Ciencia y Cultura#6

Page 1


Revista de la ANCB-SC | Año 5 | Nº 6

Revista editada en el marco del programa UPSA - ANCB-SC.

Edición financiada por la Fundación Universidad Privada de Santa Cruz de la Sierra - UPSA.

EDITOR

DIAGRAMACIÓN

CONSEJO

EDITORIAL

© Julio 2024

Gastón Mejía Brown

Yoshimi Iwanaga M.

Gastón Mejía Brown

Roberto Antelo Scott

ACADEMIA NACIONAL DE CIENCIAS DE BOLIVIA-DEPARTAMENTAL SANTA CRUZ (ANCB-SC)

Av. Paraguá y 4to. Anillo

Tel.: +591 (03) 346 4000 | Fax: +591 (03) 346 5757

Casilla 2944

Santa Cruz de la Sierra, Bolivia

DERECHOS DEL AUTOR

Prohibido la reproducción total o parcial de la presente obra por cualquier medio sin citar expresamente la fuente.

Los artículos publicadas son de entera responsabilidad de los autores y no representan la posición de la Academia Nacional de Ciencias de Bolivia-Departamental Santa Cruz (ANCB-SC).

AUTORIDADES ACADÉMICAS

PRESIDENTE

Acad. Gastón Mejía Brown

VICE PRESIDENTE CIENCIAS DE LA CULTURA

Acad. Victor Hugo Limpias Ortiz

SECRETARIO GENERAL

Acad. Ricardo Marcelo Michel Villazón

TESORERO

Acad. Marion K. Schulmeyer Dávalos

VOCALES

Acad. Carmen Rosa Serrano Nurnberg

ACADÉMICOS CONSEJEROS

Acad. Alcides Parejas Moreno

Acad. Mario Suárez Riglos

ACADÉMICOS DE NÚMERO

Acad. Juan Manuel Navarro Ameller

Acad. Francisco García Gutiérrez (†)

Acad. Ramón Harald Schulczewski (†)

Acad. Guillermo Carlos Rivera Arroyo

Acad. Ramiro Suárez Soruco

Acad. Marisol Toledo

Acad. Wendy R. Townsend (†)

Acad. Herland Vaca Diez Busch (†)

ACADÉMICO DE HONOR

Acad. Lauren Müller de Pacheco

ÍNDICE

11 7 9 77 89

PRÓLOGO

ARTÍCULOS

MODELO MATEMÁTICO PARA UN SISTEMA DE EVAPORACIÓN CON CUATRO EFECTOS EN LA INDUSTRIA AZUCARERA

Fernando Aníbal García Enríquez

17 25

HÁBITOS EN EL USO DE VIDEOJUEGOS EN ESTUDIANTES DE SECUNDARIA DE LA CIUDAD DE SANTA CRUZ DE LA SIERRA

Guillermo Mendoza y Ángela Canseco

ESTUDIO DE VIABILIDAD PARA LA PRODUCCIÓN DE HIDRÓGENO VERDE EN BOLIVIA

Heberto Hernán Peña Galarza

DISTRIBUCIÓN, ESTRUCTURA POBLACIONAL Y PRODUCCIÓN DEL COPAIBO (COPAIFERA LANGSDORFII)

EN LA COMUNIDAD EL CARMEN, MUNICIPIO DE CONCEPCIÓN, SANTA CRUZ – BOLIVIA

Marisol Toledo, José Ignacio Kushner y Javier Julio Mencarí Soriocó

EVALUACIÓN CALIDAD MICROBIOLÓGICA DEL AGUA EN PARQUE REGIONAL “LOMAS DE ARENA”

Milenka Velasco, Consuelo Mendoza, Angélica Rocio Giacoman, Julio César Magne y Melanie Blanca Cuéllar

Energía, Inteligencia Artificial y electro movilidades

Al hablar de energía, me remito inicialmente a la física Newtoniana, con las energías cinética, asociada a los cuerpos en movimiento (cuya fórmula es ½ mv2 donde m es masa, una de las características de la materia, y v es velocidad ) y potencial, la energía acumulada en un cuerpo en reposo (que se determina con la ecuación mgh donde g es la aceleración de la gravedad, 9,81 m/s2), luego a la física Maxwelliana con sus conceptos de campos eléctrico y magnético y el movimiento de cargas (otra característica de la materia) que da origen a la corriente eléctrica (E = VI donde V es voltaje e I es corriente eléctrica) y luego a la física cuántica en la que la energía se determina con la ecuación de Einstein (E = mc2 donde m es masa en reposo y c es la velocidad de la luz en el espacio, del orden de 300.000 Km/s) que nos dice que la materia, es decir, la masa, es una forma de energía y en la que la ecuación de Planck (E = hf, donde h es una constante y f es la frecuencia de una onda) muestra que la energía depende de la frecuencia (dualidad onda-partícula), es decir, cuanto mayor la frecuencia, mayor la energía, hecho que en la vida real, se muestra con un objeto de uso común, hoy en día, el microonda (frecuencias del orden 2 mil millones de Hertz) donde el tiempo de cocción de un producto orgánico se reduce a minutos en comparación a una cocina eléctrica (frecuencias de 50 Hertz o 60 Hertz) que puede tomar horas, procesos que utilizan energía eléctrica (movimiento de electrones).

Me enfoco en el proceso maxwelliano. El desarrollo actual a nivel mundial está basado en la disponibilidad de energía eléctrica generada por diversas fuentes primarias como la energía solar que es fuente primaria de otras fuentes de energía como la del viento, la energía de biomasa o la del agua o la energía geotérmica, la energía de hidrocarburos

y carbón y la nuclear que son emergentes de procesos radiactivos, com presionales y térmicos, respectivamente, que tienen lugar al interior del planeta Tierra, energía eléctrica que normalmente se determina en función a la potencia instalada del sistema (Argentina: 49,2 GW, Bolivia: 3,9 GW, EEUU: 1.274 GW).

Paso a analizar el consumo de energía eléctrica, desde el punto de vista de su uso en el sistema de Inteligencia artificial que implica contar con centros de datos y ordenadores o sistemas similares, para lo cual tomo como referencia el consumo de energía eléctrica de EE.UU. al 2022 que es de 4,000 TWh y, en comparación, el de Bolivia al 2021 es de 8,8 TWh y considero la energía que se utiliza en un ordenador que es del orden de 100 Wh por día (en Bolivia, según ATT, 56% de la población al 2023, es decir, 6,7 millones de personas tiene acceso a internet vía ordenador) y considerando dicho número, se determina un consumo de 245 GWh por año, cerca al 3 % del consumo nacional, en operar los sistemas. Por otra parte, la IA a nivel mundial (la GPU más vendida es H100 de NVIDIA dada su escalabilidad que puede llegar hasta 256 unidades con un consumo de energía de 700 watts por unidad y considerando un consumo anual del 61%, es decir, 222 días, lleva a una potencia requerida de 155 KW. Existiendo al 2024 cerca a 4 millones de unidades en operación, conlleva una potencia requerida al presente (básicamente en centros de datos) de 620 GW, es decir, una potencia del orden del 30% del total de la capacidad de EEUU.

Esto muestra que el consumo de energía con el uso de IA, a mediano plazo, presenta una figura exponencial a lo que se debe añadir la energía consumida por ordenadores y centros de cómputo

de los más de 200 paises que conforman el Planeta y la energía en obtener y procesar los materiales que componen estos elementos.

Paso ahora a analizar el consumo de energía eléctrica para fabricar un vehículo a gasolina, según Enertrans, 2008, constituido por el costo de los materiales utilizados (28 MWh) y el costo de fabricación como tal (14 MWh), es decir, un total de 42 MWh, energía que en el caso de un vehículo eléctrico (VE) se incrementa en un 50%, pasando a 63 MWh y si consideramos el número de VE al 2023 que es de 14 millones, parte de los 85 millones de vehículos fabricados en dicho año, con un incremento anual promedio en el primer caso, en los últimos 5 años, de 2,8 millones de VE, se determina que el consumo de energía eléctrica para fabricar dicho número promedio de VE llega a un total de 176 TWh por año, veinte veces veces el total de la energía consumida en Bolivia al 2022 a la que se debe añadir la energía requerida en promedio para cargar la batería del VE del orden de 10 KWh cada 300 Km de recorrido y considerando un recorrido anual promedio de 10.000

km por vehículo, significa 3,33 MWh por vehículo por año y un total de 9,3 TWH para el total de VE fabricados por año.

En conclusión, si se reemplaza el parque vehicular mundial al 2023 (estimado en 1.400 millones de unidades, por vehículos eléctricos, en un 50% (700 millones de unidades), en los próximos 10 años (70 millones por año) y utilizando datos mostrados en el párrafo anterior, se determina que se requerirá 4.400 TWh por año (equivalente a la producción de energía actual de los EE.UU.) más una provisión de 233 TWh por año para recarga, energía a la que se debe añadir la energía eléctrica que se requerirá, durante cada uno de los 10 años (utilizando la potencia eléctrica actual del sistema AI que es de 620 GW), por el uso intensivo de la IA que se determina en 5.500 TWh, con un impacto exponencial creciente en la generación eléctrica para cubrir dichos requerimientos y en la adaptación de las líneas de transmisión y de distribución eléctrica para soportar el amperaje correspondiente.

Acad. Gastón Mejía Brown Presidente ANCB-SC

ARTÍCULOS

Los artículos publicadas son de entera responsabilidad de los autores y no representan la posición de la Academia Nacional de Ciencias de Bolivia-Departamental Santa Cruz (ANCB-SC).

Modelo matemático para un sistema de evaporación con cuatro efectos en la industria azucarera

Modelo matemático para un sistema de evaporación con cuatro efectos en la industria azucarera

RESUMEN

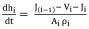
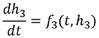
El sistema de evaporación en múltiple efecto tiene como propósito principal la concentración de jugo de caña proveniente de la molienda, obteniéndose un producto final con un °Brix aproximado de 65. Puesto que en las cajas de evaporación o reboilers existe un intercambio de calor, las variables de estudio consideradas son la altura “h” del jugo alcanzado en los tubos de la calandria, la temperatura “T” de ebullición en cada equipo de evaporación y el brix “B” del jugo que se concentra en sus efectos correspondientes.

Puesto que las variables mencionadas son variables en el tiempo “t”, se plantean balances de materia y energía en estado no estacionario, es decir, considerando la acumulación dentro de cada cuerpo evaporador “i”, siendo i = 1,…4, correspondiente a cada efecto.

Se plantea, en consecuencia, un sistema de tres ecuaciones diferenciales por cada efecto, en que se definen T(t), B(t) y h(t), haciendo doce ecuaciones en total. Tanto las entradas y las salidas de jugo “J”

1 Ingeniero Químico, Miembro de la Sociedad de Estudios Geográficos e Históricos de Santa Cruz.

y de vapor “V” de los efectos, se consideran datos constantes y determinables por medición o cálculos directos, así como las propiedades físicas involucradas al jugo y el vapor.

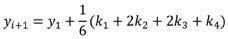
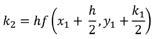
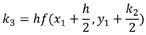
La solución de las ecuaciones diferenciales puede realizarse aplicando el método numérico de Runge Kutta de cuarto orden, determinándose a través del cálculo de sus constantes, los valores aproximados para “T”, “h” y “B”, en función del tiempo.

Palabras claves: Evaporación, múltiple efecto, modelo matemático, balances de materia y energía, no estacionario.

ABSTRACT

The main purpose of the multiple effect evaporation system is the concentration of cane juice from the milling, obtaining a final product with an approximate °Brix of 65. Since there is a heat exchange in the evaporation boxes or reboilers, the study variables considered are the height "h" of the juice reached in the calandria tubes, the boiling temperature "T" in each evaporation equipment and the brix "B" of the juice that is concentrated in its corresponding effects. Since all the variables mentioned are variables at time "t", material and energy balances are considered in a non-steady state,

that is, considering the accumulation within each evaporator body "i", being i = 1,...4, corresponding to each effect. Consequently, a system of three differential equations is proposed for each effect, in which T(t), B(t) and h(t) are defined, making twelve equations in total. Both the inputs and outputs of juice "J" and steam "V" of the effects are considered constant data and determinable by measurement or direct calculations, as well as the physical properties involved in juice and steam. The solution of the differential equations can be done by applying the fourth order Runge Kutta numerical method, determining through the calculation of its constants the most approximate values for “T”, “h” and “B”, all as a function of time.

Keywords: Evaporation, multiple effect, mathematical model, material and energy balances, non-stationary.

INTRODUCCIÓN

Se analiza:

Sistema de evaporación en múltiple efecto

El procesamiento industrial de la caña de azúcar dispone de complejos sistemas de operación, uno de ellos, el sistema de evaporación en múltiple efecto. Esta unidad tiene como propósito principal, la concentración del jugo de caña proveniente de la molienda, sea ésta a través de trapiches, o bien por difusor.

Un sistema de evaporación en múltiple efecto consiste en un arreglo apropiado de equipos evaporadores; éstos pueden ser tipo Robert (cajas de evaporación), cuyas calandrias se encuentran en el

interior del mismo, o bien pueden ser de tipo Kestner (reboilers), de calandria externa, lo cual significa a la vez mayor superficie de intercambio de calor.

El trabajo realizado por Avalo y Varela, en la Universidad de Zulia, logra describir a través de un modelo matemático, el comportamiento de un sistema de evaporación con tres efectos.

En este trabajo se considera un sistema de evaporación con cuatro efectos. El primer efecto recibe vapor de escape “VE”, proveniente de calderas; el segundo efecto recibe calefacción del efecto anterior, y produce vapor “V2” para el efecto siguiente, donde a su vez se genera vapor “V3” para ingresar al último de los efectos. El jugo clarificado “J0”que ingresa al primer efecto frecuentemente se encuentra a 15 °Brix, saliendo de éste a mayor concentración para ingresar al efecto siguiente, y así sucesivamente hasta salir del cuarto efecto, en que el jugo alcanza una concentración de aproximadamente 65 °Brix. El agua evaporada en cada efecto es utilizado para la calefacción del efecto siguiente, con la posibilidad además de poder sangrar hacia diferentes áreas de la fábrica.

Debido a que el jugo circula de efecto a efecto, intercambiando calor con el vapor correspondiente, se considera como variable de estudio la altura “h” alcanzada por el líquido a concentrar dentro de los tubos de la calandria, lo cual se verifica por la acumulación de materia dentro de cada equipo evaporador; y puesto que la concentración de jugo depende también de su calefacción, la temperatura de ebullición “T” también aparece como variable a estudiar.

Se presenta el sistema de evaporación descrito:

Figura 1. Esquema general de un sistema de evaporación de cuatro efectos

OBJETIVOS

Estos son:

Objetivo general

Modelo matemático para un sistema de evaporación con cuatro efectos en la industria azucarera

Plantear un modelo matemático en estado no estacionario para el sistema de evaporación con cuatro efectos, para conocer el comportamiento de las variables de proceso respecto del tiempo.

Objetivos específicos

• Realizar balances de materia para conocer la dependencia de la altura “h” alcanzada por el jugo en los tubos de la calandria, y del °Brix “B” del jugo concentrado, respecto del tiempo en cada uno de los efectos.

• Realizar balances de energía para expresar la variación de la temperatura “T” de ebullición en cada efecto, respecto del tiempo.

• Combinar apropiadamente las ecuaciones diferenciales de masa y energía.

Método

Se presenta el balance de masa y energía en estado no estacionario.

Figura 2. Esquema abreviado de un sistema de evaporación

donde:

J = Flujo másico de jugo (kg/h)

B = °Brix del jugo (p/p)

V = Flujo másico de vapor (kg/h); para i = 1 es el vapor de escape VE

C = Flujo másico de condensado (kg/h)

M = Masa total acumulada en el efecto considerado (kg/h)

i = Posición del efecto tomado como volumen de control: i = 1…4

Para expresar la variación de °B, h y T, respecto del tiempo, debe plantearse ecuaciones de masa y energía en estado no estacionario.

a. Balance global de materia

Para el Efecto i, la masa total acumulada es:

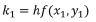
Mi = MJi + MVi ecuación 1 donde:

MJi = Masa acumulada de jugo dentro del efecto i MVi = Masa acumulada de vapor dentro del efecto i

Haciendo el balance de materia en estado no estacionario, tomando como volumen de control el Efecto i, y considerando que la masa de jugo acumulado es mayor que la masa acumulada de vapor, se tiene:

= J(i-1) - Vi - Ji ecuación 2

Pero,

Mi = ρi x volumen ecuación 3 Volumen = Ai x hi ecuación 4

Remplazando los valores de las ecuaciones 3 y 4 en la ecuación 2, se tiene: ecuación 5

b. Balance de materia por componente

Se aplica la ecuación:

= J(i-1) B(i-1) - ViYi - JiBi ecuación 6

Reemplazando los valores de la ecuación 3 en la ecuación 6, se tiene:

= J(i-1) B(i-1) - ViYi - JiBi ecuación 7

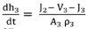
c. Balance de energía

Balance de energía para el Efecto i.

= Qi + J(i-1) HJ(i-1) - ViHVi - JiHJi

ecuación 8

donde:

Qi = V(i-1) λ(i-1)

HVi = CpH O (Ti - Tref) + λi

HJi = Cpi (Ti - Tref)

HJ(i-1) = Cp(i-1) (T(i-1) - Tref)

Cpi = CpsBi + CpH O XH Oi

Cp(i-1) = CpsB(i-1) + CpH O XH O(i-1)

ecuación 9

ecuación 10

ecuación 11

ecuación 12

ecuación 13

ecuacion 14

HTi = Cpi (Ti - Tref) , Tref = 0 ecuación 15

XH Oi = 1 - Bi

donde:

ecuación 16

XH Oi = Fracción de agua en el jugo concentrado Ji

XH O(i-1) = Fracción de agua en el jugo concentrado Ji-1.

Bi = Fracción de sólidos disueltos en el jugo del Efecto i, es decir, el brix..

T(i -1) = Temperatura de ebullición del jugo en el Efecto i - 1 (°C).

Tref = Temperatura de referencia a 0 °C.

Ti = Temperatura de ebullición del jugo en el Efecto i (°C).

Reemplazando las ecuaciones (15), (13) y (3) en la ecuación (8) y considerando que: volumen = Ai hi

donde:

Ai = superficie de intercambio de calor en el Efecto i (m2).

hi = altura alcanzada por el jugo dentro de la calandria de los tubos del intercambiador de calor (m).

Se tiene:

HTi = Entalpía de la masa del jugo acumulado en el Efecto i (kcal/kg).

Qi = Calor transferido al Efecto i (kcal/h).

V(i – 1) = Flujo de vapor proveniente del efecto anterior (kg/h).

HJi = Entalpía del jugo Ji en el efecto i (kcal/kg).

Hvi = Entalpía del vapor Vi (kcal/kg).

λi = Calor latente de vaporización del agua a la Ti (kcal/kg).

Cpi = Calor específico promedio del jugo Ji (kcal/kg °C).

Cp(i-1)= Calor específico promedio del jugo Ji -1 (kcal/ kg °C).

Cps = Calor específico de los sólidos totales en la solución (kcal/kg °C).

CpH O = Calor específico del agua (kcal/kg °C).

λ(i-1) = Calor latente del vapor de agua a T(i -1) (kcal/ kg).

ρiAiCps + ρiAiCpH O XH Oi

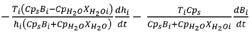
= Qi + J(i-1) HJ(i-1) - ViHVi - JiHJi ecuacion 17

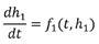
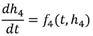
Se determina que los dos términos del primer miembro de la ecuacion 17, contienen las variables de estudio (hi, Bi, Ti). Resolviendo, por tanto, el producto de las derivadas y ordenando los diferenciales:

ecuación 18

RESULTADOS

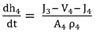
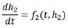
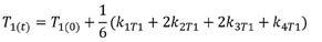
La ecuación 18 expresa la variación de la temperatura Ti respecto del tiempo, involucrándose además con las variables altura hi y brix Bi.

Modelo matemático para un sistema de evaporación con cuatro efectos en la industria azucarera

De este modo, de (5), (7) y (18):

Para el primer efecto (i =1)

Se tiene:

ecuación 19

ecuacion 24

Para el tercer efecto (i = 3)

Se tiene:

ecuación 20

Para el segundo efecto (i = 2)

Se tiene:

ecuación 21

ecuación 25

ecuación 26

ecuación 22

ecuación 27

Para el cuarto efecto (1=4)

Se tiene:

ecuación 23

ecuación 28

ecuación 29

ecuación 30

De esta manera se tiene un sistema de doce ecuaciones diferenciales resolubles por métodos numéricos.

Método de Runge Kutta de cuarto orden

Se tiene:

Para determinado tiempo t, se calculan las variables h, B y T.

CONCLUSIONES

La solución a la ecuación diferencial es: donde:

Planteando la resolución de las ecuaciones diferenciales del sistema de evaporación de cuatro efectos, a través del método numérico de Runge Kutta de cuarto orden, se determina:

Mediante los balances de materia y energía, planteados en cada uno de los efectos del sistema de evaporación completo, se obtiene un total de doce ecuaciones diferenciales, en las que se expresa la dependencia de T(t), h(t) y B(t). Este sistema resoluble mediante el método numérico de Runge Kutta, es capaz de predecir el comportamiento de estas variables a fin de poder ejercer un control acertado del sistema de evaporación.

REFERENCIAS

Avalo, B; Varela, A. (2008) Modelación y simulación de un evaporador de triple efecto para concentración de jugos naturales. Rev. Téc. Ing. Univ. Zulia. Vol. 31, N° 2. Zulia, Venezuela: Universidad de Zulia. Bird. R. Sterwrt, W. Lightfoot, E. (1982). Fenómenos de Transporte. Barcelona, España: : Reverté. Hugot, E. (1963). Manual para Ingenieros Azucareros México D.F, México: Continental. Izar, Juan Manuel. (1998). Elementos de métodos numéricos para ingeniería. San Luis Potosí, Mexico: Universidad Autónoma de San Luis Potosí. Mitral, A.(2014). Evaporators-Modelling & Simulation of SEFFE. Londres, Reino Unido: Lambert Academic Publishing.

Palit, S. (2011). Design of Multiple Effect Evaporator: Londres, Reino Unido: Lambert Academic Publishing.

Rein, P. (2012). Ingeniería de la caña de azúcar. Berlín, República Federal de Alemania: Bartens.

Hábitos en el uso de videojuegos en estudiantes de secundaria de la ciudad de Santa Cruz de la Sierra1

RESUMEN

La popularidad de los videojuegos entre estudiantes adolescentes ha ido incrementando en los últimos años al igual que los índices de conductas problemáticas con respecto a su uso. El presente estudio tuvo como objetivo hacer un análisis de los hábitos de estudiantes de secundaria en cuanto a la práctica y uso de videojuegos en la ciudad de Santa Cruz de la Sierra, Bolivia. Las herramientas utilizadas fueron el Game Addiction Scale for Adolescents (GASA) y el Internet Gaming Disorder Scale - IGDS. De igual forma se recabó información sobre hábitos como las horas de juego, con quiénes suelen jugar, el dinero gastado en videojuegos y los beneficios percibidos. Los resultados indicanque la muestra presentó resultados similares a estudios realizados en otros países. Entre un 3,7% y un 5,7% presentó resultados que pueden ser calificados como adicción a los videojuegos. Así mismo, se detectaron otros hábitos potencialmente problemáticos. Los beneficios percibidos son principalmente de carácter recreativo y social.

1 Proyecto financiado por el programa UPSA - ANCB-SC.

2 Miembro del Consejo de Investigaciones de la ANCB-SC. Docente UPSA.

3 Docente Universidad del Valle.

ABSTRACT

The popularity of video games among adolescent students has been increasing in recent years, as have the rates of problematic behavior regarding their use. The objective of this study was to analyze the habits of high school students regarding the practice and use of video games. The tools used were the Game Addiction Scale for Adolescents (GASA) and the Internet Gaming Disorder Scale - IGDS. Likewise, information was collected on habits such as hours of play, who they usually play with, money spent on video games and perceived benefits. The results show that the sample presented similar results to studies carried out in other countries. Between 3,7% and 5,7% presented results that can be classified as video game addiction. Likewise, other potentially problematic habits were detected. The perceived benefits are mainly recreational and social in nature.

INTRODUCCIÓN

Los videojuegos se han convertido en una forma popular de entretenimiento entre los jugadores latinoamericanos. Según un estudio reciente realizado por la consultora Newzoo, en 2021, el mercado de videojuegos solamente en plataforma móvil en América Latina alcanzó los 3.500 millones de dólares, siendo Brasil y México los dos principales mercados

(Newzoo, 2021). De igual manera, el mismo estudio estima que existen aproximadamente 273 millones de jugadores en la región siendo un 47% de estos jugadores lo que han gastado dinero en videojuegos de alguna forma.

El uso de videojuegos se suele asociar con efectos negativos en la sociedad, especialmente, entre los adolescentes. Algunos estudios han demostrado que su uso excesivo puede tener efectos negativos en el desarrollo cognitivo, emocional y social de los adolescentes (Kuss et al., 2014). Por ejemplo, se ha relacionado el uso excesivo de videojuegos con la ansiedad, la depresión, el aislamiento social, problemas de atención y de rendimiento académico (Ko et al., 2005; Ko et al., 2009).

Además, algunos estudios sugieren que la adicción a los videojuegos puede estar relacionada con cambios en la estructura y función del cerebro (Han et al., 2011; Kühn et al., 2011). La Organización Mundial de la Salud introdujo el desorden por uso de videojuegos en su 11ª Revisión de la Clasificación Internacional de Enfermedades (CIE-11) como un trastorno mental (OMS, 2020). Esto ha generado un gran debate en torno a si el uso excesivo de videojuegos debe ser considerado una adicción o no. En general, parece haber un consenso entre los expertos de que el uso excesivo de videojuegos puede tener efectos negativos en la salud mental y en el bienestar general (Griffiths, 2018).

A pesar de ello, todavía existen preguntas sin respuesta sobre cómo y por qué algunos adolescentes desarrollan una adicción a los videojuegos. Algunos estudios han identificado factores de riesgo como el género (masculino), la personalidad (neuroticismo, impulsividad, baja autoestima), el uso de internet (uso excesivo de internet en general) y la falta de apoyo social (Kuss et al., 2014; King et al., 2010). Otros estudios han sugerido que la adicción a los videojuegos puede estar relacionada con una resiliencia emocional y rendimiento académico bajos (Lemmens, et al., 2011). Por otro lado, el uso moderado de videojuegos puede tener beneficios para el desarrollo cognitivo, emocional y social de los adolescentes. Algunos estudios han encontrado que los videojuegos pueden mejorar la coordinación ojomano, la percepción espacial, el razonamiento lógico y la capacidad de resolver problemas complejos (Feng et al., 2007). Además, los videojuegos pueden mejorar la memoria a corto plazo y la velocidad de procesamiento de la información (Green & Bavelier, 2003). En cuanto al desarrollo emocional y social,

algunos estudios han encontrado que los videojuegos pueden ayudar a los adolescentes a aprender a manejar mejor sus emociones y a desarrollar habilidades sociales de colaboración y comunicación (Gentile, 2009; Granic et al., 2014). Los videojuegos también pueden ser una forma efectiva de manejar el estrés y la ansiedad (Kuss et al., 2014).

Los hábitos que desarrollan los adolescentes al jugar videojuegos, son un factor importante al momento de obtener beneficios o perjuicios sobre esta actividad. Un estudio realizado durante la pandemia de COVID-19 en Hong Kong informó que más del 80% de los adolescentes jugaban videojuegos (Zhu et al., 2021). Según un estudio realizado en Malasia, de 380 estudiantes, el 40,1% de los adolescentes jugaba videojuegos menos de dos horas al día, el 38,8% jugaba entre dos horas y cuatro horas al día y el 21,1% jugaba más de cuatro horas al día (Marzo et al., 2019). Otro estudio encontró que entre el 31% y el 21% de los adolescentes estadounidenses están inmersos en juegos todos los días o entre tres días a cinco días a la semana (Khiyali et al., 2022).

Por estas razones, consideramos necesario hacer un estudio inicial para analizar los hábitos con respecto a los videojuegos y determinar si la población estudiantil en Santa Cruz de la Sierra tiene alguna inclinación hacia el uso excesivo o adicción a los videojuegos. Así como, comprender mejor sus hábitos, conductas y necesidades permitirá derribar mitos con respecto a videojuegos y plantear en el futuro medidas para prevenir y contrarrestar los usos peligrosos, al mismo tiempo de aprovechar sus posibles beneficios.

MÉTODO

Se consideran:

a. Muestra

La muestra estuvo conformada por 754 estudiantes entre 11 años y 19 años correspondientes a los cursos desde primero hasta sexto de secundaria. Con un 49,9% de estudiantes del sexo femenino, un 47,7% masculino y un 2,4% no binario. Todos ellos pertenecientes a siete unidades educativas de la ciudad de Santa Cruz de la Sierra.

b. Herramientas

Las pruebas aplicadas para el presente estudio fueron:

Hábitos en el uso de videojuegos en estudiantes de secundaria de la ciudad de Santa Cruz de la Sierra

Game Addiction Scale for Adolescents (GASA) elaborado por Lemmens et al. (2009), en su versión reducida y traducida al español (Irles et al. 2018). Contiene siete ítems en su versión corta. Las opciones de respuestas conforman una escala de cinco puntos entre “totalmente en desacuerdo” y “totalmente de acuerdo”. La fiabilidad de esta escala es alta (alpha de cronbach = 0,86). Cada ítem de este cuestionario representa un criterio de diagnóstico (saliencia, tolerancia, emoción, recaídas, abstinencia, conflictividad y problemas), considerándose una persona adicta si puntúa cuatro o más en al menos cuatro criterios (ítems).

“Internet Gaming Disorder Scale - IGDS (Pontes et al. 2014) en su versión en español (Fuster et al 2016) que contiene 20 ítems cuyas opciones de respuestas conforman una escala de cinco puntos entre “totalmente en desacuerdo” y “totalmente de acuerdo”. La fiabilidad de esta escala es alta (alpha de cronbach = 0,87). El test contiene seis dimensiones diferentes: prominencia, modificación del estado de ánimo, tolerancia, síntomas de abstinencia, conflicto y recaída. El punto de corte en esta escala para distinguir a los jugadores con un trastorno es a partir de los 75 puntos.

Cuestionario de hábitos desarrollado ad-hoc para la presente investigación que contiene cinco preguntas sobre hábitos de juego así como los días a la semana, las horas que juegan, las personas con las que normalmente juegan, los beneficios y los perjuicios percibidos al jugar videojuegos.

c. Procedimiento

Para llevar a cabo el estudio, se contactó a las autoridades de varios colegios de la ciudad de Santa Cruz de la Sierra. Cuando hubo el acuerdo y consentimiento para continuar con el levantamiento de datos, se procedió a entregar el cuadernillo de preguntas para su llenado o si la institución lo requería, se les facilitó un link para ser llenado de forma online. El consentimiento parental fue requerido antes de responder las preguntas. Los formularios fueron llenados de forma completamente anónima para garantizar la honestidad de los adolescentes en sus respuestas. Los datos se levantaron entre los meses de junio y septiembre del 2023.

RESULTADOS

Los resultados descriptivos muestran que en el GASA (tabla 1), el 60,6% de la muestra no presenta ningún criterio diagnóstico de adicción hacia los videojuegos. Por el contrario, el 3,7% alcanza al menos

cuatro criterios diagnósticos y se puede identificar como adicción a los videojuegos.

Tabla 1. Puntuaciones GASA

Criterios Alcanzados Frecuencia Porcentaje

Cuatro o más (Adicción) 28 3,7

Los resultados del IGDS (tabla 2) muestran que un 5,7% de los jugadores pasaron el punto de corte planteado por los autores y pueden ser considerados jugadores con un trastorno relacionado a los videojuegos, mientras que el restante 94,3 son jugadores sin trastornos.

Tabla 2. Puntuaciones IGDS

Tipo de jugadores Frecuencia Porcentaje Jugadores sin transtorno 711 94,3 Jugadores con transtorno 43 5,7

En cuanto a la cantidad de días a la semana y horas diarias que los estudiantes suelen jugar videojuegos, encontramos que 155 de ellos (20,56%) que reportaron jugar solamente un día a la semana, juegan en promedio 1,25 horas (DT= 0,88). Por otro lado, 189 estudiantes (25,07%) juega todos los días de la semana un promedio de 4,51 horas diarias (DT= 2,35).

Se presenta las medias reportadas según la cantidad de días que los estudiantes juegan.

Tabla 3. Media de cantidad de horas jugadas según los días a la semana

Días de la semana N Media DT

Para analizar si las anteriores variables (días a la semana, horas diarias, puntuaciones del GASA y del IGDS) estaban relacionadas, se realizó análisis correlacional. Se muestra que existe una correlación entre media y alta entre las variables (tabla 4). Las correlaciones resultaron significativas (p<0,001), siendo que a más días a la semana jugados, mayor es la cantidad de horas diarias de juego, así como también mayor el índice de los tests IGDS y GASA.

Tabla 4. Matriz de correlaciones entre Días de la semana, horas diarias, puntuaciones GASA y puntuaciones IGDS

Rho de Spearman Días de la semana Horas Diarias GASA total IGDS

Días de la semana Rho -

Horas Diarias Rho 0,55 -

GASA Rho 0,48 0,45

Ante la pregunta sobre los compañeros de juegos usuales, se establece que 225 estudiantes juegan normalmente solos, mientras que 339 estudiantes lo hace con familiares o amigos cercanos (figura 1), 76 estudiantes juegan con personas que conocieron online, mientras que 75 estudiantes suelen hacerlo con desconocidos online, es decir, mediante el emparejamiento automáticos que algunos juegos ofrecen. Por último, 37 estudiantes eligieron otro tipo de compañeros de juego.

Se presenta un gráfico de formas de jugar de los estudiantes.

Figura 1. Distribución de respuestas ante la pregunta: ¿Con quienes sueles jugar?

Solo (a)

Amigos o familiares

Conocidos Online

Desconocidos Online

Otros

Ante la pregunta sobre si han llegado a gastar dinero en algo relacionado a los videojuegos en el último año, se agruparon las respuestas en tres categorías (figura 2). Se establece que 302 estudiantes (40%) no han llegado a gastar dinero en algo relativo a los videojuegos, 241 (32%) han llegado a gastar dinero

en compras externas al videojuego pero, relacionadas a jugar (accesorios, hardware, inscripciones). Por otro lado, 211 estudiantes (28%) han gastado dinero en compras internas de un videojuego, es decir, compras o micro transacciones que algunos videojuegos permiten al usuario (cajas sorpresa, skins, personajes, equipamiento, nuevos modelos de juego).

Figura 2. Distribución de respuestas ante la pregunta: ¿Has llegado a gastar dinero en el último año relacionado a los videojuegos?

Ninguno

Compras internas

Compras externas

Finalmente, ante la pregunta de sobre los beneficios percibidos de jugar videojuegos, los estudiantes mencionaron distintos beneficios pero, estuvieron de acuerdo en cuatro de ellos.

El principal beneficio percibido de jugar videojuegos es la diversión, ya que 603 (80%) de las estudiantes lo reconoce. Luego se encuentra el haber desarrollado alguna capacidad cognitiva como ser memoria, coordinación o concentración con 339 respuestas (45%); el conocer nuevos amigos fue el tercer beneficio más mencionado con 248 respuestas (32,9%). Mejorar el autoestima y haber ganado dinero jugando le siguen con 173 (22,9%) y 76 (10%), respectivamente. Finalmente, 60 estudiantes (8%) no perciben beneficio alguno de haber jugado videojuegos.

Figura 3. Frecuencia de respuestas sobre los beneficios percibidos de jugar

Hábitos en el uso de videojuegos en estudiantes de secundaria de la ciudad de Santa Cruz de la Sierra

DISCUSIÓN

El objetivo planteado fue analizar los hábitos de los estudiantes de secundaria con respecto a los videojuegos y detectar el porcentaje de esta población con adicción a los videojuegos. Los resultados arrojaron que entre el 3,7% y el 5,7% (GASA y IGDS, respectivamente), presentan puntajes que se pueden considerar como problemáticos con respecto al uso de videojuegos. Este bajo porcentaje de videojugadores es coherente con otros estudios realizados en Holanda (Lemmens et al., 2009), España (Mora-Salgueiro et al., 2022) y México (Osorio-Perez & Blanco-Enríquez, 2020).

De igual manera, los resultados descriptivos sobre los hábitos han sido similares a estudios previos (Yee, 2006; Khiyali et al., 2022). Aunque existe una mayoría que juega menos de 21 horas semanales, existe un porcentaje de estudiantes que excede esa cantidad recomendada, ya que a partir de las 21 horas semanales, los beneficios de los videojuegos comienzan a declinar (McGonigal, 2011).

En cuanto a la relación entre variables, se pudo observar que existe una relación significativa entre los hábitos de los estudiantes y los puntajes de los tests. Esta correlación mostró que los estudiantes que más días a la semana y más horas diarias juegan videojuegos, también presentan mayores problemas asociados a su uso, entre ellos, niveles que se pueden categorizar como adicción. Aunque esta relación no implica causalidad, es probable que los estudiantes que más juegan también tengan un menor control parental o que sus padres tengan una menor comunicación con ellos, como ya se ha observado en estudios anteriores (Donati et al., 2021).

Aparte de la adicción a los videojuegos, el presente estudio también analizó otras posibles fuentes que pudieran poner en riesgo la salud de los estudiantes. Ante la pregunta de si gastan dinero en cosas relacionadas al juego, un 40% respondió que no gastaba en nada y un 28% respondió que había gastado en cosas dentro del juego (compras internas). Esta realidad pueda ocasionar dos posibles problemas, en primer lugar, es posible que algunos tengan acceso independiente a esas compras online y puedan gastar mediante tarjetas de débito o crédito. Estudios previos han demostrado que este tipo de comportamientos debe ser supervisado por adultos, ya que puede ocasionar gastos indeseados (Livingstone & Helsper, 2008) como también la participación en apuestas relacionadas a los videojuegos (Castrén, 2021). En segundo lugar, entre las compras internas

de algunos juegos se encuentran las compras de cajas o “lootboxes”. Este tipo de cajas ha sido regulada en otros países debido a su semejanza con juegos de azar (Xiao, 2023).

También se cuestionó sobre los compañeros de juego. Aunque más del 85% de los estudiantes reconoció jugar ya sea solo o con gente que ya conoce previamente, un 10% lo hace con personas online elegidas de forma aleatoria dentro del juego. Esta es una práctica común dentro de los juegos online para acelerar el tiempo de espera de cada partida. No obstante, este modo de juego puede conllevar a posibles problemas como la exposición a comportamiento tóxico (Kwak, 2015) y la recolección de datos personales o sensibles conocido como “phishing” (Yani et al., 2016).

Finalmente, preguntamos sobre los beneficios percibidos que conlleva jugar videojuegos. La respuesta principal fue “diversión”, que muestra que los estudiantes siguen utilizando a los videojuegos para su principal función que es el entretenimiento. A pesar de ello, se observaron beneficios percibidos interesantes como conocer nuevos amigos. Desde la pandemia Covid-19, los videojuegos han desarrollado un rol social dentro de los jóvenes permitiéndoles socializar y expandir sus círculos sociales (Arya et al., 2022; Shan et al., 2023). Por último, una minoría reconoce otros beneficios como el mejorar algunas habilidades. Este beneficio, aunque no esté reconocido por la presente muestra, ha sido referenciado en otros estudios sobre videojuegos, ya que pueden ser una fuente de estímulo y entrenamiento de habilidades cognitivas como la memoria y la coordinación tanto en adultos como en jóvenes (Toril et al., 2014; Choi et al., 2020).

Dentro de las limitaciones de este estudio se puede mencionar el tipo de muestreo. Aunque se llegó a alcanzar la muestra propuesta al inicio del estudio, los participantes pertenecen a solamente siete instituciones educativas privadas, lo que puede comprometer la representatividad de la misma. Igualmente esta misma limitación hace que los resultados no sean generalizables a estudiantes de otros contextos socioculturales (como ser otras ciudades o estratos sociales).

CONCLUSIONES

En su mayoría, los estudiantes de secundaria de Santa Cruz de la Sierra de los colegios privados evaluados, no presentan niveles de adicción elevados ni poseen hábitos que puedan sugerir que estén

próximos a desarrollar algún tipo de trastorno relacionado a los videojuegos. A pesar de ello, existe un pequeño porcentaje que califica dentro de los parámetros de adicción y que necesita recibir ayuda profesional para ser diagnosticados correctamente.

Por otro lado, existen indicadores de que una minoría tiene hábitos potencialmente perjudiciales, como horas semanales elevadas, acceso a compras online y jugar con desconocidos. Estas conductas aunque no son siempre peligrosas, deben ser supervisadas por algún adulto, además que se sugieren futuras acciones informativas y preventivas orientadas a mantener hábitos saludables y buenas prácticas en los videojuegos.

Entre los beneficios percibidos, aspectos sociales como la diversión y conocer amigos resaltaron entre las respuestas. Sin embargo, los beneficios ya mencionados en previas investigaciones como el desarrollo y refuerzo de habilidades cognitivas no parecen ser lo suficientemente apreciados o percibidos. Es importante dirigir futuros estudios para analizar si estos beneficios realmente están siendo recibidos por esta población y educar tanto a jugadores como padres sobre estos posibles beneficios, para fomentar el juego saludable.

REFERENCIAS

Arya, S., Sharma, M. K., Rathee, S., & Singh, P. (2022). Covid-19 pandemic, social isolation, and online gaming addiction: evidence from two case reports. Journal of Indian Association for Child and Adolescent Mental Health, 18(2), 196-198. https://doi.org/10.1177/09731342221118164.

Castrén, S., Järvinen-Tassopoulos, J., & Raitasalo, K. (2021). Money used in gaming is associated with problem gambling: results of the espad 2019 finland. Journal of Behavioral Addictions, 10(4), 932-940. https://doi. org/10.1556/2006.2021.00076.

Choi, E., Shin, S., Ryu, J., Jung, K., Kim, S., & Park, M. H. (2020). Commercial video games and cognitive functions: video game genres and modulating factors of cognitive enhancement. Behavioral and Brain Functions, 16(1). https://doi.org/10.1186/ s12993-020-0165-z.

Donati, M. A., Guido, C. A., Meo, G. D., Spalice, A., Sanson, F., Beccari, C. & Primi, C. (2021). Gaming among children and adolescents during the covid-19 lockdown: the role of parents in time spent on video games and gaming disorder symptoms. International Journal of Environmental

Research and Public Health, 18(12), 6642. https:// doi.org/10.3390/ijerph18126642.

Feng, J., Spence, I., & Pratt, J. (2007). Playing an action video game reduces gender differences in spatial cognition. Psychological Science, 18(10), 850-855.

Fuster, H., Carbonell, X., Pontes, H. M., & Griffiths, M. D. (2016). Spanish validation of the internet gaming disorder-20 (IGD-20) test. Computers in Human Behavior, 56, 215-224.

Gentile, D. A. (2009). Pathological video-game use among youth ages 8 to 18: A national study. Psychological Science, 20(5), 594–602. doi: 10.1111/j.1467-9280.2009.02340.x.

Granic, I., Lobel, A., & Engels, R. C. (2014). The benefits of playing video games. American Psychologist, 69(1), 66-78.

Green, C. S., & Bavelier, D. (2003). Action video game modifies visual selective attention. Nature, 423(6942), 534-537.

Griffiths, M. (2018). Video game addiction: Past, present and future. Journal of Behavioral Addictions, 7(2), 191–202. doi: 10.1556/2006.7.2018.16.

Han, D. H., Lee, Y. S., & Renshaw, P. F. (2011). Bupropion sustained release treatment decreases craving for video games and cue-induced brain activity in patients with Internet video game addiction. Progress in Neuro-Psychopharmacology and Biological Psychiatry, 35(3), 602-607.

Irles, D. L., Gomis, R. M., Campos, J. C. M., & González, S. T. (2018). Validación española de la Escala de Adicción a Videojuegos para Adolescentes (GASA). Atención Primaria, 50(6), 350-358.

Khiyali, Z., Fereidouni, A., Jafarzadeh, S., Dehghan, A., & Teymoori, E. (2022). Association between playing video games, general health and academic performance of fasa mid-schools boy students. Caspian Journal of Health Research, 7(3), 119-126. https://doi.org/10.32598/cjhr.7.3.1.

King, D. L., & Delfabbro, P. H. (2014). The cognitive psychology of Internet gaming disorder. Clinical psychology review, 34(4), 298-308.

Ko, C. H., Yen, J. Y., Chen, C. S., Yeh, Y. C., & Yen, C. F. (2009). Predictive values of psychiatric symptoms for internet addiction in adolescents: a 2-year prospective study. Archives of pediatrics & adolescent medicine, 163(10), 937-943.

Ko, C. H., Yen, J. Y., Chen, C. C., Chen, S. H., & Yen, C. F. (2005). Gender differences and related factors affecting online gaming addiction among Taiwanese adolescents. The Journal of nervous and mental disease, 193(4), 273-277.

Hábitos en el uso de videojuegos en estudiantes de secundaria de la ciudad de Santa Cruz de la Sierra

Kuss, D., D Griffiths, M., Karila, L., & Billieux, J. (2014). Internet addiction: A systematic review of epidemiological research for the last decade. Current pharmaceutical design, 20(25), 40264052.

Kwak, H., Blackburn, J., & Han, S. (2015, April). Exploring cyberbullying and other toxic behavior in team competition online games. In Proceedings of the 33rd annual ACM conference on human factors in computing systems (pp. 3739-3748).

Lemmens, J. S., Valkenburg, P. M., & Peter, J. (2009). Development and validation of a game addiction scale for adolescents. Media psychology, 12(1), 77-95.

Lemmens, J. S., Valkenburg, P. M., & Peter, J. (2009). Development and validation of a game addiction scale for adolescents. Media Psychology, 12(1), 7795. https://doi.org/10.1080/15213260802669458

Lemmens, J. S., Valkenburg, P. M., & Peter, J. (2011). Psychosocial causes and consequences of pathological gaming. Computers in human behavior, 27(1), 144-152.

Livingstone, S. & Helsper, E. (2008). Parental mediation of children's internet use. Journal of Broadcasting &Amp; Electronic Media, 52(4), 581-599. https:// doi.org/10.1080/08838150802437396

Marzo, R., Ahmad, A., Bhattacharya, S., Mun, F., Rahman, J., Batcha, S., & Hon, L. (2019). Effects of playing violent video games on teenagers’ behavior – an experience from malaysia. Indian Journal of Community Health, 31(2), 179-184. https://doi.org/10.47203/ijch.2019.v31i02.005.

McGonigal, J. (2011). Reality is broken: Why games make us better and how they can change the world. Penguin.

Mora-Salgueiro, J., Feijóo, S., Braña, T., Varela, J., & Rial, A. (2022). Gaming habits and symptoms of video game addiction in Spanish adolescents. Psicología Conductual, 30(3), 627-639.

Newzoo (2021). Insights into Latin America’s $3.5 Billion Mobile Games Market: Players, Payers, Revenues, Esports & Market Dynamics. Disponible online en: https://newzoo.com/resources/blog/ insights-into-latin-americas-3-5-billion-mobilegames-market-players-payers-revenues-esportsmarket-dynamics.

OMS (2020) Addictive behaviours: Gaming disorder. disponible en: https://www.who.int/newsroom/questions-and-answers/item/addictivebehaviours-gaming-disorder.

Osorio-Pérez, D.J., & Blanco-Enríquez, F.E. (2020). Level of dependence on video games in

adolescents from family and non-family homes in the South of Veracruz, Mexico. Journal Health Education and Welfare. https://doi.org/10.35429/ JEHW.2020.7.4.24.31.

Pontes, H. M., Kiraly, O., Demetrovics, Z., & Griffiths, M. D. (2014). The conceptualisation and measurement of DSM-5 Internet Gaming Disorder: the development of the IGD-20 Test. PloS ONE, 9(10), e110137. http://dx.doi.org/10.1371/ journal.pone.0110137.

Shan, D., Xu, J., Liu, T., Zhang, Y., Dai, Z., Zheng, Y., & Dai, Z. (2023). Subjective attitudes moderate the social connectedness in esports gaming during covid-19 pandemic: a cross-sectional study. Frontiers in Public Health, 10. https://doi. org/10.3389/fpubh.2022.1020114.

Toril, P., Avilés, J. M. R., & Ballesteros, S. (2014). Video game training enhances cognition of older adults: a meta-analytic study. Psychology and Aging, 29(3), 706-716. https://doi.org/10.1037/ a0037507.

Yani, K. R., Priyana, Y., Rusmin, P. H., & Rhee, K. (2016). On securing web-based educational online game using ssl protocol. Journal of Fisheries and Marine Sciences Education, 28(3), 790-798. https://doi. org/10.13000/jfmse.2016.28.3.790.

Yee, N. (2006). The Labor of Fun: How Video Games Blur the Boundaries of Work and Play. Games and Culture, 1(1), 68-71. https://doi. org/10.1177/1555412005281819.

Xiao, L. Y. (2023). Breaking Ban: Belgium’s ineffective gambling law regulation of video game loot boxes. Collabra: Psychology, 9(1), 57641.

Zhu, S., Zhuang, Y., Lee, P., Li, J., & Wong, P. (2021). Leisure and problem gaming behaviors among children and adolescents during school closures caused by covid-19 in hong kong: quantitative cross-sectional survey study. Jmir Serious Games, 9(2), e26808. https://doi.org/10.2196/26808.

Guillermo Mendoza y Ángela Canseco

Estudio

Estudio de viabilidad para la producción de hidrógeno verde en Bolivia1

PRÓLOGO

Para disminuir el calentamiento global y reducir el impacto del cambio climático, se debe reducir la emisión de gases de efecto invernadero (GEI), especialmente, del dióxido de carbono (CO2) generado por la combustión de los combustibles fósiles (carbón, petróleo y gas natural). Para lograr este objetivo, el hidrógeno producido con energías renovables sin emitir CO2 a la atmósfera, desempeña un papel fundamental en la transición energética hacia energías limpias para alcanzar cero emisiones netas el año 2050 y mantener el calentamiento global en 1,5 grados Celsius con relación a los niveles preindustriales (año 1880), tal como está acordado en el Acuerdo de París firmado el año 2015.

Alcanzar cero emisiones netas (Net Zero, siglas en inglés) el año 2050, significa lograr un equilibrio entre la cantidad de gases de efecto invernadero que se emiten a la atmósfera y los que son eliminados.

RESUMEN EJECUTIVO

A nivel mundial se percibe el cambio climático como una consecuencia del calentamiento global del planeta Tierra ocasionado por el aumento de las concentraciones de los gases de efecto invernadero (GEI).

1 Proyecto financiado por el programa UPSA - ANCB-SC.

2 Miembro del Consejo de Investigaciones de la ANCB-SC.

En el “Acuerdo de París” que fue adoptado el 12 de diciembre de 2015, durante la Vigésima Primera Conferencia de las Partes (COP 21) de la “Convención de Naciones Unidas sobre Cambio Climático”,195 países, incluido Bolivia, se comprometieron a reducir las emisiones de GEI.

El Estado Plurinacional de Bolivia ratificó el “Acuerdo de París” mediante la Ley 835 de 17 de septiembre de 2016, por la cual, asume el compromiso internacional ante los Pueblos del Mundo de preservar la integralidad de la Madre Tierra.

Entre los principales gases de efecto invernadero está el dióxido de carbono (CO2), el Óxido Nitroso (N2O), el metano (CH4), el vapor de agua (H2O), el ozono (O3) y los clorofluorocarbonos (CFC).

A medida que aumenta la temperatura global por efecto de los GEI, también aumenta la evaporación del agua y la humedad en atmósfera, lo que causa efecto invernadero y temperatura global del planeta Tierra más sostenidos.

Según la Agencia de Protección Ambiental de los Estados Unidos de América (EPA, por sus siglas en Inglés) el CO2 es el principal gas de efecto invernadero que se emite por las actividades del ser humano.

A partir de la Revolución Industrial, las concentraciones de CO2 en la atmósfera, registran un incremento sostenido, causado fundamentalmente por la extracción y combustión de combustibles fósiles (carbón, gas natural y petróleo).

Según el laboratorio Mauna Loa (Hawái, EE. UU.), estación de referencia mundial en este tema, la concentración de CO2, alcanzó en mayo del 2023, el nivel de 424 partes por millón (ppm), superior en 50% al inicio de la revolución industrial (280 ppm).

El artículo 2 del Acuerdo de París, indica que se debe mantener el aumento la temperatura media mundial por debajo de 2 °C con respecto a los niveles preindustriales, y proseguir los esfuerzos para limitar ese aumento de la temperatura a 1,5 °C con respecto a los niveles preindustriales.

Para limitar el calentamiento global a 1,5 °C con respecto a los niveles preindustriales, se debe reducir la emisión de GEI a la atmósfera y para ello se requiere hacer cambios en varios sectores, especialmente, en la matriz energética, reduciendo el uso de los combustibles fósiles que emiten CO2 por energías renovables con emisiones nulas o bajas de gases de efecto invernadero, entre las cuales están las energías solar, eólica, hidráulica, geotérmica, biomasa e hidrógeno.

En el marco de la transición energética, Bolivia está desarrollando proyectos de producción de energía renovables que permitan alcanzar los objetivos de desarrollo sostenible (ODS-ONU). Según el ministerio de Hidrocarburos y Energías de Bolivia (MHE), para el año 2025, el 75% de la energía eléctrica provendrá de fuentes renovables.

El MHE, también está impulsando el plan estratégico para la generación de hidrógeno verde (H2V) con el objetivo de ampliar el potencial energético de Bolivia y contribuir a la reducción de las emisiones de gases de efecto invernadero.

El objetivo del presente trabajo de investigación es revisar la viabilidad de proyectos para producción de hidrógeno verde (H2V), vector energético no contaminante, a partir del cual se puede obtener energía eléctrica, mecánica y térmica, permitiendo reducir las emisiones de gases de efecto invernadero.

Palabras claves: Hidrógeno Verde, Descarbonización, Energías Renovables, Transición Energética, Agua, Electrólisis, Medio ambiente, Cambio climático.

EXECUTIVE SUMMARY

At a global level, climate change is perceived as a consequence of the global warming of the planet Earth caused by the increase in concentrations of greenhouse gases (GHG).

In the “París Agreement” that was adopted on December 12, 2015, during the Twenty-First Conference of the Parties (COP 21) of the “United Nations Convention on Climate Change”, 195 countries, including Bolivia, committed to reduce GHG emissions.

The Plurinational State of Bolivia ratified the “París Agreement” through Law 835 of September 17, 2016, through which it assumes the international commitment to the Peoples of the World to preserve the integrity of Mother Earth.

Among the main greenhouse gases are carbon dioxide (CO2), Nitrous oxide (N2O), methane (CH4), water vapor (H2O), ozone (O3) and chlorofluorocarbons (CFCs).

As the global temperature increases due to the effect of GHGs, the evaporation of water and humidity in the atmosphere also increases, this causes a greater greenhouse effect and a higher global temperature of the planet Earth.

According to the United States Environmental Protection Agency (EPA), CO2 is the main greenhouse gas emitted by human activities.

Since the Industrial Revolution, CO2 concentrations in the atmosphere have registered a sustained increase, mainly caused by the extraction and combustion of fossil fuels (coal, natural gas and oil).

According to the Mauna Loa laboratory (Hawaii, USA), a world reference station on this topic, the concentration of CO2 reached the level of 424 parts per million (ppm) in May 2023, 50% higher than at the beginning of the industrial revolution (280 ppm).

Article 2 of the París Agreement indicates that the increase in global average temperature must be kept well below 2 °C with respect to pre-industrial levels, and efforts should continue to limit this increase in temperature to 1.5 °C with respect to preindustrial levels.

To limit global warming to 1.5 °C with respect to pre-industrial levels, GHG emissions into the

Estudio de viabilidad para la producción de hidrógeno verde en Bolivia

atmosphere must be reduced and this requires making changes in several sectors, especially in the energy matrix, reducing the use of fossil fuels that emit CO2 for renewable energies with zero or low greenhouse gas emissions, among which are: solar, wind, hydraulic, geothermal, biomass and hydrogen.

Within the framework of the energy transition, Bolivia is developing renewable energy production projects that allow it to achieve the sustainable development goals (UN-SDG). According to the Ministry of Hydrocarbons and Energy of Bolivia (MHE), by 2025, 75% of electrical energy will come from renewable sources.

The MHE is also promoting the strategic plan for the generation of green hydrogen (H2V) with the aim of expanding Bolivia's energy potential and contributing to the reduction of greenhouse gas emissions.

The objective of this research work is to review the viability of projects for the production of green hydrogen (H2V), a non-polluting energy vector, from which electrical, mechanical and thermal energy can be obtained, allowing the reduction of greenhouse gas emissions.

Keywords: Green Hydrogen, Decarbonization, Renewable Energies, Energy Transition, Water, Electrolysis, Environment, Climate Change.

CALENTAMIENTO GLOBAL Y CAMBIO CLIMÁTICO

Se analiza:

Temperatura global

Según la Administración Nacional de Aeronáutica y el Espacio (NASA, siglas en inglés), la temperatura promedio de la superficie de la Tierra es de aproximadamente 59° Fahrenheit (15° Celsius) y la Administración Nacional Oceánica y Atmosférica (NOAA, siglas en inglés) informó que la temperatura promedio de la superficie de la Tierra aumentó, en promedio, 1,71 grados Fahrenheit (0,95 grados Celsius) entre los años 1880 y 2016.

El Objetivo del Acuerdo de París es mantener la temperatura global por debajo de dos grados Celsius con respecto a los niveles preindustriales, y proseguir los esfuerzos para limitar ese aumento de la temperatura a 1,5 °C con respecto los niveles preindustriales (año 1880).

Se muestra el índice de temperatura global tierra-océano desde el año 1880 hasta el año 2020, observándose un crecimiento sostenido, llegando el año 2016 a 0,95°C.

Figura 1. Variación de la temperatura global con relación al nivel preindustrial

Fuente.: https://climate.nasa.gov/en-espanol/signos-vitales/ temperatura-global/

Gases de efecto invernadero

El aumento de la temperatura global del planeta Tierra, es la consecuencia de la acumulación de gases de efecto invernadero en la atmósfera, que absorben la radiación infrarroja del Sol y contribuyen al calentamiento global. Los principales gases de efecto invernadero son dióxido de carbono (CO2), óxido Nitroso (N2O), metano (CH4), vapor de agua (H2O), ozono (O3) y clorofluorocarbonos (CFC).

Algunos de los gases de efecto invernadero tienen origen natural como las erupciones volcánicas, la evaporación del agua, el dióxido de carbono (CO2) generado por los seres vivos, incendios forestales, la descomposición de la materia orgánica(biomasa), el metano (CH4) emitido por los humedales y rumiantes durante su proceso digestivo, el óxido nitroso (N2O) producido por la descomposición de la materia orgánica y el ozono (O3) resultado de la unión natural de tres átomos de oxígeno.

El vapor de agua es el gas de efecto invernadero más abundante en la atmósfera, pero, las actividades humanas tienen poca influencia en el aumento de su concentración en la atmósfera, ya que la humedad es el resultado del ciclo del agua evaporacióncondensación (ciclo hidrológico). Sin embargo, como consecuencia del aumento de la temperatura global, la concentración de vapor está aumentando ya que el aire retiene más vapor de agua a temperatura mayor.

El dióxido de carbono es el principal gas de efecto invernadero de larga vida, responsable del calentamiento global y cambio climático, que se emite a consecuencia de las actividades humanas, causando un desbalance en el ciclo del carbono, entre lo que se produce y se absorbe por bosques, suelos y océanos. Los excedentes de producción del CO2 generado se acumula en la atmósfera.

Según el laboratorio NOAA, en noviembre de 2023 se registraron 420,46 ppm de CO2 en la atmósfera y su aumento ha sido sostenido desde el año 1960 (Figura 2).

Se presenta la variación de la concentración de CO2 en la atmósfera.

Fuente: https://gml.noaa.gov/webdata/ccgg/trends/co2_data_ mlo.png

Los combustibles fósiles (carbón, gas natural y petróleo) son la principal fuente de emisión de CO2 a la atmósfera (80%), resultado de su uso en el transporte, generación de energía eléctrica, uso residencial y comercial y utilización como materia prima en procesos industriales.

Según el Foro Internacional del Transporte (ITF, siglas en inglés), el sector del transporte es responsable del 23% de las emisiones mundiales de CO2 que incluye fuentes vinculadas al transporte como vehículos de carretera, viajes en avión, transporte marítimo y ferrocarril.

La generación de energía eléctrica con combustibles fósiles es otra fuente importante de emisión de CO2. Aproximadamente, el 40% de las emisiones de dióxido de carbono (CO2) están relacionadas con la quema de combustibles fósiles para la generación de electricidad.

Los procesos industriales, también generan CO2 como producción del cemento, producción del acero, producción de hidrógeno negro a partir del carbón, producción de hidrógeno gris a partir del gas natural, producción de fertilizantes, refinación de petróleo, industria petroquímica, producción de gas y petróleo, industria química.

Durante el año 2022, se emitieron 40 mil millones de toneladas métricas (40Gt) de CO2 a la atmósfera.

Fuente: https://www.europapress.es

Cambio climático

El aumento de la temperatura global, debido al incremento de la concentración de los gases de efecto invernadero, incrementa el vapor de agua en la atmósfera, especialmente, por evaporación en los océanos que cubren el 70% de la superficie terrestre. Una atmósfera más caliente retendrá más agua y producirá precipitaciones pluviales extremas.

Entre los principales efectos del cambio climático se tiene:

• Aumento de la temperatura global y cantidad de calor en la atmósfera

• Modificación de la circulación de los océanos

• Aumento o disminución de las precipitaciones

• Aumento de los periodos de sequia

• Aumento de las inundaciones

• Aumento del nivel del mar

• Retroceso de los glaciares, en algunos casos, hasta desaparecer a causa del deshielo

• Intensidad máxima de vientos

• Disminución de las capas de hielo en los polos

Figura 2. Variación de la concentración de CO2 en la atmósfera
Figura 3. Emisión global de CO2 a la atmósfera

Estudio de viabilidad para la producción de hidrógeno verde en Bolivia

Durante la Vigésima Octava Conferencia de las Partes (COP 28) de la “Convención de Naciones Unidas sobre Cambio Climático, realizada en Dubái, Emiratos Árabes Unidos, entre el 30 de noviembre y 12 de diciembre del 2023 se acordó:

• Reafirmar el objetivo de temperatura del Acuerdo de París de contener el aumento de la temperatura global media por debajo de dos °C con respecto a los niveles preindustriales y proseguir los esfuerzos para limitar el aumento de la temperatura a 1,5 °C por encima de los niveles preindustriales, reconociendo que esto reduciría significativamente los riesgos e impactos del cambio climático.

• Reconocer que limitar el calentamiento global a 1,5 °C sin sobrepasar o hacerlo de forma limitada, requiere reducciones profundas, rápidas y sostenidas en las emisiones globales de gases de efecto invernadero del 43% por ciento para el año 2030 y 60% por ciento para el año 2035 en relación con el nivel de 2019 y alcanzar cero emisiones netas de dióxido de carbono para el año 2050.

• Triplicar la capacidad global de energías renovables y duplicar la tasa media anual mundial de mejora de la eficiencia energética.

• Acelerar el desarrollo de tecnologías de emisiones cero y bajas, como energías renovables, energía nuclear, y tecnologías de captura y almacenamiento de carbono, especialmente, en sectores difíciles de reducir.

Energías renovables (ER)

Se analiza:

a. Energías renovables en Bolivia

Según informe del Ministerio de Energía e Hidrocarburos, Bolivia registró para el año 2022, una capacidad instalada de generación eléctrica de 3.822 MW, de la cual 1.161 MW (30,06%) corresponden a energías renovables convencionales (ERC) y energías renovables no convencionales (ERNC).

Fuente: https://www.mhe.gob.bo/2022/10/02

Se presenta, según la Memoria Anual del Centro Nacional de Despacho de Carga (CNDC), (2022), la generación bruta por tipo de central (GWh) – 2022.

Figura 5. Generación bruta por tipo de central (GWh) - 2022

Fuente: https://www.cndc.bo/home/media/memyres_2022.pdf

Se presenta, según estadísticas de la Agencia Internacional de Energías Renovables (IRENA, por sus siglas en inglés), la capacidad de generación de energías renovables de Bolivia.

Figura 4. Capacidad instalada de energía renovable en Bolivia

de Generación Energías Renovables Bolivia (MW)

Fuente: IRENA, www.irena.org/statistics

b. Mapa de energía solar de América

Latina y el Caribe

Bolivia es uno de los países que recibe niveles de radiación solar (KWh/m2/año) más altos, especialmente, en el altiplano seguido de los valles y el trópico. Se presenta la radiación y mapa solar de Bolivia.

Fuente: https://www.bivica.org/file/view/id/6633

Se presenta el mapa del recurso solar de Bolivia.

Figura 6. Mapa solar de Bolivia

Fuente: https://www.bivica.org/file/view/id/6633

Se muestra la Irradiación Global Horizontal (IGH) de América Latina, donde se visualiza niveles de irradiación mayores en el altiplano de Bolivia, norte de Chile y zonas de Perú y Argentina.

Tabla 1. Capacidad de Generación ER en Bolivia
Tabla 2. Radiación solar Bolivia

Estudio de viabilidad para la producción de hidrógeno verde en Bolivia

Fuente: https://globalsolaratlas.info/

Bolivia cuenta con los sistemas de energía solar en operación siguientes:

Tabla 3. Generación energía solar en Bolivia

Planta Generación Energía Solar Potencia

Solar fotovoltaica, Cobija 5 MW

Solar fotovoltaica, Uyuni, Potosí 60 MW

Solar fotovoltaica Yunchara, Tarija 5 MW

Solar fotovoltaica, Oruro Fase I 50 MW

Solar fotovoltaica, Oruro Fase II 50 MW

Solar El Sena, Pando 400 KW

Hibrida Solar, El Remanso, Beni 166,5 KW

Hibrida Solar, Cerro San Simón, Beni 181,4 KW

Fuente: ENDE.

El 10 de febrero del año 2021, se inauguró la Fase II (50MW) de la Planta Solar Fotovoltaica más grande de Bolivia ubicada en la comunidad de ANCOTANGA, a 41 kilómetros de la ciudad de Oruro, donde la radiación solar es de 7,5 KWh/m2/ día (ENDE).

Fuente: https://www.ende.bo/noticia/noticia/734

c. Mapa de energía eólica de Bolivia

Bolivia tiene un enorme potencial de energía eólica, especialmente, en el oriente del país, donde están instalados sistemas de generación eléctrica renovable en base a la energía del viento.

Tabla 4. Generación energía eólica en Bolivia

Planta Generación Energía Eólica Potencia

Parque eólico, Warnes I, Santa Cruz 14,4 MW

Parque eólico, Warnes II, Santa Cruz 24,0 MW

Parque eólico, San Julián, Santa Cruz 39,6 MW

Parque eólico, El Dorado, Santa Cruz 54,0 MW

Parque eólico, Qollpana I, Cochabamba 3,0 MW

Parque eólico, QollpanaII, Cochabamba 24,0 MW

Fuente: ENDE.

Figura 7. Irradiación Global Horizontal
Figura 8. Planta Solar Fotovoltaica Oruro

9. Mapa de velocidad media anual del viento (m/s)

Fuente: https://sigvmeea.hidrocarburos.gob.bo

d. Fluctuaciones de la energía solar y eólica

La energía solar y eólica son intermitentes y fluctuantes y están en función de los recursos naturales, irradiación solar y viento, recursos que no son constantes.

La energía eólica, es una consecuencia del calentamiento desigual de la superficie de la Tierra por el Sol, que genera un cambio de densidad del aire, cambios de densidad atmosférica que producen cambios de presión y estos producen flujo de aire desde los lugares de presión alta a los lugares de presión baja.

La potencia de la turbina eólica está en función de la velocidad cúbica del viento, la que se mide en metros/segundo, es variable y está en función de las condiciones atmosféricas.

La energía solar sólo está disponible en horario diurno y es fluctuante en función al brillo del Sol, el cual es afectado por la nubosidad.

En los países donde se tiene excedentes de energía renovable, para solucionar las fluctuaciones de las energías solar y eólica y mantener un equilibrio entre la oferta y la demanda de energía eléctrica, se mantienen en operación las centrales de generación

convencionales. Sin embargo, en las horas de oferta mayor de energía solar, las centrales convencionales se ven obligadas a trabajar a capacidad reducida, cercanas a su límite económico de rentabilidad.

Se muestra la disminución típica de la generación de energía eléctrica convencional, en las horas de mayor producción de energía solar renovable (12:00 a.m.), recuperándose a partir de las 6:00 p.m., gráfica a la que se conoce como curva solar del pato (solar duck curve).

Se presenta la curva solar del pato.

Figura 10. Curva solar del pato

Fuente: https://www.ge.com/news/reports/quack-fix-this-techwill-help-californias-gas-turbines-ride-out-the-duck-curve.

Para solucionar los picos de oferta mayor de energías solar y eólica y mantener el equilibrio de la oferta y demanda se está recurriendo a sistemas de almacenaje de los excedentes de energía renovable, entre los cuales, la producción de hidrógeno verde por electrólisis del agua y su almacenaje tiene un potencial importante. El hidrógeno almacenado puede convertirse nuevamente en electricidad mediante la celda de combustible, constituyendo un sistema Power-to-Power.

e. Sistemas de almacenamiento de energía renovable

Los sistemas de almacenamiento de energía (baterías, energía eléctrica por bombeo, aire comprimido e hidrógeno) permiten almacenar el exceso de energía renovable generada durante las horas de producción alta y liberarla cuando la demanda es mayor. Estos sistemas de almacenamiento contribuyen a suavizar la curva de pato al nivelar la oferta y la demanda en diferentes momentos del día.

Figura

Estudio de viabilidad para la producción de hidrógeno verde en Bolivia

A medida que aumenta la incorporación de las energías renovables como la energía solar (intermitente) a la red eléctrica, las centrales convencionales utilizan menos energía en las horas del día y la curva del pato se acentúa. La curva del pato es el registro del consumo de energía convencional en las 24 horas de un día.

El aumento de la producción de energía solar en las horas pico del día y su inyección a la red ocasiona la disminución del aporte de las centrales convencionales (curva del pato), llegando al límite económico de rentabilidad. Por este motivo, se incentiva el almacenaje de energía renovable durante el día para usarla en la noche o cuando sea necesario para mantener el equilibrio entre producción y demanda.

e.1 Sistema de almacenamiento de energía en baterías

El sistema de almacenamiento de energía en baterías (BESS, por sus siglas en inglés) consta de una o más baterías que almacenan energía eléctrica para satisfacer diversas demandas de energía en diferentes aplicaciones.

Los sistemas BESS pueden utilizarse para almacenar el exceso de electricidad generada por fuentes de energía renovables, como parques solares o eólicos, permitiendo su uso posterior cuando estas fuentes no estén disponibles, permitiendo mitigar la intermitencia de la generación de energía renovable y aumentando la fiabilidad del suministro eléctrico.

Fuente: https://www.nrel.gov/docs/fy19osti/74426.pdf

En California (EEUU), se incrementa rápidamente el almacenamiento de energía en baterías, pasando de 0,2 GW en el año 2018 a 4,9 GW en abril del año 2023. Las baterías, permitirán almacenar parte de la energía solar generada durante el día y guardarla para más tarde, después de que se ponga el Sol. Almacenar parte de la generación solar del mediodía

aplana la curva del pato, y enviar la generación solar almacenada por la noche acorta el cuello del pato (EIA, 2023).

Figura 12. Curva del pato, operador independiente del Sistema de California

Fuente: https://www.eia.gov/todayinenergy/detail.php?id=56880

Se muestra la caída de la carga de la energía eléctrica convencional por el ingreso de la energía solar, especialmente, al medio día cuando la generación de energía solar es más alta, seguida de un fuerte aumento en la tarde cuando la generación solar disminuye (Curva del pato). Lo ideal sería aplanar la curva del pato, almacenando parte de la energía eléctrica solar en las horas de mayor producción (durante el día) y utilizarla en las horas de menor producción (durante la noche).

Una de las desventajas del almacenamiento de energía en baterías, es su densidad energética gravimétrica baja (KWh/Kg) por lo cual su capacidad de almacenaje es limitada y no llega a cubrir el almacenamiento a gran escala; además, las baterías tienen un tiempo de vida corto (ciclos de carga y descarga). Un ciclo de vida de una batería es cuando una batería se carga al 100% y luego se descarga completamente. En los sistemas BESS modernos, los ciclos de vida oscilan entre 4.000 ciclos y 6.000 ciclos. Otra desventaja es su costo de inversión alto (CAPEX).

e.2 Centrales de almacenamiento eléctrico reversible o de bombeo hidráulico

La energía eléctrica de bombeo cuenta con dos embalses a alturas diferentes. Cuando hay excedentes de energía renovable, se bombea agua del embalse inferior al superior, convirtiendo la energía eléctrica en energía potencial y se aprovecha la energía hidroeléctrica cuando hay requerimientos de energía.

Cuando hay mayor demanda de energía eléctrica, la central de bombeo proporciona energía eléctrica

Figura 11. Componentes del sistema BESS

de la misma forma que una central hidroeléctrica convencional y cuando el consumo de energía eléctrica es menor, se activa la operación de bombeo desde el nivel inferior al superior y la energía queda almacenada como energía potencial para ser usada cuando sea necesario, mediante la conversión primero de energía potencial a energía cinética (flujo de agua), luego en energía mecánica (turbina) y, finalmente, energía eléctrica (generador).

El sistema de almacenamiento de energía por bombeo hidráulico tiene ventajas y desventajas:

• Limitado por condiciones geográficas y medioambientales.

• Almacena cantidades de energía elevadas, por periodos de tiempo grandes.

• Ayuda a acumular el exceso de producción de energía eléctrica renovable.

• Proporciona una reserva de energía para su utilización en casos de déficit de generación.

• Energía hidroeléctrica de almacenamiento por bombeo de circuito cerrado de impacto ambiental y emisión de GEI menores.

• Energía hidroeléctrica de almacenamiento por bombeo que, por su capacidad, puede considerase como una batería gigante.

• A medida que avanza la transición energética y se genera más energía renovable para disminuir la emisión de GEI, se vuelve más importante almacenar la energía para su uso posterior.

Se muestra el reservorio de agua inferior y superior, la cañería de transferencia de agua y la estación de bombeo.

Fuente: https://forococheselectricos.com/2023/08/energia-hidro electrica-almacenamiento-bombeo-mejor-sistema-de-respaldo. html

e.3 Almacenamiento de energía de aire comprimido

En el sistema de almacenaje de energía de aire comprimido (CAES, por sus siglas en inglés), la energía eléctrica se utiliza para comprimir aire a una presión de hasta 1.000 libras por pulgada cuadrada (psi) y almacenarlo, a menudo, en cavernas subterráneas. Cuando la demanda de electricidad es alta, el aire presurizado se libera para generar electricidad mediante un generador de turbina de expansión (https://www.epa.gov/energy/electricity-storage).

Se muestra la energía proveniente del sistema de energía eléctrica que alimenta a sistemas de compresores de aire, para almacenar el mismo a presión alta y la utilización del aire a presión elevada para generar energía eléctrica con turbinas de aire mediante un flujo a presión alta (Figura 14).

Se presenta un esquema de almacenamiento de energía por aire comprimido.

Figura 14. Almacenamiento de energía por aire comprimido

Fuente: https://www.energy-storage.news/wp-content/uploads/2 021/08/big_Storelectric-Limited.jpg

e.4 Almacenamiento de energía como hidrógeno

El hidrógeno verde se puede almacenar como gas comprimido, como hidrógeno líquido o como hidruro metálico y disponer de una fuente energía renovable.

El almacenaje de hidrógeno producido por electrólisis con fuentes de energía eléctrica renovables (solar y eólica) constituye una alternativa viable para el almacenamiento de energía por periodos de tiempo grandes y su utilización posterior en:

• Conversión del H2 electrolítico en energía eléctrica (Power To Power) mediante pilas de combustibles (Fuel Cell) estacionarias, Electricidad renovable → Electrólisis → Compresión → Fuel Cell.

Figura 13. Sistema de almacenaje de energía por bombeo hidráulico

Estudio de viabilidad para la producción de hidrógeno verde en Bolivia

• Conversión de H2 electrolítico en energía eléctrica (Power To Power) mediante motores de combustión o turbinas.

Electricidad renovable → Electrólisis → Compresión → T&D → Turbina Gas.

• Conversión de H2 electrolítico en energía eléctrica (Power To Power) mediante motores de combustión o turbinas, con producción previa de metano (metanación) mediante el proceso Sabatier.

Electricidad renovable →Electrólisis → Metanación→ Compresión → T&D→ T. Gas.

• Conversión del H2 electrolítico en energía eléctrica (Power To Power) mediante pilas de combustibles (Fuel Cell) para el sistema de transporte, Electricidad renovable → Electrólisis → Compresión → T&D → Retail → Fuel Cell.

La desventaja principal de los sistemas de conversión de energía eléctrica renovable en energía eléctrica (Power to Power) es la pérdida de energía por la eficiencia reducida de equipos del proceso de conversión.

• Electrólisis (> 70%)

• Almacenaje, compresión (> 90%)

• Pilas de combustible (50% - 60%)

• Motores o turbinas (30% - 35%)

Se muestra los tipos de almacenaje de ER, observándose que el hidrógeno presenta la mejor opción, tanto en capacidad de almacenaje de energía (TWh) como en tiempo de autonomía de descarga (h).

Figura 15. Capacidad de almacenamiento de energía renovable(cnh2)

Fuente: http://antoinebret.free.fr/Energias/Amores_H2_2018.pdf

Propiedades del hidrógeno

Se considera:

a.

Estructura atómica y molecular

El hidrógeno (H) es el primer elemento de la Tabla Periódica, el más liviano, su átomo (H) está formado por un protón y un electrón, su número atómico Z es 1 y su peso atómico es 1,00797.

El hidrógeno está asociado a otros elementos químicos con estados de oxidación +1 o -1:

• Estado oxidación H+1 (ClH, H2O, CH4, NH3)

• Estado Oxidación H-1 (NaH, Li H, CaH2, MgH2)

Para obtener el hidrógeno libre molecular (H2) es necesario procesar los compuestos que tienen hidrógeno y esta operación requiere energía. Esto define al hidrógeno al igual que a la electricidad, como un vector energético, capaz de almacenar y transportar energía y no como una fuente de energía primaria.

El hidrógeno molecular en condiciones normales (temperatura de 25°C y presión de una atmósfera ) se encuentra en estado gaseoso, y si lo comparamos con el aire, es 15 veces más liviano.

La molécula de hidrógeno (H2) es estable y está formada por dos átomos de hidrógeno unidos por un enlace covalente simple y tiene una masa molecular de 2,01568 gramos/mol. El hidrógeno molecular, diatómico (H2), es un gas incoloro, inodoro e insípido, no es tóxico, ni tampoco está considerado como contaminante, su llama es casi invisible, lo que hace difícil de detectar en caso de fuga con presencia de fuego. Difunde en el acero dado su tamaño reducido y se combina con el carbono dando metano (CH4), causando la fragilización del material.

En esta materia, se tiene el código ASME B31.12, aplicable a tuberías y ductos que manejan hidrógeno gaseoso y mezclas de hidrógeno gaseoso y a tuberías en servicio de hidrógeno líquido y el código ASME BPVC - Sección VIII - Div. 3 (ASME BPVC-VIII-3), aplicable para recipientes presurizados. El artículo KD-10 de la norma se refiere a recipientes a presión en aplicaciones de hidrógeno.

Para la producción de H2 se utilizan materias primas que contienen hidrógeno (agua, combustibles fósiles), tipos de energía como energía nuclear, energías renovables y energía térmica) y procedimientos de

obtención (Electrólisis, termólisis, reformación con vapor, gasificación).

b. Tipos de hidrógeno

Se clasifica según la fuente de producción en negro, marrón, gris, azul, turquesa, rosa, verde, amarillo y blanco.

• Hidrógeno negro. Se produce mediante la gasificación del carbón bituminoso a temperaturas elevadas, con emisiones altas de CO2

• Hidrógeno marrón. Se produce mediante la gasificación del carbón lignito a temperaturas elevadas, con emisiones altas de CO2.

• Hidrógeno gris. Se produce mediante el reformado del metano con vapor de agua (SMR, sigla en inglés), con emisiones altas de CO2, pero, inferiores a las producidas en la producción del hidrógeno negro o marrón.

• Hidrógeno azul. Se produce mediante el reformado del metano con vapor de agua, pero, la diferencia es que se usa tecnología de captura y almacenamiento del CO2 (CCS, por sus siglas en inglés). Esto permite reducir las emisiones de GEI.

El hidrógeno azul, al igual que el hidrógeno gris, marrón o negro se produce por el procesamiento de combustibles fósiles (gas natural, petróleo y carbón), mediante la reformación del gas natural con vapor de agua (SMR) o la gasificación carbón con vapor de agua y aire, con la diferencia que el dióxido de carbono producido es secuestrado y almacenado en lugar de liberarlo a la atmósfera. Las instalaciones adicionales para la captura y almacenamiento del hidrógeno, aumentan el costo de capital y de operación de los proyectos de inversión y hacen que el hidrógeno tenga un costo mayor de producción, pero, permite obtener un producto más amigable con el medio ambiente, participando de este modo en la transición energética hacia energías limpias.

• Hidrógeno turquesa. Se produce mediante la descomposición térmica del metano en ausencia de oxígeno (pirólisis), que produce H2 y carbón sólido. Este proceso no produce CO2.

• Hidrógeno rosa. Se produce mediante la electrólisis del agua, utilizando energía eléctrica de procedencia nuclear.

• Hidrógeno verde (H2V). Se obtiene mediante electrólisis del agua. La electricidad necesaria para este proceso se genera exclusivamente (100%)

a partir de fuentes renovables (solar, eólica, geotérmica, hidroelectricidad,) con casi cero de emisión de gases de efecto invernadero (GEI). En los proyectos de producción de hidrógeno verde, donde se utiliza 100% de energía renovable, se considera una especificación de un máximo de un kilogramo de dióxido de carbono equivalente (CO2eq) por cada kilogramo de H2 producido, tomando como promedio un periodo de 12 meses.

• Hidrógeno amarillo. Se produce mediante la electrólisis del agua, utilizando energía eléctrica de procedencia solar.

• Hidrógeno blanco. Es el hidrógeno natural, que se encuentra en depósitos subterráneos y actualmente está en proceso de exploración.

Se muestra el color del hidrógeno, el proceso de producción y la fuente de obtención.

Figura 16. Tipos de Hidrógeno

Fuente: https://unece.org/

c. Pureza del hidrógeno

Las especificaciones de calidad del hidrógeno están en función del uso y requerimiento de los usuarios. Los compuestos que están presentes como contaminantes son CH4, CO2, N2, CO, O2, H2O en cantidades del orden de ppm. La norma internacional ISO 14687:2019, específica al hidrógeno como combustible para aplicaciones en vehículos de transporte con Celda de Combustible de Membrana Polimérica (PEM, por sus siglas en inglés) en 99,97% molar de pureza mínima que se escribe como 3,7 que significa 3 nueves seguido de un 7.

El proceso industrial de purificación de hidrógeno PSA (Pressure Swing Adsortion) de la empresa Honeywell-UOP, especifica pureza mínima de 99,9999% molar, es decir, una pureza 6,0 que significa 6 nueves seguidos de un cero.

La producción de hidrógeno presenta grados de pureza:

• Hidrógeno puro: ………......……99,99%

• Hidrógeno de alta pureza: …. 99,999%

• Hidrógeno ultra puro: ……...…99,9999%

c.1. Hidrógeno comprimido (CGH2)

Estudio de viabilidad para la producción de hidrógeno verde en Bolivia

El hidrógeno molecular en condiciones de temperatura de 25°C y presión de una atmósfera, se encuentra en estado gaseoso (0,0893 kg/m3) y si lo comparamos con el aire, en las mismas condiciones (1,205 kg/m3), es 15 veces más liviano.

En las plantas que producen hidrógeno, los volúmenes se miden en condiciones normales de presión y temperatura (NTP, por sus siglas en inglés), cero grados Celsius (0 °C) o 273,15 Kelvin (273,15 °K) y una atmósfera (atm) de presión o 101,3 kilopascales (kPa) y se expresan en Nm3. La densidad del hidrógeno en condiciones NTP, es 0,09 Kg/Nm3, lo que es equivalente a que un kilogramo de H2 gaseoso, ocupe un volumen de 11,2 Nm3. En los diseños de plantas de hidrógeno, la producción se especifica en Nm3/h o Kg/h.

El hidrógeno comprimido es el estado gaseoso del elemento hidrógeno que se encuentra bajo presión. El hidrógeno comprimido en tanques de hidrógenos a 350 bar - 700 bar (5.000 psi-10.000 psi), es usado para almacenamiento de hidrógeno movible en vehículos de hidrógeno. Los vehículos livianos por falta de espacio utilizan hidrógeno a 700 bar y los vehículos pesados (camiones y trenes) utilizan hidrógeno a 350 bar.

Los tanques que almacenan CGH2 deben resistir presiones y fatigas elevadas, debido a los ciclos de carga y descarga. En lo tanques metálicos, se presenta el problema de la fragilización por la difusividad y permeabilidad del hidrógeno a través de las paredes sólidas. Para evitar la fragilización en la construcción de los tanques se emplean resinas, fibras y polímeros.

Se muestra un tanque de presión alta tipo IV (Figura 17), diseñado para una presión máxima de almacenamiento de 700 bar. El tanque es revestido con polietileno de densidad alta, recubierto con fibra de carbono que le da rigidez a la estructura del depósito. Por el tipo y calidad de los materiales de construcción de este tanque, es de peso bajo y de costo alto.

Por la relación peso/capacidad de almacenaje buena del tanque Tipo IV, este recipiente se utiliza en el autotransporte, especialmente, en vehículos

livianos donde se requiere poco peso y máxima capacidad de almacenaje de hidrógeno para lograr una aceptable autonomía de los vehículos.

Figura 17. Tanque de presión alta tipo IV

Fuente: https://synerhy.com/2022/02/metodos-de-almacenamien to-del-hidrógeno

Las operaciones de compresión de hidrógeno, requieren una cantidad de energía elevada, debido a la densidad reducida del gas y presentan un costo elevado que reduce la rentabilidad de la cadena de valor del hidrógeno (producción, compresión, transporte, utilización).

Si comparamos la comprensión del hidrógeno con la del metano, observamos que el requerimiento de energía es inferior para el CH4 que para el H2, debido a la diferencia de densidades. En condiciones normales de temperatura y presión (cero °C y una atmósfera), el hidrógeno tiene una densidad de 0,09 kg/Nm3 y el metano tiene una densidad de 0,717 kg/Nm3 .

A medida que se requiere una presión mayor para almacenar el hidrógeno comprimido, aumenta el requerimiento de energía para la operación de elevación de la presión (Figura 18).

Figura 18. Energía necesaria para comprimir gases de hidrógeno, helio y metano

Fuente: https://www.sciencedirect.com/science/article/pii/S0360 319921005838

c.2. Hidrógeno líquido (LH2)

El hidrógeno líquido se almacena sólo por debajo de su punto normal de ebullición, a −252,8°C (20 °K). La densidad volumétrica del hidrógeno líquido es de 70,8 kg/m3 y es ligeramente superior a la del hidrógeno sólido (70,6 kg/m3). La gravedad específica (SG), líquido @ BP a una atmósfera, es 0,0710.

La operación de licuefacción del hidrógeno es difícil y compleja, debido a su punto de ebullición bajo, cercano al cero absoluto, 20 °K (252,8°C) a una atmósfera. La ventaja del hidrógeno líquido es que su densidad volumétrica es superior a la del hidrógeno en condiciones normales de presión y temperatura, lo que permite almacenarlo en recipientes de tamaño menor, de paredes delgadas y a presiones bajas.

Los tanques de hidrógeno líquido suelen funcionar a presiones de hasta 850 kPa (~123 psi). La mayoría de los tanques tienen una presión máxima de 1.035 kPa (~150 psi), presión a la que funcionará el dispositivo de alivio de presión.

d. Densidad energética del hidrógeno

El hidrógeno es el combustible con la densidad energética gravimétrica mayor (LHV,120 MJ/kg) y juega un papel importante en la transición energética hacia fuentes de energías más limpias por ser respetuoso con el medio ambiente al no emitir gases de efecto invernadero y por presentar abundancia en la naturaleza.

Se muestra la comparación de la densidad energética gravimétrica y la densidad energética volumétrica del hidrógeno y varios combustibles, en base a su poder calorífico inferior (PCI).

Figura 19. Densidad energética gravimétrica y volumétrica del hidrógeno

Fuente: https://apilados.com/blog/almace namiento-hidrógeno-comprimido-tipostanques/

La densidad energética gravimétrica del hidrógeno (120 MJ/Kg o 33,3 KWh/kg) es superior al gas natural comprimido (GNC), metanol, etanol e hidrocarburos líquidos; sin embargo, su densidad energética volumétrica (MJ/L) es relativamente baja.

La densidad energética volumétrica (MJ/L) del hidrógeno comprimido aumenta con el aumento de la presión. Si el hidrógeno se comprime de 350 bar a 700 bar, su densidad energética volumétrica varía de 2,8 MJ/L a 7,8 MJ/L. Esta característica del aumento del contenido energético por unidad de volumen con la presión se considera importante en los sistemas de almacenaje de hidrógeno como una fuente potencial de energía.

El hidrógeno líquido tiene una densidad energética volumétrica de 8,5 MJ/L, siendo más alta que la del gas natural comprimido (GNC-200 bar) de 7,2 MJ/L; sin embargo, tiene alrededor de un tercio de la densidad de energía volumétrica de combustibles líquidos, como GLP (25,3 MJ/L) o GNL (21 MJ/L).

En el sector automotriz, es común comparar el contenido energético del hidrógeno y de la gasolina automotriz, llegando a la conclusión que un kilogramo de H2 (33,3 KW) es aproximadamente igual a un galón (GUS) de gasolina (32,8 KW).

En condiciones normales de presión y temperatura (760 mm de Hg de presión, esto es, una atmósfera y 0°C de temperatura), un mol de hidrógeno (2 gramos) ocupa un volumen de 22,4 litros. En estas mismas condiciones de presión y temperatura, un kilogramo de H2 ocupa un volumen de 11,2 Nm3

En el dimensionamiento de plantas industriales de producción de hidrógeno, los volúmenes de producción se determinan en función de la demanda y se especifican en Nm3/h o Kg/h.

Una de las desventajas del hidrógeno como combustibles en vehículos es su densidad energética volumétrica baja, por lo cual se requiere volúmenes mayores para tener la misma autonomía de otros combustibles.

e. Densidad volumétrica del CGH2

La densidad del hidrógeno está en función de la temperatura y la presión, la que se determina por medio de la ecuación de estado de los gases ideales utilizando el factor de compresibilidad (Z).

Estudio de viabilidad para la producción de hidrógeno verde en Bolivia

ρ = m/V = nM/V ecuación 2

luego:

ρ = PM ZRT

donde:

R (0,08205746 L atm / (K mol)

P: Presión absoluta a la cual se encuentra el gas.

V: Volumen ocupado por el gas.

n: Número de moles del gas.

R: Constante general de los gases.

T: Temperatura absoluta a la cual se encuentra el gas.

Z: Factor de compresibilidad del gas.

M: Peso molecular del gas.

En condiciones NPT de presión y temperatura, el hidrógeno tiene una densidad baja y ocupa un volumen por unidad de masa grande (0,090 kg/m3).

Para almacenarlo, transportarlo y usarlo de manera eficiente, su volumen debe ser reducido mediante la compresión. A 700 bar, el hidrógeno tiene una densidad de 42 kg/m3

En la industria automotriz se usa el hidrógeno comprimido a 350 bar y 700 bar a una temperatura ambiente de 20°C .

- A una presión de 350 bar y 20°C, la densidad de masa volumétrica del hidrógeno gaseoso es de 23,715 kg/m³. Este aumento de presión permite almacenar considerablemente más hidrógeno gaseoso en el mismo espacio. La presión de 350 bar se utiliza en los depósitos de los camiones de hidrógeno gaseoso. Los camiones tienen la capacidad de llevar recipientes de volumen mayor.

- A una presión de 700 bar y 20°C, la densidad volumétrica del hidrógeno gaseoso es de 39,750 kg/m³. Esta presión relativamente alta se utiliza, entre otros, para los vehículos livianos. Con un depósito de 125 litros que contiene cinco kilogramos de hidrógeno, un coche puede recorrer unos ±600 kilómetros. Los vehículos livianos no tienen la capacidad de llevar recipientes de gran tamaño, por este motivo deben llevar depósitos de volumen menor a presión mayor.

Se visualiza la variación de la densidad del hidrógeno (Kg/m3) en función de la presión (MPa) y temperatura (°C), observándose que a presión mayor, la densidad del hidrógeno es mayor.

Figura 20. Densidad de hidrógeno a temperaturas y presiones diferentes

Fuente: https://h2tools.org/hyarc/hydrogen-data/hydrogen-densi ty-different-temperatures-and-pressures

La densidad volumétrica del hidrógeno gaseoso en función de la presión a 273 °K:

1 atm → Densidad (0,09 kg/m³) ........ Contenido energético (0,010 MJ/L)

350 bar → Densidad (26,10 kg/m³) ........ Contenido energético (2,760 MJ/L)

700 bar → Densidad (42,00 kg/m³) ........ Contenido energético (4,600 MJ/L)

LH2 (-252.8 °C) → Densidad (71 kg/m³) ........ Contenido energético (8,400 MJ/L)

f. Límites de inflamabilidad del hidrógeno

Los límites de inflamabilidad del hidrógeno en aire seco a una presión de 101,3 kPa (1,013bar) y a una temperatura de 25°C, está en el rango de 4%75%, superior al metano y otros combustibles, por lo que se considera altamente inflamable desde el punto de vista de seguridad.

El rango de inflamabilidad del hidrógeno en oxígeno a una presión de 101,3 kPa (1,013 bar) y a una temperatura de 25°C, está en el rango de 4%95%.

Se muestra los rangos de inflamabilidad del hidrógeno con aire y con oxígeno.

Figura 21. Rango de inflamabilidad del H2 comparado con otros gases

Fuente: https://wha-international.com/hydrogen-fire-risk-manage ment/

g. Factor de compresibilidad del hidrógeno

Se muestra la variación del factor de compresibilidad (Z) del hidrógeno con la temperatura y la presión, observando que a presión mayor, el factor de compresibilidad es mayor (para la temperatura ambiente (300 °K) y presión 300 bar, el valor de Z < 1,2). El hidrógeno se comporta como un gas ideal a temperaturas elevadas y presiones bajas (Z = 1).

El factor de compresibilidad es un parámetro de utilidad para determinar la cantidad de hidrógeno comprimido (CGH2) contenido en recipientes del sistema de transporte y almacenaje, que se determina mediante la ecuación de los gases.

Se presenta la gráfica Compresibilidad versus presión del hidrógeno.

Figura 22. Factor de compresibilidad Z del hidrógeno

Fuente: https://application.wiley-vch.de/books/sample/35273227 36_c01.pdf

Se presenta información del factor de compresibilidad Z del hidrógeno a temperaturas y presiones diferentes.

Fuente: https://h2tools.org/hyarc/hydrogen-data/hydrogen-com

Tabla 5. Compresibilidad del hidrógeno Z a temperaturas y presiones diferentes

Estudio de viabilidad para la producción de hidrógeno verde en Bolivia

h. Diagrama de fases de hidrógeno

En el diagrama de fase (Figura 23), se observa que el equilibrio líquido - vapor está limitado entre el punto triple ((−259,3467 °C - 0,0709 atm) y el punto crítico (-239,9°C - 13,301 atm). El punto de ebullición varía en este rango con la presión y la temperatura. El punto de ebullición normal del hidrógeno es 20 °K (−253 °C).

La temperatura de ebullición del hidrógeno es un parámetro crítico que determina la temperatura a la cual debe ser enfriado el hidrógeno para licuarlo. Por ser esta temperatura baja, cercana al cero absoluto (20 K), la operación de licuefacción es compleja y requiere consumo de energía, con lo cual aumentan los costos de operación.

La licuefacción del hidrógeno permite reducir su volumen específico del estado gaseoso de 11,9 m3/kg a 20 °C y una atmósfera a estado líquido de 0,014 m3/kg a −253 °C y una atmósfera. El hidrógeno líquido ocupa menos espacio que el gaseoso en condiciones ambientales o comprimido y es más fácil de almacenar, transportar y manejar.

23. Diagrama de fase del Hidrógeno

Fuente: https://www.engineeringtoolbox.com

La temperatura crítica (TC), es la temperatura máxima por encima de la cual no es posible licuar un gas aumentando la presión.

Se muestra la temperatura y la presión criticas de varios gases. Para el hidrógeno se tiene que la TC= -240 °C o 33 °K y una presión critica (PC) de 13 atmósferas. Para licuar el hidrógeno a presión atmosférica, se debe disminuir la temperatura hasta los -253 °C (20 °K).

Tabla 6. Temperaturas y presiones críticas de gases

Sustancia Temperatura crítica Presión crítica

Agua 374 °C / 647 K 221 atm.

Amoníaco 132 °C / 405 K 112 atm.

Oxígeno -119 °C / 154 K 50 atm.

Nitrógeno -147 °C / 126 K 34 atm.

Hidrógeno -240 °C / 33 K 13 atm.

Helio -269 °C / 4 K 23 atm.

Fuente: https://upcommons.upc.edu/bitstream/handle/2099.1/1 3884/Hidr%C3%B3geno%20PFC.pdf

Relación de expansión-Efecto J-T

El hidrógeno experimenta un efecto de calentamiento al expandirse en condiciones cercanas a temperatura y presión ambiente donde el coeficiente Joule Thomson es inferior a cero (μ JT<0).

ecuación 3

En las estaciones de repostaje de hidrógeno comprimido a vehículos, se requiere regular la presión de 900 bar que es la descarga del compresor de la estación de servicio a 700 bar que es la presión del tanque de combustible del vehículo. Para evitar el calentamiento por expansión del hidrógeno en el circuito de regulación de las estaciones de servicio de hidrógeno (HRS, por sus siglas en inglés), se utiliza un sistema de enfriamiento que regula la temperatura de hidrógeno de carga a -40 ° C.

Se presenta el rango de operación de las estaciones de repostaje de hidrógeno, las cuales operan en el rango de presión y de temperatura en el cual el coeficiente Joule Thomson es negativo.

Figura

24. Coeficiente de expansión Joule Thomson

Fuente: https://www.nrel.gov/docs/fy19osti/73527.pdf

Usos de hidrógeno

El hidrógeno se utiliza en diversos campos y aplicaciones debido a sus propiedades y su potencial como una fuente de energía limpia y versátil. Algunos de los usos destacados son:

a. Almacenaje energía renovable

Se considera:

- El hidrógeno se puede almacenar como gas comprimido (CGH2), como hidrógeno líquido (LH2) o como hidruro metálico (MH) y disponer de una fuente energía renovable.

- El hidrógeno ha sido considerado como la mejor opción de generación de energías debido a sus características de suministro ilimitado, cero emisiones de GEI y eficiencia energética alta.

- Se considera al H2 como un elemento clave para la producción y el almacenamiento de energía en el marco de la transición energética (eficiencia energética, captura de CO2 y energías renovables).

- La electrólisis del agua puede ser usada como un método para almacenar energía renovable a gran escala. Cuando hay un exceso de energía generada por fuentes renovables, como la energía solar o eólica, se puede utilizar para llevar a cabo la electrólisis del agua y producir hidrógeno. Luego, ese hidrógeno se almacena y puede ser empleado posteriormente para generar electricidad cuando la demanda sea alta o cuando las fuentes renovables no estén disponibles.

b. Refinerías de petróleo

En las refinerías de petróleo se utiliza el hidrógeno en las operaciones de hidrotratamiento de naftas (NHT, por su sigla en inglés), reformación catalítica de gasolinas, isomerización de gasolinas, hidrodesulfurización, hidrocraking, hidroterminado de aceites lubricantes. Los excedentes de H2 de las operaciones de refinerías se utilizan como gas combustible en los hornos de calentamiento de las unidades de proceso.

c.

Biocombustibles

El hidrógeno se usa en la producción de biodiesel ecológico, mediante el proceso de hidrotratamiento de aceites vegetales y grasas de origen animal (HVO, sigla en inglés).

d. Industria

Se considera:

- Industria química para la producción de amoniaco y de metanol.

- Procesos de reducción directa del hierro (DRI, sigla en inglés).

Fe2O3 + 3H2 → 2 Fe + 3H2O,

- Industria aeroespacial. La Administración Nacional de Aeronáutica y el Espacio (NASA, sigla en inglés), utiliza hidrógeno y oxígeno líquidos para la propulsión de cohetes y para generar energía eléctrica y agua mediante pilas de combustible.

e. Combustibles sintéticos

El hidrógeno se usa en los procesos de producción de combustibles sintéticos (metanación) a partir de hidrógeno verde y emisiones de CO2

CO2 + 4H2 → CH4 + 2H2O

f. Generación de energía eléctrica

Se considera:

- El hidrógeno puede ser usado para generar energía eléctrica mediante motores o turbinas de gas.

- El hidrógeno se usa en celdas de combustible estacionarias para convertir la energía renovable en energía eléctrica (FC, por su sigla en inglés). La electricidad se genera de forma eficiente y sin emisiones de gases contaminantes.

Heberto Hernán Peña Galarza
Figura

Estudio de viabilidad para la producción de hidrógeno verde en Bolivia

- El hidrógeno es considerado como la mejor opción para la generación de energías debido a sus características de suministro ilimitado, cero emisiones de GEI y eficiencia energética alta.

g. Transporte

El hidrógeno se usa en celdas de combustible de vehículos eléctricos (FCEV, por su sigla en inglés). Estos vehículos ofrecen una autonomía mayor y tiempos de recarga más rápidos en comparación con los vehículos eléctricos con batería. Las estaciones de repostaje de hidrógeno, pueden llenar el depósito de hidrógeno comprimido de los vehículos en cinco minutos, similar a las estaciones de servicio de gas natural comprimido (GNC).

h. Combustible

El hidrógeno puro o mezclado con gas natural puede ser usado como combustible en redes de gas y reducir emisiones. El gas lo utilizan los sectores industrial, comercial y doméstico.

i. Sustitución de combustibles fósiles

El hidrógeno verde es parte de las estrategias para reducir la dependencia de los combustibles fósiles, especialmente, en sectores donde no es posible llegar con la electrificación directa, como el sector transporte.

Se muestra la producción y el consumo de hidrógeno como combustible y como materia prima para la industria.

Fuente: https://www.sciencedirect.com/science/article/pii/S2352 484722020625#b7

Desventajas del hidrógeno verde

Estas son:

• Costo de producción altos y rentabilidad baja de los proyectos de inversión.

• Eficiencia baja al transformar la energía eléctrica renovable en hidrógeno verde.

• Infraestructura especial, segura y costosa para el almacenaje y el transporte de un gas ligero e inflamable.

• Producción por electro lisis, limitada por la intermitencia de producción de las energías renovables (solar y eólica).

• Competencia con las tecnologías de almacenaje de la energía eléctrica en baterías o electrificación directa (inyección de energía eléctrica al sistema interconectado).

Producción

de hidrógeno

Se considera:

a. Producción mundial de hidrógeno

Según el último informe de la IEA (Global Hydrogen Review, 2023), la producción mundial de hidrógeno de la gestión 2022 fue de 95 millones de toneladas (Mt), 3% superior a la gestión del año 2021. El mismo informe hace notar que la producción de hidrógeno con emisiones bajas, procedente de la electrólisis del agua, siguió siendo relativamente pequeña por debajo de 0,1 Mt en 2022 (0,1%).

Se muestra las producciones de hidrógeno de los años 2020, 2021 y 2022 destacando que la fuente mayor de producción de hidrógeno, continúa siendo los hidrocarburos fósiles, especialmente, el gas natural y el carbón.

Fuente: Global Hydrogen Review 2023, https://iea.blob.core. windows.net/assets/8d434960-a85c-4c02-ad96-77794aaa175d/ GlobalHydrogenReview2023.pdf

Figura 25. Producción y consumo de hidrógeno
Figura 26. Producción mundial de hidrógeno

b. Demanda mundial de hidrógeno

Se presenta el crecimiento de la demanda de hidrógeno en el periodo 2020-2030, observándose un incremento de 50 millones de toneladas (MT) en 10 años, especificando el consumo estimado por sectores, industria existente, nuevo uso industrial, transporte (terrestre, marítimo y aéreo), calentamiento industrial e hidrógeno para generación eléctrica.

Se presenta una gráfica de la demanda mundial de hidrógeno.

Figura 27. Demanda global y uso del H2 periodo de 2020 – 2030

Fuente: https://hydrogencouncil.com/wp-content/uploads/2021/ 11/Hydrogen-for-Net-Zero.pdf

Se muestra la demanda mundial de hidrógeno para diferentes usos en millones de toneladas por año (MT/Año) hasta el año 2050 para alcanzar el objetivo de conseguir cero emisiones netas de CO2 (NZE).

Figura 28. Demanda mundial de hidrógeno por segmento hasta 2050

Fuente: https://hydrogencouncil.com/wp-content/uploads/2021/ 11/Hydrogen-for-Net-Zero.pdf

Se presenta el suministro de hidrógeno por método de producción hasta el año 2050, en millones de toneladas por año (MT/Año), observando que la producción del hidrógeno gris (Grey) irá disminuyendo,

reemplazado por el hidrógeno bajo en carbono (LowCarbon) e hidrógeno verde (Renewable) producido por electrólisis con energía eléctrica renovable.

Figura 29. Suministro de hidrógeno por método de producción hasta el año 2050

Fuente: https://hydrogencouncil.com/wp-content/uploads/2021/ 11/Hydrogen-for-Net-Zero.pdf

c. Métodos de producción hidrógeno

El hidrógeno se produce por métodos diversos, entre ellos:

• Reformación del metano con vapor de agua (SMR).

• Oxidación parcial de hidrocarburos (POX).

• Reformado autotérmico del metano (ATR).

• Gasificación del carbón.

• Electrólisis del agua.

c.1 Producción de hidrógeno por reformación del gas natural (SMR)

El proceso común de producción de hidrógeno, es el reformado del metano con vapor de agua, el cual produce hidrógeno gris, denominado así porque emite 10 toneladas de dióxido de carbono por cada tonelada de hidrógeno que se produce. El dióxido de carbono producido se ventea a la atmósfera. Esta tecnología es la más utilizada comercialmente y produce más del 50% de la producción mundial de hidrógeno.

En este proceso exotérmico de reformado de metano con vapor de agua, conocido por las siglas SMR (Steam Methane Reforming), el metano (CH4) reacciona con el vapor de agua (H2O) a temperatura elevada (700°C–1,000°C) y presión (3 bar-25 bar), en

Estudio de viabilidad para la producción de hidrógeno verde en Bolivia

presencia del catalizador de níquel (Ni), para producir gas de síntesis (SYNGAS), constituido por una mezcla de hidrógeno y monóxido de carbono(H2 + CO).

CH4 +H2O CO + 3H2 (ΔH 298K = +206 kJ/mol) (R1) ecuación 4

En el segundo proceso endotérmico (R2), el monóxido de carbono (CO) formado en la primera reacción (R1), reacciona con el vapor de agua a 400°C en presencia de un catalizador de oxido férrico (FeO3), produciendo hidrógeno adicional (H2) y dióxido de carbono (CO2).

CO + H2O CO2 + H2 (ΔH 298K = - 41 kJ/mol) (R2) ecuación 5

La reacción del proceso global es:

CH4 + 2H2O CO2 + 4H2 (ΔH 298K = +165 kJ/mol) (R3) ecuación 6

El hidrógeno de la mezcla se purifica mediante un proceso conocido como adsorción por oscilación de presión, denominado PSA (Pressure Swing Adsortion), lo que aumenta la energía necesaria del proceso de obtención del H2 y la emisión de CO2. Con este proceso se logra una pureza de hidrógeno entre 99,99% vol. - 99,9999% vol.

Se muestra un diagrama en bloques del proceso, donde se observa la secuencia de los reactores de reformación del metano con vapor y la operación final de purificación del hidrógeno mediante la planta PSA.

Según el diagrama, por cada 2,9 TM de metano de carga, se produce una tonelada de hidrógeno.

Figura 30. Diagrama del proceso reformación de metano con vapor de agua

Fuente: Journal of the Australian Petroleum Production & Exploration Association (APPEA). https://www.aimplas.es/blog/hi drogeno-el-camino-hacia-la-descarbonizacion/

c.2 Producción de hidrógeno por oxidación parcial del gas natural (POX)

En la oxidación parcial (POX, por su sigla en inglés), el metano reacciona con una cantidad de oxígeno en menor proporción que la estequiométrica en presencia de catalizadores y en ausencia de vapor de agua, de forma que el carbono se oxida parcialmente y no se completa la reacción de combustión, produciendo gas de síntesis (CO + H2).

Para el caso de la oxidación parcial del metano, se tiene la reacción exotérmica (800 °C - 1.100 °C):

2CH4 + O2 −→ 2CO + 4H2 ∆H = −36 kJ/m ecuación 8

Para el proceso de oxidación, también se puede usar aire. Los productos de reacción están conformados por: CO, H2, N2 que son separados para obtener hidrógeno con la pureza adecuada.

Se visualiza un diagrama del proceso de oxidación parcial con inyección controlada de aire (O2) para producir gas de síntesis (CO + H2).

Figura 31. Oxidación parcial (POX)

Fuente: https://globalsyngas.org/syngas-techno logy/syngas-production/partial-oxidation/

c.3. Producción de hidrógeno por reformación auto térmica (ATR)

El reformado auto térmico (ATR, por su sigla en inglés) es una combinación de los procesos de oxidación parcial (POX) y reformación con vapor (SMR) y se diseña de forma que el calor excedentario de la oxidación parcial sea utilizado para abastecer las necesidades del reformado con vapor. Finalizada la etapa de reformación, la producción resultante debe purificarse para separar H2, CO2, CO y otros subproductos.

Se observa que, el aire, el vapor y el gas natural ingresan por la parte superior del reactor donde se realiza la reacción de reformación parcial del metano con déficit de oxígeno (Figura 32). El calor liberado por la reacción de oxidación se utiliza para el reformado del metano con vapor de agua, siendo innecesaria una fuente externa de calor.

Se presenta un esquema del sistema de reformación auto térmica.

32. Reformación auto térmica (ATR)

Fuente: https://hidrógeno18.wixsite.com/hidro geno/blank-cjg9

Se presentan similitudes y diferencias de los procesos termoquímicos (SMR, ATR y POX) para producción de hidrógeno.

Fuente: www.sbh4.de/assets/smr-atr-and-pox-processes.pdf

Figura
Figura 33. Procesos de producción gas de síntesis

Estudio de viabilidad para la producción de hidrógeno verde en Bolivia

c.4. Producción de hidrógeno por gasificación del carbón

En el proceso de gasificación, el carbón es parcialmente oxidado con vapor de agua a temperaturas elevadas para producir el gas de síntesis (CO + H2). La reacción es endotérmica y requiere calor.

C(s)+H2O(g) + Calor → CO + H2 ecuación 9

El proceso de gasificación de carbón aporta con el 21% (IEA, 2023) de la producción mundial de hidrógeno y es el segundo más importante después de la producción de hidrógeno por la tecnología SMR. Este proceso produce entre 18 kilogramos - 20 kilogramos de CO2 por cada kilogramo de hidrógeno producido, que se denomina como negro o marrón según la fuente de carbón utilizada.

Figura 34. Diagrama de flujo del proceso de gasificación del carbón con vapor de agua

Fuente: https://fardapaper.ir/mohavaha/uploads/2018/08/Farda paper-A-comparative-overview-of-hydrogen-production-processes .pdf

Se presentan las tres etapas del proceso de producción de hidrógeno por gasificación del carbón.

• En la primera etapa del proceso, el carbón se gasifica con inyección de vapor de agua y oxígeno del aire para obtener un gas resultante mezcla de (CO, H2, H2O, N2, CH4, H2O, H2S) donde está principalmente el gas de síntesis (CO + H2) que es el objetivo del proceso de gasificación.

• En la segunda etapa, el gas de síntesis se enfría y purifica eliminando los compuestos de azufre, partículas y otros contaminantes.

• En la tercera etapa, el gas de síntesis entra a un reactor donde se produce la reacción química de desplazamiento, agua - gas, WGS (Wáter Gas Shift), donde el monóxido de carbono reacciona con el vapor de agua para producir hidrógeno y dióxido de carbono.

CO + H2O = CO2 + H2 (ΔH 298K = - 41 kJ/mol) ecuación 10

• Finalmente, se produce la purificación del hidrógeno con la separación del CO2, el cual se ventea a la atmósfera o se lo captura, almacena y utiliza mediante la tecnología CCUS (carbón capture, utilisation, and storage), para minimizar las emisiones de GEI.

c.5 Producción de hidrógeno por electrólisis del agua

El hidrógeno se produce mediante Electrólisis acuosa, utilizando electricidad, para descomponer el agua en sus componentes básicos hidrógeno (H2) y oxígeno (O2). El proceso se realiza en una celda electrolítica mediante una corriente eléctrica continua (CC), que circula entre los dos electrodos, los cuales están sumergidos en agua. La celda de electrólisis dispone de un separador para evitar la recombinación del H2 que se genera en el cátodo (-) y O2 en el ánodo (+). El separador debe tener una conductividad eléctrica buena para permitir la movilidad de los iones. La celda convierte la energía eléctrica en energía térmica y química (H2) que se almacena como combustible. La reacción global del proceso de electrólisis es:

H2O (l) → H2 (g) + ½ O2 (g) ecuación 10

Se muestra la celda de electrólisis del agua (Figura 35) con los componentes:

• Celda o cuba electrolítica.

• Electrodos ánodo (+) y cátodo (-).

• Separador.

• Electrolito.

• Fuente de energía eléctrica.

Se presenta un diagrama de una celda de electrólisis.

Fuente: https://www.worldenergytrade.com/

Los procesos de electrólisis se dividen en;

• En medio ácido, tienen lugar los procesos de electrólisis del agua.

Ánodo (+) H2O → ½ O2 + 2 H+ + 2e-

Cátodo (-) 2 H+ + 2 e- → H2

Global H2O → ½ O2 + H2 ecuación 11

• En medio básico, tienen lugar los procesos de electrólisis del agua.

Ánodo (+) 2OH- → ½ O2 + H2O + 2e-

Cátodo (-) 2 H2O + 2 e- → H2 + 2OH-

Global H2O → ½ O2 + H2 ecuación 12

En la reacción global,se observa que la producción de hidrógeno es el doble de la producción de oxígeno, por cada mol de agua que se electroliza, se produce un mol de hidrógeno y medio mol de oxígeno.

Para producir hidrógeno por electrólisis del agua, se puede usar energía eléctrica renovable (solar, eólica, geotérmica, hidroeléctrica, bioenergía) o energía termoeléctrica (no renovable) que utiliza combustibles fósiles para su producción.

Producción de hidrógeno verde

El hidrógeno verde se produce mediante electrólisis acuosa, utilizando electricidad renovable como eólica, solar, hidráulica o geotérmica, para descomponer el agua en sus componentes básicos hidrógeno (H2) y oxígeno (O2).

Como se mencionó anteriormente, la producción de hidrógeno en la gestión 2022 con energía renovable fue mínima (100.000 toneladas ), el 0,1% de la producción mundial de 95 millones de toneladas (95 Mt). Se espera que esta producción aumente a medida que disminuya el costo de la electricidad renovable y que la tecnología de los electrolizadores siga mejorando y disminuyendo su costo de inversión (World Economic Forum, 2023).

El suministro de energía para la electrólisis mediante fuentes renovables no está garantizado en todo momento y, por este motivo, la disponibilidad de energía eléctrica renovable debe ser superior a la capacidad de la celda de electrólisis. En estas condiciones, es posible operar la electrólisis a plena capacidad. En los tiempos en las que la disponibilidad de energías renovables es intermitente, sólo se dispone de una parte de la potencia necesaria para la electrólisis, que conduce a una reducción significativa en la producción de hidrógeno.

La única diferencia entre el hidrógeno verde y los otros hidrógenos de colores diferentes (negro, marrón, gris, violeta) es la fuente de energía que, para el caso del hidrógeno verde, debe ser renovable sin emisión de GEI. La energía nuclear es un caso especial de fuente que produce hidrógeno sin emisiones de GEI pero no es renovable y genera residuos radioactivos.

Se visualiza una celda de electrólisis de membrana de intercambio de protones (PEM, por sus siglas en inglés) (Figura 36), para la obtención de hidrógeno verde por electrólisis de agua a partir de fuentes de energía renovable.

Se presenta un esquema de una celda de Electrólisis (PEM).

Figura 35. Celda de electrólisis

Estudio de viabilidad para la producción de hidrógeno verde en Bolivia

Figura 36. Electrólisis de agua a partir de fuentes de energía renovable

Fuente: http://www.electrochemsci.org/papers/vol13/1302011 73.pdf

a. Celdas de electrólisis

Para realizar la reacción química de electrólisis se requiere aplicar una diferencia de potencial (E) a los electrodos ánodo y cátodo, superior al potencial reversible (Eo). Esta diferencia de potencial (E-Eo) se denomina sobrepotencial o sobrevoltaje que se aplica a los electrodos y la celda para vencer la resistencia al paso de la corriente eléctrica.

El potencial de la celda para la electrólisis del agua está dado por:

E = E o + ηa + ηc + IR celda ecuación 13

donde:

E: Potencia que se debe aplicar para que se realice la Electrólisis (≈ 1,5-2,0 V)

E o: Potencial reversible (1,23 V)

η a: Sobrepotencial del ánodo

η c: Sobrepotencial del cátodo

I: Intensidad de corriente eléctrica

R: Resistencia de la celda (electrolito y separador)

Las variables de operación para la electrólisis del agua son:

- Intensidad de corriente medida (A)

- Área del electrodo (S)

- Diferencias de potencial (V)

- Temperatura de la solución (°C)

- Concentración del electrolito en % en peso

- Tiempo (minutos)

- Volumen de gases producidos (ml, Nm3)

- Nivel de agua en el electrolizador

- Presión de gases producidos (bar)

La velocidad de reacción de una celda de electrólisis está determinada por el voltaje aplicado (1,8 V - 2 V). A mayor voltaje aplicado mayor densidad de corriente (J = A/S ~ 1A/cm2) y a mayor densidad de corriente, mayores velocidades en las reacciones de óxido, reducción que se producen en el ánodo y cátodo.

En condiciones estándar de presión y temperatura (25 °C, una atmósfera), el potencial estándar o reversible de una celda de electrólisis de agua es EoCel = 1,23V.

Se determina este valor con relaciones y datos termodinámicas de la reacción de electrólisis.

Energía libre de Gibbs → ∆G o = + 237,2 kJ / (mole H2O) = EoCel ZF ecuación 14

donde:

F: Constante de Faraday.

Z = Número de electrones transferidos.

EoCel = Potencial estándar de celda.

Despejando EoCel en la ecuación 14 y reemplazando valores, se determina:

Los electrolitos ácidos tienen mejor conductividad que los electrolitos básicos, pero, en los procesos industriales se usa los electrolitos básicos disueltos en agua desionizada por ser estos menos agresivos a los materiales del electrolizador. Normalmente, se usa el electrolito hidróxido de potasio (KOH) en una concentración entre 25% en peso - 30% en peso, controlando una temperatura entre 40°C - 90°C. Temperaturas superiores a 90°C grados pueden causar evaporación de la solución acuosa.

Se muestra la variación de la conductividad eléctrica en Siemens por cm (S/cm) del electrolito KOH con la concentración molar y temperatura (figura 39), observando que en el rango de cinco molar - siete molar (25% peso - 30% peso), la conductividad es

máxima y que un aumento de temperatura aumenta la conductividad. Que, en principio, aumenta con la concentración, lo que se explica por el aumento del número de iones, llegando a un máximo para luego disminuir por la interacción asociativas entre iones dificultando la conductividad de la corriente eléctrica.

Se presenta una gráfica Conductividad del electrolito versus Concentración molar.

Figura 37. Conductividad del electrolito KOH Vs Concentración Molar

Fuente: http://electrochemsci.org/abstracts/vol13/130201173.pdf

Se muestra la variación de la conductividad eléctrica en Siemens por metro (S/m) del electrolito KOH con la concentración en peso (%) y temperatura (Figura 38), observando que en el rango de 25% peso - 30% peso, la conductividad es máxima y que un aumento de temperatura aumenta la conductividad.

Figura 38. Conductividad del electrolito OHK Vs Concentración en peso

Fuente: www.mdpi.com/2227-9717/8/2/248

b. Agua tratada para electrólisis

Los electrolizadores diseñados y construidos para la producción de hidrógeno, utilizan agua desionizada de pureza alta y conductividad eléctrica baja, calidad que esta especificada en los estándares internacionales: ASTM D1193 2011 (American Society for Testing and Materials), ISO 3696 (International Organization for Standardization), CLSI NCCLS (Clinical and Laboratory Standards Institute) y EP y USP (European Pharmacopoeia and United States Pharmacopoeia).

Una planta de tratamiento de agua (PTA) para electrólisis considera:

b.1. Pretratamiento

Conformada por los procesos:

- Desinfección, eliminación de patógenos.

- Filtración, eliminación de solidos.

- Descalcificación, eliminación sales de calcio y magnesio.

b.2. Ósmosis Inversa (RO)

Considera los procesos:

- Osmosis inversa (RO, por su sigla en inglés), eliminación salinidad del agua.

- Obtener agua con una conductividad comprendida entre 5 µS/cm -10 µS/cm.

b.3. Electrodesionización (EDI)

El proceso considera:

- Obtener agua ultra pura con una conductividad de 0,056 μS/cm -5 μS/cm a 25 °C máximo (agua Tipo I-IV (ASTM D1193 2011).

Estudio de viabilidad para la producción de hidrógeno verde en Bolivia

Tabla 7. Especificación ASTM International - D1193-06, para agua para electrólisis

Fuente: https://forum.atlashighpurity.com/blog/astm-and-iso-water-quality-standardsfor-laboratory-grade-water

c. Tipos de electrolizadores para producir hidrógeno

Existen tres tecnologías principales para el proceso industrial de producción de hidrógeno verde: Electrolizadores Alcalinos (AEL, por sus siglas en inglés), Electrolizadores de Membrana Polimérica Protónica (PEM, por sus siglas en inglés) y Electrolizadores de Oxido Sólido (SOE, por su sigla en inglés).

Se visualiza un diagrama de flujo de electrolizador industria (Figura 39), compuesto por el STACK que está constituido por celdas de electrólisis, donde tiene lugar la descomposición del agua en H2 y O2 y equipos auxiliares que rodean el STACK, incluidos, sistemas de refrigeración y alimentación de agua, separadores de gas, eliminación de oxígeno (DEOXO - reactor de desoxidación), secador, compresor, sistema de alimentación de energía eléctrica, que incluye, fuente de energía renovable, sistemas de control de procesos y de seguridad, transformador y rectificador para alimentación de corriente continua a la celda de electrólisis.

La purificación del hidrógeno se realiza mediante la reacción de desoxidación (DEXO), donde H2 y O2 (impureza), reaccionan en un reactor con catalizador para dar nuevamente agua (2H2 + O2 → 2H2O + Q) la cual se la elimina posteriormente, en un secador (DRYER).

Se presenta un diagrama de flujo de un electrolizador industrial.

Fuente: www.energypolicy.columbia.edu/demystifying-electroly zer-production-costs/

c.1. Electrolizador alcalino (AEL)

En el electrolizador alcalino (AEL, por sus siglas en inglés), el agua se descompone en H2 y O2 mediante la aplicación de una corriente eléctrica continua. La electrólisis alcalina es una tecnología madura, desarrollada por más de 100 años, de costo de inversión bajo (CAPEX) y vida útil alta en comparación con otras tecnologías.

Entre las desventajas de AEL, se tiene que trabajan a densidad de corriente eléctrica baja y son lentos a los cambios de operación por variaciones en la fuente de energía.

La electrólisis alcalina utiliza hidróxido de potasio como electrolito para incrementar la conductividad eléctrica del agua pura tratada, producto que tiene conductividad baja (máximo 0,056 µS/cm a 25 °CASTM D1193 2011). La concentración de la solución electrolítica esta entre 20% en peso - 40% en peso de hidróxido de potasio y trabaja a una temperatura

Figura 39. Componentes de un electrolizador

de operación entre 50 °C - 120 °C. La concentración óptima del electrolito KOH en la solución acuosa es 32% en peso registrándose una conductividad de 0,9454 S/cm (50 °C). Por encima de este valor, hay limitaciones de transferencia de masa, pero, por debajo de él, las pérdidas óhmicas son demasiado altas porque la conductividad del electrolito es baja.

En el electrolizador, los iones oxhidrilo (OH-) se transportan desde el cátodo hasta el ánodo a través del separador (Zirfon®), donde se produce la generación de O2 (Figura 40).

El diafragma mantiene separados los gases producidos en el ánodo y en el cátodo y evita la difusión y mezcla de los gases a densidades de corriente eléctrica bajas, situación que se complica a de densidades de corriente elevadas por la estructura porosa del separador donde hay difusión y mezclas de gases limitando la seguridad operativa de la instalación. El espacio entre electrodos es un paso fundamental en el diseño de la celda, para reducir los sobrepotenciales óhmicos y aumentar la densidad de corriente nominal del electrolizador.

El electrolizador alcalino, es una celda de temperatura baja (LTE, por sus siglas en Inglés), con ánodos de acero, recubiertos de níquel, con cátodo de acero inoxidable o Ni resistente a la corrosión.

El diafragma que separa los electrodos ánodo y cátodo es un material poroso y semipermeable que deja pasar los iones OH- por difusión y evita la permeación de gases H2 y O2, que pueden reaccionar para dar nuevamente agua, lo que puede dar lugar a mezclas explosivas por producirse una reacción exotérmica.

Los diafragmas deben cumplir requisitos para su aplicación eficaz y segura en electrólisis alcalina.

• Deben mostrar suficiente resistencia mecánica y química, considerando las condiciones altamente alcalinas del electrolito utilizado (es decir, NaOH, KOH (20% - 33% en peso a 40°C - 90 °C).

• Deben ser porosos y semipermeables, de modo que permitan el flujo del electrolito pero no de los gases (H2/O2), es decir, deben presentar una presión de punto de burbuja elevada para estos gases.

• Deben ser hidrófilos (adsorbe el agua con gran facilidad) y mostrar una resistencia eléctrica baja y una conductividad iónica alta.

• Debe utilizarse materiales constitutivos respetuosos con el medio ambiente. No se puede utilizar asbesto.

• Dado que la eficiencia de la electrólisis aumenta al aumentar la temperatura, también es deseable que los diafragmas resistan las condiciones corrosivas del electrolito durante períodos de tiempo largos y, preferiblemente, a temperaturas altas.

• El diafragma, ZIRFON PERL UTP 500, que comercializa la Empresa AGFA, tiene un espesor de 500 ± 50 µm.

Se presenta un esquema de electrólisis alcalina.

Figura 40. Electrólisis alcalina

Fuente: www.semanticscholar.org

Las reacciones de electrodo ánodo y cátodo son las siguientes:

• Reacción en el cátodo

Se tiene:

4e + 4H2O 2H2 ↑ + 4OH- (Eco = -0,83 V vs ESH) ecuación 15

donde el potencial del electrodo estándar de hidrógeno (ESH) Eo = 0,00.

• Reacción en el ánodo

Se tiene:

4OH- 2H2O + O2 ↑ + 4e (Eao = +0,40 V vs ESH) ecuación 16

Estudio de viabilidad para la producción de hidrógeno verde en Bolivia

• Reacción global

Se tiene:

2H2O 2H2 + O2 (Eao - Eco = 1,23 V vs ESH) ecuación 17

Las celdas electrolíticas tienen un rendimiento energético de 62% a 82% y un consumo de energía eléctrica de 4,5 KWh - 7 KWh por cada Nm3 de H2 producido.

Se visualiza las reacciones de electrodo que ocurren en los electrodos ánodo y cátodo y la reacción global, el diafragma y la dirección del transporte de los iones OH- desde el cátodo hacia el ánodo, a través del diafragma.

Figura 41. Esquema de una celda de electrólisis AEL

Fuente: www.sciencedirect.com/science /article/pii/S2589299119300035

c.2. Electrólisis de membrana polimérica protónica

(PEM)

Los electrolizadores de membrana polimérica protónica (PEM, por su sigla en inglés) utilizan un electrolito de polímero sólido (la parte del electrolizador donde el agua se divide en hidrógeno y oxígeno). El polímero sólido solo permite el paso de los iones protones (H+) y es impermeable a los gases y otras sustancias. El polímero sólido es de espesor reducido (20 μm - 300 μm), tiene resistencia óhmica baja, permite trabajar con densidad de corriente de hasta 2A/cm2, y esta hidratado con una determinada cantidad de agua, lo cual asegura la circulación protónica.

Las reacciones de electrodo ánodo y cátodo son las siguientes:

• Reacción en el ánodo

En el ánodo (material Iridio/Ir) se produce la reacción de oxidación del agua desionizada de acuerdo con la reacción anódica que produce O2.

H2O → ½ O2 + 2 H+ + 2e- Eao = 1,23 V vs. ESH ecuación 18

Los electrones generados en el ánodo circulan en el circuito externo hacia el cátodo (material Platino/ Pt) y los protones hidratados migran a través de la membrana del polímero desarrollado por Dupont (Nafion™), hasta el cátodo de Pt o Pt con soporte de carbono donde se produce la reacción de reducción con los electrones inyectados por la corriente continua externa.

• Reacción en el cátodo

Como resultado del proceso antes indicado, se produce H2 de acuerdo con la reacción catódica:

2 H+ + 2e- → H2 Eco = 0,0 V vs. ESH ecuación 19

• Reacción Global La reacción global es:

H2O → H2 + ½ O2 Eao- Eco = 1,23 V ecuación 20

Se muestra un esquema de la celda electrolítica con membrana de intercambio de protones (PEM) (Figura 40) así como las reacciones en los electrodos ánodo y cátodo, la reacción global de descomposición del agua, la membrana polimérica o electrolito sólido y la dirección del transporte de los iones H+ desde el ánodo hacia el cátodo, a través del diafragma.

Figura 42. Esquema de una celda de electrólisis PEM

Fuente: www.sciencedirect.com/science /article/pii/S2589299119 300035

Los electrolizadores PEM tienen costo mayor que los electrolizadores alcalinos, pero, tienen un tiempo de respuesta más rápido a los inevitables altibajos de la producción variable de energía renovable eólica y solar, son pequeños y menos pesados que los alcalinos, y son más fáciles de manejar con menos celdas y con una capacidad mayor.

Según datos de la agencia alemana GIZ, la electrólisis PEM tiene entre un 60% - 75% de eficiencia, en comparación con un 50% - 70% de eficiencia en la electrólisis alcalina.

La vida útil de los electrolizadores alcalinos (75.000 horas) es superior a los electrolizadores PEM (60.000 horas) (IEA,2019), que influye en costos de inversión.

El material de membrana de intercambio de protones (H+) más usado es un ácido perfluorosulfónico (PFSA), membranas disponibles comercialmente con el nombre de Nafion™; son de espesor reducido (<200 µm) y de resistencia óhmica baja (www.nafion. com/es/applications/chemical-processing).

Las membranas pueden funcionar en condiciones de densidad de corriente eléctrica alta, lo cual aumenta la velocidad de reacción, disminuyendo los costos operativos (OPEX), en particular, en sistemas acoplados con fuentes dinámicas de energía renovable, como la eólica y la solar.

Las membranas sólo permiten el paso de protones (H+), por lo que también se llama membrana de intercambio de protones, son de espesor reducido, conductividad, resistencia y durabilidad química altas y pueden soportar presiones altas.

Las membranas generan una eficiencia energética mayor porque la membrana de protones presenta pérdidas óhmicas menores y una velocidad de permeación del gas menor, lo cual tiene como resultado una pureza del gas producido alta ; esto es esencial para la seguridad del almacenamiento.

Las membranas de intercambio de protones también se usan en sistemas pequeños porque funcionan a densidad de potencia alta. La electrólisis de agua alcalina puede requerir hasta diez veces la huella de la electrólisis del agua de la PEM: una consideración importante para los clientes con restricciones de espacio.

Las membranas de intercambio de protones se usan tanto en los electrolizadores de agua para

producir hidrógeno, como en las pilas de combustible para producir energía eléctrica para los motores eléctricos de los vehículos, trenes, camiones, buses.

c.3. Electrolizadores de óxido sólido (SOE)

En los electrolizadores de óxido sólido (SOE, por su sigla en inglés), la celda de electrólisis opera a temperatura de 900 °C - 1.000 °C, los electrodos son de níquel ( por la temperatura de trabajo elevada se requiere menos energía eléctrica para la disociación del agua en H2 y O2), el electrolito es de cerámica sólida, sensible a deterioro por temperaturas altas. La eficiencia de la celda aumenta con el aumento de temperatura y disminuye la vida útil del electrolizador.

Se muestra una celda de electrólisis de agua de temperatura alta (HTE, por su sigla en inglés) (Figura 43), donde el agua en fase de vapor sobrecalentado se introduce por el lado del cátodo, donde se produce la reacción de reducción con formación de H2 y iones O2-. Los aniones (O2-) se trasladan desde el cátodo hacia al ánodo a través del electrolito sólido, donde se produce la reacción de oxidación, dando lugar a la formación de oxígeno (O2).

Figura 43. Esquema de la electrólisis de óxido sólido

Fuente: www.sciencedirect.com/science /article/pii/S2589299119 300035

Las reacciones electroquímicas son las siguientes:

Ánodo: O2- → ½ O2 + 2e ecuación 21

Cátodo: H2O + 2e → H2 + O2- ecuación 22

Global: H20 → H2 + ½ O2 ecuación 23

Estudio de viabilidad para la producción de hidrógeno verde en Bolivia

Los electrolizadores SOE, son de costo mayor que los correspondientes a las tecnologías alcalina y PEM, pero, de eficiencia de 37,5 kWh/kgH2 en comparación con 50kWh/kgH2 de lo sistemas alcalinos o PEM.

Para trabajar a temperaturas elevadas, los electrolizadores SOE requieren una fuente de calor externa. Estos electrolizadores están en fase de desarrollo.

c.4. Especificaciones de los electrolizadores

Se presentan especificaciones de electrolizadores AEL, PEM y SOE.

Tabla 8. Especificaciones electrolizadores AEL, PEM y SOE

Specification Alkaline PEM SOE

Technology maturity State of the art Demostration R & D

Cell temperature, °C 60 - 80 50 - 80 900 - 1000

Cell pressure, bar < 30 < 30 < 30

Current density, A/cm2 0,2 - 0,4 0,6 - 2,0 0,3 - 1,0

Cell voltage, V 1,8 - 2,4 1,8 - 2,2 0,95 - 1,3

Power density, W/cm2 Up to 1,0 Up to 4,4 -

Voltage efficiency,

Specific

Partial load range, % 20 - 40 0 - 10 -

Cell area, m2 < 4 < 300 -

Hydrogen production, Nm2/hr < 760 < 30 -

Stack lifetime, hr < 90.000 < 20.000 < 40.000

System lifetime, yr 20 - 30 10 - 20 -

Hydrogen purity, % > 99,8 99.999 -

Cold star-up time, min 15 < 15 > 60

Fuente: www.researchgate.net/figure/The-typical-specificationsof-alkaline-PEM-and-SOE-103_tbl1_330701158

Almacenaje, transporte y distribución de hidrógeno

En condiciones normales de presión y temperatura (CNPT: 0 °C o 273,15 °K y una atmósfera o 101 325 Pascal o 1,013 bar), el hidrógeno presenta densidades volumétrica de 0,083 kg/m3 y energética de 12 MJ/ m3. En consecuencia, en condiciones normales de presión y temperatura, no se almacena ni se transporta en forma gaseosa.

El hidrógeno se almacena, transporta y distribuye como hidrógeno comprimido (CGH2) o como hidrógeno liquido (LH2) o como hidruros sólidos. Estos sistemas están diseñados para garantizar el suministro oportuno y seguro a los usuarios finales,

como ser estaciones de repostaje de hidrógeno gaseoso o líquido.

Se presenta las densidades energéticas (volumétricas y gravimétricas) de diversos combustibles, observando que el hidrógeno tiene tres veces más energía por unidad de masa (KWh/ Kg) que los otros combustibles, pero, una densidad energética por unidad de volumen baja (KWh/Nm3).

Energía almacenada

Densidad [kg/m3]

H2 líquido (1 bar; -252, 8 °C) 70,71 2.375 3 33,59

H2 gas (300 bar; 25 °C) 20,55 690

H2 gas (700 bar; 25 °C) 47,96 1.611

Gas natural (1 bar; 25 °C) 0,65 9,1 10 13,93

Butano líquido (25 °C) 550 7.000 33

Fuente: GIZ, El Hidrógeno y la energía.

a. Almacenamiento

El almacenamiento basado en el hidrógeno permite almacenar la energía renovable excedente para usarse posteriormente. Su capacidad para almacenar el excedente de energía eléctrica renovable, lo convierten en un vector energético de interés para los objetivos Net Cero (2050).

a.1. Almacenaje como hidrógeno comprimido (CGH2)

El hidrógeno se almacena a presiones de 200 bar, 350 bar y 700 bar, lo que implica que mientras más alta es la presión, mayor es la densidad volumétrica y energía almacenada. Los depósitos son normalmente cilíndricos de acero o materiales especiales diseñados para soportar la presión.

A medida que se aumenta la presión de los sistemas de almacenaje, aumenta el consumo de energía de la operación de compresión, hasta un 20% en relación con la energía química contenida en el hidrógeno.

Se muestra la variación de la energía requeridas de compresión en función del aumento de presión del hidrógeno.

Tabla 9. Densidades energéticas de diversos combustibles

44. Energía de compresión

Fuente: https://synerhy.com/2022/05/metodos-de-almacenamien to-y-transporte-de-hidrógeno

Los depósitos o tanques para almacenar hidrógeno comprimido son de Tipo I, Tipo II, Tipo III y Tipo IV.

• Tipo I. Son fabricados de aluminio (175 bar) o de acero (200 bar), son pesados, de paredes gruesas y se usan en sistemas estacionarios. Los volúmenes de los recipientes están entre 10 litros y 50 litros.

• Tipo II. Son fabricados de acero o aluminio, sin costuras y reforzados con materiales compuestos de fibra de carbono o vidrio. Están diseñados para soportar presiones de hasta 700 bar, son igualmente pesados, de paredes gruesas y se usan en sistemas estacionarios.

• Tipo III. Son construidos con una capa de metal fina envuelta en un material compuesto de fibra y resina, que permite reducir el peso del contenedor con respecto a los anteriores. Su coste es también elevado. Para los tanques de aluminio y fibra de vidrio, la presión máxima de almacenamiento ronda los 300 bar, mientras que los de aluminio y fibra de carbono soportan presiones de hasta 700 bar (ARIEMA, https://www.ariema.com/ almacenamiento-de-h2).

• Tipo IV. Su costo es alto, pero, es el que tiene la mejor relación peso-almacenaje. Cuentan con un revestimiento plástico de polietileno de densidad alta y un material de fibra de carbono/vidrio de carbono para la estructura. Es el más ligero de los cuatro tipos y adecuado para automóviles. La presión de almacenamiento máxima ronda los 700 bar (ARIEMA). Los vehículos de celdas de combustible (FCV, por sus siglas en inglés) generalmente usan tanques Tipo IV para el almacenamiento de hidrógeno.

a.2. Almacenaje como hidrógeno líquido (LH2)

La temperatura de ebullición baja del hidrógeno a presión atmosférica (-252,77°C), es un parámetro crítico, debido a que determina la temperatura a la cual debe ser enfriado para licuarlo y poder transportarlo como hidrógeno líquido.

La licuación del hidrógeno (conversión del hidrógeno gaseoso a líquido a temperaturas reducidas) requiere hasta un 30% - 40% del poder calorífico inferior (LHV, por sus siglas en inglés) del hidrógeno. Para almacenar hidrógeno líquido se requiere depósitos aislados, lo que se logra mediante vacío en un tanque tipo Dewar, conformado por un recipiente interno en el que se almacena el LH2, aislante térmico al vacío y un recipiente externo también conocido como camisa de vacío.

El parámetro comúnmente utilizado para cuantificar la eficiencia de almacenamiento de un tanque de combustible de LH2, es su fracción de masa (MF, por sus siglas en inglés), definida como la masa de combustible dividida por la masa del sistema del tanque, incluido el combustible.

MF = Masa del combustible

Masa del combustible + Masa del tanque ecuación 24

En los sistemas de almacenaje de hidrógeno de transporte aéreo, se utiliza el índice gravimétrico (GI, por sus siglas en inglés) que por definición es el peso del combustible dividido por el peso total del sistema del tanque, incluido el combustible, donde el sistema del tanque se refiere al peso del tanque de almacenamiento vacío, intercambiadores de calor y demás componentes auxiliares de suministro de combustible, como tuberías, bombas, válvulas y selladores.

GI = Masa del combustible

Masa del combustible + Masa de todo el sistema de combustible ecuación 25

La ventaja de utilizar hidrógeno líquido de densidad baja (70 kg/m3) en el transporte aéreo, es que, para el mismo requerimiento de energía, se requiere un tercio (1/3) de masa del combustible de LH2 con referencia al Jet Fuel A, que se usa comúnmente, el cual tiene una densidad de 800 Kg/ m3. La desventaja es el peso del tanque de hidrógeno líquido y su sistema auxiliar necesario para convertir el hidrógeno criogénico (LH2) en hidrógeno gaseoso (GH2).

Figura

Estudio de viabilidad para la producción de hidrógeno verde en Bolivia

a.3. Almacenaje como hidrógeno sólido

El almacenaje de hidrógeno sólido está basado en la característica de algunos metales y no metales (NaH, ClH), de absorber hidrógeno gaseoso en condiciones de presión y temperatura altas, formando hidruros. Cuando estos hidruros se calientan a presión baja se produce la desorción de hidrógeno.

2Na+H2→2NaH ecuación 26

Cl2+H2→ 2ClH ecuación 27

2 Li(l) + H2(g) →2 LiH(s) ecuación 28

Los hidruros metálicos se almacenan en tanques metálicos cilíndricos presurizados (10 bar - 40 bar).

Se muestra el almacenaje de un kilogramo de H2 en tres tipos de sistemas a temperatura ambiente y a presiones diferentes, observando que el almacenaje de hidruros metálicos ocupa poco volumen y trabaja a presión baja.

Se presenta un esquema de sistemas de almacenaje de hidrógeno.

Figura 45. Almacenaje de un kilogramo de H2 en tres tipos de sistemas de almacenaje

Fuente: https://news.pminnovationblog.com/blog/how-low-pre ssure-hydrogen-storage-tanksincrease-safety-and-efficiency

b. Transporte de hidrógeno

El hidrógeno se transporta con hidrógeno comprimido, como hidrógeno líquido, como amoniaco, como metanol, como portadores orgánicos líquidos. Para volúmenes bajos el transporte por carretera es la mejor opción y requiere menor inversión. Para volúmenes medios y altos el transporte de hidrógeno líquido o como amoniaco por ductos y barcos es la mejor opción.

Fuente: https://synerhy.com/2022/05/metodos-de-almacenamien to-y-transporte-de-hidrógeno

En los sistemas de almacenaje y transporte de hidrógeno por ductos, cañerías, válvulas, bombas, compresores y tanques deben estar diseñados y especificados para resistir la fragilización producida por el hidrógeno.

El hidrógeno es un gas difícil de transportar en grandes cantidades, de forma económica y segura, y los sistemas de almacenamiento requieren de su compresión de hasta 700 veces la presión atmosférica o enfriarlo a -253°C.

Durante el almacenaje y transporte del hidrógeno líquido se produce evaporación controlada (boiloff) por trasferencia de calor a través del sistema de aislación. El producto evaporado puede ser reciclado criogénicamente, venteado a la atmósfera en forma segura o utilizado como combustible.

Para disminuir la complejidad del transporte de hidrógeno líquido, se estudian las opciones de su transporte como amoniaco (NH3), que necesita condiciones menos extremas para su almacenaje y transporte. El amoniaco se almacena a presión y temperatura bajas (11,72 bar de presión o -33°C), lo que reduce el coste respecto al hidrógeno comprimido o licuado.

En el transporte marítimo de hidrógeno como amoniaco, permite el acceso a las terminales de carga o recepción ya existentes, ahorrando costes de infraestructura.

Según GTZ, el amoniaco tiene una densidad energética mayor por unidad de volumen que el hidrógeno líquido y una temperatura de licuefacción menor. Esto implica que, para almacenar y transportar

Figura 46. Métodos de transporte según distancia y volumen

la misma cantidad de energía, se requiere menor espacio para el amoniaco que para el hidrógeno, lo que significa costos y logística menores, además de ser poco inflamable y las fugas de amoniaco son fáciles de detectar.

Se presentan datos de propiedades físicas de diferentes combustibles.

10. Comparación de propiedades físicas de diferentes combustibles

Combustible

Fuente: https://4echile.cl/wp-content/uploads/2022/10/Industria -del-amoniaco-estado-actual-y-oportunidades-parala-descarboni zación.pdf

Los volúmenes de amoniaco que se transportan en barcos, al llegar a destino pueden ser utilizados directamente o reconvertidos a hidrógeno mediante un proceso de craqueo en un reactor con catalizador a temperaturas de 400 °C y su posterior purificación lo que exige contar con unidades de reconversión de amoniaco a hidrógeno.

Figura 47. Reconversión del amoniaco en hidrógeno

Fuente: www.flexim.com/es/hydrogen-flowmeters-assisting-ener gy-transition/ammonia-hydrogen-carrie

El amoniaco, también se puede usar como combustible, con la desventaja de la emisión de óxidos de nitrógeno tóxicos de fuerte impacto ambiental.

El hidrógeno también se puede transportar en portadores orgánicos líquidos (LOHC, por sus siglas en inglés) como ser el metilciclohexano/tolueno que es líquido en condiciones ambientales. El tolueno se

hidrogena en el lugar donde se produce hidrógeno, formando el metilciclohexano y, después, este último, se deshidrogena en destino formando nuevamente hidrógeno.

Se visualiza la reacción química de hidrogenación del tolueno (C7H8) para formar metilciclohexano (C7H14) en puerto de origen, el cual se transporta hasta llegar a puerto de destino, donde se deshidrogena para producir hidrógeno y tolueno. El tolueno retorna a puerto de origen para volverse a hidrogenar y continuar el ciclo.

Figura 48. Hidrogenación tolueno y deshidrogenación metilciclohexano

Fuente: www.researchgate.net/figure/ Concept-of-the-methylcyclohexane -tolu ene-hydrogen-system_fig1_272015 139

Tabla

Estudio de viabilidad para la producción de hidrógeno verde en Bolivia

Se presenta el ciclo de la tecnología LOHC (Liquid Organic Hydrogen Carrier) (Figura 49), donde el mismo sistema de transporte que lleva el hidrógeno como

Se muestra un esquema de la tecnología LOHC.

ciclohexano, retorna con la carga de tolueno para volverse a hidrogenar y seguir el ciclo de operación de transporte de hidrógeno.

Fuente: www.hydrogen.energy.gov/pdfs/07-SchmidtLiquid%20Or ganic%20Hydrogen%20 Carriers.pdf

Viabilidad de la producción de hidrógeno verde en Bolivia

a. Justificación

En el marco del Acuerdo de París, Bolivia está desarrollando proyectos para producir energías renovables no convencionales (ERNC) para alcanzar los objetivos del desarrollo sostenible (ODS-ONU) y disminuir el impacto negativo de la emisión de GEI. Entre las energías renovables que están en proceso de desarrollo se tiene las energías solar, eólica, geotérmica, biomasa e hidrógeno. Los proyectos de producción de hidrógeno verde están en etapa de estudios de factibilidad.

Por otra parte, las reservas y la producción de gas y petróleo están en franca declinación, lo cual obliga a proyectar modificación de la matriz energética dependiente en gran medida de los hidrocarburos. Actualmente el 70% de energía eléctrica producida en Bolivia es generada con gas natural y combustibles líquidos.

El Estado Plurinacional de Bolivia apuesta por la generación de energías limpias en el marco de su

compromiso con la comunidad internacional por el cuidado del medio ambiente. Por ello, el objetivo es incrementar la producción de electricidad mediante las energías hidroeléctrica, solar fotovoltaica, eólica y biomasa para desplazar paulatinamente el uso de recursos hidrocarburíferos de modo que para el año 2025 la demanda interna nacional sea cubierta en un 70% sólo con fuentes renovables, tal como fue publicado por la Unidad de Comunicación del Ministerio de Hidrocarburos y Energía de Bolivia (UCOM-MHE, 2021).

Se estima que el año 2030 se suspenderá completamente la exportación de gas natural y que la producción de gas natural sólo abastecerá al mercado interno. Esta dependencia de los hidrocarburos no es sostenible y obliga a acelerar la producción de energías renovables entre las cuales está la producción de hidrógeno verde para ser usado como un portador de energía para generar energía eléctrica, mezclas con gas natural para usarlo como combustible, producción de amoniaco, utilización en refinerías de petróleo y uso en futura planta de hidrogenación de aceites vegetales y grasa animal para producir biodiésel renovable (HVO).

Figura 49. Tecnología LOHC

b. Capacidad de la planta de producción de H2

Para realizar el estudio de viabilidad, en primea instancia, se debe definir la capacidad del electrolizador, tecnología a utilizar y concluir con el análisis técnico-económico.

La capacidad del electrolizador (MW) estará en función de la demanda de H2 del mercado interno y externo, disponibilidad de producción de energía eléctrica renovable (eólica, solar, geotérmica e hidroeléctrica) y verificación de la disponibilidad del recurso agua que es la materia prima esencial para implantar plantas de producción de hidrógeno verde.

H2O + Energía eléctrica → H2 + O2 ecuación 29

El hidrógeno presenta para Bolivia, una oportunidad para diversificar su matriz energética, implantando energías renovables para mejorar la seguridad energética y la disminución de la emisión de GEI.

El hidrógeno producido se puede utilizar en aplicaciones diversas.

• El hidrógeno puede participar en el sector eléctrico, transformando la energía eléctrica renovable excedentaria que no se puede almacenar en hidrógeno, mediante el proceso de electrólisis del agua y almacenarlo para transformarlo en energía eléctrica nuevamente cuando sea necesaria (Power-to-Power).

• Como combustible mezclado con gas natural e inyectado al actual sistema de redes de gas, que abastecen a la industria, sector comercial y doméstico. Al usarlo como combustible, el H2 no emite sustancias contaminantes (su único residuo es el vapor de agua), no daña la atmósfera y, por lo tanto, protege el medio ambiente. Usándolo como combustible, disminuye la dependencia de petróleo, GLP y gas natural.

• Como componente del gas de síntesis de la Planta de Amoniaco-Urea (PAU), ubicada en Bulo-Bulo, en actual operación. La utilización de hidrógeno renovable, daría lugar a la producción de amoniaco y urea verde para la producción de fertilizantes renovables.

• Para el hidrotratamiento de aceites vegetales y grasas animal de la futura planta de producción de biodiesel renovable con la tecnología HVO.

• Para el hidrotratamiento de aceites lubricantes, utilizando H2 de pureza alta para obtención de Aceites Base Grupo II.

• Para mejorar la calidad del Diesel Oíl en cuanto a su contenido de azufre y cumplir norma internacional EURO IV que especifica un contenido de azufre máximo de 50 ppm (partes por millón). Este objetivo se logra mediante el proceso de hidrodesulfuración del diésel oíl con contenido de azufre superior a 50 ppm.

• En celdas de combustibles (Fuel Cell) móviles, para vehículos, camiones, buses y trenes.

• En celdas de combustible (Fuel Cell) estacionarias, para generar energía eléctrica en sistemas aislados.

• Como combustible en motores de combustión interna (motores a explosión). En este caso el hidrógeno entra en combustión con el oxígeno y producto de esta reacción, se genera energía y vapor de agua que saldrá por el caño de escape sin emisión de CO2

En el presente estudio de viabilidad de producción de hidrógeno verde, se considera una planta de electrlisis con una potencia de cinco MW, alimentada con energía eléctrica de fuente eólica o solar y un consumo de agua desionizada (agua DI) de 10 litros por cada kilogramo de hidrógeno producido. La producción de hidrógeno verde se usará para realizar mezclas con gas natural al 5% en volumen que permitirán reducir el consumo de gas natural y disminuir las emisiones de GEI. Con porcentajes de hidrógeno bajos en la mezcla, existen estudios que demuestran que las redes de gas existentes requieren pocos cambios para su implantación.

Selección de la tecnología del electrolizador

Para la selección de la tecnología se han considerado especificaciones, ventajas y desventajas de los electrolizadores comerciales AEL y PEM (Anexo 1). Se descarta los electrolizadores SOE por estar está tecnología en fase de investigación y desarrollo (I+D).

Se presenta la comparación de aspectos técnicos de los electrolizadores comerciales AEL y PEM.

Estudio de viabilidad para la producción de hidrógeno verde en Bolivia

Tabla 11. Comparación de los electrolizadores AEL y PEM

COMPARACIÓN TECNOLOGIAS AEL y PEM

Electrólisis Alcalina (AEL)

Electrolito liquido OHK

Tecnología consolidada

Capacidad alta (MW)

Densidad de corriente baja (0,3 A/cm2 - 0,4 A/cm2)

Consumo de energía (4,2 KWh/Nm3 - 4,8 KWh/Nm3)

Consumo de energía (47KWh/Kg - 54 KWh/Kg)

Vida útil stack (60.000 h - 100.000 h)

Rango potencia de operación (20% - 100%)

Eficiencia (60% - 85%)

Pureza del Hidrógeno (99,7% - 99,9%)

Temperatura de operación (40°C - 90 °C)

Conductividad del agua < 2 µS/cm

Presión de operación (0 bar -30 bar)

Costo de inversión CAPEX menor

Electrólisis Acida (PEM)

Membrana sólida acida (Nafion)

Tecnología en proceso de consolidación

Capacidad menor (MW)

Densidad de corriente alta (2 A/cm2)

Consumo de energía (4,5 KWh/Nm3 - 5,0 KWh/Nm3)

Consumo de energía (50 KWh/Kg - 56 KWh/Kg)

Vida útil stack (30.000 h - 60.000 h)

rango potencia de operación (10% - 100%)

Eficiencia (50% - 75%)

Pureza del Hidrógeno (99,9%)

Temperatura de operación (50°C - 80 °C)

Conductividad del agua < 0,1 µS/cm

Presión de operación (20 bar - 350 bar)

Costo inversión CAPEX mayor Espacio requerido mayor (m2/KW )

Costo mantenimiento mayor (US$/KW)

Capacidad global instalada (61%)

Electrodos de acero y níquel

Tiempo de respuesta lento

Fuente: Elaboración propia.

Luego del análisis de los aspectos técnicos, en este estudio de viabilidad se ha seleccionado la tecnología de Electrólisis alcalina (AEL), por ser la tecnología más utilizada en el mercado, con madurez de más de 100 años, disponibilidad de unidades de gran capacidad, eficiencia del sistema mayor, mantenimiento fácil, operación a presión atmosférica, vida útil mayor, consumo de energía menor, uso de electrodos de acero y níquel (Ni) y de costo de inversión (CAPEX) menor.

Como desventajas de la Electrólisis alcalina, mencionamos la calidad corrosiva del electrolito, lo cual determina el ciclo de vida de la celda y la densidad de corriente eléctrica baja (0,15 A/cm2 - 0,65 A/cm2), lo cual hace el proceso más lento.

b. Diagrama de flujo de un electrolizador alcalino

Se visualizan los componentes de un electrolizador alcalino (Figura 50): Transformador, rectificador, electrolizador (stack), tanque de electrolito, separadores de gas, depurador de gas (gas scrubber), depósito de gas (gas holder), sistema de alimentación de agua, compresor, purificación (deoxidizer).

Espacio requerido menor (m2/KW)

Costo mantenimiento menor (US$/KW)

Capacidad global instalada (31%)

Electrodos del grupo del platino (MGP)

Tiempo de respuesta rápido

Fuente: https://synerhy.com/2022/02/balance-de-planta-bop-deun-electrolizador/

Se describen sus componentes.

• Transformador/Rectificador. El transformador y el rectificador convierten el suministro de voltaje de corriente alterna (CA) de la red en corriente continua (CC) con el voltaje requerido por la celda de Electrólisis.

Figura 50. Diagrama de flujo de un electrolizador alcalino

Figura 51. Ubicación del transformador y rectificador en planta de electrólisis

Fuente: www.mdpi.com/2076-3417/12/4/1906

• Electrolizador (Cell Stack). Corazón de la planta de electrólisis que opera con corriente eléctrica continua para dividir el agua en hidrógeno y oxígeno. Esta tecnología es fundamental para producir hidrógeno con emisiones bajas a partir de electricidad renovable. El Stack está formado por un conjunto o apilamiento de celdas de electrólisis. Se utiliza acero y níquel para la construcción de los electrodos, acero y membrana Zirfon para el separador de los electrodos.

Se presenta una imagen 3D del electrolizador alcalino NEL, con los componentes: Stack (1), tanque separador de hidrógeno (2), tanque separador de oxígeno (3), brida de salida de hidrógeno (4), brida de salida de oxígeno (5),bomba de recirculación de legía (6),enfriador de gas (7), enfriador de legía (8).

Figura 52. Electrolizador alcalino NEL

Fuente: https://nelhydrogen.com/product/atmospheric-alkalineelectrolyser-a-series/

Electrolito. El electrolito utilizado para la electrólisis alcalina del agua es una solución acuosa de hidróxido de potasio (KOH) con 20% a 30% en peso de KOH. La temperatura del electrolito se especifica entre 50°C a 80°C para mantener una conductividad específica óptima.

Depurador (Scrubber). Tiene la función de eliminar las trazas residuales de electrolito, enfriar el hidrógeno, reducir la humedad y regular la alimentación de agua.

Depósito de gas (Gas Holder). Tanque intermedio entre el electrolizador y el compresor.

Sistema de purificación de hidrógeno. Está diseñado para garantizar la pureza del hidrógeno, retirando el oxígeno y la humedad para obtener el producto en especificación. El contenido de O2 no debe exceder del 2%.

Compresor. Comprime el gas desde la presión en el recipiente de gas a la presión requerida para el proceso o para el almacenamiento.

Secador (Dryer). Seca el gas hasta alcanzar el punto de roció (Dew Point) especificado (-70°C).

Sistemas de seguridad. Durante la operación del electrolizador, se produce H2 en el cátodo y O2 en el ánodo y el separador evita mayor transferencia del oxígeno hacia el lado del cátodo e hidrógeno hacia el lado del ánodo. Por lo tanto, los gases producidos no son puros, pero, el nivel de contaminación es bajo y el riego de explosión es mínimo siempre y cuando las mezclas estén fuera del rango de explosividad (4%94%).

Esta situación se agrava cuando la carga es baja, la transferencia de gases a través de la membrana es la misma, pero la proporción porcentual de contaminación aumenta en cada electrodo.

Los rangos de explosividad de las mezclas de H2 y O2 en el cátodo y ánodo son (www.awoe.net/):

Cátodo. 4% vol. O2 + 96% vol. H2 ecuación 30

Ánodo. 96% vol. O2 + 4% vol. H2 ecuación 31

Por razones de seguridad, un electrolizador se apaga tan pronto como cualquiera de las especies minoritarias alcanza la marca del 2% vol. (50% del límite explosivo inferior), para permitir una purga ordenada con un nivel de riesgo bajo.

Especificaciones del electrolizador alcalino

Se presenta las especificaciones del electrolizador alcalino para producir 89 kilogramos/hora (1.000 Nm3/h) de hidrógeno renovable, para lo cual requiere

Estudio de viabilidad para la producción de hidrógeno verde en Bolivia

la energía eléctrica continua de 5.000 KWh de fuentes eólica o solar y alimentación de agua desionizada con un caudal de 1.000 litros/hora.

Tabla 12. Especificaciones del electrolizador alcalino

Datos Electrolizador Alcalino (AEL)

Parámetro Valor Unidad

Potencia 5 MW

Energía disponible 5.000 KWh

Consumo energía 5 KWh/Nm3H2

Relación v/m (H2) 11,2 Nm3H2/kg H2

Consumo energía 56 KWh/Kg H2

Producción H2 1.000 (Nm3/h)

Producción H2 89 (Kg/h)

Producción H2 2.136 (Kg/día)

Consumo de H2O 1.000 (L/h)

Pureza H2 99,9 %

Punto roció H2 -70 (°C)

Presión <30 Bar

Costo electricidad 40 (USD/MWh)

Energía contenida H2 33,3 (KWh)/Kg

Eficiencia Electrólisis (LHV) 59% %

CAPEX 750 (USD/KW)

OPEX anual (2% CAPEX) 75.000 USD/año

Horas de operación 80.000 H

Fuente: Elaboración propia.

Requerimiento de energía renovable

Las energías renovables (solar y eólica) son intermitentes. Cada sistema de generación tiene su factor de carga o factor de capacidad, es decir, la cantidad de horas al día que un determinado sistema de generación está en condiciones de funcionar y aportar energía.

El factor de capacidad se mide como porcentaje (%), dividiendo la energía producida durante un cierto periodo de tiempo por la energía que el sistema de generación habría producido a pleno rendimiento durante ese mismo periodo de tiempo (por ejemplo, una planta de generación con una potencia nominal de 150 MW y un factor de capacidad del 50% podría reducir su capacidad en 75 MW).

Se presenta información sobre factores de capacidad de plantas de generación de energías renovables (IRENA,202).

Fuente: https://www.irena.org/Publications/2023/Aug/Renewa ble-Power-Generation-Costs-in-2022 (Irena, Renewable Power Generation Costs in 2022).

Tabla 13. Costo

Para el presente estudio de viabilidad, se utiliza un factor de planta del generador eólico (onshore wind) de 37%, con lo cual se especifica un requerimiento de energía de 13,51 MW de la fuente de generación.

CAPEX del sistema de electrólisis alcalina de cinco MW

El costo inversión CAPEX que se utiliza en el presente estudio, en promedio, es de 750 dólares estadounidenses por KW, indicado en el estudio de la cooperación alemana (GIZ) denominado Estudio de prefactibilidad técnica y económica de la producción de hidrógeno verde mediante electrólisis para la entidad, 2021 (https://4echile.cl/wp-content/ uploads/2021/09/Produccion-y-costos-H2-GNA.pdf).

Considerando que el electrolizador tiene una potencia de 5.000 KW, se tiene que el costo del sistema es de 3.750.000 dólares estadounidenses.

Se presenta el desglose de los costos del electrolizador alcalino, observando que el apilamiento de celdas de electrólisis (STACK) constituye el 57% del costo de inversión.

Fuente: https://www.nrel.gov/docs/fy09osti/44103.pdf

OPEX del sistema de electrólisis alcalina de 5 MW. El costo anual de operación se determina tomando 2% del CAPEX (75.000 US$/año) que incluye, costo de electricidad, costo de operación y mantenimiento, costo de personal, alquileres, seguros.

Mezclas de gas natural con hidrógeno

Se considera:

a. Volumen de producción de hidrógeno

Para realizar la mezcla de gas natural con 5% de hidrógeno, se expresa la producción de hidrógeno de 89 Kilogramos/hora del electrolizador alcalino de 5 MW, en unidades de volumen por año.

Tabla 14. Volumen de producción de hidrógeno en diferentes unidades de volumen

Volumen de producción hidrógeno electrolizador 5MW kg/h Nm3/h Nm3/día *Nm3/año *Sm3/año Scf/año 89 1.000 24.000 8.760.000 9.240.924 326.343.231

Fuente: Elaboración propia.

Datos:

*Sm3 (15,55 °C, una atmósfera), Nm3 (0,00 °C, una atmósfera)

Nm3 = 1,0549 Sm3

Sm3 = 35,315 SCF

Volumen de mezcla de GN con 5% de H2

Se presenta el volumen de mezcla de GN con 5% H2 en Nm3/año.

Tabla 15. Volúmenes mezcla anual de GN con 5% de H2

Blending GN con 5%H2

Fuente: Elaboración propia.

Peso molecular y poder calorífico de la mezcla de GN con 5% de H2

Para la determinación del peso molecular (MW) y poder calorífico inferior (LHV) de la mezcla, se tomó una composición típica del gas natural de Bolivia (composición variable según los aportes de los diferentes campos de producción), observando una disminución del poder calorífico de la mezcla con el agregado del 5% de hidrógeno.

Figura 53. Desglose del costo inversión electrolizador alcalino

Estudio de viabilidad para la producción de hidrógeno verde en Bolivia

Tabla 16. Peso molecular y poder calorífico inferior de la mezcla de GN con 5% de H2

Fuente: Elaboración propia.

Reducción del contenido energético de la mezcla

El hidrógeno tiene una densidad energética por unidad de volumen (LHV) menor (273,9 BTU/SCF) que el propio gas natural (995,8 BTU/SCF) lo que hace que el poder calorífico de la mezcla disminuya con el agregado de hidrógeno.

En las mezclas de hidrógeno con gas natural, se debe considerar que para obtener la misma potencia térmica que el gas natural, se necesita un volumen de combustible mezcla mayor, debido a su poder calorífico bajo por unidad de volumen del hidrógeno (LHV). Se requiere tres veces más hidrógeno en volumen para proporcionar la misma energía que el gas natural.

Se muestra la disminución del poder calórico de la mezcla en el rango de 0,00% -100% de hidrógeno, observando una reducción del poder calorífico inferior (LHV) de la mezcla.

Contenido Energía Mezcla GN + H2 GN H2

LHV mezcla BTU/SCF

Contenido Energía con relación GN↓

Fuente: Elaboración propia.

Tabla 17. Reducción del contenido energético de la mezcla de GN con 5% de H2

Reducción emisiones de CO2eq

Se presenta la reducción de las emisiones de dióxido de carbono equivalente (CO2eq) de la mezcla de GN con 5% de H2. Para la mezcla se utilizó el hidrógeno producido por el electrolizador alcalino de

Fuente: Elaboración propia.

Variación del rango de inflamación de la mezcla GN con H2

Los límites inferior y superior de inflamabilidad de la mezcla de GN con hidrógeno se calculan usando la ecuación de Le Chatelier. El hidrógeno y el gas natural tienen diferentes rangos de inflamabilidad con aire a presión atmosférica de una atmósfera.

Se presentan los parámetros físicos del metano, mayor componente del gas natural, el cual tiene un rango de inflamación entre 4,9% - 15%, mientras que el hidrógeno tiene un rango mucho mayor entre 4,0% - 75,9% con aire a una atmósfera de presión.

Tabla 19. Parámetros físicos del metano e hidrógeno

Gas Type Densities (kg/m3) LEL (vol%) UEL (vol%)

CH4 0,6679 4,9 15

H2 0,0819 4,0 75,9

Fuente: www.mdpi.com/2076-3417/14/6/2667

El rango de inflamabilidad de la mezcla hidrógeno y el metano se modifica según la composición, el cual se puede estimar mediante la fórmula de Le Chatelier.

donde:

L m : Limite de inflamabilidad de la mezcla

VH2: Fracción del H2 en la mezcla (% Vol.)

VCH4: Fracción del CH4 en la mezcla(%Vol.)

ecuación 32

5 MW (8.760.000 Nm3/año), dando como resultado un volumen de mezcla de 175.200.000 Nm3/año. Para el cálculo de emisiones de CO2eq, se utilizó el factor de emisión de 0,2016 Kg de CO2eq/KWh.

LH2: Limite de inflamabilidad del hidrógeno

LCH4: Limite de inflamabilidad del metano

La ecuación de Le Chatelier para una mezcla de GN con hidrógeno está dada por:

ecuación 33

Beneficios de la mezcla hidrógeno con gas natural

Estos son:

• Reducción de emisiones de gas de efecto invernadero.

• El hidrógeno verde es un combustible que puede ser producido por fuentes de energía renovable como la eólica, solar, geotérmica, hidráulica, biomasa y geotérmica.

• El gas natural, es considerado en la transición energética, como el combustible fósil más limpio debido al número menor de átomos de carbono en su composición y, por consiguiente, una emisión de CO2 menor durante la combustión.

• Utilización de infraestructura existente de las redes de gas.

• Utilización de las redes de gas como sistema de almacenamiento de hidrógeno a costo bajo.

• Mezcla menos contamínante, se realiza en línea con un mezclador estático y medidor de flujo automático.

Tabla 18. Reducción emisiones CO2

Estudio de viabilidad para la producción de hidrógeno verde en Bolivia

Conclusiones

• El hidrógeno molecular (H2), no se encuentra libre en la naturaleza y no está disponible para su utilización como una fuente de energía primaria para generar hidrógeno se tiene que usar energía y, por ello, se denomina vector energético.

• El hidrógeno cuenta con una densidad energética gravimétrica alta (120 MJ/Kg) con relación a otros combustibles, no emite GEI en el proceso de combustión y sólo produce agua y energía.

• Cada proceso de obtención de hidrógeno, tiene su respectivo costo de producción, determinando un elevado costo del hidrógeno verde con relación a los otros tipos de hidrógeno. Se espera disminución del costo de producción en los próximos años con la optimización de los procesos de producción de energía eléctrica renovable y disminución CAPEX y OPEX de las plantas de electrólisis.

• Al margen de los costos de producción altos del hidrógeno, la tecnología del hidrógeno enfrenta desafíos de logística y distribución.

• El hidrógeno es fundamental en la transición energética de las combustibles fósiles a las energías renovables, por su capacidad de almacenamiento de energía y múltiples usos, especialmente en el sistema de transporte.

• Para que sea rentable la producción de hidrógeno verde, se debe utilizar excedentes de producción de energía renovable.

• Bolivia tiene potencial para incrementar la generación actual de energías renovables (solar, eólica, geotérmica e hidroeléctrica).

• Bolivia tiene planificado el cambio de la matriz de generación eléctrica, incrementando la generación de energías renovables hasta un 75%.

• Bolivia tiene ventaja competitiva en la producción de energía solar renovable en el altiplano (La Paz, Oruro y Potosí) con relación a otros países, por su tasa de irradiación solar alta (5 KWh/m2 x día - 6 KWh/m2 x día).

• Por la intermitencia de las energías renovables, se hace necesario disponer de sistemas de almacenamiento de energía, que permita un sistema flexible y equilibrado de oferta de energía. También es necesario mantener un mínimo de generación eléctrica convencional, para mantener continuidad del sistema eléctrico y hacer frente a cambios imprevisto de generación renovables.

• En Bolivia, la generación de energía eléctrica renovable tiene dificultades de competición con la generación de la energía termoeléctrica subvencionada, por precios del gas natural bajos.

Recomendaciones

• Continuar con la implantación de proyectos de energías verdes, hasta alcanzar el 100% de producción de energía eléctrica renovable y destinar los excedentes de producción de energía eléctrica para la generación de hidrógeno verde.

• Implementar la hoja de ruta para toda la cadena de valor del hidrógeno.

• Implantar la normativa que regule la implementación de la cadena de valor del hidrógeno verde.

• Producir hidrógeno renovable para mezclar en líneas con el gas natural hasta un 5% en volumen.

• Incrementar los proyectos de generación de energía solar en el altiplano, donde se tiene la mayor tasa de radiación solar que permite a Bolivia ser competitiva en la producción de este tipo de energía.

• Implantar proyectos de producción de hidrógeno y amoniaco verde para la exportación para el consumo interno y exportación.

• Utilizar hidrógeno verde en la futura planta de producción de biodiesel de 9.000 barriles por día (BPD) con la tecnología de hidrogenación de aceites vegetales (HVO).

Referencias

Agencia Internacional de Energía (IEA) /2023). Global Hydrogen Review 2023. https://iea.blob.core. windows.net/assets/8d434960-a85c-4c02-ad9677794aaa175d/GlobalHydrogenReview2023.pdf.

Apilados. Almacenamiento de hidrógeno comprimido: tipos de tanques, https://apilados.com/blog/ almacenamiento-hidrógeno-comprimido-tipostanques/.

Asociación Peruana de hidrógeno. https:// h2.pe/hidrógeno/como-se-almacena-ytransporta/#:~:text=Si%20el%20H2%20es%20 comprimido,de%208.7%20MJ%2Fl.

Avengoa Hidrógeno (2016). Innovative Technology Solutions for Sustainability, Almacenar electricidad con tecnologías de hidrógeno. https://www.fundacionnaturgy.org/wp-content/ uploads/2015/12/%C3%81frica-Castro.pdf.

Biblioteca del Congreso Nacional de Chile (BCN) (2021). “Industria del Hidrógeno Verde: Costos de Producción”. Chile. https://obtienearchivo.bcn.cl/ obtienearchivo?id=repositorio/10221/32538/1/ BCN___Hidrógeno_verde_Costos_de_ produccion_Sept21.pdf.

BID, Unlocking-Green-and-Just-Hydrogen-in-LatinAmerica-and-the-Caribbean. https://publications. iadb.org/publications/english/viewer/UnlockingGreen-and-Just-Hydrogen-in-Latin-America-andthe-Caribbean.pdf.

CAPTGAS, Hydrogenation purification (H2 Deoxo). https://www.kpqtsb.com/en/product-13/37.html

Elberry, Ahmed M., Thakur, Jagruti, Santasalo-Aarnio, Annukla y Larmi, Matti, Large-scale compressed hydrogen storage as part of renewable electricity storage systems, https://www.sciencedirect.com/ science/article/pii/S0360319921005838.

GIZ, Agencia Alemana (2021). Estudio de prefactibilidad técnica y económica de la producción de hidrógeno verde mediante electrólisis para las entidades Aguas CAP y Energías de la Patagonia y Aysén SpA. https://4echile.cl/wp-content/uploads/2021/09/ Produccion-y-costos-H2-AguasCAP-EPA-SpA.pdf.

GIZ, Quinetic (2022). Especificaciones de calidad del hidrógeno como combustible y estado del sistema de certificación de productos de gas natural, Santiago de Chile, Chile. https://4echile.cl/wpcontent/uploads/2022/01/Calidad-H2-y-sistemacertificacion-productos-GN_publico.pdf.

Gotzon, García, Andreu, Teresa, Guilera, Jordi, Tarancón, Albert y Torrell, Marc (2002), “Hidrógeno Vector Energético de una Economía Descarbonizada”. Fundación Naturgy. Madrid, España.

Hirjee, Jhon (2022). “The ANZ Hydrogen Handbook - AH2”. Accessed online: https://www.anz.com/ content/dam/anzcom/pdf/institutional/reports/ hydrogen-handbook.pdf.

Honeywell -UOP –Refining, Reliable Hydrogen. https://uop.honeywell.com/en/industrysolutions/refining/hydrogen-recovery.

Hydrogen Tools, Best Practices Overview Liquid Storage Vessels. https://h2tools.org/bestpractices/liquidstoragevessels#:~:text=Liquid%20hydrogen%20 tanks%20typically%20operate,pressure%20 relief%20device%20will%20operate.

Hydrogeninsight, https://www.hydrogeninsight.com/ production

International Journal of Electrochemical Science (2018). A Perspective on Low-Temperature Water Electrolysis –Challenges in Alkaline and

Acidic Technology, Int. J. Electrochem. Sci., Vol. 13, 2018, http://electrochemsci.org/abstracts/ vol13/130201173.pdf.

IRENA (2019), “Hydrogen: A renewable energy perspective”. International Renewable Energy Agency, Abu Dhabi.

IRENA – International Renewable Energy Agency (2020). “Green Hydrogen a Guide to Policy Making”. https://www.irena.org//media/Files/ IRENA/Agency/Publication/2020/Nov/IRENA_ Green_hydrogen_policy_2020.pdf.

IRENA – International Renewable Energy Agency (2019). “Hydrogen: a Renewable Energy Perspective”. https://www.irena.org/ publications/2019/Sep/Hydrogen-A-renewableenergy-perspective.

Klell, Manfred. Storage of Hydrogen in the Pure Form, Handbook of Hydrogen Storage. Edited by Michael Hirsche, https://application.wiley-vch.de/books/ sample/3527322736_c01.pdf.

Laura, Nelson, Lin, Laura Janice, Davidson Erin Childs, Melanie, Bartell, Jake, Gorman, Jennifer, Ball, Drew, Animas, Eliasid, y Ruby, Emily (2020). Green Hydrogen Coalition. “Green Hydrogen Guidebook”. https://static1.squarespace.com/ static/5e8961cdcbb9c05d73b3f9c4/t/5f45 b79fd81c136a475eb1ca/1598404520777/ Green+Hydrogen+Guidebook+8.25G.pdf.

Linares Hurtado, José Ignacio y Moratilla Soria, Beatriz, Yolanda,(2007). “El Hidrógeno y la Energía”. Colección: Avances de Ingeniería, Análisis de situación y prospectiva de nuevas tecnologías energéticas. Madrid, España.

Llera Sastresa, Eva María e Zabalza Bribián, Ignacio (2011) Hidrógeno: producción, almacenamiento y usos energético, Zaragoza: Prensas Universitarias de Zaragoza, España. https://zaguan.unizar.es/ record/119583/files/BOOK-2022-037.pdf.

Ministerio Energía, Gobierno de Chile (2020). “Estrategia Nacional Hidrógeno Verde” Santiago de Chile, Chile. https://energia.gob.cl/h2/ Estrategia-nacional-de-hidrógeno-verde.

Ministerio de energía-Gobierno de Chile (2021). “Guía de Apoyo para Solicitud de autorización de Proyectos Especiales de Hidrógeno” Santiago de Chile, Chile. https://www.sec.cl/sitio-web/wpcontent/uploads/2021/05/final_Guia-ProyectosEspeciales-Hidrógeno.pdf.

Ministerio Energía, Gobierno de Chile (2020). “Hidrógeno-Cadena de Valor y Legislación Internacional”. Santiago de Chile, Chile. https://4echile.cl/wp-content/uploads/2021/12/

Estudio de viabilidad para la producción de hidrógeno verde en Bolivia

Cadena-de-valor-H2-y-regulacion-internacional. pdf.

Ministerio de Hidrocarburos y Energías (MHE)Bolivia (2014). “Plan Eléctrico del Estado Plurinacional de Bolivia – 2025”. La Paz, Bolivia. https://observatorioccdbolivia.files.wordpress. com/2015/08/peebol2025.pdf.

Ministerio de Hidrocarburos y Energías (MHE)-Bolivia (2021). “Plan para la generación de hidrógeno verde rumbo a la transición energética”. La Paz, Bolivia. https://www.mhe.gob.bo/2021/02/27/ bolivia-impulsa-un-plan-para-la-generacionde-hidrógeno-verde-rumbo-a-la-transicionenergetica/.

National Aeronautics and Space Administration (NASA) (2005) “Safety Standard for Hydrogen and Hydrogen systems” Washington, DC, EE.UU.

Torres M., Ma. Rafael y García G., Nicolás (2022) “Introducción al Hidrógeno Verde”. Biblioteca del Congreso Nacional de Chile | Asesoría Técnica Parlamentaria, Chile.

United Nations (NU), “París Agreement”. París (2015). https://treaties.un.org/Pages/ViewDetails. aspx?src=TREATY&mtdsg_no=XXVII-7d&chapter=27&clang=_en.

U.S. Department of Energy (USDOE) (2020) “Hydrogen Strategy Enabling a Low- Carbon Economy”. Washington, D.C, EEUU. https://www.energy. gov/sites/prod/files/2020/07/f76/USDOE_FE_ Hydrogen_Strategy_July2020.pdf.

U.S. Department of Energy (2001). Hydrogen Fuel Cell Engines and Related Technologies. https://www. energy.gov/eere/fuelcells/hydrogen-and-fuelcelltechnologies-office.

Vásquez, Rodrigo y Salinas, Felipe (2018) “Tecnologías del Hidrógeno y perspectivas para Chile”. Deutsche Gesellschaft für Internationale Zusammenarbeit (GIZ) Gmb. Santiago de Chile, Chile.

Word Economic Forum. Clean Hydrogen and its Uses, https://initiatives.weforum.org/acceleratingclean-hydrogen-initiative/clean-hydrogen-andits-uses.

Züttel, Andreas (2004) “Hydrogen storage methods”. The Science of Nature.

Anexo 1 Viabilidad legal

1. Normas y regulación en Bolivia sobre cadena de valor del hidrógeno Bolivia no tiene normativa específica para para la cadena de valor del hidrógeno, sin embargo, se tiene normas relacionadas a energías renovables:

• Decreto Supremo N° 2048 (2014), del 02 de julio de 2014. Establece el mecanismo de remuneración para la generación de electricidad a partir de Energías Alternativas en el Sistema Interconectado Nacional. https://energypedia. info/images/2/26/DS_2048.pdf-

• Decreto Supremo N° 2399 (2015) del 10 de julio 2015. Incentiva al uso integral de la energía eléctrica estableciendo incentivos tributarios y financieros para fabricación, ensamblaje, importación de vehículos eléctricos, accesorios, equipos de sistemas de energía y generación distribuida con el objetivo de contribuir con la mejora del medio ambiente. https://energypedia. info/images/8/83/DS_2399.pdf-

• Decreto Supremo N° 4477 (2021) del 24 de marzo de 2021. Introduce la regulación de la Generación Distribuida “GD” en Bolivia, viabilizando la producción de electricidad mediante sistemas que aprovechan fuentes renovables, como la energía solar y determina la retribución por la energía eléctrica inyectada a la red de distribución por la actividad. https://siip.produccion.gob.bo/ repSIIP2/files/normativa_12345_260320218c56. pdf-

• Decreto Supremo N° 4539 (2021) del 07 de julio de 2021. Tiene por objeto normar las actividades de la industria eléctrica, respecto al intercambio internacional de electricidad, su operación y transacciones comerciales, así como las interconexiones internacionales de electricidad. https://siip.produccion.gob.bo/repSIIP2/files/ normativa_12345_1207202165cc.pdf.

• Decreto Supremo N° 4794 (2022), del 07 de septiembre de 2022. Tiene por objeto promover el uso eficiente de la energía y avanzar en la transición energética, que permite al sector industrial cambiar la fuente de alimentación eléctrica y migrar al Sistema Interconectado Nacional (SIN), que aprovecha la eficiencia de los ciclos combinados y las energías limpias, como las hidroeléctricas, fotovoltaicas, eólicas y biomasa,

que son amigables con el medio ambiente. http://gacetaoficialdebolivia.gob.bo/normas/ buscar/4794.

2. Normas y regulación de otros países

Se detalla:

• Paraguay

La norma sobre energías renovables es la Ley 3009/2006 vigente. El enlace para descargar dicha Ley es el siguiente: https://www.ssme.gov.py/ vmme/pdf/leyes/Ley%203009%20PTIEE.pdf

Paraguay dispone de la hoja de ruta cuya versión final está en el enlace: https://www.ssme.gov. py/vmme/pdf/H2/H2%20Marco_Conceptual_ DIGITAL.pdf

• Uruguay

La norma sobre energías renovables es la: Ley 18.597. El enlace para descargar dicha Ley es: https://www.impo.com.uy/bases/leyes/18597 -2009

Uruguay dispone de la hoja de ruta cuya versión final está en el enlace: https://h2lac.org/wp-content/ uploads/2022/06/H2_final_14jun221138_digitalcomprimido.pdf

• Canadá

El enlace para acceder al Código Canadiense de Instalación de Hidro geno es https://www.scc.ca/ en/standardsdb/standards/31502,CanadianHydr ogen InstallationCode:CAN/BNQ1784-0000

3. Normas internacionales

Estas son:

3.1.

NFPA (National Fire Protection Association)

Se describen:

• NFPA 2 – Hydrogen Technologies Code: Este código provee los resguardos fundamentales para generación, instalación, almacenamiento, tuberías, uso y manejo de hidrógeno comprimido o líquido.

• NFPA 55 – Compressed Gases and Cryogenic Fluids Code: Facilita la protección contra peligros fisiológicos, por sobre-presurización, explosivos y por flamabilidad asociados con gases comprimidos y criogénicos. Este código incorpora los ya

retirados NFPA 50 A / 50 B – Standard for Gaseous /Liquefied Hydrogen Systems at Consumer Sites.

3.2. ISO (International Organization for Standardization)

Se describen:

• ISO TC 197 – Hydrogen Technologies. Sistemas y dispositivos para la producción, almacenamiento, transporte, medición y uso de hidrógeno.

• ISO TC 22 – Road Vehicles.

• SC37 – Electrically propelled road vehicles (BEV, hibridos, FCEV).

• SC41 – Specific aspects for gaseous fuel.

• ISO TC 58 – Gas Cylinders. Accesorios y características relacionadas con el uso y fabricación de almacenamiento de gas a presión elevada.

• ISO 14687-2:2012 – Hydrogen fuel. Product specification.

Part 2: Proton exchange membrane (PEM) fuel cell applications for road vehicles.

• ISO/TR 15916:2015 – Basic considerations for the safety of hydrogen systems.

• ISO/TS 19880-1:2016 – Gaseous hydrogen -Fuelling stations.

Part 1: General requirements.

• ISO 22734-1:2008 – Hydrogen generators using water electrolysis process.

Part 1: Industrial and commercial applications.

• ISO 23273:2013 – Fuel cell road vehicles -- Safety specifications. Protection against hydrogen hazards for vehicles fuelled with compressed hydrogen.

4. SAE (Society of automotive Engineers).

Se describen:

• J2601/3_201306 – Fueling Protocol for Gaseous Hydrogen Powered Industrial Trucks, SAE Standards Works.

Estudio de viabilidad para la producción de hidrógeno verde en Bolivia

• J2601/2_201409 – Fueling Protocol for Gaseous Hydrogen Powered Heavy Duty Vehicles, SAE Standards Works.

• J2719_201511 – Hydrogen Fuel Quality for Fuel Cell Vehicles, SAE Standards Works.

• Hydrogen Tank Vehicle - SAE J2579

- HGV 2-214

- HGV 3.1-2015

Anexo 2. Hoja de ruta producción hidrógeno verde

Se revisa la situación al respecto de los países siguientes:

• Bolivia Bolivia no cuenta con hoja de ruta para la cadena de valor del de hidrógeno verde.

- https://h2lac.org/atlas-h2lac/bolivia/.

- https://h2lac.org/noticias/Bolivia-presentaen-europa-documentos-estrategicos-para-eldesarrollo-del-hidrógeno-verde/.

• España

• Cuenta con hoja de ruta.

- https://www.miteco.gob.es/content/dam/ miteco/es/ministerio/planes-estrategias/ hidrógeno/hojarutahidrógenorenovable_ tcm30-525000.PDF

• Argentina

Cuenta con estrategia del hidrógeno.

- https://www.argentina.gob.ar/sites/default/ files/2023/07/estrategia_nacional_de_hidro geno_-_sae.pdf

• Uruguay No se conoce hoja de ruta.

- https://www.gub.uy/ministerio-industriaenergia-mineria/sites/ministerio-industriaenergia-mineria/files/documentos/noticias/ H2_final.pdf.

• Ecuador

Cuenta con hoja de ruta del hidrógeno.

• https://www.recursosyenergia.gob.ec/wpcontent/uploads/2023/08/Hoja-de-Ruta-delHidrógeno-Verde-en-Ecuador.pdf.

• Paraguay

No se conoce si tiene hoja de ruta del hidrógeno.

- https://www.ssme.gov.py/vmme/pdf/H2/ H2%20Marco_Conceptual_DIGITAL.pdf

• Perú

No se conoce.

- https://h2.pe/uploads/20210908_H2-Peru_ Estudio-final.pdf

• EE.UU.

Cuenta con un Mapa para la economía del hidrógeno.

- https://h2fcp.org/sites/default/files/Road+M ap+to+a+US+Hydrogen+Economy+Full+Repo rt.pdf

Anexo 3

Lista de abreviaciones

Abreviatura Explicación

ABP Aprendizaje Basado en Proyectos

AEL Electrolizador Alcalino (Alkaline Electrolyzer)

ATR Reformado Autotérmico (Auto-Thermal Reforming)

ASU Unidad de Separación de Aire (Air Separation Unit)

BAR Unidad de Presión (1bar = 14,5 psi)

BARG Unidad de Presión Manométrica (1bar=14,5 psi)

BESS Sistema de Almacenamiento de Energía en Baterías (Battery Energy Storage System)

CAES Almacenaje de Energía de Aire Comprimido (Compressed Air Energy Storage)

CAPEX Costos de Inversión (Capital Expenditures)

CCS Captura y almacenamiento de carbono (Carbón Capture and Storage)

CCUS Captura, utilización y almacenamiento de carbono (Carbon Capture, Utilisation, and Storage)

CO Monóxido de carbono

CO2 Dióxido de Carbono

(CO2eq) Dióxido de Carbono Equivalente

COP Conferencia de las Partes (Conference of the Parties)

COP21 La 21ª Conferencia de las Partes (COP)

CGH2 Hidrógeno Gaseoso Comprimido (Compressed Gaseous Hydrogen)

CcH2 Hidrógeno Criocomprimido (Cryo Compressed Hydrogen)

CSP Energía Solar Concentrada (Concentrating Solar Power)

DAC Captura Directa de Aire (Direct Air Capture)

DRI Reducción Directa del Hierro (Direct Reduction of Iron)

ER Energía Renovable

ERC Energía Renovable Convencional

ERNC Energía Renovable no Convencional

FCEV Celda de combustible de vehículos eléctricos (Fuel Cell Electric Vehicle)

FC Celda de combustible (Fuel Cell)

FCV Vehículo de celda de combustible (Fuel cell vehicle)

GEI Gases de Efecto Invernadero (Greenhouse Gases)

GUS Galón Americano (3,785 litros)

H2O(l) Agua líquida

H2(g) Hidrógeno Gaseoso

HRS Estaciones de Servicio de Hidrógeno (Hydrogen Refueling Stations)

H2V Hidrógeno Verde

HHV Poder Calorífico Superior (Higher Heating Value)

HVO Aceites Vegetales Hidrotratados (Hydrotreated Vegetable Oils)

HTE Electrólisis de temperatura alta (High Temperature Electrolysis)

IG Índice Gravimétrico (Gravimetric Indices)

ISO Organización Internacional de Normalización

IRENA Agencia Internacional de Energías Renovables (International Renewable Energy Agency)

LH2 Hidrógeno Líquido (Liquid Hydrogen)

LHV Poder Calorífico Inferior (Lower Heating Value)

LOHC Portadores de Hidrógeno Orgánico Líquido (Liquid Organic Hydrogen Carriers)

LTE Electrólisis de temperatura baja (Low Temperature Electrolysis)

MF Fracción de masa (Mass Fraction)

MHE Ministerio de Hidrocarburos y Energías (Bolivia)

MJ/L Mega Jules por litro(M=10-6)

MPa Mega Pascal (106 Pa=145,038 psi)

MST Temperatura Media de la Superficie Terrestre (Mean Earth Suface Temperature)

NASA La Administración Nacional de Aeronáutica y el Espacio (National Aeronautics and Space Administration)

NZE Emisiones netas cero de carbono (Net Zero Emission)

Estudio de viabilidad para la producción de hidrógeno verde en Bolivia

NREL Laboratorio Nacional de Energías Renovables (National Renewable Energy Laboratory)

Ni Níquel

Nm3 Metros Cúbicos Normales (0 °C, una atmósfera de presión)

NTP Temperatura y Presión Normales (Normal Temperature and Pressure)

Pa: Pascal, Unidad de Presión, SI (1Pa=14,5038 10-5 psi)

PCI Poder Calorífico Inferior

PEM Electrólisis de Membrana Polimérica Protónica (Proton Exchange Membrane Water Electrolysis)

POX Oxidación Parcial (Partial Oxidation)

PV Solar fotovoltaica (Solar photovoltaic )

WGSR Reacción de Desplazamiento Agua-Gas (Water-Gas Shift Reaction)

OPEX Costos de Operación (Operating Expenses)

PSA Adsorción por oscilación de presión (Pressure Swing Adsorption)

RO Osmosis Inversa (Reverse Osmosis)

S/m Unidad (SI) de conductividad eléctrica en Siemens por m

S/cm Unidad (SI) de conductividad eléctrica en Siemens por cm

SAF Combustible de Aviación Sostenible (Sustainable Aviation Fuel))

SMR Reformado de Metano con Vapor (Steam Methane Reforming)

SOE Electrólisis de Agua con Oxido sólido (Solid Oxide Water Electrolysis)

SG Gravedad Específica (Specific Gravity)

SYNGAS Gas de síntesis (CO+H2)

TM Tonelada Métrica

TWh Teravatio-hora (1012 Wh)

UCOM Unidad de Comunicación (MHE-Bolivia)

US$ US dollars

Z Factor de Compresibilidad

μS Micro Siemens (1,0×10-6)

µm Micrón (10-3 mm, 10-6 m)

Anexo 4

Fabricantes electrolizadores alcalinos

• INEOS (Reino Unido), Electrolizadores de agua alcalina: https://www.ineos.com/es/businesses/ineoselectrochemical-solutions/electrolizadores/ electrolizadores-de-agua-alcalina/

• McPhy(Francia), electrolizador alcalino: https://mcphy.com/en/equipment-services/ electrolyzers/?cn-reloaded=1

• ITM Power (Reino Unido), electrolizador alcalino: https://itm-power.com/

• Nel Hydrogen (Noruega), electrolizador alcalino: https://nelhydrogen.com/water-electrolysershydrogen-generators/

• Hydrogen Pro (Noruega), electrolizador alcalino: https://hydrogenpro.com/

• Peric (China), electrolizador alcalino: http://www.peric718.com/Alkaline-TypeHydrogen-G/r-85.html

• Hydrogenics (Canadá), electrolizador alcalino (Cummins): https://www.cummins.com/sites/default/ files/2023-10/electrolyzer-brochure.pdf

• John Cockerill (Bélgica), electrolizador alcalino: https://hydrogen.johncockerill.com/en/products/ electrolysers/

• Auyan (China), Electrolizador de producción de hidrógeno de agua de electrólisis alcalina AUYAN: https://www.auyangloble.com/es/HYDROGENPRODUCTION/Hydrogen-Production-Electrolyzer. html

• Longi (China), electrolizador alcalino https://www.longi.com/au/products/hydrogen/

• Thyssenkrupp (Alemania), electrolizador alcalino https://ucpcdn.thyssenkrupp.com/_binary/ UCPthyssenkruppBAISUhdeChlorineEnginee rs/en/products/water-electrolysis-hydrogenproduction/210622-gH2-product-brochure.pdf

• Siemmens (Alemania), electrolizador alcalino https://www.siemens-energy.com/global/en/ home/products-services/product-offerings/ hydrogen-solutions.html

• Sunfire Gmbh (Alemania), electrolizador alcalino https://www.sunfire.de/en/hydrogen

• Topsoe (Dinamarca), electrolizador alcalino https://www.topsoe.com/blog/your-guide-toelectrolysis

• Next Hydrogen (Canada), electrolizador alcalino https://nexthydrogen.com/

• Plug Power(USA), electrolizador alcalino https://www.plugpower.com/hydrogen/ electrolyzer-hydrogen/

Anexo 5. Glosario

• Densidad energética volumétrica. Cantidad de energía que contiene un sistema en comparación con su volumen; suele expresarse en watt-hora por litro (Wh/L) o Megajule por litro (MJ/L).

• Densidad energética gravimétrica. Cantidad de energía que contiene un sistema en comparación con su masa; suele expresarse en Watt-hora por kilogramo (Wh/kg), o Megajoule por kilogramo (MJ/kg). La densidad energética gravimétrica también puede denominarse energía específica.

• Normal Metro Cúbico (Nm3). Medida del volumen de gas en condiciones estándar de temperatura y presión. La temperatura estándar para Nm3 es 0°C (273,15 °K) y la presión estándar es una atmósfera (101,325 kPa o 14,7 psi).

• Factor de Compresibilidad. El factor de compresibilidad Z es un factor de corrección que se introduce en la ecuación de estado de los gases ideales para modelar el comportamiento de gases reales.

• Cambio Climático. Expresión amplia que incluye las variaciones en el clima. Los cambios climáticos han existido desde el inicio de la historia de la Tierra, pero, la novedad actual reside en que es un cambio en el clima causado directa o indirectamente por la actividad humana. Incluye alteraciones en la temperatura, pero, también, en las precipitaciones, en la velocidad del viento, en la presión atmosférica, en la frecuencia de eventos extremos.

• Crisis climática. Expertos empiezan a señalar que la situación de cambio de clima que estamos viviendo, por su magnitud, su intensidad y su velocidad, permite afirmar que estamos ante una crisis climática.

• Captura Directa del Aire. La captura directa de aire (DAC) implica extraer CO₂ directamente del aire y luego almacenarlo de forma segura y permanente. El CO2 también puede utilizarse para producir combustibles sintéticos (shopify.com).

• Combustibles sintéticos. Combustibles que se producen procesando el hidrógeno y CO2 (proceso Fischer Tropsch). Si el hidrógeno es obtenido con

Heberto Hernán Peña Galarza

Estudio de viabilidad para la producción de hidrógeno verde en Bolivia

energías renovables (solar fotovoltaica, eólica) y el CO2 es obtenido de la atmósfera, el combustible es neutro ya que emite la misma cantidad de CO2 que se extrajo de la atmósfera. Con este proceso se pueden obtener, gasolina, diésel oíl, jet fuel..

• Densidad de corriente eléctrica. La densidad de corriente (J=I/A) es la relación de intensidad (amper) por área activa (cm2), es decir, cuántos electrones pasan por unidad de área.

• Dióxido de carbono equivalente (CO2eq). Unidad de medida utilizada para indicar el potencial de calentamiento global de cada uno de los GEI con respecto al dióxido de carbono (https://www1. upme.gov.co)

• Efecto J-T. El efecto Joule-Thomson se refiere al cambio de temperatura de un gas cuando pasa por una válvula a entalpía constante (expansión adiabática). Todos los gases tienen una "temperatura de inversión" por debajo de la cual experimentan un descenso térmico durante el proceso de expansión J-T. La temperatura de inversión está directamente relacionada con la temperatura crítica del gas. Las sustancias con una temperatura crítica extremadamente baja (por ejemplo, el hidrógeno, el helio y el neón) tienen temperaturas de inversión por debajo de la temperatura ambiente y, por tanto, sus temperaturas aumentan durante la expansión isentálpica o isoentálpica por encima de sus temperaturas de inversión (< 497, 15° C para el hidrógeno).

• Electrólisis. Descomposición del agua en hidrógeno y oxígeno mediante la utilización de la electricidad.

• Emergencia climática. Término preciso para aludir a una dimensión temporal corta para actuar y que traslada la necesidad de adoptar inmediatamente medidas intensas para afrontar el problema.

• Energías renovables no convencionales (ERNC). Fuentes renovables tales como energía eólica, energías solar térmica y fotovoltaica, energía geotérmica, energía mareomotriz y derivadas del uso de diferentes tipos de biomasa.

• Energías renovables convencionales (ERC). Fuentes renovables tales como energía hidráulica o hidroeléctrica. Según el BID, el 16% de la demanda de energía eléctrica global está cubierta por energía hidroeléctrica y participa en el 70% de las energías renovables.

• Factor potencia planta de generación eléctrica. El factor de planta de una central eléctrica es el

cociente entre la energía real generada por una central eléctrica y la energía generada si hubiera trabajado al 100% de su capacidad durante ese período.

• Gases de Efecto Invernadero (GEI). Componentes gaseosos de la atmósfera, de origen natural o antropogénico, que absorben y emiten la energía solar reflejada por la superficie de la Tierra, la atmósfera y las nubes. Los principales GEI son el dióxido de carbono (CO2), el óxido nitroso (N2O), el metano (CH4) los hidrofluorocarbonos (HFC), los perfluorocarbonos (PFC) y el Hexafluoruro de Azufre (SF6).

• GigaWatt hora (GWh). Representa una potencia constante de un gigawatt que funciona durante una hora.

• KiloWatt hora (KWh). Representa una potencia constante de un kilowatt que funciona durante una hora.

• Megavatio hora (MWh). Representa una potencia constante de un megawatt que funciona durante una hora.

• Pila de combustible (Fuel Cell). Consiste en un sistema electroquímico que transforma la energía química en energía eléctrica, utilizando hidrógeno como combustible y oxígeno del aire, para producir agua y electricidad.

• Power - to - X (PtX). Término colectivo para las tecnologías de conversión que convierten la electricidad en combustibles sintéticos neutros en carbono, como hidrógeno, gas natural sintético, amoniaco, metanol, combustibles líquidos o productos químicos.

• Power - to - power. Emplea tecnología de electrólisis para generar hidrógeno a partir de recursos renovables como energías eólica y solar. El hidrógeno se almacena para uso futuro y se transforma (desde su estado almacenado) nuevamente en energía mediante el uso de una celda de combustible durante los períodos de máxima demanda.

• Reformado de metano con vapor (SMR). Proceso donde reacciona el vapor de agua a temperatura y presión altas con el metano en presencia de un catalizador de níquel (Ni) en un reactor tubular, y se produce el gas de síntesis (CO + H2).

• Síntesis de Haber - Bosch. El hidrógeno se combina con nitrógeno (N2) y se convierte en amoniaco (NH3), una materia prima clave para la producción de fertilizantes, pero, también se utiliza en la industria química o, posiblemente,

como combustible en la navegación marítima. El amoniaco, también puede ser utilizado como medio para transportar el hidrógeno (h2lac.org).

• Síntesis Fischer - Tropsch. El hidrógeno se combina con carbono renovable para formar todo tipo de hidrocarburos sintéticos (CxHy), o un tipo de petróleo crudo sintético a menudo llamado syn-crude. Una vez procesado, puede convertirse en productos específicos, como el combustible para aviones (Power-to-Liquid, PtL) (h2lac.org).

• Stack Cell (electrolizador). Apilamiento de celdas de electrólisis.

• Transición energética. Se refiere a la transición de los sistemas fósiles de producción y consumo de energía –incluido el petróleo, el gas natural y el carbón– a fuentes de energía renovables como la eólica y la solar. El cambio también abarca la tendencia hacia una red conectada de fuentes de energía distribuidas y lejos de las utilidades tradicionalmente centralizadas y las fuentes de energía únicas (https://www.sap.com/ latinamerica/insights/energy-transition.html)

• TeraWatt-hora (TWh). Un TeraWatt-hora (1012 W) representa una potencia constante de un gigawatt que funciona durante una hora.

Distribución, estructura poblacional y producción del copaibo (Copaifera langsdorfii) en la comunidad El Carmen, municipio de Concepción, Santa Cruz – Bolivia

Distribución, estructura poblacional y producción del Copaibo (Copaifera langsdorfii) en la comunidad El Carmen, municipio de Concepción,

Santa Cruz – Bolivia1

Marisol Toledo2, José Ignacio Kushner3 & Javier Julio Mencarí Soriocó4

El aprovechamiento de los productos no maderables es una estrategia para conservar los bosques y apoyar el desarrollo de los pueblos. Actualmente, la oleorresina del árbol de Copaibo (Copaifera langsdorfii) es uno de los productos que genera ingresos a las comunidades chiquitanas, pero, no hay estudios ecológicos sobre esta especie. Por esto, se realizó un estudio en la comunidad El Carmen, del municipio de Concepción, Santa Cruz, la cual es parte de la ruta turística en el Festival de la Orquídea y un sitio TIPA (Tropical Important Plant Area) por su valor botánico.

Los objetivos fueron registrar los hábitats donde se encuentra la especie, evaluar su estructura poblacional y analizar los posibles factores que influyen

1 Programa UPSA - ANCB-SC.

2 Miembro de Número de la Academia de Ciencias de Bolivia. Universidad Autónoma René Gabriel Moreno, Carrera de Biología.

3 Universidad Autónoma René Gabriel Moreno, Carrera de Biología.

4 Comunidad El Carmen, Municipio Concepción, Santa Cruz, Bolivia.

en la producción de la oleorresina. Para ello, se visitó la comunidad entre junio del 2023 a marzo del 2024, realizando recorridos y registro de cada individuo, tomando en cuenta diferentes tamaños (plantines, brinzales, latizales y adultos). Adicionalmente, en cada árbol adulto se evaluó la posición y forma de la copa, infestación de bejucos y el estado fenológico. Se registró también la producción de oleorresina en 24 individuos entre octubre 2023 a marzo 2024.

Los individuos de Copaibo están distribuidos en manchas en las serranías y en la vegetación asociada a estas serranías, incluyendo guapasales y cerrado rupestre, así como cerca a los afloramientos rocosos, pero, no en el bosque chiquitano. En total, se registraron 798 individuos, la mayoría en estado de plántula, incluyendo brinzales (66%), seguida de adultos (29%) y latizales (5%). La mayoría de los árboles presentaron una posición y forma de copa buenas, sin bejucos, con flores en marzo y frutos inmaduros en junio y maduros en agosto. De los 229 árboles adultos registrados, 111 fueron considerados productivos, al tener al menos un tubo de perforación. La producción de la oleorresina fue diferente en cada árbol y no presentó relación con el diámetro.

Revista de la ANCB-SC | #06 ciencia y cultura cruceña

En conclusión, el Copaibo tiene una distribución en manchas y restringida a ambientes rocosos, así como una estructura poblacional que preocupa por la falta de latizales, situación dada por la ocurrencia de fuego en la región. Es importante continuar con el monitoreo y estudiar otros factores que pueden afectar la producción de la oleorresina, así como promover la protección de esta especie y su área de distribución, por su valor ambiental y socio-económico alto, para las generaciones de la comunidad El Carmen futuras.

Palabras clave: Chiquitania, regeneración, oleorresina, sitio TIPA.

INTRODUCCIÓN

El aprovechamiento de los productos del bosque es cada vez mayor y ha ganado reputación como una estrategia para integrar, a través del uso sustentable, la conservación de los recursos forestales con el desarrollo socio-económico de los pueblos. De esta manera, la oleorresina de Copaibo (Copaifera langsdorfii) se posiciona como uno de los principales productos forestales no maderables comercializados por los pobladores de varias comunidades chiquitanas. La oleorresina de este árbol fue una de las principales fuentes de ingreso para la comunidad El Carmen, ubicada en el municipio de Concepción del departamento de Santa Cruz, durante la pandemia de Covid-19 (Arroyo-Herbas 2021). Esta oleorresina se comercializa debido a sus propiedades medicinales, entre las que se destaca, su acción cicatrizante, analgésica y antinflamatoria (Coímbra-Molina et al. 2018). Así, el Copaibo es una de las especies promisorias importantes de la Chiquitania por su valor medicinal (IBCE 2007).

La comunidad El Carmen posee una superficie aproximada de tres mil hectáreas, en las cuales, actualmente, se aprovechan más de 150 árboles de Copaibo (Miranda 2018). Arroyo-Herbas (2021), menciona que la economía de la comunidad de El Carmen está basada en parte en el ecoturismo de las actividades del Festival de Orquideas y en la extracción y comercialización de la oleorresina de Copaibo y de las semillas de la almendra chiquitana (Dipteryx alata). De esta manera, el manejo sostenible del Copaibo genera ingresos económicos para los pueblos originarios y ayuda a conservar el bosque circundante funcionando como especie paragua para otras especies (Diaz-Villarroel & Villarroel 2020).

Por otro lado, la vegetación de la región chiquitana tiene características únicas, razón por la que diversos proyectos han enfocado sus esfuerzos en conocerla

y protegerla. Una de las iniciativas recientes de conservación de los ecosistemas chiquitanos es la Red de Áreas Tropicales Importantes para Plantas (TIPA, Tropical Important Plant Area por su abreviación en inglés), siendo la primera red en Bolivia (MartínezUgarteche et al. 2020). Hasta el momento, 40 países cuentan con una red o están en el proceso de identificación (TIPAs portal 2022, Plantlife 2022). Las redes de sitios TIPA son claves para la conservación de plantas nativas y hábitats terrestres amenazados e identificados a nivel internacional o nacional, que utiliza los mejores datos científicamente sólidos y actualmente disponibles (Martínez-Ugarteche et al. 2023). Aunque las TIPAs no son designaciones con respaldo legal, se pueden utilizar para lograr el máximo impacto en la toma de decisiones ambientales a diferentes niveles (nacional, regional e internacional), promoviendo y reforzando la protección y la gestión de las áreas identificadas. El Carmen es uno de los 18 sitios de esta red por el número de especies endémicas, especies y hábitats amenazados y plantas útiles que posee. Con los estudios realizados por el programa TIPA se tiene conocimiento general de la vegetación y de los diferentes hábitats, los que forman un mosaico con bosque semideciduo, cerrado sensu stricto, cerrado rupestre, cerradão, guapasales y afloramientos rocosos (Martínez-Ugarteche et al. 2023).

En este contexto, el presente estudio tiene como objetivo principal evaluar el estado poblacional del Copaibo (Copaifera langsdorffii) en la comunidad El Carmen con el fin de brindar información útil para la conservación y el aprovechamiento sostenible de la especie. Específicamente, los objetivos son registrar los hábitats donde se encuentra la especie, evaluar su estructura poblacional y analizar los posibles factores que influyen en la producción de la oleorresina de Copaibo. Por lo que, el conocimiento sobre nuestros recursos naturales es clave para apoyar su conservación y así garantizar el desarrollo sostenible de las futuras generaciones.

MATERIALES Y MÉTODOS

Se considera:

Sitio de estudio

El presente estudio se realizó en la comunidad El Carmen, ubicada en el municipio de Concepción, provincia Ñuflo de Chávez; específicamente, a 42 kilómetros al Sur del centro poblado de Concepción (16°26’24” latitud Sur y 61°01’12” longitud Oeste; Figura 1). El Carmen limita al este con el Área Protegida Municipal Orquídeas del Encanto, hacia

Marisol Toledo, José Ignacio Kushner y Javier Julio Mencarí Soriocó

Distribución, estructura poblacional y producción del copaibo (Copaifera langsdorfii) en la comunidad El Carmen, municipio de Concepción, Santa Cruz – Bolivia

el sur con el territorio indígena de Lomerío y al norte y oeste con estancias privadas ganaderas. La precipitación promedio anual ronda los 1.039 milímetros, la temperatura media anual es de 24,2°C, con temperaturas máximas de 31,6ºC y mínimas de 14,8ºC. La época húmeda es de octubre hasta finales de abril; y de finales de abril hasta mediados de octubre se caracteriza por ser un periodo frío y seco. La comunidad presenta un mosaico de vegetación dominado principalmente por bosque subhúmedo semideciduo (en valles y planicies), cerrado (cimas y zonas de suelos pocos profundos) y afloramientos rocosos que sobresalen de forma dispersa (MartínezUgarteche et al. 2023).

El Carmen es una comunidad indígena, de origen chiquitano, cuyo territorio tiene una extensión de 3.000 hectáreas, con una altura promedio de 649 metros sobre el nivel del mar (Arroyo-Herbas 2021). La población tiene actividades económicas basadas en la agricultura y cacería de subsistencia a pequeña escala, así como la cría de animales domésticos y la ganadería. Asimismo, como parte del aprovechamiento de sus recursos naturales, esta comunidad actualmente tiene más de 100 árboles de Copaibo (Copaifera langsdorfii) perforados para la extracción de oleorresina y, en ocasiones, algunas familias colectan las semillas de la almendra chiquitana (Dipteryx alata). Por otro lado, El Carmen cuenta con paisajes colinosos y senderos ecológicos, que ostentan orquídeas nativas de la región, siendo parte importante de los eventos turísticos que atraen a cientos de visitantes, principalmente, el evento denominado Festival de la orquídea, que se realiza cada año, juntamente con el municipio de Concepción.

Diseño de estudio

Esta investigación se realizó con un enfoque exploratorio y descriptivo, contexto en el cual se visitó la comunidad El Carmen en cuatro ocasiones, durante el 2023 (junio, agosto, octubre) y el 2024 (marzo). En el primer viaje, se realizó una reunión con la comunidad y las autoridades para presentar y explicar de qué se trata el estudio; evento que se aprovechó para seleccionar el informante clave interesado en participar y colaborar con la toma de datos. Se describen las actividades realizadas en el trabajo de campo y de gabinete.

Trabajo de campo

Se realizaron recorridos alrededor de la comunidad El Carmen para observar los diferentes hábitats donde crece la especie. Luego, se registró

a cada individuo de Copaibo, tomando en cuenta dos tamaños, individuos adultos (mayor e igual a 10 centímetros de diámetro) y la regeneración (menor a 10 centímetros de diámetro; Anexo 1). También se evaluaron variables como el diámetro altura-pecho (DAP) con cinta diamétrica para los adultos y se estimó la altura total de cada individuo. Para evaluar el estado poblacional, incluyendo la regeneración natural, se clasificó según categorías que se presentan.

Categoría Tamaño de la vegetación

Plantines < 0,30 cm altura

Brinzal > 30 cm – 1,5 m altura

Latizal > 1,5 m altura < 10 cm diámetro

Árbol adulto ≥ 10 cm diámetro

Adicionalmente, se evaluó la posición y forma de la copa de cada individuo, así como su infestación por bejucos, en diferentes categorías, de los individuos mayores a 10 centímetros de diámetro (Anexo 2). También se tomó en cuenta el estado fenológico de cada individuo, si presentaba flores y/o frutos (Anexo 1).

Posición de la copa. Referida a la posición de la copa con respecto a su exposición a la luz solar; su clasificación se basa en cinco categorías:

a. Emergente. Parte superior de la copa totalmente expuesta a la luz vertical y libre de competencia lateral.

b. Plena iluminación superior. Parte superior de la copa plenamente expuesta a la luz vertical, pero, está adyacente a otras copas de igual o mayor tamaño dentro del cono de 90°.

c. Alguna iluminación superior. La parte superior de la copa está expuesta a la luz vertical, o parcialmente sombreada por otras copas.

d. Alguna luz lateral. La parte superior de la copa entera sombreada de luz vertical, pero expuesta a alguna luz directa lateral.

e. Ausencia de luz. La parte superior de la copa enteramente sombreada tanto de luz vertical como lateral.

Forma de copa. Dentro de la población de cualquier especie, el aspecto o la calidad de la copa en relación con estado de desarrollo del árbol está

Tabla 1. Clasificación del estado poblacional

correlacionado con el crecimiento. Se presenta la clasificación de formas de copas.

a. Perfecta. Corresponde a las copas que presentan el tamaño y la forma que se observa generalmente amplia, circular y simétrica.

b. Buena. Copas que se acercan mucho al anterior nivel, silviculturalmente satisfactorias, pero, con algún defecto leve de simetría o algún extremo de rama muerta.

c. Tolerable. Apenas satisfactorias silviculturalmente, evidentemente asimétricas o ralas, pero, aparentemente poseen capacidad de mejorar si se les da espacio.

d. Pobre. Evidentemente insatisfactorias, presentan muerte regresiva en forma extensa, fuertemente asimétricas y pocas ramas, pero, probablemente, capaces de sobrevivir.

e. Muy pobre. Definitivamente degradadas o suprimidas, o muy dañadas, pero, con posibilidades de incrementar su tasa de crecimiento como respuesta a la liberación.

Infestación de bejucos. Se evaluaron sólo los individuos adultos, clasificándolos en cuatro categorías según presentaban o no bejucos:

a. Libre de bejucos,

b. Presencia en el fuste,

c. Presencia leve en fuste y copa,

d. Presencia severa en fuste y copa.

Para el monitoreo de la producción de la oleorresina se registró el diámetro del árbol productivo y la cantidad de oleorresina cosechada, con la participación de un informante clave (Javier Julio Mencarí Soriocó), quien conocía la ubicación de árboles productivos.

Trabajo de gabinete

Se utilizó el programa ArcGIS para realizar el mapa de distribución espacial de los individuos adultos, determinando así los hábitats en los cuales se encuentra el Copaibo. Con el programa Excel se realizaron los análisis descriptivos de los datos registrados relacionados con la estructura poblacional, la regeneración natural y los datos productivos de la especie de Copaibo.

RESULTADOS Y DISCUSIÓN

Se presenta la información correspondiente.

Distribución espacial del copaibo

En la comunidad El Carmen, los individuos de Copaibo se encuentran distribuidos en manchas o grupos al noroeste del centro poblado. Diversas investigaciones mencionan que esta especie tiene un patrón de distribución en grupos (Atías-Vásquez 2009, Guasebe-Tamo 2012, Bezerra de Souza et al. 2020, Diaz-Villarroel & Villarroel 2020). El recorrido por ambientes diferentes en El Carmen, permitió registrar al Copaibo en las serranías y en la vegetación asociada a estas serranías, incluyendo guapasales y cerrado rupestre, así como cerca a los afloramientos rocosos (Figura 1). También se recorrió el bosque alto, pero, no se encontraron individuos en este tipo de ambiente. En Brasil, esta especie ocurre en tipos de vegetación como caatinga, cerrado, mata atlántica y bosque amazónico (Bezerra de Souza et al. 2020).

Figura 1. Distribución de los árboles de Copaibo en la comunidad El Carmen, municipio Concepción, departamento de Santa Cruz

Estructura poblacional del Copaibo

Al considerar los tamaños de los 798 individuos de Copaibo registrados, se observa que la mayoría fue en estado de plántula (66%), seguida de adultos (29%) y algunos latizales (5%; Figura 2). Específicamente, la población adulta presentó 229 individuos (mayor a 10 centímetros de diámetro), cuya mayoría tenía entre 30 centímetros a 90 centímetros de diámetro (74%). Por otro lado, se registraron 569 individuos menores a 10 centímetros de diámetro, destacándose el registro reducido de individuos entre cinco centímetros - diez centímetros de diámetro (9 latizales). Similarmente, un estudio en la Sociedad Agropecuaria Futuro (SAF) registró brinzales, pero no latizales, atribuyendo la falta de estos individuos a los incendios recurrentes en la Chiquitania (Atías-Vásquez 2009).

Marisol Toledo, José Ignacio Kushner y Javier Julio Mencarí Soriocó

Distribución, estructura poblacional y producción del copaibo (Copaifera langsdorfii) en la comunidad El Carmen, municipio de Concepción, Santa Cruz – Bolivia

En el bosque chiquitano de la Reserva Municipal de Copaibo en Concepción, se encontró una distribución tipo campana para los individuos adultos, con predominio de la clase diamétrica de 30 centímetros a 40 centímetros (Guasebe-Tamo 2012). Por otro lado, Díaz-Villarroel & Villarroel (2020), al comparar la distribución diamétrica de Copaibos adultos en dos comunidades del municipio de Roboré, provincia Chiquitos, obtuvieron resultados diferente a la esperada J invertida, presentando Quitunuquiña una cierta homogeneidad en las primeras clases (10 cm a 30 cm), para luego disminuir en las clases superiores, en contraste con Yororobá, en la cual la distribución mostró fluctuaciones con mayor y menor abundancia de árboles en las cuatro clases primeras (10 cm-50 cm), para luego disminuir en las clases superiores. En la comunidad El Carmen, la clase diamétrica de 40 centímetros a 50 centimetros fue la dominante, pero, la clase inicial (10 cm - 20 cm) tuvo la abundancia de individuos menor (Figura 2).

Bezerra de Souza et al. (2020), al estudiar dos tipos de hábitats en la región de Tocantis en Brasil, registraron una distribución diamétrica en forma de J-invertida, con una predominancia de individuos jóvenes; específicamente, 71% de los individuos presentaron diámetro mayor a 14 centímetros (cerradão) y 77,5% de los individuos estuvieron en la clase diamétrica tres centímetros – ocho y medio centímetros (cerrado sensu stricto). Este resultado con individuos juveniles permite inferir que la población está en un proceso de regeneración. Sin embargo, en El Carmen, la cantidad de individuos mayor está compuesta de plantines y de adultos, faltando individuos entre estos dos tamaños (latizales).

En la Chiquitanía, el fuego es una herramienta utilizada para la ganadería y la agricultura de subsistencia, pero, cuando se usa sin un manejo o cuidado adecuado puede provocar incendios. Por información local, cada cierto tiempo hay incendios que afectan a la vegetación, por ejemplo, el año 2022, el fuego ingresó a diversos ecosistemas de la comunidad El Carmen. Si no hay un buen manejo del fuego, este puede afectar a la vegetación que está en crecimiento, que ha sido demostrado en las plántulas registradas, ya que una buena cantidad de ellas provenía de rebrote y no de semilla directamente. La producción de semillas tiene relación directa con la regeneración de la especie, registrándose varios individuos pequeños o plántulas cerca de cada árbol adulto.

En cuanto a la fenología del Copaibo en El Carmen, se registró individuos adultos con flores en marzo y con frutos inmaduros en junio, y maduros, en agosto, con la exposición de semillas. Se registraron algunos árboles con frutos viejos también en marzo. Al respecto, estudios en el Cerrado brasilero encontraron también que la floración ocurre en la época lluviosa, concentrada de noviembre a marzo y la fructificación en la época seca, de abril a septiembre (Pedroni et al. 2002, Almeida et al. 2006). Por otro lado, CoimbraMolina et al. (2018), mencionan que los Copaibos chiquitanos florecen entre marzo y julio y presentan frutos desde noviembre a diciembre.

2. Abundancia de la población del Copaibo en categorías de tamaños diferentes

En términos generales, los individuos adultos presentaron un buen estado en relación a la posición de copa, con un 89% recibiendo suficiente cantidad de luz (categorías 1 y 2; Figura 3). Aunque la mayoría de los árboles, presentaron tronco recto, se encontró una pequeña cantidad con troncos inclinados (26). Por otro lado, los individuos adultos tuvieron una forma de copa buena, con el 69% presentando categorías 1 y 2 (Figura 3). Finalmente, la mayoría de los individuos (95%) no registró infestación de bejucos y pocos individuos (12) presentaron escasos bejucos en el tronco.

Figura
Plantines <30 Brinzal 30-150 Latizal >150 10-19,9 20-29,9 Altura para regeneración, Diámetro para adultos (cm)

3. Abundancia del copaibo en diferentes categorías de la posición y forma de copa

Producción de oleorresina de Copaibo

El Copaibo en El Carmen debe ser considerado desde un contexto ambiental, porque permite mantener el bosque en pie, y también desde un contexto socio-económico, por los ingresos que genera debido a la diversidad de usos. Las especies de Copaifera tienen principalmente uso maderable y medicinal. La oleorresina puede ser de aplicación interna, por vía oral, como laxante, para tratar faringitis, tos, úlceras, colon irritable e inflamación de próstata; o de aplicación externa como repelente, desinflamante, cicatrizante de heridas, antifúngico, alivio al reumatismo (Atías-Vásquez 2009, CoimbraMolina et al. 2018, Toro-Chacon et al. 2020). Por lo que esta oleorresina tiene propiedades medicinales para el sistema gástrico y dérmico.

En el pasado, la población de El Carmen aprovechó esta oleorresina para uso medicinal, cortando con hacha parte del tronco hasta llegar al centro, donde se encuentra la oleorresina, pero, se dio cuenta que se hacía daño al árbol al dejar expuesta la oleorresina a insectos, lluvia. En la actualidad, se perfora el tronco con taladro y broca, colocando un tubo PVC, con tapa rosca, para extraer la oleorresina (Figura 4). La Cooperación Alemana-GIZ, mediante el proyecto Probosque, generó un inventario comercial del Copaibo en la comunidad El Carmen, perforando más de 200 individuos en una superficie de 300 hectáreas (Marco Urey, com. pers.). También brindó capacitación y apoyo técnico, entre el 2017 al 2023, para seguir con la extracción y comercialización de la oleorresina. Adicionalmente, en el marco de Probosque, un grupo de mujeres recibió capacitación para elaborar pomadas en base a la oleorresina de Copaibo, incluyendo otros ingredientes como acera de abeja, aceite de cusi y de isiga. En un inicio, varias personas de la comunidad El Carmen, mostraron

interés para trabajar con este producto del bosque, pero, al obtener rendimientos bajos y por la falta de equipos propios perdieron el interés. Actualmente, sólo una persona recorre los diferentes hábitats para realizar la extracción y comercialización de la oleorresina, siendo quien conoce la ubicación de los árboles productores.

De los 229 árboles adultos registrados en El Carmen, 111 fueron considerados productivos, al tener al menos un tubo de perforación; algunos árboles presentaron entre dos tubos a cinco tubos en diferentes posiciones (Figura 4). La producción de la oleorresina es diferente en cada árbol; de acuerdo a Coimbra-Molina et al. (2018), el promedio anual de un árbol es de un litro. La Sociedad Agropecuaria Futuro tiene registrados nueve mil árboles de Copaibo, en una propiedad de 13 mil hectáreas, ubicada en el municipio de Concepción, los cuales, según las proyecciones, pueden producir anualmente más de cinco mil litros de oleorresina (IBCE 2007).

El monitoreo de extracción en 24 individuos en El Carmen demostró que la cantidad de la oleorresina puede variar por mes y no se relaciona con el diámetro (Tabla 2). Similarmente, un estudio en 388 árboles no encontró relación entre la producción de oleorresina con el diámetro (Rigamonte-Azevedo et al. 2006). Sin embargo, Plowden (2001), menciona que árboles con diámetro entre 55 centímetros a 65 centímetros presentaron, en promedio, mayor producción de oleorresina que los árboles con diámetros mayor o menor.

Figura 4. Aspectos de la producción de la oleorresina de Copaibo en la comunidad El Carmen, que muestra la perforación y extracción por uno o varios tubos.

Marisol Toledo, José Ignacio Kushner y Javier Julio Mencarí Soriocó
Figura

Distribución, estructura poblacional y producción del copaibo (Copaifera langsdorfii) en la comunidad El Carmen, municipio de Concepción, Santa Cruz – Bolivia

Se presenta datos sobre el diámetro y volumen de oleorresina producida en El Carmen.

Tabla 2. Diámetro y cantidad de oleorresina de algunos árboles productivos en El Carmen

Producción de la oleorresina (ml)

No ind. Diámetro 10-oct-23 13-nov-23 14-dic-23 10-mar-24

1

2

3

4

Diversos factores pueden afectar la producción de oleorresina de una planta. Algunos investigadores creen que la oleorresina de Copaibo es producida como una defensa del árbol contra agentes biológicos o estrés mecánico causado por insectos (Langenheim

2003), pero, no todos los árboles producen oleorresina, al parecer, por las características genéticas de cada individuo, principalmente, por la anatomía, ya que no todas las capas de crecimiento tienen canales secretores (Sonsin et al. 2014), lo cual puede explicar porque no existe relación entre el diámetro y la producción de oleorresina (Guarino et al. 2017). Por otro lado, muchos árboles se cierran, cicatrizando la abertura realizada y no vierten más oleorresina, aunque se les haga una nueva perforación.

En un estudio sobre dos especies del género Copaifera (C. paupera, C. reticulata) se menciona que la variabilidad genética, tipo de vegetación, ataque de insectos herbívoros y condiciones ambientales son factores que pueden afectar la producción de la oleorresina (Rigamonte-Azevedo et al. 2006). En el sudeste del Estado de Acre, una investigación realizada por Ferreira (1999), relacionó la producción de oleorresina con la época del año, observándo que la producción fue mayor en el periodo seco (72%) que en la época lluviosa (41%).

Por otro lado, Guarino et al. (2017), evaluaron variables como diámetro de los árboles, orientación solar, elevación y pendiente, distancia a los cuerpos de agua, presencia o ausencia de daño físico o termitas, resultando que la pendiente del terreno (mayor a 10%) afectó significativamente la probabilidad de producción de la oleorresina de Copaibo. Una posible explicación biológica es la formación de la tensión de la madera en árboles que crecen en terrenos relativamente inclinados. Este estudio apoya una de las varias creencias relacionadas a la producción de oleorresina de Copaibo, la cual menciona que los árboles deberían ser perforados en el lado del ángulo más grande entre el tronco y el nivel del terreno (Plowden 2004).

CONCLUSIONES

Los resultados de la presente investigación permiten concluir que, el Copaibo en la comunidad El Carmen tiene una distribución restringida a serranías y vegetación circundante a estos ambientes rocosos. La estructura poblacional del Copaibo está relativamente bien, ya que presenta abundancia de árboles adultos y plantines, pero, preocupa la falta de abundancia de latizales. Al comparar con otras poblaciones, es evidente que son afectadas por algún disturbio, en este caso particular, el fuego es relevante. Es importante continuar con el monitoreo de la producción de la oleorresina, dado que los árboles tienen una amplia variación en la producción. Asimismo, esta especie, al parecer, tiene

Revista de la ANCB-SC | #06 ciencia y cultura cruceña

también una enorme diversidad morfológica y aún hay varios factores relacionados con la producción de la oleorresina que son desconocidos y precisan ser estudiados.

En Bolivia, la biología, la ecología y la producción de esta especie aún es desconocida, existiendo en Brasil la cantidad mayor de literatura disponible. Toda vez que la regeneración, aspecto importante para el mantenimiento del bosque, está vinculada con la producción de frutos y semillas, se deben realizar estudios fenológicos de esta especie, ya que en Bolivia no hay estudios al respecto. A raíz de lo anterior, sería interesante que los futuros estudios incluyan desde la botánica hasta la gestión ambiental de este importante recurso, como estrategia para lograr un manejo sostenible por parte de las comunidades chiquitanas. Asimismo, es importante promover programas de educación ambiental, mediante diferentes tipos de eventos como ferias artesanales o talleres educativos, para difundir el potencial de esta especie logrando que la gente promueva su uso, su comercio y su conservación.

Finalmente, el fuego es una amenaza constante en la región y, si este es frecuente, el desarrollo de la población juvenil y las futuras generaciones del Copaibo se verán afectadas. Es importante que las autoridades locales y municipales tomen en cuenta los riesgos y las amenazas a la población del Copaibo; por lo que deben tomar medidas preventivas o de protección a estos ecosistemas tan importantes por los valores ambiental, social y económico que ofrecen través de la diversidad del patrimonio natural, ecoturismo y biocomercio, para beneficio de la comunidad El Carmen.

AGRADECIMIENTOS

Al programa UPSA - ANCB-SC por el financiamiento para la investigación. A la carrera de Biología-UAGRM por el apoyo, a la pasante Katherine Tomichá de esta carrera por su asistencia en el campo y a la Lic. Gilka Michme por la elaboración del mapa. Finalmente, a las autoridades y a la comunidad de El Carmen por su hospitalidad y por aceptar la ejecución del presente estudio.

REFERENCIAS BIBLIOGRÁFICAS

Almeida, C. I. M, G. L. D. Leite, S. L. Rocha, M. M. L. Machado & W.C.H. Maldonado (2006). Fenología e artrópodes de Copaifera langsdorffii Desf. no Cerrado. Revista Brasilera de Plantas Medicinales 8(2): 64–70.

Arroyo-Herbas, L. ( 2021). Plantas endémicas de los afloramientos rocosos en las tipas El Carmen y El Encanto (municipio de Concepción, Santa Cruz, Bolivia): diversidad, estructura poblacional y estado de conservación. Tesis de Grado, Carrera de Biología. UAGRM, Santa Cruz de la Sierra, Bolivia.

Atías-Vásquez, G. S. (2009). Desarrollo de criterios para el manejo del copaibo (Copaifera langsdorffii) en el sector chiquitano norte- transición Amazonía, ecorregión del bosque seco chiquitano, Bolivia. Magister Scientiae en Manejo y Conservación de Bosques Naturales y Biodiversidad, Escuela de Postgrado, CATIE. Costa Rica.

Bezerra de Souza, P., B. A. Campos Aguiar, G. Varaschim Neto, E. Figueredo Fonseca, B. M. Martins Santos, L. Gama Teieira, D. Lopes Farias, B. S. Souza Costa, Y. de Andrade Ramos, R. Marchesan, M. V. de Melo Amorim, H. Gomes de Almeida Sousa, R. Ribeiro da Silva (2020). Population structure and spatial distribution of Copaifera langsdorffi Desf. Australian Journal of Crop Science 14(3): 3000–3005.

Coimbra-Molina, J., R. I. Flores-Cuellar & W. A. Valenzuela (2018). Guía de buenas prácticas para la extracción de aceite de Copaibo chiquitano (Copaifera langsdorfii). Santa Cruz, Bolivia: FCBS. Contreras, F., C. Leaños, J. C. Licona, E. Dauber, L. Gunnar, N. Hager & C. Caba (1999). Guía para la instalación y evaluación de parcelas permanentes de muestreo (PPMs). Santa Cruz de la Sierra, Bolivia: BOLFOR

Diaz-Villarroel, F. & D. Villarroel (2020). Estructura poblacional y espacial del Copaibo (Copaifera langsdorffii.) en las comunidades de Quitunuquiña y Yororobá (Roboré, Santa Cruz, Bolivia). Kempffiana 16(1): 28–41.

Ferreira, L. A. (1999). Potencial de extração e comercialização do óleo-resina de copaíba (Copaifera spp.): um estudo de caso na Floresta Estadual do Antimary, Acre. 54f. Dissertação (Mestrado em Ecologia e Manejo de Recursos Naturais). Rio Branco, Brasil: Universidade Federal do Acre, Rio Branco.

Guarino, E. de S. G., H. F. Uller, K. Esemann-Quadros, C. M. Gessner & A. C. Lopes da Silva (2017). Effects of morphological and environmental variation on the probability of Copaifera paupera oleoresin production Pesquisa Florestal Brasilera. Brazilian Journal of Forestry Research. 37(92): 569–577.

Marisol Toledo, José Ignacio Kushner y Javier Julio Mencarí Soriocó

Distribución, estructura poblacional y producción del copaibo (Copaifera langsdorfii) en la comunidad El Carmen, municipio de Concepción, Santa Cruz – Bolivia

Guasebe-Tamo, C. (2012). Estudio de la estructura poblacional del Copaibo (Copaifera langsdorffii) en la Reserva Municipal de Patrimonio Natural y Cultural del Copaibo de Concepción, provincia Ñuflo de Chávez, Santa Cruz, Bolivia. Tesis de Grado. Carrera de Ingeniería Forestal. UAGRM. Santa Cruz.

Instituto Boliviano de Comercio Exterior (IBCE) (2007). Biocomercio sostenible: promoviendo el desarrollo con productos nativos de Bolivia. Comercio Exterior 155.

Langenhein, J. H. (2003). Plant resins: cheminstry, evolution, ecology and ethnobotany. Timber Press, Portland, OR. USA & Cambridge, UK. Lombardi, I., C. Garnica, J. Carranza, H. Ortiz, K. Cuba, B. Ponce, D. López, C. Rodríguez & J. Huamani (2013). Manual para la evaluación de árboles semilleros y la regeneración de Caoba (Swietenia macrophylla King.) y Cedro (Cedrela spp.). LimaPerú.

Miranda, V. (2018). Guía de orquídeas y árboles nativos en dos senderos ecológicos de la Comunidad El Carmen. Santa Cruz, Bolivia.

Martínez-Ugarteche, M.T., D. Villaroel, B. Killaard, R. Cleeg & M. Toledo. (2020). Áreas Importantes de Plantas en Bolivia. Boletín Informativo El Patujú 34: 1–14.

Martínez-Ugarteche, M. T., R. Ledezma, M. Toledo & B. Klitgaard (2023). Área Tropical Importante de Plantas El Carmen (Sendero Ecológico) (BOLTIPA017) Kempffiana 19(2): 316–330.

Pedroni, F., M. Sanchez & F. A. M. Santos (2002). Fenología da copaíba (Copaifera langsdorffii Desf. - Leguminosae, Caesalpiniodeae) em uma floresta semidecídua no sudeste do Brasil. Revista Brasilera Botánica 25(2): 183–194.

PlantLife (2022). Tropical Important Plant Areas (TIPAs) in Bolivia. Identifying Tropical Important Plant Areas in the Chiquitano ecoregion of Bolivia and bordering Brazil.

https://plantlife.maps.arcgis.com/apps/instant/ minimalist/index.html?appid=c39f9f39fbcc4883a 8a1f02b4c90e8d7

Plowden, C. (2004). The ethnobotany of copaiba (Copaifera) oleoresin in the Amazon. Economic Botany 58(4): 729–733.

Plowden, C. (2001). The ecology, management and marketing of non-timber forest products in the Alto Rio Guamá indigenous reserve (eastern Brazilian Amazon). PhD in Ecology, Penn State University, University Park, USA.

Rigamonte-Azevedo, O.C., P. G. Salvador-Wadt & L. H. de Oliveira Wadt.(2006). Potencial de produção de óleo-resina de copaíba (Copaifera spp.) de populações naturais do sudoeste da Amazônia. Revista Arbore 30(4): 583–591.

Sonsin, J. O., P. Gasson, S. R. Machado, C. Caum & C. R. Marcati. (2014). Atlas da diversidade de madeiras do Cerrado Paulista. Botucatu, Brasil: FEPAF.

Toro-Chacón, L. C., N. R. F. Robles-Valderrama, D. F. Trigos-Aguilera, J. M. Trujillo-González & M. A. Torres-Mora. ( 2020). Uso de los recursos de la biodiversidad: Estudio de caso de la oleorresina de copaiba (Copaifera spp.) en la medicina tradicional en el departamento del Meta – Colombia. Revista de Investigación Agraria y Ambiental. 11(1): 53–64.

ANEXOS

Anexo 1

Se presenta ilustraciones de aspectos diversos del Copaibo.

Figura A1.1. Ilustraciones del porte, corteza, frutos, flores y plantines de Copaibo

Marisol Toledo, José Ignacio Kushner y Javier Julio Mencarí Soriocó
Fuente: ©Foto: M. Toledo.

Distribución, estructura poblacional y producción del copaibo (Copaifera langsdorfii) en la comunidad El Carmen, municipio de Concepción, Santa Cruz – Bolivia

Anexo 2

Se muestran categorías de posición y forma de copa.

Figura A2.1. Variables dasométricas evaluadas en los árboles adultos de Copaibo

Fuente: Contreras et al. 1999.

Se muestran categorías de infestación de bejucos.

Figura A2.2. Categorías de infestación de bejucos

Árbol libre de lianas y/o bejucos

Fuente: Lombardi et al. 2013.

Árbol con lianas y/o bejucos en el fuste

Árbol con lianas y/o bejucos en el fuste y copa (presencia leve)

Árbol con lianas y/o bejucos en el fuste y copa (grado severo)

Marisol Toledo, José Ignacio Kushner y Javier Julio Mencarí Soriocó

Evaluación calidad microbiológica del agua en Parque Regional “Lomas de Arena”

Evaluación calidad microbiológica del agua en Parque Regional “Lomas de Arena”1

Milenka Velasco2, Consuelo Mendoza3, Angélica Rocío Giacoman3 , Julio César Magne4, Melanie Blanca Cuéllar4

RESUMEN

En el presente estudio se evaluó el nivel de contaminación de los cuerpos de agua ubicados en el Parque Regional Lomas de Arena, Departamento de Santa Cruz, el cual cuenta con pozas de agua que se originan entre las dunas de arena y se alimenta, principalmente, por aguas de lluvia; así también atraviesa este parque un riachuelo-quebrada denominado Chore – Chore, además del estudio temporal de la pérdida de agua que se ha generado en la zona en los últimos años, establecidos por mapas de posicionamiento geográfico y el programa de Arcgis Pro.

Se analizaron nueve parámetros entre físicos, químicos y microbiológicos para obtener el Índice de Calidad del Agua de acuerdo a metodología propuesta por la Canadian Water Quality Index (CWQI). Se seleccionaron cinco puntos de muestreo con repeticiones en la toma de muestras en los meses

1 Programa UPSA - ANCB-SC.

2 Laboratorio de Microbiología Ambiental de la Carrera de Biología. F.C.A, UAGRM. Carrera de Ciencias Biológicas, UAGRM.

3 Carrera de Ciencias Biológicas, UAGRM.

4 Magne y Cuéllar, Carrera Ciencias Ambientales, FCA, UAGRM.

de marzo a julio del 2023. Los valores obtenidos de los parámetros se compararon con la reglamentación de la Ley de Medio Ambiente 1333 para verificar los límites permisibles.

Los resultados muestran que la calidad de los cuerpos de agua, en los meses de mayo a julio, va de regular a mala obteniéndose el Índice de Calidad de Aguas ICA, desde 33 (mala) hasta 55 (regular), con presencia de especies de parásitos en la quebrada Chore-Chore correspondiente a Ascaris lumbricoides.

Se observa tendencia a la eutrofización con elevada cantidad de algas, nitratos y bacterias del grupo Coliformes Totales y Fecales, con valores por fuera de los límites permisibles en la Ley de Medio Ambiente 1333 y su Reglamento en Materia de Recursos Hídricos, considerándose para este estudio como clase tipo A, ya que se trata de aguas recreacionales.

En los meses de septiembre a noviembre de 2023, se observa ausencia de agua en los cinco puntos de muestreo, demostrándose pérdida total de este recurso que se ve acompañado por las precipitaciones bajas en los meses mencionados por los datos de pérdida de agua en la mayoría de los departamentos de Bolivia, las provincias del departamento de Santa Cruz e incluso dentro del área urbana que alcanza

este parque regional; así como el calentamiento global que está atravesando la Tierra conjuntamente el fenómeno del Niño con presencia de temperaturas extremas y sequias.

Palabras clave: Contaminación aguas recreacionales, parámetros microbiológicos Coliformes Totales y Fecales, parásitos, Índices Calidad Agua, perdida agua.

INTRODUCCIÓN

El Departamento de Santa Cruz cuenta con un importante número de lagunas, principales ecosistemas con potencial en recursos biológicos y que cumplen funciones ecológicas y recreacionales. Estas no han sido valorizadas y se encuentran expuestas a procesos degradativos y a la permanente contaminación que ocasiona la disminución de sus cualidades hasta posible desaparición con la consecuente pérdida de patrimonio natural (GADSC 2011, citado por Yavari 2012).

El Parque Regional Lomas de Arena se constituye en una región que se declara como Parque regional de la ciudad de Santa Cruz de la Sierra mediante Resolución de la Unidad Técnica Desconcentrada del Centro de Desarrollo Forestal, el 6 de junio de 1989 y, luego, por Decreto Supremo Nº 22911 en septiembre del año 1991; hoy en día es administrado por el Gobierno Departamental de Santa Cruz. Se encuentra situado a 12 kilometros al sudeste de Santa Cruz de la Sierra y corresponde a los Municipios de la Guardia (91%), de Santa Cruz de la Sierra (5,6%) y Cabezas (2,4 %), Provincia Andrés Ibañez, con un total de 14.000 hectáreas (Wikipedia). Comprende paisajes de sabana bosque y una laguna principal, formado por dunas de hasta 12 metros de altura y cuerpos de agua móviles de acuerdo a las precipitaciones y vientos, que se convierte en una área de protección natural, por la cual deben considerarse las medidas necesarias para la protección y conservación de los recursos hídricos que se convierten en un factor indispensable para mantener el equilibrio ecológico de este importante ecosistema. Estudios realizados en el área protegida, indican que el estado de conservación de los bosques es vulnerable (Navarro,1997). Los diferentes tipos de bosques son de importancia en la dinámica del geosistema dunar del parque, porque protegen y consolidan la fijación de dunas, ofrecen alimento y refugio a la fauna y forman parte de la belleza escénica del paisaje natural.

Estudios como los realizados por Carvajal (2015), muestran que la contaminación es creciente en las vertientes de los ríos en la ciudad de La Paz, y presentan valores elevados en parámetros físico químicos y bacteriológicos. De igual manera, los estudios realizados en el Departamento de Santa Cruz (Informe de auditoría ambiental K2/AP8/F10. 2010), muestran este problema, concretamente, en gran parte de la cuenca del río Pirai.

La evaluación de la calidad microbiológica del agua en el Parque Regional Lomas de Arena, tiene como finalidad generar información para la preservación, la protección y la conservación de paisaje (cerramientos, protección de fuentes de agua), acciones que contribuyen a la protección de zonas de recarga de acuífero; así como conservación y gestión del agua. Como objetivo se planteó “Evaluar la calidad microbiológica del agua de acuíferos en el Parque Regional Lomas de Arena” con la finalidad de contar con informes técnicoscientíficos orientados a la protección de los recursos naturales del Departamento de Santa Cruz. Para esto, se identificaron los acuíferos de recarga de la región mediante mapas de posición geográfica (SIG) en el Parque Regional Lomas de Arena. Tomando en cuenta diferentes estaciones del año de estudio, se logró determinar la calidad microbiológica de los cuerpos de agua mediante parámetros básicos (físicoquímicos, bacteriológicos y parasitológicos) dentro del parque para obtener los índices de calidad (ICA ) así como identificar los posibles parásitos patógenos presentes en los cuerpos de agua.

Los impactos de la contaminación

Recientemente, en zonas aledañas a este parque y aun dentro del área del parque regional, han tenido lugar acciones antropogénicas que llevan a contaminar y a alterar esta región por avasallamientos, ingresos furtivos y actividades que impactan negativamente en las políticas de protección de estos recursos naturales del Departamento de Santa Cruz.

Este parque también se constituye en una importante área recreacional para los pobladores de Santa Cruz de la Sierra por su fácil acceso así como sitio de referencia promocional para el turismo internacional y nacional debido a sus extensas dunas y cuerpos de agua con actividades turísticas brindadas por propietarios de la zona así como también, por actividades de conservación por el Gobierno Departamental. Esto motiva a que se obtenga información acerca del estado de la calidad de sus

Evaluación calidad microbiológica del agua en Parque Regional “Lomas de Arena”

aguas así como la presencia de posibles patógenos que afecten la salud de los visitantes.

Para esto, se hace necesario contar con proyectos sostenibles que analicen la situación de la calidad fisicoquímica y microbiológica de los cuerpos de agua, sus posibles fuentes de provisión ya que esta zona ha sido declarada por la Gobernación de Santa Cruz como una área de reservas de acuíferos, así como para conocer el estado de contaminación que presentan estos cuerpos de agua, la predicción de factores de eutrofización, orientados para la conservación de la biodiversidad y la protección del recurso agua, considerado en la Constitución Política del Estado Plurinacional de Bolivia como prioridad para la vida de los bolivianos.

La mayoría de los investigadores han acordado que la calidad bacteriológica del agua para bañarse no necesita ser tan alta como para beberla, pero que debería ser mantenida razonablemente libre de bacterias patógenas, así como libre de contaminantes químicos que presenten toxicidad (Sardi et al., 2016).

Romero et al. (2010) presentan valores de concentración de E. coli a lo largo del Río Hardy, los cuales muestran variaciones en un intervalo entre 8 NMP/100 mL. y 7.100 NMP/100 mL. Esta elevada contaminación se asocia a la presencia de heces fecales sobre la superficie del agua en estos sitios que provienen de una abundante población de aves que utilizan la vegetación de esta parte del río como área de descanso. En otros puntos de muestreo la concentración de E. coli se detectó en concentraciones por debajo de 2.870 NMP/100 mL.

Por otro lado, la Fundación Natura está desarrollando proyectos que apoyen la conformación de los servicios ambientales hídricos, que se conceptúa como aquel servicio que prestan los bosques para conservar los recursos hídricos en cantidad y calidad en las cabeceras de las cuencas, por su capacidad de regular los flujos de agua, controlar la erosión, reducir la pérdida de suelos productivos y disminuir el transporte de sedimentos hacia aguas abajo, ya que la ubicación de los cuerpos de agua del Parque Lomas de Arena se originan parcialmente por cabeceras de cuencas altas.

Los resultados obtenidos en los principales ríos del departamento de Santa Cruz no son alentadores, ya que de acuerdo al último informe de auditoría sobre los resultados de gestión asociados a la variación de la Cuenca del rio Pirai (Informe de auditoría ambiental K2/AP8/F10) realizado de manera sistemática en este

río, se concluye que existe en la mayor parte del curso principal un rango de calidad media en sus aguas; sin embargo, ha incrementado la carga orgánica respecto al estudio realizado el año 1999. Los resultados indican que existe una tendencia al deterioro por la presión antrópica que proviene de la actividad agrícola y, en menor grado, por la actividad domestica e industrial.

Para el estudio del Índice de Calidad de Aguas, se consideran los parámetros que pueden afectar directa o indirectamente el equilibrio del ecosistema natural de los cuerpos de agua del Parque Regional Lomas de arena. Para esto, se hace una descripción de su importancia y de los valores establecidos en las normativas nacionales e internacionales.

Parámetros Microbiológicos

Se analizan:

a. Coliformes Totales

Considerados por normativas nacionales e internacionales como indicadores de la calidad microbiológica del agua de origen no fecal, incluyen cuatro géneros bacterianos Escherichia, Klebsiella, Aerobacter, Citrobacter, que sobreviven por periodos largos en el agua y se detectan y cuantifican a través del Número Más Probable por cada 100 mL. (NMP/100 mL) Los límites están establecidos en Normas de OMS, OPS, e IBNORCA y se obtienen de acuerdo a su cálculo en Tablas de Mac Grady. La metodología está establecida en el Manual de Métodos Normalizados de APHA, AWWA, WPCF, 2001.

b. Coliformes Fecales o Termotolerantes

Incluye únicamente el género Escherichia que se caracteriza por tener origen fecal procedente de animales de sangre caliente (Prescot et al., 2001). Su presencia se da en condiciones de temperaturas de 44,5ªC y de ahí su nuevo término actual de termotolerantes. Se reportan como NMP/100mL. Los valores para aguas potables deben ser de 0 y para aguas superficiales de acuerdo a clasificación por aptitud de uso. La metodología está establecida en el Manual de Métodos Normalizados de APHA, AWWA, WPCF, 2001.

La Ley de Medio Ambiente 1333 establece valores que van entre 1.000 Coliformes fecales a 50.000 Coliformes fecales como Número Más Probable (NMP/100 mL) según la clasificación que establecen los diferentes cuerpos de agua, de acuerdo a su aptitud para el uso A,B,C,D.

c. Parásitos

Los parásitos se detectan e identifican en el agua, principalmente, en sus formas quísticas o de huevos y se establecen como parámetro necesario en las normas de IBNORCA 512 (2001). Entre los parásitos citados se encuentran Entamoebas sp., Giardia sp. y Criptosporidium sp. Para su detección se sigue la metodología de Rittcher modificado (formol más éter y centrifugación) La Ley de Medio Ambiente 1333 establece valores de cero para este parámetro, es decir, ausencia total para todos los tipos de agua.

Parámetros Físico - químicos

La temperatura en los cuerpos de agua pueden ser variables, dependiendo las condiciones ambientales en las épocas de verano o invierno en el Departamento. de Santa Cruz. En términos generales, los ríos y las lagunas de la región presentan temperaturas promedios de 22ºC a 25ªC. Otros cuerpos de agua tienen valores menores donde se desarrollan principalmente las bacterias Psicrofilas, mientras que las temperaturas promedios arriba de 20º favorecen el desarrollo de bacterias mesófitas en las cuales se encuentran los coliformes (Brock, et al., 2001).

El pH representa el potencial de hidrógeno de una solución acuosa. Se calcula como: pH = - log [H+]. Un pH igual a 7 indica un medio neutro, menor a 7, un medio ácido y por encima de 7, un medio básico. Valores de pH en el agua entre 6 y 9 son los más aptos para el desarrollo de la vida acuática. El pH de las aguas puede variar según los distintos tipos de vertidos que reciban las mismas. El desarrollo de algas en un curso de agua consume CO2 y eleva el pH. Un pH por encima de 9 favorece el desarrollo de cianobacterias que no sólo afectan la coloración del agua, sino que también pueden generar toxinas como las microcistinas (hepatotoxinas), anatoxinas (neurotoxinas) y toxinas irritantes de piel y mucosas (Sardi et al., 2016).

a. Oxígeno Disuelto

Parámetro necesario para medir las condiciones de oxigenación del agua, que va desde 0 mg/L a 10 mg/L. Su concentración depende de la difusión en el agua del aire del entorno, la aireación del agua debida a saltos o agitación, y como subproducto de la fotosíntesis. Su concentración también varía con la temperatura, disminuyendo a medida que esta aumenta. La superpoblación bacteriana disminuye el oxígeno disuelto, lo mismo que la eutrofización de los cursos de agua (Sardi et al., 2016).

b. Demanda Biológica de Oxigeno (DBO)

Se define como sinónimo de la concentración de materia orgánica que está presente en los cuerpos de agua, a mayor concentración de materia orgánica mayor serán los valores de la DBO. Normalmente, se utiliza la DBO5 que limita el número de días que cumple el método. La materia orgánica presente en un curso de agua es degradada en condiciones de aerobiosis por los microorganismos aeróbicos (que trabajan en presencia de oxígeno). La demanda bioquímica de oxígeno (DBO5) es una técnica usada para establecer los requerimientos de oxígeno necesarios para la degradación bioquímica de la materia orgánica presente en el agua.

c. Demanda Química de Oxigeno (DQO)

Parámetro similar, pero, que complementa el proceso de degradación tanto de la materia orgánica biodegradable como la materia no biodegradable. Esta degradación incluye un proceso de digestión química.

d. Nitratos

Parámetro indispensable para medir el grado de eutrofización del agua la que si además se presenta con concentraciones altas, de acuerdo a Sardi et al., (2016), representa un riesgo para la salud. Si se ingiere el agua, la acción de la flora estomacal reductora puede transformar los nitratos en nitritos, capaces de convertir a la hemoglobina en metahemoglobina, inhibiéndose el transporte de oxígeno en la sangre. Aunque este es un proceso reversible, puede llegar a provocar la muerte, especialmente en niños. Los nitratos también pueden formar nitrosaminas y nitrosamidas, compuestos cuyos efectos son cancerígenos. Los limites están establecidos en las normativas nacionales como le Ley de Medio Ambiente 1333. De acuerdo al mismo autor, en lagunas recreacionales se pueden obtener valores de 20 mg/L siendo los límites máximos establecidos en Argentina de 50 mg/L.

e. Fosfatos

Otro indicador de los niveles de eutrofización que se presenta en los cuerpos de agua, con los límites establecidos en las normativas nacionales e internacionales como la Ley de Medio Ambiente 1333.

Sardi et al., (2016), detectan valores menores de un mg/L, nivel óptimo de acuerdo a normas. Los fosfatos en el agua provienen de fertilizantes, excreciones humanas y animales, detergentes y

Evaluación calidad microbiológica del agua en Parque Regional “Lomas de Arena”

productos de limpieza. Los compuestos del fósforo son nutrientes de las plantas y conducen al crecimiento indiscriminado de algas en las aguas superficiales, fenómeno conocido como eutrofización.

f. Sólidos Totales en suspensión

Miden la concentración los minerales sales, cloruros, metales, orgánicos y otros contaminantes disueltos en el agua. Esto se obtiene cuando se vierte agua a través de un filtro previamente pesado, las partículas que quedan una vez que el filtro se seca se clasifican como (SDS). Cantidades elevadas en lagos, embalses, ríos y arroyos pueden tener efectos nocivos para el sistema ecológico.

Se consideran Sólidos Disueltos Totales (SDT) a la sumatoria de los sólidos disueltos en el agua. Estos componentes varían y en su gran mayoría siguen siendo desconocidos, ya que se trata de la suma de metales, minerales y sales presentes en el agua, entre los cuales predominan los compuestos de calcio y sodio, así como el magnesio y docenas de otros solubles que pueden estar presentes (Williams, 2010). Los valores de los Sólidos Disueltos Totales afecta la conductividad del agua y está relacionado con la corrosión, la eficiencia química y la claridad del agua.

MATERIAL Y MÉTODOS

La presente investigación se ejecutó en el Parque Regional Lomas de Arena. La toma de muestras de agua y el procesamiento de las mismas se realizó

en el Laboratorio de Microbiología Ambiental de la Carrera de Biología de la Facultad de Ciencias Agrícolas, Universidad Autónoma Gabriel René Moreno, ubicado en el Kilometro 9 al norte. Este se constituye en el laboratorio de referencia sobre análisis microbiológicos de agua.

a. Medios de cultivo: Caldo Lauril Triptosa, Caldo Bilis Verde Brillante, Caldo EC, agar Endo , Agar MFC Agar EC.

b. Reactivos: Sulfato de zinc, formol, éter, alcohol, colorante para tinción Gram.

c. Equipos y otros reactivos: Termómetro, Peachímetro, Conductímetro, Macrocentrífuga, Autoclaves, Estufas de incubación, Estufa de esterilización, Baño María, Balanzas, Microscopio, Maleta portátil para análisis químicos: Nitratos, Fosfatos y Sulfatos en el laboratorio LIMAB y Análisis químicos realizados en UTALAB.( Unidad Técnica de Apoyo a los Laboratorios U.A.G.R.M.)

Medotologia.

Para el Diseño Metodológico de la investigación se consideran los aspectos:

a. Area de estudio

Ubicación geográfica: Parque Regional Lomas de Arena en el Departamento de Santa Cruz-Bolivia. El tipo de investigación es prospectivo mediante la toma de muestras y análisis realizados en los meses de mayo a septiembre de 2023.

Figura 1. Ubicación puntos de muestreo del Parque Regional Lomas de Arena (Google Earth)

Se seleccionaron cinco puntos de muestreo de acuerdo a la distribución de los acuíferos, dos en la entrada y salida del rio/ quebrada Chore-Chore, y tres en las pozas de recreación permanentes y temporales (Figura 1. Mapa de ubicación de puntos de muestreo). Cabe mencionar que los puntos tres y cinco inicialmente considerados para detectar posibles impactos por fuentes externas de contaminación se encontraban sin agua disponible para la toma de muestras. Por lo tanto, en un primer muestreo solamente se tomaron y analizaron tres muestras.

Toma de muestras

Para obtener el Indice de Calidad de Aguas (ICA) se requiere tres muestreos realizados en los meses de mayo, junio y julio con la repetición de las muestras que tienen como finalidad comparar los resultados en diferentes meses que se realizó el estudio y verificar su cumplimiento con las normativas nacionales. Se tomaron las muestras de acuerdo procedimientos establecidos en la Ley de Medio Ambiente 1333 (1993), su Reglamentación en Materia de Contaminación Hídrica (1995) y las normativas de Métodos de Aguas Potables y Residuales de APHA, AWWA, WPCF, (2001). Se tomaron en cuenta parámetros físico químicos básicos in situ como Temperatura, pH, y Conductividad registrando debidamente en las planillas de muestreo. Para los análisis químicos y microbiológicos, las muestras se transportaron en conservadoras manteniendo temperaturas de 4ºC con el debido etiquetado y registro de los datos tomados en los puntos de muestreo. Las muestras de agua fueron procesadas siguiendo la metodología establecida en Métodos Normalizados de Aguas Potables y Residuales de APHA, AWWA, WPCF (2001) para los siguientes parámetros, de acuerdo a la detección y/o cuantificación de los principales bioindicadores de contaminación tanto para aguas potables como para aguas superficiales Coliformes Totales, Coliformes Fecales y Parásitos.

Determinación de parámetros químicos. Se consideran como resultados complementarios para medir los niveles de eutrofización y determinar los Índices de Calidad del cuerpo de agua de acuerdo a metodología propuesta por la CWQI que se proponen como los más adecuados para aguas recreacionales superficiales, obteniéndose los valores de los siguientes parámetros químicos: Demanda Bioquímica de Oxigeno, (DBO5), Demanda Química de Oxigeno (DQO), Oxígeno Disuelto (OD), Sólidos en Suspensión, así como parámetros de Fosfatos, Nitratos y Sulfatos mediante kits comerciales.

Determinación indice calidad agua (CWQI). Para obtener el indice de calidad de aguas de acuerdo a la Canadian Water Quality Index, modificado por Brown, se consideran parámetros que pueden variar según el índice que se quiera utilizar. Estos índices permiten evaluar la calidad ambiental y los usos admitidos para el agua de ríos, lagos y lagunas. En este caso se obtiene un único valor numérico a partir de la ponderación de 9 parámetros determinados en el presente estudio como ser Oxígeno Disuelto, Demanda Bioquímica de Oxigeno, Demanda Química de Oxígeno, Coliformes Totales / Coliformes Fecales, pH, Nitratos, Fosfatos, Desviación de la Temperatura y Sólidos en suspensión

Determinación temporal de pérdida de agua en el Parque Regional Lomas de Arena. La fuente de alimentación de las lagunas es agua de lluvia que alcanza precipitaciones variables en diferentes épocas del año. Para esto se realizó el estudio retrospectivo de la pérdida de agua en los últimos años mediante Mapas de Posicionamiento Geográfico y el programa de Arcgis Pro.

RESULTADOS

Se realizaron cuatro muestreos en los meses de mayo, junio, julio y septiembre, con un total de 13 muestras analizadas. En el primer muestreo realizado en el mes de mayo, se ubicaron los puntos de muestreo referenciados en el mapa por imágenes satelitales de los cuerpos de aguas seleccionados por el especialista en el tema. (Figura 1). Una vez realizado el reconocimiento en el sitio se procedió a la toma de muestras las cuales fueron procesadas en el Laboratorio de Microbiología Ambiental. De los cinco puntos seleccionados, en dos de ellos no se recolectó la muestra por no tener agua disponible, mostrando un claro proceso de pérdida de agua en lugares donde en años anteriores presentaban un flujo normal. Los análisis físico-químicos de temperatura, pH, Conductividad, se realizaron in situ; Solidos suspendidos, DBO5, DQO, Nitratos en el Laboratorio de procesos químicos de la U.A.G.R.M. y el Laboratorio de Microbiología Ambiental.

En general, parámetros como Temperatura y pH en los muestreos realizados y en las muestras analizadas, se encuentran dentro de los límites permisibles de acuerdo al Reglamento en Materia de Contaminación Hídrica de la Ley del medio Ambiente Nº 1333 de Bolivia, lo que demuestra condiciones ambientales sin impacto físico alguno.

Evaluación calidad microbiológica del agua en Parque Regional “Lomas de Arena”

En el segundo muestreo realizado el 9 de junio, se incrementó el número de muestras de las lagunas internas del Parque que se consideran más recreacionales en épocas de verano. El tercer muestreo se realizó el 07 de julio considerando los cinco puntos previamente seleccionados. El cuarto

muestreo se realizó el 9 de septiembre con todos los cuerpos de agua completamente secos y, por tanto, no se pudo colectar muestras de agua para su análisis, al igual que los meses consecutivos de octubre y noviembre, mostrándose los resultados en tablas 1 a 5.

Tabla 1. Valores de parámetros Físico-Químicos, Microbiológicos en los muestreos de la Quebrada Chore-Chore, Ingreso Parque Regional Lomas de Arena (Muestra 1)

Parámetros

Muestreo 1 Mayo 2023

Muestreo 2 Junio 2023

1 DBO5 < 2 mg/L - < 4,0

2

3

4

5

6

7

8

9

11

12

Muestreo 3 Julio 2023

13 PARÁSITOS < 1 Ausencia Ausencia Ascaris lumbricoides

Estudios realizados por Von Jhon (2006) reportan valores de 100 Coliformes Totales como NMP/100 mL, en verano que presentan temperaturas de 16ªC, sobrepasando los límites para calidad de agua en Chile. Como cita Sardi, et al., en aguas recreacionales entrar en contacto con aguas de mala calidad microbiológica se constituye en una factor de riesgo que puede desencadenar una enfermedad, siendo el término calidad da agua relativo y sólo adquiere relevancia cuando se relaciona con su uso (potable de consumo humano, recreacional, actividades industriales, energéticas).

La Organización Mundial de la Salud (OMS) y la Organización Panamericana de la salud (OPS) establecen valores para la calidad de agua recreacional de 2.000 microrganismos/100mL expresado como Número Más Probable (NMP) para Coliformes Totales y de hasta 1.000 microorganismos/100 mL para Coliformes fecales. Anteriores estudios de aguas de las lagunas (Cuellar et al.) reportan valores que van de 2,3 E+03 a 4,6 E+04, en el mes de diciembre, lo que coincidiría con los valores obtenidos.

Las lagunas recreacionales son requeridas por turistas nacionales y extranjeros en diversas épocas de año al encontrarse promocionadas como sitios de actividad turística por la Gobernación del Departamento de Santa Cruz, sin embrago, muestran cierto grado de Eutrofización por las cargas orgánicas y niveles elevados de nitratos y presencia abundante de algas. (Tabla 2).

Tabla 2. Valores de parámetros en los muestreos de la laguna principal zona este-Parque Regional Lomas de Arena (Muestra 2)

Parámetros

1

3

5

6

7

9

Límites permisibles Ley 1333

Muestreo 1 Mayo 2023

Muestreo 2 Junio 2023

Muestreo 3 Julio 2023

13 PARÁSITOS < 1 Ausencia Ausencia Ausencia

La salida de agua de la quebrada Chore-Chore refleja valores mayores en cargas orgánicas, presencia elevada de nitratos y de Coliforme Totales y fecales.

(Tabla 3) Este punto de muestreo se encuentra en un área de asentamientos humanos a la largo de la ribera.

Tabla 3. Valores de parámetros en los muestreos de la salida Quebrada Chore-Chore (Puente) Parque Regional Lomas de Arena (Muestra 3) Parámetros Límites

Muestreo 1 Mayo 2023

Muestreo 2 Junio 2023

Muestreo 3 Julio 2023

Aguas que presentan grado de Eutrofización con valores de 161 ug/L de fosfatos así como valores de Nitratos de 177ug/L. que superan las normativas del país (Von Johnn, 2006). La reglamentación en Bolivia establece valores de acuerdo a la siguiente tabla basada en los límites del Reglamento en Recursos hídricos.

Milenka

Evaluación calidad microbiológica del agua en Parque Regional “Lomas de Arena”

Tabla 4. Valores de parámetros en los muestreos de la laguna oeste -Parque Regional Lomas de Arena (Muestra 4)

Parámetros Límites permisibles Ley 1333

Muestreo 1 Mayo 2023 *No se tomo muestra

Muestreo 2 Junio 2023

Muestreo 3 Julio 2023

1

2

3

4

5

6

7

8

9

10

11

12

13 PARÁSITOS < 1 - Ausencia Ausencia

Otras lagunas que se presentan en las dunas también presentan valores de mayores cargas orgánicas, nitratos y Coliformes totales y fecales, los cuales sobrepasan los límites establecidos en la Ley de Medio Ambiente 1333 (Tabla 5).

Lagunas recreacionales en el departamento de Santa Cruz como Palmira y Capiguara, concurridas por la población, presentan valores de contaminación microbiológica entre 1,1 E+03y 3,6 E+02 (Yabari 2012).

Tabla 5. Valores de parámetros en los muestreos de la laguna norte -Parque Regional Lomas de Arena (Muestra 5)

Parámetros Lìmites permisibles Ley 1333

Muestreo 1 Mayo 2023 *No se tomo muestra

Muestreo 2 Junio 2023

Muestreo 3 Julio 2023

1

5

6 TEMPERATURA +-3ºC cuerpo receptor

7 PH

8

9

11

12

13 PARÁSITOS < 1 - Ausencia Ausencia

En general, los valores del Oxígeno Disuelto varían (OD) entre 2,5 mg/L y 2,9 mg/L, lo que refleja que existe una oxigenación baja a mediana en estos cuerpos de agua. Básicamente, se consideran estos valores adecuados para aguas con poca profundidad como los que se presentan en la quebrada y lagunas del Parque Regional Lomas de Arena.

Con relación a los micronutrientes, el parámetro de fosfato es un indicador de probable fuente de contaminación por actividad antropogénica, se

detectan valores mayores tanto en el ingreso como en la salida de la Quebrada Chore-Chore entre 4,0 mg/L como mínimo y 7,62 mg/L como máximo, en las lagunas se reportan concentraciones menores a 0,15 mg/L, sugiriendo un claro proceso de eutrofización.

Los sulfatos se encuentran con valores entre 1,0 y 6,0 mg/L y dentro de los límites de valores máximos admisibles de acuerdo a la Ley de Medio Ambiente 1333.

El Reglamento en Materia de Contaminación

Hídrica en la tabla de valores máximos admisibles

(Anexo A1) establece en los Nitratos como máximo 20 mg/L para la categoría de clase A para aguas superficiales con fines recreacionales. La mayoría de los análisis de aguas presenta concentraciones superiores a los 20 mg/L o próximos con mínimo de 14,8 mg/L y máximo de 29,9mg/L. El muestreo del mes de junio es el que presenta mayor concentración.

Respecto a la Demanda Biológica de Oxigeno o DBO5 presenta mayor variabilidad especialmente en el mes de junio sobrepasando el límite establecido de 2 mg/L en el Reglamento en Materia de Contaminación Hídrica para aguas clase A, con concentraciones entre < 4,0 y máximo de 9,0 mg/L al igual que la Demanda Química de Oxigeno (DQO) valores límites de < 5,0 mg/L las cuales presentan valores entre 5,0 y 20,5 mg/L. Esto indica que existe cierto nivel de eutrofización reflejado por la concentración de la materia orgánica presente junto a la mayor concentración de nitratos y fosfatos.

Sólidos en Suspensión establecen valores de hasta 1.000 mg /L. El agua de las lagunas presentan valores bastante mínimos (muestras 2, 4 y 5). En cuanto a las muestras del Chore-Chore, los valores son mayores entre 115 mg/L y 135 mg/L. que se relacionan con los datos de conductividad, (muestras 1 y 3 que corresponden a Chore-Chore) 235,6 mg/L mínimo y 270,4 mg/L como máximo.

Respecto al componente microbiológico, el Reglamento en Materia de Contaminación Hídrica establece valores entre 5 y 50 como NMP/100 mL en un 80 % de las muestras para aguas clase A. Un 95 % de las muestras analizadas presentan valores entre 1.500 y 9.300 Coliformes Fecales, este último valor en la salida de la Quebrada Chore-Chore que se encuentra colindante al Parque Lomas de Arena.

Se analizaron exhaustivamente las muestras para la detección de parásitos patógenos en agua, detectándose sólo una especie de Ascaris lumbricoides en la Quebrada de ingreso Chore-Chore. La normativa establece valores de parásitos menor a uno y ausencia en otros cuerpos de agua de las lagunas.

Los resultados se analizaron para obtener el Índice de calidad ICA. Para el presente estudio se considerara el índice Canadiense CWQI (Canadian Water Quality Index), herramienta que permite identificar la calidad de agua superficial o subterráneo en un determinado tiempo, (Tabla 6). El ICA incorpora datos de múltiples parámetros físicos, químicos y biológicos en una ecuación matemática, mediante la cual se evalúa un cuerpo de agua (Yogendra &Puttaiah, 2008). En este caso se considerarán 10 parámetros de Temperatura, pH, Oxígeno Disuelto, DBO5, DQO, Conductividad, Sólidos Totales, Nitratos, Fosfatos y Coliformes Fecales (de acuerdo a Rodríguez et al., 2017 que cita a Fernández & Solano, 2005). El índice se basa en la consecución de objetivos para proteger los usos de un cuerpo de agua y dependiendo de las sustancias, el objetivo se expresa en forma diferente; cuando son contaminantes, el valor se expresa como el límite máximo permitido en el cuerpo de agua; cuando son sustancias esenciales (como el Oxígeno Disuelto), el objetivo se expresa como el valor mínimo que debe contener la fórmula:

donde

F1: Porcentaje de parámetros que exceden la norma (alcance).

F2: Porcentaje de pruebas individuales de cada parámetro que excede la norma (frecuencia).

F3: magnitud en la que excede la norma cada parámetro que no cumple.

Para este caso, las normas de referencia que se consideran son las que se encuentran establecidas en la Ley de Medio Ambiente 1333 en su Anexo A1 que establece límites de acuerdo a la clasificación por su aptitud de uso de los cuerpos de agua. Estos valores son comparados (Fernández & Solano 2005).

Evaluación calidad microbiológica del agua en Parque Regional “Lomas de Arena”

Tabla 6. Clasificación del ICA propuesto por Brown

Valor Calidad agua Color

91-100 Excelente

71-90 Buena

51-70 Regular

26-50 Mala

0-25 pesima

El ICA se considera óptimo o excelente cuando alcanza valores de 91 a 100 y va disminuyendo en la medida que aumenta la contaminación en el cuerpo de agua.

Existen diferentes maneras de obtener el ICA como se presenta en la revisión realizada por Torrez et al., 2009, que analizan diferentes autores que consideran parámetros variados para llegar a un sistema de clasificación similar, con variaciones en los valores numéricos. De acuerdo a Rodríguez et al., 2017 las metodologías son: ICA UWQI, (Universal Water Quality Index) e ICA CWQI (Canadian Water Quality Index) siendo la primera ideal para evaluar rápidamente algún uso específico del agua, pues permite inmediatez en el uso de decisiones y la CWQI ideal para estudios de evaluación espacio temporal.

En base a los cálculos efectuados de los nueve parámetros seleccionados, se obtuvieron los valores siguientes (Tabla 7):

salida)

Lugar

Valor ICA Condición Interpretación

Quebrada Chore-Chore - ingreso (muestra 1) 48

Mala

Laguna principal este 2 33 Mala

Laguna oeste 4 49 Mala

Laguna norte 5 55 Regular

Quebrada Chore-Chore salida puente (muestra 3) 46

Fuente: Elaboración propia.

En el cuarto muestreo realizado en el mes de septiembre, se detecta una total falta de agua en todos los cuerpos de agua del Parque Regional Lomas de Arena, demostrándose que la pérdida de

Mala

este recursos es total en época de sequía, con una pérdida gradual en los diferentes años de estudio retrospectivo con relación a la variación de las precipitaciones (Figura 2).

2. Comportamiento precipitación, pérdida de agua en área de estudio

Tabla 7. Índices de Calidad del Agua (CWQI) para cuerpos de aguas de lagunas y quebrada Chore-Chore (Ingreso y
Figura

La pérdida de agua es una preocupación a nivel mundial de acuerdo a Unterladtatter, 2023, “Las consecuencias del cambio climático incluyen ahora, entre otros eventos y calamidades, a sequías intensas, escasez de agua, incendios graves, aumento del nivel del mar, inundaciones, deshielo de los glaciares andinos, de los polos, tormentas catastróficas y disminución de la biodiversidad. No existe una política académica nacional explícita de apoyar proyectos de investigación sobre el cambio climático. Lo cierto es que la trascendencia del tema a nivel mundial enfatiza la necesidad de realizar una gran cantidad de trabajos que aborden el problema desde diferentes disciplinas, una tarea pendiente tanto para las universidades públicas como privadas. En mayor o menor medida todos los países del mundo sufren estos cambios drásticos en sus patrones históricos de lluvia y temperaturas (Figura 3).

De acuerdo a publicación de la revista Agua América Latina (Keseberg G., 2017) “Bolivia

atraviesa la peor sequía en 25 años, llegando incluso a ser emergencia nacional. Miles de campesinos han perdido cosechas enteras y han tenido que migrar o están endeudados. Bolivia, cuna de la papa (patata), ahora la tiene que importar de fuera. Lo mismo con el maíz y otros alimentos. Según la Cámara Agropecuaria del Oriente (CAO), en Santa Cruz, las pérdidas agrarias en 2016 llegan a alrededor de 500 millones de euros. La escasez de lluvia y agua potable afectan en mayor o menor grado a dos tercios de Bolivia, si no al país entero, reporta la prensa nacional. No sólo en el campo, sino también en las ciudades. Regiones como Cochabamba y el Chaco sufren de falta de agua de manera endémica. Alrededor de 100 barrios de La Paz, sede del Gobierno, viven hace meses sin agua o con estricto racionamiento. En la actualidad, las principales fuentes de conflictos identificadas en Bolivia son las presiones sobre territorios indígenas, el uso, acceso y control del agua, el desarrollo de infraestructura vial (Herz, 2013 citado por Maillard et al.)

3. Comparación Precipitación 2013 y 2023 en área del Parque Regional Lomas de Arena mapa de área de estudio a) 2013 b) 2023

En las Figuras 2 y 3 se compara el comportamiento del estado actual de los ciclos de agua en la zona de estudio, con una notable reducción de las precipitaciones, dado que los cuerpos de agua del Parque Regional Lomas de Arena se abastecen principalmente por agua de lluvia. Se presenta esta pérdida toral en el mes de septiembre y que continúa hasta el mes de noviembre del 2023 (Figura 4). Comparando la situación con lagunas

del Departamento de Santa Cruz como la Laguna Concepción ubicada en la Chiquitania, el estudio realizado por Maillard et al. (2018) indica que “se pudo determinar que el espejo de agua entre 1985 y 2015 se ha reducido al 56,8%”. Estas transiciones se refieren a cambios en el estado desde el principio hasta el final de la serie de tiempo, pero, no describen lo que sucedió en los años intermedios.

Figura

Evaluación calidad microbiológica del agua en Parque Regional “Lomas de Arena”

En el análisis de fluctuaciones de estiaje y llenado de la laguna, se estableció que en el año 1985 este humedal presentaba una superficie de 5.308 ha. Desde entonces han ocurrido eventos de reducción del cuerpo de agua. El más severo comenzó en 2001, reduciendo la superficie de este humedal en el 2002 a 153 ha y llegándose a secar completamente el 2003. En 2007 presentó un área de solamente 18 ha y en 2009 se llenó nuevamente (2.471 ha), aunque existieron fluctuaciones mensuales considerables entre 2011-2013 para, posteriormente, presentar, mejores niveles en el 2015 (3.864 ha). La Laguna Concepción pudo haber reducido su caudal por pérdida o disminución del aporte de sus afluentes, debido a las desviaciones de su alimentación o continuidad, por la sedimentación, u otros factores aún no identificados como el cambio de uso de suelo a su alrededor.

Por otro lado en el Departamento de La Paz, el lago Poopó con una extensión de 2.337 Km2 desaparece en al año 2015, afectando a todas las poblaciones aledañas, visualizándose un futuro poco alentador para los cuerpos de agua del resto de los departamentos de Bolivia.

CONCLUSIONES

Se determina que la calidad de los cuerpos de agua de las lagunas temporales localizadas en diferentes puntos recreacionales del Parque Regional Lomas de Arena, meses de mayo a julio, es de regular a mala calidad obteniéndose Índice de Calidad de Aguas ICA 33 (mala) a ICA 55 (regular), con presencia de parásitos en la quebrada Chore-Chore perteneciente a la especie de Ascaris lumbricoides. Se observa una tendencia a la eutrofización con elevada cantidad de algas, nitratos y bacterias del grupo Coliformes Totales y fecales, con valores por fuera de los límites permisibles en la Ley de Medio Ambiente y su Reglamento en Materia de Recursos Hídricos (Anexo

A1), considerándose como clases tipo A ya que se tratan de aguas recreacionales.

A partir del mes de septiembre se observa ausencia de agua en los cinco puntos de muestreo, demostrándose pérdida total de este recurso que se ve acompañado por las precipitaciones bajas en los meses mencionados, por pérdida de agua en la mayoría de los departamentos de Bolivia, las provincias del departamento de Santa Cruz e incluso dentro del área urbana que alcanza este parque regional; así como el calentamiento global que está atravesando la Tierra, conjuntamente el fenómeno del el Niño, con alteraciones de temperaturas extremas y sequias. La precipitación en los puntos de muestreo es escasa en la cuenca y la precipitación histórica se reduce cerca de un 40 % en los últimos cuatro años.

RECOMENDACIONES

Se debe contar con políticas y reglamentaciones específicas para aguas recreacionales que son utilizadas para la promoción de sitios turísticos en el Departamento de Santa Cruz y a nivel nacional, ya que no se ha cumplido con la Ley de Medio Ambiente 1333 en cuanto a la clasificación de los cuerpos de agua en Bolivia.

Las autoridades responsables del monitoreo y control de Medio Ambiente (Gobernación, Municipios, Alcaldías, OTB) mediante las instancias correspondientes, deben velar y tomar acciones para la protección de los recursos hídricos que se ven afectados por el cambio climático y las acciones antropogenicas debido al crecimiento demográfico en la región.

Figura 4. Comparación de lagunas en Parque Regional Lomas de Arena

Milenka Velasco, Consuelo Mendoza, Angélica Rocio Giacoman, Julio César Magne y Melanie Blanca Cuéllar

REFERENCIAS

APHA, AWWA, WPCF. (2001). Métodos Normalizados para el Análisis de Aguas Potable y Residuales. Madrid, España: 17º edición, Ediciones Díaz de Santos.

Brock, Madigan M.; Marlinko, J. ; Parker, J.(2005). Biología de los Microorganismos. Madrid, España: 10º edición, Editorial Pearson, Prentice Hall.

Carvajal, G. (2015). Base de datos de la calidad de agua de las principales vertientes de la ciudad de La Paz. Revista del instituto de Ingeniería Sanitaria. La Paz, Bolivia.

Collins, C. H.; Lyne M. Patricia. (1997). Métodos Microbiológicos. Editorial Acribia, S.A, 5 º Edición, Zaragoza, España, Pag.524.

Fundación Natura Bolivia, (2006). Evaluación del manejo integral de la cuenca del rìo Pirai e identificación de servicios ambientales hídricos, Informe final. Ingeniería del agua SRL. Santa Cruz, Bolivia.

GADSC (Gobierno Autónomo Departamental de Santa Cruz). 2011. Delimitación y codificación de las unidades hidrográficas del departamento de Santa Cruz. Servicio de Cuencas – SEARPI, Santa Cruz. Edición preliminar. 70 p.

Guías de la Organización Mundial de la salud para ambientes seguros en aguas recreativas (2022).

Google Earth (2020) Santa Cruz de la Sierra, Bolivia. Imagen Digital Globe.

IBNORCA Norma Boliviana 512, agua potable requisitos, ed. 2010 La Paz, Bolivia.

IBNORCA Norma Boliviana 496 toma de muestras Ed. 2005. La Paz, Bolivia.

Informe de Auditoría Ambiental K2/AP8/F10. (2010). Informe de auditoría sobre los resultados de gestión asociados a la variación de la Cuenca del rio Pirai, Gobierno Autónomo Departamental de Santa Cruz- Bolivia.

Keseberg Gabriela (2017) Agua, América Latina. https://www.esglobal.org/bolivia-agua-unarelacion-complicada 22 /03/ 2017.

Ley de Medio Ambiente Nº 1333 (1993). Reglamento en Materia de Contaminación Hídrica. (1995) Decreto Supremo Nº 24176 La Paz, Bolivia.

Maillard O. et al., Riesgos ambientales en las unidades hidrográficas de las serranías chiquitanas, departamento de Santa Cruz, Bolivia. versión

impresa ISSN 1605-2528 versión On-line ISSN 2075-5023 Ecología en Bolivia vol.54 no.2 La Paz set. 2019 Aceptado: 25.06.19.http://www. scielo.org.bo/scielo.php?script=sci_arttext&pid =S1605-25282019000200003.

Prescott L. M. /Harley J.P., Klein .D.A. (2000). Student Guide to the telecourse An Introduction to Microbiology Fourth edition Ed. Mc Graw Hill. España.

Rodriguez et al., (2017). Determinación del índice de calidad de agua para el sector occidental del humedal Torca Guaymaral empleando las metodologías UWQI, y CWQI. Revista Producción limpia julio a diciembre de 2017. Vol 12 Nº2 Pag 35-49. Bogotá, Colombia.

Romero, S. et al., (2010). Calidad del agua para actividades recreativas del rio Hardy en la Región Fronteriza México - Estados Unidos. Revista Información Tecnológica Vol 21(5) 69-78 aceptada abril 2010.

Sardi L. et al., (2016). Calidad del agua para usos recreativos desde las perspectivas de la seguridad e higiene laboral y la salud pública. Estudio de caso. Escuela superior Técnica Facultad Ingeniería del ejército, Universidad de la defensa Nacional. Argentina.

Torrez et al., (2009). Índices de calidad de agua en fuentes superficiales en la producción de agua para consumo humano. Una revisión crítica. Revista Ingeniería, Universidad de Medellin. Vol 8, Nº 15 julio a diciembre 2009 150 pg. Medellin, Colombia.

Von Johnn, S, B . (2006). Tesis de grado Calidad bacteriana del agua del rio LLollehue de la X región de Chile, Universidad Austral de Chile. Valdivia, Chile.

Yavari Ribera F. Caracterización microbiológica y físico-química de dos lagunas recreativas en el departamento de Santa Cruz (Palmira y Capiguara) 2011-2012, Tesis de licenciatura U.A.G.R.M. Santa Cruz, Bolivia. https://es.wikipedia.org/wiki/ Parque_regional_Lomas_de_Arena.

Unterladstaetter Roberto. (2023) https://www.cfb. org.bo/noticias/medioambiente/santa-cruz-y-elcambio-climatico.html, Cámara forestal de Bolivia. Publicado 13 /07/ 2023.

Turn static files into dynamic content formats.

Create a flipbook
Issuu converts static files into: digital portfolios, online yearbooks, online catalogs, digital photo albums and more. Sign up and create your flipbook.