bulletin-officiel-numero-406-avril-2023-second-numero

Page 1

Département des Yvelines BULLETIN OFFICIEL

N° 406 – avril 2023 –Second numéro Mis en ligne le 2 mai 2023

Sommaire

ACTES REGLEMENTAIRES DU DEPARTEMENT

DIRECTION DES MOBILITES

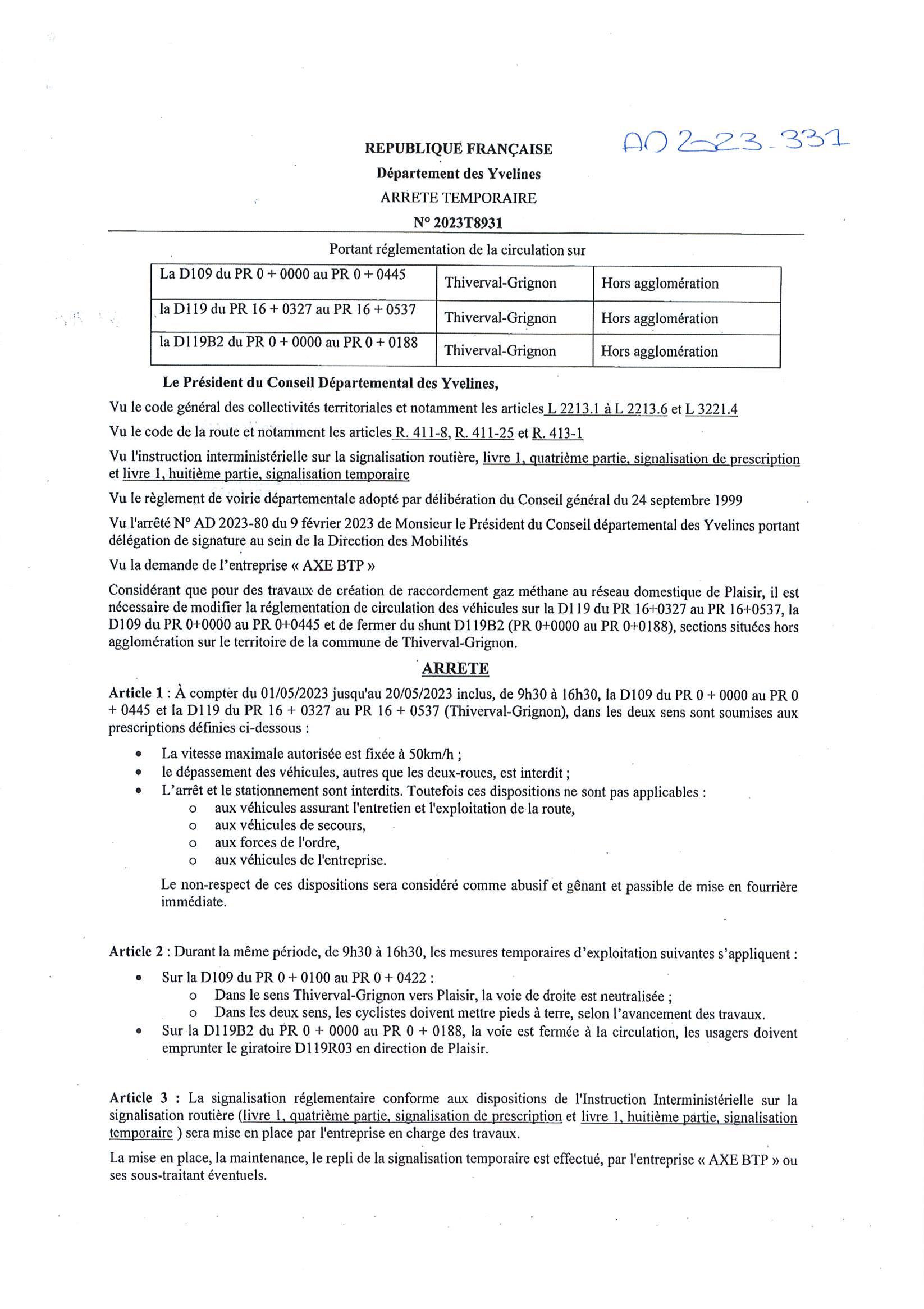
AD 2023-331 du 28 avril 2023

Prorogation de l’article 1 de l’arrêté DDT 78-023-0&-06-00001 signé le 6 janvier 2023 portant réglementation de la circulation, dans le cadre de la création d’un giratoire assurant l’accès à la future déchetterie intercommunale de Chambourcy et de Saint Germain en Layen sur les bretelles de sortie 6 et 6a de l’A14, de la RD 113 du PR 24+0000 au PR 24+0190 et de ses bretelles d’échanges avec l’A14 rue du Président Roosevelt : RD113 B15 et B16 (accès en surface), RD113 S et S1 (PSGR) et sur la nouvelle RD113 B14 créée dans le cadre du projet.

Arrêté temporaire. Réglementation de la circulation sur la D109 du PR 0+0000 au PR 0+0445 Thiverval Grignon hors agglomération, la D119 du PR 16+0327 au PR 16+0537 Thiverval Grignon hors agglomération et la D119B2 du PR 0+0000 au PR 0+0188 Thiverval Grignon hors agglomération.

11

14

AD 2023-332 du 26 avril 2023

Arrêté temporaire. règlementation de la circulation sur la RD13 du PR 6+0739 au PR 8+0452 Jouars Pontchartrain, Maurepas en et hors agglomération.

DIRECTION GENERALE ADJOINTE ENFANCE, FAMILLE, SANTE

numéro d’arrêté et date de signature

AD 2023-302

du 5 avril 2023

AD 2023-303 du 5 avril 2023

16

Intitulé de l’arrêté Pages

Modifiant la dotation globale à la charge de l’aide sociale à l’enfance des lieux de vie et d’accueil gérés par Alliance Rêves d’Enfance au titre de l’année 2022.

Modifiant la dotation globale à la charge de l’aide sociale à l’enfance des Yvelines des établissements ou services gérés par la Fondation Apprentis d’Auteuil au titre de l’année 2022.

18

numéro d’arrêté et date de signature Intitulé de l’arrêté Pages AD 2023-319 du 20 avril 2023 Arrêté temporaire. Réglementation de la circulation sur la D191 du PR 92+0640 au PR 92+0920 Aulnay sur Mauldre hors agglomération. 1 AD 2023-320 du 21 avril 2023 Arrêté conjoint portant réglementation sur la RD 912 et la RN10 dans le cadre de l’évènement du semi-marathon de Trappes 2023 se déroulant le 23 avril 2023. 3 AD 2023-321 du 24 avril 2023 Arrêté temporaire. Réglementation de la circulation sur la D59 du PR 0+0000 au PR 1+0732 Verneuil sur Seine, Les Mureaux hors agglomération. 6 AD 2023-322 du 25 avril 2023 Arrêté temporaire. Réglementation de la circulation sur la D184 du
au
Le Chesnay Rocquencourt hors agglomération, la D173 du
au PR 2+0833 La Celle Saint Cloud hors agglomération. 7 AD 2023-329 du 28 avril 2023 Arrêté conjoint portant réglementation de la circulation et du stationnement sur la RD 9 AD
du
PR 0+0315
PR 0+0666
PR 2+0487
2023-330
28 avril 2023
20

AD 2023-304 du 5 avril 2023

AD 2023-305 du 5 avril 2023

AD 2023-306 du 5 avril 2023

AD 2023-307 du 5 avril 2023

AD 2023-308 du 5 avril 2023

Modifiant la dotation globale à la charge de l’aide sociale à l’enfance des Yvelines des établissements ou services gérés par Association Vers la Vie pour l’Education des Jeunes au titre de l’année 2022.

Modifiant la dotation globale à la charge de l’aide sociale à l’enfance des Yvelines des établissements ou services gérés par la Croix Rouge Française au titre de l’année 2022.

Modifiant la dotation globale à la charge de l’aide sociale à l’enfance des Yvelines des établissements ou services gérés par Droit d’Enfance –Fondation Méquignon au titre de l’année 2022.

Modifiant la dotation globale à la charge de l’aide sociale à l’enfance des Yvelines des établissements ou services gérés par Espoir au titre de l’année 2022.

Modifiant la dotation globale à la charge

22

24

26

28

de l’aide sociale à l’enfance des Yvelines des établissements ou services gérés par l’Essor au titre de l’année 2022. 30 AD 2023-309 du 5 avril 2023 Modifiant la dotation globale à la charge de l’aide sociale à l’enfance des Yvelines des établissements ou services gérés par Groupe SOS Jeunesse au titre de l’année 2022. 32 AD 2023-310 du 5 avril 2023 Modifiant la dotation globale à la charge de l’aide sociale à l’enfance des Yvelines des établissements ou services gérés par l’Association Jean Cotxet au titre de l’année 2022. 34 AD 2023-311 du 5 avril 2023 Modifiant la dotation globale à la charge de l’aide sociale à l’enfance des Yvelines des établissements ou services gérés par l’Association Le Colibri au titre de l’année 2022. 36 AD 2023-312 du 5 avril 2023 Modifiant la dotation globale à la charge de l’aide sociale à l’enfance des Yvelines des établissements ou services gérés par l’Association Le Lien au titre de l’année 2022. 38 AD 2023-313 du 5 avril 2023 Modifiant la dotation globale à la charge de l’aide sociale à l’enfance des Yvelines des établissements ou services gérés par l’Association HOVIA au titre de l’année 2022. 40 AD 2023-314 du 5 avril 2023 Modifiant la dotation globale à la charge de l’aide sociale à l’enfance des Yvelines des établissements ou services gérés par La Nouvelle Etoile des Enfants de France au titre de l’année 2022. 42 AD 2023-315 du 5 avril 2023 Modifiant la dotation globale à la charge de l’aide sociale à l’enfance des Yvelines des établissements ou services gérés par Œuvre de Secours aux Enfants (OSE) au titre de l’année 2022. 44 AD 2023-316 du 5 avril 2023 Modifiant la dotation globale à la charge de l’aide sociale à l’enfance des Yvelines des établissements ou services gérés par l’Association Relais Jeunes des Prés au titre de l’année 2022. 46 AD 2023-317 du 5 avril 2023 Modifiant la dotation globale à la charge de l’aide sociale à l’enfance des Yvelines des établissements ou services gérés par Saint Vincent au titre de l’année 2022. 48 AD 2023-318 du 5 avril 2023 Modifiant la dotation globale à la charge de l’aide sociale à l’enfance des Yvelines des établissements ou services gérés par SOS Village d’Enfants au titre de l’année 2022. 50 AD 2023-337 du 27 avril 2023 Dotation complémentaire à la charge de l’aide sociale à l’enfance à la fondation Méquignon droit d’enfance au titre de l’année 2022. 52

DIRECTION SANTE

AD 2023-323 du 13 mars 2023

AD 2023-324 du 13 mars 2023

AD 2023-325 du 20 avril 2023

AD 2023-326 du 20 avril 2023

Modification du fonctionnement (modification de la direction) de la micro crèche dénommée « Rêves d’Enfants 1 – Bulles de Rêves » située 5/7 rue Charles Edouard Jeanneret à Poissy.

Modification du fonctionnement (modification de la direction) de la micro crèche dénommée « Rêves d’Enfants 2 – Rêves d’Etoiles » située 5/7 rue Charles Edouard Jeanneret à Poissy.

Modification du fonctionnement (mise à jour réglementaire) de la micro crèche dénommée « ONIDOO » située 8 rue des Dames aux Clayes sous Bois.

Modification du fonctionnement (mise à jour réglementaire) de la micro crèche dénommée « BULAPI » située 21 rue des Dames aux Clayes sous Bois.

DIRECTION AUTONOMIE

AD 2023-327 du 20 avril 2023

Autorisation de changement de localisation de l’établissement d’hébergement personnes âgées dépendantes (EHPAD) « La Cerisaie » géré par la SA ORPEA située 31 route d’Epernon à Poigny la Forêt (78125) sur un terrain de la commune de Saint Germain en Laye rue Armagis, et portant changement de dénomination au bénéfice de « Résidence Le Clos Saint Louis ».

AD 2023-333 du 31 mars 2023 Fixant le budget de l’établissement ou du

53
59
65
72
79
et les tarifs journaliers afférents applicables à l’établissement ADEF RESIDENCES FAM LA MAISON DES AULNES – Allée des Orchidées à Maule. 82 AD 2023-334 du 25 avril 2023 Autorisation d’extension
d’accueil médicalisé (EAM) TROAS sis 21 rue Louis Blériot à Guyancourt géré par la Fondation John Bost. 84 AD 2023-335 du 25 avril 2023 Autorisation d’extension
d’accueil médicalisé (EAM) Léopold Bellan sis 13 place de Verdun à Septeuil géré par la Fondation Léopold Bellan. 89 AD 2023-336 du 20 avril 2023 Fixant à compter du 1er janvier 2023, le taux de l’aide ménagère au titre de l’aide sociale, dans le cadre des prestations à domicile. 93
service
de capacité de 45 à 50 places de l’Etablissement
de capacité de 60 à 65 places de l’établissement
DATE DE MISE EN LIGNE : 2 MAI 2023 1
DATE DE MISE EN LIGNE : 2 MAI 2023 2
DATE DE MISE EN LIGNE : 2 MAI 2023 3
DATE DE MISE EN LIGNE : 2 MAI 2023 4
DATE DE MISE EN LIGNE : 2 MAI 2023 5
DATE DE MISE EN LIGNE : 2 MAI 2023 6
DATE DE MISE EN LIGNE : 2 MAI 2023 7
DATE DE MISE EN LIGNE : 2 MAI 2023 8
DATE DE MISE EN LIGNE : 2 MAI 2023 9
DATE DE MISE EN LIGNE : 2 MAI 2023 10
DATE DE MISE EN LIGNE : 2 MAI 2023 11
DATE DE MISE EN LIGNE : 2 MAI 2023 12
DATE DE MISE EN LIGNE : 2 MAI 2023 13
DATE DE MISE EN LIGNE : 2 MAI 2023 14
DATE DE MISE EN LIGNE : 2 MAI 2023 15
DATE DE MISE EN LIGNE : 2 MAI 2023 16
DATE DE MISE EN LIGNE : 2 MAI 2023 17
DATE DE MISE EN LIGNE : 2 MAI 2023 18
DATE DE MISE EN LIGNE : 2 MAI 2023 19
DATE DE MISE EN LIGNE : 2 MAI 2023 20
DATE DE MISE EN LIGNE : 2 MAI 2023 21
DATE DE MISE EN LIGNE : 2 MAI 2023 22
DATE DE MISE EN LIGNE : 2 MAI 2023 23
DATE DE MISE EN LIGNE : 2 MAI 2023 24
DATE DE MISE EN LIGNE : 2 MAI 2023 25
DATE DE MISE EN LIGNE : 2 MAI 2023 26
DATE DE MISE EN LIGNE : 2 MAI 2023 27
DATE DE MISE EN LIGNE : 2 MAI 2023 28
DATE DE MISE EN LIGNE : 2 MAI 2023 29
DATE DE MISE EN LIGNE : 2 MAI 2023 30
DATE DE MISE EN LIGNE : 2 MAI 2023 31
DATE DE MISE EN LIGNE : 2 MAI 2023 32
DATE DE MISE EN LIGNE : 2 MAI 2023 33
DATE DE MISE EN LIGNE : 2 MAI 2023 34
DATE DE MISE EN LIGNE : 2 MAI 2023 35
DATE DE MISE EN LIGNE : 2 MAI 2023 36
DATE DE MISE EN LIGNE : 2 MAI 2023 37
DATE DE MISE EN LIGNE : 2 MAI 2023 38
DATE DE MISE EN LIGNE : 2 MAI 2023 39
DATE DE MISE EN LIGNE : 2 MAI 2023 40
DATE DE MISE EN LIGNE : 2 MAI 2023 41
DATE DE MISE EN LIGNE : 2 MAI 2023 42
DATE DE MISE EN LIGNE : 2 MAI 2023 43
DATE DE MISE EN LIGNE : 2 MAI 2023 44
DATE DE MISE EN LIGNE : 2 MAI 2023 45
DATE DE MISE EN LIGNE : 2 MAI 2023 46
DATE DE MISE EN LIGNE : 2 MAI 2023 47
DATE DE MISE EN LIGNE : 2 MAI 2023 48
DATE DE MISE EN LIGNE : 2 MAI 2023 49
DATE DE MISE EN LIGNE : 2 MAI 2023 50
DATE DE MISE EN LIGNE : 2 MAI 2023 51
DATE DE MISE EN LIGNE : 2 MAI 2023 52
DATE DE MISE EN LIGNE : 2 MAI 2023 53
DATE DE MISE EN LIGNE : 2 MAI 2023 54
DATE DE MISE EN LIGNE : 2 MAI 2023 55
DATE DE MISE EN LIGNE : 2 MAI 2023 56
DATE DE MISE EN LIGNE : 2 MAI 2023 57
DATE DE MISE EN LIGNE : 2 MAI 2023 58
DATE DE MISE EN LIGNE : 2 MAI 2023 59
DATE DE MISE EN LIGNE : 2 MAI 2023 60
DATE DE MISE EN LIGNE : 2 MAI 2023 61
DATE DE MISE EN LIGNE : 2 MAI 2023 62
DATE DE MISE EN LIGNE : 2 MAI 2023 63
DATE DE MISE EN LIGNE : 2 MAI 2023 64
DATE DE MISE EN LIGNE : 2 MAI 2023 65
DATE DE MISE EN LIGNE : 2 MAI 2023 66
DATE DE MISE EN LIGNE : 2 MAI 2023 67
DATE DE MISE EN LIGNE : 2 MAI 2023 68
DATE DE MISE EN LIGNE : 2 MAI 2023 69
DATE DE MISE EN LIGNE : 2 MAI 2023 70
DATE DE MISE EN LIGNE : 2 MAI 2023 71
DATE DE MISE EN LIGNE : 2 MAI 2023 72
DATE DE MISE EN LIGNE : 2 MAI 2023 73
DATE DE MISE EN LIGNE : 2 MAI 2023 74
DATE DE MISE EN LIGNE : 2 MAI 2023 75
DATE DE MISE EN LIGNE : 2 MAI 2023 76
DATE DE MISE EN LIGNE : 2 MAI 2023 77
DATE DE MISE EN LIGNE : 2 MAI 2023 78
DATE DE MISE EN LIGNE : 2 MAI 2023 79
DATE DE MISE EN LIGNE : 2 MAI 2023 80
DATE DE MISE EN LIGNE : 2 MAI 2023 81
DATE DE MISE EN LIGNE : 2 MAI 2023 82
DATE DE MISE EN LIGNE : 2 MAI 2023 83
DATE DE MISE EN LIGNE : 2 MAI 2023 84
DATE DE MISE EN LIGNE : 2 MAI 2023 85
DATE DE MISE EN LIGNE : 2 MAI 2023 86
DATE DE MISE EN LIGNE : 2 MAI 2023 87
DATE DE MISE EN LIGNE : 2 MAI 2023 88
DATE DE MISE EN LIGNE : 2 MAI 2023 89
DATE DE MISE EN LIGNE : 2 MAI 2023 90
DATE DE MISE EN LIGNE : 2 MAI 2023 91
DATE DE MISE EN LIGNE : 2 MAI 2023 92
DATE DE MISE EN LIGNE : 2 MAI 2023 93
DATE DE MISE EN LIGNE : 2 MAI 2023 94

Turn static files into dynamic content formats.

Create a flipbook
Issuu converts static files into: digital portfolios, online yearbooks, online catalogs, digital photo albums and more. Sign up and create your flipbook.
bulletin-officiel-numero-406-avril-2023-second-numero by Conseil départemental des Yvelines - Issuu