Content warning

This publication may contain content that is inappropriate for some users, as flagged by Issuu's user community.

To view this publication, please verify that you are 18 or older by signing in or signing up.

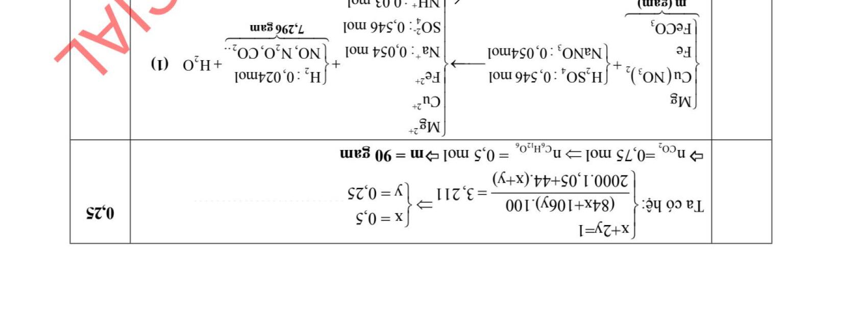
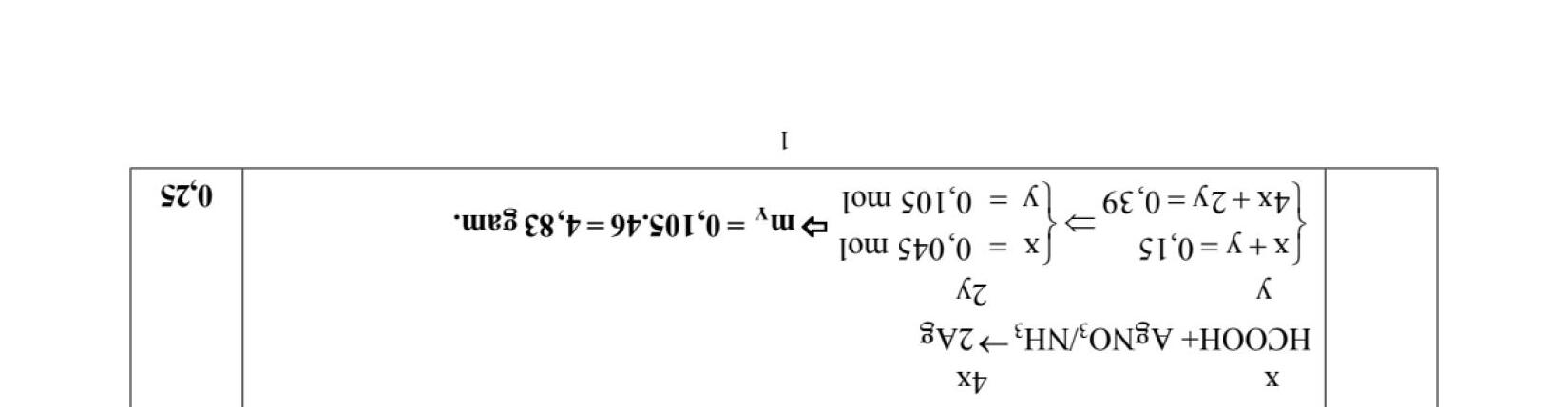
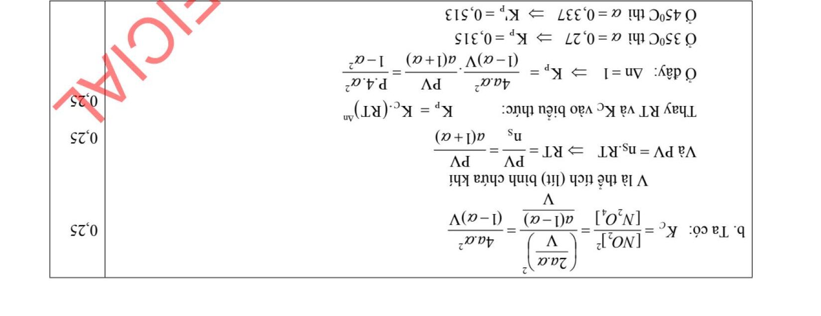
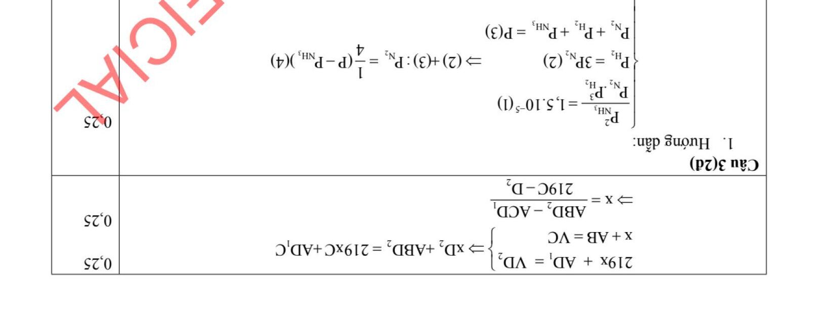
TỔNG HỢP ĐỀ THI BỒI DƯỠNG HỌC SINH GIỎI CẤP TỈNH MÔN HÓA HỌC KHỐI 12 - TẬP 2 (OLD VERSION) by Dạy Kèm Quy Nhơn Official - Issuu