ley de snell

Page 1

Modelo de rayo de luz

Las ondas electromagnéticas, como la luz, se alejan de la fuente viajandoen líneas rectas. Estas líneas reciben el nombre de rayos.

En el vacío,la luz viaja a 300.000 km/s, pero en otras sustancias como el aire, el agua y el vidrio, lo hace a menores velocidades debido a que ópticamente son másdensas.

La densidad óptica de una sustancia se refiere a cuánto la velocidad del rayo de luz disminuye al atravesarla.Cuanto mayor sea, más se desacelera la luz en relación a su velocidaden el vacío.

La medida de la densidad óptica es el índice de refracción

El índice de refracción (n) de una sustancia se define como la velocidad de la luz en el vacíodividido por la velocidadde la luz en esa sustancia.

Valores para sustancias

n = índice de refracción de lasustancia.

c = 300.000 km/s. Velocidad de la luz en elvacío.

= velocidad de la luz en la sustancia. Enkm/s.

= permitividad relativa de lasustancia.

En el vidrio,es posible aumentar el índice de refracción agregándole productos químicos.Si se produce un vidrio muy puro, se reduce el índice de refracción.

11
v
r
Una sustancia con mayor n es más densa y desacelera más la luz.
N = c/v , v = c/n = (3x10e8)/1.53 =1.96 * 10e8 (m/s) N1 * sen i = n2 * sen r

ocurre

Reflexión

mismo

medio

dirección de los rayos de

después de incidir sobre la

rige

dos principios

normal

La reflexión de la luz es el cambio de
luz que
en un
medio
superficie de un
distinto. Se
por
o leyes de la reflexión: El rayo incidente, el reflejado y la
a la superficie en el punto de incidencia están en el mismo plano El ángulo del rayo incidente Ѳi y el de reflexión Ѳr son iguales Ѳi = Ѳr

Reflexión

Aire n = 1 Vidrio n2= 1.333 N1*sen i = n2 * sen r

Refracción

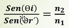
La refracción de la luz ocurre cuando esta pasa de un medio transparente con un determinado índice de refracción a otro, también transparente, con uno distinto. Se rige por dos principios o leyes de la refracción: 1. El rayo incidente, el refractado y la normal a la superficie en el punto de incidencia están en el mismo plano 2. La ley de Snell de la refracción, marca la relación entre el ángulo de incidencia Ѳi , el ángulo de refracción Ѳr ´ , y los índices de refracción de la luz en los medios 1 y 2, n1 y n2, respectivamente

Refracción

Para n1 < n2 V1 > V2

Refracción

Refracción

Refracción

Se tiene una señal que pasa del agua hacia otro material desconocido con indice de refraccion n2= 1.55 , la señal incide con un angulo de 20º, calcular el angulo con que la señal se refracta. Y el angulo de reflexion N1= 1.33 N2 = 1.55 Ang refracc =?

EJERCICIO . Se tiene una señal que pasa del AIRE hacia el agua, la señal incide con un ángulo de 45º, calcular el Angulo con que la señal se refracta. Y el angulo de reflexion

Ejercicio Practico 1 Una señal viaja en el espacio llega a una superficie que separa 2 medios en un ángulo de incidencia de 40º y se sumerge en el segundo medio el cual tiene un índice de refracción de 1,45, encuentre ángulo de refracción en el segundo medio Datos: n1 = 1.00 n2 = 1,45 Ѳ�� = 40º Ѳr′ = ???

Ejercicio Practico 1

Rayo Incidente Rayo Reflejado n2 = 1,45 Ѳr’ 26º 18’53’’ Rayo Refractado Ѳr=40º Ѳi=40º n1 = 1,00 Prolongación de Rayo de incidencia Angulo de Desviación Ѳd = Ѳi -Ѳr’ Valor Absoluto
Ejercicio Practico 1 Una señal viaja en el espacio llega a una superficie que separa 2 medios en un ángulo de incidencia de 50º y se sumerge en el segundo medio el cual tiene un índice de refracción de 1,38, encuentre ángulo de refracción en el segundo medio Datos: n1 = 1.00 n2 = 1,38 Ѳ�� = 50º Ѳ��′ = ???

Ejercicio Practico

Rayo Incidente Rayo Reflejado n2 = 1,48 Ѳr’ 33º 43’5’’ Rayo Refractado Ѳr =50º Ѳi =50º n1 = 1,00 Prolongación de Rayo de incidencia Angulo de Desviación Ѳd = 16º19’55’’
Se tiene una señal que viaja en el agua y emerge hacia el aire, incide hacia el aire con un ángulo de 25º. Calcule el ángulo de refracción, el Angulo de reflexión y el ángulo de desviación. Angulo existente entre el ángulo de reflexión y el ángulo de desviación agua aire Ang i = 25º
Ejercicio Practico Un haz de luz que viaja en el espacio llega a una superficie que separa 2 medios en y se sumerge en el segundo medio el cual tiene un índice de refracción de 1,57, formando un Angulo refracción de 35º encuentre ángulo de incidencia en el primer medio, el angulo de desviacion, el menor angulo que forma el Rayo feflejado con el rayo refractado Datos: n1 = 1.00 n2 = 1,57 Ѳ�� = ??? Ѳ��′ = 35º

Ejercicio Practico

�� Ѳ ′
Rr N l
Ejercicio Practico 3 Una señal que viaja en un medio cuyo índice de refracción es de 1,25 llega a una superficie que separa 2 medios en y se sumerge en el segundo medio el cual tiene un índice de refracción de 1,75, formando un Angulo de 35º entre el rayo de incidencia y la superficie encuentre ángulo de Refracción y el Angulo de desviación Datos: n1 = 1,25 n2 = 1,75 Ѳ�� = 55º Ѳ��′ = ???

DESARROLLO

Ejercicio Practico

Ejercicio Practico

Ejercicio Practico

1 ′

Ejercicio Practico

Ejercicio Practico

2 ′

Ejercicio Practico

DESARROLLO

Ejercicio

Ejercicio

Ejercicio

Ejercicio

Ejercicio

Ejercicio

Ejercicio

n1 = 1,00 n2 = 1,45 Rayo Refractado a 90° Ultimo rayo refractado Ultimo rayo de incidencia Que generara el ultimo Rayo Refractado

Ejercicio

Ejercicio

Rayo Incidente Rayo Reflejado Ѳr’ 43º 15’01’’ n2 = 1,35 Rayo Refractado Prolongación de Rayo de incidencia Angulo de Desviación Ѳd = 13º15’01’’ Ѳi = 30º Ѳr = 30º Angulo Limite O Angulo critico n1 = 1,85
Una señal electromagnetica que se propaga en un medio con índice de refracción de 1.4 incide sobre el aire con un ángulo de 24º. ¿Qué ángulo forman entre sí los rayos reflejado y refractado?

Turn static files into dynamic content formats.

Create a flipbook
Issuu converts static files into: digital portfolios, online yearbooks, online catalogs, digital photo albums and more. Sign up and create your flipbook.