Immunisation Taskforce Report

Page 1

Initial Priorities for the National Immunisation Programme in Aotearoa

December 2022

EMBARGOED UNTIL 5 APRIL 2023
Immunisation Taskforce Report. 1 Contents Te Reo Māori Glossary ...................................................................................................... 2 Abbreviations ..................................................................................................................... 3 Purpose .............................................................................................................................. 4 Executive Summary ........................................................................................................... 5 1. Context ...................................................................................................................... 13 2. Te Tiriti o Waitangi and equity for Māori ................................................................ 24 3. Equity for Pacific peoples ........................................................................................ 26 4. Equity for Tāngata whaikaha | Disabled people ..................................................... 28 5. Current barriers to vaccination ............................................................................... 30 6. Key priority areas ..................................................................................................... 33 7. Key measures ........................................................................................................... 76 8. Summary of recommendations ............................................................................... 77 Appendix 1: National Immunisation Schedule .............................................................. 82 Appendix 2: Vaccine administrators in Aotearoa ......................................................... 83 Appendix 3: Rationale for the Immunisation Prioritisation Matrix .............................. 84 Bibliography ..................................................................................................................... 87 EMBARGOED UNTIL 5 APRIL 2023

Te Reo Māori Glossary

Aotearoa New Zealand

Hapori Community, section of a kinship group, family, society

Hapū māmā Pregnant mothers

Hapū Kinship group, clan, subtribe

Hauora Health and well-being

Iwi Tribe, large group descended from a common ancestor

Kāpō Blind or visually impaired

Kaupapa Approach, topic, practice, principles, or ideology

Kura Kaupapa Schools operating under Māori custom, language and instruction

Mana motuhake Autonomy, self-determination, independence, authority

Marae The courtyard of a Māori meeting house

Motu Island, country

Ora Health and wellbeing

Pākehā New Zealander of European descent

Pae ora Healthy futures

Pēpi Baby

Rangatahi Young people

Rohe Territorial area

Tamariki Children

Tāngata whaikaha Disabled people

Te Ao Māori The Māori world

Te Kōhanga Reo Māori language preschool

Te reo Māori The Māori language

Te Tiriti o Waitangi The Treaty of Waitangi

Tino rangatiratanga Self-determination, sovereignty, autonomy, self-government

Whānau Family, extended family, family connection

Whānau hauora Family health and wellbeing

Whānau ora Family health and wellbeing

Whānau whaikaha Disabled family

Immunisation Taskforce Report 2
EMBARGOED UNTIL 5 APRIL 2023

Abbreviations

ACEs Adverse childhood experiences

B4SC Before School Check

CVIP COVID-19 Vaccine Immunisation Programme

CVWUS COVID-19 Vaccinator Working Under Supervision

DtaP Diphtheria, tetanus, acellular pertussis, polio, hepatitis haemophilus influenzae type b vaccine

GP General practice

HIB Haemophilus influenzae type b

ICPSA Integrated Community Pharmacy Services Agreement

IMAC Immunisation Advisory Centre

LMC Lead maternity carer

Medsafe New Zealand Medicines and Medical Devices Safety Authority

MMR Measles, mumps and rubella vaccine

MTKKE Mā Te Kōrero Ka Eke

NIR National Immunisation Register

NITAG National Immunisation Technical Advisory Group

NZEO New Zealand European / Other

NZ Dep New Zealand Deprivation Index

PCV Pneumococcal vaccine

Pharmac Pharmaceutical Management Agency

PHO Primary health organisation

PHOSA Primary Health Organisation Services Agreement

Programme (the) National Immunisation Programme

RV Rotavirus vaccine

SA2 Statistical area 2

VHW Vaccinating health worker

VV Varicella (chickenpox) vaccine

WCTO Well Child Tamariki Ora

Immunisation Taskforce Report 3
EMBARGOED UNTIL 5 APRIL 2023

Purpose

The Immunisation Taskforce report provides advice to the Chief Executives of Te Whatu Ora – Health New Zealand and Te Aka Whai Ora (Māori Health Authority) on actions to be taken locally, regionally and nationally to achieve key targets for the Aotearoa childhood vaccination schedule, influenza, and COVID-19 vaccination programmes. The goal of the report, recommendations and subsequent actions is to achieve equity across all population groups, increase ease of access to immunisation services, and improve the experience of care.

The historically low rates of current immunisations across all population groups in Aotearoa meant the Immunisation Taskforce was faced with a significant challenge in deciding where it was most critical to target its efforts first. In terms of risk and priority, childhood immunisations for tamariki (children) are one of the most effective interventions against preventable diseases that can otherwise result in a high incidence of morbidity and/or fatality. Successful completion of the immunisation schedule at 6 months of age is a strong predictor of a child’s ongoing and future vaccination likelihood

The Immunisation Taskforce has consequently focused its recommendations on achieving on-time immunisations and catch up for tamariki aged 0–5 years, particularly Māori and Pacific who are most at risk To do this, the Taskforce has recommended improving areas of the immunisation system that can deliver large benefits but are not functioning as well as they could. Achieving the target of 95% immunisation coverage in tamariki is the core objective of the recommendations in this report.

Immunisation Taskforce Report 4
EMBARGOED UNTIL 5 APRIL 2023

Executive Summary

Why was an immunisation taskforce needed?

Childhood immunisation rates in Aotearoa have fallen to critical levels: the 6-month completed immunisation rates for tamariki Māori (Māori children) in South Auckland are dire at 34%. This leaves tamariki at risk of lethal, costly, and vaccine-preventable and epidemic disease, and the health system in Aotearoa at risk of significant burden

How did this happen?

In the past two years, a dramatic decline in Aotearoa childhood immunisation rates has occurred, associated with the COVID-19 pandemic. This resulted because childhood immunisation resources were diverted to support the COVID-19 immunisation programme. This decline, however, occurred against a background of already falling childhood immunisation rates and a long history of inadequate childhood immunisation coverage. The immunisation system in Aotearoa has always failed in two respects: achieving adequate on-time immunisation rates in young tamariki and immunising Māori. The result is that those most susceptible to vaccine-preventable disease, the young and Māori, have the lowest immunisation coverage.

In 2009, childhood immunisation became a national health target. Success was achieved with increases in childhood immunisation rates and a reduction and elimination of the ethnic disparity at the 12-month and 24-month time points. These results were not achieved by addressing the multiple systemic issues in the general practice-based immunisation system but by scaffolding a secondary system to immunise children who had missed their immunisations at the scheduled times. This in itself created ethnic disparity because much higher rates of Māori and Pacific tamariki were missed and therefore had longer exposure to vaccine-preventable disease. Gains at the 6-month time point, which best measure the performance of the general practice-based immunisation system, were modest for all and ethnic disparities remained unchanged.

The gains from the secondary system at the 1-year and 2-year time points peaked in 2017, after which a steady decline occurred in overall coverage, and ethnic disparity widened until 2020 when COVID-19 arrived. Large numbers of the childhood immunisers involved in the secondary system were diverted to the COVID-19 vaccination effort. This caused childhood immunisation rates to plummet. These rates are now the lowest they have ever been and ethnic disparities have further expanded.

Immunisation Taskforce Report 5
EMBARGOED UNTIL 5 APRIL 2023

The immunisation system has always had issues

Concerns about the childhood immunisation system are not new. Numerous reports have been written and reviews undertaken of the immunisation system over the decades. All have identified many systemic issues as reasons for low immunisation uptake in some population groups. None of these reviews, however, have resulted in effective policy or practice to address the widespread systemic issues. The biggest failing of the system is the persistent ethnic inequalities, despite multiple government policies to address these

The Waitangi Tribunal WAI 2575 – Health Services and Outcomes Inquiry (WAI 2575 review) into the primary health care system in Aotearoa revealed it is not designed or funded to provide comprehensive equitable care. It also identified that the Crown had not provided oversight to the actors in the primary health care system, allowing them to avoid meeting equity targets. 1 The Immunisation Taskforce has identified systemic issues at all levels of the immunisation system. These include:

• lack of effective governance

• lack of consistency and quality of practice

• lack of oversight and measurement of outcomes

• lack of co-design or input from community groups, especially Māori.

The Taskforce concludes that the immunisation system achieves the outcomes it is funded and structured to produce; it meets the personal health needs of individuals with the resources to access care, with little consideration for equity of population needs.

The Taskforce has produced 54 individual recommendations within 10 key priority areas (summarised in chapter 8); however, this is an initial report and the recommendations provided reflect the actions that will have the most impact at this time. The distance between the current system and one that immunises all with no inequalities is wide. To move from what is an undesigned, haphazard and minimally governed system with variable practice to one that is well governed with high-quality evidence-based practice that meets the needs of tamariki will be a journey with multiple processes and hurdles to be solved. Doing this correctly will show that the Aotearoa health system truly cares for and values all tamariki equally, independent of ethnicity or disability. Tamariki in Aotearoa deserve this.

Immunisation Taskforce Report 6
EMBARGOED UNTIL 5 APRIL 2023

Recommendations made by the Taskforce

The priority areas and recommendations the Taskforce have made include a mix of actions to address the crisis that the current immunisation rates represent and measures to build an effective and sustainable process for the future.

Equity is the main goal of the recommendations because it represents the biggest failing of the system. The populations with the lowest coverage are the most vulnerable, and any system that works for these populations, especially Māori, will work for all.

Expansion of the vaccinator workforce

Although Aotearoa has a significant immunisation workforce, it is concentrated in general practice. Unfortunately, for several systemic reasons, Māori and Pacific have experienced significant barriers to accessing general practice and this is a major contribution to the ethnic inequalities in immunisation.

Well Child Tamariki Ora (WCTO) is the programme in Aotearoa contracted to provide early childhood health and development services to all tamariki under five years and their whānau. It is the Taskforce’s opinion that when these services meet unimmunised tamariki they should immunise them. Although a lot of WCTO providers can provide immunisations, this is not universal across the motu (country) and, for some regions, WCTO providers do not give immunisations at all.

A recommendation from the Taskforce is to expand the vaccinator workforce so it is diverse and reflects the populations it serves. Such a workforce will be needed to provide childhood immunisation services in multiple locations, including outreach, walk-in centres, pharmacies, schools, and marae This model worked well in the COVID-19 immunisation programme. WCTO providers should be supported, contracted, funded and resourced to provide immunisations to the unimmunised tamariki they encounter, and appropriate monitoring of outcomes should be undertaken.

Authorisation of childhood vaccinators

A barrier to expanding the childhood immunisation workforce is the complex and long process involved in becoming an authorised vaccinator, even for registered nurses. This system is more complex than comparable countries and has not changed, despite longterm inequities in outcomes. Culturally based organisations have found it difficult to convert their COVID-19 vaccination workforce into authorised childhood vaccinators.

The COVID-19 immunisation programme was associated with innovation and rapid change in the regulations of who could provide vaccinations.

Immunisation Taskforce Report 7
EMBARGOED UNTIL 5 APRIL 2023

The Taskforce recommends the revision of the authorisation process, including a review of the Immunisation Advisory Centre (IMAC), which is the sole provider of immunisation education and training in Aotearoa.

Antenatal immunisations

Antenatal immunisations (for pertussis and influenza) are a key priority of the Aotearoa immunisation strategy. They have been proven to save the lives of hapū māmā (pregnant mothers) and pēpi (babies). Additionally, a mother receiving antenatal immunisations is a strong enabler to that child receiving their immunisations. Despite this, coverage remains low and wide ethnic disparities exist. For example, overall coverage for the antenatal pertussis vaccine is 44%, with NZ European being 67% and Māori 21%.

The Taskforce found that antenatal immunisations in Aotearoa are not provided within any sort of recognisable and consistent system. No overall governance, responsibilities or accountability are in place. It is essentially left to chance, with highly variable outcomes. Studies show a large proportion of hapū māmā, especially Māori mothers, are not even informed that antenatal immunisations exist.

A nationwide, centrally governed system that provides antenatal immunisations needs to be urgently developed and enacted. This system must focus on how it would work for Māori, the group with the lowest rates of antenatal immunisations.

Enrolment into health services from birth

Successful enrolment with a primary health care provider is a strong predictor of a baby completing their 6-week immunisations on time. However, large numbers of whānau struggle to get their tamariki enrolled in a health care provider (typically general practice) and significant ethnic disparity exists for enrolment.

The enrolment system is chaotic. Despite its importance for vaccination outcomes, it lacks a clearly defined process for responsibility, accountability, and outcomes. No one is specifically responsible for ensuring a pēpi is enrolled and no one is responsible for accepting an enrolment. The enrolment system fails those most at risk of immunisationpreventable disease.

“By the end of 6 weeks of age, only 48% of children enrolled in a PHO [primary health organisation] had a contact with a primary health care practice. Furthermore, only 36% of Māori children had a contact by the end of 6 weeks of age, limiting the opportunity to have timely immunisation at 6 weeks.” 2

Immunisation Taskforce Report 8
EMBARGOED UNTIL 5 APRIL 2023

If contact is not made with a pēpi by the organisation then that enrolment lapses and those pēpi exist in an unenrolled state with no assigned provider to complete vaccinations through pre-call and recall services. This unenrolment peaks at 4 months, with 11% of Māori and 5% of NZ European unenrolled.

Ensuring enrolment with an organisation that whānau can and will engage with has the potential to dramatically increase the overall rates of immunisation and dramatically decrease the ethnic disparity.

A nationwide, centrally governed and preferably automatic system to ensure enrolment for a pēpi in a suitable primary health care organisation requires urgent action. This system must focus on how it would work for Māori, the group with the lowest rates of enrolment.

Proactive outreach immunisation services

Outreach immunisations have been successfully used to increase immunisations rates and eliminate ethnic inequalities in Aotearoa. Taking the immunisation to the child is an obvious solution to overcoming issues with access. Outreach services were previously used as a catch-up tool when immunisations had been missed. For some groups, however, like Māori and Pacific who had higher rates of missed primary vaccination, this left them exposed to potential immunisation-preventable disease for longer than other groups.

The Taskforce proposes that for groups identified as being at higher risk of under immunisation, the approach should be to proactively offer them outreach immunisation as a mechanism for achieving on-time immunisation. These groups are also those most at risk of suffering the worst consequences of immunisation-preventable disease.

To achieve this, the Taskforce has endorsed the use of the Immunisation Prioritisation Matrix (table 1), which was developed by the Northern Region Taskforce to direct their outreach services to meet the needs of these priority groups. The matrix is a mix of population risk factors and immunisations that provide the largest amount of protection.

Immunisation Taskforce Report 9
EMBARGOED UNTIL 5 APRIL 2023

Table 1: Immunisation Prioritisation Matrix

Key: 1 = highest priority, 6 = lowest priority. MMR = measles, mumps and rubella.

*Depending on coverage in region

Catch-up immunisations

The COVID-19 pandemic was associated with a dramatic decline in childhood immunisations in Aotearoa. This has left a significant number of tamariki and rangatahi (young people) under immunised. Before the pandemic, several other age groups were already unprotected against certain diseases, including measles. This represents a significant risk to herd immunity.

Several programmes and processes have tried to address the catch-up immunisation required but these were uncoordinated and left some providers wondering whose job it is to achieve catch up.

To achieve and maintain herd immunity, it is important that this immunisation catch up occurs. A nationwide, centrally governed system that provides direction and structure for catch-up efforts is required. This system must focus on how it would work for Māori and Pacific, the groups with the highest rates of missed immunisations.

The Taskforce notes that the preferred solution to these issues is a sustainable immunisation system that does not require catch up.

Funding for providers that is long-term and sustainable

For many years, general practice has maintained that funding for immunisation is not sufficient to deliver the outcomes expected. Other providers, including Māori and Pacific

Immunisation Taskforce Report 10
Quintile
Quintile
6-week 1 2 2 4 Antenatal pertussis and flu 1 2 2 4 MMR 1 1 1 1 or 2* 3 3-month 2 3 3 4 5-month 2 3 3 4 MMR 2 3 4 4 5 4-year 3 5 5 6
Māori Pacific
5 Non-Māori & non-Pacific
1-4 Non-Māori & non-Pacific
EMBARGOED UNTIL 5 APRIL 2023

providers, have had no clear pathway to a funding agreement for immunisation services. In the future, a sustainable and long-term funding pathway is needed. In 2022, a primary care funding review was initiated by Manatū Hauora – Ministry of Health, which will report in 2023.

As seen in the COVID-19 immunisation programme, expanded services and locations, district-level coordination and planning, and national monitoring were required to achieve high levels of coverage. For childhood and antenatal vaccines, this will include pharmacy, lead maternity carers, WCTO services and culturally based (Māori and Pacific) organisations. For this to work, all organisations involved in childhood immunisations will require sustainable long-term funding to achieve successful outcomes for all.

Governance, technical advice and service coverage oversight

The amount of governance for immunisation in Aotearoa varies across all levels of the system. It is unclear why this is because comparable countries have immunisation governance groups.

No one is clearly defined as being responsible for providing immunisations to individual tamariki and no one person or organisation is assigned accountability for the delivery of vaccinations in Aotearoa

For the immunisation system to be successful and thrive, governance must be in place. This needs to be implemented quickly at all levels. It needs to take charge of the immunisation system in Aotearoa by assigning roles, quality standards, system design, and monitoring of outcomes, particularly for Māori.

Development of new provider and consumer-facing resources for immunisations

The information for consumers about childhood immunisations is technical and difficult for whānau to find. The Taskforce recommends a simple consumer-based interface for whānau that focuses on the immunisation journey, from antenatal to tamariki aged 5 years, and includes resources on vaccine safety and effectiveness.

The Taskforce notes that the evidence shows most New Zealanders are happy to immunise and protect their tamariki. Therefore, the Taskforce does not recommend allocating significant resource to address concerns about immunisation, because this is not a significant cause of under-immunisation in Aotearoa

Immunisation Taskforce Report 11
EMBARGOED UNTIL 5 APRIL 2023

Quality and standards for providers delivering immunisations to tamariki in New Zealand

Multiple studies and reports have identified many barriers that certain groups face in accessing primary care, most notably Māori and Pacific. These reviews, however, have not resulted in any effective policy or practice to address these barriers to care.

The WAI 2575 review of primary care showed the system was failing. It was not funded or structured to provide equitable outcomes, and the lack of oversight by the Crown meant individual actors in the primary care system could opt out of addressing inequity in their practice.

Because general practice is the main provider of immunisations, any enhancements in the way it provides immunisations could result in a large improvement in immunisation outcomes.

Rebuilding the immunisation system must include a programme that monitors, audits and enacts national equity policy for all providers. Co-design, especially with Māori, will be essential to redesigning an equitable immunisation system.

Immunisation Taskforce Report 12
EMBARGOED UNTIL 5 APRIL 2023

1.Context

The childhood immunisation system has never provided on-time immunisations at the requisite levels for all tamariki (children) in Aotearoa. Ethnic disparity is entrenched in the system, with Māori continually having significantly lower levels of immunisation than NZ Europeans

Immunisation is the premier public health intervention with a supreme cost–benefit profile. Immunisation protects tamariki from preventable diseases that cause serious illness and death. When vaccination coverage is high, the impact of infectious disease is significantly reduced. However, when coverage drops, unnecessary deaths and morbidity occur. This is particularly relevant now that the national border has re-opened to travellers after closures for the COVID-19 pandemic. The influx of travellers is likely to cause an increase in vaccine-preventable disease incidence and puts tamariki at risk of epidemic disease.

In Aotearoa, vaccines in the National Immunisation Schedule are offered free of charge to pēpi (babies), tamariki, rangatahi (young people) and eligible adults. Most immunisations are given in the first two years of life and provide significant protection for tamariki, who are more vulnerable to vaccine-preventable disease. The National Immunisation Schedule, which outlines the timeline for vaccinations in Aotearoa 1, is attached as Appendix 1.

Despite vaccinations being free for children, immunisation rates for tamariki have historically been below the required target of 95% immunisation coverage. A persistent and significant equity gap has also existed, whereby tamariki Māori are more likely to have significantly lower vaccination rates than Asian, NZ European and Pacific tamariki. Immunisation coverage below target and with equity gaps leave tamariki Māori disproportionately vulnerable and exposes Aotearoa to significant risk of vaccinationpreventable disease outbreak through inadequate herd immunity.

In 2009, a concerted effort to address inequitable immunisation coverage and ethnic disparity began. This resulted in a rise in completed vaccinations and near-removal of differences between ethnicities at some time points, most notably the 1-year and 2-yearold time points (figure 1). This result was achieved by creating a targeted system through outreach immunisation to vaccinate children who did not receive their vaccinations in general practice. Although multiple strategies were used, outreach was a successful component for all groups, including Māori. While some success was seen, gains at the 6 months of age time point, which best indicates on-time vaccination, were modest at best and showed no reduction in ethnic disparity (figure 2).

1 Current as of February 2023

Immunisation Taskforce Report 13
EMBARGOED UNTIL 5 APRIL 2023

Immunisation coverage peaked in 2017 but then declined. The onset of the COVID-19 pandemic diverted resources and the vaccinating workforce away from childhood vaccination from 2020. This resulted in childhood immunisation rates rapidly decreasing and the equity gap between tamariki Māori and non-Māori widening.

To help address these issues, the Taskforce has been set up to work with the National Immunisation Programme to rapidly improve on-time immunisations and catch up for tamariki aged 0–5 years. Prioritising tamariki, particularly at-risk populations, will help establish an immunisation programme that has a life-course focus and wider whānau context. Barriers to immunisation have been well described in multiple reports, commentary and research. The challenge for the Taskforce is to present solutions to first rapidly increase immunisation rates, particularly for Māori in the current crisis, and then develop a sustainable and equitable immunisation system that achieves on-time immunisation for all. This system must prioritise those most at risk of vaccine-preventable disease.

Overview of immunisation coverage and trends over time

Figure 1 and Figure 2 show that, if done well, ethnic disparity and barriers to immunisation can be overcome for deprived Pacific populations. The figures also show the decline in childhood immunisation rates since the start of the COVID-19 pandemic, along with the overall decline in Māori immunisation rates since 2017. The existing equity gap within childhood immunisation coverage has become significantly more pronounced since the start of the COVID-19 pandemic, affecting tamariki Māori disproportionately. In 2020, the equity gap for tamariki Māori increased from a 10 percentage point difference, compared with NZ European tamariki, to a nearly 20 percentage point difference by mid-2022.

Immunisation Taskforce Report 14
EMBARGOED UNTIL 5 APRIL 2023

Note: NZE = New Zealand European.

Source: Ministry of Health

Figure 2: Completed immunisations at 6 months (%), by ethnicity

Note: NZE = New Zealand European.

Source: Ministry of Health

Immunisation Taskforce Report 15
Figure 1: Annual immunisation rates for tamariki aged 2 years (%), by ethnicity
EMBARGOED UNTIL 5 APRIL 2023

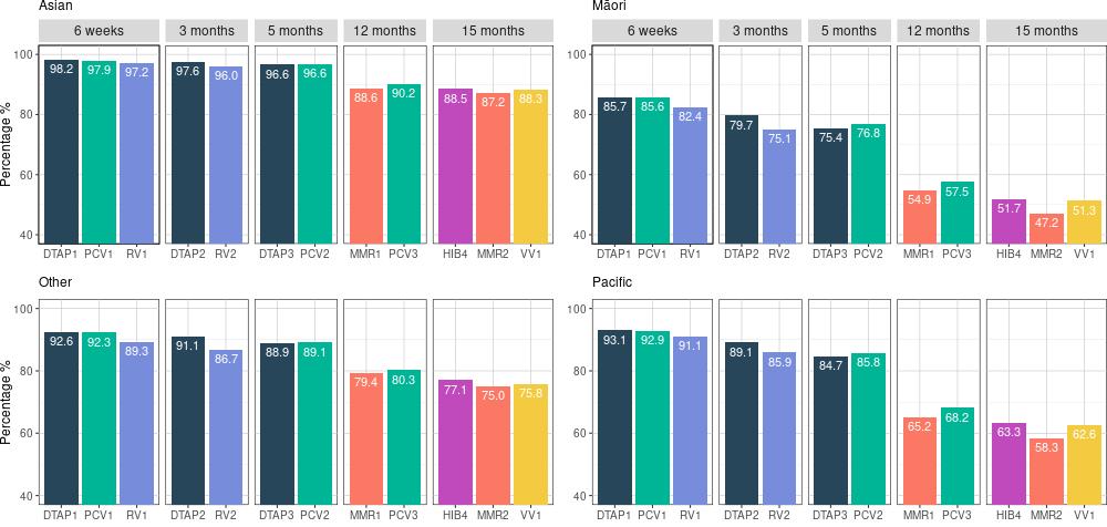
Figure 3 shows that national vaccination rates for tamariki aged 18 months were high for immunisations given in the first 5 months of life but declined for later milestones (12months and 15-months). When immunisation uptake is broken down by ethnicity, it reveals a significant equity gap for Māori (figure 4). Childhood immunisation rates continue to decline across other ethnicities after the 6-month milestone, with the biggest decline and disadvantage seen in Māori and Pacific tamariki. Efforts to increase vaccination uptake to reach herd immunity should therefore be specifically targeted towards groups that are under immunised.

Note: DTaP = diphtheria, tetanus, acellular pertussis, polio, hepatitis B, haemophilus influenzae type b; HIB = Haemophilus influenzae type b; MMR = measles, mumps and rubella; PCV = Pneumococcal; RV = Rotavirus; VV = Varicella (Chickenpox)

Data cohort: Children born in January to December 2020 who turned 18 months between July 2021 and June 2022. n = 60,169.

Source: National Immunisation Programme, Te Whatu Ora – Health New Zealand

Immunisation Taskforce Report 16
Figure 3: Immunisation rates nationally (within 3 months of eligibility) by schedule milestone
EMBARGOED UNTIL 5 APRIL 2023

Figure 4: Immunisation rates (within 3 months of eligibility) by schedule milestone and ethnicity

Note: DTaP = diphtheria, tetanus, acellular pertussis, polio, hepatitis B, haemophilus influenzae type b; HIB = Haemophilus influenzae type b; MMR = measles, mumps and rubella; PCV = Pneumococcal; RV = Rotavirus; VV = Varicella (Chickenpox).

Source: National Immunisation Programme, Te Whatu Ora Health – New Zealand

In October 2020, the vaccination schedule was changed so doses of the measles, mumps and rubella (MMR) vaccination are given at both 12 months and 15 months of age. This replaces the previous schedule where the second dose of MMR was given at 4 years of age. Current data shows uptake of a second dose of the MMR vaccine is particularly low, bringing the overall childhood immunisation coverage rate down across the motu and across all ethnicities. Currently, Māori tamariki have an MMR dose 1 coverage of 54.9%, compared with 79.4% in non-Māori/non-Pacific/non-Asian children (figure 5).

Immunisation Taskforce Report 17
EMBARGOED UNTIL 5 APRIL 2023

Figure 5: Immunisation rates (within 3 months of eligibility) by dose number and ethnicity

Note: HIB = Haemophilus influenzae type b; MMR = measles, mumps and rubella. Data cohort: Children born in January to December 2020 who turned 18 months between July 2021 and June 2022. n = 60,169

Source: National Immunisation Programme, Te Whatu Ora – Health New Zealand

National Immunisation Programme

The National Immunisation Programme (the Programme) is part of the Prevention Directorate in the National Public Health Service, Te Whatu Ora – Health New Zealand. The Programme has the overarching responsibility of providing immunisations across the motu, including COVID-19 immunisations, through partnering with Te Aka Whai Ora (Māori Health Authority), health districts, local providers, and the wider health and wellbeing system.

The Programme was formed at the end of 2021 with the merger of the COVID-19 Vaccine and Immunisation Programme and the existing Immunisation Team within the Ministry of Health. Under Te Whatu Ora, the role and function of the Programme is operational and focuses on implementation, enablers, and supporting districts and providers to deliver vaccinations across the motu. The Programme builds on the successes of the COVID-19 Vaccine and Immunisation Programme by leveraging and extending technology, systems and resources set up for the roll out of the COVID-19 vaccine.

The Pharmaceutical Management Agency (Pharmac) is responsible for deciding which medicines and pharmaceutical products, including vaccines, are purchased and for setting the eligibility criteria for these products. The Programme advocates for an equity-focused approach to eligibility and funding of vaccines. It works with Pharmac to progress any

Immunisation Taskforce Report 18
EMBARGOED UNTIL 5 APRIL 2023

decisions regarding widening access to eligibility and helps raise awareness of the importance of immunisation.

The Programme is focused on addressing the rates of childhood immunisation, which have fallen over the past five years, and the challenges that have arisen due to the COVID-19 pandemic. To accelerate and sustain the equitable delivery of childhood immunisations, with a particular focus on tamariki Māori, the Programme is working in partnership with Te Aka Whai Ora, primary care, the health districts, Māori and Pacific health providers, and others in the broader health sector.

The Programme is building relationships with health and education providers to support immunisation service delivery and provide wraparound support. Mā Te Kōrero Ka Eke is the national kaupapa Māori approach being used to engage with whānau, hapū and iwi of Kura Kaupapa 2, Te Kōhanga Reo 3 , and other education providers to deliver immunisations and health services.

Mā Te Kōrero Ka Eke is the first national hauora programme delivered in te reo Māori, grounded in Te Ao Māori (the Māori world) and delivered through a whānau-centred lens to support whānau hauora (family health and wellbeing) aspirations and mana motuhake (self-determination). This strategy and associated events are tailored to the unique needs of the communities and whānau they serve.

COVID-19 learnings

The COVID-19 Vaccine and Immunisation Programme was the largest immunisation programme ever delivered in Aotearoa. Although it was world leading in the coverage achieved, inequities remained in vaccination coverage, hospital admissions and deaths. Many learnings from the COVID-19 pandemic can be used to rapidly and equitably increase childhood immunisations.

Funding for COVID-19 vaccine roll out

The infrastructure established to respond to COVID-19 enabled district-level coordination that is not currently funded in the same way as for childhood immunisations. For the COVID-19 vaccine roll out, the Government allocated $66 million to establish the necessary infrastructure and purchase the correct equipment, such as medical supplies and freezer storage, and for distribution. In addition, $120 million was allocated to the Māori Communities COVID-19 Fund to accelerate Māori vaccination rates and support Māori, iwi, community organisations and providers to deliver local vaccination initiatives for whānau.

Immunisation Taskforce Report 19
2 Schools operating under Māori custom, language and instruction
EMBARGOED UNTIL 5 APRIL 2023
3 Māori language preschool

Enabling more Māori and Pacific providers to deliver vaccinations

Throughout the COVID-19 vaccine roll out, Māori and Pacific providers, who have trusted relationships with whānau, delivered whānau-centric, community-led immunisation services, and supported vaccine literacy and access. The leadership and engagement from these providers were paramount in improving vaccine uptake in Māori and Pacific communities. Many of these services have now shifted towards delivering community-led events that place a greater focus on celebrating ora (wellbeing), with childhood vaccinations being a core part of that focus.

Essential to the COVID-19 vaccination success was the strengthening of partnerships and relationships between the Programme, district health boards, Māori and Pacific health providers, and communities. Strong relationships were built and trust was maintained throughout the COVID-19 pandemic response and vaccination roll out. It is important these partnerships and relationships continue to grow.

Using alternative vaccination sites

The mobilisation and diversification of vaccination services were key activities used to address the barriers to COVID-19 vaccination for communities. The outreach immunisation services used during the roll out of the COVID-19 vaccine can be applied to other vaccines and providers to deliver immunisations in new and varied settings, such as drive-through sites, marae, places of worship, and community gatherings and events.

Community pharmacies played a large role in the COVID-19 vaccination programme and were an important part of the delivery model for whānau. The Programme is working with the pharmacy sector to enable appropriately trained pharmacists to deliver more vaccinations to whānau. This work includes the removal of the age restriction from the Medicine Regulations 1984 for the influenza vaccine and promoting the availability of vaccinations at pharmacies. Enabling pharmacists to deliver teenage and adult immunisations can help free up vaccinator capacity at general practices and Māori and Pacific health providers for immunising tamariki.

Several initiatives worked well during the COVID-19 roll out to increase accessibility for whānau whaikaha (disabled families). These could be replicated for other immunisation roll outs, including:

• health districts offering home vaccination visits for disabled people unable to travel to vaccination sites

• providing a range of locations to allow disabled people to be vaccinated in a place more convenient and familiar for them (for example, general practice, pharmacy, popup clinics in community locations and home visits).

Immunisation Taskforce Report 20
EMBARGOED UNTIL 5 APRIL 2023

The Programme continues to work closely with its partners in Whaikaha (Ministry of Disabled People) to build understanding and solutions to improving childhood immunisation rates in whānau whaikaha.

Increasing the vaccinator workforce

In response to the COVID-19 pandemic, the Programme developed the roles of provisional vaccinator and COVID-19 Vaccinator Working Under Supervision (CVWUS) along with a national authorisation process for them. A centralised authorisation and registration process was also implemented for all vaccinators, with the goal of increasing this workforce.

Te Whatu Ora has begun the transition of the CVWUS workforce to the new Vaccinating Health Worker (VHW) role, which builds on the success of the CVWUS role and allows vaccinators to administer a wider range of vaccines. The first phase of the VHW learning pathway has been rolled out. It includes administration of influenza and COVID-19 vaccines for those aged 12 years and over, and HPV (human papillomavirus) and Tdap (tetanus, diphtheria, and pertussis) for those aged 11 years and over. Phase two of the programme is now being implemented. This includes the administration of all stage one vaccines and MMR for those aged 5 years and over. This will be available to VHWs from mid-November 2022. As of 28 November 2022, 87 VHWs were authorised to administer stage one vaccines, of which 52% are Māori and 7% Pacific. This shows the VHW role is meeting the need of increasing the number of Māori vaccinators, with the aim to also increase Pacific vaccinators over time.

Data partnerships and sharing for targeted outreach

During the roll out of the COVID-19 vaccine, data sharing agreements were established with iwi, hauora providers, health districts, primary health organisations (PHOs) and government agencies to actively share COVID-19 vaccination data. These agreements have been expanded to include data on other immunisations, including MMR, to enable informed and agile decision-making and vaccination service provision.

Aotearoa currently has around 30 Māori and Pacific data partners, of which half have requested MMR immunisation data. Data-sharing partnerships with iwi and collectives, such as the Data Iwi Leaders Group and Whānau Ora Commissioning Agency, recognise the Programme’s obligations under Te Tiriti o Waitangi to reach hapori (community), respond to community need, and enable greater data sovereignty and mana motuhake 4, to achieve improved immunisation rates for Māori.

Immunisation Taskforce Report 21
EMBARGOED UNTIL 5 APRIL 2023
4 Autonomy, self-determination, independence, authority

Information about COVID-19 immunisations was recorded in the COVID-19 Immunisation Register. The Register helped control COVID-19 by recording the immunisations people received or chose not to receive and providing information about immunisation coverage across the population

Engaging communities

During the COVID-19 vaccine roll out, the Programme used research and evidence to support engagement with communities. This included a whānau-centred approach to immunisations and clear calls to action in the design and delivery of communication and engagement initiatives. These included national promotion through television and radio, direct communication, local mobilisation and provider resources and support.

Whakarongorau Aotearoa (New Zealand Telehealth Services) was contracted to provide outbound calling campaigns to eligible groups to provide information about vaccinations and support people to make a vaccination appointment. District health boards were also provided with call-back lists of those eligible for vaccinations who did not have appointments booked, enabling effective catch up.

The COVID-19 Population Identification and Registration system was developed to support the roll out of the COVID-19 vaccine. This system is a hub for data flow between systems, allowing invitations to be generated for eligible people who have not yet been vaccinated.

Opportunity for improvement

The health system reforms implemented on 1 July 2022 will result in a system that is nationally led, regionally delivered and locally tailored. The Pae Ora (Healthy Futures) Act 2022 took effect on 1 July 2022. It established three new entities:

• The new public health agency within the Ministry of Health to lead and strengthen public health

• Te Whatu Ora – Health New Zealand, as the national organisation to lead and coordinate delivery of health services across the country

• Te Aka Whai Ora (Māori Health Authority), as an independent statutory authority to drive improvement in hauora Māori.

The Act establishes iwi–Māori partnership boards to represent local Māori perspectives on the needs and aspirations of Māori with respect to planning and decision-making for health services at the local level.

Te Pae Tata (Interim New Zealand Health Plan) sets out the first two years of the health system transformation to improve the health and wellbeing of all New Zealanders. Te Pae Tata includes six priority actions, all of which are relevant to a system for childhood vaccinations:

Immunisation Taskforce Report 22
EMBARGOED UNTIL 5 APRIL 2023

1. place whānau at the heart of the system to improve equity and outcomes

2. embed Te Tiriti o Waitangi across the health sector

3. develop an inclusive health workforce

4. keep people well in their communities

5. develop greater use of digital services to provide more care in homes and communities

6. establish Te Whatu Ora and Te Aka Whai Ora to support a financially sustainable system.

Improving delivery of the childhood immunisation programme will require:

• inequities to be addressed and targeted solutions identified

• strong and consistent clinical and programme governance, including active monitoring of outcomes

• improved information and patient management systems, including a redesign of the National Immunisation Register into the new Aotearoa Immunisation Register

• access to services that meet the needs of users

• an engaged, appropriately trained and supported workforce

• consistency in processes, including telehealth

• improved collaboration with iwi and community leaders.

Immunisation targets

The aim of the Taskforce is to develop recommendations that will enable the system to achieve rapid catch up of under-vaccinated tamariki Māori and Pacific and embed an immunisation programme that achieves on-time vaccination of the whole population to target levels of 95% fully vaccinated.

The Taskforce recommends the following groups are prioritised in all actions:

• all tamariki, but in particular:

• tamariki Māori

• Pacific tamariki

• tamariki with disabilities

• hapū māmā (pregnant mothers)

Immunisation Taskforce Report 23
EMBARGOED UNTIL 5 APRIL 2023

2. Te Tiriti o Waitangi and equity for Māori

The ability of immunisations to prevent individual and population morbidity and mortality from diseases that have killed an uncountable number of tamariki throughout history is incredibly powerful. This power makes it possible to use immunisation to eliminate inequities in health outcomes. However, the goal of achieving equitable health outcomes is futile if a health system has inequitable immunisation policies and the lives of certain populations have less value than others. Aotearoa has always had inequitable immunisation coverage, with Māori, the poor and Pacific populations bearing the brunt of this systemic indifference.

Article 3 of Te Tiriti o Waitangi explicitly states equity of outcomes for Māori and the Crown’s obligation for active protection, yet since 1840, the signatories have had two trajectories. They have been parallel, with Māori being inferior to Pākehā. These inequities are now embedded in all systems in Aotearoa, including education, justice and health. Little or no converging of these trajectories has occurred.

Inequities in the Aotearoa health care system have been well described since colonisation. National health and primary care policy have long had equity as a stated goal. Stage one of the WAI 2575 Health Services and Outcomes Inquiry examined the policy and practise of primary care and its ability to address equity for Māori. It concluded that the primary care system has never functioned in a way that achieves equity. It reported:

“The permissive nature of the primary health care framework, with its considerable devolution of responsibilities, permits actors in the health sector to downplay their responsibilities to improve inequitable health outcomes for Māori and to abide by Treaty obligations.” 3

“Primary Health Care in our system fails in its core functions of meeting the basic health care needs of those who are most in need, as evidenced by huge amounts of data which convey the human reality of the system which is not meeting the needs of those most in need.” 4

The WAI 2575 review concluded that the Crown must actively manage the primary health care system through strong leadership, to ensure equity and meet its obligations under Te Tiriti o Waitangi.

Immunisation Taskforce Report 24
EMBARGOED UNTIL 5 APRIL 2023

One of the report’s main recommendations was the establishment of an independent Māori health authority, which has now been established as Te Aka Whai Ora.

Equity is the core principle of the Pae Ora (Healthy Futures) Act 2022. Health inequities are unfair, avoidable, and remediable. To achieve health equity, health outcomes need to be consistent for all groups in New Zealand. The Act legislates the transformation of the Aotearoa health system to eliminate health inequities using the principles of Te Tiriti o Waitangi and Māori leadership.

The Act provides a legislative framework to address the health system in Aotearoa that has historically served non-Māori, non-Pacific groups well and failed to adopt whānau ora (family health and wellbeing) or whānau-centric health care. An example of how an equitable immunisation system might work was demonstrated during the COVID-19 pandemic, where funding was given to Māori health care providers to deliver COVID-19 vaccinations; this had not previously been done to increase childhood immunisations.

Health professionals and planners now have a legal and ethical obligation to work toward eliminating such inequities. This task can no longer be deferred and it is everyone’s job to perform. This transformation may be difficult, requiring strength and boldness to confront why Aotearoa has such an inequitable health system and what can be done to fix it, but it will be worth it. If all tamariki get immunised, irrespective of ethnicity or disability, it will show that everyone is valued equally.

Immunisation Taskforce Report 25
EMBARGOED UNTIL 5 APRIL 2023

3. Equity for Pacific peoples

Pacific peoples experience poorer health outcomes than other New Zealanders across several health and disability indicators. They exhibit a lower life expectancy than other ethnic groups, excluding Māori, and social and economic factors are known to contribute significantly to their relatively poorer health status.

Of all population groups, Pacific peoples are most affected by inequities in the distribution of the socioeconomic determinants of health. Compared with all other ethnic groups, Pacific peoples are more likely to live in neighbourhoods of high deprivation, have the lowest median household incomes, higher unemployment rates, the lowest rates of home ownership, and the highest rates of household crowding.

In Aotearoa, socioeconomic deprivation is directly related to health care access. Results from the New Zealand Health Survey show that Pacific peoples experience very high rates of unmet need for care compared with the total Aotearoa population: 33% of Pacific peoples (and 29% of the total population) report not seeing their primary health care practitioner when needed, with most of this unmet need (20% of all Pacific peoples, 15% of the total population) being related to cost. 5

Location of services, appointment times, cultural and communication factors, cost, and family and other commitments all affect Pacific peoples’ access to health care.

Despite these barriers, Pacific peoples have been able to achieve high rates of childhood immunisation, particularly in older age groups. Until the onset of the COVID-19 pandemic, Pacific children had the highest completed immunisation rates at 1 year and 2 years. Disparities still existed at the 6-month time point, reflecting difficulties in access, but these rates were significantly higher than for Māori. Unfortunately, childhood immunisation rates for Pacific have fallen again due to the COVID-19 pandemic.

The high rates of immunisation were achieved using culturally appropriate health services and the strong community links that exist in many Pacific populations. These links were successfully used to increase the Pacific immunisation rates for the COVID-19 immunisation programme.

The excessive burden of disease, poverty and overcrowded housing experienced by Pacific peoples make them highly vulnerable to vaccine-preventable disease. Epidemic disease, such as a measles outbreak, will hit Pacific communities hard. This justifies targeted policies to increase and maintain high childhood vaccination rates in Pacific peoples.

Immunisation Taskforce Report 26
EMBARGOED UNTIL 5 APRIL 2023

Fortunately, a proven formula works in Pacific populations through community-based and culturally appropriate care. Re-energising previous success in this population and focusing on proactive vaccination strategies to achieve on-time vaccination in young children can be successful with appropriate policies, engagement and investment.

Building specific goals into Te Whatu Ora and Te Aka Whai Ora localities’ health plans –along with providing dedicated resources to achieve desired targets – may be a way of ensuring improved outcomes for both Māori and Pacific communities.

Immunisation Taskforce Report 27
EMBARGOED UNTIL 5 APRIL 2023

4. Equity for Tāngata whaikaha | Disabled people

The current health system in Aotearoa does not work for Tāngata whaikaha | Disabled people. Disabled people in Aotearoa experience many inequities when accessing health services, including poorer health outcomes compared with non-disabled people. Inequities in access to health care are particularly intensified for Māori disabled people, Pacific people with disabilities and disabled people who experience other forms of intersectional marginalisation. Without any historic efforts to collect disability data, the voices, experiences and health outcomes of Tāngata whaikaha | Disabled people are not reflected in health system priorities, policies or accountabilities. This historic ableism and “invisibility” of disabled people in the health system has caused significant inequities in timely and appropriate access to COVID-19 vaccinations and other interventions, despite being named as a priority group.

The WAI 2575 review found that the Crown had failed in its duties to provide adequate health services for Tāngata whaikaha for an extended period, and that Tāngata whaikaha continue to have less adequate access to health and disability services compared with the population as a whole.

“Over time, Tāngata whaikaha, including kāpō Māori [blind or visually impaired Māori], have been subjected to culturally unsafe models of health, institutional racism, and both explicit and implicit bias within health and disability services.” 6

Tāngata whaikaha | Disabled people can experience inequities from the current immunisation system in several ways, such as the following.

• Disabled tamariki who are neuro-diverse experience additional trauma through the vaccination experience.

• Disabled parents of tamariki may be unable to immunise their children in a system that is not adequately equipped to support them through their child’s vaccination journey.

• Without accessible information (that is, alternative formats), disabled people (children, parents and adults) may not understand what immunisations are or why they are important.

• Without supported decision-making processes, many disabled people are unable to understand and consent.

Immunisation Taskforce Report 28
EMBARGOED UNTIL 5 APRIL 2023

• Without adequate processes and support systems before, during and after the vaccination, many disabled people are unable to get vaccinations at all for themselves or their children and whānau.

Disabled people also often have co-morbidities, which place them at further disadvantage. Infection from a preventable disease can disproportionately exacerbate those comorbidities, which puts them at higher risk of negative outcomes. Awareness of the extra challenges that disabled people face in accessing and receiving vaccinations is an important priority that must be addressed for immunisation coverage to be truly equitable.

In assessing any potential initiative, consideration must be given to the effects of any innovations on inequity (positive or negative) especially for Māori, Pacific and disabled people.

Immunisation Taskforce Report 29
EMBARGOED UNTIL 5 APRIL 2023

5. Current barriers to vaccination

Reasons for the decline in childhood immunisations are complex and cannot be explained by a single factor. A Taskforce-commissioned literature review of the research regarding barriers to childhood immunisations revealed the following systemic barriers, which helped to inform the key recommendations outlined in this report.

Deprivation

1. Poverty and factors related to poverty are recognised as being among the more persistent barriers to immunisation in Aotearoa.

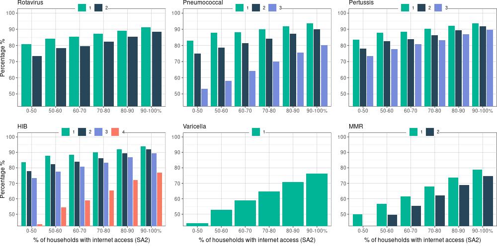
2. Studies both nationally and internationally have consistently found that the most deprived areas exhibit the lowest immunisation rates, except for Asian populations (figure 6). In the most deprived areas, it is not necessarily a matter of choice to not vaccinate a child but rather the result of family situation, life situation, services accessibility or unsupportive social settings 7

Figure 6: Immunisation rates within 3 months of eligibility, by deprivation score and ethnicity

Note: MMR = measles, mumps and rubella; NZ Dep = New Zealand Deprivation Index. Source: National Immunisation Programme, Te Whatu Ora – Health New Zealand

Immunisation Taskforce Report 30
EMBARGOED UNTIL 5 APRIL 2023

Access

1. Despite childhood immunisations being free, costs are associated with getting to vaccinations, such as transport, time off employment and family members owing money to practices. Clinic times often clash with work, school pickups, availability of child-minding for children not requiring vaccination at the same time, or other whānau responsibilities.

2. Research findings consistently show that people experiencing low socioeconomic status have difficulty accessing quality primary care. 8, 9 In Aotearoa, 50% of Māori live in households found in the lowest three neighbourhood deciles of socioeconomic status.

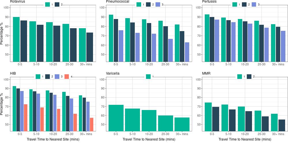
3. Figure 7 shows that vaccination rates are lower the further someone lives from their nearest general practice.

Note: HIB = haemophilus influenzae type b; MMR = measles, mumps and rubella.

Source: National Immunisation Programme, Te Whatu Ora – Health New Zealand

Primary care practice and health professional determinants

1. The attitudes and knowledge of health professionals strongly influence the decisions of the communities they serve. This includes actively demonstrating an acceptance of vaccination, to be vaccinated themselves and to provide up-to-date, knowledgeable guidance to their patients. 10

2. The immunisation coverage achieved by general practices in Aotearoa varies widely. Socioeconomic factors have a pervasive effect on immunisation coverage that is not explained by other practice or health professional characteristics. 11

Immunisation Taskforce Report 31
Figure 7: Immunisation rates within 3 months of eligibility, by travel time (minutes) and dose
EMBARGOED UNTIL 5 APRIL 2023

Racism

1. Racism is increasingly recognised as a significant determinant of health that results in avoidable and unfair disparities in health outcomes across racial or ethnic groupings. Within Aotearoa, the presence of racism in the health and disability system and its impact on health outcomes has been well evidenced and researched. 12

2. Emerging evidence suggests a correlation between experiences of discrimination and increased risk of childhood hospitalisation from infectious disease, with the likely link being immunisation timeliness. 13

3. Figure 2 (page 15) shows that at the 6-months of age time point, ethnicity predicts a child’s immunisation coverage. That this ethnic disparity has remained unchanged for 13 years shows that systemic racism persists in the immunisation programme. It also shows that Māori have a lower immunisation rate than Pacific, a group with worse deprivation. This persistent gap can only be explained by systemic racism.

Other factors can further contribute to vaccine hesitancy, as discussed below.

Adverse childhood experiences and stress

1. Adverse childhood experiences (ACEs) include child maltreatment (physical, psychological, sexual and neglect) and other sources of chronic trauma in childhood, such as growing up in a household affected by domestic violence, substance use and other criminal justice problems.

2. ACEs are widespread and associated with adverse outcomes in later life. Although suffering ACEs is not deterministic, recent studies have linked ACEs with lower levels of trust, including in health and other public services, and increased vaccine hesitancy. 14

Trust

1. Trust is an important component of the decision-making process leading to consent to immunise children. Research has shown that with the increasing number of vaccines available, an increase in questioning is occurring over whether there are too many or if the vaccines are too new. 15

2. Māori parents were shown to have a strong preference for their pēpi to be immunised in more family supportive environments; the reverse may be true for Pacific families who feel uncomfortable with unknown people coming into their homes. However, if they know the provider, Pacific families are comfortable with home visits.

Concern over vaccine safety

1. Research shows that concerns about the risk or side effects of vaccinations are frequently cited as a reason for incomplete immunisations. Disinformation exists that links vaccines to illnesses, such as autism or cot death, and other misinformation that leads to the underestimation of the necessity for vaccines 16

Immunisation Taskforce Report 32
EMBARGOED UNTIL 5 APRIL 2023

6. Key priority areas

The Taskforce has identified 10 key priority areas where funding and resources should be diverted. The 10 key priority areas, listed below, will have the most impact on rapidly increasing childhood immunisations.

Ten key priority areas

1. Expansion of vaccinator workforce

2. Authorisation of childhood vaccinators

3. Antenatal immunisations

4. Enrolment into health services from birth

5. Proactive outreach immunisation services

6. Catch-up immunisations

7. Funding for providers that is long-term and sustainable

8. Governance, technical advice and service coverage oversight

9. Development of new provider and consumer-facing resources for immunisations

10. Quality and standards for providers delivering immunisations to tamariki in New Zealand

6.1. Expansion of vaccinator workforce Context

Aotearoa currently has a childhood vaccinator workforce that is not diversified across organisations and lacks Māori and Pacific childhood vaccinators. This is a barrier for childhood immunisations being given on time, as well as catch-up immunisations for tamariki who are overdue. Several reasons exist for why this workforce is in crisis, such as the following.

• General practice nurses are the dominant provider of childhood immunisations.

• Training to become an authorised vaccinator is extensive compared with other similar countries, such as Australia.

• Pharmacist vaccinators are currently unable to administer immunisations to tamariki aged less than 3 years, with the exception of MMR and paediatric influenza vaccines.

• Not all Well Child Tamariki Ora providers are contracted to deliver childhood immunisations, despite whānau contact at significant milestones.

Immunisation Taskforce Report 33
EMBARGOED UNTIL 5 APRIL 2023

A major barrier to expansion of the workforce is the requirements to become an authorised vaccinator in New Zealand. These requirements are extensive in comparison with countries such as Australia and the United Kingdom. However, the COVID-19 Immunisation Programme showed that new authorisation processes can be implemented to rapidly and safely expand the vaccinator workforce. As part of the response to the COVID-19 pandemic, the Programme developed the COVID-19 Vaccinator Working Under Supervision (CVWUS) role and a national authorisation process for this. In addition, the Programme is supporting health districts to expand the vaccinating workforce with the vaccinating health worker (VHW) role. The role enables non-clinical health workers to administer vaccines under direct clinical supervision and expands and diversifies the vaccinator workforce.

Aotearoa has a strong COVID-19 vaccinator workforce that could be rapidly trained to provide childhood immunisations, along with Māori and Pacific health care providers with the infrastructure and knowledge to provide culturally focused health care. A barrier, however, is that new Māori and Pacific providers face significant up-front costs that are not currently funded, such as vaccine fridges to meet cold chain requirements.

Reclassification of vaccines

In Aotearoa, only certain vaccinators can administer vaccines to tamariki aged 0-3, which is a barrier to increasing childhood immunisation uptake. In September 2022, a submission was made to Medsafe’s Medicines Classification Committee proposing to widen the classification for several vaccines to allow all vaccinators (meeting certain conditions) to administer them. This would broaden the scope of vaccinators, namely pharmacist vaccinators, who are able to administer the scheduled vaccines to all ages. Further, reclassification would minimise the burden on nurse vaccinators, who are the main workforce administering vaccines under the current classification.

Enabling Well Child Tamariki Ora providers to deliver immunisations

Well Child Tamariki Ora (WCTO) is New Zealand’s main programme that contracts providers to provide early childhood health and development services to tamariki and their whānau. In late 2018, the Government commissioned a review of WCTO in response to concerns about equity of access and outcomes for tamariki and whānau.

The review’s main findings were that the WCTO programme needed to be redesigned, delivered and resourced differently to promote equity, particularly for pēpi, tamariki and whānau, and specifically for Māori, Pacific, and those with disabilities who are in state care or have high needs. WCTO services have not been appropriate, effective or sufficiently accessible to many Māori whānau and parents. A shift in focus is needed that favours flexibility and culturally focused models of care.

Immunisation Taskforce Report 34
EMBARGOED UNTIL 5 APRIL 2023

Te Pae Tata (Interim New Zealand Health Plan) includes the new Kahu Taurima programme. This programme integrates maternity and WCTO early years’ service for a child’s first 2,000 days, from conception to 5 years of age, across Aotearoa. This will be a priority for the first two years of the Aotearoa health system reform. The main proposition of Kahu Taurima is that a child’s first 2,000 days lay the foundation for their entire future; it is a critical period that affects a lifetime of health and wellbeing.

“Nearly half of Māori women do not have a Lead Maternity Carer in their first trimester of pregnancy and more than half of Māori children have not received their vaccinations by 18 months of age.” 17

On-time immunisations are critical for ensuring a lifetime of good health and wellbeing. Despite playing an integral role in delivering and connecting tamariki to health care, not all WCTO providers have been able to provide immunisations. The Taskforce sees this as a major issue in preventing on-time immunisations. Figure 8 shows the contact WCTO providers make with tamariki in their first four years of life, which are important opportunities for WCTO providers to deliver immunisations.

Figure 8: Well Child Tamariki Ora core contacts 18

Note: B4SC = Before School Check; GP = general practice; LMC = lead maternity carer; WCTO = Well Child Tamariki Ora.

Possible vaccination delivery models:

• WCTO providers may have their own nurse or fully authorised vaccinators who do home visits with the well child check

• WCTO provider may sub-contract nurses or fully authorised vaccinators to offer vaccination with the Well Child check

• WCTO provider may collaborate with other local providers, including the general practice (GP) or health district, to offer vaccination with the Well Child check

• WCTO provider may collaborate with other local providers, including the GP or health district, to follow up offering vaccinations after the Well Child check.

Initial work to enable a more whānau-centred approach to WCTO services was undertaken by the WCTO team through the Kahu Taurima pilots in the Lakes, Tairawhiti and Counties Manukau health districts. This has paved the way for the National Immunisation

Immunisation Taskforce Report 35
EMBARGOED UNTIL 5 APRIL 2023

Programme to allow WCTO providers to deliver immunisations directly or through partnerships. The initial focus has been on non-Plunket Māori and Pacific health care providers. The Taskforce is advised that work is under way to increase the number of WCTO providers that are contracted to deliver childhood immunisations across the motu (table 2).

Table 2: Well Child Tamariki Ora providers contracted to deliver, or that have established pathways to offer childhood immunisations, by district (excluding Plunket) as of 29 November 2022

Districts

Total Well Child providers

Source: National Immunisation Programme, Te Whatu Ora – Health New Zealand

Immunisation Taskforce Report 36
Contracted to deliver or already offering childhood immunisations Percentage offering childhood immunisations (%) Te Toka Tumai (Auckland, Waitematā and Counties Manukau) 9 9 100 Taranaki 2 2 100 Tairāwhiti 2 2 100 Lakes 4 4 100 Wairarapa 2 2 100 Nelson Marlborough 2 2 100 Canterbury 3 3 100 West Coast 2 2 100 South Canterbury 1 1 100 Capital and Coast 5 4 80 Southern 3 2 67 Bay of Plenty 7 4 57 Waikato 6 4 67 Mid Central 4 4 100 Te Tai Tokerau 4 2 50 Hawke’s Bay 1 1 100 Whanganui 1 0 0 Total 58 48 79
EMBARGOED UNTIL 5 APRIL 2023

Summary and recommendations

Current problems

1. Not enough vaccinators are working in systems or organisations that provide childhood immunisations to under-immunised populations. This is a barrier to expanding vaccination services.

2. The current regulations for who can administer vaccinations and where create limitations and act as a barrier to vaccination, particularly for Māori and Pacific populations (see second key priority area below).

Causes

• Although many practitioners can provide immunisations to children, they are concentrated in general practice. Other organisations that provide childhood immunisations to under-immunised populations, such as iwi providers, struggle to have enough authorised childhood vaccinators.

How we can achieve equity

• Increase the number of vaccinators authorised to provide childhood vaccinations. Support increasing the type of services that are providing childhood immunisation so whānau have a choice of provider.

• Investigate the current blocks to COVID-19 Vaccinators Working Under Supervision transitioning to Vaccinating Health Workers.

• Reinvestigate which services should be providing opportunistic childhood immunisations, based on service use by Māori, Pacific and disability populations, and support staff within those services to become vaccinators and to have immunisation included in their service descriptions.

Immunisation Taskforce Report 37
EMBARGOED UNTIL 5 APRIL 2023

#1 Recommendations: Expansion of vaccinator workforce

1. Increase the number of vaccinators authorised to provide childhood vaccinations.

2. Provide a one-off establishment fee to hauora providers that are new to vaccination. This will cover start-up costs, such as vaccine fridges for cold chain requirements, staff training and other resources.

3. Fund vaccinator training courses for hauora provider staff.

4. Enable all Well Child Tamariki Ora providers to deliver childhood immunisations.

5. Provide appropriate training and funding to different childhood immunisation providers so that whānau have choice of provider.

6. Investigate and urgently address the current blocks to COVID-19 Vaccinators Working Under Supervision transitioning to Vaccinating Health Workers.

7. Investigate what steps can be taken to increase uptake of the Vaccinating Health Worker model, including if changes are needed to the role of the supervisor.

8. Nationalise the Standing Orders used during the assessment process of a new vaccinator.

6.2. Authorisation of childhood vaccinators

Overview of workforce development and training

A current barrier to on-time immunisations is that only fully authorised vaccinators can administer vaccines to tamariki under 3 years of age. This is exacerbated by the current vaccination authorisation process, which is complex and a potential barrier to becoming authorised as a vaccinator. Appendix 2 shows the vaccinator roles in New Zealand, what vaccines they can deliver, and to whom 5

It takes a team and significant infrastructure to provide a successful immunisation programme, with the vaccinator being only one member of the team. No internationally agreed ratio exists of the number of vaccinators required in a population to provide a comprehensive immunisation programme. This is likely due to the significant national differences in the training, authorisation, contracts and employment of these staff and other members of the vaccination team.

5 Current as at 16 February 2023

Immunisation Taskforce Report 38
EMBARGOED UNTIL 5 APRIL 2023

For most vaccinators in Aotearoa, immunisation forms only one part of their contract, for example, public health nurses providing school-based vaccination events and practice nurses immunising in the general practice context. Potential vaccinators, for example, paramedics, need to approach their district medical officer of health to ask about their ability to become a vaccinator in that district. Authorisation processes are specific to profession, client age groups, delivery sites and districts. The exception is the provisional vaccinator and CVWUS roles, which were authorised centrally through the DirectorGeneral of Health.

Experience during the COVID-19 pandemic with COVID-19 immunisation showed that byMāori, for-Māori, with-Māori, and similar approaches for Pacific communities, had excellent outcomes for COVID-19 vaccination. Many of these teams used the CVWUS model, accessed free training, and often worked in partnership with mainstream vaccination services, such as general practice teams and COVID-19 response teams. Along with the vaccination team having relationships with the community, the model’s effectiveness was also built off whānau-centred and culturally responsive approaches. These included community-based and mobile events and collaboration across services to share resources and tools for clinical safety and quality, with district-level coordination.

Role of the Immunisation Advisory Centre

The Immunisation Advisory Centre (IMAC) is the national agency for immunisation information and advice. It provides vaccinator training and updates for health professionals, a national 0800 immunisation call line, national immunisation coordination, cold chain advice and resource development. IMAC’s current contract runs until December 2025.

The current vaccinator authorisation process is governed by legislation and administered by the Ministry of Health. IMAC is the sole funded supplier for vaccinator training, with the authorisation regime usually regulated by local medical officers of health. The Taskforce sees this as a possible barrier towards rapidly developing a diverse vaccinator workforce. IMAC’s role as a sole provider has been associated with low immunisations rates at critical time points and a persistent and increasing ethnic disparity. Given this, it is appropriate to review IMAC’s role as sole provider of immunisation education and training, and whether a better model is more appropriate, especially for Māori.

Current issues with the authorisation process

1. The pathway to gain and maintain vaccinator authorisation is currently complex, confusing, lengthy and resource intensive, with district-level differences in application processes.

• Positive changes in response to the COVID-19 pandemic have removed some but not all of the challenges. These changes include immunisation in pharmacies, the

Immunisation Taskforce Report 39
EMBARGOED UNTIL 5 APRIL 2023

introduction of provisional vaccinators, and the CVWUS transitioning to the VHW role, which is authorised nationally.

• Vaccinators have different restrictions on client age groups they can immunise, based on their level of authorisation; for example, 3 years and over, 5 years and over, 11 years, 12 years and 16 years and over.

2. The steps required to enable vaccinators to expand from immunising adults to children, especially those under 3 years of age, are difficult.

• Assessors need to complete a significant training programme.

• It can be difficult to arrange for a child requiring vaccination to be at a setting that is new to the provision of childhood vaccinations.

• Qualifying assessments can be delayed through the need to wait for vaccines to be specifically available, such as the annual influenza vaccine.

3. Supervisors for VHWs are required to be based within the service where the worker is employed. This reduces opportunities for collaboration, for example, a VHW taking a whānau to a general practice team and vaccinating them there under supervision of a practice nurse.

Summary and recommendations

Current problem

4. The current regulatory settings for authorisation to provide childhood immunisations are a barrier to expanding the immunisation workforce.

Causes

• It is unclear why Aotearoa has developed such a complex system for vaccinator authorisation. In comparable countries, such as Australia, authorisation processes are much less complex for certain groups (for example, registered nurses).

• IMAC is the sole Te Whatu Ora-funded provider for vaccinator education and training of childhood immunisation in Aotearoa. The ongoing ethnic disparities in childhood immunisations require a review of this organisation’s function.

• Ensuring a sufficient supervisor workforce for training vaccinators is a challenge. The current training requirements include an independent clinical assessment. This requires the coordination of the training vaccinator, a child requiring vaccination and a registered assessor to be in one place.

Immunisation Taskforce Report 40
EMBARGOED UNTIL 5 APRIL 2023

• Discussions with Māori and Pacific providers, including those on the Taskforce, have shown that certain providers have had significant difficulty in training their experienced staff to become authorised vaccinators.

• The authorisation process, as with the immunisation system, does not have equity built into its design. No evidence can be seen of incorporating the needs of Māori or Pacific, or the principles of Te Tiriti o Waitangi. As such, the authorisation process requires a complete redesign.

How we can achieve equity

• Redesign the authorisation system for administering childhood immunisations. The redesign must:

• take into account the principles of Te Tiriti o Waitangi

• encourage a short registration process for highly experienced practitioners

• include the necessary flexibility to achieve equity.

#2 Recommendations: Authorisation of childhood vaccinators

9. Align the immunisation authorisation process in Aotearoa to comparable countries, such as Australia.

10. Reduce the complexity of the current vaccinator training, assessment, and authorisation processes while maintaining the required clinical safety and quality requirements.

11. Review the role of the Immunisation Advisory Centre as sole provider of authorisation services, particularly in providing equitable outcomes and their acceptance by Māori organisations.

12. Investigate if the cost of some vaccinator training courses is a barrier to completion within hauora providers.

13. Te Whatu Ora and Te Aka Whai Ora work with the Nursing Council of New Zealand to support the inclusion of vaccinator training in all appropriate Nurse Entry to Practice programmes (first year of Registered Nurse practice).

14. Expand the centralised authorisation of vaccinators to include all vaccinators (currently only provisional vaccinators and COVID-19 Vaccinators Working Under Supervision are authorised nationally).

6.3. Antenatal immunisations

Antenatal immunisations are a key priority in the Aotearoa immunisation strategy. High levels of antenatal pertussis and influenza immunisations will save the lives of hapū māmā and pēpi.

Immunisation Taskforce Report 41
EMBARGOED UNTIL 5 APRIL 2023

Pregnancy places the immune system under stress meaning mothers and their not-yetborn babies are susceptible to severe vaccine-preventable disease, most notably influenza and more recently COVID-19, which can result in hospitalisation and death. For example, the Australia and New Zealand Intensive Care Influenza Investigators and Australasian Maternity Outcomes Surveillance System reported that in the 2009 A/H1N1 influenza season, pregnant women/people had a thirteen-fold risk of intensive care unit (ICU) admission, compared with non-pregnant women/people of the same age. Among pregnant women/people admitted to ICU, 11% of pregnant women/people died, 12% of babies died and 39% of babies were born preterm. 19 In a developed country, this sort of preventable mortality is unacceptable, and immunisation should be routinely prioritised as part of comprehensive antenatal care.

Pertussis can be a severe disease, particularly in young babies, causing respiratory, feeding and neurological complications. Unfortunately, pertussis is endemic around the world. In Aotearoa, cases are frequently detected in our communities. Antenatal immunisation for pertussis from 16 weeks of pregnancy has been shown to be highly effective (91–93% effective) in preventing spread to babies. Immunisation provides maternal antibody protection to babies against pertussis in the 6-week period between birth and their first immunisation. 20, 21, 22 Similarly, influenza vaccination in pregnancy provides critical protection to both hapū māmā and their pēpi for the first 6 months of life 23, 24

Antenatal immunisation programme

The Ministry of Health introduced antenatal influenza immunisation in 2010 and antenatal pertussis immunisation in 2013. However, antenatal vaccination has only ever achieved partial coverage (figures 9–11). A significant ethnic disparity also exists with considerably lower rates of antenatal immunisation in Māori and Pacific populations (figure 10 and figure 11).

Immunisation Taskforce Report 42
EMBARGOED UNTIL 5 APRIL 2023

Source: Ministry of Health data

Note: NZEO = NZ European / Other

Source: Ministry of Health data

Immunisation Taskforce Report 43
Figure 9: Total antenatal coverage in Aotearoa (2017 to 2021) for pertussis and influenza vaccines Figure 10: Antenatal pertussis vaccine coverage by ethnicity in Aotearoa (2017 to 2021)
EMBARGOED UNTIL 5 APRIL 2023

Note: NZEO = NZ European / Other

Source: Ministry of Health data

Reasons for low rates of antenatal immunisation are multifactorial. Studies in Aotearoa on why antenatal immunisations were not occurring indicated that a major reason was because many hapū māmā reported not being informed about or offered immunisations Vast geographical differences also occur, particularly in maternal immunisation coverage. 25 The studies showed most hapū māmā wanted antenatal immunisations, mainly to protect their pēpi, 26 , 27, 28 and that communication about maternal vaccinations resulted in an immediate 80% uptake among Māori mothers. Other studies have shown that improving systems to address access increased overall antenatal immunisation rates and doubled the uptake of antenatal immunisation among Māori mothers. 29

Primary care general practice has been the main provider of antenatal immunisations. Lead maternity carer (LMC) midwives are qualified to prescribe and administer vaccines, but currently no funding mechanism or structural support is in place for them to provide antenatal immunisations. More recently, pharmacies, antenatal clinics and other outreach providers have offered antenatal vaccinations. 30 One study describes in a small retrospective audit that a more integrated approach to antenatal care, including strong communication between GPs and LMCs, resulted in much higher rates (79% compared with 44%) of pertussis vaccination, and that setting a recall in the GP practice management system was the strongest predictor of vaccination. 31 While pockets of better immunisation rates may exist, such as this study describes, they fall short of ideal and a large disconnection remains. Overall, in Aotearoa, no systematic approach exists to offering antenatal vaccination.

Immunisation Taskforce Report 44
Figure 11: Antenatal influenza vaccine coverage by ethnicity in Aotearoa (2017 to 2021)
EMBARGOED UNTIL 5 APRIL 2023

The lack of a systematic approach is further exacerbated for hapū māmā Māori. For several reasons, including workforce pressures and distrust, a small proportion of hapū māmā do not receive any or receive only partial antenatal care. However, nearly all hapū māmā Māori have an interaction with the health system during pregnancy, with many seeing general practice and almost all getting an ultrasound scan or blood testing. This is a counterpoint to the argument that hapū māmā are hard to identify. Practitioners ordering and providing ultrasound and laboratory services are an obvious entry point to start comprehensive system improvements to achieve high levels of immunisations.

Summary and recommendations

Current problems

1. Aotearoa does not currently immunise enough hapū māmā against influenza, pertussis or COVID-19, exposing them and their pēpi to preventable serious and fatal disease.

2. Maternal immunisation rates for Māori and Pacific women are inequitable compared with other New Zealanders. Māori and Pacific infants are also more likely to require hospitalisation with pertussis than those from other ethnic groups.

Causes

• Low immunisation rates and inequality between Māori and Pacific women compared with other New Zealanders are the result of a lack of a systematic approach to antenatal immunisations in Aotearoa.

• Hapū māmā are not consistently being offered antenatal immunisation information.

• Many hapū māmā experience barriers to accessing primary health care immunisation services.

• The antenatal care system is under significant pressure for several reasons including workforce shortages.

How we can achieve equity

1. Ensure approaches tailored to the specific needs of Māori and Pacific populations are included in a systemic immunisation approach, to improve immunisation uptake for all hapū māmā.

2. Concentrate on the systems that are barriers to immunisations and put energy into the enablers of antenatal immunisations.

3. Establish a more targeted approach to antenatal immunisation. The maternal pertussis vaccination provides protection to highly vulnerable neonates before the 6-week

Immunisation Taskforce Report 45
EMBARGOED UNTIL 5 APRIL 2023

immunisation. In addition, the completion of maternal immunisation is a significant enabler to a māmā taking her pēpi for a 6-week immunisation.

#3 Recommendations: Antenatal immunisations

15. Convene an expert working group to develop and implement a comprehensive antenatal immunisation system to:

• put Te Tiriti o Waitangi obligations and equity considerations at the forefront of systems planning

• consider how antenatal immunisation data is collected, reported, monitored and acted upon

• build a positive culture of antenatal immunisation

• take an integrated approach: break down barriers to a shared health information system and foster relationships between providers, to work together to improve vaccination rates

• ensure locality plans include antenatal immunisation activity.

16. Ensure antenatal immunisations are included in the work of a future National Immunisation Technical Advisory Group (NITAG).

17. Provide information to hapū māmā about antenatal immunisation at every point of contact with the health system.

• Education for antenatal health workforce (including midwives, antenatal obstetric clinics, general practitioners, obstetricians, pharmacy, labs and so on) with an expectation that antenatal immunisation will be discussed.

• Consider the value of antenatal immunisation targets to incentivise health practitioners.

18. Expand the options for access with a particular focus on hapū māmā Māori and Pacific people.

• Expand places and times that antenatal immunisation can be given, for example, midwifery clinics, pharmacies, parent education sessions, local marae, outpatient and inpatient hospital settings.

• Implement funding for lead maternity carer midwives to prescribe and administer antenatal immunisations, where practicable.

19. Implement a mechanism for registration of pregnant people so they can be pre-called and recalled for antenatal vaccination, and their infants can be proactively enrolled at birth.

Immunisation Taskforce Report 46
EMBARGOED UNTIL 5 APRIL 2023

6.4. Enrolment into health services from birth

Context

Current enrolment processes in primary care create barriers to the enrolment of children that directly affect the timely immunisation of tamariki in Aotearoa. Tamariki Māori are disproportionately affected by delays and gaps in enrolment in primary care, which is contributing to their staggeringly low rates of childhood immunisation. 32 Quarterly immunisation data to June 2022 shows that, at 6 months of age, 45.9% of Māori were fully immunised compared with 72.8% for NZ European. 33

Primary care is the basis of the current immunisation programme. The LMC provides immunisation and enrolment information to pregnant women in their care and notifies the National Immunisation Register (NIR), or preferred primary care provider for the baby, when a child is born. This should lead to the newborn becoming “pre-enrolled” for 3 months. Pre-enrolment allows a GP or nurse practitioner to arrange 6-week immunisations or send recall notifications to whānau if they are missed. After 3 months, the pre-enrolment status of the newborn will expire unless updated to “enrolled” through completion of the enrolment process.

The current birth notification and enrolment processes are flawed and result in critical immunisations being missed. A 2022 review of the PHO enrolment of newborns concluded that contact at primary care is not timely enough to deliver the first scheduled set of immunisations at 6 weeks. 34

“By the end of 6 weeks of age, only 48% of children enrolled in a PHO [primary health organisation] had a contact with a primary health care practice. Furthermore, only 36% of Māori children had a contact by the end of 6 weeks of age, limiting the opportunity to have timely immunisation at 6 weeks.” 35

Māori children, followed by Pacific children, have the highest percentage of disenrollment after a prior PHO enrolment (figure 12). Māori and Pacific children are also more likely to remain unenrolled for longer after pre-enrolment status has lapsed. For 35% of Māori and 29% of Pacific children who had a lapsed pre-enrolment, it took three or more months for them to be re-enrolled. This compared to 25% or below for other ethnicities. 36

Non-enrolled tamariki are not in a system of proactive pre-calls or recalls for vaccination, other than by NIR alerts, for example, when the 6-week scheduled vaccination is 4 weeks overdue.

Immunisation Taskforce Report 47
EMBARGOED UNTIL 5 APRIL 2023

The process to full enrolment is sequential and is required to occur within the first 12 weeks from birth, at which time pre-enrolment (and the primary care capitation payment) will stop (figure 13). Small gaps in achieving pre-enrolment occur due to lack of an NIR nomination feed and non-success of the NIR nomination process with the GP, when the nomination is left hanging in the system, or because of preterm births. Local district NIR coordinators tidy up this process; however, the timeliness is variable. The largest disparity occurs at the point of achieving full enrolment in primary care.

Immunisation Taskforce Report 48
Figure 12: Percentage of New Zealand children born in 2021 who were disenrolled after having a prior primary health organisation enrolment in the first 14 months of life, by ethnicity 37
EMBARGOED UNTIL 5 APRIL 2023

Confusing and conflicting information about eligibility requirements

Widespread confusion exists in general practice around the proof required to determine a baby’s identity and eligibility for enrolment. Many practices are directed by their PHOs to ask for a baby’s birth certificate as proof of eligibility before changing from newborn enrolment status to full enrolment. Barriers to families accessing birth certificates (including a cost of $33) lead to delays in full enrolment. If the family has not provided a birth certificate before newborn enrolment expires at 3 months (12 weeks), the child may become unenrolled. Tamariki Māori are disproportionately affected, with 15.2% of Māori babies becoming unenrolled after a period of enrolment with primary care (table 3). 38 When newborn pre-enrolment status lapses and a child becomes unenrolled, the child is no longer included in general practice or PHO immunisation recall systems, or proactively offered scheduled immunisation.

Immunisation Taskforce Report 49
Figure 13: Newborn primary care process from birth / national immunisation register (NIR) nomination to full enrolment
EMBARGOED UNTIL 5 APRIL 2023

Table 3: Percentage of New Zealand children who have experienced interruptions in primary health organisation enrolment of more than a month after initial enrolment, by ethnicity23

The Ministry of Health regulations state that a child under 18 years is eligible for enrolment if they are in the care of a parent who is eligible, and there is no requirement for a child’s birth certificate if a parent has been shown to be eligible. 39 The Ministry of Health regulations and the Primary Health Services Agreements are informed by the Health and Disability Services Eligibility Direction 2011, which states a child is eligible to receive services if a parent is eligible. 40, 41 Te Whatu Ora Health Payment Integrity Auditors confirm there is no requirement for children of an eligible parent to prove eligibility for enrolment in a PHO by presenting a birth certificate. 42

It is therefore unfortunate that Te Whatu Ora Eligibility Checklists advise that a child’s birth certificate should be provided as evidence a child is in the care or control of an eligible adult. 43 Birth certificate proof is not needed because general practices receive data linking

Immunisation Taskforce Report 50
Enrolment continuity Māori (%) Pacific peoples (%) Indian (%) Chinese (%) Other Asian (%) European /other (%) Overall (%) No disenrollment after initial enrolment 84.8 87.5 92.8 95.1 94.2 92.6 90.6 Enrolment “gap” after preenrolment (children subsequently enrolled) 6.5 5.5 4.0 2.8 3.2 4.1 4.7 Enrolment “gap” after confirmed enrolment (children subsequently enrolled) 0.9 1.3 1.6 1.1 1.1 0.9 1.0 Unenrolment after prior enrolment and not yet reenrolled 7.8 5.7 1.6 1. 1.5 2.4 3.8 Children who had experienced a month or more of unenrolment after a prior enrolment 15.2 12.5 7.2 4.9 5.8 7.4 9.4
EMBARGOED UNTIL 5 APRIL 2023

a mother to her child via maternity and newborn discharge summaries, NIR nominations and National Enrolment Set data.

All children under 18 years of age are eligible to receive the scheduled vaccines, regardless of their immigration and citizenship status. 44 However, enrolment in primary care means the practice is contractually responsible for ensuring a child is offered immunisation. 45

While this Taskforce is focused on immunisation, it is worth noting that the disparities experienced with enrolment into primary care and the delivery of immunisation are reflected in the access to other core child health services, such as WCTO services. 46 Nationally joined up data systems are required for systematic processes, to ensure tamariki are receiving all of the core health services they are entitled to.

Primary care is not delivering equitable childhood immunisation to Māori. The current enrolment processes in general practice have clear evidence of racial inequity, particularly for Māori, and clear evidence can be seen of systemic barriers that contribute to this inequity.

Summary and recommendations

Current problems

1. The current newborn enrolment process in general practice has clear evidence of racial inequity, particularly for Māori. This is directly affecting pre-call and recall for scheduled childhood immunisation and contributing to the disparity in immunisation.

2. Tamariki are “falling off” enrolment in primary care at 12 weeks of age when they have not achieved the full enrolment process, meaning they are no longer actively recalled for vaccination.

Causes

• Systemic barriers, including:

• the complexity of the process

• inconsistent criteria to prove eligibility.

• General practices are not consistently meeting the obligations of Te Tiriti o Waitangi and equity in proactive engagement with families to achieve enrolment, affecting precall / recall for childhood immunisations.

• The newborn enrolment process is complex and has numerous points of failure that prevent on-time immunisations being administered; it is a system issue that needs sorting out.

Immunisation Taskforce Report 51
EMBARGOED UNTIL 5 APRIL 2023

• Proving eligibility for health services is an issue preventing enrolment and there is inconsistency in the documentation required. This disproportionately affects tamariki Māori.

How we can achieve equity

• Ensure eligibility barriers are urgently addressed and widely communicated.

• Offer alternative kaupapa Māori options and choices for scheduled childhood immunisation.

• Implement nationally joined up data systems and processes to ensure babies are not missing out on core health services, including immunisation.

• Hold primary care to account for their Te Tiriti o Waitangi obligations to Māori and equity obligations to priority populations.

Immunisation Taskforce Report 52
EMBARGOED UNTIL 5 APRIL 2023

#4 Recommendations: Enrolment into health services from birth

It is recommended a Te Tiriti o Waitangi equity lens is placed on the primary health care enrolment process in Aotearoa and inequities are urgently addressed by:

20. Building on the COVID-19 approach, using Whakarongorau – New Zealand Telehealth Services as a recall/ pre-call service and triage to booking with GPs or Māori / Pacific providers, depending on preference.

21. Offering alternative options and choices for scheduled childhood immunisation, including kaupapa Māori services, to tamariki Māori.

Ensuring eligibility barriers are urgently addressed and widely communicated in the following ways:

22. Te Whatu Ora removes the advice to provide a child’s birth certificate as proof of relationship to an adult from its eligibility checklists

23. Primary health organisations (PHOs) provide advice to general practices that children of eligible parents do not need to present a birth certificate to prove eligibility for enrolment

24. Te Whatu Ora reviews the regulations and data systems for enrolment of newborns and children to facilitate earlier and uninterrupted enrolment of children with primary care. In addition, consider:

• eliminating the eligibility status barrier by extending the pre-enrolment period for target populations, and/or

• using maternal eligibility data held by Te Whatu Ora to automatically confirm eligibility of a baby.

25. Implementing nationally joined up data systems and processes to ensure babies are not missing out on core health services, including immunisation.

26. Strengthening primary care accountability regarding Te Tiriti o Waitangi obligations to Māori, and equity obligations, by proactively facilitating mana-enhancing early engagement with families to achieve timely 6-week vaccinations and ongoing access for health checks.

27. To avoid children becoming unenrolled after 3 months, an “opt out” system should be explored as the default.

28. Set up a system to enable direct birth notification from hospital and lead maternity carer to PHO enrolment, rather than indirectly via the National Immunisation Register. This is likely to lead to more timely and complete enrolment of newborn babies directly to PHO enrolment.

Immunisation Taskforce Report 53
EMBARGOED UNTIL 5 APRIL 2023

6.5. Proactive outreach immunisation services

Outreach immunisation services are an established component of the immunisation service across the motu. They were set up and successfully used to increase immunisation rates and reduce ethnic inequalities at the 1-year and 2-year time points between 2009 and 2017. The concept of taking the immunisation to the whānau and child instead of waiting for them to visit a GP is an obvious solution to reducing inequities. Improving access, which is one of the main barriers to immunisation uptake, will result in increased and equitable immunisation coverage in tamariki.

Although some outreach services were used by PHOs, most were organised through previous district health boards and still exist under regional and public health services.

In the current system, tamariki are referred to these services from multiple sources but mainly PHOs when they have identified that immunisations have not occurred. The current system still heavily relies on tamariki being identified through enrolment at general practice and is therefore an extension of the general practice immunisation system. The recommendation of the Taskforce is to identify those children born in populations who are not enrolling and immunising at general practice and offer them outreach immunisations to achieve on-time vaccination.

The system, as with all equity initiatives, will require funding for both staff and infrastructure to work well, especially in identifying at-risk children at birth and then immunising them. It is hoped the new Aotearoa Immunisation Register (AIR) will combine with systems like the National Child Health Information Platform to allow easy identification of certain populations and make this task much easier.

An issue faced by outreach services is that they frequently encounter significant need in the populations referred or identified for outreach. Services that encounter high needs whānau and only deliver a single immunisation are not compatible with sensible health care practice and are incompatible with Māori or Pacific models of health care. Currently, a separation exists between services that can provide outreach health care and outreach immunisation, with separate funding for each. Combining outreach immunisation and whānau ora care with adequate funding is desirable and will be a cost-effective public health initiative if combined with culturally appropriate services. This is an obvious solution to the need that exists in Māori and Pacific populations.

Prioritisation tools

The Immunisation Prioritisation Matrix (table 4) was developed by the Northern Region Taskforce (NRT) as a way for NRT to determine which tamariki to prioritise when faced with limited time and staff resources.

Immunisation Taskforce Report 54
EMBARGOED UNTIL 5 APRIL 2023

The matrix uses a mix of population factors, and benefits from certain immunisations to prioritise immunisation in certain population groups. The rationales for this approach are included in Appendix 3

Although the matrix was initially developed as a crisis tool, achieving equity in the Aotearoa immunisation system will require an approach of actively targeting disadvantaged groups. This means the Prioritisation Matrix, or some form of it, will always be required in the New Zealand health system.

Key: 1 = highest priority; 6 = lowest priority. MMR = measles, mumps and rubella.

*Depending on coverage in region

Implementing the Immunisation Prioritisation Matrix

• The target is to achieve 95% immunisation with primary series vaccinations in tamariki aged 0–5 years on time, without inequity of vaccination coverage across the population.

• In a catch-up mode and with vaccinator workforce constraint, both additional resources and a reorganisation of current resources are needed to avoid perpetuating inequity.

• The Prioritisation Matrix will need to be implemented in both primary care and immunisation outreach programmes.

Immunisation Taskforce Report 55
Māori Pacific Quintile 5 non-Māori & nonPacific Quintile 1-4 non-Māori & non-Pacific 6 week 1 2 2 4 Antenatal pertussis and flu 1 2 2 4 MMR-1 1 1 1 or 2* 3 3 month 2 3 3 4 5 month 2 3 3 4 MMR-2 3 4 4 5 4 year 3 5 5 6
Table 4: Immunisation Prioritisation Matrix
EMBARGOED UNTIL 5 APRIL 2023

Partnership and data sharing

A partnership model to enable data sharing directly with Māori was set up in late 2021 to help the COVID-19 response. The model recognises the ability of Māori to reach whānau, hapū, iwi and communities in a way that mainstream efforts may not. The genesis of the data sharing was the judicial review between the Ministry of Health and Whānau Ora Commissioning Agency. Data had never been directly shared by the Ministry of Health (now Te Whatu Ora) and Māori in this way before. In parallel, data was being shared with health districts and PHOs in the manner it had always been.

Initial challenges regarding the level of data that could be shared have been overcome to honour the Programme’s ability to meet Te Tiriti obligations and enable tino rangatiratanga (sovereignty) and mana motuhake 6. The work is based on a high-trust-based model. Most partners (for example, iwi) prefer to receive aggregated anonymised data, to protect their rohe 7 members’ privacy. This presented a challenge for partners in understanding the specific areas in a rohe to target when operating their own outreach services. Data-sharing partnerships with Pacific groups is a newer but growing area.

Recently, the Programme Engagement Leads worked closely with partners to develop an interactive data sharing mapping tool using ArcGIS. The data behind the maps are updated weekly using aggregated data to create heat maps that show vaccination status by age groups for a rohe (figure 14).

Partners have been fully involved in the ongoing development of the maps because they know what is needed in their rohe. Partners have asked for additional information, such as the locations of schools, general practitioners, pharmacies, supermarkets and churches, which are potential vaccination sites. These are now overlayed onto the maps to determine where outreach services will achieve the greatest impact.

Access is a major barrier to immunisation, so the location of outreach services is fundamental for ensuring community success with minimal disruption to whānau. The model embraces working together and mana motuhake and is a great step towards achieving Pae ora (healthy futures). The Taskforce sees supporting outreach partners through direct data sharing as a “quick win” for increasing immunisation rates in tamariki across the motu.

Immunisation Taskforce Report 56
6 Autonomy, self-determination, independence, authority 7 Territorial area EMBARGOED UNTIL 5 APRIL 2023

Key: Dark red areas have a higher number of 0- to 4-year-olds who are unvaccinated.

Source: National Immunisation Programme, Te Whatu Ora – Health New Zealand

Summary and recommendations

Current problems

1. Many populations, most notably Māori, have difficulty accessing primary care where the largest proportion of childhood immunisations are provided.

2. Lack of outreach immunisation services prevents childhood vaccinations from being administered upon identification, which therefore affects on-time and “rescue” immunisations in priority groups.

3. The NIR system waits for immunisations to be missed before recalling. If recall is not successful, then it is “handed over” to outreach immunisers. Outreach should be earlier and proactive.

Causes

• A significant shortage of outreach vaccinators currently exists.

• Not all WCTO providers are contracted to deliver immunisations, despite contact with tamariki when immunisation events are due.

Immunisation Taskforce Report 57
Figure 14: Geographical map of Whangārei showing vaccination status by age group
EMBARGOED UNTIL 5 APRIL 2023

How we can achieve equity

• Use proactive outreach immunisation to achieve on-time immunisation of the highest risk groups, particularly Māori.

• Remove the 8-month and 24-month targets and implement targets that promote ontime immunisation (for example, 6-month and 18-month milestones).

• Ensure tamariki are not slipping through the cracks by having nationally joined up data for immunisation and other core child health checks.

• Utilise the infrastructure from the COVID-19 Immunisation Programme to provide opportunistic immunisations at all moments of healthcare contact (antenatal care, emergency department, urgent care, pharmacy, or outreach).

#5 Recommendations: Proactive outreach immunisation services

29. Until an expanded outreach capacity can be developed, resources should be targeted towards at-risk populations and specific immunisations that are highly effective.

30. Prioritise on-time vaccination and reposition outreach services to proactively support achieving this for priority populations.

31. Use the Immunisation Prioritisation Matrix, developed by the Northern Region Taskforce, to prioritise services to achieve on-time immunisation in the most vulnerable groups.

32. Use partnerships between the National Immunisation Programme and outreach immunisation providers to share vaccination data and maximise uptake in priority groups. This will inform where outreach services are required, including immunisation events.

33. Identify and document all immunisations using centralised and universal immunisation records, such as the Aotearoa Immunisation Register. Mitigate risks in the transition from the National Immunisation Register to the Aotearoa Immunisation Register.

6.6. Catch-up immunisations

Due to low rates of childhood immunisation secondary to the COVID-19 pandemic, a significant number of tamariki and rangatahi do not have up-to-date immunisations. This is a risk to both individuals and the population because it undermines herd immunity through generations.

The ethnic inequalities in the immunisation system mean under-immunised tamariki are concentrated in Māori and Pacific communities. These are populations that continue to suffer both more serious and frequent burden of vaccine-preventable epidemic disease.

Immunisation Taskforce Report 58
EMBARGOED UNTIL 5 APRIL 2023

The need to achieve catch-up immunisations has been well recognised by public health services across the motu. All children up to 18 years of age are eligible to receive the vaccines listed in the national immunisation schedule, and providers are funded to administer these. Due to immunisations being missed, various communication campaigns and services have been enacted to achieve catch-up immunisations, including multiple organisations outside general practice.

Unfortunately, this multifaceted approach has been relatively uncoordinated and has left many organisations, including general practices, unclear of responsibility and priorities in the provision of catch-up immunisations.

Summary and recommendations

Current problems

1. A significant number of tamariki and rangatahi are not up to date with critical immunisations.

2.Under-immunisation is concentrated in Māori and Pacific communities and will perpetuate vulnerability to vaccine-preventable epidemic disease.

3. An uncoordinated approach has caused confusion as to who is responsible for catchup immunisations.

4. The immunisation status of tamariki and rangatahi is not easily accessed nationally through immunisation record systems, which prevents catch-up immunisations being given.

5. No national pre-call or recall messaging system is in place that notifies whānau of upcoming or overdue immunisations.

Causes

• Systemic issues with workforce, inability to identify under-immunised tamariki, and inadequate funding have resulted in long-term under immunisation of tamariki.

• The COVID-19 response significantly disrupted the childhood immunisation programme leaving immediate and future cohorts of tamariki and rangatahi vulnerable.

• Immunisation data of enrolled patients held by GPs can be different from data held by PHOs or Te Whatu Ora. This means GPs may not have a complete picture of their patients’ immunisation status and therefore who needs pre-call and recall.

Immunisation Taskforce Report 59
EMBARGOED UNTIL 5 APRIL 2023

How we can achieve equity

• Build a system that immunises tamariki on time so catch up is not required.

• Target interventions for catch up within Māori and Pacific communities.

• Review the immunisation status of enrolled tamariki or rangatahi and arrange appointments to complete catch-up immunisations. Extra services need to be complementary to general practice, not replacing.

• For any new immunisations added to the National Immunisation Programme, consideration needs to be given to providing catch-up resources to address disease burden and equity.

#6 Recommendations: Catch-up immunisations

34. Ensure adequate funding is provided to resource the immunisation workforce (planning, analytics, and vaccinators) to achieve catch-up in addition to BAU resources.

35. Embed systems that record immunisations received across the lifespan. Such documentation needs to be accessible to patients and healthcare providers so provision of opportunistic immunisation can be offered at any healthcare interaction.

36. Invest in digital solutions, such as a catch-up “calculator”, for use by immunisation providers to ensure all age-appropriate required vaccines are given in the most efficient way.

37. Invest in culturally appropriate providers to administer catch-up immunisations to Māori and Pacific communities.

38. Leverage immunisation data to establish a national system for pre-call and recall, such as notifications through SMS, phone call, or email.

39. Centralise the coordination of catch-up in the National Immunisation Programme to oversee specific goals (targets) with an equity focus, and provide communication and funding for catch-up immunisations.

6.7. Funding for providers that is long term and sustainable

Overview of current funding and contract arrangements

Outlined below are the funding streams that support the work programme around childhood immunisation.

Immunisation Taskforce Report 60
EMBARGOED UNTIL 5 APRIL 2023

In 2022, a primary care funding review was initiated by the Ministry of Health that will report in 2023. This will consider multiple providers and settings.

General practice

The Primary Health Organisation Services Agreement (PHOSA) is a national agreement outlining the terms for contracts between Te Whatu Ora and Primary Health Organisations (PHOs) and their GPs. GPs are contracted for general practice care by way of back-toback contracted provider agreements with PHOs, of which the terms are reflected in PHOSA. 47

For many years, general practice has maintained that the funding for immunisation is not sufficient to deliver the outcomes expected. Other providers, including Māori and Pacific providers, have had no clear pathway to a funding agreement for immunisation services. In the future, a sustainable and long-term funding pathway is needed.

Immunisation subsidy payments

Through PHOSA and related contracted provider agreements, GPs are contracted to deliver immunisations as part of the immunisation schedule in Aotearoa. PHOSA articulates an aim of 95% of children aged 8 months and 2 years being fully vaccinated for their age. PHOSA sets out additional requirements for PHOs and GPs relating to immunisations, which are summarised below:

• provide opportunistic immunisations to children who are casual users, and record the vaccination in the NIR within two business days of the immunisation

• refer any child who is overdue for an immunisation and who has not responded to at least three contacts to an appropriate immunisation outreach service, a Well Child Service, or the local immunisation coordinator

• undertake regular audits of the provision of immunisation services by itself and its contracted providers

• promote immunisation using evidence-based information, and ensure its enrolled population is able to make informed decisions about immunisation

• ensure that a decision by parents or guardians not to immunise their children is recorded and the health practitioner acts in accordance with that decision.

Part F of PHOSA sets out the fees applicable for vaccine administration. Subsequent letters of agreement between PHOs and Te Whatu Ora have been signed to vary these rates for Māori and Pacific patients. Currently, GPs can claim $27.84 per immunisation administered to non-Māori/non-Pacific patients and $30.16 per immunisation administered to Māori and Pacific patients. A limit is placed on claiming one vaccine per child per day. In other words, if more than one vaccine is administered at the same event, the GP can still only claim $27.84 or $30.16, depending on the patient’s ethnicity.

Immunisation Taskforce Report 61
EMBARGOED UNTIL 5 APRIL 2023

Community pharmacies

Community pharmacies are contracted by Te Whatu Ora and paid through the national Integrated Community Pharmacy Services Agreement (ICPSA). The national agreement is reviewed annually and recently had the immunisation schedule updated to allow appropriately trained pharmacy workers, mainly vaccinating pharmacists, to deliver all vaccines in the national schedule. Previously, pharmacies were contracted only to deliver influenza and MMR vaccines. This means community pharmacies on the updated ICPSA contract will be paid for all vaccines delivered in the schedule. This, however, requires appropriate training and a reclassification of vaccines to allow to occur

From October 2022, the same payments for vaccine administration offered through PHOSA to GPs now extends to community pharmacies through ICPSA (with the exception of concomitant delivery of flu and zoster vaccines). This means community pharmacies are paid $27.84 per immunisation administered to non-Māori and non-Pacific customers, and $30.16 per immunisation administered to Māori and Pacific customers, with the same limit on one claim per patient per day in place.

While it is possible some pharmacists remain on older versions of the contract, most of the 1,000-plus contracted pharmacies are expected to be covered by the new terms and rates, with around 800 pharmacies able to deliver vaccinations. Not all pharmacies offering vaccines will be able to vaccinate children because different training requirements apply. Currently, vaccinating pharmacists can only deliver MMR and paediatric influenza vaccines to children aged 0–3 years.

Another significant difference between pharmacies and GPs offering vaccinations is that pharmacies must first pay for the cost of vaccines and get reimbursed whereas these are provided free of charge to GPs.

Well Child Tamariki Ora

WCTO provides a series of 12 core checks free of charge to help families protect and improve their child’s health from birth through to 4 years of age. When a child turns 4 years of age, they receive the 13th check, referred to as the Before School Check (B4SC).

From birth up to 6 weeks, an LMC provides the core checks as part of postnatal care under the Primary Maternity Services Notice (section 88). Around two-thirds of funding for WCTO checks is centrally commissioned by Te Whatu Ora, the remaining third is locally commissioned by health districts (formerly district health boards) with local Māori, Pacific and public health providers. Whānau Awhina Plunket is contracted through a national agreement with Te Whatu Ora and is responsible for delivering the service to around 80% of the population. Funding for the B4SC is provided to health districts to deliver or subcontract to primary care services, WCTO service providers, or public health providers.

Immunisation Taskforce Report 62
EMBARGOED UNTIL 5 APRIL 2023

As a result of contracts for WCTO checks being negotiated both centrally and by health districts, it is not possible to determine the price of a check. To calculate an average price per check, information would need to be sourced from individual provider contracts. However, the Well Child/Tamariki Ora Tier 2 Service Specifications contain a guide for calculating the relative value unit for each type of check.

Lead maternity carers

LMCs work under section 88 of the Primary Maternity Services Notice, which defines ‘lead maternity care’ as providing a woman and her child with continuity of care throughout pregnancy, labour and birth, and the postnatal period. Section 88 sets out the terms and service specification in subpart DA, and claims are paid by Te Whatu Ora.

The types of services provided by LMCs include appropriate care and assessments, monitoring of pregnancy, education and advice, referrals to other service providers and diagnostics, management of birth, and postnatal consultations including the initial WCTO checks.

An important role of the LMC is to initiate transfer of care to the Well Child and primary care provider and to notify the NIR of birth information, which in turn triggers the notification for enrolment in primary care. The information and encouragement provided by LMCs is an important input to achieving on-time immunisation.

Information about maternal immunisations (influenza and pertussis) is an important part of the advice LMCs offer to pregnant women. While LMCs are able to prescribe therapeutics directly related to pregnancy, which could include vaccines, they do not offer immunisations themselves. In theory, this would be possible, however, the service is not able to be claimed through section 88 and there is no other funding available nationally to support LMCs to provide maternal immunisations.

Māori and Pacific providers of health care

Several Māori and Pacific organisations provide health care to their populations. Many of these organisations have been set up to address unmet need in their populations and communities who could not access quality care from the existing health system.

Culturally appropriate care has several major advantages to communities that have suffered ethnic health disparities in Aotearoa. These include an inherent trust in services provided by people who are of the same culture and who do not have preconceived negative ideas about people of a different culture. These services also come with a culturally appropriate approach based on a relational model rather than a transactional model.

One of the main failings of a transactional single-issue model is it ignores the vast amount of need that occurs in Māori and Pacific populations in Aotearoa. For both Māori and

Immunisation Taskforce Report 63
EMBARGOED UNTIL 5 APRIL 2023

Pacific providers and communities, interactions with a health system that does not have a holistic approach or attempt to address all of the need identified is not compatible with Māori and Pacific culture and their models of health care.

This trust and desire to achieve comprehensive care also significantly reduces barriers to accessing care for Māori and Pacific communities. This was demonstrated dramatically in the COVID-19 immunisation programme. The initial failures of COVID-19 immunisation in Māori and Pacific communities only improved with the use of culturally based organisations. These organisations knew how to access their own communities, and those communities changed from being mistrusting to responsive.

Despite this success and well-demonstrated advantages, culturally based organisations struggle to develop stable structures and staffing to provide immunisations. Māori organisations that were extremely successful in providing COVID-19 immunisations, such as Te Whanau o Waipereria and Ngāti Whātua, now have contracts to provide childhood immunisations but these are short term and funding is restricted, compared with general practice. These contracts do not specifically fund the infrastructure required for providing immunisations.

Attempts to provide comprehensive care are also complicated because the funding for specific services is siloed. For example, organisations can receive funding to provide Well Child care or outreach health care but not immunisation. The opposite situation is also true.

Significant, stable funding for culturally based organisations to provide comprehensive care to their communities in Aotearoa must be an essential approach to addressing ethnic inequalities in health care, including immunisation. Importantly, this approach is what Māori and Pacific communities want.

Summary and recommendations

Current problems

1. Funding for vaccinations is primarily available to primary care and pharmacies. This creates barriers for other providers to offer vaccinations, such as WCTO and LMCs, because they would need individually negotiated contracts to be able to claim payment for the service.

2. Māori and Pacific health providers are currently unable to provide comprehensive care to the communities they serve. The delivery of health care should be redesigned so it is culturally appropriate, comprehensive and works for Māori and Pacific populations.

Immunisation Taskforce Report 64
EMBARGOED UNTIL 5 APRIL 2023

Causes

• The current health system, and how it is funded, is designed around a Pākehā health construct and does not provide comprehensive health care for priority population groups.

• Traditionally, Māori and Pacific WCTO providers have had siloed funding. They are funded to provide either immunisation or Well Child services. This has resulted in significant loss of opportunities to provide comprehensive care that includes immunisations.

How we can achieve equity

• Fund culturally appropriate organisations to provide immunisations and childhood health care. To address inequity, funds need to be diverted from existing current services to culturally appropriate services.

• Increase funding for existing and new Māori and Pacific health organisations.

• Work closely with Te Aka Whai Ora to fund providers.

#7 Recommendations: Funding for providers that is long-term and sustainable

40. Work with Te Whatu Ora commissioning team, Te Aka Whai Ora, and other relevant entities to implement long-term, stable funding that provides comprehensive and equitable care to tamariki, including immunisations. This includes funding for coordination and monitoring at district level.

41. Investigate contracting arrangements and assess whether payments should be at least partly dependent on the immunisation coverage of enrolled patients.

6.8. Governance, technical advice, and service coverage oversight

Governance

Health governance, including for immunisation, lies with Manatū Hauora, Public Health Agency, Te Whatu Ora, Te Aka Whai Ora, Pharmac, Medsafe, Whaikaha and locality governance.

With so many actors operating across the immunisation pathway, the Public Health Agency is working with ministers to agree on the strategic priorities for COVID-19 vaccination and governance for the wider immunisation system. This work includes the

Immunisation Taskforce Report 65
EMBARGOED UNTIL 5 APRIL 2023

development of an immunisation strategy, including a proposed governance structure. This is to maintain public health oversight over vaccine purchasing and eligibility decisions and maintain COVID-19 vaccination learnings in place. It has cross-agency representation to ensure all perspectives are covered.

An interim immunisation steering group has been established to address emerging issues and approve decisions relating to the National Immunisation Programme and outbreak responses involving vaccines. This work will help influence the development of long-term sustainable solutions to childhood immunisations barriers by the Programme.

Technical advice provision

Aotearoa has no national, overarching technical advisory service to inform immunisation governance decisions. Various technical advisory groups exist or have been set up but on an ad hoc basis. These include the Immunisation Advisory Group to Pharmac and Medsafe committees and the COVID-19 Vaccine Technical Advisory Group, which will shortly be disestablished.

Service coverage oversight

The Immunisation Taskforce was commissioned in 2022 by the Chief Executive of Te Whatu Ora to provide a focus on immunisation coverage. The Taskforce is tasked with making recommendations to ensure the effective coordination of the health system to accelerate the uptake of the influenza, COVID-19, childhood, maternal, and catch-up immunisations, with a particular focus on MMR. It is not yet clear if the Taskforce will continue beyond its initial remit.

Issues

Most industrialised countries have a national immunisation technical advisory group (NITAG) or similar organisation. 48, 49 The World Health Organization describes these as “multidisciplinary bodies of national experts that provide evidence-based recommendations to policy-makers and immunisation programme managers”. 50 A centralised NITAG committee is considered an essential component to a high functioning national immunisation programme, 51, 52 with international reviews of this system showing a large number of benefits. 53, 54 The World Health Organization Global Vaccine Action Plan recommended all countries establish, or have access to, a NITAG by 2020, 55 however, Aotearoa has still not established one (figure 15).

A NITAG is necessary to provide policy advice to support investment that will result in the greatest health gain and promote health equity across the life course, starting with pregnancy. Membership needs to include expert representatives or ex-officio members from across the health sector, including maternity, because pregnancy is an important area for immunisation yet is frequently omitted from policy considerations.

Immunisation Taskforce Report 66
EMBARGOED UNTIL 5 APRIL 2023

The Immunisation Taskforce was established as an acute response advisory committee amid an immunisation coverage rate crisis for tamariki and other groups, which has worsened since the COVID-19 pandemic response. The prior absence of such a group was a glaring oversight because vaccination delivery has been one of the main issues impeding high vaccination rates and resulting in increasing inequity for Māori. A permanent, standalone group responsible for service coverage strategy and oversight needs to be established, and the Immunisation Taskforce would be well-placed to take up this role. Strong linkages to the governance and advisory functions will be essential.

Summary and recommendations

Current problems

1. No defined committee exists that is responsible for technical advice provision to governance structures.

2. No permanent service coverage strategy is in place nor any oversight group.

3. There is limited accountability for the functioning of the immunisation system across all levels in Aotearoa.

4. Responsibility for service delivery is fragmented. The Ministry of Health and former DHBs, now Te Whatu Ora and Te Aka Whai Ora, have a statutory responsibility to meet the needs of their populations within localities; PHOs have some degree of responsibility for service delivery. This fragmented responsibility enables individual tamariki and children to be missed in the offer and provision of immunisations.

Immunisation Taskforce Report 67
Figure 15: World map showing countries registered in the Global NITAG Network
EMBARGOED UNTIL 5 APRIL 2023

Causes

• Given the poor performance in delivering a comprehensive, equitable immunisation programme for the whole of life, starting with pregnancy, it is unclear why strongly linked, overarching governance, technical advisory and service coverage strategy functions are missing in Aotearoa.

• Challenges exist with the structure and funding of the immunisations system. To date, the Ministry of Health, through DHBs, provided funds to independent private organisations, often with weak or no expectation of performance.

How we can achieve equity

• Establish an overall governance structure in the immunisation system.

• Implement standards of care for the primary health care system, particularly around interactions with Māori and Pacific.

#8 Recommendations: Governance, technical advice, and service coverage oversight

42. Establish a National Immunisation Technical Advisory Group as per World Health Organization recommendations, with co-governance and underpinned by Te Tiriti o Waitangi.

43. Establish a standalone, permanent service coverage strategy and oversight entity, which could be the National Immunisation Taskforce.

44. Assign clear governance pathways for who is responsible for immunising individual patients, with monitoring of outcomes across all levels of the system.

6.9. Development of new provider and consumer-facing resources for immunisations

The Taskforce recognises that the current provider and consumer-facing resources for childhood immunisations may be contributing in part to under-immunisation. However, improvements in this area are unlikely to see a rapid uptake in immunisation compared with other recommendations in this report, and therefore the Taskforce does not advocate allocating significant resources or funding to this area.

A small proportion of the New Zealand population may benefit from better information that supports the decision and steps required to immunise their tamariki. This includes information on where to get tamariki immunised, when immunisations are due, what they

Immunisation Taskforce Report 68
EMBARGOED UNTIL 5 APRIL 2023

protect against, what to do if an immunisation is missed, and whether immunisations can be given at the same time.

Research into barriers for immunisation shows that vaccination uptake was lower for households that did not have access to the internet (figure 16), which may limit their access to information regarding immunisations. This demonstrates that, for certain populations and regions, consumer-facing material and booking systems that are not electronic may help support lifting childhood immunisations.

If tamariki or rangatahi present to primary care and their immunisation status is unknown, it can be difficult for providers to determine the next steps. Information for providers is found in the Immunisation Handbook, but more suitable resources that enable opportunistic immunisation could be beneficial. 56

The National Immunisation Programme, in partnership with Te Aka Whai Ora, is developing a new website that will be a single source of information for the immunisation journey, from antenatal to infant and childhood immunisations. It will focus on presenting immunisation as part of the health package for tamariki, with simple and culturally appropriate messaging that is presented in various formats. Not everyone consumes information in the same way, such as Tāngata whaikaha | Disabled people, so it is important that information is accessible and equitable.

Figure 16: Immunisation rates within 3 months of eligibility, by households with internet access (%) and dose

Note: HIB = haemophilus influenzae type b; MMR = measles, mumps and rubella; SA2 = statistical areas level 2

Source: National Immunisation Programme, Te Whatu Ora – Health New Zealand

Immunisation Taskforce Report 69
EMBARGOED UNTIL 5 APRIL 2023

Summary and recommendations

Current problems

1. There is a lack of consumer facing resources available that indicate to the public when immunisations are due.

2. It can be difficult to find information on where to access immunisations.

3. While most people are willing to immunise their children, a small proportion may benefit from better messaging.

Causes

• Information around immunisations can be highly technical and inaccessible to the public.

• Information is predominantly in written form. Little material exists in plain language, or in video or graphic formats.

• No central website exists with information on immunisations for both mother and child.

How we can achieve equity

• Improve the public-facing information to provide information on what the consumer needs.

• Work with the Māori, Pacific, and disability community to create immunisation resources that are appropriate for their audiences.

• Ensure stable working IT systems and solutions are in place to communicate information advice and enable immunisations.

• Develop a portal for consumer-facing immunisation messages and collateral to enhance understanding of what vaccinations are due and when.

Immunisation Taskforce Report 70
EMBARGOED UNTIL 5 APRIL 2023

#9 Recommendations: Development of new provider and consumer-facing resources for immunisations

45. Develop new vaccination resources for childhood immunisations that are culturally appropriate, relevant, and use appropriate style and tone.

46. Develop a dedicated web platform that provides a centralised place where parents, caregivers, hapū māmā and whānau can easily access information, resources, collateral, and online tools about childhood immunisations.

47. Develop innovative marketing (social and other) materials to counter immunisation complacency, confusion, and lack of confidence in members of the public.

6.10. Quality and standards for providers delivering immunisations to tamariki in New Zealand

In Aotearoa, general practice is the predominant provider of immunisations to tamariki, and so their role is crucial for delivering equitable immunisation outcomes. General practice is part of the wider primary care system but, as noted earlier, immunisation coverage in Aotearoa has experienced long-term ethnic disparities.

Several previous attempts have been made to address this issue. One focused on referral to outreach services once initial attempts to vaccinate in general practice failed, while others focused on improving access by providing more funding to general practice.

The WAI 2575 review of primary health care found: 57

“The poor state of Māori health outcomes to be utterly unacceptable.”

“That Māori health inequities are not only caused by health issues but influenced by a wide range of factors, including income and poverty, employment, education, and housing – termed the social determinants of health.”

Immunisation Taskforce Report 71
EMBARGOED UNTIL 5 APRIL 2023

“The evidence before us is that this supplementary funding is not enough to meet Māori health needs. Brooking said that the Ministry concedes that, ‘on reflection’, the funding for the primary care sector was insufficient – further, the funding streams intended to supplement capitation that did have ethnicity and deprivation as factors were not enough to make up for the insufficiency of first contact funding.”

Both general practice and outreach services have struggled and the immunisation levels of tamariki at 6 months, which is the best measure of on-time vaccination, have always been well below the required levels for protection, with unchanged large ethnic disparities. Some high-performing providers achieve high coverage of their enrolled populations; however, transient and/or unenrolled children are not visible at a practice level.

Multiple studies have detailed the many barriers faced by Māori that prevent them from receiving on-time immunisations in general practice. What these studies have not led to is development of any new policies or changes in practice to address the issues, and so immunisation rates have continued to fall. The immunisation system’s main failure is the long term unchanged and persistent worsening of ethnic disparities in immunisation, despite knowledge of the inequity, causes and stated desires to address them.

The WAI 2575 review of primary health care services asked, “Why are Māori health outcomes so bad compared to non-Māori?”.

Social determinants are important; however, it was also accepted that Māori health inequities are influenced by the cumulative effects of colonisation. The legacy and ongoing impacts of colonisation now partly manifest as a form of discrimination that is often termed institutional racism. Dr Heather Came-Friar, an interested party witness in the inquiry, provided a useful definition of institutional racism as “a pattern of differential access to material resources, cultural capital, social legitimation and political power that disadvantages one group, while advantaging another”. 58 Institutional racism partly manifests as:

“The outcomes of mono-cultural institutions which simply ignore and freeze out the cultures of those who do not belong to the majority. National structures are evolved which are rooted in the values, systems and viewpoints of one culture only. Participation by minorities is conditional on their subjugating their own values and systems to those of ‘the system’ of the power culture. The failure to address negative social determinants, then, can be considered a form of institutional racism. Institutional racism was defined by witnesses in the WAI 2575 inquiry as ‘inaction in the face of need’. This inaction can be conscious or unconscious; it can manifest through the deliberate actions of individuals or result simply from the ‘routine administration of public institutions that produce inequitable social outcomes’.” 59

In giving evidence on behalf of the Crown, the then Director-General of Health, Dr Bloomfield, stated:

Immunisation Taskforce Report 72
EMBARGOED UNTIL 5 APRIL 2023

Socio-economic deprivation for Māori impacts on their ability to access good health but it is compounded by other factors including racism. The impact of personal and institutional racism is significant on both the determinants of health and on access to and outcome from health care itself. Racism is associated with poorer health, including poorer mental health. 60

Overall, the WAI 2575 review concluded that the primary health care system was failing at all levels. Individuals, organisations and government agencies need to work out a way to remove the impact of institutional racism.

The system itself was not structured or funded to achieve equity and the review recommended transformational change. It found that the Crown does not demand equity of outcome nor does it adequately measure, monitor or report on system performance. This lack of oversight breaches Te Tiriti o Waitangi, especially article 3, protection. A complete revision of the oversight and accountability of primary health care by the Crown was a primary recommendation from the review.

The WAI 2575 review concluded that “the permissive nature of the primary health care framework, with its considerable devolution of responsibilities, permits actors in the health sector to downplay their responsibilities to improve inequitable health outcomes for Māori and to abide by Treaty obligations”. 61

Rebuilding the immunisation system must include a programme to monitor, audit and enact national equity policy in all contracted providers. The long-term permissive oversight of primary health care by the Crown identified in WAI 2575 has not resulted in a system that equitably delivers immunisation in New Zealand. If the focus is going to be on the needs of tamariki, rather than the system, this must change.

General practice is likely to remain an important provider of childhood immunisations for some time. Because of this, even small improvements in general practice function in respect to immunisation will result in a potentially large improvement in immunisation outcomes.

To achieve equitable outcomes for Māori, co-design must be embedded in the new immunisation system. Māori leadership and voice must be essential to that process. Placing Māori in leadership positions and then ignoring advice will result in continued Pākehā control and inequity. The current immunisation system was never designed with an equity focus and the immunisation outcomes in Aotearoa are an inevitable product of that system.

Immunisation Taskforce Report 73
EMBARGOED UNTIL 5 APRIL 2023

Summary and recommendations

Current problems

1. Barriers to health service access in Aotearoa, including the broader determinants of health and institutional racism, are significant. The current provider configuration does not achieve equitable outcomes for high-need populations, particularly Māori and Pacific.

2. The health sector as a whole is not monitored or held to account for achieving equitable outcomes.

3. Insufficient qualitative and quantitative data are gathered to fully inform how the primary health care sector is performing

4.Performance is not audited regularly

5. Performance reporting in an accessible and understandable form for the public is insufficient.

Causes

• Wide variation exists in the performance of individual providers in delivering immunisations across Aotearoa

• Institutional racism is not well understood or acknowledged, and the sector is not well equipped to address it.

• The workforce is insufficient to meet the demand across all priority population groups, especially those of an aging population.

• Contracts given to providers do include service requirements but no regular auditing programme is in place

• Competing demands for services in the face of general practice workforce crisis and the lack of nursing pay parity.

• Māori and Pacific provider development is poorly invested in

• The price per dose for immunisation is inadequate

How we can achieve equity

• Undertake co-design of service responses and hear the voices of Māori and other priority populations.

• Improve investment in the implementation of quality and standards in general practice because it is the largest provider of childhood immunisations (even small improvements can have large benefits).

Immunisation Taskforce Report 74
EMBARGOED UNTIL 5 APRIL 2023

#10 Recommendations: Quality and standards for providers delivering immunisations to tamariki in New Zealand

48. The revised immunisation system must be designed through co-design which seeks and values the voices of priority populations, with quality measures defined by what matters to them.

49. The newly established governance group to develop a nationwide set of evidencebased best-practice guidelines for delivering immunisations in general practice and primary care.

50. As per the Waitangi Tribunal WAI 2575 – Health Services and Outcomes Inquiry, the Crown will actively implement and monitor a performance improvement framework focused on achieving equity.

51. Implement a regular audit of provider performance.

52. Implement performance reporting in an accessible and understandable form for the public.

53. The National immunisation Programme must include clear accountability expectations in contractual provider service agreements.

54. Pay appropriate price per vaccination as per previous reviews.

Immunisation Taskforce Report 75
EMBARGOED UNTIL 5 APRIL 2023

7. Key measures

Overarching measures

• The development of a fully functioning sustainable immunisation system that protects tamariki from the effects of epidemic and immunisation-preventable disease.

• The elimination of ethnic inequalities in the immunisation system.

• The protection of all hapū māmā from immunisation-preventable disease.

Individual measures

• 95% of tamariki Māori are fully immunised at 6-months

• 95% of Māori and Pacific to have had one dose of the MMR vaccine at 15-months

• 100% of hapū māmā be informed of antenatal immunisations in the third trimester

• Revision of the authorisation requirements for childhood immunisation by August 2023

• The creation of definitive governance committees by July 2023

• The publication of the Prioritisation Matrix as a national immunisation goal by March 2023

• The National Immunisation Programme to publish nationally accepted guidelines for the functioning of the immunisation system, including:

• specific guidelines on enrolment

• application of the matrix for outreach services

• universal recall messaging

Immunisation Taskforce Report 76
EMBARGOED UNTIL 5 APRIL 2023

8. Summary of recommendations

1 Expansion of vaccinator workforce

1 Increase the number of vaccinators authorised to provide childhood vaccinations.

2 Provide a one-off establishment fee to hauora providers that are new to vaccination. This will cover start-up costs such as vaccine fridges for cold chain requirements, staff training and other resources.

3 Fund vaccinator training courses for hauora provider staff.

4 Enable all Well Child Tamariki Ora providers to deliver childhood immunisations.

5 Provide appropriate training and funding to different childhood immunisation providers so that whānau have choice of provider.

6 Investigate and urgently address the current blocks to COVID-19 Vaccinators Working Under Supervision transitioning to Vaccinating Health Workers.

7 Investigate what steps can be taken to increase uptake of the Vaccinating Health Worker model, including if changes are needed to the role of the supervisor.

8 Nationalise the Standing Orders used during the assessment process of a new vaccinator.

2 Authorisation of childhood vaccinators

9 Align the immunisation authorisation process in Aotearoa to comparable countries, such as Australia.

10 Reduce the complexity of the current vaccinator training, assessment, and authorisation processes while maintaining the required clinical safety and quality requirements.

11 Review the role of the Immunisation Advisory Centre as sole provider of authorisation services, particularly in providing equitable outcomes and their acceptance by Māori organisations.

12 Investigate if the cost of some vaccinator training courses is a barrier to completion within hauora providers.

13 Te Whatu Ora and Te Aka Whai Ora work with the Nursing Council of New Zealand to support the inclusion of vaccinator training in all appropriate Nurse Entry to Practice programmes (first year of Registered Nurse practice).

Immunisation Taskforce Report 77
EMBARGOED UNTIL 5 APRIL 2023

14 Expand the centralised authorisation of vaccinators to include all vaccinators (currently only provisional vaccinators and COVID-19 Vaccinators Working Under Supervision are authorised nationally).

3 Antenatal immunisations

15 Convene an expert working group to develop and implement a comprehensive antenatal immunisation system to:

• put Te Tiriti o Waitangi obligations and equity considerations at the forefront of systems planning

• consider how antenatal immunisation data is collected, reported, monitored and acted upon

• build a positive culture of antenatal immunisation

• take an integrated approach: break down barriers to a shared health information system and foster relationships between providers, to work together to improve vaccination rates

16 Ensure antenatal immunisations are included in the work of a future National Immunisation Technical Advisory Group (NITAG).

17 Provide information to hapū māmā about antenatal immunisation at every point of contact with the health system.

• Education for antenatal health workforce (including midwives, antenatal obstetric clinics, general practitioners, obstetricians, pharmacy, labs and so on) with an expectation that antenatal immunisation will be discussed.

• Consider the value of antenatal immunisation targets to incentivise health practitioners.

18 Expand the options for access with a particular focus on hapū māmā Māori and Pacific people.

• Expand places and times that antenatal immunisation can be given, for example, midwifery clinics, pharmacies, parent education sessions, local marae, outpatient and inpatient hospital settings.

• Implement funding for lead maternity carer midwives to prescribe and administer antenatal immunisations, where practicable.

19 Implement a mechanism for registration of pregnant people so they can be pre-called and recalled for antenatal vaccination, and their infants can be proactively enrolled at birth.

Immunisation Taskforce Report 78
EMBARGOED UNTIL 5 APRIL 2023

4 Enrolment into health services from birth

20 Building on the COVID-19 approach, using Whakarongorau – New Zealand Telehealth Services as a recall/ pre-call service and triage to booking with GPs or Māori / Pacific providers, depending on preference.

21 Offering alternative options and choices for scheduled childhood immunisation, including kaupapa Māori services, to tamariki Māori.

22 Te Whatu Ora removes the advice to provide a child’s birth certificate as proof of relationship to an adult from its eligibility checklists.

23 Primary health organisations (PHOs) provide advice to practices that children of eligible parents do not need to present a birth certificate to prove eligibility for enrolment.

24 Te Whatu Ora reviews the regulations and data systems for enrolment of newborns and children, to facilitate earlier and uninterrupted enrolment of children with primary care. In addition, consider:

• eliminating the eligibility status barrier by extending the pre-enrolment period for target populations, and/or

• using maternal eligibility data held by Te Whatu Ora to automatically confirm eligibility of a baby.

25 Implementing nationally joined up data systems and processes to ensure babies are not missing out on core health services, including immunisation.

26 Strengthening primary care accountability regarding Te Tiriti o Waitangi obligations to Māori, and equity obligations, by proactively facilitating mana-enhancing early engagement with families to achieve timely 6-week vaccinations and ongoing access for health checks.

27 To avoid children becoming unenrolled after 3 months, an “opt out” system should be explored as the default.

28 Set up a system to enable direct birth notification from hospital and lead maternity carer to PHO enrolment, rather than indirectly via the National Immunisation Register. This is likely to lead to more timely and complete enrolment of newborn babies directly to PHO enrolment.

5 Proactive outreach immunisation services

29 Until an expanded outreach capacity can be developed, resources should be targeted towards at-risk populations and specific immunisations that are highly effective.

Immunisation Taskforce Report 79
EMBARGOED UNTIL 5 APRIL 2023

30 Prioritise on-time vaccination and reposition outreach services to proactively support achieving this for priority populations.

31 Use the Immunisation Prioritisation Matrix, developed by Northern Region Taskforce, to prioritise services to achieve on-time immunisation in the most vulnerable groups.

32 Use partnerships between the National Immunisation Programme and outreach immunisation providers to share vaccination data and maximise uptake in priority groups. This will inform where outreach services are required, including immunisation events.

33 Identify and document all immunisations using centralised and universal immunisation records, such as the Aotearoa Immunisation Register. Mitigate risks in the transition from the National Immunisation Register to the Aotearoa Immunisation Register.

6 Catch-up immunisations

34 Ensure adequate funding is provided to resource the immunisation workforce (planning, analytics and vaccinators) to achieve catch-up in addition to BAU resources.

35 Embed systems that record immunisations received across the lifespan. Such documentation needs to be accessible to patients and healthcare providers so provision of opportunistic immunisation can be offered at any healthcare interaction.

36 Invest in digital solutions, such as a catch-up “calculator”, for use by immunisation providers to ensure all age-appropriate required vaccines are given in the most efficient way.

37 Invest in culturally appropriate providers to administer catch-up immunisations to Māori and Pacific communities.

38 Leverage immunisation data to establish a national system for pre-call and recall, such as notifications through SMS, phone call, or email.

39 Centralise the coordination of catch-up in the National Immunisation Programme to oversee specific goals (targets) with an equity focus, and provide communication and funding for catch-up.

7 Funding for providers that is long term and sustainable

40 Work with Te Whatu Ora commissioning team, Te Aka Whai Ora, and other relevant entities to implement long-term, stable funding that provides comprehensive and equitable care to tamariki, including immunisations. This includes funding for coordination and monitoring at district level.

41 Investigate contracting arrangements and assess whether payments should be at least partly dependent on the immunisation coverage of enrolled patients.

8 Governance, technical advice, and service coverage oversight

Immunisation Taskforce Report 80
EMBARGOED UNTIL 5 APRIL 2023

42 Establish a National Immunisation Technical Advisory Group as per World Health Organization recommendations, with co-governance and underpinned by Te Tiriti o Waitangi.

43 Establish a standalone, permanent service coverage strategy and oversight entity, which could be the National Immunisation Taskforce.

44 Assign clear governance pathways for who is responsible for immunising individual patients, with monitoring of outcomes across all levels of the system.

9 Development of new provider and consumer-facing resources for immunisations

45 Develop new vaccination resources for childhood immunisations that are culturally appropriate, relevant, and use appropriate style and tone.

46 Develop a dedicated web platform that provides a centralised place online where parents, caregivers, hapū māmā and whānau can easily access information, resources, collateral, and online tools about childhood immunisations.

47 Develop innovative marketing (social and other) materials to counter immunisation complacency, confusion, and lack of confidence in members of the public.

10 Quality and standards for providers delivering immunisations to tamariki in New Zealand

48 The revised immunisation system must be designed through co-design which seeks and values the voices of priority populations, with quality measures defined by what matters to them.

49 The newly established governance group to develop a nationwide set of evidencebased best-practice guidelines for delivering immunisations in general practice and primary care.

50 As per the Waitangi Tribunal WAI 2575 – Health Services and Outcomes Inquiry, the Crown will actively implement and monitor a performance improvement framework focused on achieving equity.

51 Implement a regular audit of provider performance.

52 Implement performance reporting in an accessible and understandable form for the public.

53 The National immunisation Programme must include clear accountability expectations in contractual provider service agreements.

54 Pay appropriate price per vaccination as per previous reviews.

Immunisation Taskforce Report 81
EMBARGOED UNTIL 5 APRIL 2023

Appendix 1: National Immunisation Schedule

Immunisation Taskforce Report. 82

Appendix 2: Vaccine administrators in Aotearoa

Immunisation Taskforce Report. 83

Appendix 3: Rationale for the Immunisation Prioritisation Matrix Population factors

Māori

• The obligation of Te Whatu Ora – Health New Zealand under Te Tiriti o Waitangi is to deliver equitable protection from disease to tamariki Māori. At this time, the widest gap in timeliness and equitable immunisation coverage is for tamariki Māori (including antenatal vaccination). The highest priority, therefore, is to achieve the immunisation targets for tamariki Māori.

Pacific

• Pacific immunisation rates have been as high as NZ European rates and always higher than Māori. However, Pacific populations living in Aotearoa also have the highest burden of vaccine-preventable diseases, such as pneumonia, meningitis and measles.

• The infant immunisation coverage gap for Pacific peoples has widened over the course of the COVID-19 pandemic.

Quintile 5 non-Māori, non-Pacific

• Within non-Māori, non-Pacific communities are very deprived populations (quintile 5) with lower immunisation coverage

• These populations suffer higher burden of disease so require targeting to achieve adequate disease protection. These include immigrant populations.

Immunisation Taskforce Report. 84
EMBARGOED UNTIL 5 APRIL 2023

Population immune coverage

Lifting vaccination coverage for measles, mumps and rubella (MMR) for all tamariki will benefit the whole community. For example, the 2019 measles outbreak in South Auckland substantially and disproportionally affected Pacific people and Māori. Māori and Pacific peoples in the 15–30-year-old age group are under vaccinated for MMR. This coincides with an under-vaccinated population of Māori and Pacific tamariki, which places an entire community at risk of outbreak.

Disease and immunisation factors

Six-week immunisation time point

• For many vaccine-preventable diseases, critical disease occurs in the youngest age groups (for example, pertussis, meningitis) meaning timely infant immunisation is a crucial point of protection.

• The single biggest predictor of a child completing the immunisation schedule is getting the 6-week immunisation on time.

• Enrolment is essential: timely and sustained primary care enrolment is a predictor of on-time vaccination. Two elements are needed to achieve this:

• improved data systems to reconcile births with enrolment

• active and early priority population contact to help navigate immunisation services.

• The first vaccine in any vaccination series provides the largest amount of protection.

Antenatal immunisations

• Pregnancy makes hapū māmā susceptible to several vaccine-preventable diseases, such as influenza. All unborn tamariki need a live māmā and therefore protecting hapū māmā through immunisation is critical.

• Maternal pertussis vaccination provides protection to highly vulnerable neonates against pertussis prior to infant pertussis immunisation

• Completion of a maternal immunisation is a significant enabler to a māmā taking her pēpi (baby) for their 6-week immunisation.

• Parental decisions around immunisations antenatally influence future immunisation decisions for their pēpi

Immunisation Taskforce Report. 85
EMBARGOED UNTIL 5 APRIL 2023

MMR 1

• Recent experience both in Aotearoa and Samoa demonstrates the devastation that occurs if measles epidemics occur in under-immunised populations. Measles remains the vaccine-preventable disease that causes the highest number of deaths in the world.

• The first MMR vaccine provides the highest degree of individual disease protection.

Flexibility in the system

Recent history has taught us it is impossible to predict the next immunisation-preventable disease. So, a change in settings may be required. This might include upgrading MMR 2 if an outbreak was to occur.

Immunisation Taskforce Report. 86
EMBARGOED UNTIL 5 APRIL 2023

Bibliography

Grant CC, Petousis-Harris H, Turner N, Goodyear-Smith F, Kerse N, Jones R, et al. 2011 Primary care practice and health professional determinants of immunisation coverage. J Paediatr Child Health 47(8): 541–49.

Grant CC, Chen MH, Bandara DK, Marks EJ, Gilchrist CA, Lewycka S, et al. 2016 Antenatal immunisation intentions of expectant parents: Relationship to immunisation timeliness during infancy. Vaccine 34(11): 1379–88.

Wroe AL, Turner N, Salkovskis PM. 2004. Understanding and predicting parental decisions about early childhood immunizations. Health Psychol 23(1): 33–41.

Willing E. 2016. Hitting the target without missing the point: New Zealand's immunisation health target for two year olds. Policy Studies 37(6): 535–50

Ministry of Health. 2016. National Review of Outreach Immunisation Services: Summary and Recommendations. Wellington: Ministry of Health. www.health.govt.nz/publication/national-review-outreach-immunisation-servicessummary-and-recommendations. Accessed 20 December 2022.

1 Waitangi Tribunal. 2019. Hauora: Report on Stage One of the Health Services and Outcomes Kaupapa Inquiry. Wellington: Waitangi Tribunal.

2 Chan WC, et al. 2022. Descriptive Analyses of Primary Health Organisation (PHO) Enrolment of Newborns. [Unpublished manuscript]

3 Waitangi Tribunal (2019) Hauora: Report on Stage One of the Health Services and Outcomes Kaupapa Inquiry. Wellington: Waitangi Tribunal.

4 Waitangi Tribunal. 2019. Hauora: Report on Stage One of the Health Services and Outcomes Kaupapa Inquiry. Wellington: Waitangi Tribunal.

5 Available at: www.health.govt.nz/nz-health-statistics/national-collections-andsurveys/surveys/new-zealand-health-survey

6 Waitangi Tribunal. 2019. Hauora: Report on Stage One of the Health Services and Outcomes Kaupapa Inquiry. Wellington: Waitangi Tribunal.

7 Lee CH, Sibley C. 2020. Attitudes toward vaccinations are becoming more polarized in New Zealand: Findings from a longitudinal survey, EClinicalMedicine, 23, 100387.

Immunisation
87
Taskforce Report.
EMBARGOED UNTIL 5 APRIL 2023

8 Irurzun-Lopez M, Jeffreys M, Cumming J. 2021. The enrolment gap: Who is not enrolling with primary health organizations in Aotearoa New Zealand and what are the implications? An exploration of 2015–2019 administrative data. Int J Equity Health 20(93). https://doi.org/10.1186/s12939-021-01423-4.

9 Jeffreys M, Smiler K, Ellison Loschmann L, Pledger M, Kennedy J, Cumming J. 2022. Consequences of barriers to primary health care for children in Aotearoa New Zealand. SSM Popul Health 5(17): 101044. doi: 10.1016/j.ssmph.2022.101044. PMID: 35198724; PMCID: PMC8844893.

10 Nowlan M, Willing E, Turner N. 2019. Influences and policies that affect immunisation coverage A summary review of literature, NZMJ 132(150): 28.

11 Nowlan M, Willing E, Turner N. 2019. Influences and policies that affect immunisation coverage A summary review of literature, NZMJ 132(150): 28.

12 Harris R, Cormack D, Tobias M, Yeh L-C, Talamaivao N, Minster J, Timutimu R. 2012. The pervasive effects of racism: Experiences of racial discrimination in New Zealand over time and associations with multiple health domains, Social Science & Medicine 74(3): 408–415.

13 Hobbs MR, Morton SM, Atatoa-Carr P, Ritchie SR, Thomas MG, Saraf R, Chelimo C, Harnden A, Camargo CA, Grant CC. 2017. Ethnic disparities in infectious disease hospitalisations in the first year of life in New Zealand. J Paediatr Child Health 53(3): 223–231.doi: 10.1111/jpc.13377. Epub 2016 Oct 7. PMID: 27714893.

14 Bellis MA, Hughes K, Ford K, et al. 2022. Associations between adverse childhood experiences, attitudes towards COVID-19 restrictions and vaccine hesitancy: A crosssectional study. BMJ Open 12: e053915. doi: 10.1136/bmjopen-2021-053915.

15 Ward P. 2017. Improving Access to, Use of, and Outcomes from Public Health Programs: The importance of building and maintaining trust with patients/clients. Front. Public Health 5: 22. doi: 10.3389/fpubh.2017.00022, www.frontiersin.org/articles/10.3389/fpubh.2017.00022/full.

16 Mills E, Jadad AR, Ross C, Wilson K. 2005. Systematic review of qualitative studies exploring parental beliefs and attitudes toward childhood vaccination identifies common barriers to vaccination. Journal of Clinical Epidemiology 58(11): 1081–1088.

17 See Report on maternity web tool – Te Whatu Ora – Health New Zealand, for more information. Accessed 16 December 2022.

Immunisation Taskforce Report. 88
EMBARGOED UNTIL 5 APRIL 2023

18 Ministry of Health. 2020. Well Child Tamariki Ora Review Report. Wellington: Ministry of Health. www.health.govt.nz/system/files/documents/publications/well-child-tamarikiora-review-report-2020-jul21.pdf. Accessed 25 November 2022.

19 Australia and New Zealand Intensive Care Influenza Investigators and Australasian Maternity Outcomes Surveillance System. 2010. Critical illness due to 2009 A/H1N1 influenza in pregnant and postpartum women: Population based cohort study. BMJ 18(340): c1279. doi: 10.1136/bmj.c1279. PMID: 20299694; PMCID: PMC2841744.

Amirthalingam G, Andrews N, Campbell H, Ribeiro S, Kara E, Donegan K, et al (2014) Effectiveness of maternal pertussis vaccination in England: An observational study. Lancet. 384(9953):1521–1528.

20 Baxter R, Bartlett J, Fireman B, Lewis E, Klein NP. 2017. Effectiveness of Vaccination During Pregnancy to Prevent Infant Pertussis. Pediatrics 139(5):e20164091. doi: 10.1542/peds.2016-4091. Epub 2017 Apr 3. PMID: 28557752.

21 Dabrera G, Amirthalingam G, Andrews N, et al. 2015. A case-control study to estimate the effectiveness of maternal pertussis vaccination in protecting newborn infants in England and Wales, 2012–2013. Clin Infect Dis 60(3): 333–337.

22 Gauld N, Martin S, Sinclair O, Petousis-Harris H, Dumble F, Grant CC. 2020. A qualitative study of views and experiences of women and health care professionals about free maternal vaccinations administered at community pharmacies. Vaccines (Basel) 8(2): 152.

23 Shakib J, Korgenski K, Presson AP, Sheng X, Varner MW, Pavia AT, Byington CL. 2016. Influenza in infants born to women vaccinated during pregnancy. Pediatrics 137(6): e20152360. doi: 10.1542/peds.2015-2360.

24 Zaman K, Roy E, Arifeen SE, Rahman M, Raqib R, et al. 2008. Effectiveness of maternal influenza immunization in mothers and infants. N Engl J Med 359: 1555–1564.

25 Howe A, Pointon L, Gauld N, Paynter J, Willing E, Turner N. 2020. Pertussis and influenza immunisation coverage of pregnant women in New Zealand. Vaccine (38)43: 6766–6776.

26 Dabrera G, Amirthalingam G, Andrews N, et al. 2015. A case-control study to estimate the effectiveness of maternal pertussis vaccination in protecting newborn infants in England and Wales, 2012–2013. Clin Infect Dis 60(3): 333–337.

27 Gauld N, Martin S, Sinclair O, Petousis-Harris H, Dumble F, Grant CC. 2020. A qualitative study of views and experiences of women and health care professionals about

Immunisation Taskforce Report. 89
EMBARGOED UNTIL 5 APRIL 2023

free maternal vaccinations administered at community pharmacies. Vaccines (Basel) 8(2): 152.

28 Gauld N, Martin S, Sinclair O, Petousis-Harris H, Dumble F, Grant CC. 2022. Influences on pregnant women’s and health care professionals’ behaviour regarding maternal vaccinations: A qualitative interview study. Vaccines (Basel) 10(1): 76.

29 Gauld N, Martin S, Sinclair O, Dumble F, Petousis-Harris H, Grant CC. 2022. Mapping the maternal vaccination journey and influencing factors for Māori women in Aotearoa New Zealand: A qualitative study. Journal of Primary Health Care. doi: 10.1071/HC21166.

30 Gauld NJ, Cavadino AY, Petousis-Harris H, Dumble F, Sinclair O, et al. 2022. Increasing uptake of maternal pertussis vaccinations through funded administration in community pharmacies. Vaccines 10(2): 150.

31 Deverall EJ, Gilmore B, Illing S, Peiris-John R. 2018. Pertussis vaccination uptake in pregnancy: Lessons to be learned from an integrated healthcare approach. NZMJ 131(1473). https://journal.nzma.org.nz/journal-articles/pertussis-vaccination-uptakein-pregnancy-lessons-to-be-learned-from-an-integrated-healthcare-approach

Accessed 25 November 2022.

32 Chan WC, Papaconstantinou D, Oulaghan B, Lee M, Anderson P. 2021. Immunisation Coverage (Primary Series) and Children’s Interactions with the Health System. Auckland: Counties Manukau Health. www.countiesmanukau.health.nz/assets/About-

CMH/Reports-and-planning/Child-and-youth-health/2021-07-Immunisation-coverageprimary-series-and-childrens-interactions-with-the-health-system-final.pdf. Accessed 19 December 2022.

33 Quarterly childhood immunisation coverage by milestone age and ethnicity, Q4 21–22 (1 Apr–30 Jun 2022). Ministry of Health, 11 July 2022. www.health.govt.nz/ourwork/preventative-health-wellness/immunisation/immunisation-coverage/nationaland-dhb-immunisation-data. Accessed 23 November 2022.

34 Chan WC, et al. 2022. Descriptive Analyses of Primary Health Organisation (PHO) Enrolment of Newborns. [Unpublished manuscript]

35 Chan WC, et al. 2022. Descriptive Analyses of Primary Health Organisation (PHO) Enrolment of Newborns. [Unpublished manuscript]

36 Chan WC, et al. 2022. Descriptive Analyses of Primary Health Organisation (PHO) Enrolment of Newborns. [Unpublished manuscript]

Immunisation
90
Taskforce Report.
EMBARGOED UNTIL 5 APRIL 2023

37 Chan WC, et al. 2022. Descriptive Analyses of Primary Health Organisation (PHO) Enrolment of Newborns. [Unpublished manuscript]

38 Chan WC, et al. 2022. Descriptive Analyses of Primary Health Organisation (PHO) Enrolment of Newborns. [Unpublished manuscript]

39 Ministry of Health. 2018. Enrolment Requirements for Contracted Providers and Primary Health Organisations. Version 4.1. 6 November. Wellington: Ministry of Health.

40 Primary Health Organisation Service Agreement Amendment Protocol (PSAAP) – TAS Harnessing Smart Thinking on Health for New Zealand. TAS, October 2022. tas.health.nz/dhb-programmes-and-contracts/primary-care-integrationprogramme/primary-health-organisation-service-agreement-amendment-protocol/. Accessed 22 November 2022.

41 Health and Disability Services Eligibility Direction 2011. Notice 2011-Go2492 - New Zealand Gazette. Gazette.govt.nz, 15 April 2011. gazette.govt.nz/notice/id/2011-go2492 Accessed 19 December 2022.

42 Pers com. Pamela Keeton, Auditor, Health Payment Integrity Team, Te Whatu Ora. 22 November 2022.

43 Eligibility Checklists and Decision Trees – Te Whatu Ora – Health New Zealand. 12 September 2022. www.tewhatuora.govt.nz/our-health-system/eligibility-for-publiclyfunded-health-services/new-content-page-2/eligibility-checklists-and-decisiontrees#pho-enrolment-checklist-summary-information-for-office-staff. Accessed 22 November 2022.

44 Ministry of Health. 2020. Immunisation Handbook 2020. www.health.govt.nz/publication/immunisation-handbook-2020. Accessed 23 November 2022.

45 Primary Health Organisation Service Agreement Amendment Protocol (PSAAP) – TAS

Harnessing Smart Thinking on Health for New Zealand. TAS. October 2022. tas.health.nz/dhb-programmes-and-contracts/primary-care-integrationprogramme/primary-health-organisation-service-agreement-amendment-protocol/ Accessed 22 November 2022.

46 Ministry of Health. 2020. Well Child Tamariki Ora Review Report. Wellington: Ministry of Health. www.health.govt.nz/system/files/documents/publications/well-child-tamarikiora-review-report-2020-jul21.pdf. Accessed 25 November 2022.

Immunisation
91
Taskforce Report.
EMBARGOED UNTIL 5 APRIL 2023

47 Information on capitation-based payments, which are based on the numbers enrolled with individual general practices that belong to a primary health organisation, can be found at www.health.govt.nz/our-work/primary-health-care/primary-health-care-subsidiesand-services/capitation-rates

48 Bryson M, Duclos P, Jolly A, Cakmak N. 2010. A global look at national immunization technical advisory groups. Vaccine 28(Suppl 1): A13–17.

49 Duclos P. 2010. National Immunization Technical Advisory Groups (NITAGs): Guidance for their establishment and strengthening. Vaccine 28(Suppl 1): A18–25.

50 World Health Organization. 2022. National Immunization Technical Advisory Groups (NITAGs). Available at www.who.int/europe/groups/national-immunization-technicaladvisory-groups-(nitags)

51 Senouci K, Blau J, Nyambat B, Coumba Faye P, Gautier L, Da Silva A, et al. 2010. The Supporting Independent Immunization and Vaccine Advisory Committees (SIVAC) Initiative: A country-driven, multi-partner program to support evidence-based decision making. Vaccine 28(Suppl 1): A26–30.

52 World Health Organization. 2013. Global Vaccine Action Plan 2011–2020. Geneva: World Health Organization. www.who.int/publications/i/item/global-vaccine-actionplan-2011-2020. Accessed 19 December 2022.

53 Bryson M, Duclos P, Jolly A, Bryson J. 2010. A systematic review of national immunization policy making processes. Vaccine 28(Supp1): A6–A12.

54 Gessner BD, Duclos P, Deroeck D, Nelson EA. 2010. Informing decision makers: Experience and process of 15 National Immunization Technical Advisory Groups. Vaccine 28(Suppl 1): A1–5.

55 World Health Organization. 2013. Global vaccine action plan 2011–2020. Geneva: World Health Organization. www.who.int/teams/immunization-vaccines-andbiologicals/strategies/global-vaccine-action-plan. Accessed 19 December 2022.

56 Ministry of Health. 2020. Immunisation Handbook 2020. www.health.govt.nz/publication/immunisation-handbook-2020. Accessed 23 November 2022.

57 Waitangi Tribunal. 2019. Hauora: Report on Stage One of the Health Services and Outcomes Kaupapa Inquiry. Wellington: Waitangi Tribunal.

Immunisation Taskforce Report. 92
EMBARGOED UNTIL 5 APRIL 2023

58 Kidd J, Came H, Herbert S, McCreanor T. 2020. Māori and Tauiwi nurses’ perspectives of anti-racism praxis: Findings from a qualitative pilot study. AlterNative: An International Journal of Indigenous Peoples 16(4): 387–394. https://doi.org/10.1177/1177180120974673.

59 Waitangi Tribunal. 2019. Hauora: Report on Stage One of the Health Services and Outcomes Kaupapa Inquiry. Wellington: Waitangi Tribunal.

60 Waitangi Tribunal. 2019. Hauora: Report on Stage One of the Health Services and Outcomes Kaupapa Inquiry. Wellington: Waitangi Tribunal.

61 Waitangi Tribunal. 2019. Hauora: Report on Stage One of the Health Services and Outcomes Kaupapa Inquiry. Wellington: Waitangi Tribunal.

Immunisation Taskforce Report. 93
EMBARGOED UNTIL 5 APRIL 2023

Turn static files into dynamic content formats.

Create a flipbook
Issuu converts static files into: digital portfolios, online yearbooks, online catalogs, digital photo albums and more. Sign up and create your flipbook.
Immunisation Taskforce Report by WBOP PHO - Issuu