VESTÍGIOS

![]()

Organização
Jorge Dias da Silva Júnior e Ana Luiza Castro do Amaral
Ana Luiza Castro do Amaral e Jorge Dias da Silva Júnior
EDITOR
Handerson da Silva Oliveira
AUTORES
Jorge Dias da Silva Júnior
Ana Luiza Castro do Amaral
Gustavo Alves Cardoso
Antônio Carlos Batista Brandão
Handerson da Silva Oliveira
Sandra Baruki
Thais Helena de Almeida
Daniel Lima Marques de Aguiar
Milena Barbosa Barreto
Mariana Virgílio Rocha
Rio de Janeiro
MUSEU NACIONAL
2025
UNIVERSIDADE FEDERAL DO RIO DE JANEIRO
Roberto de Andrade Medronho
Reitor
Cassia Curan Turci
Vice-Reitora
Alexander Wilhelm Armin Kellner
Diretor
Andrea Ferreira da Costa Vice-Diretora
Cristiana Serejo
Diretora Adjunta de Coleções
Ronaldo Fernandes
Diretor Adjunto Técnico-Científico
Márcia Souto Couri
Diretora Adjunta de Ensino
Wagner William Martins
Diretor Adjunto Administrativo
Juliana Sayão
Diretora Adjunta de Integração Museu e Sociedade
Comissão de Publicações
Ulisses Caramaschi
Presidente
Leandra Pereira de Oliveira Normalização







Diagramação Anna Warzynski
Revisão Lidiane do Nascimento Silva

A Seção de Memória e Arquivo (SEMEAR) e o Laboratório Central de Conservação e Restauração (LCCR), em nome do Museu Nacional/UFRJ, agradecem ao 6º Fundo Ibermuseus para o Patrimônio Museológico, cujo patrocínio viabilizou a execução deste projeto. Reconhecemos a Secretaria Administrativa do Museu Nacional (SAMN) pela gestão administrativa e institucional. Destacamos a consultoria especializada de Sandra Baruki e Thais Helena de Almeida , cuja atuação foi essencial e sem a qual este trabalho não teria sido possível. Agradecemos também a colaboração técnica de Daniel Aguiar, Milena Barreto e Mariana Rocha, responsáveis pelos laudos e análises que enriqueceram este projeto. Além dos demais profissionais e estudantes que foram fundamentais para a construção e andamento dos trabalhos, como Paula Aguiar, os integrantes do Setor de Antropologia Biológica do MN e as estagiárias Alexandra Suprani, Marina Bustamante e Mayra Medeiros. Suas contribuições não apenas garantiram rigor técnico, mas também se somaram, junto às equipes da SEMEAR e do LCCR, à redação e composição dos textos que estruturam este catálogo. Por fim, registramos o empenho coletivo de todos os envolvidos, que tornoupossível a preservação e difusão deste acervo.





Pesquisa

Projeto contratação de assistência especializada para acervo iconográfico
Processo de digitalização e tratamento de imagens
Diagnóstico e mapeamento de danos Análises físico-químicas


Não é segredo para ninguém a enorme dor pela qual todos passamos em decorrência do trágico incêndio de 2 de setembro de 2018. Foi um momento muito duro para a cultura e a área museológica brasileira, que transcendeu as fronteiras do país. Muitos relatam se lembrar de exatamente onde se localizavam e o que faziam quando souberam do que estava ocorrendo no Parque da Quinta da Boa Vista, no bairro imperial de São Cristóvão, no início da noite daquele domingo fatídico.
De uma forma geral e bastante simplificada, são duas atitudes que podem ser tomadas diante da dura realidade que tamanha perda representa. A primeira é entender que se chegou ao seu limite e que não há mais forças para reagir. Muitos tomaram esse caminho e não há como julgá-los. Afinal, alguns, por décadas, se dedicaram à instituição e perderam quase tudo. Porém, também houve aqueles que, mesmo diante dessa gigantesca dor que o incêndio do Museu Nacional representou — individualmente e para toda a sociedade —, encontraram forças dentro de si para reconstruir nem que fosse apenas uma pequena parte do que se perdeu.
Porém, por mais obstinação e força interior que se tenha, por mais consciência e vontade em transformar o luto em luta, fato é que tudo se torna mais fácil quando se tem apoio. Não apenas pelo que uma ajuda pode proporcionar, mas, sobretudo, pelo sentimento de que alguém se importa com o trabalho que se quer desenvolver. E é justamente esse o caso do projeto Contratação de Assistência Especializada para Acervo Iconográfico do Museu Nacional/UFRJ, que foi selecionado pelo Fundo Ibermuseus para o Patrimônio Museológico, em sua sexta edição.
O projeto é uma colaboração entre a Seção de Memória e Arquivo (SEMEAR) e o Laboratório Central de Conservação e Restauração (LCCR) do Museu Nacional/UFRJ. O propósito foi atuar na preservação de um conjunto de 212 pranchas fotográficas históricas que apresentam ações de atividade científica e curatorial realizadas por profissionais
do Museu na primeira metade do Século XX. São cópias em papel realizadas a partir de negativos de vidro que foram destruídos pelo incêndio. Este acervo, de destacado valor científico e histórico, fazia parte da antiga Seção de Fotografia do Museu e hoje se encontra depositado na SEMEAR. Além disso, houve o cuidado de digitalizar o material e montar um catálogo intitulado “Pranchas Fotográficas Históricas do Museu Nacional/UFRJ”, visando à difusão desse importante material. Esta ação está alinhada a um importante aspecto da missão do Museu, que é a democratização do conhecimento científico.
A coordenação foi feita pelo chefe da SEMEAR, Jorge Dias da Silva Junior, e pela chefe do LCCR, Ana Luiza Castro do Amaral. Ambos e suas equipes merecem reconhecimento e demonstram claramente o espírito de reconstrução que norteia a casa e que tanto orgulha a todos nós. Gratidão ao Programa Ibermuseus por mais esta exitosa parceria.
Alexander W. A. Kellner Diretor
Museu Nacional/UFRJ


TEXTO SAMN
Mais do que um propósito de preservação o projeto “Contratação de Assistência Especializada para Acervo Iconográfico”, a Seção de Memória e Arquivo (SEMEAR) e o Laboratório Central de Conservação e Restauração (LCCR) conseguiram resgatar cópias fotográficas a partir de um raro e considerável conjunto de negativos de vidro com emulsão de gelatina e prata, ou placas secas, perdidos no incêndio do Museu Nacional ocorrido há sete anos e que resultaram neste importante e sensível catálogo. Importante porque, como sobreviventes do sinistro sucedido em 2018, esse conjunto de cópias fotográficas retrata um pouco da história das atividades científicas e educativas realizadas pelo Museu Nacional no século passado. Sensível porque, segundo Ludmila Stigert, “Mais do que apertar um botão, fotografar é um ato de escuta e presença. Sensibilidade é o que transforma a imagem em memória, em mensagem”. E, são exatamente esses olhares que o Catálogo nos apresenta, ao contar a história das atividades fotográficas no Museu Nacional durante o século XX, o achado, o resgate, o rigoroso processo de higienização e conservação deste conjunto de fotos representadas por objetos etnográficos, mapas, instrumentos científicos, espécimes botânicos e registros de pesquisas de campo, com destaque para os registros de expedições da Comissão Rondon e as missões etnográficas lideradas por Roquette Pinto.
Parabenizamos a SEMEAR e o LCCR, assim como todos os envolvidos, pelo necessário e bonito trabalho de recuperação desse histórico e raro acervo fotográfico realizado; o que reforça a qualidade e a força de trabalho que o Museu Nacional apresenta.
A Associação Amigos do Museu Nacional se sente honrada e privilegiada em colaborar nessa (re)construção da memória viva tão bem retratada aqui nesta publicação. Forte abraço.
Mariângela Menezes Presidente
Associação Amigos do Museu Nacional


Jorge Dias da Silva Júnior, Ana Luiza Castro do Amaral e Gustavo Alves Cardoso
O presente catálogo digital apresenta os resultados do projeto Contratação de Assistência Especializada para Acervo Iconográfico do Museu Nacional/UFRJ, contemplado pelo 6º Fundo Ibermuseus para o Patrimônio Museológico. A iniciativa teve por objetivo preservar, digitalizar e difundir um conjunto de 213 pranchas fotográficas históricas, originalmente pertencentes à antiga Seção de Fotografia do Museu Nacional e, atualmente, sob a guarda da Seção de Memória e Arquivo (SEMEAR). Esse projeto é fruto de uma parceria entre a SEMEAR com Laboratório Central de Conservação e Restauração (LCCR), e contou com a coordenação de Jorge Dias da Silva Júnior, chefe da SEMEAR e de Ana Luiza Castro do Amaral, chefe do LCCR.
As imagens reunidas compõem um acervo raro, formado por impressão em gelatina sobre papel de negativos em vidro, irremediavelmente perdidos no incêndio de 2018. Tais fotografias documentam diversas áreas do conhecimento cultivadas pelo Museu Nacional ao longo da primeira metade do século XX, tais como: antropologia, arqueologia, botânica, zoologia, geologia, etnografia, bem como aspectos da história institucional. Destacam-se, entre os registros, imagens de expedições científicas, missões etnográficas, materiais didáticos de disciplinas do museu, estudos de anatomia comparada, representações cartográficas e registro do acervo museológico, compondo um expressivo panorama visual da atuação científica e curatorial do museu naquele período.
O projeto envolveu profissionais da SEMEAR e LCCR, e contou com a consultoria de Sandra Baruki, referência nacional na área de conservação fotográfica, e Thais Helena, referência na conservação de papel. Além do apoio dos professores do curso de Graduação de Conservação e Restauração (EBA/UFRJ) Daniel Aguiar e Milena Barreto para a realização de análises com a técnica FTIR e a servidora Mariana Rocha (Setor de Meteorítica/MN) para análises com FRX. As pranchas passaram por um processo técnico rigoroso, que incluiu
diagnóstico, higienização, estabilização física, acondicionamento e digitalização em alta resolução. O uso de materiais neutros e de metodologias adequadas com normas internacionais da área de conservação assegurou tanto a preservação do suporte original quanto a longevidade da informação visual. A digitalização, por sua vez, ampliou o acesso ao acervo, ao mesmo tempo que minimiza o manuseio dos materiais físicos.
A disponibilização deste catálogo reafirma o compromisso do Museu Nacional com a transparência, a democratização do conhecimento e a preservação da memória institucional. Esta publicação insere-se nos esforços contínuos de reconstrução do acervo documental da instituição, promovendo uma cultura de preservação, acesso e difusão do patrimônio. Preservar essas imagens é manter viva a missão do Museu Nacional: investigar, interpretar e divulgar o mundo natural e as culturas humanas, mesmo diante da adversidade. Que este trabalho inspire novas ações voltadas à memória institucional e fortaleça o papel da fotografia como instrumento de ciência, identidade e cidadania.



Jorge Dias da Silva Júnior e Gustavo Alves Cardoso
A atividade fotográfica já existia no Museu Nacional na época da Comissão Geológica do Império (1875-1878), chefiada pelo professor Charles Hartt, também diretor da Seção de Geologia do Museu. Durante os “Cursos Públicos do Museu Nacional”, em 1876 Hart projetou diapositivos. Já na República, em 1912, enquanto os trabalhos da Comissão Rondon resultavam na produção de fotografias, o laboratório fotográfico da Seção de Antropologia e Etnografia obtinha sucesso no processo de autocromia para a representação das cores de material etnográfico. Podemos presumir que naquele momento as diferentes seções do Museu dispunham tanto de fotografias, em suporte de papel, quanto de diapositivos em suporte de vidro. Na década seguinte, José Vidal, admitido inicialmente como praticante gratuito, passou em 1923 a exercer a função de fotógrafo das Seções de Botânica e Zoologia.
Inaugurada a Seção de Assistência ao Ensino (SAE), em 1927, os 1.890 diapositivos já existentes, relacionados às áreas de Mineralogia, Botânica, Zoologia e Antropologia, começaram a ser utilizados nas projeções que ocorriam nos cursos de História Natural do Museu e nas conferências científicas de seus pesquisadores. Integrado o Museu Nacional ao Ministério da Educação e Saúde, em 1931, o decreto nº 18.901 do mesmo ano oficializou a fotomicrografia como atividade inerente às seções técnicas e oficinas da Instituição. Ainda em 1931, foi contratado como fotomicrógrafo Carlos Freitas, reclassificado como fotógrafo em 1940. Neste último ano, o então servente Moacyr Garcia Leão também se tornou fotógrafo. O ano de 1941 representou um divisor de águas: o regimento interno do museu oficializou a criação da Seção de Fotografia, estruturando definitivamente este trabalho e profissionalizando a produção de imagens científicas.
Segundo o Relatório Anual do Museu Nacional de 1947, o Laboratório de Fotografia produzia ampliações, bibliofilmes, cópias, fotocópias,
microfotografias e reproduções. Isto era fundamental para a Seção de Assistência ao Ensino, que utilizava com frequência a projeção de filmes. Chefe do Laboratório a partir de 1950, Moacyr Garcia Leão visitou dois anos mais tarde a repartição similar que atendia à Reitoria da Universidade de São Paulo, com o propósito de estudar a organização e a execução de seus serviços. Conforme o Relatório de 1955, o Museu contava com dois outros fotógrafos, Antônio Pieri Júnior e João Guimarães Lobo.
A fase seguinte desta trajetória ocorreu entre 1950 e 1960, quando a Seção foi reorganizada como Serviço de Fotografia e Projeções (S.F.P.) em 1958. Este período foi marcado pelo aprimoramento das técnicas de arquivamento e pela catalogação de um impressionante acervo de aproximadamente 20.000 negativos, abrangendo desde registros antropológicos até documentação de espécies raras e eventos institucionais. Durante a década de 1960, houve uma intensa atividade na área das projeções, então a cargo do fotógrafo João Guimarães Lobo. O Serviço de Fotografia colaborou com a Divisão de Educação na realização de sessões de cinema na Instituição. Na segunda metade dos anos 1970, sob a chefia de Olga Caldas Brasiliense, o setor adquiriu diversos itens para modernizar seu equipamento, como reveladores, fixador de filmes e tanques para revelação. Também houve investimento no conserto das máquinas Laica flex utilizadas naquele período.
Durante a década de 1980, a Seção de Fotografia do Museu Nacional desempenhava papel essencial no registro das atividades científicas e museológicas da instituição, apesar das constantes dificuldades operacionais. Os ofícios e relatórios do período revelam a carência de pessoal e recursos, com frequentes solicitações de verbas para aquisição de materiais básicos e manutenção de equipamentos. A seção era responsável por fotografar pesquisas de campo, expedições científicas e exposições, além de registrar visitantes ilustres e eventos culturais, atuando também com projeções de slides e filmes. Entre os profissionais que integraram a equipe estavam Olga Caldas Brasiliense (chefe em 1982), Alberto Rollemberg de Almeida (1983), João Domingos Lamonica (1985) e Maria Rosa de Lima (1987).
A documentação também evidencia a diversidade das demandas atendidas pela seção, como a produção de slides, cópias em preto
e branco, negativos e imagens de obras de arte do acervo. Foram registradas atividades como a cobertura fotográfica de intervenções no prédio, registros do aniversário do museu e documentação de pesquisas realizadas em áreas como a restinga de Maricá, o Parque Nacional de Abrolhos, o sítio arqueológico Sambaqui de Cabeçuda e a coleção de ictiologia. A revelação de filmes com material iconológico das coleções paleontológicas também fazia parte da rotina da equipe, demonstrando o papel fundamental da fotografia como instrumento de preservação, pesquisa e comunicação científica no Museu Nacional. Após a aposentadoria de Olga Brasiliense em 1998, a Seção de Fotografia foi chefiada por Roosevelt Mota. A complexidade das tarefas a partir da virada do milênio resultaram no crescimento da equipe, que em 2009, além do próprio Roosevelt, contava com os funcionários Paulo César Neves Ravizzini, Ricarte Linhares Gomes, Sérgio Frazão da Silva e Sérgio Nascimento. A partir de agosto de 2013, com a denominação de Seção de Fotografia e Audiovisual, o setor esteve sob a gestão de Claudia Magalhães Cordeiro, que determinou um processo de reorganização, tendo em vista o estado de abandono de diversos materiais e espaços.
Hoje, este acervo fotográfico constitui um patrimônio visual inestimável, testemunho único da história natural e cultural brasileira. Sua preservação e digitalização representam não apenas um resgate da memória institucional, mas uma ponte entre o conhecimento científico do passado e as gerações futuras - prova de que cada imagem é, afinal, um fragmento da nossa história coletiva que merece ser conservado e estudado.

ênfase na descoberta dos negativos corresponderem à coleção de pranchas
Jorge Dias da Silva Júnior e Gustavo Alves Cardoso
No final de 2018, a Seção de Memória e Arquivo (SEMEAR) assumiu a guarda do acervo iconográfico do Museu Nacional/UFRJ, incorporando, entre outros conjuntos, a histórica coleção da antiga Seção de Fotografia. Entre os materiais custodiados, destaca-se um conjunto singular de 213 pranchas fotográficas montadas sobre papel cartão. As imagens abrangem uma variedade de temas — objetos etnográficos, mapas, instrumentos científicos, espécimes botânicos e registros de pesquisas de campo — refletindo a amplitude e a vitalidade das atividades científicas e educativas desenvolvidas pelo Museu ao longo do século XX.

Durante o minucioso trabalho de identificação, acondicionamento e digitalização dessas pranchas, uma descoberta emocionante mudou o rumo da pesquisa: ao confrontar registros fotográficos da coleção de negativos em vidro remanescentes do sinistro com as imagens impressas, constatou-se que ao menos trinta e cinco pranchas contêm impressões positivas dos negativos originais que se acreditava terem sido totalmente destruídos no incêndio de 2018. Dois negativos sobreviventes, ainda sob a guarda da SEMEAR, foram cruciais para fazer a correlação. Além disso, registros fotográficos históricos da coleção — atualmente preservados em formato digital — possibilitaram confirmar o vínculo entre os suportes.

Este achado confere às pranchas uma relevância patrimonial ainda mais significativa: nelas repousa o último vestígio físico de um conjunto documental que se julgava irremediavelmente perdido. As cópias em papel, antes vistas apenas como material de apoio didático, hoje assumem o papel de testemunhos visuais insubstituíveis de uma coleção que narrava a trajetória institucional, científica e patrimonial do Museu Nacional. Entre os registros, estão imagens de expedições da Comissão Rondon, missões etnográficas lideradas por Roquette Pinto e outras ações pioneiras que marcaram a história da pesquisa científica no Brasil.
Assim, mais do que reunir fotografias isoladas, este catálogo materializa o potencial da fotografia como tecnologia de resistência e resiliência documental. Por meio dela, fragmentos de memória que pareciam para sempre consumidos pelas chamas ressurgem, permitindo reconstituir vínculos entre passado, presente e futuro. Trata-se de um testemunho concreto da importância de políticas de preservação, da guarda técnica e da pesquisa ativa como estratégias essenciais para manter viva a memória de uma instituição que, apesar das perdas, se renova pela força do seu patrimônio.
A pesquisa de identificação de temas e contextos foi conduzida com base em um cruzamento rigoroso de fontes: confrontaram-se as pranchas com referências visuais disponíveis em acervos digitais, bibliografia especializada e registros comparativos. Além disso, a redação histórica da Seção de Fotografia ancorou-se em relatórios anuais do Museu Nacional, índices nominais de servidores, no regimento do Museu de 1941 e estudos acadêmicos dedicados à trajetória da fotografia institucional. O trabalho integrado reforça o compromisso da SEMEAR em garantir não apenas a guarda física, mas também o acesso, a pesquisa e a difusão qualificada do acervo, agora compreendido em sua dimensão plena: científica, histórica e simbólica.


Ana
Luiza Castro do Amaral e Jorge Dias da Silva Júnior
O projeto “Contratação de Assistência Especializada para Acervo Iconográfico” se destina à preservação de uma coleção de 213 pranchas fotográficas em papel-cartão que são compostas por impressões positivas de parte do conjunto de negativos de vidro perdidos no incêndio do Museu Nacional ocorrido em 2018. Estes documentos, pertencentes à antiga Seção de Fotografia desta Instituição, são testemunhos visuais raros, apresentando diversas temáticas, como os registros de expedições científicas históricas, como as da Comissão Rondon, e carregam consigo um valor cultural e científico incalculável. Diante da fragilidade do suporte e do avançado estado de oxidação do papel, o projeto foi estruturado como uma ação de assistência técnica e capacitação das equipes com apoio financeiro do Programa Ibermuseus, em articulação com a Seção de Memória e Arquivo (SEMEAR) e o Laboratório Central de Conservação e Restauração (LCCR) do Museu. Sendo a gestão financeira realizada pela Associação Amigos do Museu Nacional (SAMN), definiu-se como prioridade a contratação de uma especialista em conservação e restauração de fotografias.
A referida profissional deveria orientar tecnicamente a equipe interna do Museu, tendo como objetivo principal o diagnóstico e o tratamento das pranchas fotográficas. Promovendo assim, atividades de formação específica para a identificação dos danos, compreensão das técnicas fotográficas envolvidas e elaboração das diretrizes de
conservação adequadas ao acervo. O processo formativo incluiu a realização de aulas teóricas conduzidas pelas consultoras Sandra Baruki (Fotografia) e Thais Helena de Almeida (Papel), que também acompanharam a execução das etapas de intervenção direta sobre os documentos.
As ações executadas contemplaram um plano de ação desenvolvido conjuntamente com os profissionais do museu e as consultoras especialistas. Como medida preventiva essencial, todas as pranchas foram digitalizadas em alta resolução, assegurando a salvaguarda do conteúdo imagético e ampliando as possibilidades de acesso e difusão científica. Após um diagnóstico minucioso, foi executada a higienização criteriosa das pranchas fotográficas sob a orientação de Thais Helena e, paralelamente, a higienização das fotografias, com a supervisão de Sandra Baruki. Em casos específicos, foram aplicadas técnicas de intervenção para a consolidação e estabilização dos suportes. A estruturação de guarda física do acervo também foi readequada, com a confecção de invólucros em papel neutro e caixas de polionda, produzidas por estagiários sob orientação técnica, com vistas ao acondicionamento adequado de cada peça, respeitando os critérios de conservação preventiva.
Ana Luiza Castro do Amaral e Handerson da Silva Oliveira
A coleção de negativos de vidro do Museu Nacional era formada por mais de 11.000 itens e passava por um processo de identificação e acondicionamento temporário no Laboratório Central de Conservação e Restauração - LCCR - no período do incêndio do Museu, o planejamento previa o processo de digitalização em um momento posterior. Essa escolha metodológica fez com que pouquíssimos registros fossem salvos do sinistro. Baseado nisso, a equipe do projeto escolheu como primeira etapa a digitalização individual de todas as pranchas fotográficas, com a possibilidade de serem refeitas após as intervenções de conservação.
Para isso, foram eleitos dois tipos de registro: digitalização com equipamento especializado, realizados em todas as pranchas, e fotografia em alta resolução, para peças individuais que apresentassem algum tipo de informação adicional, seja de caráter simbólico e/ou de estado de conservação.
Para a digitalização completa das imagens, utilizou-se o equipamento CZUR Scanner ET18 Pro, conforme os parâmetros estabelecidos pelo Decreto nº 10.278, de 18 de março de 2020, que regulamenta a digitalização de documentos públicos no Brasil: resolução de 300 DPI, em modo RGB (colorido). Considerando que se trata de documentos de guarda permanente, optou-se por manter os arquivos no formato TIFF - padrão recomendado pelo Conselho Nacional de Arquivos (CONARQ) nas Recomendações para Digitalização de Documentos Arquivísticos Permanentes (2010). Em alguns casos, também foram preservadas versões em formato RAW, visando maior fidelidade da imagem. Como medida de segurança, os arquivos foram armazenados em dois discos rígidos externos e em um serviço de nuvem. Essa estratégia foi adotada em função da indisponibilidade do repositório digital institucional, ainda em fase de implementação.

Para melhor registro de detalhes específicos, foram realizadas fotografias das pranchas inteiras, de fotos específicas e detalhes de danos com a câmera CANON EOS Rebel SL3, com o mesmo procedimento de salvaguarda.

Com o intuito de auxiliar na identificação dos danos e obtenção de detalhes, foram realizadas análises de microscopia, com os equipamentos portáteis, Dino lite 5MB e Dino lite AM2111, e uma lupa estereoscópica de bancada Zeiss Stemi 350.
As imagens foram tratadas e editadas a partir das imagens em TIFF, no caso das digitalizadas no Scanner e a partir das imagens em RAW nas imagens obtidas pela câmera e posteriormente salvas no formato para uso no catálogo.


Aderência de acúmulo de adesivo_Dinolite 5MP_ampliação x60

Ana Luiza Castro do Amaral, Antônio Carlos Batista Brandão e Handerson da Silva Oliveira
O processo de diagnóstico de um artefato ou coleção é uma etapa fundamental para a definição de prioridades de tratamento. Através dele são identificadas informações cruciais como estado de conservação, grau de fragilidade do suporte, se será necessária alguma intervenção de caráter de urgência, dimensões totais da coleção, dentre outras informações.
Com o intuito de padronizar as informações da etapa de diagnóstico, dado o volume de itens da coleção, a primeira ação tomada foi uma revisão teórica para definir o vocabulário controlado de danos em material fotográfico e em papel que seriam utilizados pela equipe, acompanhado do desenvolvimento de um glossário de danos específico para o projeto.
Foi elaborada então uma planilha com informações chaves, como: número da prancha / imagem, dimensões, danos, tratamento proposto, tratamento executado e profissional responsável pelo diagnóstico. A organização informacional visa a eficácia e rapidez da recuperação dos dados relacionados ao diagnóstico da coleção.
Com esse material desenvolvido iniciou-se o exame organoléptico individual das pranchas e, posteriormente, das fotografias. Sendo assim, o diagnóstico foi realizado em 213 pranchas e 1877 fotografias. Com a análise dos dados foi possível constatar a incidência dos danos mais ou menos frequentes e destacar quais itens apresentavam maior grau de alteração.
Em relação às pranchas, algumas informações foram destacadas como as mídias utilizadas nos manuscritos, tipos de papéis e gramaturas,
danos e análises realizadas. Foi observado então que o material mais presente nas mídias é o grafite, presente em 208 pranchas, e o menos utilizado foi a tinta sépia, presente em 26 pranchas. Quanto aos danos, o mais frequente é a acidez de suporte, presente nas 213 pranchas e o menos frequente o descolamento, que ocorreu apenas em 1 prancha. Acerca da variedade de danos, presente em uma única prancha, a que apresentou maior quantidade foi a prancha 170, na qual foram observados 14 tipologias de danos na frente e 17 tipos no verso, enquanto a com menor quantidade foi a prancha 121 com 4 tipos na frente e 6 no verso.
A respeito dos danos observados nas fotografias, o amarelecimento foi o mais comum, presente em 1848 fotografias, enquanto o menos comum foi a perfuração, observada em 11 fotografias. Quanto à variedade de danos, a fotografia que apresentou a maior quantidade foi a número 9 com 15 tipos, sendo a com menor incidência de danos foi a fotografia 809 com apenas 1 dano, o amarelecimento.
Além da análise quantitativa dos danos em cada item, foi observado também a intensidade de cada tipo de alteração. Para uma ilustração mais apurada, foram desenvolvidos dois mapeamentos de danos, da prancha nº 01 e da fotografia nº 2706, que apresentavam os maiores graus de deteriorização das duas tipologias de suportes.
Todo esse processo de padronização de informação e construção de vocabulário controlado foi essencial para a conclusão de um diagnóstico que traga informações adequadas para o planejamento das ações de conservação e outras tomadas de decisão para o projeto. Considerando as informações obtidas, pode-se definir questões como: projeto do espaço para a guarda e consulta do acervo; climatização da área de guarda; mobiliário; higienização e materiais adequados e manuseio correto.




O uso da Espectroscopia na região do infravermelho médio para a análise de fotografias históricas
Daniel
Lima Marques de Aguiar e Milena Barbosa Barreto
A espectroscopia na região do infravermelho médio (FTIR) pode ser compreendida como uma das ferramentas analíticas mais poderosas para a análise de compostos orgânicos no âmbito de fotografias históricas, seja pela portabilidade de alguns equipamentos, que viabiliza a coleta de dados nas próprias reservas técnicas, seja pela possibilidade de análises não invasivas. Nesse contexto, a diferenciação entre os ligantes mais encontrados (albumina, gelatina e nitrato de celulose)1, ocorre, fundamentalmente, pela presença das absorções de amida I ( 1630 cm-1) e de amida II ( 1530 cm-1), no caso dos ligantes proteicos e pela presença dos sinais em 1270 cm-1 e 821 cm-1 para o ligante sintético (nitrato de celulose). Neste trabalho, a resposta vibracional foi coletada a partir de um espectrômetro de infravermelho médio Bruker, modelo Alpha II (serial 111244) equipado com um módulo de refletância total atenuada (ATR) e um detector RT-DLaTGS. Todos os espectros foram coletados em uma janela espectral de 4000 a 600 cm-1, com resolução de 4cm-1 e 64 pulsos/espectro. A etapa de pós processamento foi realizada com os espectros em modo transmitância, com aplicação de algoritmos de correção de linha de base (correção da banda de borracha) e exclusão das bandas de CO2. Ao todo, foram analisadas 34 fotografias históricas de 3 pranchas fotográficas pertencentes ao acervo histórico do Museu Nacional (Tabela 1). Além disso, o próprio suporte de cada uma das pranchas (frente e verso) foram sobrepostos com um padrão de celulose. Todas as análises deste trabalho foram realizadas em comparação ao atlas de referência de Stulik & Kaplan (2013)2 .
1 Mosciaro, C. Diagnóstico de Conservação em Coleções Fotográficas: Caderno Técnico No 6. Rio de Janeiro, Funarte. 2009.
2 Stulik, Dusan, and Art Kaplan. 2013. The Atlas of Analytical Signatures of Photographic Processes. Los Angeles, CA: Getty Conservation Institute.
Tabela 1 – Mapa das fotografias analisadas no trabalho.
Prancha
Fotografias
1 1,2,3,4,5,6,7,9,10,12
11 131, 132A, 132B, 133, 134, 136, 137, 139, 141, 143, 144
27 318, 319, 320,321, 322, 325, 326, 328, 329, 330, 331, 332, 333
A figura 1 resume o resultado das análises da frente e do verso das pranchas analisadas (linhas em cinza) em relação a uma amostrapadrão de celulose (linha vermelha). Os resultados sugerem o bom estado de conservação do papel das pranchas, uma vez que as mesmas absorções estão presentes em todos os espectros, ainda que com diferenças de intensidades relativa e absoluta. Outra questão importante é ausência de sinais na região 1700-1800 cm-1, que sugere a não formação de espécie oxidadas de celulose, sendo o sinal em 1631,7 associado à presença (maior ou menor) de água nas fibras3 de celulose.

Figura 1. Resposta vibracional da frente e do verso das pranchas 1, 11 e 27 (linhas em cinza) em comparação à um padrão de celulose (linha vermelha).
3 Portella EH, Romanzini D, Angrizani CC, Amico SC, Zattera AJ. Materials Research 19(3), p. 542547. 2016.
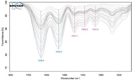
A Figura 2 apresenta o detalhe da região entre 1800 e 1150 cm-1 de todos os 34 espectros de fotografias tratados neste trabalho. Uma análise preliminar na figura permite determinar, com clareza, a natureza proteica das fotografias, em função das absorções destacadas em azul: 1629,4 cm-1 (Amida I) e 1534,0 cm-1 (Amida II). Em mesmo sentido, a intensidade e a posição das três absorções destacadas em rosa (1447,1 cm-1; 1393,0 cm-1 e 1331,0 cm-1), sugerem que todas as fotografias são de gelatina ao invés de albumina, segundo apontamentos de Stulik & Kaplan (2013)2 .

Figura 2. Resposta vibracional da região entre 1800 cm-1 a 1150 cm-1 das 34 fotografias das pranchas analisadas no trabalho.
Em síntese, a espectroscopia na região do infravermelho médio foi capaz de analisar o estado de conservação dos papéis das pranchas 1, 11 e 27, além de determinar a identidade dos ligantes de 34 fotografias, sem a coleta de amostras, com um equipamento portátil que permitiu a coleta de dados nas dependências do próprio Museu Nacional.
Mariana Rocha Labet - Laboratório Extraterrestre
Um dos métodos analíticos cada vez mais utilizados para determinar a composição química de amostras, o espectrômetro de fluorescência de raios x (XRF) vem sendo aplicado em áreas diversas, como geoquímica, indústria, engenharia de alimentos e artes.
Dentre suas principais vantagens estão: a velocidade de análise e entrega de resultado, a dispensa da necessidade de preparação da amostra, é um método não destrutivo, capaz de realizar leituras em objetos de poucos milímetros. Pode ainda ser utilizada em diferentes tipos de suporte e materiais, como papel, metal e rochas.
Esse método resulta da interação entre a radiação dos raios x e os átomos presentes na amostra, onde os elétrons são movidos de suas órbitas atômicas, ocorrendo uma liberação de energia correspondente a um elemento químico específico. O XRF detecta essa energia liberada e a categoriza de acordo com o elemento correspondente.
As análises foram realizadas em Fluorescência Portátil HHXRF Tracer 5, da marca Bruker. A tinta utilizada na escrita das pranchas foi analisada em uma superfície de 8 milímetros de diâmetro, necessitando apenas aproximar as amostras da lente do aparelho durante 60 segundos para a realização das medições.
Através da composição química obtida, foi possível comparar os resultados com uma amostra já reconhecida como tinta ferrogálica, no mesmo tipo de suporte das pranchas (papel). Enquanto a amostra controle possui cerca de 45% de Ferro em sua sua composição, por sua vez os pigmentos presentes nas pranchas possuem uma combinação dos elementos Silício, Alumínio e Titânio, com a concentração de Ferro variando entre 10 e 15 %. Logo, foi possível determinar que apesar de possuírem tonalidades semelhantes, as tintas analisadas possuem composições distintas.
Thaís Helena de Almeida
O início do projeto de conservação das fotografias do Álbum de Cópias
Fotográficas da Coleção de Diapositivos representou não apenas um momento significativo, mas também um desafio metodológico: encontrar estratégias eficazes para estabilizar tanto as imagens quanto os suportes que as reuniam. Descoberto em um ambiente com acúmulo de poeira e condições inadequadas de temperatura e umidade relativa, esse conjunto de fotografias em pranchas, organizado aproximadamente na primeira metade do século XX, apresentava danos visíveis que comprometiam seu manuseio e apreciação.
Convidada como consultora colaboradora, pela responsável do projeto, a Conservadora-Restauradora Sandra Baruki, para dividir reflexões sobre o estado de conservação das pranchas e propor tratamentos para o suporte papel, a experiência possibilitou um envolvimento profissional importante com a equipe do Museu Nacional. Entre um treinamento para reconhecimento dos diferentes suportes em papel, mídias utilizadas em escrita, danos mais recorrentes neste tipo de acervo, foram estabelecidas conversas e registrados depoimentos que possibilitaram tomar decisões em conjunto quanto às metodologias de trabalho para a conservação do papel.
A primeira decisão técnica foi tratar os suportes em papel antes de intervir diretamente nas fotografias, a fim de estabilizá-los e viabilizar um manuseio seguro. Definida a estratégia, a primeira ação foi diagnosticar o conjunto composto por 213 pranchas, sendo 3 em papel de 58 g/m², 162 em cartão bege de 270 g/m² e 47 em cartão cinzaesverdeado de 800 g/m². Não foi possível identificar a procedência
dos papéis, por não apresentarem marcas d’água ou outra marca que indicasse sua procedência. No entanto, foram levantadas informações de cada prancha e inseridas em uma planilha digital, desenvolvida pela equipe do Museu Nacional, respeitando um vocabulário controlado, para a descrição da prancha, técnicas, suportes e mapeamento de danos, que possibilitam diferentes buscas e pesquisas.
Para a conservação das pranchas, a equipe adotou uma abordagem criteriosa, iniciando com o uso de Equipamentos de Proteção Individual (EPIs) durante os procedimentos de higienização dos cartões, até seu posterior acondicionamento, finalizado após o tratamento das fotografias. As etapas de conservação dos suportes seguiram a seguinte ordem:
1. Limpeza superficial
Todo o processo foi realizado na mesa de higienização com velocidade controlada, assegurando maior precisão e evitando o deslocamento de fragmentos ou o comprometimento da integridade dos suportes. A limpeza iniciou-se pela frente dos documentos, visando preservar o controle sobre as imagens fotográficas. Utilizou-se um soprador para a remoção do pó acumulado na superfície do papel e das fotografias.

Em seguida, as imagens foram protegidas com papel neutro, e a higienização dos cartões foi realizada com trinchas de cerdas macias, respeitando cuidadosamente os limites das fotografias.


Esse método permitiu que o conservador-restaurador avaliasse detalhadamente o estado dos suportes durante o processo, identificando rasgos, dobras, abrasões, fragmentos soltos, descolamento das imagens ou delaminações dos cartões. Para a limpeza das margens dos cartões e os espaços entre as fotografias, foram empregadas borrachas firmes e macias, proporcionando segurança adicional durante o contorno. Tais procedimentos permitiram definir uma estratégia de limpeza personalizada de acordo com o estado de conservação de cada prancha.
2. Reforço de rasgos e consolidação de camadas
Os rasgos localizados nas bordas dos suportes foram reforçados com papel japonês de 6 g/m² e 18 g/m², escolhidos de acordo com a espessura dos suportes. Utilizou-se metilcelulose como adesivo, tanto para a fixação do papel japonês quanto para a consolidação das camadas delaminadas dos cartões mais espessos.
3. Acondicionamento
Essa etapa foi definida em colaboração com a equipe do Museu Nacional e com a conservadora-restauradora de fotografia Sandra Baruki. Antes da escolha dos invólucros, foram considerados os espaços disponíveis no mobiliário de guarda, com o objetivo de garantir tanto a segurança do acervo quanto a eficiência no armazenamento.
Optou-se por acondicionar conjuntos de 15 e 18 pranchas em caixas de polipropileno (polionda), utilizando um padrão desenvolvido e confeccionado pela equipe técnica do Museu Nacional. Cada prancha foi acondicionada individualmente em folders de papel neutro (60 g/m²), com o intuito de evitar o contato direto entre elas, devido à acidez dos cartões, que apresentavam pH entre 4,5 e 5,5.
Durante o processo de conservação, os pigmentos presentes nas pranchas — utilizados nos textos que acompanham as imagens e delineiam as margens na composição — foram analisados por meio de Espectrometria de Fluorescência de Raios X (XRF), com apoio de Mariana Virgílio Rocha, do Laboratório Extraterrestre, do Departamento de Geologia e Paleontologia, do Museu Nacional. Os resultados indicaram a presença de tintas à base de sulfato ferroso,
tinta hidrossolúvel vermelha, com presença de titânio (Ti), silício (Si), Alumínio (Al) e ferro (Fe), tinta vermelha com característica de lápis de cor com presença de Si, Al e Fe e traços semelhantes ao grafite, com uma concentração de Ti, vanádio (V) e enxofre (S), em sua composição.
O projeto de conservação do Acervo Iconográfico do Museu Nacional possibilitou a recuperação e estabilização de um importante conjunto de pranchas fotográficas, que documentam parte da história das expedições científicas, dos objetos e das pessoas envolvidas (fotógrafos e fotografados) — registros que, perdidos no tempo, ressurgem como imagens fotográficas: entre a escuridão (do esquecimento) e a luz (da (re)descoberta).

Diferença antes e depois de limpeza mecânica.
Sandra Baruki
A realização do projeto de conservação das fotografias do “Álbum de Cópias Fotográficas da Coleção de Diapositivos” foi uma experiência única, que servirá de referência como um dos mais significativos estudos de caso na área de conservação fotográfica desenvolvidos no país, em especialidade que se constrói e se consolida há mais de três décadas1 de trabalho na salvaguarda de acervos fotográficos brasileiros. O acervo em tratamento é sobrevivente a uma catástrofe, exemplares de uma coleção perdida, com cerca de 1.900 fotografias em gelatina e prata2 aderidas a pranchas de papel que correspondem a imagens contidas nos negativos de vidro3 incendiados. Das poucas pistas que restaram, uma delas é uma reprodução fotográfica em negativo de vidro de um “lantern slide”4, o que explicaria o termo “diapositivos” do título da coleção. A conservação dessas fotografias foi premente em função da sua singularidade no pós-resgate operado pela instituição, pelas questões técnicas apresentadas advindas do seu histórico de exposição e guarda, pelas tipologias de pranchas de papel com fotografias aderidas e pelo perfil de formação profissional do projeto.
O primeiro passo foi identificar o processo fotográfico, a técnica utilizada para a produção da imagem pelo fotógrafo e que foi definido como fotografia em gelatina e prata sobre papel, monocromática, através de exame visual para avaliar suas características, tons,
1 A Funarte, através do Instituto Nacional da Fotografia (INFoto), criou em 1984 o Programa Nacional de Preservação e Pesquisa da Fotografia, tendo como seu braço técnico o Centro de Conservação e Preservação Fotográfica (CCPF). O CCPF foi por mais de três décadas o centro de referência nacional e internacional de preservação e conservação de acervos fotográficos e atuou especialmente na difusão de informação técnica especializada e capacitação de equipes de projetos institucionais.
2 Até o momento, identificamos apenas a existência do processo fotográfico de gelatina e prata sobre papel, tanto na avaliação visual como analítica (34 espectros). Texto sobre as análises físico-químicas realizadas faz parte deste catálogo.
3 Negativos de vidro com emulsão de gelatina e prata, ou placas secas, sucederam os negativos de colódio úmido a partir da década de 1870, com ampla utilização por décadas da história da fotografia.
4 Lantern slides ou diapositivos de lanterna, em nossa tradução, são imagens positivas em vidro que eram projetadas com o uso da lanterna mágica, muito utilizados para fins didáticos, que antecederam os slides em 35mm em filmes flexíveis.
superfície, formato, os aspectos de deterioração e danos, os textos de identificação nas pranchas e, finalmente, a magnificação de áreas das imagens através de instrumentos como lupas ou microscópios de bolso e sua comparação com tabelas de referência, conforme metodologia de James Reilly5 (1984) e do Graphics Atlas, Image Permanence Institute6. A partir do entendimento de cada processo e sua estrutura laminar – no caso, camadas de papel, barita e emulsão fotográfica7 – os conservadores começaram a manusear e a conhecer como se deterioram - danos e deteriorações típicos como sujidade, abrasão, deformações, amassamento, dobras, perdas de suporte, esmaecimento, amarelecimento, espelhamento de prata, entre outros, como parte do treinamento. Cada detalhe das alterações de conservação e como surgiram foram debatidos para definir a terminologia da planilha de mapeamento de danos, com a compreensão aprofundada do conjunto, para a elaboração do diagnóstico e proposta de tratamento.
As etapas planejadas foram: higienização ou limpeza superficial, estabilização de suporte e acondicionamento das pranchas com fotografias aderidas. Todos os procedimentos foram estabelecidos em conjunto com as demandas de conservação de papel das pranchas, em consonância com os problemas de deterioração identificados naquele suporte, com a consultoria da conservadora-restauradora de papel Thaís Helena de Almeida, colaboradora convidada. Análises físicoquímicas com o uso de espectrometria na região do infravermelho médio (FTIR), foram realizadas posteriormente pelos professores Daniel Lima Marques de Aguiar e Milena Barbosa Barreto, do Laboratório de Estudos em Ciências da Conservação, Escola de Belas Artes da UFRJ, e embasaram a primeira avaliação visual das fotografias.
As etapas a seguir informadas foram realizadas com a correta proteção dos operadores e todas as decisões foram tomadas em conjunto e concomitantemente às etapas do treinamento da equipe.
5 REILLY, James M. Care and Identification of 19th Century Photographic Prints. Rochester: Kodak Publications, 1984.
6 O Graphics Atlas é uma criação do Image Permanence Institute (IPI), instituição de referência na pesquisa e formação na área de preservação de acervos fotográficos, parte do College of Art and Design do Rochester Institute of Technology (RIT). A ferramenta orienta através de recursos sofisticados, como imagens magnificadas e de estratigrafias, sobre a identificação e caracterização de fotografia. Disponível em: https://www.rit.edu/ipi/ Acesso em: 26 de agosto de 2025.
7 A estrutura laminar das fotografias em gelatina e prata é constituída de suporte (o papel), da barita (camada intermediária de gelatina e sulfato de bário) e emulsão fotográfica (camada onde se encontra a imagem). A gelatina é proteína animal derivada de ossos e couros de animais, que sucedeu a albumina, clara de ovo, como ligante, a partir dos anos de 1870. A imagem é constituída de prata metálica.
1. Higienização
Higienizar significa remover sujidades, acréscimos e mitigar contaminação de fungos. Nos procedimentos mecânicos foram utilizados instrumentos como sopradores, pincéis macios e, no caso da primeira prancha, também a limpeza química com solvente das fotografias aderidas. O trabalho de higienização foi coordenado com o tratamento das pranchas em papel, quando as fotografias foram protegidas para evitar a migração de resíduos. No caso de alguma sujidade do papel ter sido transferida, utilizou-se pincel macio sobre a superfície da imagem. No caso da primeira prancha do conjunto, decidiu-se por testar solventes para a remoção da sujidade aderida na superfície da imagem, que comprometia a sua leitura, com a aplicação de soluções de álcool etílico e água. O tratamento teve bom resultado e poderá ser estendido às outras pranchas no futuro, se assim a instituição o decidir.
2. Estabilização de suportes
A estabilização foi realizada em cantos e laterais de fotografias que estavam frágeis, soltando do suporte, quebrados e com dobras, com a aplicação de adesivos neutros com a finalidade de estancar riscos de rompimento ou abrasão, sempre com o cuidado pela possibilidade de surgimento de novas marcas na superfície pela proximidade de manchas e de sujidades existentes em ambos os suportes.
3. Acondicionamento
O acondicionamento final foi idealizado para a proteção química e física dos documentos, conforme diretrizes de preservação para papel e fotografia, com a escolha de caixas horizontais para guarda em gavetas de mapoteca. Um protótipo foi confeccionado, discutido e aprovado em suas dimensões e materiais, seguindo as condutas já adotadas pela instituição na produção. O papel escolhido para a proteção das fotografias foi o papel Filiset Neutro 60mg/m2, disponível no mercado, dobrados na sua maior dimensão em folders, que foram colocados sobrepostos em caixas de polietileno corrugado (polionda), todos confeccionados pela equipe.
As etapas de identificação dos processos fotográficos, o entendimento das características de danos e deteriorações para a definição dos termos a serem aplicados no diagnóstico, a elaboração do diagnóstico e da proposta de tratamento e, finalmente, a implantação dos procedimentos de conservação, são etapas de um protocolo de manuseio e conservação definidos para o projeto, com o respeito às especialidades de conservação em cada área – papel e fotografia. Todos os procedimentos foram exaustivamente praticados anteriormente à sua realização, demonstrando a seriedade e competência da equipe envolvida. Os exemplares utilizados para testes de higienização são de coleção didática própria, assim como exemplares de diversos períodos de história da fotografia no exercício de identificação em oficina ministrada para a equipe e demais funcionários envolvidos com acervos do museu, tornando o projeto ainda mais abrangente e agregador. A publicação deste catálogo documenta e dissemina referências sólidas para tratamentos de conservação de acervos similares, desde o seu planejamento à sua execução.


Ana Luiza Castro do Amaral, Antônio Carlos Batista Brandão e Handerson da Silva Oliveira
O último procedimento que foi planejado foi a reestruturação de guarda física dessa coleção, com intuito de mitigar a deterioração do acervo. Para o plano de execução de conservação preventiva foram levados em consideração os seguintes critérios: a coleção (grau de fragilidade, quantitativo e tipologia material), o mobiliário disponível que atendesse as necessidades das peças, os agentes de deterioração e a estrutura física e espaço disponível do prédio em que permaneceram.
Alguns pontos levantados, a princípio sobre o mobiliário disponível no museu que atendesse melhor a conservação das pranchas póstratamento, ficando acordado que por suas dimensões, o ideal seria a utilização de mapotecas ao invés de arquivos verticais. Já que os setores da SEMEAR e LCCR encontram-se localizados em estruturas temporárias, com espaço de guarda reduzido, o uso desse tipo de mobiliário tornaria sua futura movimentação facilitada. Então, ficou definido que as pranchas seriam acondicionadas horizontalmente.
Para evitar futuros danos, principalmente em relação ao peso total da coleção, foi elaborado um estudo que considerou as dimensões das gavetas da mapoteca, das pranchas em si e o quantitativo do material. Para atender essas demandas, foram criadas 12 caixas de polietileno corrugado (polionda) com tamanho personalizado para as pranchas serem distribuídas em duas gavetas na mapoteca. Além da colocação em caixas, cada prancha ganharia um invólucro individual produzido com papel Filiset Neutro 60mg/m2, criando assim mais uma barreira de proteção e evitando a interação dos suportes de cartão e fotografia.






Fotografia n.1
Fotografia n.2
Fotografia n.3
Fotografia n.4
Fotografia n.5
Fotografia n.6
Fotografia n.7
Fotografia n.8
Fotografia n.9
Fotografia n.10
Fotografia n.11
Fotografia n.12
Fecundação de alga (Spirogyra)- preparador Roquette-Pinto
Serra do Norte e Invernada dos Três Buritis- Excursão Roquette-Pinto
Serra do Norte: balsa atravessando o Rio Juruena - Excursão Roquette-Pinto
Serra do Norte- Pouso no km 50- Estrada de Sepotuba ao Juruena - Excursão Roquette-Pinto
Serra do Norte-Restos da mata da poaia entre Porto dos Bugres e Tapirapoan - Excursão Roquette-Pinto
Serra do Norte- Excursão Rondon- Linha Telegráfica - Excursão Roquette-Pinto
Serra do Norte/Pareci- Jogo de bola dos índios - Comissão Rondon
Serra do Norte/Pareci- Caçada de uma onça - Comissão Rondon
Serra do Norte- Ornato nasal dos índios da - Coleção Museu Rio - Excursão Roquette-Pinto
Serra do Norte- Colares de conta de colo, dentes de macaco dos índios da Excursão Roquette-Pinto
Serra do Norte- Bastões igníficos dos índios da - nº 2282Coleção Museu Rio - Excursão Roquette-Pinto
Serra do Norte/Pareci- Instrumento musical dos índiosExcursão Roquette-Pinto


Fotografia n.13 Ponta de flecha para matar por contusão dos índios da Serra do Norte - Excursão Roquette-Pinto
Fotografia n.14 Serra do Norte e Nambikuara - Kahazu, ralador dos índios- nº 13.211- Coleção Museu Rio- Excursão Roquette-Pinto
Fotografia n.15 Serra do Norte- manto de fibra dos índios da- nº 12.466 - Coleção Museu Rio- Excursão Roquette-Pinto
Fotografia n.16 Serra do Norte - instrumento de pesca dos índios da - nº 13.211Coleção Museu Rio - Excursão Roquette-Pinto
Fotografia n.17 Serra do Norte- diadema dos índios da - nº 13.110- Coleção Museu Rio - Excursão Roquette-Pinto
Fotografia n.18 Serra do Norte/Pareci- escudo venatório dos índios- nº 11.260Coleção Museu Rio- Excursão Roquette-Pinto
Fotografia n.19 Serra do Norte- instrumento de música dos índios daExcursão Roquette-Pinto
Fotografia n.20 Serra do Norte- pente dos índios da - nº 12.046- Coleção Museu Rio - Excursão Roquette-Pinto
Fotografia n.21 Marajó - urna antropocefálica - nº 8.332- Coleção Museu Rio
Fotografia n.22 Wapichana- tanga de contas dos índios- nº 2.222Coleção Museu Rio
Fotografia n.23 Uaupés- flauta de pau dos índios do- nº 619 - Coleção Museu Rio
Fotografia n.24 Mundurucu- coifa de penas dos índios- nº 757Coleção Museu Rio


Fotografia n.25 Mundurucu- coifa de penas dos índiosnº 784- Coleção Museu Rio
Fotografia n.26 Anetô- desenho simbólico dos índiosVon den Steinen
Fotografia n.27
Barbado- ornato de penas dos índiosnº 13.840- Coleção Museu Rio
Fotografia n.28 Barbado- barbas postiças dos índiosnº 3.721- Coleção Museu Rio
Fotografia n.29 Cajabi- colar de algas com conchas pendentes dos índios (Rio Paranatinga)- nº 14.196- Coleção Museu Rio
Fotografia n.30 Cajabi- diadema de penas dos índios (Rio Paranatinga)nº 14.233 - Coleção Museu Rio
Fotografia n.31 Ornato de algas para a cabeça dos índios- nº 13.580Coleção Museu Rio- Excursão Fontoura (Cajabi)
Fotografia n.32 Arihême- machado de pedra dos índios- nº 14.097Coleção Museu Rio
Fotografia n.33 Kep keri Nat- flauta de osso do cacique Puti- nº 13.568Coleção Museu Rio
Fotografia n.34 Marajó (vaso de)- nº 8.195- Coleção Museu Rio
Fotografia n.35 Imagem de um homem, s/ref.
Fotografia n.36 Canudos (sino da igreja de)- nº 3.715- Coleção Museu Rio
Fotografia n.37 Serra do Norte/Pareci (maloca dos índios)- Comissão Rondon
Fotografia n.38 Serra do Norte/Pareci (esquema dos trançados dos índios)Archivos Vol. XX
Fotografia n.39 Mato Grosso- sertanejos armados e montados em bois
Fotografia n.40 Cambira atirando flecha com uma palheta - Viagem filosófica de Alexandre Rodrigues Ferreira


Fotografia n.41 Cambéva ( deformação na cabeça) viagem filosófica de Alexandre Rodrigues Ferreira
Fotografia n.42 Mandu aspirando Paricá - viagem filosófica de Alexandre Rodrigues Ferreira
Fotografia n.43 Umaua espartilhado - viagem filosófica de Alexandre Rodrigues Ferreira
Fotografia n.44 Rio Apaporis (maloca dos índios Curuzu) - viagem filosófica de Alexandre Rodrigues Ferreira
Fotografia n.45 Linguagem por gestos do índio Dakota segundo Mallery e Deniker
Fotografia n.46 Escrito por entalhes laocianos, segundo Hamond e Deniker
Fotografia n.47 Petição dos índios Chippeways do Alaska, segundo Mallery, Kopman e Deniker
Fotografia n.48 Diário de viagem de um esquimó do Alaska, segundo Mallery, Kopmane Deniker
Fotografia n.49 Carta geográfica de um esquimó segundo Holmes e Deniker.
Fotografia n.50 Tambor de corda de indígenas de Fouta-Djallon (Guiné Francesa) - Novas Hébridas- Deniker
Fotografia n.51 Troncos de árvores servindo para sinais- Ilhas Proteção (Novas Hébridas)- Deniker
Fotografia n.52 Maori - cabeça tatuada de frente - Deniker
Fotografia n.53 Maori - cabeça tatuada de perfil - Deniker


Fotografia n.54 Produção de fogo (serrando)- Deniker
Fotografia n.55 Produção de fogo (atrito em ranhura)Polinésia- Deniker
Fotografia n.56 Produção de fogo (rolando um pau)Deniker
Fotografia n.57 Produção de fogo- Gaúcho seg. Joly e Deniker
Fotografia n.58 Produção de fogo- Esquimós segundo Joly e Deniker
Fotografia n.59 Instrumento de fazer fogo- Iroqueses segundo Joly e Deniker
Fotografia n.60 Japonês tatuado- Deniker
Fotografia n.61 Pé deformado de chinesa- Deniker
Fotografia n.62 Cerâmica- Fabricação de um pote (processo de enrolamento) segundo Cushing e Deniker
Fotografia n.63 Tamboretes do Zambeze- Christol e Deniker
Fotografia n.64 Australiano atirando bumerangue- Deniker
Fotografia n.65 Escudo australiano visto de três lados- Deniker
Fotografia n.66 Moedas dos povos incultos: 1 e 4- contas- Ilhas Palau, Melanésia; 2-chapa de ferro - Congo Belga/África; 3- anéis de cobre- África Central; 5- moeda picareta - Negros do Alto Nilo; 6 - Wampum (pele vermelha) - Deniker
Fotografia n.67 Moeda de pedra- Ilha Yap, Carolinas, Melanésia- Deniker
Fotografia n.68 Moeda do Congo- Deniker


Fotografia n.69 Talha dos esquimós - Deniker
Fotografia n.70 Pintura dos bosquímanos numa caverna - África, segundo Christol e Deniker
Fotografia n.71 Cabana e celeiro dos Ovambo (África Ocidental Alemã), segundo Wood e Deniker
Fotografia n.72 Cabana de hotentotes (Estado Livre de Orange), segundo Christol e Deniker
Fotografia n.73 Tenda de verão dos Tongouz-Manègres (China) Zimgos (?)
Fotografia n.74 Cidade lacustre segundo Tissendier e Deniker
Fotografia n.75 Cabana hemisférica de palha cafre zulu (sul da África)- segundo Wood e Deniker
Fotografia n.76 Cabana Boubon (Ubangui, Congo Belga)- Coleção Museu Histórico Nacional de São Paulo- Deniker
Fotografia n.77 Corte de uma tenda dos kalmuks de Astrakan (Volga) - Deniker
Fotografia n.78 Sul da África – aldeia de Bassutos, segundo Christobal e Deniker
Fotografia n.79 México (monumento do) - Deniker
Fotografia n.80 Edifício russo, segundo Tissendier e Deniker


Fotografia n.94 Rudolf Virchow
Fotografia n.95 Von Martius
Fotografia n.96 Karl V. Linné
Fotografia n.97 Jean-Baptiste V. Lamarck
Fotografia n.98 Charles Darwin
Fotografia n.99 August Weisman
Fotografia n.100 George Cuvier
Fotografia n.101 Francis Galton
Fotografia n.102 E. Geoffroy Saint-Hilaire
Fotografia n.103 Anders Retzius
Fotografia n.104 Joh. Friedr. Blumenbach
Fotografia n.105 Paul Broca
Fotografia n.106 L.G.L. Buffon
Fotografia n.107 George Mendel
Fotografia n.108 Índio Bororo- Ehrenreich


Fotografia n.109 Índio Bororo- Ehrenreich
Fotografia n.110 Chefe Bororo - Comissão Rondon
Fotografia n.111 Bororo- Ehrenreich
Fotografia n.112 Bakairi - Ehrenreich
Fotografia n.113 Bakairi - Ehrenreich
Fotografia n.114 Iamamadi - Ehrenreich
Fotografia n.115 Ipuriná - Ehrenreich
Fotografia n.116 Paumari - Ehrenreich
Fotografia n.117 Paumari - Ehrenreich
Fotografia n.118 Apiaká - Ehrenreich


Fotografia n.109 Apiaká- Ehrenreich
Fotografia n.110 Mehinaku- Ehrenreich
Fotografia n.111 Mehinaku- Ehrenreich
Fotografia n.112 Nahuquá- Ehrenreich
Fotografia n.123 Nahuquá- Ehrenreich
Fotografia n.124 Kaiapó- Ehrenreich
Fotografia n.125 Kaiapó- Ehrenreich
Fotografia n.126 Pareci- Ehrenreich
Fotografia n.127 Mataco- Ehrenreich
Fotografia n.128 Karajá- Ehrenreich
Fotografia n.129 Karajá- Ehrenreich
Fotografia n.130 Karajá- Ehrenreich


Fotografia n.131 Karajá- Ehrenreich
Fotografia n.132.1 Índia de Ivinhema (América do Sul) - Weickmann
Fotografia n.132.2 Índia de Ivinhema (América do Sul), segundo Weickmann
Fotografia n.133 Botocuda (índia)
Fotografia n.134 Serra do Norte/Pareci- Aldeia Queimada- Excursão Roquette -Pinto - Archivos Vol. XX
Fotografia n.135 Serra do Norte (índia da) - Excursão Roquette-Pinto
Fotografia n.136 Serra do Norte (índia da) - Excursão Roquette-Pinto
Fotografia n.137 Cingalesa (Ceilão)- Stratz
Fotografia n.138 Japonesa- Stratz
Fotografia n.139.1 Corpo de homem normal italiano - Stratz
Fotografia n.139.2 Corpo de mulher normal (Boêmia) - Stratz
Fotografia n.140 Tâmil jovem segundo Stratz
Fotografia n.141 Francesa (mulher)- Stratz
Fotografia n.142 Chinesa de Macau- Stratz
Fotografia n.143 Japonês- Ten Kak - Stratz
Fotografia n.144 Japonesa - Stratz


Fotografia n.145 Tipo de Cro-Magnon que persistia na Dordonha (Boule).
Fotografia n.146 Pigmeu (negro) ao lado de homem europeu (branco)
Fotografia n.147 Raça mediterrânea, mulher do sul da França (Baur- Fischer – Lenz)
Fotografia n.148 Bastardo ( Hotentote europeu)
Fotografia n.149 Rapariga ( cruzamento de italiano com japonesa)
Fotografia n.150 Chinesa ( de frente) - Stratz
Fotografia n.151 Chinesa ( de perfil) - Zenkafe - Stratz
Fotografia n.152 Rapariga Zulu - Stratz
Fotografia n.152 Mulher austríaca - Stratz
Fotografia n.153 Deformação de cabeça - Habitante de Alta Girona - Deniker
Fotografia n.154 Austríaco moreno (Schwerdtner- Stratz)
Fotografia n.155 Rapariga (cruzamento de alemão com japonesa)
Fotografia n.156 Bari ( negra de perfil) Stratz
Fotografia n.157 Australiana de perfil - Stratz
Fotografia n.158 Raça Mongólica (mulher) - Baur - Fischer - Lenz
Fotografia n.158 Raça Mongólica (homem)


Fotografia n.159 Bastarda (mulher) - Fischer
Fotografia n.160 Bastarda (rapariga)Europeu x Hotentote – Fischer
Fotografia n.161 Raça alpina- Lenz
Fotografia n.162 Raça oriental- Tipo da Argélia- Lenz
Fotografia n.163 Europeu com cabelo de negro- Fischer
Fotografia n.164 Bastardo (homem)- Europeu x hotentote
Fotografia n.165 Raça negra (Fischer)
Fotografia n.166 Raça nórdica – Baur/Fischer/Lenz
Fotografia n.167 Pigmeu da Nova Guiné – Martin
Fotografia n.168 Pithecantropus (calota craniana e fêmur, molar do) - Boule
Fotografia n.169 Crânios de chimpanzé, Pithecantropus, Homem de Neanderthal e de um francês (perfis superpostos de)- Boule
Fotografia n.170 Francês (face anterior)- Boule
Fotografia n.171 Faces superiores de um chimpanzé, de um homem fóssil de La Chapelle-aux-Saints e de um francês.


Fotografia n.172 Crânio de chimpanzé, Chapelle-aux-Saints e francês- Boule
Fotografia n.173 Crânio de chimpanzé - Pithécantrope - Neanderthal (face) - Boule
Fotografia n.174 Pés de chimpanzé, homem de Chancelade e homem atual - Boule
Fotografia n.175 Crânios de chimpanzé, francês e Chapelle-aux-Saints (perfil)- Boule
Fotografia n.176 Molares inferiores de chimpanzé, homem de Heidelberg, tasmaniano e francês (morfologia comparada)- Boule
Fotografia n.177 Nearderthalensis - reconstituição dos músculos da cabeça e pescoço - Boule
Fotografia n.178 Broken Hill (perfil do crânio) - Boule
Fotografia n.179 Crânio de Chapelle-aux-Saints - Boule
Fotografia n.180 Broken Hill (perfil do crânio) - Boule
Fotografia n.181 La Ferrassie (crânio de)- Boule
Fotografia n.182 Combi Capelle (cabeça óssea de)- Boule
Fotografia n.183 Grimaldi (cabeça óssea de um jovem negroide) - Boule
Fotografia n.184 Cro-Magnon (cabeça óssea de velho) - Boule


Fotografia n.185 Chapelle aux Saints (cabeça óssea de) - Boule
Fotografia n.186 Moustier (crânio de) - Boule
Fotografia n.187 Neanderthal (calota craniana de) - Boule
Fotografia n.188 Lagoa Santa (crânio da Caverna do Sumidouro) - Boule
Fotografia n.189 Heidelberg (maxilar de)- Boule
Fotografia n.190 Chapelle aux Saints (Homem de) e homem australiano (Boule)
Fotografia n.191 Mousteriano: lasca de sílex- Gruta de Placard- Boule
Fotografia n.192 Crânio de chimpanzé, de Chapelle aux Saints e francês atual- Boule
Fotografia n.193 Grave Creek (inscrição de)- Congresso Americano de 1875
Fotografia n.194 Deus Bis- Perroz & Chipiez
Fotografia n.195 Rainha Taia- Chipiez & Perroz
Fotografia n.196 Crocodilo embalsamado- Coleção Museu do Rio
Fotografia n.197 Vaso canope- Coleção Museu do Rio
Fotografia n.198 Sambaqui de Santa Catarina (zoólito de)- Coleção Museu do Rio


Fotografia n.199 Mapa das viagens dos monges budistas chineses ao Fu-Sang - Congresso Americano (1875)
Fotografia n.200 Périplo de Nekau e Hannon em redor da África
Fotografia n.201 Múmia de criança da Coleção Museu do Rio
Fotografia n.202 Múmia de gato da Coleção Museu do Rio
Fotografia n.203 Cavalheiro tigre ( desenho)
Fotografia n.204 Gamo representando período de 20 dias ( calendário mexicano)
Fotografia n.205 Índia Botocuda
Fotografia n.206 Madi (mulher)- Stratz
Fotografia n.207 Aka (raparigas)- Fritsch-Stratz
Fotografia n.208 Negroide com mistura de raça oriental - Fischer
Fotografia n.209 Bastarda (rapariga de bastarda e europeu) - Fischer
Fotografia n.210 Raça Dinárica - (homem de perfil) - Fischer - Bour - Lenz
Fotografia n.211 Índias Nambiquara (Fagnani)- Expedição Roquette-Pinto - Archivos do Museu Nacional XX


Fotografia n.212 Aldeia do Rio Juruá (distribuição de brindes)- Excursão RoquettePinto- Archivos Vol. XX
Fotografia n.213 Seringueiro comprimindo a borracha no cacho (matas do Juruena)Excursão Roquette-Pinto- Archivos Vol. XX
Fotografia n.214 Serra do Norte- Rio Zalucu (índia pareci da Aldeia Queimada)Excursão Roquette-Pinto- Archivos Vol. XX
Fotografia n.215 Serra do Norte (pilão dos índios da)- nºs 11.932 e 13.232- Excursão Roquette-Pinto- Archivos Vol. XX
Fotografia n.216 Pouso à margem do Rio Sepotuba- Porto do Campo- Excursão Roquette-Pinto- Archivos Vol. XX
Fotografia n.217 Serra do Norte (meninas)- Fagnani- Excursão Roquette-Pinto
Fotografia n.218 Mãe e filho (Fagnani)- Excursão Roquette-Pinto- Archivos Vol. XX
Fotografia n.219 Serra do Norte (aldeia de índios da)- Rio Festa da BandeiraExcursão Roquette-Pinto- Archivos do Museu Nacional vol. XX
Fotografia n.220 Serra do Norte (casal de Kakazu)- Excursão Roquette-PintoArchivos do Museu Nacional vol. XX


Fotografia n.221 Serra do Norte- Pareci pintado com urucu [sic]- Excursão Roquette-Pinto - Archivos Vol. XX
Fotografia n.222 Serra do Norte- Três Buritis - A sesta- Excursão Roquette-PintoArchivos Vol. XX
Fotografia n.223 Serra do Norte - Rancho dos índios do Rio Juína- Excursão Roquette-Pinto
Fotografia n.224 Maloca dos índios do Rio Juína- Excursão Roquette-Pinto
Fotografia n.225 Serra do Norte- Grupo de índios (Tagnani)Excursão Roquette-Pinto
Fotografia n.226 Serra do Norte- Mãe e filha (Tagnani)- Excursão Roquette-Pinto
Fotografia n.227 Serra do Norte- Família atacada pelo Baane cedulo [sic]- Excursão Roquette-Pinto
Fotografia n.228 Habitação: 1- Hindu; 2- Renascença; 3- Idade Média; 4 - Romana; 5 - Grega; 6- Árabe; 7- Japonesa; 8- Romano - Italiano (segundo Tissandier & Deniker)
Fotografia n.229 Bumerangue australiano


Fotografia n.230 Pan Guapy Ovapyvo - Ñandutí del Paraguay - Coleção RoquettePinto (1920) - nº 16.573
Fotografia n.231 Tacuru Curusu- Ñandutí del Paraguay - Coleção Roquette-Pinto (1920) - nº 16.610
Fotografia n.232 La flor de madresilva - Ñandutí del Paraguay - Coleção RoquettePinto (1920) - nº 16.595
Fotografia n.233 Cabeza del perro- Ñandutí del Paraguay - Coleção Roquette-Pinto (1920) - nº 16.620
Fotografia n.234 Ladrillo- Ñandutí del Paraguay - Coleção Roquette-Pinto (1920) - nº 16.584
Fotografia n.235 Cadenilla- Ñandutí del Paraguay - Coleção Roquette-Pinto (1920) - nº 16.554
Fotografia n.236 La uña de vaca- Ñandutí del Paraguay - Coleção Roquette-Pinto (1920)- nº 16.552
Fotografia n.237 La cola de oveja- Ñandutí del Paraguay - Coleção Roquette-Pinto (1920) - nº 16.596
Fotografia n.238 Guapy yecá (de cócoras) - Ñandutí del Paraguay - Coleção Roquette-Pinto (1920) - nº 16.578


Fotografia n.239 Amambay- Ñandutí del Paraguay - Coleção Roquette-Pinto (1920) - nº 16.619
Fotografia n.240 Farol- Ñandutí del Paraguay- Coleção Roquette-Pinto (1920)-nº 16.617
Fotografia n.241 Yapehusa (caranguejo) - Ñandutí del Paraguay - Coleção RoquettePinto (1920) - nº 16.594
Fotografia n.242 Alacrán (escorpião)- Ñandutí del Paraguay- Coleção RoquettePinto (1920)- nº 16.558
Fotografia n.243 Arapajó (mazamorra de maíz- Caguidjy)- Ñandutí del ParaguayColeção Roquette-Pinto (1920)- nº 16.562
Fotografia n.244 Martillo- Ñandutí del Paraguay- Coleção Roquette-Pinto (1920) - nº 16.601
Fotografia n.245 Pira (peixe)- Ñandutí del Paraguay- Coleção Roquette-Pinto (1920)nº 16.583
Fotografia n.246 Puruabo (parida)- Ñandutí del Paraguay- Coleção Roquette-Pinto (1920)- nº 16.606
Fotografia n.247 Tuca Yuru (bico de tucano)- Ñandutí del Paraguay- Coleção Roquette-Pinto (1920)- nº 16.582


Fotografia n.248 Carey (tartaruga)- Ñandutí del Paraguay- Coleção Roquette-Pinto (1920)- nº 16.591
Fotografia n.249 Nhandú (aranha)- Ñandutí del Paraguay- Coleção Roquette-Pinto (1920)- nº 16.592
Fotografia n.250 Piápe (unha)- Ñandutí del Paraguay- Coleção Roquette-Pinto (1920)- nº 16.581
Fotografia n.251 Puruá (grávida)- Ñandutí del Paraguay- Coleção Roquette-Pinto (1920)- nº 16.588
Fotografia n.252 Tatacuá (forno)- Ñandutí del Paraguay- Coleção Roquette-Pinto (1920)- nº 16.568
Fotografia n.253 Pirá costilla (costela de peixe)- Ñandutí del Paraguay- Coleção Roquette-Pinto (1920)- nº 16.590
Fotografia n.254 Cupii-Raity (ninho de cupim)- Ñandutí del Paraguay- Coleção Roquette-Pinto (1920)- nº 16.559
Fotografia n.255 Filigrana- Ñandutí del Paraguay- Coleção Roquette-Pinto (1920) - nº 16.600
Fotografia n.256 Tjivytá (sobrancelhas)- Ñandutí del Paraguay- Coleção RoquettePinto (1920)- nº 16.556


Fotografia n.257 Capiati- Ñandutí del Paraguay- Coleção Roquette-Pinto (1920) - nº 16.616
Fotografia n.258 Sem imagem e sem legenda
Fotografia n.259 Yvyrayty yovay (moitas de ananás)- Ñandutí del Paraguay- Coleção Roquette-Pinto (1920)- nº 16.576
Fotografia n.260 Arroz- Ñandutí del Paraguay- Coleção Roquette-Pinto (1920)nº 16.553
Fotografia n.261 Iatebú-apesá (penca de carrapatos)- Ñandutí del ParaguayColeção Roquette-Pinto (1920)- nº 16.563
Fotografia n.262 La boca de cotorra (boca de papagaio)- Ñandutí del ParaguayColeção Roquette-Pinto (1920)- nº 16.599
Fotografia n.263 Carau (ave)- Ñandutí del Paraguay- Coleção Roquette-Pinto (1920)- nº 16.586
Fotografia n.264 Arasape corvata (araçá)- Ñandutí del Paraguay- Coleção RoquettePinto (1920)- nº 16.607
Fotografia n.265 Guaira (fruto)- Ñandutí del Paraguay- Coleção Roquette-Pinto (1920)- nº 16.580


Fotografia n.266 La flor de Romero (Rosmarinus sp.)- Ñandutí del ParaguayColeção Roquette-Pinto (1920)- nº 16.557
Fotografia n.267 Bocayá (coco)- Ñandutí del Paraguay- Coleção Roquette-Pinto (1920)- nº 16.609
Fotografia n.268 Sem imagem e sem legenda
Fotografia n.269 Ysapy (orvalho)- Ñandutí del Paraguay- Coleção Roquette-Pinto (1920)- nº 16.593
Fotografia n.270 Puruá-caré (umbigo torcido)- Ñandutí del Paraguay- Coleção Roquette-Pinto (1920)- nº 16.565
Fotografia n.271 “Chica beating down her objective with a pole” (macacos)
Fotografia n.272 “Grande achieves a four-storey structure”
Fotografia n.273 Grande on a insecure construction (note Sultan sympathetic left hand)
Fotografia n.274 Chimpanzé (lista de palavras ou elementos)- Yenkes & Learned
Fotografia n.275 Chimpanzé- Entonações das sílabas pronunciadas depois de uma refeição- Yenkes Learned
Fotografia n.276 Pareci (canto dos índios)- Nalaloce- Fonograma da Excursão Roquette-Pinto- sem imagem
Fotografia n.277 Seção anteposterior de crânio - a) De cavalo- b) gorila - c) homem- Stratz


Fotografia n.278 Distribuição dos primatas (grandes antropoides: orangotango, gorila, chimpanzé, gibão)- homem
Fotografia n.279 Diagrama dos sacos laríngeos de um gorila adulto- Duckworth
Fotografia n.280 Dissecção da região peitoral e axilas de um gorila adultoDuckworth
Fotografia n.281 Musculatura facial de um gorila adulto- Duckworthv
Fotografia n.282 Dissecção do antebraço de um barbado (Mycetis)- Preparador Fróes da Fonseca
Fotografia n.283 Crânios de: a)gorila; b)chimpanzé
Fotografia n.284 Espinha dorsal no homem e no gorila (curvaturas da)
Fotografia n.285 Tórax dos quadrúpedes e dos grandes primatas (conformação do)
Fotografia n.286 Esterno do homem e do gorila
Fotografia n.287 Crânio do homem e do gorila
Fotografia n.288 Fórmula dentária do homem e do gorila
Fotografia n.289 Tórax de gorila


Fotografia n.290 Esqueleto da mão e do pé (homem, gorila e lêmur)
Fotografia n.291 Delineamentos superpostos de crânios de gorila, rodesiano, Chapelle aux Saints e europeu moderno
Fotografia n.292 Anatomia comparada do encéfalo
Fotografia n.293 Comparação entre encéfalo de gorila (o maior conhecido) e de homem (o mais simiesco)
Fotografia n.294 Proporções de embriões humanos (2,5 e 10 meses)- Stratz
Fotografia n.295 Embriões: a) gibão; b) homem- segundo Kerbel
Fotografia n.296 Ovo humano de 15 dias recolhido na clínica do Prof. RoquettePinto – nº 326 Coleção Museu do Rio
Fotografia n.297 Embrião humano de 8 dias colhido na clínica do Prof. RoquettePinto
Fotografia n.298 Cromossomas espermatognais de um negro
Fotografia n.299 Cromossomas de drosophila melanogaster
Fotografia n.300 Espermatozoides de vários exemplos de primatas
Fotografia n.301 Diagrama pondo em contraste a hipótese de pangênese (em cima) e da continuidade do germoplasma (embaixo)
Fotografia n.302 Diagrama mostrando a célula-linhagem do corpo e a célulagérmen de um molusco
Fotografia n.303 Influência do somatoplasma sobre o germinoplasmatransplantação de ovário em cobaia
Fotografia n.304 Gástrula e larva de styela


Fotografia n.305 Árvore filogênica segundo Keith
Fotografia n.306 Esquema de um caso de herança segundo Mendel
Fotografia n.307 Disposição de pelos segundo Duckworth
Fotografia n.308 Crânio de recém-nascido (visto de frente)- Stratz
Fotografia n.309 Crânio de recém-nascido (visto de lado)- Stratz
Fotografia n.310 Crescimento (proporções no)- Stratz
Fotografia n.311 Crescimento (fases do)- Geyer/Stratz
Fotografia n.312 Proporções entre corpo de adulto e de recém-nascido
Fotografia n.313 Cânon de Fritsch- Stratz
Fotografia n.314 Conformação da face em tipo digestivo e em tipo muscular
Fotografia n.315 Conformação da face em tipo cerebral e em tipo respiratório
Fotografia n.316 Pavilhão de orelha com indicação dos pontos para medição
Fotografia n.317 Mão humana com indicação dos pontos para medição- Martin


Fotografia n.318 Pé humano com indicação dos pontos para medição- Martin
Fotografia n.319 Cabeça humana (de lado) com indicação dos pontos para medição- Martin
Fotografia n.320 Cabeça humana (de frente) com indicação dos pontos para mediçãoMartin
Fotografia n.321 Deformações cranianas artificiais: 1- Tolosa; 2- Peru; 3 e 4- México
Fotografia n.322 Dissecção de uma índia ipuriná – anomalia do músculo piramidal e do nervo ciático- Roquette-Pinto, Baptista
Fotografia n.323 Dissecção de uma índia- anomalia dos tendões do músculo pedioso- Roquette-Pinto, Baptista
Fotografia n.324 Dissecção de uma índia- anomalia do ramo externo do nervo espinhal- Roquette-Pinto, Baptista
Fotografia n.325 Dissecção de uma índia- Busto da índia Catraná- Roquette-Pinto, Baptista
Fotografia n.326 Dermatose dos índios da Serra do Norte- Archivos Vol. XX
Fotografia n.327 Pele e pelo (corte microscópico, meio esquemático) - a) europeu; b) negro
Fotografia n.328 “Taches pigmentaires chez les enfants bulgares”
Fotografia n.329 Corte de olho de europeu e de negro
Fotografia n.330 Olho de europeu e de mongol
Fotografia n.331 Esqueleto de homem e de mulher
Fotografia n.332 Desenvolvimento de encéfalo e dos ossos da face do homem - Welther/Martin
Fotografia n.333 Esquema da formação do corpo caloso e do trígono cerebral dos mamíferos


Fotografia n.334 Esteatopigia (mulher hotentote)- Martin
Fotografia n.335 Comparação entre o crânio de adulto e de recém-nascido
Fotografia n.336 Seções transversais: cabelo de a)chinês; b) europeu; c)negro; d) salomonês
Fotografia n.337 corte visual
Fotografia n.338 Anã cretina- Martin
Fotografia n.339 Anão com hipoplastia- Martin
Fotografia n.340 Imagem de homem seminu, sem legenda [número atribuído] [340]
Fotografia n.341 Lipoma dos negros- Le Dantec
Fotografia n.342 Assemakona de Abenhourau
Fotografia n.343 Ginecomastia em um rapaz de 16 anos, segundo Burgue/Martin
Fotografia n.344 Hipertricose lanuginosa- A família Shwe- Moang- Martin
Fotografia n.345 Diagrama indicando as áreas que afetam a fala verbal, nominal, sintática e semanticamente
Fotografia n.346 Homem do sul de Baden- raça dinárica- Fischer
Fotografia n.347 Vísceras abdominais e pélvica de gorila macho adulto; lado direito: aspecto visceral do fígado de um gorila jovem- Duckworth
Fotografia n.348 Taulipang (caça com zarabatana)- Koch /Grumberg


Fotografia n.350 Makuxi tecendo uma tanga de contas- Koch /Grumberg
Fotografia n.351 Iecuaná pescando com flecha (2º tempo)- Koch /Grumberg
Fotografia n.352 Iecuaná pescando com flecha (1º tempo)- Koch /Grumberg
Fotografia n.353 Iecuaná (peneiração e cozimento da farinha de mandioca) - Koch /Grumberg
Fotografia n.354 Serra do Norte- acampamento em Três Buritis- Excursão Roquette-Pinto, Archivos Vol. XX
Fotografia n.355 Serra do Norte- índio atacado de dermatose- Excursão Roquette-Pinto
Fotografia n.356 Rancho de um seringueiro- Excursão Roquette-Pinto
Fotografia n.357 Foto de indígena jovem, sem referência
Fotografia n.358 Serra do Norte- Aldeia do Rio Juína- Excursão Roquette-Pinto, Archivos. Vol. XX
Fotografia n.359 Serra do Norte (ornato nasal dos índios da)- Excursão RoquettePinto, Archivos. Vol. XX
Fotografia n.360 Serra do Norte- Pinguela dos índios do Rio Juína- Excursão Roquette-Pinto


Fotografia n.361 Serra do Norte (índios da)- Excursão Roquette-Pinto
Fotografia n.362 Serra do Norte (índio do)- Excursão Roquette-Pinto
Fotografia n.363 Serra do Norte (índios da)- Excursão Roquette-Pinto
Fotografia n.364 Túmulo de Lund- Lagoa Santa (1928)- foto Dr. Padberg - Museu Nacional
Fotografia n.365 Serra do Norte (índios da)- Excursão Roquette-Pinto
Fotografia n.366 Serra do Norte (índio da)- Excursão Roquette-Pinto
Fotografia n.367 Serra do Norte (índios da)- Excursão Roquette-Pinto
Fotografia n.368 Serra do Norte (pontas de flechas dos índios da) - Excursão Roquette-Pinto


Fotografia n.369 Serra do Norte - índio flechando por elevação - Excursão Roquette Pinto
Fotografia n.370 Serra do Norte - um mel - excursão Roquette Pinto
Fotografia n.371 Serra do Norte - abertura da estrada Rondon - Excursão Roquette Pinto
Fotografia n.372 Serra do Norte - Pouso nas matas de Juruena - Excursão Roquette-Pinto
Fotografia n.373 Mesopotâmia - Bagdá - Casamento indígena - Deyrolles


Fotografia n.506 Salto Utiariti no Rio Papagaio- Excursão Roquette-Pinto
Fotografia n.507 Serra do Norte- O capitão Pyreneus entre crianças Kozarini - Excursão Roquette-Pinto
Fotografia n.508 Orango Satyrus (título sem fotografia)
Fotografia n.509 Serra do Norte- Naidinirida (índio do Juína) - Excursão Roquette-Pinto
Fotografia n.510 Serra do Norte- Pouso do Rio Primavera- Estrada Rondon - Excursão Roquette-Pinto, Archivos Vol. XX
Fotografia n.511 Serra do Norte (índios da)- Excursão Roquette-Pinto
Fotografia n.512 Serra do Norte (maloca dos índios da)- Excursão Roquette-Pinto


Fotografia n.513 Serra do Norte- (índios da) - Excursão Roquette-Pinto
Fotografia n.514 Serra do Norte (índios da)- aldeamento - Excursão Roquette-Pinto
Fotografia n.515 Colunas minoanas
Fotografia n.516 Estatueta de argila reconstruída, mulher do período Minoano Médio, Creta (Profa. Hall)
Fotografia n.517 Knossos: deusa das cobras (Hall)
Fotografia n.518 Túmulo de Pylos
Fotografia n.519 Vaso minoano - M.III. Knossos (Hall)
Fotografia n.520 Minoano Médio III - Knossos (Hall)
Fotografia n.521 A Sala do Trono no Palácio de Cnossos
Fotografia n.522 Jarras de gola- Museu de Sèvres (Dussaud)


Fotografia n.545 Semnopythecus e crânio de Simia satyrus ( sem fotografia)
Fotografia n.546 Esqueleto de gibão- Hylobates muelleri ( sem fotografia)
Fotografia n.547 Esqueleto de Simia satyrus (sem fotografia)
Fotografia n.548 Crânio e dentição de Dasipus (sem fotografia)
Fotografia n.549 Semnopithecus- crânio (perfil, sem fotografia)
Fotografia n.550 Simia satyrus (crânio e dentição)
Fotografia n.551 Pés e mãos de homem, gorila, chimpanzé e orangotango (esqueleto, título sem fotografia)
Fotografia n.552 Cercopithecus sabaeus (esqueleto, título sem fotografia)
Fotografia n.553 Cynocephalus papio (sem fotografia)
Fotografia n.554 Lêmur, vários (crânios, sem fotografia)
Fotografia n.555 Capuccino, macaco (sem fotografia)


Fotografia n.556 Gibão - Hylobates muelleri
Fotografia n.557 Colobus guereza (sem fotografia)
Fotografia n.558 Chimpanzé - esqueleto
Fotografia n.559 Cercopithecus diana
Fotografia n.560 Hapale jacchus (título sem fotografia)
Fotografia n.561 Gorilla gina (título sem fotografia)
Fotografia n.562 Lemur fulvus (E. Geoff)
Fotografia n.563 Callithrix argentata
Fotografia n.564 Lagothrix lagotricha (Humb)
Fotografia n.565 Pseudo Cebus capucinus (Humb)
Fotografia n.566 Sem título e sem fotografia
Fotografia n.567 Sem título e sem fotografia
Fotografia n.568 Sem título e sem fotografia


Fotografia n.569 Mastodonte americano (esqueleto) - Boule
Fotografia n.570 Glyptodon (esqueleto de)- Boule
Fotografia n.571 Pithecanthrope (jazida de, à beira do Rio Solo)- Boule
Fotografia n.572 Pithecanthrope (jazida de, à beira do Rio Solo)- Boule
Fotografia n.573 Abatises submersos- Roquette-Pinto- Euclydes da Cunha naturalista
Fotografia n.574 Chapelle aux Saints (colina onde se abre a gruta de)- Boule (sem fotografia)
Fotografia n.575 Corte geológico da pedreira La Ferrassie (Mauer- Boule)
Fotografia n.576 Paniscus
Fotografia n.577 Brachymes melanocephalus- E. Geoff
Fotografia n.578 Cacajao rubicundus (cabeça)- Geoff
Fotografia n.579 Galago muelleri – Wateih
Fotografia n.159 Chimpanzé- Troglodytes niger


Fotografia n.580 Cysticercus cellulosae - preparação Roquette Pinto
Fotografia n.581 Amido da banana - preparação Roquette Pinto
Fotografia n.582 Café - secadores de café em Ribeirão Preto (São Paulo)
Fotografia n.583 Café - plantação - Ribeirão Preto (São Paulo)
Fotografia n.584 Instituto Butantan - São Paulo
Fotografia n.585 Fazenda de café (São Paulo)
Fotografia n.586 Plantação de cana de açucar
Fotografia n.587 Rancho de camponeses (Brasil)


Fotografia n.623 Serra do Norte- aldeia dos índios Pareci Zubacurê Suê. Cabeceira do rio Sepotuba. Comissão Rondon.
Fotografia n.624 Serra do Norte - índios Parecis, Aldeia Queimada. Expedição Rondon (1909). Comissão Rondon.
Fotografia n.625 Serra do Norte - índios Parecis, Aldeia Queimada. Expedição Rondon (1909). Comissão Rondon.
Fotografia n.626 Serra do Norte - índios Parecis, Aldeia Queimada. Expedição Rondon (1909). Comissão Rondon.
Fotografia n.627 Serra do Norte - aldeia dos índios Nambikwara na confluência do Córrego dos Veados com o rio Juruena. Comissão Rondon.
Fotografia n.628 Serra do Norte- uma jaguatirica a 12 km do rio Juruena. Comissão Rondon.
Fotografia n.629 Visita dos índios parecis cosairitis ao acampamento indígena Cozui Inaza, cabeceira do rio Santo Antônio, afluente do rio Água Verde ou Anhanazá - Comissão Rondon.


Fotografia n.630 Serra do Norte- Parecis em visita à turma de exploração - Comissão Rondon
Fotografia n.631 Serra do Norte- Tapirapuã- matilha de cães- Expedição de 1909 - Comissão Rondon
Fotografia n.632 Serra do Norte- Distribuição de comidas aos cães- Posto Esperidião- menino pareci no acampamento do Saneriúna/Onaru -Nazaré 1908- Comissão Rondon
Fotografia n.633 Serra do Norte- pequeno índio pareci com a arara que caçou - Planalto dos Parecis- Expedição de 1908- Comissão Rondon
Fotografia n.634 Serra do Norte- uma caçada nas matas do Rio Sepotuba- Planalto dos Parecis- Expedição de 1908- Comissão Rondon
Fotografia n.635 Serra do Norte- pau cortado com machado de pedra pelos índios - Rio Comemoração- Comissão Rondon
Fotografia n.636 Serra do Norte- Jararaca- Casa de culto dos nhambiquaras - Na porta encostados os instrumentos de música- 1908Comissão Rondon
Fotografia n.637 Serra do Norte- O segundo guia da Expedição Uaycuriry-Gassu com seu filho e sua filha Guayaloé- Parecis- Expedição de 1907 - Comissão Rondon


Fotografia n.638 Serra do Norte - Ração aos cães - Tapirapuã - 1908
Fotografia n.639 Serra do Norte- Planalto dos Parecis- Chegada dos caçadores - Expedição Rondon (1904)
Fotografia n.640 Serra do Norte- Planalto do Parecis - Expedição 1908
Fotografia n.641 Serra do Norte - Aldeia do Norte do departamento do Juruena - Índios Nambikwara - Expedição 1908 - Comissão Rondon
Fotografia n.642 Serra do Norte - visita dos índios Parecis ao grupo Cozarini


Fotografia n.644 Serra do Norte - índia pareci (Annita) em viagem, carrega toda a tralha do casal (1908)- Comissão Rondon. Sem fotografia
Fotografia n.645 Serra do Norte - Praças do destacamento do Juruena que levariam as cartas aos ajudantes dos majores Braga e Avilla, chamando o chefe da expedição ao acampamento em construção (03/10/1908) - Comissão Rondon. Sem fotografia
Fotografia n.646 Serra do Norte - Família do Cacique Uazacuriry Pareci depois de receber brindes . Comissão Rondon. Sem fotografia
Fotografia n.647 Serra do Norte - Pareci - grupo Cozarini do Amuri - Guia da expedição de 1908 a 1909 - Comissão Rondon. Sem fotografia
Fotografia n.648 Serra do Norte - Acampamento no Córrego Uazutietiá (ou Córrego Cágado), onde foi inaugurada a estação PareciHenrique. Expedição 1907 - Comissão Rondon. Sem fotografia
Fotografia n.649 Serra do Norte - Planalto Parecis - Expedição 1907 - Comissão Rondon. Sem fotografia
Fotografia n.650 Serra do Norte Partida da turma de Vanguarda - cabeceira do Desfiladeiro dos Dois Índios. Comissão Rondon. Sem fotografia
Fotografia n.651 Serra do Norte- Aldeia Vinte de Setembro - retirada de brindes para deixar aos índios Nambikwara - Planalto do ParecisExpedição 1908 - Comissão Rondon. Sem fotografia


Fotografia n.652 Serra do Norte- Última homenagem prestada pela expedição ao anspeçada do batalhão engenheiro Honorato - Expedição 1908 - Comissão Rondon (sem fotografia).
Fotografia n.653 Serra do Norte - O Anuiri Zozoariary , seu filho e Zavaidaçu1º guia da expedição 1907 - Comissão Rondon (sem fotografia)
Fotografia n.654 Serra do Norte- Picada da linha telegráfica - Estrada Rondon - Expedição Roquette Pinto.
Fotografia n.655 Serra do Norte- Deposito de víveres na Aldeia Queimada - Distribuição de brindes ao índios Parecis - Planalto Parecis - Expedição de 1908 - Comissão Rondon.
Fotografia n.656 Serra do Norte- Mata das Aldeias - Vale do Juruena - Excursão Roquette-Pinto (sem fotografia)
Fotografia n.657 Corte transversal de pecíolo de café
Fotografia n.658 Corte transversal da folha de uma Cyperaceae
Fotografia n.659 corte transversal de folha de cana de açúcar


Fotografia n.660 A lenda da metalurgia
Fotografia n.661 Sem legenda e sem fotografia
Fotografia n.662 Dois homens segurando um peixe
Fotografia n.663 Astrocaryum e Oenocarpus bataua
Fotografia n.664 Euterpe oleracea
Fotografia n.665 Euterpe oleracea
Fotografia n.666 Astrocaryum murumuru
Fotografia n.667 Maximiliana regia
Fotografia n.668 Diplothemium campestre


Fotografia n.669.1 Diplothemium- cocos- Attalea
Fotografia n.669.2 Diplothemium campestre
Fotografia n.670 Palmeiras, sem legenda
Fotografia n.671 Astrocaryum campestre
Fotografia n.672 Xxxxxxxxx speciosa
Fotografia n.673 Cocos coronata
Fotografia n.674 Attalea
Fotografia n.675
Fotografia n.676
Célula: 1) membrana; 2) protoplasma; 3) núcleo; 4) vacúolos; 5) filamentos protoplásmicos
Células das escamas da cebola: 1) membrana; 2) protoplasma; 3) núcleo; 4) nucléolo
Fotografia n.677 Plasmodesmas
Fotografia n.678 Cistólitos na epiderme de Ficus elastica
Fotografia n.679 Corte mostrando em: a) as células suberificadas (cortiça); b) colênquima
Fotografia n.680 Diatomáceas – Bacillaceaceas- Bacillariophyta


Fotografia n.681 Cogumelo (Cantharellus cibarius - Agaricáceas - basidiomicetos)
Fotografia n.682 Plasmódio de Fuligo septica - mostrando o movimento de translação do protoplasma.
Fotografia n.683 Cera no entrenó da cana de açúcar (Saccharum officinarum) - 1) bastonetes de cera; 2) epiderme esclerificada.
Fotografia n.684 Parênquima gelatinoso do albúmen da alfarrobeira (Ceratonia siliqua - Leguminosas): 1) protoplasma com grãos de amido; 2) camadas celulósicas das membranas; 3) lâminas médias gelificadas.
Fotografia n.685 A) Formação do ovo de Spirogyra (Alga zygnemataceae) - B) Mucoráceas - cogumelo (Reprodução por isogamia)
Fotografia n.686 Protoplasma de tubo de Vaucheriacea, escapando-se sob a influência do calor.
Fotografia n.687 Corte em fibras lenhosas do salgueiro no outono: 1) celulose em reserva; 2) celulose de manutenção.
Fotografia n.688
Fotografia n.689
Serra do Norte - Tagnani (meninas) - Expedição Roquette Pinto
Serra do Norte- Planalto de Parecis - Chapadão - Expedição Roquette Pinto
Fotografia n.690 Serra do Norte- tacapes dos índios nº 11.930- Coleção Museu Rio (Excursão Roquette-Pinto)
Fotografia n.691 Serra do Norte - Índios Iaiutês - Estojo de folhas para guardar ornatos - nº 12.924 - Coleção Museu Rio. Expedição Roquette-Pinto


Fotografia n.692 Sem fotografia e sem legenda
Fotografia n.693 Serra do Norte- Pote de cerâmica encontrado numa aldeia dos índios nhambiquaras- Excursão Roquette-Pinto
Fotografia n.694
Fotografia n.695
Serra do Norte- Rio Juína- Kokusu à porta de casa- Excursão Roquette-Pinto
Serra do Norte- flecha que se partiu ao encravar-se na bandoleira da espingarda do general Rondon
Fotografia n.696 Sem fotografia e sem legenda
Fotografia n.697
Fotografia n.698
Fotografia n.699
Serra do Norte- General Rondon e companheiros em direção a um aldeamento nhambiquara (Juruena)- Comissão Rondon
Tipos populares- Iriritiba, Espírito Santo (Anchieta)- Foto Fróes de Abreu
Serra do Norte (aldeamento dos índios da)- Comissão Rondon


Fotografia n.701 Serra do Norte- General Rondon determinando a latitude
Fotografia n.702 Taulipang fazendo fogo - Koch Grünberg
Fotografia n.703 Taulipang- Trançados de palha - Koch Grünberg
Fotografia n.704 Taulipang tecendo rede- Koch Grünberg
Fotografia n.705 Macuxi tecendo uma rede- Koch Grünberg
Fotografia n.706 Xirianá (mulheres)- Rio Uaricapá- Koch Grünberg
Fotografia n.707 Iekuaná- Thuruana (Rio Venruari)- Amarração do arcabouço de um telhado- Koch Grünberg
Fotografia n.708.1 Iekuaná comprimindo a mandioca no cocho
Fotografia n.708.2 Iekuaná ralando a mandioca
Fotografia n.709 Iekuaná tecendo- Koch Grünberg
Fotografia n.710 Iekuaná tecendo- Koch Grünberg
Fotografia n.711 Macuxi e Wapichana (raparigas)- fabricação de pequenos potes de cerâmica- Koch Grünberg
Fotografia n.712 Iekuaná fabricando cerâmica
Fotografia n.713 Iuka- arma de cobre- remo- Coleção Museu Rio
Fotografia n.714 Deformação nos dentes: a) Campeche b) e c) Equador- Buschan


Fotografia n.715 Melanésia – Agricultura em terraços (arroz)- Imbelloni
Fotografia n.716 Mapa da região do Oceano Índico (África, Ásia, Austrália) - Mendes Corrêa
Fotografia n.717 América do Norte (distribuição dos grupos linguísticos indígenas)
- Buschan
Fotografia n.718 América Central (distribuição dos grupos linguísticos indígenas)
- Buschan
Fotografia n.719 América do Sul (distribuição dos grupos linguísticos indígenas) - Buschan
Fotografia n.720 Sem fotografia e sem legenda
Fotografia n.721 Sem fotografia e sem legenda
Fotografia n.722 Sem fotografia e sem legenda
Fotografia n.723 Sem fotografia e sem legenda
Fotografia n.724 a), b), c) Pediastrum- alga da família Hydrodictyaceae - d) mixamebas de mixomiceto- e) Plasmódio de Didymium leucopus


Fotografia n.725 Sem fotografia e sem legenda
Fotografia n.726 Sem fotografia e sem legenda
Fotografia n.727 Figura 15- a) Mucor mucedo (Mucoráceas) b) conídias. Figura 16- Armillaria mellea (Agaricáceas- Basidiomicetos)
Fotografia n.728 Sem fotografia e sem legenda
Fotografia n.729 Finlândia - interior de cabana - Veneau - Brehm.
Fotografia n.730 Sem fotografia e sem legenda
Fotografia n.731 Sem fotografia e sem legenda


Fotografia n.732 Hungria (camponesas)- nordeste de Budapeste (National Geographic – Magazine)
Fotografia n.733 Sem fotografia e sem legenda
Fotografia n.734 Bacillus amylobacter
Fotografia n.735 Bryopsis plumosa (alga Syphonalis)
Fotografia n.736 Espectro de absorção de clorofila
Fotografia n.737 Núcleo a 750 diam- estrias protoplásmicas
Fotografia n.738 Cistólitos na epiderme
Fotografia n.739 Alga da família das Ulváceas; Cosmaria - alga da família das Desmidiáceas; grãos de clorofila.
Fotografia n.740 Multiplicação celular


Fotografia n.741 Iekuaná- Thuruana- construção de uma casa- arcabouço que sustenta a cobertura- Koch Grünberg
Fotografia n.742 Iekuaná- Thuruana- construção de uma casa- cobertura de folhas de palmeira- Koch Grünberg
Fotografia n.743 Drupas e bagas
Fotografia n.744 Tuiuka (Rio Caiari- Uaupés), perfil- Koch Grünberg
Fotografia n.745 Tuiuka (Rio Caiari), frente- Koch Grünberg
Fotografia n.746.1/2 Iekuaná- fabricação da cerâmica – preparação do rolo de barroKoch Grünberg
Fotografia n.747.1/2 Roça e transporte de mandioca
Fotografia n.748 Cystopus candidus
Fotografia n.749 Finlândia- Kota ou tenda- Vernau
Fotografia n.750.1/2 Albânia- rapaz de Scutari- rapariga das montanhas
Fotografia n.751 Dr. João Baptista de Lacerda


Fotografia n.752 Yamamadi- Ehrenreich
Fotografia n.753 Dissecção de uma índia ipuriná- Roquette e Baptista (corpo inteiro)
Fotografia n.754 Dissecção de uma índia ipuriná- Roquette e Baptista (busto)
Fotografia n.755 Dissecção de uma índia ipuriná- Roquette e Baptista (busto)
Fotografia n.756 Dissecção de uma índia ipuriná- Roquette e Baptista (encéfalo)
Fotografia n.757 Bakairi (frente)- Expedição Gusmão Fontoura
Fotografia n.758 Mesmo indivíduo (Bakairi, perfil)- Expedição Gusmão Fontoura
Fotografia n.759 Bakairi (frente)- Expedição Gusmão Fontoura


Fotografia n.760
Fotografia n.761
Fotografia n.762
Fotografia n.763
Fotografia n.764
Fotografia n.765
Fotografia n.766
Bakairi- mesmo indivíduo, perfil- Expedição Gusmão Fontoura
Bakairi- frente- Expedição Gusmão Fontoura
Bakairi- mesmo indivíduo, perfil- Expedição Gusmão Fontoura
Bakairi- Expedição Gusmão Fontoura
Bakairi- frente- Expedição Gusmão Fontoura
Bakairi- mesmos indivíduos, perfil
Bakairi- frente- Expedição Gusmão Fontoura


Fotografia n.767 Índio Bakairi- Mesmo indivíduo, perfil. Expedição Gusmão Fontoura
Fotografia n.768 Índio Bakairi- (frente) - Expedição Gusmão Fontoura
Fotografia n.769 Índio Bakairi- (mesmo indivíduo, perfil) - Expedição Gusmão Fontoura
Fotografia n.770 Índio Bakairi - ( frente ) - Expedição Gusmão Fontoura
Fotografia n.771 Índio Bakairi - (indivíduo perfil lado esquerdo) - Expedição Gusmão Fontoura
Fotografia n.772 Grupo de índios Bakairi - Expedição Gusmão Fontoura
Fotografia n.773 Sem fotografia e sem legenda


Fotografia n.774 Mapa da Serra do Norte
Fotografia n.775 Cartas do Xingu
Fotografia n.776 Rio Negro- Japurá (Carta Etnográfica do)- Koch Grünberg
Fotografia n.777 Wapichana (Rio Branco)- Koch Grünberg
Fotografia n.778 Macuxi (mulher)- Koch Grünberg
Fotografia n.779 Macuxi (homem)- Koch Grünberg
Fotografia n.780 Sem fotografia e sem legenda
Fotografia n.781 Índio flechando
Fotografia n.782 Gigante negro brasileiro- Cipriano (1912)- Museu Nacional
Fotografia n.783 Tipo brasileiro branco (menino)- Museu Nacional
Fotografia n.784 Tipo brasileiro branco (menino, mesmo indivíduo) - Museu Nacional


Fotografia n.785 Menino - perfil - Museu Nacional
Fotografia n.786 Homem - frente e perfil - Museu Nacional
Fotografia n.787 Homem - frente e perfil - Museu Nacional
Fotografia n.788 Homem - frente e perfil - Museu Nacional
Fotografia n.789 Homem - frente - Museu Nacional
Fotografia n.790 Homem - perfil - Museu Nacional
Fotografia n.791 Homem - frente e perfil - Museu Nacional
Fotografia n.792 Homem - frente - Museu Nacional
Fotografia n.793 Homem - perfil - Museu Nacional


Fotografia n.794 Homem - frente e perfil - Museu Nacional
Fotografia n.795 Homem - frente - Museu Nacional
Fotografia n.796 Homem - perfil - Museu Nacional
Fotografia n.797 Homem branco - frente e perfil - Museu Nacional
Fotografia n.798 Mulher negra (frente e perfil)- Museu Nacional
Fotografia n.799 Homem negro (frente e perfil)- Museu Nacional
Fotografia n.800 Homem negro (frente e perfil)- Museu Nacional
Fotografia n.801 Homem negro (frente e perfil)- Museu Nacional


Fotografia n.802 Homem - perfil - Museu Nacional
Fotografia n.803 Homem - frente e perfil - Museu Nacional
Fotografia n.804 Homem - frente - Museu Nacional
Fotografia n.805 Homem - perfil - Museu Nacional
Fotografia n.806 Foto presumivelmente arrancada
Fotografia n.807 Hipertricose (mulher de 45 anos)- Roquette-Pinto


Fotografia n.802 Índios Jurupixuna com máscaras - aquarela da viagem
Fotografia n.803 Mulher russa de perfil


Fotografia n.829 Material de origem vegetal, sem legenda
Fotografia n.830 Serra do Norte (pulseira de tatu-canastra dos índios da) - Excursão Roquette-Pinto
Fotografia n.831 Serra do Norte- Nhambiquara (lêndea dos índios da) - Microfoto Roquette-Pinto (X. 100)
Fotografia n.832 Serra do Norte- Nhambiquara (lêndea dos índios da) - Microfoto Roquette-Pinto
Fotografia n.833 Serra... [rasgado]- Piolho
Fotografia n.834 Serra do Norte- [Piolho] dos índios [Nhambiquara]
Fotografia n.835 Tocandira- Mato Grosso- Foto Roquette-Pinto
Fotografia n.836 Foto presumivelmente arrancada
Fotografia n.837 Esqueleto humano normal (homem europeu)- nº 115 - Coleção Museu Nacional/Rio


Fotografia n.838 Crânio da índia Cairiri (norma lateralis) - Paraíba do Norte Nº 29 - Coleção Museu Rio
Fotografia n.839 Crânios da índia Cairiri ( norma occipitalis) nº 29 Coleção Museu Rio
Fotografia n.840 Urupá (crânio) Norma lateralis - nº 1.966 - Coleção Museu Rio
Fotografia n.841 Calota craniana encontratada em uma caverna - Serra Uruburetama.- Ceará. Nº 113. Coleção Museu Nacional ( de lado)
Fotografia n.842 Calota craniana de frente encontrada em uma caverna - Serra Uruburetama, Ceará. Nº 113. Coleção Museu Nacional
Fotografia n.843 Índio Bakairi - figura simbólica - Penca de morcegos - nº 19.438 - Coleção Museu Rio


Fotografia n.844 Índios bakairis- figuras simbólicas (1914)- Autor: índio Apiguita da Expedição Fontoura
Fotografia n.845 Índios bakairis- figuras simbólicas (1914)- Autor: índio Jacuba da Expedição Fontoura
Fotografia n.846 Índios bakairis- figuras simbólicas (1914)- Autor: índio Jacuba da Expedição Fontoura
Fotografia n.847 Índios bakairis- figuras simbólicas (1914)- Autor: índio Apiguita da Expedição Fontoura
Fotografia n.848 Sapezal- Mata da Poaia- Mato Grosso- Excursão Roquette-Pinto
Fotografia n.849 Neurofibromatose generalizada (face)- Serviço Prof. Miguel Couto - Desenho Childe (1914)
Fotografia n.850 Neurofibromatose generalizada (mão)- Serviço Prof. Miguel Couto


Fotografia n.865 Serra do Norte- Ponte sobre o Rio Papagaio- Excursão RoquettePinto
Fotografia n.866 Serra do Norte- Derrubada de uma árvore com machado de pedra- Excursão Roquette-Pinto
Fotografia n.867 Serra do Norte- Índios do Juína- Excursão Roquette-Pinto
Fotografia n.868 Serra do Norte- Índios do Juína preparando mandioca- Archivos Vol. XX- Excursão Roquette-Pinto
Fotografia n.869 Serra do Norte- Índia do Juína- Excursão Roquette-Pinto
Fotografia n.870 Serra do Norte- Índios do Juína- Excursão Roquette-Pinto


Fotografia n.871 Serra do Norte- Acampamento de Tuiutês (Três Buritis) Archivos Vol. XX- Expedição Roquette-Pinto
Fotografia n.872 Serra do Norte - Maloca dos indivíduos do rio Juína- Expedição Roquette Pinto
Fotografia n.873 Serra do Norte - Índio - Expedição Roquette Pinto
Fotografia n.874 Serra do Norte- Índio (mesmo indivíduo da foto anterior)Expedição Roquette Pinto
Fotografia n.875 Serra do Norte - aldeia dos índios - Expedição Roquette-Pinto
Fotografia n.876 Serra do Norte- A sesta em Três Buritis- Expedição Roquette-Pinto


Fotografia n.877 Serra do Norte (índia da)- Excursão Roquette-Pinto
Fotografia n.878 Serra do Norte (índio da)- Excursão Roquette-Pinto
Fotografia n.879 Serra do Norte (índios da)- Excursão Roquette-Pinto
Fotografia n.880 Serra do Norte (índios da)- Excursão Roquette-Pinto
Fotografia n.881 Edgard Roquette-Pinto entre crianças kozarinis- Foto Pyrineus
Fotografia n.882 Índios da Serra do Norte


Fotografia n.892 Serra do Norte (modo de flechar do índio da)- Archivos Vol. XXExcursão Roquette-Pinto
Fotografia n.893 Serra do Norte- Pareci e Nhambiquara na Estação de UtiaritiArchivos Vol. XX- Excursão Roquette-Pinto
Fotografia n.894 Serra do Norte (índios da, na Estação de Utiariti) - Archivos Vol. XXExcursão Roquette-Pinto
Fotografia n.895 Serra do Norte- Nhambiquara-Tagnani- Excursão Roquette-Pinto
Fotografia n.896 Machado- Caxias (Maranhão)- C. V. Chaves
Fotografia n.897 Machado- Caxias (Maranhão)- C. V. Chaves
Fotografia n.898 Machado- Caxias (Maranhão)- C. V. Chaves
Fotografia n.899 Machado- Caxias (Maranhão)- C. V. Chaves


Fotografia n.900 Kiriri (machado dos)- Paraíba
Fotografia n.901 Kiriri (machado dos)- Paraíba
Fotografia n.902 Artefatos de pedra- Paraíba
Fotografia n.903 Apêndice de chimpanzé
Fotografia n.904 Saint-Hilaire- Drosera sessilifolia
Fotografia n.905 Luxemburgia speciosa
Fotografia n.906 Magonia pubescens


Fotografia n.907 Cephaelis ipecacuanha
Fotografia n.908 Ionidium poaya
Fotografia n.909 Anchietea salutaris
Fotografia n.910 Ionidium ipecacuanha
Fotografia n.911 Palicourea Marcgravii
Fotografia n.912 Serra do Norte-índio Nambikwara (frente)- Expedição Roquette-Pinto
Fotografia n.913 Serra do Norte- índio Nambikwara (costas)- Expedição Roquette-Pinto
Fotografia n.914 Serra do Norte-índio Nambikwara (frente)- Expedição Roquette-Pinto


Fotografia n.915 Serra do Norte- Índio nhambiquara- Excursão Roquette-Pinto
Fotografia n.916 Serra do Norte- Índio nhambiquara- Excursão Roquette-Pinto
Fotografia n.917 Serra do Norte- Índio nhambiquara- Excursão Roquette-Pinto
Fotografia n.918 Serra do Norte- Índia pareci- Excursão Roquette-Pinto
Fotografia n.919 Serra do Norte- índia atacada de dermatose- Excursão Roquette-Pinto
Fotografia n.920 Serra do Norte- aldeia de nhambiquaras- Excursão Roquette-Pinto


Fotografia n.921 Serra do Norte- Aldeia de nhambiquaras- Excursão Roquette-Pinto
Fotografia n.922 Serra do Norte- Aldeia de nhambiquaras- Excursão Roquette-Pinto
Fotografia n.923 Serra do Norte- Aldeia de nhambiquaras- Excursão Roquette-Pinto
Fotografia n.924 Serra do Norte- Aldeia de nhambiquaras- Excursão Roquette-Pinto
Fotografia n.925 Serra do Norte- Aldeia de nhambiquaras- Excursão Roquette-Pinto
Fotografia n.926 Serra do Norte- Aldeia de nhambiquaras- Excursão Roquette-Pinto


Fotografia n.927 Cuiabá (vista de)- Excursão Roquette-Pinto
Fotografia n.928 Pelo de múmia do Egito- Preparador Alberto Vaissié
Fotografia n.929 Pelo de gibão- Preparador Alberto Vaissié
Fotografia n.930 Pelo de sobrancelha senil (homem)- Preparador Alberto Vaissié
Fotografia n.931 Pelo de orangotango- Preparador Alberto Vaissié
Fotografia n.932 Pelo de gorila- Preparador Alberto Vaissié


Fotografia n.933 Pelo de chimpanzé - Alberto Vaissié - preparador
Fotografia n.934 Menina indígena
Fotografia n.935 Fotografia do General Rondon (1912)- foto Amarante
Fotografia n.936 Posto de embarque em um dos rios de Rondônia- foto Amarante
Fotografia n.937 Índias Parecis "Aldeia Queimada" - foto Comandante Emanuel - 1912
Fotografia n.938 Caminhão automóvel Saurer provido de cadeia sem fim nas rodas traseiras para andar na areia ou na lama, invenção de A. Amarante atravessando um rio de Rondônia.
Fotografia n.939 Comandante Emanuel do Amarante- auxiliar do General Rondon. Foto Amarante (1912)


Fotografia n.940 Rondon em Rondônia- Foto Amarante, 1912
Fotografia n.941 Salto do Rio Timalatiá- Rondônia- Foto Amarante, 1912
Fotografia n.942 Índia Pareci- Mato Grosso- Mariquinhas (título sem fotografia)
Fotografia n.943 Rancho da Aldeia Queimada- Comissão Rondon - Foto Amarante, 1912
Fotografia n.944 Amansando um cavalo- Comissão Rondon- Foto Amarante, 1912
Fotografia n.945 Boiada da Comissão Rondon- Foto Amarante, 1912
Fotografia n.946 Rancho de um telegrafista em Rondônia- Foto Amarante,1912
Fotografia n.947 Construção de um rancho em Rondônia- Foto Amarante, 1912


Fotografia n.948 Índios do Chaco (tatuagens e pinturas faciais)
Fotografia n.949 Corallina officinalis
Fotografia n.950 Grãos de aleurona
Fotografia n.951 Tirosina cristalizada e agulhas isoladas
Fotografia n.952 1)Euglena viridis; 2) Esphero - cristais de insulina
Fotografia n.953 Célula da epiderme inferior da Ranuncullus anemonefolius; Chromoleucitos da Ranuncullus anemonefolius
Fotografia n.954 Formação da clorofila na Spyrogira
Fotografia n.955 Dehiscencia porida ( boca de lobo); b) Dehiscencia porida ( papoula); Campanulaceas
Fotografia n.956 Grãos de amido de Funaria hygrometrica no interior de chloroleucitos (geradores)
Fotografia n.957 Embrião carnoso da castanha do Pará
Fotografia n.958 Abies alba - gymnospermos


Fotografia n.960 Tipo brasileiro- Bahia (menina)- Foto O. Jorge
Fotografia n.961 Tipo brasileiro- Bahia (menina)- Foto O. Jorge
Fotografia n.962 Tipo brasileiro- Pernambuco (menina)- Foto O. Jorge
Fotografia n.963 Tipo brasileiro- Bahia (menina)- Foto O. Jorge
Fotografia n.964 Tipo brasileiro- Bahia (menina)- Foto O. Jorge
Fotografia n.965 Tipo brasileiro- Bahia (menina)- Foto O. Jorge
Fotografia n.966 Tipo brasileiro- Bahia (menina)- Foto O. Jorge
Fotografia n.967 Tipo brasileiro- Bahia (menina)- Foto O. Jorge
Fotografia n.968 Tipo brasileiro- Bahia (menina)- Foto O. Jorge
Fotografia n.969 Tipo brasileiro- Pernambuco (menina)- Foto O. Jorge
Fotografia n.970 Tipo brasileiro- Pernambuco (menina)- Foto O. Jorge
Fotografia n.971 Tipo brasileiro- Pernambuco (menina)- Foto O. Jorge


Fotografia n.972 Tipo brasileiro- Pernambuco (menina)- Foto O. Jorge
Fotografia n.973 Tipo brasileiro- Bahia (menina) - Foto O. Jorge
Fotografia n.974 Tipo brasileiro- Bahia (menina) - Foto O. Jorge
Fotografia n.975 Tipo brasileiro- Pernambuco (menina)- Foto O. Jorge
Fotografia n.976 Tipo brasileiro- Bahia (menina)- Foto O. Jorge
Fotografia n.977 Tipo brasileiro- Bahia (menina)- Foto O. Jorge
Fotografia n.978 Tipo brasileiro- Bahia (menina)- Foto O. Jorge
Fotografia n.979 Tipo brasileiro- Bahia (menino)- Foto O. Jorge
Fotografia n.980 Tipo brasileiro- Bahia (menino)- Foto O. Jorge
Fotografia n.981 Tipo brasileiro- Bahia (menino)- Foto O. Jorge
Fotografia n.982 Tipo brasileiro- Bahia (menino)- Foto O. Jorge
Fotografia n.983 Tipo brasileiro- Bahia (menino)- Foto O. Jorge
Fotografia n.984 Tipo brasileiro- Pernambuco (menino)- Foto O. Jorge
Fotografia n.985 Tipo brasileiro- Bahia (menino)- Foto O. Jorge
Fotografia n.986 Tipo brasileiro- Pernambuco (menino)- Foto O. Jorge
Fotografia n.987 Tipo brasileiro- Bahia (menino)- Foto O. Jorge


Fotografia n.988 Tipo brasileiro meninoBahia - foto O. Jorge
Fotografia n.989 Tipo brasileiro meninoPernambuco - foto O. Jorge
Fotografia n.990 Tipo brasileiro meninoPernambuco - foto O. Jorge
Fotografia n.991 Tipo brasileiro menino - Bahia - foto O. Jorge
Fotografia n.992 Tipo brasileiro menino - Bahia - foto O. Jorge
Fotografia n.993 Tipo brasileiro menino - Bahia - foto O. Jorge
Fotografia n.994 Tipo brasileiro menino - Bahia - foto O. Jorge
Fotografia n.995 Tipo brasileiro menino - Bahia - foto O. Jorge
Fotografia n.996 Tipo brasileiro menino - Bahia - foto O. Jorge
Fotografia n.997 Tipo brasileiro menino - Bahia - foto O. Jorge
Fotografia n.998 Tipo brasileiro menino - Bahia - foto O. Jorge
Fotografia n.999 Tipo brasileiro menino - Bahia - foto O. Jorge
Fotografia n.1000 Tipo brasileiro menino - Pernambuco - foto O. Jorge
Fotografia n.1001 Tipo brasileiro menino - Bahia - foto O. Jorge
Fotografia n.1002 Tipo brasileiro menino - Pernambuco - foto O. Jorge
Fotografia n.1003 Tipo brasileiro menino - Bahia - foto O. Jorge


Fotografia n.1004 Tipo brasileiro- Bahia (menino) - Foto O. Jorge
Fotografia n.1005 Tipo brasileiro- Bahia (menino) - Foto O. Jorge
Fotografia n.1006 Tipo brasileiro- Alagoas (menino) - Foto O. Jorge
Fotografia n.1007 Tipo brasileiro- Alagoas (menino)- Foto O. Jorge
Fotografia n.1008 Tipo brasileiro- Alagoas (menino)- Foto O. Jorge
Fotografia n.1009 Tipo brasileiro- Alagoas (menino)- Foto O. Jorge
Fotografia n.1010 Tipo brasileiro- Alagoas (menino)- Foto O. Jorge
Fotografia n.1011 Tipo brasileiro- Alagoas (menino)- Foto O. Jorge
Fotografia n.1012 Tipo brasileiro- Alagoas (menino)- Foto O. Jorge
Fotografia n.1013 Tipo brasileiro- Alagoas (menino)- Foto O. Jorge
Fotografia n.1014 Tipo brasileiro- Alagoas (menino)- Foto O. Jorge
Fotografia n.1015 Tipo brasileiro- Alagoas (menino)- Foto O. Jorge
Fotografia n.1016 Tipo brasileiro- Alagoas (menino)- Foto O. Jorge
Fotografia n.1017 Tipo brasileiro- Alagoas (menino)- Foto O. Jorge
Fotografia n.1018 Tipo brasileiro- Alagoas (menino)- Foto O. Jorge
Fotografia n.1019 Tipo brasileiro- Alagoas (menino)- Foto O. Jorge


Fotografia n.1021 Tipo brasileiro- Alagoas (menino)- Foto O. Jorge
Fotografia n.1022 Tipo brasileiro- Alagoas (menino)- Foto O. Jorge
Fotografia n.1023 Tipo brasileiro- Alagoas (menino)- Foto O. Jorge
Fotografia n.1024 Tipo brasileiro- Pernambuco (menino)- Foto O. Jorge
Fotografia n.1025 Tipo brasileiro- Alagoas (menino)- Foto O. Jorge
Fotografia n.1026 Tipo brasileiro- Alagoas (menino)- Foto O. Jorge
Fotografia n.1027 Tipo brasileiro- Alagoas (menino)- Foto O. Jorge
Fotografia n.1028 Tipo brasileiro- São Paulo (menino)- Foto O. Jorge
Fotografia n.1029 Tipo brasileiro- Pernambuco (menino)- Foto O. Jorge
Fotografia n.1030 Tipo brasileiro- Alagoas (menino)- Foto O. Jorge
Fotografia n.1031 Sem legenda e sem fotografia
Fotografia n.1032 Tipo brasileiro- Alagoas (menino)- Foto O. Jorge
Fotografia n.1033 Tipo brasileiro- Alagoas (menino)- Foto O. Jorge
Fotografia n.1034 Tipo brasileiro- Alagoas (menino)- Foto O. Jorge
Fotografia n.1035 Tipo brasileiro- Alagoas (menino)- Foto O. Jorge
Fotografia n.1036 Tipo brasileiro- Alagoas (menino)- Foto O. Jorge


Fotografia n.1037 Tipo brasileiro- Alagoas (menino) - Foto O. Jorge
Fotografia n.1038 Tipo brasileiro- Alagoas (menino) - Foto O. Jorge
Fotografia n.1039 Tipo brasileiro- Alagoas (menino) - Foto O. Jorge
Fotografia n.1040 Tipo brasileiro- Alagoas (menino)- Foto O. Jorge
Fotografia n.1041 Tipo brasileiro- Pernambuco (menino)- Foto O. Jorge
Fotografia n.1042 Tipo brasileiro- Alagoas (menino)- Foto O. Jorge
Fotografia n.1043 Tipo brasileiro- Alagoas (menino)- Foto O. Jorge
Fotografia n.1044 Tipo brasileiro- Alagoas (menino)- Foto O. Jorge
Fotografia n.1045 Tipo brasileiro- Alagoas (menino)- Foto O. Jorge
Fotografia n.1046 Tipo brasileiro- Alagoas (menino)- Foto O. Jorge
Fotografia n.1047 Tipo brasileiro- Alagoas (menino)- Foto O. Jorge
Fotografia n.1048 Tipo brasileiro- Alagoas (menino)- Foto O. Jorge
Fotografia n.1049 Tipo brasileiro- Alagoas (menino)- Foto O. Jorge
Fotografia n.1050 Tipo brasileiro- Alagoas (menino)- Foto O. Jorge
Fotografia n.1051 Tipo brasileiro- Alagoas (menino)- Foto O. Jorge
Fotografia n.1052 Tipo brasileiro- Alagoas (menino)- Foto O. Jorge


Fotografia n.1053 Tipo brasileiro- Alagoas (menino) - Foto O. Jorge
Fotografia n.1054 Sem legenda e sem fotografia
Fotografia n.1055 Sem legenda e sem fotografia
Fotografia n.1056 Tipo brasileiro- Paraná (menino)- Foto O. Jorge
Fotografia n.1057 Tipo brasileiro- Minas (menino)- Foto O. Jorge
Fotografia n.1058 Tipo brasileiro- Minas (menino)- Foto O. Jorge
Fotografia n.1059 Tipo brasileiro- Minas (menino)- Foto O. Jorge
Fotografia n.1060 Tipo brasileiro- Minas (menino)- Foto O. Jorge
Fotografia n.1061 Tipo brasileiro- Minas (menino)- Foto O. Jorge
Fotografia n.1062 Tipo brasileiro- Minas (menino)- Foto O. Jorge
Fotografia n.1063 Tipo brasileiro- Distrito Federal (menino)- Foto O. Jorge
Fotografia n.1064 Tipo brasileiro- Minas (menino)- Foto O. Jorge
Fotografia n.1065 Tipo brasileiro- Minas (menino)- Foto O. Jorge
Fotografia n.1066 Tipo brasileiro- Minas (menino)- Foto O. Jorge
Fotografia n.1067 Tipo brasileiro- Minas (menino)- Foto O. Jorge
Fotografia n.1068 Tipo brasileiro- Minas (menino)- Foto O. Jorge


Fotografia n.1069 Tipo brasileiro- Minas (menino) - Foto O. Jorge
Fotografia n.1070 Tipo brasileiro- Minas (menino) - Foto O. Jorge
Fotografia n.1071 Tipo brasileiro- Minas (menino) - Foto O. Jorge
Fotografia n.1072 Tipo brasileiro- Minas (menino)- Foto O. Jorge
Fotografia n.1073 Tipo brasileiro- Distrito Federal (menino)- Foto O. Jorge
Fotografia n.1074 Tipo brasileiro- Minas (menino)- Foto O. Jorge
Fotografia n.1075 Tipo brasileiro- Minas (menino)- Foto O. Jorge
Fotografia n.1076 Tipo brasileiro- Minas (menino)- Foto O. Jorge
Fotografia n.1077 Tipo brasileiro- Minas (menino)- Foto O. Jorge
Fotografia n.1078 Tipo brasileiro- Minas (menino)- Foto O. Jorge
Fotografia n.1079 Tipo brasileiro- Minas (menino)- Foto O. Jorge
Fotografia n.1080 Tipo brasileiro- Distrito Federal (menino)- Foto O. Jorge
Fotografia n.1081 Tipo brasileiro- Minas (menino)- Foto O. Jorge
Fotografia n.1082 Tipo brasileiro- Minas (menino)- Foto O. Jorge
Fotografia n.1083 Tipo brasileiro- Minas (menino)- Foto O. Jorge
Fotografia n.1084 Tipo brasileiro- Minas (menino)- Foto O. Jorge


Fotografia n.1085 Tipo brasileiro- Minas (menino) - Foto O. Jorge
Fotografia n.1086 Tipo brasileiro- Minas (menino) - Foto O. Jorge
Fotografia n.1087 Tipo brasileiro- Minas (menino) - Foto O. Jorge
Fotografia n.1088 Tipo brasileiro- Distrito Federal (menino)- Foto O. Jorge
Fotografia n.1089 Tipo brasileiro- Distrito Federal (menino)- Foto O. Jorge
Fotografia n.1090 Tipo brasileiro- Portugal (menino)- Foto O. Jorge
Fotografia n.1091 Tipo brasileiro- Minas (menino)- Foto O. Jorge
Fotografia n.1092 Tipo brasileiro- Minas (menino)- Foto O. Jorge
Fotografia n.1093 Tipo brasileiro- Minas (menino)- Foto O. Jorge
Fotografia n.1094 Tipo brasileiro- Minas (menino)- Foto O. Jorge
Fotografia n.1095 Tipo brasileiro- Minas (menino)- Foto O. Jorge
Fotografia n.1096 Tipo brasileiro- Minas (menino)- Foto O. Jorge
Fotografia n.1097 Tipo brasileiro- Minas (menino)- Foto O. Jorge
Fotografia n.1098 Tipo brasileiro- Minas (menino)- Foto O. Jorge
Fotografia n.1099 Tipo brasileiro- Minas (menino)- Foto O. Jorge
Fotografia n.1100 Tipo brasileiro- Alagoas (menino)- Foto O. Jorge


Fotografia n.1104
Fotografia n.1105
Fotografia n.1106
Fotografia n.1107
Fotografia n.1108
Fotografia n.1109
Fotografia n.1110
Fotografia n.1111
Fotografia n.1112
Fotografia n.1113
Fotografia n.1114
Fotografia n.1115
Fotografia n.1116
Fotografia n.1101
Fotografia n.1102
Tipo brasileiro- Minas (menino) - Foto O. Jorge
Tipo brasileiro- Minas (menino) - Foto O. Jorge
Fotografia n.1103 Tipo brasileiro- Minas (menino) - Foto O. Jorge
Tipo brasileiro- Minas (menino)- Foto O. Jorge
Tipo brasileiro- Itália (menino)- Foto O. Jorge
Tipo brasileiro- Distrito Federal (menino)- Foto O. Jorge
Tipo brasileiro- Minas (menino)- Foto O. Jorge
Tipo brasileiro- Minas (menino)- Foto O. Jorge
Tipo brasileiro- Minas (menino)- Foto O. Jorge
Tipo brasileiro- Minas (menino)- Foto O. Jorge
Tipo brasileiro- Minas (menino)- Foto O. Jorge
Tipo brasileiro- Minas (menino)- Foto O. Jorge
Tipo brasileiro- Minas (menino)- Foto O. Jorge
Tipo brasileiro- Minas (menino)- Foto O. Jorge
Tipo brasileiro- Minas (menino)- Foto O. Jorge
Tipo brasileiro- Minas (menino)- Foto O. Jorge


Fotografia n.1117
Tipo brasileiro- Minas (menino) - Foto O. Jorge
Fotografia n.1118 Tipo brasileiro- Minas (menino) - Foto O. Jorge
Fotografia n.1119 Tipo brasileiro- Minas (menino) - Foto O. Jorge
Fotografia n.1120 Tipo brasileiro- Minas (menino)- Foto O. Jorge
Fotografia n.1121 Tipo brasileiro- Distrito Federal (menino)- Foto O. Jorge
Fotografia n.1122 Tipo brasileiro- Minas (menino)- Foto O. Jorge
Fotografia n.1123
Tipo brasileiro- Minas (menino)- Foto O. Jorge
Fotografia n.1124 Tipo brasileiro- Minas (menino)- Foto O. Jorge
Fotografia n.1125 Tipo brasileiro- Minas (menino)- Foto O. Jorge
Fotografia n.1126 Tipo brasileiro- Minas (menino)- Foto O. Jorge
Fotografia n.1127
Tipo brasileiro- Minas (menino)- Foto O. Jorge
Fotografia n.1128 Tipo brasileiro- Minas (menino)- Foto O. Jorge
Fotografia n.1129 Tipo brasileiro- Minas (menino)- Foto O. Jorge
Fotografia n.1130 Tipo brasileiro- Minas (menino)- Foto O. Jorge
Fotografia n.1131 Tipo brasileiro- Minas (menino)- Foto O. Jorge
Fotografia n.1132 Tipo brasileiro- Minas (menino)- Foto O. Jorge


Fotografia n.1133
Tipo brasileiro- Minas (menino) - Foto O. Jorge
Fotografia n.1134 Tipo brasileiro- Minas (menino) - Foto O. Jorge
Fotografia n.1135 Tipo brasileiro- Minas (menino) - Foto O. Jorge
Fotografia n.1136 Tipo brasileiro- Minas (menino)- Foto O. Jorge
Fotografia n.1137 Tipo brasileiro- Estado do Rio (menino)- Foto O. Jorge
Fotografia n.1138 Tipo brasileiro- Minas (menino)- Foto O. Jorge
Fotografia n.1139
Tipo brasileiro- Minas (menino)- Foto O. Jorge
Fotografia n.1140 Tipo brasileiro- Minas (menino)- Foto O. Jorge
Fotografia n.1141 Tipo brasileiro- Minas (menino)- Foto O. Jorge
Fotografia n.1142 Tipo brasileiro- Minas (menino)- Foto O. Jorge
Fotografia n.1143
Fotografia n.1144
Tipo brasileiro- Minas (menino)- Foto O. Jorge
Tipo brasileiro- Minas (menino)- Foto O. Jorge
Fotografia n.1145 Tipo brasileiro- Minas (menino)- Foto O. Jorge
Fotografia n.1146 Tipo brasileiro- Minas (menino)- Foto O. Jorge
Fotografia n.1147 Tipo brasileiro- Minas (menino)- Foto O. Jorge
Fotografia n.1148 Tipo brasileiro- Minas (menino)- Foto O. Jorge


Fotografia n.1149 Tipo brasileiro- Minas (menino) - Foto O. Jorge
Fotografia n.1150 Tipo brasileiro- Minas (menino) - Foto O. Jorge
Fotografia n.1151 Tipo brasileiro- Minas (menino) - Foto O. Jorge
Fotografia n.1152 Tipo brasileiro- Minas (menino)- Foto O. Jorge
Fotografia n.1153 Tipo brasileiro- Minas (menino)- Foto O. Jorge
Fotografia n.1154 Tipo brasileiro- Minas (menino)- Foto O. Jorge
Fotografia n.1155 Tipo brasileiro- Minas (menino)- Foto O. Jorge
Fotografia n.1156 Tipo brasileiro- Minas (menino)- Foto O. Jorge
Fotografia n.1157 Tipo brasileiro- Minas (menino)- Foto O. Jorge
Fotografia n.1158 Tipo brasileiro- Minas (menino)- Foto O. Jorge
Fotografia n.1159 Tipo brasileiro- Minas (menino)- Foto O. Jorge
Fotografia n.1160 Tipo brasileiro- Minas (menino)- Foto O. Jorge
Fotografia n.1161 Tipo brasileiro- Minas (menino)- Foto O. Jorge
Fotografia n.1162 Tipo brasileiro- Minas (menino)- Foto O. Jorge
Fotografia n.1163 Tipo brasileiro- Minas (menino)- Foto O. Jorge
Fotografia n.1164 Tipo brasileiro- Minas (menino)- Foto O. Jorge


Fotografia n.1165 Tipo brasileiro- Minas (menino)- Foto O. Jorge
Fotografia n.1166 Tipo brasileiro- Minas (menino)- Foto O. Jorge
Fotografia n.1167 Tipo brasileiro- Minas (menino)- Foto O. Jorge
Fotografia n.1168 Tipo brasileiro- Minas (menino)- Foto O. Jorge
Fotografia n.1730 Forja primitiva do Laos, colônia francesa perto da colônia vizinha do Anam
Fotografia n.1731 Japão- acesso direto para a fabricação do ferro- Ledeburg
Fotografia n.1732 Sem legenda e sem fotografia
Fotografia n.1733 Mapa geológico da zona central de Minas Gerais
Fotografia n.1734 Sem legenda e sem fotografia




Fotografia n.1737 Corte geológico leste-oeste de Itabirito do Pico de Itabira do Campo (do Rio das Velhas ao Rio Paraopeba)
Fotografia n.1738 Detalhes do corte geológico leste-oeste pelo Pico de Itabira do Campo (Excursão Laboriau)
Fotografia n.1739 Serra de Quartzito (caminho do Campo de Itabira, Excursão Laboriau)


Fotografia n.1740 Pico de Itabira do Campo- Excursão Laboriau (1926)
Fotografia n.1741 Pico de Itabira do Campo- Excursão Laboriau (1926)


Fotografia n.1742 Pico de Itabira do Campo - Excursão Laboriau (1926)
Fotografia n.1743 Pico de Itabira do Campo - Excursão Laboriau (1926) [32 milhões de toneladas de ferro oligisto com 69% de ferro]


Fotografia n.1744 Vista classificada do Pico de Itabira do Campo- Excursão Laboriau
Fotografia n.1745 Pico de Itabira do Campo- Excursão Laboriau (1926)


Fotografia n.1746 Ascensão do Pico de Itabira do Campo- Excursão Laboriau (1926)
Fotografia n.1747 Alto do Pico de Itabira do Campo- Excursão Laboriau (1926)


Fotografia n.1748 Forja do Jirau (processo direto)- Itabira do Mato Dentro - Excursão Laboriau (1926)
Fotografia n.1749 Forja do Jirau (processo direto)- Itabira do Mato Dentro - Excursão Laboriau (1926)


Fotografia n.1750 Forja do Jirau (processo direto)- Itabira do Mato Dentro- Excursão Laboriau (1926)


Fotografia n.1752 Jazida de Conceição- Itabira do Mato Dentro - Excursão Laboriau (1926)
Fotografia n.1753 Uma das galerias para estudo das jazidas de Itabira - Iron Ore Company Itabira do Mato Dentro- Excursão Laboriau (1926)


Fotografia n.1754 Pico de Cauê- Galeria para exploração e estudo da jazida de Itabira- Excursão Laboriau (1926)
Fotografia n.1755 Pico de Cauê visto da jazida de Dois Córregos- Excursão Laboriau (1926)


Fotografia n.1756 O Pico de Cauê vista da jazida de Dois Córregos - Excursão Laboriau (1926)
Fotografia n.1757 O Pico de Cauê vista da jazida de Dois Córregos - Excursão Laboriau (1926)


Fotografia n.1758 Pico de Cauê visto da jazida de Dois Córregos - Excursão
Laboriau (1926)
Fotografia n.1759 Pico de Cauê visto da jazida de Dois Córregos - Excursão
Laboriau (1926)


Fotografia n.1760 Pico de Cauê visto de Dois Córregos- Excursão Laboriau (1926)
Fotografia n.1761 Pico de Cauê visto da jazida de Dois Córregos - Excursão Laboriau (1926)


Fotografia n.1762 O Pico de Cauê visto da jazida de Dois Córregos - Excursão Laboriau (1926)
Fotografia n.1763 O Pico de Cauê visto da jazida de Dois Córregos - Excursão Laboriau (1926)


Fotografia n.1764 O Pico de Cauê visto da jazida de Dois Córregos - Excursão Laboriau (1926)
Fotografia n.1765 O Pico de Cauê visto da jazida de Dois Córregos - Excursão Laboriau (1926)


Fotografia n.1766 Sem legenda e sem fotografia
Fotografia n.1767 Encosta do Pico de Cauê - Itabira de Mato Dentro - Excursão Laboriau (1926)


Fotografia n.1804 a) Haste de leguminosa com uma galha b) Phylloxera vastatrix c) Sitaris- Meloidae
Fotografia n.1805 a) Papoula papaveraceae b) Camélia (botão floral)
Fotografia n.1806 a) uredinineas - basidiomicetos b) Puccinia glumarum - ferrugem amarela dos cereais
Fotografia n.1807 a) Inserção de duas folhas consecutivas b) espiral contínua de duas folhas para determinar a divergência
Fotografia n.1808 a) Folhas do Desmodium gyrans b) trevo em posição de sono
Fotografia n.1809 a) Batata; b) Medronheiro c) Jasmim d) Salvia officinalis
Fotografia n.1810 a) Corte transverso de antera de Malva, de dois sacos polínicos; b) Tetrado de grãos de pólen em via de formação (chagas) na célula-mãe.
Fotografia n.1811 Gimnóstomo de Aristolochia; b) Gimnóstomo de arruda; c) Gimnóstomo de Heritiera
Fotografia n.1812 Estados do embrião do feijão
Fotografia n.1813 a) Capsicum brasilianum- pimenta (flor completa); b) flor z igomorfa de leguminosas; c) inflorescência axilar - algodoeiro
Fotografia n.1814 a) malva silvestre; b) espirradeira; c) brincos de princesa (Fuchsia integrifolia); d) Flor de feijão
Fotografia n.1815 Corte transversal do caule primário do grão de amido


Fotografia n.1816 Cacho composto de jacatupé- Espiga de tanchagem - Espiga composta
Fotografia n.1817 Sem legenda e sem fotografia
Fotografia n.1818 a) Semente alada do cedro b) Semente alada da peroba rosa c) Semente alada de jequitibá vermelho d) Bignonia catalpa e) Semente alada de ipê branco f) Semente alada de abeto
Fotografia n.1819 a) Cacho de espigas (aveia) b) Corymbo de capítulos
Fotografia n.1820 Açucena ou lírio- inflorescência em cacho simples
Fotografia n.1821 a) Berberis vulgaris b), c), d) e e) pólen
Fotografia n.1822 a) Gomo ou botão b) Corte longitudinal dos gomos c) Folha ascidiada d) Folhas espinhos
Fotografia n.1823 Açucena ou lírio- inflorescência em cacho simples
Fotografia n.1824 a) Corola ligulada da chicória composta b) Boca de lobo c) Estames: I- Azaleia II- Espirradeira III- Thuya IV- Antera de araucária
Fotografia n.1825 a) Umbelia, I-simples, II, composta- b) Capítulo, I, de saudade, II, de camomila
Fotografia n.1826 a) Andróforos de estames b) Aderências de anteras
Fotografia n.1827 Prefoliação isoladamente para cada folha- a) plana b) revolutada c) conduplicada d) dobrada f) involutada g) convolutada h) circinada i) composta da leguminosa Sol da Bolívia


Fotografia n.1828 Disposição dística das folhas das gramíneas (cana de açúcar)
Fotografia n.1829 a) Estames períginos b) Estames hipóginos c) Estames epíginos
Fotografia n.1830 Carpelos espiralados do pistilo da magnólia
Fotografia n.1831 a) Placentação parietal e ovário unilocular b) Placentação central c) Carpelos livres
Fotografia n.1832 a) Cálice calcarado ou com espora b) Goivo c) Cálice zigomorfo e corola (Chagas) d) Fumo- cálice e corola gamossépalos
Fotografia n.1833 Prefoliação no gomo: a) imbricada b) conduplicada equitante c) conduplicada semiequitante d) involutada f) revolutada
Fotografia n.1834 Folha carpelar das Gimnospermas, vendo-se os óvulos
Fotografia n.1835 Sem legenda e sem fotografia
Fotografia n.1836 a) Deiscência septífraga, formando-se em cada carpelo duas fendas b) Deiscência septífraga- Estramônio c) Deiscência septífragaCrucíferas d) Deiscência septífraga- mussambê de espinho e) Deiscência septígrafa- Geraniáceas
Fotografia n.1837 Ophioglossum reticulatum
Fotografia n.1838 Uredósporos de Hemileia vastatrix
Fotografia n.1839 Cavalinhas (Equisetáceas)
Fotografia n.1840 Ascolíquenes- Collema pulposum


Fotografia n.1841 Cladódio de Phyllanthus
Fotografia n.1842 Dictonomia latente - Euphorbia lathyris
Fotografia n.1843 a) Nodosidades das raízes das leguminosas, Rhizobium; b) lentilha d'água
Fotografia n.1844 folhas isoladas - salsaparrilha
Fotografia n.1845 Nymphaea- metamorfose folhear
Fotografia n.1846 a) fruto de alecrim; b) fruto de angelim; c) fruto oleaginoso de andaaçu
Fotografia n.1847 fruto do mamoeiro (baga)
Fotografia n.1848 a)deiscência septicida; b) deiscência loculicida
Fotografia n.1849 a) Sorose, fruto completo do abacaxi ou ananás b, c) Sicônios, frutos compostos das figueiras d) Fruto composto da amoreira e) Fruto composto do caapiá
Fotografia n.1850 a) feto macho - aspidium filix mas b) protalo do feto
Fotografia n.1851 a) folha perfolhada; b) folha sésseis coadunadas; c) folhas adunadas da madressilva
Fotografia n.1852 Bolbos: a) escamoso b) tunicado c) sólido d) corte longitudinal


Fotografia n.1853 a) mergulhia: I- na terra II- de um ramo aéreo; b) estaca: i- antes de enraizar II- enraizada
Fotografia n.1854 a) Estames: I- goivo; II- vinha. b) Flores: a) flor estaminada da mamoneira; flor pistilada da mamoneira; c) anteras (sacos polínicos) de Ceratozamia; d) Corte transverso de um antera de Anonáceas
Fotografia n.1855 Sem legenda e sem fotografia
Fotografia n.1856 a) Corte transverso de uma antera madura; b) Grão de pólen do lírio já separado
Fotografia n.1857 a) Pétala de goivo; b) Esporão de corola; c) Cruz de malta
Fotografia n.1858 a) Diagrama floral de liliáceas; b) diagrama floral de Tamarindus; c) Diagrama floral de canáceas.
Fotografia n.1859 a) Fruto simples do caju; b) Fruto múltiplo do morangueiro; c) Fruto múltiplo da pinha
Fotografia n.1860 Deiscência réptil - Assacu ou arvore do diabo; b) Deiscência réptil - fruto do beijo do frade; c) Deiscência transversa opercular - sapucaia
Fotografia n.1861 a) Marcha do tubo polínico até a formação do ovo Angiospermas; b) Óvulo cortado verticalmente de Callitris
Fotografia n.1862 a) corte transversal no limbo de uma folha de limão; b) extremidade de uma folha de Zostera marina
Fotografia n.1863 Semente de feijão; semente do mesmo feijão aberta; cápsula do algodão; semente com pelos
Fotografia n.1864 a) Lobelia siphilitica; b) concrescência dos estames com a corola; c) Borragináceas; d) Espargos; e) beijo de frade; f) Centaurea cyanus


Fotografia n.1865 Corte transverso de saco polínico do lírio: 1) células-mães polínicas 2) camada nutritiva 3) parede do saco 4) epiderme
Fotografia n.1866 a) Corte longitudinal do óvulo de pé de galinha (Eleusine coracana - Gramíneas; b) Corte vertical de coco da Bahia (Cocos nuciferaPalmeiras)
Fotografia n.1867 a) Epiderme da folha do milho; b) Epiderme da folha de Hera (Hedera helix - Araliáceas) c) Corte transverso de folha de Ficus elastica
Fotografia n.1868 a) Isogamia. (Spirogyra) (Zygnemataceae) (Algas); b) Heterogamia. (Fucus) (Fucáceas); c) Ovos sem diodes
Fotografia n.1869 a) semente de copaíba b) semente do pinhão de purga c) semente da pimenta do sertão d) semente de mamoneira; semente de rícino e) semente de tártago f) estrofiolo da semente de papaverácea g) semente da árvore do viajante
Fotografia n.1870 Sem legenda e sem fotografia
Fotografia n.1871 a) Corte de um grão de pólen de Malváceas; b) Políneas ou massas polínicas; c) Oxalis acetosella
Fotografia n.1872 a) Jacinto (Hyacinthus officinalis - Liliáceas); b) Corte longitudinal de flor de ameixeira; c) Corte vertical de Barbacenia purpurea (Canela de ema)
Fotografia n.1873 a) Estaminoide de Caeté; b) Açucena;
Fotografia n.1874 a) Glândulas calcarígenas das Plombagináceas; b) Diferentes aspectos dos pelos escamosos do lúpulo.


Fotografia n.1875 a) Corte longitudinal de flor feminina do visco e óvulo anfítropo de Opuntia b) Corte longitudinal de corpúsculo do pinheiro
Fotografia n.1876 a) Samara de Hiraea elegans; b) Samara de Dioscorea; c) Samara de pão de alho; d) Samara de bico de pato; e) Disamara de Ailanthus glandulosa; Polisamara de pequiá marfim
Fotografia n.1877 Fruto simples de laranja.
Fotografia n.1878 a) Pixídio de jequitibá vermelho; b) Lande do carvalho; c) Cápsula de guarantã
Fotografia n.1879 a) folículo de peroba b) folículo espiralado de saca-rolhas c) legume do olho de cabra d) cápsulas de quina
Fotografia n.1880 a)Corte longitudinal da raiz; b) circulação da seiva ascendente
Fotografia n.1881 sem legenda e sem fotografia
Fotografia n.1882 a) Flor feminina de abóbora; b) flor das gramíneas
Fotografia n.1883 a) estilete curto e estigma séssil - amoreira; b) estilete lateralmorangueiro; c) estilete ginobásico d) carpelos abertos e) placentação axilo e ovário plurilocular
Fotografia n.1884 a) Estames ramificados de malva; b) Esquema de um estame c) Corte de antera de lírio
Fotografia n.1885 a) Rosa ( flor completa); b) Trigo - flor estéril; c) Salgueiro ( flor incompleta); d) Goivo; e) Estame.
Fotografia n.1886 a) Amentilho de aveleira americana; b) Espádice de Aráceas; c) Espata de palmeira d) Corimbo de ameixeira


Fotografia n.1887 a) raiz perpendicular b) raiz ramosa c) raiz fasciculada
Fotografia n.1888 Ramos – tubérculos – batata (Solanum tuberosum)
Fotografia n.1889 a) semente de mamona em germinação; b) rizomas de tupinambo
Fotografia n.1890 a) caule de abóbora, corte transverso; b) corte transversal de caule de milho
Fotografia n.1891 pelos epidérmicos: a) papilas da corola; pelo capitado; pelo varicoso; pelo em espinho da haste; pelo da Urtica b) pelo glandulífero c) pelo articulado
Fotografia n.1892 Cipó escada
Fotografia n.1893 Seção transversal do caule de uma dicotiledônea, mostrando a disposição dos tecidos
Fotografia n.1894 Formação secundárias do caule
Fotografia n.1895 Estrutura secundárias do caule
Fotografia n.1896 Experiência de heliotropismo positivo (Garcia Redondo)
Fotografia n.1897 Ipecacuanha- estípulas filamentosas verticiladas
Fotografia n.1898 a) Bagos de uvas com manchas de podridão negra; b) Antracnose na folha da vinha; c) Vagem de feijão com manchas de antracnose


Fotografia n.1899 a) Canais mucíferos da laminaria b) Corte longitudinal na base no ponto vegetativo c) Células secretoras d) Corte transversal da lâmina adulta e) Porção isolada da rede de canais mucíferos da laminaria
Fotografia n.1900 a) Saco digestivo da raiz na batata b) Disposição diplóstica das radicelas c) Disposição isóstica das radicelas
Fotografia n.1901 a) Pelo secretor do serpão b) Pelo secretor de folha do Pelargonium odoratissimum c) Pelo ramificado e glandulífero de alfazema
Fotografia n.1902 Puccinia graminis- Espermogônio e aecídia
Fotografia n.1903 Corte transverso de um esclerote de centeio espigado –Ascomicetos: a) Filamentos e conídias superficiais b) pseudoparênquima de pequenas células c) Idem de células maiores
Fotografia n.1904 a) Formação de ovo nos basidiomicetos b) Basides com basidiósporos c) Conídias
Fotografia n.1905 Cactácea- planta gorda e forrageira
Fotografia n.1906 Diferentes formas de vasos lenhosos (raiz de melancia- cucurbitáceas)


Fotografia n.1907 a) Tubo polínico; b) Pistilo de saxifraga
Fotografia n.1908 Tecido dissociado (Bacillus putrificus coli)
Fotografia n.1909 Descorticações anulares: lábio superior com raízes adventícias
Fotografia n.1910 a) Enxerto de garfo; b) Enxerto de escudo
Fotografia n.1911 a) Esquema de uma célula crivada adulta; b) Tubo crivado de haste do Ricinus; c) Estado de uma célula crivada nova com núcleo e vacúolos
Fotografia n.1912 Hepáticas - planta feminina
Fotografia n.1913 a) Folha simples, sem estípulas; b) Folha composta com estípulas
Fotografia n.1914 Transformação dos clorolêucitos no pericarpo do feijão
Fotografia n.1915 Formação da cortiça por ocasião da queda das folhas: 1) epiderme 2) expansão suberificada
Fotografia n.1916 Germinação do feijão.
Fotografia n.1917 a) frutos do araçá-mirim; b) frutos da canela-preta; c) frutos de casca d'anta
Fotografia n.1918 a) Licopodiáceas; b) Selaginellaceae - microdiode germinado
Fotografia n.1919 Semente de rícino com três semanas de germinação.


Fotografia n.1920 a) Óvulo: 1) funículo 2) hilo 3) tegumento 4) nucelo 5) micrópilo 6) chalaza b) Flor só com corola (cálice petaloide, lírio) c) Flor feminina do salgueiro (Salix alba): 1- brácteas 2- pistilo de dois estigmas
Fotografia n.1921 Desenho recortado, sem legenda
Fotografia n.1922 Figura 56- a) Euglena viridis b) E. gracilis Figura 57- Esferocristais de inulina- Dália (imersão na glicerina durante 8 dias)
Fotografia n.1923 a) Closterium (Desmidiáceas) b) Cladophora fracta c) Zygnema cruciatum
Fotografia n.1924 a) Corte de fruto ou grão de aveia b) Fruto da palmeira- marfim vegetal c) I-Semente de canácea II- Piparáceas: perisperma e albúmen oleaginoso
Fotografia n.1925 a) Folíolo de folha de Psoralea: 1) nervuras terminais 2) Idem, vendo-se os clorolêucitos b) 1) terminação de nervura 2) de feixe lenhoso 3) e 4) parênquima clorofílico c) Epitema: 1) estoma aquífero
Fotografia n.1926 a) 1) embrião b) 1) cótilo 2) gêmula 3) radícula 4) esboço do meristelo c) ramo de teuga – pinácea d) Corte do vértice e) esboço de circunutação do caule
Fotografia n.1927 Caules volúveis: a) Convolvulacea dextrorso b) Lúpulo – Moráceassinistrorso
Fotografia n.1928 Origem dos laticíferos nas euforbiáceas: a) Corte do caulículo b) Corte longitudinal de embrião c) Corte transversal de embrião d) Outro corte transversal de embrião e) Laticíferos ramificados
Fotografia n.1929 a) Raiz de ervilha retirada do solo mostrando as partículas da terra aderentes aos pelos absorventes b) Pelo absorvente aderente às partículas da terra
Fotografia n.1930 Semente em germinação- Posição horizontal: 1) e 2) Geotropismo negativo 3) Cótilos 4) Colo 5) e 6) Ponta da raiz 5) e 7) Inclinação para a terra – geotropismo positivo
Fotografia n.1931 Raiz lateral gemária (exógena) do agrião: 1) Epiderme desdobrada 2) Cilindro central (Lunaire)


Fotografia n.1932 a) Folha peltada de Chagas; b) folha de trigo; c) folha de graviola
Fotografia n.1933 Raízes laterais gemárias: a) Agrião; b) Orchis maculata
Fotografia n.1934 Corte transversal do setor de caule dicotilo de quatro anos.
Fotografia n.1935 Esclerênquima (fibras)
Fotografia n.1936 a) Placas calosas onduladas; b) corte longitudinal da haste da Tilia ulmifolia
Fotografia n.1937 a) Folha denteada; b) Folha serreada; c) folha lobada; d) folha de linho ramificada perpendicularmente; e) folha composta
Fotografia n.1938 Pinha (fruto composto do pinheiro Araucaria brasiliana)
Fotografia n.1939 Elaioplastos ou eleolêucitos da baunilha
Fotografia n.1940 Feto macho brasileiro - Polypodium polypodioides
Fotografia n.1941 a) Meristema de cicatrização das quedas das folhas; b) Curvas exprimindo a marcha da temperatura na respiração da folha
Fotografia n.1942 a) corte longitudinal do caule do angiosperma; b) Corte longitudinal da haste da vértice do lúpulo, em que não há senão duas iniciais; c) Corte longitudinal do vértice do caule de Solanum nigrum
Fotografia n.1943 Sem legenda e sem fotografia
Fotografia n.1944 a) Phytophthora infestans b) Plasmopara viticola


Fotografia n.1945 a) Bacillus lactis b) Micrococcus ureae c) Streptococcus mesenteroides d) Bactéria nitrosa
Fotografia n.1946 fig. 56 a) Euglena viridis b) Euglena gracilis Fig. 57 a) Esphero- cristais de inulina - Dahlia.
Fotografia n.1947 Bananeira figo (fruto, baga)
Fotografia n.1948 a) Desdobramento dos dois feixes lenhosos da raiz em dois outros; b) Volta das metades dos feixes, depois união, dois a dois, contra o líber; c) Passagem da raiz ao caule; d) Volta de cada metade lenhosa contra metade do feixe liberiano.
Fotografia n.1949 a) Beggiatoa alba; b) Outras sulfobactérias
Fotografia n.1950 a) bolsas secretoras da laranjeira b) células multiplicadas c) aparecem os núcleos oleígenos d) bolsa aumentada e) bolsa madura com essência e destroço de células f) pelos secretores da folha de jaborandi
Fotografia n.1951 a) levedo de cerveja: formação dos esporos
Fotografia n.1952 a) aparelho conidiano de Aspergillus niger b) Corte de estroma frutífero de Nectria ditissima c) Claviceps purpurea
Fotografia n.1953 Rosas de madeira (goiabeira)
Fotografia n.1954 a) Corte vertical da flor feminina da Apodanthes; b) Helosis brasiliensis
Fotografia n.1955 Experiência de cultura artificial mostrando o maior desenvolvimento das raízes, porém raquíticas, plantas crescendo em solução nutritiva pobre.
Fotografia n.1956 a) nogueira b) fruto do cajueiro; c) diasquênio do coentro
Fotografia n.1957 a) Corte vertical da romã b) Corte longitudinal de fruto do abacateiro


Fotografia n.1958 Germinação do trigo – Gramíneas: 1) raízes laterais 2) raiz terminal 3) coleorriza 4) primeiras folhas
Fotografia n.1959 a) Fruto simples do caju (Anacardiáceas) b) Fruto múltiplo do morangueiro (Rosáceas) c) Fruto múltiplo da pinha (Anonáceas)
Fotografia n.1960 a) Deiscência (areeiro)- Assacu da árvore do diabo – euforbiáceas b) Deiscência- Fruto do beijo de frade- balsamináceas c) Deiscência transversa- sapucaia- portulacáceas
Fotografia n.1961 a) Amendoim- Leguminosas b) Aquênio do baru - Leguminosa, semente oleaginosa e comestível. Polpa forrageira c) Triaquênio do tamarindo
Fotografia n.1962 Filamento de Cladophora em uma gota d’água onde pululam bactérias móveis, submetido ao espectro microscópico da luz solar
Fotografia n.1963 a) Parte lacunosa da folha da espirradeira: 1) camada lacunosa 2) epiderme com cripta estomatífera 3) pelos b) hidátodo de uma folha: 1) estômato aquífero 2) epitema 3) terminação da nervura
Fotografia n.1964 a) Formas de antera: I- gramíneas II- euforbiáceas III- violeta IVmedronheiro – ericáceas b) Pixydanthera – deiscência das anteras c) Arceuthobium- deiscência circular d) caneleira- lauráceasdeiscência valvular das anteras
Fotografia n.1965 a) Filamento micélico e corpo miliar de Rhizoctonia violaceacogumelos imperfeitos b) Azolla caroliniana c) Chlorella vulgaris- alga
Fotografia n.1966 a) Corte transversal de folha de pinheiro b) Corte longitudinal esquemático da folha c) Folha de trevo (leguminosas) d) Corte transverso do pecíolo nos dois casos mais frequentes
Fotografia n.1967 a) Íris amarelo- Iridáceas b) Miosótis – Borragináceas c) Begoniáceas- Cima bípara
Fotografia n.1968 Tecido colenquimatoso: a) Pyrus communis (corte transversal) 1) colênquima b) haste de labiada 1) colênquima angular
Fotografia n.1969 Gavinhas adesivas terminais; vinha virgem (vitáceas)- Belzung


Fotografia n.1970 Tubos laticíferos da Euphorbia splendens (grãos de amido claviforme)
Fotografia n.1971 a) sementes de trigo e aveia germinando; b) raízes carnosas
Fotografia n.1972 a) Thyllus da Robinia pseudoacacia; b) Thyllus na Cucurbita maxima
Fotografia n.1973 a) gomos do castanheiro; b) gomo da pereira
Fotografia n.1974 Tecido escleroso célula ramificada
Fotografia n.1975 a) corte longitudinal axial, da raiz (Pontederia) b) As iniciais difusas c) Arco rizógeno
Fotografia n.1976 a) Ramificações em cacho cônico; b) ramificação em cima; c) Sympode; d) Gomos laterais do Lilax
Fotografia n.1977 Plano separador do caule e da raiz, zona da epiderme simples, epiderme, camadas esfoliadas
Fotografia n.1978 a) Laticíferos da alface ; b) Rede laticífera septuada da raiz de dente de leão; c) Scorzonera hispanica
Fotografia n.1979 a) corte transversal da haste de cânhamo b) corte transversal de feixe concêntrico da haste.
Fotografia n.1980 a) caule anômalo de Bignoneaceae b) caule anômalo de Sapindaceae brasileira; c) caule anômalo de Gnetaceae brasileira; d) caule anômalo de Menispermaceae
Fotografia n.1981 Corte longitudinal do meristema terminal do caule de Thuya occidentalis.


Fotografia n.1982 Caule de Dracaena (caule na periferia)
Fotografia n.1983 Tubos derivados de plantas herbáceas e lenhosas
Fotografia n.1984 Ácido málico- parênquima de Euphorbia resinífera, depois de estada demorada no álcool
Fotografia n.1985 Cristais de oxalato de cálcio das células
Fotografia n.1986 Corte longitudinal de haste de Liliaceae
Fotografia n.1987 Aparelho monstrando o efeito da pressão osmótica ao nível das raízes, o tubo encheu-se de seiva.
Fotografia n.1988 a) Caule polistélico de Primula auricula; b) Raiz terminal do sarraceno
Fotografia n.1989 Fibras de várias plantas: linho, juta, cânhamo, rami.
Fotografia n.1990 Sem legenda e sem fotografia
Fotografia n.1991 a) Folha penninerves de bananeira; b) Folha palmada de vinha
Fotografia n.1992 a) Sympode helicoide b) Sympode escorpioide c) Célula terminal dividida em 2 por um septo médio, origem de dicotomia verdadeira d) Esboço de 2 ramos da dicotomia
Fotografia n.1993 a) cortes longitudinais de líber de abóbora, os tubos crivados com os septos cobertos de calose; b) um corte semelhante no estio, mostrando os septos sem o calo e bem salientes os crivos, que comunicam uma célula a outra


Fotografia n.1994 a) 1- Caule ramificado: haste com folhas e um gomo terminal; ramo com folhas; um gomo b) Ramos adventícios, extra axilares
Fotografia n.1995 a), b), c) e d) Estomas aeríferos (diversas formas) e) Esquema de funcionamento do estoma
Fotografia n.1996 a) Vaso areolado fechado (araucária) b) Lenho de pinheiro, corte longitudinal radial: 1) lenho da primavera 2) raio medular 3) lenho do outono
Fotografia n.1997
Fotografia n.1998
Corte transversal da raiz de Sinapis alba (mostarda): 1) camada superendodérmica 2) quadros de espessamento 3) endoderma 4) periciclo (Van Tieghem)
Corte transversal do estelo da raiz: 1) zona cortical interna 2) endoderma 3) e 4) periciclo 5) conjuntivo 6) feixes lenhosos 7) feixes liberianos 8) raios medulares (Van Tieghem)
Fotografia n.1999 Cortes transversais de uma raiz: a) casca: 1) camada pilífera 2) camada cortical externa 3) camada cortical interna 4) endoderma; Cilindro central (5, 6, 7, 8 e 9): 5) periciclo 6) líber 7) raiz medular 8) lenho 9) medula 10) pelos absorventes b) célula endodérmica isolada
Fotografia n.2000 Trigo arrancado mostrando as raízes envoltas em uma camada terrosa aderente aos pelos (Van Tieghem)
Fotografia n.2001 Vértice do caule subterrâneo de Cryptogamo vascular: 1) célula inicial 2) segmentos laterais simples 3) septo separador da casca e do cilindro central 4) septo separando a casca externa e interna 5) célula rizógena 6) papila 7) endoderma definitivo 8) casca externa 9) estelo (Van Tieghem)
Fotografia n.2002 Attalea
Fotografia n.2003 Acrocomia
Fotografia n.2004 Fotografia de vegetação com a legenda quase totalmente apagada
Fotografia n.2005 Palmeira (sem legenda)


Fotografia n.2006 a) Lentilha d'agua; b) Visco
Fotografia n.2007 Estrutura do vértice da raiz nos fetos: 1) inicial única 2) cilindro central 3) casca 4) efeito
Fotografia n.2008 a) Estolhos do morangueiro e raízes laterais; b) Raiz principal e radículas
Fotografia n.2009 fig. 107 a) Nós e entrenós no caule em crescimento, b) Gomo terminal de caule. Fig. 108 - a) gomos de castanheiro; b) gomos de pereira
Fotografia n.2010 Lenticelas do salgueiro (ramo)
Fotografia n.2011 Células do caulículo do embrião do feijão - esboço de futuros lêucitos com amido.
Fotografia n.2012 a) Folha composta de mandioca; b) folha composta de Umbelífera; c) Folha bipensada de sensitiva
Fotografia n.2013 Monjolo (homem africano)


Fotografia n.2053 Palheta de xisto
Fotografia n.2054 Egito pré-histórico: cabeça de maça de armas
Fotografia n.2055 Palheta de xisto
Fotografia n.2056 Feijões encontrados em túmulo- Peru
Fotografia n.2057 Algodão dos peruanos
Fotografia n.2058 Milho de um túmulo de Ancón
Fotografia n.2059 Saco com folhas secas de coca e vasos de barro- Peru
Fotografia n.2060 Datura stramonium- Safford
Fotografia n.2061 Broussonetia- Mescal do norte do México
Fotografia n.2062 Folha de nicotina mascada pelos mexicanos- Safford
Fotografia n.2063 Nicotina tabacum- Safford
Fotografia n.2064 Erythroxylon coca- Índio do México
Fotografia n.2065 Poncho com folha de coca- Peru- Safford


Fotografia n.2079 Divindade dos índios da Guatemala- Museu de Saint-Germain
Fotografia n.2080 Kuri-Kora (deus do Japão)
Fotografia n.2081 Sem legenda e sem fotografia
Fotografia n.2082 Sem legenda e sem fotografia
Fotografia n.2083 Combate dos flecheiros (pintura rupestre, Castellón, Espanha)
Fotografia n.2084 Bisão
Fotografia n.2085 Capitel do pilar da Capela Virgem- Catedral de N. S. de Paris
Fotografia n.2086 Capitel de Apadon
Fotografia n.2087 Peyotl – Smith- Safford
Fotografia n.2088 Igreja de São Julião o pobre- um pilar da nave


Fotografia n.2089 N. S. de Paris- quimera
Fotografia n.2090 Caçadores de veados (pintura rupestre, Castellón, Espanha)
Fotografia n.2091 Santana, a Virgem e o menino
Fotografia n.2092 Figuras humanas (pintura rupestre, província de Albacete, Espanha)
Fotografia n.2093 Elefante (pintura parietal, província de Oviedo, Espanha)
Fotografia n.2094 Igreja de N. S. de Paris- quimera
Fotografia n.2095 Bisão com flechas sobre o corpo
Fotografia n.2096 Peyotl- Safford
Fotografia n.2097 Peyotl- Safford
Fotografia n.2098 Schaffner/Senfzer -Estilização expressionista
Fotografia n.2099 Peyotl- Safford


Fotografia n.2100 Seringueiro com a lanterna na cabeça
Fotografia n.2101 Touro alado de Khorsabad
Fotografia n.2102 Sem legenda e sem fotografia
Fotografia n.2103 Casa do Duque de Luxemburgo
Fotografia n.2104 Barão de Humboldt
Fotografia n.2105 Príncipe Maximiliano de Wied-Neuwied
Fotografia n.2106 Barão de Eschwege
Fotografia n.2107 Sem legenda e sem fotografia
Fotografia n.2108 Rio Doce (gravura)


Fotografia n.2109 Copacabana em 1874
Fotografia n.2110 Sem legenda e sem fotografia
Fotografia n.2111 Quina do campo- Strycnos pseudoquina
Fotografia n.2112 Paraíba- Simarouba versicolor
Fotografia n.2113 Poaia- Cephaelis ipecacuanha
Fotografia n.2114 Poaia do campo- Ionidium poaya
Fotografia n.2115 Sem legenda e sem fotografia
Fotografia n.2116 Craveiro da terra- Calyptrantes aromatica
Fotografia n.2117 Drosera communis
Fotografia n.2118 Araticum do mato- Annona sylvatica


Fotografia n.2119 Araticum do brejo- Annona palustris
Fotografia n.2120 Pindaíba- Xylopia sericea
Fotografia n.2121 Malvalistro- Sida micrantha
Fotografia n.2122 Paina de seda- Chorisia especiosa
Fotografia n.2123 Chá de pedestre- Lantana pseudothea
Fotografia n.2124 Sem legenda e sem fotografia
Fotografia n.2125 Para todo; Perpétua- Gomphrena officinalis
Fotografia n.2126 Seringueira- Hevea brasiliensis
Fotografia n.2127 Defumação da borracha
Fotografia n.2128 Foto de palmeiras, legenda ilegível
Fotografia n.2129 Cultura do abacaxi


Fotografia n.2130 Depósito de borracha- Amazonas
Fotografia n.2131 Bananeiras com frutos
Fotografia n.2132 Erva-mate – Mato Grosso
Fotografia n.2133 Erva-mate (semente) – Mato Grosso
Fotografia n.2134 Babaçu (palmeira)
Fotografia n.2135 Salinas do Rio Grande do Norte
Fotografia n.2136 Salinas do Rio Grande do Norte


Fotografia n.2137 Bicho da seda
Fotografia n.2138 Cultura do repolho no estado de São Paulo
Fotografia n.2139 Tecelagem de seda- São Paulo (Campinas)
Fotografia n.2140 Sem legenda e sem fotografia
Fotografia n.2141.1 Museu Nacional
Fotografia n.2141.2 Bendegó (meteorito)- Rio de Janeiro, Brasil


Fotografia n.2200 África e América justapostas
Fotografia n.2201 Cianito- Ilha da Trindade
Fotografia n.2202 Stereosternum tumidum- Itapetininga (São Paulo)
Fotografia n.2203 Rhacolepis buccalis- Piauí
Fotografia n.2204 Mapa da América e da África justapostas
Fotografia n.2205 Blocos de arenitos silificados- Serra de Santana (Rio Grande do Norte)
Fotografia n.2206 Mapa da bacia do Paraná, mostrando a distribuição de basalto
Fotografia n.2207 Reconstituição de animal segundo MacGregor
Fotografia n.2208 Psaronius brasiliensis- Rio Grande do Sul


Fotografia n.2209 Ilhas do Rio Uraricoera na confluência com o Branco
Fotografia n.2210 Matas de Parima- Geographic Magazin
Fotografia n.2211 Sem legenda e sem fotografia
Fotografia n.2212 Terreno cretáceo- Pernambuco
Fotografia n.2213 Rochas do Cabo de Santo Agostinho (Pernambuco)
Fotografia n.2214 Pico basáltico do Cabugi- Lajes (Rio Grande do Norte)
Fotografia n.2215 Cardiocarpon seixasi- Santa Catarina
Fotografia n.2216 Glossopteris indica- Santa Catarina


Fotografia n.2217 Itatiaia- Agulhas Negras- Coleção Museu Nacional
Fotografia n.2218 Gangamopteris obovata- Minas/Santa Catarina
Fotografia n.2219 Terreno cretáceo- Bahia (Monte Serrat)
Fotografia n.2220 Ponto culminante dos Pirineus- Planalto Central, Brasil
Fotografia n.2221 Lamelibrânquios, fósseis do Brasil
Fotografia n.2222 Lamelibrânquios, fósseis do Brasil
Fotografia n.2223 Sem legenda e sem fotografia
Fotografia n.2224 Sem legenda e sem fotografia
Fotografia n.2225 Arenito horizontal dividido em paralelo junto ao leito do Rio Iguarape das Pedras
Fotografia n.2226 Coal measures during the Triassic of continental draft


Fotografia n.2227 Folhelhos ardosianos sensivelmente horizontais e divididos por planos verticais- Rio Capucapu
Fotografia n.2228 Coal measures and arid regions during the Cretaceous
Fotografia n.2229 Rio do Rasto- millet-seed sandstones, municipal quarry, Taquara, near Porto Alegre
Fotografia n.2230 Sem legenda e sem fotografia
Fotografia n.2231 Defesa de mastodonte
Fotografia n.2232 Morro Agudo- distrito (Santa Bárbara)
Fotografia n.2233 Pico de Itabira do Campo
Fotografia n.2234 Seixo estriado de quartzo perto de Mococa, Estado de São Paulo. Tamanho 7,5 por 5 cm. Comissão Geológica de São Paulo.
Fotografia n.2235 Itabirite and limestone
Fotografia n.2236 Cauda de Glyptodon- Sul do Ceará


Fotografia n.2237 Prospecting for gold of the Rio Carmo, near Mariana
Fotografia n.2238 Sem legenda e sem fotografia
Fotografia n.2239 Sem legenda e sem fotografia
Fotografia n.2240 Sem legenda e sem fotografia
Fotografia n.2241 Distribuição das zonas climatéricas conforme Köppen
Fotografia n.2242 Echolotprofile des meteor
Fotografia n.2243 Mapa do fundo do oceano do Sul
Fotografia n.2244 Carta Geográfica do Brasil- Museu Nacional
Fotografia n.2245 Sem legenda e sem fotografia
Fotografia n.2246 Sem legenda e sem fotografia
Fotografia n.2247 Expedition auf Meteor


Fotografia n.2248 Sem legenda e sem fotografia
Fotografia n.2249 Sem legenda e sem fotografia
Fotografia n.2250 Sem legenda e sem fotografia
Fotografia n.2251 Slinamita- Gneiss
Fotografia n.2252 Granito diorítico- Piranhas- Coleção Museu Nacional
Fotografia n.2253 Essexito gabro- Jacupiranguinha


Fotografia n.2254 Lercita- menorito- Coleção Museu Nacional
Fotografia n.2255 Secção de lâminas de granolitos- Lagoinha
Fotografia n.2256 Toleíto E. Pessoa
Fotografia n.2257 Tonalito- tinguaíta- Ramal Santa Cruz
Fotografia n.2258 Sem legenda e sem fotografia
Fotografia n.2259 Sem legenda e sem fotografia


Fotografia n.2260 Sem legenda e sem fotografia
Fotografia n.2261 Sem legenda e sem fotografia
Fotografia n.2262 Basalto- Guarapuava, Paraná- Coleção Museu Nacional
Fotografia n.2263 Sem legenda e sem fotografia
Fotografia n.2264 Sienito nefelínico porfiroide- Ilha da Trindade
Fotografia n.2265 Granito- Itajaí- Coleção Museu Nacional


Fotografia n.2266 Sem legenda e sem fotografia
Fotografia n.2267 Sem legenda e sem fotografia
Fotografia n.2268 Gheiss porfiroidal- Engenho Novo, Rio de Janeiro
Fotografia n.2269 Gheiss porfiroidal- Urca, Rio de Janeiro
Fotografia n.2270 Sem legenda e sem fotografia
Fotografia n.2271 Sem legenda e sem fotografia
Fotografia n.2272 Quartzito arqueano- Avenida Niemeyer, Rio de Janeiro
Fotografia n.2273 Sem legenda e sem fotografia


Fotografia n.2274 Sem legenda e sem fotografia
Fotografia n.2275 Sem legenda e sem fotografia
Fotografia n.2276 Sem legenda e sem fotografia
Fotografia n.2277 Sem legenda e sem fotografia
Fotografia n.2278 Corte do Planalto Central (Bahia)- Moraes Rego
Fotografia n.2279 Sem legenda e sem fotografia
Fotografia n.2280 Picada da Linha Telegráfica de Mato Grosso perto do Rio MadeiraComissão Rondon
Fotografia n.2281 Sem legenda e sem fotografia


Fotografia n.2282 Campos Novos (Mato Grosso)- Fazenda de criação da Comissão Rondon
Fotografia n.2283 Chapadão dos Parecis- Comissão Rondon
Fotografia n.2284 Aspecto de paisagem- Estado do Rio
Fotografia n.2285 Sem legenda e sem fotografia
Fotografia n.2286 Bivaque- Linha Telegráfica Amazonas- Mato Grosso- Cabeceira do Ji-Paraná
Fotografia n.2287 Botafogo- Rio de Janeiro
Fotografia n.2288 Plantação de eucaliptos- Rio Claro, São Paulo
Fotografia n.2289 Sem legenda e sem fotografia


Fotografia n.2290 Rio Jamari afluente do rio Madeira - Rondon
Fotografia n.2291 Contato geológico- África/Brasil
Fotografia n.2292 Sem legenda e sem fotografia
Fotografia n.2293 Sem legenda e sem fotografia
Fotografia n.2294 Cultura de arroz (Moreira César)
Fotografia n.2295 Plantação da borracha ( Pará)
Fotografia n.2296 Relevo geológico do Distrito Federal
Fotografia n.2297 Sem legenda e sem fotografia


Fotografia n.2476 Figure demi-schématique mostrant les differentes du bassinet
Fotografia n.2477 Le foie vu par sa face supérieure
Fotografia n.2478 Le rectum vu en place par sa face antérieure
Fotografia n.2479 Le bassinet vu en place par sa face antérieure avec ses rapports
Fotografia n.2480 Le foie vu par sa face inférieure ou face concave
Fotografia n.2481 Foie d’un nouveau-né vu par su face antérieure, pour montrer la veine ombilicale et le canal veineux
Fotografia n.2482 La glande sous-maxillaire du côté droit, après dissection, la tête étant dans l’extension et dans la rotation du cotê-opposé
Fotografia n.2483 Les voies billiaires extra-hépatiques vues en place, après ablation du foie
Fotografia n.2484 Le caecum, vu par son côté interne, pour montrer l’origine des trois bandelettes musculaires du gros intestin
Fotografia n.2485 Cólon, vue antérieure, après l’ablation de l’intestin grêle
Fotografia n.2486 L’esophage et l’estomac en plane, pour montrer leur direction et leurs rapports avec le rachis et l’aorte
Fotografia n.2487 Topographie de l’abdomen
Fotografia n.2488 Les canicules séminifères en partie déroulés


Fotografia n.2489 La glande sublinguale droite, vue après résection de la moitié droite du maxillaire
Fotografia n.2490 Les deux reins et leurs conduits excréteurs, vus en place
Fotografia n.2491 L'estomac, vu sur place après l'ablation du foie et de la masse intestinale
Fotografia n.2492 L'abdomen supérieur, vue antérieure: le foie a été érigné em haut: l' estomac a été em grande partie réséqué pour laisser voir les organes qui sont em rapport avec sa face postérieure
Fotografia n.2493 Coupe vertico-transversale de la région sous-maxillaire, la tête étant fortement étendue
Fotografia n.2494 Sem legenda e sem fotografia
Fotografia n.2495 Asas de Ituna Ilione e Thyridia Megisto
Fotografia n.2496 Caranguejo dos pântanos
Fotografia n.2497 Sem legenda e sem fotografia
Fotografia n.2498 Sem legenda e sem fotografia
Fotografia n.2499 Sem legenda e sem fotografia


Fotografia n.2500 Vista lateral da larva
Fotografia n.2501 Aeletere zoëa derselben Garneele
Fotografia n.2502 Larva de caranguejo
Fotografia n.2503 Cortes de madeira
Fotografia n.2504 Fig.65. Fig66. Fig 67. Fig 65-67. Junge Wurmröhre, mit der einfachen Linse, etwa 6mal vergr. Fig.65¹), ohne Deckel, Protulastufe. Fig. 66, mit bärtigem Deckelstiel, Filogranastufe.
Fotografia n.2505 Sem legenda e sem fotografia
Fotografia n.2506 Nauplius einer Garneele, Jungere zoëa derselben Garneele.
Fotografia n.2507 Sem legenda e sem fotografia


Fotografia n.2508 Kopf der gewöhnlichen Form der Männchen von Tanais dubius
Fotografia n.2509 Ilegível, legenda quase totalmente apagada
Fotografia n.2510 Sem legenda e sem fotografia
Fotografia n.2511 Archivos do Museu Nacional III 1878- Verlag von Gustav Fischer
Fotografia n.2512 Cortes de madeira
Fotografia n.2513 Caga-fogo trabalhador- Caga-fogo macho- Caga-fogo rainhaCaga-fogo rainha vista de baixo
Fotografia n.2514 Mapa da Excursão Fritz Müller
Fotografia n.2515 Coração de uma cassídia jovem- Coração de uma Aniloera jovem
Fotografia n.2516 Fritz Müllers gesammelte Schriften


Fotografia n.2517 Sem legenda e sem fotografia
Fotografia n.2518 Sem legenda e sem fotografia
Fotografia n.2519 Glândula tubulosa em corte 1º Cólon humano 2º sudoripa pele humana. 3º fundas, estômago humano
Fotografia n.2520 Sem legenda e sem fotografia
Fotografia n.2521 Sem legenda e sem fotografia
Fotografia n.2522 Tecido conectivo frouxo subcutâneo do rato em diversas colorações 1º células fixas. 2º filiação com células 3º feixes colagênicos 4º feixes elásticos
Fotografia n.2523 Fibras musculares- Aphodius fimetarius
Fotografia n.2524 Formas dissociadas do epitélio da córnea do boi
Fotografia n.2525 Epitélio ramificado da polpa dental esmaltina de embrião
Fotografia n.2526 Epitélio transicional da bexiga do carneiro 1º bexiga em contração. 2º bexiga distendida
Fotografia n.2527 Sem legenda e sem fotografia
Fotografia n.2528 Sem legenda e sem fotografia


Fotografia n.2529 Sem legenda e sem fotografia
Fotografia n.2530 Sem legenda e sem fotografia
Fotografia n.2531 Sem legenda e sem fotografia
Fotografia n.2532 Tecido gelatinoso umbilical humano (cordão)- Mallory
Fotografia n.2533 Formas epiteliais diversas (esquema Schaffer)
Fotografia n.2534 Diversas formas de cinocílios – esquema em parte segundo Studnicka/Schaffer
Fotografia n.2535 Epitélio da córnea do olho humano – Membrana de Bourman (Schaffer fig. 71)


Fotografia n.2536 Sem legenda e sem fotografia
Fotografia n.2537 Lacunas ósseas de osso lamelar humano, fucsina e principais vistas: face, perfil, corte transverso, a, b, c- Schaffer, fig. 183
Fotografia n.2538 Tecido gelatinoso embrional (cauda Bombinator)- Schaffer, fig. 122
Fotografia n.2539 Cartilagem costal de um supliciado de 33 anos (álcool, safranina, orceína ácida)- Schaffer, fig. 171
Fotografia n.2540 Tipos glandulares esquematizados- Branch, fig. 11
Fotografia n.2541 Musculatura de um embrião humano (7 semanas, 20 mm)
Fotografia n.2542 Esboço da musculatura de um embrião humano (5 semanas, 11 mm)
Fotografia n.2543 Índios canelas segundo Kissemberth
Fotografia n.2544 Índio tabajara segundo C. D’Abbeville


Fotografia n.2545 Dança sagrada tupinambá
Fotografia n.2546 Índio e índia canela segundo Kissemberth
Fotografia n.2547 Enfeitando a maça do sacrifício segundo De Bry
Fotografia n.2548 Sem legenda e sem fotografia
Fotografia n.2549 A maça do sacrificio suspensa numa palhoça segundo Hans Staden
Fotografia n.2550 Combate em canoas segundo De Bry
Fotografia n.2551 Sacrifícios dos prisioneiros entre tupinambás
Fotografia n.2552 Sem legenda e sem fotografia
Fotografia n.2553 Sem legenda e sem fotografia


Fotografia n.2554 Sem legenda e sem fotografia
Fotografia n.2555 Sem legenda e sem fotografia
Fotografia n.2556 Conselho tupinambá no terreiro da taba, ao centro Hans Staden prisioneiro
Fotografia n.2557 Índio tupinambá com a maça do sacrifício e ornado de plumas – Hans Staden
Fotografia n.2558 Maça e corda (muçurana do sacrifício)- Tupi, Hans Staden
Fotografia n.2559 Sem legenda e sem fotografia
Fotografia n.2560 Festa tupinambá segundo Thevet
Fotografia n.2561 Sem legenda e sem fotografia
Fotografia n.2562 Sem legenda e sem fotografia


Fotografia n.2610 Células sexuais masculinas imaturas- Série 3.000 d segundo Broman fig. 2
Fotografia n.2611 Ovário (corte), mulher de 28 anos (5x) – I Broman fig. 6
Fotografia n.2612 Fenômenos intercelulares de fecundação e da pigmentação no rato segundo Sobotta (Broman, fig. 9)
Fotografia n.2613 Óvulo de morcego com esperminum em penetração segundo O. van der Sehricht
Fotografia n.2614 Sem legenda e sem fotografia
Fotografia n.2615 Transformação dos espermídeas em espermatozoides- fig. 3 de (I Broman, fig. 8)
Fotografia n.2616 Transformação de folículo primário em secundário segundo Bumm
Fotografia n.2617 Esquema da maturação do ovium e do esperminum (I Broman, fig. 8)
Fotografia n.2618 Sem legenda e sem fotografia
Fotografia n.2619 Curvas do crescimento do órgão humano até 20 segundos (I Broman)


Fotografia n.2620 Sem legenda e sem fotografia
Fotografia n.2621 Ângulo da galeria e respectivo pilar (estilo baseado em motivos indígenas)
Fotografia n.2622 Edifício maia de Sarjil
Fotografia n.2623 Maloca dos Kaua- Rio Aiari (cercada de desenhos indígenas)Desenho Porciúncula Moraes
Fotografia n.2624 Edifício piramidal totonaca de Papantla- Veracruz, México
Fotografia n.2625.1 Estela 14 das ruínas maias de Piedras Negras, Guatemala
Fotografia n.2625.2 2625A- Stone lintel from Menché, Chiapas
Fotografia n.2626 Habitação lacustre tropical - desenho composto pelo pintor Porciúncula Moraes
Fotografia n.2627 Cidadela incaica de Machu Picchu (Peru) segundo Bingham
Fotografia n.2628 Interior da maloca das Makunas- Rio Apaporis (cercadura é uma composição de Porciúncula Moraes, baseada em ornatos indígenas)
Fotografia n.2629 Ornamentação maia - fachada da casa das monjas de Chichén Itzá- Yucatán (México)
Fotografia n.2630 Templo das ruínas- Monjas de Palenque- Estado de Chiapas (México)


Fotografia n.2631 Degraus de uma das pirâmides de Teotihuacán, México
Fotografia n.2632 Paredes ornamentadas de um dos edifícios de Kitta
Fotografia n.2633 Estuque de um edifício dos antigos peruvianos
Fotografia n.2634 Pedras preparadas para encaixe recíproco- Tiahuanaco, Bolívia
Fotografia n.2635 Templo piramidal em Uaxactún, Guatemala
Fotografia n.2636 Sem legenda e sem fotografia
Fotografia n.2637 Passeio Público em 1863
Fotografia n.2638 Planta primitiva do Passeio Público do Rio de Janeiro
Fotografia n.2639 Frei Leandro
Fotografia n.2640 Caricatura da Revista Ilustrada (1863)- Reforma do Passeio Público
Fotografia n.2641 Sem legenda e sem fotografia
Fotografia n.2642 Antigo Jardim Botânico


Fotografia n.2643 Cascata do Jardim Botânico, Rio de Janeiro
Fotografia n.2644 Lago no Jardim Botânico, Rio de Janeiro
Fotografia n.2645 Caricatura da Revista Ilustrada (1863)
Fotografia n.2646 Sem legenda e sem fotografia
Fotografia n.2647 Sem legenda e sem fotografia
Fotografia n.2648 Caricatura da Revista Ilustrada (1863)- Reforma do Passeio Público
Fotografia n.2649 Sem legenda e sem fotografia
Fotografia n.2650 Sem legenda e sem fotografia
Fotografia n.2651 Tomás Antônio Vilanova Portugal
Fotografia n.2652 Portão do Salitre, Jardim Botânico
Fotografia n.2653 Sem legenda e sem fotografia
Fotografia n.2654 Antigo portão do Passeio Público, Rio de Janeiro


Fotografia n.2655 Passeio Público- Rio de Janeiro (1847)
Fotografia n.2656 Barbosa Rodrigues
Fotografia n.2657 Pedro I
Fotografia n.2658 Sem legenda e sem fotografia
Fotografia n.2659 Antigo Passeio (1816)
Fotografia n.2660 Passeio Público- Rio de Janeiro
Fotografia n.2661 Passeio Público- Rio de Janeiro
Fotografia n.2662 Caricatura da Revista Ilustrada sobre a reforma do Passeio Público (1862)- Rio de Janeiro
Fotografia n.2663 Oreodoxa regia
Fotografia n.2664 Sem legenda e sem fotografia
Fotografia n.2665 Helosis guyanensis- Rich.


Fotografia n.2677 Costa do Nordeste do Brasil – J. C. Branner
Fotografia n.2678 Mapa da costa brasileira referente a Santos
Fotografia n.2679 Passagem andina- Argentina- Hirst
Fotografia n.2680 Andes, Aconcágua- E. A. Fitzgerald (Santiago Mendoza)
Fotografia n.2681 Estrada de ferro Oroya (Andes)
Fotografia n.2682 Pacífico- Costa do Peru- Formação carbonífera em Paracas
Fotografia n.2683 Alto chapadão dos Andes Peruanos (Ehock)
Fotografia n.2684 Zona da costa do Peru
Fotografia n.2685 Lago Titicaca- Habitações dos incas em minas
Fotografia n.2686 Terra do Fogo- Argentina (Hirst)
Fotografia n.2687 Carnaubal- Lagoa Piató, Rio Grande do Norte
Fotografia n.2688 Sem legenda e sem fotografia


Fotografia n.2695 Óbidos: terra de gado, fazenda São Bartolomeu
Fotografia n.2696 Rodeio de cavalos na fazenda Livramento
Fotografia n.2697 Rodeio de gado da fazenda São Joaquim
Fotografia n.2698 Tarde no Rio Negro
Fotografia n.2699 Raízes de apoio- Serra da Lua- Mata Amazônica
Fotografia n.2700 Sumaúma de 30 metros- Salto Manoa, Rio Oiapoque
Fotografia n.2701 Mata virgem na cachoeira Caxiri- Rio Oiapoque
Fotografia n.2702 Raízes de apoio- Uracareiô, Rio Oiapoque
Fotografia n.2703 Sem legenda e sem fotografia
Fotografia n.2704 Vista parcial de Sete Quedas, Rio Paraná
Fotografia n.2705 Sete Quedas, Rio Paraná
Fotografia n.2706 Sete Quedas, Rio Paraná


Fotografia n.2707 Sem legenda e sem fotografia
Fotografia n.2708 Rio Parnaíba- balsa
Fotografia n.2709 Serra do Espinhaço, Ouro Preto
Fotografia n.2710 Serra do Espinhaço, Ouro Preto
Fotografia n.2711 Serra do Espinhaço, vista parcial, Ouro Preto
Fotografia n.2712 Vista parcial, Ouro Preto
Fotografia n.2713 Sem legenda e sem fotografia
Fotografia n.2714 Vista geral do açude Acarape em construção em 1922- Ceará
Fotografia n.2715 Sem legenda e sem fotografia
Fotografia n.2716 Sem legenda e sem fotografia
Fotografia n.2717 Sem legenda e sem fotografia
Fotografia n.2718 Dr. Peter Wilhelm Lund


Fotografia n.2719 John Casper Branner
Fotografia n.2720 Sem legenda e sem fotografia
Fotografia n.2721 A América do Sul e a Terra
Fotografia n.2722 Estrutura e modelamento da América do Sul
Fotografia n.2723 Região do Acauã, estado do Rio Grande do Norte
Fotografia n.2724 Carta Geológica do Nordeste do Brasil- Branner e Grandall
Fotografia n.2725 Açudes, município de Acari, estado do Rio Grande do Norte, Grandall
Fotografia n.2726 Embocadura do Amazonas
Fotografia n.2727 Vegetação típica da América tropical
Fotografia n.2728 Vegetação típica da América tropical
Fotografia n.2729 Lago dos Pássaros no Rio São Francisco
Fotografia n.2730 Preparação de ovos de tartaruga nas margens amazônicas


Fotografia n.2775 Variation du diamètre apparent du Soleil entre le Soistice d'été et le Soistice d'hiver
Fotografia n.2776 Le Professeur Berget et Camille Flammarion faisant l'essai de l'expérience du pendule de Foucault, au Panthéon em septembre 1902
Fotografia n.2777 Une partie de la constellation d'Orion vue à l'oeil nu.
Fotografia n.2778 Trois aspects typiques de la couronne solaire 1- À l'époque de maximum activité solaire 2- À une époque intermédiaire entre maximum et le minimum. 3- À une époque de minimum d'activité
Fotografia n.2779 Apparence des nuages formant le ciel pommelé
Fotografia n.2780 Déplacement du pôle céleste en vertu de la precéssion des équinoxes
Fotografia n.2781 Aspects successifs de l'éclairement du globe lunaire pendant les phases croissantes
Fotografia n.2782 La trajectoire réelle de la Terre dans le systéme de la voie lactée
Fotografia n.2783 Son action pour provoquer l’aplatissement de la Terre
Fotografia n.2784 Proportions exactes des diamètres de la Terre, de la Lune et de leur distance
Fotografia n.2785 Inclinaison de l'axe terrestre – solstices et équinoxes
Fotografia n.2786 Le mouvement de rotation de la Terre autour de son axe et son mouvement de translation autour du Soleil


Fotografia n.2763 La rotation de la Terre amène succesivement tous les méridiens dans l’hémisphère éclairé: le jour, la nuit, la succesion des heures
Fotografia n.2764 Aurore polaire observée ne décembre 1913
Fotografia n.2765 Fuseaux horaires
Fotografia n.2766 Points différents de l’horizon où se lève le Soleil aux solstices et aux équinoxes
Fotografia n.2767 Isolement de notre globe terrestre au milieu de l’espace. Aspect de la Terre, telle que la verrait um observateur que serait placé sur la Lune, par exemple
Fotografia n.2768 Les dentelures du cône de la précession (phenomènes de la nutation)
Fotografia n.2769 Apparence obscure du centre d’une tache
Fotografia n.2770 Inégalité de la force centrifuge à l’equateur et près du pôle
Fotografia n.2771 Mouvements apparents des étoiles pour différents points de la Terre à l’équateur
Fotografia n.2772 Le premier quartier de la Lune- Le dernier quartier
Fotografia n.2773 Mouvement d’ensemble apparent de la sphère céleste
Fotografia n.2774 La latitude de Paris


Fotografia n.2787 La même vue dans une lunette de faible puissance
Fotografia n.2788 Longueur du chemin parcouru par la Terre aux son orbite
Fotografia n.2789 La lumière zodiacale vue d’un sommet des Pyrénées
Fotografia n.2790 Le Soleil de minuit vu du cercle polaire (latitude 66º 33’)
Fotografia n.2791 Une pluie d’étoiles filantes
Fotografia n.2792 Principe de l' EQUATORIAL
Fotografia n.2793 Crépuscule de minuit au solstice d’été à la latitude de Paris (48º 50’)
Fotografia n.2794 Démonstration de la courbure de la Terre
Fotografia n.2795 Exemple d'une tache solaire de forme régulière
Fotografia n.2796 Mécanisme des saisons
Fotografia n.2797 Apparence de la surface solaire: les grains de riz
Fotografia n.2798 Distance de la Terre au Soleil par rapport au diamétre du Soleil


Fotografia n.2799 Sem legenda e sem fotografia
Fotografia n.2800 (...) mesurant 100.000 kilomètres de longueur
Fotografia n.2801 Sem legenda e sem fotografia
Fotografia n.2802 Trajectoires apparentes des taches solaires
Fotografia n.2803 L’ombre que la Terre porte sur la Lune, pendant les éclipses, à un contour circulaire
Fotografia n.2804 Un Équatorial, ses deux axes et les contrepoids qui équilibrent l’instrument
Fotografia n.2805 Aspect du Ciel pendant la nuit
Fotografia n.2806 Sem legenda e sem fotografia
Fotografia n.2807 Fig. 16- au pôle nord
Fotografia n.2808 Première mesure du rayon de La Terre par La dépression de l’horizon
Fotografia n.2809 Le Soleil, les taches et les facules
Fotografia n.2810 Équateur, méridien et paralèlle


Fotografia n.2811 Explication des phases de la Lune
Fotografia n.2812 Explication des phases de la Lune
Fotografia n.2813 Différents aspectes de la Lune pendant une éclipse: a) Éclipse partielle par la pénombre b) Éclipse partielle par l’ombre c) Phases d’une éclipse totale
Fotografia n.2814 Le mouvement de la Lune et les nouvelles lunes au cours d’une année
Fotografia n.2815 Variation du diametre apparent de la Lune d’après sa distance
Fotografia n.2816 Photographies d’une éclipse partielle de Soleil
Fotografia n.2817 Le mécanisme général des éclipses de Soleil et de Lune
Fotografia n.2818 Mouvement réel de la Lune par rapport aux étoiles, pendant 2 4 heures
Fotografia n.2819 Une planète: Jupiter , vue au télescope
Fotografia n.2820 Explication de l’aspect, variable avec le temps, de l’anneau de Saturne (phases de l’anneau)
Fotografia n.2821 Relations entre l’orbite de Mars et celle de La Terre
Fotografia n.2822 Imagem de órbitas planetárias, com legenda semiapagada


Fotografia n.2823 Dimensions comparées d'Uranus et la Terre
Fotografia n.2824 Variations du diamétre apparent de Mars suivant ses distances à la Terre
Fotografia n.2825 Définitions de la hauteur angulaire et de l’azimut d'un astre S.
Fotografia n.2826 Limite totale (…) le pont du cone effleurant juste la surface annulaire a partir du premier pont. (texto incompleto devido a sujidade na prancha, parte do texto incompreensível)
Fotografia n.2827 L'énormité du globe de Jupiter par rapport à celui de la Terre. On peut remarquer sur la figure l' aplatissement de la planète
Fotografia n.2828 Aspects télescopiques de Saturne aux époques d'inclinaison nulle et maxima es anneaux
Fotografia n.2829 Région de visibilité des éclipses qui seront observables en Europe au cours du XX siécle
Fotografia n.2830 Aspects télescopiques de Neptune, d'après T.J. See (oct 1919 - fév 1920)
Fotografia n.2831 La grande comète de 1843
Fotografia n.2832 Aspect (...) de la Voie Lactée et des principales étoiles visibles
Fotografia n.2833 La grande nébuleuse spirale de la (...) (texto incompleto devido a sujidade na prancha, parte do texto incompreensível)
Fotografia n.2834 Radiant de Perseides


Fotografia n.2859 Explication de la précession par le mouvement conique d’une Toupie
Fotografia n.2860 Mapa de constelações, sem legenda
Fotografia n.2861 Mapa de constelações, sem legenda
Fotografia n.2862.1 La détermination exacte des positions célestes
Fotografia n.2862.2 2862A- Imagem de um eclipse, sem legenda
Fotografia n.2864 Imagem de uma assembleia, sem legenda
Fotografia n.2867 Imagem de melancias, sem legenda


Fotografia n.2847 Dimensions comparées de la Terre et de Mercure
Fotografia n.2848 Le spectre solaire: en haut, spectre obtenu avec un prisme: en bas, spectre obtenu avec un réseau
Fotografia n.2849 Directions des mouvements propres des étoiles du systeme spiral des Chienes de Chasse.
Fotografia n.2850 Renversement des raies spectrales
Fotografia n.2851 Déplacements du pôle nord de la Terre de 1912 à 1918
Fotografia n.2852 Saturne
Fotografia n.2853 Carte generale de la Lune
Fotografia n.2854 Órbitas de Júpiter, Saturno, Urano e Netuno ( sem legenda)
Fotografia n.2855 Un ressort de montre déroulé en double spirale
Fotografia n.2856 Schéma du système cosmogonique de l'abbé Moreux
Fotografia n.2857 Passage de Vénus sur le disque du Soleil, le 6 décembre 1892
Fotografia n.2858 Rotation du globe solaire. Photographies prises sucessivement a un jour d'intervalle


Fotografia n.3769 Paisagem na Serra dos Órgãos
Fotografia n.3770 Floresta da Serra da Estrela- Estado do Rio
Fotografia n.3771.1 Floresta primitiva na Serra dos Órgãos
Fotografia n.3771.2 Floresta primitiva na Serra dos Órgãos
Fotografia n.3772 Floresta do Silvestre- Rio de Janeiro
Fotografia n.3773 Floresta em Ubatuba- Estado de São Paulo (erroneamente assinalado Rio)
Fotografia n.3774 Floresta na Serra da Estrela (outro trecho)
Fotografia n.3775 Floresta em Ubatuba (outro trecho)
Fotografia n.3776 Flora Terciária
Fotografia n.3777 Cachoeira de Iguaçu e a grande cascata de Caserto, na Itália
Fotografia n.3778 Figueira padrão de serra fértil em Java (J. D. Villares, “O café”)
Fotografia n.3779 Cultura da seringueira em Java


Fotografia n.2835 Mouvement d’une comète et positions successives de la queue toujours opposée au Soleil
Fotografia n.2836 Longueurs des queues de quelques comètes célebres, comparées à la distance de la Terre au Soleil
Fotografia n.2837 La planète Mars
Fotografia n.2838 Figure schématique d’um spectroscope à prisme
Fotografia n.2839 Orbite des étoiles filantes- Plan de l’orbite terrestre
Fotografia n.2840 La nébuleuse spirale d’Andromède
Fotografia n.2841 Trajectoire et éclatement d’un bolide dans le ciel
Fotografia n.2842 La grande nébuleuse d’Orion
Fotografia n.2843 La tête de la comète de Coggia, le 14 juillet 1874
Fotografia n.2844 Les Pléiades que l’on voit à l’oeil nu (en haut) et telles que la photographie les révèle
Fotografia n.2845 Changements d’aspect des constellations dans le temps
Fotografia n.2846 Aspect d’une constellation de la Voie Lactée


Fotografia n.2888 Corte do centeio - Rio Grande do Sul
Fotografia n.2889 Rio de Janeiro - centro
Fotografia n.2891 Expedição Rondon à Serra Tumucumaque - Campos Gerais do Paru Cuminá: Campo Festa da Bandeira
Fotografia n.2892 Rio de Janeiro
Fotografia n.2893 Rio de Janeiro - Avenida Rio Branco
Fotografia n.2894 Rio de Janeiro - Santa Teresa
Fotografia n.2895 Rio de Janeiro - vista panorâmica


Fotografia n.2907 Rio de Janeiro- Jardim Botânico
Fotografia n.2908 Sem legenda e sem fotografia
Fotografia n.2909 São Paulo- Monumento da Independência
Fotografia n.2910 Sem legenda e sem fotografia
Fotografia n.2911 São Paulo- Parque do Anhangabaú
Fotografia n.2912 Sem legenda e sem fotografia
Fotografia n.2913 Rio de Janeiro- Entrada da Barra
Fotografia n.2914 São Paulo
Fotografia n.2915 Paisagem rural, sem legenda
Fotografia n.2916 Vista do Rio de Janeiro, sem legenda
Fotografia n.2917 Dessin dianammatique representant les diverses parties du l'appareil digesstief du cobaye
Fotografia n.2918 Sem legenda e sem fotografia


Fotografia n.2952 Esquema da evolução da flora nas eras geológicas
Fotografia n.2953 Imagem de vegetal, sem legenda
Fotografia n.2954 Imagem de vegetal, sem legenda
Fotografia n.2955 Imagem de vegetal, legenda semiapagada
Fotografia n.2956 Imagem de vegetal, sem legenda
Fotografia n.2957 Imagem de vegetal, sem legenda
Fotografia n.2958 Imagem de vegetal, sem legenda
Fotografia n.2959 Imagem de vegetal, sem legenda
Fotografia n.2960 Isostigma peucedanifolium Less
Fotografia n.2961 Imagem de vegetal, sem legenda
Fotografia n.2962 Imagem de vegetal, sem legenda
Fotografia n.2963 Sem legenda e sem fotografia


Fotografia n.2880 Campos Gerais do Paru do Cuminá
Fotografia n.270 Mineiros preparando-se para lavar os cascalhos com a bateia
Fotografia s/n Expedição Rondon à Serra de Tumucumaque
Fotografia n.2896 Escavação em área de floresta, sem legenda
Fotografia n.2887 Dedo de Deus- Teresópolis, Rio de Janeiro


Fotografia n.2900 Lagartas- cocoons- crisálidas
Fotografia n.2901 Lagartas com envoltório protetor - Departamento de Agricultura
Fotografia n.2902 Museu Nacional, Rio de Janeiro - Ovos de lepidópteros aumentados
Fotografia n.2903 Vista do Rio de Janeiro, sem legenda
Fotografia n.2904.1 Vista de uma cidade, sem legenda
Fotografia n.2904.2 2904A- Rio de Janeiro visto do alto do Corcovado
Fotografia n.2905.1 Rio de Janeiro, Copacabana
Fotografia n.2905.2 2905A- Rio de Janeiro, Copacabana
Fotografia n.2906 Imagem de palmeira, com cerca ao fundo, sem legenda


Fotografia n.2919 Dissection de la valvule spirale
Fotografia n.2920 Jeune spongille peu de temps apres sa fixation, ayant tous ses organes formés et ne different de L' adulte que par la tailie.
Fotografia n.2921 Sem legenda e sem fotografia
Fotografia n.2922 Cérebro de cão: A- face ventral B- face dorsal C- face lateral
Fotografia n.2923.1 Praça Marechal Floriano, Rio de Janeiro
Fotografia n.2923.2 2923A- Praça Marechal Floriano, Rio de Janeiro (Legenda atribuída)
Fotografia n.2924 Papilio sugando néctar
Fotografia n.2925 Vista parcial da cidade de São Paulo
Fotografia n.2926 Korallentiere des Mittelmeeres
Fotografia n.2927 Sem legenda e sem fotografia
Fotografia n.2928 Sem legenda e sem fotografia
Fotografia n.2929 Hemípteros (Rynchota)- Percevejo do mato


Fotografia n.2930 Cocoons de bicho da seda (cultura)
Fotografia n.2931 Lepidóptero simulando casca de árvore
Fotografia n.2932 Batráquio (rana esculenta)- 1) Fêmea apanhando libélula 2) Macho cantando
Fotografia n.2933 Sem legenda
Fotografia n.2934 Museu Nacional, Rio de Janeiro- Batráquio (evolução) - ovos - teiardos- rã (jovem)
Fotografia n.2935 Lagosta - aparelho digestivo
Fotografia n.2936 Lagosta - aparelho circulatório


Fotografia n.3015 Aspecto primitivo do mound do Pacoval seg. L. Neto
Fotografia n.3016 Máscara dos índios ticuna - nº 914, Coleção Museu Rio
Fotografia n.3017 Forma das grandes urnas de Marajó
Fotografia n.3018 Sem legenda e sem fotografia
Fotografia n.3019 Fragmento de prato gravado - nº 22.724 - Marajó
Fotografia n.3022 Libélula e larvas


Fotografia n.3078 Possoqueria longiflora Aublet, Rubiácea- Viagem Filosófica de Alexandre Rodrigues Ferreira
Fotografia n.3079 Swartzia sericia Vogel (1873)- Leguminosas- Cesalpina- Viagem Filosófica de Alexandre Rodrigues Ferreira
Fotografia n.3080 Emilie Snethlage em 1929
Fotografia n.3081 Cogumelo (Dictyophoros phalloides, família das Phallaceas, segundo sistema de Engler- grupo Eumycetes, classe Basidiomycetes)
Fotografia n.3082 Hyla sobre a folha de uma Amaryllidacea - Filmagem para o ensino de História Natural


Fotografia n.3083 A large cairn of snow was erected a direct photograph of the spot where Captain Scott lies buried
Fotografia n.3084 The snow slope leading to 'the highway to the south'
Fotografia n.3085 Geology in the Antarctic: a striking example
Fotografia n.3086 The long line of South Polar endeavour Captain Robert Falcon Scott and his predecessors
Fotografia n.3087 Captain Scott writing his diary in the hut at Cape Evans
Fotografia n.3088 The cross erected to Captain Scott - in memoriam
Fotografia n.3089 At the south pole - january, 17-18 , 1912 : what the British Party Found on the World's Southern Axis.
Fotografia n.3090 The last resting place of Captain Scott


Fotografia n.3100 Vaso de argila de Santarém. Museu de Göteborg
Fotografia n.3101 Desenho fundamental- a) desenho completo b) Da tanga
Fotografia n.3102 Sem legenda e sem fotografia
Fotografia n.3103 Máscara de pedra, sem legenda
Fotografia n.3104 Máscara de índios Ticuna- nº 920- Boletim do Museu Nacional (Hartmann)
Fotografia n.3105 Sem legenda e sem fotografia
Fotografia n.3106 Vaso de cerâmica Santarém (Linné)
Fotografia n.3107 Bancos de cerâmica Marajó- Gruta de Maracá
Fotografia n.3108 Urna funerária- Gruta de Maracá
Fotografia n.3109 Mata Amazonas - foto Gonzaga Campos
Fotografia n.3110 Entrada de Vitória, Espírito Santo- foto Dr. Fróes de Abreu

Prancha sem legenda, sem fotografia e sem numeração


Fotografia n.3113 Retrato do Bispo Macedo Costa
Fotografia n.3114 Retratos do Bispo Macedo Costa e de Dom Vital Maria Gonçalves de Oliveira
Fotografia n.3115 Retrato do Bispo Macedo Costa
Fotografia n.3116 Retrato do Bispo Macedo Costa
Fotografia n.3117
Conferência do Dr. Vilhena no Instituto Histórico
Fotografia n.3118 Conferência do Dr. Vilhena no Instituto Histórico
Fotografia n.3119 Conferência do Dr. Vilhena no Instituto Histórico
Fotografia n.3120 Caricaturas de Machado Costa
Fotografia n.3121 Grupo tirado em Petrópolis onde se acha o Bispo Macedo Costa


P190.1 História de Roma- material arqueológico
P190.2 História de Roma- material arqueológico
P190.3 História de Roma- material arqueológico
P190.4 História de Roma- material arqueológico
P190.5 História de Roma- material arqueológico
P190.6 História de Roma- material arqueológico


Fotografia n.3111 Igreja de Santo Antônio - 1741- 1774 - São João del-Rei
Fotografia n.3112 Igreja de Senhor Bom Jesus de Matosinhos de Congonhas do Campo - Pórtico e escultura de Aleijadinho
Fotografia n.3113 Retrato do Bispo Vital Maria Gonçalves de Oliveira
Fotografia n.3114 Retrato do Bispo Macedo Costa
Fotografia n.3115 Retrato do Bispo Macedo Costa
Fotografia n.3116 Retrato do Bispo Macedo Costa
Fotografia n.3117 Retrato do Bispo Macedo Costa- Conferência
Fotografia n.3118 Igreja - fotografia Bortelo 1889
Fotografia n.3119 Instituição Agrícola e Industrial da Providência


Fotografia n.3173 Vista do Rio Madeira em Calama, onde este rio recebe na sua margem direita o Rio Ji-Paraná ou Machado, estado do Amazonas
Fotografia n.3174 Vila Benjamin Constant, estado do Amazonas
Fotografia n.3175 Boqueirão de Orós, estado do Ceará (Luciano)
Fotografia n.3176 Aspecto do campo de pórfiro no Rio Branco, estado do Amazonas (Glycon, 1927)
Fotografia n.3177 Campos de São Marcos, Rio Branco, estado do Amazonas (Glycon, Setembro e Outubro de 1927)
Fotografia n.3178 São Luís, margem esquerda do Rio Abunã, território do Acre
Fotografia n.3179 O Igarapé Mecra cortando a formação arenítica do Roraimã, Rio Branco, estado do Amazonas (Glycon, 1927)
Fotografia n.3180 Salto do Iguaçu, Rio Paraná, estado do Paraná
Fotografia n.3181 Pouso da sondagem para petróleo em Rio Claro- Marechal Mallet, estado do Pará
Fotografia n.3182 Palmeira- Maués, Santo Antônio, estado do Amazonas
Fotografia n.3183 Salto do Itapura, Rio Tietê, estado de São Paulo (Coccoci)


Fotografia n.3184 Preparando a borracha no Rio Ji-Paraná e seus afluentes, Estado do Amazonas (Comissão Roosevelt - Rondon)
Fotografia n.3185 Xique-Xique do Andaraí, Estado da Bahia. Coleção Derby (Furniss 1906)
Fotografia n.3186 Igarapé grande, ladeado de palmeiras, campos de Rio Branco, Estado do Amazonas. (Glycon, setembro e outubro, 1927)
Fotografia n.3187 Paraná do Ramos, Estado do Amazonas
Fotografia n.3188 Maricá-intê, os igarapés ocorrem em calha de pórfiro. Estado do Amazonas, (Glycon, setembro e outubro, 1927)
Fotografia n.3189 Lago Arauanã, Rio Amazonas, Estado do Amazonas (Gonzaga de Campos)
Fotografia n.3190 Uma baleia na praia de Caravelas para ser cortada para fabricação de azeite, e ossadas de outras. Estado da Bahia.
Fotografia n.3191 Pinheiros Araucárias. Estado do Paraná. Coleção Derby


Fotografia n.3192 Cidade de Pirenópolis, vendo-se ao fundo elevações da Série de minas, estado de Goiás (Paulino)
Fotografia n.3193 Roroimã, paredão vertical de arenito com 400 a 550 metros de altura. Repousa sobre uma eruptiva granodiorítica. Estado do Amazonas. (Glycon, 1927) - Negativos c. 5, nº24
Fotografia n.3194 Aspecto do Rio Cotingo na maloca de Contã, Rio Branco, Estado do Amazonas. (Glycon, setembro e outubro de 1927). Negativos c. 5, nº 13
Fotografia n.3195 Roroimã, visto a 25 km de distância, Estado do Amazonas, (Glycon, setembro e outubro de 1927)
Fotografia n.3196 Encosta de Pureu-te-bai, uma vista da serrania sobre os campos do Rio Branco, Estado do Amazonas. (Glycon, setembro e outubro de 1927) - Negativos c. 5, nº 25
Fotografia n.3197 Quixeramobim, Estado do Ceará. (Williams, 1909)
Fotografia n.3198 No topo de Roroimã a 2.850 metros de altitude. Figuras de erosão pelo vento, Estado do Amazonas. (Glycon, 1927)Negativos c. 5, nº 6
Fotografia n.3199 Sem legenda e sem fotografia
Fotografia n.3200 Maior seringueira (Hevea brasiliensis) vista no Território do Acre pelas Missão Norte-Americana em 1923. Mede 3,34 de circunferência a 1 metro acima do solo. Território do Acre (1923)
Fotografia n.3201 O vapor Paraná da Praça de Belém, encalhado num salão do rio Acre logo acima do seu tributário Rioninho, Território do Acre.
Fotografia n.3202 Cariri, estrada de Boa Vista a Cabeceiras, Estado do Ceará
Fotografia n.3203 Três Corações, vista do 4º Regimento da Cavalaria Divisionária - Estado de Minas Gerais


Fotografia n.3204 Morro Tocantins, início dos Campos Gerais- Arapecuri, Pará, 1926 (Avelino)
Fotografia n.3205 Serrote das Trincheiras, sopé da Serra do Martins, estado do Rio Grande do Norte (Luciano, 1923)
Fotografia n.3206 Vista parcial do porto de Corumbá, estado de Mato Grosso (Alpheu, agosto de 1928)
Fotografia n.3207 Agulhas Negras, vertente nordeste- Itatiaia, estado do Rio de Janeiro
Fotografia n.3208 Rio Iguaçu, as três nações- a) Argentina b) Paraguai c) Brasil - Estado do Paraná (Euzebio e Alpheu, 1927)
Fotografia n.3209 Pesca na Caverna das Areias- Iporanga, estado de São Paulo (foto R. Krone)
Fotografia n.3210 Grutas calcárias em Pains, Minas
Fotografia n.3211 Arredores de Tiradentes, desbarrancados do solo xisto-argiloso - Estado de Minas Gerais (Erichsen, novembro de 1925)
Fotografia n.3212 Coqueiros- Litoral da Paraíba
Fotografia n.3213 Vila Velha, estado do Paraná
Fotografia n.3214 Caverna da Tapagem, município de Xiririca, estado de São Paulo (foto R. Krone)
Fotografia n.3215 Vitória régia- Corumbá, estado do Mato Grosso (Alpheu, julho de 1928)


Fotografia n.3429 Gravura com inscrições de Goethe - 05/05/1816
Fotografia n.3430 Le temple de Jupiter Serapis
Fotografia n.3431 Atlas D’Histoire Naturelle de Goethe
Fotografia n.3432 Gravura com inscrição em alemão gótico
Fotografia n.3433 Métamorphoses des organes appendiculaires des végétaux
Fotografia n.3434 Organographie végétale
Fotografia n.3435 Goethehaus am Großen Hirschgraben
Fotografia n.3436 Gravura com inscrição em alemão gótico
Fotografia n.3437 Cabinet de travail du poète (Götz v. Berlichingen)


Fotografia n.3438 Goethe (retrato)
Fotografia n.3439 Moelbes schlaf und sterbezimmer im Goethe Saule in Weimar
Fotografia n.3440 Goethes arbeitszimmer im Goethe Saule in Weimar
Fotografia n.3441 Intermaxillaires
Fotografia n.3442 Zweiter Ult. Laboratorium. Wagner schaut in die Phiole.
Fotografia n.3443 Geburtszimmer Goethes- Room where Goethe was Born - Chambre où est né Goethe
Fotografia n.3444 Studierzimmer. Sefchwörung des Pudels
Fotografia n.3445 Prolog im Himmel
Fotografia n.3446 Sem legenda


Fotografia n.3447 Intermaxillaires
Fotografia n.3448 Goethe’s urpflanze
Fotografia n.3449 La Luisenburg
Fotografia n.3450 Sem legenda
Fotografia n.3451 Goethes physikalische apparate
Fotografia n.3452 Goethe- einem büste von Johann Gottfried Schadow
Fotografia n.3453 Katharina Elisabeth Goethe
Fotografia n.3454 Segmentação e primeiras formas nos ovos dos peixes - M. Taure
Fotografia n.3455 Primeiras fases dos ovos humanos - M. Taure
Fotografia n.3456 Segmentação e primeiras fases dos ovos dos mamíferos - M. Taure


Fotografia n.3457 Segmentação e primeiras fases dos ovos dos répteis
Fotografia n.3458 Segmentación y primeras morfologías en los huevos perfectamente polarizados de reptiles
Fotografia n.3459 Desenvolvimento do embrião humano (Weissenberg- Michaelis)
Fotografia n.3460 Desenvolvimento do embrião humano (Weissenberg- Michaelis)
Fotografia n.3461 Desenvolvimento do embrião humano dos estados hepáticos
Fotografia n.3462 Sem legenda e sem fotografia
Fotografia n.3463 Sem legenda e sem fotografia
Fotografia n.3464 Segmentación y primeras morfologías en los huevos alecitos y isolecitos
Fotografia n.3465 Segmentação e desenvolvimento, blastulação dos ovos alécitos e isolécitos (Equinodermos amphioxus)


Fotografia n.3475 Esqueleto de Palaeotherium commune (Cuvier)
Fotografia n.3476 Sem legenda e sem fotografia
Fotografia n.3477 Esqueleto do Mamute de Adams (Cuvier)
Fotografia n.3478 Sem legenda e sem fotografia
Fotografia n.3479 Sem legenda e sem fotografia
Fotografia n.3480 Megatherium americanum reconstituído (Scott, Land, Manna)
Fotografia n.3481 Mamíferos pampeanos fósseis, reconstituído e reduzidos a uma escala uniforme (Scott, Land, p. 212)
Fotografia n.3482 Macrauchenia reconstituída (Scott, Land, Mamals)
Fotografia n.3483 Cabeça reconstituída de um urso, fóssil da América Meridional
Fotografia n.3484 Cena pleistocena: tigre dente de sabre em cima de um elefante morto
Fotografia n.3485 Sem legenda e sem fotografia
Fotografia n.3486 Mastodon americanos reconstituído (Scott, Land, Mamals)


Fotografia n.3512 Mapa da colônia japonesa- Sul de São Paulo (Coleção Fróes de Abreu)
Fotografia n.3513 Foto da Aldeia do Ponto- Índios canelas, Maranhão
Fotografia n.3514 Rio Itapecuru, Maranhão (Foto Fróes de Abreu)
Fotografia n.3515 Barreiras no litoral do Espírito Santo, Guarapari (Foto Fróes de Abreu)
Fotografia n.3516 Ribeira de Iguape, abaixo de Xiririca (Foto Fróes de Abreu)
Fotografia n.3517 Hotel japonês, sul de São Paulo (Colônia Sete Barras) - Foto Fróes de Abreu
Fotografia n.3518 Hospital japonês (Foto Fróes de Abreu)
Fotografia n.3519 Vapor de navegação da Ribeira de Iguape (Foto Fróes de Abreu)
Fotografia n.3520 Ribeira de Iguape (Foto Fróes de Abreu)


Fotografia n.3530 Planalto Paulista (subida de Iporanga a Apiaí)
Fotografia n.3531 Ribeira de Iguape de Ipiranga (margem alta formada por filitos) Foto F. Abreu
Fotografia n.3532 Uma derrubada. Colônia Registro. São Paulo. Foto F. Abreu
Fotografia n.3533 Plantação de café, São Paulo. Colônia Registro (foto F. Abreu)
Fotografia n.3534 Plantação de café, São Paulo. Colônia Registro (foto F. Abreu)


Fotografia n.3521 Foto de grupo tirado num hotel, Sete Barras de Ribeira de Iguape (foto F. Abreu)
Fotografia n.3522 Casa de colonos japoneses. Vale da Ribeira de Iguape (foto F. Abreu)
Fotografia n.3523 Margem da Ribeira de Iguape, perto de Xiririca (foto F. Abreu)
Fotografia n.3524 Casa de colono. Colônia de Sete Barras (foto F. Abreu)
Fotografia n.3525 Ribeira de Iguape (foto F. Abreu)
Fotografia n.3526 Plantação de chá- Colônia Registro. (foto F. Abreu)
Fotografia n.3527 Japoneses em trabalho. Município de Iguape (foto F. Abreu)
Fotografia n.3528 Sem legenda e sem fotografia
Fotografia n.3529 Sem legenda e sem fotografia


Fotografia n.3600 Campos de Palmas
Fotografia n.3601 Prisioneiros escoltados pelo Batalhão de Caçadores vindos de Catanduvas depois da rendição
Fotografia n.3602 Vista do porto de Guaíra no Paraná
Fotografia n.3603 Morro da Mina, a maior mina de manganês do Brasil- Queluz (MG)
Fotografia n.3604 Grupo tirado na ponta da Ilha do Cabo Frio- Canal das Salinas
Fotografia n.3605 Sem legenda e sem fotografia
Fotografia n.3606 Rio das Velhas em Sabará
Fotografia n.3607 Salinas em Cabo Frio
Fotografia n.3608 Vista parcial da Ilha do Cabo Frio


Fotografia n.3663 Cenas populares no mercado de Vitória, Espírito Santo (Coleção do Dr. F. Abreu)
Fotografia n.3664 Retrato do Dr. F. Abreu
Fotografia n.3665 Índia Canela
Fotografia n.3666 Canoas no Rio São Francisco (Pirapora, Minas Gerais)
Fotografia n.3667 Explorador do coco babaçu
Fotografia n.3668 Tipos regionais no poço de Anchieta, Cabo Frio.
Fotografia n.3669 Vista da planície de Anchieta (Cabo Frio)
Fotografia n.3670 Balsa no Rio Parnaíba (à direita: margem maranhense)
Fotografia n.3671 Vista geral da cidade: Barra do Corda vendo-se o Rio Mearim
Fotografia n.3672 Pântanos. Município de Viana (Espírito Santo)
Fotografia n.3673 Lapas calcárias em Pains, oeste de Minas Gerais
Fotografia n.3674 Planície de Sepetiba, estado do Rio de Janeiro.


Fotografia n.3675 Enseada de Piúma e Morro do Agá, Espírito Santo
Fotografia n.3676 Serra de Ouro Preto, Minas Gerais
Fotografia n.3677 Carnaubal entre Caxias e Codó, Maranhão
Fotografia n.3678 Sem legenda e sem fotografia
Fotografia n.3679 Índios canelas, Maranhão
Fotografia n.3680 Brejos da costa do Espírito Santo entre Vila Velha e Guarapari
Fotografia n.3681 Areia da praia em camadas (costa sul do Espírito Santo)
Fotografia n.3682 Toras de peroba à margem do Rio Doce em Minas Gerais
Fotografia n.3683 Morro de São João e Vitória, Espírito Santo (Coleção Fróes de Abreu)
Fotografia n.3684 Astacus fluviatilis (crustáceo)
Fotografia n.3685 Helix pomatia (molusco)
Fotografia n.3686 Aracnídeo


Fotografia n.3710 Taenia
Fotografia n.3711 Dibothriocephalus latus
Fotografia n.3712 Taenia saginata
Fotografia n.3713 Distomum hepaticum
Fotografia n.3714 Taenia solium
Fotografia n.3715 Peixes teleósteos
Fotografia n.3716 Amphioxus lanceolatum


Fotografia n.3747 Tabuleiro coberto em Minas Gerais- III da Flora de Martius
Fotografia n.3748 Queimada nos campos de Minas Gerais- XXI da Flora de Martius
Fotografia n.3749 Bulbos Tylis paradoxa- Ciperácea das savanas do Brasil
Fotografia n.3750 Um pomar em uma estepe antes deserta- Argentina
Fotografia n.3751 Cascata Banho de Diana- Itália
Fotografia n.3752 Savana na Guatemala. Seg. Sec. Vic. d' Ita ic janeiro 1927 - 1928
Fotografia n.3753 Hignos de venezuela com a palma llanera
Fotografia n.3754 Sem legenda e sem fotografia
Fotografia n.3755 Campo cerrado em Mato Grosso, segundo Malme em dich f. Bolt (volume 18, nº 17, figura1)
Fotografia n.3756 Vegetação da margem do Rio Paraguaí- Mato Grosso
Fotografia n.3757 Campos Gerais da Serra da Mantiqueira- Lorena, São Paulo
Fotografia n.3758 Vale Velônia em Minas Gerais- IV da Flora de Martius


Fotografia n.3759 Sipolisia lanuginosa Glaziou, Minas Gerais
Fotografia n.3760 Fruto de tachi (Triplaris surinamensis) flutem em um dia de germinação?///
Fotografia n.3761 Embaúbas (?) em ilha arenosa na Amazônia (Flora de Martius XI)
Fotografia n.3762 Árvores anteriores a Cristo na selva amazônica (Flora de Martius XI)
Fotografia n.3763 Campo cerrado de Monte Alegre, Pará- Expedition Biologique au Brésil (1923)
Fotografia n.3764 Capões de mato em Minas Gerais (Flora de Martius II)
Fotografia n.3765 Sucupiras dos cerrados de Mato Grosso, segundo Malme
Fotografia n.3766 Pampa argentino com o palmito Trithrinax campestris
Fotografia n.3767 Savana de palmeira- Savana com baobá na África, segundo Chevalier
Fotografia n.3768 Campos Gerais em São Paulo (Flora de Martius V)
Fotografia n.3769 Paisagem da Serra dos Órgãos


Fotografia n.3780 Cultura da seringueira na Amazônia
Fotografia n.3781 Sumatra- Culturas de Hevea brasiliensis
Fotografia n.3782 Sixty-five old Teak plantationat Nilambur, Madras,Tree with man at the base, 30 inches in diameter
Fotografia n.3783 Caatinga na Bahia
Fotografia n.3784 Vegetação subtropical da Nova Zelândia
Fotografia n.3785 Palmeira do campo, Bombax gracilipes, que medra nas serras e campos dos arredores de Turvo
Fotografia n.3786 Visgueiro- Parkia pendula- Amazônia, segundo Huber
Fotografia n.3787 Savanas na Amazônia com a palmeira jataí e emas, segundo Lindman
Fotografia n.3788 Campo do Arari, Amazônia, segundo Huber
Fotografia n.3789 Árvore do caucho- derrubada para a extração de látex
Fotografia n.3790 Uma árvore sobre um rochedo- Cape Hopewell, Canadá
Fotografia n.3791 Savanas: Campos da Praia no Rio Grande do Sul, segundo Lindman


Fotografia n.3792 Influência da natureza do solo sobre o desenvolvimento das raízes, segundo Massart
Fotografia n.3793 Wunderlichia mirabilis, Riedel, na Serra do Caraça (Minas Gerais)Serra do Garimpo em Cocais (Minas Gerais), formação da Vellozia compacta
Fotografia n.3794 Aningal de Moutrichawia arborescens- Amazônia
Fotografia n.3795 Campanha de gado de criação- Rio Grande do Sul
Fotografia n.3796 Monumento a Barry, cão São Bernardo (Alpes)
Fotografia n.3797 Pinhal em Mallet, estado do Paraná, segundo o general Rondon
Fotografia n.3798 Savanas, segundo Huber
Fotografia n.3799 Algodão bravo- Amazônia
Fotografia n.3800 Mata de Betula alba no norte da Europa
Fotografia n.3801 Norte da Europa (Lapônia)- espécies rasteiras
Fotografia n.3802 Luta pela vida entre mata de carvalho e vegetais campestres de colina na Dinamarca
Fotografia n.3803 Sem legenda e sem fotografia


Fotografia n.3816 Terrenos primitivos e mares epicontinentais na América do Sul. Segundo B. Fournier
Fotografia n.3817 Welwitschia mirabilis- segundo Schenk, Sul da África
Fotografia n.3818 Algas floridas (diversos tipos) segundo Langeron, Atlas Colorie
Fotografia n.3819 Figueira em uma porteira - Revista “O Campo”, Estado do Rio de Janeiro
Fotografia n.3820 Sem legenda e sem fotografia
Fotografia n.3821 Pantanal de Mato Grosso - em Barra de Guaiva em Corumbá, São Luís de Cáceres
Fotografia n.3822 Savana Chapadão do Parecis – Mato Grosso – Segundo Hoehne
Fotografia n.3823 Buritizal em Mato Grosso, segundo Hoehne
Fotografia n.3824 Sertão de Mato Grosso – Tatuí
Fotografia n.3825 Estepe na África
Fotografia n.3826 Sem legenda e sem fotografia
Fotografia n.3827 Echinocactus alteolens, cactácea- Mato Grosso


Fotografia n.3828 Uma árvore rupícola no Paraná
Fotografia n.3829 Sem legenda e sem fotografia
Fotografia n.3830 Vivenda rural com plantas frutíferas. Segundo Geographic Magazine
Fotografia n.3831 Vivenda rural com trepadeira
Fotografia n.3832 Reserva biológica na África – Geographic Magazine
Fotografia n.3833 Professor Engler
Fotografia n.3834 Major Archer que reflorestou a Tijuca
Fotografia n.3835 Aula ao ar livre
Fotografia n.3836 Chuva na América do Sul
Fotografia n.3837 Corte transversal de folhas de velosiáceas. Segundo o Prof. César Diogo (Archivos do Museu Nacional)
Fotografia n.3838 Corte transversal de folhas de velosiáceas. Segundo o Prof. César Diogo (Archivos do Museu Nacional)
Fotografia n.3839 Sem legenda e sem fotografia


Fotografia n.3886 Estampa representando a coleção etnográfica enviada pela comissão provincial presidida por Gonçalves Dias e a que serefere o relatório deste seg. nota de referência Lones. Biblioteca do Museu Nacional
Fotografia n.3887 Sem legenda e sem fotografia
Fotografia n.3888 Sem legenda e sem fotografia
Fotografia n.3889 Escola Regional de Meriti
Fotografia n.3890 Escola Regional de Meriti
Fotografia n.3891 Escola Regional de Meriti
Fotografia n.3892 Escola Regional de Meriti
Fotografia n.3893 Escola Regional de Meriti
Fotografia n.3894 Escola Regional de Meriti
Fotografia n.3895 Escola Regional de Meriti
Fotografia n.3896 Escola Regional de Meriti
Fotografia n.3897 Escola Regional de Meriti


Fotografia n.3804 Sem legenda e sem fotografia
Fotografia n.3805 Sem legenda e sem fotografia
Fotografia n.3806 Girafas no Kruger- África do Sul
Fotografia n.3807 Um carvalho milenar doado ao governo da Alemanha como monumento natural
Fotografia n.3808 Mata de eucaliptos com 16 meses no Horto de Juazeiro, estado da Bahia
Fotografia n.3809 Sem legenda e sem fotografia
Fotografia n.3810 Cereus peruvianus na Restinga de Cabo Frio, segundo Schench
Fotografia n.3811 Remirea maritima- Stenotaphrum americanum e outros na restinga do Rio de Janeiro
Fotografia n.3812 Rhizophora mucronata e Avicennia officinalis nos mangues da Índia, segundo Schench
Fotografia n.3813 Ipamoea pescaprae no cômoro de Cabo Frio, segundo Schench
Fotografia n.3814 Andira frondosa, Cereus peruvianus, Cereus pitaya e Aechmea nudicaulis em Cabo Frio
Fotografia n.3815 Nhundu - Cerrado das restingas no Rio de Janeiro


Fotografia n.3840 Sem legenda e sem fotografia
Fotografia n.3841 Megalitos nos campos de Vila Velha, Paraná - Hoehne
Fotografia n.3842 Campos com canela de ema (Vellozia variabilis) - Serra do Curral - Foto de A. da Silveira
Fotografia n.3843 Serra do Palmital (vizinhanças da Gandarela) e sua vegetação (agosto de 1912)
Fotografia n.3844 Sem legenda
Fotografia n.3845 Desenho no interior da bacia tupinambá
Fotografia n.3846 Desenho no interior da bacia tupinambá
Fotografia n.3847 Desenho no interior da bacia tupinambá
Fotografia n.3848 Urna tupinambá - Vila Igaratá, Estrada de Cosmos, Distrito Federal (RJ)
Fotografia n.3849 Rio Iriri, Magé- Excursão Heloisa Alberto Torres, 1929
Fotografia n.3850 Urna tupinambá- Excursão Heloisa Alberto Torres, 1929
Fotografia n.3851 Vila Igaratá, Estrada de Cosmos, Distrito Federal (RJ)


Fotografia n.3852 Cerâmica atestando a fabricação pelo processo de enrolamento
Fotografia n.3853 Sem legenda e sem fotografia
Fotografia n.3854 Vila Igaratá, Estrada de Cosmos, Distrito Federal (RJ)
Fotografia n.3855 Desenho do fundo de uma bacia tupinambá - Coleção Museu Nacional
Fotografia n.3856 Mapa da distribuição da cerâmica de impressão digital
Fotografia n.3857 Mapa da distribuição geográfica da cerâmica Tupinambá
Fotografia n.3858 Sem legenda e sem fotografia
Fotografia n.3859 Sem legenda e sem fotografia
Fotografia n.3860 Sem legenda e sem fotografia
Fotografia n.3861 Sem legenda e sem fotografia
Fotografia n.3862 Sem legenda e sem fotografia
Fotografia n.3863 Bonellia viridis (adulto Homem)


Fotografia n.3466 Segmentación y primeras morfologías en los huevos telolecitos
Fotografia n.3467 Segmentação e desenvolvimento dos ovos telolécitos imper. polarizados
Fotografia n.3468 Segmentação e desenvolvimento dos ovos telolécitos imper. (répteis, peixes) - Conferência do Prof. Padberg (maio de 1936)
Fotografia n.3469 Gambá fóssil de gesso de Paris (Cuvier, Ossem)
Fotografia n.3470 Reconstituição ideal do Palaeotherium, Anoplotherium e Hyphodon de gesso de Paris
Fotografia n.3471 Reconstituição de dois Palaeotherium e dois Anoplotherium (Cuvier, Ossem)
Fotografia n.3472 Sem legenda e sem fotografia
Fotografia n.3473 Sem legenda e sem fotografia
Fotografia n.3474 Esqueleto reconstituído de Palaeotherium magnum


Fotografia n.3909 Sem legenda e sem fotografia
Fotografia n.3910 Sem legenda e sem fotografia
Fotografia n.3911 La fructification produite par le champignon (Rozites gongylophora)
Fotografia n.3912 Fourmis à parasol (Acromyrmex discigera)
Fotografia n.3913 Foundation d’un nouveau jardin par la jeune reine d’Alta sexdens dans son vol nuptial
Fotografia n.3914 La moissonneuse rustique (Messor barbarus)
Fotografia n.3915 Fragment d’um jardin à champignons établi par l’Acromyrmex discigera (d’après Möller)
Fotografia n.3916 Les filaments mycéliens renflés (Kohlrabi) qui se développent sur le jardin de l’Acromyrmex
Fotografia n.3917 Coupe verticale antéro-postérieure dans la tetê d’une reine d’Atta
Fotografia n.3918 Fourmis à miel des États-Unis
Fotografia n.3919 Relation des fourmis avec la cochenille de la vigne (Pulvinaria vilis)
Fotografia n.3920 Coupe verticale très réduite dans un nid d’Atta
ALMEIDA, Alberto Rollemberg de. Ofício ao sub-reitor de Pessoal e Serviços da UFRJ, em 11 de julho de 1983. (Pasta Ofícios Expedidos, referência a Alberto Rollemberg como membro da equipe).
BRASILIENSE, Olga Caldas. Ofício à diretora do Museu Nacional, em 22 de março de 1982. (Pasta Ofícios Expedidos, referência a Olga como chefe em 1982).
BRASILIENSE, Olga Caldas. Ofício ao diretor do Museu Nacional, em 30 de outubro de 1985. (Pasta Ofícios Expedidos, referência a João Domingos Lamonica como membro da equipe).
BRASILIENSE, Olga Caldas. Ofício à diretora do Museu Nacional, em 08 de maio de 1987. (Pasta Ofícios Expedidos, referência a Maria Rosa de Lima como membro da equipe).
BRASILIENSE, Olga Caldas. Ofício à diretora do Museu Nacional, em 09 de novembro de 1987. (pasta Ofícios Expedidos, referência a aquisição de materiais básicos para o funcionamento da Seção).
CORDEIRO, Patricia. Diagnóstico para Identificação de Danos em Fotografias: Um estudo para a conservação dos documentos fotográficos do processo de gelatina e prata pertencentes ao arquivo do Instituto Oswaldo Cruz. 231 p. Rio de Janeiro: Instituto Oswaldo Cruz, 2023. Disponível em: patricia_riggo_ cordeiro_dissertacao_final_30-01-24_compressed.pdf. Acesso em: 22 fev. 2025.
DECRETO-LEI nº 2.974, de 23 de janeiro de 1941. Regimento Interno do Museu Nacional. Disponível em: https://www2.camara.leg.br/legin/ fed/declei/1940-1949/decreto-lei-2974-23-janeiro-1941-412895publicacaooriginal-1-pe.html. Acesso em: 22 fev. 2025.
MOREIRA, Gustavo Alves Cardoso. Índice onomástico dos funcionários do Museu Nacional. p. 134. (Referências a Moacyr Garcia Leão, José Vidal e Carlos Freitas).
MOSCIARO, Maria Clara Ribeiro. Diagnóstico de Conservação em Coleções Fotográficas: Caderno Técnico nº 6. Rio de Janeiro: Funarte, 2009.
MOSCIARO, Maria Clara Ribeiro; BARUKI, Sandra Cristina Serra; SANTOS, Paulo Roberto Elian. Guia visual dos negativos do Instituto Oswaldo Cruz: características físicas, problemas de conservação e interferências. Rio de Janeiro: FioCruz-COC, 2024. Disponível em: „Produto Guia visual dos negativos de vidro - Maria Clara Mosciaro, Paulo Elian e Sandra BarukiPPGPAT - COC.pdf”. Acesso em: 22 fev. 2025.
MUSEU NACIONAL. Relatório Anual do Museu Nacional. Rio de Janeiro: 1956. p. 98. (Referência a Moacyr Garcia Leão, Antonio Pieri Júnior e João Guimarães Lobo como formadores da equipe da Seção de Fotografia em 1955).
MUSEU NACIONAL. Relatório Anual do Museu Nacional. Rio de Janeiro: 1962. p. 88. (Referência à cooperação entre a Divisão de Educação e o Setor de Fotografia).
MUSEU NACIONAL. Relatório Anual do Museu Nacional. Rio de Janeiro: 1963. p. 121. (Referência à atuação de João Guimarães Lobo na área das projeções).
MUSEU NACIONAL. Relatório de Gestão . Seção de Fotografia do Museu Nacional, 2014. (Referência a Claudia Magalhães Cordeiro como chefe da Seção).
MUSEU NACIONAL. Termos de Responsabilidade (1957–1997). (Referências a compras e consertos efetuados na década de 1970).
PORTELLA, E. H.; ROMANZINI, D.; ANGRIZANI, C. C.; AMICO, S. C.; ZATTERA, A. J. Materials Research, v. 19, n. 3, p. 542–547, 2016.
SALVI, Caterina Susana. A fotografia científica no Museu Nacional: guia básico para a preservação de seu acervo em suporte de vidro (Dissertação de mestrado profissional). Rio de Janeiro: MAST, 2018. (Referências a Hartt, p. 45 e 47, Serviço de Fotografia e Projeções, p. 57/58, processo de autocromia, p. 82, SAE, p. 85 e 87, Decreto nº 18.901, p. 86, Relatório de 1947, p. 87, acervo da Seção, 20 mil negativos, p. 89).
STULIK, Dusan C. The Atlas of Analytical Signatures of Photographic Processes – Silver Gelatin. Los Angeles: The Getty Conservation Institute, 2013.
STULIK, Dusan; KAPLAN, Art. The Atlas of Analytical Signatures of Photographic Processes. Los Angeles: Getty Conservation Institute, 2013.
Abrasão
Tipo: Dano físico
Descrição: Dano ocasionado pela fricção entre os materiais ou com algum material abrasivo, como a poeira, que resulta no desgaste das superfícies e mídias nas obras em papel. A abrasão, em geral, é resultado de manuseio inadequado e falta de limpeza nos locais de guarda. A poeira depositada sobre as superfícies, por exemplo, funciona com uma lixa durante a movimentação de livros.
Referência: BOJANOSKI, Silvana/ ALMADA, Márcia. Glossário ilustrado de conservação e restauração de obras em papel: danos e tratamento. Português, Espanhol, Inglês, Greg o. Belo Horizonte: Fino Trato, 2021. p.20. Disponível em: glossario-ilustrado-_pt (1).pdf
Acesso: 22 fev. 2025
Amarelecimento
Tipo: Dano químico
Descrição: Alteração da cor do papel, em geral em decorrência da degradação da lignina e celulose causada pela oxidação, hidrólise e reação fotoquímica.
Referência: BOJANOSKI, Silvana/ ALMADA, Márcia. Glossário ilustrado de conservação e restauração de obras em papel: danos e tratamento. Português, Espanhol, Inglês, Grego. Belo Horizonte: Fino Trato, 2021. p.22. Disponível em: glossario-ilustrado-_pt (1).pdf
Acesso: 22 fev. 2025
Arranhão
Tipo: Dano físico
Descrição: Dano que resulta em uma escoriação da superfície da obra, em geral com a perda de material original.
Referência: BOJANOSKI, Silvana/ ALMADA, Márcia. Glossário ilustrado de conservação e restauração de obras em papel: danos e tratamento. Português, Espanhol, Inglês, Grego. Belo Horizonte: Fino Trato, 2021. p.24. Disponível em: glossario-ilustrado-_pt (1).pdf
Acesso: 22 fev. 2025
Corte
Tipo: Dano físico
Descrição: Dano ocasionado por um instrumento de corte que resulta no rompimento do papel, deixando uma borda com superfície regular.
Referência: BOJANOSKI, Silvana/ ALMADA, Márcia. Glossário ilustrado de conservação e restauração de obras em papel: danos e tratamento. Português, Espanhol, Inglês, Grego. Belo Horizonte: Fino Trato, 2021. p.30. Disponível em: glossario-ilustrado-_pt (1).pdf
Acesso: 22 fev. 2025
Dobra
Tipo: Dano físico
Descrição: Dano caracterizado pela deformação da superfície do papel, em geral decorrente de manuseio ou acondicionamento inadequado, que ocasiona o rompimento ou deformação das fibras de celulose, criando uma área de fragilidade no documento
Referência: BOJANOSKI, Silvana/ ALMADA, Márcia. Glossário ilustrado de conservação e restauração de obras em papel: danos e tratamento. Português, Espanhol, Inglês, Grego. Belo Horizonte: Fino Trato, 2021. p.34. Disponível em: glossario-ilustrado-_pt (1).pdf
Acesso: 22 fev. 2025
Escurecimento
Tipo: Dano químico
Descrição: Dano caracterizado pela alteração da cor do papel, em geral resultado do acúmulo de sujidade ou degradação química como oxidação ou hidrólise.
Referência: BOJANOSKI, Silvana/ ALMADA, Márcia. Glossário ilustrado de conservação e restauração de obras em papel: danos e tratamento. Português, Espanhol, Inglês, Grego. Belo Horizonte: Fino Trato, 2021. p.36. Disponível em: glossario-ilustrado-_pt (1).pdf
Acesso: 22 fev. 2025
Foxing
Tipo: Dano químico
Descrição: Dano caracterizado por manchas pontuais de cor marrom-avermelhada que se espalham pela superfície do papel. Não existe estudo conclusivo sobre a origem do foxing, mas pode estar relacionada a múltiplas causas, como a ação de microrganismos, substâncias presentes na manufatura do papel e ação da umidade.
Referência: BOJANOSKI, Silvana/ ALMADA, Márcia. Glossário ilustrado de conservação e restauração de obras em papel: danos e tratamento. Português, Espanhol, Inglês, Grego. Belo Horizonte:
Fino Trato, 2021. p.40. Disponível em: glossario-ilustrado-_pt (1).pdf
Acesso: 22 fev. 2025
Mancha
Tipo: Dano químico
Descrição: Dano que se manifesta pela alteração da cor original em determinadas áreas dos documentos. O termo mancha é genérico e, por isto, em um diagnóstico é preciso especificar a sua causa, indicando se é resultado da ação de fungos, adesivos degradados, objetos enferrujados (grampos, clipes), excrementos de insetos, resíduos de tintas, óleos e gorduras, degradação irregular, dentre tantas outras possibilidades.
Referência: BOJANOSKI, Silvana/ ALMADA, Márcia. Glossário ilustrado de conservação e restauração de obras em papel: danos e tratamento. Português, Espanhol, Inglês, Grego. Belo Horizonte: Fino Trato, 2021. p.42. Disponível em: glossario-ilustrado-_pt (1).pdf
Acesso: 22 fev. 2025
Mancha de adesivo
Tipo: Dano físico
Descrição: Dano ocasionado pela degradação de colas ou fitas adesivas, que resultam em manchas escuras de difícil remoção.
Referência: BOJANOSKI, Silvana/ ALMADA, Márcia. Glossário ilustrado de conservação e restauração de obras em papel: danos e tratamento. Português, Espanhol, Inglês, Grego. Belo Horizonte: Fino Trato, 2021. p.52. Disponível em: glossario-ilustrado-_pt (1).pdf
Acesso: 22 fev. 2025
Perda de suporte
Tipo: Dano físico
Descrição: Dano caracterizado pela perda de áreas do papel, que podem ser decorrentes de manuseio inadequado, ação de insetos e roedores, reação das tintas ferrogálicas, dentre outras causas.
Referência: BOJANOSKI, Silvana/ ALMADA, Márcia. Glossário ilustrado de conservação e restauração de obras em papel: danos e tratamento. Português, Espanhol, Inglês, Grego. Belo Horizonte: Fino Trato, 2021. p.60. Disponível em: glossario-ilustrado-_pt (1).pdf
Acesso: 22 fev. 2025
Perfuração
Tipo: Dano físico
Descrição: Dano que resulta em perda de suporte de pequenas áreas circulares, em geral decorrente do ataque de insetos.
Referência: BOJANOSKI, Silvana/ ALMADA, Márcia. Glossário ilustrado de conservação e restauração de obras em papel: danos e tratamento. Português, Espanhol, Inglês, Grego. Belo Horizonte: Fino Trato, 2021. p.62. Disponível em: glossario-ilustrado-_pt (1).pdf
Acesso: 22 fev. 2025
Rasgo
Tipo: Dano físico
Descrição: Dano resultante do rompimento do papel por tensão, deixando as fibras do papel expostas.
Referência: BOJANOSKI, Silvana/ ALMADA, Márcia. Glossário ilustrado de conservação e restauração de obras em papel: danos e tratamento. Português, Espanhol, Inglês, Grego. Belo Horizonte: Fino Trato, 2021. p.66. Disponível em: glossario-ilustrado-_pt (1).pdf
Acesso: 22 fev. 2025
Tipo: Dano físico
Descrição: Dano caracterizado pela deformação da superfície do papel em pequenas áreas, formando pregas, em geral ocasionadas por manuseio ou acondicionamento inadequados.
Referência: BOJANOSKI, Silvana/ ALMADA, Márcia. Glossário ilustrado de conservação e restauração de obras em papel: danos e tratamento. Português, Espanhol, Inglês, Grego. Belo Horizonte: Fino Trato, 2021. p.70. Disponível em: glossario-ilustrado-_pt (1).pdf
Acesso: 22 fev. 2025
Sujidade
Tipo: Dano físico
Descrição: Dano ocasionado por materiais depositados ou incrustados na superfície das obras em papel, como poeira, poluentes particulados, detritos de insetos, alimentos, etc. Os materiais que se depositam sobre as obras em papel são considerados agentes agressores que devem ser retirados no processo de higienização ou limpeza.
Referência: BOJANOSKI, Silvana/ ALMADA, Márcia. Glossário ilustrado de conservação e restauração de obras em papel: danos e tratamento. Português, Espanhol, Inglês, Grego. Belo Horizonte: Fino Trato, 2021. p.74. Disponível em: glossario-ilustrado-_pt (1).pdf
Acesso: 22 fev. 2025
Suporte ácido
Tipo: Dano químico
Descrição: Dano ocasionado pela presença de componentes ácidos no papel. A acidez é um dos principais fatores de degradação dos papéis, especialmente os industriais produzidos entre meados do século XIX e fins do XX. Há várias fontes de acidez no papel, sendo a
principal o sistema de encolagem ácida usado durante esse período; outras fontes são a poluição atmosférica, os produtos ácidos da degradação da celulose e da lignina e a migração ácida de papéis adjacentes. A exposição à luz, calor e umidade tendem a acelerar a reação de hidrólise ácida nos papéis.
Referência: BOJANOSKI, Silvana/ ALMADA, Márcia. Glossário ilustrado de conservação e restauração de obras em papel: danos e tratamento. Português, Espanhol, Inglês, Grego. Belo Horizonte: Fino Trato, 2021. p.76. Disponível em: glossario-ilustrado-_pt (1).pdf
Acesso: 22 fev. 2025
Vinco
Tipo: Dano físico
Descrição: Dano físico ocasionado pela dobra do papel, criando uma linha com micro rompimento das fibras de celulose. O vinco resulta em uma área de fragilidade no papel, que pode posteriormente romper-se.
Referência: BOJANOSKI, Silvana/ ALMADA, Márcia. Glossário ilustrado de conservação e restauração de obras em papel: danos e tratamento. Português, Espanhol, Inglês, Grego. Belo Horizonte: Fino Trato, 2021. p.80. Disponível em: glossario-ilustrado-_pt (1).pdf
Acesso: 22 fev. 2025
Abrasão da camada superficial
Tipo: Dano físico
Descrição: A abrasão é um dano que se caracteriza como uma espécie de arranhões, podendo vir acompanhado ou não da perda da camada de emulsão. Ela é causada pelo contato de um objeto com a superfície da imagem.
Referência: CORDEIRO, Patricia. Diagnóstico para Identificação de Danos em Fotografias: Um estudo para a conservação dos documentos fotográficos do processo de gelatina e prata pertencentes ao arquivo do Instituto Oswaldo Cruz. 2023. 231 páginas. Instituto Oswaldo Cruz, Rio de Janeiro 2023, p. 137. Disponível em: patricia riggo_cordeiro_dissertacao_final 30-01-24 compressed.pdf Acesso: 22 fev. 2025
Amarelecimento
Tipo: Dano químico
Descrição: O amarelecimento, que pode ser confundido com as manchas de processamento, é uma espécie de véu (pátina) de tom amarelecido ou até mesmo amarronzado na superfície da imagem. Trata-se de uma descoloração, causada pela exposição a poluentes oxidantes, formando uma camada de prata coloidal.
Referência: CORDEIRO, Patricia. Diagnóstico para Identificação de Danos em Fotografias: Um estudo para a conservação dos documentos fotográficos do processo de gelatina e prata pertencentes ao arquivo do Instituto Oswaldo Cruz. 2023. 231 páginas. Instituto Oswaldo Cruz, Rio de Janeiro 2023, p. 133. Disponível em: patricia riggo_cordeiro_dissertacao_final 30-01-24 compressed.pdf Acesso: 22 fev. 2025
Tipo: Dano físico
Descrição: Dano que resulta em uma escoriação da superfície da obra, em geral com a perda de material original. Pode, no caso dos negativos ter sido ocasionado pelo contato pontual com objetos pontiagudos, unhas e outros.
Referência: MOSCIARO, Maria Clara Ribeiro/BARUKI, Sandra Cristina Serra/ SANTOS, Paulo Roberto Elian. Guia visual dos negativos do Instituto Oswaldo Cruz: características físicas, problemas de conservação e interferências. Rio de Janeiro: FioCruz-COC, 2024. p. 13. Disponível em: Produto Guia visual dos negativos de vidroMaria Clara Mosciaro, Paulo Elian e Sandra Baruki - PPGPAT - COC.pdf
Acesso: 22 fev. 2025
Deformação ou ondulação
Tipo: Dano químico
Descrição: A deformação ou ondulação é uma deterioração causada pela mudança de temperatura e umidade relativa, ou molhamento direto, no papel e na gelatina. Ambos os materiais são higroscópicos e tendem a absorver umidade, se expandindo e contraindo de forma diferente. Essa ação de expandir e contrair causa uma deformação do suporte.
Referência: CORDEIRO, Patricia. Diagnóstico para Identificação de Danos em Fotografias: Um estudo para a conservação dos documentos fotográficos do processo de gelatina e prata pertencentes ao arquivo do Instituto Oswaldo Cruz. 2023. 231 páginas. Instituto Oswaldo Cruz, Rio de Janeiro 2023, p. 135. Disponível em: patricia riggo_cordeiro_dissertacao_final 30-01-24 compressed.pdf Acesso: 22 fev. 2025
Descolamento de emulsão, perda de emulsão
Tipo: Dano químico
Descrição: A perda de adesão entre o substrato e o vidro é mais frequentemente atribuída à diferença de comportamento entre esses dois materiais, quando expostos a flutuações na umidade relativa. As condições de conservação parecem desempenhar um papel importante neste processo de alteração. De fato, em altos níveis de umidade relativa do ar (acima de 50%) a gelatina se expandirá. Uma queda na umidade relativa (menos de 30%) levará, ao contrário, a um encolhimento do material .Esta elasticidade é inerente à gelatina, o vidro não é afetado por essas variações.
Referência: MOSCIARO, Maria Clara Ribeiro/BARUKI, Sandra Cristina Serra/ SANTOS, Paulo Roberto Elian. Guia visual dos negativos do Instituto Oswaldo Cruz: características físicas, problemas de conservação e interferências. Rio de Janeiro: FioCruz-COC, 2024. p. 17. Disponível em: Produto Guia visual dos negativos de vidroMaria Clara Mosciaro, Paulo Elian e Sandra Baruki - PPGPAT - COC.pdf
Acesso: 22 fev. 2025
Dobras ou amassamento
Tipo: Dano Físico
Descrição: Dobras ou amassamento | Fold (dog ears) Uma dobra ou amassamento caracteriza-se como uma deformação, onde um dos cantos (pontas) de uma fotografia é vincado sobre uma superfície de mesma extensão – podendo ser o verso da imagem ou a emulsão. Ela é causada por pontos de pressão aplicados sobre a imagem.
Referência: CORDEIRO, Patricia. Diagnóstico para Identificação de Danos em Fotografias: Um estudo para a conservação dos documentos fotográficos do processo de gelatina e prata pertencentes ao arquivo do Instituto Oswaldo Cruz. 2023. 231 páginas. Instituto Oswaldo Cruz, Rio de Janeiro 2023, p. 139. Disponível em: patricia riggo_cordeiro_dissertacao_final 30-01-24 compressed.pdf Acesso: 22 fev. 2025
Esmaecimento
Tipo: Dano Químico
Descrição: Esmaecimento | Image Fading O esmaecimento é a perda gradual de contraste de uma imagem. Ele ocorre quando poluentes atmosféricos, agentes oxidantes ou altos níveis de umidade relativa (UR) conseguem adentrar a camada superficial de gelatina, já que ela expande, e modificar a prata metálica. É possível perceber uma perda de nitidez e contraste, que estão presentes em uma fotografia em bom estado.
Referência: CORDEIRO, Patricia. Diagnóstico para Identificação de Danos em Fotografias: Um estudo para a conservação dos documentos fotográficos do processo de gelatina e prata pertencentes ao arquivo do Instituto Oswaldo Cruz. 2023. 231 páginas. Instituto Oswaldo Cruz, Rio de Janeiro 2023, p. 131. Disponível em: patricia riggo_cordeiro_dissertacao_final 30-01-24 compressed.pdf Acesso: 22 fev. 2025
Espelhamento de prata
Tipo: Dano químico
Descrição: O espelhamento de prata se apresenta como uma camada brilhosa altamente reflexiva de prata, com tom azulado, nas áreas escuras da imagem. O espelhamento ocorre devido a uma reação de oxidação-redução da prata metálica (Ag0). Esse processo ocorre por meio de influências de poluentes atmosféricos e da alta umidade que oxidam a prata metálica (Ag0).
Referência: CORDEIRO, Patricia. Diagnóstico para Identificação de Danos em Fotografias: Um estudo para a conservação dos documentos fotográficos do processo de gelatina e prata pertencentes ao arquivo do Instituto Oswaldo Cruz. 2023. 231 páginas. Instituto Oswaldo Cruz, Rio de Janeiro 2023, p. 134. Disponível em: patricia riggo_cordeiro_dissertacao_final 30-01-24 compressed.pdf Acesso: 22 fev. 2025
Impressão digital
Tipo: Dano físico
Descrição: A manipulação durante a preparação das chapas, no
caso do colódio, e durante o processamento posterior à tomada da fotografia , resultam em marcas de digitais, visíveis no lado da camada de colódio.
Referência: MOSCIARO, Maria Clara Ribeiro/BARUKI, Sandra Cristina Serra/ SANTOS, Paulo Roberto Elian. Guia visual dos negativos do Instituto Oswaldo Cruz: características físicas, problemas de conservação e interferências. Rio de Janeiro: FioCruz-COC, 2024.
p. 14. Disponível em: Produto Guia visual dos negativos de vidroMaria Clara Mosciaro, Paulo Elian e Sandra Baruki - PPGPAT - COC.pdf
Acesso: 22 fev. 2025
Tipo: Dano químico
Descrição: Dano que se manifesta pela alteração da cor original em determinadas áreas dos documentos[...]Nota: O termo mancha é genérico e, por isto, em um diagnóstico é preciso especificar a sua causa[...] indicando se é resultado da ação de fungos, adesivos degradados, objetos enferrujados (grampos, clipes), excrementos de insetos, resíduos de tintas, óleos e gorduras, degradação irregular, dentre tantas outras possibilidades.
Referência: MOSCIARO, Maria Clara Ribeiro/BARUKI, Sandra Cristina Serra/ SANTOS, Paulo Roberto Elian. Guia visual dos negativos do Instituto Oswaldo Cruz: características físicas, problemas de conservação e interferências. Rio de Janeiro: FioCruz-COC, 2024. p. 15. Disponível em: Produto Guia visual dos negativos de vidroMaria Clara Mosciaro, Paulo Elian e Sandra Baruki - PPGPAT - COC.pdf
Acesso: 22 fev. 2025
Mancha de adesivo
Tipo: Dano físico
Descrição: Mancha de adesivo | Adhesive stain Dano causado pelo uso de adesivo sobre a emulsão da fotografia, que pode causar o desprendimento da camada da imagem ou manchas. Os adesivos
podem ser observados com a perda plástica, restando os resíduos da fita.
Referência: CORDEIRO, Patricia. Diagnóstico para Identificação de Danos em Fotografias: Um estudo para a conservação dos documentos fotográficos do processo de gelatina e prata pertencentes ao arquivo do Instituto Oswaldo Cruz. 2023. 231 páginas. Instituto Oswaldo Cruz, Rio de Janeiro 2023, p. 143. Disponível em: patricia riggo_cordeiro_dissertacao_final 30-01-24 compressed.pdf Acesso: 22 fev. 2025
Tipo: Dano químico
Descrição: Esses tipos de manchas são causados por um processamento incorreto, onde a lavagem da fotografia é feita de forma inadequada ou com materiais de baixa qualidade. De acordo com Lavédrine (2003), o químico presente no fixador mal lavado reage com a alta umidade e, quando combinada com a prata metálica, acaba formando manchas coloridas de sulfeto de prata (Ag2S).
Referência: CORDEIRO, Patricia. Diagnóstico para Identificação de Danos em Fotografias: Um estudo para a conservação dos documentos fotográficos do processo de gelatina e prata pertencentes ao arquivo do Instituto Oswaldo Cruz. 2023. 231 páginas. Instituto Oswaldo Cruz, Rio de Janeiro 2023, p. 132. Disponível em: patricia riggo_cordeiro_dissertacao_final 30-01-24 compressed.pdf Acesso: 22 fev. 2025
Perfuração
Tipo: Dano físico
Descrição: Esse dano ocorre quando há uma perda de suporte e emulsão, podendo ser circular ou de forma irregular. Pode ser causado por ataque de insetos, por grampos ou outros objetos metálicos.
Referência: CORDEIRO, Patricia. Diagnóstico para Identificação de Danos em Fotografias: Um estudo para a conservação dos documentos fotográficos do processo de gelatina e prata pertencentes ao arquivo do Instituto Oswaldo Cruz. 2023. 231 páginas. Instituto Oswaldo Cruz, Rio de Janeiro 2023, p. 142. Disponível em: patricia riggo_cordeiro_dissertacao_final 30-01-24 compressed.pdf Acesso: 22 fev. 2025
Sujidade
Tipo: Dano químico
Descrição: Termo que inclui poeira, resíduos sólidos e qualquer outra substância estranha à fotografia. Pode-se considerar que a maioria das coleções não tratadas apresenta algum tipo de sujidade.
Referência: MOSCIARO, Clara (org.). Diagnóstico de conservação fotográfica no Brasil. Caderno Técnico no. 6. Rio de Janeiro: FUNARTE, 2009. p. 36. Disponível em: cadernos_tecnicos_6_montado1.pdf Acesso: 22 fev.2025
Vinco
Tipo: Dano físico
Descrição: O vinco é o resultado de uma dobra. Ele causa um levantamento do suporte e fraturas na camada de emulsão.
Referência: CORDEIRO, Patricia. Diagnóstico para Identificação de Danos em Fotografias: Um estudo para a conservação dos documentos fotográficos do processo de gelatina e prata pertencentes ao arquivo do Instituto Oswaldo Cruz. 2023. 231 páginas. Instituto Oswaldo Cruz, Rio de Janeiro 2023, p. 140. Disponível em: patricia riggo_cordeiro_dissertacao_final 30-01-24 compressed.pdf Acesso: 22 fev. 2025











