bulletin-officiel-numero-410-juin-2023-second-numero

Page 1

N° 410 – juin 2023 –Second numéro Mis en ligne le 3 juillet 2023
Département des Yvelines BULLETIN OFFICIEL

Sommaire

ACTES REGLEMENTAIRES DU DEPARTEMENT

DIRECTION

AD 2023-426 du 19 juin 2023

AD 2023-427 du 23 juin 2023

hors agglomération.

Arrêté temporaire. Réglementation de la circulation et du stationnement sur la D59 du PR 0+0000 au PR 1+0732 Verneuil sur Seine, Les Mureaux hors agglomération.

Arrêté temporaire. Réglementation de la circulation sur la D11 du PR 2+0800 au PR 5+0841 Fontenay le Fleury, Villepreux en et hors agglomération, la D12 du PR 0+0000 au PR 1+1000 Villepreux hors agglomération, le Chemin des Gravier Fontenay le Fleury voie communale, le Chemin du pont des Roches Fontenay le Fleury voie communale et l’Avenue du Val Joyeux Villepreux voie communale.

16

18

19

AD 2023-428 du 23 juin 2023

AD 2023-429 du 23 juin 2023

Arrêté temporaire. Réglementation de la circulation et du stationnement sur la RD 906 du PR 44+600 au PR 47+800 Saint Hilarion en et hors agglomération.

Arrêté temporaire. Réglementation de la circulation sur la RD112 du PR 3+550 au PR 3+650 Richebourg hors agglomération

22

24

DES AFFAIRES JURIDIQUES ET DES ASSEMBLEES numéro d’arrêté et date de signature Intitulé de l’arrêté Pages AD 2023-231 du 29 juin 2023 Délégation de signature au sein de la Direction des Affaires Juridiques et des Assemblées. 1
DES MOBILITES numéro d’arrêté et date de signature Intitulé de l’arrêté Pages AD 2023-421 du 20 juin 2023 Arrêté temporaire. Règlementation de la circulation et du stationnement sur la RD 191 du PR 68+000 au PR 68+800 Les Bréviaires hors agglomération. 8 AD 2023-422 du 16 juin 2023 Arrêté de la Mairie de Triel sur Seine portant restrictions temporaires de stationnement et de circulation pour la commémoration du 18 juin sur le rond-point Roger Bourdy Avenue de Poissy (D190) à Triel sur Seine. 10 AD 2023-423 du 16 juin 2023 Arrêté temporaire. Règlementation de la circulation sur la RD 34 du PR 7+700 au PR 8+000 Le Tremblay sur Mauldre hors agglomération. 12 AD 2023-424 du 16 juin 2023 Arrêté temporaire.
Mareil sur Mauldre hors agglomération. 14 AD 2023-425 du 19 juin 2023 Arrêté temporaire.
stationnement
Arnoult en Yvelines, Sonchamp
DIRECTION
Réglementation de la circulation et du stationnement sur la D 191 du PR 86+0310 au PR 88+0170 Montainville, Beynes,
Réglementation de la circulation et du
sur la RD 936 du PR 21+128 au PR 22+821 Saint

AD 2023-430 du 23 juin 2023

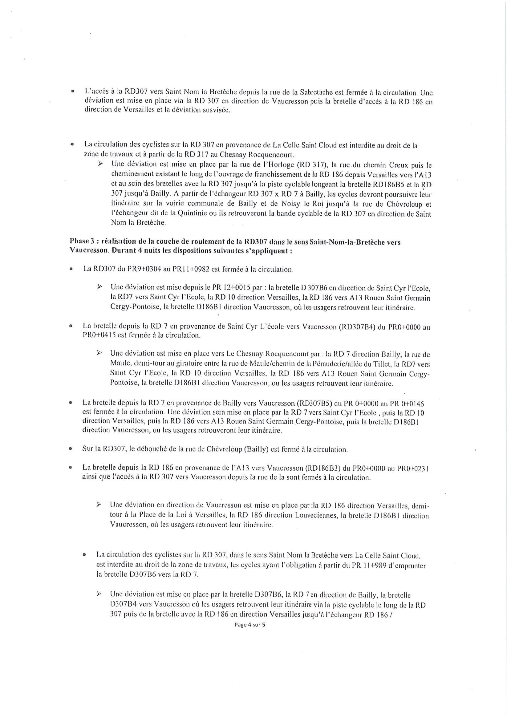
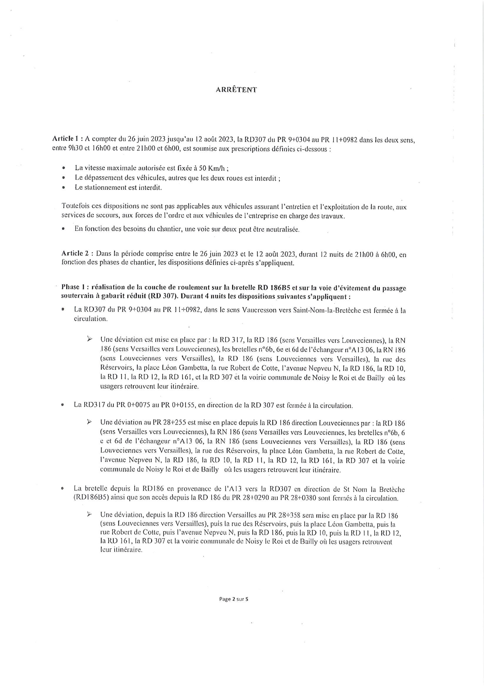
Arrêté temporaire. Réglementation de la circulation sur la RD 86 du PR 28 + 0290 au PR 28 + 0380, la RD 186B3 du PR0+0000 au PR0+0231, la RD 18685 du PR0+0000 au PR0 179 Le Chesnay Rocquencourt en agglomération , la RD307 du PR 9 + 0304 au PR 11 + 0982, la RD307S2 du PR9+0000 au PR9+0321, la RD307B3 du PR0+0OO0 au PR0+0I 10 La 307B4 du PR0+0000 au PR0+04 l 5 La RD307B5 du PR0+0000 au PR0+0146 Le Chesnay Rocquencourt, Bailly en et hors agglomération, la RD3l7 du PR 0+ 0075 au PR 0+ 0155 Le Chesnay Rocquencourt en agglomération

AD 2023-434 du 26 juin 2023

temporaire. Réglementation de la circulation sur la D89 du PR 14+0303 au PR 14+0380. Notre Dame de la Mer hors agglomération.

Réglementation de la circulation et du stationnement sur la RD41 du PR 2+000

AD 2023-442 du 28 juin 2023

AD 2023-443 du 30 juin 2023

temporaire. Réglementation de la circulation et du stationnement sur la RD72 du PR 5+552 au PR 6+750 La Celle Les Bordes en et hors agglomération.

Réglementation de la circulation sur la D91 au PR 2+0124 au PR 2+0245 et la bretelle de sortie n° 4a de l’échangeur de Versailles Château dans le cadre des travaux de reprise de la couche de roulement à Versailles sur la D 91 du 3 juillet au 21 juillet 2023.

AD 2023-449 du 30 juin 2023

Arrêté temporaire. Réglementation de la circulation sur la RD13 du PR 8+0452 au PR 8+0769 Maurepas Coignières en et hors agglomération, Chemin des Bruyères (voie communale) Chemin du Moulin à Vent (voie communale) Chemin de la Butte aux Chiens (voie communale), Maurepas hors agglomération.

26
Arrêté
32
Arrêté
au PR 2+485 Choisel, hors agglomération. 33 AD 2023-439 du 27 juin 2023 Arrêté temporaire. Réglementation de la circulation sur la D284 du PR 2+0487 au PR 2+1320 Saint Germain en Laye hors agglomération. 35 AD 2023-440 du 28 juin 2023 Arrêté temporaire. Réglementation
agglomération, la rue des Saules à Plaisir voie communale, la rue des Frênes à Plaisir voie communale, la rue René Lacoste à Elancourt voie communale et le Chemin de la Julienne à Elancourt voie communale. 37 AD 2023-441 du 28 juin 2023 Arrêté temporaire portant réglementation de la circulation et du stationnement sur la RD 149 du PR 0+000 au PR 1+036 Longvilliers hors agglomération. 42
AD 2023-435 du 26 juin 2023
temporaire.
de la circulation sur la D 58 du PR 14+1062 au PR 16+0469 Elancourt, Plaisir en et hors
44
Arrêté
46
51
numéro
signature Intitulé de
Modification
Orion
située
53
Modification
Polaris
59
DIRECTION SANTE
d’arrêté et date de
l’arrêté Pages AD 2023-431 du 16 juin 2023
de la micro-crèche dénommée « Babilou Bougival Leclerc 2
»
42 rue du Général Leclerc à Bougival.
AD 2023-432 du 16 juin 2023
de la micro-crèche dénommée Babilou Bougival Leclerc 1
» située 42 rue du Général Leclerc à Bougival.

Autorisation d’extension de capacité de 25 à 45 places du service d’accompagnement médico social pour adultes handicapées (SAMSAH)

« SAMSAH Œuvre Falret » sur la commune de Rambouillet vers le territoire Grand Versailles géré par l’association Œuvre Falret.

Changement de dénomination sociale de la SAS « Korian Les Lilas » en SAS « Résidence les Lilas », changement d’adresse du siège social et changement de dénomination de l’établissement d’hébergement pour personnes âgées dépendantes (EHPAD) dénommé « Korian Les Lilas » en « résidence Les Lilas ».

AD 2023-433 du 16 juin 2023 Modification de la micro-crèche dénommée « Les Explorateurs de Viroflay » située 36 avenue du Général Leclerc à Viroflay. 65 AD 2023-447 du 26 juin 2023 Création de la micro crèche « Les coloriés de Magny » située 44 rue de la Gerbe d’Or à Magny les Hameaux. 71 AD 2023-448 du 29 juin 2023 Modification de la micro crèche dénommée « Villiers Gare » située Place de la Gare à Villiers Saint Frédéric. 78 DIRECTION AUTONOMIE – MAISON DEPARTEMENTALE DE L’AUTONOMIE numéro d’arrêté et date de signature Intitulé de l’arrêté Pages AD 2023-443 du 31 mai 2023 Fixation du budget de l’établissement ou du service et les tarifs journaliers afférents applicable à l’établissement ISATIS – EHPAD ISATIS – 17 rue Jean Jaurès à Vernouillet. 84 AD 2023-444 du 14 juin 2023 Ajustement du forfait global dépendance à la charge du département des Yvelines des EHPAD gérés par le gestionnaire SNC Le Prieuré. 86
AD 2023-445 du 6 juin 2023
88
dénommé
AD 2023-446 du 31 mars 2023
92
MIS EN LIGNE LE 3 JUILLET 2023 1
MIS EN LIGNE LE 3 JUILLET 2023 2
MIS EN LIGNE LE 3 JUILLET 2023 3
MIS EN LIGNE LE 3 JUILLET 2023 4
MIS EN LIGNE LE 3 JUILLET 2023 5
MIS EN LIGNE LE 3 JUILLET 2023 6
MIS EN LIGNE LE 3 JUILLET 2023 7
MIS EN LIGNE LE 3 JUILLET 2023 8
MIS EN LIGNE LE 3 JUILLET 2023 9
MIS EN LIGNE LE 3 JUILLET 2023 10
MIS EN LIGNE LE 3 JUILLET 2023 11
MIS EN LIGNE LE 3 JUILLET 2023 12
MIS EN LIGNE LE 3 JUILLET 2023 13
MIS EN LIGNE LE 3 JUILLET 2023 14
MIS EN LIGNE LE 3 JUILLET 2023 15
MIS EN LIGNE LE 3 JUILLET 2023 16
MIS EN LIGNE LE 3 JUILLET 2023 17
MIS EN LIGNE LE 3 JUILLET 2023 18
MIS EN LIGNE LE 3 JUILLET 2023 19
MIS EN LIGNE LE 3 JUILLET 2023 20
MIS EN LIGNE LE 3 JUILLET 2023 21
MIS EN LIGNE LE 3 JUILLET 2023 22
MIS EN LIGNE LE 3 JUILLET 2023 23
MIS EN LIGNE LE 3 JUILLET 2023 24
MIS EN LIGNE LE 3 JUILLET 2023 25
MIS EN LIGNE LE 3 JUILLET 2023 26
MIS EN LIGNE LE 3 JUILLET 2023 27
MIS EN LIGNE LE 3 JUILLET 2023 28
MIS EN LIGNE LE 3 JUILLET 2023 29
MIS EN LIGNE LE 3 JUILLET 2023 30
MIS EN LIGNE LE 3 JUILLET 2023 31
MIS EN LIGNE LE 3 JUILLET 2023 32
MIS EN LIGNE LE 3 JUILLET 2023 33
MIS EN LIGNE LE 3 JUILLET 2023 34
MIS EN LIGNE LE 3 JUILLET 2023 35
MIS EN LIGNE LE 3 JUILLET 2023 36
MIS EN LIGNE LE 3 JUILLET 2023 37
MIS EN LIGNE LE 3 JUILLET 2023 38
MIS EN LIGNE LE 3 JUILLET 2023 39
MIS EN LIGNE LE 3 JUILLET 2023 40
MIS EN LIGNE LE 3 JUILLET 2023 41
MIS EN LIGNE LE 3 JUILLET 2023 42
MIS EN LIGNE LE 3 JUILLET 2023 43
MIS EN LIGNE LE 3 JUILLET 2023 44
MIS EN LIGNE LE 3 JUILLET 2023 45
MIS EN LIGNE LE 3 JUILLET 2023 46
MIS EN LIGNE LE 3 JUILLET 2023 47
MIS EN LIGNE LE 3 JUILLET 2023 48
MIS EN LIGNE LE 3 JUILLET 2023 49
MIS EN LIGNE LE 3 JUILLET 2023 50
MIS EN LIGNE LE 3 JUILLET 2023 51
MIS EN LIGNE LE 3 JUILLET 2023 52
MIS EN LIGNE LE 3 JUILLET 2023 53
MIS EN LIGNE LE 3 JUILLET 2023 54
MIS EN LIGNE LE 3 JUILLET 2023 55
MIS EN LIGNE LE 3 JUILLET 2023 56
MIS EN LIGNE LE 3 JUILLET 2023 57
MIS EN LIGNE LE 3 JUILLET 2023 58
MIS EN LIGNE LE 3 JUILLET 2023 59
MIS EN LIGNE LE 3 JUILLET 2023 60
MIS EN LIGNE LE 3 JUILLET 2023 61
MIS EN LIGNE LE 3 JUILLET 2023 62
MIS EN LIGNE LE 3 JUILLET 2023 63
MIS EN LIGNE LE 3 JUILLET 2023 64
MIS EN LIGNE LE 3 JUILLET 2023 65
MIS EN LIGNE LE 3 JUILLET 2023 66
MIS EN LIGNE LE 3 JUILLET 2023 67
MIS EN LIGNE LE 3 JUILLET 2023 68
MIS EN LIGNE LE 3 JUILLET 2023 69
MIS EN LIGNE LE 3 JUILLET 2023 70
MIS EN LIGNE LE 3 JUILLET 2023 71
MIS EN LIGNE LE 3 JUILLET 2023 72
MIS EN LIGNE LE 3 JUILLET 2023 73
MIS EN LIGNE LE 3 JUILLET 2023 74
MIS EN LIGNE LE 3 JUILLET 2023 75
MIS EN LIGNE LE 3 JUILLET 2023 76
MIS EN LIGNE LE 3 JUILLET 2023 77
MIS EN LIGNE LE 3 JUILLET 2023 78
MIS EN LIGNE LE 3 JUILLET 2023 79
MIS EN LIGNE LE 3 JUILLET 2023 80
MIS EN LIGNE LE 3 JUILLET 2023 81
MIS EN LIGNE LE 3 JUILLET 2023 82
MIS EN LIGNE LE 3 JUILLET 2023 83
MIS EN LIGNE LE 3 JUILLET 2023 84
MIS EN LIGNE LE 3 JUILLET 2023 85
MIS EN LIGNE LE 3 JUILLET 2023 86
MIS EN LIGNE LE 3 JUILLET 2023 87
MIS EN LIGNE LE 3 JUILLET 2023 88
MIS EN LIGNE LE 3 JUILLET 2023 89
MIS EN LIGNE LE 3 JUILLET 2023 90
MIS EN LIGNE LE 3 JUILLET 2023 91
MIS EN LIGNE LE 3 JUILLET 2023 92
MIS EN LIGNE LE 3 JUILLET 2023 93
MIS EN LIGNE LE 3 JUILLET 2023 94
MIS EN LIGNE LE 3 JUILLET 2023 95

Turn static files into dynamic content formats.

Create a flipbook
Issuu converts static files into: digital portfolios, online yearbooks, online catalogs, digital photo albums and more. Sign up and create your flipbook.