Linving in the Liminal (MSc)

Page 1


ABSTRACT

INTRODUCTION

DOMAIN

1.1 Coastal Lagoon Systems : Evolution, Tensions and Instabilities

1.2 The Qigu Littoral System

1.3 Aquaculture and Local Livelihoods

1.4 Government Interventions and Limitations Contextual

1.5 Morphodynamic Diagnosis

1.6 Case Studies + Technical Reports

1.7 Problem Synthesis

1.8 Hypothesis

1.9 Overall Strategy : [ Emergent Interlocking System ]

METHODS

2.1 Overall Methodological Framework

2.2 Digital Simulation Toolkit

2.3 Physical Experimentation Toolkit

2.4 Assembly Logics and Fabrication

RESEARCH DEVELOPMENT

3.1 Coastal Landscape Dynamics

3.2 Material Investigations

3.3 Sediment Transport Simulation

3.4 Modules Experiments

DESIGN DEVELOPMENT

4.1 Workflow

4.2 O -Shore System : Floating Platform Design and Obstacle Assembly

4.3 Transitional Mid-Water System : Connections and Foundation Strategy

4.4 On-Shore System : Residential and Production Architectural Design

4.5Planning Experiments : Sequential Networks

4.6. Growth Prediction

DESIGN PROPOSAL

5.1 Section

5.2 Master Plan

5.3 Dynamic Seasonal Behaviour

5.4 Discussion

Abstract

Global sea-level rise is redrawing coastlines. Lagoons, the fragile thresholds between land and sea are among the most vulnerable. Qigu Lagoon in Taiwan is one such place, where the livelihoods of 15,000 oyster farmers depend on the lagoon which was once spanning 150 sq km, has shrunk to barely 15 sq km due to sandbars migrating inland. Here, the government’s static interventions—dredging, breakwaters, struggle to keep pace with dynamic forces of tide and sediment.

Our research asks a di erent question: how can coastal defence and oyster farming be integrated, to protect the sandbar, regenerate the lagoon, and sustain its economy?

The answer lies in working with, not against, natural forces. By guiding rather than resisting sediment flows, we propose a series of smaller interventions that create cumulative impacts for fishermen by combining land-growing strategies with aquaculture infrastructure.

The inquiry begins with the oyster shell itself: nearly two tonnes produced annually, half discarded as waste. By crushing, recombining, and casting shells we developed a material matrix based on module location cast in reusable formwork, closing the loop between aquaculture and construction.

Deployed o shore, modules behave through jamming, aggregating to redirect sediment. Onshore, modules shift into topological interlocking, forming structures for processing, habitation, and seasonal life. The project thus traces a conceptual arc of emergent interlocking systems: from aleatory to deterministic, from uncontrolled behaviour to controlled architecture.

To move beyond intuition, we developed a sediment erosion and deposition prediction model based on the sandbar’s bathymetry and trained a machine learning model to begin with target zones of erosion and deposition, allowing the model to reveal geometries that achieve them.

The research outcome is not a masterplan but a continuum of experiments: a horizontal gradation across o shore, nearshore, and onshore zones; a material cycle that transforms oyster shell waste into infrastructure; and architectural typologies that are adaptive, reconfigurable, and provisional.

This dissertation addresses the dual yet interrelated domains of coastal defence and aquaculture by rethinking their relationship within the fragile ecologies of coastal lagoons. Globally, these thresholds between land and sea are under mounting pressure from sea-level rise, sediment imbalance, and human intervention. Despite their ecological importance, lagoons are often treated as unstable territories to be controlled rather than adaptive systems to be engaged. At the same time, aquaculture, the livelihood backbone for millions worldwide remains dependent on these shifting environments but is rarely incorporated into coastal management frameworks. The result is a persistent fragmentation: protective infrastructures are designed as static barriers, while productive infrastructures are designed as temporary sca olds, with little consideration of how the two might converge.

The case of Qigu Lagoon in southwest Taiwan highlights this dilemma. Once covering nearly 150 square kilometres, the lagoon has contracted to just 15 square kilometres as sandbars migrate inland and sedimentation accelerates. This geomorphic transformation has immediate consequences: over 15,000 oyster farmers depend on the lagoon, yet both their livelihoods and the ecological balance of the system are increasingly at risk. Government responses—dredging channels, deploying geotubes, and constructing breakwaters, reflect the conventional paradigm of resisting natural forces through engineering control. These strategies o er short-term relief but falter in the face of dynamic morphodynamic processes, often leading to erosion elsewhere or further destabilising sandbar systems. At the same time, aquaculture infrastructure is developed in isolation from these protective measures, resulting in duplicated e orts and vulnerabilities.

The importance of this work lies in reframing that separation. Rather than treating coastal defence and aquaculture as distinct domains, the dissertation asks: what if they could be integrated into a single adaptive system? By combining the protective logic of coastal structures with the productive logic of oyster farming, the research proposes a hybrid strategy in which infrastructure not only safeguards the lagoon but also sustains its economy and regenerates its ecology.

The research takes the oyster shell as its starting point. By crushing, recombining, and casting oyster shells into modular units, the research develops a composite. Deployed o shore, these modules operate through aleatory assembly, jamming and aggregating for sediment deposition. Onshore, the same modules shift into deterministic systems of topological interlocking, producing stable structures for seasonal housing, processing facilities. This continuum, from uncontrolled aggregation to controlled architecture frames the central hypothesis: that emergent interlocking systems can adapt across di erent lagoon zones.

The scope of the dissertation is simultaneously specific and transferable. It grounds itself in Qigu Lagoon as a case study, engaging its geomorphic history, climatic conditions, ecological networks, and socio-economic dynamics. Yet the design methods of circular material practices, interlocking assembly, sediment-guided modelling, extend beyond this single site. They contribute to a broader discourse on how architecture can mediate between ecological processes and human livelihoods in fragile coastal territories.

Introduction

The contribution of this dissertation is threefold. First, it critiques the prevailing logic of separation in coastal management by demonstrating the ine ciency of treating protection and production as distinct. Second, it advances an alternative approach by integrating aquaculture infrastructure with coastal defence, anchored in material circularity and modular adaptability. Third, it positions architecture as a means of working with natural forces rather than against them, proposing infrastructures that are provisional, reconfigurable, and responsive. In doing so, it expands existing research on lagoon geomorphology, sediment transport, and aquaculture by embedding them within a design-led framework.

The dissertation is structured in five chapters. Chapter 1 (Domain) situates the research by tracing the evolution and instability of lagoon systems, examining the geomorphic and ecological conditions of Qigu, and analysing the role of aquaculture and government interventions. Chapter 2 (Methods) outlines the methodological framework, detailing the integration of digital simulations, physical experiments, and material testing. Chapter 3 (Research Development) presents mapping and analysis of coastal dynamics, material investigations with oyster shell composites, and prototype tests that link performance with design potential. Chapter 4 (Design Development) translates these experiments into spatial strategies, testing o shore, midwater, and onshore infrastructures through iterative design experiments supported by digital modelling. Finally, Chapter 5 (Design Proposal) consolidates the outcomes into a proposal, while also pointing towards future research directions.

Domain

Coastal lagoons are among the most dynamic yet fragile landscapes, constantly reshaped by the interplay between natural processes and human interventions. In recent decades, global sea-level rise has intensified the vulnerability of lagoon–barrier systems, accelerating sedimentation, salinity shifts, and ecological instability. Qigu Lagoon in southwestern Taiwan presents a critical case: once part of the expansive Taijiang Inland Sea during the Dutch colonial period, it has gradually transformed into a complex socio-ecological system.

Today, Qigu sustains diverse ecological habitats for migratory waterbirds, supports a long-standing economy of aquaculture and fishing, and accommodates distinctive modes of dwelling tied to the rhythms of the lagoon. At the same time, state-led interventions: breakwaters, embankments, reclamations, and engineered inlets,have redefined its hydrology and reshaped its cultural landscape.

Fig. 1 . Qigu Lagoon: Sedimentation overview influenced by the Zengwen River Discharge.

Coastal Lagoon Systems

1.1 Lagoon

Evolution,

Tensions and Instabilities

1.1.1 Origin and Evolution of Coastal Lagoons

Coastal environments, particularly barrier island–lagoon systems, are increasingly vulnerable to the compounded e ects of sea-level rise and intensifying storm regimes. Their location and morphology make barrier islands critical in coastal defence, yet these same traits render them among the most vulnerable landscapes to long-term inundation. 1 This study first evaluates the origin and evolution of coastal lagoons. The existence of coastal lagoons is intimately connected with the barrier enclosing it one cannot exist without the other. 1 Because lagoon formation and longevity depend on the creation and maintenance of such sandy barriers, any analysis of lagoon origin and subsequent evolution should address the mechanisms that build and sustain them.

As sea level rises across a very low, gently sloping coastal plain, waves moving sand along the shore feed the beach and dune ridge so that it builds upward roughly in step with the rising water, a response described by Bruun (1962). The low swale just inland does not build up; instead it stays about the same height and is gradually flooded, leaving a shallow water body behind the migrating sandy ridge. When the ridge becomes detached from the mainland, a narrow barrier island stands o shore and the flooded swale becomes the lagoon. Hoyt called this the mainland beach detachment mode of barrier-island formation, now regarded as the dominant mechanism on low-relief coasts of unconsolidated sediment. 2

Coastal lagoons are inland water bodies, found on all continents, usually oriented parallel to the coast, separated from the ocean by a barrier, connected to the sea by one or more restricted inlets which remain open at least intermittently, and have water depths which seldom exceed a few meters. A lagoon may or may not be subject to tidal mixing, and salinity can vary from that of a coastal freshwater lake to a hypersaline lagoon, depending on the hydrologic balance. They are often highly productive and ideal systems for aquaculture projects, but are, at the same time, highly stressed by anthropogenic inputs and human activities.4

1.1.2. Impacts of Sea-Level

Rise on Barrier–Lagoon Systems

Projected global-mean sea level will climb by ~ 0.38 -- 0.77 m this century, and extreme sea levels that used to strike once in 100 years are expected to occur 20–30 times more often by 2050. As barriers adjust to rising water rolling landward, fragmenting through inlet enlargement, or drowning when sediment supply cannot keep pace, the capacity of the back-barrier lagoon to store surge and attenuate waves diminishes, removing a natural bu er and opening new pathways for coastal flooding. Numerical morphodynamical models confirm that when sea-level rise rates outstrip barrier sediment fluxes, barrier drowning and back-barrier conversion to open marine conditions become likely outcomes. Because coastal lagoons sit immediately landward of barrier islands they are among the first landforms that permanent inundation or more frequent surge will overtake.will overtake.

1.1.3

Short-Term Fixes, Long-Term Instability of Coastal Management

Comparative review of engineered lagoons shows that attempts to lock migrating barriers and inlets in place (walls, jetties, dredged cuts) may deliver shortrun stability for navigation or defence, yet they interrupt natural hydro morphological trajectories, shift tidal prisms and salinity fields, and leave people chasing a moving ecological baseline. In North China’s Qilihai Lagoon, successive state projects (tide-gate installation, extensive reclamation embankments, channel straightening/widening, breakwaters, and later partial removals) altered tidal asymmetry and drove net sediment deposition, so each fix generated new management problems. In India’s Chilika Lake, government-led cutting of a new sea mouth successfully re-established salinity gradients and tidal exchange, but post-intervention monitoring highlights rapid inlet migration, bank erosion, and sediment infilling, necessitating continual dredging and engineered channel management to sustain ecological benefits.

These examples show that while government engineering e orts may o er short-term relief, they often disrupt natural lagoon processes and require constant maintenance, highlighting the need for long-term strategies that work with, rather than against, the dynamics of coastal systems.

1 Duncan M. FitzGerald et al., “Coastal Impacts due to Sea-Level Rise,” Annual Review of Earth and Planetary Sciences 36, no. 1 (May 2008): 601–47, https://doi. org/10.1146/annurev.earth.35.031306.140139.

2 R. K. Barnes, Coastal Lagoons: The Natural History of a Neglected Habitat (Cambridge: Cambridge University Press, 1980).

3 B. Kjerfve, Coastal Lagoon Processes (Elsevier, 1994) pg 44-49

4 IPCC, “Chapter 9: Ocean, Cryosphere and Sea Level Change,” www.ipcc.ch, 2021, https://www.ipcc.ch/report/ar6/wg1/chapter/chapter-9/.

Fig. 2. Coastal Lagoon Formation
Fig. 3. The impacts of Sea-level rise on Lagoon ecosystems worldwide.

1.2 The Qigu Littoral System

Qigu Lagoon, located in Tainan City, Taiwan, is now protected by three remaining sandbars, once part of a system of seven along its southwestern coast. Its biome constitutes critical ecological and socio-economic machinery, negotiating and pushing for stable grounds for nearly seventy decades.1 Once a biodiverse and aquaculture-rich region, the lagoon has become a representative instance of the radical ecological fluxes driven by climate change and anthropogenic pressures. Rising sea levels have been forcing saline sea waters and invasive species through eroding sandbars into the shrinking lagoon. In recent years, the vagrant sediment flows from the adjacent Zengwun River, and population-driven encroachments have gradually eroded the depth of its waters.

1.2.1Geomorphic Evolution and Timeline (History of Human–Sandbar Interaction)

Qigu Lagoon was historically part of the expansive Taijiang Inner Sea. Since the 17th century during the period of Dutch rule, the sandbar formations in the area became important sites for human activity.2 The Dutch established Fort Zeelandia and other military and trade outposts on the major sandbars, utilizing the inner sea as a waterway and defensive barrier. Over time, particularly between the 18th and 19th centuries, river sedimentation and natural sandbar formation gradually enclosed the inner sea, transforming it into several independent lagoons, among which Qigu Lagoon is one.

The sandbars surrounding Qigu Lagoon were not only natural geographical features but also longterm human settlements. By the 19th and early 20th centuries, these sandbars hosted seasonal as well as permanent fishing villages and salt production facilities. Three major sandbars still recorded today,Chingshan Harbor Sandbar, Ding-tou-er Sandbar, and Wangtzu-liao Sandbar served as key sites for these activities. Residents typically established small settlements in the form of “one household, one hut,” taking advantage of the relatively higher ground of the sandbars and their proximity to lagoon waters to engage in fishing and

1 Tony Leong-Keat Phuah and Yang-Chi Chang, “Socioeconomic Adaptation to Geomorphological Change: An Empirical Study in Cigu Lagoon, Southwestern Coast of Taiwan,” Frontiers in Environmental Science 10 (January 4, 2023): 1091640, doi:10.3389/fenvs.2022.1091640.

2 ‘台江國家公園機關入口網站. ‘荷治時期的台江’. 13 March 2020. http://www.tjnp. gov.tw/Encyclopedias_Content.aspx?n=557&s=251162.

3 Sue-rong chen,”The Study of Fishery Ecology in Chiku lagoon”(1999)

oyster farming during peak seasons. These settlement patterns displayed strong seasonality, such as setting oyster spat in summer, repairing oyster racks in winter, and returning to the main island for salt drying and farming after the fishing season ended.3Historically, there were three distinct settlements on the Ding-tou-er Sandbar: Niouliao-lun, Shaliao, and Ding-tou-er itself, reflecting the extensive hinterland of the sandbar at that time. Although these settlements were relatively small, they demonstrate a high degree of reliance on lagoon resources and adaptive strategies for living in sandbar conditions. Fishermen and salt workers would construct temporary or semi-permanent huts, storage sheds, and work platforms in response to tidal and wind changes.

1.2.2Ecological Networks and Species Inventories

Located at the estuary of the Qigu and Zengwun Rivers, the lagoon forms nutrient-rich intertidal wetlands due to sediment and organic matter deposition. The dynamic shifts between high and low tides create a multilayered ecological network of water bodies, sandbars, and mangroves. Species such as milkfish, sea bass, oysters, clams, mudskippers, and prawns coexist within this system, while benthic polychaetes and microalgae provide essential food for filter-feeders, supporting a complete ecological cycle from primary producers to top consumers.

The lagoon is especially critical as a habitat for migratory shorebirds, particularly the black-faced spoonbill, which holds global conservation significance. From October to April each year, over two-thirds of the world’s black-faced spoonbill population,numbering more than 1,000 individuals migrate from regions such as Korea to overwinter in Qigu Lagoon. These birds rely on the lagoon’s abundant fish and shellfish resources and intertidal zones for feeding and resting. Any degradation of the lagoon environment or loss of its sandbars would directly threaten the species’ survival. Therefore, preserving Qigu Lagoon is not only vital for local fisheries and ecological balance but also essential as a key site in international bird conservation networks.

Fig. 4. Dutch-built fort on the sandbar during Dutch occupation. Source:https://www.tjnp.gov.tw/cp.aspx?n=361

Fig. 5. Taijiang Inland Sea during the Dutch colonial period. Source:https://www.taiwan-panorama.com/

Fig. 6. The ecological cycle within Qigu Lagoon.

1.3 Aquaculture and Local Livelihoods

Fishing has long been the primary foundation of local livelihoods in the Qigu region. Due to the natural conditions of the coastal lagoon area characterised by low-lying, expansive, and salt-rich land formed from former inner seas the land is unsuitable for agriculture. As a result, local communities have turned to building aquaculture ponds and developing fish farming, e ectively treating the sea as a form of farmland. This fishery-centred way of life not only serves as the main source of household income but also profoundly shapes settlement structures, spatial organisation, and local cultural identity. Traditional fishing and aquaculture techniques have evolved in close rhythm with the lagoon’s water conditions, forming distinctive, site-specific production models.

With limited natural harbour conditions, o shore fishing is almost nonexistent along the Qigu coast. As aquaculture technology has advanced, the local economy has gradually shifted from traditional fishing to a predominantly oyster farming and milkfish farming focus. In contrast, nearshore fishing now plays a secondary and supplementary role. Oyster farming areas have expanded from the inner lagoon into deeper o shore waters, forming a continuous spatial sequence of fisheries activities stretching from the open sea, sandbars, and lagoon to the land.1 Residents engage in various fishery-related tasks along this sequence, including oyster farming, fishing, pond aquaculture, port operations, and market trading, demonstrating a highly marine resource-dependent livelihood structure.

Over time, local communities have developed diverse adaptive strategies in response to varying coastal geomorphologies, climates, soil conditions, and water resource availability. These strategies include specific layouts for oyster farming facilities and scheduling of harvest cycles that adjust to tidal changes and water quality. For pond aquaculture, considerations such as sedimentation changes and typhoon risks require the design of e ective drainage and water replenishment systems.

Oyster farming is the primary economic activity in the Qigu Lagoon area. Due to the species’ biological habits and natural conditions, farming is mainly concentrated along the mid-to-high tidal zones near the shore, where the substrate consists of soft sandy soils. Oyster farming requires no artificial feeding; oysters rely entirely on plankton and organic matter in seawater, making the selection of natural conditions particularly critical.

As farming techniques and market demands have evolved, oyster farming areas have gradually expanded from nearshore zones to deeper o shore waters, forming a production pattern referred to as “farming the sea.” The specific farming process includes:2

Frame Construction:

Fixed oyster racks are set up along the shore using bamboo poles, plastic ropes, and floating devices. Daily inspection and maintenance are required, with major repairs approximately every three years, especially after typhoons https://www.swcoast-nsa.gov. tw/zh-tw/attraction/details/60or heavy rainfall.

Shell Preparation:

Between the lunar eighth and ninth months and before the end of the year, oyster farmers clean, sundry, and drill holes in oyster shells onshore, stringing them with plastic ropes into lines approximately 1.5 to 3 meters long in preparation for the farming season.

Spat Attachment:

These prepared oyster lines are transported by raft to the racks and hung to allow oyster larvae to attach naturally, a process known as “spat collection.” This usually occurs in areas with stronger water flow, with trial placement used to confirm optimal conditions before full-scale deployment.3

Nursery:

To avoid overcrowding, lines with attached spat are separated and re-hung. Depending on growth conditions, they may be moved to shallower, more stable waters or aquaculture channels rich in plankton to optimize growth, a process called “fattening.”

Rack Inspection:

Farmers make daily trips by raft to check for loose lines, floating debris, and oyster predators such as oyster drills, which are removed by hand to maintain production levels.

Harvesting:

Depending on terrain, season, and tides, oysters are harvested either by wading or using rafts. Mature oysters are manually dismantled and transported back to port, where they are unloaded using crane systems. Oysters can be harvested year-round, with farming cycles varying according to spat attachment and fattening status.

Oyster farming in this region follows natural ecological rhythms and forms a circular shell recycling system. High-quality harvested shells are reused as spat carriers,4 while discarded shells are dried, crushed into powder, and used as animal feed additives, organic fertilizer, or even building materials for local settlements, maximizing resource utilization.

1 Chun-WenChung,”The Study of the Formation of a Seashore Cultural Landscape:A Case of Fishery in Tai-Jiang District”(2010)

2 Chen, Su-Wen,”A Study on Social and Economic Changes of Tidal Flats in Taijowan Bay-A Case Study of An-Nan District in Tainan City”(2015)

3 ‘- YouTube’. Accessed 18 July 2025. https://www.youtube.com/ watch?v=mVyWf129Oqs.

4Sue-rong chen,”The Study of Fishery Ecology in Chiku lagoon”(1999)

1.3.1. Oyster Farming: Practices, Types and Cycles

Currently, three main oyster rack types are used, adapted to di erent water depths and terrains:1

Inverted Racks (Dao Peng):

Used mainly for spat attachment and juvenile oysters, installed in shallow waters about 1 meter deep near the shore. Thick bamboo poles are driven approximately 2 meters into sandbars, with two rows of frames tied across them. One unit measures around 10 meters long and 2–2.5 meters wide, with oyster lines spaced 20–25 centimeters apart. This type is convenient for operations but exposes oyster lines to air during low tide, reducing feeding time. Oysters grown this way are smaller but more elastic, taking around 12 to 18 months from spat attachment to harvest.

Suspended Racks (Zhan Peng):

Suspended racks also allow for relatively easy maintenance, as fishers can access and handle the lines directly from small boats. The system reduces contact with sediments, lowering the risk of smothering and improving oyster quality. Moreover, it represents a balance between e ciency and ecological adaptability, making it one of the most widely adopted methods in sheltered lagoon environments. The method is highly feasible due to its simple structure and readily available materials. With tidal fluctuations, suspended racks also maintain consistent water exchange.

Floating Racks (Fu Peng):

Located in deep o shore waters around 2- 5 meters deep, usually on both sides of sandbars. Farmers construct grid-like bamboo rafts on land, secured with floating barrels or polystyrene. The racks are towed to sea and anchored at both ends with metal fixtures to prevent drifting during storms. Oyster lines hang from the raft’s underside. This method allows oysters to remain fully submerged, growing the fastest,harvestable in six to ten months,but carries higher risks and costs. Rafts must be approached carefully for harvesting, with farmers creating temporary walkways over the structure to pull up oyster lines.

Fig. 8. Inverted rack method.

Fig. 9. Suspended rack method.

10. Floating rack method.

Fig.
Fig. 11. Diagram illustrating the distribution of di erent farming
lagoon

1.3.2 Aquaculture Infrastructure and Spatial Footprint

“Give a man a fish and you feed him for a day. Teach him how to fish and you feed him for a lifetime.”

- Chinese Proverb1

Since the newly formed land lacks groundwater sources, Qigu’s aquaculture relies on brackish water, with lower densities to prevent the overuse of freshwater and avoid groundwater depletion and land subsidence.2 Aquaculturists here adjust pond water by relying on tide cycles, replacing water twice daily through rising and falling tides in the lagoon and waterways. Limited freshwater availability has led Qigu farmers to adopt polyculture systems, such as combining hard clam farming with milkfish or shrimp.3

From fry collection to harvest, emphasising the importance of understanding infrastructure, logistics, timelines, and ideal conditions for a successful cycle. Observations of these processes reveal key insights into existing issues within the lagoon.

Fry Collection (April - September)

The milkfish fry4 season begins in April and lasts through June, during which fishers collect wild fry from the natural surf zone just beyond the protective sandbar of the lagoon. These surf zones typically refer to shallow o shore areas, 0.5 to 2 metres in depth, where fry gather in warmer, wave-swept waters. The fishers use motorboats to make trips back and forth to the mainland and the sand barrier across the lagoon waters during low tides. (Fig. 15)

Fry are captured using beach seines or push nets (Fig. 13), after which they are transferred to inland or intertidal nursery ponds. Inland ponds are deeper and protected (up to 1.5 metres), while intertidal ponds, situated closer to the sandbar, are shallow (0.5 to 1 metre) and flood with the tides, simulating brackish growth environments.5 The infrastructural requirements in both instances are minimal, requiring fishers to be partly in the water and partly on platforms beside the water to collect fry using nets collaboratively. (Fig. 15)

2-3 Tony Leong-Keat Phuah and Yang-Chi Chang, “Socioeconomic Adaptation to Geomorphological Change: An Empirical Study in Cigu Lagoon, Southwestern Coast of Taiwan,” Frontiers in Environmental Science 10 (January 2023), https://doi. org/10.3389/fenvs.2022.1091640.

4 In aquaculture and fisheries, “fry” refers to the early stage of a fish’s life after it hatches from the egg.

5 “SEED PRODUCTION,” accessed July 17, 2025, https://www.fao.org/4/ac182e/ AC182E01.htm?

Fig. 12. Typical aquaculture-related zones in the lagoon.

1 I-Chiu Liao, Aquaculture: The Taiwanese Experience (BUll. Inst. Zool., Academia Sinica, Monograph, 1991).
Fig. 13. The various stages in rearing Milkfish, Tilapia and White Shrimp in Qigu .

The fry seine functions similarly to a beach seine. It requires two operators. One remains on the shoreline, holding one end of the towline, whilst the other deploys the gear from a small boat approximately 50 to 100 metres o shore. The fry are then gathered and scooped at the shoreline.1

Nursery Stage (May - June)

At this stage, the collected fry are raised to fingerling size, approximately 5 inches in length (Fig. 13). This phase also involves careful monitoring of water quality and feeding to ensure healthy growth.

In some instances, the fishermen use hapa nets. (Fig. 13) The nets resemble cage-like enclosures, placed within ponds to protect and manage hatchlings and fry. These nets help prevent predator attacks and improve control over breeding, feeding, aeration and creating an ideal environment for fish growth.2 The typical dimensions are 2 m × 1 m × 1 m, with the interior sack being half that size. The outer hapa uses a smaller mesh. For incubation, eggs are placed inside the interior sack, which is then submerged in a pond. As the eggs hatch, the larvae swim through the mesh in the first sack but are kept inside the second.3

Grow Out Phase (July - October)

At this stage, the Fingerlings are transferred to larger brackishwater ponds, a process that typically lasts three to four months. During this period, the fish grow to marketable sizes, ranging from 250 grams to 300 grams. This is also where polyculture techniques are employed to raise milkfish alongside tilapia and shrimp to optimise resources and maintain pond health.

It is interesting to note that the polyculture of these species follows a synergetic trophic integration of feed. Milkfish mainly graze on algae, tilapia consume plankton and detritus and shrimp feed on organic matter along the pond bottom. This synergy allows them to coexist without significant competition, and the complementary feeding leads to enhanced

resource utilisation and improved water quality.5

The grow-out phase of milkfish culture requires deepened ponds, e ective water control structures, aeration and pumping systems, and reliable facilities for feeding and fertilisation. Regular monitoring of water quality parameters is also essential.6

Harvesting (November)

In late May, fish weighing 500 grams or more are selectively caught using gill nets, thereby giving the smaller fish a better chance to grow quickly. During June and July, the fish are harvested two to three times due to the high biomass. Additional smaller harvests are conducted roughly once a month, with the final harvest taking place in mid-November.7

In situations where fish fail to react to the flow of water, the pond is drained to trap the fish near the surface. A portion of the fish’s back remains visible as they gather in the deeper trench area. The fish are then captured using a seine net and transferred into tanks kept cold.8

Overwintering

Fig.15:Breedinghapaandhatchinghapa34

GrowOutPhase(July-October)

The temperature of pond water in southern Taiwan can drop to 10°C, occasionally even fall to 5 to 6°C, which is lethal for milkfish. The over-wintering pond, which accounts for less than 1% of the total pond area, is rectangular and varies in size from 5 metres by 100 metres to 2,000 metres in length, with a depth between 1.5 and 2 metres.9 It is positioned perpendicular to the prevailing wind direction and is consistently protected using windbreaks made of canvas or polyethene plastic.

Pond Maintenance (December to February)

Atthisstage,theFingerlingsaretransferredtolargerbrackishwaterponds,aprocessthattypicallylasts threetofourmonths.Duringthisperiod,the 300grams.Thisisalsowherepolyculturetechniquesareemployedtoraisemilk shrimptooptimiseresourcesandmaintainpondhealth.

After the final harvest each year, the pond undergoes a series of steps to ensure optimal conditions for the next growing cycle. These procedures begin with draining the pond and allowing it to dry thoroughly in the sun. This is followed by tilling and

Itisinterestingtonotethatthepolycultureofthesespecies feed.Milkfishmainlygrazeonalgae,tilapiaconsumeplanktonanddetritusandshrimpfeedonorganic matteralongthepondbottom.Thissynergyallowsthemtocoexistwithoutsigni thecomplementaryfeedingleadstoenhancedresourceutilisationandimprovedwaterquality.

1 “FAO Fisheries & Aquaculture,” accessed July 17, 2025, https://www.fao.org/ fishery/en/geartype/202/en.

2 “Hapa Nets for Fingerling,” accessed July 17, 2025, https://e-catalogs.taat-africa. org/gov/technologies/hapa-nets-for-fingerling.

3 “SEED PRODUCTION,” accessed July 17, 2025, https://www.fao.org/4/ac182e/ AC182E01.htm?

4 ibid

5 “Proceedings of the Regional Workshop on Milkfish Culture Development in the South Pacific,” accessed July 17, 2025, https://www.fao.org/4/ac282e/AC282E03. htm?

6 “FAO: Production,” accessed July 17, 2025, https://www.fao.org/fishery/a ris/ species-profiles/milkfish/production/en

7 “Proceedings of the Regional Workshop on Milkfish Culture Development in the South Pacific,” accessed July 17, 2025, https://www.fao.org/4/ac282e/AC282E03. htm?

8 “FAO: Production,” accessed July 17, 2025, https://www.fao.org/fishery/a ris/ species-profiles/milkfish/production/en/?utm.

9 “Proceedings of the Regional Workshop on Milkfish Culture Development in the South Pacific.” Accessed July 17, 2025. https://www.fao.org/4/ac282e/AC282E03. htm?

Thegrow-outphaseofmilkfishculturerequiresdeepenedponds,e aerationandpumpingsystems,andreliablefacilitiesforfeedingandfertilisation.Regularmonitoringof waterqualityparametersisalsoessential.36

Harvesting(November)

Fig 14. Breeding hapa and hatching hapa.4

levelling the pond bottom, along with necessary repairs to gates, screens and dikes to maintain structural integrity.10 Pest, predator and disease control measures are implemented to reduce the presence of harmful organisms.

Liming is carried out to adjust soil pH and improve pond bottom quality. Fertilisers are then applied to enhance nutrient availability, and supplementary feeding is planned as needed. Water management practices are used to promote the growth of benthic algae. This growth, in turn, serves as a natural food source and contributes to the ecological balance of the system.11

Pond Preparation + Breeding (March)

10 ibid

11 “Proceedings of the Regional Workshop on Milkfish Culture Development in the South Pacific.” Accessed July 17, 2025. https://www.fao.org/4/ac282e/AC282E03. htm?

14 “Proceedings of the Regional Workshop on Milkfish Culture Development in the South Pacific,” accessed July 17, 2025, https://www.fao.org/4/ac282e/AC282E03. htm?

Milkfish pond preparation involves draining, sun-drying, tilling, and repairing gates and dikes to ensure optimal conditions for the next cycle.12 In this phase, mature broodstock spawn naturally in brackishwater ponds under controlled salinity and temperature.13 Essential infrastructure here, typically includes reliable water control systems, such as sluice gates and canals, as well as aeration and pumping equipment. Facilities for feed storage and water quality monitoring are also vital for better production.14 Fig16.RaftingLanes45;withcontestedareashighlighted. 1.3.3.SeasonalLabour,MovementRoutes

12 “SEED PRODUCTION,” accessed July 17, 2025, https://www.fao.org/4/ac182e/ AC182E01.htm?

13 J. V. Juario et al., eds., Advances in Milkfish Biology and Culture: Proceedings of the Second International Milkfish Aquaculture Conference, 4-8 October 1983, Iloilo City, Philippines (Published by Island Pub. House in association with the Aquaculture

15 Tony Leong-Keat Phuah and Yang-Chi Chang, “Socioeconomic Adaptation to Geomorphological Change: An Empirical Study in Cigu Lagoon, Southwestern Coast of Taiwan,” Frontiers in Environmental Science 10 (January 2023), https://doi. org/10.3389/fenvs.2022.1091640.

ThevariousstagesofoysterfarmingoperationsintheQiguLagoonareaaredistributedacrosso waters,withinthelagoon,andalongtheshoreline.Asaresult, fishersrelyheavilyonmotorisedraftsas theirprimarymeansofwatertransport.Inearliertimes,locallysourcedbamboowasusedtobuild

1.3.3

Seasonal Labour + Movement Routes

The various stages of oyster farming operations in the Qigu Lagoon area are distributed across oshore waters, within the lagoon, and along the shoreline. As a result, fishers rely heavily on motorised rafts as their primary means of water transport. In earlier times, locally sourced bamboo was used to build traditional rafts. Over time, these have been replaced by plastic rafts (commonly known as “jiao-fa”), though their function and significance remain fundamentally the same.

These rafts feature wide, flat decks ideal for loading large quantities of harvested oysters, and their shallow draught makes them particularly suited to the coastal and intertidal terrain of Qigu Lagoon. Even during low tide, rafts can travel between ports and o shore farming areas without di culty.

The lagoon’s navigation system consists of two main types of channels. The primary channels, which separate designated farming zones, measure approximately 6 to 10 metres in width.1 The secondary, narrower channels within the farming zones measure about 3 metres across, with oyster cultivation areas positioned on either side. Throughout these routes, underwater bamboo poles are placed a few inches above the water’s surface, serving as visual markers to guide raft navigation.

Because activities such as spat attachment, oyster growing, harvesting, and post-harvest processing occur across a wide geographical range, oyster farmers must travel frequently between sandbars and the mainland during both the growth and harvesting periods. This is especially true during the spat collection season, when speed is crucial: farmers must quickly transport oyster lines back to shore for washing, shucking, and delivery to markets. In this context, the design and maintenance of water transport routes and equipment are essential.

Raft movement must also be timed according to tidal conditions. During low tide, shallow channels in fishing villages and ports may hinder navigation. Due to the overlapping presence of multiple industries in the region, navigation channels serve as essential routes for both fisheries and aquaculture operations.

1 Chen, Tien-Shui. 2013. “七股沿海地區地覆變遷分析 [Analyses of Land-cover Changes in the Qigu Coastal Zone].” 台灣生物多樣性研究 (Taiwan Journal of Biodiversity) 15, no. 2: 99–111.

Fig. 16. Rafting Lanes in the Lagoon Waters
Fig.17. The dwellings built by Qigu fishers on their boats.
Fig.18. Temporary production dwellings in Qigu.
Fig.19. Harvest scene in Qigu.

Beyond the main navigation routes, fishers also navigate between oyster racks for operational convenience, creating a denser, fine-grained mobility network across the lagoon.2

1.3.4 Note on Infrastructure Limitations

Despite the detailed overview, it is worth noting that Milkfish culture has been on the decline since the 1970s in Taiwan.3 Rising input costs in Taiwanese milkfish farming are not solely the result of market fluctuations in feed and labour, but are also closely linked to infrastructural deficits that hinder production e ciency.4 Inadequate water management infrastructure, such as irregular supply and drainage systems, also increases reliance on mechanical pumping and aeration. Thereby elevating operational expenses. These limitations also make essential pond preparation activities, including drying and tilling, more labour-intensive and time-consuming.

In some areas, underdeveloped transport infrastructure further contributes to rising costs. Poor road conditions delay feed and fry delivery and increase post-harvest losses due to ine ciencies in moving perishables to market.5 The rudimentary cold-chain logistics and storage facilities limit fishers’ ability to access higher-value markets. This also a ects their ability to manage their harvests flexibly. Eventually, these factors often compel them to sell their produce immediately at lower prices.

Additionally, the lack of processing infrastructure limits opportunities for export potential and increases financial strain. Some of the ponds containing brackish water, used for milkfish cultivation, are also well-suited for tiger shrimp farming. Due to the lucrative market price of shrimp, many fish farmers entirely or partially switch to shrimp farming.6 Many farms also use outdated pond systems that are not optimally designed for innovations such as deep-water cultivation or mechanised aeration, thus requiring frequent repairs and higher maintenance costs.

1.3.5 Discussion

The spatial separation between mainland farms and the sandbar results in a fragmented and distant processing.

Currently, most onshore oyster processing areas in the Qigu region are informal open spaces in front of fishing village houses or temporary shelters, known as oyster huts, along the shore where rafts are moored. These huts are used as temporary stations for unloading oyster lines, cleaning, and shucking. They are typically constructed from locally available or recycled materials, such as bamboo, tarpaulins, and fishing nets. Because fishing activities often require travelling over long distances, fishers frequently extend their work areas directly onto the rafts. On these rafts, arched grass huts are constructed to provide shelter from the sun and rain, o ering a place to rest and wait during sea activities.

This also forces fishers to make repeated daily or weekly lagoon crossings, often by small motorised boats. An estimated 120 to 200 fishers collect wild milkfish fry annually during peak season. In parallel, over 1,000 oyster farming families operate across the lagoon’s intertidal leases, with a similar or higher number of fishers traversing to the sandbar throughout the year. Adding intermittent trips by traditional net fishers, crab collectors and occasional shrimp post larvae collectors, the total number of individuals accessing the sandbar zone annually may exceed 1,500.

Assuming each fisher makes between thirty and sixty round trips per year, and each trip emits approximately 4 kg of CO2, the estimated total carbon emissions from lagoon crossings range from 180 to 360 tonnes annually.4 This represents a significant yet largely invisible environmental footprint in what is otherwise viewed as a low-carbon artisanal aquaculture landscape.

Given this context, the introduction of modest sandbar-based infrastructure could address multiple challenges. Fishers currently face exposure to the sun, fatigue from repeated crossings, a lack of storage for their gear and catch and an increased risk during inclement weather. Suggested interventions could include temporary shelter huts made of bamboo or oyster-shell-based concrete, solar-powered cooling boxes, floating docks and facilities for water and waste management. Such infrastructure could reduce trip frequency, extend working hours, reduce spoilage and fuel use,

While hatchery sources are gradually replacing wild fry collections, they continue to hold cultural and economic significance. Any e ort to reduce its labour burden, environmental cost and risks can improve both sustainability and fisher welfare.

2 Chen, Tien-Shui. 2013. “七股沿海地區地覆變遷分析 [Analyses of Land-cover Changes in the Qigu Coastal Zone].” 台灣生物多樣性研究 (Taiwan Journal of Biodiversity) 15, no. 2: 99–111.

3 J. V. Juario et al., eds., Advances in Milkfish Biology and Culture: Proceedings of the Second International Milkfish Aquaculture Conference, 4-8 October 1983, Iloilo City, Philippines (Published by Island Pub. House in association with the Aquaculture Dept., Southeast Asian Fisheries Development Center and the International Development Research Centre, 1984).

4 “Proceedings of the Regional Workshop on Milkfish Culture Development in the South Pacific.” Accessed July 17, 2025. https://www.fao.org/4/ac282e/AC282E03. htm?

5 J. V. Juario et al., eds., Advances in Milkfish Biology and Culture: Proceedings of the Second International Milkfish Aquaculture Conference, 4-8 October 1983, Iloilo City, Philippines (Published by Island Pub. House in association with the Aquaculture Dept., Southeast Asian Fisheries Development Center and the International Development Research Centre, 1984).

6 “Proceedings of the Regional Workshop on Milkfish Culture Development in the South Pacific,” accessed July 17, 2025, https://www.fao.org/4/ac282e/AC282E03. htm?

1.4 Government Interventions and Limitations

Over the past half-century, the development of aquaculture ponds and land reclamation in the Qigu area has altered river courses, leading to the inland migration of sandbar systems and increased sedimentation within the lagoon.1 Upstream, soil conservation e orts, river regulation works, and the construction of reservoirs and silt-trapping dams have reduced the supply of sediment to the coast. Additionally, coastal reclamation and harbour structures such as breakwaters have blocked the replenishment of littoral drift, changing nearshore tidal and wave flow patterns and disrupting sediment balance mechanisms. As a result, o shore sandbars have gradually eroded, decreased in size, and shifted in position, contributing to widespread coastal erosion along Taiwan’s southwest coast.

According to reports from the Hydraulic Research Institute, since the year 2000, o shore sandbars in the Qigu area have retreated by nearly 100 metres on average. At the same time, the lagoon behind these sandbars has gradually become shallower, raising concerns over its potential conversion into land. This process has severely threatened the continued existence of both the sandbars and the lagoon, as well as the livelihoods and safety of coastal residents.

1.4.1. Geotubes, Dredging, and Breakwaters

Since 2001, due to sedimentation within the lagoon obstructing navigation routes and a ecting local livelihoods, the government implemented sand fixation works along the o shore sandbars of Qigu Lagoon. This involved installing bamboo fences and extracting sediment from the lagoon’s inner side to raise and stabilise the sandbars. While initial results were positive, a series of typhoons from 2005 onwards caused damage to some of these structures, and from 2006, the o shore sandbars continued to shift landward.

These o shore breakwaters were constructed without su cient geomorphological analysis, resulting in unintended consequences: sediment accumulated on the northern side, while severe erosion occurred

1 Hsiao, Li-Lun (蕭立綸). 2012. “台南七股沙洲地形變遷研究 [A Study on the Geomorphic Change of the Sand Spits in Qigu, Tainan].” Master’s thesis, Department of Geography, National Kaohsiung Normal University 2 Hung, Ching-Yuan (洪敬媛). 2009. “臺南網子寮沙洲近期地形變動 [Recent Geomorphic Changes of the Sand Spits in Wangziliaw, Tainan].” Master’s thesis, Department of Geography, National Taiwan Normal University.

on the southern side. The coastline retreated, and windbreak forests collapsed. In response to continued beach loss, additional structures such as short groynes, seawalls, and wave-dissipating blocks were installed. However, sediment supply remained critically low, and the windbreak forests continued to retreat.2

1.4.2. Critique of Current Engineering Logic

Although dredging is commonly employed for shoreline protection, its ecological and ethical impacts cannot be overlooked. The process involves relocating large volumes of sediment, disregarding its vital role in marine ecosystems. This leads to the destruction of benthic habitats and the formation of long-lasting dredging pits, altering sediment composition and reducing biodiversity. Dredging also stirs fine suspended particles into the water column, causing turbidity that blocks sunlight, suppresses photosynthesis, and negatively a ects filter-feeding organisms such as corals and oysters. While dredging may o er short-term shoreline stability, it is largely a temporary, profit-driven measure that ultimately causes ecological disruption and fosters long-term dependency on engineered solutions.

Overall, such hardware-centric strategies lack coordination with natural dynamics, resulting in sediment imbalance and accelerated erosion of sandbars. This reflects the paradox of human e orts to control natural processes, often yielding the opposite of the intended outcome. The Qigu region illustrates a fundamental distrust of nature’s adaptive mechanisms, replacing flexible ecological boundaries with static structures. This is not unique to Qigu but echoes similar issues faced by coastal areas worldwide.

1.4.3. Separation of Aquaculture and Protection Systems

The current governmental management strategy for the Qigu Lagoon area has long treated aquaculture activities and coastal protection measures as two separate and independent systems,3 lacking an integrated and holistic approach.

Fig. 21. Interventions on Sandbar-Sand pumping.
Fig. 22. Interventions on Sandbar-Vegetation.
Fig. 23. Interventions on Sandbar-Bamboo reinforcements.
Fig.24. Interventions on Sandbar-Sand bag
Fig.25. Interventions on Sandbar-Breakwater

This has overlooked the chain e ects these structures produce on the lagoon’s internal hydrological conditions, ecological environment, and aquaculture operations. Such a fragmented governance logic not only fails to e ectively address the problems of sandbar retreat and lagoon sedimentation but in fact further intensifies ecological imbalance and increases livelihood risks for local fishers.

As mentioned earlier, much of this can be ascribed to reckless, ill-conceived engineering strategies that aim to stop, avoid, or overcome natural processes rather than work in coordination with them. A genuinely viable and forward-looking solution must treat the aquaculture industry system and lagoon environmental protection as an integrated whole. From both ecological conservation and industrial-economic perspectives, it is essential to promote a comprehensive spatial governance model.

Concrete measures include replacing reliance on singular hard infrastructure with flexible interventions such as floating structures and vegetative bu er zones, establishing long-term hydrological and ecological monitoring systems, and creating collaborative governance platforms involving local fishers. Such platforms would align industrial activities with environmental restoration e orts, ensuring the sustainable development of the lagoon system through mutual reinforcement.

3 Chen, Tien-Shui. 2013. “七股沿海地區地覆變遷分析 [Analyses of Land-cover Changes in the Qigu Coastal Zone].” 台灣生物多樣性研究 (Taiwan Journal of Biodiversity) 15, no. 2: 99–111.

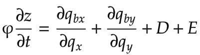
1.5 Morphodynamic Diagnosis

A sandbar is formed as a result of the continuous processes of sediment erosion and deposition driven by wave action. The sandbar located in Qigu, Taiwan, has been undergoing both erosion and deposition, gradually retreating landward and decreasing in size. This section aims to analyze the morphological changes of the sandbar and understand the mechanisms behind them. To do so, we must first examine the underlying natural dynamics that drive these changes—namely, the supply of sediment from rivers and its subsequent transportation and deposition (or erosion) by wave forces.

As a foundation, we begin by introducing four representative models that describe how sediment transport occurs, drawing primarily from fluid dynamics at a micro-scale.

Building on this understanding, we then analyze how the sandbar in Qigu has shrunk, shifted, and evolved over time. Finally, we examine physical models that relate wave height and wavelength to the morphology of sandbar formation, in order to clarify the relationship between wave characteristics and geomorphic outcomes.

Fig. 27. Diagram illustrating the impact of monsoon and tides on the sandbar

1.5.1 Sediment Transport Models

In the Glowing Island project, Skylar Tibbits categorized wave-induced sediment transport into four primary e ects: the shear stress e ect, wrap-around e ect, channel e ect, and ramp e ect (Tibbits, 2020)1. This project, situated in the Maldives, illustrates the relationship between sand movement and wave behavior. Based on these four models, along with sediment deposition patterns observed in Qigu, we developed three simplified conceptual models to interpret local sand dynamics.

In Qigu, the coastline is protected by shore-parallel structures functioning as detached breakwaters, which provide an opportunity to observe their e ects on sediment distribution. The relationship between the detached breakwaters and the resulting sediment accumulation can be interpreted through the mechanisms of longshore drift and the groyne e ect. As waves approach the sandbar, the distance between the wave surface and the seabed decreases, intensifying the wave energy.

This interaction increases shearing stress on the sediment, facilitating transport. This process can be explained by the shallow water e ect. Furthermore, multiple sandbars exist along the Qigu coastline. According to Bernoulli’s principle, the flow velocity between these sandbars increases, resulting in localized intensification of shear stress. This, in turn, enhances sediment transport and can be described as a channel e ect.

Channel E ect

As the channel narrows, the wave velocity increases (Bernoulli’s Principle). As a result, the shear stress exerted by the flow exceeds the frictional resistance and gravitational force acting on the sand particles, causing sediment transport.

Shallow Water E ect

When the water depth becomes less than half the wave height, the wave height increases and the wavelength shortens. As a result, the wave energy is temporarily intensified, increasing its transport capacity and leading to sediment transport.

Groyne E ect & Longshore Drift

Structures like groynes and breakwaters not only reduce wave energy and promote sand deposition, but they can also alter wave direction, sometimes increasing erosion. Especially along coasts with longshore drift, sand tends to accumulate on the updrift side, while erosion occurs on the downdrift side.

https://www.youtube.com/watch?v=G_0UMcx7YlM.

Fig. 28. Channel E ect
Fig. 29. Shallow Water E ect
Fig. 30. Groyne E ect & Longshore Drift
1 Skylar Tibbits, “A New Way to ‘Grow’ Islands and Coastlines,” TED, YouTube video, posted May 2020,

1.5.2 Sandbar Migration & Lagoon Shrinkage Metrics

Based on both historical records and contemporary sources, including multi-temporal satellite imagery accessible through Google Maps, the analysis of SPOT satellite images by Chen (2013)1, as well as historical data on areal changes and topographical surveys conducted in the early 20th century (Hsiao, 2012)2, we examined the gradual migration and transformation of the sandbar over the past half-century. The photographs of the sandbar at three distinct periods shown below reveal not only changes in its position but also the progressive process of its reduction in size.

The formation and ongoing transformation of this sandbar are closely tied to anthropogenic activities, particularly large-scale infrastructural projects that have altered sediment dynamics. A notable example is the upstream dam constructed in 1975, which dramatically reduced the volume of sediment supplied to the coast. This collapse of the sediment budget triggered a period of rapid shoreline retreat, during which the sandbar lost much of its previous stability. Subsequently, in 2009, coastal protection structures

were installed to counter these erosional pressures.

While such measures succeeded in slowing the rate of sandbar migration, they did not completely halt the process. Instead, the sandbar has continued to undergo gradual yet persistent changes in both form and location. It is important to emphasize, however, that the retreat and diminution of the sandbar have not occurred uniformly across the entire coastal zone. For instance, Hung’s (2009)3 detailed analysis of cross-sectional changes between 2005 and 2007 reveals a striking degree of spatial variability. In the northern portion of the sandbar system, accretion processes dominated during this period, resulting in rapid expansion. By contrast, the southern segment followed a di erent trajectory, with the sandbar steadily migrating landward while simultaneously shrinking in size. This divergence highlights the inherent complexity of morphodynamic change, in which both environmental and human factors drive sediment transport and shoreline change in distinct ways. Overall, the evolution of the sandbar cannot be explained by a single mechanism but must instead be understood as the result of interactions

among topography,hydrodynamics, and human interventions. These findings indicate the necessity of examining how local topography and wave dynamics influence such processes and of clarifying the mechanisms underlying this variability through the use of physical models.

1 Tien-Shui Chen. 2013. 七股沿海地區地覆變遷分析 [Analyses of Land-cover Changes in the Qigu Coastal Zone],” 台灣生物多樣性研究 (Taiwan Journal of Biodiversity) 15, no. 2 (2013): 99–111.

2 蕭立綸(Hsiao, Li-Lun). 2012. “台南七股沙洲地形變遷研究.[A Study on the Geomorphological Changes of the Tainan Qigu Sandbar]” 碩士論文, 國立高雄師範大 學地理學系碩士班(master’s thesis, National Kaohsiung Normal University, Department of Geography).

3 洪敬媛(Hung, Ching-Yuan). 2009. “臺南網子寮沙洲近期地形變動 [Recent Geomorphological Changes of the Wanziliao Sandbar, Tainan].” 碩士論文, 國立臺灣師 範大學 地理學系 (master’s thesis, National Taiwan Normal University, Department of Geography, 2009)

Fig. 31. Lagoon in 1984
Fig. 33. Lagoon in 2025

1.6 Case Studies + Technical Report

The relationship between the ocean, the barrier island and the lagoon is not linear, but of an iterative kind. It is essential to reify this understanding before planning any type of intervention. The following set of case studies examines strategies for land accretion that prioritise the relationship between constructed and natural environments.

Emphasis is placed on building with nature approaches that challenge the prevailing paradigm of coastal engineering, which often relies heavily on dredging and hard infrastructure.

This section will present a selection of case studies from around the world, including those situated in comparable ecological contexts, as examples or critical references for alternative construction practices.

sedimentinspecificpatterns.Overrepeatedcycles,theseinterventionsencouragetheaccumulationof silt, sandandorganicmattertobuilduplandmasses,essentiallygrowingislands.

1.6.1 Skylar Tibbits : Growing Islands

Skylar Tibbits’ land-growing strategy is a concept that reimagines land formation as a dynamic and responsive process rather than a fixed and extractive one. Rooted in self-assembly and material intelligence, the strategy harnesses natural forces such as tidal flow, wave action and sediment movement to regenerate land over time.1 The approach challenges traditional methods of coastal defence and land reclamation, which often rely on heavy infrastructure, such as sea walls or dredging. The project involves programmable materials and geometries that harness the energy of tides to deposit sediment in specific patterns. Over repeated cycles, these interventions encourage the accumulation of silt, sand and organic matter to build up landmasses, essentially growing islands.

The land-growing research combines meteorological analysis, laboratory testing and field experiments to investigate sediment accumulation as a method for enhancing coastal resilience, in the Maldives. Initial weather studies focused on seasonal variations in wave patterns and ocean currents to contextualise the observed accumulation processes in the field.

Laboratory experiments involved two wave tanks to simulate sediment behaviour under varying hydrodynamic conditions. The aim was to replicate seasonal coastal forces and understand the interactions between wave and current forces in sediment formation and movement.2 Early tests used canvas bladders filled with sand and submerged underwater, resulting in the accumulation of approximately 300

3-4 Growing Islands’, Self-Assembly Lab, accessed 16 July 2025, https:// selfassemblylab.mit.edu/growingislands.

Fig.22:Usingdirectionofwatercurrentforsedimentation.

Theland-growingresearchcombinesmeteorologicalanalysis,laboratorytestingand investigatesedimentaccumulationasamethodforenhancingcoastalresilience,intheMaldives.Initial weatherstudiesfocusedonseasonalvariationsinwavepatternsandoceancurrentstocontextualisethe observedaccumulationprocessesinthe

Fig. 35. Sand Accumulation over four months.4

Fig.23.Canvasbladders filledwithsandandsubmergedunderwater.

Laboratoryexperimentsinvolvedtwowavetankstosimulatesedimentbehaviourundervarying hydrodynamicconditions.Theaimwastoreplicateseasonalcoastalforcesandunderstandthe interactionsbetweenwaveandcurrentforcesinsedimentformationandmovement.61 Earlytestsused canvasbladders filledwithsandandsubmergedunderwater,resultingintheaccumulationof approximately300cubicmetresofsandoverafour-monthperiod.Subsequentinterventionsincluded modularlightweightstructuresand floatinggardensplantedwithnativevegetationsuchasred mangrovesandscrewpines,promotingroot-basedsandstabilisation.Additionalmaterialstudiestested

cubic metres of sand over a four-month period. Subsequent interventions included modular lightweight structures and floating gardens planted with native vegetation such as red mangroves and screw pines, promoting root-based sand stabilisation. Additional material studies tested Concrete Canvas, a fabric that hardens into a rigid surface upon hydration, as well as low and high-density rope networks designed to reduce water velocity and enhance sediment deposition.5

ConcreteCanvas,afabricthathardensintoarigidsurfaceuponhydration,aswellaslowand high-densityropenetworksdesignedtoreducewatervelocityandenhancesedimentdeposition.

Fig.23.Canvasbladders filledwithsandandsubmergedunderwater.

While Skylar Tibbits’ work presents a compelling model for ecologically driven land-building, several limitations remain. One key concern is scalability. Although the interventions have shown promise at the pilot level, particularly within small-scale field deployments, it remains uncertain how these methods would perform across larger and more variable coastal environments. The logistics and long-term maintenance required for scaling up modular or biologically integrated systems have not yet been fully addressed.

Another notable gap is the temporal dimension. The experiments primarily document short-term accumulation, such as over four months, but o er limited insight into long-term performance, seasonal fluctuations or resilience under extreme weather events. There is a lack of longitudinal data to assess whether sediment accumulation is stabilised or eroded over time.

Laboratoryexperimentsinvolvedtwowavetankstosimulatesedimentbehaviourundervarying hydrodynamicconditions.Theaimwastoreplicateseasonalcoastalforcesandunderstandthe interactionsbetweenwaveandcurrentforcesinsedimentformationandmovement.61 Earlytestsused canvasbladders lledwithsandandsubmergedunderwater,resultingintheaccumulationof approximately300cubicmetresofsandoverafour-monthperiod.Subsequentinterventionsincluded modularlightweightstructuresand oatinggardensplantedwithnativevegetationsuchasred mangrovesandscrewpines,promotingroot-basedsandstabilisation.Additionalmaterialstudiestested ConcreteCanvas,afabricthathardensintoarigidsurfaceuponhydration,aswellaslowand high-densityropenetworksdesignedtoreducewatervelocityandenhancesedimentdeposition.

Fig24:Afabricthathardensintoarigidsurfaceuponhydration

Additionally, the contextual specificity of the Maldives raises questions about broader applicability. The experiments were conducted in relatively calm and sediment-rich waters, which may not reflect the more turbulent and sediment-scarce conditions found in environments like the Qigu Lagoon in Taiwan. The hydrodynamic forces, ecological interactions and sediment transport patterns di er significantly. These methodologies have yet to be tested or adapted in such contrasting settings. As such, further research is needed to evaluate how these strategies might be modified to suit Qigu’s dynamic coastal system.

61 ‘GrowingIslands’,Self-AssemblyLab,accessed16July2025,https://selfassemblylab.mit.edu/growingislands.

Fig24:Afabricthathardensintoarigidsurfaceuponhydration

5 Growing Islands’, Self-Assembly Lab, accessed 16 July 2025, https://selfassemblylab.mit.edu/growingislands.

61 ‘GrowingIslands’,Self-AssemblyLab,accessed16July2025,https://selfassemblylab.mit.edu/growingislands.

Fig25:High-densityropenetworksdesignedtoreducewatervelocity

37. A fabric that hardens into a rigid surface upon hydration
Fig. 36. Canvas bladders filled with sand and submerged underwater.

1.6.2 Fire Island, Montauk, USA

The Fire Island to Montauk Point Project o ers a significant case study for examining large-scale sediment-based coastal interventions.1 This project has been selected for analysis due to its emphasis on soft engineering strategies such as beach nourishment and dune reconstruction in a dynamic barrier island system vulnerable to storm surges and longterm erosion. Its scale and extended timeframe o er valuable insights for the potential application of similar strategies in the context of Qigu Lagoon.

Located o the southern coast of Long Island, New York, the Fire Islands form part of a barrier island system protecting the Great South Bay and adjacent mainland communities.2 The project spans approximately 83 miles (133 km) and involves beach nourishment, dune enhancement and breach management.3 It was initiated in the aftermath of Hurricane Sandy (2012), which exposed the vulnerabilities of the coastal system. The implementation is phased, with scheduled re-nourishment cycles projected over 30 years. The process involves dredging sand from o shore borrow sites and strategically depositing it along the island’s shoreline to rebuild dunes and widen beaches, aiming to mitigate future storm damage.4

One of the primary advantages of the Fire Island approach lies in its integration of natural and engineered systems. By restoring dunes and beaches rather than relying on hard infrastructure, such as seawalls, the project works in harmony with natural coastal processes. This reduces wave energy, protects inland habitats and property, and allows the

landscape to evolve dynamically. The use of modelling and long-term datasets has enabled site-specific responses tailored to sediment transport patterns and storm frequencies. In terms of scale and institutional coordination, it demonstrates multi-agency collaboration.

However, upon considering its relevance to Qigu Lagoon, several gaps become apparent. Firstly, the Fire Island method’s material and energy demands pose barriers to resource-limited areas. It requires heavy machinery, logistics and funding, which is undesirable in Qigu lagoon. The energy use and emissions also conflict with climate goals.

Secondly, Qigu Lagoon’s ecological and geomorphological features di er from a barrier island like Fire Island. This leads to di erent sediment behaviour and hydrodynamics. Additionally, Fire Island’s nourishment is temporary; storms erode the sand quickly, requiring frequent replenishment. In Qigu, funding and logistical constraints could render continuous intervention unsustainable, and o shore sediment extraction may harm benthic habitats and fisheries.

1.6.2FireIsland

Fig.26:FireIslandProject

TheFireIslandtoMontaukPointProjectoffersasignificantcasestudyforexamininglarge-scale sediment-basedcoastalinterventions.62 Thisprojecthasbeenselectedforanalysisduetoitsemphasis onsoftengineeringstrategiessuchasbeachnourishmentanddunereconstructioninadynamicbarrier islandsystemvulnerabletostormsurgesandlong-termerosion.Itsscaleandextendedtimeframeo valuableinsightsforthepotentialapp fsimilarstrategiesinthecontextofQiguLagoon.

Locatedo thesoutherncoastofLongIsland,NewYork,theFireIslandsformpartofabarrierisland systemprotectingtheGreatSouthBayandadjacentmainlandcommunities. approximately83miles(133km)andinvolvesbeachnourishment,duneenhancementandbreach management. ItwasinitiatedintheaftermathofHurricaneSandy(2012),whichexposedthe vulnerabilitiesofthecoastals .Theimplementationisphased,withscheduledre-nourishment cyclesprojectedover30years.Theprocessinvolvesdredgingsandfromo strategicallydepositingitalongtheisland’sshorelinetorebuilddunesandwidenbeaches,aimingto mitigatefuturestormdamage.65

Fig. 40. Case proposed Island Development over time.5

1 Jesse M. Keenan and Claire Weisz, eds., Blue Dunes: Climate Change by Design (Columbia University, 2016).

2 East Hampton Town Attorney’s O ce, Fire Island to Montauk Point (FIMP) Project Overview (The Town of East Hampton, n.d.), https://ehamptonny.gov/ DocumentCenter/View/19276/FIMP-Overview?bidId.

3 ibid

4 East Hampton Town Attorney’s O ce, Fire Island to Montauk Point (FIMP) Project Overview (The Town of East Hampton, n.d.), https://ehamptonny.gov/ DocumentCenter/View/19276/FIMP-Overview?bidId.

5 PROJECT PAGES: BLUE DUNES – THE FUTURE OF COASTAL PROTECTION – Rebuild by Design, n.d., accessed 17 September 2025, https://rebuildbydesign.org/work/finalists/ blue-dunes-the-future-of-coastal-protection/.

OneoftheprimaryadvantagesoftheFireIslandapproachliesinitsintegrationofnaturalandengineered systems.Byrestoringdunesandbeachesratherthanrelyingonh projectworksinharmonywithnaturalcoastalprocesses.Thisreduceswaveenergy,protectsinland

62 JesseM.KeenanandClaireWeisz,eds., BlueDunes:ClimateChangebyDesign

63 EastHamptonTownAttorney’sOffice, FireIslandtoMontaukPoint(FIMP)ProjectOverview

https://ehamptonny.gov/DocumentCenter/View/19276/FIMP-Overview?bidId=.

https://ehamptonny.gov/DocumentCenter/View/19276/FIMP-Overview?bidId=. 64ibid

65 EastHamptonTownAttorney’sOffice, FireIslandtoMontaukPoint(FIMP)ProjectOverview

Fig. 39. Fire Island Project (Edited by Authors)

1.6.3 The Sandmotor, Hague

The Sand Motor project, situated along the coast of South Holland, is often regarded as a benchmark for large-scale, nature-based coastal defence. It has been chosen for this study due to its approach of building with nature, where sediment is introduced to a shoreline not as a static barrier but as a dynamic, self-distributing system that works in harmony with wind, waves and currents over time.6 The idea of allowing natural forces to shape the shoreline gradually is particularly relevant for Qigu Lagoon, where coastal erosion and ecosystem decline necessitate long-term, adaptive strategies.

Completed in 2011, the Sand Motor involved depositing nearly twenty-two million cubic metres of sand onto the Dutch coast, forming a hook-shaped peninsula that extends into the North Sea. Covering approximately 128 hectares, this large-scale nourishment project was designed to redistribute sand along the adjoining coast over a period of twenty years naturally.7 Unlike traditional beach nourishment, which demands frequent and localised reapplications, the Sand Motor strategy accepts temporal and spatial uncertainty, enabling natural processes to carry out sediment dispersal with minimal human intervention after the initial installation.

A key advantage of the Sand Motor approach lies in its long-term e ciency. By concentrating sediment input into a single, large-scale intervention, the project reduces the frequency and disruption associated with conventional nourishment. It also fosters the formation of new dune ecosystems, shallow marine habitats and recreational landscapes. The design

anticipates morphological change as a desirable outcome, marking a shift from static defence to dynamic adaptation.

Several limitations a ect the potential use of the Sand Motor in Qigu Lagoon. The primary concern is scale and site morphology. The Sand Motor is suited for open, high-energy coasts with strong currents that transport sediment over long distances. At Qigu Lagoon, however, the circulation depends on tidal exchange, not longshore drift, and sediment tends to settle. Thus, passive sand redistribution, as seen in the Netherlands, is unlikely in Qigu without major adjustments to sediment input and hydrodynamics.

Secondly,QiguLagoon'secologicalandgeomorphologicalfeaturesdi Island.Thisleadstodifferentsedimentbehaviourandhydrodynamics.Additionally,FireIsland's nourishmentistemporary;stormserodethesandquickly,requiringfrequentre fundingandlogisticalconstraintscouldrendercontinuousinterventionunsustainable,ando sedimentextractionmayharmbenthichabitatsand

1.6.3Sandmotor,Hague

6

“Sand Motor - Delfland,” EcoShape - EN, n.d., accessed July 18, 2025, https:// www.ecoshape.org/en/cases/ sand-nourishment-sand-engine-delfland-north-sea-nl/. 7 ibid

8-9 Sand Motor - Delfland,” EcoShape - EN, n.d., accessed July 18, 2025, https:// www.ecoshape.org/en/cases/

habitatsandproperty,andallowsthelandscapetoevolvedynamically.Theuseofmodellingand long-termdatasetshasenabledsite-specificresponsestailoredtosedimenttransportpatternsandstorm frequencies.Intermsofscaleandinstitutionalcoordination,itdemonstratesmulti-agencycollaboration.

However,uponconsideringitsrelevancetoQiguLagoon,severalgapsbecomeapparent.Firstly,theFire Islandmethod'smaterialandenergydemandsposebarrierstoresource-limitedareas.Itrequiresheavy machinery,logisticsandfunding,whichisundesirableinQigulagoon.Theenergyuseandemissionsalso conflictwithclimategoals.

Another issue is material misalignment. The Sand Motor uses coarse marine sand from o shore, ideal for beach and dune formation. Qigu’s fine silts, clays and organic deposits respond di erently to waves and wind. The project’s two-decade timeframe also raises questions about feasibility, as local communities face immediate risks from erosion, storms, and sea-level rise. Interventions here should be phased, responsive and participatory, involving local input.

Secondly,QiguLagoon'secologicalandgeomorphologicalfeaturesdifferfromabarrierislandlikeFire Island.Thisleadstodifferentsedimentbehaviourandhydrodynamics.Additionally,FireIsland's nourishmentistemporary;stormserodethesandquickly,requiringfrequentreplenishment.InQigu, fundingandlogisticalconstraintscouldrendercontinuousinterventionunsustainable,andoffshore sedimentextractionmayharmbenthichabitatsand fisheries.

1.6.3Sandmotor,Hague

Fig.27:TheSandMotorProjectshowinggradualshapingofdepositedsandbywavesovertime

TheSandMotorproject,situatedalongthecoastofSouthHolland,isoftenregardedasabenchmarkfor large-scale,nature-basedcoastaldefence.Ithasbeenchosenforthisstudyduetoitsapproachof buildingwithnature,wheresedimentisintroducedtoashorelinenotasastaticbarrierbutasadynamic, self-distributingsystemthatworksinharmonywithwind,wavesandcurrentsovertime.(17)Theideaof allowingnaturalforcestoshapetheshorelinegraduallyisparticularlyrelevantforQiguLagoon,where coastalerosionandecosystemdeclinenecessitatelong-term,adaptivestrategies.

Completedin2011,theSandMotorinvolveddepositingnearlytwenty-twomillioncubicmetresofsand onto utchcoast,formingahook-shapedpeninsulathatextendsintotheNorthSea.Covering approximately128hectares,thislarge-scalenourishmentprojectwasdesignedtoredistributesandalong

Fig.27:TheSandMotorProjectshowinggradualshapingofdepositedsandbywavesovertime

42. Gradual shaping of deposited sand by waves.9

TheSandMotorproject,situatedalongthecoastofSouthHolland,isoftenregardedasabenchmarkfor large-scale,nature-basedcoastaldefence.Ithasbeenchosenforthisstudyduetoitsapproachof buildingwithnature,wheresedimentisintroducedtoashorelinenotasastaticbarrierbutasadynamic, self-distributingsystemthatworksinharmonywithwind,wavesandcurrentsovertime.(17)Theideaof allowingnaturalforcestoshapetheshorelinegraduallyisparticularlyrelevantforQiguLagoon,where coastalerosionandecosystemdeclinenecessitatelong-term,adaptivestrategies.

Completedin2011,theSandMotorinvolveddepositingnearlytwenty-twomillioncubicmetresofsand onto theDutchcoast,formingahook-shapedpeninsulathatextendsintotheNorthSea.Covering approximately128hectares,thislarge-scalenourishmentprojectwasdesignedtoredistributesandalong

Fig.
Fig. 41 The Sand Motor Project8 (Edited by authors)

1.6.4

Marker Wadden, Netherlands

The Marker Wadden project in the Netherlands is examined here due to its innovative ecological restoration approach, which utilises sediment to create new landforms. Initiated in 2016, the project aims to revive biodiversity in the Markermeer, a turbid freshwater lake that had su ered from declining water quality and habitat loss.1

It consists of five artificial islands that extend into wetlands, sand wave breakers, reef piles, pedestrian walks and an observation centre. Initially, breakwaters were built by depositing dunes and stones. Next, six dams were constructed within the protected zone behind these breakwaters. Subsequently, silt was deposited from the lake’s bottom to form the islands. Once the new land rose above the water surface, it dried out, allowing vegetation to grow and spread.2

The islands are shielded from strong waves by breakwaters, and the vegetation stabilises the sediments, thereby reducing erosion.3

This large-scale intervention o ers several relevant insights for Qigu Lagoon. It demonstrates how dredged sediment, often viewed as a waste product, can be reused to support ecosystem restoration. Marker Wadden’s soft-engineered landforms, shaped by wind, waves and currents, allow for adaptation to dynamic environmental changes. This model contrasts with rigid infrastructure and could inspire similar flexibility in Qigu’s sediment-based interventions.

However, the direct applicability of Marker Wadden to Qigu is limited by key environmental and contextual di erences. Marker Wadden is a temperate freshwater lake, while Qigu is a tropical, brackish, tidally influenced lagoon exposed to more intense hydrodynamics. The sediments available in Qigu, ranging from coarse sand to clay, di er in composition and may not consolidate as predictably as the fine lakebed silt used in the Dutch case. Moreover, the long timescale and centralised governance behind Marker Wadden are not easily mirrored in Taiwan, where interventions may need to be faster, more distributed and responsive to local stakeholders.

1 “Marker Wadden,” EcoShape - EN, n.d., accessed July 18, 2025, https://www. ecoshape.org/en/cases/marker-wadden/.

2 Despina Linaraki et al., “An Overview of Artificial Islands Growth Processes and Their Adaptation to Sea-Level Rise,” in SeaCities: Aquatic Urbanism, ed. Joerg Baumeister et al. (Springer Nature, 2023), 87, https://doi. org/10.1007/978-981-99-2481-3_4.

3 Despina Linaraki et al., “An Overview of Artificial Islands Growth Processes and Their Adaptation to Sea-Level Rise,” in SeaCities: Aquatic Urbanism, ed. Joerg Baumeister et al. (Springer Nature, 2023), https://doi. org/10.1007/978-981-99-2481-3_4.

3.1 ‘Overnachten op Marker Wadden’, Natuurmonumenten, accessed 17 September 2025, https://www.natuurmonumenten.nl/natuurgebieden/marker-wadden/varen/ overnachten-op-marker-wadden.

Fig.28:MarkerWaddenProject.

Theislandsareshieldedfromstrongwavesbybreakwaters,andthevegetationstabilisesthesediments, therebyreducingerosion.

Thislarge-scaleinterventiono ersseveralrelevantinsightsforQiguLagoon.Itdemonstrateshow dredgedsediment,oftenviewedasawasteproduct,canbereusedtosupportecosystemrestoration. MarkerWadden’ssoft-engineeredlandforms,shapedbywind,wavesandcurrents,allowforadaptationto dynamicenvironmentalc s.Thismodelcontrastswithrigidinfrastructureandcouldinspiresimilar flexibilityinQigu’ssediment-basedinterventions.

However,thedirectapplicabilityofMarkerWaddentoQiguislimitedbykeyenvironmentalandcontextual differences.MarkerWaddenisatemperatefreshwaterlake,whileQiguisatropical,brackish,tidally influencedlagoonexposedtomoreintensehydrodynamics.ThesedimentsavailableinQigu,ranging fromcoarsesandtoclay,differincompositionandmaynotconsolidateaspredictablyasthe lakebedsiltusedintheDutchcase.Moreover,thelongtimescaleandcentralisedgovernancebehind MarkerWaddenarenoteasilymirroredinTaiwan,whereinterventionsmayneedtobefaster,more distributedandresponsivetolocalstakeholders.

1.6.5Discussion

Pastinterventionsledbygovernmentagencieshavecauseddetrimentalimpactsonthelagoondueto poorplanningandalackofsite-specific

Fig. 44. Marker Wadden Aerial View Construction Phase3.1
Fig. 43. Marker Wadden Project. (Edited by authors)

1.6.5 Discussion

Past interventions led by government agencies have caused detrimental impacts on the lagoon due to poor planning and a lack of site-specific understanding. Therefore, any future proposals must be based on integrating both the contextual needs and forces of nature itself and supported by computational modelling to accurately predict local hydrodynamic and controlled morphological responses over time. This would help ensure that interventions are aligned with the lagoon’s ecological dynamics and socio-cultural needs.

The reformation strategy (see Fig. X), as employed by Tibbits’ Growing Islands in underwater landscapes, provides a means to reshape existing environments without introducing new materials.5 This approach can support natural growth by providing a suitable foundation and guiding water flow. However, if not properly managed, it may harm marine life and lead to stagnant waters. Additionally, the technique presents challenges in controlling the shape due to the powerful currents and waves underwater.6

The Marker Wadden project employs a combination of immersion and deposition strategies.7 While the deposition strategy is questionable due to concerns around its environmental impact, the immersion of stilts in water for land growth proves to be rather promising.

Constructing landmasses on stilts o ers material

e ciency and preserves water flow, depending on stilt density. Such structures can support marine habitats, including oyster colonisation. However, they require stable substrates and are suitable only for lightweight, temporary uses.8 Their spatial configuration allows multidirectional expansion, varying heights and dual functionality above and below, enabling light penetration and aquatic interactions. This approach parallels the concept of pilotis in architecture, facilitating adaptable, multifunctional environments within aquatic landscapes.9

None of the case studies mentioned in this section, which employed engineering infrastructure such as a breakwater, reflected on integrating the hard-engineered structures with contextually relevant architectural programmes and proposals, or spacemaking for both human and non-human agents. This is vital for Qigu, as any intervention must be based on the current activities, which are predominantly aquaculture.

The case studies reveal several strategies that may guide future interventions at the Lagoon. One possible approach is the vegetative stabilisation or vegetation blending10 of the soil layer using shallow-rooting native species, which can help trap sediment and prevent erosion. Another strategy involves installing nearshore breakwaters designed to reduce wave energy before it reaches the coastline, thereby decreasing erosion and encouraging sediment deposition.

4 Despina Linaraki et al., “An Overview of Artificial Islands Growth Processes and Their Adaptation to Sea-Level Rise,” in SeaCities: Aquatic Urbanism, ed. Joerg Baumeister et al. (Springer Nature, 2023), https://doi. org/10.1007/978-981-99-2481-3_4.

5 ibid

6 Despina Linaraki et al., “An Overview of Artificial Islands Growth Processes and Their Adaptation to Sea-Level Rise,” in SeaCities: Aquatic Urbanism, ed. Joerg Baumeister et al. (Springer Nature, 2023), 108, https://doi. org/10.1007/978-981-99-2481-3_4.

7 Despina Linaraki et al., “An Overview of Artificial Islands Growth Processes

and Their Adaptation to Sea-Level Rise,” in SeaCities: Aquatic Urbanism, ed. Joerg Baumeister et al. (Springer Nature, 2023), 87, https://doi. org/10.1007/978-981-99-2481-3_4.

8 Despina Linaraki et al., “An Overview of Artificial Islands Growth Processes and Their Adaptation to Sea-Level Rise,” in SeaCities: Aquatic Urbanism, ed. Joerg Baumeister et al. (Springer Nature, 2023), 108, https:// doi.org/10.1007/978-981-99-2481-3_4.

9 ibid

10 Despina Linaraki et al., “An Overview of Artificial Islands Growth Processes and Their Adaptation to Sea-Level Rise,” in SeaCities: Aquatic

Geotextile-based dredging o ers another promising option. This method may enable the creation of breakwaters and support targeted beach nourishment e orts. Additionally, geotextile containment systems could be utilised to construct o shore artificial reefs that promote marine habitat regeneration while also serving as sediment traps.

Thiswouldhelpensurethatinterventionsarealignedwiththelagoon’secologicaldynamicsand socio-culturalneeds.

45. Summary of Land Growing Methodologies.4

Fig.29:summarisesvariouslandgrowingmethodologiesemployedacross

Thereformationstrategy(seeFig.X),asemployedbyTibbits’GrowingIslandsinunderwaterlandscapes, providesameanstoreshapeexistingenvironmentswithoutintroducingnewmaterials. cansupportnaturalgrowthbyprovidingasuitablefoundationandguidingwater properlymanaged,itmayharmmarinelifeandleadtostagnantwaters.Additionally,thetechnique presentschallengesincontrollingtheshapeduetothepowerfulcurrentsandwavesunderwater.

Urbanism, ed. Joerg Baumeister et al. (Springer Nature, 2023), 108, https://doi. org/10.1007/978-981-99-2481-3_4.

TheMarkerWaddenprojectemploysacombinationofimmersionanddepositionstrategies. depositionstrategyisquestionableduetoconcernsarounditsenvironmentalimpact,theimmersionof stiltsinwaterforlandgrowthprovestoberatherpromising.

Constructinglandmassesonstilts offersmaterialefficiencyandpreserveswater density.Suchstructurescansupportmarinehabitats,includingoystercolonisation.However,they requirestablesubstratesandaresuitableonlyforlightweight,temporaryuses.

70 DespinaLinarakietal.,“AnOverviewofArtificialIslandsGrowthProcessesandTheirAdaptationtoSea-LevelRise,”in

Fig.

1.6.6 ETH Zurich - Rock Print Pavilion

We refer to the Rock Print Pavilion, a collaboration between ETH Zürich’s Gramazio Kohler Research and MIT’s Self-Assembly Lab, as a key precedent in our exploration of granular architecture.1 Instead of relying on conventional joints or rigid components, the project demonstrates how spatial structures can emerge through controlled deposition of materials and tension-based constraints.

During construction, loose gravel is deposited simultaneously with layers of filament. The path and tension of the filament govern the internal friction and force distribution within the aggregate. As the gravel settles under its own weight, the interplay between compression and confinement allows the structure to stabilise and stand independently, without the need for formwork or adhesives.

This logic resonates with our site-specific strategy for Qigu’s shifting sandbar. Local oyster farmers

often pile up discarded shells to create makeshift platforms and walking paths, a building practice that similarly relies on the jamming e ect of irregular materials.

1.6.7 Modular and Morphable Jamming SelfAssembly Lab - Case Study

The Superjammed2 research, developed by the MIT Self-Assembly Lab in collaboration with Boston University, explores a novel construction system that exploits granular jamming to create tunable, morphable, and reversible architectural structures. Building on earlier work with jammed aggregates such as Rock Print, the project addresses the limitations of existing methods—chiefly their reliance on slow robotic deposition, extensive pre-planning, or fixed formwork—by devising a rapid, adaptable fabrication process capable of spanning horizontally and adapting form without permanent joints or adhesives.

Granular jamming occurs when loosely packed

particles transition to a rigid state through confinement, here achieved with aggregate rock and a network of tensioned strings. The Superjammed methodology combines slip-formed layers of rock and strategically looped string with post-tensioning through internal channels, producing a dense, reinforced assembly. The hollow cores created during slip-forming enable threaded rods to apply end-toend compression via plywood plates, significantly increasing sti ness and toughness while allowing structures to be “switched o ” by releasing tension— causing them to disassemble into reusable components.

Comparative tests across four rock types (½–¾″ particles) and three string types found only modest di erences overall; flatter particles (e.g., slate) improved resilience/toughness, sti er strings improved sti ness, and more elastic yarns improved toughness. This indicates wide material tolerance for field sourcing without major performance loss.compression via plywood plates, significantly increasing

sti ness and toughness while allowing structures to be “switched o ” by releasing tension—causing them to disassemble into reusable components.

Comparative tests across four rock types (½–¾″ particles) and three string types found only modest di erences overall; flatter particles (e.g., slate) improved resilience/toughness, sti er strings improved sti ness, and more elastic yarns improved toughness. This indicates wide material tolerance for field sourcing without major performance loss.

Three large-scale typologies were prototyped to demonstrate architectural actionability:

Column-Beam:

A vertical hollow column rotated to act as a beam, demonstrating load capacity under both concentrated and distributed weights. Disassembly was performed by backing o the plates under load.

Wall-Slab:

A vertical wall element rotated into a horizontal slab, sustaining live loads despite minimal material thickness.

Beam-Arch:

A straight beam transformed into an arch through asymmetric post-tensioning, showcasing controlled morphability and progressive strengthening with curvature.

Testing confirmed that Superjammed elements maintain structural performance across di erent rock and string types, and exhibit superior abrasion resistance compared to non-tensioned jammed structures. The system’s reversibility enables rapid on-site assembly and disassembly, making it well-suited for temporary or reconfigurable applications.

In the context of Qigu Lagoon, the Superjammed approach o ers valuable insights into modular, deployable, and reusable construction strategies. The ability to adapt form in response to environmental forces, combined with the option to dismantle structures without material loss, aligns with the needs of adaptive coastal infrastructure. However, site-specific adaptations would be required—particularly to address exposure to water.

1Gramazio Kohler Research’. Accessed 15 August 2025. https://gramaziokohler.arch. ethz.ch/web/e/projekte/364.html.

2 J. V. Juario et al., eds., Advances in Milkfish Biology and Culture: Proceedings of th Cohen, Zach, et al. “Superjammed: Tunable and Morphable Spanning Structures through Granular Jamming.” Technology|Architecture + Design, vol. 4, no. 2, 2 July 2020, pp. 211–220, www.researchgate.net/publication/347217534_Superjammed_ Tunable_and_Morphable_Spanning_Structures_Through_Granular_Jamming, https:// doi.org/10.1080/24751448.2020.1804765.

1.6.8 Discussion

Jamming, as explored through the Rock Print Pavilion, introduced an important conceptual shift by showing how loose elements can gain rigidity purely through friction and compression. Yet this very quality makes it unsuitable for the sandbar context: it is inherently unpredictable, unstable under repeated loading, and highly sensitive to environmental forces like tides, sediment shifts, and seasonal flooding. While it o ers a provocative model for thinking about self-organizing, binderless construction, it cannot provide the consistency required for settlement-building. Because of this limitation, the research moved towards topological interlocking: a system where modules immobilize one another through their geometry and shared points of contact. This provides greater stability, controlled assembly, and repeatable disassembly, making it more adaptable to the seasonal rhythms of sandbar life. The detailed discussion of this interlocking system and its optimization follows in the next section, but its introduction here marks a necessary progression from the uncertainty of jamming to a more controlled yet still modular construction logic.

1.6.9 Topological Interlocking

The study “Design and Structural Optimization of Topological Interlocking Assemblies” (Wang et al., 2019) investigates the structural behavior of discrete, self-supporting systems composed of interlocking convex blocks. These assemblies rely on topological interlocking, a principle where individual modules are constrained by their neighbors through geometric contact rather than adhesive bonding. Stability emerges as a collective property, enabling the construction of load-bearing structures that are reversible and reconfigurable.

The research introduces a computational framework to test and optimize these assemblies under gravity and external loading. Unlike conventional equilibrium checks, the method evaluates both local stability (resistance to small displacements) and global interlocking (resistance to arbitrary load orientations). A new stability index quantifies robustness, enabling comparative evaluation of block geometries. Block generation is performed through gradient-based optimization, where the target is to maximize stability while satisfying global equilibrium and curvature constraints.

This process produces blocks that fit within a funicular shell geometry, distributing loads in compression across the surface. The resulting assemblies demonstrate the ability to span large distances without mortar, adhesives, or continuous reinforcement. Physical prototypes validated the computational predictions.

Assembly typically began with a perimeter ring of modules, establishing the boundary geometry. Subsequent layers were sequentially stacked inward, each block immobilizing the next through shared points of contact.

In the context of Qigu, the case study o ers precedents for first, that interlocking geometries can distri bute loads through compression alone, avoiding reliance on binding agents and second, that modular shells can be assembled and disassembled in phases.

1 Wang, Ziqi, et al. “Design and Structural Optimization of Topological Interlocking Assemblies.” ACM Transactions on Graphics, vol. 38, no. 6, 31 Dec. 2019, pp. 1–13, https://doi.org/10.1145/3355089.3356489. Accessed 12 May 2022.

Fig. 50. Based on research, a shell is fabricated. Resoruce: “Design and Structural Optimization of Topological Interlocking Assemblies (Fabrication Result).” YouTube, 6 Sept. 2019, www.youtube.com/ watch?v=EUm6IIdk2XM.

1.7 Design Problem Synthesis

Design Problem Statement

Qigu Lagoon, a critical ecological and economic zone in Taiwan, is undergoing severe spatial and environmental decline driven by sea-level rise, sandbar migration, and sediment accumulation from upstream river systems. These processes have accelerated the shrinking of lagoon areas and the unreliability of navigational water routes, directly threatening traditional oyster farming and aquaculture practices. Without stable land-based infrastructure, many fishermen are compelled to live on their boats, facing fragmented aquaculture sites that are di cult to access and sustain across seasonal cycles. This scattered distribution of aquaculture infrastructure not only disrupts mobility and farming rhythms but also weakens community stability and economic resilience.

Our Proposal

The prevailing governmental strategy treats coastal defence and aquaculture as separate, often conflicting agendas : building breakwaters to resist nature while ignoring their interdependence. Instead of opposing natural dynamics, our proposal embraces them. By integrating coastal defence with aquaculture, the sandbar becomes the mediator between environmental processes and human activities.

The key shift lies in relocating critical farming operations, such as hatcheries and shell preparation, directly onto the sandbar. This transition addresses the current fragmentation of aquaculture sites by consolidating farming and defensive functions into a single adaptive system. Land-growing processes enhance natural sediment deposition, strengthening the sandbar’s resilience against erosion, while simultaneously providing stable ground for aquaculture infrastructure. This integration not only secures continuity in oyster farming cycles but also transforms the sandbar into a productive landscape where ecological restoration and community livelihoods reinforce one another.

Fig. 51.Diagram illustrating separation interventions and integration proposal in Qigu
Fig. 52.Diagram illustrating sandbar integration through relocated farming processes
Fig. 53.Conceptual diagram showing the synthesis of issues in Qigu

If tidal forces and sediment flows can be strategically redirected through site-specific land-growing interventions, then it is possible to regenerate eroded sandbar formations and mitigate lagoon shrinkage in Qigu.

By integrating this ecological process with architectural systems that support aquaculture practices and seasonal habitation, a new form of adaptive fishermen settlement can emerge — one that grows with the landscape, enables continuity of livelihood, and reconnects fragmented farming steps onto a unified, evolving terrain.

1.9 Overall Strategy : [ Emergent Interlocking System ]

54. The sectioned gradient across o shore, nearshore, onshore, and sandbar conditions demonstrates how di erent forms of interlocking are mobilised in relation to their specific environments and functions.

Fig.

The diagram illustrates the central proposition of this research: that a new architectural language can emerge from interlocking systems deployed across the sandbar, operating from underwater conditions o shore to architectural structures onshore. Conventional interventions, designed as permanent and rigid, fail precisely because they attempt to impose stability on what is inherently unstable. O shore, modules operate through granular and self-jamming strategies, designed to remain aleatory, porous, and responsive to the dynamics of sediment transport. As the gradient shifts landward to the nearshore and onshore zones, the logic of interlocking becomes progressively more deterministic. Here, topological interlocking systems are deployed, creating assemblies with structural stability.

Unlike conventional construction that relies on adhesives or reinforcements, topological interlocking systems achieve strength through geometry alone, creating modular infrastructures that are robust yet reversible. At the most architectural scale, funicular shells demonstrate how compression-based design principles can support larger enclosures such as production halls. Each system also integrates material, structural, and morphological considerations, demonstrating a holistic framework that accounts for the multiple scales. In doing so, the research positions itself at the intersection of experimental structural systems.

Bibliography

B. Kjerfve. Coastal Lagoon Processes. Elsevier, 1994.

Chen, Su-Wen,”A Study on Social and Economic Changes of Tidal Flats in Taijowan Bay-A Case Study of An-Nan District in Tainan City”(2015)

Chen, Tien-Shui. 2013. “七股沿海地區地覆變遷分析 [Analyses of Land-cover Changes in the Qigu Coastal Zone].” 台灣生物多樣性研究 (Taiwan Journal of Biodiversity) 15, no. 2: 99–111.

Chung, Chun-Wen. “Despina Linaraki et al., ‘An Overview of Artificial Islands Growth Processes and Their Adaptation to Sea-Level Rise,’ in SeaCities: Aquatic Urbanism, Ed. Joerg Baumeister et al. (Springer Nature, 2023), Https://Doi. Org/10.1007/978-981-99-2481-3_4.” Department of Architecture, National Cheng Kung University, Taiwan (R.O.C), 2010.

Duck, Robert W., and José Figueiredo da Silva. “Coastal Lagoons and Their Evolution: A Hydromorphological Perspective.” Estuarine, Coastal and Shelf Science 110 (September 2012): 2–14. https://doi.org/10.1016/j.ecss.2012.03.007.

FitzGerald, Duncan M., Michael S. Fenster, Britt A. Argow, and Ilya V. Buynevich. “Coastal Impacts due to Sea-Level Rise.” Annual Review of Earth and Planetary Sciences 36, no. 1 (May 2008): 601–47. https://doi.org/10.1146/annurev. earth.35.031306.140139.

Hsiao, Li-Lun (蕭立綸). 2012. “台南七股沙洲地形變遷 研究 [A Study on the Geomorphic Change of the Sand Spits in Qigu, Tainan].” Master’s thesis, Department of Geography, National Kaohsiung Normal University

Hung, Ching-Yuan (洪敬媛). 2009. “ [Recent Geomorphic Changes of the Sand Spits in Wangziliaw, Tainan].” 臺南網子寮沙洲近期地形變動 Master’s thesis, Department of Geography, National Taiwan Normal University.

IPCC. “Chapter 9: Ocean, Cryosphere and Sea Level Change.” www.ipcc.ch, 2021. https://www.ipcc. ch/report/ar6/wg1/chapter/chapter-9/.

Juario, J. V., R. P. Ferraris, L. V. Benitez, Southeast Asian Fisheries Development Center, and International Development Research Centre (Canada), eds. Advances in Milkfish Biology and Culture: Proceedings of the Second International Milkfish Aquaculture Conference, 4-8 October 1983, Iloilo City, Philippines. Published by Island Pub. House in association with the Aquaculture Dept.,

Southeast Asian Fisheries Development Center and the International Development Research Centre, 1984.

Keenan, Jesse M., and Claire Weisz, eds. Blue Dunes: Climate Change by Design. Columbia University, 2016.

Kuang, Cuiping, Xin Cong, Zhichao Dong, Qingping Zou, Huaming Zhan, and Wei Zhao. “Impact of Anthropogenic Activities and Sea Level Rise on a Lagoon System: Model and Field Observations.” Journal of Marine Science and Engineering 9, no. 12 (December 6, 2021): 1393. https://doi.org/10.3390/ jmse9121393.

Liao, I-Chiu. Aquaculture: The Taiwanese Experience. BUll. Inst. Zool., Academia Sinica, Monograph, 1991.

Linaraki, Despina, Joerg Baumeister, Tim Stevens, and Paul Burton. “An Overview of Artificial Islands Growth Processes and Their Adaptation to SeaLevel Rise.” In SeaCities: Aquatic Urbanism, edited by Joerg Baumeister, Ioana C. Giurgiu, Despina Linaraki, and Daniela A. Ottmann. Springer Nature, 2023. https://doi.org/10.1007/978-981-99-2481-3_4.

Nienhuis, Jaap H., and Jorge Lorenzo-Trueba. “Simulating Barrier Island Response to Sea Level Rise with the Barrier Island and Inlet Environment (BRIE) Model V1.0.” Geoscientific Model Development 12, no. 9 (September 12, 2019): 4013–30. https://doi.org/10.5194/gmd-12-4013-2019.

Phuah, Tony Leong-Keat, and Yang-Chi Chang. “Socioeconomic Adaptation to Geomorphological Change: An Empirical Study in Cigu Lagoon, Southwestern Coast of Taiwan.” Frontiers in Environmental Science 10 (January 2023). https:// doi.org/10.3389/fenvs.2022.1091640.

PortosAmill, Laura, Jaap H. Nienhuis, and Huib E. de Swart. “Gradual Inlet Expansion and Barrier Drowning under Most Sea Level Rise Scenarios.” Journal of Geophysical Research: Earth Surface 128, no. 11 (November 2023). https://doi. org/10.1029/2022jf007010.

PROJECT PAGES: BLUE DUNES – THE FUTURE OF COASTAL PROTECTION – Rebuild by Design. n.d. Accessed 17 September 2025. https://rebuildbydesign.org/work/finalists/ blue-dunes-the-future-of-coastal-protection/.

Sue-rong chen,”The Study of Fishery Ecology in Chiku lagoon”(1999)

“East Hampton Town Attorney’s O ce. Fire Island to Montauk Point (FIMP) Project Overview. The Town of East Hampton, n.d. https://ehamptonny.gov/ DocumentCenter/View/19276/ FIMP-Overview?bidId=.”

“FAO Fisheries & Aquaculture.” Accessed July 17, 2025. https://www.fao.org/fishery/en/geartype/202/ en.

“FAO: Production.” Accessed July 17, 2025. https:// www.fao.org/fishery/a ris/species-profiles/milkfish/ production/en/?utm.

“Hapa Nets for Fingerling.” Accessed July 17, 2025. https://e-catalogs.taat-africa.org/gov/technologies/ hapa-nets-for-fingerling.

“Marker Wadden.” EcoShape - EN, n.d. Accessed July 18, 2025. https://www.ecoshape.org/en/cases/ marker-wadden/.

Natuurmonumenten. ‘Overnachten op Marker Wadden’. Accessed 17 September 2025. https:// www.natuurmonumenten.nl/natuurgebieden/ marker-wadden/varen/ overnachten-op-marker-wadden.

“Proceedings of the Regional Workshop on Milkfish Culture Development in the South Pacific.” Accessed July 17, 2025. https://www.fao.org/4/ ac282e/AC282E03.htm?

“Sand Motor - Delfland.” EcoShape - EN, n.d. Accessed July 18, 2025. https://www.ecoshape.org/ en/cases/ sand-nourishment-sand-engine-delfland-northsea-nl/.

“SEED PRODUCTION.” Accessed July 17, 2025. https://www.fao.org/4/ac182e/AC182E01.htm?

“YouTube’. Accessed 18 July 2025. https://www. youtube.com/watch?v=mVyWf129Oqs.”

“上下游新聞’. 13 November 2024. https://www. newsmarket.com.tw/taiwan-vietnam-oyster/ch03/. 台江國家公園機關入口網站. ‘荷治時期的台江’. 13 March 2020. http://www.tjnp.gov.tw/Encyclopedias_ Content.aspx?n=557&s=251162.

吳銘志,”Study on Factors Influencing Changes in the Ecological Health of Coastal Wetland Environments”(2010) 影響海岸型濕地生態環境健康度 變化因子之研究 研究成果報告

雲嘉南濱海國家風景區. ‘七股潟湖’. 網站資訊. 雲嘉

Methods

This chapter focuses on the development of a research framework that links material experimentation with coastal landscape dynamics. Beginning with mapping exercises, we establish a spatial understanding of deposition, erosion, and state interventions in Qigu Lagoon, identifying zones of vulnerability and opportunity for future design interventions. Building on local practices in which discarded oyster shells are used to stabilise sandbars, we investigate the circularity of oyster-shell materials and their potential transformation into composite systems. Through a series of laboratory tests, from baseline mixes to targeted recipes, the experiments highlight porosity, activity, and strength as key parameters.

From this material foundation, the research advances toward the concept of jamming, deploying loose oyster-shell modules as adaptive, interlocking structures that absorb and redistribute forces. The jamming strategy is tested both digitally, through simulations of sand transport dynamics, and physically, through stacking, density, and morphology experiments. These investigations aim to translate an observed vernacular method into a systematic design approach that merges ecological logic with architectural performance, ultimately leading toward scalable modules that protect the sandbar while engaging local economies and practices.

Fig. 1. Illustration of suspended rack oyster farming

Methodology

2.1 Overall Framework

Our research uses a mixed digital and physical material approach. Given the project’s engagement with a range of ecologies: from o shore underwater zones to onshore and inland areas, our methodology is tailored to support location-specific planning strategies. We adopt a mixed-method approach that integrates physical bench tests, digital simulations, and material experiments.

Our workflow begins with bench tests and sandbox experiments, which o er intuitive insights into morphodynamical behaviour and material interaction. These are then translated into digital simulations, such as sediment-transport algorithms that allow for broader control of variables and generative design iteration. In parallel, material experimentation helps uncover the performance limits and ecological behaviours of locally sourced materials like riparian clay, oyster shells, and sand mixtures.

These three modes of experimentation progress concurrently, with each informing and refining the others and outlining areas of constraints and opportunities. Following an initial phase of research and data collection on the broader context, we developed a set of physical and digital toolkits. These toolkits serve as the foundation for designing with multiple objectives in mind.

2.2 Digital Simulation Toolkit

2.2.1 Sand-Transport Simulation

Sediment transport, deposition, and erosion occur through interactions between waves, topography, and built structures. One of the aims of this project is to predict and evaluate these processes in order to guide the design and management of coastal structures. For this purpose, we developed a simulation model to forecast sediment deposition and erosion. Wave behavior was modeled using Houdini’s FLIP (Fluid Implicit Particle) solver1, which combines particle and volume methods to simulate fluid dynamics.

2.2.2

Machine Learning Model

To design an o shore platform that serves as the medium for sediment transport, we established an inverse design workflow supported by machine learning. In this workflow, Python was used for RGB color analysis, the LunchBox ML2 component in Grasshopper3 was employed to construct the machine learning model, and Houdini was applied to simulate sediment transport. The Grasshopper plugin Wallacei4 was further integrated to optimize platform geometry through multi-objective optimization.

2.2.3 Houdini Stacking Experiment

In developing the platform modules, stackability was considered as a design criterion. Because the design employed jamming structures, stackability was measured by dropping multiple modules vertically onto the ground and evaluating how they accumulated. This experiment was carried out using rigid body simulation in Houdini, while additional structural analysis of the stacked modules was performed with the FlexHopper5 plugin in Grasshopper.

2.2.4

Structural Simulation Karamba

Structural stability also served as a central design criterion, both in determining the geometry of the modules and in shaping the walls of the sandbar residences. These analyses were conducted using the Karamba3D6 plugin in Grasshopper.

2.2.5

Planning Experiments

Urban and architectural planning on the sandbar, including the layout of networks, residential geometries, and pathways, was carried out in Grasshopper. Multi-objective optimization with genetic algorithms was applied through Wallacei to balance performance criteria in the design.

2.2.6

Funicular Shell

In the production area of the sandbar, a shell structure was introduced. The shell was based on a funicular surface designed for pure compression. For form-finding, RhinoVault7 was used to generate forms by thrust network analysis from skeleton line geometries. This process produced both form and force diagrams, which were iteratively adjusted to achieve stable and e cient shell structures.

1 SideFX, Houdini, version 20.5.487 (Toronto: SideFX, 2025), https://www.sidefx. com/

2 Nate Miller and David Stasiuk, LunchBox ML, version 2025.5.5.0 (Proving Ground, May 5, 2025), https://apps.provingground.io/docs/lunchbox-documentation/ lunchbox-ml/

3 Robert McNeel & Associates, Grasshopper, included with Rhinoceros 7 (Seattle, WA: Robert McNeel & Associates, 2021), https://www.grasshopper3d.com/

4 Mohammed Makki, Milad Showkatbakhsh, and Yutao Song, Wallacei, version2.7( Wallacei, 2022), https://www.wallacei.com/

5 Benjamin Felbrich, FlexHopper, version 1.1.2 (Rhino 6/Grasshopper 1.0.0076, 64-bit, November 29, 2019), https://github.com/HeinzBenjamin/FlexCLI

6 Christian Willemse and Martin Liebenberg, Karamba3D, version 3.1.50730 (Vienna: Karamba3D, July 30, 2025), https://www.karamba3d.com/

7 Tom Van Mele and Juney Lee, COMPAS RhinoVAULT: Funicular Form Finding for Rhinoceros (2024), https://github.com/BlockResearchGroup/compas-RV

2.3 Physical Experimentation Toolkit

2.3.1. Sandbox

To investigate the morphodynamic behaviour of sediment under wave influence, a scaled-down sandbox test environment was constructed to approximate the physical processes characteristic of dynamic coastal zones such as the Qigu Lagoon. The sandbox tank measures 112.5 cm in length and 30 cm in depth and is lined with a fine grid mesh to enable spatial tracking of sediment displacement. A servo-powered wave-maker is mounted at one end of the tank, comprising an Arduino-controlled flap mechanism that allows programmable control over wave frequency and amplitude, thereby enabling the simulation of varying energy inputs.

This experimental setup draws methodological inspiration from established laboratory flume studies, particularly the work of Tanaka et al., who employed a large-scale wave flume to examine sandbar formation in relation to wave conditions and sediment properties. While their flume spanned over 11.3 meters and incorporated advanced instrumentation such as profilers and wave gauges, the current setup is adapted for small-scale, iterative prototyping and real-time material observation.

The sandbox is employed to evaluate sediment transport under oscillatory wave action, study crest formation and equilibrium bar morphology over time, and compare the performance of varied obstacle geometries and underwater assembly logics in either facilitating or resisting sediment displacement.

2.3.3. Material Tests

To investigate the mechanical and hydrodynamic behaviour of the targeted material mixes, two complementary test set-ups were employed. For the compressive strength tests, material cubes were placed on a flat platform and subjected to incremental loading using calibrated weights (10 kg, 5 kg, 2.5 kg), allowing controlled measurement of deformation and failure thresholds. This simple stack-loading method provided a repeatable means to evaluate how variations in mix composition influenced structural capacity under pure compression. For the drag tests, cylindrical samples of the material were released into transparent water-filled jars arranged in sequence.

The controlled drop allowed sinking velocity to be observed directly, providing insights into how surface roughness, density, and permeability a ected hydrodynamic resistance. The transparent set-up ensured that surface interactions, bubble release, and settling behaviours could be clearly documented and compared across di erent mix types.

To investigate the principles of jamming, a simple but controlled test apparatus was constructed. A flat wooden base provided the reference surface, onto which a hollow aluminium cylinder was mounted vertically to confine the material. A central metal rod was introduced through the cylinder, functioning as a guide to ensure consistent alignment during loading and compaction. Using this apparatus, di erent module morphologies (4-leg, 6-leg, 8-leg) and raw oyster shells could be tested under repeatable conditions, allowing comparative insights into their jamming behaviour.

1 Hitoshi Tanaka, Tu Trong Nguyen, and Naohiro Wada, “LABORATORY STUDY of SAND BAR DEVELOPMENT at a RIVER ENTRANCE,” Proceedings of XXXI IAHR Congress, Pp.3778-3787, 2005., January 1, 2005

2 Self-Assembly Lab, MIT, “Modular and Morphable Jamming,” last modified August 10, 2025, https://selfassemblylab.mit.edu/modular-and-morphable-jamming.

Fig.4. Jamming Test Apparatus
Fig.3. Sandbox with Wave-Maker
Fig.5. Material Drag Testing Apparatus
Fig.2. Material Compression Testing Apparatus
2.3.2 Jamming

2.4 Assembly Logics and Fabrication

2.4.1. Underwater Jamming

To investigate how modular geometries behave under submerged conditions, an underwater box apparatus was constructed. The transparent tank provided a controlled environment where visibility of aggregation and settlement could be carefully observed and documented. Acrylic modules, each composed of two U-shaped elements joined orthogonally, were selected for their lightweight, rigid properties and clarity, enabling both direct observation and repeatable testing. These modules were randomly released into the tank, allowing them to settle naturally and demonstrate emergent behaviours of aggregation without external manipulation. a transparent underwater box was essential to isolate and observe phenomena that are otherwise obscured in situ: buoyancy-driven alignment, accidental interlocking, and mound-like formations resulting from repeated collisions. These controlled trials thus form a preliminary step in testing jamming.

2.4.2. Reusable Formwork

To explore fabrication strategies for modular casting, polypropylene sheets were selected as a testing material due to their flexibility, durability, and resistance to moisture. The sheets were cut with serrated edges that allowed them to interlock, forming a stable mould without the need for adhesives or fasteners. This approach enabled repeated assembly and disassembly, positioning the formwork as a reusable system rather than a singleuse waste product.

2.4.3. 3D Printing Formwork

To investigate the feasibility of assembling interlocking shells, a scaled apparatus was developed using 3D-printed formwork as a temporary sca old. The formwork provided the necessary curvature and support for arranging modules into a funicular geometry, allowing their interlocking behaviour to be observed under compression. This set-up allowed us to rapidly test the principle of topological interlocking under compression

1 Wang, Ziqi, et al. “Design and Structural Optimization of Topological Interlocking Assemblies.” ACM Transactions on Graphics, vol. 38, no. 6, 31 Dec. 2019, pp. 1–13, https://doi.org/10.1145/3355089.3356489. Accessed 12 May 2022.

Fig.8. 3D Printed Formwork for Funicular Shell
Fig. 7. Polypropelene Formwork
Fig. 6. Underwater Jamming Apparatus

2.5 Material Experimentation Tests

Material experimentation must address multiple interlinked concerns, beginning with the reusability of formwork for iterative casting. A modular and reconfigurable casting system is essential to streamline production while enabling variation in surface morphology. The primary focus is on developing oyster shell-based composites with varying ratios of fine and coarse aggregates.

These mixes must respond to site-specific demands across the section, which includes submerged, intertidal and onshore zones. A matrix integrated into the sectional design will guide the alignment between performance and material requirements, helping establish a gradient in porosity, roughness, strength and density. (see Fig.X) Key agents influencing material design include long-term water exposure, erosion from tides and ecological interaction through biological colonisation. The units must exhibit su cient mechanical resilience o shore while facilitating the growth of algae and microorganisms underwater. Parameters such as buoyancy and density will be fine-tuned through a porosity-weight logic to optimise both structural behaviour and ecological performance.

Early-stage prototyping will test erosion resistance and stability within a wave simulation sandbox. These tests, combined with morphological adaptations, will help determine the ideal composite for each location within the system. Failure analysis will further inform thresholds for mechanical endurance, ensuring the units can withstand water impact and environmental loading.

Listed below are a few bench tests that can guide the testing of samples after mixing to achieve the desired performance.

For Mechanical Strength

Units deployed in o shore conditions must exhibit su cient load-bearing capacity. Mechanical testing will follow ISO 1920-4,1 using cube specimens, and will be subjected to uniaxial compression2 until failure. These tests will define critical thresholds for structural performance. They will also inform the design of morphologies intended to withstand wave action, pressure, and potential impact forces during deployment or over time.

For Density, Porosity and Voids

Bench-scale porosity and absorption testing will follow a simplified version of ASTM C642.3 Samples will be dehumidified, weighed (dry weight), and then fully immersed in water for 24 hours. Saturated and submerged weights will be taken to calculate absorption, apparent porosity and density using standard equations.

For Bio Receptivity

Material samples (7 cm × 7 cm × 7 cm) will be submerged in an aerated water tank for 30 to 60 days under controlled temperature conditions, simulating marine environments. Bio-colonisation will be assessed using imaging setups, such as digital photography, followed by surface coverage estimation

using image analysis software. Biomass accumulation can be approximated by gentle scraping and weighing of dried organic matter.

For Time-Based Degradation

Material degradation will be monitored by submerging samples in a sand box filled with water and measuring dry-weight loss weekly. After drying the samples at a constant temperature (75°C), the weight loss will be recorded using a precision scale. Visual documentation of surface wear and edge rounding will supplement quantitative data to assess the e ects of erosion and dissolution over time

1 “ISO 1920-4:2020,” ISO, accessed July 18, 2025, https://www.iso.org/ standard/72260.html.

2 Uniaxial compression is a type of mechanical test where a material sample is compressed along one axis only, typically between two flat plates, to measure how much force it can withstand before it deforms or breaks.

3 “Standard Test Method for Density, Absorption, and Voids in Hardened Concrete,” accessed July 18, 2025, https://store.astm.org/c0642-21.html.

Bibliography

Felbrich, Benjamin. FlexHopper, version 1.1.2 (Rhino 6/Grasshopper 1.0.0076, 64-bit, November 29, 2019). https://github.com/HeinzBenjamin/FlexCLI

Grasshopper. Robert McNeel & Associates. Included with Rhinoceros 7. Seattle, WA: Robert McNeel & Associates, 2021. https://www.grasshopper3d.com/

International Organization for Standardization (ISO). “ISO 1920-4:2020.” Accessed July 18, 2025. https:// www.iso.org/standard/72260.html

Karamba3D. Christian Willemse and Martin Liebenberg. Version 3.1.50730. Vienna: Karamba3D, July 30, 2025. https://www.karamba3d.com/

LunchBox ML. Nate Miller and David Stasiuk. Version 2025.5.5.0. Proving Ground, May 5, 2025. https://apps.provingground.io/docs/lunchbox-documentation/lunchbox-ml/

Makki, Mohammed, Milad Showkatbakhsh, and Yutao Song. Wallacei, version 2.7. Wallacei, 2022. https://www.wallacei.com/

Orsholits, A. et al. “Guided Irregular Cement Geometry Stacking Using Real-time Optimization and Motion Tracking.” Proceedings of the IASS Annual Symposium 2023.

SideFX. Houdini, version 20.5.487. Toronto: SideFX, 2025. https://www.sidefx.com/

“Standard Test Method for Density, Absorption, and Voids in Hardened Concrete.” Accessed July 18, 2025. https://store.astm.org/c0642-21.html

Van Mele, Tom, and Juney Lee. COMPAS RhinoVAULT: Funicular Form Finding for Rhinoceros. 2024. https://github.com/BlockResearchGroup/ compas-RV

Chapter 3 Bibliography

Bellei, Poliana, Isabel Torres, Runar Solstad, and Inês Flores-Colen. “Potential Use of Oyster Shell Waste in the Composition of Construction Composites: A Review.” Buildings 13, no. 6 (2023): 1546. https://doi.org/10.3390/buildings13061546

Block, Philippe, and John Ochsendorf. “Thrust Network Analysis: A New Methodology for ThreeDimensional Equilibrium.” Journal of the International Association for Shell and Spatial

Structures 48, no. 155 (December 2007).

FLOW-3D HYDRO. “Sediment Transport Webinar.” FLOW-3D. YouTube video. Published August 8, 2021. https://www.youtube.com/watch?v=QW5sFzprrus

Hsiao, Li-Lun (蕭立綸). “台南七股沙洲地形變遷研究 [A Study on the Geomorphic Change of the Sand Spits in Qigu, Tainan].” Master’s thesis, Department of Geography, National Kaohsiung Normal University, 2012.

Hung, Ching-Yuan (洪敬媛). “臺南網子寮沙洲近期地 形變動 [Recent Geomorphic Changes of the Sand Spits in Wangziliaw, Tainan].” Master’s thesis, Department of Geography, National Taiwan Normal University, 2009.

Li, Luming, Huiling Yu, Chengsheng Gui, et al. “Bio,marine Shell Powder,filled Jute Fabric/Epoxy Composites: Chemical, Combustion, and Mechanical Properties.” Polymer Composites 46, no. 6 (2025): 4853–62. https://doi.org/10.1002/ pc.28251 .

Ntom Nkotto, Ludovic Ivan, Lionel Jacques Ntamag, Frances Jane Manjeh Ma-A, Judicaël Sandjong Kanda, and Jordan Valdès Sontia Metekong. “Evaluation of Performances of Calcined Laterite and Oyster Shell Powder Based Blended Geopolymer Binders.” Journal of Civil Engineering and Construction 12, no. 2 (2023): 86–99. https:// doi.org/10.32732/jcec.2023.12.2.86

Research Development

This chapter focuses on the development of a research framework that links material experimentation with coastal landscape dynamics. Beginning with mapping exercises, we establish a spatial understanding of deposition, erosion, and state interventions in Qigu Lagoon, identifying zones of vulnerability and opportunity for future design interventions. Building on local practices in which discarded oyster shells are used to stabilise sandbars, we investigate the circularity of oyster-shell materials and their potential transformation into composite systems. Through a series of laboratory tests, from baseline mixes to targeted recipes, the experiments highlight porosity, activity, and strength as key parameters.

From this material foundation, the research advances toward the concept of jamming, deploying loose oyster-shell modules as adaptive, interlocking structures that absorb and redistribute forces. The jamming strategy is tested both digitally, through simulations of sand transport dynamics, and physically, through stacking, density, and morphology experiments. These investigations aim to translate an observed vernacular method into a systematic design approach that merges ecological logic with architectural performance, ultimately leading toward scalable modules that protect the sandbar while engaging local economies and practices.

Fig.1. The Floating Rack Oyster Farming technique.

Mapping

3.1 Coastal Landscape Dynamics

3.1.1 Land-Use Map

To establish a design foundation responsive to Qigu Lagoon’s shifting topography and hydrological variability, we initiated the research phase by generating a series of contextual condition maps. Firstly, the landuse map presents a detailed spatial distribution of settlement patterns, infrastructure, and functional zoning across the study area. The current urban footprint reveals a heterogeneous settlement structure, marked by a combination of dense urban grids in the northern sector and more dispersed, organic settlement patterns towards the southern and southwestern regions. The road network shows a clear hierarchical structure, with primary arterial routes bisecting the study area north–south and east–west, supplemented by a secondary network of local streets. Additionally, the map highlights the presence of navigable waterways, which intersect with built areas and agricultural zones, indicating potential for multimodal transport that integrates road and waterbased systems.1

Functionally, land parcels are categorised into five major classes: residential, agricultural, industrial, o ce/institutional, and archaeological protection zones. Preliminary analysis of land-use distribution shows that residential zones dominate, particularly in the central and northeastern sectors. Agricultural areas are concentrated in the southeastern and southwestern extents, while industrial clusters appear along major road arteries. Notably, archaeological protection zones, though limited in area, are interspersed within both urban and agricultural matrices, suggesting a layered cultural landscape requiring sensitive planning interventions. This distribution analysis, grounded in current land-use models, provides the basis for zoning reconfiguration, infrastructural integration, and ecological clustering strategies proposed in subsequent phases of the study.

3.1.2 5-Year Deposition Erosion Heat Map

The erosion–deposition map, spanning a five-year period from 2004 to 2009, reveals significant trends in seabed and barrier morphodynamics. The map illustrates net changes in bed-level elevation, indicating areas of sediment accretion (where the lagoon floor or barrier surface became shallower) and zones of erosion or dredging (where the substrate deepened). Notably, the most pronounced erosion and scour were concentrated around tidal inlets, highlighting these zones as dynamic conduits of sediment flux and hydrodynamic energy.

Along the ocean-facing barrier, the map reveals a pattern of alternating narrow bands of sediment gain and loss. This suggests ongoing barrier migration, indicative of an actively shifting coastal edge responding to wave action, tidal currents, and sediment availability.2

3.1.3. Government Intervention Survey Summer and Winter

A comparative analysis of two Digital Elevation Models (DEMs) of the Wangzailiao Sandbar— recorded in August 2011 (summer) and March 2012 (winter)—reveals the highly mobile and seasonally responsive nature of the coastal sediment system. These models, separated by approximately seven months, provide critical insight into the cyclical morphodynamic behaviour of the sandbar in response to varying hydrodynamic energy inputs across seasons.3

During the summer survey, characterized by

relatively calmer wave conditions, sediment transport patterns predominantly displayed onshore movement, resulting in the accretion of sand along the upper beach and foredune regions. This is visually represented by a wider distribution of higher-elevation warm colors on the seaward side of the dune line, indicating the accumulation of sediment and a corresponding rise in surface elevation. The summer profile shows a broad and elevated beachface, reflecting the e ect of gentle wave action depositing material inland over time.

By contrast, the winter survey reveals a marked erosional trend, associated with higher energy wave conditions and increased storm activity. The upper beach zone shows flattening and retreat, with sand redistributed o shore. This results in a narrower and lower-elevation beachface, evidencing the e ects of wave-induced scour and storm surge.

While erosion dominated the seaward profile, the back-beach defenses, including the dune front,

windbreak installations, and sandbags, appeared to maintain their structural integrity and positional stability over the monitoring period.

Overall, the findings confirm that the beachface is seasonally mobile, expanding and elevating during periods of summer accretion, and narrowing under winter wave impact. This dynamic equilibrium highlights the necessity of seasonally adaptive intervention strategies for coastal design.

1 Nguyen Dinh Dai,”Ecosystem Services and risk perception about sea level rise in Cigu Coastal Area”,International Master Program On Natural Hazards Mitigation and Management Master’s Thesis,National Cheng Kung University(2022)

2 Hsiao, Li-Lun (蕭立綸). 2012. “台南七股沙洲地形變遷研究 [A Study on the Geomorphic Change of the Sand Spits in Qigu, Tainan].” Master’s thesis, Department of Geography, National Kaohsiung Normal University 3Hung, Ching-Yuan (洪敬媛). 2009. “ [Recent Geomorphic Changes of the Sand Spits in Wangziliaw, Tainan].”

臺南網子寮沙洲近期地形變動Master’s thesis, Department of Geography, National Taiwan Normal University.

Fig. 2. 5-Year Deposition Erosion Heat Map (Illustrated by Authors based on sources)
Fig. 3. Government Intervention Survey Summer (Illustrated by Authors based on sources)
Fig. 4. Government Intervention Survey Winter (Illustrated by Authors based on sources)

3.1.4 Post-Typhoon Sediment Redistribution Analysis

The erosion–deposition map generated immediately following the typhoon event reveals a pronounced and nearly continuous belt of erosion along the ocean-facing side of the barrier island. This orangemarked zone indicates that the storm event stripped the summer berm and foreshore by up to 3 metres, primarily through intense wave action and shoreline retreat. The displaced sediment was subsequently transported landward and redeposited across the barrier surface, forming a complex system of washover sheets, fans, and terraces on the lagoon-facing side.The map visually confirms that much of the sediment lost from the seaward beach now resides as interior deposits, altering both the surface elevation and ecological substrate of the central lagoon system.1

3.1.5 Intervention and Opportunity Zones

By synthesising results from all the above maps, we identified Intervention Opportunity Zones, areas most suitable for ecological or architectural intervention. These were determined by overlapping criteria such as low erosion risk, sediment accretion potential, moderate tidal exposure, and oyster farming opportunities.

1 Hsiao, Li-Lun (蕭立綸). 2012. “台南七股沙洲地形變遷研究 [A Study on the Geomorphic Change of the Sand Spits in Qigu, Tainan].” Master’s thesis, Department of Geography, National

Fig. 5. Post-Typhoon Sediment Redistribution. Fig. 6. Government detailed Intervention 2005-2010 (Illustrated by Authors based on sources)
Kaohsiung Normal University

In response to the long-standing sedimentation and sandbar drifting problems in the Qigu Lagoon, the sandbar has gradually diminished in size and is no longer inhabitable. While people once lived on the sandbar, oyster farmers today must commute daily by boat between inland settlements and the lagoon to carry out tasks such as stringing oyster shells, cleaning, and harvesting.1

To address this spatial dilemma, we propose a landgrowing-based spatial generation strategy. This involves relocating existing oyster farming activities ,such as hatchery operations and shell cleaning, sorting, and post-harvest processing from inland and lagoon-edge locations to the sandbar and its surrounding waters, gradually guiding both human activity and architecture back onto the sandbar.

For the first phase of intervention, we selected a 5-kilometer stretch at the southern tip of the Wangziliao sandbar, near the lagoon inlet. This area is subject to strong interactions between tidal energy

and wave currents, which lead to significant sediment accumulation. As a result, it holds greater potential for rapid land expansion compared to more stagnant parts of the lagoon, making it an ideal site for testing land-growing strategies.

To define the future usable space, we overlaid multiple layers of landscape data, including records of government interventions, seasonal wave velocity and direction, sedimentation trends within the lagoon, tidal variations, and changes in sandbar elevation following typhoons. 2 By comparing and analysing these parameters, we identified a “potential architecture zone”, a dynamically forming yet habitable area.

To engage with such a highly dynamic and unstable terrain, we adopt a design approach rooted in adaptive landscape architecture and local construction practices. Architecture is no longer conceived as a static imposition on the land, but rather as a responsive and temporary structure that negotiates with the forces of the landscape.

Our study of the everyday building practices of Qigu’s local oyster farmers revealed that they frequently use discarded oyster shells to reinforce shorelines, build makeshift platforms, and pave their work routes. While these methods may appear rough and informal, they represent a primitive form of interlocking system, one that relies not on fixed structures or wet construction methods, but on the strategic accumulation of irregular materials to achieve landscape-based stability and usability.

1

2 洪敬媛,”台南網仔寮沙洲近期變動Recent Changes to Wangziliao Sandbar, Tainan”(2007)

Fig. 7. Site analysis
Phuah, Tony Leong-Keat, and Yang-Chi Chang. ‘Socioeconomic Adaptation to Geomorphological Change: An Empirical Study in Cigu Lagoon, Southwestern Coast of Taiwan’. Frontiers in Environmental Science 10 (January 2023).

3.2 Material Investigations

This chapter examines the design, processing and performance of bio-composite modules derived from oyster shells and marine biomass, developed as a material system for coastal resilience and architectural application. The investigation is situated within the ecological and industrial conditions of Qigu Lagoon, Taiwan, where discarded oyster shells and abundant sargassum present both an environmental challenge and an opportunity for material innovation. By addressing the transformation of waste streams into high value composites, the chapter situates itself at the intersection of ecological remediation, architectural fabrication and material science.

The research outlines the processing of oyster shells into graded aggregates and powders through thermal treatment and mechanical crushing, and the parallel conversion of sargassum into sodium alginate through alkaline extraction, centrifugation and drying. These two streams converge in the production of composite mixes supplemented with clay, wollastonite, perlite and in certain cases cement. A spectrum of formulations is developed to achieve target densities and compressive strengths for o shore, nearshore and onshore modules, ranging from low density porous units for marine colonisation to high strength architectural piers.

Alongside mix design the chapter explores the mechanical and environmental performance of these composites, including compressive strength, sinking velocity, drag, density and permeability. It addresses the optimisation of ratios to balance structural integrity with economy of raw materials, as well as the curing regimes required to minimise cracking and ensure durability. Consideration is also given to the industrial logistics of large scale production, including facility footprints, re-usable formwork and transport between mainland and satellite facilities on the sandbar.

Fig. 8. Oyster Shells, Oyster Shell Aggregates and Base Mix samples.

3.2.1 Oyster Shell : Material Circularity

For material design this proposal seeks to acknowledge and extend the circular use of oyster shells in oyster farming by developing a locally sourced material system vocabulary. Approximately 15 to 20 per cent of the economy of Qigu is dependent on oyster farming.1 Each year Taiwan discards nearly 169,000 tonnes of oyster shells of which 2,700 tonnes originate from the Tainan District.2 This research considers how a portion of this discarded material might be harnessed processed and reintroduced into the system through circular design.

The proposal employs this waste stream to develop an oyster shell biocomposite produced with minimal processing for the construction of sandbar structures. In this context the principles of the blue economy emphasise the regeneration of marine resources the creation of sustainable means of material production and the use of locally available waste as a basis for ecological innovation. Rather than extracting further resources the material system demonstrates how coastal industries may evolve through symbiotic relationships with their surrounding environment. The result is a low impact biomaterial mix that aligns with these principles.

This composite can be cast into modular units that function as obstacles to support both sedimentation and oyster hatching. Ultimately the system contributes back to the same ecosystem from which its core material the oyster shell is derived.

Oyster Shell Economics

Since the proposal examines the use of discarded oyster shells to produce coarse oyster aggregates and fine oyster shell powder, the two make up a vast portion of the biocomposite mixture being tested and proposed for casting the obstacle and architecture modules.

Starting with 10,000 g of whole oyster shells, it is possible to estimate the volume of the mix that can be cast after crushing. Based on prior data, each oyster shell produces between 12 and 18 g of crushed oyster aggregate and fine powder, with an average yield of approximately 15 g per shell.

This means that 10,000 g of shells corresponds to roughly 667 individual shells. Considering that a small module measuring 20 × 20 × 20 cm (8,000 cm³) requires 1,000 g of crushed oyster shells, and each shell contributes about 15 g, approximately 67 shells are needed to produce the crushed material for a single module. Consequently, the 670 shells available would su ce to cast around 10 small modules. Multiplying by the module volume, the total castable volume of the mix is therefore approximately 80,000 cm³.

1 ‘Oyster Shell Heat Pack Is an Eco-Friendly Cost Saver - Taipei Times’, 18 October 2020, https://www.taipeitimes.com/News/taiwan/ archives/2020/10/18/2003745382.

2 ibid

Fig. 9. Circularity in Production of Oyster Shell Biocomposite material mix for building structures.

3.2.2 Material Experiments

Introduction

The team will conduct experiments to repurpose locally available waste materials, such as discarded oyster shells, into biocomposites for constructing modules ranging from o shore obstacle structures to onshore architectural forms. The aim is to establish a continuous material system characterised by gradients in porosity, density, weight and mechanical strength, calibrated to meet the varying performance demands along the sectional stretch. This approach aspires not only to respond to environmental conditions with greater specificity but also to promote a transition away from conventional, non-biodegradable materials such as concrete, which remain prevalent in breakwater construction despite their ecological impact.

Oyster-Shell Composite Mix

Historically, the use of oyster shells in concrete has been a traditional practice among coastal communities, including those near the lagoon. Tabby concrete, a material dating back over two centuries, was produced by burning oyster shells to create lime, which was then mixed with sand, water and additional crushed shell to form a durable building material.1

The material tests proposed here seek to revive and reinterpret this tradition by introducing a systematic analysis of the behaviour of various derivatives of tabby concrete. This includes documenting their structural, ecological and morphological performance across a range of environmental conditions.

Mix 01 - Baseline Mix

The first batch served as baseline tests, using initial material mixes to investigate binder behaviour and overall material characteristics. These samples were evaluated primarily for mass retention to assess early-stage durability and stability.

1 古蹟修復技術-灰作材料性質與修復工法之研究’, 中華民國內政部建築研究所, 21 March 2020, http://www.abri.gov.tw/News_Content_Table. aspx?n=807&s=37560.

Fig. 10. Mix ingredients: Fine ground Oyster Powder, Medium Size Coarse Aggregates, Large Size Coarse Aggregate
Fig. 10b. Mix ingredients: Induced Performance in Mix

[ Coarse Aggregate: Oyster Shell Powder: Sodium Alginate Gel: Water ]

Density (g/ cm3 ) :

Surface Permeability: Water Loss(g) :

An index was developed to compare density, surface permeability, and water loss across samples.

Material Test Observations : Baseline Mix

Sample A:

The absence of coarse aggregate resulted in a weak structure and high moisture loss, despite a moderate total mass, indicating insu cient internal cohesion.

Sample B:

The addition of coarse aggregate improved mass retention and structural stability, demonstrating the importance of aggregate in limiting water loss.

Sample C:

Elevated fine oyster content combined with excessive water resulted in the greatest mass loss,

Sample D:

highlighting vulnerabilities associated with oversaturation and poor compaction.

This mix achieved the highest mass retention through maximum coarse content and reduced gel use. However, the internal binding was compromised, leading to significant brittleness due to aggregate dominance.

Sample E:

Balanced ratios of coarse and fine components with minimal water yielded stable and e cient results, suggesting an optimal blend for material economy and durability.

Conclusion

The inclusion of coarse aggregate significantly improves mass retention, while excess water and high fine aggregate content reduce structural eciency. Although these initial tests were e ective in establishing baseline material behaviours, subsequent experiments must adopt a more targeted approach to achieve specific performance criteria.

Fig. 11. Mix ingredients: Fine ground Oyster Powder, Medium Size Coarse Aggregates, Large Size Coarse Aggregate

3.2.3 Targeted Mix

Mix

02 - Targeted Mix

As outlined in Section 2.3.2, material experimentation must address multiple targeted concerns. The material mixes must be tailored to respond to the site-specific conditions present along the section, including submerged, intertidal and onshore zones. A matrix embedded within the sectional design will serve to align material performance with functional requirements, enabling the development of a gradient in porosity, surface roughness, mechanical strength and density (see Fig. X).

Current Understanding of Material Behaviour

Previous experiment observations suggest the following interdependencies:

Increased Porosity = Decreased Weight (due to reduced solid volume)

Increased Porosity = Increased Surface Roughness

Increased Surface Roughness = Enhanced Physical Bio-receptivity (supports algae, microbial and mollusc attachment)

To achieve targeted material properties, it is essential to identify the specific ingredient materials and mix proportions that contribute directly to the desired performance outcomes.

Revised Compositions

O shore Obstacle Units

The desired performance profile for these units is high porosity, low weight, moderate mechanical strength, and rough surfaces to allow algal growth at base.

With the original mix of crushed and fine oyster powder and sodium alginate gel as a binder, clay and jute fibres can be added for sti ness1 and crack resistance2 respectively.

Mid-Zone Dissipation + Load Distribution Units

This region’s units must feature medium porosity and moderate mechanical strength. While they should be morphologically designed to be self-weighted and self-locking for stable placement, materiality should assist with durability. Enhanced durability can be achieved through pozzolanic hardening.3 Additionally, anchoring can be facilitated by interlocking geometries or keyed joints embedded into the seabed.

Onshore Architectural Sub-structure

This section is to be designed as the foundation or footings for lightweight architectural systems. Thus, the materiality of the units here should support low porosity, high mechanical strength and controlled shrinkage over time. The material system needs to be a denser and durable composite. For the additional reinforcement, crushed glass and discarded brick fines can be reused.

Target Mix Observations

As mentioned earlier in Section 3.2.5, target values were refined based on digital tests for their o shore, nearshore, and onshore positions along the section. Based on prior research, clay was added as a filler and binder supplement, while straw was incorporated in the ‘B series’ to increase porosity. Conversely, straw was eliminated in on-shore mix to reduce material porosity for above-water structures.

The samples were initially left to dry at room temperature for 12 hours, followed by placement in a dehumidifier at 75 °C for seven to eight hours. Although the exposed surfaces appeared dry, the inner surfaces required further drying. Consequently, the samples were subjected to an additional drying cycle at 45°C for 4.5 hours, after which all samples were thoroughly dried.

1 Poliana Bellei et al., “Potential Use of Oyster Shell Waste in the Composition of Construction Composites: A Review,” Buildings 13, no. 6 (2023): 1546, https://doi.org/10.3390/buildings13061546.

2 Luming Li et al., “Bio-marine Shell Powder-filled Jute Fabric/Epoxy Composites: Chemical, Combustion, and Mechanical Properties,” Polymer Composites 46, no. 6 (2025): 4853–62, https://doi.org/10.1002/pc.28251.

3 Ludovic Ivan Ntom Nkotto et al., “Evaluation of Performances of Calcined Laterite and Oyster Shell Powder Based Blended Geopolymer Binders,” Journal of Civil Engineering and Construction 12, no. 2 (2023): 86–99, https:// doi.org/10.32732/jcec.2023.12.2.86.

[ Coarse Aggregate (12-15 mm) : Coarse Aggregate (1-5 mm) : Oyster Shell Powder : Clay : Sodium Alginate Gel : Straw : Water ]

[ Coarse Aggregate (12-15 mm) : Coarse Aggregate (1-5 mm) : Oyster Shell Powder : Clay : Sodium Alginate Gel : Straw : Water ]

For the load tests, discs weighing 2.5 kg, 5 kg, and 10 kg were applied successively to determine the load at which the samples began to exhibit signs of cracking or deformation.

The weights were then used to calculate the compressive strength of each sample. The compressive strength of nearly all samples fell within the range of 0.07 to 0.09 N/mm², which is very low and far from the desired values.

Fig. 16. Load Test for Sample O -shore Sample with 20 kg load.
Fig. 15. Load Test for Sample O -shore Sample with 17.5 kg load.
Fig. 17. Load Test Observations
Fig. 14. Load Test for Sample O -shore Sample with 2.5 kg load.
3.2.4 Load Test

3.2.5 Drag test

For the drag tests, six cylindrical jars were filled with equal volumes of water and each sample was dropped into the jars. The drag tests demonstrated that surface roughness, density, porosity, and weight of the samples influenced the drag experienced in water. These observations are helpful for mapping drag behaviour to other target values in the material matrix.

It was observed that samples with rougher surfaces or higher porosity values disrupt water flow, generating minor turbulence and thereby increasing drag. Samples displaying edge degradation, or softer edges, led to a more streamlined flow.

The relationship between porosity and drag has a greater impact on the overall performance of the mix. Higher porosity reduces drag after the initial resistance caused by trapped air is overcome.

On the other hand, denser mixes displace more water and consequently experience greater drag. Lighter blocks with lower density sink more slowly, whereas heavier blocks attain higher terminal velocities and pass through the water with relatively less drag.

Fig. 17. Drag Test to check density a ecting the sinking velocity of samples in water.

3.2.6 Comparitive Analysis

Observed compressive strengths were evaluated against benchmarks such as first class bricks and concrete. The experimental mixes performed poorly in this respect with results ranging between 0.07 and 0.09 N/mm² which remain far below the intended design targets.

Consequently the target strengths for each mix must be raised considerably in order to meet structural requirements as illustrated in the accompanying chart. (Fig. 20)

These results highlight a fundamental limitation in the current formulation of the bio composite. While the incorporation of oyster shell aggregate provides ecological value through the reuse of waste it does not on its own contribute su cient binding capacity to achieve structural resilience.

In conventional construction materials such as bricks and concrete compressive strengths typically exceed 10 N/mm² with higher grade concretes

reaching well above 20 N/mm².

Against these figures the experimental mixes are unable to support even moderate structural loads and therefore cannot be considered viable in their present state for applications exposed to mechanical stress or hydrodynamic forces.

Fig. 18 .Observed E ects of adding Straw to the Mixes.
Fig. 19. Observed Compressive Strengths of Sample Mixes.

3.2.7 Re-usable Formwork + Revised Mix

[ Coarse Aggregate (12 -15 mm) : Coarse Aggregate (1 -5 mm) : Oyster Shell Powder: Clay: Sodium

]

[ Coarse Aggregate (12 -15 mm) : Coarse Aggregate (1 -5 mm) : Oyster Shell Powder: Clay: Sodium Alginate Gel : Wollastonite : Cement : Water ]

35:20:15:10:10:8

35:20:15:10:10:4:8

Re-usable Formwork

Formwork is a critical yet often overlooked component of construction practice, accounting for an estimated 20 to 30 per cent of total construction waste. In conventional applications formwork is frequently single use, discarded once a pour is complete, and thereby contributes significantly to the environmental footprint of building activity.

Addressing this issue requires a shift in thinking from formwork as expendable sca olding to formwork as an integral and reusable tool within the construction process.

In response to this challenge we developed a reusable formwork system designed with serrated and detachable edges. The serrations enable a degree of flexibility in shaping and interlocking while also reducing the need for multiple bespoke moulds.

Detachable edges facilitate the disassembly of modules without damaging either the formwork or the cast component which allows the system to be employed repeatedly across multiple tests and fabrications. The design intention was not only to minimise waste but also to introduce a tool capable of accommodating a variety of geometries through modular adjustment.

By extending the lifespan of the formwork and reducing dependency on disposable alternatives the system aims to make even a small dent in the broader problem of construction waste. While modest in scale this intervention demonstrates the potential of design thinking to target ine ciencies in peripheral yet impactful aspects of building practice and to

Alginate Gel : Wollastonite : Water
Fig. 21. Re-usable formwork and Casting to scale.

[ Coarse Aggregate (1 -5 mm) : Oyster Shell Powder : Clay : Sodium Alginate Gel : Water : Wollastonite : Cement ]

Revised Mix

To better understand the performativity of the materials in relation to the morphology of the modules, an o shore pier module was cast to scale using reusable formwork. The mix composition was refined to achieve the target compressive strength, incorporating a pozzolanic additive and filler for this purpose.

The reusable formwork was constructed from polypropylene sheets with serrated edges that can be locked together to create a closed mould for casting. After casting and drying, the formwork can be opened by releasing the locked teeth of the serrated edges. Once the module is removed, the same formwork can be reused for casting additional modules. Following casting, the module, approximately 20 cm in height, weighed 1.5 kg when wet.

The module was left to dry at room temperature in open air for 24 hours. It was then placed in a dehumidifier at 75°C for seven to eight hours, but showed no visible

signs of drying. It was suspected that the polypropylene formwork may have contributed to moisture retention. After an additional 12 hours in open air, the module remained compacted but wet, with a mass of 1.5 kg. Upon opening the formwork, cracks developed along specific lines, as indicated in Image.17.

This experiment provided two key insights. Firstly, the module mix may require an extended setting and drying period, potentially supplemented by additional curing methods, such as damp curing, to achieve its full compressive strength. Secondly, the observed crack lines suggest areas where morphological modifications are necessary and indicate the need to refine the mix to mitigate cracking.

Final Mix

Two variations were prepared for testing. The first incorporated wollastonite as a pozzolanic additive while the second used a minimal quantity of cement to provide a comparison of structural and binding performance.

The results indicated that the wollastonite based mix is more suitable for lightweight modules while the cement amended mix performs better in heavier base modules where anchorage and resistance to loading are critical. It should also be emphasised that compressive strength cannot be assessed solely on the basis of material composition. The structural configuration particularly through the use of topological interlocking contributes significantly to the overall performance of the system.

This concept has been validated through testing with the physical prototype.

[ Coarse Aggregate (1 -5 mm) : Oyster Shell Powder : Clay : Sodium Alginate Gel : Water : Wollastonite : Cement ]
Fig. 22. Proposed Mix as per target and location on section.

10,000

10,000 g of crushed oyster shells = 80,000 cm³ of

The fabrication of oyster shell and sargassum-based composite modules follows a structured sequence of machine-based operations that ensures consistency, scalability and ecological suitability for coastal deployment.

Oyster Shell Processing

Discarded shells are first fed into a rotary kiln, where controlled heating dehumidifies the material and partially calcines calcium carbonate (CaCO3) into calcium oxide (CaO).

Once cooled the shells pass through a jaw crusher for primary reduction followed by a cone crusher to achieve graded coarse aggregates of 12–15 mm and 1–5 mm. Residual material is then transferred to a ball mill to produce fine oyster shell powders. These

three particle sizes, namely coarse aggregates, intermediate fractions and fine powders, are stockpiled for blending.

Sargassum Processing

Harvested sargassum is introduced into a steel stirring tank, where alkaline treatment liberates alginate polymers into solution. The suspension is clarified using a decanter centrifuge, which separates the alginate-rich extract from fibrous residues. Finally a tray dryer dehydrates the product into a stable sodium alginate powder that is later rehydrated for use as a bio-binder.

Composite Mixing and Casting

Prepared aggregates, oyster powders, clay, wollastonite, perlite, sodium alginate gel and where applicable cement are combined in a planetary mixer, selected for its capacity to handle viscous and heterogeneous mixes. The homogenised material is

discharged into re-usable formwork placed on a vibrating table that ensures consolidation and reduces entrapped air voids.

Modules are designed as repeatable units optimised for deployment across o shore, nearshore and onshore zones.

Curing

Filled formworks are transferred to a curing chamber, where temperature and humidity are regulated to prevent premature desiccation and microcracking. Depending on mix design curing may extend from seven to twenty-one days. Modules intended for ecological seeding can undergo brine curing to condition their porosity and encourage marine colonisation.

Fig. 23. Proposed Blueprint of the Oyster Bio-composite Material Production Cycle
1 crushed Oyster shell = 12-15g
g of crushed oyster shells = 80,000 cm³ of mix.
1 crushed Oyster shell = 12-15g
mix.

Facility Requirements

Large-scale production requires two complementary facilities. A mainland plant of approximately 1500 m² accommodates the kiln, crushers, ball mill, mixers and curing chambers, supported by truck-based logistics for clay, wollastonite, perlite and cement deliveries. A satellite facility of 600–1000 m² on the sandbar is equipped primarily for mixing, casting and curing, thereby reducing transport distances and enabling immediate o shore deployment.

Through this integration of mineral and biological processing the system valorises marine waste while producing robust graded composites tailored to environmental performance in Qigu Lagoon.

1 Platform Unit = 8-15 modules
Transport from Mainland to Site
Transport to Mainland Facility

3.3 Sediment Transport Dynamics Simulation

One of the primary objectives of this project is to understand how the interactions between waves, topography, and artificial structures govern the transportation, deposition, and erosion of sand. By predicting and evaluating the resulting geomorphological changes, we aim to inform the design and management strategies of such structures. To this end, we developed a simulation model capable of forecasting patterns of sand accumulation and erosion.

This section details the underlying physical computation methods and the process by which the simulation was implemented using the software Houdini. The purpose of the experiment is to clarify the relationship between the geometry of obstacles and the resulting patterns of sand deposition and erosion.

3.3.1 Controlled Sediment-Transport Algorithm Prediction Model

Sediment transport on the seabed can generally be classified into two categories: bed load, where sand moves by rolling or sliding along the sea floor, and suspended load, where sand particles are carried in suspension within the water column. In this section, we describe the physical principles and mathematical models used to compute each of these processes.

The bed load transport is calculated based on the following equation:

The suspended load is governed by the advection–di usion equation, expressed as(FLOW-3D HYDRO, 2021)¹:

In order to implement these equations into the simulation model, the constants D and E in the bed load equation were redefined based on empirical relationships. Additionally, the Stokes equation was used to convert these parameters into values corresponding to actual physical conditions as below.

C = suspended load, E - Erosion rate

And Stokes equation is used based on the following equation:

ρs - sediment density = 2650 kg/m3

ρw - water density = 1025kg/m3

g - gravity = 9.81m/s2,

d - sediment diameter = 0.2mm,

μ - viscosity = 10e-3Pa S

Erosion rate is calculated based on the following equation:

τb - Bottom shear stress, τcr - Critical shear stress

Using these formulations, we constructed a simulation model in Houdini. Wave dynamics were simulated using the FLIP (Fluid-Implicit Particle) solver, while the sand on the seabed was represented as a point cloud distributed across a grid. An important note regarding the relationship between the resolution of the sand representation and the physical model is as follows: to determine the local bed load transport, the velocity vector of the nearest wave particle to each grid point is extracted and used in the calculations.

For the partial di erential equations involved in the bed load model, we applied the finite di erence method, where the spatial step Δx is defined as the distance between the two nearest points on the grid. As a result, the resolution of the grid directly a ects the magnitude of simulated erosion and deposition, introducing a resolution-dependent error. This presents a trade-o between simulation accuracy and simulation time. In our implementation, the simulation was performed at a resolution of 635,209 pixels, with Δx=0.056.

For the suspended load model, the initial concentration field C was generated by applying random values to the elevation data, followed by normalisation and rescaling to approximate a Gaussian distribution. This allowed for a more realistic and spatially heterogeneous initial condition for suspended sediment concentration.

25. Suspended Load and Bed Load

1 FLOW-3D HYDRO. “Sediment Transport Webinar.” FLOW-3D. YouTube video,. Published August 8, 2021. https://www.youtube.com/watch?v=QW5sFzprrus.

Fig.

3.3.2 Macro / Micro Experiments

Simulating sand transport and deposition caused by wave action requires a wide range of input parameters. This section describes the specific conditions set for the simulation model, as well as the initial experimental results. The simulation model was divided into two categories. The first is the macro-scale simulation, which covers a wide area ranging from the o shore region to the formation of sandbars within the study site. The main purpose of this simulation is to evaluate the placement of large-scale structures and their resulting e ects.

The second is the micro-scale simulation, which focuses on the shapes of individual obstacles and their local influence on sediment behavior. To reduce computational complexity, both simulations were carried out within the physical dimensions of a virtual water tank. However, because the macro-scale simulation required a di erent spatial scale, parameters such as wave characteristics and gravitational acceleration were adjusted accordingly. For the micro-scale simulation, the input topography was based on cross-sectional profiles taken from a real coastal area.

The wave parameters were mainly generated using Houdini’s Ocean Wave component and were applied consistently in both simulation scales as follows:

Number of waves: 10; Wave size: 155.3 (micro) / 200 (macro); Wave speed: 7.62; O set: -59.6; Crest width: 50; Chop: 0.5; Radius: 30; Amplitude: 2 (micro) / 1 (macro).

Using these input parameters, we conducted initial experiments by placing di erent obstacle configurations within the domain. In these experiments, the density, width, module type, and angle of the obstacles were systematically varied to examine their influence on patterns of sand deposition and erosion.

3.4 Modules Experiments

This part of the research about underwater obstacles begins by questioning how oyster shells, in their raw crushed form, might behave under jamming. While initial trials revealed the limits of granular aggregation without interlocking, they also set the stage for exploring alternative geometries. Drawing from natural precedents such as spicules, the experiments shifted toward modules with inherent stacking capacity and potential for controlled aggregation underwater.

To systematically evaluate the performance of these geometries, three criteria were established: stackability, density and morphology, and structural capacity. Stackability determined whether the modules could form mound-like assemblies underwater without directed placement. Density and morphology were tested through a sediment transport erosion–deposition prediction model in Houdini, which visualised how modules influenced flows of sand and water.

This sequence of experiments highlights an iterative process: from the raw material logic of crushed shells, to the biologically informed geometries of spicules, to the refined selection of modules optimised for underwater jamming and sediment capture.

3.4.1 Oyster Shell Jamming

To establish a baseline, we referred to the SelfAssembly Lab, MIT’s rock jamming experiments, which demonstrated how irregular stones, when confined in a cylindrical mould and then released, could lock into stable self-supporting aggregates. This protocol served as our methodological template. Using the same apparatus — a cylindrical mould, central rod, and layered deposition with rope for confinement — we substituted the stones with crushed oyster shells. Unlike the rocks, however, the shells did not jam successfully. Their irregular and highly variable sizes prevented the formation of stable interlocking chains, while their curved and brittle fragments tended to slide and collapse once the mould was lifted. These trials revealed that raw oyster shells, in unprocessed granular form, lack the directional friction and geometric consistency required for granular jamming, underscoring the need for geometries that interlock.

1 Self-Assembly Lab, MIT, “Modular and Morphable Jamming,” last modified August 10, 2025, https://selfassemblylab.mit.edu/modular-and-morphable-jamming.

Fig. 28. Oyster Shell Jamming Experiment

Baseline test showing the rock jamming protocol developed at the Self-Assembly Lab, MIT
Replication of the jamming protocol with crushed oyster shells in place of rocks
Rope inserted within rock layers to demonstrate enhanced confinement during jamming
Rocks deposited in successive layers inside the mould to achieve interlocking
Cylinder removed to reveal a stable self-supporting jammed rock assembly
Rope layered between oyster shells in an attempt to replicate directional confinement
Continued filling of the cylinder with oyster shells.
Upon removing the mould, no stable jamming was achieved; shells collapsed

3.4.2 Spicules Physical Test

To investigate geometries more suitable for jamming, we developed modular spicules inspired by natural references of interlocking in sponges, fabricated in three variations: four-leg, six-leg, and eight-leg configurations. Each test began with a cylindrical container fixed on a wooden base, into which spicules were placed in successive layers.

After every layer, a compaction step was carried out by gently shaking and pressing the modules to encourage tighter interlocking. Once the container was filled with an equal number of spicules, the cylinder was carefully lifted upward, leaving the freestanding aggregated stack. To stabilise the assembly, a rope was tied around the structure, following the same procedure across all three geometries.

The resulting stacks demonstrated how leg number directly influenced the achievable height: four-leg spicules produced short, less stable stacks; six-leg spicules achieved the tallest vertical stacking, showing the strongest self-supporting potential; while eight-leg spicules formed medium-height, moderately stable columns. This confirmed that morphology, in particular, leg number which reflects surface contant is a key parameter in controlled jamming and aggregation.

Fig.30. 6 Leg Spicule
Fig. 29. 4 Leg Spicule
Fig. 32. Layers of four leg spicules placed in cylinderFig. 33. Initial filling of six leg spicules placed in cylinderFig. 34. Compaction done after every layer of eight leg spicule
Fig. 35. Short stack height achieved for four leg spiculeFig. 36. Tallest stack height achieved for six leg spiculeFig. 37. Medium stack height achieved for eight leg spicule
Fig.31. 8 Leg Spicule

3.4.3. Stackability - Simulation

To further examine stacking behaviour beyond physical tests, we conducted controlled simulations in Houdini. For each run, 30 modules were released into a virtual environment, covering three geometrical families – 4-leg, 6-leg, and 8-leg spicules. Within each family, leg length and leg thickness were systematically varied to evaluate how these parameters influenced aggregation and vertical stability.

The simulation allowed us to observe how modules behaved after free-fall, capturing di erences in mound formation, stacking height, and alignment under otherwise identical conditions. These tests demonstrated that stability was not only a function of the number of legs but also of their relative proportions, with certain configurations showing clear tendencies for vertical stacking while others dispersed into flatter mounds.

Fig. 38. [ Number of Legs, Leg Length, Leg Thickness ] (all in cms) 30 modules simulated for stacking behaviour in Houdini.

3.4.3 Stackability

- Aspect Ratio

Here, the focus of the study was on aspect ratio as a way of evaluating stacking stability across di erent spicule geometries. Aspect ratio in this context is defined as the relationship between the height of the resulting stack and its base width. A higher aspect ratio indicates taller, narrower stacks, which can be structurally unstable, while a lower aspect ratio corresponds to shorter, wider stacks with stronger contact distribution.

The results clearly showed that 4-leg spicules tended to spread wider with limited vertical rise, creating low aspect ratios, while 8-leg spicules produced sharper, taller stacks with potential instability under flow. The 6-leg spicules balanced between the two extremes, demonstrating both vertical coherence and lateral spread.

Based on these evaluations, we shortlisted six geometries in total—two from each family (4-, 6-, and 8-leg)—representing the most stable performers in terms of aspect ratio. This selection provided a focused set of modules for further testing.

Fig. 39. [ Number of Legs, Leg Length, Leg Thickness ] (all in cms) Six modules perform well in aspect ratio.

Density

Here, the focus was on testing how di erent obstacle packing densities influenced sediment deposition and erosion under water flow. Using our sediment deposition and prediction model, three densities of spicule assemblies were placed as underwater barriers, and the sediment transport model was run to visualize deposition (red) and erosion (grey).

The results clearly showed that too loose an arrangement allowed sediments to wash through, while overly dense packing created strong turbulence and uneven deposition. The medium-density configuration, however, encouraged the most uniform sand deposition behind the obstacle, suggesting that this balance of porosity and obstruction is optimal for sediment capture in underwater conditions.

Fig. 40. Short, medium and fully stacked density modules tested to understand how packing a ects sediment capture.

This evaluation focused on comparing the morphological performance of the shortlisted spicule modules under simulated sediment transport conditions. Six geometries, derived from the earlier stackability and aspect ratio tests, were arranged at medium density to act as underwater obstacles. Each setup was evaluated for its capacity to induce sediment deposition (red) and resist erosion (grey).

The results revealed that module morphology directly influences how flow is disrupted and where sediment accumulates. Among the tested geometries, the 6-leg spicule with dimensions [6 Leg, 55cm, 14cm] produced the highest deposition footprint, indicating that its form and branching provided optimal conditions for capturing and stabilizing sediments.

Fig. 41. [ Number of Legs, Leg Length, Leg Thickness ] (all in cms) From the six shortlisted modules, simulations are run at medium density packing to compare sediment capture.

Structural simulation is conducted to evaluate the load-bearing behavior of the shortlisted spicule modules under compressive stress. Using a rigidbody physics solver, each geometry was assembled into a packed obstacle and tested under axial loading conditions, with connections constrained to transmit only compressive forces in the z-direction.

The results show a clear distinction between the geometries: while all modules were able to distribute load to some extent, the two highlighted in blue ([4, 55, 14] and [6, 55, 14]) exhibited the most e cient performance. Both showed relatively low displacement values.

For underwater deployment, structural robustness is as important as sediment capture, only modules that can withstand compressive forces while retaining form are viable.

Fig. 42. Structural performance for all six chosen modules is tested using rigid body simulation.

This final evaluation stage synthesizes the outcomes of all three behavioral tests: stackability, sediment deposition, and structural stability, into a comparative framework. By running parallel assessments, we were able to identify which geometries consistently performed well across di erent criteria.

From this process, two modules emerged as the most e ective: a 6-leg geometry (55 cm length, 14 cm thickness) and a 4-leg geometry (70 cm length, 15 cm thickness). Both showed reliable stacking profiles, e cient sediment deposition patterns, and strong structural resistance under compressive loads.

Importantly, this stage also revealed that material density will also be the decisive factor, as it influences both deposition e ciency and load-bearing capacity

Fig. 43. [ Number of Legs, Leg Length, Leg Thickness ] (all in cms) Final selected modules for underwater obstacle jamming based on all the three evaluation criteria.

Bibliography

Felbrich, Benjamin. FlexHopper, version 1.1.2 (Rhino 6/Grasshopper 1.0.0076, 64-bit, November 29, 2019). https://github.com/HeinzBenjamin/FlexCLI

Grasshopper. Robert McNeel & Associates. Included with Rhinoceros 7. Seattle, WA: Robert McNeel & Associates, 2021. https://www.grasshopper3d.com/

International Organization for Standardization (ISO). “ISO 1920-4:2020.” Accessed July 18, 2025. https:// www.iso.org/standard/72260.html

Karamba3D. Christian Willemse and Martin Liebenberg. Version 3.1.50730. Vienna: Karamba3D, July 30, 2025. https://www.karamba3d.com/

LunchBox ML. Nate Miller and David Stasiuk. Version 2025.5.5.0. Proving Ground, May 5, 2025. https://apps.provingground.io/docs/lunchbox-documentation/lunchbox-ml/

Makki, Mohammed, Milad Showkatbakhsh, and Yutao Song. Wallacei, version 2.7. Wallacei, 2022. https://www.wallacei.com/

Orsholits, A. et al. “Guided Irregular Cement Geometry Stacking Using Real-time Optimization and Motion Tracking.” Proceedings of the IASS Annual Symposium 2023.

SideFX. Houdini, version 20.5.487. Toronto: SideFX, 2025. https://www.sidefx.com/

“Standard Test Method for Density, Absorption, and Voids in Hardened Concrete.” Accessed July 18, 2025. https://store.astm.org/c0642-21.html

Van Mele, Tom, and Juney Lee. COMPAS RhinoVAULT: Funicular Form Finding for Rhinoceros. 2024. https://github.com/BlockResearchGroup/ compas-RV

Chapter 3 Bibliography

Bellei, Poliana, Isabel Torres, Runar Solstad, and Inês Flores-Colen. “Potential Use of Oyster Shell Waste in the Composition of Construction Composites: A Review.” Buildings 13, no. 6 (2023): 1546. https://doi.org/10.3390/buildings13061546

Block, Philippe, and John Ochsendorf. “Thrust Network Analysis: A New Methodology for ThreeDimensional Equilibrium.” Journal of the International Association for Shell and Spatial

Structures 48, no. 155 (December 2007).

FLOW-3D HYDRO. “Sediment Transport Webinar.” FLOW-3D. YouTube video. Published August 8, 2021. https://www.youtube.com/watch?v=QW5sFzprrus

Hsiao, Li-Lun (蕭立綸). “台南七股沙洲地形變遷研究 [A Study on the Geomorphic Change of the Sand Spits in Qigu, Tainan].” Master’s thesis, Department of Geography, National Kaohsiung Normal University, 2012.

Hung, Ching-Yuan (洪敬媛). “臺南網子寮沙洲近期地 形變動 [Recent Geomorphic Changes of the Sand Spits in Wangziliaw, Tainan].” Master’s thesis, Department of Geography, National Taiwan Normal University, 2009.

Li, Luming, Huiling Yu, Chengsheng Gui, et al. “Bio,marine Shell Powder,filled Jute Fabric/Epoxy Composites: Chemical, Combustion, and Mechanical Properties.” Polymer Composites 46, no. 6 (2025): 4853–62. https://doi.org/10.1002/ pc.28251 .

Ntom Nkotto, Ludovic Ivan, Lionel Jacques Ntamag, Frances Jane Manjeh Ma-A, Judicaël Sandjong Kanda, and Jordan Valdès Sontia Metekong. “Evaluation of Performances of Calcined Laterite and Oyster Shell Powder Based Blended Geopolymer Binders.” Journal of Civil Engineering and Construction 12, no. 2 (2023): 86–99. https:// doi.org/10.32732/jcec.2023.12.2.86

Design Development

This chapter focuses on the development of a research framework that links material experimentation with coastal landscape dynamics. Beginning with mapping exercises, we establish a spatial understanding of deposition, erosion, and state interventions in Qigu Lagoon, identifying zones of vulnerability and opportunity for future design interventions. Building on local practices in which discarded oyster shells are used to stabilise sandbars, we investigate the circularity of oyster-shell materials and their potential transformation into composite systems. Through a series of laboratory tests, from baseline mixes to targeted recipes, the experiments highlight porosity, activity, and strength as key parameters.

From this material foundation, the research advances toward the concept of jamming, deploying loose oyster-shell modules as adaptive, interlocking structures that absorb and redistribute forces. The jamming strategy is tested both digitally, through simulations of sand transport dynamics, and physically, through stacking, density, and morphology experiments. These investigations aim to translate an observed vernacular method into a systematic design approach that merges ecological logic with architectural performance, ultimately leading toward scalable modules that protect the sandbar while engaging local economies and practices.

Fig. 1 Current Port Set-up, Qigu

Planning

4.1 Overall Framework

Our design development follows a multi-scalar framework, moving systematically from macro-scale interventions to micro-scale assemblies. It begins with the o shore system, where floating platforms are introduced as the first layer of intervention. These platforms not only anchor the hatchery functions but also initiate the process of sediment capture and obstacle assembly. Moving inward, the transitional mid-water system prepares the fragile ground of sandbars for occupation. Since sand inherently has low load-bearing capacity, this phase introduces geocells filled with sand to stabilize the substrate and enable future construction. Once the foundation strategy is in place, the focus shifts to the on-shore system, where residential and production architectures are detailed through a set of design rules. From here, the proposal transitions into planning experiments, simulating phase-wise settlement growth in response to sandbar accretion and increasing community size. At smaller scales, we zoom into unit-level design such as shells, walls, and their assemblies. The narrative then scales outward again, concluding with growth predictions that chart possible future expansions.

4.2 O -Shore : Floating Platform Design

The platform is designed to fulfill two primary functions: the control of sand transportation through wave dynamics, and the provision of conditions suitable for hatchery processes. In the following, we outline the programmatic objectives and the design methodology. Regarding the program, we propose a structure that regulates wave-induced sediment transport to deliberately induce sedimentation and erosion at targeted locations. The structure is conceived as a jamming assembly, resulting in a porous morphology.

Such porosity enhances the attachment of algae and nutrients, thereby creating favourable conditions for hatchery operations, which constitute a critical stage in oyster farming. Consequently, the platform integrates two objectives: modulating sediment transport and facilitating hatchery processes. The design methodology is organised into two phases: (1) the determination of the morphology of the structure, and (2) the evaluation of its performance. The latter explicitly addresses how sand transport occurs and how patterns of sedimentation and erosion are produced. However, this workflow reveals a significant limitation. The conventional sequence—morphology design followed by simulation-based evaluation— establishes a unidirectional process. This approach does not allow for the inverse inquiry of identifying the morphology that yields optimal performance. To address this limitation, we introduce a machine learning framework. Parameters defining the morphology of the platform are employed as input variables, while the outcomes of sediment transport are designated as output.

By training a predictive model on these relationships, we aim to establish a machine learning system capable of inferring sediment transport dynamics directly from morphology. This approach enables optimisation and, we hypothesise, allows for the determination of morphology that achieves the highest performance. variables.

4.2.1 Machine Learning Model

In our study, we sought to clarify the relationship between the morphological design of hatchery platforms and sediment transport. While simulations allowed us to predict sediment movement for a given geometry, they did not reveal which forms would be most e ective. To overcome this limitation, we developed a machine learning model calibrated to the site’s underwater topography. This model predicts patterns of erosion and deposition, thereby directly informing both the design of the platforms and the strategic aggregation of obstacles for land accretion.

4.2.2 Independent + Dependent Variables

1. Independent Variables

To generate the morphology of the structures, we created a program based on 21 reference points. These points were placed in a near-grid arrangement at depths between -1 m and -0.5 m, from which a subset was randomly selected. The chosen points were connected with lines, and an organic form was generated from these connections. Each point represented a binary choice—selected (1) or not selected (0)—resulting in a total of 21 inputs.

However, the larger the number of independent variables, the greater the dataset required. Preliminary estimates suggested that more than 210 datasets would be necessary. To reduce this demand, we introduced an encoding method that compresses three parameters into one. Specifically, for the binary sequence of 21 values, we grouped them in sets of three. To each element, we assigned weights of 1, 2, and 4, and then summed them. This sum became a single input parameter. Importantly, this encoding process is easily reversible, allowing straightforward decoding.

2. Dependent Variables

Before defining the dependent variables, we first established the target areas for erosion and deposition. Wave-flow analysis showed that most sediment movement occurred at the inlet and outlet. Based on this, our design objective was to induce erosion at the inlet and deposition along the shoreline. The output parameters were defined as the RGB values of pixels within zones 1–7, as shown in the reference figure.

Pixels closer to red indicated deposition, while those closer to white indicated erosion. This revealed that the G and B values were more relevant than the R value. Accordingly, the dependent variables were defined as the average G and B values of the pixels in each zone. Furthermore, based on our design objective, the G and B values were minimised in zone 7 and maximised in zones 1–6.

03. Points selected by Independent Variables
01. contour curves under the sea of heights : -1m and -0.5m
04. Connceting Points
02. Initial Points - 21 Independent Variables
05. Generating Geometry
06. Geometry for simulation
Fig.
Dependent Variable

4.2.3 Dataset

After defining the independent and dependent variables, we proceeded to construct the machine learning model. In total, approximately 70 datasets—about ten times the number of variables—were prepared. The geometries of each platform were generated in Grasshopper by randomly outputting a binary string of 21 points (0 or 1) and then creating geometries based on the positions of the points derived from those strings. Around 70 such geometries were produced in this manner. Each of these geometries was then simulated using a Houdini simulation model.

From the results, we extracted the data corresponding to the 360th frame in the time series and exported it as an image file. For each of these files, we conducted an analysis in Python, calculating the average G and B values for zones 1 through 7, which served as the output parameters. The results of this analysis were compiled into a CSV file and subsequently imported into Excel for data management. Finally, the dataset was reintroduced into Grasshopper, where we employed the LunchBox ML plugin to perform multivariate linear regression, thereby constructing the machine learning model.

Off-Shore System: Floating Platform Design

Off-Shore System: Floating Platform Design

[2,3,3,2,4,3,4] [4,2,4,5,1,6,3] [2,3,3,6,2,2,5]

[2,3,4,6,5,6,0] [0,3,2,4,4,5,4] [2,6,5,3,3,4,0]

[4,0,1,1,2,5,0] [6,3,1,2,2,4,6] [2,4,4,4,1,4,1]

[4,6,2,2,0,1,6] [6,2,0,0,0,6,2] [2,1,5,1,5,1,1]

[0,1,6,2,2,1,6] [4,5,5,1,3,0,1] [2,1,2,2,1,2,3]

Fig. 2. Dataset

[2,3,5,4,3,4,0]

[ 70 Platform Iterations, Deposition Erosion Model Output, RGB Values ]

[4,0,6,1,4,4,5] [2,1,0,4,4,0,2] [0,7,7,0,0,0,5] [2,3,2,2,6,3,6]

[0,4,2,4,0,0,3] [0,1,4,5,2,3,0] [0,4,3,6,1,3,3] [4,5,6,3,5,1,5] [2,4,6,4,5,6,3] [0,4,2,6,5,0,5] [2,5,0,5,3,1,3]

[0,3,2,5,4,4,5] [2,5,5,2,2,3,3] [0,7,6,2,6,5,4] [0,0,1,6,2,4,5] [0,2,6,2,2,5,2] [4,1,5,6,5,0,0] [2,5,1,1,4,1,5]

4.2.4 Final Output

Using the constructed machine learning model, we performed a multi-objective optimisation based on a genetic algorithm. The genepool consisted of the input parameters of the machine learning model, while the fitness criteria were defined as the seven output parameters predicted by the model. The optimisation aimed to maximise the values of ranges 1–6 and minimise the value of range 7. The resulting phenotypes were then subjected to cluster analysis. From these clusters, we selected phenotypes that represented feasible geometries, which were adopted as the final platform designs.

To evaluate the reliability of the machine learning model, we compared the predicted performance with the actual performance of the selected geometry. The measured values were [96, 106, 94, 100, 70, 46, 46], while the predicted values were [98, 106, 94, 94, 67, 51, 45]. Based on the mean absolute percentage error, the prediction accuracy was calculated to be 96.1%, demonstrating that the machine learning model provides a highly reliable basis for design optimization.

Fig. 3. Selected Platform geometry

4.2.5 Assembly Logic

The proposed platform has been conceived as an integral element within the oyster farming cycle, designed specifically to accommodate the delicate processes carried out in the hatchery phase. Its design is therefore shaped by both functional and ecological considerations, resulting in an architectural system that comprises two interdependent components: the hatchery structure itself, where oyster spawning takes place, and the infrastructural system that enables stable access and long-term resilience in the aquatic environment.

Both of these components are generated from an aggregation of hexagonal modules, which together provide not only structural e ciency and modular adaptability but also an aesthetic coherence that integrates seamlessly with the surrounding marine context. Each individual module is constructed using bamboo, a renewable and locally available material that forms the structural slab. Between the substructure and superstructure, buoyant materials are inserted, allowing each unit to achieve flotation and thereby enabling the platform as a whole to rest on

the surface of the water. The hatchery structure is organized concentrically around a central void. This void functions as a spatial and ecological core, accommodating oyster shells that are essential for the spawning process. The arrangement enhances both water circulation and accessibility, ensuring that conditions within the hatchery remain optimal for oyster reproduction. The infrastructural portion of the platform is designed to provide stability and resistance against dynamic environmental forces, particularly wave action nd tidal fluctuations. To achieve this, the system employs a network of jamming structures and counterweights integrated within the substructure. The construction process begins with the transportation of these jamming units by boat to the designated marine site, where they are assembled and deployed. The modules are fastened together using biodegradable ropes, such as hemp, which not only minimize ecological impact but also degrade naturally over time without leaving harmful residues. Weights are subsequently attached to the ropes and released into the sea, creating downward tension.

As the modules are tied, fastened, and tensioned, a post-tensioned jamming system is formed, resulting in a robust yet flexible substructure that can adapt to local hydrodynamic conditions. This substructure is characterized by a high degree of geometric porosity. Such porosity is not merely a structural byproduct but an intentional ecological design feature. The voids within the jamming network encourage the attachment of algae and the accumulation of nutrients, both of which serve as essential food sources for marine organisms. Furthermore, the porous configuration provides microhabitats for fish and other aquatic species, thereby enhancing local biodiversity. Over time, the integration of algae and other marine growth contributes to the formation of a living infrastructure, one that evolves in conjunction with its surrounding ecosystem. In this way, the platform not only serves as a functional hatchery for oyster farming but also acts as an ecological catalyst, fostering conditions that improve spawning e ciency while simultaneously enriching the broader marine habitat.

1. String themodules and anchors together.
2. Using the pulley drop them into the water and pull up tightly.
3. Add oyster hatchery units.

4.3 Transitional Mid-Water System

Our design development follows a multi-scalar framework, moving systematically from macro-scale interventions to micro-scale assemblies. It begins with the o shore system, where floating platforms are introduced as the first layer of intervention. These platforms not only anchor the hatchery functions but also initiate the process of sediment capture and obstacle assembly. Moving inward, the transitional mid-water system prepares the fragile ground of sandbars for occupation. Since sand inherently has low load-bearing capacity, this phase introduces geocells filled with sand to stabilize the substrate and enable future construction.

Once the foundation strategy is in place, the focus shifts to the on-shore system, where residential and production architectures are detailed through a set of design rules. From here, the proposal transitions into planning experiments, simulating phase-wise settlement growth in response to sandbar accretion and increasing community size. At smaller scales, we zoom into unit-level design such as shells, walls, and their assemblies. The narrative then scales outward again, concluding with growth predictions that chart possible future expansions.

4.3.1 O shore Hatchery Platform

The proposal begins with the construction of the first functional node: the o shore hatchery platform. The hatchery operates as a critical catalyst, introducing both ecological and economic activity to the site. Fishermen arrive here by boat to engage in spat collection, the process of cultivating young oyster larvae that naturally attach to substrates placed in the water. This initiates the ecological regeneration cycle, as oysters are essential for filtering water and stabilizing sediment.

The platform itself is built incrementally, using the chosen hexagonal module geometry derived from earlier sedimentation experiments. Its modular nature allows gradual expansion, ensuring that construction can begin at a small scale and grow supporting their livelihoods. The platform establishes the first point of access and exchange, linking human activity with the sandbar environment.

4.3.2 Nearshore Walkway

The system develops the near-shore walkway as a connective spine that links the o shore hatchery platform to the sandbar. Here, oyster shells are used in their raw, unprocessed form, directly filled to create structural supports for the walkway. This decision is both ecological and contextual, keeping the construction rooted in local material systems.

Over time, these porous supports also allow for marine growth, further strengthening the structure while integrating it into the surrounding ecology. Since the packed shells are not sealed, water can flow freely through them.

Fig. 6. As the walkway extends, jammed oyster shell columns are used as support, keeping the system local.
Fig. 5. Mid-Water System

8 On-shore, two layers of geocell filled with sand and crushed oyster shell are proposed for walkways, while four layers are used under architectural units.

7. Diagram illustrating zoom in detailed walkway

4.3.3 Walkways and Foundation Strategy

For the on-shore pedestrian walkway and foundation, the challenge is to address sand’s inherently low load-bearing capacity. To overcome this, we employ geocell, a cellular confinement system that are filled with locally available sand. Confinement drastically improves shear strength and bearing capacity compared to plain sand. According to research 1 on seashell and sand infill in geocells, the performance improves further when crushed oyster shells are added to the mix.

At an optimal ratio of 20% shell and 80% sand, the peak friction angle rises to ~30.5°, in contrast to ~19° for plain sand. The system adapts material thickness based on programmatic requirements: two geocell layers are su cient under lightweight pedestrian walkways, while four layers are deployed beneath architectural units.

1 Kolathayar, Sreevalsa, et al. “Performance Evaluation of Seashell and Sand as Infill Materials in HDPE and Coir Geocells.” Innovative Infrastructure Solutions, vol. 4, no. 1, 27 Feb. 2019, https://doi.org/10.1007/s41062-019-0203-6.

Fig.
Fig.
Fig. 9. Diagram illustrating the design strategy across

4.4.1 Design Rules

The on-shore architectural proposal begins with the migration of 150 fishermen, framed by o shore hatchery platforms and year-round production zones that anchor the settlement. Residential units are organised around these productive cores, following a spatial gradient from public to private as one moves from the sea toward the sandbar. This gradient is further reinforced by shifts in enclosure heights, mediating openness and intimacy. For the production facilities, we adopt funicular shell structures, as their pure compressive form allows for large column-free spans, accommodating both aquaculture work and, during periods of inactivity, collective public use. For the residential units, curved wall geometries are employed to optimise compressive force distribution, complemented by flexible and lightweight bamboo roofing. The domestic fabric is composed of three types of circular modules, extended and combined to form bu er zones that negotiate between shared and private domains.

Building on this framework, the project positions architecture as an adaptive mediator between ecological processes and human livelihood. By embedding aquaculture and dwelling into a continuous system, the proposal rejects the conventional separation of productive and domestic spaces, instead cultivating a hybrid environment where work and life interweave. The funicular shells serve not only as technical solutions for spanning but also as civic architectures, enabling seasonal flexibility and communal gathering. Similarly, the modular residences are designed to be incrementally expandable, allowing families to adjust their living arrangements in response to changing demographic or economic conditions.

The settlement itself evolves through distinct phases of growth. In the first stage, the community of 150 migrants establishes itself within the most stable zones of the original sandbar. As the sandbar

gradually widens and ecological conditions stabilise, the settlement expands to accommodate 150–300 residents, and eventually 300–500 in the final stage. Each phase is not conceived as rigid expansion but as an adaptive strategy to create semi-public, fluid spaces that encourage flexible use, collective exchange, and seasonal reconfiguration. These transitional spaces mirror the rhythms of the fishermen’s productive practices, o ering a spatial framework that evolves in tandem with both the lagoon’s shifting morphology and the community’s social and economic needs.

Fig. 10. Diagram illustrating

4.4.2 Production area Design

In structures founded on sandbars, construction can be carried out under more manageable conditions compared to underwater environments, while also allowing the use of locally available materials. The production area serves as the place where oyster shells are separated from their flesh. This space is only required temporarily during certain periods of the year, but it must accommodate a large number of workers simultaneously, thereby demanding a largespan structure. When not in use as a production area, the space functions as a public facility.

From this context, our research turned toward shell structures as a means of achieving structural eciency while minimizing material consumption. Bricks made from crushed oyster shells exhibit low tensile strength but high compressive strength, which led us to explore topological interlocking, a system that relies primarily on compression. Given the need to span large distances using only compressive forces, we further focused on the concept of funicular surfaces, which are geometries designed so that only

compressive forces act within their surface plane. By employing Thrust Network Analysis(Block, 2007)1, we are able to generate modules that appear three-dimensional yet can be fabricated from two-dimensional planes. This study is structured in three stages. First, we conducted a bench test applying topological interlocking to a funicular shell. Second, we developed overall form-finding methods: starting with a shell skeleton generated through unit-level spatial planning, we derived a funicular surface and reconfigured it into a topologically interlocked system. Finally, we designed the substructure and assembly methods necessary to realize the proposed structure.

1 Philippe Block and John Ochsendorf, “Thrust Network Analysis: A New Methodology for Three-Dimensional Equilibrium,” Journal of the International Association for Shell and Spatial Structures 48, no. 155 (December 2007).

4.4.3 Funicular shell bench test

As a bench test, we constructed a physical model by 3D-printing a funicular surface tessellated with topological interlocking modules, in order to verify whether the structure could remain stable without adhesives. First, as explained in the following section, we applied Thrust Network Analysis (TNA) to replace an arbitrary shell skeleton with a surface. This enabled form-finding of geometries that carry only pure compression. Similar to arches and domes, the modules resist loads through frictional forces, allowing the system to remain stable without bonding.

Consequently, the assembly can be disassembled and reconfigured as needed. Next, the obtained funicular surface was **tessellated with topological interlocking modules**. For this step, we employed a cubic tessellation: cubes were first generated along the xyz-axes, rotated 45° around the z-axis, and subsequently rotated 35.264° around the x-axis. This transformation produced an alternating arrangement of cubes. The tessellated cubes were then cut so that, when viewed from the y-axis, their upper and

lower faces formed triangular profiles. This process generated the module aggregation, which was subsequently mapped onto the shell surface. Finally, by planarizing the modules while preserving their contact surfaces, we obtained a model composed of planar polygonal units. Following this computational process, we fabricated the physical model. In practice, the edges required fixing. Although a pure funicular surface does not require edge constraints, we observed that applying topological interlocking at the boundaries alone was insu cient, as the modules failed to interlock properly.

This limitation suggests a need for further research. For the bench test, the edges were divided into four parts, each fixed separately, and connected to one another using magnets.

The result confirmed that the model could be assembled without adhesives. When the edge magnets were detached, the entire structure disassembled, demonstrating the anticipated behavior.

[Thrust Network Analysis ]

4.4.4 Unit - Funicular Shell Design

Funicular Shell : Production Units

Unit Level Spatial Distribution

[ Unit Level Spatial Plan ]

[ Unit Level Spatial Plan ]

[ Skeleton ]

[ Skeleton ]

[ Force Diagram ]

[ Force Diagram ]

Analysis

[Thrust Diagram ]

[Thrust Diagram ]

Fig. 13.
Fig. 14. Thrust Network

In this process, the overall form was designed by generating a funicular surface from a shell skeleton obtained through unit-level spatial planning, and subsequently reconstructing it with topological interlocking modules. Here, we specifically explain the method of generating a funicular surface from a shell skeleton using Thrust Network Analysis (TNA), and how this approach informed the design of the actual production areas. Thrust Network Analysis, proposed by Philippe Block, is a form-finding method that starts from a set of points defining the skeleton of a shell.

It generates two key diagrams: a form diagram, which defines the initial planar network of lines representing the geometry, and a force diagram, which encodes the magnitude and direction of horizontal forces in equilibrium. By iteratively recalculating these diagrams, a funicular surface can be obtained, ensuring that the resulting geometry carries only compressive forces within its surface plane. Using TNA, we derived funicular surfaces from the shell skeletons generated in the unit-level spatial planning stage.

To improve accuracy, we performed 100 iterations of generating and updating the form and force diagrams, resulting in more precise funicular shell geometries. Based on these surfaces, we applied the method described in the previous section to construct the shell using topological interlocking modules. As a result, eight production areas, as shown in the figure, were successfully designed.

Skeleton Form Diagram

Width , Height ]

Shell Structures – Module Details

4.4.5 Funicular Shell Structures : Module Details

[ Same Curvature, Same Module ]

(Byapproximatingtheshellwithregionsofidentical curvature,itcanbetessellatedwithidenticalmodules)

The approach here simplifies fabrication by approximating the shell surface into regions of identical curvature, allowing tessellation with repeated modules. Each module is defined by consistent parameters of length, width, and height, which are catalogued here with variations across di erent shell forms. By applying the principle of same curvature, same module, the system minimizes complexity in construction while enabling a diverse range of spatial configurations. This strategy ensures e ciency in production and assembly.

[ 40, 50, 40 ] [ 45, 46 , 46 ]

44, 44, 44 ]

54, 45, 45 ]

Fig. 15. [Length, Width, Height] (all units in cm) Every shell generated from skeleton, based on orientation
[ Shells ]

16. Detailed assembly of the largest-span shell, built from a four-layer geocell base, bamboo falsework, and 357 interlocked modules stabilized by post-tensioning.

To explain our assembly logic, we have detailed out the largest span structure in the system. The process begins from the ground up, with a four-layered geocell foundation filled with sand and crushed oyster shell. Over this, a bamboo base supported by post-tensioning provides anchorage and stability, locking the geocell foundation into place. A bamboo falsework is then installed as temporary sca olding.

Once the falsework is secured, perimeter modules are placed first, setting the structural outline, followed by the gradual placement of the remaining interlocked modules across the span. After the entire network of modules is assembled, the falsework is carefully removed, and the structure stands independently, held in position by post-tensioning forces at the base supports.

Throughout the project, we employ shells spanning between 4–9 m, depending on programmatic needs and site conditions. The largest shell requires 357 modules.

Fig.
4.4.6 Shell Assembly
Fig. 17. Re-usable and Flexible Formworks
Fig. 18. Work In progress: Casted modules

To validate the assembly of the shell at full scale, a 1:1 model was fabricated. The designed topological interlocking system was based on a subset of modules tested during the bench experiments, specifically to verify whether modules supported at the edges could remain stable solely through frictional forces.

For fabrication, the modules were cast in a flexible formwork using a mixture of oyster powder, sodium alginate, and cement. Initially, it was planned to fix the modules at the edges using post-tensioning passing through the modules; however, this method proved insu cient. Consequently, simple wooden supports were employed to stabilize the edges during assembly.

Fig. 20. Self-stable modules by topological interlocking.
Fig. 19. 1:1 Fabricated Physical prototype.

module geometries at 2.1 m height are tested under gravity load, the selected module balances displacement with stacking.

To select the residential curved wall module, we evaluated two parameters: (1) number of modules required to reach the target height and (2) structural stability measured as displacement under gravity. Three interlocking geometries were simulated at 2.1 m height: [10×21×5 cm] × 98, [20×21×12 cm] × 50, and [35×21×17 cm] × 24.

The results showed that the largest unit: 35×21×17 cmachieved the lowest maximum displacement while requiring the fewest modules (24) to reach 2.1 m. We therefore adopted this geometry for the wall system: it minimizes joints and fabrication e ort, accelerates on-site stacking, and delivers the best stability-topart-count ratio for our topological interlocking assembly.

Fig. 21. [Length, Width, Height] (all units in cm) Three wall

To explain our assembly logic for the residential unit, we began by detailing the largest module configuration. The base layer consists of geocells filled with crushed oyster shell and sand, above this, a bamboo pathway is laid to define circulation.

The primary enclosure is then formed with 168 topologically interlocked wall modules, achieving wall heights between 1.2 m and 2.1 m. These walls are stabilized through vertical post-tensioning, which ties the modules together and minimizes displacement under load.

The roof is constructed from bamboo culms forming a geodesic-like frame, which is then clad with woven bamboo panels for weather protection and ventilation. Openings for doors and light are integrated directly into this bamboo framework, making the system adaptable and breathable.

Fig. 22. Residential unit assembly combines geocell foundations, interlocked wall modules, and a flexible bamboo roof system.
4.4.9 Curved Wall Assembly

Planning Experiments

4.5

Sequential Networks Introduction

The logic of these planning experiments follows a macro-to-micro progression, where each phase builds from larger areas down to unit design. The process begins with the platform geometry, which establishes the foundational nodes for growth and first connection to sandbar and has already been discussed in earlier sections.

From this fixed geometry, Phase 01 sets up the land-growing and hatchery platform, serving both ecological and infrastructural roles. In Phase 02, the focus shifts to broader spatial distribution for around 150 people, laying out zoning logics that di erentiate between residential and productive areas. Once this distribution is set, the next step is about micro-level unit detailing: orienting production unit shells to optimize environmental exposure, calibrating residential wall heights for enclosure and openness, and weaving trees and pathways into the layout to reinforce circulation.

By Phase 03, the settlement expands to accommodate ~300 people, where predictive growth simulations test how units proliferate across the sandbar while maintaining connectivity and redundancy. Finally, Phase 04 scales the system further, projecting capacity for ~500 people. This phased logic ensures that planning is not a fixed singular masterplan but an iterative sca old, in which zoning, unit design, and population thresholds evolve alongside sandbar growth itself.

Planning Experiments : Sequential Networks

Fig. 23. Overall Framework for Planning Experiments

4.5.1 Spatial Distribution

In this first planning experiment, the goals are centered around testing how community layouts can balance connectivity, clustering, and shared use of space as the settlement begins to form.

Four key objectives frame this exploration: first, to increase the number of pathways between residences, ensuring circulation is smooth, second, to create centralized shared spaces that anchor community activity and support farming, gathering, or storage; third, to improve overall connectivity by linking di erent clusters into a coherent network rather than isolated pockets; and fourth, to position residential modules closer together, reducing infrastructural footprint.

Iterations of the planning experiment were tested for goals or fitness criterias through multi-objective optimisation.

1 More pathways between residence 3 Increased Connectivity

Closer Residential Modules 2 Centralised Shared Space

Fig. 24. Goals for Spatial Distribution
Closer Residential Modules
Fig. 25. Iteration 1- Gen 8 Ind 19
Fig. 26. Iteration 2- Gen 96 Ind 4

More pathways between residence

Increased Connectivity

Fig. 27. Iteration 3- Gen 78 Ind 11
Fig. 28. Iteration 4- Gen 97 Ind 13
Closer Residential Modules
Shared Space
Fig. 29. Iteration 5- Gen 99 Ind 17
Fig. 30. Iteration 6- Gen 99 Ind 19

Selected Outcome

The selected outcome demonstrates a network that strengthens the connection between residences and production while also creating identifiable nodes for research and post-harvest activities. This layout satisfies two of the four spatial goals: achieving stronger connectivity between modules and tighter clustering of residential units establishing a clear spatial framework.

[

4.5.2 Unit Level Spatial Planning

For the logics of unit-level design, there are six goalsset that directly help with comfort and social life of fishermen. The primary concern is solar performance: ensuring adequate insulation for health and productivity, while simultaneously increasing shaded areas to provide comfort in the intense lagoon climate.

Privacy emerges as another critical factor, with spatial separation and orientation strategies designed to minimize visual overlap between residences. Alongside these ecological integration is

emphasized by increasing the number of trees, both for shading and long-term landscape stabilization. Visual connectivity is also addressed by shared spaces that remain visible and accessible from individual residences. Finally, shell structures are optimized to increase span and usable area, providing flexible workspaces for production units that adapt to di erent functions.

Adequate Solar Insolation
Increase Number of trees
Increase Shaded Areas
View of Shared Spaces
Maximise Privacy
Maximise Area and Span
Fig. 32. Diagram illustrating the six main goals
Fig. 33. Iteration 1- Gen 9 Ind 3
Fig. 34. Iteration 2- Gen 54 Ind 15
Fig. 35. Iteration 3- Gen 78 Ind 11
Fig. 36. Iteration 4- Gen 97 Ind 13
Fig. 37. Iteration 5- Gen 99 Ind 17
Fig. 38. Iteration 6- Gen 99 Ind 19

The selected configuration organises shell structures, residential units, and tree plantations into a coherent network that balances environmental performance with social needs. By integrating higher tree density, the layout improves shade provision and microclimatic comfort, while reinforcing privacy between dwellings.

The clustering of shell units provides su cient compactness optimize land use, yet ensures that each residence maintains adequate solar access and orientation. Pathways are woven through this fabric, strengthening connectivity and linking residential areas with production and research hubs.

The evaluation of outcomes against the six defined goals shows that this arrangement best meets the requirements for shading, privacy, visibility of shared spaces, and expansion of unit span.

4.6. Growth Prediction

Sedimentation and Erosion Prediction : Sequential Growth Plan

Sedimentation and Erosion Prediction : Sequential Growth Plan

Fig. 40. Sandbar Growth in Stages

The overall urban plan for the sandbar is designed to accommodate approximately 500 residents. However, since the sandbar is currently shifting, it is not feasible to construct housing for all 500 residents at once. Therefore, the plan envisions stabilizing the sandbar’s sediment and allowing the coastline to evolve naturally under the influence of the hatchery platforms. In response to these changes, the urban development is organized into four sequential phases, enabling the settlement to grow progressively.

This section presents the overall sequential growth plan, with particular focus on Phase 02 and Phase 03, where we explain the design strategies for the arrangement of residential units and the pathway network.

4.6.1 Growth Plan

The sequential growth plan is organized into four distinct phases, each corresponding to the gradual transformation of the sandbar’s coastline as influenced by natural processes of sediment transport and deposition. Phase 01 begins with the installation of half of the hatchery platforms. These initial structures are not only intended to provide a foundation for ecological activity but also to serve as a catalyst for stabilizing the vulnerable coastline and encouraging the accumulation of sediment in targeted areas. By strategically placing only half of the platforms at this stage, the plan allows for a controlled introduction of infrastructural elements that can be monitored and adjusted as the shoreline begins to respond. Moving into Phase 02, the remaining hatchery platforms are installed, completing the full system. At this stage, the design relies heavily on the outcomes of the sediment transport simulation, particularly the conditions represented at frame 60 of the model. This snapshot of sediment accumulation becomes the baseline environmental condition for Phase 02. With this context established, the urban

design is initiated, accommodating an initial settlement of 150 residents. The planning in this phase follows the design strategies outlined in the previous section, ensuring that the emerging urban fabric is both ecologically responsive and spatially coherent. Phase 03 marks the next step in expansion, guided by the simulation results at frame 180. By this point, further sediment build-up has created new areas of stable ground, enabling the urban structure to grow. The settlement is expanded to house 300 residents, e ectively doubling the population from the previous phase.

This growth is realized through the addition of 150 new residential units and the extension of pathways, which weave into the previously established urban framework. The design approach ensures that the expanded settlement integrates seamlessly with existing structures, reinforcing both connectivity and resilience. Finally, Phase 04 represents the culmination of the sequential growth strategy. Based on the sediment conditions projected at frame 240, the

settlement evolves into a city capable of supporting 500 residents.

Building upon the spatial logic established in Phase 03, this phase introduces an additional 200 residential units along with a further extension of pathways. The expansion not only increases capacity but also strengthens the spatial hierarchy of the urban environment, ensuring that the city can support its larger population while maintaining its ecological and infrastructural balance.

2. Using the pulley drop them into the water and pull up tightly.

The design rules and fitness criteria applied in the configuration of Phase 03 and 04 are the same as those used in Spatial Distribution and Unit-Level Spatial Planning. Residential units are arranged into clusters, around which walls are extended to create semi-public spaces. At locations where these walls intersect pathways, their height is reduced to avoid physical conflicts. Care is also taken to prevent collisions between trees, residential units, and pathways. Each residential unit is provided with an opening to allow access.

Pathways are generated based on a Voronoi diagram derived from the positions of the residential units, and additional access paths are connected from the openings of the units to the nearest pathway. The fitness criteria are similarly consistent with those applied in the Spatial Distribution phase, aiming to maximize pathways between residences while promoting centralized shared spaces, maximize connectivity, and minimize the distance between residential modules.

4.6.3 Phase03 - Growth 01

Phase 03 builds upon the urban layout established in Phase 02. In both Phase 03 and Phase 04, the emphasis shifts towards refining the arrangement of buildings and expanding the pathway network. The design logic from Phase 02 is extended here, incorporating the established urban structure but with greater connectivity. One of the key strategies is to diversify access: while in Phase 02 the hatchery platforms were connected from a single side, Phase 03 introduces intentional connections from the opposite direction.

This approach not only improves accessibility to the hatchery platforms but also supports the overall growth of both the platforms and the surrounding urban fabric.

The selection of the final iteration was carried out through cluster analysis using k-means machine learning. Multiple iterations were generated during this process, and the final outcome was chosen based on the set goals. Among these goals, particular emphasis was placed on Goal 01: Increased Connectivity, as it ensures the expansion of public spaces across the settlement and strengthens overall integration of the city.

[Gen. 86 | Ind. 19]

[Gen. 80 | Ind. 19]

Selected Phenotype - [Gen. 96 | Ind. 16]

[Gen. 57 | Ind. 1]

Fig.42. Phenotypes selected by clustering

Phase 04 is designed based on the urban layouts developed in Phase 02 and Phase 03, applying the same algorithm that was used in Phase 03 to ensure consistency in the overall spatial logic and design methodology. At this stage, new urban development is planned on land that has formed as a result of sediment accumulation caused by the installation of the hatchery platforms. In other words, these areas were submerged under water during Phase 01 but have since emerged due to the progressive deposition of sand. By expanding the urban area toward the oshore side, this strategy not only links the growth of the city with the natural expansion of the sandbar but also contributes to stabilizing the coastline and reducing its susceptibility to erosion.

To illustrate the outcomes of this phase, the figure below presents multiple iterations that were extracted through cluster analysis. Among these alternatives, the final iteration selected for implementation is highlighted, representing the most contextually responsive and feasible solution for Phase 04.

[Gen.
Fig.43. Phenotypes selected by clustering

Bibliography

Phuah, Tony Leong-Keat, and Yang-Chi Chang. ‘Socioeconomic Adaptation to Geomorphological Change: An Empirical Study in Cigu Lagoon, Southwestern Coast of Taiwan’. Frontiers in Environmental Science 10 (January 2023).

洪敬媛,”台南網仔寮沙洲近期變動Recent Changes to Wangziliao Sandbar, Tainan”(2007)

‘Gramazio Kohler Research’. Accessed 15 August 2025. https://gramaziokohler.arch.ethz.ch/web/e/ projekte/364.html.

Cohen, Zach, et al. “Superjammed: Tunable and Morphable Spanning Structures through Granular Jamming.” Technology|Architecture + Design, vol. 4, no. 2, 2 July 2020, pp. 211–220, www.researchgate. net/publication/347217534_Superjammed_Tunable_ and_Morphable_Spanning_Structures_Through_ Granular_Jamming, https://doi.org/10.1080/2475144 8.2020.1804765.

Modular. “Self-Assembly Lab.” Self-Assembly Lab, 2019, selfassemblylab.mit.edu/modular-and-morphable-jamming. Accessed 15 Aug. 2025.

唐祖湘 (Tang, Zuxiang), “廢棄蚵殼妙用多 從發熱包 到貓砂、生食保鮮,” 微笑台灣,, accessed August 13, 2025, https://smiletaiwan.cw.com.tw/article/4829.

Design Proposal

The proposal begins with an initial group of around 150 fishermen, who arrive seasonally to establish the first hatchery platforms and temporary shelters. At this stage, activity is concentrated o shore deploying obstacle modules to slow currents, cultivating oyster spat in floating nurseries, and beginning small-scale farming. These early interventions anchor the ecological system while generating the first wave of economic activity. As productivity stabilizes, the community expands to around 300 people. Transitional walkways and mid-water platforms link the hatchery to the sandbar, improving access for farming and everyday use. Oyster stringing, harvesting, and small-scale processing take shape as core livelihood practices, while bamboo-roofed shelters o er lightweight, temporary habitation.

This phase establishes the sandbar as a seasonal ground for work and habitation, though still flexible enough to retreat before monsoon risks. The final stage projects the settlement growing towards 500 people, not simply by addition of shelters, but through landgrown growth prediction. Sedimentation and ecological accumulation around obstacle modules gradually extend the sandbar itself, providing new terrain for permanent clusters of production and residential units.

Fig.1. Illustration of design section
Fig.2. Illustration of design section

The section captures a gradient of activities that transition from o shore interventions to on-shore production and habitation. It begins with deploying obstacle modules in the tidal zone, which act as ecological anchors—slowing currents, stabilizing sediments, and creating conditions for marine growth. On these stabilized grounds, oyster farming takes place, with farmers cultivating spat across modular decks designed for access and maintenance.

As the oysters mature, they are brought closer to land for oyster stringing, where they are prepared for further growth and eventual harvest. Moving inland, the internal view reveals how lightweight residential and production enclosures integrate into this system. This culminates in the post-harvest stage, where oysters are processed, sorted, and packaged within vaulted modular shells that provide shaded, functional work environments.

5.2 Detailed Master Plan

Fig.3. Illustration of master plan

The proposed master plan outlines a spatial framework in which circulation remains flexible and adaptable, while private and public zones are articulated through the architecture of walls. These walls do more than divide space: they establish a hierarchy that safeguards security yet simultaneously blur boundaries to foster interaction and sociability.

At its core, the plan envisions an additive architecture that grows incrementally in response to collective needs rather than fixed prescriptions. Spaces can be expanded, contracted, or reconfigured, ensuring that the built environment evolves alongside the rhythms of community life. Equally, this system allows for collapse and reassembly elsewhere with the same set of components, underscoring a circular logic of reuse and mobility. In this way, the architecture is not static but dynamic, privileging adaptability, resilience, and communal agency over permanence.

5.3 Dynamic Seasonal Behaviour

5.3.1

User-based point of view

From the perspective of the fishermen, the seasonal cycle on the sandbar is not only a spatial strategy but a lived rhythm that organises work, dwelling, and mobility.

At the beginning of the cycle, families migrate to the sandbar in groups of about 150, assembling lightweight shelters that allow them to remain close to their rafts and production areas. By winter, the hatchery platforms and nurseries expand the working environment, securing the basis for aquaculture and enabling fishers to coordinate collective routines of tending fry, maintaining gear, and sharing spaces. In spring, raft farming draws them further into the lagoon, turning the sandbar into a hub where productive activity and community life converge.As the typhoon season approaches, however, the daily experience shifts from expansion to precaution. Roofs are disassembled, equipment is packed, and families retreat to the mainland. This withdrawal is not an interruption but a necessary adaptation, reducing risks while maintaining the possibility of return.

Over the years, as the sandbar widens and stabilises, the community scales from 150 to 300 and eventually 500 members. What emerges is not a rigid village but a flexible settlement whose semi-public spaces—formed in between work sheds, domestic units, and communal shelters—are continually redefined by the rhythms of fishing, farming, and seasonal movement. For the fishermen, this fluid cycle sustains their livelihood while providing resilience in the face of environmental change, turning habitation into an adaptive practice rather than a fixed condition.

Fig. 5.Fishermen’s seasonal migration and habitation
Fig.6. Fishermen’s seasonal migration and habitation timeline

5.4 Discussion

This dissertation set out to test how adaptive, locally grounded systems could make sandbar living viable. Through iterative design experiments, the project has traced a trajectory from o shore interventions to onshore production, and finally into scaled habitation. Yet, it also reveals critical gaps that invite further interrogation.

At the heart of the proposal lies a bias toward the underwater. The obstacle modules, oyster farming platforms, and shell jamming logics are developed with clarity, allowing the water to remain active as an agent of form. Onshore strategies, however, often appear as an extension rather than a fully generative system.

The proposal currently depends heavily on modular casting, geocell layering, and composite assemblies, which are technically sound but risk reducing the raw immediacy of oyster shells into industrialized fragments. More direct engagement with oyster shells in their unprocessed state could strengthen both the ecological authenticity and the material honesty of the system, avoiding over-dependence on engineered surrogates.

The material assemblies also invite critique.The geocell-sand-shell composites and the posttensioned bamboo structures are inventive, but they raise questions of craft and labor. How would these systems be assembled by fishermen with limited resources, and what forms of knowledge transfer are assumed? The lightweight tectonics of bamboo panels and falsework appear convincing on paper,

but require further research into durability under saltwater, storms, and cycles of dismantling and reuse. Similarly, while the shells’ ecological role is foregrounded, their long-term structural viability under compression, erosion, and water flow is still speculative.

A more rigorous inquiry into durability, maintenance, and the real labor of assembly—who builds, how long it takes, what knowledge is required—remains a necessary extension.

Socially, the project gestures toward habitation but leaves many questions unanswered. The diagrams show silhouettes farming, stringing oysters, or working in post-harvest units, yet the lived dimension of settlement—its governance, social negotiations, and cultural practices—is largely absent. How 500 people collectively inhabit a fragile sandbar ecosystem, and how architecture mediates between ecological cycles and social organization, is still unexplored. Without this layer, the project risks remaining a system of modules rather than a system of life.

This research, therefore, should be seen not as a resolved solution but as a platform for discussion— an architecture that deliberately remains incomplete so that it can continue to evolve with the cycles of land, water, and life it seeks to inhabit.This architecture is a proposition in process, a sca old for testing how ecology and economy might be interwoven on shifting ground.

Turn static files into dynamic content formats.

Create a flipbook
Issuu converts static files into: digital portfolios, online yearbooks, online catalogs, digital photo albums and more. Sign up and create your flipbook.