cosωt , U không đổi và ω thay đổi. Khi Lω=ω thì điện áp hai đầu cuộn cảm cực đại, khi đó điện áp tức hai đầu đoạn mạch AM và AB lệch pha nhau là α. Giá trị nhỏ nhất của tanα là: A. 22 B. 0,52 C. 2,5 D. 3

Câu 29: Một đoạn mạch không phân nhánh gồm: điện trở thuần 100 , cuộn dây thuần cảm có độ tự cảm 12,5 mH và tụ điện có điện dung 1F Đặt vào hai đầu mạch điện một điện áp xoay chiều có giá trị hiệu dụng 200 V và có tần số thay đổi được. Giá trị cực đại của

DẠYKÈMQUYNHƠNOFFICIAL
điện áp hiệu dụng trên tụ là A. 300 (V) B. 200 (V) C. 100 (V) D. 250 (V) Câu 30: Đặt điện áp 502cos()u tV  (thay đổi được) vào hai đầu đoạn mạch mắc nối tiếp gồm cuộn cảm thuần có độ tự cảm L, điện trở R và tụ điện có điện dung C, với 22 CRL  . Khi 100/rads  thì điện áp hiệu dụng giữa hai đầu tụ điện đạt cực đại maxCU . Khi 120/rads  thì điện áp giữa hai đầu cuộn cảm đạt cực đại. Giá trị của maxCU gần giá trị nào nhất sau đây? A. 85 V B. 145 V C. 57 V D. 173 V

 Khi

hiệu dụng giữa hai đầu tụ điện đạt cực đại và lúc này điện áp hiệu dụng trên cuộn cảm

U U bằng A. 1,58B. 3,15C. 0,79D. 6,29 Câu 33: Đặt điện áp xoay chiều 1002cos()u tV  với  thay đổi từ 100/rads đến 200/rads vào hai đầu đoạn mạch nối tiếp gồm điện trở 802R , cuộn cảm thuần với độ tự cảm 1  H và tụ điện có điện dung 0,1  mF. Điện áp hiệu dụng giữa hai đầu cuộn cảm có giá trị lớn nhất và nhỏ nhất tương ứng là A. 107,2 V và 88,4 V B. 100 V và 50 V C. 50 V và 100 3 V D. 502 và 50 V Câu 34: Đặt điện áp 1502cos()u tV  ( thay đổi được) vào hai đầu đoạn mạch mắc nối tiếp gồm cuộn cảm thuần có độ tự cảm L, điện trở R và tụ điện có điện dung C, với 22 CRL 3 410() ,8 CF   Đặt vào hai đầu đoạn mạch một

DẠYKÈMQUYNHƠNOFFICIAL
C  thì điện áp
Câu 31 Đặt điện áp 1002cos2()u ftV  (f thay đổi được) vào hai đầu đoạn mạch mắc nối tiếp gồm cuộn cảm thuần có độ tự cảm L, điện trở R và tụ điện có điện dung C, với 22 CRL  . Khi 1ff  thì điện áp hiệu dụng giữa hai đầu tụ điện đạt cực đại. Khi 212fff  thì điện áp hiệu dụng giữa hai đầu điện trở đạt cực đại. Khi 3ff  thì điện áp giữa hai đầu cuộn cảm đạt cực đại maxLU . Giá trị của maxLU gần giá trị nào nhất sau đây: A. 85 V B. 145 V C. 57 V D. 173 V Câu 32: Đoạn mạch nối tiếp AB gồm tụ điện có điện dung 1 6 mF  , cuộn cảm có độ tự cảm 0,3L   H có điện trở 10r và biến trở R. Đặt vào điện áp xoay chiều có tần số f thay đổi. Khi f = 50 Hz, thay đổi R thì điện áp hiệu dụng trên tụ cực đại là 1U . Khi 30R, thay đổi f thì điện áp hiệu dụng trên tụ cực đại là 2U Tỉ số 1 2 là LU . Khi L  thì điện áp giữa hai đầu cuộn cảm đạt cực đại là 200 V. Giá trị của LU gần giá trị nào nhất sau đây? A. 130 V B. 140 V C. 150 V D. 100 V Câu 35: Cho mạch điện xoay chiều gồm các phần tử điện trở thuần R, cuộn dây thuần cảm có độ tự cảm 6,25()LH   và tụ điện có điện dung

điện áp xoay chiều có biểu thức 2002cos()()u tV

 có tần số góc  thay đổi được. Thay đổi  , thấy rằng tồn tại 1302

rad/s hoặc 2402  rad/s thì điện áp hiệu dụng trên cuộn dây có giá trị bằng nhau. Điện áp hiệu dụng cực đại hai đầu cuộn dây có giá trị gần với giá trị nào nhất? A. 140 V B. 210 V C. 207 V D. 115 V Câu

DẠYKÈMQUYNHƠNOFFICIAL
36: Đặt điện áp 2cos()uUtV   ( thay đổi được) vào hai đầu đoạn mạch mắc nối tiếp gồm cuộn cảm thuần có độ tự cảm 1 ()LH   , điện trở 1000R và tụ điện có điện dung 1 CF    . Khi 1  thì L UU  và khi 2  thì C UU  Chọn hệ thức đúng. A. 120 B. 21000/rads  C. 11000/rads D. 12100/rads  Câu 37: Đặt điện áp 2cos()uUtV   (thay đổi được) vào hai đầu đoạn
mắc nối tiếp gồm cuộn cảm thuần có độ tự cảm 0,01()LH   , điện trở 100R và tụ điện có điện dung 1 CF    .
1  thì L UU  và khi 2  thì maxCU
A.
 
 C.

  Câu 38: Đặt điện áp 1002cos()u tV  ( thay đổi được) vào hai đầu đoạn mạch mắc nối tiếp gồm cuộn cảm thuần L, điện trở R và tụ điện C. Khi 1  thì 100()L UV  và khi 1 2 5 3   thì 100()C UV  . Nếu mắc vôn kế có điện trở rất lớn vào hai đầu tụ thì số chỉ lớn nhất là A. 100 V B. 200 V C. 150 V D. 181 V Câu 39: Đặt điện áp 0cos2()uUftV   , với f thay đổi được, vào đoạn mạch không phân nhánh gồm: điện trở thuần 100 , cuộn dây thuần cảm có độ tự cảm 15 mH và tụ điện có điện dung 1F . Thay đổi f để điện áp hiệu dụng trên tụ cực đại, khi đó dòng điện trong mạch A. trễ hơn u là trễ hơn u là 0,1476 B. sớm hơn u là 0,1476
mạch
Khi
Chọn hệ thức đúng.
122928,9rad/s
B. 25000/rads
11000/rads
D. 1217071/rads

C. trễ hơn u là 0,4636 D. sớm hơn u là 0,4636

Câu 40: Đặt điện áp 0cos2()uUftV   với f thay đổi được, vào đoạn mạch không phân nhánh RLC (cuộn dây thuần cảm), biết 2 LxRC  với 0,5x . Thay đổi f để điện áp hiệu dụng trên cuộn cảm cực đại, khi đó dòng điện trong mạch trễ pha hơn điện áp u là  (với tan0,5  ). Tính n. A. 1,5 B. 2 3 C. 2 D. 1,8 Câu 41: Đặt điện áp 0cos2()uUftV   , với f thay đổi được, vào đoạn mạch RLC nối tiếp (cuộn dây thuần cảm). Lần lượt thay đổi để Cff  rồi Lff  thì điện áp hiệu dụng trên tụ cực đại rồi điện áp hiệu dụng trên cuộn cảm cực đại. Nếu 23LCff  thì hệ số công suất khi Lff  bằng bao nhiêu? A. 2 5 B. 3 2 C. 0,5 D. 2 7 Câu 42: Đặt điện áp 2cos2()uU ftV  (f thay đổi) vào hai đầu đoạn mạch AB mắc nối tiếp theo đúng thứ tự gồm điện trở R, cuộn cảm thuần L có độ tự cảm L và tụ điện có điện dung C, với 22LRC  . Khi 0ff  thì maxCU và tiêu thụ công suất bằng 0,75 công suất cực đại. Khi 0100ff Hz thì LmaxU và hệ số công suất toàn mạch là k. Tìm 0f và k. A. 0150Hzf

DẠYKÈMQUYNHƠNOFFICIAL
tự gồm điện trở R, cuộn cảm thuần L có độ tự cảm L và tụ điện có điện dung C, với 22LRC  . Khi Cff  thì maxCU và tiêu thụ công suất bằng 2 3 công suất cực đại. Khi 22Cff  thì hệ số công suất toàn mạch là A. 1 10 B. 3 2 C. 0,5 D. 2 13
 B. 3 2 k C. 1 2 k D. 050Hzf Câu 43: Đặt điện áp 2cos2()uU ftV  (f thay đổi) vào hai đầu đoạn mạch AB mắc nối tiếp theo đúng thứ

Câu 44: Đặt điện áp 2cos2()uU ftV  (f thay đổi) vào hai đầu đoạn mạch AB mắc nối tiếp theo đúng thứ tự gồm điện trở R, cuộn cảm thuần L có độ tự cảm L và tụ điện có điện dung C, với 22LRC  . Khi Lff  thì LmaxU và u sớm hơn i là 0,78 rad. Khi 2Lff  thì u sớm hơn i là A. 1,22 rad B. 1,68 rad C. 0,73 rad D. 0,78 rad

Câu 45: Đặt điện áp 2cos2()uU ftV

(f thay đổi) vào hai đầu đoạn mạch AB mắc nối tiếp theo đúng thứ tự gồm điện trở R, cuộn cảm thuần L có độ tự cảm L và tụ điện có điện dung C, với 22LRC  . Khi 2ff  thì C UU  và tiêu thụ công suất bằng 0,75 công suất cực đại. Khi Lff  thì maxLU và hệ số công suất của mạch là A. 6 7 B. 2 5 C. 5 7 D. 1 3 Câu 47: Đặt điện áp: 2cos2() uUtV   ( thay đổi được) vào đoạn mạch AB nối tiếp gồm hai đoạn mạch AM và MB. Đoạn mạch AM chứa điện trở thuần R và cuộn cảm thuần có độ tự cảm L. Đoạn MB chứa tụ điện có điện dung C thay đổi được. Cố định

DẠYKÈMQUYNHƠNOFFICIAL
.
 
0CC  thì tổng
áp
dụng AMMBUU 
của mạch AB là 0,96. Cố định 0CC  thay đổi  để maxCU thì hệ số công suất mạch AB là A. 0,83 B. 0,95C. 0,96D. 0,78 Câu 48: Đặt điện áp: 2cos()uUtV   (thay đổi được) vào đoạn mạch AB nối tiếp gồm hai đoạn mạch AM và MB. Đoạn mạch AM chứa điện trở thuần R và tụ điện có điện dung C. Đoạn MB chứa cuộn cảm thuần có độ tự cảm L thay đổi được. Cố định 0  thay đổi L đến giá trị 0LL  thì tổng điện áp hiệu dụng  AMMBUU  đạt giá trị cực đại thì hệ số công suất của mạch AB là 3 2 17 . Cố định 0LL  thay đổi  để maxCU thì hệ số công suất mạch AB là
  (f thay đổi) vào hai đầu đoạn mạch AB mắc nối tiếp theo đúng thứ tự gồm điện trở R, cuộn cảm thuần L có độ tự cảm L và tụ điện có điện dung C, với 22LRC  . Khi 1ff  thì L UU  và tiêu thụ công suất bằng 0,75 công suất cực đại. Khi 21100fff  Hz thì C UU  . Khi Lff  thì LmaxU và dòng điện trễ pha hơn u là . Tìm 1f và 
A. 1200Hzf
B. 0,886
C. 0,686
D. 1150Hzf
Câu 46 Đặt điện áp 2cos2()uU ftV
0
thay đổi C đến giá trị
điện
hiệu
đạt giá trị cực đại thì hệ số công suất

A. 0,83 B. 0,95C. 0,96D. 0,76 Câu 49: Đặt điện áp xoay chiều 2cos()uUtV   ( thay đổi được) vào đoạn mạch AB nối tiếp theo thứ tự gồm cuộn cảm thuần 1 HL 

, điện trở thuần 1002Rvà tụ điện 0,2C   mF. Gọi RL và RC lần lượt là các giá trị của  để RLU và RCU đạt cực đại. Chọn kết quả đúng. A. 50rad/s

DẠYKÈMQUYNHƠNOFFICIAL
RL   B. 100rad/s RC   C. 160rad/s RLRC   D. 50rad/s RLRC   Câu 50: Đặt điện áp xoay chiều 1002cos()u tV  ( thay đổi được) vào đoạn mạch AB nối tiếp theo thứ tự gồm đoạn AM chứa cuộn cảm thuần 1 HL   , đoạn MN chứa điện trở thuần 50Rvà đoạn NB chứa tụ điện 0,2C   mF. Gọi R , L , C , RL và RC lần lượt là
giá trị của  để RU , LU , CU , RLU và RCU đạt cực đại. Trong số các kết quả: 502(rad/s) R , 200 3 (rad/s) L   , 253(rad/s) C  , 5025(rad/s) RL  , 10025(rad/s) RC    . Số kết quả đúng là: A. 5 B. 3 C. 4 D. 1 Câu 51: Đặt điện áp xoay chiều 2cos()uUtV   ( thay đổi được) vào đoạn mạch AB nối tiếp theo thứ tự gồm cuộn cảm thuần 2 HL   , điện trở thuần 2002R và tụ điện 0,1C   mF. Gọi RL và RC lần lượt là các giá trị của  để RLU và RCU đạt cực đại. Tìm U biết rằng khi 2 RLRC    thì mạch tiêu thụ công suất là 208,082 A. 220 V B. 380 V C. 200 V D. 289 V Câu 52: Đặt điện áp xoay 1002cos2()u tV  (f thay đổi được) vào đoạn mạch AB nối tiếp theo thứ tự gồm đoạn AM chứa cuộn cảm thuần L, đoạn MB chứa điện trở thuần R nối tiếp với
các

tụ điện C. Khi 1ff  thì MBU đạt cực đại và giá trị đó bằng 200 3 V thì hệ số công suất của mạch AB gần nhất giá trị nào sau đây?

A. 0,81 B. 0,85C. 0,92D. 0,95 Câu 53: Đặt điện áp xoay chiều 1502cos2()u tV  (f thay đổi được) vào đoạn mạch AB nối tiếp theo thứ tự gồm đoạn AM chứa tụ điện C, đoạn MB chứa điện trở thuần R nối tiếp với cuộn cảm thuần L. Khi 1ff  thì MBU đạt cực đại và giá trị đó bằng 905 V thì hệ số công suất của mạch MB gần nhất giá trị nào sau đây? A. 0,81 B. 0,75C. 0,92D. 0,95 Câu 54: Đặt điện áp xoay chiều 0cos()uUtV  ( 0U không đổi còn thay đổi được) vào đoạn mạch AB nối tiếp theo thứ tự gồm đoạn AM chứa cuộn cảm thuần L, đoạn MN chứa điện trở thuần R và đoạn NB chứa tụ điện C. Lần lượt cho 1

và 140rad/s  thì ANU đạt cực đại MBU đạt cực đại. Biết khi đó hệ số công suất của mạch khi 140rad/s  bằng 0,9 . Chọn các phương án đúng. A. 160rad/s

B. 176rad/s

C. 189rad/s

D. 1120rad/s

( 0U không đổi còn  thay đổi được) vào đoạn mạch AB nối tiếp theo thứ tự gồm đoạn AM chứa cuộn cảm thuần L, đoạn MN chứa điện trở thuần R và đoạn NB chứa tụ điện C. Lần lượt cho 1

Câu 55: Đặt điện áp xoay chiều 0cos()uUtV 

DẠYKÈMQUYNHƠNOFFICIAL
hệ số công suất của mạch khi 140rad/s  bằng 22 3 Chọn phương án đúng. A. 160rad/s B. 176rad/s C. 180rad/s D. 1120rad/s Câu 56: Đặt điện áp xoay chiều 1006cos()u tV  ( thay đổi được) vào đoạn mạch AB nối tiếp theo thứ tự gồm đoạn AM chứa cuộn cảm thuần L, đoạn MN chứa điện trở thuần R và đoạn NB chứa tụ điện C. Thay đổi  để ANU đạt cực đại là maxRLU URLmax khi đó MBu lệch pha so với i là  (với t0,5 an 2  ). Giá trị maxRLU gần giá trị nào trong các giá trị sau đây?
 và 140rad/s  thì ANU đạt cực đại MBU đạt cực đại. Biết khi đó

A. 100 V B. 180 V C. 250 V D. 50 V

Câu 57 Đặt điện áp xoay chiều 0cos()uUtV  ( 0U không đổi còn  thay đổi được) vào đoạn mạch AB nối tiếp theo thứ tự gồm đoạn AM chứa tụ điện C, đoạn MN chứa điện trở thuần R và đoạn NB chứa cuộn cảm thuần L. Điều chỉnh  thì ANU đạt cực đại thì 150()MN UV  và U 170()NB UV  . Giá trị maxMBU gần giá trị nào nhất trong các giá trị sau? A. 220 V B. 230 V C. 200 V D. 120 V Câu 58: Đặt điện áp xoay chiều 2102cos()u tV  (U không đổi còn  thay đổi được) vào đoạn mạch AB nối tiếp theo thứ tự gồm đoạn AM chứa cuộn cảm thuần L, đoạn MN chứa điện trở thuần R và đoạn NB chứa tụ điện C. Các vôn kế có điện trở rất lớn. Khi thay đổi  thì số chỉ cực đại của vônkế 1V và 2V lần lượt là x và 290 V. Hãy tính x. A. 350 V B. 280 V C. 450 V D. 300 V Câu 59: Đặt điện áp xoay chiều 2cos()uUtV 

( thay đổi được) vào đoạn mạch AB nối tiếp theo thứ tự gồm cuộn cảm thuần 1 HL

và 2 10,270

thì điện áp hiệu dụng trên đoạn RL

DẠYKÈMQUYNHƠNOFFICIAL
giá trị.
1 . A. 100 rad/s B. 507rad/s C. 2510rad/s D. 1010rad/s Câu 60: Đặt điện áp xoay chiều 2cos()uUtV   ( thay đổi được) vào đoạn mạch AB nối tiếp theo thứ tự gồm cuộn cảm thuần 1 HL   , điện trở thuần 1002R và tụ điện 0,2C   mF. Khi 1  và 21 11 6   thì điện áp hiệu dụng trên đoạn RC có cùng giá trị. Tìm 1 A. 42,64rad/s B. 507rad/s C. 2510rad/s D. 1010rad/s
  , điện trở thuần 1002Rvà tụ điện 0,2C   mF. Khi 1

cùng
Tìm

Câu 61: Đặt điện áp xoay chiều 2cos()uUtV   (U không đổi còn f thay đổi được) vào đoạn mạch AB nối tiếp theo thứ tự gồm đoạn AM chứa cuộn cảm thuần có độ tự cảm L, đoạn MN chứa điện trở thuần R và đoạn NB chứa tụ điện có điện dung C sao cho 20,22LRC  . Khi 3011f Hz thì maxANU . Khi 1ff  và 1 2 3 14 ff f  Hz thì điện áp hiệu dụng trên đoạn

đoạn

DẠYKÈMQUYNHƠNOFFICIAL
1f .
 
  và 2  thì dòng điện hiệu dụng qua mạch có
trị 1
.

cực tiểu và dòng điện hiệu dụng qua mạch bằng 1 221 3 I I . Khi 43 k   thì ANU cực đại. Biết 222 123 6   . Tìm k A. 1,17B. 1,5 C. 2,15D. 1,25 Câu 64: Đặt điện áp xoay chiều 2cos2()uU ftV  (U không đổi còn f thay đổi được) vào đoạn mạch AB nối tiếp theo thứ tự gồm đoạn AM chứa cuộn cảm thuần L, đoạn MN chứa điện trở thuần R và đoạn NB chứa tụ điện C. Khi 1ff  và 21 4 fff  thì mạch tiêu thụ cùng công suất và bằng 16 61công suất cực đại mà mạch tiêu thụ. Khi 01003ff Hz mạch cộng hưởng.
MB có cùng giá trị. Tìm
A. 100 Hz B. 180 Hz C. 50 Hz D. 110 HCâu 62: Đặt điện áp xoay chiều 2cos2()uU ftV
(U không đổi còn f thay đổi được) vào đoạn mạch AB nối tiếp theo thứ tự gồm đoạn AM chứa cuộn cảm thuần có độ tự cảm L, đoạn MN chứa điện trở thuần R và đoạn NB chứa tụ điện có điện dung C sao cho 2 LxRC  . Khi 300 11 f Hz thì MBnhoûnhaátU . Khi 90f Hz và 3014f Hz thì điện áp hiệu dụng trên đoạn AN có cùng giá trị. Tìm x. A. 35 11 B. 4 C. 4,5 D. 50 11 Câu 63 Đặt điện áp xoay chiều 2cos()uUtV   (U không đổi còn  thay đổi được) vào đoạn mạch AB nối tiếp theo thứ tự gồm đoạn AM chứa điện trở thuần R,
MN chứa cuộn cảm có độ tự cảm 2 3 HL   , có điện trở r và đoạn NB chứa tụ điện có điện dung C. 1
cùng giá
I
Khi 31003
rad/s thì MBU

Khi 3ff

và 43 3 fff

thì điện áp hiệu dụng trên đoạn AN có cùng giá trị. Tìm 3f gần giá trị nào nhất trong các giá trị sau? A. 100 Hz B. 180 Hz C. 50 Hz D. 110 Hz Câu 65: Cho mạch điện xoay chiều nối tiếp gồm cuộn dây thuần cảm có độ tự cảm L thay đổi được, tụ điện có điện dung C và điện trở R. Có hai giá trị khác nhau của L là 1L và 2L thì điện áp hiệu dụng trên cuộn cảm có cùng một giá trị. Giá trị của L để điện áp hiệu dụng trên cuộn cảm cực đại là:

điện xoay chiều RLC không phân nhánh, dung kháng bằng 50 , điện trở thuần R và cuộn cảm thuần có cảm kháng LZ thay đổi. Người ta nhận thấy khi LZ có giá trị ứng với 100 thì điện áp hiệu dụng trên cuộn cảm có cùng một giá trị. Tính R A. 25 B. 19 C. 502 D. 50

Câu 67 Đặt điện áp xoay chiều 0cos uUt  ( 0U không đổi và  thay đổi được) vào hai đầu đoạn mạch gồm điện trở thuần R, cuộn cảm thuần có độ tự cảm L và tụ điện có điện dung C mắc nối tiếp. 22 CRL  . Khi 2

thi điện áp hiệu dụng giữa hai bản tụ điện có cùng một giá trị. Khi

DẠYKÈMQUYNHƠNOFFICIAL
A. 0,5 12LLL  B.  120,5 LLL  C. 12122/ LLLLL   D. 1212 / LLLLL  

Câu 66: Mạch
0
đạt
 và 0 là A. 012 1 2   B. 222 012 1 2   C. 012   D. 222 012 1111 2         Câu 68: Một mạch điện xoay chiều nối tiếp gồm cuộn cảm và tụ điện có điện dung C thay đổi. Dùng vôn kế có điện trở rất lớn mắc vào hai đầu tụ điện. Thay đổi C người ta thấy khi 40 CF  và 20 CF  thì vôn kế chỉ cùng trị số. Tìm C để vôn kế chỉ giá trị cực đại Câu 69: Đặt một điện áp xoay chiều 0cos100uU t  V vào đoạn mạch RLC có 1002R Cuộn cảm thuần có độ tự cảm 1,5/HL và tụ điện có điện dung C  F và

thì điện áp hiệu udnjg giữa hai bản tụ điện
cực đại. Hệ thức liên hệ giữa 12 ,

2125/3C   F thì điện áp hiệu dụng trên tụ có cùng giá trị. Để điện áp hiệu dụng trên diện trở R đạt cực đại thì giá trị của C là A. 50/F B. 200/3F C. 20/F D. 100/F Câu 70 Đặt điện áp xoay chiều vào hai đầu đoạn mạch nối tiếp gồm điện trở, cuộn cảm thuần và tụ điện có dung kháng CZ thay đổi. Gọi maxCU là giá tri cực đại của điện áp hiệu dụng trên tụ. Điều chỉnh CZ lần lượt bằng50,150 và 100 thì điện áp hiệu dụng trên tụ lần lượt bằng

D. 3max 0,5C CUU

Câu 71: Đặt điện áp xoay chiều 220V – 50Hz vào hai đầu đoạn mạch nối tiếp gồm điện trở 50  , cuộn cảm thuần có cảm kháng 100 và tụ điện có dung kháng CZ thay đổi. Điều chỉnh CZ lần lượt bằng 50,100,150 và 200 thì điện áp hiệu dụng trên tụ lần lượt là 123 ,, CCCUUU và 4CU . Trong số các điện áp hiệu dụng nói trên giá trị lớn nhất là A. 1CU B. 2CU C. 3CU D. 4CU Câu 72: Đặt một điện áp xoay chiều vào hai đầu đoạn mạch AB nối tiếp gồm điện trở R, cuộn dây cảm thuần L và tụ điện có điện dung C thay đổi được. Khi 1CC  thì dòng điện trễ pha /4 so với điện áp hai đầu đoạn mạch. Khi 1/6,25CC  thì điện áp hiệu dụng giữa hai tụ cực đại. Tính hệ số công suất mạch AB khi đó: A. 0,6 B. 0,7 C. 0,8 D. 0,9 Câu 73: Điện áp xoay chiều vào hai đầu đoạn mạch AB nối tiếp điện trở R, cuộn dây cảm

DẠYKÈMQUYNHƠNOFFICIAL
thuần 2 LH   và tụ điện có điện dung C thay đổi được. Khi 1 0,1 CCmF   thì dòng điện trễ pha 4  so với điện áp hai đầu đoạn mạch. Khi 1 2,5 C C thì điện áp hiệu dụng giũa hai tụ cực đại. Tính tần số góc của dòng điện. A. 200rad/s B. 50rad/s C. 100rad/s D. 10rad/s
12 , CCUU và 3CU Nếu 12CC UUa  thì: A. 3maxCCUU
B. 3C Ua  C. 3C Ua 

Câu 74 Đặt điện áp 2cos uUtV   (U và  không đổi) vào hai đầu đoạn mạch AB nối tiếp theo thứ tự gồm cuộn dây cảm thuần L, biến trở R và tụ điện có điện dung C. Khi 1RR  thì dòng điện trễ pha một góc  0 so với điện áp hai đầu đoạn mạch và công suất tiêu thụ là 1P . Khi 2RR  thì dòng điện trễ pha 2 so với điện áp hai đầu đoạn mạch và công suất mạch tiêu thụ là 2P . Khi 0RR  thì dòng điện trễ pha 0 so với điện áp hai đầu đoạn mạch và công suất mạch tiêu thụ là cực đại. Nếu 12 PP

(U và

không đổi) vào hai đầu đoạn mạch AB nối tiếp theo thứ tự gồm cuộn dây cảm thuần L, biến trở R và tụ điện có điện dung C thay đổi được. Khi 1CC

thì độ lệch pha của u so với i là 1 và điện áp hiệu dụng trên tụ là 1CU . Khi 2CC

thì độ lệch pha của u so với i là 2 và điện áp hiệu dụng trên tụ là 2CU . Khi 0CC

thì độ lệch pha của u so với i là 0 và điện áp hiệu dụng trên tụ là cực đại. Nếu

DẠYKÈMQUYNHƠNOFFICIAL
 
 
 
122
  
 
 
 
 
 
1CC  thì
lệch pha
2CC  thì độ lệch pha của u so với
2
0CC  thì độ lệch pha của u so với i là 0 và điện áp
dụng trên
RC là cực đại. Nếu 122,4RCRCUU    và 26   thì A. 0 5 12   rad B. 06   rad C. 0 5 24   rad D. 012   rad Câu 1: Hướng dẫn: Chọn đáp án D
 thì A. 3
B. 6
C. 04
D. 012
Câu 75: Đặt điện áp 2cos uUtV 
,4CCUU
và 06
thì A. 13
B. 06
C. 04
D. 012
Câu 76: Đặt điện áp 2cos uUtV
(U và  không đổi) vào hai đầu đoạn mạch AB nối tiếp theo thứ tự gồm cuộn dây cảm thuần L, biến trở R và tụ điện có điện dung C thay đổi được. Khi
độ
của u so với i là 1 và điện áp hiệu dụng trên đoạn RC là 1RCU . Khi
i là
và điện áp hiệu dụng trên đoạn RC là 2RCU . Khi
hiệu
đoạn
DẠYKÈMQUYNHƠNOFFICIAL Áp dụng công thức: sin cos C RL RL U U      200sin73,2 64 cos 4 CU V          Câu 2: Hướng dẫn: Chọn đáp án C 0 maxRLCCCUUU   Khi 0C>C thì CZ càng xa vị trí cực đại nên CU giảm, nhưng CZ tiến dần đến vị trí cộng hưởng nên I tăng
3: Hướng dẫn: Chọn đáp án D Áp dụng định lý hàm số sin cho tam giác ANB  max sinsinsinsin 2 CCUUUU     Thay số vào:  120 100200 sinsinsin1 RLU       6 arcsin0,6 200sin200sinarcsin0,6183,92 6 RLU V                       Câu 4:
Câu
DẠYKÈMQUYNHƠNOFFICIAL Hướng dẫn: Chọn đáp án A Tính:  40arctanarctan 3 R L L L U R ZL U Z       Áp dụng:   max 240 sin 2 RLC U UU V   Chú ý: Có thể phối hợp điều kiện cực trị với giản đồ véc tơ để viết biểu thức u và i. Câu 5Hướng dẫn: *  22 2 2 max L AMAM LC RZ UIZU RZZ     LCZZ  Mạch có cộng hưởng nên vẽ giản đồ véc tơ như hình 1. Từ giản đồ véc tơ: 1 cos 2 R AM U U 0 AM AB φ=60u  trễ pha hơn AMu là u π/3φπ/2 , hay 1002cos100 2 ABu tV          * Khi CmaxU RLUU  , vẽ giản đồ véc tơ như hình 2.                                           0 0 100tan601003 1006cos100 22 usímphah¬nulµ2 100 200 cos60 2002cos100 23 utrÔphah¬nulµ3 AM AM AB AM AM AB AM V u t V MB V u t V Câu 6: Hướng dẫn: Chọn đáp án B
DẠYKÈMQUYNHƠNOFFICIAL max max max max maxmax 22 3 22 max 22 vµUcéngh­ëngI 3 22 0,752 0,752 R R L L L L Lzy C L L L L xUU U U U RyUIZZ R URZ R zU RZZZ R URZ z z U R x              Câu 7: Hướng dẫn: Chọn đáp án A Cách 1: Tính:  200arctanarctan2 L L RL Z ZL R     Áp dụng công thức: max sinCC RL UU     0,2633 0,98sinarctan20,6640       Từ công thức:   1 tan tan CL L ZZRC ZR      Thay số vào tính được: C=44/πμF hoặc C=36/πμF Cách 2: Áp dụng công thức: max 0cosCCUU    với 0tan L R Z (thay số vào tính ra 0φ=0,464rad ). Do đó, cosφ0,4640,98φ0,264rad hoặc φ=0,664rad Từ công thức:   1 tan tan CL L ZZRC ZR      Thay số vào tính được: C=44/πμF hoặc C=36/πμF Câu 8: Hướng dẫn: Chọn đáp án A * Khi 1C=C thì 112   
DẠYKÈMQUYNHƠNOFFICIAL * Khi 2C=C thì 21 1 323     * Khi 3C=C thì 2 2 2 max 0 00,5cos0,5 4 U U PP R R       Áp dụng công thức: max sin cos cos 2 C RLC RL RL U U U            max0 0 121 2 012 2 2 2 2 2 CC RL RL CC RL RL UU UU                                    * Thay 04   và 213   ta được: 1 4 5 12 RL              1 1 5sin40sin cos 124 cos 4 406 32,66 3 C RL RL U U U U V           Câu9: Hướng dẫn: Chọn đáp án C  22 22 max 48080430 90 2 2 CC RL L ZZR UZ      Câu 10: Hướng dẫn: Chọn đáp án C  max 2 22.30 tan20,5arctan0,5arctan0,320 80 RL C C R R U rad Z Z       Câu 11: Hướng dẫn: Chọn đáp án B Cách 1:
DẠYKÈMQUYNHƠNOFFICIAL  max 22 22 12030 360 48080430 2 2 RL CC UR U V ZZR      Cách 2:  max 0 120 360 2.30 tant2tan0,5arctan an0,5arctan 80 RL C U U U V R Z               Câu 12: Hướng dẫn: Chọn đáp án D Từ 22 22 4 cos 0,8 3 RC C C C R RR Z RZ RZ       max 0 200 2288,6 4 tant2tan0,5arctan an0,5arctan 3 RL C U U U V R Z               Câu 13: Hướng dẫn: Chọn đáp án A   max 22 22 22 2 80 41201204 2 2 4 160 2 RC LL LL C UR UR U U R ZZR R ZZR Z         Câu 14: Hướng dẫn: Chọn đáp án A,D Cách 1: * Khi 1L=L thì 1 1 max 1 22 22 1 2 2 4 4 2 1,5 2 2 L L RL L CC CC L C UZ UZ U U ZR R R ZZR ZZR Z R ZR              11 2 2 1 2 cos 5 LC R k RZZ    
DẠYKÈMQUYNHƠNOFFICIAL * Khi 2L=L thì  2222 max2 1,513 1,56 C L L C RRR Z UZ R Z R       2 2 2 2 2 3 cos 1313 1,5 6 LC R R k RZZ RRR            Cách 2: Dựa vào kết quả: max 0 0 max 2 tan2 tan tantan1 RL C L RC U R U Z U            * Khi 1L=L thì RLmaxU và max 0 0 0 0 0 2 2 0 2tan0,5 tantan tan2tan0,52 2 31tan10,5 RL C U U U U R Z                 * Khi 2L=L thì LmaxU và 2 2 13 tancos 3113 tan C R Z      Câu 15: Hướng dẫn: Chọn đáp án D Khi L thay đổi, dựa vào kết quả: max 0 max 0 2 tan2 tantan'1 RL C L RC R U Z U           0 00 0 0 0 2 tan2 tan2tan'tan22tan0,5880,1476 tan' C C R Z R Z                  Câu 16 Hướng dẫn: Chọn đáp án C Cách 1:
DẠYKÈMQUYNHƠNOFFICIAL    22 2 2 22 2max 22 2 2 1 022 22 4 2 2 4 0 C RCRC LC LL C RC LL C RC C RC L L RZ UIZU RZZ ZZR UR Z UU ZZR ZUU R R ZUU UUU RZ RZ                    Theo bài ra:  22 2 2 1 22 22 2002002 400 300 4200 200 200 200200 110,9 200200300 L LL L Z ZZ U V Z                Cách 2: Áp dụng kết quả: max 0 0 min 2 22 tan2 tan tan 0 1tan RC L RL RC C RL U R U Z U U Z                 2 2 0 0 max 0 0 min 2 21tan10,53tan0,5tan tan2tan0,52 200 110,94 119/4 tan RL RC RC RL U U U U V                       Câu 17: Hướng dẫn: Chọn đáp án D * Khi 1L=L thì:      1 1 2 2 2 2 1 1 50 100 0,5 100 100 tan tan 3 100 100200 MB C C LC L LC L U Z I Z ZZ Z R R R U ZRZZ RZ I                      
DẠYKÈMQUYNHƠNOFFICIAL * Khi 1L=L thì:   22 max 4 15 5015 2 2 CC L RL L ZZR Z UZ L H      Câu 18: Hướng dẫn: Chọn đáp án C Từ tan tan tan LC LC LC ZZRZZ RZZR           2 2 2 22 2 222 2 2 1tan tan .. . tan 1tan C C L RL RL LC Z RZR RZ R UIZU U U RR RZZ                    * Khi 2 1 2 10,75 L=L4013100 0,75 10,75 C C Z Z R R           * Khi  2 2 2 10,751L=L100 142,5 11 RLU V     Câu 19: Hướng dẫn: Chọn đáp án B Từ tan tan tan LC LC LC ZZRZZ RZZR           2 2 2 22 2 222 2 2 1tan tan tan 1tan C C L RL RL LC Z RZR RZ R UIZU U U RR RZZ                    * Từ 2 2 1 1 tan tan1,2 0,5 tan0,75 C C C L LC LC C ZR ZRZ Z ZZR ZZRZRR           * Khi   2 2 2 2 2 2 2 1tan 10,51 L=L 100 2526 1tan 11 C RL Z R UU V               
DẠYKÈMQUYNHƠNOFFICIAL Câu 20: Hướng dẫn: Chọn đáp án C Từ tan tan tan LC LC CL ZZRZZ RZZR          2 2 22 2 222 2 2 2 2 2 2 2 2 tan .. . tan coscossin1cossin2 11 .1 cos2sin2 22 1 .1 cos2sin2 22 L C RC RC LC L L L L L L L LL RZR RZ UIZU U RR RZZ Z Z Z U U R R R ZZ Z U RR R ZZZ U RRR                                      Đặt 0 2 tan2 L R Z ta được:   0 2 00 0 2 0 0 0 2 2 0 0 22 1 cos22 ttan2sin2 an2 1cos22cos2 cos22 sin2sin2 RC RC UU UU               * Từ 22 20 10cos22cos22RCRCUU        2010021 0 22222 0,5tan240 CRZ    Bình luận: Công thức “độc”: 012 2 tan2tan C R Z   Câu 21: Hướng dẫn: Chọn đáp án D  2 32 6 15.10100 100 212 0     LR Z C maxLU ‘C tồ’  6 1 1 100 10000/ 100.10 C ZZ rads C     
DẠYKÈMQUYNHƠNOFFICIAL Bình luận: Khi giải bằng phương pháp này thì khối lượng tính toán được giảm xuống mức
tiểu” và ta sẽ thấy được hiệu quả của nó khi gặp các bài toán có số liệu
Câu 22: Hướng dẫn: Chọn đáp án C  2 2 6 0,318100122,5 212 5,910 LR Z C     maxCU ‘L tồ’ 122,52122,5 61,3 2.0,318 L ZZfL f Hz      Chú ý: Khi  thay đổi thì                                2 max 2 maxmaxmax 2 max 1 2 1 , Céngh­ëng 1 1 2 C L C C R CL R R C R L L C L L LRL U ZZ L C C LC UPI LC LRL U ZZ CC C LC Câu 23: Hướng dẫn: Chọn đáp án B 200/ R LC rads   Câu 24: Hướng dẫn: Chọn đáp án C * Khi ω=ωC thì CmaxU , khi Rω=ω thì RmaxU (cộng hưởng), khi Lω=ω thì LmaxU
“cực
“không đẹp”.
DẠYKÈMQUYNHƠNOFFICIAL * Ta nhận thấy, từ vị trí Rω=ω giảm tần số một lượng nhỏ thì ω dịch về phía Cω một lượng nhỏ tức là CU sẽ tăng (đồ thị CU đi lên). Câu 25: Hướng dẫn: Chọn đáp án C 2 22 1*Lóc®Çu max;max gi¶mdÇn;Ugi¶mdÇn 1 *Sau®ãt¨ngth× tan 0símh¬ni 1gi¶m C L R R LC C L RC Z LZI U C U I Z ZZ Z LZ u C R UIR C                    
Hướng
Chọn
án C       max max max choU choU R L C C R L lµm lµm lµmchoU Chú ý: Khi tần số thay đổi để   2 2 2 2 1 *max 2 2 1 tantan 2 1 *Umax 2 2 1 tan.tan 2 LCL C L L LC RL LCC L C C LC RC RZZZ U ZZZZZ R RZZZ ZZZZZ R               Câu 27: Hướng dẫn: Chọn đáp án A Khi tần số thay đổi, 2 C Umax 2 L L LC R ZZZZZ    2 1 1 tantan 2 2 LCL RL ZZZ R    
Câu 26:
dẫn:
đáp
DẠYKÈMQUYNHƠNOFFICIAL Câu 28: Hướng dẫn: Chọn đáp án Khi tần số thay đổi, 2 Umax 2 L C C LC R ZZZZZ   2 2LC C C R ZZ Z Z  (u sớm pha hơn i nên 0 ) 2 2 1 tan.tan. .. 2 C C C LCC C RC R Z Z Z ZZZ Z RR R R           Gọi α là độ lệch pha của RCu và u thì RC RC α=φφ=φ+φ , trong đó, φ>0 và  RCφ>0       min tantan tantan 2tantan 1tantan 2.2tantan22tan22 RC RC RC RC RC                 Câu 29: Hướng dẫn: Chọn đáp án D 2 26 3 115 1100.103 1 2212,510 L C n RC L      ,max 2 200250() 19 1 25 LC U U V n    Câu 30: Hướng dẫn: Chọn đáp án A 120 1,2 100 L C n    ,max 2 2 5090,45() 111,2 LC U U V n    Bình luận: Vì cho Lf và Cf nên ta đã dùng LL CC f n f   
DẠYKÈMQUYNHƠNOFFICIAL Câu 31 Hướng dẫn: Chọn đáp án B 2 2 2 1 1 2 2 LCRLfff R C C f f f n n f ff         ,max 2 2 120803138,56() 112 LC U U V n    Bình luận: Vì cho Lf và Cf nên ta đã dùng L C f n f  và 2 LCRfff  Câu 32: Hướng dẫn: Chọn đáp án A * Khi f = 50 Hz, thay đổi R: 1 2 2 2 2 .60 max 0,610 ()()(010)(3060) C CC LC UZ U UIZ U RrZZ      * Khi 30R, thay đổi f: 2 23 2,max 2 2 11 1,81()40.10 26 1 2.0,3 914 28111,8 CLC n RrC L UU UU U n                    1 2 1,58C C U U  Chú ý: Nếu bài toán chỉ cho  biến thiên từ 1 đến 2 thì để tìm giá trị lớn nhất nhỏ nhất ta so sánh giá trị tại hai đầu giới hạn và giá trị tại đỉnh. Câu 33: Hướng dẫn: Chọn đáp án A
DẠYKÈMQUYNHƠNOFFICIAL 2 2 1 L UL U RL C           ; 2 2 4 1 802 60()2102 LR Z C      LmaxU 60 C ZZ   15003166,7(/) C rads ZC     2 2 100.100 100 88,4() 802100100 LU V     2 2 100.200 200 106,4() 80220050 LU V     2 2 1500 00. 500 3107,2() 38500 0260 3 LU V          Chú ý: Khi  thay đổi 1) Với C  (để maxCU ), sau khi chuẩn hóa số liệu: 1 22 L C Z Zn Rn      2 2 2222222 max 1 LC C LC LZRZZnZZZUUU  2) Với L  (để maxLU ) sau khi chuẩn hóa số liệu: 1 22 C L Z Zn Rn      2 2 2222222 max 1 LC L C L CZRZZnZZZUUU  Câu 34: Hướng dẫn: Chọn đáp án A
DẠYKÈMQUYNHƠNOFFICIAL Khi C  thì maxCU và 222 maxC LUUU  thay maxmax 200 C L UUV  và 150 UV  , ta được: 222 200150507132() LLUU V Câu 35: Hướng dẫn: Chọn đáp án B Tính: 1187,52LZ  ; 1802CZ ; 22502LZ ; 2602CZ Từ  1 2 12 2 2 2 2 11 22 L L LL LC LC Z Z UU RZZRZZ     200R  Tính 2 23 11 3 1200.10 1 22.6,25.4,8 L C n RC L      max 2 2 200212,13() 113 L U U V n    Câu 36: Hướng dẫn: Chọn đáp án A Cách 1: * Khi 1  thì 2 2 11 1 1 1 L UULZRL C           2 1 2 22 1 1 1 0 2 1000(/) 2 L R rads CC LCRC       * Khi 2  thì 2 2 2 2 2 2 1 1 C UU ZRL L C           2 22 2 2 2 2 0 2 1000(/) L R RL rads C LCL       Cách 2: Tính 2 21000 222 LRLR Z CC   
DẠYKÈMQUYNHƠNOFFICIAL * Khi L UU  thì 1 1 1 1 2 1000(/) C C ZZ rads CZ    * Khi C UU  thì 2 2 2 21000(/) L L Z ZZ rads L    Câu 37: Hướng dẫn: Chọn đáp án D Tính 2 2 502 22 LRLR Z CC    * Khi L UU  thì 1 1 1 1 2 10000(/) C C ZZ rads CZ     * Khi maxCU thì 2 2 250002(/)L L Z ZZ rads L    Câu 38: Hướng dẫn: Chọn đáp án D Khi  thay đổi: 1) maxLU khi 1 LCZ   chuẩn hóa max 2 1 1 22 L C L Zn U Z U n Rn      2) CmaxU khi C Z L   chuẩn hóa max 2 1 1 22 L C C Z U ZnU n Rn      Với 2 1 1 1 2 L C n RC L     3) L UU  khi 12 L  4) C UU  khi 22C 
DẠYKÈMQUYNHƠNOFFICIAL 1 max 2 2 2 2 100 1,2 181() 111,2 2 L C C U n U V n      Câu 39: Hướng dẫn: Chọn đáp án B Cách 1: 22 26 3 1 11 11,5100.10 1 222.15.10 L C L nCZC ZLRRC LC L         * Khi maxLU chuẩn hóa: 1 1tan 2 22 L LC C Zn ZZn Z R Rn         t1,51 an20,50,4636()0,14760 rad         u trễ hơn i là 0,1476 Cách 2: 2 32 6 15.10100100()2102 LR Z C    * 2 2 LmaxZ 22 2 LC C LC L ZZ LR R R U Z ZZ C RZ      100 tan 0,14760 22.100 R Z        : u trễ hơn i là 0,1476 Câu 40: Hướng dẫn: Chọn đáp án A Áp dụng công thức: tan 2 R Z  
DẠYKÈMQUYNHƠNOFFICIAL 2 2 1 1,51,5 2 2 2 R LRCx LR C  
Hướng
A Áp
22 cos 15 L C      
Hướng
A, B Khi
thì coscoscos C L   Khi 0ff  thì maxCU và 2 2 2 max 3 3 3 cos cos 4 4 2 U U PP k R R    Áp
2 cos C LC f ff  0 0 0 32150()22100fffHz   Câu 43: Hướng dẫn: Chọn đáp án D Cách 1: * Khi Cff  thì   2 max 2 max 2 21 costan 3 32 12tan2 1 2tan2 LZ CL L C L L PP ZZ Z U Choïn RZ Z                    * Khi 22Cff  thì 2 2 '2222 2 '1cos''13 ' 222 L L C C LC ZZ R Z Z RZZ         
Câu 41:
dẫn: Chọn đáp án
dụng công thức “độc”:
Câu 42:
dẫn: Chọn đáp án
f thay đổi
dụng công thức “độc”:
DẠYKÈMQUYNHƠNOFFICIAL Cách 2: * Khi Cff  thì 2 max max 2 21 3costan(1) 32 1 1tan 2(2) 22 hoasolieu C Chuaån LC C L PP Zn ZZn U Z R Rn                    Từ (1) và (2) 2 11 21 22 222 C L Zn n nZ Rn         * Khi 22Cff  thì 2 2 '2222 2 '1cos''13 ' 222 L L C C LC ZZ R Z Z RZZ          Câu 44: Hướng dẫn: Chọn đáp án A * Khi Lff  thì maxLU và 2 1 2tan 12tan Chuanhoa C L Z R Z         * Khi 2Lff  thì  21'2212tan ' 2 tan' 2,7367 2tan C L LC Z ZZZ x RR         1,22() rad  Câu 45: Hướng dẫn: Chọn đáp án A, B * Khi 1ff  thì 2 2 2 2 max 0,75cos'0,75cos'0,75sin'0,5 1 sin'1 1 hoa L Chuaån LC L C U U PP R R ZZm ZZ UU Z Rm                     
DẠYKÈMQUYNHƠNOFFICIAL 1 1 1 21 2 1 13 10,5 24 222200() 100 loaim nm f f m m fHz ff         * Khi Lff  thì maxLU chuẩn hóa 1 1tan 2 22 L LC C Zn ZZn Z R Rn         41 tan20,886() rad    Câu 46 Hướng dẫn: Chọn đáp án A, B * Khi 2ff  thì 2 2 2 2 max 0,75cos'0,75cos'0,75sin'0,5 1 sin'1 1 hoa C Chuaån LC C L U U PP R R ZZm ZZ UU Z Zm                      24 2 1 10,533 224 mnm m mnm    * Khi Lff  thì maxLU chuẩn hóa 1 22 L C Zn Z Rn      2 2 326 4cos47 1 2 cos 3 1 22 4cos 415 LC Khin R nRZZ Khin                    Câu 47: Hướng dẫn: Chọn đáp án B * Cố định 0  thay đổi C
DẠYKÈMQUYNHƠNOFFICIAL . maxRLC UUAMB cân tại M hay 22 C LZRZ  Đặt L ZxR  thì  2 2 2 2 2 1cos 11 C LC R R ZRx RZZ xx      Mà cos0,96  nên 527 336 x 2 2 2 2 527 527.625336 336 0,1714 625 33622527625 336 L LC C ZR L RC ZZ R C L ZR            2 11 1,21 110,1714 2 n RC L    * Cố định 0CC  thay đổiđể maxCU ta chuẩn hóa số liệu: 1 22 L C Z Zn Rn       2 2 2 2(1)22 cos 0,95 2(1)(1)11,211 LC R n nnnRZZ         Câu 48: Hướng dẫn: Chọn đáp án D * Cố định 0  thay đổi L.

Turn static files into dynamic content formats.

Create a flipbook
Issuu converts static files into: digital portfolios, online yearbooks, online catalogs, digital photo albums and more. Sign up and create your flipbook.
1500 BÀI TẬP VẬN DỤNG CAO MÔN VẬT LÝ TÁCH TỪ ĐỀ THI THỬ THPTQG NĂM 2019 - DÒNG ĐIỆN XOAY CHIỀU by Dạy Kèm Quy Nhơn Official - Issuu