62 سؤالا هاما لن يخرج عنها امتحان الكيمياء لطلاب الثانوية العامة

Page 1

ديدحلا ديسكا نم لوم لك طبتري تينوميللا يف III عم ............ ءاملا نم لوم أ – 1 ب- 1,5 ج – 2 د-3
1

1,5

ب
ةباجلاا
2 - ناصرنع B , A ةئفلا نم d صرنعلا و A صرنعلاو لاقتنا B مدختست و لاقتنا يغ ا لثمي نأي امم يأف ليللا نويزفلتلا ريوصتلا حيباصم ف امهترخبا عقي تلا تاعومجمل يميلل راسيلا نم بيتيلا لع يرودلا لودجلاب ناصرنعلا اهيف (أ) 1B , 2B (ب) 1B, 3B (ج) 3B ,8 (د) 3B ,2B

3B ,2B

د
3 ف ةدرفملا تانويكللاا ددع سفن اهب ةيتلآا تانويلاا يأ d : (أ) Mn+2 , V+5 (ب) Mn+2 ,Fe+2 (ج) Ti+3 ,Cu+2 (د) V+5,Ni+3

+3 ,Cu+2

ج Ti
4 يا رمحلاا ديدحلا ديسكا ىلع لوصحلل ةحيحص ةيتلاا تايلمعلا أ)نيخست ديدحلا تلااسكوا II ءاوهلا نع لزعمب ب)ةفاضا ديدحديسكا ىلا ففخملا كيتيربكل ضمح II جتانلا نيخست مث ج) ديدحلا تانوبرك نيخست II يوجلا ءاوهلا نع لزعمب د) ةجردل نخسملا ديدحلا ىلع نخاسلا ءاملا راخب رارما 5000C
ب ةفاضا ىلا ففخملا كيتيربكل ضمح ديدحديسكاII جتانلا نيخست مث
5 نارصنع X ,Y امهتانويتاكل ينورتكللاا بيكرتلا X+4 {18Ar} 3d1 Y+6 {18Ar) 3d2 رصنعلا نم ةنوكتملا ةكيبسلا تازيمم نم X رصنعلا كئابس دحا عم Y يه نوبركلا عم .... أ) ب ةبلاصلا ةديدشو نزولا ةفيفخ ) ةواسق اهلو لكآتلا مواقت ج) د ةيلاعلا ةرارحلا يف لكآتلا مواقت ) علا ةرارحلا يف اهتناتم ىلع ظفاحت ةيلا
ب مواقت ةواسق اهلو لكآتلا
6 - ادع ام ةنولم ةيتلاا تابكرملا عيمج (أ) Fe SO4 (ب) CuSO4 (ج) Cr2O3 (د) TiO2
د TiO
2
7 ف تيتاميهلا لايخاب لاعلا نرفلا ثدحي: أ- لعافتلا يح نم يجسكا دعاصت ب- تلااتيبرولااددع ةدايز d ةدرفم تانويكلا اهب تلا ج- رهزلاو بلصلاديدحلا جاتنا د- تلااتيبرولااددع ةدايز d ةجودزملا تانويكلا اهب تلا
د تلااتيبرولااددع ةدايز d ةجودزملا تانويكلا اهب تلا
8 ناصرنع Y ,X صرنعلا X ا ىوتسملاو ةيناثلا ةرودلا ف عقي لثمم صرنع سيئرل صرنعلاو تانويكلا ةعبرأ لع يوتحي جراخلا Y لولاا ةلسلسلا ف لاقتنا ف ةدرفم تانويكلا ةعبرا لع يوتحيو d نيوكت اعم ناصرنعلل نكمي كئابس: أ – ب ةيلادبتساو ةينيب - و ةيزلفنيبو ةينيب ةيلادبتسا ج – د ةيلادبتساو ةيزلفنيب - ةيزلفنيبو ةينيب
د ةيزلفنيبو ةينيب
9 ةفاضا دنع dil H2SO4 لا FeO ةفاضا مث KMnO4 لولحملل باوص ةيتلاا تارابعلا يأف جتانلا أ – لعافتلا ةياهن ف ديدحلا دسكأت ددع لقي ب- ينجنملل سيطانغملا مزعلا لقي ج – لولحملا نول يغتيلا د- بستكي Mn+7 تانورتكلا ةسمخ
د بستكي Mn+7 تانورتكلا ةسمخ
10 ديدحديسكا ليوحت اهيف متي تلا نارفلاا III لإ لع نوبركو ديدح ةكيبس نوكت بيتيلا ..... أ) سكردم نرف مث حوتفملا نرفلا ب)لوحملا لاعلا نرفلا مث تيجسكلاا ج) سكردم مث لاعلا نرفلا د)نرفلا تيجسكلاا لوحملا مث لاعلا
د تيجسكلاا لوحملا مث لاعلا نرفلا
11 ةدسكا ثدحي ةيتلاا تابكرملل ءاوهلا نع لزعمب للاحنلاا دنع ف ديدحلل : (أ) FeCO3 (ب) FeS04 (ج) (COO)2Fe (د) Fe(OH)3
ب
4
FeS0
12 - ديدحديرولك نم لوصحلل III يسيطانغم ديدح ديسكا ىلع : (أ) كيرولكورديهلا ضمح عم لعافتلا -ةدسكأ -لازتخإ (ب) يرارحلا ككفتلا –ةدسكلاا – يولق لولحم عم لعافتلا (ج)ةدسكلاا-لازتخلاا – يرارحلا ككفتلا (د) يولق لولحم عم لعافتلا - يرارحلا ككفتلا - لازتخلاا
د • (د) يولق لولحم عم لعافتلا - يرارحلا ككفتلا - لازتخلاا
13 ديدحديرولكنم لوصحلل III لع طيلخ ديدح تاتييكنم II ديدح تاتييكو III : (أ) عم لعافتلا conc H2SO4 - دنع لايخا 2500 - لولحم ةفاضا يولق - دنع يخست 2500 (ب) دنع لايخا 2500 – عم لعافتلا conc H2SO4 – يولق لولحم ةفاضا - دنع يخست 2500 (ج) يولق لولحم ةفاضا - دنع يخست 2500 - دنع لايخلاا 2500 - عم لعافتلا conc H2SO4 (د) يولق لولحم عم لعافتلا - يرارحلا ككفتلا - دنع لايخلاا 5000 - عم لعافتلا conc H2SO4
ج يولق لولحم ةفاضا - دنع يخست 2500 - دنع لايخلاا 2500 - عم لعافتلا conc H2SO4
14 • ديدحلا تلااسكوا نيخست دنع II ةفاضا مث ءاوهلا يف conc HCl جتني: (أ)FeO (ب) FeCl3,FeCl2 (ج) FeCl3 (د) FeCl2
ج (ج) FeCl3
15 ديدحلا حاولا نفلجملا رصنع نم ةقبطب هاطغم : (أ) نولم يلاقتنا (ب) نولم ريغ يلاقتنا (ج) نولم يلاقتناريغ (د) نولم ريغ يلاقتنا ريغ
د (د) نولم ريغ يلاقتنا ريغ
16 - ةفاضا دنع HCl و يسيطانغم ديدح ديسكا نم طيلخ ىلإ درابلا ففخملا ديدح ديسكأ II جتني ديدح .: (أ) FeCl2 +H2) (ب) FeCl2 + FeCl3 ) (ج) FeCl2 +H2O (د) FeCl2 + FeCl3 +H2O +H2)
ج
O
FeCl2 +H2
17 نوط رمحا نولب بهللا نولت نيب بهل لع هنيخست دنع حلم . و ةفاضا دنع ت ةيجسفنب ةرخبا دعاصت حلملا سفنل زكرملا كيتييكلا ضمح اشنلا قرز حلملا نوكي : أ- ديدح ديرولك III ب- مويسلاكديدوي ج- مويسلاكديمورب د – ديدح تييين II
ب - ديدوي مويسلاك
18 ح ىلع لك نيفلتخم نيحلم يلا ففخملا كيرولكورديهلا ضمح ةفاضا دنع ةد ةدسكلال لباق نيزاغلا لاكو امهنم لك نم زاغ دعاصتي . امه نيحلملا ناف ............. أ) KHCO3 -K2S2O3 ب) KNO2 – K2S ج) KNO2 – K2CO3 د) KNO2 – K2SO3
د
2
K
KNO
2SO3
19 ضمح ةفاضا دنعزاغ دعاصتيو بسار نوكتةيتلاا حلاملاا يأ كلذل ةبسانملا فورظلا يف اهيلا كيرولكورديهلا أ- Pb(NO2)2 ب- HgNO3 ج- AgNO3 د – NaNO2

Pb(NO2)2

أ
20 نيتبوبنا ىلع هميسقت مت حلم لولحم : رداشنلا لولحم يف بوذي رفصا نوكتف ةضف تارتن لولحم اهيلا فيضا ىلولاا ضيبا بسار نوكتف موينوما تانوبرك لولحم اهيلا فيضا ةيناثلا . حلملا ناف ( AlCl3 , CaCO3 , AlPO4 , Ca3(PO4)2 )

3(PO4)2

أ
Ca
21 - لا لكيب ييمتلل موينوملاا تانوبرك لولحم مدختسي تانويتاك ادعام ةيتلاا : أ) Na+ , Ca+2 ب) K+ , Mg+2 ج) Ca+2 , Mg+2 د) K+ , Fe+3
ج
Ca+2, Mg+2

0,3M

(أ ) 0,25M (ب) 0,15M ( ج) 0,6M ( د )0,1M

22 • فيضا 100ml لا ءاملا نم 0,5 L كيرولكورديه ضمح نم
حبصي يكيلا ناف :
أ (أ )
0,25M
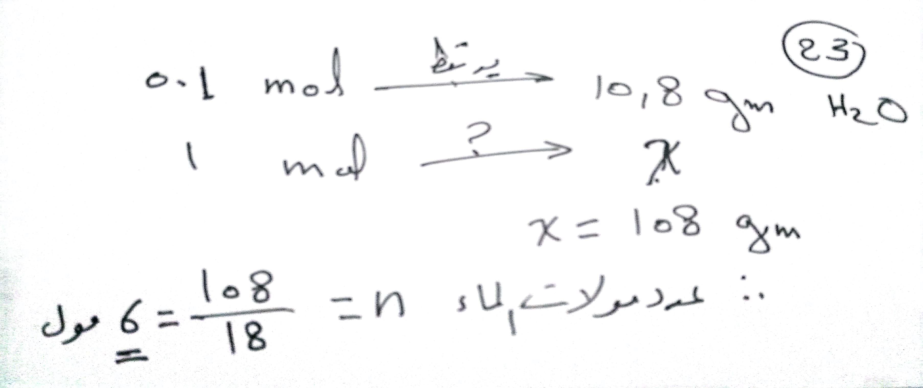
23 - طبتري 0,1 mol نم XCl2 عم 10,8 نيوكتل ءاملا نم مارج XCl2 .n H2O ةميق امف n (أ ) 2 (ب) 4 ( ج) 5 ( د )6 (
H=1 , O=16 )
د 6لوم
24 كورديهو كيرولكورديه ضمح نم ةيواستم موجح لعافت دنع ديس ضمح يكرت ناف لداعتم جتانلا لولحملا حبصا مويسنغام كيرولكورديهلا .................... مويسنغام ديسكورديه أ- يواسي ب- فصن ج- فعض د- لاثما ثلاث
ج
فعض
25 ةرياعمل مزل مويدوص تافسوفو مويدوص ديسكورديه نم طيلخ 0,2 هنم مارج 10 كيرولكورديه ضمح نم يليللم 0,1 M طيلخلا ف مويدوصلا تافسوف ةبسن نإف : أ- 20 ب- 40 ج- 60 د - 80 % ( Na=23 , O=16 ,H=1 ,S=32)
د د -80
26 لعافتلا ف A+B C+D , Kc= 0, 1 نوكت Kcلعافتلل C+2D 2 A+2B 2 )ا10 0,01 )ج )ب 100 0. 1 )د
ج 100
27 CH3COOH + H2O CH3COO- +H3 +O ةفاضإ دنع HCl : أ- طشني تاتيسلاا نويا ديزيو يدرط ب- طشني تاتيسلاا نويا ديزيو سكع ج- تاتيسلاا نويا لقيو سكع طشني د- ةميق لقتو سكع طشني Kc
ج ج- تاتيسلاا نويا لقيو يسكع طشني
28 ادعام يتأي امم لك يف ينويآ نازتا أشني : أ-HCN ب- CH3COOH ج-HCl د- H3BO3
ج
HCl
29 دنع ؤيمت موينوملااديرولك جتني : أ – كيرولكورديه ضمحو موينوماديسكورديه ب- كيرولكورديه ضمحو موينومأ تانوياو ديسكورديه تانويا ج- ديرولك تانويآو نيجورديه تانويآو موينوماديسكورديه د- ولك تانوياو نيجورديه تانوياو موينوما تانوياو ديسكورديه تانويا دير
ج موينوماديسكورديه ديرولك تانويآو نيجورديه تانويآو
30 هعضو دنع رمحلأا نولل يلاثفلونيفلا ليلد نول يغتي لولحم ف : أ- مويدوصلا تاين ب- موينوملاا ديرولك ج-تلااسكوا مويدوص د- موينوما تانوبرك
ج تلااسكوا مويدوص
31 لع يوتحي نوتويلا يداحأ ضمح لولحم 0.2 mol مجح ف ( V ) اذإف ،يل ةميق تناك ����=��.�� ×����−�� هيف ةككفملا تلاوملا ددعو 0.002 mol ةميق نإف ، pH يواست ضمحلل : )أ ��.�� ×����−�� ( ب 5.455 ( ج 8.544 ( د ��.�� ×����−�� (

5.455

ب
32 لاتلا عبشملا لولحملا ف : AgCl(s) Ag+ + Clةينابوذ نم للقي نأي امم لك AgCl ادع امهيلا هتفاضا دنع أ- HCl ب- AgNO3 ج-NaCl د- NH4OH
د
NH4OH
33 -- ةميق باسح نكمي PH ةقلاعلا نم : POH-7 POH/PKw PKw-POH PKw
POH
/

PKw-POH

ج
34 ف ةيلخلا نلاا جلاطصلاا زمرلاب ةلثمملا ةينافلجلا X(s) l X+2 (aq) ll 2Y+ (aq) l 2Y(s) ؟ةيلخلا لمع رارمتسا نمز نم ديزي ةيتلاا تايغتلا يا أ) تانويا يكرت ةدايز Y+ دوثاكلا ةيلخ فصن ف ب) تانويا يكرت صاقنا X+2 دونلاا ةيلخ فصن ف ج) دونلاا ةلتكصاقنا X د) دوثاكلا ةلتك ةدايز Y
أ تانويا يكرت ةدايز Y+ دوثاكلا ةيلخ فصن ف
35 - يتلاا يحلاطصلاا زمرلاب ةلثمملا ةينافلجلا ةيلخلا يف Ni(s) l Ni+2 (aq) ll 2Ag+ (aq) l 2Ag(s) ؟ةيلخلا لمع رارمتسا نمز نم ديزي ةيتلاا تاريغتلا يا أ) صقن دوثاكلا ةيلخ فصن يف ةضفلا تانويا زيكرت ب) دونلاا ةيلخ فصن يف لكينلا تانويا زيكرت صاقنا ج) دونلاا ةلتك صاقنا د) ةلتك ةدايز Ni
د ةلتك ةدايز Ni
36 دنع مكرملا نحش ضماحلا صاصرلا : أ- ةميق لقت POH تيلويكللاا لولحملل ب- ةميق لقت PH تيلويكللاا لولحملل ج – دونلاا دنع صاصرلا دسكأت ددع دادزي د- ةيراطبلا ف ءاملا ةيمكدادزت
ب ةميق لقت PH تيلويكللاا لولحملل
37 اهابطق يتلا ةيوناثلا ةيراطبلا يف : X X+2 +2e E=+1,40 V Y+2 +2e- Y E2=-0,23 V نحشل كلا ةعفادلا هتوق ردصمب اهليصوت بجي امات انحش ةيراطبلا هذه ةيبره .................:تلوف أ- 1.172 ب- 1.5 ج - + 1.132 د- -1.172

1.5

ب
38 لصفل ةمزلالا يدارافلاب ةيبرهكلا ةيمك
×
23 نم ئزج ب ضمحملا ءاملل نرهكلا ليلحتلا دنع يجسكلاا زاغ ضمح كيتييكلا ( 0,5 , 2 , 3 , 4 ) يداراف
3,01
10
ج 2 يداراف لوم فصن هنلا همزلي نيجسكلاا لومو 4F
39 ةفلتخم ليلاحم ةعبرا يف جتانلا زاغلا رما مث ففخملا كيتيربكلا ضمح ىلا نيصراخلا نم ةعطق تفيضا ............... اهثودح نكمي ةيتلاا تايلمعلا يا :ةمزلالا طورشلا رفاوت عم )أ3)4(SO2Y 4YSO )ب 2WCl WCl )ج4XSO 3)4(SO2X )د3ZCl 2ZCl
ج
X2(SO4)3 XSO4
40 أدص وه ديدحلا : أ- ديدح ديسكورديه II ب – ديدح ديسكا II ج- ديدح ديسكا III د- ديدحلل ةدسكا
د ةدسكا ديدحلل
41 : تازلف ةدعل ةيبرهكلا دوهجلا حضوي يتلاا لودجلا زلفلا Fe X Y Z لازتخلاا دهج - 0,409V -2,374V -1,67V -0,23V ةطساوب ىلولاا نم ءزج ءلاط مت ديدح عطق عبرا كيدل X ةطساوب ةيناثلا نم ءزج ءلاط و Y ءلاط و ةطساوب ةثلاثلا نم ءزج Z : يه رسا أدصت يتلا ةعطقلا ن ف . ءلاط نودب ةعبارلا تكرتو ةعبارلا )د ةثلاثلا )ج ةيناثلا )ب ىلولاا )أ
ج ةثلاثلا
42 مزلي لصفل 1لوم رصنع نم X اهردق ةيبرهك ةيمك 193000 ن ف مولوك هديسكا ةغيص : (أ) X2O (ب) XO (ج) X2O3 (د) XO2
ب XO يئانث رصنعلا نلا هنم لوم لصفل مزل 2F
43 ني يدوصلا يجلا عم مويدوصلا تاوناتنبل فاجلا يطقتلا جت: ( أ)ناثيملا (ب)ناثيلاا (ج) ناتويبلا (د)ناتنبلا
ج ناتويبلا
44 بكرم X عبشتي 0,5 mol نم لوم مادختساب هنم بكرملا نإف مويلا X : ( أ) ناكلا (ب) يكلا (ج)نياكلا (د) قلح ناكلا
ج نياكلا
45 جتني ناتكولأل ةزفحملا ليكشتلا ةداعإ ....... (أ) قلح ناسكه (ب) يرطع نييب (ج) نيولوط (د) نييب ليثيإ
د نيزنب ليثيإ
46 لوصحلل تاوطخلا عبتن ناثيملا نم يقلح ناكلا ىلع : أ-ةلكلا – ةجرده – ىلا نيخست 1500 – ةرملب ب- عيرس ديربت - ةرملب – ىلا نيخست 1500 – ةجرده ج- ىلا نيخست 1500 - عيرس ديربت - ةرملب – ةجردهلا د- ءاملا عم لعافت - ةرملب - ةجرده – نيخست ىلا1500
ج نيخست ىلا 1500 - عيرس ديربت - ةرملب – ةجردهلا
47 رضحي بكرم 1-ورولك 3-نيزنبورتين نع قيرط: أ-ةرولك مث ةرتين ب- ةرتين مث ةنفلس ج- ةرتين مث ةرولك د- ةرتين مث ةلكلا
ج ةرولك مث ةرتين
48 يأ ساتوبلا تاناجنمورب لولحم نول ليزي لا ةيلاتلا تلاعافتلا جتاون نم يف موي يدعاق طسو : (أ) ةفاضا جتان 1 mol ىلا نيجورديهلا نم 1 mol نيابوربلا نم ب) ةفاضا جتان 1 mol نم HBr ىلا 1 mol نم -2ليثيم -2-نيتويب ج) نم ءاملا زن جتان -1 لوناتويب د) نم ءاملا زن جتان -2ليثيم -2 لونابورب
ب ةفاضا جتان 1 mol نم HBr ىلا 1 mol نم 2-ليثيم -2-نيتويب
49 بيترتلا وكم يرشح ديبم ىلع لوصحلل ةيئايميكلا تايلمعلل حيحصلا نم ن 18 نم نوكم ناكلا نم ةرذ 5تارذ يه: أ) ةرملب مث ةنجله مث عيرس ديربت مث ديدش نيخست . ب) عيرس ديربت مث ديدش نيخست مث ةنجله مث ةرملب ج) ةنجله مث ةرملب مث عيرس ديربت مث ديدش نيخست . د) ةرملب مث عيرس ديربت مث ديدش نيخست مث ةنجله .
ج ج) ةنجله مث ةرملب مث عيرس ديربت مث ديدش نيخست .
50 عبشتل ةمزلالا يجورديهلا تلاوم ددع 2لوم ليتسا لينيف نانث بكرم نم ي يواست ........لوم (أ)4 (ب)6 (ج) 8 (د) 16
د 16 جاتحي لوملا نلا 8 نيجورديه لوم

) 2 ب) 3 ج) 5 د) 6

51 (1) -31 هتغيص يتافيلا ضمح C15H25COOH ددع ناف طباورلا C=C ضمحلا يف : أ
ب 3 ةعبشملا ليكللاا عم ضمحلاب ليكللاا ةنراقمب
52 ةيئيزجلا ةعيصلا C5H10O نع يعت ....... أ) ليبورب ليثيا يثيا - لاناتنب ب)2-ليثيم لاناتويب - 2- نوناتنب ج) كيوناتويب ضمح – 3 لوناتنب د)ضمح كيوناتنب - 3 نوناتنب ليثيم
ب 2-ليثيم لاناتويب- 2- نوناتنب
53 بشم يتافيلا بكرم نم كيوزنب ضمح ىلع لوصحلا نكمي نم ع للاخ.... أ- ةنجله مث ةدسكا ب- ةدسكا مث ةرملب ج – ةدسكا مث ليكشت ةداعا د- ةجرده مث ةرملب
ج ةدسكا مث ليكشت ةداعا
54 رضحي بكرملل رموزيا ربتعي يذلا رتسلاا
لعافت نم : • أ- ب لوناثيم عم كيمروف ضمح - لوناثيا عم كيوناثيم • ج- د لوناثيم عم كيوناثيا - لوناثيا عم كيوناثيا
CH3COOCH3
ب كيوناثيم لوناثيا عم
55 لوحك محب ةضمحملا مويساتوبلا تاناجنمرب نم ةرفو ةفاضا دنع ض عم لوحكلا اذه لعافت دنعو ضمح نوكت هنم ءزج يلا كيتيربكلا نوكي نا لمتحي ةحئارلا زيمم يوضع بكرم جتن جتانلا ضمحلا : أ- ب ليثيملا تاوناتويب - ليثيملا تاوناثيا ج- د ليثيلاا تاوناثيا - ليثيملا تاونابورب
ج
ليثيلاا تاوناثيا
56 -37 لعافت دنع 0,05 mol ءام نم ةرفو عم نابن تيز نم مويلا (Br=80 ) رادقمب هتلتكدادزت 24 g ددع ام طباورلا C=C تيزلا اذه نم دحاو لوم ف ةدوجوملا • (أ) 1 (ب) 3 (ج) 5 (د) 6
ب 3
57 قرتحا 3ml نيجسكلاا نم ةرفو يف نوبركورديه نم دعاصتف9 ml و نوبركلاديسكا يناث نم 9 ml نم وه نوبركورديهلا ن ف ءاملاراخب : (CH4 ,C3H6 ,C6H12 , C6H6)
ج C
3H6
58 ف كمامأ يذلا بكرملا H3CCHCH CC COOH اذه نم لوم عم لعافتلل ةمزلالا يجورديهلا تلاوم ددع لداعتمو عبشم نافيلا بكرم لع لوصحلل بكرملا -أ3 -ب 4 -ج 5 -د 6
ج 5
59 نياكلا لع يوتحي 10 ف ءاملا عم هلعافت دنع ةرذ لوم بكرم نوكتي زفح لماوع دوجو A لايخا دنعو A نوكتي بكرم B وه ................ أ. 2- لوناتويب ب. 2 – ليثم – 2 – لونابورب ج. 2 – لوناتويب د. 2 – ليثم 1 – لونابورب
ج 2 – لوناتويب
60 y ئام للحت x C2 H2 + 2 H Br يولق طسو ف ا نوكي بكرمل y وه جتانلا -أ ب كيوناثيا ضمح - لوناثيا -ج د لاناثيا - ناثيا

لاناثيا

ج
61 z �������� ئام للحت y ��������:���� x فاج يطقت CH3 COO Na أ. بكرملا y و مروفورولكوه Z لاناثيم ب. بكرملا x و ناثيم Z كيوناثيا ضمح ـج. بكرملا y و ناثيمورولكنلاث Z كيوناثيم ضمح د. بكرملا y و مروفورولك Z لاناثيإ
ج بكرملا y و ناثيمورولكنلاث Z كيوناثيم ضمح
62 - لعافت دنع 2- ب ليثيم كيوناتوي لملا يخست مث مويدوصلا زلف عم عم جتانلا ح وه جتانلا نوكي يدوصلا يجلا : أ) 2-ليثيم ب نابورب ) ناتويب ج) 2-ليثيم د ناتويب ) نابورب
ب ناتويب

Turn static files into dynamic content formats.

Create a flipbook
Issuu converts static files into: digital portfolios, online yearbooks, online catalogs, digital photo albums and more. Sign up and create your flipbook.