Skip to main content

Revista TSIA Volumen 8 No. 1 – UDLAP

Page 1


Editorial

Una de las piezas más importantes en la investigación es la difusión a través de documentos científicos que permitan dar a conocer las aplicaciones, tendencias y puntos de vista de un tema. En los programas de posgrado en Ciencia de Alimentos de la Universidad de las Américas Puebla, a los alumnos de Maestría y Doctorado se les alienta a fortalecer la habilidad de la escritura científica mediante la elaboración de artículos de investigación o de revisión. En los artículos realizados por los alumnos nos muestran lo más relevante o actual de los temas que se trabajan en el departamento de Ingeniería Química, Alimentos y Ambiental.

Otro factor importante de mencionar, es la tendencia global que actualmente se observa en las investigaciones científicas; en donde se está trabajando de manera multidisciplinaria permitiendo la interacción de diversas áreas del conocimiento con el fin de utilizar herramientas y técnicas que hagan más eficaz y eficiente la resolución de problemáticas específicas, o contar con una visión más real sobre un tema en partícular. Con la apertura del posgrado en ciencia de alimentos a otras áreas que no son de formación ingenieril o ciencias biológicas, se está teniendo actualmente un enriquecimiento en los temas de investigación y en la forma de abordarlos. Resultado de ello, es el volumen que tenemos en nuestras manos, en donde se abordan temas tanto de carácter ingenieril, como de nutrición, en donde el objetivo central, es el mayor conocimiento de los alimentos y su relación con la química, con la nutrición, con la inocuidad, así como con diversos procesos de conservación y transformación de alimentos. La calidad que reflejan los trabajos presentados en este volumen de la revista Temas Selectos de Ingeniería de Alimentos, se debe en gran medida al esfuerzo y esmero que cada uno de los estudiantes dedicaron a su contribución, atendiendo y aprendiendo de los consejos que sus Directores de tesis y editores les otorgaron. Como miembro del Comité Editorial aprovecho la ocasión para reconocer la gran labor que realizó cada uno de los editores al orientar y asesorar a los alumnos para que una vez más, los trabajos elaborados tengan el nivel de calidad que caracteriza a la revista. Para mí es un honor el poderles presentar este ejemplar, el cuál espero sea de su interés.

Arlette Santacruz López Investigadora

Departamento de Ingeniería Química, Alimentos y Ambiental Universidad de las Américas Puebla

Temas Selectos de Ingeniería de Alimentos

Universidad de las Américas Puebla

Publicación Semestral Volumen 8, número 1 (enero – mayo 2014)

EDITORA RESPONSABLE

María Eugenia Bárcenas Pozos

CONSEJO EDITORIAL

Emma Mani López

Arlette Santacruz López

María Teresa Jiménez Munguía

Fidel Tomás Vergara Balderas

Certificado de reserva de derechos 04-2010-080615025900-102

Certificado de licitud de título y contenido 15430

DOMICILIO:

Fundación Universidad de las Américas, Puebla

Ex hacienda Sta. Catarina Mártir S/N

San Andrés Cholula, Puebla.

C.P. 72810, México

Teléfono: 222 229 2126

DISTRIBUIDO POR:

Departamento de Ingeniería Química, Alimentos y Ambiental

Fundación Universidad de las Américas, Puebla

IMPRESIÓN:

Talleres gráficos

Universidad de las Amércias Puebla

Ex hacienda Sta. Catarina Mártir S/N

San Andrés Cholula, Puebla. C.P. 72810, México

Contenido

Volumen 8 / No. 1 Enero – Mayo 2014

EDITORIAL

ARTÍCULOS DE REVISIÓN

Productos lácteos funcionales, fortificados y sus beneficios en la salud humana

E. Santillán- Urquiza*, M.A. Méndez-Rojas y J. F. Vélez Ruiz

Líquidos iónicos: una alternativa “verde” para procesos de extracción en la industria de alimentos

A. Franco-Vega*, E. Palou, N. Ramírez-Corona y A. López-Malo

Tratamientos cuarentenarios no químicos como alternativa en frutos cítricos

D. B. Queb-González* y A. López-Malo

Calidad del agua y su relación con alimentos: aplicación de procesos Fenton y tipo Fenton en la eliminación de contaminantes en agua

V. Escalante-Pozos* y E. R. Bandala

El tamarillo (Cyphomandra betacea) y su importancia como fuente de compuestos antioxidantes

G. Preciado-Iñiga* y M. E. Bárcenas-Pozos

Métodos para la inactivación de esporas en alimentos

L. C. Huesca-Espitia*, J.L. Sánchez-Salas y E. R. Bandala

Métodos de evaluación de la actividad antimicrobiana y de determinación de los componentes químicos de los aceites esenciales

F. Reyes-Jurado*, E. Palou y A. López-Malo

El grano de trigo: características generales y algunas problemáticas y soluciones a su almacenamiento

Z. N. Juárez*, M. E. Bárcenas-Pozos y L. R. Hernández

Harinas de frutas y/o leguminosas y su combinación con harina de trigo

M. P. Torres-González*, M. T. Jiménez-Munguía y M. E. Bárcenas-Pozos

Productos lácteos funcionales, fortificados y sus beneficios en la salud humana

E. Santillán- Urquiza1*, M.A. Méndez-Rojas2 y J. F. Vélez Ruiz1

1Departamento de Ingeniería Química, Alimentos y Ambiental, Universidad de las Américas Puebla.

Ex hacienda Sta. Catarina Mártir S/N, San Andrés Cholula, Puebla. C.P.72810. México.

2Departamento de Ciencias Químico-Biológicas, Universidad de las Américas Puebla.

Ex hacienda Sta. Catarina Mártir S/N, San Andrés Cholula, Puebla. C.P.72810. México.

RESUMEN

Durante la última década, el enfoque de los consumidores de alimentos saludables ha cambiado drásticamente, ya que anteriormente se desconocían los beneficios que otorgan algunos ingredientes; por ejemplo, el empleo de bacterias probióticas adicionadas a los alimentos, causaba desconfianza en los consumidores por falta de información. Por otro lado, el aumento de enfermedades y las deficiencias nutricionales ha obligado a la gente a encontrar medios preventivos y eficientes, como el consumo de productos lácteos fortificados para proteger su salud. Este hecho ha dado lugar a un aumento en el interés de los consumidores sobre los alimentos con un valor agregado. Debido a esto los productos lácteos ocupan un espacio significativo y creciente del mercado de los alimentos funcionales y fortificados. En esta revisión se presenta una visión general del desarrollo de alimentos de origen lácteo tanto funcionales como fortificados y enriquecidos que representan un beneficio para la salud del consumidor. Palabras clave: productos lácteos, funcionales, fortificados, salud.

ABSTRACT

During the last decade, the focus of health food consumers has changed dramatically since the benefits previously granted of some ingredients were unknown; for example, the use of probiotic bacteria added to food, caused distrust from the consumers by lack of information. On the other hand, increased diseases and nutritional deficiencies have forced people to find preventive and efficient ways, as the consumption of fortified dairy products to protect their health. This has led to an increase in consumer interest on foods with added value. Dairy products occupy a significant and growing market space as functional and fortified foods. An overview of the development of functional, fortified and enriched dairy foods is presented in this review, as well as the benefit for consumers health.

Keywords: dairy products, functional, fortified, health.

Programa de Doctorado en Ciencia de Alimentos

Tel.: +52 222 229 2126

Fax: +52 222 229 2727

Dirección electrónica: esmeralda.santillanua@udlap.mx

Temas Selectos de Ingeniería de Alimentos 8 - 1 (2014): 5-14

Introducción

En la actualidad, los consumidores están cada vez más conscientes de la relación existente entre la dieta y la salud, lo que ha impulsado el desarrollo y comercialización de alimentos con propiedades beneficiosas. Por su parte, los alimentos funcionales son aquellos que contienen componentes biológicamente activos, ofrecen beneficios para la salud y/o reducen el riesgo de sufrir enfermedades. Este concepto nació en Japón en los años ochenta, debido a la necesidad de garantizar una mejor calidad de vida debido a los elevados gastos sanitarios ocasionados por el aumento de la longevidad de la población.

Dentro del mercado de los alimentos funcionales en continua expansión, el mercado de los alimentos lácteos funcionales representa un segmento muy importante (5 billones de dólares en 2003) y en crecimiento (Playne, Bennett y Smithers, 2003).

Por otra parte, la inclusión de ingredientes en el mercado de suplementos en leche y alimentos de base láctea, que incluyen bacterias probióticas, carbohidratos prebióticos y otras fuentes de fibra soluble, ácidos grasos omega-3 entre otros, es cada vez más frecuente.

Los alimentos lácteos fortificados con base en vitaminas y minerales, entre ellos el calcio, magnesio, hierro y zinc, pueden brindar una solución a los problemas de deficiencia nutricional. Un ejemplo de alimentos fortificados son los yogures “Yoplait Calin+” o “Danone Densia” que aportan el 50 % de la ingesta diaria recomendada de calcio por porción, por lo cual pueden ser una fuente importante de calcio para el beneficio de la salud ósea, además de que contiene vitamina D-3 (Vander-Hee et al., 2009). Se puede decir que los productos lácteos fortificados ofrecen una solución potencial a la deficiencia de algunas vitaminas o minerales, mejorando la salud de quien los consume. Como resultado de ello, existe un número creciente de productos lácteos con valor añadido disponibles y dirigidos a cumplir necesidades específicas de grupos que van desde la infancia hasta la edad adulta. En esta revisión se presenta una visión general del desarrollo de alimentos de origen lácteo, funcionales, fortificados y enriquecidos, que representan un beneficio para la salud del consumidor.

Revisión bibliográfica

1. Leche y productos lácteos

La leche de vaca se define como “la secreción limpia y fresca obtenida por el ordeño de vacas sanas, excluyéndose aquella secreción 5 días antes y 15 días después del parto o durante el periodo necesario para que la leche esté libre de calostro con la finalidad de nutrir las crías en su primera fase de vida” (NMX-F-703-COFOCALEC-2004).

Entre sus propiedades físicas, la leche conserva una apariencia opalescente relacionada con el contenido de grasa que se encuentra en suspensión, además de proteínas, sales y minerales en menor proporción. Por otro lado, el color varía desde blanco azulado hasta blanco amarillento dependiendo de la cantidad de grasa. Por ejemplo, la leche descremada es más transparente con un ligero tinte azulado (NOM-091SSA1-1994).

La densidad de la leche depende de su composición y varía entre 1.028 y 1.034 kg/L. Así mismo, el pH se encuentra entre 6.6 - 6.8 siendo ligeramente ácido (Arabbi, 2001).

Valor Calórico (kcal) 69 Minerales (g) 0.72

Calcio (mg) 125

Fósforo (mg) 103 Magnesio (mg) 12 Potasio (mg) 138

Sodio (mg) 58

Hierro (mg) 0.1

Vitamina A (U.I) 158

Vitamina D (U.I) 2

Tiamina (mg) 0.04 Riboflavina (mg) 0.18

Vitamina B6 (mg) 0.035 Ácido Fólico (mcg) 2

Vitamina B12 (mcg) 0.5

Vitamina C (mg) 2

Adaptada de NOM-091-SSA1-1994

Tabla I. Composición de la leche de vaca

Temas Selectos de Ingeniería de Alimentos 8 - 1 (2014): 5-14

Debido a su composición química, la leche se puede describir como un alimento nutritivo y muy completo ya que aporta carbohidratos, lípidos, proteínas, vitaminas y minerales, como se muestra en la tabla I.

Es importante destacar que la mayor producción de leche en el mundo proviene de la vaca, en un porcentaje mucho menor la de búfala y más alejadas la leche de cabra, oveja y camella (Moreno et al., 2013). La leche de estos mamíferos se utiliza como un alimento importante para los seres humanos por su calidad nutricional; sin embargo, cada especie la produce con un perfil nutricional diferente.

Después del periodo natural de lactancia materna, el hombre incorpora progresivamente en su dieta una variedad de alimentos con los que conforma una alimentación completa en nutrientes (Aimutis, 2003). En un plan alimentario completo, la leche de vaca y sus derivados ocupan un lugar muy importante porque aportan proteínas de excelente calidad y son la fuente más importante de calcio (NMX-F-703-COFOCALEC-2004). Además, los derivados lácteos por su elevado consumo representan una parte importante del grupo de las legu-

Tabla II. Tipos de productos lácteos

Producto Variaciones

Leche

Leche fermentada

Leche en polvo

Leche condensada

minosas y alimentos de origen animal, uno de los tres grupos alimenticios, los otros dos incluyen frutas y verduras, cereales y tubérculos.

Los productos lácteos, son los productos fabricados a partir de la leche y/o sus componentes, que puede contener aditivos alimentarios u otros ingredientes autorizados. Existe una gran variedad de productos lácteos disponibles para el consumo humano como son: el yogur, quesos, dulce de leche, leches fermentadas, además de la crema, helado y mantequilla, entre otros (tabla II).

2. Alimentos lácteos fortificados y enriquecidos

Los productos alimenticios fortificados y enriquecidos (adicionados) con suplementos nutricionales como: vitaminas, minerales y grasas especiales, son cada vez más utilizados para mejorar la nutrición en general de quien los consume (Sazawal et al., 2013).

Hoy en día, de acuerdo a la NOM-086-SSA1-1994 encargada de regular los alimentos modificados en su composición incluyendo los productos fortificados y enriquecidos, se establece

Pasteurizada, desnatada normalizada, reconstituida, de larga conservación (uht), enriquecida

Yogur, kumys, dahi, laban, ergo, tarag, ayran, kurut y kéfir

Leche en polvo maternizada

Leche azucarada

Leche evaporada No

Nata

Queso

Nata recombinada, reconstituida, la nata para untar o batir, envasada a presión, fermentada y acidificada

Se conocen más de cien variedades de queso

Mantequilla Ghee (mantequilla clarificada)

Suero

Queso de suero, bebidas a base de suero, bebidas de suero fermentado, pasta de suero y suero en polvo

Adaptada de Stijepić, Durdević- Milosević y Glusac. (2010)

Método de obtención

Por ordeño, dando el tratamiento adecuado en cada caso

Se obtiene de la fermentación de la leche utilizando microorganismos adecuados para llegar a un nivel deseado de acidez

Se obtiene de la deshidratación de la leche y generalmente se presenta en forma de polvo o gránulos

Se obtiene de la eliminación parcial del agua de la leche entera o desnatada. La elaboración prevé el tratamiento térmico y la concentración

Se obtiene de la eliminación parcial del agua de la leche entera o desnatada

Se obtiene descremando o centrifugando la leche

Se obtiene mediante la coagulación de la proteína de la leche (caseína), que se separa del suero

Se obtiene del batido de la leche o nata; en algunos países se obtiene batiendo la leche entera agria. El ghee se obtiene eliminando el agua de la mantequilla

La parte líquida de la leche que queda después de separar la leche cuajada en la fabricación del queso

Temas Selectos de Ingeniería de Alimentos 8 - 1 (2014): 5-14

que sólo se permite utilizar ciertos términos entre ellos se dice que un alimento adicionado es al que se añaden nutrimentos contenidos o no de manera natural en el producto. Un alimento es enriquecido cuando se añaden una o varias vitaminas, minerales o proteínas en concentraciones superiores a las que ya tiene el alimento; se llama alimento fortificado cuando el producto normalmente no contiene tales componentes.

Actualmente se añaden vitaminas y minerales a productos lácteos fermentados y no fermentados para compensar las pérdidas de vitaminas y minerales durante el procesamiento. El calcio, magnesio y hierro son los minerales más comúnmente añadidos a las bebidas con base en leche (Fischer, Kordas, Stoltzfus y Black, 2005). Daly, Brown, Bass, Kukuljan y Nowson (2006) postularon que el consumo de leche enriquecida con calcio y vitamina D-3 es una estrategia costo-efectiva para reducir la pérdida ósea relacionada con la edad, lo que puede reducir el riesgo de sufrir fracturas en los ancianos. Por su parte, Gruenwald (2009) propone la fortificación de la leche baja en grasa con vitamina D-3, debido a que las leches desnatadas son fuentes pobres de esta vitamina que es esencial para la mejora de la absorción de calcio. En la tabla III se muestran las cantidades de vitaminas y minerales que se añaden a productos lácteos adicionados y la ingesta diaria recomendada de dichos ingredientes.

La anemia por deficiencia de hierro es una de las deficiencias nutricionales más críticas en todo el mundo, especialmente en los países subdesarrollados y en vías de desarrollo, de-

bido a sus efectos negativos sobre la salud humana. Debido a ello, una de las estrategias para prevenir y tratar la deficiencia de hierro es la fortificación de alimentos que representa un bajo costo, como alternativa de amplio alcance, además que supone una fácil incorporación a los hábitos alimentarios de la población (Boccio e Iyengar, 2003). Estudios en humanos mostraron que la leche de consumo adicionada con hierro ayuda regularmente a reducir los problemas asociados con la deficiencia de hierro (Silva, Dias, Ferreira, Franceschinib y Costa, 2008). La absorción de hierro parece mejorar por la fermentación, debido a la producción y acumulación de ácido láctico y otros ácidos orgánicos (Silva et al., 2008). Por otro lado, Branca y Rossi (2002) demostraron que Lactobacillus acidophilus aumentó la biodisponibilidad de hierro en leche fermentada probado con modelos animales (ratón) de experimentación. Los minerales tales como el magnesio y selenio son potencialmente útiles en la elaboración de productos lácteos. Por ejemplo, la marca Candia del mercado francés ha introducido al menos dos bebidas con base en leches fortificadas con magnesio (Gruenwald, 2009). Los esfuerzos recientes para mejorar el nivel de selenio en la leche de vaca y oveja con medidas naturales, en lugar de la adición de la selenita han sido exitosos. Por ejemplo, la suplementación de selenio en vacas lecheras y ovejas por medio de inyección o ingestión de una cápsula de selenio dio lugar a un aumento de 20 veces en el nivel de selenio en la leche (Johnson, Meacham y Kruskall, 2003).

La adición de vitaminas y minerales a productos lácteos

Tabla III. Productos lácteos adicionados y las cantidades recomendadas

Vitaminas/minerales

Ingesta diaria recomendada hombres (mg/día)

Ingesta diaria recomendada mujeres (mg/día) Productos fortificados

yogur y leche en polvo

yogur, leche en polvo y queso

yogur y leche en polvo

leche fermentada y yogur

añadida en (mg/100g)

Adaptado de Simova, Ivanov y Simov. (2008)

Temas Selectos de Ingeniería de Alimentos 8 - 1 (2014): 5-14

Tabla IV. Algunos productos lácteos funcionales

Producto Marca

Producto lácteo fermentado Yakult

Producto lácteo fermentado CHAMYTO

Producto lácteo fermentado Actimel

Ingrediente

L. casei Shirota

L. johnsonii, L. helveticus

L. casei Immunitas™

Leche reducida en grasa (UHT) Omega plus aceite vegetal de canola y maíz

Leche reducida en grasa

Heart plus aceite de pescado

Leche fermentada Evolus péptidos bioactivos

Bebida láctea reducida en grasa Danone Fitoesterol

Leche Viva calcio

Adaptado de Playne et al. (2003)

resulta evidentemente importante para restaurar las pérdidas durante el proceso o para mejorar el valor nutricional del producto. Por ejemplo, se observó que los niveles de pérdida de ácido fólico en las leches pasteurizadas, esterilizadas y ultrapasteuri-zadas (uht) por sus siglas en inglés, son de 5, 30 y 20% respectivamente (Ottaway, 2009).

3. Alimentos lácteos funcionales

Un alimento funcional es aquel alimento que es elaborado no sólo por sus características nutricionales, sino también para cumplir una función específica como puede ser mejorar la salud y reducir el riesgo de contraer enfermedades. Para ello, se agregan componentes biológicamente activos como: vitaminas, ácidos grasos, fibra alimenticia y antioxidantes, entre otros (Urgell, Orleans y Seuma, 2005).

Actualmente, existe un número creciente de productos lácteos con la característica de ser funcionales, entre los que destacan: bebidas con base en leche con probióticos y prebióticos, yogur, queso y leches fermentadas en general que se comercializan en todo el mundo (Granato, Branco, Nazzaro, Cruz y Faria, 2010a).

El mercado de productos lácteos funcionales sigue siendo un nicho de oportunidad para la industria, en comparación con los productos lácteos sin ingredientes funcionales. Como resultado, las bebidas lácteas que contienen probióticos, prebióticos y los productos fermentados dominan el mercado de los productos lácteos funcionales (Özer y Kirmaci, 2010). En la tabla IV se muestran algunos ejemplos de productos lácteos funcionales que se producen de manera comercial.

3.1. Adicionados con probióticos

El término probiótico puede definirse como: “un producto que contiene microorganismos viables definidos y en número suficiente, los cuales alteran la microbiota en el tracto gastroin-

testinal y por ello ejercen efectos beneficiosos en la salud de dicho huésped” (Granato, Branco, Cruz, Faria y Shah, 2010b). Anteriormente, la idea original consistía en que los probióticos podían cambiar la composición de la microbiota gastrointestinal aumentando la llamada “microbiota beneficiosa”. Sin embargo, ahora se acepta que un simple cambio en la microbiota gastrointestinal no lo hace un indicador de beneficio potencial para la salud (Macfarlane, Macfarlane y Cummings, 2006).

Clancy (2003) observó que en el caso de algunos efectos, como suceden con la inmunomodulación, no es necesario que se produzca una modificación significativa en la composición de la microbiota. Así, los probióticos mejoran la salud del huésped debido no sólo a efectos locales ligados a su capacidad de colonizar la mucosa intestinal, sino también a efectos distales ligados a su actividad promotora de la inmunidad celular y humoral (Ouwehand, Salminen e Isolauri, 2002).

En la actualidad, existen distintas preparaciones comerciales de probióticos que son normalmente mezclas de lactobacilos y bifidobacterias, aunque también se han empleado levaduras (Cao y Fernández, 2005). Por otro lado, entre los requisitos exigibles a los microorganismos para ser considerados como probióticos (Penna, Filho, Calcado, Junior y Nicolli, 2000), se encuentran los siguientes: ser de origen humano; demostrar un comportamiento no patógeno; exhibir resistencia a los procesos tecnológicos (mantener su viabilidad y actividad); resistir a la acidez gástrica y a los ácidos biliares; adherirse al tejido epitelial del intestino; ser capaces de persistir (aunque sea durante periodos cortos) al tracto gastrointestinal; producir sustancias antimicrobianas (ácidos orgánicos, y bacteriocinas); modular la respuesta inmune; influir en la actividad metabólica. En cualquier caso, existen importantes excepciones, por ejemplo su comportamiento en el tracto gastrointestinal y sus efectos varían entre las distintas cepas. Cabe destacar que algunos microorganismos son incapaces de colonizar el

Temas Selectos de Ingeniería de Alimentos 8 - 1 (2014): 5-14

Tabla V. Productos lácteos probióticos y sus beneficios

Producto Concentración Comentarios

Actimel

Yakult

108 UFC/ mL

108 UFC/ mL

Sancor Bio No disponible

Activia Acti-regularis

Yogurisimo con Provitalis

Ser con Biopuritas

108 UFC/ mL

107 UFC/ mL

108 UFC/ mL

Bioqueso llolay Vita No disponible

Adaptado de Olagnero et al. (2007)

Ayuda a mejorar la repuesta inmunitaria, disminuye el tiempo de duración de diarreas, ayuda al equilibrio de la microbiota intestinal y favorece la absorción de nutrientes

Modulación de la microbiota intestinal, previene y trata constipación y diarrea, controla la reproducción de las bacterias nocivas dentro del intestino, ayuda a modular el sistema de defensa natural del organismo y fortalece la resistencia a las infecciones

Disminuye tiempo de duración de diarreas persistentes, previene de enfermedades respiratorias, ayuda a prevenir la osteoporosis, la cepa L. casei San Cor CRL431 puede proteger contra la infección por salmonela, disminuye síntomas de intolerancia a la lactosa y estimula el sistema inmune

Ayuda al equilibrio de la microbiota reduciendo el tiempo de tránsito intestinal

Favorece un mejor aprovechamiento de los nutrientes y modula la microbiota intestinal

Contribuye al equilibrio de la microbiota intestinal, regularizando el tránsito intestinal

Normalización del tránsito intestinal, protección contra gérmenes patógenos, estimulación del sistema inmunológico y disminución de la intolerancia a la lactosa

intestino, ni siquiera temporalmente y ejercen sus efectos de modo local durante su paso por el sistema gastrointestinal, por lo que deben ser ingeridos regularmente para que persista cualquier efecto favorable a la salud (Macfarlane et al., 2006).

Actualmente, se conocen numerosas declaraciones sobre los efectos terapéuticos de los probióticos presentes en una gran variedad de productos lácteos, en especial debido a su capacidad de prevenir o curar molestias intestinales; sin embargo, sólo algunas cepas han demostrado su actividad en investigaciones científicas (Ouwehand et al., 2002).

En el mercado existe un grupo creciente de “alimentos probióticos” y esto ocurre principalmente en lácteos como los yogures. Esto se debe a que los productos lácteos constituyen un excelente vehículo para los microorganismos probióticos, debido a que los protegen de los elevados niveles de ácido que tiene el estómago y de la concentración de bilis del intestino, que pueden dañar o eliminar a muchos de los probióticos que se ingieren. Es decir, consumir probióticos en lácteos aumenta la posibilidad de que las bacterias beneficiosas sobrevivan a su paso por el intestino (Granato et al., 2010b). La tabla V resume los principales beneficios de los microorganismos probióticos, demostrados en estudios clínicos controlados en humanos.

3.2. Adicionados con prebióticos

La demanda de los consumidores por productos lácteos prebióticos se debe a que además de conservar el valor nutritivo, ayudan a mantener el estado de salud general del organismo y al mismo tiempo pueden tener un efecto benéfico adicional y preventivo en el huésped.

Los prebióticos pueden ser definidos como un ingrediente alimentario no digerible que afecta beneficiosamente al cuerpo mediante la estimulación selectiva del crecimiento y de la actividad de un número limitado de bacterias en el colon (Kaury Gupta, 2002). Por otro lado, para que un carbohidrato sea considerado prebiótico el compuesto debe llegar al colon sin degradarse o alterarse y debe ser un sustrato alimenticio que estimula la microbiota intestinal existente en particular a lactobacilos y bifidobacterias (Mohammadi y Mortazavian, 2011).

Algunos ingredientes alimentarios con características prebióticas generalmente exhiben ciertas propiedades únicas, tales como la hidrólisis limitada, la absorción en el tracto gastrointestinal superior, la estimulación selectiva de la multiplicación de las bacterias beneficiosas en el colon, el potencial para suprimir patógenos y limitar la virulencia por procesos tales como la inmunoestimulación que promueven la resis-

Temas Selectos de Ingeniería de Alimentos 8 - 1 (2014): 5-14

tencia a la colonización por patógenos (Urgell et al., 2005).

Según Cao y Fernández (2005) el consúmo de alimentos lácteos que contienen prebióticos en su formulación se ha asociado con riesgos reducidos de ciertas enfermedades. Estos incluyen: la supresión de la diarrea asociada con infecciones intestinales; la reducción del riesgo de osteoporosis porque promueven la absorción de calcio y por lo tanto aumenta la masa ósea; reducción del riesgo de la obesidad y de desarrollar diabetes tipo II.

Estudios in vitro realizados con bebidas lácteas que contenían inulina y otros fructooligosacatidos, han comprobado que se produce como resultado final de la fermentación bacteriana: lactato e incremento de la biomasa bacteriana. El aumento de la concentración de lactato y acetato disminuye el pH intraluminal, inhibiendo el crecimiento de E. coli, Clostridium y otras bacterias patógenas pertenecientes a los géneros Listeria, Shigella, o Salmonella. Pero a su vez incrementa el recuento de los generos Lactobacillus y Bifidobacterium (Abrams et al., 2005).

Tanto en estudios in vivo como in vitro, se demostró que el consumo de yogures que contenían oligofructosa (5 - 15 g durante 15 a 20 días) modifica la microbiota intestinal estimulando el crecimiento de bifidobacterias, con esta variación se disminuyen los recuentos de fusobacterias y clostridios (Langlands, Hopkins, Coleman y Cummings, 2004). También, se comprobó que mientras más bajo es el recuento inicial de bifi-

Tabla VI. Algunos productos lácteos prebióticos y sus beneficios

Alimento Porción

Leche en Polvo Svelty Actifibras, Nestle 1 vaso 200 mL

Leche Descremada

Ser con Fibra Activa 1 vaso 200 mL

Ser con jugo sin lactosa frutos del trópico, Frutos rojos -manzanas 1 vaso 200 mL

Leche Descremada Ilolay Vita con Fibra Activa 1 vaso 200 mL

Queso Ilolay Vita con Fibra Activa parcialmente descremado 30 g

Adaptado de Olagnero et al. (2007)

dobacterias en las heces mayor es la estimulación ejercida por los frúctanos sobre este tipo de bacterias (Kaur y Gupta, 2002).

Por otra parte, se ha demostrado que el consumo de productos lacteos con prebióticos genera interacción con los ácidos biliares incrementando la excreción fecal, lo cual conlleva a disminuir la concentración plasmática del colesterol ldl (Marti del Moral, Moreno-Aliaga y Martínez-Hernández, 2003). De acuerdo a Caselato, de Sousa, Freitas y Sgarbieri, (2011) debido a los beneficios que confiere el consúmo de prebióticos, se han desarrollado una gama de productos lácteos que incluyen prebióticos en su formulación. En la tabla VI se muestran algunos productos lácteos que han incluido fibras prebióticas en su formulación. Algunos ejemplos de fibras prebióticas incluyen: fructooligosacáridos, galactooligosacáridos, arabinosa, galactosa, inulina, rafinosa, manosa, lactulosa, estaquiosa, xilooligosacáridos, palatinosa, lactosa-sacarosa, glicooligosacáridos, oligo-sacáridos de soya, etc.

3.3. Adicionados con antioxidantes y ácidos grasos omega-3

Actualmente, se encuentran en el mercado diversos productos lácteos adicionados con antioxidantes. Un ejemplo son los yogures que contienen té, debido a que es muy rico en polifenoles, fundamentalmente catequinas; algunos estudios epidemiológicos han asociado su consumo a una menor incidencia de cáncer (Rafter et al., 2004).

Tipo de fibra (cantidad por porción)

Fibra alimentaria 1.8 g (glucosa oligosacárido)

Fibra soluble 2 g (inulina, polidextrosa, fructooligosacáridos)

Fibra soluble 1.1 g (inulina, polidextrosa, fructooligosacáridos)

Fibra alimentaria total 2 g

Fibra alimentaria total 1.2 g

Información del envase

Fibras: ayudan a regular la función intestinal

Ayuda a mejorar la composición de la microbiota intestinal y favorece la absorción de calcio

Mejora la composición de la microbiota intestinal y favorece una mayor absorción del calcio

No disponible

Regula la función digestiva, mejora la composición de la microbiota intestinal, mejora la absorción de calcio y magnesio y reduce el nivel de colesterol

E. Santillán- Urquiza, M.A. Méndez-Rojas y J. F. Vélez Ruiz

Temas Selectos de Ingeniería de Alimentos 8 - 1 (2014): 5-14

Existen diversos tipos de antioxidantes, pero su función principal es descomponer los peróxidos o impedir la formación de complejos con los restos de radicales libres disponibles en el organismo (Awaisheh, Haddadin y Robinson, 2005).

Entre las investigaciones que se han realizado con productos lácteos adicionados con antioxidantes está el estudio realizado por Awaisheh et al. (2005) en el que incorporaron genisteína (el antioxidante más potente entre las isoflavonas de la soya) a leche de vaca fermentada con bacterias probióticas, que ayudaba a reducir la oxidación causada por radicales libres in vitro

Por otro lado, los ácidos grasos Omega-3 son un grupo de lípidos saludables, que se vinculan a una amplia gama de beneficios para la salud, incluyendo la reducción del riesgo de enfermedades cardiovasculares y ciertos tipos de cáncer. Entre los ácidos grasos omega-3 más utilizados en la industria láctea se encuentran: ácido linoleico (ala), ácido eicosapentaenoico (epa) y ácido docosa-hexaenoico (dha), por sus siglas en inglés (Gruenwald, 2009). En los últimos años, el mercado de los productos lácteos que contienen ácidos grasos Omega-3 ha ido en aumento, constituyendo el sector más fuerte del mercado de alimentos funcionales en Estados Unidos (Mellema y Bot, 2009).

Por su parte, la leche líquida no fermentada constituye la mayor parte de los productos lácteos enriquecidos con ácidos grasos Omega-3, tal es el caso de Parmalat, una empresa italiana de productos lácteos que lanzó la leche enriquecida “Omega-3 Plus” (contiene 80 mg de Omega-3 por litro de leche). Por otro lado, con el fin de atraer a los consumidores la leche con sabor a chocolate enriquecida con Omega-3 se ha introducido en el mercado de los alimentos funcionales por Neilson Dairy (Dairy Oh, Canadá) y Parmalat (Beatrice, Canadá) (Bisig, Eberhard, Colomb y Rehberger, 2007; Özer, y Kirmaci, 2010).

Conclusiones y comentarios finales

De la información recopilada en este trabajo se deduce que si bien muchos de los resultados obtenidos hasta el momento son prometedores, todavía hay mucho que hacer en lo que concierne a la clarificación de los beneficios para la salud por parte de los alimentos lácteos funcionales y adicionados. Tampoco debe olvidarse que para que sean efectivos, deberían influir en más de una ruta metabólica en el organismo humano. Además, es poco probable que un solo compuesto activo sea universalmente eficaz para todos los consumidores. Por lo tan-

to, los alimentos funcionales o fortificados, deben estar formulados de tal forma que cubran las necesidades metabólicas de grupos específicos de consumidores.

La aceptabilidad de los nuevos productos funcionales y adicionados por parte de los consumidores ha sido positiva, ya que actualmente existen en el mercado una gran variedad de productos lácteos con moléculas biológicamente activas que se han adicionado, como estrategia para corregir pequeñas disfunciones metabólicas o deficiencias nutricionales de vitaminas y minerales, que pueden conducir a enfermedades crónicas.

Agradecimientos

La autora Santillán-Urquiza agradece al Consejo Nacional de Ciencia y Tecnología (conacyt) y a la Universidad de las Américas Puebla (udlap) por la beca otorgada para la realización de este trabajo.

Referencias

Abrams, S., Griffin, I., Hawthorne, K., Liang, L., Gunn, S., Darlington, G. y Ellis, K. (2005). Combination of prebiotic short and long chain inulin type fructans enhances calcium absorption and bone mineralization in young adolescents. The American Journal of Clinical Nutrition, 82(2), 471-476.

Aimutis, W. (2003). Bioactive properties of milk proteins with particular focus on anticario genesis. Journal of Nutrition, 13(4), 989S-995S.

Arabbi, P. (2001). Functional foods: general aspects. Nutrire, 21(6), 87-102.

Awaisheh, S., Haddadin, M. y Robinson, R. (2005). Incorporation of selected nutraceuticals and probiotic bacteria into a fermented milk. International Dairy Journal, 15, 1184–1190.

Bisig, W., Eberhard, P., Colomb, M. y Rehberger, B. (2007). Influence of processing on the fatty acid composition and the content of conjugated linoleic acid in organic and conventional dairy products: A review. Lait, 87, 1–19.

Boccio, J. e Iyengar, V. (2003). Iron deficiency: causes, consequences and strategies to overcome this nutritional problem. Biologial Trace Element Research, 94, 1–31.

E. Santillán- Urquiza, M.A. Méndez-Rojas y J. F. Vélez Ruiz Temas Selectos de Ingeniería de Alimentos 8 - 1 (2014): 5-14

Branca, F. y Rossi, L. (2002). The role of fermented milk in complementary feeding of young children: lessons from transition countries. European Journal of Clinical Nutrition, 56, 16–20.

Cao, Y. y Fernández, A. (2005). Probióticos y salud: Una reflexión necesaria. Revista Cubana de Medicina General Integrada, 21(3), 3-4.

Caselato, V., de Sousa, M., Freitas, E. y Sgarbieri, C. (2011). The importance of prebiotics in functional foods and clinical practice. Food and Nutrition Sciences, 2, 133-144.

Clancy, R. (2003). Immunobiotics and the probiotic evolution. FEMS Immunology and Medical Microbiology, 38, 9-12.

Daly, R., Brown, M., Bass, S., Kukuljan, S. y Nowson, C. (2006). Calcium and vitamin D-3 fortified milk reduces bone loss at clinically relevant skeletal sites in older men: a 2-year randomized controlled trial. Journal of Bone and Mineral Research, 21, 397–405.

Fischer, C., Kordas, K., Stoltzfus, R. y Black, R. (2005). Interactive effects of iron and zinc on biochemical and functional outcomes in supplementation trials. The American Journal of Clinical Nutrition, 82, 5-12.

Granato, D., Branco, G., Nazzaro, F., Cruz, A. y Faria, J. (2010a). Functional foods and nondairy probiotic food development: Trends, concepts, and products. Comprehensive Reviews in Food Science and Food Safety, 9, 292-302.

Granato, D., Branco, Cruz, A., Faria, J. y Shah, N. (2010b). Probiotic dairy products as functional foods. Comprehensive Reviews in Food Science and Food Safety, 9, 455-470. Gruenwald, J. (2009). Fortification of beverages with products other than vitamins and minerals. En P. Paquin, Functional and Speciality Beverage Technology (págs 92–106). Cambridge: Woodhead Publishing Limited. Johnson, L., Meacham, S. y Kruskall, L. (2003). The antioxidants vitamin C, vitamin E, selenium and carotenoids. Journal of Agromedicine, 9, 65-82.

Kaur, N. y Gupta, A. (2002). Applications of inulin and oligofructose in health and nutrition. Journal of Bio Science, 27(7), 703-714.

Langlands, S., Hopkins, M., Coleman, N. y Cummings, J. (2004). Prebiotics carbohydrates modify the mucosa associated microflora of the human large bowel. Gut, 53, 1610-1616. Macfarlane, S., Macfarlane, G. y Cummings, J. (2006). Review article: Prebiotics in the gastrointestinal tract. Alimentary Pharmacology and Therapies, 24(5), 701-714.

Marti del Moral, M., Moreno-Aliaga, J. y Martínez-Hernández. (2003). Efecto de los prebióticos sobre el metabolismo lipídico. Nutrición Hospitalaría, 18(4), 181-188.

Mellema, M. y Bot, A. (2009). Milk-based functional beverages. En P. Paquin, Functional and Speciality Beverage Technology (págs 232–258). Cambridge: Woodhead Publishing Limited.

Mohammadi, R. y Mortazavian, A. (2011). Review article: technological aspects of prebiotics in probiotic fermented milks. Food Reviews International, 27, 192–212.

Moreno, L., Cervera, P., Ortega, R., Díaz, J., Baladia, E., Basulto, J., Bel, S., Iglesia, I., López-Sobaler, A., Manera, M., Rodríguez, E., Santaliestra, A., Babio, N. y Salas-Salvadó, J. (2013). Evidencia científica sobre el papel del yogur y otras leches fermentadas en la alimentación saludable de la población española. Nutrición Hospitalaria, 28(6), 2039-2089.

Norma Mexicana NMX-F-703-COFOCALEC-2004 Sistema Producto Leche, Alimentos Lácteos, Leche y producto lácteo (o alimento lácteo), Fermentado o acidificado, Denominaciones, especificaciones y métodos de prueba.

Norma Oficial Mexicana. NOM-086-SSA1-1994. Bienes y servicios. Alimentos y bebidas no alcohólicas con modificaciones en su composición.

Norma Oficial Mexicana. NOM-091-SSA1-1994. Bienes y servicios. Leche pasteurizada de vaca. Disposiciones y especificaciones sanitarias.

Olagnero, G., Abad, A., Bendersky, S., Genevois, C., Granzella, L. y Montonatil, M. (2007). Alimentos funcionales: fibra, prebióticos, probióticos y simbióticos, Diaeta, 25(121), 20-33.

Ottaway, B. (2009). Fortification of beverages with vitamins and minerals. En P. Paquin, Functional and Speciality Beverage Technology, (págs. 71–91). Cambridge: Woodhead Publishing Limited.

Ouwehand, A., Salminen, S. e Isolauri, E. (2002). Probiotics: an overview of beneficial effects. Antonie van Leeuwenhoek, 82, 279-289.

Özer, B. y Kirmaci, H. (2010). Functional milks and dairy beverages. International Journal of Dairy Technology, 63(1), 1-15.

Penna, F., Filho, L., Calcado, A., Junior, H. y Nicolli, J. (2000). Up to date clinical and experimental basis for the use of probiotics. Jornal de Pediatria, 76, S209-S217.

Playne, M., Bennett, L. y Smithers, G. (2003). Functional dairy foods and ingredients. Australian Journal of Dairy Technology, 58, 242-264.

Rafter, J., Govers, M., Martel, P., Pannemans, D., Pool-Zobel, B., Rechkemmer, G., Rowland, I., Tuijtelaars, S. y Van Loo, J. (2004). passclaim Diet related cancer. European Journal

E. Santillán- Urquiza, M.A. Méndez-Rojas y J. F. Vélez Ruiz

Temas Selectos de Ingeniería de Alimentos 8 - 1 (2014): 5-14 of Nutrition, 43(2), 47-84.

Sazawal, S., Habib, A., Dhingra, U., Dutta, A., Dhingra, P., Sarkar, A., Deb, S., Alam, J., Husna, A. y Black, R. (2013). Impact of micronutrient fortification of yoghurt on micronutrient status markers and growth a randomized double blind controlled trial among school children in Bangladesh. Public Health, 13, 514- 521.

Silva, M., Dias, G., Ferreira, C., Franceschinib, S. y Costa, N. (2008). Growth of preschool children was improved when fed an iron-fortified fermented milk beverage supplemented with Lactobacillus acidophilus Nutrition Research, 28, 226–232.

Simova E, Ivanov, G. y Simov, Z. (2008). Growth and activity of bulgarian yoghurt starter culture in iron-fortified milk.

Journal of Industrial Microbiology and Biotechnology, 35, 1109–1115.

Stijepić, M., Durdević-Milosević, D. y Glusac, J. (2010). Production of low fat yoghurt enriched with different functional ingredients. Quality of Life, 3(1-2), 5-12.

Urgell, M., Orleans, A. y Seuma, M. (2005). La importancia de los ingredientes funcionales en las leches y cereales infantiles. Nutrición Hospitalaria, 20(2), 135-146.

Vander-Hee, R., Miret, S., Slettenaar, M., Duchateu, G., Rietveld, A., Wilkinson, J., Quail, P., Berry, M., Dainty, J., Teucher, B. y Fairweather-Tait, S. (2009). Calcium absorption from fortified ice cream formulations compared with calcium absorption from milk. Journal of the American Dietetic Association, 109(5), 830–835.

Líquidos iónicos: una alternativa

“verde”

para procesos de extracción en la industria de alimentos

A. Franco-Vega*, E. Palou, N. Ramírez-Corona, A. López-Malo

Departamento de Ingeniería Química, Alimentos y Ambiental, Universidad de las Américas Puebla.

Ex hacienda Sta. Catarina Mártir S/N, San Andrés Cholula, Puebla. C.P.72810. México.

RESUMEN

Los disolventes comúnmente usados en técnicas de extracción y separación en el análisis e industria de alimentos son fuentes importantes de contaminación; y algunas ocasiones presentan poca selectividad y generan rendimientos de extracción bajos. Con el auge de la química “verde”, se han desarrollado disolventes amigables con el medio ambiente, y con propiedades capaces de reemplazar a los tradicionales. Los líquidos iónicos (li) forman parte de estos disolventes “verdes” ofreciendo ventajas en procesos de extracción y preparación de muestras debido a sus propiedades únicas (presión de vapor nula, alta estabilidad térmica, entre otras.). La separación de compuestos en alimentos es una tarea compleja; sin embargo, existe evidencia del potencial de los li para suplir ciertos disolventes en diferentes técnicas de extracción y análisis de alimentos. Esta revisión se enfoca en describir a los LI, presentar algunas de sus aplicaciones, ventajas, desventajas, y retos de su uso en la industria alimentaria. Palabras clave: Disolventes “verdes”, líquidos iónicos, extracción y análisis de alimentos

ABSTRACT

The traditional solvents used in food science and industry are a major cause of contamination, besides, they have the disadvantage of not being selective and generate low extraction yields. As a consequence of “green” chemistry development, there has been an increasing interest to develop environmental friendly solvents, with similar or even better properties to allow replacing common solvents. Ionic liquids (il) are part of these new “green” solvents, these compounds offer advantages in sample preparation and extraction process, due to its unique properties. The separation of compounds in foods is a complex task, however, there is evidences about the potential of il to replace some conventional solvents in different extraction and analysis techniques. This review is focused in the description of IL, show some of their applications, advantages, disadvantages, and the challenges for their use in food industry.

Keywords: “Green” solvents, ionic liquids, food extraction and analysis

Programa de Doctorado en Ciencia de Alimentos

Tel.: +52 222 229 2126

Fax: +52 222 229 2727

Dirección electrónica: avelina.francova@udlap.mx

Introducción

La ciencia y tecnología de alimentos cuentan con una amplia variedad de procesos y análisis que requieren el uso de disolventes, ya sea para la separación de un compuesto para su posterior análisis o con el fin de extraer un componente de la matriz del alimento, el cual presenta por sí solo una aplicación. Si bien existen disolventes que han sido utilizados durante años, la mayoría de ellos son compuestos orgánicos volátiles que han demostrado ser una de las principales fuentes de contaminación del ambiente, y a su vez, representan un riesgo para la salud de quienes los manejan. Por otra parte, los rendimientos obtenidos con el uso de estos compuestos son relativamente bajos, lo que hace necesario incrementar los volúmenes utilizados y la energía aplicada durante la extracción, para obtener mejores resultados durante el proceso.

Desde hace algunos años, la industria está enfocada en el desarrollo de técnicas más ecológicas en las cuales se reduzca el uso de productos tóxicos y emisiones al medio ambiente. En estos “procesos verdes” también se promueve el uso de métodos de preparación de muestras que sean ecológicamente sustentables y que involucren el uso de disolventes menos contaminantes. Debido a esta necesidad es que se han desarrollado nuevos compuestos más amigables con el medio ambiente como una opción para reemplazar los compuestos contaminantes y peligrosos.

Los líquidos iónicos (li) son sales compuestas por iones que existen en estado líquido a temperatura ambiente (Messali et al., 2013). Estos compuestos poseen propiedades físicas y químicas únicas, como bajos puntos de fusión, presión de vapor tan baja que se considerada nula y una alta estabilidad térmica (Liu, Sui, Zhang y Yang, 2011). Debido a su capacidad para disolver tanto solutos polares como no polares (Freemantle, 2010), así como al hecho de que pueden ser adaptados estructuralmente para aplicaciones específicas, hoy en día se ha incrementado su uso como una atractiva alternativa “verde” a los solventes orgánicos convencionales en distintas áreas, como lo son aplicaciones analíticas, síntesis orgánica, catálisis y separación, entre otras (Martín-Calero, Pino y Alfonso, 2011). Sin embargo, no todos los li pueden ser considerados como “amigables” con el medio ambiente, y se ha encontrado que algunos de ellos pueden llegar a ser tóxicos (Matsumoto, Mochiduki y Kondo, 2004b). Aunado a lo anterior, la falta de información acerca de sus propiedades fisicoquímicas y la evidencia de su susceptibilidad ante la presencia de impurezas, representan algunas de las desventajas del uso de estos compuestos. Si bien es muy poca la investigación que existe a la fecha

sobre el uso de LI en la ciencia y tecnología de alimentos, se ha reportado ya su potencial como solventes en la extracción de varios metabolitos secundarios importantes presentes en semillas, plantas y frutas, demostrando que tienen la capacidad de mejorar la selectividad y eficiencia de extracción al aplicarse en diferentes técnicas de separación(Dandan y Kyung Ho, 2011; Cao, Ye, Lu, Yu y Mo, 2009; Jin, Fan y An, 2011; Jiao et al., 2013). Esta es la razón por la que se ha incrementado el interés en el estudio de su viabilidad para ser usados como una alternativa a los solventes tradicionales. Este artículo se enfoca a describir a los LI, y presentar algunas de sus aplicaciones, ventajas, desventajas y retos de su uso en la industria alimentaria.

Revisión bibliográfica

1. El uso de disolventes en la ciencia y tecnología de alimentos

La mayoría de los ingredientes que son usados para la formulación de alimentos incluyendo a los aceites, grasas y proteínas, entre otros, son obtenidos de distintas fuentes biológicas por medio de una extracción y del uso de disolventes; de igual manera, la preparación de muestras para análisis bromatológicos, toxicológicos y/o en busca de contaminantes, depende del uso de un disolvente adecuado. Tanto las técnicas de análisis como las de extracción están fundamentadas en interacciones químicas en las cuales se busca que por medio de diferentes condiciones como tiempo, temperatura, presión, naturaleza y cantidad de disolvente, entre otros, se favorezca la obtención del analito o componente de interés (Wakelyn y Wan, 2001; Isengard y Breithaupt, 2009).

La eficacia de estas técnicas depende de varias condiciones, siendo la más importante la ocurrencia de una colisión, ya que si las especies en cuestión no están en contacto no pueden interaccionar entre sí. Para que se produzca el contacto, ambas deben de encontrarse en la misma fase y, por tanto, deben ser solubles en el mismo medio (Clayden, Greeves y Warren, 2012). En la industria de alimentos la mayor parte de los procesos se efectúan en fase líquida entre compuestos que pueden disolverse a la vez en un mismo disolvente. De lo anterior se deduce el papel fundamental que desempeña el disolvente. Si para que haya una interacción es preciso que ambos reactivos se encuentren en la misma disolución, el disolvente será tan importante como el principio de la colisión (Clayden et al., 2012).

De manera general, un disolvente es una sustancia que puede competir con las fuerzas intermoleculares que mantienen

Temas Selectos de Ingeniería de Alimentos 8 - 1 (2014): 15-26

unidas las moléculas de un sólido (Gilbert y Martin, 2010). El disolvente más usado es el agua, debido a que posee un alto grado de polaridad y una constante dieléctrica alta, lo que le permite disolver sustancias iónicas o polares (Morrison y Boyd, 1998). Además de esto, su asequibilidad, facilidad de manipulación y amplio intervalo de temperatura y presión en el que se encuentra en estado líquido, la hacen particularmente atractiva frente a otros disolventes. Sin embargo, el agua no es el único disolvente que se usa en las operaciones de análisis y extracción en la industria alimentaria, ya que no todas las reacciones son viables en disolución acuosa, sobre todo cuando se habla del tratamiento de matrices tan complejas como lo son los alimentos (Martin-Calero et al., 2011).

Para el caso de los compuestos que no son solubles en agua, existe una amplia variedad de disolventes no polares que debido a sus fuerzas eléctricas de atracción débil, favorecen la disolución de estos compuestos (Riaño, 2007). Después del agua, los disolventes más utilizados en la ciencia y tecnología de alimentos son los compuestos volátiles de origen orgánico (cvo) (alcoholes, ésteres, cetonas, éter, hexano), los cuales tienen la capacidad de lograr una mayor recuperación del analito que los métodos físicos por los cuales anteriormente se extraían algunos compuestos (Wakelyn y Wan, 2001).

Una de las desventajas del uso de los cvo es que se pueden dispersar de manera fácil en el ambiente y muchos de ellos presentan alta toxicidad (Albishri y El-Hady, 2014). Otra de sus desventajas es que, a pesar de tener la capacidad de disolver algunos de los compuestos de interés, la selectividad y rendimientos en los procesos de extracción, obtenidos por medio de su uso, en algunos casos suelen ser aún muy bajos, por lo cual es necesario usar grandes volúmenes; al 2011 se estimaba que los solventes representaban el 35% de todos los compuestos orgánicos volátiles liberados en la atmósfera (Reichardt y Welton, 2011).

En los últimos años, el impacto que tienen los disolventes y sus residuos en el medio ambiente es un área de interés para la comunidad científica. Debido a esto, a partir de 1990 se introdujo el concepto de “química verde”, con lo que se busca la reducción o eliminación del uso o generación de sustancias peligrosas en el diseño, manufactura y aplicación de productos químicos (Lancaster, 2010). La reducción o eliminación en el uso de solventes cvo son algunas de las metas de la “química verde”, sin embargo, esto no siempre es posible, por lo que es necesario seleccionar disolventes que generen el menor daño al ambiente. Recientemente y en respuesta a estas nuevas tendencias ecológicas, las diferentes industrias e investigadores se han enfocado al desarrollo y uso de disolventes

que puedan ser una opción más ecológica a los tradicionales. El dióxido de carbono supercrítico, derivados de la biomasa como alcoholes producidos durante la fermentación, y los LI, son parte de estos disolventes, y basan su estado de “disolvente verde” en diferentes conceptos como lo son su fuente de obtención, el impacto ambiental percibido o la presencia de propiedades físicas como una presión de vapor insignificante y alta estabilidad térmica.

2. Líquidos iónicos

2.1. Generalidades

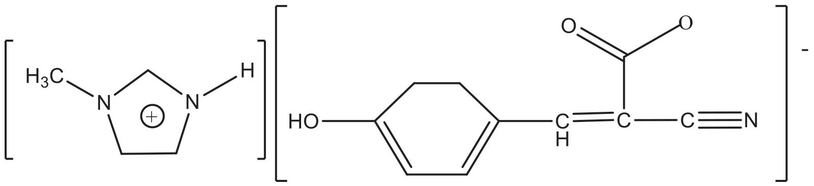
Los líquidos iónicos (li) son un grupo de sales orgánicas con un intervalo de punto de fusión por debajo del punto de ebullición del agua, y cercano a la temperatura ambiente (Liu et al., 2009). Normalmente, los li están formados por cationes orgánicos que se encuentran unidos con un anión orgánico o inorgánico (Jiao et al., 2013).

Los cationes más comunes son compuestos poco simétricos, que contienen nitrógenos sustituidos de manera asimétrica (ej. imidazolio, piridinio, amonio cuaternario, y el grupo cuaternario fosfonio); tanto los aniones inorgánicos (ej. Cl, Br-, BF4 -, PF6-) como los orgánicos (ej. trifluorometilsulfonato [CF3SO3-], bis[(trifluorometil) sulfonil]amida [(CF3SO2)2N]-, trifluoroetanoato [CF3CO2 ]-) pueden ser usados como la contraparte aniónica; usualmente estos cuentan con una carga negativa difusa o protegida. Se ha reportado (Messali et al., 2013) que la modificación del anión y/o el catión con el grupo funcional adecuado, suele crear un cambio en las propiedades del li, generándose así una amplia variedad de li con diferente polaridad, hidrofobicidad y viscosidad, entre otras propiedades. Es por esta razón que son conocidos como “solventes de diseño”.

Aunque el primer li fue sintetizado desde el siglo XIX, fue hasta después de 100 años que los LI tienen la atención de los científicos, existiendo a la fecha más de 1018 combinaciones posibles de aniones con cationes (Tang, Bi, Tian y Row, 2012). En la tabla I se muestran las estructuras de algunos LI representativos.

Los li algunas veces son clasificados basándose en la estructura de su catión, existiendo cinco grupos: (1) cationes heterocíclicos de cinco miembros, (2) cationes heterocíclicos de seis miembros y benzo-condensados, (3) cationes con base amonio, fosfonio y sulfonio, (4) cationes imidazolio funcionalizados y (5) cationes quirales (Clare, Sirwardana y McFarlane, 2009). Debido a la gran cantidad que existe y a la facilidad con la que se pueden crear, aún no existe una clasificación oficial de los líquidos iónicos.

A. Franco-Vega, E. Palou, N. Ramírez-Corona, A. López-Malo

Temas Selectos de Ingeniería de Alimentos 8 - 1 (2014): 15-26

Tabla I. Estructura y nombre de algunos líquidos iónicos representativos

Nombre Estructura

1-octil-3-metilimidazolio hexafluorofosfato

1-butil-3-metilimdazolio hexafluorofosfato

1-hexil-3-metilimidazolio hexafluorofosfato

Poli(vhim-taurato)

Metilimidazolio -ciano-4-hidrocinamato

Cloruro de 1-butil-3-metilimidazolio

N,N-dimetilepedrinio bis(trifluorometilsulfonil)amida

Tan et al., 2012

Temas Selectos de Ingeniería de Alimentos 8 - 1 (2014): 15-26

2.2.

Síntesis

Existen diferentes estrategias de síntesis disponibles para preparar li. A la fecha, la protonación de materiales iniciadores adecuados (generalmente aminas y fosfinas) sigue representando el método más simple para la formación de estos compuestos. A medida que el estudio de los li ha crecido en los últimos años, los métodos sintéticos utilizados para su preparación se han vuelto más sofisticados y capaces de dirigirse hacia compuestos más complejos (Clare et al., 2009).

La síntesis de li se puede dividir de manera general en dos pasos: la formación del catión deseado y el intercambio de aniones. En algunos casos sólo el primer paso es necesario, o algunas veces el catión deseado se encuentra disponible comercialmente y sólo es necesario el intercambio de aniones. La formación del catión se puede llevar a cabo por medio de una protonación con un ácido libre, o por la cuaternización de una amina, fosfina o sulfuro, usando comúnmente un halo-alcano o diaquilsulfatos. Entre las técnicas más usadas actualmente para realizar este intercambio se encuentran la metátesis, la síntesis libre de halógeno y la síntesis para li próticos (Gordon y Muldoon, 2008).

A través de la metátesis del anión se produce un amplio número de LI de buena calidad. Sin embargo, la producción de materiales de alta pureza es problemático, pues se presenta contaminación con haluros residuales, lo cual puede cambiar de manera drástica las propiedades físicas del compuesto. Debido a lo anterior, se han generado las síntesis libres de halógeno, las cuales se pueden categorizar en tres grupos: (1) síntesis a través de intermediarios de carbeno N-heterocíclicos, (2) reacciones directas base fósforo con imidazoles y (3) reacciones directas base sulfuro con imidazoles (Clare et al., 2009).

Para los li no próticos, la síntesis requiere de manera general dos pasos: la alquilación de una amina terciaria por un haluro de alquilo, seguido por un cambio del anión haluro con el anión correspondiente para obtener el producto deseado. Por otra parte, los li próticos se forman por una transferencia de protones entre un ácido y base Brönsted por medio de una reacción de neutralización ácido-base (Freemantle, 2010).

La presencia de la más mínima impureza puede promover un cambio radical en las propiedades fisicoquímicas de estos compuestos, por lo cual su purificación es siempre una parte importante de la síntesis. Las impurezas pueden ser los compuestos producidos de los materiales originales por medio de oxidación o degradación térmica, los materiales iniciales que no reaccionan, impurezas haluro, de ácidos y agua. Aunque a la fecha no existe un método que remueva totalmente la contaminación en li, existen algunas opciones para minimizarlos

como filtración, lavado con agua para li hidrofóbicos, y para los hidrofílicos lavados con solventes no miscibles en agua, entre otros (Clare et al., 2009).

2.3. Propiedades físicas y químicas

Los LI hoy en día son de gran interés debido a que cuentan con propiedades físicas y químicas únicas, las cuales les han dado ventajas significativas sobre otros disolventes en diferentes aplicaciones. Entre las propiedades más importantes se encuentran una presión de vapor nula, alta conductividad, ausencia de inflamabilidad, alta polaridad, gran estabilidad química y térmica, y comportamiento de solvente miscible (Gendaszewska y Liwarska-Bizukojc, 2013).

De manera general, se ha observado que la mayoría de estas propiedades son el resultado de la naturaleza y forma de sus aniones y cationes, y de las interacciones que se presentan entre estos (Martin-Calero et al., 2001). Lo anterior permite controlar las propiedades de los li al seleccionar la combinación anión/catión o por la incorporación de algún grupo funcional en la molécula del li, teniendo así la capacidad de ser adaptados a aplicaciones específicas (Youngs, Hardacre y Mullan, 2008). Sin embargo, el estudio de los li se encuentra aún en sus primeras etapas, por lo cual son pocas las propiedades que han sido ampliamente definidas.

El comportamiento térmico de los li es complejo, siendo las temperaturas de fusión y descomposición algunas de las propiedades más importantes. Ambas temperaturas son especialmente relevantes para su aplicación como solventes alternativos, debido a que con ellas se determina el intervalo en el cual los fluidos se encuentran en estado líquido; en el caso de los li este rango de temperaturas es muy amplio (entre los 200-300°C), a diferencia del que presentan los fluidos orgánicos comunes (Huang, 2011). El punto de fusión de los LI se eleva debido a un balance en la simetría de los cationes y aniones que lo constituyen, la flexibilidad en la cadena de los iones y la accesibilidad de la carga. Al aumentar la longitud de las cadenas alquil del catión se genera un descenso en el punto de fusión; de igual manera, al aumentar el tamaño del anión el punto de fusión desciende (Aparicio, Athilan y Karadas, 2010).

La densidad es la propiedad física de medición más sencilla e inequívoca con la que también se caracterizan los LI, y es la menos sensible a las variaciones de temperatura. En condiciones de temperatura y presión ambiental, la densidad de la mayoría de los LI se encuentra en un rango de 1.05 a 1.35 g/cm3 (Mantz y Trulove, 2008).

La viscosidad, el coeficiente de auto-difusión, la conductividad térmica y la conductividad eléctrica son las propieda-

Temas Selectos de Ingeniería de Alimentos 8 - 1 (2014): 15-26

des de transporte de las que se cuenta con mayor información para estos disolventes. Una de las características importantes de algunos li es su alta viscosidad, esto puede ser desfavorable para algunas aplicaciones industriales como el bombeo o mezclado; sin embargo, la viscosidad se puede ajustar por medio de una combinación adecuada de catión y anión que permita alcanzar la viscosidad deseada. A la fecha, los li se han considerado fluidos newtonianos (Mantz y Trulove, 2008). Aunque las demás propiedades de transporte también son relevantes, la viscosidad es la más estudiada en estos compuestos debido a que, por los altos valores que presenta, las otras propiedades están acopladas a ella (Aparicio et al., 2010). Por otra parte, los valores de conductividad térmica y eléctrica de los li presentan gran dependencia de la temperatura. La conductividad eléctrica está relacionada fuertemente a la movilidad iónica, así que al aumentar la cadena alquílica del catión desciende la movilidad iónica y desciende la conductividad eléctrica.

Por último, la ausencia de una presión de vapor medible es una característica que ha dado un estatus “verde” a los li; esta característica se presenta debido a que no son compuestos volátiles como consecuencia de las interacciones electroestáticas que se presentan entre los componentes del compuesto (Yao et al., 2012).

2.4. Ventajas y desventajas de su uso

2.4.1. Ventajas

Entre las ventajas con las que cuentan los li, una de las mayores es su presión de vapor insignificante, lo cual los convierte en una alternativa a los nocivos vapores de los solventes orgánicos convencionales (Youngs et al., 2008). Esta es comúnmente la propiedad que les confiere a estos disolventes su estatus “verde” y les ha dado el potencial de representar una opción más ecológica en diferentes operaciones. Otra de sus ventajas para ser usados en procesos de extracción y preparación de muestras es la capacidad que tienen para disolver celulosa. Al romperse la estructura de la celulosa presente en las paredes de las plantas, los metabolitos secundarios que se encuentran en ellas se desprenden más fácilmente favoreciendo los procesos de aislamiento y/o extracción (Jin et al., 2011).

De igual manera, su capacidad de ser “solventes de diseño” representa una ventaja muy atractiva, ya que al variar el anión o el catión se pueden modificar sus propiedades físicas y químicas. Lo anterior permite que se creen un gran número de combinaciones de aniones y cationes con diferentes propiedades, de las cuales los li pueden ser seleccionados para aplicaciones específicas (Fontanals, Borrull y Marcé, 2012).

2.4.2. Desventajas

A la fecha, una de las desventajas del uso de li es que las técnicas utilizadas para su síntesis aún no tienen la capacidad de crear compuestos cien por ciento libres de impurezas. Se ha demostrado que las impurezas presentes en los li tienen la capacidad de alterar su comportamiento, representando problema en su uso, pues esto disminuye la selectividad del compuesto (Clare et al., 2009).

Además, no todos los LI pueden ser clasificados como ambientalmente amigables, y algunos de ellos han sido señalados como tóxicos cuando se incorporan a un medio acuoso. La ecotoxicidad de los LI ha sido probada en diferentes especies de organismos mostrando diferentes niveles. De manera general, se ha observado que las sales imidazolio con largas cadenas alquil son tóxicas, y que las cadenas cortas son poco biodegradables (Kunz et al., 2011). En un estudio realizado por Cornellas et al. (2011) acerca del efecto antimicrobiano de dos series de li con bases imidazolio y piridinio, se encontró que los compuestos con sustituyentes alquil de cadena corta no presentaban actividad antimicrobiana contra bacterias y mohos, mientras los li que contenían cadenas alquil de una longitud de 10 a 14 carbonos mostraban una actividad antimicrobiana significativa.

Por esta razón, existen algunas tendencias encaminadas a mejorar los LI uniendo grupos funcionales convenientes a sus estructuras para dar lugar a compuestos inertes y por lo tanto “verdes”. El diseño de li de fácil degradación y menos tóxicos, está basado en el uso de metabolitos naturales; siendo el catión colina uno de los más prometedores (Kunz et al., 2011). Sin embargo, no se puede hablar de un disolvente “verde” de manera formal. Lo “verde” que un disolvente puede llegar a ser debe considerarse en el contexto del proceso en el cual va a ser usado (Reichardt y Welton, 2011). Por esto, el uso de LI es mejor al ser comparados con un disolvente tradicional, ya que los primeros al contar con la capacidad de mejorar los rendimientos, selectividad y velocidad de extracción, tiene un estatus de un disolvente “verde”, pues reducen de gran manera los desperdicios y la energía usada.

3. Aplicación de líquidos iónicos en ciencia y tecnología de alimentos

Desde su aplicación inicial en 1970 como electrolitos en baterías (Tan, Liu y Pang, 2012), los li se han convertido en compuestos con gran potencial para ser usados en diferentes aplicaciones industriales y científicas como solventes, catalizadores y electrolitos. A la fecha, los li han sido aplicados en casi todas las ramas de la química incluyendo química orgánica, inorgá-

A. Franco-Vega, E. Palou, N. Ramírez-Corona, A. López-Malo

Temas Selectos de Ingeniería de Alimentos 8 - 1 (2014): 15-26

nica, bioquímica, fisicoquímica y química analítica; además de esto, su uso también se ha extendido a biocatálisis, biopolímeros, sensores, celdas solares, procesamiento de biomasa y como fluidos térmicos, entre otras aplicaciones (Cornellas et al., 2011).

En el área de la ciencia y tecnología de alimentos su uso es escaso; sin embargo, en los últimos años se han logrado los primeros avances en el estudio de la viabilidad de su aplicación (Albishri y El-Hady, 2014). Debido a la naturaleza compleja de los alimentos, uno de los retos que se presenta en su análisis es la extracción de analitos de interés; es por esto que de manera general los li se han estudiado como disolventes “verdes” en análisis de alimentos y extracción de metabolitos secundarios.

3.1. Análisis de alimentos

Los alimentos son una de las matrices más difíciles de manejar para su análisis debido a que están constituidos por una mezcla compleja de compuestos químicos. El pretratamiento de las muestras alimenticias es una de las fases más importantes de todo el proceso de análisis de alimentos. Esta etapa incluye la pre concentración del analito y la remoción de las interferencias que se encuentren en la matriz, con el fin de hacer al analito más apto para su separación y detección (Fontanals et al., 2012).

Es por esto que la investigación en técnicas de preparación de muestras se enfoca en el desarrollo de materiales nuevos que puedan lograr mayor selectividad y una mayor eficiencia de la técnica a utilizar. Los materiales basados en li han sido aplicados ampliamente debido a sus propiedades únicas, como polaridad y baja volatilidad ambas asociadas a interacciones iónicas y no polares, así como su comportamiento cromatográfico diferente, atribuido a los diferentes grupos funcionales que se encuentran en su superficie. Estos materiales interaccionan con los analitos por medio de cambio de aniones, enlaces hidrógeno, interacciones hidrofóbicas, entre otros (Tang et al., 2012).

El uso de los li en diferentes técnicas de preparación de muestras está siendo cada día más estudiado, reportándose avances en la separación de contaminantes, toxinas, compuestos tóxicos y metabolitos secundarios en alimentos (Matsumoto, Mochiduki, Fukunishi y Kondo, 2004b; Li, Pei, Wang, Fan y Wang, 2010; Fontanals et al., 2012). Sin embargo, la detección de metales pesados es el análisis en el que más se ha estudiado la aplicación de los li (Martín-Calero et al., 2011), demostrando que estos disolventes tiene tienen la capacidad de favorecer la separación y preconcentración de este tipo de contaminantes.

3.1.1. Determinación de metales

Para la determinación de metales en alimentos, tanto en matrices sólidas como líquidas, sólo tres líquidos iónicos han sido utilizados: tetrafluoroborato de 1-hexil-3-metilimidazolio (C6mim-BF4), hexafluorofosfato de 1-butil-3-metilimidazolio (C4mim-PF6), y hexafluorofosfato de 1-hexilpiridinio (C6Py-PF6) (Martín-Calero et al., 2012).

El procedimiento tradicional para la extracción de metales en muestras alimenticias involucra el uso de reactivos complejos, los cuales deben ser insolubles en agua, y además contar con una alta hidrofobicidad y viscosidad (Majidi y Shemirani, 2012). li como C 4mim-PF6 y C6Py-PF6 cumplen estos requisitos y han sustituido exitosamente a algunos solventes orgánicos como acetonitrilo, ácido nítrico y dietilditiocarbamato de sodio (Vaezzadeh, Shemirani y Majidi, 2010). También se ha estudiado la combinación de agentes quelantes con diferentes li para la determinación de metales, encontrándose que los li pueden actuar con cualquiera de ellos, sin necesidad de usar un quelante específico, demostrando que la única modificación que se realiza en el método de extracción es la sustitución del solvente orgánico por el li

Por último, los li tiene la capacidad de actuar como solvente y quelante a la vez, con la sola inclusión de un grupo funcional adecuado a su molécula, lo cual les da una ventaja adicional al reducir el número de reactivos usados en la extracción.

Análisis de alimentos líquidos

Muy pocos alimentos líquidos han sido analizados usando LI en la detección de metales pesados, existiendo sólo reportes acerca del uso de C6P y-PF6 para la detección de Zn y Al en muestras de leche descremada y varios jugos de frutas.

Los procesos de microextracción y microextracción líquidolíquido dispersiva (mlld) son los más usados en combinación con li mlld con li es una técnica de extracción exitosa debido a la gran superficie de contacto que existe entre las gotas del solvente (li) y el analito, que incrementa la velocidad del proceso de trasferencia de masa del analito de la fase acuosa a la fase extractante del li. Después de una centrifugación, la gota de li que contiene al metal de interés es muestreada con una jeringa y posteriormente sometida a la determinación analítica. Los li también han sido utilizados en el proceso de separación posterior a la extracción de metales en muestras líquidas, existiendo reporte de su uso en cromatografía de líquidos y de gases, donde son usados como parte de la fase estacionaria y actúan como fase de baja polaridad para la separación de compuestos no polares, o de manera contraria para grupos

A.

Temas Selectos de Ingeniería de Alimentos 8 - 1 (2014): 15-26

donadores de protones. Para esto, los li son inmovilizados en materiales de sílice o fijados en diferentes polímeros (Vidal, Riekkola y Canals, 2012).

El desempeño de estas técnicas con el uso de li ha sido comparado con sus modalidades tradicionales, y en todos los casos los métodos basados en el uso de li han presentado límites de detección menores, una precisión comparable o incluso mejor que con los solventes convencionales, así como un consumo de muestra similar o menor.

Análisis de alimentos sólidos

La determinación de metales en muestras sólidas con el uso de LI se ha realizado tanto en muestras con grasa (productos lácteos, riñones e hígado fresco) como en muestras bajas en grasas (harinas de arroz y trigo, té y leche en polvo). En estas determinaciones se han utilizado LI que tienen la capacidad de ser solventes y quelantes al mismo tiempo, para determinar Cd, mostrando buenos resultados, además de capacidad de ser reusados.

Para la determinación de elementos traza en muestras sólidas alimentarias es necesaria una descomposición previa, digestión, ya sea de acidificación húmeda o seca. Antes de utilizar extracciones empleando li la digestión también es necesaria. La fase del proceso de extracción es donde los li están involucrados, es decir posterior a la digestión. La microextracción es la técnica que se usa para todas las determinaciones en muestras sólidas.

En la microextracción los LI han sido utilizados en extracción líquido-líquido dispersiva (mlld), líquido-líquido homogénea (mllh) y de gota simple (mgs). De manera general, todas estas aplicaciones se caracterizan por requerir pequeñas cantidades de muestra y de LI en la fase de extracción. Estos métodos han sido usados para comparar li y disolventes tradicionales para la extracción y detección de metales pesados, obteniendo en la mayoría de los casos recuperaciones mayores al 96% al utilizar los li

3.2. Extracción

Los LI han emergido como una nueva opción de disolventes benignos al ambiente y rentables a largo plazo en diferentes técnicas de extracción de metabolitos secundarios obtenidos de plantas, frutos y semillas. Estos compuestos cuentan con la capacidad de disolver varios tipos de biomacromoléculas como la celulosa, quitina, almidón y proteínas, entre otras. Teóricamente, la disolución de este tipo de macromoléculas por medio de los li se atribuye al rompimiento de un gran número de enlaces hidrógeno inter e intra moleculares, y a la for-

mación de nuevos enlaces entre los OH+ de los carbohidratos y los aniones de los li (Jiao et al., 2013).

De manera general, se considera que las propiedades únicas de solvatación que poseen los li son debidas a la capacidad que tienen de asociarse tanto con compuestos polares como no polares, por medio de varias interacciones soluto-solvente (iónicas, dipolo, puentes hidrógeno, van der Waals y aromáticas) (Freemantle, 2010; Martín-Calero et al., 2011; Tang et al., 2012).

Es por esto que actualmente los li están siendo usados como medio de extracción en tecnologías emergentes como lo son la extracción asistida por microondas (MAE) y la extracción asistida por ultrasonido (UAE). Estas dos técnicas, además de ser usadas como nuevas tecnologías de extracción que favorecen rendimientos y dañan menos el ambiente, han sido también favorecidas por la adición del uso de licomo solventes, con lo cual se han convertido en opciones “verdes” para la extracción de metabolitos secundarios. En la tabla II se muestran algunos compuestos extraídos de plantas por medio de mae-li y uae-li

3.2.1. Extracción asistida por microondas con líquidos iónicos como solventes (mae-li)

Comparados con los solventes orgánicos tradicionales, los li presentan una mayor capacidad de absorber y transferir la energía de microondas. Debido a esto, las extracciones realizadas por medio de mae-li han mostrado una mayor eficiencia de extracción en menores tiempos que el uso de MAE utilizando agua como solvente o solventes orgánicos tradicionales (hexano y etanol) (Xu et al., 2012; Jiao et al., 2013).

Los mayores avances que se han realizado en el estudio de esta tecnología de extracción han sido en la obtención de metabolitos secundarios de diferentes partes de plantas, siendo la obtención de aceites esenciales una de las aplicaciones más estudiadas recientemente. La extracción de estos compuestos se ve favorecida no sólo por la capacidad de la transmisión de las microondas a través del li, sino también porque estos disolventes pueden actuar como surfactantes, formando emulsiones entre el aceite y el agua, convirtiendo a los li en disolventes ideales para la separación y extracción de aceites esenciales (Liu et al., 2011; Liu et al., 2012; Jiao et al., 2013).

Debido al gran interés que se ha despertado por el uso de mae-li para la extracción de compuestos de plantas, existe un amplio estudio acerca de los factores que afectan la efectividad de esta técnica; siendo la viscosidad, la relación sólido-líquido, el tiempo e intensidad del tratamiento, y el tipo de li utilizado, los más relevantes. Entre los diferentes estu-

A. Franco-Vega, E. Palou, N. Ramírez-Corona, A. López-Malo Temas Selectos de Ingeniería de Alimentos 8 - 1 (2014): 15-26

LI utilizado Método Compuesto Fuente Referencia

(Bmim)(BF4)

Tetrafluoroborato de 1-butil-3-metilimidazolio

(C2mim)Oac Acetato de 1-etil-3-metilimidazolio

(Bmim)(MS) Metilsulfato de 1-butil-3-metilimidazolio

(C3mim)Br Bromuro de 1-isopropil-3-metilimidazolio

(C8mim)Br

Bromuro de 1-octil-3-metilimidazolio

(Bmim)Br

Bromuro de 1-butil-3-metilimidazolio

(C2mim)Oac

Acetato de 1-etil-3-metilimidazolio

EAU-LI Compuestos fenólicos

EAU-LI Piperina

MAE-LI Alcaloides fenólicos

MAE-LI Aceite esencial

EAU-LI Luteolina

EAU-LI Ginsenósidos

Ácido carnósico

MAE-LI

Ácido rosamarÍnico

Aceite esencial

MAE-LI Flavonoides

MAE-LI Proantocianidinas

Proantocianidinas

MAE-LI

MAE-LI

Aceite esencial

Aceite esencial

Lonicera japonica (Madreselva)

Capsicum chinese (Chile blanco)

Nelumbo nucifera Gaertn (Rosa del nilo)

Tang et al., 2012

Semilla de Fructus forsythiae (Campana de oro) Jiao et al., 2013

Apium graveolens (Apio) Dandan y Kyung Ho, 2011

Raices de Panax pseudoginseng (Ginseng) Acton, 2013

Rosmarinus officinalis (Romero) Liu et al., 2011

Bauhinia championii Benth. (Negro de la vid)

Corteza de Larix gmelini (corteza de pino)

Cortex cinnamomi (Árbol cinnamomi)

Xu et al., 2012

Yang et al., 2013

Liu et al., 2012

Dryopteris fragrans (Helecho aromático) Jiao et al., 2013

(li:Líquido iónico; eau-li:Extracción asistida por ultrasonido con líquido iónico como solvente; mae-li:Extracción asistida por microondas con líquido iónico como solvente)

dios realizados sobre mae-li se ha investigado la aplicación de la extracción y destilación simultánea (Liu et al., 2012; Jiao et al., 2012), el uso de más de un ciclo de extracción antes de la destilación (Jin et al., 2011) y la división del proceso en dos fases de extracción (la primera extrayendo de la mezcla planta-LI, y una posterior donde sólo se extrae del LI impregnado con residuos de la planta) (Jiao et al., 2013); en todos los casos se han obtenido rendimientos mayores al compararse con técnicas tradicionales como hidrodestilación, extracción Soxhlet o el uso de la extracción asistida por microondas pero sin LI.

3.2.2. Extracción asistida por ultrasonido con líquido iónico como solvente (uae-li).

En los últimos años se ha reportado mucho acerca de la aplicación del ultrasonido como una técnica de extracción de materiales derivados de las plantas. Esta es una técnica de extracción prometedora debido a que puede lograr una gran reproducibilidad, tiene un manejo sencillo y reduce el uso de

solvente y la temperatura usada (Zu et al., 2013).

Si bien esta técnica se encuentra como un método establecido y la mejora en rendimientos ha sido probada con el uso de diferentes solventes, ha surgido el interés en el desarrollo de una extracción asistida por ultrasonido con líquido iónico como solvente (uae-li). Lo anterior debido a que el estrés causado por la cavitación sobre las paredes celulares favorece su rompimiento y, de esta manera, la liberación de los metabolitos secundarios (Vilkhu, Mawson, Simons y Betaes, 2008), lo cual al combinarse con la capacidad que presentan los LI de desintegrar macromoléculas, aumentaría aún más la capacidad de extracción de la técnica.

A diferencia de mae-li, los compuestos que se han extraído por medio de uae-li en la mayoría de los casos no son aceites esenciales, sino otro tipo de compuestos como taninos y flavonoides (Sun et al., 2013), ácidos orgánicos (Zu et al., 2012) y alcaloides (Cao et al., 2009). Entre los estudios realizados acerca de la factibilidad del uso de UAE-LI, se ha examinado

Tabla II. Compuestos extraídos de plantas por medio de eau-li y eam-li

A.

Temas Selectos de Ingeniería de Alimentos 8 - 1 (2014): 15-26

el efecto de algunos parámetros sobre la eficiencia de extracción, como son la concentración de li, intensidad y tiempo de tratamiento con ultrasonido. Al comparar uae-li con uae e hidrodestilación, se han obtenido tiempos de extracción más cortos y eficiencias de extracción más altas, con lo cual se ha demostrado la capacidad que tiene la aplicación de los li en este tipo de extracción emergente.

4. Retos del uso de li a escala industrial

Debido a lo expuesto en las secciones anteriores de esta revisión, el uso de li en el área de análisis y técnicas de extracción a escala industrial, tanto en la industria de alimentos como en otras, presenta un panorama prometedor. Sin embargo, como sucede con cualquier compuesto nuevo, existen propiedades y comportamientos pre y post proceso que aún faltan por entender. Una de las mayores barreras que presenta el uso de los li es la ausencia del conocimiento profundo de sus propiedades físicas, químicas y térmicas; el conocimiento de estas propiedades es necesario para decidir cuando el uso de estos solventes se puede extender del laboratorio a aplicaciones industriales. Para el diseño de un proceso con li que sea rentable y seguro, al menos es necesario entender sus propiedades físicas y termofísicas más relevantes como densidad, viscosidad y capacidad calorífica (Aparicio et al., 2010). Si bien, en los últimos años el número de estudios acerca de las diferentes propiedades de los li ha aumentado notablemente (Martin-Calero et al., 2001; Mantz y Trulove, 2008; Huang, 2011; Yau et al., 2013), las propiedades estudiadas suelen ser las mismas por los diferentes grupos de investigadores, y los rangos de presión-temperatura a los cuales se obtienen estas propiedades son limitados y ni siquiera se encuentran cerca de las condiciones de operación que realmente se utilizan en la industria. Además, la gran cantidad de aniones y cationes que existen ocasiona que se dé una diferencia enorme entre las propiedades de distintos li, siendo relevante el estudio de la relación que se presenta entre su estructura y sus propiedades. En cuanto a su estatus de solventes seguros, es necesario contar con información exacta acerca de la toxicidad e impacto ambiental de los li, ya que es de importancia crítica para su aplicación a gran escala. A pesar de que los li han sido considerados solventes “verdes”, es necesario tomar en cuenta que, debido a que son altamente hidrofílicos, la forma de introducirse al ambiente es por medio del agua, por lo cual ha incrementado la preocupación acerca de la toxicidad real de estos compuestos. Debido a esto, se ha probado el efecto tóxico so-

bre algunas especies de peces y microorganismos (Matsumoto et al., 2004a; Matsumoto et al., 2004b; Cornellas et al., 2011) encontrando que su DL50 (dosis letal 50) es mayor a 2000 mg/ kg. Sin embargo, aún es necesaria más investigación acerca del tratamiento que se le debe dar a los residuos de estos compuestos.

Por último, antes de usar los LI a escala industrial es necesario tomar en cuenta que pueden ser alterados de menara dramática por la presencia de impurezas. Las impurezas pueden cambiar la naturaleza de estos compuestos, lo cual limita su aplicación en situaciones en las cuales una contaminación no puede ser fácilmente controlada. Muchas veces las impurezas que se presentan en los li se encuentran por debajo del límite de detección, razón por la cual es necesario el uso de técnicas como la cromatografía de columna para poder detectarlas (Liu et al., 2009).

Conclusión y cometarios finales

El uso de los LI representa una de las opciones más novedosas para reemplazar a los disolventes tradicionales usados en las diferentes técnicas analíticas y de extracción en la ciencia y tecnología de alimentos. A pesar de que su aplicación aún se encuentra en etapa experimental, los pocos resultados de su uso en métodos tradicionales y emergentes presentan un panorama promisorio acerca de su capacidad de crear nuevas técnicas con mayor selectividad, mayor rendimiento, y menor tiempo de proceso que las técnicas tradicionales.

La aplicación de los LI en técnicas de extracción emergentes (asistidas por microondas y ultrasonido) es muy prometedora, por lo cual se espera que el estudio, aplicaciones y alcances de estas técnicas se extiendan cada vez más y den pauta al desarrollo de industrias alimentarias más “verdes”.

Como sucede en las primeras etapas del uso de cualquier compuesto nuevo, el comportamiento y aplicación de LI aún presentan algunas incógnitas como la obtención de sus propiedades y cómo estas son afectadas por factores extrínsecos e intrínsecos, el efecto de la presencia de impurezas sobre su capacidad de reacción y la forma en la que deben de ser tratados después de su uso, entre otras. Lo anterior hace evidente la gran ventana de oportunidad que estos compuestos representan, ya que para vencer estos retos es necesario el desarrollo de más investigación acerca de los líquidos iónicos y sus aplicaciones.

A. Franco-Vega, E. Palou, N. Ramírez-Corona, A. López-Malo Temas Selectos de Ingeniería de Alimentos 8 - 1 (2014): 15-26

Agradecimientos

La autora Franco-Vega agradece al Consejo Nacional de Ciencia y Tecnología (conacyt) y a la Universidad de las Américas Puebla (udlap) por el apoyo para sus estudios de posgrado.

Referencias

Acton, A. (2013). Triterpenes-advances in research and application. Atlanta. Scholary editions.

Albishri, H. y El- Hady, D. (2014). Eco-friendly ionic liquid based ultrasonic assisted selective extraction coupled with a simple liquid chromatography for the reliable determination of acrylamide in food samples. Talanta, 118, 129-136.

Aparicio, S.; Athilan, M. y Karadas, F. (2010). Thermophysical properties of pure ionic liquids: Review of present situation. Industrial & Engineering Chemistry Research. 49, 9580-9595.

Cao, X.; Ye, W.; Lu, Y.; Yu, Y. y Mo, W. (2009). Ionic liquid-based ultrasonic-assisted extraction of piperine from white pepper. Analytica chimica acta 640(1-2), 47-51.

Clare, B.; Sirwardana, A. y MacFarlane, D. (2009). Synthesis, purification and characterization of ionic liquids. En Kirchner, B. Topics in current chemistry: ionic liquids (págs. 1-39). Alemania. Springer.

Clayden, J.; Greeves, N. y Warren, S. (2012). Organic chemistry (2da Ed.). Nueva York. Oxford University Press.

Cornellas, A.; Perez, L.; Comelles, F.; Ribosa, I.; Manresa, A. y Garcia, M. (2011). Sel-aggregation and antimicrobial activity of imidazolium and pyridinium based ionic liquids in aqueous solution. Journal of Colloid and Interface Science, 355, 164-171.

Dandan, H. y Kyung Ho, R. (2011). Determination of luteolin and apigenin in celery using ultrasonic assisted extraction based on aqueous solution of ionic liquid coupled with HPLC quantification. Journal of the Science of Food & Agriculture, 15, 2888-2892.

Fontanals, N.; Borrull, F. y Marcé, R. (2012). Ionic liquids in solid-phase extraction. Trends in Analytical Chemistry, 41, 15-26.

Freemantle, M. (2010). An introduction to ionic liquids. Cambridge: The royal society of chemistry.

Gendazewska, D. y Liwarska-Bizukojc, E. (2013). Comparison of imidazolium ionic liquids and traditional organic solvents: effect on activated sludge processes. Water Science and Technology, 68(12), 2654-2660.

Gilbert, J. y Martin, S. (2010). Experimental organic chemistry: A miniscale and microscale approach (5ta Ed). Boston. Brooks/Cole cengage Learning.

Gordon, C. y Muldoon, M. (2008). Synthesis of ionic liquids. En Wasserscheis, P. y Welton, T. Ionic liquids in synthesis (págs.7-20). Alemania. John Wiley & Sons.

Huang, M. (2011). Dielectric properties of ionic liquids. Tesis doctoral no publicada, Ruhr University. Faculty of chemistry and biochemistry. Alemania: Isengard, H. y Breithaupt, D. (2009). Food analysis. En Campbell-Plat, G. Food science and technology (págs. 200220). Oxford: Wiley-Blackwell.

Jiao, J., Gai, Q., Fu, Y., Zu, Y., Luo, M., y Zhao, C. (2013). Microwave-assisted ionic liquids treatment followed by hydro-distillation for the efficient isolation of essential oil from Fructus forsythiae seed. Separation and Purification Technology, 107, 228-237.

Jin, R., Fan, L., y An, X. (2011). Microwave assisted ionic liquid pretreatment of medicinal plants for fast solvent extraction of active ingredients. Separation and Purification Technology, 83, 45-49.

Kunz, W.; Maurer, E.; Klein, R.; Tourad, D.; Rengstl, D.; Harrar, A.; Dengler, S. y Zech, O. (2011). Low toxic liquids, liquid catanionics, and ionic liquid microemulsions. Journal of Dispersion Science and Technology, 32, 1694-1699.

Lancaster, M. (2010). Green chemistry: An introductory text (2da Ed.). Cambridge. The Royal Society of Chemistry.

Li, Z.; Pei, Y.; Wang, H.; Fan, J. y Wang, J. (2010). Ionic liquid-based aqueous two-phase systems and their applications in green separation processes. Trends in Analytical Chemistry, 29, 1336-1346.

Liu, S., Yang, F., Zhang, C., Ji, H., Hong, P., y Deng, C. (2009). Optimization of process parameters for supercritical carbon dioxide extraction of Passiflora seed oil by response surface methodology. The Journal of Supercritical Fluids, 48, 9–14.

Liu, T., Sui, X., Zhang, R., y Yang, T. (2011). Application of ionic liquids based microwave-assisted simultaneous extraction of carnosic acid, rosmarinic acid and essential oil from Rosmarinus officinalis Journal of Chromatography, 1218(47), 8480-8489.

A. Franco-Vega, E. Palou, N. Ramírez-Corona, A. López-Malo Temas Selectos de Ingeniería de Alimentos 8 - 1 (2014): 15-26

Liu, Y., Yang, L., Zu, Y., Zhao, C., Zhang, L., Zhang, Y., Zhang, Z. y Wang, W. (2012). Development of an ionic liquid-based microwave-assisted method for simultaneous extraction and distillation for determination of proanthocyanidins and essential oil in Cortex cinnamomi Food Chemistry, 135, 2514-2521.

Majidi, B. y Shemirani, F. (2012). Solvent-based de-emulsification dispersive liquid–liquid microextraction of palladium in environmental samples and determination by electrothermal atomic absorption spectrometry. Talanta, 93, 245-251.

Mantz, R. y Trulove, P. (2008). Viscosity and density of ionic liquids. En Wasserscheid, P. y Welton, T. Ionic liquids in synthesis. Alemania. Wiley-VCH.

Martín-Calero, A.; Pino, V. y Afonso, A. (2011). Ionic liquids as a tool for determination of metals and organic compounds in food analysis. Trends in Analytical Chemistry, 30(10), 1598-1619.

Matsumoto, M.; Mochiduki, K. y Kondo, K. (2004b). Toxicity of ionic liquids and organic solvents to lactic acid-producing bacteria. Journal of Bioscience and Bioengineering, 98(5), 344-347.

Matsumoto, M.; Mochiduki, K.; Fukunishi, K. y Kondo, K. (2004a). Extraction of organic using imidazolium-based ionic liquids and their toxicity to Lactobacillus rhamnosus Separation and Purification Technology, 40, 97-101.

Messali, M.; Moussa, Z.; Alzahrani, A.; El-Naggar, M.; ElDouhaibi, A.; Judeh, Z. y Hammuti, B. (2013). Synthesis, characterization and the antimicrobial activity of new eco-friendly ionic liquids. Chemosphere, 91, 1627-1634.

Morrison, R. y Boyd, R. (1998). Química orgánica (5ta Ed.). Boston: Pearson.

Reichardt, C. y Welton, T. (2011). Solvents and solvent effects in organic chemistry (4ta Ed.). Alemania: Wiley-VCH.

Riaño, N. (2007). Fundamentos de química analítica básica (2da Ed.). Colombia: Universidad de Caldas.

Sun, X.; Jin, Z.; Yang, L.; Hao, J.; Zu, Y.; Wang, W. y Liu, W. (2013). Ultrasonic-assisted extraction of procyanidins using ionic liquid solution from Larix gmelinii Bark Journal of Chemistry. 2013(ID 541037), 1-9. http://dx.doi. org//10.1155/2013/541037

Tan, Z.; Liu, J. y Pang, L. (2012). Advances in analytical chemistry using the unique properties of ionic liquids. Trens in Analytical Chemistry, 39, 218-227.

Tang, B.; Bi, W.; Tian, M. y Row, K. (2012). Application of ionic liquid for extraction and separation of bioactive com-

pounds from plants. Journal of Chromatography B, 904, 1-21.

Vaezzadeh, M.; Shemirani, F. y Majidi, B. (2010). Microextraction technique based on ionic liquid for preconcentration and determination of palladium in food additive, sea water, tea and biologicla samples. Food and Chemical Toxicology 48(6), 1455-1460.

Vidal, L.; Riekkola, M. y Canals, A. (2012). Ionic liquid-modified materials for solid-phase extraction and separation: A review. Analytica Chimica Acta, 715, 19-41.

Vilkhu, K.; Mawson, R.; Simons, L. y Bates, D. (2008). Applications and opportunities for ultrasound assisted extraction in the food industry-A review. Innovative Food Science & Emerging Technologies, 9(2), 161-169.

Wakelyn, P. y Wan, P. (2001). Food industry-solvents for extracting vegetable oils. En Wypych, G. Handbook of solvents (pág.923). Toronto. ChemTec Publishing. P 923.

Xu, W., Chu, K., Li, H., Zhang, Y., Zheng, H., y Chen, R. (2012). Ionic liquid-based microwave-assisted extraction of flavonoids from Bauhinia championii (benth.) Benth. Molecules, 17, 14323-14335.

Yang, L.; Sun, X.; Yang, F.; Zhao, C.; Zhang, L. y Zu, Y. (2013). Application of ionic liquids in the microwave-assisted extraction of proanthocyanidins from Larix gmelini Bark. International journal of molecular sciences, 13, 5163-5178.

Yao, H.; Du, X.; Yang, L.; Wang, W.; Yang, F.; Zhao, C.; Meng, X.; Zhang, L. y Zu, Y. (2012). Microwave-assisted method for simultaneous extraction and hydrolysis for determination of flavonol glycosides in Ginkgo foliage using Brönsted acidic ionic-liquid [HO3S(CH2)4mim]HSO4 aqueous solutions. International Journal of Molecular Science, 13(7), 8775-8788.

Yau, H.; Keaveney, S.; Butler, B.; Tanner, E.; Guerry, M.; George, S.; Dunn, M.; Croft, A. and Harper, J. (2013). Towards solvent-controlled reactivity in ionic liquids. Pure and Applied Chemistry, 85(10), 1979-1990.

Youngs, T.; Hardacre, C. y Mullan, C. (2008). Experimental and theoretical structure of ionic liquids. En M. Koel, Ionic liquids in chemical analysis (págs. 73-80). Boca Ratón: CRC Press, Taylor & Francis Group.

Zu, G.; Zhang, R.; Yang, L.; Ma, C.; Wang, W. y Zhao, C. (2012). Ultrasound-assisted extraction of carnosic acid and rosmarinic acid using ionic liquid solution form Rosmarinus officinalis. International Journal of Molecular Sciences, 13(9), 11027-11043.

Tratamientos cuarentenarios no químicos como alternativa en frutos cítricos

D. B. Queb-González* y A. López-Malo

Departamento de Ingeniería Química, Alimentos y Ambiental, Universidad de las Américas Puebla. Ex hacienda Sta. Catarina Mártir S/N, San Andrés Cholula, Puebla. C.P.72810. México.

RESUMEN

Los tratamientos cuarentenarios son aplicados en frutos de exportación para evitar la propagación de plagas o insectos a los países que importan dichos productos. Sin embargo, se requiere de encontrar tecnologías que puedan reemplazar el uso de bromuro de metilo, ya que, aunque es una sustancia muy eficiente para el control de plagas y microorganismos, es muy dañina para la capa de ozono. El objetivo de la presente revisión es presentar una breve descripción de las tecnologías aplicadas como tratamientos cuarentenarios no químicos (calor, frío o irradiación).

Palabras clave: tratamientos cuarentenarios, frutos cítricos, plagas, mosca de la fruta.

ABSTRACT

It’s required applied quarantine treatments in fruits for exportation to prevent the spread of pests or insects through countries that import these products. Therefore, it’s required research about technologies that may replace the use of methyl bromide, instead its efficiency to control pests and microorganisms, it promotes damage in the ozone layer. The aim of this review is to present a brief description of the technologies applied as non-chemical quarantine treatments (heat, refrigeration or irradiation).

Keywords: quarantine treatments, citrus fruits, pests, fruit fly.

Programa de Maestría en Ciencia de Alimentos

Tel.: +52 222 229 2126

Fax: +52 222 229 2727

Dirección electrónica: diana.quebgz@udlap.mx

Temas Selectos de Ingeniería de Alimentos 8 - 1 (2014): 27-33

Introducción

A nivel mundial se ha observado una tendencia de mayor consumo de frutas cítricas en fresco que procesadas, la cual indica la importancia de conservar las características de frescura en los frutos a lo largo de la cadena de suministro, tanto para uso doméstico como para exportación (Ladaniya, 2008). Este aumento de demanda de frutas cítricas ha originado un incremento en la producción de dichos frutos. Por consiguiente, surge la necesidad del desarrollo de programas de manejo poscosecha para minimizar las pérdidas, preservar la calidad de los frutos frescos y asegurar un mejor retorno económico (Ladaniya, 2008).

Una de las problemáticas de manejar productos en fresco es que se pueden propagar plagas de insectos endémicos de los países de origen a los países importadores. Para evitar que esto suceda se han establecido procedimientos que integran los tratamientos cuarentenarios (Mercado, 2011). También se debe considerar la necesidad de eliminar el uso de fungicidas, insecticidas y otros agentes químicos que son tóxicos para el ser humano y contaminan el medio ambiente (Ladaniya, 2008). Este es el caso del bromuro de metilo, el cual es muy eficiente para el control de plagas y microorganismos en frutas; sin embargo, es considerado como una de las sustancias más dañinas para la capa de ozono (upo, 2012).

Debido a lo anterior, México ha elaborado un Plan Nacional de Eliminación del Consumo de Bromuro de Metilo, con base en el Protocolo de Montreal (upo, 2012), uniéndose en la necesidad, al igual que otros países exportadores de frutas, de buscar tratamientos cuarentenarios que reemplacen el uso de compuestos tóxicos.

La citricultura en México es una actividad de gran importancia dentro de la fruticultura nacional. Se produce un promedio anual de 6.7 millones de toneladas de fruta, con un valor estimado de 8,050 millones de pesos, situando al país en el quinto lugar a nivel mundial en la producción de cítricos (Sandoval, 2011). Por lo que es de importancia estudiar el impacto en la calidad de los frutos cítricos (parámetros físico-químicos, sensoriales y nutricionales) al aplicar tratamientos cuarentenarios no químicos para el control de plagas y enfermedades (Rojas-Argudo et al., 2007).

El objetivo del presente artículo es presentar una revisión sobre el uso de tratamientos cuarentenarios no químicos para cítricos, debido a que es de importancia conocer las tecnologías propuestas para el reemplazo del uso del bromuro de metilo.

Revisión bibliográfica

1. Frutos cítricos: generalidades

El término utilizado comúnmente como cítrico, se refiere al género Citrus, el cual está compuesto por plantas de mediano a gran desarrollo que pertenecen a la familia Rutaceae. Se cosechan frutos que contienen compuestos de interés nutrimental y sensorial, entre los cuales están el ácido ascórbico, ácido cítrico, vitamina A, aceites aromáticos y flavonoides, compuestos que varían con la especie y la variedad del fruto (Dorji y Yapwattanaphun, 2011).

La Organización para la Cooperación y Desarrollo Económico (oecd por sus siglas en inglés, 2010) clasifica como frutas cítricas las siguientes especies con sus respectivas variedades: Citrus limón (L.) Burm. F. (limones); Citrus latifolia (Yu. Tanaka) (limas); Citrus reticulata Blanco (mandarinas), incluyendo satsumas (Citrus unshiu Marcow), clementinas (Citrus clementina hort. ex Tanaka), mandarinas comunes (Citrus deliciosa Ten.) y tangerinas (Citrus tangerina hort. ex Tanaka); Citrus sinensis (L.) Osbeck (naranjas); Citrus paradisi Macfad (toronjas), Citrus máxima (Burm.) Merr. (shaddock).

Para la comercialización de frutas cítricas frescas se evalúan atributos de calidad fisicoquímicos como pérdida de peso, firmeza, color, acidez e índice de madurez, entre otros (Ladaniya, 2008). Sin embargo, en la actualidad los consumidores también valoran la calidad nutricional de los productos frescos, por lo que recientes investigaciones sobre tecnologías poscosecha y tratamientos cuarentenarios se están enfocando en mantener la calidad tanto fisicoquímica como nutricional de los frutos desde su cosecha hasta que lleguen a los consumidores (Contreras-Oliva, Pérez-Gago, Palou y Rojas-Argudo, 2011).

Entre las principales causas que originan grandes pérdidas poscosecha está la pérdida de peso, pérdida de valor nutricional, infecciones e infestaciones por insectos voladores (Ladaniya, 2008), siendo esta última causa uno de los problemas críticos para el comercio internacional de los frutos (Vázquez, Velázquez y Ramírez, 2011).

Para el control de la mosca de la fruta y sus larvas se aplican tratamientos cuarentenarios, que también han resultado efectivos para el control de hongos fitopatógenos o para inhibir ciertas enzimas o vías metabólicas que aumentan el decaimiento poscosecha (Sosa-Morales, López-Malo y García, 2011).

1.1. Plagas

La mosca de la fruta (Diptera:Tephritidae) es la plaga más grave en el mundo. Muchas de sus especies tienen un ciclo de vida

similar, que consiste en que las hembras apareadas depositan los huevos dentro de la fruta en donde se convierten en larvas; posteriormente pasan al suelo para transformarse en pupa y finalmente se convierten en moscas adultas que emergen de la tierra. Dependiendo de las variedades de los hospedantes que atacan, se clasifican en monófagas, oligófagas y polífagas, es decir, se alimentan de una, dos o más variedades de frutas, respectivamente (Muthuthantri y Clarkem, 2012).

Muchos países mantienen protocolos cuarentenarios estrictos contra la mosca de la fruta del Mediterráneo, Ceratitis capitata, (Wiedemann) (Diptera:Tephritidae) que es considerada como una de las plagas más dañinas en frutos cítricos (Contreras-Oliva, Rojas-Argudo y Pérez-Gago, 2010).

Sosa-Morales et al. (2011) mencionan que la plaga más importante en cítricos a controlar en México, es la Anastrepha ludens (Loew) también conocida como mosca mexicana de la fruta; en Florida, EE. UU., es la mosca del Caribe, Anastrepha suspensa (Loew), que puede encontrarse en toronjas y naranjas.

1.2. Enfermedades

La enfermedad fúngica conocida como mancha negra de los cítricos (cbs, por sus siglas en inglés) afecta la calidad comercial de los frutos cítricos en el campo y durante su transporte. Es originada por Guignardia citricarpa Kiely, conocida como Phyllosticta citricarpa McAlp Van der Aa en su estado asexual. Esta enfermedad está presente en Australia, Argentina, Brasil, India y Sudáfrica (Meyer, Jacobs, Kotzé, Truter y Korsten, 2012). A pesar de las medidas actuales que restringen el comercio entre los países en los que no se ha manifestado la CBS, recientemente fue detectada en Florida, EE. UU. (Roberts, Marois y Van Bruggen, 2013).

La causa más frecuente del deterioro en la calidad en los frutos cítricos durante su transportación es la pudrición originada por Penicillium digitatum y Penicillium italicum, mohos fitopatógenos que no pueden afectar la fruta si esta no tiene heridas en su superficie. La mayor amenaza de estos mohos es el hecho de que sus esporas tienen la característica de ser aerotransportadas (Ladaniya, 2008). Sangwanich, Sangchote y Leelasuphakul (2012) mencionan que P. digitatum (moho verde) es la principal enfermedad poscosecha en cítricos.

Para prevenir la propagación de las plagas y enfermedades de los países exportadores a los importadores, se elaboran acuerdos bilaterales en los que se especifican estándares fitosanitarios para este fin, los cuales son conocidos también como tratamientos cuarentenarios (Mercado, 2011).

2. Tratamientos cuarentenarios

Los primeros tratamientos cuarentenarios consistían en la aplicación de insecticidas, como el bromuro de metilo, que ha seguido un proceso gradual de eliminación de su uso debido al impacto negativo que provoca en la capa de ozono. Como alternativa se han desarrollado tratamientos cuarentenarios que involucran el uso de factores físicos para la eliminación de las plagas (Mercado, 2011).

Vázquez et al. (2011) mencionan que las tecnologías emergentes que son adecuadas para la inactivación de microrganismos en alimentos están siendo estudiadas para su aplicación contra plagas en frutos de exportación. A continuación se hace una breve descripción de las tecnologías que han sido propuestas y/o estudiadas como alternativas para el tratamiento cuarentenario en frutos cítricos. Entre ellas está el almacenamiento a bajas temperaturas, las atmósferas insecticidas, las altas presiones hidrostáticas y los tratamientos cuarentenarios térmicos. Estos últimos incluyen aire forzado, vapor, inmersión en agua, irradiación y microondas.

2.1.

Almacenamiento

a bajas temperaturas

Este tratamiento cuarentenario consiste en reducir la temperatura por debajo de los límites de tolerancia térmica de la plaga (Vázquez et al., 2011). Mercado (2011) menciona que las frutas son almacenadas a 0.56, 1.11 o 1.67°C durante 18, 20 o 22 días, respectivamente; sin embargo, estas condiciones originan daño por frío en los cítricos disminuyendo su calidad y valor comercial, por consiguiente se están realizando investigaciones para el desarrollo de tratamientos cuarentenarios alternativos o combinados con el de bajas temperaturas (Contreras-Oliva et al., 2010). Entre las tecnologías en investigación para combinar con esta tecnología está la aplicación de atmósferas insecticidas o/e irradiación (Contreras-Oliva et al., 2011).

2.2. Atmósferas insecticidas

Uno de los tratamientos con atmósferas que se ha evaluado como insecticida es la exposición de los frutos a altas concentraciones de dióxido de carbono combinado con temperaturas desde 1.5 a 33°C, estás condiciones dependen de la plaga y del fruto a tratar. Contreras-Oliva et al. (2011) mencionan que en este tratamiento las frutas cítricas son expuestas a altas concentraciones de CO 2 de manera previa o posterior al tratamiento con temperaturas cercanas a la congelación. Estos autores han obtenido un porcentaje de mortalidad del cien por ciento de C. capitata sin disminuir la calidad fisicoquímica y sensorial en las mandarinas ‘Clementine’ expuestas a 1.5°C durante

D. B. Queb-González y

3 días y posteriormente tratadas con 95% de CO2

De manera similar, se está estudiando el uso de las atmósferas insecticidas y temperaturas de 33°C, para el control poscosecha del moho verde en mandarinas. La combinación óptima de la composición del gas y temperatura debe estudiarse con base en cada sistema plaga-hospedero (Contreras-Oliva et al., 2010).

2.3. Altas presiones hidrostáticas

El efecto de las altas presiones hidrostáticas es instantáneo y uniforme dentro de la cámara de trabajo, reduciendo el volumen de la fruta incluyendo los organismos dentro de ella. El nivel de reducción depende de la presión aplicada, el tiempo del tratamiento y la temperatura. Esta tecnología promueve la desnaturalización de las proteínas presentes en los huevos y larvas de la mosca de la fruta, generando daños que afectan la viabilidad del organismo, inhibiendo su crecimiento y desarrollo. Se ha observado resistencia de ciertos organismos a las altas presiones hidrostáticas. Esto puede deberse a propiedades como su estructura o composición. Por ejemplo, se ha reportado que los huevos de la mosca de la fruta son más tolerantes a los tratamientos de altas presiones hidrostáticas que las larvas (Vázquez et al., 2011).

Velázquez et al. (2010) realizaron investigaciones en las que se aplicaron altas presiones hidrostáticas (25, 50, 75, 100 o 150 MPa durante 0, 5, 10 o 20 minutos) a 0°C, contra los huevos y larvas de la mosca mexicana de la fruta, Anastrepha ludens Loew (Diptera: Tephritidae). Los resultados concuerdan con lo mencionado en el párrafo anterior, debido a que para la destrucción de los huevos de la mosca de la fruta se requirieron 150 MPa, mientras que para la destrucción de las larvas se necesitaron 75 MPa, con un tiempo de 20 minutos a 0°C para ambos casos.

Otros autores han reportado que al aplicar 25°C durante 20 minutos se requiere de niveles de presión mayores a 150 MPa para la eliminación de la mosca mexicana de la fruta en cítricos, pero se ha observado que con este tratamiento es afectada la apariencia de la fruta (Candelario et al., 2010). Esto se debe a que la estructura de los cítricos muestra poca resistencia a las altas presiones, por lo que su calidad se ve afectada; también se ha observado que el daño varía dependiendo de los niveles de madurez de la fruta (Vázquez et al., 2011).

A pesar de obtener cien por ciento de mortalidad, se requiere de más estudios en los que se combine esta tecnología con bajas temperaturas, con el objetivo de evitar el daño de las frutas por las altas presiones (Velázquez et al., 2010).

2.4. Tratamientos

cuarentenarios térmicos

Las condiciones a las que las frutas son sometidas a este tipo de tratamientos dependen de la sensibilidad de la plaga que se desea eliminar y de la etapa del ciclo de vida en la que el insecto se encuentra, así como de la resistencia de las frutas a la transferencia de calor por conducción. Las altas temperaturas promueven cambios en el metabolismo, la respiración, el sistema nervioso y el sistema endocrino de los insectos; sin embargo, estos pueden presentar termotolerancia, la cual se debe a una proteína que se encarga de proteger las células contra el estrés térmico (Sosa- Morales et al., 2011).

La resistencia de los huevos de la mosca de la fruta al calor varía dependiendo de la especie, pero se observa que esta decrece arriba de los 40°C, siendo de 50 a 80 minutos el tiempo mínimo requerido para obtener un 100% de mortalidad a 44°C y solamente se requieren de 0.5 a 3 minutos a 50°C. Como se mencionó con anterioridad, los huevos de los insectos son más termotolerantes que las larvas; sin embargo, estas últimas pueden cavar un túnel dentro de la fruta haciendo que sea más difícil eliminarlas. Esto puede deberse a que la pulpa de la fruta alrededor de la larva actúa como disipador de calor, sirviendo como aislante y protegiéndola de las altas temperaturas (Vázquez et al., 2011) y a que la conducción de calor a través de la pulpa de la fruta depende en gran medida del tamaño del fruto, siendo un factor limitante en la velocidad de calentamiento (Wang, Tang y Cavalieri, 2001).

Los tratamientos térmicos son frecuentemente utilizados como métodos cuarentenarios porque han demostrado altos niveles de eficacia (Vázquez et al., 2011); sin embargo, la tasa de calentamiento dentro de la fruta es lenta, resultando en tiempos prolongados de tratamiento, por lo que se ven afectados atributos sensoriales como el sabor (Birla et al., 2005). Otra desventaja es que el tiempo de calentamiento requerido varía con base en el tamaño y peso del fruto a ser tratado, así como con el medio de transferencia de calor (aire caliente forzado, vapor o inmersión en agua) (Sosa- Morales et al., 2011).

2.4.1. Aire caliente forzado

Con el uso de aire forzado como medio de transferencia de calor, las frutas cítricas son expuestas a corrientes de aire caliente hasta alcanzar 44°C en el centro y mantener dicha temperatura durante un tiempo de 44 minutos; se debe considerar que la razón de calentamiento se ve afectada por la velocidad del aire (Sosa-Morales et al., 2011). En el tratamiento cuarentenario de la mandarina Clementina con aire forzado se requiere alcanzar la temperatura de 44 °C en el centro del fruto y mantenerla durante 190 minutos o más (sagarpa, senasica/dgsv, 2009).

D. B. Queb-González y A. López-Malo

Temas Selectos de Ingeniería de Alimentos 8 - 1 (2014): 27-33

2.4.2. Vapor

El proceso de este tratamiento es similar al de aire forzado, la diferencia es que se emplea vapor, el cual facilita la transferencia de calor y, en el caso de la mandarina Clementina (tangerina pequeña) se requiere alcanzar 43 °C en el centro, manteniendo dicha temperatura durante 6 horas (Sosa-Morales et al., 2011).

2.4.3. Inmersión en agua

En este tratamiento los frutos son sumergidos en agua caliente, a temperaturas mayores a 40°C, siendo más eficiente que los tratamientos en los que se utiliza aire forzado caliente. Esto se debe a que el agua cuenta con mayor conductividad térmica y la difusividad térmica de la fruta no tiene una influencia significativa en la transferencia de calor. Se ha probado que este tratamiento es efectivo contra la larva de la mosca de la fruta en frutas como mangos, cítricos y papaya (Sosa-Morales et al., 2011).

Yun et al. (2013) mencionan que los sistemas de aire forzado y de inmersión en agua caliente están siendo utilizados para inhibir el decaimiento poscosecha en frutas, debido a que no se generan residuos químicos.

2.4.4. Irradiación

La irradiación de alimentos es una tecnología que ayuda a disminuir o eliminar microorganismos e insectos en el interior o sobre frutas. Existen tres fuentes de radiación aprobadas para su uso en alimentos: rayos gamma, rayos X y haces de electrones (fda, 2013).

Mercado (2011) menciona que esta tecnología puede ser aplicada a temperatura ambiente sin alterar la temperatura del producto. Para evitar una sobredosis, el mismo protocolo indica que la dosis máxima no debe de exceder 1000 Gy.

Estudios recientes han demostrado que la irradiación de las frutas cítricas reduce significativamente el contenido total de ácido ascórbico cuando las dosis de irradiación son elevadas (Contreras-Oliva et al., 2011). Por otro lado, se ha reportado que dosis de irradiación entre 150 y 400 Gy aplicadas en naranjas Navel para la eliminación de la mosca de la fruta (Tephritidae) y otras plagas, han originado lesiones en la piel de los frutos (Follett y Griffin, 2013).

Con la finalidad de reducir la dosis de exposición a la irradiación y el tiempo de almacenamiento a temperaturas cercanas a la congelación, se han realizado investigaciones combinando estas dos tecnologías. Se han llevado a cabo investigaciones para la eliminación de la mosca mediterránea de la fruta en mandarinas (Citrus reticulata Blanco) aplicando

rayos X con una dosis entre 30 y 134 Gy y exponiéndolas posteriormente a 1°C durante 2 días. Con esta combinación de tratamientos se obtuvo cien por ciento de mortalidad y se redujo considerablemente el tiempo de cuarentena comparando con los tiempos estándares cuarentenarios (1.1-2.2°C durante 1418 días) (Contreras-Oliva et al., 2011).

2.4.5. Microondas

El calentamiento con microondas ha sido considerado como una alternativa a los tratamientos térmicos tradicionales. De acuerdo a la fda (2013) se define calentamiento con microondas a “el uso de ondas electromagnéticas a ciertas frecuencias para generar calor en un material”. Las microondas son ondas electromagnéticas en un rango de 300 MHz a 300 GHz; 915 y 2450 MHz, son las frecuencias asignadas por la Comisión Federal de Comunicación de Estados Unidos de América para el calentamiento con microondas (Sosa-Morales et al., 2011).

Sosa-Morales et al. (2011) mencionan que la combinación de agua caliente con tratamientos con microondas, a veces llamados tratamientos hidrotérmicos asistidos con microondas, son un nuevo método para tratamientos poscosecha. La mayoría de las investigaciones sobre desinfestación asistida con microondas se han realizado en granos y cereales alcanzando un cien por ciento de mortalidad. Es por ello, que el estudio de su aplicación como tratamiento cuarentenario se esta ampliando a frutas como cerezas, dátiles y mangos, obteniendo cien por ciento de mortalidad de la plaga y manteniendo la calidad del fruto (Das, Kumar y Shah, 2013; Nivón-Delgado, Ortega, Cabrera, López-Malo y Sosa-Morales, 2013). Debido a los buenos resultados obtenidos con esta tecnología sería interesante realizar estudios con frutos cítricos, ya que en México la citricultura es una actividad importante.

Conclusiones

Los avances en las investigaciones enfocadas al desarrollo de tratamientos cuarentenarios no químicos en frutos cítricos, han permitido encontrar tecnologías alternativas al uso de bromuro de metilo. La aplicación de tratamientos térmicos se ha difundido debido a su eficiencia para el control de plagas, a pesar de disminuir la calidad de los frutos por sus prolongados tiempos de aplicación. Para evitar esta pérdida de calidad se continúa investigando la aplicación de otras tecnologías, siendo el uso de atmósferas insecticidas combinadas con temperaturas de refrigeración, un tratamiento con el que se han

D. B. Queb-González y A. López-Malo Temas Selectos de Ingeniería de Alimentos 8 - 1 (2014): 27-33

obtenido resultados satisfactorios, tanto para el control de plagas como para mantener la calidad de los cítricos, como la mandarina. De manera similar, los tratamientos hidrotérmicos asistidos con microondas han resultado efectivos como tratamientos cuarenterarios en cerezas, dátiles y mangos, por lo que sería interesante estudiar su aplicación en frutos cítricos.

Agradecimientos

La autora Diana Beatriz Queb González agradece a la Universidad de las Américas Puebla y al Consejo Nacional de Ciencia y Tecnología (conacyt, México) por el financiamiento para la realización de sus estudios de maestría.

Referencias

Birla, S. L., Wang, S., Tang, J., Fellman, J. K., Mattison, D. S. y Lurie, S. (2005). Quality of oranges as influenced by potential radio frequency heat treatments against Mediterranean fruit flies. Postharvest Biology and Technology, 38,66-79.

Candelario, H. E., Velazquez, G., Castañón-Rodríguez, J. F., Ramírez, J. A., Montoya, P. y Vázquez, M. (2010). Resistance of Mexican fruit fly to quarantine treatments of high hydrostatic pressure combined with heat. Foodborne Pathogens and Disease, 7(8):959-966.

Contreras-Oliva, A., Rojas-Argudo, C. y Pérez-Gago, M. (2010). Effect of insecticidal atmospheres at high temperature combined with short cold-quarantine treatment on quality of `Valencia’ oranges. HortScience, 45(10), 14961500.

Contreras-Oliva, A., Pérez-Gago, M. B., Palou, L . y Rojas-Argudo, C. (2011). Effect of insecticidal atmosphere and low dose X-ray irradiation in combination with cold quarantine storage on bioactive compounds of clementine mandarins cv. “Clemenules”. International Journal of Food Science and Technology, 46,612-619.

Das, I., Kumar, G. y Shah, N. G. (2013). Microwave heating an alternative quarantine method for disinfestation of stored food grains. International Journal of Food Science, 2013(ID 926468), 1-13. doi.org/10.1155/2013/926468

Dorji, K. y Yapwattanaphun, C. (2011). Assessment of morpho-

logical diversity for local mandarin (Citrus reticulata Blanco.) accessions in Bhutan. Journal of Agricultural Technology, 7(2), 485-495.

Follett, P. A. y Griffin, R. L. (2013). Phytosanitary Irradiation for fresh horticultural commodities: Research and regulations. En X. Fan y C. H. Sommers, Food Irradiation Research and Technology (pp. 227-249). Nueva Deli, India: Wiley-Blackwell.

fda, Food and Drug Administration. (2013). La irradiación de alimentos: Lo que usted debe saber. Protecting and promoting your health. Recuperado el 15 de febrero de 2014: http://www.fda.gov/Food/IngredientsPackagingLabeling/IrradiatedFoodPackaging/ucm261938.htm.

Ladaniya, M. (2008). Citrus Fruit: Biology, Technology and Evaluation. San Diego: Academic Press.

Mercado, S. E. (2011). Ionizing Radiation as Quarantine Treatments in Fruits. En M. Vázquez y J. A. Ramírez, Advances in Post-Harvest Treatments and Fruit Quality and safety, (pp. 19-30). Nueva York, EE. UU.: Nova Science Publishers, Inc.

Meyer, L., Jacobs, R., Kotzé, J., Truter, M. y Korsten, L. (2012). Detection and molecular identification protocols for Phyllosticta citricarpa from citrus matter. South African Journal of Science, 108(3/4), 54-59.

Muthuthantri, S. y Clarkem A. (2012). Five comercial citrus rate poorly as hosts of the polyphagous fruit fly Bactrocera tryoni (Froggatt) (Diptera:Tephritidae) in laboratory studies. Australian Journal of Entomology, 51, 2589-298.

Nivón-Delgado, R., Ortega, D.A., Cabrera, H., López-Malo, A. y Sosa, M.E. (2013, mayo) Tratamientos hidrotérmicos asistidos con microondas para desinfestación de mangos “Tommy Atkins”. Trabajo presentado en el XV Congreso Nacional de Ciencia y Tecnología de Alimentos. Realizado en la Universidad de Colima Facultad de Ciencias Químicas. Colima, México.

Organización para la Cooperación y Desarrollo Económico. oecd. (2010). International standards for fruits and vegetables, Citrus fruits. Trade and agriculture. Recuperado el 15 de febrero de 2014: http://www.oecd.org/tad/fv

Roberts, H. L., Marois, J. J. y Van Bruggen, A. H. (2013). Potential distribution of citrus black spot in the United States based on climatic conditions. European Journal of Plant Pathology, 137,635-647.

Rojas-Argudo, C., Palou, L., Contreras, A., Pérez-Gago, M., Marcilla, A. y del Río M. A. (2007). Efecto de Tratamientos cuarentenarios, combinando frío y atmósferas insectici-

D. B. Queb-González y A. López-Malo

Temas Selectos de Ingeniería de Alimentos 8 - 1 (2014): 27-33

das, sobre la fisiología y la calidad nutricional y sensorial de mandarinas ‘Clemenules’. Revista Iberoamericana de Tecnología Postcosecha, S. C, 8(2),82-88. sagarpa y senasica/dgsv, Secretaría de Agricultura, Ganadería, Desarrollo Rural, Pesca y Alimentación y Servicio Nacional de Sanidad, Inocuidad y Calidad Agroalimentaria/DGSV. (2009). Anexo al plan de trabajo para el tratamiento de cítricos con aire caliente forzado en México. Sandoval, R. J. (2011). Programa estratégico para el desarrollo rural sustentable de la región Sur-Sureste de México: Trópico húmedo 2011. Paquete tecnológico cítricos. Recuperado el 16 de febrero de 2014: http://www.inifap. gob.mx/Documents/inicio/paquetes/citricos.pdf.

Sangwanich, S., Sangchote, S. y Leelasuphakul, W. (2012). Biocontrol of citrus green mould and postharvest quality parameters. International food Research Journal, 20(6),3381-3386.

Sosa-Morales, M. E., López-Malo, A. y García, H. S. (2011). Postharvest heat treatments in fruits. En M. Vázquez y J. A. Ramírez, Advances in Post-Harvest Treatments and Fruit Quality and Safety (pp. 31-48). Nueva York, EE. UU.: Nova Science Publishers, Inc.

upo (Unidad de Protección de la Capa de Ozono). (2012). Plan Nacional de Eliminación del Consumo de Bromuro de Metilo en México. Recuperado el 4 de noviembre de 2013: http://app1.semarnat.gob.mx:8080/sissao/index.html

Vázquez, M., Velázquez, G. y Ramírez, J. A. (2011). High hydrostatic pressure as a postharvest treatment. En M. Vázquez y J. A. Ramírez, Advances in Post-Harvest Treatments and Fruit Quality and Safety (pp. 1-18). Nueva York, EE. UU.: Nova Science Publishers, Inc.

Velázquez, G., Candelario, H. E., Ramírez, J. A., Mangan, R. L., Loera-Gallardo, J. y Vázquez, M. (2010). High hydrostatic pressure at low temperature as a quarantine treatment to improve the quality of fruits. Foodborne Pathogens and Disease, 7(3),287-292.

Wang, S., Tang, J. y Cavalieri, R. P. (2001). Modeling fruit internal heating rates for hot air and hot water treatments. Postharvest Biology and Technology. 22(2001),257-270.

Yun, Z., Gao, H., Liu, P., Lio, S., Luo, T., Jin, S., Xu, Q., Xu, J., Chang, Y. y Deng, X. (2013). Comparative proteomic and metabolomic profiling of citrus fruit with enhancement of disease resistance by postharvest heat treatment. BMC Plant Biology, 13(44),1-16.

Calidad del agua y su relación con alimentos: aplicación de procesos Fenton y tipo Fenton en la eliminación de contaminantes en agua

V. Escalante-Pozos* y E. R. Bandala

Departamento de Ingeniería Química, Alimentos y Ambiental, Universidad de las Américas Puebla. Ex hacienda Sta. Catarina Mártir S/N, San Andrés Cholula, Puebla. C.P.72810. México.

RESUMEN

El agua es un producto que se encuentra ligado a los alimentos, ya sea directa o indirectamente. Resulta de gran importancia asegurar la calidad de la misma ya que la carga mundial de contaminantes es considerable. Los métodos convencionales para la desinfección de agua han demostrado poseer algunas características que pueden representar una amenaza para la salud, como la formación de bromatos debida a la ozonación y la generación de triclorometanos en la cloración. Como una alternativa al uso de métodos convencionales, se ha propuesto el uso de los procesos avanzados de oxidación (paos, incluyendo a los procesos Fenton y tipo Fenton) para la inactivación de microorganismos patógenos y la degradación de contaminantes orgánicos. El presente trabajo se enfoca en la calidad del agua y su relación con alimentos, así como la aplicación de los procesos Fenton y tipo Fenton en la eliminación de contaminantes en agua. (tama

Palabras clave: procesos avanzados de oxidación, microorganismos patógenos, Fenton, eliminación de contaminantes.

ABSTRACT

Water is a product linked to food, directly or indirectly. It is of great importance to ensure its quality because the amount of worldwide waterborne pollutants is high. Conventional water disinfection methods have demonstrated some features that may represent a risk to human health. Based on those disadvantages, it has been reported the use of advanced oxidation processes (aops, including Fenton and Fenton like processes) for inactivation of pathogenic microorganisms and the degradation of organic contaminants. This paper focuses on water quality and its relationship with foods as well as the application of Fenton and Fenton like processes in removing pollutants in water.

Keywords: advanced oxidation processes, pathogenic microorganisms, Fenton, removing pollutants.

Programa de Maestría en Ciencia de Alimentos

Tel.: +52 222 229 2126

Fax: +52 222 229 2727

Dirección electrónica: vladimir.escalanteps@udlap.mx

Introducción

La dependencia del agua para la alimentación ha llevado a procurar y garantizar su calidad, ya que el agua puede sufrir deterioro debido a la presencia de microorganismos patógenos o contaminantes químicos.

Según Leclerc, Schwartzbord y Cas (2002), la carga mundial de infecciones transmitidas por agua es considerable y los números reportados subestiman mucho la incidencia real de las enfermedades hidro-transmitidas. Muchas de las bacterias y virus que se pueden propagar por la vía del agua en bajos niveles y producen infecciones asintomáticas, lo que puede resultar en una situación endémica con el potencial de que ocurra una epidemia producida a partir de la propagación directa de persona a persona, por alimentos o agua.

Los métodos convencionales para la desinfección de agua incluyen la cloración y ozonación del agua como los más utilizados; sin embargo, en años recientes se ha demostrado que poseen algunas características que pueden representar una amenaza para la salud. La cloración (hipoclorito, cloruro de sodio acidificado o dióxido de cloro) es un método ampliamente utilizado que genera algunos inconvenientes en ciertas circunstancias, el más peligroso es la formación de productos secundarios tóxicos con alto potencial carcinogénico y mutagénico como los triclorometanos y cloraminas que son responsables de causar efectos nocivos severos en la salud de los consumidores, ya sea por ingesta directa o indirecta (Bandala, Castillo, González y Sanchez, 2011a; Bekink y Nozaic, 2013; Shalinee y Ademola, 2014).

La ozonación ha demostrado ser efectiva en la desinfección de agua a bajas concentraciones y tiempos de exposición cortos. El ozono es altamente reactivo y oxida a la mayoría del material orgánico con el que entra en contacto y elimina la mayoría de microorganismos patógenos. Los productos tóxicos secundarios resultantes de la desinfección son los bromatos, que han sido reportados como posibles precursores carcinógenos. Las pruebas de toxicidad realizadas en animales han demostrado inducir constantemente cáncer en ratas y ratones, por tanto, debe de ser estrictamente controlada su presencia en el agua potable (Jarvis, Parsons y Smith, 2007). Por otro lado, algunas de las desventajas importantes del ozono son el alto costo de los equipos, provoca corrosión de los equipos y requiere de personal capacitado en su operación (Castillo-Ledezma, López-Malo Vigil, y Bandala, 2010; Shalinee y Ademola, 2014).

Con base en las desventajas antes mencionadas, se ha reportado el uso de los procesos avanzados de oxidación (paos)

Fenton y tipo Fenton y sus mecanismos de acción para la inactivación de microorganismos patógenos y la degradación de contaminantes orgánicos en agua (Castillo-Ledezma et al., 2010; Aurioles-López, López-Malo Vigil y Bandala, 2011). Este tipo de procesos han demostrado ser de gran utilidad, debido a su alta efectividad y bajo costo (Corona-Vasquez, Aurioles y Bandala, 2012).

El presente trabajo, tiene como objetivo realizar una revisión bibliográfica de la calidad del agua y su relación con alimentos, así como la aplicación de los procesos Fenton y tipo Fenton en la eliminación de contaminantes en agua.

Revisión bibliográfica

1. El agua en la industria alimentaria

El agua está involucrada en el procesamiento de alimentos y en operaciones relacionadas con los mismos. Algunos ejemplos de los procesos en los que participa son: remojo, lavado, enjuague, escaldado, calentamiento, pasteurización, enfriamiento, producción de vapor, limpieza general, saneamiento y desinfección (Casani, 2005).

La industria del agua y la de los alimentos comparten como objetivo común, suministrar productos y/o servicios de calidad a los consumidores. De forma implícita, se entiende que el producto o servicio debe de ser inocuo, ya que tanto el agua como los alimentos pueden ser vehículos para la transmisión de enfermedades y continúan siendo responsables de numerosos brotes en países desarrollados y en vías de desarrollo a lo largo del planeta (Kirby, 2003).

Cada vez que se consumen alimentos o se emplea algún producto o servicio, indirectamente se aprovecha el agua involucrada en sus procesos de producción. El consumo indirecto es usualmente considerado mucho mayor que el consumo de agua directo (AgroDer, 2012).

Existen indicadores en materia de agua como el agua virtual, que es el volumen total de agua utilizada directa e indirectamente para la elaboración de un producto. La huella hídrica (hh), es un indicador que se define como el volumen total de agua dulce que utilizamos en nuestra vida diaria, esta puede referirse a un producto, un consumidor, una empresa, una región o una nación (Vázquez del Mercado y Buenfil, 2012).

En el período 1996-2005, México fue el principal importador de agua virtual de la región Latinoamericana, ocupando además el segundo lugar en el mundo, superado únicamente por Japón. Su dependencia hídrica del exterior fue de 42.5%,

V. Escalante-Pozos y E. R. Bandala

Temas Selectos de Ingeniería de Alimentos 8 - 1 (2014): 34 - 47

cuando el promedio mundial fue de 21.7%. Pudiera pensarse que el comercio de agua virtual constituye para México un ahorro, que le permite preservar de mejor manera sus recursos hídricos, sin embargo, representa también una amenaza para la soberanía alimentaria (Vázquez del Mercado, et al., 2012).

El 86% de la hh de un mexicano son productos alimentarios y bebidas, 6% otros productos agropecuarios (pieles y algodón principalmente), 5% consumo doméstico y 3% productos industriales. Los dos factores que determinan la hh per cápita son: a) el volumen de consumo de cada producto y b) la HH de cada producto. El 15% de la hh de un mexicano es por consumo de carne de res y el 13% por maíz (Figura 1). Aunque se tiene un mayor consumo de maíz (123 kg per cápita anual) que de carne de res (18 kg per cápita anual), la elaboración de 1 kg de carne de res requiere en promedio 10 veces más agua que 1 kg de maíz. Por esto, aunque el consumo de carne es menor, su producción implica una mayor hh (AgroDer, 2012).

1.1. Importancia de la calidad del agua en el procesamiento de alimentos

El agua participa en la producción de los alimentos, desde las etapas iniciales (riego y agua para el ganado) hasta el procesamiento (ingrediente, medio de transporte y ayuda higiénica).

Producto hh (%)

Carne de res

Lácteos

Carne de ave

Uso doméstico

Visceras y piel

Carne de Cerdo

Adaptada de AgroDer, 2012.

Lácteos

Carne de ave

Uso doméstico

Visceras y piel

Carne de Cerdo

Azúcar

Frijol

Trigo

Productos industriales

Por lo tanto, la importancia de su calidad resulta vital, ya que las personas pueden estar expuestas a agentes infecciosos o agentes químicos tóxicos mediante la ingesta de agua contaminada incorporada a alimentos, de alimentos regados o cosechados con agua contaminada y de alimentos que han estado en contacto con agua contaminada durante su procesamiento (Kirby, 2003).

A lo largo del tiempo se han establecido programas para el aseguramiento de la calidad que incluyen al agua. Los principales programas han surgido tomando como base el Análisis de Riesgos y Puntos Críticos de Control (haccp, por sus siglas en inglés); así como los estándares de calidad ISO 9001. Por otra parte, la Organización Mundial de la Salud (oms), a través de la Asociación Internacional del agua (iwa, por sus siglas en inglés), han creado los planes de agua segura (wsps, por sus siglas en inglés), que son planes de gestión de agua, que incluyen desde la fuente original, hasta su destino final (iwa, 2004).

Una de las principales ventajas que proveen los wspss y los principales programas como haccp, radica en que incluyen barreras de tratamiento de agua para mantener monitoreado el proceso y el producto en todo momento, mientras que anteriormente, los programas analizaban el producto final, sin contar que se trataba de procesos con abastecimiento conti-

Maíz

Carne de res

Otros

Fig 1. Huella hídrica de consumo per cápita por producto en México

Temas Selectos de Ingeniería de Alimentos 8 - 1 (2014): 34 - 47

nuo y que al momento en que se contaba con los resultados, el producto podía ya encontrarse con el consumidor (ilsi, 2008).

En México, las normas que establecen las especificaciones sanitarias y los límites máximos permisibles, que deben de cumplir los sistemas de abastecimiento de agua potable son la NOM-127-SSA1-1994 (Secretaría de Salud, 1994), y la NOM201-SSA1-2002 (Secretaría de Salud, 2002.

1.2. El agua residual en la industria de alimentos

El gran requerimiento de agua en la industria alimentaria genera grandes cantidades de agua residual. Como resultado, es de vital importancia la recuperación y reutilización de este recurso natural para disminuir las necesidades de abastecimiento y reducir los costos de producción. En el pasado, los procesadores de alimentos reunían toda el agua residual de los distintos procesos y la sometían a un solo tratamiento. Sin embargo, separar el agua residual de cada uno de los procesos permite un tratamiento óptimo para cada tipo de agua residual, como resultado, se ahorra energía, incrementa la eficiencia de los sistemas y disminuyen los costos con respecto al tratamiento (Casani, 2005).

El agua reutilizable puede ocuparse para el riego de cultivos y para uso humano. En el caso del procesamiento de alimentos, el agua reutilizada puede o no estar en contacto con alimentos. Si no lo está, se puede utilizar para refrigeración o la generación de vapor. Si está en contacto con alimentos se puede utilizar para el lavado, transporte, limpieza y en el producto final (ilsi, 2008).

El agua residual en México se encuentra regulada por la Secretaría del Medio Ambiente y Recursos Naturales, a través de las normas NOM-001-ECOL-1996 (semarnat, 1996a), NOM002-ECOL-1996 (semarnat, 1996b), NOM-003-ECOL-1996 (semarnat, 1997) y la NOM-CCA-031-ECOL/1993 (semarnat, 1993). Estas normas establecen los límites máximos permisibles de contaminantes en las descargas de aguas residuales en aguas y bienes nacionales, involucrando a las aguas tratadas para reutilización, las descargas industriales y agroindustriales.

1.3. Métodos convencionales y emergentes en el tratamiento de agua

Existen en la actualidad diversas tecnologías para realizar el tratamiento de efluentes, cuya eficiencia está en función de la naturaleza de los contaminantes y de las condiciones de operación de los sistemas de tratamiento. En general, el agua contaminada puede ser procesada mediante tratamiento físico, químico o biológico (De la Hoz, 2007).

Además de los métodos de cloración y ozonación, previa-

mente mencionados, existen algunos otros métodos convencionales ampliamente utilizados para el tratamiento y desinfección de agua. El método de coagulación-floculación, es un método químico que consiste en la adición de coagulantes para reducir el potencial zeta de las partículas coloidales, lo que permite la interacción entre partículas y posterior floculación. Una de las complicaciones que presenta este método es la exactitud en la dosis o concentración añadida de químicos, ya que un exceso puede resultar peligroso para la salud; por ejemplo, el floculante acrilamida que es una neurotoxina prohibida en algunos países (Jusic y Ademovic, 2012).

La filtración a través de membranas es un método físico que ha sido implementado en la remoción de micro contaminantes en agua y puede tratarse de microfiltración, ultrafiltración, nanofiltración y ósmosis inversa, según los tamaños de partícula a filtrar. Dicha tecnología se ve limitada por el tamaño de poro de las membranas de filtración y dentro de las complicaciones que este método presenta se encuentran la necesidad de realizar retro lavados constantes y la incapacidad de reducir o eliminar microorganismos (Shalinee y Ademola, 2014).

La radiación ultravioleta es otro de los métodos de desinfección ampliamente empleados en agua; su efectividad depende de la dosis aplicada. La longitud de onda óptima se encuentra en el intervalo de 250 a 270 nm. La desinfección ocurre debido a la inactivación de las células de los microorganismos afectando su capacidad de reproducción y de infección. Sin embargo, si la radiación es aplicada en dosis menores los microorganismos tienden a revertir el daño celular (Shalinee y Ademola, 2014).

Los métodos convencionales han demostrado que pueden causar efectos contraproducentes a la salud y a los equipos. Por tal motivo, la comunidad científica ha buscado nuevos métodos para el tratamiento de agua, que sean más eficientes y menos dañinos para la salud (Castillo-Ledezma et al., 2010; Bandala et al., 2011a; Ratpukdi, Casey, DeSutter y Khan, 2011).

Los procesos avanzados de oxidación (PAOs) han emergido como una alternativa para el tratamiento de agua y son procesos que involucran la generación de especies altamente oxidantes capaces de atacar y degradar substancias orgánicas. Son considerados procesos físico-químicos con la habilidad de producir cambios profundos en la estructura química de los contaminantes como resultado de la participación de radicales libres (principalmente radicales hidroxilo (HO•) por su capacidad altamente oxidante) en reacciones Redox (Bandala y Raichle, 2013). Existe un gran interés en este tipo de procesos debido a su capacidad de oxidar una amplia variedad de

V. Escalante-Pozos y E. R. Bandala

Temas Selectos de Ingeniería de Alimentos 8 - 1 (2014): 34 - 47

Tabla I. Reacciones químicas involucradas en la reacción Fenton (Fe2+)

Reacción

No. reacción

Fe2+ + H 2 O 2 g Fe3++ HO• + OH- (1)

Fe2++ HO g Fe3+ + OH- (2)

Fe3+ + H 2 O n [FeOH]2+ + H+ (3)

Fe3++ H 2 O 2 n [FeHO2]2+ (4)

[FeOH]2++ H 2 O 2 n [Fe(OH) (HO2)]+ + H+ (5)

[FeOH]2+ g Fe2+ + HO• (6)

[FeHO2]2+ g Fe2+ + HO 2 • (7)

[Fe(OH)(HO2)]+ g Fe 2+ + HO 2 HO- (8)

RH + HO• g R• + H 2 O (9)

HO• = Radical hidroxilo HO- = Ion hidroxilo

Adaptada de Corona-Vazquez et al., 2012

compuestos de difícil degradación. El radical hidroxilo (HO•) puede ser generado por medios foto químicos y otras formas de energía (Aurioles-López et al., 2011).

Los radicales libres generados son capaces de oxidar contaminantes orgánicos principalmente por la abstracción de hidrógeno o por la adición electrofílica a los dobles enlaces para generar radicales libres orgánicos (R•), que pueden reaccionar con las moléculas de oxígeno formando radicales peróxido y así inician las reacciones oxidantes en cadena, que probablemente lleven a la mineralización completa de la materia orgánica (Quiroz, Bandala y Martínez-Huitle, 2011).

1.4.

Procesos Fenton y tipo Fenton

Henry J. H. Fenton descubrió hace más de un siglo que utilizando peróxido de hidrógeno (H2O2) y sal de hierro (Fe2+, Fe3+) como catalizador, lograba oxidar moléculas orgánicas (Al-Momani y Esplugas, 2003). Las reacciones Fenton y otras relacionadas son vistas como una alternativa conveniente y económica para generar especies oxidantes que sirvan para el tratamiento de desechos químicos. Comparado con otros oxidantes, el H2O2 es económico, seguro, de fácil manejo y no representa una amenaza al ambiente, ya que se descompone rápidamente en presencia de agua y oxígeno. De igual manera el hierro resulta económico, seguro y ambientalmente amigable (Pignatello, Oliveros y MacKay, 2006).

1.4.1. Proceso Fenton

La reacción de Fenton, consiste en la descomposición de H2O2 con sales de hierro. Para el caso del Fe2+ las principales reacciones se enlistan en las reacciones 1 a 9, que se pueden observar

en la tabla I. En la secuencia de reacciones, el H2O2 se consume por completo produciendo HO• (Al-Momani y Esplugas, 2003; Corona-Vasquez et al., 2012).

El proceso Fenton, a pesar de ser una opción de fácil manejo y ambientalmente amigable, requiere optimizar las condiciones experimentales para garantizar un rendimiento adecuado, ya que distintas variables (pH, concentración de H2O2 y sales de hierro) pueden afectar la efectividad en la remoción de contaminantes (Martínez, Ramírez y Toledo, 2013). Cuando la temperatura aumenta, la cinética de las reacciones incrementa, pero al mismo tiempo la descomposición de H2O2 en O 2 y H2O se ve igualmente favorecida (Brillas, Sirés y Oturan, 2009).

La oxidación de compuestos orgánicos mediante procesos Fenton, depende principalmente de las reacciones producidas por el HO•, que reacciona por abstracción de los átomos de hidrógeno presentes, es decir, los separa de la molécula a la que se encuentren unidos, o por inserción a enlaces insaturados. El altamente reactivo HO• aparenta ser un electrófilo débil, lo que reduce la abstracción de hidrógeno cuando un grupo carbonilo atrayente de electrones, es colocado en la posición alfa.

La degradación del contaminante ocurre con la formación de un exceso de radicales orgánicos nacientes, generando reordenamientos en la molécula original. Algunos otros factores, además del carácter electrofílico del HO• pueden ser importantes, como: (i) la fuerza de los enlaces C-H; (ii) la estabilidad del radical orgánico naciente; (iii) factores estadísticos como el número de átomos equivalentes de H o la posición de ataque y (iv) efectos estéricos (Pignatello et al., 2006).

Se ha reportado que el uso de procesos Fenton es efectivo en el tratamiento de aguas residuales que involucran dife-

Temas Selectos de Ingeniería de Alimentos 8 - 1 (2014): 34 - 47

rentes tipos de contaminantes tóxicos como: (i) compuestos aromáticos, que son contaminantes tóxicos que dan mal olor al agua; (ii) tintes y colorantes de la industria, que son contaminantes tóxicos que provocan daños a microorganismos, a la vida marina, a los seres humanos y son responsables de reducir la penetración de la luz en aguas contaminadas; (iii) productos farmacéuticos, que pueden causar efectos negativos en el agua (toxicidad, patógenos resistentes, genotoxicidad y alteraciones endócrinas) y (iv) pesticidas, que son compuestos tóxicos generalmente ubicados en aguas superficiales y subterráneas. Adicionalmente, estos procesos se han ocupado para la remoción de otro tipo de contaminantes en agua, por ejemplo: ácidos carboxílicos, metales pesados y microorganismos patógenos (Long y Jin, 2012).

Las principales ventajas del proceso Fenton para el tratamiento de agua son las siguientes: (i) operación simple y flexible que permite una fácil implementación en plantas existentes, (ii) manejo sencillo de los compuestos químicos involucrados y (iii) no necesita una fuente externa de energía (Brillas et al., 2009).

Sin embargo, es importante mencionar que de igual manera existen algunas desventajas, dentro de las cuales se encuentran: (i) los riesgos y altos costos asociados al almacenamiento y transporte del H2O2, (ii) la utilización de grandes cantidades de agentes químicos utilizados para acidificar el medio a pH entre 2 y 4, (iii) la acumulación de lodos de hierro que requieren ser removidos al finalizar el tratamiento y (iv) no siempre se logra una mineralización completa, debido a la formación de complejos de hierro. Algunas de las desventajas pueden ser minimizadas, como la cantidad de H2O2 optimizando su concentración y la formación de lodos de hierro mediante la utilización de catalizadores que contienen hierro inmovilizado como zeolitas, arcillas modificadas de hierro, tamices moleculares mesoporosos, óxidos de hierro o resinas de intercambio iónico que pueden ser fácilmente separados de la solución (Brillas et al., 2009)

1.4.2. Procesos tipo Fenton

Se han desarrollado procedimientos que se basan en la química de las reacciones de Fenton y son denominados procesos tipo Fenton. Se ha demostrado que, en muchos de los casos, los procesos tipo Fenton son más eficientes que la reacción de Fenton para el tratamiento de agua contaminada (Quiroz et al., 2011).

1.4.2.1. Proceso foto Fenton

Cuando la reacción de Fenton involucra fuentes de energía artificial como la radiación ultravioleta, la luz visible o am-

bas, la reacción es conocida como el proceso foto Fenton y se encuentra dentro de los métodos más eficientes para generar radicales hidroxilo, por encima de algunos otros PAOs (Quiroz et al., 2011).

La irradiación con una longitud de onda en el intervalo entre 200 y 550 nm (Al-Momani y Esplugas, 2003), casi invariablemente, genera tasas de degradación más rápidas de los contaminantes y un uso más eficiente de los reactivos (Pignatello et al., 2006). Una de las desventajas de este tipo de procesos es el incremento en los costos que puede aportar el uso de la energía que se requiere adicionar, lo que ha llevado a analizar otras opciones para abatir los costos asociados y se propone el uso de energía solar, que provee de energía gratuita y renovable con longitudes de onda superiores a los 300 nm. Cuando esto sucede al proceso se le conoce como foto Fenton solar (Brillas et al., 2009).

La acción de los fotones en el proceso foto Fenton es compleja, los radicales hidroxilo son producidos por la reacción de Fenton, con la ventaja de que se evita la acumulación de Fe3+ por medio de la foto-reducción de [Fe(OH)]2+ de acuerdo con la reacción 10 (Brillas et al., 2009):

[Fe2(OH)]2^(2+)+hυ g +Fe+^(2+)+HO •

En donde representa a la energía radiante.

1.4.2.2. Proceso electro Fenton

El proceso electro Fenton es una tecnología emergente para la eliminación de contaminantes en agua. Se basa en reacciones electroquímicas que se utilizan para generar in situ a uno o ambos de los reactivos (H2O2 y Fe2+) para la reacción de Fenton. Los reactivos generados dependen de la configuración de la celda, las condiciones de la solución y la naturaleza de los electrodos (Pignatello et al., 2006). El proceso ha demostrado una gran efectividad en el tratamiento de agua contaminada con pesticidas, colorantes sintéticos orgánicos, productos farmacéuticos, productos de higiene personal y una gran cantidad de contaminantes orgánicos (Brillas et al., 2009).

De igual forma, el proceso electro Fenton provee de una alternativa para solucionar problemas de las reacciones clásicas de Fenton como la elevación de costos, las complicaciones y peligros de transporte del H2O2. También se considera el estrecho intervalo óptimo de valores de pH; ya que tanto el H2O2, como los iones hierro pueden ser producidos dentro del sistema electro Fenton (Plakas, Karabelas, Sklari y Zaspalis, 2013). El proceso electro Fenton es considerado como una técnica ambientalmente amigable debido a su capacidad para produ(10)

V. Escalante-Pozos y E. R. Bandala

cir H 2 O 2 in situ por la reducción catódica del oxígeno (Daghrir y Drogui, 2013).

La producción in situ de H 2 O2, mediante la reacción electroquímica del oxígeno, puede expresarse de manera general con la reacción 11 (Liu et al., 2007):

½ O 2 + H 2 O g H 2 O 2

Temas Selectos de Ingeniería de Alimentos 8 - 1 (2014): 34 - 47 (11)

Las ventajas que posee este método de electro oxidación indirecta, comparado con los procesos químicos de Fenton, son: (i) la producción in situ de H2O2, (ii) la posibilidad de controlar la cinética de degradación, (iii) el incremento de la eficiencia en la degradación de contaminantes orgánicos debida a la continua regeneración de Fe2+ en el cátodo, que también disminuye la producción de lodos y (iv) la viabilidad de generar una mineralización global a un costo relativamente bajo, si se optimizan los parámetros de operación (Brillas et al., 2009).

Una variante del proceso electro Fenton consiste en la incorporación de radiación, proceso conocido como foto electro Fenton en el que la solución es tratada bajo condiciones de electro Fenton e irradiada con uv o luz visible durante o después de la electrólisis, logrando incrementar la tasa de mineralización de los contaminantes (Wang y Xu, 2012).

1.4.2.3. Proceso Fenton heterogéneo

Las limitantes presentadas por los procesos Fenton convencionales han llevado al desarrollo de catalizadores para el proceso Fenton heterogéneo, que han sido utilizados como matriz sóli-

da para inmovilizar al hierro y así llevar a cabo la catálisis heterogénea (Lim et al., 2006). Shu-Sung y Mirat (1998) propusieron un mecanismo simplificado de las reacciones que se llevan a cabo durante los procesos Fenton heterogéneo, mediante las reacciones 12 a 16 y se puede observar en la tabla II.

El proceso Fenton heterogéneo (catálisis heterogénea) es considerado como la evolución natural de los procesos Fenton, permite separar a la sal de hierro del efluente y eventualmente, la posibilidad de reutilizarla (Dhakshinamoorthy, Navalon, Mercedes y Garcia, 2012). De esta manera la fuga de iones de hierro puede ser prevenida y el rango de pH óptimo para la reacción puede ser ampliado (Wang, Liu y Sun, 2012).

La catálisis vía Fenton heterogéneo ha demostrado ser útil para el tratamiento de distintos contaminantes orgánicos en medio acuoso. Sin embargo, de igual forma que los procesos Fenton, para eficientar la tasas de degradación de contaminantes, es necesario incorporar radiación para acelerar la reacción, proceso conocido como foto Fenton heterogéneo (Lim et al., 2006).

2. Aplicación de procesos Fenton y tipo Fenton en la eliminación de compuestos químicos

Como se ha mencionado con anterioridad, la capacidad de los procesos Fenton para eliminar contaminantes es muy amplia. En la tabla III, se citan los trabajos que diversos autores han realizado en cuanto a las aplicaciones de los procesos Fenton y tipo Fenton, en la eliminación de contaminantes en agua, resaltando solventes orgánicos, colorantes, productos farma-

Tabla II. Mecanismo de reacciones simplificadas para la descomposición de H2O2 en una superficie de óxido de hierro (Fenton heterogéneo)

Reacción No. reacción

Fe3+- OH+H 2 O 2 n (H2O2)S (12)

(H2O2) g Fe2++ H 2 O + HO 2 • (13)

Fe2++ H 2 O 2 g Fe3+- OH + HO• (14) HO 2 • n H+ + O 2 • - (15)

Fe3+- OH+HO 2•/ O2•- g Fe2+ + H2O/OH-+O2 (16)

Fe3+-OH = Hierro suspendido en una matriz sólida, enlazado a un hidroxilo (H2O2)s = Representa a las especies químicas de H 2 O 2 adherido a la matriz sólida

HO 2•/ O2•- = Radical hidroperoxo / radical superoxo

Adaptada de Shu-Sung y Mirat, 1998.

V. Escalante-Pozos y

R. Bandala

Tabla III. Ejemplos de la aplicación de procesos Fenton y tipo Fenton en la eliminación de compuestos químicos

Compuesto

2.6-dimetilanilina

4,6-dinitro-ortho-cresol

Verde de malaquita

2,4,5-triclorofenol (TCP)

Clopiralid (herbicida)

Sulfametoxazol (antibiótico)

Proceso

Referencia

Fenton Masomboon, Ratanatamskui y Lu, 2009.

Fenton

Zeng y Lemley, 2009.

foto Fenton Ma et al., 2006.

foto Fenton Ma et al., 2006.

Fenton Westphal et al., 2013

Foto Fenton Karaolia et al., 2014; Miralles et al., 2014

Claritromicina (antibiótico) Foto Fenton Karaolia et al., 2014.

Mitoxantrona

Trihalometano

Clorpirifos (insecticida)

Nonil fenol poli etoxilado

Fenton y foto Fenton Pereira et al., 2013.

Foto Fenton

Fenton y foto Fenton

Fenton y foto Fenton

Moncayo et al., 2012.

Samet et al., 2012.

Karci, Arslan y Bekbolet, 2013.

Carbamazepina Foto Fenton Miralles et al., 2014.

Flumequina

Ibuprofeno

Ofloxacina

Rojo de alizarina

Cafeína

Nicotina

Foto Fenton Miralles et al., 2014.

Foto Fenton Miralles et al., 2014.

Foto Fenton Miralles et al., 2014.

Foto Fenton y Fenton heterogéneo

Foto Fenton

Foto Fenton

Gomathi et al., 2013.

Klamerth, Malato, Agüera y Fernández , 2013.

Klamerth et al., 2013.

Cotonina Foto Fenton Klamerth et al., 2013.

Colores y olores en agua residual agroindustrial

Colorante rojo remazol

Fenol

Anilina

Naranja II

Tolueno

Imidacloprid (insecticida)

Metomilo (insecticida)

Nitrobenceno

4-clorofenol

Fungicida triadimefón (conazol)

Naranja de metilo

Azul de metileno

Foto Fenton

Bedoui, Limem, Abdel y Bensalah, 2011.

Fenton y foto Fenton Saatci, 2010.

Fenton, electro Fenton y Fenton heterogéneo

Babuponnusami y Muthukumar, 2012; Han, Phonthammachai, Ramesh, Zhong y White, 2008.

Fenton y electro Fenton Anotai, Su, Tssai y Lu, 2011; Casado et al., 2005.

Electro Fenton y Fenton heterogéneo

Chun et al., 2010; Ramirez et al., 2007; Ramirez et al., 2008.

Electro Fenton Bañuelos et al., 2013.

Fenton heterogéneo y electro Fenton Iglesias et al., 2014.

Electro Fenton Outran, Zhou y Outran, 2010.

Electro Fenton Casado et al., 2005.

Electro Fenton Casado et al., 2005.

Electro Fenton Salazar y Ureta, 2012.

Electro Fenton Wang, et al., 2012.

Fenton heterogéneo Wang, Tian y Ning, 2014.

Metanol Fenton heterogéneo Hincapié et al., 2011.

Etanol Fenton heterogéneo Han et al., 2008.

Formaldehído Fenton heterogéneo Han et al., 2008.

Acetona Fenton heterogéneo Han et al., 2008.

céuticos, pesticidas y algunos otros compuestos químicos, la mayoría de los trabajos corresponden a los últimos 4 años. En cuanto a la degradación de solventes orgánicos en agua, los procesos Fenton y tipo Fenton demostraron ser eficientes. Bañuelos et al. (2013) reportaron la degradación de tolueno de la superficie de carbón activado granulado, mediante el proceso electro Fenton. Hincapié, Ocampo, Restrepo y Marín, (2011) reportaron la degradación de metanol en agua de lavado de biodiesel de palma. En este caso, la turbidez de la muestra impidió que la radiación ultravioleta del proceso foto Fenton fuera lo suficientemente intensa o no hubo un tiempo de contacto adecuado para incrementar la degradación, en particular del metanol. Babuponnusami y Muthukumar, (2012) trabajaron en la degradación de fenol, encontrando en el proceso foto electro Fenton una degradación al 100% del compuesto, con una mineralización (conversión completa de un compuesto a sus constituyentes minerales CO2 y H2O) correspondiente al 64.19%, en tan sólo 30 minutos de reacción. Los colorantes y tintes presentes en agua, son una forma común de contaminación. Los procesos Fenton y tipo Fenton han demostrado capacidad de degradar este tipo de compuestos y dependen de las condiciones y las interferencias presentes en el sistema. Gomathi, Munikrishnappa, Nagaral y Eraia (2013) evaluaron la degradación del colorante rojo de alizarina en presencia de aniones de cloro y sulfato, resultando una degradación baja a mayor concentración de los aniones inorgánicos; sin embargo, se mostró degradación del colorante. Saatci (2010) demostró mediante el proceso foto Fenton la degradación del colorante rojo remazol con una eficiencia elevada. Ramirez et al. (2007), Ramirez, Lampinen, Vicente, Costa y Madeira (2008) y Chun, Fang, Hong y Xiang (2010) obtuvieron buenos resultados en la degradación del colorante naranja II, mediante el proceso Fenton heterogéneo. Después de 4 horas se degradó cerca del 100% del colorante y entre 65% y 89% de mineralización.

Los productos farmacéuticos, han demostrado ser eliminados mediante procesos Fenton y tipo Fenton. Pereira et al (2013) degradaron el fármaco antineoplásico mitoxantrona, alcanzando una mineralización entre un 77 y 90%. Miralles et al. (2014) aplicaron los procesos foto Fenton y foto Fenton solar en la eliminación de cinco farmacéuticos: sulfametoxazol, carbamezapina, flumequina, ibuprofeno y ofloxacina, obteniendo degradaciones de todos los contaminantes. Karaolia et al. (2014) demostraron la capacidad de eliminar a los antibióticos sulfametoxazol y claritromicina, con eficiencias de degradación de 95% y 70%, respectivamente.

Los procesos Fenton y tipo Fenton han demostrado la ca-

pacidad de eliminar distintos tipos de pesticidas, bajo diferentes condiciones. Westphal, Saliger, Jäger, Teevs y Prübe (2013) reportaron la degradación del herbicida clopiralid mediante Fenton homogéneo y heterogéneo, resultando más eficiente el proceso homogéneo, obteniendo una degradación total del herbicida. Samet, Hmani y Abdelhédi (2012) demostraron la degradación del insecticida clorpirifos mediante procesos Fenton y foto Fenton, resultando 50% más eficiente el proceso foto Fenton. Iglesias, Gómez, Pazos y Sanromán (2014) reportaron la degradación del insecticida imidacloprid mediante el proceso electro Fenton heterogéneo mostrando una degradación completa del insecticida después de 120 minutos. Salazar y Ureta (2012) demostraron la completa mineralización del fungicida triadimefon (conazol), mediante los procesos electro Fenton y foto electro Fenton.

En cuanto a otros compuestos, Casado, Fornaguera y Galán (2005), mediante los procesos foto electro Fenton y electro Fenton, demostraron la degradación de anilina, nitrobenceno y clorofenol, en donde se alcanzó casi una total mineralización al haber transcurrido 50 minutos. Moncayo, Rincon, Pulgarin y Benitez (2012) demostraron la degradación de trihalometanos producidos por los subproductos clorados mediante el proceso foto Fenton solar, alcanzando degradaciones entre el 50 y 80% de los trihalometanos.

Se puede observar que los procesos Fenton han sido reportados como eficientes en la remoción de compuestos químicos de diversa índole. De igual manera, se muestra que a medida que los procesos evolucionan se obtienen mejores resultados; por ejemplo, la catálisis que genera la radiación del proceso foto Fenton incrementa la eficiencia del proceso con respecto a Fenton. Generalmente es más eficiente el proceso hetero Fenton sobre Fenton. De igual forma, se muestra que se pueden realizar distintas combinaciones de los procesos y que dependiendo del objetivo, se puede generar la mejor combinación de los procesos tipo Fenton.

3. Aplicación de procesos Fenton y tipo Fenton en la desinfección de agua

Las enfermedades transmitidas por el agua son aquellas contraídas por la ingesta directa del agua, o que ocupan al agua como portador pasivo de agentes infecciosos. Se pueden identificar distintas clases de agentes contaminantes. Leclerc et al. (2002) han sugerido que se dividan en: virus, éstos no crecen en el agua, simplemente permanecen estáticos en cantidad o mueren y su dosis infecciosa es generalmente baja; los protozoos entéricos, que son microorganismos con una alta resistencia a ambientes acuáticos y a la mayoría de desinfectantes

V. Escalante-Pozos y E. R. Bandala

Temas Selectos de Ingeniería de Alimentos 8 - 1 (2014): 34 - 47

Tabla IV. Ejemplos de la aplicación de procesos Fenton y tipo Fenton en la desinfección de agua

Microorganismo

Proceso

Referencia

Vibrio fischeri Foto Fenton Karaolia et al., 2014; Karci et al., 2013.

Bacterias mesófilas aerobias (bma) Fenton Gosselin et al., 2013; Klamerth et al., 2013.

Escherichia coli

Fenton y foto Fenton Rodriguez et al., 2012; Ndounla, Kenfack, Wéthé y Pulgarin , 2014; Ndounla et al., 2013; Bandala et al., 2011a.

Salmonella spp. Foto Fenton Ndounla et al., 2013; Ndounla et al., 2014.

Colifago MS2 Fenton Kim et al., 2010.

Escherichia coli K12 Foto Fenton

Rincón y Pulgarin, 2006; Spuhler, Rengifo y Pulgarin , 2010.

Phytophthora capsici Foto Fenton Polo et al., 2013.

Coliformes totales Foto Fenton Klamerth et al., 2013.

Enterococcus faecalis Foto Fenton Ortega et al., 2012; Karaolia et al., 2014.

Micobacterias Fenton heterogéneo Price, Hudersman, Shen y Walsh, 2012.

Huevos de helminto Foto Fenton Bandala et al., 2011a; Corona-Vasquez et al., 2012.

Huevos de Ascaris suum Foto Fenton Bandala et al., 2012, Corona-Vasquez et al., 2012.

Esporas de Bacillus subtilis Fenton y foto Fenton Corona-Vasquez et al.,2012; Bandala et al., 2011b.

y antisépticos; por último, se encuentran las bacterias patógenas, que pueden ser entéricas o acuáticas, la resistencia de este tipo de microorganismos depende especialmente de la cantidad de nutrientes para su supervivencia y de la temperatura.

Los trabajos de los autores citados en la tabla IV, muestran algunas de las aplicaciones en los últimos cuatro años de los procesos Fenton y tipo Fenton en desinfección de agua. Para el caso particular del agua potable en México, las normas NOM-127-SSA1-1994 (Secretaría de Salud, 1994) y NOM-201SSA1-2002 (Secretaría de Salud, 2002) establecen los límites permisibles de coliformes totales (CT). Gosselin, Madeira, Juhna y Block (2013) reportaron la disminución de bacterias mesófilas aerobias (BMA), de tres ciclos logarítmicos en un lapso de 30 minutos mediante el proceso foto Fenton. Por otro lado, Klamerth, Malato, Agüera, Fernández y Mailhot (2012) reportaron una disminución de BMA de 2 ciclos logarítmicos y CT de 3 ciclos logarítmicos, mediante el proceso foto Fenton. Las bacterias fueron los microorganismos más reportados, especialmente la Escherichia coli, que es responsable de un gran número de enfermedades gastrointestinales. Rodriguez, Mostco, Ormad y Ovelleiro (2012) lograron mediante proceso Fenton y foto Fenton la disminución de E. coli entre 2.43 y 5.81 ciclos logarítmicos. Ndounla, Spuhler, Kenfack, Wéthé y Pulgarin (2013) reportaron la disminución de E. coli y Salmonella spp. en agua, alcanzando una completa inactivación de

ambos microorganismos patógenos mediante el proceso foto Fenton. Karaolia et al. (2014) obtuvieron una disminución de 5 ciclos logarítmicos de la especie Vibrio fischeri mediante el proceso foto Fenton solar. Corona-Vasquez et al. (2012) reportaron la inactivación de esporas de Bacillus subtilis, mediante el proceso foto Fenton alcanzando una inactivación de 9 ciclos logarítmicos.

Para el caso de la desinfección de algunos otros seres vivos, se ha reportado el uso de procesos Fenton y tipo Fenton. Polo, Oller, y Fernández (2013) reportaron la disminución de Phytophthora capsici hasta lograr una completa inactivación del microorganismo con el proceso foto Fenton solar, en un lapso de 3 horas. Bandala et al. (2011b) reportan una inactivación superior al 99.99% de huevos de helminto mediante el proceso foto Fenton solar. Bandala, González, Sánchez, y Castillo (2012) obtuvieron una inactivación de huevos de Ascaris suum por encima del 99% mediante el proceso foto Fenton.

Un ejemplo de la aplicación de los procesos Fenton en la inactivación de virus es el que reportaron Kim, Lee, Sedlak, Yoon y Nelson (2010); ellos obtuvieron una inactivación de 4 ciclos logarítmicos del virus colifago MS2 en dos etapas, la primera redujo los primeros 3 ciclos en un lapso de un minuto y la segunda un ciclo más en 60 minutos, lo anterior, utilizando el proceso Fenton.

V. Escalante-Pozos y E. R. Bandala

Temas Selectos de Ingeniería de Alimentos 8 - 1 (2014): 34 - 47

Conclusión

Debido a la importancia del agua y su estrecha relación con los alimentos, el tratamiento del agua ha sido un tema de relevancia y por tanto, ampliamente investigado, poniendo especial énfasis en las implicaciones que pudiera tener en la salud de los consumidores finales. Los procesos avanzados de oxidación, en particular, los procesos Fenton y tipo Fenton, debido a su amplio rango de acción y las variantes entre sus procesos, han demostrado ser una alternativa viable para el tratamiento de agua, tanto para la eliminación de compuestos químicos como para la eliminación de agentes infecciosos.

De acuerdo a los reportes anteriores, se demuestra la capacidad que los procesos Fenton y tipo Fenton tienen en la desinfección y eliminación de contaminantes en agua. De igual forma, se pudo observar que los procesos son dependientes de las condiciones del sistema y que pueden existir múltiples combinaciones de los proceso tipo Fenton, que en algunos casos incrementan la eficiencia del proceso.

Con base en lo anterior, se puede pronosticar que se seguirán realizando inversiones e investigaciones en este campo, que permitan proveer de alternativas eficientes para proveer de agua segura a un mayor número de personas. De igual forma, es probable que en los años siguientes la lista de compuestos químicos y microorganismos patógenos se vea ampliada y seguramente cada vez sean tratados compuestos más complejos y microorganismos más resistentes.

Agradecimientos

A la Universidad de las Américas Puebla (udlap) y al Consejo Nacional de Ciencia y Tecnología (conacyt), por el financiamiento para realizar este posgrado y por tanto, este trabajo.

Referencias

AgroDer. (2012). Huella hídrica en México en el contexto de Norteamérica. México, D.F.: wwf México y AgroDer. Al-Momani, F. y Esplugas, S. (2003). Combination of photo-oxidation processes with biological treatment. Tesis doctoral.Universidad de Barcelona, Barcelona, España. Anotai, J., Su, C., Tsai, Y. y Lu, M. (2011). Comparison of analine oxidation by electro-Fenton and fluidized-bed Fenton processes. Journal of Environmental Engineering, 137(5), 363-370.

Aurioles-López, V., López-Malo Vigil, A. y Bandala, E. (2011). Procesos avanzados de oxidación y su aplicación en alimentos. Temas selectos de Ingeniería de Alimentos, 5(1), 22-31.

Babuponnusami, A. y Muthukumar, K. (2012). Advanced oxidation of phenol: A comparison between Fenton, electro-Fenton, sono-electro-Fenton and photo-electro-Fenton processes. Chemical Engineering Journal, 183, 1-9.

Bandala, E. R. y Raichle, B. W. (2013). Solar driven advanced oxidation processes for water decontamination and disinfection. En N. Enteria y A. Akbarzadeh, Solar Energy Sciences and Engieneering Applications (págs. 395412). Boca Raton, Florida: CRC Press.

Bandala, E. R., Castillo, H. J., González, L. y Sanchez, S. J. (2011a). Solar driven advanced oxidation processes for inactivation of pathogenic microorganisms in water. Recent Research Developments in Photochemistry and Photobiology, 8, 1-16.

Bandala, E. R., González, L., Sánchez , S. J. y Castillo, H. (2012). Inactivation of Ascaris eggs in water using sequential solar driven photo-Fenton and free chlorine. Journal of Water and Health, 10, 20-30.

Bandala, E., Pérez, R., Vélez, L. A., Sánchez, S. J., Quiroz, M. y Méndez, R. M. (2011b). Bacillus subtilis spore inactivation in water using photo-assisted Fenton reaction. Sustainable Environmental Research, 21(5), 285-290.

Bañuelos, J. A., Rodríguez, F. J., Manriquez, R. J., Bustos, E., Rodríguez, A., Cruz, J., Arriaga, L. G. y Godínez, L. (2013). Novel electro-Fenton approach for regeneration of activated carbon. Environmental Science and Technology, 47, 7927-7933.

Bedoui, A., Limem, E., Abdel, W. y Bensalah, N. (2011). Photo-Fenton treatment of actual agro-industrial wastewaters. Industrial and Engineering Chemistry Research, 50, 6673-6680.

Bekink, M. y Nozaic, D. (2013). Assessment of a chlorine dioxide propietary product for water and wastewater disinfection. Water South Africa, 39(3), 375 - 377.

Brillas, E., Sirés, I. y Oturan, M. (2009). Electro-Fenton process and related electrochemical technologies based on Fenton´s reaction chemistry. Chemical Reviews, 109, 6570 - 6631.

Casado, J., Fornaguera, J. y Galán, M. (2005). Mineralization of aromatics in water by sunlight-assisted electro-Fenton technology in a pilot reactor. Environmental Science and Technology, 39, 1843-1847.

V. Escalante-Pozos y E. R. Bandala

Temas Selectos de Ingeniería de Alimentos 8 - 1 (2014): 34 - 47

Casani, S. R. (2005). A discussion paper on challenges and limitations to water use and hygiene in the food industry. Water Research, 39, 1134 - 1146.

Castillo-Ledezma, J., López-Malo Vigil, A. y Bandala, E. (2010). Desinfección de agua mediante el uso de tecnologías emergentes basadas en procesos avanzados de oxidación. Temas Selectos de Ingeniería de Alimentos, 4(1), 74-83.

Chun, H. F., Fang, B. L., Hong, J. M. y Xiang, Z. L. (2010). Bio-electro-Fenton process driven by microbial fuel cell for wastewater treatment. Environmental Science and Technology, 44, 1875-1880.

Corona-Vasquez, B., Aurioles, V. y Bandala, E. (2012). Safe drinking water generation by solar-driven Fenton-like processes. En E. B. Batabunde, Solar Radiation (págs. 447 - 458). Rijeka, Croacia: InTech.

Daghrir, R. y Drogui, P. (2013). Coupled electrocoagulation-electro-Fenton for efficient domestic wastewater treatment. Environmental Chemistry Letters, 11, 151156.

De la Hoz, F. R. (2007). Avances en la desinfección de agua de riego por fotocatálisis solar: desarrollo experimental y resultados preliminares. Gestión Ambiental, 14, 1-13.

Dhakshinamoorthy, A., Navalon, S., Mercedes, A. y Garcia, H. (2012). Metal nanoparticles as heterogeneous Fenton catalysts. CHEMSUSCHEM, 5, 46-64.

Gomathi, D., Munikrishnappa, C., Nagaral, B. y Eraia, R. (2013). Effect of chloride and sulfate ions on the advanced photo Fenton and modified photo Fenton degradation process of alzarin red. Journal of Molecular Catalysis A: Chemical, 375, 125-131.

Gosselin, F., Madeira, L., Juhna, T. y Block, J. (2013). Drinking water and biofilm disinfection by Fenton-like reaction. Water Research, 47, 5631-5638.

Han, Y.F., Phonthammachai, N., Ramesh, K., Zhong, Z. y White, T. (2008). Removing organic compounds from aqueous medium via wet peroxidation by gold catalyst. Journal of Environmental Science and Technology, 42 (3), 908-912. Hincapié, M. G., Ocampo, D., Restrepo, G. y Marín , J. (2011). Fotocatálisis heterogénea y foto-Fenton aplicadas al tratamiento de aguas de lavado de la producción de biodiesel. Información Tecnológica, 22(2), 33- 42.

Iglesias, O., Gómez, J., Pazos, M. y Sanromán, M. (2014). Electro-Fenton oxidation of imidacloprid by Fe alginate gel beads. Applied Catalysis B: Environmental, 144, 416:424. ILSI, International Life Sciences Institute: (2008). Considering Water Quality for Use in the Food Industry. Belgium: ILSI

Europe Report Series.

IWA, International Water Association. (2004). The Bonn Charter for safe drinking water. London: Recuperado el 28 de enero de 2014: http://iwahq.org/uploads/bonn%20 charter/BonnCharter.pdf.

Jarvis, P., Parsons, S. y Smith, R. (2007). Modeling bromate formation during ozonation. Ozone: Science and Engineering, 29, 429 - 442.

Jusic, S. y Ademovic, M. (2012). Coagulation and flocculation in technology of drinking water treatmennt. Sarajevo, Bosnia-Herzegovina: Energoinvest.

Karaolia, P., Michael, I., García, F., Agüera, A., Malato, S., Fernández, I. y Fatta, K. D. (2014). Reduction of clarithromicin and sulfamethoxazole-resistant Enterococcus by pilot-scale solar-driven Fenton oxidation. Science of the Total Environment, 469, 19-27.

Karci, A., Arslan, A. I. y Bekbolet, M. (2013). Oxidation of nonylphenol ethoxylates in aqueous solution by uv-C photolysis, H2O2/uv-C, Fenton and photo-Fenton processes: are these processes toxicologically safe? Water Science and Technology, 68, 1801-1809.

Kim, J., Lee, C., Sedlak, D., Yoon, J. y Nelson, K. (2010). Inactivation of MS2 coliphage by Fenton´s reagent. Water Research, 44, 2647-2653.

Kirby, R. M. (2003). Water in food production and precessing: quantity and quality concerns. Food Control, 14, 283299.

Klamerth, N., Malato, S., Agüera, A., Fernández , A. y Mailhot, G. (2012). Treatment of municipal wastewater treatment plant effluents with modified photo-Fenton as a tertiary treatment for the degradation of micro pollutants and disinfection. Environmental Science and Technology, 46, 2885-2892.

Klamerth, N., Malato, S., Agüera, A. y Fernández , A. (2013). Photo-Fenton and modified photo-Fenton at neutral pH for the treatment of emerging contaminants in wastewater tratment plant effluents: A comparison. Water Research, 47, 833-840.

Leclerc, H., Schwartzbord, L. y Cas, D. (2002). Microbial agents associated with waterborne diseases. Critical Reviews in Microbiology, 28(4), 371-409.

Lim, H., Lee, J., Jin, S., Kim, J., Yoon, J. y Hyeon, T. (2006). Highly active heterogeneous Fenton catalyst using iron oxide nanoparticles immobilized in alumina coated mesoporous silica. Chemical Communications, 2006(4), 463465. doi: 10.1039/B513517F

Liu, H., Wang, C., Li, X., Xuan, X., Jiang, C. y Cui, H. (2007). A

V. Escalante-Pozos y E. R. Bandala

Temas Selectos de Ingeniería de Alimentos 8 - 1 (2014): 34 - 47

novel electro-Fenton process for water treatment: reaction-controlled pH adjustment and performance assessment. Environmental Science and Technology, 41, 2937-2942.

Long, W. y Jin, X. (2012). Advanced oxidation processes for wastewater treatment: formation of hydroxil radical and application. Critical Reviews in Environmental Science and Technology, 42(3), 251-325.

Ma, J., Ma, W., Song, W., Chen, C., Tang, Y. y Zhao, J. (2006). Fenton degradation of organic pollutants in the presence of low-molecular-weight organic acids: cooperative effect of quinone and visible light. Environmental Science and Technology, 40, 618-624.

Martínez, A. O., Ramirez, F. J. y Toledo, R. M. (2013). Total organic carbon removal from a chemical lab´s wastewater using Fenton´s reagent. Ingeniería e Investigación, 33(2), 30-35.

Masomboon, N., Ratanatamskui, C. y Lu, M.C. (2009). Chemical oxidation of 2,6-dimethylaniline in the Fenton process. Environmental Science and Technology, 43, 8629-8634.

Miralles, C., Audino, F., Oller, I., Sánchez , M., Sánchez, P. y Malato, S. (2014). Pharmaceuticals removal from natural water by nanofiltration combined with advanced tertiary treatments (solar photo-Fenton, photo-Fenton-like Fe(III)-EDDS complex and ozonation). Separation and Purification Technology, 122, 515-522.

Moncayo, L. A., Rincon, A. G., Pulgarin, C. y Benitez, N. (2012). Significant decrease of thms generated during chlorination of river water by previous photo-Fenton treatment at near neutral pH. Journal of Photochemistry and Photobiology A: Chemistry, 229, 46-52.

Ndounla, J., Kenfack, S., Wéthé, J. y Pulgarin , C. (2014). Relevant impact of irradiance (vs. dose) and evolution of pH and mineral nitrogen compounds during natural water disinfection by photo-Fenton in a solar CPC reactor. Applied Catalysis B: Environmental, 149, 144-153.

Ndounla, J., Spuhler, D., Kenfack, S., Wéthé, J. y Pulgarin, C. (2013). Inactivation by solar photo-Fenton in pet bottles of wild enteric bacteria of natural well water: Absence of re-growth after one week of subsequent storage. Applied Catalysis B: Environmental, 129, 309-317.

Ortega, G. E., Fernández, I. P., Ballestreros, M. M., Polo, L. M., Esteban, G. B. y Sánchez, P. J. (2012). Water disinfection using photo-Fenton: Effect of temperature on Enterococcus faecalis survival. Water Research, 46, 6154-6162.

Outran, N., Zhou, M. y Outran, M. (2010). Metomyl degradation by electro-Fenton and electro-Fenton-like processes: A

kinetics study of the effect of the nature and concentration of some transition metal ions as catalyst. The Journal of Physycal Chemistry A, 39, 10605-10611.

Pereira, C. R., da Rocha, S. L., Bogo, D., Jacques, B. A., Eiko, O. M., Blanco, M., Oliviera, S. C., Matos, M. C., Machulek, J. A. y Souza, F. V. (2013). Application of Fenton, photo-Fenton, solar photo-Fenton, and uv/H2O2 to degradation of the antineoplastic agent mitoxantrone and toxicological evaluation. Environmental Science and Pollution Research, 20, 2352-2361.

Pignatello, J. J., Oliveros, E. y MacKay, A. (2006). Advanced oxidation processes for organic contaminant destruction based on the Fenton reaction and related chemistry. Critical Reviews in Enviromental Science and Technology, 36(1), 1-84.

Plakas, K., Karabelas, A., Sklari, S. y Zaspalis, V. (2013). Toward the development of a novel electro-Fenton system for eliminating toxic organic substances from water. Part 1. In situ generation of hydrogen peroxide. Industrial and Engineering Chemistry Research, 52, 13948 - 13956.

Polo, L., Oller, I. y Fernández, I. (2013). Benefits of foto-Fenton at low concentrations for solar disinfection of distilled water. A case study: Phytophthora capsici Catalysis Today, 209, 181-187.

Price, S., Hudersman, K., Shen, J. y Walsh, S. (2012). Mycobactericidal activity of hydrogen peroxide activated by a novel heterogeneous Fenton´s-like catalyst system. Letters in Applied Microbiology, 56, 83-87.

Quiroz, M. A., Bandala, E. R. y Martínez-Huitle, C. A. (2011). Advanced oxidation processes (AOPs) for removal of pesticides from aqueous media. En M. Stoytcheva, Pesticides - Formulations, Effects, Fate (págs. 685 - 730). Vienna, Austria: InTech.

Ramirez, J., Lampinen, M., Vicente, M., Costa, C. y Madeira, L. (2008). Experimental design to optimize the oxidation of orange II dye solution using a clay-based Fenton-like catalyst. Industrial and Engineering Chemistry Research, 47, 284-294.

Ramirez, J., Maldonado, H. F., Pérez, C. A., Moreno, C. C., Costa, C. y Madeira, L. (2007). Azo-dye orange II degradation by heterogeneous Fenton-like reaction using carbon-Fe catalysts. Applied Catalysis B: Environmental, 75, 312323.

Ratpukdi, T., Casey, F., DeSutter, T. y Khan, E. (2011). Bromate formation by ozone-VUV in comparison with ozone and ozone-uv: Effects of pH, ozone dose, and VUV power.

Journal of Environmental Engineering, 137(3), 187-195.

V. Escalante-Pozos y E. R. Bandala

Temas Selectos de Ingeniería de Alimentos 8 - 1 (2014): 34 - 47

Rincón, A. G. y Pulgarin, C. (2006). Comparative evaluation of Fe+3 and TiO 2 photo assisted processes in solar photocatalytic disinfection of water. Applied Catalysis B: Environmental, 63, 222-231.

Rodriguez, C., Mostco, R., Ormad, M. y Ovelleiro, J. (2012). Factorial experimental design applied to Escherichia coli disinfection by Fenton and photo-Fenton processes. Solar Energy, 86, 3260-3267.

Saatci, Y. (2010). Decolorization and mineralization of remazol red F3B by Fenton and photo-Fenton processes. Journal of Environmental Engineering, 136(9),1000-1005.

Salazar, S. y Ureta, Z. M. (2012). Mineralization of triadimefon fungicide in water by electro-Fenton and photo electroFenton. Water, Air and Soil Pollution, 223, 4199-4207.

Samet, Y., Hmani, E. y Abdelhédi, R. (2012). Fenton and solar photo-Fenton processes for the removal of chlorpyrifos insecticide in wastewater. Water Research Commission, 38(4), 537-542.

Secretaría de Salud. (1994). Norma Oficial Mexicana NOM127-SSA1-1994, Salud ambiental, agua para uso y consumo humano- Límites permisibles de calidad y tratamientos a que debe someterse el agua para su potabilización.

Secretaría de Salud. (2002). Norma Oficial Mexicana NOM201-SSA1-2002, Productos y servicios. Agua y hielo para consumo humano, envasados y a granel. Especificaciones sanitarias.

SEMARNAT. (1993). Norma Oficial Mexicana NOM-CCA-031ECOL/1993, que establece los límites máximos permisibles de contaminantes en las descargas de aguas residuales provenientes de la industria, actividades agroindustriales, de servicios y el tratamiento de aguas residuales.

SEMARNAT. (1996a). Norma Oficial Mexicana NOM-001ECOL-1996, que establece los límites máximos permisibles de contaminantes en las descargas de aguas residuales en aguas y bienes nacionales.

SEMARNAT. (1996b). Norma Oficial Mexicana NOM-002ECOL-1996, que establece los límites máximos permisibles de contaminantes en las descargas de aguas residuales a los sistemas de alcantarillado urbano o

municipal.

semarnat. (1997). Norma Oficial Mexicana NOM-003ECOL-1997, que establece los límites máximos permisibles de contaminantes para las aguas residuales tratadas que se reusen en servicios al público.

Shalinee, N. y Ademola, O. (2014). Treated wastewater effluent as a source of microbial pollution of surface water resources. International Journal of Environmental Research and Public Health, 11, 249 - 270.

Shu-Sung, L. y Mirat, D. G. (1998). Catalytic decomposition of hydrogen peroxide on iron oxide: kinetics, mechanism and implications. Environmental Science and Technology, 32(10), 1417 - 1423.

Spuhler, D., Rengifo, H. J. y Pulgarin, C. (2010). The effect of Fe+2, Fe+3, H2O2 and the photo-Fenton reagent at near neutral pH on the solar disinfection (SODIS) at low temperatures of water containing Escherichia coli K12. Applied Catalysis B: Environmental, 96, 126-141.

Vázquez del Mercado, A. R. y Buenfil, R. M. (2012). Huella hídrica de américa latina: Retos y oportunidades. Aqua-LAC, 4(1), 41-48.

Wang, C., Liu, H. y Sun, Z. (2012). Heterogeneous photo-Fenton reaction catalyzed by nanosized iron oxides for water treatment. International Journal of Photoenergy, 2012, Article ID 801694, 10pages. doi:10.1155/2012/801694.

Wang, J. y Xu, L. (2012). Advanced oxidation processes for wastewater tratment: formation of hydroxil radical and application. Critical Reviews in Environmental Science and Technology, 42, 251-325.

Wang, Q., Tian, S. y Ning, P. (2014). Degradation mechanism of methylene blue in a heterogeneous Fenton-like reaction catalyzed by ferrocen. Industrial and Engineering Chemistry Research, 53, 643-649.

Westphal, K., Saliger, R., Jäger, D., Teevs, L. y Prübe, U. (2013). Degradation of clopyralid by the Fenton reaction. Industrial and Engineering Chemistry Research, 52, 1392413929.

Zeng, X. y Lemley, A. (2009). Fenton degradation of 4,6-dinitro-o-cresol with Fe2+-substituted ion-exchange resin. Journal of Agricultural and Food Chemistry, 57, 36893694.

El tamarillo (Cyphomandra betacea) y su importancia como fuente de compuestos antioxidantes

G. Preciado-Iñiga* y M. E. Bárcenas-Pozos

Departamento de Ingeniería Química, Alimentos y Ambiental, Universidad de las Américas Puebla. Ex hacienda Sta. Catarina Mártir S/N, San Andrés Cholula, Puebla. C.P.72810. México.

RESUMEN

El tamarillo (Cyphomandra betacea), es un fruto originario de América del Sur que se caracteriza por su alto contenido de compuestos antioxidantes (antocianinas, compuestos fenólicos, vitamina C, carotenoides). Debido a que existen evidencias de que el consumo de ciertos compuestos antioxidantes está relacionado con un menor riesgo de sufrir algunos tipos de enfermedades crónicas, específicamente cáncer y enfermedades cardiovasculares, varios investigadores han realizado estudios relacionados con el potencial antioxidante del tamarillo. El objetivo de esta revisión es proporcionar información sobre las características, propiedades y usos de este fruto y hacer una recopilación de información publicada sobre el tamarillo como fuente de compuestos antioxidantes.

Palabras clave: tamarillo, Cyphomandra betacea, antioxidantes.

ABSTRACT

The tamarillo (Cyphomandra betacea), a fruit native from South America, is characterized by its high content of antioxidant compounds (anthocyanins, phenolic compounds, vitamin C, carotenoids). Evidence proves that the consumption of certain antioxidant compounds diminish the risk of suffering different types of chronic diseases, particularly cancer and cardiovascular diseases, therefore, several researchers have conducted studies related to the antioxidant potential of the tamarillo. The purpose of this review is to provide information of the characteristics, properties and uses of this fruit, and also to provide a compilation of published research on the tamarillo as a source of antioxidant compounds.

Keywords: Cyphomandra betacea, antioxidants.

Programa de Maestría en Ciencia de Alimentos

Tel.: +52 222 229 2126

Fax: +52 222 229 2727

Dirección electrónica: grace.preciado.ia@udlap.mx

Introducción

El tamarillo (Cyphomandra betacea) es un fruto exótico proveniente de la región Andina, de aroma agradable y sabor agridulce, cuya coloración se debe a compuestos antioxidantes como carotenoides, flavonoides y antocianinas (Cuesta, Andrade, Moreno y Concellón, 2013). La planta de tamarillo es arbustiva, pequeña y de climas fríos, sus frutos presentan diferentes formas, entre ovaladas y alargadas, y contienen en su interior las semillas, recubiertas por un gel rico en antocianinas (Quijano y Pino, 2006). La variedad del fruto de tamarillo más producida y comercializada es la “rojo común”, la cual posee forma ovoide; su tamaño aproximado es de 5 cm de ancho por 8 cm de largo y su peso de 80 g (Contreras, Gamba y Fischer, 2007). El tamarillo es un fruto muy apreciado por ser fuente de carotenoides, vitaminas C, B6 y E; además de ser rico en hierro y compuestos fenólicos (Vasco, Avila, Ruales, Svanberg y Kamal-Eldin, 2009).

Los compuestos fenólicos y otros compuestos antioxidantes tienen efectos benéficos sobre el organismo, previniendo el riesgo de distintas enfermedades, ya que tienen la capacidad de neutralizar radicales libres, los cuales causan daño oxidativo a las moléculas de lípidos, proteínas y ácidos nucleicos, produciendo enfermedades degenerativas (Muñoz, Ramos, Alvarado, Ortiz y Castañeda, 2007). El presente artículo tiene como propósito proporcionar información general que permita al lector tener mayor conocimiento sobre las características, propiedades y usos del tamarillo y hacer una revisión de las investigaciones recientemente publicadas sobre el tamarillo como fuente de compuestos antioxidantes.

Revisión bibliográfica

1. Generalidades del tamarillo

El tamarillo es una fruta exótica, que se conoce con diferentes nombres: tomate de árbol, tamarillo, tomate de agua, tomate cimarrón, entre otros. Es originario de América del Sur; se cree que tuvo su origen en Bolivia y Argentina y que la especie fue domesticada en Perú y Ecuador. Crece muy bien en Nueva Zelanda y ha sido introducido a otros países donde es cultivado en menor escala (Boyes y Strübi, 2010; Revelo, Pérez y Maila, 2011).

1.1. Cultivo y producción del tamarillo

La planta de tamarillo es pequeña y de rápido crecimiento, alcanzando una altura de entre 2 y 3 m; pocas veces llega a medir 5 metros de altura. Su sistema radicular tampoco es muy grande y está en relación al tamaño de la planta. El tiempo de vida esperado de la planta es corto (5 a 12 años). Las hojas son perennes y grandes, presentan de 30 a 40 cm de largo y poseen forma acorazonada. Las flores son pequeñas, de color rosado y se encuentran agrupadas en racimos donde puede haber hasta 40 flores, las cuales sólo van a producir entre 1 y 6 frutos; esto sucede en el primero o segundo año después del trasplante (Revelo et al., 2011; Carrera, 2013).

La planta de tamarillo se desarrolla bien en climas templados y fríos. La altura óptima para cultivarlo se encuentra entre 2,000 y 2,400 metros sobre el nivel del mar; sin embargo, en Ecuador crece a 1,500 - 3,000 m, en Puerto Rico a 300-900 m, en la India a 300-2,200 m y a alrededor de 1,800 m en Haití. Su temperatura óptima de crecimiento está entre 9°C y 20°C; cabe recalcar que temperaturas menores a 4°C causan reducción de su actividad fisiológica y temperaturas mayores de 20°C producen la caída de las flores. En lugares donde la humedad relativa es del 70% al 80%, el tamarillo se cultiva sin ningún problema; crece muy bien en lugares con precipitaciones de lluvia entre 600 y 4,000 mm. Uno de los factores más importantes para el buen desarrollo de la planta es la intensidad lumínica; la planta de tamarillo se desarrolla bien con radiaciones solares entre 1,500 y 1,800 horas luz/año. Además, se ha notado que este cultivo requiere de sombra y alta nubosidad. El suelo óptimo para el cultivo de tamarillo es el medio franco o franco arenoso; debe poseer un buen drenaje y un pH entre 5.5 y 6.5 (ligeramente ácido) (Llumigusin y Quintana, 2011; Prohens y Nuez, 2001).

De los frutos del tamarillo se conocen 20 especies, pero los más comercializados son el rojo, el morado y el anaranjado, los mismos que se pueden encontrar en forma redonda, alargada y ovoide. El tamarillo rojo es el más común; su forma es ovalada y su pulpa anaranjada y generalmente su fruto pesa entre 50 y 80 g. La especie de color amarillo pesa generalmente entre 50 y 70 g, su pulpa, al igual que su cáscara, es de color amarillo. La especie morada o también conocida como roja oscura o negro, tiene una pulpa de color púrpura y puede pesar entre 60 y 100 g; su forma es redonda u ovoide (Prohens y Nuez, 2001). La piel del fruto es lisa y de sabor amargo; la pulpa de sabor dulce y ácido, contiene las semillas, las cuales son redondas y se encuentran recubiertas con un gel que posee alto contenido de antocianinas (Quijano y Pino, 2006). La clasificación taxonómica del tamarillo se presenta en la tabla I.

G. Preciado-Iñiga y M. E. Bárcenas-Pozos

Tabla I. Clasificación taxonómica del tamarillo

Reino Plantae (vegetal)

División Magnoliphyta (angiospermas)

Clase Magnoliopsida (dicotiledóneas)

Orden Solanales

Familia Solanaceae

Género Cyphomandra

Especie Cyphomandra betacea Sendt

Nombre común Tomate de árbol, Tamarillo

Nombre científico Cyphomandra betacea

Adaptado de Chalampuente y Prado (2005); fao (2006)

Actualmente, el principal productor y distribuidor del tamarillo en el mundo es Nueva Zelanda. El mayor productor a nivel de la región Andina es Colombia, seguida de Ecuador, siendo este país el principal proveedor de la Unión Europea; esto se debe a que en Ecuador la fruta se puede encontrar en el mercado durante todo el año (Vasco et al., 2009). En México, el cultivo de tamarillo ha tomado importancia en el norte del estado de Puebla, específicamente en los límites de esta zona con el estado de Veracruz; municipios como Cuetzalan del Progreso, Hueytlalpan y San Sebastián Tlacotepec, se destacan por sus niveles de producción (SDR, 2005).

1.2. Composición y valor nutricional

El componente mayoritario del tamarillo es el agua (81-88%).

Este fruto es bajo en calorías y rico en fibra; además contiene vitaminas C y B6, carotenos y hierro (tabla II). En el fruto se pueden encontrar algunos pigmentos como son las antocianinas, flavonas, flavonoles y leucoantocianinas (Vasco et al., 2009).

Se han hecho estudios sobre los compuestos volátiles que son responsables del aroma característico del tamarillo; se han encontrado 84, destacando como los más importantes: trans3-hexenal, cis-3-hexenol, hexanoato de metilo, 3-hidroxibutanoatos, 3-hidroxihexanoatos, eugenol y 4-alil-2,6-dimetoxifenol (Vasco et al., 2009; Quijano y Pino, 2006).

La importancia nutricional del tamarillo radica en su contenido de compuestos antioxidantes; uno de los principales es la vitamina C, que se encuentra en una proporción de entre 19.7 y 57.8 mg/100g (Carrera, 2013; Chalampuente y Prado, 2006).

Se han reportado diversos estudios donde se atribuyen propiedades medicinales al tamarillo, gracias a su capacidad antioxidante. Esta está relacionada con la prevención de enfermedades cardiovasculares, cáncer, diabetes, artritis, arterioesclerosis, así como con el retraso del envejecimiento (Ce-

Tabla II. Composición y propiedades del tamarillo

Características

Contenido de sólidos

Rango

Humedad (g/100 g) 81.0-87.8

Proteínas (g/100 g)

Grasas (g/100 g)

Glucosa (g/100 g)

Fructosa (g/100 g)

Sacarosa (g/100 g)

1.5-2.5

0.05-1.28

0.5-1.0

0.7-1.2

0.3-2.5

Fibra (g/100 g) 1.4-6.0

Ácido cítrico (g/100 g) 1.27-1.80

Ácido málico (g/100 g)

Ceniza (g/100 g)

0.05-0.15

0.60-0.83

Vitamina A (I.U.) 540-2475

Ácido ascórbico (mg/100 g) 19.7-57.8

Sodio (mg/100 g) 1.3-8.9

Potasio (mg/100 g) 290-347

Calcio (mg/100 g) 3.9-11.3

Magnesio (mg/100 g) 19.7-22.3

Hierro (mg/100 g) 0.40-0.94

Cobre (mg/100 g)

0.05-0.20

Zinc (mg/100 g) 0.10-0.20

Manganeso (mg/100 g)

0.10-0.20

Fosfatos (mg/100 g) 33.9-65.5

Adaptado de Prohens y Nuez (2000)

rón, Higuita y Cardona, 2010). Además, se ha propuesto que el consumo de tamarillo fortalece el cerebro y contribuye a curar migrañas y cefaleas severas, debido a que contiene sustancias como el ácido gamma amino butírico, el cual disminuye la tensión arterial, siendo esto beneficioso para personas hipertensas. También se puede utilizar para tratar enfermedades respiratorias y anemia (Revelo et al., 2011 y SDR, 2005).

1.3. Usos y productos del tamarillo

El tamarillo principalmente se consume como fruto fresco, pero también se puede usar como materia prima para la elaboración de diversos productos como son: jugos, dulces, compotas, gelatina, concentrados congelados, helados, papillas para bebés y salsas picantes (fao, 2006; Revelo et al., 2011). Además, es conveniente para la elaboración de jaleas y mermeladas, debido a su alto nivel de pectinas. El tamarillo tiene buenas características para el enlatado en almíbar y para usar-

G. Preciado-Iñiga y M. E. Bárcenas-Pozos

Temas Selectos de Ingeniería de Alimentos 8 - 1 (2014): 48 - 53

lo en combinación con otros productos como yogur (Prohens y Nuez, 2001).

Debido a que el ingreso del tamarillo de origen americano a algunos países como Canadá y Estados Unidos debe ser en forma de producto procesado, puesto que está prohibido su ingreso como fruto fresco, se ha considerado la posibilidad de desarrollar nuevos productos a base de tamarillo. Estos podrían ser: tamarillo deshidratado, hojuelas de tamarillo, jugos clarificados, extractos, conservas obtenidas por altas presiones, entre otros (Fontagro, Corpoica y Ciat, 2006). En este sentido, Villegas, Rodríguez, Guerrero y Bárcenas (2013) desarrollaron una base dulce de tamarillo conservada por métodos combinados, a partir de la cual se podrían elaborar diversos productos en cualquier época del año.

2. Estudios sobre el potencial antioxidante del tamarillo

Se han llevado a cabo distintos estudios con el fin de conocer el potencial antioxidante del tamarillo. En la tabla III se presenta un resumen de los resultados obtenidos en algunas de estas investigaciones. Se observa que la cáscara del tamarillo tie-

ne mayor capacidad antioxidante y contenido de compuestos fenólicos que la pulpa y las semillas; a su vez, las semillas presentan valores más altos de estos parámetros en comparación con la pulpa. También puede observarse que las variedades rojas muestran valores superiores de ambos parámetros con respecto a la amarilla. Por otro lado, tanto para la capacidad antioxidante y el contenido de compuestos fenólicos como para el contenido de antocianinas, las diferencias encontradas entre los resultados obtenidos en los diversos estudios pueden atribuirse a la variedad de tamarillo estudiada, al grado de maduración del fruto, y a los métodos de extracción y cuantificación utilizados.

Adicionalmente, Muñoz et al. (2007) determinaron el contenido de distintos compuestos fenólicos en el tamarillo, encontrando ácidos fenólicos como el clorogénico, ferúlico y cafeico (81.47, 2.99 y 2.57 mg/kg de peso fresco, respectivamente) y flavonoles como morina, quercetina, rutina y kaenferol (0.18, 3.41, 0.81 y 0.01 mg/kg de fruto fresco, respectivamente). En otro estudio, este mismo grupo de investigadores (Muñoz, Ramos, Alvarado, Castañeda y Lizaraso 2009) determinó el contenido de flavonoides en cáscara de tamarillo; ellos

Tabla III. Compuestos fenólicos, capacidad antioxidante y antocianinas de tamarillo

Nombre científico País de origen Color del fruto

Solanum betaceum Cav.

Ecuador

Solanum betaceum Cav. Ecuador

Amarillo dorado Púrpura rojo

Parte del fruto evaluado

Cáscara, pulpa y semilla

Compuestos fenólicos (mg equivalentes de ácido gálico/100 g de muestra fresca)

Cáscara (var. amarilla) 387 (var. roja) 620 Pulpa (var. amarilla) 78 (var. roja) 113 Semillas (var. amarilla) 94 (var. roja) 152

Morado

Endocarpio y mesocarpio

Mesocarpio 43-54

Endocarpio 120-155

Capacidad antioxidante (mmol Trolox/g de muestra fresca)

Cáscara (var. amarilla) 22 (var. roja) 40 Pulpa (var. amarilla) 2.3 (var. roja) 3.0 Semillas (var. amarilla) 3.8 (var. roja) 9.3

Mesocarpio 1.65-2.05

Endocarpio 7.3-9.3

Cyphomandra betacea Perú Cáscara 846.95 71.91

Cyphomandra betacea Venezuela Rojo

Cyphomandra betacea Perú

Cyphomandra betacea Perú

Pulpa y semillas

Pulpa y semillas

Pulpa y semillas

Antocianinas (mg cianidina 3-glucósido/g de muestra fresca)

0.38

Endocarpio 1.2-1.7

Fuente

Vasco et al. (2009)

Cuesta et al. (2013)

Muñoz et al. (2009)

Torres (2012)

Carrasco y Encina (2008)

Muñoz et al. (2007)

G. Preciado-Iñiga y M. E. Bárcenas-Pozos

Temas Selectos de Ingeniería de Alimentos 8 - 1 (2014): 48 - 53

reportaron que los ácidos clorogénico y cafeico y la rutina fueron los más abundantes (416.04, 20.26 y 69.11 mg/kg de cáscara, respectivamente).

De igual forma, Hurtado, Morales, Duque, Vicario y Heredia (2005) caracterizaron las antocianinas aisladas del fruto de tamarillo, observando que la delfinidina-3-O-(6’’-O-α-ramnopiranosil-β-glucopiranósido) es la principal antocianina en el gel que rodea a las semillas, mientras que en la cáscara es la cianidina-3-O-(6’’-O-α-ramnopiranosil-β-glucopiranósido); otras antocianinas aisladas e identificadas fueron pelargonidina - 3-O-(6’’-O-α-ramnopiranosil-β-glucopiranósido) y delfinidina-3-O-(6’’-O-α-ramnopiranosil-β-glucopiranósido)-3’-O-β-glucopiranósido.

Por otro lado, en varios estudios se determinó el contenido de ácido ascórbico del tamarillo, reportándose 16.09, 16.5, 23.32, 16-22 mg/100 g de fruto por Repo y Encina (2008), Vasco et al. (2009), Torres (2012) y Cuesta et al. (2013), respectivamente. Así mismo, distintos investigadores obtuvieron el contenido de carotenos en el tamarillo; para 100 g de fruto, Repo y Encina (2008) reportan 4 mg de β-caroteno y Vasco et al. (2009) 3.4-5.2 mg, y Cuesta et al. (2013) 0.9-6 mg de carotenos totales. Por su parte, Torres (2012) determinó el contenido de licopeno en pulpa madura de tamarillo, el cual fue 1.22 mg/100 g.

Conclusiones

A pesar de existir diferencias entre las diversas variedades de tamarillo, es evidente que los frutos poseen propiedades benéficas para la salud del ser humano; esto debido a su contenido en compuestos antioxidantes (vitamina C, fenoles, antocianinas, carotenoides). De esta manera, debido a estos estudios se puede impulsar a una mayor producción y consumo de esta fruta, ya sea como fruto fresco o procesado, para contribuir a mejorar la salud de los consumidores.

Referencias

Boyes, S. y Strübi, P. (2010). Organic acid and sugar composition of three New Zealand grown tamarillo varieties (Solanum betaceum (Cav.)). New Zealand Journal of Crop and Horticultural Science, 25(1), 79-83.

Carrera-Oscullo, P. (2013). Determinación de las propiedades fisicoquímicas del jugo de tomate de árbol (Solanum betaceum cav) preparado a diferentes tiempos de cocción del fruto. Tesis de licenciatura no publicada. Universidad Central del Ecuador, Quito, Ecuador.

Cerón, I., Higuita, J. y Cardona, C. (2010). Capacidad antioxidante y contenido fenólico total de tres frutas cultivadas en la región andina. Revista Vector, 5(2010), 17-26.

Chalampuente, D. y Prado, P. (2006). Caracterización morfoagronómica y molecular de la colección de tomate de árbol (Cyphomandra betacea Sendt) del banco de germoplasma del INIAP, Ecuador. Tesis de licenciatura no publicada, Pontificia Universidad Católica del Ecuador, Quito, Ecuador.

Contreras, J., Gamba, H. y Fischer, G. (2007). Características fisicoquímicas y organolépticas de frutos de tomate de árbol (Solanum betaceum Cav) a dos temperaturas de almacenamiento y tipos de cera. Ciencia y Agricultura, 5(2), 39-49.

Cuesta, L., Andrade, M. J., Moreno, C. y Concellón, A. (2013). Contenido de compuestos antioxidantes en tres estados de maduración de tomate de árbol (Solanum betaceum Cav.) cultivado a diferentes alturas (m.s.n.m.). Enfoque UTE, 4(1), 32-49.

Food and Agriculture Organization. (2006). Tomate de árbol (Cyphomandra betacea). Recuperado el 16 de octubre de 2013, de ICCA:http://www.fao.org/inpho_archive/ content/documents/vlibrary/ae620s/pfrescos/TOMATEDEARBOL.HTM

FONTAGRO, CORPOICA. Y CIAT. (2006). Desarrollo tecnológico para el mejoramiento del manejo postcosecha de frutales exportables de interés para los países andinos. Estudio de mercado para tomate de árbol (Cyphomandra betacea), uchuva (Physalis peruviana 1.), y granadilla (Pasiflora ligularis), en Colombia, la región andina y norteamérica, como frutas frescas y procesadas. Recuperado el 18 de octubre de 2013, de Corpoica: http://corpomail.corpoica.org.co/BACFILES/BACDIGITAL/55288/InformeFinaFontagro1.pdf

G. Preciado-Iñiga y M. E. Bárcenas-Pozos

Hurtado, H., Morales, A., Duque, C., Vicario, I. y Heredia, F. (2005). Caracterización y actividad antioxidante de antocianinas aisladas del fruto de tamarillo (Cyphomandra betacea sent). Revista Cubana de Química, 17(3), 215-216.

Llumigusin, A. y Quintana, S. (2011). Plan de comercio exterior y negociación internacional para la comercialización de tomate de árbol. Tesis de licenciatura no publicada, Escuela Superior Politécnica del Ecuador, Quito, Ecuador.

Muñoz, A., Ramos, F., Alvarado, C. y Castañeda, B. (2007). Evaluación de la capacidad antioxidante y contenido de compuestos fenólicos en recursos vegetales promisorios. Revista de la Sociedad Química del Perú, 73(3), 142-149.

Muñoz, A., Ramos, F., Alvarado, C., Castañeda, B. y Lizaraso, F. (2009). Evaluación de compuestos con actividad biológica en cáscara de camu camu (Myrciaria dubia), guinda (Prunus serotina), tomate de árbol (Cyphomandra betacea) y carambola (Averrhoa carambola L.) cultivadas en Perú. Revista de la Sociedad Química del Perú, 75 (4), 431-438.

Prohens, J. y Nuez, F. (2001). The tamarillo (Cyphomandra betacea). Small fruits review, 1(2), 43-68.

Quijano, C. E. y Pino, J. A. (2006). Análisis de los compuestos volátiles del tomate de árbol (Cyphomandra betacea Sendtn.) mediante microextracción en fase sólida. Ciencia y Tecnología de Alimentos, 16(3), 17-22

Repo, R. y Encina, C. (2008). Determinación de la capacidad antioxidante y compuestos bioactivos de frutas nativas peruanas. Sociedad Química del Perú, 74(2), 108-124.

Revelo, A., Pérez, E. y Maila, M. (2011). Cultivo de tomate de árbol. Capacitación sobre el cultivo ecológico del tomate de árbol. Recuperado el 18 de octubre de 2013, de INIAP: http://www.iniap.gob.ec/nsite/images/documentos/Cultivo%20_tomate_ecologico.pdf

Secretaría de Desarrollo Rural. (2005). Cultivos del Estado de Puebla. Recuperado el 10 de febrero de 2011, de Gobierno de Puebla: http://www.puebla.gob.mx/index. php?option=com_phocadownload&view=category&id=25:hortalizas&download=425:tomate-de-rbol&start=60&Itemid=319

Torres, A. (2012). Caracterización física, química y compuestos bioactivos de pulpa madura de tomate de árbol (Cyphomandra betacea) (Cav.) Sendtn. Archivos Latinoamericanos de Nutrición, 62(4), 381-388.

Vasco, C., Avila, J., Ruales, J., Svanberg, U. y Kamal-Eldin, A. (2009). Physical and chemical characteristics of golden-yellow and purple-red varieties of tamarillo fruit (Solanum betaceum Cav.). International Journal of Food Sciences and Nutrition, 60(S7), 278-288.

Villegas, X., Rodríguez, D. N., Guerrero, J. A. y Bárcenas, M. E. (2013). Estabilidad de un producto dulce de tamarillo (Cyphomandra betacea) conservado por métodos combinados. Scientia Agropecuaria, 4(2013), 89-100.

Métodos para la inactivación de esporas en alimentos

L. C. Huesca-Espitia1*, J.L. Sánchez-Salas2 y E. R. Bandala1

1Departamento de Ingeniería Química, Alimentos y Ambiental, Universidad de las Américas Puebla. Ex hacienda Sta. Catarina Mártir S/N, San Andrés Cholula, Puebla. C.P.72810. México.

2Departamento de Ciencias Químico-Biológicas, Universidad de las Américas Puebla. Ex hacienda Sta. Catarina Mártir S/N, San Andrés Cholula, Puebla. C.P.72810. México.

RESUMEN

Los microorganismos, en especial los formadores de esporas, presentan un gran reto para la industria de los alimentos en su continua preocupación de producir alimentos inocuos. Para tratar de eliminar a los microorganismos se han desarrollado diferentes metodologías para su procesamiento; por ejemplo, los tratamientos térmicos, aquellos basados en factores químicos como la acidificación, o la combinación de ambos, las tecnologías emergentes como el plasma y los procesos avanzados de oxidación. Sin embargo, no todos ellos son eficientes en la eliminación de esporas debido a las características morfológicas de éstas, que les proporcionan resistencia ante condiciones adversas y además, a que la población es heterogénea en cuanto a tiempos de germinación, que pueden ser desde días hasta períodos de tiempo muy prolongados como es el caso de las esporas superlatentes. En este trabajo se analizan los aspectos más relevantes en la microbiología de alimentos y tratamientos asociados al procesado de éstos. Se enfocará en presentar los procesos o métodos aplicados hasta el momento sobre la inactivación de esporas de microorganismos que afectan el deterioro de los alimentos o que causan daño a la salud de los consumidores.

Palabras clave: microorganismos, esporas, superlatentes, tecnologías emergentes.

ABSTRACT

Microorganisms, especially spore-forming bacteria, are a big challenge for the food industry in its continuing concern to produce safe and high quality food. Different processing methodologies have been developed trying to eliminate these microorganisms, such as heat treatments, those based on chemical factors such as acidification, or the combination of them, as well as emerging technologies such as plasma and advanced oxidation processes. However, not all of them are efficient in removing spores due to the morphological characteristics which provide resistance to adverse conditions and also because of the population heterogeneity in terms of germination time, that can be from days to very long periods of time like in superdormant spores. In this work the most important in food microbiology and treatments associated with the processing of these aspects are analyzed. It will focus on presenting the processes or methods used so far on the inactivation of spores of microorganisms affect food spoilage or cause damage to the health of consumers.

Keywords: microorganisms, spores, superdormant, emerging technologies.

Programa de Doctorado en Ciencia de Alimentos

Tel.: +52 222 229 2126

Fax: +52 222 229 2727

Dirección electrónica: luz.huescaea@udlap.mx

Temas Selectos de Ingeniería de Alimentos 8 - 1 (2014): 48 - 67

Introducción

En el mundo actual y con el acelerado ritmo de vida que caracteriza al siglo xxi, tanto la producción y el consumo de alimentos procesados tienen un impacto económico positivo para todos los países, como aquellos en desarrollo incluido el nuestro, que han aumentado su tasa de producción, ya sea para sustentar su consumo interno o para exportar. Sin embargo, un impacto negativo de grandes dimensiones puede ocurrir si se presentan brotes de enfermedades transmitidas por alimentos o un deterioro de los alimentos de exportación a gran escala. En el caso de la industria de jugos de frutas, se han reportado en los últimos 20 años brotes de patógenos como Escherichia coli O157:H7, Salmonella spp y Crystosporidium parvum (cdc, 1996, 1999, 2006, 2007), así como microorganismos deteriorativos como Alicyclobacillus acidoterrestris (Chang y Kang, 2004). Todo esto ha impuesto grandes retos no sólo a la industria alimentaria sino a los investigadores en ciencia de alimentos en el desarrollo de metodologías con una alta eficiencia en la eliminación o inactivación de los microorganismos causantes de enfermedades. Por otra parte, se han tratado de entender los mecanismos por los cuales los microorganismos son, en algunas ocasiones, resistentes a los procesos convencionales. La microbiología de los alimentos ha experimentado un desarrollo considerable en los últimos años debido, en gran parte, a la modelación predictiva (McMeekin et al., 2008) y a la evaluación de riesgos (Hoornstra y Notermans, 2001). A pesar de esto, su aplicación en diversas áreas de la industria alimentaria para mejorar la seguridad y calidad microbiológica de los alimentos aún es limitada.

En este trabajo se analizan los aspectos más relevantes en la microbiología de alimentos y tratamientos asociados al procesado de éstos. Se enfocará en presentar los procesos o métodos aplicados hasta el momento sobre la inactivación de esporas de microorganismos que afectan el deterioro de los alimentos o que causan daño a la salud de los consumidores.

Revisión bibliográfica

1. Problemática de la contaminación microbiológica de los alimentos y agua

En la mayoría de los casos, los microorganismos utilizan a los alimentos como fuente de nutrientes, dando lugar al deterioro de éstos. Esto se debe no sólo a la presencia de microorganismos y a la utilización de sustancias nutritivas, sino también a

la producción de cambios enzimáticos que originan modificaciones del sabor debido a la degradación o síntesis de algunos compuestos. En el caso de los microorganismos patógenos podemos decir que la mayoría de los alimentos pueden servir para desarrollar o para actuar como vehículos de estos microorganismos, debido a esto, es necesario evitar su contacto y proliferación, así como lograr su eliminación durante el procesamiento (Floros et al., 2010).

1.1. Tipos de microorganismos contaminantes de alimentos y agua

La mayoría de los microorganismos que contaminan a los alimentos y al agua son bacterias mesofílicas (crecen entre 20 y 42oC) (tabla I), de las cuales un alto porcentaje son patógenas en estas condiciones de temperatura, también están presentes otros tipos de microorganismos como levaduras, mohos y virus. Los alimentos se descomponen por acción microbiana a temperatura ambiente, por lo que es necesario procesarlos y mantenerlos a temperaturas extremas, ya sea calientes o fríos, para evitar la proliferación de los microorganismos. Aproximadamente a -10oC cesa por completo la tasa metabólica de los microorganismos y entran en un estado de latencia y cuando las condiciones son nuevamente propicias, los microorganismos activan sus procesos metabólicos y comienzan de nuevo a reproducirse. Por otra parte, muy pocas bacterias sobreviven a temperaturas superiores a los 90oC, las que lo hacen se les denomina termofílicas (45-100oC). Entre las bacterias que sobreviven a altas temperaturas se encuentran aquellas cuyo ciclo de vida incluye la producción de esporas, por ejemplo los géneros Clostridium y Bacillus. Las esporas son estructuras que resisten temperaturas de más de 100oC durante largos períodos de tiempo (de hasta 20 minutos), sin ser destruidas. Algunas especies producen toxinas que pueden o no resistir el tratamiento térmico. La bacteria Clostridium botulinum además genera toxinas muy poderosas que vuelven tóxicos a los alimentos generando la enfermedad llamada botulismo (Frazier y Westhoff, 1991; Adams y Moss, 1997; Jay, 2000).

1.2. Bacterias que forman esporas

Las bacterias tienen muchas estrategias para sobrevivir al ambiente. Estas estrategias implican con frecuencia los cambios rápidos en la expresión de genes que alteran temporalmente el fenotipo de una célula y le permiten sobrevivir. Un ejemplo sofisticado de la respuesta al estrés es la formación de esporas, o esporulación, en el que el genoma bacteriano es conservado en un lugar seguro (la espora) hasta que mejoran las condiciones ambientales, y es entonces cuando la espora germina y vuelve

L. C. Huesca-Espitia, J.L. Sánchez-Salas y E. R. Bandala

Temas Selectos de Ingeniería de Alimentos 8 - 1 (2014): 48 - 67

Tabla I. Bacterias deteriorativas en alimentos y de aplicación en la industria alimentaria.

Tipo de Microorganismos

Familia Género Especie

Pseudomonadaceae Pseudomonas

Gluconobacter G. oxydans

Halobacteriaceae Halobacterium H. salinarium

Vibrionaceae Photobacterium

Vibrio

Enterobacteriaceae Escherichia E. coli

Características

Bacilos no Esporulados Gram - negativos Uso de diversas fuentes de carbono principalmente aerobia protolíticas lipolíticas

Oxidan etanol, producen viscosidad en la cerveza

Halófilas obligadas cromógenas

Importancia en la microbiología de los alimentos

Crecen sobre la superficie de los alimentos produciendo mucílagos y diversos pigmentos

Alteraciones de color en alimentos como en pescados cocinados

Cocobacilos y bacilos luminiscentes Presentes en carnes y pescados

Presentes en agua salada y dulce, suelo y tracto digestivo de mamíferos Patógenas

Bacilo Gram-, coliforme

Enterobacter coliforme

Serratia S. marcescens

Erwinia

Yersinia Y. pestis

Proteus

Shigella

Klebsiella

Presencia de cápsula

Salmonella entéricas

Micrococcaceae

Micrococcus

Cocos, Gram+, aerobias, termodùricos

Staphylococcus S. aureus Gram+

Lactobacillaceae Lactobacillus

Bacilos largos y delgados, microaerofílicos, Gram+, fermentan azúcares dando ácido láctico

Streptococcaceae Streptococcus S. pyogenes Homofermentativos

S. thermophilus

S. bovis Termodúricos

S. lactisy S. cremoris

Produce coloraciones rojizas en la superficie de alimentos

Patógenas de vegetales lesionan frutas y hortalizas

Causa la peste en el hombre, alteraciones de carnes, productos del mar y huevos produciendo toxiinfecciones alimentarias

Producen disenterias bacilares, patologías del tracto respiratorio e intestinal en el humano como la neumonía bacteriana

Producen infecciones alimentarias

Temperatura óptima de crecimiento está entre los 25 y 30oC, pueden desarrollarse en salmueras, termodúricos, algunos dan coloraciones a los alimentos e incluso algunos crecen a temperatura de refrigeración

Muchas de las cepas son patógenas y producen una enterotoxina que causa intoxicaciones alimentarias

Importancia en la industria láctea para la producción de productos fermentados

Origina en la especie humana faringitis séptica, escalatina y otras enfermedades, se encuentra en la leche

Elaboración de quesos y en ciertas leches fermentadas

En leches pasterizadas

Se emplean como fermentos para el queso, mantequilla

L. C. Huesca-Espitia, J.L. Sánchez-Salas y E. R. Bandala

Temas Selectos de Ingeniería de Alimentos 8 - 1 (2014): 48 - 67

Tabla I (continuación). Bacterias deteriorativas en alimentos y de aplicación en la industria alimentaria.

Tipo de Microorganismos

Familia Género Especie

Características

S. feacalis, S.faecium Termodúricos

Pediococcus

Leuconostoc

Bacillaceae Bacillus B. subtilis

Clostridium

C. putrefaciens, C.perfringensy C.butyricum

(A partir de Frazier y Westhoff, 1991; Adams y Moss, 1997)

Gram-negativos tolerantes a la sal

Heterofermetativos

Formadores de endoesporas, cuenta con especies mesófilas y termófilas

Anaerobias o microaerofílicas, pueden ser mesófilos o termófilos

al estado vegetativo rápidamente. Las endosporas se forman y nutren completamente dentro de una célula madre, la cual debe romper su membrana para liberar la espora al medio ambiente (McKenney, Driks y Eichenberger, 2013). Este proceso se revisará con detalle más adelante.

Los géneros Bacillus, Clostridium, Sporolactobacillus, Sporosarcina y Desulfotomaculum son capaces de formar endoesporas. Para la microbiología de los alimentos los dos primeros tienen un interés especial debido a los problemas causados por algunas especies que forman parte de estos géneros. Actualmente se sabe que B. cereus es responsable de dos tipos distintos de enfermedad transmitida por alimentos: un síndrome diarreico, de aparición relativamente tardía y un síndrome emético de aparición rápida. No sólo esta especie de Bacillus se relaciona con enfermedades transmitidas por alimentos, se han aislado algunas otras especies como B. subtilis, B. licheniformis y B. pumilus que han cobrado gran importancia debido al tipo de patología que producen (Scheldeman, Herman, Foster y Heyndrickx, 2006). Todas estas especies se encuentran ampliamente difundidas en suelo, agua y vegetales así como también se han identificado como componentes habituales de la microbiota temporal del intestino de las personas (Frazier y Westhoff, 1991; Adams y Moss, 1997; Jay, 2000).

Las hierbas secas y las especias que se utilizan en la condimentación pueden ser un origen importante de B. cereus. Los jugos y carne son vehículos de los demás bacilos causantes de intoxicaciones alimentarias. Productos horneados tales como el pan y los bollos blandos han sido implicados en varios brotes de intoxicación alimentaria por B. subtilis. Esta última especie es responsable del defecto conocido como pan viscoso,

Importancia en la microbiología de los alimentos

Toleran hasta 6.5% de sal, crecen a pH de 9.6 y su rango de temperatura de crecimiento va desde 5 hasta 50oC

Salmueras, bebidas alcohólicas como la cerveza donde producen diacetilo

Fermentan el ácido cítrico de la leche y producen diacetilo

Alteran los alimentos vegetales enlatados, pan, lácteos y pastas

Alteración gaseosa de las conservas vegetales

en el que las esporas que resisten la cocción germinan y degradan la estructura interna de la hogaza produciendo una mucosidad pegajosa. Sin embargo, este defecto del pan no siempre impide que las personas se lo coman, por lo cual puede actuar como medio de transmisión de enfermedades (Frazier y Westhoff, 1991; Adams y Moss, 1997; Jay, 2000).

Otro microorganismo importante es Clostridium frigidicarnis el cual se ha aislado de carne de res en descomposición o que ha sido envasada al vacío. Este pertenece a un grupo de clostridios asociados con el deterioro de la carne roja refrigerada. Su crecimiento óptimo se produce entre 30 y 38.5oC (Broda, Lawson, Bell y Musgrave, 1999). Los clostridios entran en las plantas de procesamiento de carne, como esporas provenientes del suelo, la materia fecal, o de las pieles de los animales y son transferidos a la superficie de la carne durante la matanza y su procesamiento (Broda, Bell, Boerema y Musgrave, 2002; Boerema, Broda y Bell, 2003). La formación de endosporas que son muy resistentes es una característica de C. frigidicarnis y otros clostridios, lo cual hace de su eliminación una tarea muy difícil. Una estrategia potencial utilizada para tratar de eliminarlas es hacer germinar la endospora y luego aplicar algún método de procesamiento sobre la célula vegetativa, la cual es más sensible (Peck, 2009; Peck, Stringer, y Carter, 2011).

Clostridium difficile, miembro del mismo género, es la causa principal de las infecciones intestinales nosocomiales en el Reino Unido. La infección por Clostridium difficile se produce en pacientes susceptibles tras la ingestión de esporas presentes en un alimento contaminado, después de lo cual, el proceso irreversible de la germinación de las esporas se produce en el intestino delgado dando lugar a la formas vegetativas metabó-

L. C. Huesca-Espitia, J.L. Sánchez-Salas y E. R. Bandala

Temas Selectos de Ingeniería de Alimentos 8 - 1 (2014): 48 - 67

licamente activas, las cuales producen las exotoxinas asociadas con la enfermedad (Poutanen y Simor, 2004; Moir, 2006).

De gran importancia también es el Clostridium botulinum, un grupo de cuatro clostridios relacionados fisiológica y filogenéticamente, que comparten en común la función de producir la neurotoxina botulínica considerada la toxina más potente conocida (Lund y Peck, 2000; Peck, 2009). Estos microorganismos son los responsables de la transmisión alimentaria del botulismo, una intoxicación en la que el consumo de alimentos que contengan tan poco como 30 ng de neurotoxina preformada, puede resultar en una enfermedad muy grave, y representan un peligro particular para la producción segura de alimentos mínimamente tratados mediante procesos térmicos o refrigerados (Peck, 2009; Peck, Stringer, y Carter, 2011).

El tratamiento térmico aplicado a estos alimentos logra la eliminación de las células vegetativas, pero no las esporas bacterianas (Lund y Peck, 2000).

2. Las esporas

2.1.

Proceso de esporulación

El proceso de esporulación se divide en siete estadios (McDonnell, 2007; Douglas y Dworkin, 2012) y es básicamente idéntico entre los géneros Bacillus y Clostridium (Fig. 1). Un crecimiento celular vegetativo normal se puede definir como fase cero con respecto a la esporulación, y es seguida por las etapas I/II, donde la célula vegetal inicia la división celular asimétrica y por tanto la formación de dos compartimentos separados por un tabique, el más pequeño de los cuales es denominado la preespora. La etapa II corresponde a la presentación del adn de la célula como un filamento axial (Errington, 1993). Durante el estadio III, la preespora es endocitada por la célula madre para formar una célula distinta rodeada por las membranas interior y exterior. En la etapa IV se lleva a cabo la síntesis de la corteza de la espora, compuesta por peptidoglicano, entre las

Preespora

Septum

Crecimiento

Célula madre

División asimétrica

Ciclo vegetativo

Fisión

Binaria

Germinación

ADN

Esporulación

Endocitosis

Cubierta

Lisis de la célula madre Etapa VII

Fase tardia de la esporulación

1. La esporulación y el ciclo de germinación en Bacillus subtilis. (Adaptado de McKenney, Peter, Driks y Eichenberger, 2012)

Capa

Membrana externa

Corteza

Membrana interna

Fig.
Etapa 0
Etapa I/II
Etapa III
Etapa IV/V/VI

membranas interior y exterior de la preespora, y es seguida de la etapa V durante la cual se lleva a cabo la formación de la capa de la espora. Durante las etapas IV a VI, la célula madre también sintetiza una molécula específica de la espora que es muy abundante, ácido piridina-2,6–dicarboxílico [ácido dipicolínico (dpa)]. Esta se acumula en la preespora y está acompañada por una reducción de su contenido de agua. La maduración de la espora se lleva a cabo durante esta etapa, y se caracteriza porque el material de la capa se vuelve más denso en apariencia. En la etapa final (VII) se realiza la lisis de la célula madre y la liberación de la estructura de la espora madura. La estructura de la espora madura protege a los microorganismos inactivos de las condiciones desfavorables externas hasta que, una vez más, se vuelven favorables para el crecimiento celular vegetativo. La espora latente es entonces reactivada y se somete a la germinación y el crecimiento vegetativo (Leggett, McDonnell, Denyer1, Setlow, y Maillard, 2012; Higgins y Dworkin, 2012).

2.2. Proceso de germinación

Las esporas de las especies de Bacillus pueden permanecer latentes por mucho tiempo y son extremadamente resistentes a una gran variedad de condiciones ambientales (Setlow y Johnson, 2007). La germinación de las esporas se ha relacionado con la presencia de moléculas específicas en el ambiente denominadas germinantes (Foster y Johnstone, 1990; Setlow, 2003). Los germinantes específicos que desencadenan la germinación de esporas varían entre las especies y son a menudo nutrientes necesarios para el crecimiento y la división celular (Adam, Brunt, Brightwell, Flint, y Peck, 2011). De tal forma que en condiciones apropiadas, cuando existe la unión de nutrientes específicos a los receptores de nutrientes germinantes de las esporas, por sus siglas en inglés grs, las esporas pueden iniciar de nuevo un crecimiento activo a través de un proceso llamado germinación, seguido del crecimiento vegetativo (Paidhungat y Setlow, 2000; Paidhungat y Setlow, 2001; Setlow, 2003; Setlow y Johnson, 2007).

La transición de la espora a célula vegetativa implica tres fases distintas: la activación, la germinación y el crecimiento. La activación puede ser provocada por condiciones de calor, el pH o la exposición a sustancias químicas y hace que la espora entre en el proceso de germinación, por lo tanto rompe su estado de latencia (Leggett et al., 2012). La activación es un proceso reversible que no necesariamente compromete a la espora en seguir con la germinación y el crecimiento, de tal forma que las esporas activadas conservan la mayoría de las propiedades que poseen las latentes (Foster y Johnstone 1990; Setlow 2003). En contraste, una vez que las esporas inician la

germinación, la espora ya no puede volver a su estado inactivo (Foster y Johnstone 1990; Setlow 2003). La germinación, como ya se trató en apartados anteriores, puede iniciarse en respuesta a diversos estímulos, que varían dependiendo de la especie. Estos incluyen, pero no están limitados a nutrientes metabolizables, tales como aminoácidos y azúcares específicos, como algunas especies iónicas, tensoactivos catiónicos y quelatos (en particular Ca+2 y dpa) y algunos tratamientos físicos tales como altas presiones (Setlow, 2008).

El crecimiento se define como todos los eventos de desarrollo que tienen lugar después de la germinación, incluyendo la iniciación del metabolismo y síntesis macromolecular (hinchazón de la espora), la emergencia (donde se desprenden las capas exteriores de las esporas) y el crecimiento de la nueva célula. Todo esto representa un retorno de la espora al crecimiento de las células vegetativas (Foster y Johnstone 1990; Setlow 2003).

2.3. Características de resistencia de las esporas

Como ya se ha hablado antes, las endosporas bacterianas sobreviven en condiciones extremas, por ejemplo, de calor y desecación debido al estado deshidratado del núcleo de la espora lo cual es debido, en gran parte, a la corteza. Esta estructura se compone de una forma de peptidoglicano que es similar, aunque no idéntico, al peptidoglicano de las células vegetativas, además cuenta con la presencia de residuos de ácido δ-lactámico murámico, resultantes en menos cadenas laterales de péptido y una reducción en el entrecruzamiento de las cadenas de glicanos (Higgins y Dworkin, 2012). La espora posee dos membranas distintas, separadas por la pared de la célula germinal y una capa muy fina de peptidoglicano que rodea la preespora. El ensamblaje del peptidoglicano de la espora se produce entonces en el espacio entre los dos membranas, esto como resultado de la acción de los genes expresados en el compartimento de la célula madre, incluida una codificación para la forma, el alargamiento, la división y la esporulación (Setlow, 2006; Higgins y Dworkin, 2012).

Se ha reportado que las esporas inactivas de diversas especies de Bacillus contienen una gran cantidad (10-20% del total de las proteínas de la espora) de proteínas pequeñas solubles en ácido, llamadas sasp por sus siglas en inglés, en su núcleo (Driks y Setlow, 2000). Estas sasp son de tres tipos α, β y γ. Estas proteínas se asocian con el adn de las esporas, protegiéndolo de diversos tipos de daños (Setlow, 2000). Diversos estudios han demostrado que las sasp de los tipos α y β son factores importantes en la resistencia de las esporas ante varios agentes, incluyendo la radiación uv, formaldehído, ácido

Temas Selectos de Ingeniería de Alimentos 8 - 1 (2014): 48 - 67

nitroso y el calor seco y además, contribuyen significativamente a la resistencia de las esporas al calor húmedo y al peróxido de hidrógeno, así como la osmorresistencia (Setlow, 2000; Tovar-Rojo, Cabrera-Martinez, Setlow y Setlow, 2003). Además, todas las sasp juegan un papel en el inicio del crecimiento de las esporas por que proporcionan aminoácidos por su degradación temprana durante la germinación y la espora utiliza estos aminoácidos en el desarrollo de la célula para el metabolismo y la síntesis de proteínas (Setlow, 1998; Setlow, 2000).

De acuerdo con Setlow (2006), los factores importantes que confieren la resistencia química de la espora varían de acuerdo con el producto químico, pero en general incluyen: (i) las proteínas de la cubierta de la espora que probablemente reaccionan con los agentes químicos, (ii) la relativa impermeabilidad de la membrana interna de la espora que restringe el acceso de productos químicos exógenos al núcleo, (iii) la protección de adn de la espora por su saturación con proteínas del tipo sasp y (iv) la activación de mecanismos de reparación del adn ante los agentes que matan a la espora produciendo daños al adn

2.4. Estructura morfológica de las esporas

La espora de B. subtilis es una estructura compleja (Fig. 2). El núcleo de la espora contiene el adn cromosómico que se mantiene en un estado compactado con las sasp. La membrana que

DNA

Núcleo

Membrana interior

Corteza

Membrana exterior

Cubierta

Capa interna

Capa externa

Exosporium

al principio del ciclo de formación de la espora rodeaba a la preespora, ahora rodea el núcleo y la corteza rica en peptidoglicano rodea esta membrana. Alrededor de la corteza, la capa de la espora consta de aproximadamente 80 proteínas depositadas por la célula madre dispuestas en dos capas: interior y exterior (Fig. 2). En algunas especies formadoras de esporas, excepto B. subtilis, la espora está rodeada de estructuras adicionales, tales como el exosporium y la capa S (Ghosh et al., 2008). Ya que la estructura y composición química de la espora determina su resistencia es importante revisar con detenimiento estos aspectos. El exosporium es una gran estructura holgada encontrada sobre las esporas de algunas especies, en particular las del grupo de Bacillus cereus (Driks 2002; Waller, Fox, Fox, Fox, y Price, 2004.) Sin embargo, las esporas de muchas otras especies, incluyendo B. subtilis, o bien no contienen un exosporium, o si lo hacen, se reduce en tamaño. La capa de la espora es una estructura compleja compuesta de varias capas y contiene aproximadamente 50 proteínas en B. subtilis (Driks 2002; Lai et al. 2003). La cubierta es importante en la resistencia de las esporas de algunos productos químicos, a las enzimas líticas exógenas que pueden degradar la corteza de las esporas y a la depredación por protozoos, pero tiene poco o ningún papel en la resistencia de las esporas al calor, a la radiación u otros productos químicos (Nicholson, Munakata, Horneck, Melosh, y Setlow, 2000; Setlow, 2000).

la

(Adaptado de McKenney, Peter, Driks y Eichenberger, 2012)

Fig. 2. Estructura morfológica de
espora.

La función precisa de la membrana externa, que se encuentra bajo la cubierta de la espora, no está clara, aunque esta membrana es una estructura esencial en la formación de las esporas. De hecho, la eliminación de la membrana exterior así como de proteínas de la cubierta de la espora no tiene ningún efecto notable sobre la resistencia de las esporas al calor, la radiación y algunos productos químicos (Nicholson et al., 2000; Setlow, 2000).

La corteza se compone de peptidoglicano con una estructura similar a la de la célula vegetativa, pero con varias modificaciones específicas de la espora. La corteza es esencial para la formación de una espora latente y para la reducción del contenido de agua de su núcleo. Sin embargo, el mecanismo por el que la corteza de la espora logra esta última protección no se conoce aún. En contraste, con la membrana externa de la espora, la membrana interior es una barrera contra la permeabilidad y desempeña un papel importante en la resistencia de la espora a muchos productos químicos, en particular, los que cruzan esta membrana para dañar al adn. Dicha membrana interior está formada por moléculas de lípidos (Nicholson et al., 2000; Setlow 2000).

La parte más interna de la espora es el núcleo o “core”. El núcleo contiene la mayor parte de las enzimas de la espora, así como adn, ribosomas y arnt. En casi todos los casos, las enzimas de la espora y ácidos nucléicos son idénticos a los de las células en crecimiento, aunque hay algunas macromoléculas únicas en el núcleo. También hay tres pequeñas moléculas cuyos niveles en el núcleo son importantes en la resistencia de las esporas. La primera es el agua, la cual es sólo el 27-55 % del peso húmedo del núcleo de la espora, dependiendo de la especie (Gerhardt y Marquis, 1989). La cantidad de agua libre en el núcleo de la espora es extremadamente baja, de tal forma que el movimiento macromolecular está muy restringido y es probablemente el factor más importante en la latencia enzimática de la espora, así como también determina la resistencia de la espora ante el calor húmedo (Gerhardt y Marquis, 1989). La segunda molécula es DPA. Esta molécula comprende el 5-15 % del peso seco de la espora en las especies de Bacillus y Clostridium y se encuentra sólo en el núcleo, donde está quelado con cationes divalentes, en gran parte de Ca2+ (Gerhardt y Marquis, 1989). El enorme depósito de DPA en el núcleo de la espora es responsable de la reducción del contenido de agua en esta parte durante la esporulación y juega un papel importante en la fotoquímica de luz uv del adn de la espora. El tercer tipo de molécula es un grupo de proteínas pequeñas solubles en ácido (sasp) cuya función ya se ha tratado en el apartado anterior (Setlow, 1998).

2.5. Tipos de esporas según su resistencia

Como ya se ha discutido en apartados anteriores, las esporas pueden permanecer en un estado inactivo, siendo resistentes durante largos períodos de tiempo y puede volver a la vida rápidamente a través del proceso de la germinación. Durante la germinación la latencia de la espora y la resistencia extrema se pierden. Ya que los microorganismos son mucho más fáciles de eliminar, después de que hayan germinado, es ventajoso desencadenar la germinación de las esporas en los alimentos o el ambiente y, a continuación inactivar fácilmente las células vegetativas mucho más sensibles (Setlow, 2000).

Sin embargo, esta simple estrategia ha sido anulada en gran parte porque la germinación de las poblaciones de esporas es heterogénea. En general existen normoesporas, cuyo tiempo de germinación es normal y otras, denominadas superlatentes, que germinan demasiado lento y potencialmente pueden volver a la vida después de que los tratamientos para inactivar esporas germinadas se han aplicado, incluso después de días y hasta meses (Gosh y Setlow, 2009). Las poblaciones de esporas superlatentes se han aislado recientemente a partir de tres especies de Bacillus, y se han caracterizado sus propiedades de germinación (Gosh y Setlow, 2009; 2010). Casi todos los trabajos sobre los aspectos específicos de la germinación de las esporas de especies de Bacillus se ha centrado en la mayor parte de la población de las esporas y se ha prestado poca atención a la minoría que, o bien no logran germinar o germinan muy lentamente (Ghosh y Setlow, 2009).

Aunque las esporas superlatentes han sido, durante mucho tiempo, uno de los principales temas de preocupación en la industria de los alimentos, hasta hace poco había un escaso conocimiento de los factores específicos que determinan si una espora es superlatente y sus propiedades de germinación (Gosh y Setlow, 2010; Wei et al., 2010). Según estudios recientes, Gosh y Setlow (2009) reportaron que estas esporas superlatentes germinan muy mal con los germinantes originales, sin embargo, germinan razonablemente bien con mezclas de nutrientes que se dirigen a múltiples receptores de germinantes. En estudios realizados por estos investigadores, las esporas superlatentes se hicieron germinar con DPA o dodecilamina de Ca2+, aunque según sus resultados, no lograron germinar con altos niveles de nutrientes que activan uno o dos receptores, sino con una mezcla de nutrientes que activan más receptores. Debido a estas características es muy poco probable que durante el procesado de los alimentos pueda dispararse la germinación de las esporas superlatentes, permaneciendo entonces de esta forma en los productos y pudiendo generar daños a los productos o a los consumidores.

L.

3. Métodos de inactivación de esporas en alimentos

Debido a las amplias necesidades de producir alimentos seguros se ha desarrollado una gran variedad de métodos para su procesamiento. En general podemos hablar de tres tipos: físicos, químicos y otros dentro de los cuales podemos mencionar a las tecnologías emergentes.

3.1. Físicos

Se consideran métodos físicos de inactivación de microorganismos a aquellos que se basan en el uso de temperaturas y presiones modificadas para alterar alguna estructura de las células o las biomoléculas esenciales para su metabolismo. En la tecnología de alimentos los métodos más utilizados son los térmicos con calor húmedo, altas presiones y la deshidratación (Jay, 2000). Sin embargo, de estos métodos los únicos que reportan una inactivación de esporas son los de altas presiones e irradiación, por lo cual nos centraremos en los estudios realizados con estas tecnologías.

3.1.1. Procesamiento de alta presión

El procesamiento de alta presión parece tener un futuro prometedor para la conservación de alimentos, debido a las reducciones en las poblaciones microbianas que se puede lograr sin elevación significativa de la temperatura del producto. El uso de presiones que se acercan a 100,000 libras por pulgada cuadrada para tiempos de unos pocos minutos, produce un alimento procesado con el sabor, color y textura similar al fresco (Sánchez-Moreno, De Ancos, Plaza, Elez-Martínez y Cano, 2009). Zhang y Mittal (2008) reportan diversas condiciones con este tratamiento para la inactivación de esporas de diversas especies. Sin embargo, Kalchayanad, Dunneb, Sikes y Ray (2004) reportan que en jugos no se elimina a las esporas en condiciones de operación y según Lund y Peck (2000) también afirman que si bien no las elimina, las hace germinar por lo que serían susceptibles de otros tratamientos que podrían ser aplicados posteriormente.

Algunos estudios reportan que la presión a temperatura constante durante cierto tiempo puede desencadenar la actividad de la enzima lítica de la corteza (cle) y causar la desactivación de esta enzima (Heinz y Knorr, 1998). Las reacciones de germinación se inician por la apertura de los canales de dpa (Paidhungat et al., 2002) a presiones superiores a 500 MPa. A presiones mayores a 500 MPa una rehidratación parcial del núcleo sin actividad de la cle (Setlow, 2003) podría inducir un efecto letal adicional. Uniendo todas las reacciones corres-

pondientes como efectos letales, un efecto letal acumulativo dependiente del nivel de presión aplicado podría generarse.

3.1.2. Irradiación

Las fuentes comunes de radiación ionizante son utilizando haz de electrones, infrarroja (ir), ultravioleta (uv), rayos X o rayos gamma (γ). Estos tratamientos generalmente funcionan al dañar el adn de los organismos. Sin embargo, los efectos de la irradiación pueden afectar la calidad nutricional de los alimentos y varían dependiendo de los nutrientes, alimentos y condiciones de irradiación (dosificación, temperatura y condiciones atmosféricas). La seguridad de los alimentos irradiados, ha sido ampliamente probada. Sin embargo, sólo en los alimentos sometidos a las dosis más altas se ha reportado que pueden inactivarse esporas (Morehouse y Komolprasert, 2004).

Se ha estudiado que el efecto de la radiación infrarroja en la inactivación de esporas es debido a que la radiación IR se convierte rápidamente en calor, lo cual resulta en un calentamiento local intenso de las esporas (Mamouni, Tang, Wu, Vlahovic y Yang, 2011). Estos autores postulan la posibilidad de que el calor local extremo, en estrecho contacto con las esporas, dañe algunos de sus componentes y por lo tanto mejore la actividad antimicrobiana y dispare la germinación. La posible razón del crecimiento de células vegetativas después de tratamientos de IR aplicados a las esporas fue que los daños físicos parciales en las paredes de las esporas pueden desencadenar la germinación. Además, el calentamiento local sobre las esporas puede producir una abrasión mecánica provocando la germinación por la activación de las enzimas líticas de la corteza llamadas CwlJ y SleB (Dong, Tang, Wu, Vlahovic y Yang, 2013). Estas enzimas están presentes en la espora en una forma activa, pero no actúan hasta que son activados por el daño mecánico a las esporas o por estímulos de germinación como Ca2+ - dpa para la enzima CwlJ o algún otro estímulo para la enzima SleB. De tal forma que pueden dañar parcialmente la capa de la espora, por lo que es más permeable. Exámenes a nivel molecular mostraron que el tratamiento con IR alteró la expresión de los genes relacionados con la virulencia de B. anthracis, los cuales regulan la germinación (incluyendo la liberación de dpa) (Dong et al., 2013).

Por otra parte, tanto los rayos uv como la radiación con rayos γ, matan a las esporas mediante la generación de daños en el adn. El mecanismo de resistencia de las esporas a estas radiaciones γ no se ha estudiado ampliamente, pero los estudios existentes reportan que no es debido a la unión de las sasp de los tipos α y β, por el contrario, la resistencia de las esporas a

Temas Selectos de Ingeniería de Alimentos 8 - 1 (2014): 48 - 67

ciertos tratamientos con radiación uv es en gran parte, debido a una alteración en la fotoquímica del adn causado por la unión de SASP de los tipos α y β al adn, y en menor medida a la acción fotosensibilizante del núcleo de la espora por su depósito de DPA (Setlow, 2006). Debido a su falta de acción enzimática y del metabolismo, la espora latente no puede reparar el daño a macromoléculas como el adn o las proteínas. Por lo que la reparación del daño en el adn se llevará a cabo cuando la espora vuelve a la vida en el proceso de la germinación y el crecimiento, cuando la actividad metabólica se reanuda (Setlow, 2003). Sin embargo, si el daño que se ha acumulado en las esporas durante la latencia es demasiado, este daño puede desbordar la capacidad de los sistemas de reparación y dar lugar a la muerte de la espora germinada (Setlow y Setlow, 1996; Tennen, Setlow, Davis, Loshon y Setlow, 2000).

3.2. Químicos

Debido a que los procesos físicos utilizados en la tecnología de alimentos para la inactivación de microorganismos pueden deteriorar la estructura del alimento, se ha recurrido al uso de agentes químicos para alterar o destruir a los microorganismos contaminantes de los alimentos y así evitar la producción de esporas. Dentro de los procesos químicos los más utilizados son la acidificación y el ahumado. Dichos procesos pueden generar un valor agregado al producto al modificar de manera favorable las características sensoriales del producto final. Sin embargo, estos tratamientos no son efectivos en la eliminación de esporas. Por estas razones se está buscando algunos otros químicos que pudieran lograr este objetivo sin modificar las características sensoriales de los alimentos o más aún, contribuir de manera positiva a ellas.

Las esporas son extremadamente resistentes a una variedad de productos químicos, incluyendo ácidos, bases, agentes oxidantes, agentes alquilantes, aldehídos y disolventes orgánicos. Como consecuencia, las esporas son a menudo los organismos más resistentes a los productos químicos descontaminantes diseñados para eliminar microorganismos. Afortunadamente, las esporas pueden destruirse por algunos tratamientos químicos. En algunos casos (por ejemplo, formaldehído, ácido nitroso, agentes alquilantes) el mecanismo de la muerte de esporas es posible a través de múltiples daños en el adn, debido a que los supervivientes acumulan mutaciones en diversos genes sensibilizando a las esporas ante estos agentes. Sin embargo, esto sólo es cierto para unos pocos productos químicos genotóxicos a ciertas concentraciones y algunos agentes oxidantes tales como el peróxido de hidróge-

no que logran mutaciones en las células vegetativas, pero no lo hacen en las esporas (Setlow et al., 1998; Tennen et al., 2000; Cortezzo y Setlow, 2005).

Para algunos agentes químicos, incluyendo aldehídos grandes tales como glutaraldehído y orto-ftalaldehído, el mecanismo por el que se eliminan las esporas aún no está claro, aunque se sabe que estos dos productos químicos no matan a las esporas por daños en el adn (Tennen et al., 2000; Cabrera-Martínez, Setlow y Setlow, 2002). Tratamientos con ácidos fuertes matan a las esporas probablemente por la ruptura de la membrana interior la cual es una barrera de permeabilidad (Setlow et al., 2002). Este también puede ser el mecanismo para matar esporas por disolventes orgánicos a temperaturas elevadas. Por el contrario, el tratamiento con un álcali fuerte, el cual se pensaba podía causar la muerte de las esporas, no las mata, ya que pueden ser reactivadas con un tratamiento adecuado con lisozima (Setlow et al., 2002). El álcali parece inactivar a las enzimas líticas necesarias para la hidrólisis de la corteza de las esporas durante su germinación. Esta inactivación puede deberse a que estas enzimas se encuentran en las capas exteriores de la espora donde se considera que son más sensibles a los álcalis que otros componentes de la espora situados en las capas más internas (Setlow et al., 2002).

3.3.

Tecnologías emergentes

3.3.1. Plasma

Este método se ha reportado que inactiva tanto células vegetativas como endosporas bacterianas. Tres mecanismos básicos se han atribuido a la inactivación de las esporas. Estos incluyen la destrucción de adn por irradiación uv, la volatilización de compuestos de la superficie de esporas por los fotones uv, y la erosión de la superficie de las esporas por la adsorción de especies reactivas como los radicales libres (Philip et al., 2002). Efectos sinérgicos entre estos posibles mecanismos de inactivación se puede esperar, dependiendo de las condiciones operativas y el diseño del generador de plasma.

Investigaciones recientes incluyen la evaluación de la inactivación de los patógenos transmitidos por alimentos sembradas en películas delgadas de agar, las cuales se tratan con una descarga luminiscente de plasma (Kayes et al., 2007) y también se pulveriza sobre la superficie de láminas de tereftalato de polietileno termo-sensible (pet), expuesto a una descarga de barrera dieléctrica (Muranyi, Wunderlich y Heise, 2007). Yu et al. (2006) han informado que altas cargas de Escherichia coli en membranas de policarbonato se ven afecta-

L. C. Huesca-Espitia, J.L. Sánchez-Salas y E. R. Bandala

Temas Selectos de Ingeniería de Alimentos 8 - 1 (2014): 48 - 67

das adversamente con la penetración de especies en plasma y una alta eficacia de la inactivación microbiana se obtiene con este método. Se puede concluir que el plasma de baja temperatura (ltp) puede ser muy efectivo contra las células microbianas y esporas en las superficies y por otra parte se puede utilizar para la pasteurización no térmica y la esterilización de los alimentos según reportan Deng et al. (2007). El uso de la radiación con luz ultravioleta pulsante como un medio de inactivación microbiana es una tecnología madura que tiene aplicación comercial en la desinfección de superficies de embalaje de materiales (Anon, 2006), pero muestra limitaciones debido a los efectos secundarios en los productos alimenticios como pérdida de algunas características sensoriales (Gómez –López, Ragaert, Debevere y Devlieghere, 2007).

3.3.2. Procesos avanzados de oxidación

Estos procesos se basan en la generación de radicales hidroxil e incluyen luz uv/peróxido de hidrógeno, luz uv/ozono, rayos de electrones, sonólisis, fotocatálisis con dióxido de titanio y Reactivo de Fenton. Todos estos tratamientos se han reportado como altamente eficientes en la eliminación de microorganismos (Bandala, Castillo, González y Sanchez-Salas, 2011), en especial, se ha probado la reacción de Fenton para la eliminación de esporas en agua con resultados favorables (Bandala et al., 2008). Sin embargo, los estudios para establecer si estos procesos pueden utilizarse ampliamente en otros alimentos, sin un posible cambio en las características sensoriales, aún están en desarrollo.

La mayoría de los agentes oxidantes eliminan a las esporas por causar algún tipo de daño a sus capas externas, principalmente a la membrana interna de la espora, de manera que cuando las esporas tratadas germinan, estas rupturas en la membrana dan como resultado su muerte (Young y Setlow, 2004a; Young y Setlow, 2004b; Shapiro, Setlow y Setlow, 2004).

El tratamiento semiletal de las esporas con diversos agentes oxidantes también sensibiliza a las supervivientes para un tratamiento posterior (por ejemplo calor húmedo), ya que una membrana interior en buen estado le daría la resistencia completa a las esporas (Cortezzo, Koziol-Dube, Setlow y Setlow, 2004). Sin embargo, la naturaleza precisa de los daños de la membrana interna causada por agentes oxidantes aún no se conoce, aunque se ha demostrado que no es debido a la oxidación de los ácidos grasos insaturados (Setlow, 2006).

Conclusiones y comentarios finales

Desde los tratamientos térmicos, que fueron de las primeras tecnologías de conservación en los alimentos, hasta las actuales tecnologías emergentes tienen como objetivo el producir alimentos de alta calidad de inocuidad. Sin embargo, algunos microorganismos como los esporulados son resistentes a muchos de estos tratamientos. La mayoría de los tratamientos térmicos como la pasteurización han demostrado ser completamente ineficientes para la eliminación de esporas al igual que los procesos de deshidratación y algunos químicos como la acidificación. Por el contrario, existen reportes en tecnologías emergentes como altas presiones, irradiación y procesos avanzados de oxidación que demuestran su efectividad sobre esporas de algunos microorganismos como B. subtilis ya sea por lograr eliminarlas o por disparar la germinación para después eliminarlas más fácilmente como células vegetativas por otros métodos. Algunos de los métodos que reportan la eliminación de esporas de algunas especies de bacterias como B. subtilis y C. botulinum, muestran limitaciones en cuanto a su uso en diferentes tipos de alimentos (sólidos o líquidos) y deberán probarse aún para verificar el impacto del proceso en cuanto a la manera en que se afectan el contenido de nutrientes y la calidad sensorial de éstos. Por tales motivos, se debe continuar la investigación en esta área para tratar de comprender los mecanismos que generan la resistencia de los microorganismos con el fin de desarrollar o adaptar las metodologías para lograr su eliminación efectiva de los alimentos.

Agradecimientos

La autora Luz del Carmen Huesca Espitia agradece al Consejo Nacional de Ciencia y Tecnología (conacyt) y a la Universidad de las Américas Puebla (udlap) por el apoyo brindado para sus estudios de doctorado.

Referencias Bibliográficas

Adams, M. R. y Moss, M. O. (1997). Microbiología de los alimentos (edición en lengua española). España: Ed. Acribia, S.A.

Adam, K. H., Brunt, J., Brightwell, G., Flint, S. H. y Peck, M. W. (2011). Spore germination of the psychrotolerant, red

L. C. Huesca-Espitia, J.L. Sánchez-Salas y E. R. Bandala

Temas Selectos de Ingeniería de Alimentos 8 - 1 (2014): 48 - 67

meat spoiler, Clostridium frigidicarnis. Letters in Applied Microbiology, 53, 92–97.

Anon. (2006). Six logs sterilization in pulsed uv tunnels from Steribeam. Technology News International 84, 84–85.

Bandala, E. R., Castillo, J. H., González, L. y Sanchez-Salas, J. L. (2011). Solar driven advanced oxidation processes for inactivation of pathogenic microorganisms in water. Recent Research and Development in Photochemistry Photobiololy, 8, 1-16.

Bandala, E. R., Pérez, R., Velez-Lee, E. E., Sánchez-Salas, J. L., Quiroz, M. A. y Méndez-Rojas, M. A. (2008). Bacillus subtilis spore inactivation in water using photo-assisted Fenton reaction. Sustaintable Environmental Research, 21(5), 285-290.

Boerema, J. A., Broda, D. M. y Bell, R.G. (2003). Abattoir sources of psychrophilic clostridia causing blown pack spoilage of vacuum-packed chilled meats determined by culture-based and molecular detection procedures. Letters in Applied Microbiology, 36, 406–411.

Broda, D. M., Bell, R .G., Boerema, J. A. y Musgrave, D. R. (2002). The abattoir source of culturable psychrophilic Clostridium spp. causing ‘blown pack’ spoilage of vacuumpacked chilled venison. Journal of Applied Microbiology, 93, 817–824.

Cabrera-Martinez, R.M., Setlow, B. y Setlow, P. (2002). Studies on the mechanism of the sporicidal action of ortho-phthalaldehyde. Journal of Applied Microbiology, 92, 675–680. http://wwwcdcgov,mmwr,preview,mmwrhtml,ss5510a1htm ?s_cid=ss5510a1_e

cdc (Center for Disease Control and Prevention). (1996). Outbreak of Escherichia coli O157:H7 infections associated with drink- ing unpasteurized commercial apple juice— British Columbia California Colorado and Washington October 1996. MMWR Morb Mort Week Rep, 45, 975.

cdc (Center for Disease Control and Prevention). (1999). Outbreak of Salmonella serotype Muenchen infections associated with unpasteurized orange juice—United States and Canada June 1999. MMWR Morb Mort Week Rep, 48, 582–585.

cdc (Center for Disease Control and Prevention). (2006). Surveillance for Foodborne-Disease Outbreaks—United States 1998–2002. MMWR Morb Mort Week Rep, 55(SS10), 1-42.

cdc (Center for Disease Control and Prevention). (2007). Cryptosporidiosis Surveillance—United States 2003–2005. MMWR Surv Summ, 56 (SS07), 1–10.

Cortezzo, D.E., Koziol-Dube, K., Setlow, B. and Setlow, P. (2004)

Treatment with oxidizing agents damages the inner membrane of spores of Bacillus subtilis and sensitizes the spores to subsequent stress. J Appl Microbiol, 97, 838–852.

Cortezzo, D.E. y Setlow, P. (2005). Analysis of factors influencing the sensitivity of spores of Bacillus subtilis to DNA damaging chemicals. Journal of Applied Microbiology, 98, 606–617.

Deng, S., Ruan, R., Mok, C., Huang, G., Lin, X. y Chen, P. (2007). Inactivation of Escherichia coli on almonds using nonthermal plasmas. Journal of Food Science, 72(2), 62–66.

Douglas, H. y Dworkin, J. (2012). Recent progress in Bacillus subtilis sporulation, FEMS Microbiology Reviews, 36, 131–148.

Dong, X., Tang, Y., Wu, M., Vlahovic, B. y Yang, L. (2013). Dual effects of single-walled carbón nanotubes coupled with near-infrared radiation on Bacillus anthracis spores: inactivates spores and stimulates the germination of surviving spores. Journal of Biological Engineering, 7, 19-30.

Driks, A. (2002). Overview: development in bacteria: spore formation in Bacillus subtilis Cellular and Molecular Life Science, 59, 389–391.

Driks, A. y Setlow, P. (2000). Morphogenesis and properties of the bacterial spore. En Ed. Brun, Y.V. y Shimkets, L.J., Prokaryotic Development (págs. 191–218). Washington, DC: American Society for Microbiology.

Errington, J. (1993). Bacillus subtilis sporulation – regulation of gene expression and control of morphogenesis. Microbiological Reviews, 57, 1–33.

Floros, J. D., Newsome, F. W., Barbosa-C´anovas G. V., Chen, H., Dunne, C. P., German, J. B., Hall, R. L., Heldman, D. R., Karwe, M. V., Knabel, S. J., Labuza, T. P., Lund, D. V., Newell-McGloughlin, M, Robinson, J. L., Sebranek, J. G., Shewfelt, R. L., Tracy, W. F., Weaver, C. M. y Ziegler, G. R. (2010). Feeding the World Today and Tomorrow: The Importance of Food Science and Technology. Comprehensive Reviews in Food Science and Food Safety, 9, 574-599.

Foster, S.J. y Johnstone, K. (1990). Pulling the trigger: the mechanism of bacterial spore germination. Molecular Microbiology, 4, 137–141.

Frazier, W. C. y Westhoff, D.C., (1991). Microbiología de los alimentos. España. Editorial Acribia S.A.

Gerhardt, P. y Marquis, R. E. (1989). Spore thermoresistance mechanisms. En Regulation of Prokaryotic Development. Ed. Smith, I., Slepecky, R.A. y Setlow, P. (págs. 43–63). Washington, DC: American Society for Microbiology.

L. C.

J.L. Sánchez-Salas y E. R. Bandala

Temas Selectos de Ingeniería de Alimentos 8 - 1 (2014): 48 - 67

Ghosh, S., Setlow, B., Wahome, P. G., Cowan, A. E., Plomp, M, Malkin, A. J. y Setlow, P. (2008). Characterization of spores of Bacillus subtilis that lack most coat layers. Journal of Bacteriology, 190, 6741–6748.

Ghosh, S. y Setlow, P. (2009). Isolation and Characterization of Superdormant Spores of Bacillus Species. Journal of Bacteriology 191(6), 1787–1797.

Ghosh, S. y Setlow, P. (2010). The preparation, germination properties and stability of superdormant spores of Bacillus cereus. Journal of Applied Microbiology, 108, 582–590.

Gomez-Lopez, V. M., Ragaert, P., Debevere, J. y Devlieghere, F. (2007). Pulsed light for food decontamination: A review. Trends in Food Science and Technology, 18, 464–473.

Heinz, V. y Knorr, D. (1998). High pressure germination and inactivation kinetics of bacterial spores. En N.S. Isaacs, High Pressure Food Science, Bioscience and Chemistry (págs. 435–441). Cambridge: The Royal Society of Chemistry.

Higgins, D. Dworkin, J. (2012), Recent progress in Bacillus subtilis sporulation. FEMS Microbiology Reviews, 36, 131–148.

Hoornstra, E. y Notermans, S. (2001). Quantitative microbiological risk assessment. International Journal of Food Microbiology, 66, 21–9.

Jay, J. M. (2000). Microbiología moderna de los alimentos (4a. edición). España: Editorial Acribia, S.A.

Kalchayanand N., Dunneb P., Sikes A., Ray B. (2004). Viability loss and morphology change of foodborne pathogens following exposure to hydrostatic pressures in the presence and absence of bacteriocins International Journal of Food Microbiology, 91, 91–98.

Kayes, M. M., Critzer, F. J., Kelly-Wintenberg, K., Roth, J. R., Montie, T. C. y Golden, D. A. (2007). Inactivation of foodborne pathogens using a one atmosphere uniformglow discharge plasma. Foodborne Pathogens and Disease, 4, 50–59.

Lai, E. M., Phadke, N. D., Kachman, M. T., Giorno, R., Vazquez, S., Vazquez, J. A., Maddock, J. R. y Driks, A. (2003). Proteomic analysis of the spore coats of Bacillus subtilis and Bacillus anthracis. Journal of Bacteriology, 185, 1443–1454.

Leggett, M. J., McDonnell, G., Denyer1, S. P., Setlow, P. y Maillard, J.-Y. (2012). Bacterial spore structures and their protective role in biocide resistance. Journal of Applied Microbiology, 113, 485–498.

Lund, B. M. y Peck, M. W. (2000). Clostridium botulinum. En Lund, B.M., Baird-Parker, A.C. and Gould, G.W., The Micro-

biological Safety and Quality of Food (págs. 1057-1109). Gaithersburg, USA: Aspen.

Mamouni, J., Tang, Y., Wu, M., Vlahovic, B. y Yang, L. (2011). Single-walled carbón nanotubes couples with near-infrared laser for inactivation of bacterial cells. Journal of Nanoscience and Nanotechnology, 11, 4708–4716.

McDonnell, G. E. (2007). Antisepsis, desinfection and sterilization: types, action, and resistance. Washington, DC. American Society for Microbiology.

McKenney, P. T., Driks, A. y Eichenberger, P. (2013). The Bacillus subtilis endospore:assembly and functions of themultilayered coat. Nature Reviews in Microbiology, 11, 33-44.

McMeekin, T., Bowman, J., McQuestin, O., Mellefont, L., Ross, T. y Tamplin, M. (2008). The future of predictive microbiology: Strategic research innovative applications and great expectations. International Journal of Food Microbiology, 128, 2–9.

Moir, A. (2006). How do spores germinate?. Journal of Applied Microbiology, 101, 526–530.

Morehouse, K. M. y Komolprasert, V. (2004). Irradiation of food and packaging: an overview. En: Komolprasert, V., Morehouse, K.M., Irradiation and food packaging: recent developments. (ACS Symposium Series 875, págs. 1-11). Washington, DC: American Chemical Society.

Muranyi, P., Wunderlich, J. y Heise, M. (2007). Sterilization efficiency of a cascaded dielectric barrierdischarge. Journal of Applied Microbiology, 103, 1535–1544.

Nicholson, W. L., Munakata, N., Horneck, G., Melosh, H. J. and Setlow, P. (2000). Resistance of Bacillus endospores to extreme terrestrial and extraterrestrial environments. Microbiology and Molecular Biology Reviews, 64, 548–572.

Paidhungat, M., y Setlow, P. (2000). Role of Ger proteins in nutrient and nonnutrient triggering of spore germination in Bacillus subtilis. Journal of Bacteriology, 182, 2513–2519.

Paidhungat, M. y Setlow, P. (2001). Localization of a germinant receptor protein (GerBA) to the inner membrane of Bacillus subtilis spores. Journal of Bacteriology, 183, 3982–3990.

Paidhungat, M., Setlow, B., Daniels, W.B., Hoover, D., Papafragkou, E. y Setlow, P. (2002). Mechanisms of induction of germination of Bacillus subtilis spores by high pressure, Applied Environmental Microbiology, 68, 3172–3175.

Peck, M. W. (2009). Biology and genomic analysis of Clostrid-

L. C. Huesca-Espitia, J.L. Sánchez-Salas y E. R. Bandala

Temas Selectos de Ingeniería de Alimentos 8 - 1 (2014): 48 - 67

ium botulinum. Advances in Microbial Physiology, 55, 183–265.

Peck, M. W., Stringer, S. C. y Carter, A. T. (2011). Clostridium botulinum in the post-genomic era. Food Microbiology, 28,183–191.

Philip, N., Saoudi, B., Crevier, M., Moisan, M., Baarbeau, J. y Pelletier, J. (2002). The respective roles of uv photons and oxygen atoms in plasma sterilization at reduced gas pressure: The case of N2/O2 mixtures. IEEE Transactions in Plasma Science, 30, 1429–1436.

Poutanen, S. M. y Simor, A. E. (2004). Clostridium difficile associated diarrhea in adults. Canadian Medical Association Journal, 171, 51–58.

Sanchez-Moreno, C, De Ancos, B, Plaza, L, Elez-Martinez, P, Cano, M.P. (2009). Nutritional approaches and health-related properties of plant foods processed by high pressure and pulsed electric fields. Critical Reviews in Food Science and Nutrition, 49, 552–76.

Scheldeman, P., Herman, L., Foster, S., Heyndrickx, M. (2006). Bacillus sporothermodurans and other highly heat resistant spore formers in milk. Journal of Applied Microbiology, 101, 545–555.

Setlow, B. y Setlow, P. (1996) Role of DNA repair in Bacillus subtilis spore resistance. Journal of Bacteriology, 178, 3486–3495.

Setlow, B., Tautvydas, K.J. and Setlow, P. (1998) Small, acidsoluble spore proteins of the α/ß-type do not protect the DNA in Bacillus subtilis spores against base alkylation. Applied Environmental Microbiology, 64, 1958–1962.

Setlow, B., Loshon, C.A., Genest, P.C., Cowan, A.E., Setlow, C. y Setlow, P. (2002) Mechanisms of killing of spores of Bacillus subtilis by acid, alkali and ethanol. Journal of Applied Microbiology, 92, 362–375.

Setlow, P. (1998). Small acid-soluble, spore proteins of Bacillus species: structure, synthesis, genetics, function and degradation. Annual Review of Microbiology, 42, 319–338.

Setlow, P. (2000). Resistance of bacterial spores. En Ed. Storz, G. and Hengge-Aronis, R., Bacterial Stress Responses (págs. 217–230). Washington, DC: American Society for Microbiology.

Setlow, P. (2003). Spore germination. Current Opinion in Microbiology, 6, 550–556.

Setlow, P. (2006). Spores of Bacillus subtilis: their resistance to and killing by radiation, heat and chemicals. Journal of Applied Microbiology, 101, 514–525.

Setlow, P. (2008). Dormant spores receive an unexpected wakeup call. Cell, 135, 410–412.

Setlow, P. y Johnson, E. A. (2007). Spores and their significance (3ª. Edición).En M. P. Doyle and L. R. Beuchat, Food microbiology: fundamentals and frontiers (págs. 35–67). Washington, DC. ASM Press.

Shapiro, M., Setlow, B. y Setlow, P. (2004). Studies on the killing of spores of Bacillus subtilis by a modified Fenton reagent containing CuCl2 and ascorbic acid. Applied Environmental Microbiology, 70, 2535–2539.

Tennen, R., Setlow, B., Davis, K.L., Loshon, C.A. y Setlow, P. (2000). Mechanisms of killing of spores of Bacillus subtilis by iodine, glutaraldehyde and nitrous acid. Journal of Applied Microbiology, 89, 330–338.

Tovar-Rojo, F., Cabrera-Martinez, R.M., Setlow, B. y Setlow, P. (2003). Studies on the mechanism of the osmoresistance of spores of Bacillus subtilis. Journal of Applied Microbiology, 95, 167–179.

Waller, L.N., Fox, N., Fox, K.F., Fox, A. y Price, R.L. (2004). Ruthenium red staining for ultrastructural visualization of a glycoprotein layer surrounding the spore of Bacillus anthracis and Bacillus subtilis. Journal of Microbiologycal Methods, 58, 23–30.

Wei, J., Shah, I. M., Ghosh, S., Dworkin, J., Hoover, D. G. y Setlow, P. (2010). Superdormant spores of Bacillus species germinate normally with high pressure, peptidoglycan fragments, and bryostatin. Journal of Bacteriology, 192, 1455–1458.

Young, S.B. y Setlow, P. (2004a) Mechanisms of killing of Bacillus subtilis spores by Decon and OxoneTM, two general decontaminants for biological agents. Journal of Applied Microbiology, 96, 289–301.

Young, S.B. y Setlow, P. (2004b) Mechanisms of Bacillus subtilis spore resistance to and killing by aqueous ozone. Journal of Applied Microbiology, 96, 1133–1142.

Yu, H., Perni, S., Shi, J. J., Wang,D. Z., Kong, M. G. y Shama, G. (2006). Effects of cell surface loading and phase of growth in cold atmospheric gas plasma inactivation of Escherichia coli K12. Journal of Applied Microbiology, 101, 1364–5072.

Zhang H y Mittal G. (2008). Effects of High-Pressure Processing (HPP) on Bacterial Spores: An Overview. Food Reviews International, 24, 330–351.

Métodos de evaluación de la actividad antimicrobiana y de determinación de los componentes químicos de los aceites esenciales

Departamento de Ingeniería Química, Alimentos y Ambiental, Universidad de las Américas Puebla. Ex hacienda Sta. Catarina Mártir S/N, San Andrés Cholula, Puebla. C.P.72810. México.

RESUMEN

Actualmente se sabe que los aceites esenciales derivados de plantas y especias tienen efectos antimicrobianos. Se ha identificado que estos efectos están relacionados con los componentes químicos presentes. Debido a esto, se busca estandarizar métodos que determinen el efecto antimicrobiano y los componentes químicos presentes en los aceites esenciales en fase vapor y por contacto directo Entre los métodos más empleados para la evaluación antimicrobiana se incluyen: dilución, difusión, caja Petri invertida y cámara hermética. La técnica más utilizada para determinar y cuantificar los componentes químicos es la cromatografía; esta en conjunto con otras ha mostrado resultados repetibles. El objetivo de este trabajo fue realizar una revisión bibliográfica de los métodos más empleados para determinar la composición química y la actividad antimicrobiana de los aceites esenciales. Las técnicas revisadas presentan ventajas y desventajas, la selección de la técnica más apropiada dependerá de las características del aceite y del microorganismo objetivo.

Palabras clave: aceites esenciales, agentes antimicrobianos, composición química.

ABSTRACT

Now days are well know that essential oils derived from plants and spices have antimicrobial effects. These effects are related to the chemical components. Because of this, standardize the methods that determining the antimicrobial effect and chemical constituents of essential oils present in the vapor phase or by direct contact is a constant search. The most common methods used for the antimicrobial evaluation include: dilution, diffusion, sealed chamber and inverted Petri dish. The technique most often used to identify and quantify major components is chromatography; this method in conjunction with other techniques has shown repeatable results. The aim of this paper was to review the methods used to determine the chemical composition and the antimicrobial activity of essential oils. The techniques show advantages and disadvantages, the selection of the most appropriate technique for evaluate the antimicrobial activity depends on the characteristics of essential oil as well as the target microorganism.

Keywords: essential oils, antimicrobials agents, chemical composition.

Programa de Doctorado en Ciencia de Alimentos

Tel.: +52 222 229 2126

Fax: +52 222 229 2727

Dirección electrónica: fatima.reyesjo@udlap.mx

Temas Selectos de Ingeniería de Alimentos 8 - 1 (2014): 68 - 78

Introducción

La conservación de alimentos ha sido utilizada desde hace varios siglos con el fin de preservar diversos productos; hoy en día, la demanda por alimentos naturales, seguros y de buena calidad ha conducido a estudiar nuevas tecnologías, las cuales garanticen la inocuidad de los alimentos. Por un lado, las tecnologías emergentes como las altas presiones, pulsos eléctricos, o ultrasonido de baja frecuencia, están siendo estudiadas con el objetivo de inactivar microorganismos (Leistner, 2000). Por otro lado, los agentes antimicrobianos tienen como principal objetivo inhibir a los microorganismos presentes en el alimento por medio del control en los procesos naturales del deterioro de los alimentos, para poder así prevenir y controlar el crecimiento de microorganismos patógenos y aquellos causantes del deterioro (Tajkarimi, Ibrahim y Cliver, 2010).

Actualmente se sabe que los aceites esenciales derivados de plantas aromáticas y algunas especias han mostrado tener efecto antimicrobiano sobre levaduras, mohos y bacterias, con la ventaja de que su extracción, en algunos casos, no daña al medio ambiente (Adam, Dobiáš, Pavlíková y Ventura, 2009).

Por otra parte, dado que los aceites esenciales tienen un uso potencial en alimentos, especialmente en frutas y vegetales frescos, pueden llegar a convertirse en una alternativa para reducir o suplir a los agentes antimicrobianos tradicionales (Fisher y Phillips, 2008). Sin embargo, tanto los métodos de evaluación como los mecanismos por los cuales actúan no se han definido del todo (Burt, 2004; Tajkarimi et al., 2010); esto repercute en su éxito al utilizarlos como agentes antimicrobianos, debido a la dificultad para comparar los resultados de diferentes investigaciones (López-Malo, Palou, Parish y Davidson, 2005).

Debido a esto, hay un esfuerzo cada vez mayor por estandarizar métodos rápidos, fiables y reproducibles que determinen el efecto que ejercen los aceites esenciales en su fase vapor y por contacto directo sobre el crecimiento microbiano Además, nuevas técnicas para muestrear y determinar sus componentes químicos han empezado a emplearse, con lo que será posible identificar a los componentes mayoritarios y, por lo tanto, relacionarlos con la acción antimicrobiana (Rizzolo, Gerli, Prinzivalli, Buratti y Torreggiani, 2007).

Por lo anterior, el objetivo de este trabajo es realizar una revisión bibliográfica de los métodos mayormente utilizados para determinar la composición química y la actividad antimicrobiana de los aceites esenciales.

Revisión bibliográfica

1. Aceites esenciales como antimicrobianos

Los aceites esenciales (ae) son líquidos viscosos semivolátiles, obtenidos de material vegetal como hierbas, flores, hojas, semillas, ramas, y cortezas, entre otros (Burt, 2004). Antiguamente, los AE se habían estudiado solamente desde el punto de vista aromático y como saborizantes. Sin embargo, en años recientes, los AE y sus componentes químicos han ganado un creciente interés debido a su posible uso como agentes antimicrobianos y antioxidantes (Sacchetti et al., 2005).

Si bien las propiedades antimicrobianas de los AE han sido reconocidas durante años; hoy en día, debido a la gran demanda y a los cambios de legislación por alimentos seguros y de buena calidad, los ae parecen ser una alternativa natural para la conservación de alimentos (Fisher y Phillips, 2008); además de que muchos de ellos ya han sido reconocidos como seguros (gras) por la fda (Turek y Stintzing, 2013).

En la actualidad, la mayoría de los estudios han encontrado que los AE son efectivos tanto en su fase vapor como por contacto directo contra numerosas bacterias patógenas, Gram-negativas y Gram-positivas, así como contra mohos, levaduras (López, Sánchez, Batlle y Nerín, 2005) e incluso algunos mohos productores de micotoxinas (da Cruz-Cabral, Fernández-Pinto y Patriarca, 2013). En la misma línea, recientes investigaciones han reportado que dichas propiedades se deben principalmente a los compuestos químicos presentes en los AE, siendo los monoterpenos, sesquiterpenos y diterpenos los posibles responsables de las propiedades aromáticas, antioxidantes y antimicrobianas de los ae (Kalemba y Kunicka, 2003).

Considerando la gran variedad de compuestos químicos presentes en los aceites esenciales, es muy probable que su actividad antimicrobiana no sea atribuible a uno específico, sino a la acción combinada de varios de ellos sobre distintas partes de la célula microbiana.

Es por esto, que diversos investigadores mencionan que la actividad antimicrobiana depende principalmente de tres características: el carácter hidrófilo o hidrófobo del ae, los componentes químicos presentes y el tipo de microorganismo al que debe atacar (Kalemba y Kunicka, 2003; Holley y Patel, 2005; Fisher y Phillips, 2008; Solórzano-Santos y Miranda-Novales, 2012). El carácter del ae podría indicar si este tiene la capacidad de alterar y penetrar en la estructura lipídica de la membrana celular del microorganismo, lo que conduce a la desnaturalización de las proteínas y a la destrucción de la membrana celular, haciéndola más permeable, terminando en ruptura o fuga del material del citoplasma, lisis celular y por ende, en

Temas Selectos de Ingeniería de Alimentos 8 - 1 (2014): 68 - 78

la muerte del microorganismo. Respecto a los componentes químicos presentes, estos pueden actuar como agentes que interfieren con la translocación de protones y la fosforilación del atp (Holley y Patel, 2005; Fisher y Phillips, 2008). Conforme al tipo de microorganismo que debe atacar, Tajkarimi et al. (2010) mencionan que las bacterias Gram-negativas son generalmente menos sensibles a los AE debido a los lipopolisacáridos presentes en su membrana externa, lo que restringe la difusión de compuestos hidrófobos; no obstante, esto no significa que las bacterias Gram-positivas sean siempre más susceptibles. Fisher y Phillips (2008) afirman que en las bacterias Gram-negativas sólo hay un retardo del efecto, por lo que para alcanzar el mismo efecto letal en ambos tipos de bacterias se requeriría de un mayor tiempo de exposición a los ae.

Como se mencionó anteriormente, existe una relación directa entre los componentes químicos presentes y la efectividad de los ae. Esto supone que la presencia de un componente mayoritario de un ae, tanto en una atmósfera controlada como en un alimento, es la principal responsable de la acción antimicrobiana del ae

2. Métodos utilizados para la determinación de la actividad antimicrobiana

Ni los mecanismos de acción ni los métodos para determinar la actividad antimicrobiana que tienen los AE se han definido del todo. En consecuencia, existen diferentes métodos que incluyen las determinaciones de las concentraciones mínimas inhibitorias (cmi), la eficacia antimicrobiana y la evaluación de espectro antimicrobiano, entre otros. La tabla I muestra estudios realizados con los métodos más utilizados en los últimos años, a fin de determinar las cmi y, por lo tanto, la actividad antimicrobiana de los ae

La mayoría de los métodos in vitro consisten en añadir un volumen conocido del ae diluido (principalmente en etanol o metanol) o no, directamente en un tubo o caja Petri que contenga el medio adecuado para el microorganismo en prueba, o bien tener el medio estéril y después inocular el microorganismo de interés (López et al., 2005).

El problema de utilizar un método u otro es la dificultad para comparar los resultados de diferentes investigaciones, lo cual, a menudo hace difícil determinar el éxito potencial de los AE como agentes antimicrobianos en un alimento (López-Malo et al., 2005). Debido a la insolubilidad en agua y volatilidad de los AE, su evaluación es compleja, ya que sus propiedades pueden reducir la capacidad de dilución o causar separación de fases en los medios en los que se requiere evaluar. Además, periodos muy largos de incubación pueden dar lugar a la eva-

poración o descomposición de algunos de los componentes químicos presentes en el AE durante su evaluación (Kalemba y Kunicka, 2003). Por otra parte, la efectividad de cada método puede ser afectada por diferentes factores tales como el origen del ae, el volumen del inóculo, la fase de crecimiento del microorganismo, el medio de cultivo utilizado, el tiempo de incubación, la temperatura, el pH y la actividad de agua del medio, entre muchos otros factores (Burt, 2004).

A continuación se describen los métodos mayormente utilizados para evaluar la actividad antimicrobiana de los AE, por medio de la determinación de la concentración mínima inhibitoria (cmi), tanto en fase vapor como por contacto directo. La cmi se define como la menor concentración requerida del ae que tenga la capacidad de frenar el crecimiento del microorganismo (propiedades bacteriostáticas o fungistáticas) (Smith-Palmer, Stewart y Fyfe, 1998) o la concentración mínima letal que asegure la reducción de un 99.9% de la población del microorganismo (propiedades bactericidas o fungicidas) (Burt, 2004). Además, la actividad de los aceites esenciales contra mohos también puede ser evaluada por el control en la inhibición de la esporulación o la producción de toxinas (Kalemba y Kunicka, 2003).

2.1. Contacto directo

Los métodos de evaluación de los ae mediante el contacto directo han sido probablemente los más utilizados en los diversos estudios, ya que se busca remplazar a los conservadores sintéticos; los cuales son añadidos durante la formulación de un alimento, de tal manera que los aceites esenciales se evalúan al añadirlos directamente en forma líquida, ya sea en un producto alimenticio o un medio sintético.

2.1.1. Dilución en agar

El método de dilución en agar es utilizado generalmente para determinar si el ae es letal contra un microorganismo, además se usa con microorganismos aeróbicos o microaerofílicos con una velocidad variable de crecimiento. Para esta técnica, se preparan diferentes diluciones de los ae; posteriormente, las diluciones se añaden a los agares y estos son puestos en cajas Petri para su solidificación. Finalmente, los microorganismos en prueba previamente diluidos son inoculados en los agares e incubados a su temperatura y tiempo óptimos (de 16-24 h). Para esta técnica, la cmi es considerada como la menor concentración que inhiba el crecimiento visible. Entre las principales ventajas se incluyen la posibilidad de evaluar muchos microorganismos a la vez, la facilidad para detectar contaminación y el hecho de que el agar puede contener mate-

F. Reyes-Jurado, E. Palou y A. López-Malo

Temas Selectos de Ingeniería de Alimentos 8 - 1 (2014): 68 - 78

Tabla I. Estudios de la actividad antimicrobiana de aceites esenciales realizados con los diferentes métodos

Método utilizado

Aceite esencial Nombre científico

Origanum glandulosum

Orégano

Difusión en agar

Difusión en agar

Difusión en seriada

Microdilución seriada

Eucalipto blanco

Canela de cassia

Mejorana

Canela

Tomillo

Tomillo

Cámara hérmetica

Caja petri invertida

Microorganismo CMI Referencia

Staphylococcus aureus 79.25 µg/mL

Origanum glandulosum Listeria monocytogenes 58 µg/mL

Origanum glandulosum

Origanum glandulosum

Escherichia coli 79.25 µg/mL

Salmonella 64.25 µg/mL

Thyphimurium 52.25 µg/mL

Origanum glandulosum Aspergillus flavus 4.5 mg/mL

Eucalyptus globulus

Cinnammomum cassia

Origanum majorana

Cinnamomun osmophloeum

Cinnamomun osmophloeum

Cinnamomun osmophloeum

Thymus vulgaris

Thymus vulgaris

Thymus zygis

Thymus zygis

Escheriachia coli

Bacillus subtilis 2.25mg/mL

Pseudomonas putida 0.05 % p/v

Pseudomonas putida 0.4 % p/v

Samonella sp 500 µg/mL

Escherichia coli 250 µg/mL

Staphylococcus aureaus 250 µg/mL

Bendahou et al., 2008

Tyagi y Malik, 2011

Oussalah et al., 2006

Chang et al., 2001

Staphylococcus aureaus 0.03 % v/v Hammer et al., 1999

Escherichia coli 0.03 % v/v

Escherichia coli 12.5 µg/L de aires

Staphylococcus aureus 6.25 µg/L de aires

Romero Rosmarinus officinalis Staphylococcus aureus 100 µg/L de aires

Naranja Citurs sinensis var. Valencia Aspergillus flavus 800 µg/L de aires

Oregano mexicano

Lippia berlandiere Sachauer Aspergillus flavus 1,470.6 µg/L de aires

Canela Cinnamomum zeylanicum Bacillus cereus 17.5 µg/L de aires

Tomillo

Orégano

Cinnamomum zeylanicum Staphylococcus aureus 34.9 µg/L de aires

Thymuus vulgaris L. Aspergillus flavus 17.5 µg/L de aires

Thymuus vulgaris L. Listeria monocytogenes 26.2 µg/L de aires

Origanum vulgare L. Aspergillus niger 62.5 µg/L de aires

Origanum vulgare L. Salmonella Enteritidis 62.5 µg/L de aires

Canela Cinnamomum aromaticum Nees Staphylococcus aureus 250 µg/L de aires

riales opacos sin afectar los resultados, a diferencia de otros métodos que evalúan mediante turbidez o lectura de absorbancia (López-Malo et al., 2005).

2.1.2. Dilución y micro-dilución en caldo

El método de dilución y microdilución seriada se lleva a cabo en tubos o pocillos con medios líquidos (caldos), los cuales contienen concentraciones crecientes (serie de dilución doble) de AE diluido en el caldo, en el cual se inocula un número definido de células bacterianas. El volumen final de la prueba define si el método se denomina de dilución (cuando se utilizan tubos con un volumen total de 1-10 mL) o de microdilución

Inouye et al., 2001

Velázquez-Nuñez et al., 2013

Gómez- Sanchez et al., 2011

López et al., 2007

Kloucek et al., 2012

(si se realiza en placas de pocillos usando un máximo de 500 µL por pocillo). Posterior a la incubación (16-24 h dependiendo del microorganismo), la presencia de turbidez o sedimentación indica crecimiento del microorganismo. Finalmente, para rectificar la inhibición, se toman alícuotas de los tubos o pocillos sin turbidez y se hace un sembrado en agar.

La cmi en esta técnica se determina de acuerdo a la concentración más baja que impida el crecimiento visible del microorganismo. Estos métodos son mayormente utilizados en estudios con bacterias (López-Malo et al., 2005; Wiegand, Hilpert y Hancock, 2008).

Temas Selectos de Ingeniería de Alimentos 8 - 1 (2014): 68 - 78

2.1.3. Difusión en agar

El método de difusión en agar ha sido probablemente el más utilizado para determinar la actividad antimicrobiana contra microorganismos aeróbicos. En este método, existen dos formas de identificar la difusión y, por lo tanto, la efectividad del AE. En la primera, el agar solidificado se inocula con la suspensión requerida del microorganismo; un papel filtro es impregnado con una solución de concentración conocida del AE, el cual es colocado en la superficie del agar. En la segunda, se perfora el agar solidificado y previamente inoculado, usando un perforador estéril, y se vierte una solución de cierta concentración del ae en las perforaciones.

Posteriormente, las cajas Petri son incubadas a la temperatura y tiempo óptimos. El principio es la difusión del AE hacia todo el agar, lo que conduce a la inhibición del crecimiento bacteriano mediante la formación de zonas de inhibición. Lo anterior supone que el diámetro de las zonas aumentará al incrementar la concentración del ae (Bonev, Hooper y Parisot, 2008).

Los resultados de la prueba de difusión en agar son generalmente cualitativos. La susceptibilidad del microorganismo en prueba está relacionada con el tamaño de la zona de inhibición en milímetros. Los microorganismos se denominan susceptibles cuando el diámetro de la zona es mayor a 30-35 mm, intermedios cuando el diámetro de la zona varía entre 20 y 30 mm, o resistentes con una zona cuyo diámetro es menor a 15-20 mm (López-Malo et al., 2005).

Por otra parte, este método no es tan apropiado para todos los ae, debido a que su alta volatilidad causará que algunos componentes químicos se evaporen durante la incubación; además, su hidrofobicidad impedirá la difusión de todos los componentes. Debido a lo anterior, aunque la determinación de la CMI puede obtenerse mediante esta técnica, otros métodos darían mejores resultados (Kalemba y Kunicka, 2003; López-Malo et al., 2005).

2.1.4.

Sembrado en espiral

La técnica de sembrado en espiral se ha utilizado para enumerar células en suspensión microbiana; no obstante, también se ha empleado para determinar las CMI de algunos agentes antimicrobianos (López-Malo et al., 2005).

El método se basa en dispensar continuamente un volumen decreciente de una concentración conocida de ae en un medio sólido (agar) por medio del patrón de espiral de Arquímedes. Esto resulta en un gradiente del ae con una alta concentración cerca del centro de la caja Petri; el inóculo es sembrado radialmente sobre la superficie de la caja desde el borde exterior hasta el centro de la placa. Posterior a la incubación,

se mide y registra la distancia desde el final del crecimiento del microorganismo hasta donde comenzó. La cmi se puede calcular a partir del radio en el que se detiene el crecimiento. La distancia se utiliza para calcular la dilución tanto del inóculo como del ae, en comparación con un control (López-Malo et al., 2005).

Aunque el método ha tenido bajo impacto tanto en la determinación de la actividad antimicrobiana como de la cmi de los AE, se ha demostrado su utilidad al evaluar la actividad de algunos compuestos como son el timol y el eugenol contra diferentes bacterias (Holley y Patel, 2005).

2.2. Fase vapor

El uso potencial que tienen los ae al utilizarlos de manera directa, se ha limitado principalmente por las alteraciones que causan en las características organolépticas de los alimentos. Por lo anterior, recientes investigaciones han planteado algunas soluciones a este problema, entre las cuales destaca la utilización de los vapores generados por los AE; lo que resultaría en una menor modificación sensorial en el producto final (Suhr y Nielsen 2003; Raybaudi-Massilia, Soliva y Belloso., 2006 y Goñi et al., 2009). En este caso, el uso potencial de los vapores de los aceites esenciales sería un sistema en el que interactúen el producto, el ambiente y un empaque; sin tener que añadirlo como un aditivo alimentario (Kuorwel et al., 2013).

Las técnicas de fase vapor se basan en la generación de vapores de los ae y la creación de una atmósfera a una cierta temperatura, o un microambiente dado por los propios AE (López et al., 2005). Si bien el efecto que ejercen los vapores de los AE está siendo estudiado recientemente, los principales métodos utilizados se describen a continuación.

2.2.1. Caja Petri invertida

La técnica de caja Petri invertida consiste en colocar los agares inoculados de forma separada de los ae. Para ello, papel filtro impregnado con el ae previamente disuelto en acetato de etilo o en otro solvente, es colocado sobre la tapa de una caja Petri; posteriormente, la caja Petri que contiene en la base el agar solidificado e inoculado y en la tapa el papel filtro, se coloca de manera invertida. Con esto se espera una volatilización de los ae con dirección al microorganismo en prueba (Suhr y Nielsen, 2003; Kloucek et al. 2012).

La cmi será la menor concentración probada que inhiba el crecimiento del microorganismo. Esta técnica es mayormente utilizada para bacterias, las cuales tienen mayor velocidad de crecimiento en comparación con los mohos (Edris y Farrag, 2003).

2.2.2. Cámara hermética

La técnica de cámara hermética consiste en crear una atmósfera a partir de ae; para ello se utilizan cámaras de plástico (aproximadamente de 1-2 L) con tapa hermética transparente; en su interior y en el centro se coloca una cantidad conocida del ae y sobre una rejilla se colocan agares previamente inoculados. Las cámaras se mantienen a una temperatura controlada; en condiciones estándar para mohos a 25°C durante 72 horas (Suhr y Nielsen, 2003; Gómez-Sánchez, Palou y López-Malo, 2011) ó 37°C durante 18-24 horas para bacterias (Kloucek et al., 2012). De tal manera que los vapores generados por los AE entran en contacto con los microorganismos y dan lugar a zonas de inhibición, disminución del crecimiento o reducción en el número de colonias. La cmi en esta técnica es la menor concentración de ae utilizada que logre inhibir el crecimiento visible de los microorganismos. Este método se usa principalmente para mohos, ya que su velocidad de crecimiento es lenta.

3. Determinación cualitativa y cuantitativa de los componentes químicos de los ae

Existe una variación en los componentes químicos mayoritarios de los AE presentes en diferentes entornos tales como un sistema modelo, una atmósfera controlada o un alimento. Asimismo, también existen diferencias en composición de acuerdo a las diferentes partes de la planta de donde se obtuvo el ae o de la especie de la misma. Entre los principales componentes químicos presentes en los ae se encuentran las diferentes clases de monoterpenos, sesquiterepenos y diterpenos (Figura 1) como son los alcoholes, cetonas, óxidos, aldehídos, fenoles o ésteres (tabla II) (Aridoğan et al., 2002).

Debido a la gran importancia que tienen los compuestos químicos de los ae, se han empleado diferentes métodos físicos y químicos que ayuden a determinarlos y cuantificarlos (Turek y Stinzing, 2013).

Los métodos de cromatografía acoplados a diferentes sistemas son los más utilizados para determinar la composición química de los ae, obteniendo información de identidad, posibles impurezas, adulteraciones, reacciones de degradación, así como de parámetros de calidad. Además, son una opción para una rápida separación cuantitativa de macro y microcomponentes con estructuras químicas simples o complejas (Marriott, Shellie y Cornwell, 2001).

3.1. Cromatografía de gases

La cromatografía de gases (gc por sus siglas en inglés) es una técnica que permite separar e identificar los componentes químicos de una muestra. Esta técnica utiliza un gas inerte como

Tabla II. Componentes volátiles de acuerdo al grupo funcional del aceite esencial

Grupo Químico Funcional

Fenoles

Aldehídos

Alcoholes

Alcoholes sesquiterpenos

Cetonas

Ésteres

Ésteres y Óxidos

Hidrocarburos

Adaptada de Inouye et al. (2006)

Componentes

Carvacrol

Eugenol

Timol

Citral

Citronela

Benzaldehído

Perilaldehído

Cinamaldehído

Terpenos

Borneol

Mentol

Geraniol

Linalol

Feniletanol

Farnecol

Cedrol

Alcanfor

Carvona

α-tujona

Acetato de linalilo

Salicilato de metilo

Etil acetano

Anetol

Metil timol

Anetol

Cineol

Careno

β–cariofileno

α-pineno

Limoneno

fase móvil y un líquido como fase estacionaria en una columna capilar; la fase móvil está constantemente recorriendo el sistema. Otro aspecto característico de la gc es que trabaja en un amplio rango de temperaturas (-70 a 400°C). La muestra a evaluar debe ser volatilizada antes de ingresar a la columna cromatográfica. En esta técnica pueden darse los fenómenos de adsorción y de partición (Hernández-Molina, 2007).

La gc es uno de los métodos de análisis más eficaces, ya que permite la separación de cantidades muy pequeñas; además se usa generalmente para análisis cuantitativo. La principal limitante para esta técnica es la termoestabilidad de la muestra, es decir, que mantenga su estructura a la temperatura de trabajo (Hernández-Molina, 2007).

Por otra parte, la cromatografía de gases acoplada a espec-

Temas Selectos de Ingeniería de Alimentos 8 - 1 (2014): 68 - 78

Fig. 1. Algunas estructuras químicas de (A) Monoterpenos, (B) Sesquiterpenos y (C) Diterpenos

trometría de masas (gc-ms por sus siglas en inglés) permite obtener el espectro de masas de cada componente, con el cual se obtiene el peso molecular e información estructural, por lo que se logra identificarlos, ya que existen bases de datos con los espectros de masas de muchos componentes (Marriott et al., 2001; Cserháti, Forgács, Deyl y Miksik, 2005). La gc-ms da como resultado un cromatograma, que muestra los compuestos separados y el área del pico de cada uno de ellos, la cual es proporcional a su concentración (Cserháti et al., 2005).

Numerosos estudios han empleado la gc-ms a fin de determinar cualitativa y cuantitativamente la composición química de los ae; estos estudios reportan resultados adecuados y repetibles. Ávila-Sosa, Palou, Jiménez-Munguía, Nevárez-Morillón y Navarro-Cruz (2012) identificaron al eugenol (3.402 g/ ml) y al cinamaldehído (0.652 g/ml) como componentes mayoritarios del ae de canela (Cinnamomum verum) Asimismo, determinaron que en el ae de orégano mexicano (Lippia ber-

landieri Schauer L) el timol (2.103 g/ml) y el carvacrol (0.533 g/ml) son los componentes presentes en mayor proporción. Por otra parte, Tian et al. (2011) identificaron 45 componentes en el aceite esencial de la cicuta (Cicuta virosa L. var. latisecta Celak) y determinaron que el γ-terpineno (40.92%), p-cimeno (27.93%) y el cuminaldehído (21.20%) son los componentes mayoritarios. Bendahou et al. (2008), por su parte, determinaron que timol (41.6%), γ-terpineno (27%), y p-cimeno (17.1%) son los componentes mayoritarios en el AE de orégano (Origanum glandulosum) La mayoría de las investigaciones que reportan la composición química de los AE utilizan gc-ms.

Si bien la gc-ms puede emplearse para identificar y cuantificar componentes químicos que pueden ser volatilizados, la correcta determinación y cuantificación de los componentes químicos presentes en una matriz de un alimento, en un producto empacado o en el ae recién obtenido, depende de un

adecuado muestreo o extracción del mismo (Hui, 2002; Sánchez-Cabrera y Pino, 2011).

3.2. Influencia de los métodos de extracción en la composición química

Para la determinación de los compuestos químicos de los AE relacionados con el sabor, efectos antimicrobiana y antioxidantes, se han empleado diferentes métodos de extracción; entre los más utilizados se encuentran la extracción con solventes orgánicos, la hidrodestilación (hd por sus siglas en inglés) (Périno-Issartier, Huma, Abert-Vian y Chemat, 2010), la extracción asistida con microondas (mae por sus siglas inglés), la extracción con microondas libre de solvente (sfmepor sus siglas en inglés) (Sparr y Björklund, 2000) y la extracción asistida con ultrasonido (uae por sus siglas en inglés) (Vilkhu, Mawson, Simons y Bates 2008).

El uso de cualquier método de extracción para la posterior determinación de la composición química, ha sido criticado debido a los posibles procesos de transformación que sufren los compuestos por la influencia del calor y el vapor de agua (Richter y Schellenberg, 2007).

Diversas investigaciones han referido que entre los métodos de extracción más efectivos se encuentra mae, debido a que requiere poca energía y hay una mejor retención de los compuestos químicos.

Uno de los estudios que fundamentan lo anterior, es el de Flamini et al. (2007) quienes determinaron y compararon los componentes químicos presentes en el ae de laurel (Laurus nobilis L.) obtenido por hd y por mae, utilizando gc-ms para la cuantificación de los componentes; en este estudio concluyeron que los monoterpenos se obtenían solo con MAE. En la misma línea, Bendahou et al. (2008) determinaron la composición química del ae de orégano (Origanum glandulosum) extraído por medio de hd, mae y sfme utilizando gc-ms; identificaron al timol, γ-terpineno, p-cimeno y carvacrol como los principales compuestos del ae, siendo la mae el método de extracción que mejor retuvo los compuestos químicos. Por otro lado, en un estudio realizado por Lucchesi, Smadja, Bradshaw, Louw y Chemat (2007), se evaluó la influencia de HD y SFME en la composición química del ae de cardamomo (Elletaria cardamomum L.); se encontró que con sfme se obtuvierob mayores cantidades de compuestos oxigenados y menores cantidades de hidrocarburos y monoterpenos en comparación con HD. Finalmente, se ha observado que los diversos métodos de extracción además de afectar a la retención de los componentes químicos, también pueden producir cambios físicos distinguibles en la materia prima (Lucchesi et al., 2007).

3.3. Muestreo selectivo de analitos

Como se describió previamente, en la evaluación del efecto antimicrobiano de los aceites esenciales en fase vapor, el AE en estado líquido se coloca en un sitio cercano al medio de cultivo inoculado con el microorganismo en prueba, de tal manera que los compuestos volátiles del aceite entran en contacto con el microorganismo y ejercen su efecto sobre este; todo lo anterior se lleva a cabo dentro de un recipiente cerrado. En consecuencia, la determinación de la composición del aire en el espacio de cabeza de dicho recipiente, es fundamental para obtener información importante sobre los compuestos que pueden afectar al microorganismo. Para esto, es necesario tomar una muestra del aire en equilibrio con el ae, mediante una jeringa, para luego inyectarlo en el puerto de un cromatógrafo de gases. En este caso, el aire contendrá todos los compuestos volátiles que se hayan difundido tanto del aceite hacia el aire como del medio de cultivo hacia el aire, es decir, los analitos con actividad antimicrobiana no serán los únicos recolectados. En este sentido, un nuevo enfoque para la toma de muestras es la técnica de microextracción en fase sólida (spme por sus siglas en inglés) que fue desarrollado por Pawliszyn en 1989 (Pawliszyn, 2000). Esta técnica ha sido ampliamente utilizada en diferentes campos de la química analítica y de alimentos (Hui, 2002). La spme tiene ventajas significativas, tales como la reducción de consumo de solventes orgánicos y la no degradación de la muestra; además, es de bajo costo, rápida, sensible y selectiva, cuando es combinada con métodos de detección apropiados (Adam et al., 2009).

El instrumento usado en esta técnica consta de una fibra de sílica fundida recubierta por un material capaz de retener solo cierto tipo de analitos (por ejemplo polidimetilxiloxano). Esta fibra está protegida por una aguja retractable. Para la toma de los analitos, la aguja se inserta a través de un septum en un espacio de cabeza, lo cual causa que la aguja se retracte y deje la fibra expuesta. Entonces el recubrimiento de la fibra retiene los analitos compatibles con él. En seguida, la fibra con los analitos es retirada del espacio de cabeza, siendo nuevamente protegida por la aguja, y transferida al puerto de inyección de un gc, donde los analitos son térmicamente liberados, para luego ser identificados (Hui, 2002 y Vas Vékey, 2004).

Entre los estudios que han utilizado la spme para el análisis de ae, puede mencionarse el de Popovici, Bertrand, Bagnarol, Fernández y Comte (2008), quienes utilizaron dos tipos de fibra; en este estudio identificaron 57 compuestos volátiles en el AE de mirto de brabante (Myrica gale L.). Así mismo, Fang, Qi, Li, Shao y Fu (2006), usaron spme para muestrear los compuestos volátiles del AE de hinojo (Foeniculum vulgare).

Ambos estudios muestran la eficacia de la spme cuando se requiere muestrear selectivamente compuestos volátiles de un AE; además refieren a la técnica como simple, rápida y factible.

Conclusiones y comentarios finales

La determinación de la concentración mínima inhibitoria es la forma más común para reportar la efectividad de los aceites esenciales como agentes antimicrobianos.

Los métodos de evaluación antimicrobiana de los aceites esenciales, tanto en fase vapor como por contacto directo, muestran ventajas y desventajas dependiendo principalmente del tipo de microorganismo objetivo. El utilizar la técnica adecuada permitiría obtener información certera sobre la efectividad del aceite esencial y la posibilidad de usarlo como agente antimicrobiano.

Los métodos instrumentales para la determinación de los compuestos químicos son herramientas relevantes para la identificación de los compuestos responsables del efecto antimicrobiano. Finalmente, el ahorro en tiempo, la reducción de solventes y la aparente simplicidad de las técnicas de muestreo selectivo de analitos continúan atrayendo el interés en el área de alimentos.

Agradecimientos

La autora Reyes Jurado agradece el apoyo financiero del Consejo Nacional de Ciencia y Tecnología (conacyt) y de la Universidad de las Américas Puebla (udlap) para la realización de sus estudios de Doctorado en Ciencia de Alimentos.

Referencias bibliográficas

Adam, M., Dobiáš, P., Pavlíková, P. y Ventura, K. (2009). Comparison of solid-phase and single-drop microextractions for headspace analysis of herbal essential oils. Central European Journal of Chemistry, 7(3), 303-311.

Aridoğan, B., Baydar, H., Kaya, S., Demirci, M., Ozbaşar, D. y Mumcu, E. (2002). Antimicrobial activity and chemical composition of some essential oils. Archives of Pharmacal Research, 25(6), 860-864.

Ávila-Sosa, R., Palou, E., Jiménez-Munguía, M., Nevárez-Moo-

rillón, G., Navarro-Cruz, A. y López-Malo, A. (2012). Antifungal activity by vapor contact of essential oils added to amaranth, chitosan, or starch edible films. International Journal of Food Microbiology, 153(1-2), 66-72.

Bendahou, M., Muselli, A., Grignon-Dubois, M., Benyoucef, M., Desjobert, J., Bernardini, A. y Costa, J. (2008). Antimicrobial activity and chemical composition of Origanum glandulosum Desf. essential oil and extract obtained by microwave extraction: Comparison with hydrodistillation. Food Chemistry, 106(1), 132–139.

Bonev, B., Hooper, J. y Parisot, J. (2008). Principles of assessing bacterial susceptibility to antibiotics using the agar diffusion method. Journal of Antimicrobial Chemotherapy, 61(6), 1295-1301.

Burt, S. (2004). Essential oils: their antibacterial properties and potential applications in foods—a review. International Journal of Food Microbiology, 94(3), 223–253.

Chang, S., Chen, P. y Chang, S. (2001). Antibacterial activity of leaf essential oils and their constituents from Cinnamomum osmophloeum Journal of Ethnopharmacology, 77(1), 123-127.

Cserháti, T., Forgács, E., Deyl, Z. y Miksik, I. (2005). Chromatography in authenticity and traceability tests of vegetable oils and dairy products: a review. Biomedical Chromatography, 19(3), 183-190.

Cruz-Cabral, L., Fernández-Pinto, V., y Patriarca, A. (2013). Application of plant derived compounds to control fungal spoilage and mycotoxin production in foods. International Journal of Food Microbiology, 166(1), 1–14.

Edris, A. y Farrag, E. (2003). Antifungal activity of peppermint and sweet basil essential oils and their major aroma constituents on some plant pathogenic fungi from the vapor phase. Journal Nahrung Food, 47(2), 117-121.

Fang, L., Qi, M., Li, T., Shao, Q. & Fu, R. (2006). Headspace solvent microextraction-gas chromatography-mass spectrometry for the analysis of volatile compounds from Foeniculum vulgare Mill. Journal of Pharmaceutical and Biomedical Analysis, 41(3), 791-797.

Fisher, K. y Phillips, C. (2008). Potential antimicrobial uses of essential oils in food: is citrus the answer? Trends in Food Science & Technology, 19(3), 156–164.

Flamini, G., Tebanoa, M., Cionia, P., Ceccarinib, L., Riccic, A. y Longo, I. (2007). Comparison between the conventional method of extraction of essential oil of Laurus nobilis L. and a novel method which uses microwaves applied in situ, without resorting to an oven. Journal of Chromatography A, 1143(1-2), 36–40.

F. Reyes-Jurado, E. Palou y A. López-Malo

Ingeniería

Gómez-Sánchez, A., Palou, E. y López-Malo, A. (2011). Antifungal activity evaluation of mexican oregano (Lippia berlandieri Schauer) essential oil on the Growth of Aspergillus flavus by gaseous contact. Journal of Food Protection, 74(12), 2192–2198.

Goñi, P., López, P., Sánchez, C., Gómez-Lus, R., Becerril, R. y Nerín, C. (2009). Antimicrobial activity in the vapour phase of a combination of cinnamon and clove essential oils. Food Chemistry, 116 (14), 982-989.

Hammer, K., Carson, C. y Riley, T. (1999). Antimicrobial activity of essential oils and other plant extracts. Journal of Applied Microbiology, 86(6), 985–990.

Hernández-Molina, LR. (2007). Purificación cromatrográfica de metabolitos secundarios de origen vegetal. En J. F., López-Olguín, A., Aragón-García, y A. M., Tapia-Rojas, Avances en Agroecología y Ambiente (Vol 1., págs. 173-192.). Puebla: Publicación especial de la Benemérita Universidad Autónoma de Puebla. ISBN 9789689391074.

Holley, R. y Patel, D. (2005). Improvement in shelf-life and safety of perishable foods by plant essential oils and smoke antimicrobials. Food Microbiology, 22(4), 273–292.

Hui, C. (2002). A review of modern sample-preparation techniques for the extraction and analysis of medicinal plants. Analytical and Bioanalytical Chemistry, 373(12), 23-30.

Inouye, S., Takizawa, T. y Yamaguchi, H. (2001). Antibacterial activity of essential oils and their major constituents against respiratory tract pathogens by gaseous contact. Analytical and Bioanalytical Chemistry, 47(5), 565-573.

Inouye, S., Uchida, K. y Abe, S. (2006). Vapor activity of 72 essential oils against a Trichophyton mentagrophytes Journal of Infection and Chemotherapy, 12(4), 210-216.

Kalemba, D. y Kunicka, A. (2003). Antibacterial and antifungal properties of essential oils. Current Medicinal Chemistry, 10(10), 813-829.

Kloucek, P., Smid, J., Frankova, A., Kokoska, L., Valterova, I. y Pavela, R. (2012). Fast screening method for assessment of antimicrobial activity of essential oils in vapor phase. Food Research International, 47(2), 161–165.

Kuorwel, K., Cran, M., Sonneveld, K., Milts, J & Bigger, S. (2013). Migration of antimicrobial agents from starch-based films into a food simulant. LWT - Food Science and Technology, 50, 432-438.

Leistner, L. (2000). Basic aspects of food preservation by hurdle technology. International Journal of Food Microbiology, 55(1-3), 181–186.

López, P., Sánchez, C., Batlle, R. y Nerín, C. (2005). Solid- and vapor-phase antimicrobial activities of six essential oils: susceptibility of selected foodborne bacterial and fungal strains. Journal of Agricultural and Food Chemistry, 53(17), 6939-6946.

López, P., Sánchez, C., Batlle, R. y Nerín, C. (2007). Vapor-phase activities of cinnamon, thyme, and oregano essential oils and key constituents against foodborne microorganisms. Journal of Agricultural and Food Chemistry, 55(11), 4348-4356.

López-Malo, A., Palou, E., Parish, M. y Davidson, P. (2005). Methods for activity assay and evaluation of results. En P.M. Davidson, J., Sofos, y A. Branen, Antimicrobials in Food (3a edición, capítulo 21, págs. 659-680). Boca Ratón: CRC Press, Taylor & Francis Group.

Marriott, P., Shellie, R. & Cornwel, l. C. (2001). Gas chromatographic technologies for the analysis of essential oils. Journal of Chromatography A, 936(1-2), 1–22.

Oussalah, M., Caillet, S., Saucier, L. y Lacroix, M. (2006). Antimicrobial effects of selected plant essential oils on the growth of a Pseudomonas putida strain isolated from meat. Meat Science, 73(2), 236–244.

Pawliszyn, J. (2000). Theory of solid-phase microextraction. Journal of Chromatographic Science, 38(7), 270-278.

Périno-Issartie, S., Huma, Z., Abert-Vian, M. y Chemat, F. (2010). Solvent free microwave-assisted extraction of antioxidants from sea buckthorn (Hippophae rhamnoides) food by-products. Food and Bioprocess Technology, 4(6), 1020-1028.

Popovici, J., Bertrand, C., Bagnarol, E., Fernandez, M. y Comte, G. (2008). Chemical composition of essential oil and headspace-solid microextracts from fruits of Myrica gale L. and antifungal activity. Natural Product Research, 22(12), 1024–1032.

Raybaudi-Massilia, R., Soliva, R. & Belloso, O. (2006). Uso de agentes antimicrobianos para la conservación de frutas frescas y frutas cortadas. En G., Gonzáles-Aguilar y F., Cuamea, I Simposio Iberoamericano de Vegetales Frescos Cortados. San Pedro, SP Brazil. ISBN 968-5862-08-7

Richter, J. y Schellenberg, I. (2007). Comparison of different extraction methods for the determination of essential oils and related compounds from aromatic plants and optimization of solid-phase microextraction/gas chromatography. Analytical and Bioanalytical Chemistry, 387(6), 2207–2217.

Rizzolo, A., Gerli, F., Prinzivalli, C., Buratti, S. y Torreggiani, D. (2007). Headspace volatile compounds during osmotic

F. Reyes-Jurado, E. Palou y A. López-Malo Temas Selectos de Ingeniería de Alimentos 8 - 1 (2014): 68 - 78

dehydration of strawberries (cv Camarosa): Influence of osmotic solution composition and processing time. LWT - Food Science and Technology, 40(3), 529–535.

Sacchetti, G., Maietti, S., Muzzoli, M., Scaglianti, M., Manfredini, S., Radice, M. y Bruni, R. (2005). Comparative evaluation of 11 essential oils of different origin as functional antioxidants, antiradicals and antimicrobials in foods. Food Chemistry, 91, 621-632.

Sánchez-Cabrera, Y. y Pino, J. (2011). Headspace solid-phase microextraction analysis of volatile compounds from spice essential oils in dry flavourings. International Journal of Food Science and Technology, 46(10), 2118–2123.

Smith-Palmer, A., Stewart, J. y Fyfe, L. (1998). Antimicrobial properties of plant essential oils and essences against five important food-borne pathogens. Letters in Applied Microbiology, 26(2), 118–122.

Solórzano-Santos, F. y Miranda-Novales, M. (2012). Essential oils from aromatic herbs as antimicrobial agents. Current Opinion in Biotechnology, 23(2), 136-141.

Sparr, C. y Björklund, E. (2000). Analytical-scale microwave-assisted extraction. Journal of Chromatography A, 902(1), 227–250.

Suhr, K. y Nielsen, P. (2003). Antifungal activity of essential oils evaluated by two different application techniques against rye bread spoilage fungi. Journal of Applied Microbiology, 94(4), 665–674.

Tajkarimi, M., Ibrahim, S. y Cliver, D. (2010). Antimicrobial

herb and spice compounds in food. Food Control, 21(9), 1199–1218.

Tian, J., Ban, X., Zeng, H., He, J., Huang, B. y Wang, Y. (2011). Chemical composition and antifungal activity of essential oil from Cicuta virosa L. var. latisecta Celak. International Journal of Food Microbiology, 145(2-3), 464–470.

Turek, C. y Stintzing, F. (2013). Stability of essential oils: a review. Comprehensive Reviews in Food Science and Food Safety, 12(1), 40–53.

Tyagi, A. y Malik, A. (2011). Antimicrobial potential and chemical composition of Eucalyptus globulus oil in liquid and vapour phase against food spoilage micoorganisms. Food Chemistry, 126, 228–235.

Vas, G. y Vékey, K. (2004). Solid- phase microextraction: a powerful sample preparation tool prior to mass spectrometric analysis. Journal of Mass Spectrometry, 39, 233-254.

Velázquez-Nuñez, M., Avila-Sosa, R., Palou, E. y López-Malo, A. (2013). Antifungal activity of orange (Citrus sinensis var. Valencia) peel essential oil applied by direct addition or vapor contact. Food Control, 31(1), 1-4.

Vilkhu, K., Mawson, R., Simons, L. y Bates, D. (2008). Applications and opportunities for ultrasound assisted extraction in the food industry — A review. Innovative Food Science & Emerging Technologies, 9(2), 161–169.

Wiegand, I., Hilpert, K. y Hancock, R. (2008). Agar and broth dilution methods to determine the minimal inhibitory concentration (mic) of antimicrobial substances. Nature Protocols, 3(2), 163-175.

El grano de trigo: características generales y algunas problemáticas y soluciones a su almacenamiento

Z.N. Juárez*1, M.E. Bárcenas-Pozos1 y L.R. Hernández2

1Departamento de Ingeniería Química, Alimentos y Ambiental, Universidad de las Américas Puebla. Ex hacienda Sta. Catarina Mártir S/N, San Andrés Cholula, Puebla. C.P.72810. México.

2Departamento de Ciencias Químico Biológicas, Universidad de las Américas Puebla.

Ex hacienda Sta. Catarina Mártir S/N, San Andrés Cholula, Puebla. C.P.72810. México.

RESUMEN

Los cereales constituyen el eje de la agricultura y la fuente de diversos alimentos, considerándose al trigo como el más abundante y productivo. Lo más destacado de los cereales es que sus frutos maduros son no perecederos y pueden ser almacenados para consumirse gradualmente o mantenidos como semilla. Sin embargo, durante el almacenamiento, los granos pueden ser atacados por diferentes plagas, siendo los hongos los de mayor preocupación por las sustancias tóxicas que producen, como las aflatoxinas; por esto, en los últimos años muchas investigaciones se han centrado en ellos. El objetivo de la presente revisión es analizar información actualizada sobre los problemas que afectan al trigo almacenado, haciendo hincapié en los hongos que lo atacan y los pesticidas utilizados para preservar los granos.

Palabras clave: trigo, almacenamiento, hongos, pesticidas

ABSTRACT

Cereals are the backbone of agriculture and the source of many foods, wheat is considered as the most abundant and productive. The highlight of cereals is that their ripe fruits are not perishable and can be stored to be gradually consumed or kept as seed. However, during storage, the grains can be attacked by different pests, being fungi of greatest concern because the production of toxic substances; some of them are aflatoxins. This is the reason why in recent years many researches were focused on them. The aim of this review is to analyze updated information on the above topics, emphasizing on fungi and pesticides used to preserve the grains.

Keywords: wheat, storage, fungi, pesticides.

Programa de Doctorado en Ciencia de Alimentos

Tel.: +52 222 229 2126

Fax: +52 222 229 2727

Dirección electrónica: zaida.juarezma@udlap.mx

Temas Selectos de Ingeniería de Alimentos 8 - 1 (2014): 79 - 93

Introducción

Los cereales se han considerado históricamente como el eje de la agricultura y la fuente más productiva de alimentos. La mayor parte de la energía que consume el hombre proviene de los cereales, tales como trigo, arroz y maíz; de todos estos, se considera que el trigo es el más abundante y productivo (Serna-Saldívar, 2009).

Lo más destacado de los cereales es que sus frutos maduros son no perecederos y pueden ser almacenados para consumirse gradualmente o mantenidos como semilla para futuras plantaciones (Serna-Saldívar, 2009). Sin embargo, durante el almacenamiento, los granos pueden ser atacados por insectos (principalmente gorgojos y polillas), microorganismos (hongos y bacterias), roedores y pájaros (Webley, 1994). Los microorganismos que generan mayor preocupación son los hongos ya que no sólo causan enfermedades en humanos y animales (Reddy et al., 2010), sino que también afectan a la calidad del grano y su harina. Se ha reportado el aislamiento e identificación de varias especies de hongos en granos de trigo recién cosechados, algunas de las cuales son productoras de micotoxinas (Embaby et al., 2012).

Para proteger los granos almacenados del ataque de plagas, estos comúnmente son tratados para su almacenamiento con pesticidas sintéticos tales como compuestos organoclorados, organofosforados y piretroides; sin embargo, esto ha tenido graves repercusiones en la salud, como por ejemplo, enfermedades crónicas neurológicas, alteraciones hormonales, cáncer, malformaciones o defectos congénitos en hijos de madres expuestas a estos pesticidas e incluso la muerte. Hay evidencia de que los fungicidas sintéticos prevalecen en los cereales y sus derivados en un 20.1% de las muestras (Vicente et al., 2004).

Este artículo tiene el objetivo de analizar el estado actual del conocimiento en estos temas, realizando una revisión de la bibliografía más reciente, partiendo de las generalidades y características del grano de trigo hasta los principales problemas que se presentan durante su almacenamiento, así como las formas usadas para contrarrestarlos, haciendo hincapié en los hongos comúnmente encontrados durante su almacenamiento y en los pesticidas utilizados en la actualidad para preservar los granos.

Revisión bibliográfica

1. Generalidades del grano de trigo

1.1. Historia y producción

En la antigüedad, la diosa griega Deméter, que significa señora, era considerada la diosa de la alimentación, en particular del pan y la agricultura. En la mitología romana, su equivalente es Ceres, derivando de esta el nombre cereal (Serna-Saldívar, 2009).

El trigo es uno de los cereales que más aparece en la literatura occidental, incluso en la Biblia es citado hasta 40 veces y en la parábola del sembrador hace alusión a la bondad. Su origen se remonta a la antigua Mesopotamia; las evidencias más antiguas provienen de Siria, Iraq, Turquía y Jordania. Existen hallazgos de restos de grano de trigo que datan del año 6700 a. C. Fue introducido en México por los españoles en el año 1520 y luego llevado a sus demás colonias (Gómez- Pallarés, León y Rosell, 2007).

Los cereales constituyen un conjunto de plantas de gran importancia para el hombre debido a su aporte energético y de nutrientes. Entre los cereales de mayor producción mundial se encuentran el maíz, el arroz y el trigo, que abastecen el 80% de la producción total de alimentos, este último es el cereal más consumido por el hombre occidental y es cultivado en 115 países siendo los principales productores China, Estados Unidos e India; una gran extensión de cultivo se encuentra en Rusia, Europa, Canadá, Australia y Argentina (Serna-Saldívar, 2009).

La palabra trigo proviene del latín Triticum cuyo significado es quebrado, triturado o trillado y hace referencia al proceso que se sigue para separar la semilla de su cascarilla. El grano de trigo es fácil de transportar y almacenar, utilizándose para obtener una gran variedad de productos, tales como harina, harina integral, sémola y malta, los cuales constituyen la materia prima para la elaboración de otra gran variedad de productos alimenticios. Además, en Europa fue importante también para la fabricación de papel y cartón (Gómez- Pallarés et al., 2007; Serna-Saldívar, 2009).

En México, se produce trigo en Chihuahua y la región del Bajío, aunque también en Sonora y norte de Sinaloa. A pesar de que solo el 10% de la región destinada al cultivo de cereales es utilizada para producir trigo, a este le corresponde el 20% de la producción nacional de cereales debido a su alto rendimiento, cercano a las cuatro toneladas por hectárea. La temperatura óptima para su crecimiento está entre 10 y 25°C, pero puede llegar a crecer a temperaturas entre 3 y 33 °C. En cuanto

Temas Selectos de Ingeniería de Alimentos 8 - 1 (2014): 79 - 93

a la humedad, es deseable que esta sea alta durante el espigado, mientras que durante la maduración se espera que sea baja para facilitar el secado del grano, evitar su germinación y el crecimiento de microorganismos (Dupont y Altenbach, 2003; Serna-Saldívar, 2009).

Con respecto a la producción y comercialización, son muy importantes el rendimiento y el porcentaje de proteínas, los cuales dependen de las condiciones del medio ambiente y el clima (Dupont y Altenbach, 2003). Las heladas y la falta de humedad pueden incrementar el contenido proteico relativo modificando sus propiedades funcionales, resultando de este grano una harina más grisácea (Dupont y Altenbach, 2003; Takayama, Ishikawa y Taya, 2006). Otro factor que afecta de manera importante la formación y porcentaje de nutrientes en el grano es el momento en el que se aplican los fertilizantes. La deficiencia de azufre limita su producción, ya que provoca la reducción del tamaño del grano y su calidad, disminuyendo la proporción de proteínas, lo cual se traduce en modificaciones reológicas de las masas (Zhao, Hawkesford y McGrath, 1999; Kamal et al., 2009).

El trigo se clasifica de acuerdo a la estación de cultivo, color, dureza, textura del endospermo y contenido proteico (Gómez- Pallarés et al., 2007). Los trigos que se siembran en otoño, se cosechan al inicio del verano y son conocidos como trigos de ciclo largo. Los trigos de ciclo corto se siembran en primavera y se cosechan a finales de verano; estos tienen rendimientos menores que los trigos de invierno pero presentan la ventaja de tener mayor contenido de gluten y fuerza proteica, lo que les confiere mejores propiedades para la panificación (Altenbach et al., 2003).

La dureza del trigo está relacionada con la forma en la que el endospermo se rompe (Campbell, Fang y Muhamad, 2007) y es lo que le otorga la calidad harinera, ya que a mayor dureza, mayor es el contenido proteico (Chang et al., 2006). Los trigos duros producen una harina con granulometría amplia, mientras que los trigos blandos producen una harina muy fina. El trigo más duro es de la especie Triticum durum, cuya harina se usa para fabricar pastas (Dendy y Dobraszczyk, 2004; Turnbull y Rahman, 2002).

En México, los trigos se clasifican de acuerdo a su funcionalidad en fuertes, medio fuertes, suaves, tenaces y cristalinos. En la región noroeste del país, Sonora y norte de Sinaloa, se siembran los trigos panaderos y cristalinos (que corresponden a los trigos fuertes, medio fuertes, tenaces y cristalinos), mientras que los trigos suaves se cultivan en el estado de Guanajuato (región del Bajío) y en el estado de Chihuahua (Serna-Saldívar, 2009).

1.2. Estructura y composición del grano de trigo

Las variedades del trigo actuales (Triticum aestivum) han evolucionado por diferenciación genómica y por cruzamiento con trigos silvestres. Las tres especies originales, conocidas como trigos antiguos, son espelta (Triticum spelta), farro (Triticum diococcum) y escanda (Triticum monococcum). Una ventaja de los trigos antiguos es que retienen su cascarilla, que protege al grano maduro del ataque de insectos y se elimina antes del procesamiento del grano; en cambio, en los granos actuales esta cascarilla se trilla fácilmente durante la cosecha (Collar, 2007).

El fruto de los cereales se denomina botánicamente cariópside. El grano de trigo tiene una forma ovalada y sus extremos redondeados, sobresaliendo el germen en uno de ellos y en el otro, un mechón de finos pelos (pincel). En la Fig. 1 puede observarse que el trigo está formado por tres partes principales: endospermo, salvado y germen (Serna-Saldívar, 2009). La mayor parte del salvado la constituye el pericarpio que está formado por la epidermis, el epicarpio y el endocarpio; contiene vitaminas, minerales y gran cantidad de proteínas. Entre el salvado y el endospermo se encuentra la capa de aleurona que cumple un papel muy importante en el desarrollo del embrión durante la germinación. El endospermo, por su parte, es el depósito de alimento para el embrión y constituye el 82% del peso del grano (Ritchie, Swanson y Gilroy, 2000; Mabile, Grill y Abecassis, 2001; Shewry y Halford, 2002). Está compuesto por almidón, proteínas y en menor proporción celulosas; además, tiene una baja proporción de vitaminas y minerales. El germen de trigo es rico en vitaminas del grupo B y E, y también contiene grasas, proteínas y minerales (Shewry y Halford, 2002; Gómez-Pallarés et al., 2007).

La composición del grano de trigo puede variar de acuerdo a la región, condiciones de cultivo y año de cosecha. También la calidad y cantidad de nutrientes dependen de las especies de los trigos que influirán en sus propiedades nutritivas y funcionales (Kamal et al., 2009; Serna-Saldívar, 2009). En general, el grano maduro está compuesto por hidratos de carbono, compuestos nitrogenados, lípidos, minerales y agua, junto con trazas de vitaminas, enzimas y otras sustancias (Kent, 1987; Altenbach et al., 2003).

Los hidratos de carbono totales constituyen del 77 al 87% de la materia seca total y son los componentes más importantes, de los cuales aproximadamente el 64% es almidón y el resto, carbohidratos solubles e insolubles que constituyen la fibra dietética (Kent, 1987). La fracción insoluble está compuesta principalmente por celulosa y hemicelulosa, encontrándose en las envolturas del grano y no es digerible para el

Z.N.

M.E.

y L.R. Hernández Temas Selectos de Ingeniería de Alimentos 8 - 1 (2014): 79 - 93

humano, aunque puede ser desdoblada en el intestino grueso. Este desdoblamiento, llamado hidrólisis, baja el pH intestinal por la producción de ácidos grasos de cadena corta y es lo que se asocia a la disminución del colesterol en sangre; esta fibra baja, además, la disponibilidad de los minerales y ayuda a reducir la absorción de glucosa, lo que beneficia a los diabéticos (Serna-Saldívar, 2009). La fibra dietética soluble está formada por β-glucanos y pentosanos que, principalmente, se encuentran en las paredes celulares. Alteran el tránsito intestinal y la absorción de nutrientes, activando los movimientos peristálticos que previenen o combaten la constipación (Wang, vanVliet y Hamer, 2002; Philippe, Saulnie y Guillon, 2006).

El almidón es el hidrato de carbono más importante en todos los cereales, ya que la energía es almacenada de esta forma (Kent, 1987). El alto contenido de almidón en el trigo y en los cereales en general, hace que sean considerados fuente de energía en la dieta, además, es totalmente digerible en el sistema digestivo (Ao y Jane, 2007; Badui, 2013).

Las proteínas que acompañan al almidón, tienen una buena tasa de digestibilidad; sin embargo, dado su bajo porcentaje (8 al 16%) y a la ausencia de los aminoácidos esenciales lisina, triptófano y treonina, se considera al trigo de calidad proteica baja para las primeras etapas de vida del humano. La cantidad de proteínas en el grano depende de las condiciones ambientales y de su genotipo, el mayor porcentaje está en el germen y la capa de aleurona (Wardlaw y Wrigley, 1994; Daniel y Triboi, 2000; Mikhaylenko, Czuchajowska, Baik y Kidwell, 2000; Serna-Saldívar, 2009). Las proteínas pueden dividirse en dos grupos: las proteínas del gluten o de almacenamiento y las proteínas que no forman gluten, englobando a la mayoría de las enzimas. Las albúminas y globulinas se encuentran en el germen, el salvado y la aleurona, y en menor proporción en el endospermo, conteniendo un buen balance de aminoácidos. Las prolaminas y gluteninas se encuentran en el endospermo, distinguiéndose por sus altas concentraciones de glutamina y prolina (Dupont y Altenbach, 2003; Gómez- Pallarés et al., 2007).

Endospermo
Pigmento
Afrecho o salvado
Germen
Pelusa
Germen
Fig. 1. Estructura de un grano de trigo (canimolt, 2005).

Temas Selectos de Ingeniería de Alimentos 8 - 1 (2014): 79 - 93

Las proteínas son las que otorgan principalmente la capacidad de esponjamiento de la harina de trigo, además del almidón y los lípidos. Las glutelinas y gliadinas forman el gluten que, junto con los lípidos y el agua, son responsables de las propiedades de viscoelasticidad y cohesividad de la masa panadera. El gluten, por su alto contenido en prolina (14% del total de aminoácidos) no posee una conformación helicoidal, favoreciendo que los grupos amida de la glutamina (37% del total de aminoácidos) formen puentes de hidrógeno intra e intermoleculares; sumado a esto, el gluten también es rico en cisteína que permite la formación de puentes disulfuro inter e intramoleculares, los cuales se forman durante el amasado. Las interacciones hidrofóbicas e hidrofílicas ayudan a que los polímeros se orienten longitudinalmente originando una red elástica y cohesiva para la formación del esponjado producido por la generación de CO2, producto de la fermentación (Wieser, 2007; Kamal et al., 2009; Badui, 2013).

Las enzimas, además del gluten, sobresalen por su importancia funcional. Las principales enzimas hidrolíticas que actúan sobre los hidratos de carbono son α- y β-amilasas, celulasas, enzimas desramificantes, β-gluconasas y glucosidasas. El trigo también contiene enzimas proteolíticas (endo y exopeptidasas), lipasas, esterasas, fosfatasas, fitasas y lipooxigenasas. Así también, se encuentran presentes varios tipos de lípidos como ácidos grasos, glicéridos simples, galactoglicéridos, fosfoglicéridos, esteroles, esfingolípidos, carotenoides, dioles, tocoferoles e hidrocarburos. De ácidos grasos saturados se encuentran presentes del 11 al 26% y de no saturados del 72 al 85% del total de lípidos (Gómez-Pallarés et al., 2007). A pesar de que durante la molienda muchos de los nutrientes se pierden, el trigo es considerado fuente importante de algunas vitaminas y minerales que se encuentran en el germen, pericarpio y la aleurona (Liu et al., 2006; Serna-Saldívar, 2009; Zhao et al., 2009). Debido a esta pérdida, las harinas deben ser adicionadas con hierro y vitaminas del complejo B, siendo esta una actividad regulada por ley (Jones, 2006; Gómez- Pallarés et al., 2007; Rosell, 2003; 2004; 2007; Liyana-Pathlrana y Shahidi, 2007).

1.3. Tratamiento post-cosecha y almacenamiento

El trigo debe pasar por varias etapas desde su cosecha hasta llegar a ser consumido. Esta serie o cadena de pasos se conocen como tratamientos post-cosecha y consisten principalmente en tres bloques (Dendy y Dobraszczyk, 2004):

1. Desde la cosecha hasta el almacenado: contempla todas las acciones que permiten extraer y estabilizar el grano.

2. Procesado preliminar: acciones que permiten la obtención de productos intermedios (harinas).

3. Procesado secundario: acciones que transforman los productos intermedios en finales (elaboración de pan y muchos otros).

La cosecha consiste en la recolección de la planta completa. Por ello, es necesario después separar el grano de trigo del resto de sus partes y esto se lleva a cabo en dos operaciones: la trilla y el aventado. Actualmente, hay trilladoras mecánicas que realizan ambos procesos al mismo tiempo. También existen cosechadoras modernas que son capaces de realizar todas las operaciones de cosecha, trilla y aventado al mismo tiempo e incluso el de ensacar la paja (Dendy y Dobraszczyk, 2004).

Una vez que el trigo fue trillado y aventado, el grano debe ser almacenado. El principal factor que debe controlarse en el almacenamiento es el porcentaje de humedad del grano, el cual debe estar entre 11 y 14% para evitar el crecimiento de hongos y la germinación del grano; por este motivo se debe efectuar el secado del mismo (Serna-Saldívar, 2009). El secado del grano se realiza de diferentes formas que pueden ser simples o sofisticadas, tales como exposición al sol o uso de equipos de cierta complejidad (Dendy y Dobraszczyk, 2004).

Hay que tratar de evitar el secado por calentamiento ya que las proteínas pueden alterarse y, por consiguiente, obtener una harina de baja calidad (Kent, 1987; Gaines, Finney y Rubenthaler, 1996; Crowley, Schober, Clarke y Arendt, 2002).

Además de controlar la humedad, es importante el control de las plagas con agentes químicos o biológicos. Se calcula que en América Latina las pérdidas durante el almacenamiento varían del 25 al 50% debido a problemas climáticos que dificultan la reducción de la humedad del grano y el control de las plagas (Evans, 2001; Serna-Saldívar, 2009).

Otros factores a tener en cuenta durante el almacenamiento son la atmósfera y temperatura dentro del almacén. Para almacenar granos, existen varias formas, diseños y tipos de almacenes. En general, pueden clasificarse en bodegas al aire libre, silos y elevadores. En el almacén al aire libre, el grano es acumulado en un piso y expuesto a la intemperie, suele tener forma de loma para minimizar los daños por lluvias (Evans, 2001). Se acostumbra protegerlo en las épocas de lluvias con plástico. Por otra parte, los silos son depósitos de formas hexagonal, rectangular o circular con diámetros de dos a diez metros, construidos con cemento, metal o asbesto y su capacidad suele ser para almacenar de 50 a 1,000 toneladas de grano. Los elevadores son los almacenes más conocidos y se usan para el almacenamiento a granel. Consisten en estruc-

turas destinadas a soportar los volúmenes de granos con sistemas de carga y descarga mecanizados. La capacidad de estos suele variar entre 5,000 y 30,000 toneladas (Owens, 2001; Serna-Saldívar, 2009).

2. Microorganismos que atacan al trigo

Los hongos afectan a los granos de trigo tanto en el campo como durante su almacenamiento. El género que principalmente ataca al grano de trigo en campo es el Fusarium, mientras que en almacén es atacado principalmente por especies de los géneros Aspergillus y Penicillum. Las principales micotoxinas que producen algunas especies de estos hongos son las aflatoxinas, las cuales son sustancias que causan graves enfermedades en humanos y animales, son potentes agentes cancerígenos y mutagénicos. Un estudio reciente ha reportado la identificación del sitio en el que las aflatoxinas parecen causar una mutación en el adn de los humanos, encontrando también que estas toxinas pueden desencadenar problemas en el sistema inmune del hígado (Trucksess, 2012).

2.1.

Fusarium

Los hongos del género Fusarium, considerados mayoritariamente como hongos de campo, contaminan al grano durante su desarrollo y maduración, requiriendo para su crecimiento óptimo una humedad del grano entre 20 y 25% (Stenglein, 2009). Este género de hongos se presenta generalmente en trigo y otros cereales como maíz, sorgo y avena (Eifler, Martinelli, Santonico, Capuano y Schild, 2011). Es importante desde el punto de vista fitosanitario ya que producen muchas enfermedades a las plantas, acarreando importantes consecuencias económicas, llegando a reducir la producción hasta en un 40% (Bottalico y Perrone, 2002). Una enfermedad muy extendida a nivel mundial es la fusariosis de la espiga, perjudicial para el trigo y otros cereales, ya que disminuye el rendimiento y la calidad del grano (Liddell, 2003; Tančinová, Piovarčiová, Dovičičová y Felsociová, 2009).

Las especies de Fusarium son patógenos especialmente perjudiciales debido a sus metabolitos secundarios o toxinas que se extienden a los productos alimenticios, convirtiéndose así en un riesgo para la salud de los animales y humanos (Eifler et al., 2011). Algunas especies de este género producen toxinas como tricotecenos, zearalenona y fumonisina (Kimura, Tokai, Takahashi-Ando, Ohsato y Fujimura, 2007; Yli-Mattila, 2010). Reddy et al. (2010) sostienen que las fumonisinas pueden causar enfermedades en humanos y animales si consumen alimentos contaminados. El deoxinivalenol, conocido como DON, es la toxina más importante y pertenece a los tricotece-

nos tipo B (jecfa, 2010). Este metabolito ya presentó micotoxicosis en humanos y animales de granja, lo que provocó que en muchos países se establecieran límites para su presencia (FAO, 2004). Este metabolito es producido, generalmente, antes de la cosecha por F. graminearum (Magan, Sanchis y Aldred, 2004). Por otra parte, en Asia se detectó otro tricoteceno del tipo B llamado nivalenol (niv); aunque no existe regulación para el NIV, algunos estudios han determinado que el don y el NIV tienen toxicidades similares (Eriksen, Pettersson y Lundh, 2004), mientras que otros han determinado que el niv tiene una mayor toxicidad (Takahashi et al., 2008). Otra micotoxina denominada zearalenona (zea), es producida generalmente después de la cosecha por F. poae mientras que las toxinas T-2 y HT-2 son producidas por F. langesethiae (Magan et al., 2004).

2.2. Aspergillus

Las especies de Aspergillus requieren una humedad del grano entre 15 y 20 % así como condiciones ambientales de 25°C y humedad relativa de 70%. Estos son responsables del deterioro de los alimentos y los piensos (Abarc, Bragulat, Castella y Cabanes, 1994) y también son productoras de varias toxinas. Los metabolitos secundarios que producen son las aflatoxinas y ocratoxina A (ota), siendo las especies productoras: A. flavus, A. parasiticus, A. nomius y A. ochraceus (Fente, Jaimez, Vizquez, Franco y Cepeda, 2001). El nombre aflatoxina proviene de Aspergillus flavus por el hecho de que fueron reconocidas por primera vez en los cacahuates contaminados con esta especie (Trucksess, 2012), son potentes carcinógenos para los animales y los seres humanos (Dvorackova, 1990).

Las aflatoxinas se dividen en varias clases: B1, B2, G1, G2 y M1, siendo las principales las aflatoxinas AFB1, AFB2, AFG1 y AFG2 (Serna-Saldívar, 2009). La aflatoxina M1 (AFM1) es producida por los mamíferos después del consumo de alimentos contaminados con aflatoxina B1 (Trucksess, 2012). Por otra parte, la OTA produce efectos nefrotóxicos, inmunotóxicos, teratogénicos y cancerígenos (Höhler, 1998). Las aflatoxinas más comunes presentes en trigo son B1 y B2 provenientes de A. flavus, el cual requiere para su crecimiento una humedad relativa alta (85%) o un alto contenido de humedad en el grano (18.3 a 18.5%). Mientras se encuentra en crecimiento, A. flavus, crea focos de calentamiento de hasta 55°C. A. candidus también produce focos de calentamiento, sin embargo, esta especie no produce toxinas aunque suelen dañar y decolorar el germen ocasionando pudrición (Serna-Saldívar, 2009).

A. glaucus es la especie que se encuentra comúnmente en el trigo durante su almacenamiento; se caracteriza por crecer en granos con bajo contenido de humedad (14 a 15%) y por

resistir temperaturas frías (25°C). Este hongo es el responsable de dañar y decolorar el germen del grano y no se le conocen efectos toxicológicos (Serna-Saldívar, 2009).

2.3. Penicillum

Los hongos del género Penicillum son saprófitos y suelen crecer en sustratos variados. Estos hongos matan y decoloran el germen; resisten bajas temperaturas y producen toxinas como citreoviridin, producida por P. toxicarium. A esta toxina se le asocian los síntomas del beri-beri cardíaco (Serna-Saldívar, 2009). Aunque la ota fue aislada por primera vez de Aspergillus ochraceus en África del Sur, ha sido encontrada también en cereales infectados con P. verrucosum (Adams y Moss, 1997).

La OTA se presenta en la etapa de la post-cosecha en los climas frescos y húmedos del norte de Europa (Magan et al., 2004).

El secado del grano de trigo antes del almacenamiento es de suma importancia para evitar que P. verrucosum llegue a establecerse, ya que es una especie muy competitiva y puede llegar a dominar el grano almacenado cuando tiene las condiciones ambientales apropiadas (Magan, Hope, Cairns y Aldred, 2003). Algunas publicaciones sugieren que la presencia de P. verrucosum es un síntoma de la presencia de la ota (Ramakrishna, Lacey y Smith, 1996; Lund y Frisvad, 2003; Lindblat, Johnsson, Jonsson, Lindqvist y Olsen, 2004); por ejemplo Lund y Frisvad (2003) encontraron que más del 7% de las muestras de granos contaminadas por este microorganismo presentaban ota. Los factores abióticos más importantes que influyen en el crecimiento de la ota son la temperatura, humedad relativa del ambiente alta, cuando el grano está húmedo y la composición del gas (relación de CO2 y O2) (Magan et al., 2004; Cairns-Fuller, Aldred y Magan, 2005).

3. Pesticidas sintéticos usados en trigo

Como solución a los problemas que se presentan, la agricultura moderna depende mucho del uso de agroquímicos para obtener buenos rendimientos en los campos de cultivo. No solamente con el uso de fertilizantes, que tratan de recuperar los nutrientes del suelo en zonas de cultivos intensivos, sino también con la aplicación de pesticidas, que buscan proteger los cultivos, tanto aquellos que están en campo como los almacenados, del ataque de plagas. Estas plagas pueden ser de cualquier índole, desde mamíferos pequeños hasta aves y microorganismos.

El término pesticida se define como una sustancia química, agente biológico, antimicrobiano o desinfectante utilizado contra pestes que incluyen a insectos, plantas patógenas, malezas, moluscos, pájaros, mamíferos, pescados, nemátodos

y microbios que compiten con los humanos por comida, destruyen propiedades, tienden a esparcirse, son vectores de enfermedades o simplemente una molestia (Erdman, 2004).

Así por ejemplo, una aplicación de los fungicidas tebuconazol, epoxiconazol, bromuconazol o procloraz al grano de trigo duro, al inicio de la etapa de floración, controla la incidencia y severidad de la fusariosis de la espiga. Otro ejemplo puede ser controlar la producción de toxinas atacando al organismo productor como es el caso del tricoteceno DON que, al aplicar tebuconazol, bromuconazol o procloraz lo reducen de 43 a 96% (Menniti, Pancaldi, Maccaferri, y Casalini, 2003).

El ser humano, con el afán de proteger su producción agrícola, ha hecho uso y abuso de los pesticidas. Esto ha ocasionado que las plagas adquieran rápidamente resistencia a los plaguicidas utilizados lo que, a su vez, origina que se aumente la dosis de aplicación hasta el punto de hacer ineficiente dicho pesticida y tener la necesidad de buscar otro más potente. En la actualidad, se utilizan pesticidas muy potentes que no sólo arrasan con la plaga sino con muchos otros organismos benéficos, ocasionando desequilibrios en el ecosistema al interferir en la cadena trófica. Otra particularidad de estos pesticidas es su persistencia y toxicidad, lo que origina complicaciones no solo en la zona de cultivo sino también a varios kilómetros de distancia, ya que la sustancia puede atravesar el suelo, alcanzar las napas freáticas y ser transportada por esta a lugares distantes contaminando lagos y mares. Más aún, la contaminación con estas sustancias puede llegar hasta los alimentos que consume el ser humano, sean estos naturales o procesados.

En este sentido, se han reportado estudios donde se vinculan diferentes pesticidas no organoclorados como causa de problemas reproductivos tales como bajo peso al nacer, baja circunferencia craneana, hipospadias, defectos en el tubo neural y hernia congénita del diafragma. Asimismo, pesticidas en general pueden afectar considerablemente el neurodesarrollo del niño desde su nacimiento hasta la adolescencia; la exposición de la madre a pesticidas organofosforados, organoclorados y carbamatos durante el embarazo, está asociado con una amplia gama de enfermedades respiratorias, incluida el asma (Sanborn, Bassil, Vakil, Kerr y Ragan, 2012).

Según la Comisión Intersecretarial para el Control del Proceso y Uso de Plaguicidas, Fertilizantes y Sustancias Tóxicas (cicoplafest, 2004) existen diferentes formas de clasificar un pesticida: según su concentración, en técnico y formulado; según el organismo que controla, en insecticida, acaricida, fungicida, bactericida, antibiótico, herbicida, rodenticida y molusquicida; según el modo de acción, en sistémico, de con-

Z.N.

Tabla I. Clasificación de los plaguicidas de acuerdo a su categoría de toxicidad*

Plaguicidas

Extremadamente tóxicos

Categorías Vía oral (DL50) Vía cutánea (DL50)

I Hasta 5 ppm

Hasta 50 ppm

Altamente tóxicos II >5-50 ppm >50 a 200 ppm

Moderadamente tóxicos III >50-300 ppm >200 a 1000 ppm

Ligeramente tóxicos IV >300-2000 ppm >1000 a 2000 ppm

Baja toxicidad V >2000-5000 ppm >2000 a 5000 ppm

*Adaptada de NOM-232-SSA1-2009

Tabla II. Clasificación y características sobresalientes de plaguicidas extremadamente tóxicos (categoría I) y altamente tóxicos (categoría II) utilizados en el trigo

Plaguicida

Aldicarb (Categoría I)

Clasificación según organismo blanco

Clasificación Química

Límite máximo residual (ppm) Efecto sobre la salud Efecto sobre el ambiente

Insecticida Nematicida Carbamato 0.02

Disulfotón (Categoría I) Insecticida Acaricida Organofosforado 0.2

Fipronil (Categoría II)

Lindano (Categoría II)

Insecticida

Organoclorado (Fenilpirazol) 0.002

Debilidad, visión borrosa, dolor de cabeza, lagrimeo, sudoración, síndrome colinérgico, provoca la muerte por paro respiratorio. Altamente tóxico por vía oral y dérmica

Irritante dérmico, ocular y de mucosas, se absorbe rápidamente por la piel. Inhibición de la colinesterasa

Irritante de la piel y ojos

Insecticida Acaricida

Organoclorado 0.01

Oxidemetón-Metilo (Categoría II) Insecticida Acaricida Organofosforado 0.02

Metiocarb (Categoría II) Insecticida Carbamato 0.05

Metomilo (Categoría II) Insecticida Carbamato 2

Irritante dérmico, ocular y de mucosas. Afecta al SNC, hígado, riñón, páncreas, corazón, testículos y posible carcinógeno

Neurotóxico, inhibidor de la colinesterasa. Irritante dérmico y ocular

Temblor, mareo, náuseas, salivación, sudoración, convulsiones

Inhibidor de la colinesterasa. Irritante ocular severo

Poco persistente. Altamente tóxico a aves y abejas

Poco persistente. Altamente tóxico a organismos acuáticos. Tóxico para abejas, aves y demás vida silvestre

Moderadamente persistente. Tóxico para abejas, peces e invertebrados acuáticos

Altamente persistente, puede ser lixiviado hasta las aguas subterráneas, puede almacenarse en las raíces de las plantas. Se bioacumula y biomagnifica

Ligeramente persistente. Tóxico para abejas y moderadamente tóxico para aves y peces

Se hidroliza fácilmente en suelo. Tóxico para aves, organismos acuáticos y abejas

Persistencia moderada. Altamente tóxico a aves, mamíferos y organismos acuáticos (CICOPLAFEST, 2004)

Z.N.

tacto, de ingestión, fumigante, repelente y defoliante; según su composición química, en inorgánicos, orgánicos (incluidos los botánicos) y biológicos. Por último, pueden clasificarse según el uso al que se destinan, en agrícolas, forestales, urbanos, para jardinería, pecuarios, domésticos e industriales. Las clasificaciones más utilizadas son: según el organismo al que controlan y según su composición química.

Entre los parámetros a evaluar de un plaguicida se encuentra su toxicidad aguda, la cual se divide en cinco categorías según la Norma Oficial Mexicana (NOM-232-SSA1-2009, 2009) como se ve en la tabla I.

Asimismo, otro parámetro a tener en cuenta es la persistencia en el ambiente, habiendo cinco categorías: ligeramente persistentes (menos de cuatro semanas), poco persistentes (de 4 a 26 semanas), moderadamente persistentes (de 27 a 52 semanas), altamente persistentes (de 1 a menos de 20 años) y permanentes (más de 20 años) (cicoplafest, 2004).

Para completar la información de un plaguicida, además de indicar cómo afecta al ser humano y cuáles son las medidas a tomar en caso de intoxicación, se debe evaluar su impacto en el medio ambiente, es decir, si se bioacumula o biomagnifica a lo largo de la cadena trófica, si afecta otras formas de vida como peces y demás organismos acuáticos, a la vida silvestre y a las abejas y otros insectos polinizadores. En las tablas II-IV, se resumen las características principales de los plaguicidas utilizados en trigo, tanto en campo como en almacenamiento, las cuales se encuentran divididas de acuerdo a sus categorías de toxicidad. Salvo que se indique lo contrario, los datos fueron tomados del Catálogo de Plaguicidas (cicoplafest, 2004).

De las tablas antes mencionadas puede verse que, de los plaguicidas utilizados normalmente en trigo, los más tóxicos son algunos insecticidas, nematicidas y acaricidas, que se encuentran en las categorías de toxicidad I y II de los cuales, el Aldicarb es un plaguicida de uso restringido en México de acuerdo al CATÁLOGO OFICIAL DE PLAGUICIDAS (1991). Muchos insecticidas son no solo perjudiciales para la salud humana, sino también para insectos benéficos, aves y organismos acuáticos, donde algunos se bioacumulan y biomagnifican siendo, por esto, muy peligrosos para los seres humanos de una manera indirecta.

En cuanto a los fungicidas, si bien se encuentran en las categorías de toxicidad III y IV, no significa que sean inofensivos para la salud humana, como se ve en la columna de efectos sobre la salud, ya que pueden atacar al sistema nervioso central, ocasionar problemas sanguíneos e incluso podrían tener efectos carcinogénicos. Además, sus efectos sobre el ambiente son indeseados, al atacar a la fauna acuática, aves e insectos

benéficos como las abejas; algunos presentan bioacumulación en peces, lo que podría ser altamente peligroso para los humanos si ingirieran estos peces con altas concentraciones de fungicida en su organismo. Por otra parte, la persistencia es otro factor importante, ya que son de poco a moderadamente persistentes, lo que significaría una permanencia de un mes a un año en el grano de trigo; esto implica una gran responsabilidad de los productores y comercializadores de observar este tiempo antes de poner a la venta sus productos para no exponer al consumidor a estas sustancias.

Conclusiones y comentarios finales

El trigo es de los cereales más cultivados alrededor del mundo y el que da origen a más productos derivados. En la producción de este, lo que más preocupa es la infección por hongos, los cuales se combaten principalmente con pesticidas sintéticos, antes y durante el almacenamiento. Esto provoca numerosos problemas a la salud humana, desde enfermedades crónicas neurológicas, alteraciones hormonales hasta la muerte; además, en el medio ambiente intervienen en la cadena trófica de diferentes ecosistemas.

Como parte de las tendencias actuales para una alimentación más saludable, la protección de los cultivos y sus productos juega un papel muy importante, por ello, está tomando impulso el uso de productos naturales, los cuales han mostrado tener una amplia gama de actividades biológicas que pueden utilizarse efectivamente en la agricultura.

Agradecimientos

Z. N. Juárez agradece al Consejo Nacional de Ciencia y Tecnología (conacyt) y a la Universidad de las Américas Puebla (udlap) por el apoyo brindado para sus estudios de doctorado.

Z.N.

y L.R.

Temas Selectos de Ingeniería de Alimentos 8 - 1 (2014): 79 - 93

Tabla III. Clasificación y características sobresalientes de plaguicidas moderadamente tóxicos (categoría III) utilizados en el trigo

Plaguicida

Clasificación según organismo blanco

Imazalil Fungicida

Clasificación química

Límite máximo residual (ppm)

Organoclorado (Imidazol) 0.01

Clordano Insecticida Organoclorado 0.02

Propiconazol Fungicida Organoclorado (Triazol) 0.02

Dimetoato Insecticida Organofosforado 0.05

Cyalotrina Insecticida Piretroide 0.05

Tiacloprid Insecticida Acaricida Organoclorado (Cianamida) 0.1

Bioresmetrina Insecticida Piretroide 1

Carbarilo Insecticida Acaricida Carbamato 2

Efecto sobre la salud

Mala coordinación, reducción presión arterial, temblores, vómitos, irritación piel y ojos

Convulsiones, náuseas, vómito, agitación, cansancio, confusión, dolor de cabeza, problemas de visión, irritación dérmica y ocular

Irritante dérmico, ocular y del tracto digestivo

Irritante ocular, náuseas, inhibe la colinesterasa, salivación, mareos, fallo respiratorio, eventualmente muerte

Irritante para piel y ojos. Efectos sobre el SNC

Irritante ocular y dérmico, efectos sobre el SNC, temblor, disnea

Irrita ojos y piel. Efectos sobre el SNC, mareos, convulsiones, ataxia, edema pulmonar, excitación, temblores

Quemaduras a piel y ojos. Tóxico para el sistema nervioso y aparato respiratorio, produce náuseas, salivación, sudoración, visión borrosa y convulsiones. Posibles efectos teratogénicos

Efecto sobre el ambiente

Moderadamente persistente. Tóxico para peces

Altamente persistente (décadas). Contamina sitios lejanos. Se bioacumula y biomagnifica. Muy tóxico para organismos silvestres y moderadamente tóxico para aves y peces

Ligeramente persistente. Tóxico para peces

Poco persistente. De moderado a altamente tóxico para organismos acuáticos y aves. Muy tóxico para abejas

Poco persistente. Muy tóxico para peces y abejas. Poco tóxico para aves

Ligeramente persistente. Tóxico para peces

Ligeramente persistente. Tóxico para abejas y peces

Ligeramente persistente. Letal para abejas y otros insectos benéficos, muy tóxico para peces e invertebrados acuáticos

Cipermetrina Insecticida Acaricida Piretroide 2

2,4-D Herbicida Organoclorado (Clorofenoxi) 2

Irritante ocular, dérmico y del tracto respiratorio. Efectos sobre el SNC con manifestaciones de ardor, escozor y comezón en la cara. Hepatotóxico y posible carcinógeno

Irritante dérmico, somnolencia, tos, mareo, convulsiones, coma, daño hepático y renal, polineuritis, efectos sobre el SNC. Mala coordinación, pérdida de reflejos, náuseas, vómito, incontinencia. Posibles efectos reproductivos y teratogénicos

Ligeramente persistente. Muy tóxico a organismos acuáticos y abejas

Diquat Herbicida Bipiridilo 2

(CICOPLAFEST, 2004)

Muy irritante de ojos y piel. Daño en hígado, cerebro y pulmón. Provoca cataratas. Posibles efectos teratogénicos

Poco persistente. Tóxico para organismos acuáticos y terrestres. Altera el ecosistema terrestre

Altamente persistente. Tóxico a aves y organismos acuáticos

Tabla IV. Clasificación y características sobresalientes de plaguicidas ligeramente tóxicos (categoría IV) utilizados en el trigo

Plaguicida

Clasificación según organismo blanco

Quintoceno Fungicida

Clasificación química

Límite máximo residual (ppm)

Organoclorado (Clorobenceno) 0.01

Efecto sobre la salud Efecto sobre el ambiente

Irritación piel y ojos, fatiga, mareos, letargia, pérdida del conocimiento, anoxia, efectos hemáticos y hepáticos

Moderadamente persistente. Altamente bioacumulable en organismos acuáticos. Altamente tóxico para peces

Clotianidin Insecticida Organoclorado (Nitroguanidina) 0.02 No se encontraron efectos Tóxico para abejas***

Difenoconazol Fungicida Organoclorado (Triazol) 0.02

Kresoxim-Metilo Fungicida Estrobilurina 0.05

Carbendazim Fungicida Benzimidazol 0.05

Irritante para ojos y piel. Peligroso si se ingiere**

Irritación de la mucosa y piel. Posible efecto carcinogénico*

Poco persistente. Tóxico para organismos acuáticos. Ligeramente tóxico para aves y abejas

Irritante ocular, dérmico y de mucosas Poco persistente. Tóxico para organismos acuáticos

Tiametoxam Insecticida Organoclorado 0.05 Irritante para ojos

Bitertanol Fungicida Triazol 0.05 Hiperactividad seguida de sedación Poco persistente. Tóxico para peces

Famoxadona Fungicida Oxazolidinediona 0.1

Fenbuconazol Fungicida Organoclorado (Triazol) 0.1

Bentazona Herbicida Tiadiazina 0.1

Tebuconazol Fungicida Organoclorado (Benzimidazol) 0.15

Trifloxistrobin Fungicida Estrobilurina 0.2

Dicamba Herbicida Organoclorado (Sal del ácido benzoico) 2

Clorpirifos-Metilo Insecticida Organofosforado 10

Irritante dérmico, ocular y de las vías respiratorias superiores Tóxico para organismos acuáticos

Irrita piel y ojos, produce ataxia, pasividad, postración, espalda arqueada, lagrimeo, salivación, efectos sobre el aparato respiratorio y gastrointestinal

Aumenta el tiempo de coagulación sanguínea, irrita piel, tracto respiratorio y ojos

Irrita piel y mucosa, hiperactividad seguida de sedación, ataxia

Altamente tóxico para peces y aves

Poco persistente. Ligeramente tóxico para aves y mamíferos

Poco persistente. Poco tóxico para aves, abejas y peces

Irrita piel y ojos. Alergia a personas sensibles Tóxico a peces e invertebrados acuáticos

Irritante dérmico y corrosivo ocular con daño permanente Poco persistente

Irritante ocular, efectos colinérgicos y del SNC. Neurotóxico

Ligeramente persistente. Tóxico a peces y crustáceos y muy tóxico a abejas

Malation Insecticida

Organofosforado 10

Irrita piel, mucosas y tracto respiratorio. Produce contracción de la pupila, dolor de cabeza, escalofríos, vista borrosa, hiperirritabilidad, hipersensibilidad, pérdida del control de esfínteres, náuseas, mareos, vómito, edema pulmonar, ataxia, pérdida del conocimiento, convulsiones. Inhibición de la colinesterasa plasmática y cerebral. Daño hepático

*(TOXNET, 2014); **(Chemical Book, 2014); ***( Di Prisco et al , 2013).

Ligeramente persistente. La toxicidad en peces depende de la especie. Muy tóxico a abejas y aves

Z.N. Juárez, M.E. Bárcenas-Pozos y L.R. Hernández Temas Selectos de Ingeniería de Alimentos 8 - 1 (2014): 79 - 93

Referencias

Abarc, M. L., Bragulat, M. R., Castella, G. y Cabanes, F. J. (1994). Mycoflora and aflatoxin producing strains in animal mixed feeds. Journal of Food Protection, 57, 256-258.

Adams, M. R. y Moss, M. O. (1997). Microbiología de los alimentos. Zaragoza, España: Editorial Acribia, S.A. Altenbach, S. B., DuPont, F. M., Kothari, K. M., Chan, R., Johnson, E. L. y Lieu, D. (2003). Temperature, water and fertilizer influence the timing of key events during grain development in US Spring Wheat. Journal of Cereal Science, 37, 9-20.

Ao, Z. y Jane, J. L. (2007). Characterization and modeling of the A and B granule starches of wheat, triticale, and barley. Carbohydrate Polymers, 67, 46-55.

Badui, S. (2013). Química de los alimentos (5a. ed). México: Pearson.

Bottalico, A. y Perrone, G. (2002). Toxigenic Fusarium species and mycotoxins associated with head blight in small grains cereals in Europe. European Journal of Plant Pathology, 108, 611-624.

Cairns-Fuller, V., Aldred, D. y Magan, N. (2005). Water, temperature and gas composition interactions affect growth and ochratoxin A production by isolates of Penicillium verrucosum on wheat grain. Journal of Applied Microbiology, 99, 1215-1221.

Campbell, G. M., Fang, C. y Muhamad, I. I. (2007). On predicting roller milling performance VI - Effect of kernel hardness and shape on the particle size distribution from first break milling of wheat. Food and Bioproducts Processing, 85, 7-23.

CANIMOLT. Cámara Nacional de la Industria Molinera de Trigo. (2005). Estructura del grano. Recuperado el día 30 de enero del 2014, de Cámara Nacional de la Industria Molinera de Trigo: http://www.canimolt.org/trigo/estructura-del-grano

CATÁLOGO OFICIAL DE PLAGUICIDAS. (1991). Diario Oficial de la Federación. Fecha de publicación: 19 de agosto de 1991. Recuperado el día 20 de enero del 2014 de http:// uninet.mty.itesm.mx/legis-demo/cico/cata001.txt

Chang, C., Zhang, H., Xu, J., Li, W., Liu, G., You, M., Li, B. (2006). Identification of allelic variations of puroindoline genes controlling grain hardness in wheat using a modified denaturing PAGE. Euphytica, 152, 225-234.

Chemical Book. (2014). CAS Data Base List. Recuperado el 9 de febrero del 2014 de http://www.chemicalbook.com/ ChemicalProductProperty_EN_CB4740447.htm.

cicoplafest. Comisión Intersecretarial para el Control del Proceso y Uso de Plaguicidas, Fertilizantes y Sustancias Tóxicas. (2004). Catálogo de Plaguicidas. México: S.S.; SAGARPA; SEMARNAT; SE. Collar, C. (2007). Cereales menores: Avena, sorgo, mijo En A. E., León, y C. M., Rosell, De tales harinas tales panes. Granos, harinas y productos de panificación en Iberoamérica (Capítulo 5, págs. 195-242). Córdoba, Argentina: Ediciones Báez.

Crowley, P., Schober, T. J., Clarke, C. J. y Arendt, E. K. (2002). The effect of storage time on textural and crumb grain characteristics of sourdough wheat bread. European Food Research Technology, 214, 489-496.

Daniel, C. y Triboi, E. (2000). Effect of temperature and Nitrogen nutrition on the grain composition of winter wheat: effects on gliadin content and composition. Journal of Cereal Science, 32, 45-56.

Dendy, D. A. V. y Dobraszczyk, B. J. (2004). Cereales y productos derivados. Química y tecnología. Zaragoza, España: Acribia.

Di Prisco, G., Cavaliere, V., Annoscia, D., Varricchio, P., Caprio, E., Nazzi, F., Gargiulo, G. y Pennacchio, F. (2013). Neonicotinoid clothianidin adversely affects insect immunity and promotes replication of a viral pathogen in honey bees. Proceedings of the National Academy of Sciences of the United States of America, 110, 18466-18471.

Dupont, F. M. y Altenbach, S. B. (2003). Molecular and biochemical impacts of environmental factors on wheat grain development and protein synthesis. Journal of Cereal Science, 38, 133-146.

Dvorackova, I. (1990). Aflatoxins and Human Health. Inc. Boca Raton, Florida, Unites States of America: CRC Press. Eifler, J., Martinelli, E., Santonico, M., Capuano, R. y Schild, D. (2011). Differential detection of potentially hazardous Fusarium species in wheat grains by an electronic nose. PLoS ONE, 6, e21026.

Embaby, E. M., Ayaat-Nahed, M., Abd-El-Hamid, N. H., Abdel-Galil- Mona, M., Yaseen, A. A. y Younos-Marwa, A. (2012). Detection of fungi and mycotoxin affected wheat quality. Journal of Applied Sciences Research, 8, 33823392.

Erdman, A. R. (2004). Insecticides. En R. C., Dart, Medical toxicology (3a. ed., págs. 1475-1496). Philadelphia, United States of America: Lippincott Williams and Wilkins.

Eriksen, G. S., Pettersson, H. y Lundh, T. (2004). Comparative cytotoxicity of deoxynivalenol, nivalenol, their acetylated derivatives and de-epoxy metabolites. Food and

Z.N. Juárez, M.E. Bárcenas-Pozos y L.R. Hernández Temas Selectos de Ingeniería de Alimentos 8 - 1 (2014): 79 - 93

Chemical Toxicology, 42, 619-624.

Evans, E. J. (2001). Cereal production methods. En G., Owens, Cereal processing technology (Capítulo 2, págs. 7-26).

Boca Ratón: CRC Press.

FAO. Food and Agriculture Organization of the United Nations. (2004). Food and nutrition papers 81: Worldwide regulations for mycotoxins in food and feed in 2003. Roma, Italia. Recuperado el día 7 de febrero del 2014, de http:// www.fao.org/docrep/007/y5499e/y5499e00.htm

Fente, C. A., Jaimez, O. J., Vizquez, B. I., Franco, C. M. y Cepeda, A. (2001). A new additive for culture media for rapid determination of aflatoxin-producing Aspergillus strains. Applied and Environmental Microbiology, 67, 4858-4862.

Gaines, C. S., Finney, P. L y Rubenthaler, G. (1996). Milling and baking qualities of some wheat developed for Eastern or Northwestern regions or the United States and grown at both locations. Cereal Chemistry, 73, 521-525.

Gómez-Pallarés, M., León, A. E. y Rosell, C. M. (2007). Trigo. En A. E., León y C. M., Rosell, De tales harinas tales panes. Granos, harinas y productos de panificación en Iberoamérica (Capítulo 1, págs. 17-72). Córdoba, Argentina: Ediciones Báez.

Höhler, D. (1998). Ochratoxin A in food and feed: Occurrence, legislation and mode of action. European Journal of Nutrition (Zeitschrift für Ernährungswissenschaft), 37, 2-12.

JECFA. Joint FAO/WHO Expert Committee on Food Additives. (2010). Summary and conclusions the seventy second meeting of Joint FAO/WHO Expert. (págs. 10-11). Committee on Food Additives (JECFA/72/SC). Roma, Italia. Recuperado el 10 de febrero del 2014, de http://www. who.int/foodsafety/chem/summary72_rev.pdf.

Jones, J. M. (2006). Grain-based foods and health. Cereal Foods World, 51, 108-113.

Kamal, A. H. M., Kim, K. H., Shin, D. H., Seo, H. S., Shin, K. H., Park, C. S., Heo, H. Y. y Woo, S. H. (2009). Proteomics profile of pre-harvest sprouting wheat by using MALDI-TOF Mass Spectrometry. Plant Omics Journal, 2, 110-119.

Kent, N. L. (1987). Tecnología de los cereales. Zaragoza, España: Acribia.

Kimura, M., Tokai, T., Takahashi-Ando, N., Ohsato, S., Fujimura, M. (2007). Molecular and genetic studies of Fusarium trichothecene biosynthesis pathways genes and evolution. Bioscience, Biotechnology and Biochemistry, 71, 2105-2123.

Liddell, C. M. (2003). Systematics of Fusarium species and allies associated with Fusarium head blight. En K. J.,

Leonard y W. R., Bushnell, Fusarium head blight of wheat and barley (págs. 35-43). Saint Paul, Minnesota, United States of America: The American Phytopathological Society.

Lindblat, M., Johnsson, P., Jonsson, N., Lindqvist, R. y Olsen, M. (2004). Redicting noncompliant levels of ochratoxin A in cereal grain from Penicillium verrusocum counts. Journal of Applied Microbiology, 97, 609-616.

Liu, Z. H., Wang, H. Y., Wang, X. E., Zhang, G. P., Chen, P. D. y Liu, D. J. (2006). Genotypic and spike positional difference in grain phytase activity, phytate, inorganic phosphorus, iron, and zinc contents in wheat (Triticum aestivum L.). Journal of Cereal Science, 44, 212-219.

Liyana-Pathlrana, C. M. y Shahidi, F. (2007). Antioxidant and free radical scavenging activities of whole wheat and milling fractions. Food Chemistry, 101, 1151-1157.

Lund, F. y Frisvad, J. C. (2003). Penicillium verrucosum in wheat and barley indicates presence of ochratoxin A. Journal of Applied Microbiology, 95, 1117-1123.

Mabile, F., Grill, J. y Abecassis, J. (2001). Mechanical properties of wheat seed coats. Cereal Chemistry, 78, 231-235.

Magan, N., Hope, R., Cairns, V. y Aldred, D. (2003). Post-harvest fungal ecology: impact of fungal growth and mycotoxin accumulation in stored grain. European Journal of Plant Pathology, 109, 723-730.

Magan, N., Sanchis, V. y Aldred, D. (2004). Role of spoilage fungi in seed deterioration. En D. K., Aurora, Fungal biotechnology in agricultural, food and environmetal applications (págs. 311-323). New York: Marcell Dekker.

Menniti, A. M., Pancaldi, D., Maccaferri, M. y Casalini, L. (2003). Effect of fungicides on Fusarium head blight and deoxynivalenol content in durum wheat grain. European Journal of Plant Pathology, 109, 109-115.

Mikhaylenko, G. G., Czuchajowska, L., Baik, B. K. y Kidwell, K. K. (2000). Environmental influences on flour composition, dough rheology and baking quality of spring wheat. Cereal Chemistry, 77, 505-511.

NOM-232-ssa1-2009. (2009). Diario Oficial de la Federación Fecha de publicación: 13 de abril de 2010. Recuperado el día 20 de enero del 2014, de http://www.dof.gob.mx/ nota_detalle.php?codigo=5139018&fecha=13/04/2010 Owens, G. (2001). Wheat, corn and coarse grains milling. En G., Owens, Cereals processing technology (Capítulo 3, págs. 27-52). Boca Ratón: CRC Press.

Philippe S., Saulnie, L. y Guillon, F. (2006). Arabinoxylan and (1/3), (1/4)-β-glucan deposition in cell walls during wheat endosperm development. Planta, 224, 449-461.

Z.N. Juárez, M.E. Bárcenas-Pozos y L.R. Hernández

Temas Selectos de Ingeniería de Alimentos 8 - 1 (2014): 79 - 93

Ramakrishna, N., Lacey, J. y Smith, J. E. (1996). Colonisation of barley grain by Penicillium verrucosum and ochratoxin A formation in the presence of competing fungi. Journal of Food Protection, 59, 1311-1317.

Reddy, K. R. N., Salleh, B., Saad, B., Abbas, H. K., Abel, C. A. y Shier, W. T. (2010). An overview of mycotoxin contamination in foods and its implications for human health. Toxin Reviews, 29, 3-26.

Ritchie, S., Swanson, S. J. y Gilroy, S. (2000). Physiology of the aleurone layer and starchy endosperm during grain development and early seedling growth: new insights from cell and molecular biology. Seed Science Research, 10, 193-212.

Rosell, C. M. (2003). The nutritional enhancement of wheat flour. En S., Cauvain, Breadmaking: Improving quality (págs. 253-269). UK: Woodhead Publishing.

Rosell, C. M. (2004). Fortification of grain based foods. En C., Wrigley, H., Corke y C., Walker, Encyclopedia of grains science (págs. 399-405). UK: Elsevier Science.

Rosell, C. M. (2007). Vitamin and mineral fortification of bread. En B., Hamaker, Technology of Functional Cereal Products (Capítulo 14, págs. 336-361). UK: Woodhead Publishing Limited Cambridge.

Sanborn, M., Bassil, K., Vakil, C., Kerr, K. y Ragan, K. (2012). Systematic review of pesticides health effects. Ontario, Canadá: Ontario College of Family Physicians.

Serna-Saldívar, S. R. O. (2009). Química, almacenamiento e industrialización de los cereales. D.F. México: AGT Editor.

Shewry, P. R. y Halford, N. G. (2002). Cereal seed storage proteins: structures, properties and role in grain utilization. Journal of Experimental Botany, 53, 947-958.

Stenglein, S. A. (2009). Fusarium poae: A pathogen that needs more attention. Journal of Plant Pathology, 91, 25-36.

Takahashi, M., Shibutani, M., Sugita-Konishi, Y., Aihara, M., Inoue, K., Woo, G. H., Fujimoto, H. y Hirose, M. (2008). A 90 day subchronic toxicity study of nivalenol, a trichothecene mycotoxin, in F344 rats. Food and Chemical Toxicology, 46, 125-135.

Takayama, T., Ishikawa, N. y Taya, S. (2006). The effect to the protein concentration and flour quality of nitrogen fertilization at 10 days after heading in wheat. Japan

Agricultural Research Quarterly, 40, 291-297.

Tančinová, D., Piovarčiová, Z., Dovičičová, M. y Felsociová, S. (2009). Endogenous contamination of wheat grains harvested in Slovakia during the season 2007. Acta fytotechnica et zootechnica, 12, 639-651.

TOXNET. Toxicology Data Network. United States National Library of Medicine. (2014). Recuperado el 9 de febrero del 2014, de http://toxnet.nlm.nih.gov/cgi-bin/sis/ search/r?dbs+hsdb:@rn+143390-89-0

Trucksess, M. W. (2012). Aflatoxins. En FDA (Food and Drug Administration), Bad Bug Book, Foodborne Pathogenic Microorganisms and Natural Toxins (2a. ed., págs. 231236). United States of America: FDA.

Turnbull, K. M. y Rahman, S. (2002). Endosperm texture in wheat. Journal of Cereal Science, 36, 327-337.

Vicente, A., Arqués, F. A., Villalbi, J. R., Centrich, F., Serrahima, E., llebaria, X. y Casas, C. (2004). Plaguicidas en la dieta, aportando piezas al rompecabezas. Gaceta Sanitaria. 18, 425-430.

Wang, M., van Vliet, T. y Hamer, R. J. (2002). Interaction of water extractable pentosanos with gluten protein: effect on dough properties and gluten quality. Journal of Cereal Science, 36, 25-37.

Wardlaw, C. M. y Wrigley, C. M. (1994). Heat tolerance in temperate cereals: An overview. Australian Journal of Plant Physiology, 21,695-703.

Webley, D. J. (1994). Grain protectants and pesticide residues. En Highley, E., Wright, E. J., Banks, H. J. and Champ, B., Proceedings of the 6th International Working Conference on Stored Product Protection (vol. 2, págs. 857862). Wallingford, UK: CAB International.

Wieser, H. (2007). Chemistry of gluten proteins. Food Microbiology, 24, 115-119.

Yli-Mattila, T. (2010). Ecology and evolution of toxigenic Fusarium species in cereals in northern Europe and Asia. Journal of Plant Pathology, 92, 7-18.

Zhao, F. J., Hawkesford, M. J. y McGrath, S. P. (1999). Sulphur assimilation and effects on yield and quality of wheat Journal of Cereal Science, 30, 1-17.

Zhao, F. J., Su, Y. H., Dunhama, S. J., Rakszegi , M., Bedo, Z., McGrath, S. P. y Shewry, P. R. (2009). Variation in mineral micronutrient concentrations in grain of wheat lines of diverse origin. Journal of Cereal Science, 49, 290-295.

Harinas de frutas y/o leguminosas y su combinación con harina de trigo

Departamento de Ingeniería Química, Alimentos y Ambiental, Universidad de las Américas Puebla. Ex hacienda Sta. Catarina Mártir S/N, San Andrés Cholula, Puebla. C.P.72810. México.

RESUMEN

La harina de trigo es comúnmente utilizada en productos de panificación y pastas, sin embargo, es deficiente en aminoácidos, específicamente lisina, que sí está presente en las leguminosas y cuyo contenido de proteínas es significativo; esto ha motivado el desarrollo de harinas de chícharo, garbanzo y lentejas, entre otras, en combinación con harina de trigo. Por su parte, las frutas inmaduras, como mango y plátano macho contienen cantidades importantes de carbohidratos no digeribles, por lo que el desarrollo de harinas a partir de estas frutas ha sido motivo de estudio y búsqueda de usos potenciales, en la industria alimentaria, sobre todo en panificación. La presente revisión presenta información sobre propiedades y características de harinas de trigo, frutas y/o leguminosas y su aplicación para el desarrollo de diferentes productos alimenticios.

Palabras clave: harina de trigo, chícharo, garbanzo, plátano verde, mango inmaduro.

ABSTRACT

Wheat flour is commonly used in bakery products and pastas, however, amino acid content in wheat flour is poor, specially lysine which is found in important amount in legumes; this fact has motivated the development of legumes flour such as pea, chickpea and lentils with the intent of combining them with wheat flour. On the other hand, unripe fruits such as mango and banana, that contain great quantities of non-digestible carbohydrates, therefore researches have been working in aim to expand its uses in the food industry, especially in baking products. This review presents information of wheat, fruits or legumes flours properties and characteristics and its application for food product development.

Key words: wheat flour, pea, chickpea, unripe banana, unripe mango.

Programa de Maestría en Ciencia de Alimentos

Tel.: +52 222 229 2126

Fax: +52 222 229 2727

Dirección electrónica: maria.torresgz@udlap.mx

Selectos de Ingeniería de Alimentos 8 - 1 (2014): 94 - 102

Introducción

Los productos de trigo han sido parte de la dieta desde muchos siglos atrás. La harina de trigo es la más usada en panificación, debido a que contiene las proteínas requeridas para formar un gluten con las características necesarias para elaborar pan de buena calidad. Sin embargo, dada su naturaleza de cereal, el trigo es deficiente en lisina, aminoácido esencial para los seres humanos. Además, el contenido de fibra de la harina comúnmente usada para la elaboración de pan es insignificante, como resultado del proceso de refinación del grano de trigo.

Una posible respuesta a las deficiencias nutricionales del trigo son las leguminosas, las cuales contienen lisina, pero son deficientes en metionina, aminoácido esencial que sí se encuentra presente en los cereales. Debido a lo anterior, la mezcla de harina de trigo con harinas de leguminosas ha despertado el interés de los investigadores en Ciencia de Alimentos, dando lugar a productos con alta calidad proteica.

Por otro lado, algunas frutas (por ejemplo el plátano) contienen almidón resistente, el cual es considerado un tipo de fibra asociado a la disminución del índice glucémico de la dieta y a la reducción del riesgo de padecer enfermedades cardiovasculares, por no ser digerible por el sistema digestivo humano. La adición de harinas de estas frutas a la harina de trigo, para incrementar su valor nutrimental al enriquecerla con fibra, también ha sido motivo de estudio.

El objetivo de este artículo es hacer una revisión de la información publicada sobre las harinas de diferentes leguminosas y frutas en combinación con harina de trigo, iniciando con una presentación breve de las propiedades y características de esta última, por ser considerada como harina de referencia.

Revisión bibliográfica

1. Generalidades, clasificación y componentes principales del trigo

Los cereales y subproductos de cereales tienen una amplia variedad de usos, aunque sólo el trigo y el centeno son cereales apropiados para la elaboración del pan. Sin embargo, el trigo es el único cereal útil para una amplia variedad de panes que cubren las necesidades y requerimientos en todo el mundo. En la panificación, el trigo ha sido esencial para muchas civilizaciones (Rossel, 2011).

Con el término trigo, se designa al conjunto de cereales,

tanto cultivados como silvestres, que pertenecen al género Triticum. El término trigo incluye tanto a la planta como a sus semillas comestibles, tal y como ocurre con los nombres de otros cereales. El trigo es uno de los tres cereales más cultivados globalmente, junto al maíz y al arroz, y el más consumido por el hombre en la civilización occidental desde la Antigüedad. El trigo se cultiva preferentemente para ser destinado al consumo humano, y en menor cantidad para piensos. A partir de este cereal se obtiene harina blanca, harina integral, sémola y malta, con las cuales se elabora una gran variedad de productos alimenticios derivados, como pan, galletas, cerveza, whisky, pasta, cereales para desayuno, aperitivos, entre otros (Gómez-Pallarés, León y Rossel, 2006).

Una de las clasificaciones más extendidas es la de los EE.UU., que separa los trigos en los siguientes grupos (Gómez-Pallarés et al., 2006):

Trigo semolero (Durum wheat): es un trigo de primavera con una gran dureza y un alto contenido de proteína. Se utiliza para fabricar las sémolas y semolinas usadas en la elaboración de pasta y algunos tipos de pan de los países mediterráneos, debido a su mayor rendimiento en este proceso.

Trigo duro rojo de primavera (Hard red spring wheat): es el que tiene mayor contenido de proteína y se usa para la fabricación de pan de molde y cualquier otro derivado de panadería o bollería que requiera harinas de fuerza, así como para mezclas de trigos.

Trigo duro blanco (Hard white wheat): es un trigo con un contenido medio de proteína, muy próximo en cuanto a sus propiedades al trigo duro, excepto por el color y sus propiedades durante la molienda y la panificación. Se suele utilizar en la elaboración de panes fermentados, panes integrales, tortillas, destilería, etc. Esta clase de trigo es el de más reciente introducción en Estados Unidos.

Trigo blando rojo (Soft winter red wheat): tiene un contenido de proteína medio-bajo, y se usa para la fabricación de pan y la preparación de mezclas. También se usa en la fabricación de galletas, pasteles y otros productos de bollería y pastelería.

Trigo blando blanco (Soft white wheat): tiene un contenido bajo de proteínas.

La fuerza del trigo es una cualidad relacionada con sus aptitudes panaderas, es decir, la capacidad de una harina para producir pan en piezas de gran volumen con miga de buena textura. Los trigos con esta aptitud suelen poseer un elevado contenido proteico y se les llama trigos fuertes; los que sólo pueden dar piezas pequeñas con migas de estructura compacta suelen tener un contenido proteico bajo y se denominan

Temas Selectos de Ingeniería de Alimentos 8 - 1 (2014): 94 - 102

flojos. Estos últimos son ideales para la fabricación de galletas, productos en los que no llega a desarrollarse el gluten, o no requieren fermentaciones con levadura (Gómez-Pallarés et al., 2006).

1.1. Importancia de las proteínas

La harina de trigo es la única que tiene la habilidad de formar una masa cohesiva y tenaz, capaz de retener gases y dar productos aireados y livianos después de su cocción. Esta propiedad se debe a su capacidad para formar gluten (Gómez-Pallarés et al., 2006).

El gluten es un gel formado por ciertas proteínas del trigo (gliadinas y gluteninas) cuando se trabaja mecánicamente una mezcla de harina y agua Las proteínas que integran el gluten se encuentran localizadas en cuerpos proteicos en el endospermo del grano; durante el amasado se produce la ruptura de estos cuerpos y su hidratación, formando una red tridimensional continua en la cual se encuentra embebido el almidón (Belitz y Grosch, 2009).

Cada una de las proteínas que forman el gluten tiene una función específica. Así, las gliadinas son proteínas monoméricas responsables de la viscosidad del gluten, constituyendo un tercio de las proteínas de la harina. Las gluteninas se encuentran formando grandes agregados proteicos, unidos por puentes disulfuro y fuerzas no covalentes intermoleculares, que determinan la fuerza y la elasticidad del gluten. A las gluteninas, sobre todo a las de alto peso molecular, se les asigna la capacidad de conferir a la masa las propiedades viscoelásticas, debido a la repetición de estructuras tipo giro β (Gómez-Pallarés et al., 2006).

1.2. Importancia del almidón

El almidón es el componente mayoritario del trigo, representando entre el 65-70% de la harina de este cereal; se encuentra en forma de gránulos y es la principal fuente de la energía aportada por el trigo a la dieta (Gómez-Pallarés et al., 2006).

El interior de los gránulos está formado por regiones cristalinas y amorfas alternas, por lo que el almidón es descrito como un polímero parcialmente cristalino (Eliasson y Gudmundsso, 1996). Las propiedades funcionales del almidón se deben esencialmente a los dos polisacáridos que lo constituyen: amilosa y amilopectina (Gómez-Pallarés et al., 2006).

En la masa panadera, los gránulos de almidón se hidratan pero permanecen prácticamente intactos, siendo la amilopectina parcialmente cristalina y la amilosa amorfa. Durante el horneado, la mayoría de los gránulos de almidón se gelatini-

zan, deformándose o colapsando. La gelatinización es la pérdida del orden molecular en los gránulos de almidón, como consecuencia del calentamiento de los mismos en presencia de agua. La amilopectina pierde su estructura, al menos parcialmente, y algunas moléculas se encuentran parcial o totalmente fuera de los gránulos; la amilosa es parcial o completamente lixiviada de los gránulos, encontrándose en la fase continua del sistema.

Después del horneado, cuando el pan se enfría, los componentes del almidón pasan gradualmente de un estado amorfo a un estado cristalino; esto es lo que se conoce como retrogradación del almidón, fenómeno que es considerado como el principal responsable del endurecimiento del pan (Gray y Bemiller, 2003).

2. Harinas no convencionales

Las harinas de fuentes no convencionales, como lo son las leguminosas, no han sido explotadas y contienen proteínas en cantidad y calidad regular. Mientras que las leguminosas son buenas fuentes de lisina y triptófano, son pobres en el aminoácido sulfurado metionina. Por su parte, los cereales son pobres en lisina. Por lo tanto, la combinación de leguminosas con cereales permite que ambos alimentos complementen sus respectivos perfiles de aminoácidos esenciales, dando lugar a una mezcla de mejor calidad proteica (Serna, 2005). Por otro lado, las harinas de frutas inmaduras como mango y plátano, son fuentes importantes de almidón resistente (Agama-Acevedo et al., 2009), el cual forma parte de la fibra dietética total (Ovando, 2008), siendo esto una ventaja para ser utilizadas en diversas formulaciones, entre las que destaca la del pan. Cabe mencionar que el uso de harinas no convencionales, se ha manejado en porcentajes de sustitución de la harina de trigo.

2.1. Harinas de leguminosas

Las leguminosas son las especies pertenecientes a la familia Fabaceae o Leguminoseae, cuya utilidad primaria reside en las semillas. Una característica interesante de esta familia es la capacidad de usar nitrógeno atmosférico para producir sus propios compuestos nitrogenados, gracias a lo cual, generalmente no es necesaria la fertilización con nitrógeno para el crecimiento óptimo (aep, 2007). Entre las leguminosas más consumidas están garbanzos, lentejas, frijoles, habas, chícharos, cacahuates y soya. Las leguminosas han sido empleadas por el hombre desde la antigüedad, formando parte de su dieta. Adicionalmente, se ha demostrado su efecto protector ante ciertas enfermedades crónico degenerativas: cardiovasculares, obesidad, diabetes y cáncer (Oliete y Gómez-Pallarés, 2006).

Temas Selectos de Ingeniería de Alimentos 8 - 1 (2014): 94 - 102

Recientemente, las harinas de las leguminosas han cobrado importancia. Éstas son los polvos obtenidos directamente de la molienda de los granos. En algunos casos, antes de la molienda los granos son escaldados para inactivar enzimas indeseables o son sometidos a remojo y cocción, para eliminar buena parte de las sustancias antinutritivas presentes en las leguminosas; en seguida, los granos son secados (generalmente con aire), para luego ser molidos. Por lo general, los polvos obtenidos son tamizados.

El desarrollo de nuevos productos de panadería, incorpora a las harinas de leguminosas como ingredientes, con la finalidad de enriquecer nutricionalmente las mezclas. Para esto, la harina de trigo es parcialmente sustituida por harina de leguminosa, y luego se prosigue con los pasos normales del proceso de elaboración de los productos.

La incorporación de leguminosas en la elaboración de productos panadería tiene buenas expectativas en el mercado, sobre todo con el enfoque mercadológico adecuado, como productos funcionales con bajos costos (Oliete y Gómez-Pallarés, 2006).

2.1.1. Harina de chícharo

El chícharo (Pisum sativum) es una enredadera anual que normalmente alcanza los 2 m de altura; existen muchas variedades de chícharo, con semillas lisas o rugosas, verdes, blancas o marrón (aep, 2007). La proteína del chícharo amarillo posee una compleja composición bioquímica que permite una alta estabilidad en el procesamiento térmico y una buena interacción con otros ingredientes.

La harina de chícharo es el producto que resulta del escaldado de los granos, seguido de secado con aire y la subsecuente molienda. El escaldado es un paso importante, debido a que en el chícharo está presente la enzima lipooxigenasa, la cual está implicada en la aparición de aromas y sabores desagradables y en la degradación de pigmentos. La harina de chícharo contiene 10.7% de humedad, 21.4% de proteínas, 3.4% de cenizas y 2.1% de grasa (Alasino, Osella, de la Torre y Sánchez, 2011).

Adicionalmente, estos investigadores evaluaron la calidad de pan elaborado con harina de trigo parcialmente sustituida con harina de chícharo escaldado (5, 10, 15 o 20% de sustitución). Observaron que en todos los casos la adición de harina de chícharo incrementó el valor proteico del pan; sin embargo, disminuyó el volumen específico del producto. Concluyeron que el mejor pan se obtuvo con la harina con 10% de sustitución, ya que este presentó la mejor evaluación nutricional (contenido de lisina disponible de 3.25 g/100 g proteí-

na; mientras que el testigo, 100% harina de trigo, presentó un contenido de lisina disponible de 2.28 g/100 g proteína), además de haber sido bien evaluado sensorialmente. Buscando contrarrestar el efecto negativo de la incorporación de harina de chícharo a la formulación del pan, sobre el volumen específico del mismo, los investigadores determinaron el efecto de la adición de diferentes emulgentes (monoglicérido de diacetiltartárico y estearoil-lactailato de sodio (ssl)) y oxidantes (ácido ascórbico y azodicarbonamida) sobre esta propiedad. Los resultados demostraron que la adición de SSL y azodicarbonamida permite mejorar la calidad del producto.

Por otro lado, los procesos de cocción, fritura y horneado a temperaturas por arriba de los 120°C dan paso a la formación de acrilamida, clasificada como probable carcinogénico en humanos, cuya formación ha sido demostrada a partir de azúcares reductores y asparagina, por la reacción de Maillard. Así mismo, se ha demostrado que la asparagina es un sustrato limitante para la formación de acrilamida en sistemas de cereales y aquellos basados en almidón (Tuncel, Yilmaz y Sener, 2010). De aquí que, la enzima asparaginasa es usada en formulaciones en diversos productos, con el objetivo de reducir el contenido de acrilamida. Esta enzima se encuentra en el chícharo. En 2010, Tuncel et al. realizaron un estudio en pan de caja, cuyo objetivo primordial fue investigar el efecto de la adición de harina de chícharo en la formación de acrilamida en pan de grano de trigo entero, de salvado de trigo o de trigo refinado. Concluyeron que los niveles de acrilamida pueden ser disminuidos un 57% ó 68%, mediante la adición de harina de chícharo a la mezcla, para pan integral o de grano entero, respectivamente, sin efectos negativos en las propiedades sensoriales.

2.1.2.

Harina de garbanzo

El garbanzo (Cicer arietinum), perteneciente a la familia de las Cicereae, es una planta herbácea anual. Ulterior a la recolección, regularmente los granos se conservan en lugares frescos y ventilados que favorezcan el secado, a partir del cual es posible convertirlos en harina, misma que en países del Mediterráneo e India es consumida en combinación con harina de chícharo (aep, 2007). Los garbanzos son considerados una buena fuente de proteínas debido a su alta concentración de triptófano libre (Tavano, da Silva, Demonte y Neves, 2008; Comai, Bertazzo, Costa y Allegri, 2011). Su empleo en forma de harina como ingrediente fortificador de harina de trigo, está siendo considerado para el desarrollo de nuevos productos (Comai et al., 2011). Para la obtención de harina de garbanzo, generalmente, el grano sin descascarar es directamente molido, para evitar

Temas Selectos de Ingeniería de Alimentos 8 - 1 (2014): 94 - 102

pérdidas excesivas de partes del cotiledón (Sanjeewa, Wanasundara, Pietrasik y Shand, 2010). Sin embargo, se han sugerido tratamientos al garbanzo previo al proceso de elaboración de harina. Tal es el caso del estudio sobre el contenido nutricional y propiedades funcionales de la harina de garbanzo variando la cocción del garbanzo en tres formas diferentes: cocción tradicional (ebullición), cocción con microondas o freído (Abou, Helmy y Bareh, 2010); los investigadores concluyeron que la composición química y las propiedades funcionales de la harina fueron afectadas por los diferentes métodos de cocción, siendo la cocción tradicional el que presentó mayor porcentaje de proteína. Por otro lado, también se ha demostrado que el tostado del garbanzo, previo a la elaboración de harina, incrementa el contenido de almidón resistente, fibra dietética insoluble y propiedades antioxidantes de la harina de garbanzo (Fares y Menga, 2012).

Por otra parte, se ha estudiado la influencia de la sustitución parcial (15% y 30%) de harina de trigo por harina de garbanzo, sobre el desarrollo de la masa y las características del pan tostado (Hefnawy, El-Shourbagy, y Rmadan, 2012). Los resultados demostraron que la sustitución aumentó la estabilidad y el índice de tolerancia de la masa; sin embargo, el volumen del pan disminuyó, en tanto que el nivel de harina de garbanzo aumentó, debido a la dilución del gluten. No obstante, los productos conteniendo harina de garbanzo fueron aceptables en términos de peso, volumen, textura y estructura de la miga.

2.1.3. Harina de lenteja

La lenteja (Lens culinaris), perteneciente a la familia de las Viceae, es una planta herbácea anual, muy ramificada. Siendo de alto valor nutritivo debido a su alto contenido de proteínas (25.8%) y bajo contenido de grasas (1.06%), se han desarrollado investigaciones enfocadas a evaluar la calidad panificable de la harina de lenteja (Oliete y Gómez-Pallarés, 2006).

La harina de lenteja es el producto que se obtiene de la molienda de los granos y el tamizado posterior del polvo obtenido. Aguilar et al. (2011) realizaron un estudio en el cual obtuvieron harina de lenteja (ht), moliendo directamente la leguminosa en un molino de rodillos estriados y la mezclaron con harina de trigo (ht) (10% y 90%, respectivamente), teniendo como testigo ht (100%), a fin de evaluar el comportamiento de las masas y del pan elaborado con las mismas. Se demostró que la mezcla HT-HL presentó menos actividad amilácea y parámetros menores de retención de gas que la ht (100%), lo cual se explica por la baja cantidad de amilasa presente en la mezcla ht:hl (Aguilar et al., 2011). De acuerdo

con Serna (2005), la deficiencia de metionina en la harina de lenteja puede causar indirectamente la disminución de la capacidad de retención de gas; presumiblemente, no hubo formación de enlaces disulfuro en la misma proporción que en la masa con 100% HT, por lo cual la formación de gluten fue inadecuada y, consecuentemente, el pan elaborado con harina de lenteja mostró un volumen bajo. En la prueba sensorial se observó que el pan no presentó diferencia significativa en cuanto al nivel de agrado, con respecto al mismo elaborado solamente con ht (Aguilar et al., 2011).

2.2. Harinas de frutas

El mango y el plátano enfrentan problemas agronómicos similares. Las pérdidas post-cosecha se deben principalmente a que la demanda es mucho menor que la producción. A raíz de esta problemática, Bello-Pérez, Agama-Acevedo, Osorio-Díaz, Utrilla-Coello y García (2011) proponen diversificar el uso final de estas frutas como ingredientes funcionales de productos alimenticios.

Las harinas obtenidas de frutas inmaduras como mango y plátano, son fuentes importantes de carbohidratos no digeribles como almidón resistente (17.5%) y polisacáridos no amiláceos como fibra dietética (14.5%) (Agama-Acevedo et al., 2009). El almidón resistente presente en estas frutas inmaduras se comporta como fibra soluble; por lo cual estas harinas pueden ser adicionadas a diversos productos, a propósito de la actual búsqueda de nuevas fuentes de fibra dietética en la industria alimentaria (Ovando, 2008).

2.2.1. Harina de plátano macho verde (Musa paradisiaca L.)

El usoº de plátano para la obtención de harina ha surgido a consecuencia de los hallazgos en su composición química, especialmente por su contenido de almidón resistente. De hecho, la harina de plátano macho verde es una línea de investigación activa desde 1986, año en que Englyst y Cummings reportaron 37% de almidón en plátanos inmaduros, en contraste con el 3% en los más maduros. En 2006, Juárez-García, Agama-Acevedo, Sáyago-Ayerdi, Rodríguez-Ambriz y Bello-Pérez, determinaron la composición química de la harina de plátano macho verde (Musa paradisiaca L.), reportando como componentes mayoritarios a la fibra dietética (14.52%) y al almidón total (73.36%), del cual 17.50% es almidón resistente, cuya fermentación por las bacterias colónicas supone efectos benéficos en la salud (Ovando, 2008).

La harina de plátano es descrita por Ovando (2008), como un polvo fino, blanco, que se oscurece con el paso del tiempo.

Temas Selectos de Ingeniería de Alimentos 8 - 1 (2014): 94 - 102

Esta autora también describe la obtención de harina, utilizando plátanos machos inmaduros. En primer lugar, los plátanos son pelados y cortados en rodajas de 1 cm y vertidos de inmediato en una solución de ácido cítrico (3 g/L); posteriormente, se colocan las rodajas en mallas y se someten a un proceso de secado, a 50±1°C durante 24 h. Finalmente, las rodajas deshidratadas son molidas y el polvo obtenido es tamizado en malla (0.038 mm).

Por su parte, Juárez-García et al. (2006) evaluaron la composición y digestibilidad de pan elaborado a partir de 100% harina de plátano, comparado con pan con 100% harina de trigo. Estos autores determinaron que la harina de plátano tiene alto contenido de almidón resistente y fibra, concluyendo que la harina de plátano es un ingrediente potencial en la elaboración de productos con carbohidratos de bajo índice glucémico.

Por otro lado, Agama-Acevedo et al. (2009) prepararon diferentes mezclas de harina de plátano y semolina (harina de plátano al 15%, 30% ó 45%, tomando como testigo, semolina al 100%), para la elaboración de espagueti. El contenido de almidón total fue mayor al 45%, presentando menor contenido de almidón disponible; además, se observó que el contenido de almidón resistente y la fracción no digerible aumentaba en relación con la cantidad de harina de plátano añadida. Adicionalmente, estos investigadores mostraron que la dureza y elasticidad del espagueti no fueron afectadas por la adición de harina de plátano, pero la adhesividad y masticabilidad se incrementaron conforme aumentaba el porcentaje de harina de plátano en la mezcla. Además, los distintos espaguetis preparados no mostraron diferencias de preferencia entre los consumidores (Agama-Acevedo et al., 2009).

En otro estudio, Aparicio-Saguilán, Osorio-Díaz, Agama-Acevedo, Islas-Hernández y Bello-Pérez (2013) elaboraron tortillas de maíz adicionadas con harinas de plátano macho y yuca. Evaluaron la composición química y digestibilidad del almidón en estos productos y observaron que en las tortillas elaboradas con harina de maíz y harina de plátano (60:40), el contenido de fibra y proteínas disminuyó respecto al testigo (maíz 100%). Concluyeron que el cambio en la composición química y digestibilidad del almidón de las tortillas elaboradas con harinas de fuentes no convencionales (harina de plátano), podría ser una alternativa para la población con requerimientos dietéticos especiales.

2.2.2. Harina y almidón de mango (Mangifera indica L.) El mango (Mangifera indica L ) es uno de los miembros más importantes de la familia de las Anacardiáceas, el cual crece

en regiones tropicales. El género Mangifera incluye 50 especies, de las que sólo tres o cuatro producen frutos comestibles. Las hojas, corteza y fruta (pulpa, cáscara y semilla) son fuentes ricas en compuestos bioactivos, que poseen propiedades antioxidantes conocidas por sus beneficios en la salud, ofreciendo protección contra enfermedades relacionadas con el estrés oxidativo. En México, las variedades de mango de mayor consumo son criollo y manila (Bello-Pérez et al., 2011).

Por harina de mango se entiende el producto que se obtiene al pelar, rebanar (rebanadas de 1 cm de espesor), secar (con aire a 50°C), moler y tamizar el fruto inmaduro. Se produce con el propósito de obtener polvos ricos en fibra dietética. El contenido total de almidón en esta harina es 29.8% y su contenido de fibra dietética total es de 28.1%; además, presenta una relación balanceada entre la fibra dietética soluble (14.3%) y la insoluble (13.8%), lo cual es importante para la funcionalidad de la fibra en la dieta humana. Así mismo, la harina de mango muestra un contenido importante de compuestos con capacidad antioxidante, como los polifenoles (16.1 mg/g) (Vergara-Valencia et al., 2007).

La harina de mango ha sido probada en la elaboración de pan y galletas. En las galletas experimentales, la proporción usada fue 25:75 harina de trigo: harina de mango; para el pan, las proporciones fueron 60:40. Ambas formulaciones tuvieron niveles incrementados de fibra dietética respecto al testigo (harina de trigo 100%). Las galletas con harina de mango tuvieron 17.4% de fibra soluble dietética, mientras que el testigo tuvo 13.3%. El pan con harina de mango presentó 16.6% de fibra soluble dietética en contraste con el 14.2% del pan testigo (100% trigo) (Vergara-Valencia et al., 2007).

Una variante de la harina de mango inmaduro es la obtenida del mismo fruto en estado maduro. Yusufu, Egbunu, Egwujeh, Opega y Adikwu (2013) elaboraron este tipo de harina con la finalidad de utilizarla para enriquecer harina de sorgo con pro vitamina A y β-carotenos. Para esto, tras la limpieza y pelado manual, el fruto fue rebanado y secado con aire, durante 8 horas a 60°C. Posteriormente, las rebanadas deshidratadas fueron molidas, tamizadas y almacenadas.

Otra harina que ha sido obtenida a partir del mango es la de su cáscara. El procedimiento para obtenerla inicia con el escaldado de las cáscaras durante 3 minutos, al cual sigue su molienda en húmedo, su paso a través de una despulpadora y su lavado con agua a 95°C; posteriormente se prensa, se seca, se muele y se tamiza, para luego empacar y almacenar (Larrauria, Rupérez, Borrotoa y Saura-Calixto,1996).

En un estudio realizado por Noor, Lee y Bhat (2011), se elaboró harina de pulpa de mango y de cáscara de mango; se

M. P. Torres-González, M. T. Jiménez-Munguía y M. E. Bárcenas-Pozos

Temas Selectos de Ingeniería de Alimentos 8 - 1 (2014): 94 - 102

obtuvieron valores de fibra dietética total 47.68% y 59.44%, respectivamente. Además, se elaboraron pasteles esponjosos con dichas harinas, observándose que estos productos presentaron mejor índice glucémico, menor contenido de grasa y mayor contenido de fibra. Así por ejemplo, el contenido de fibra cruda de los pasteles elaborados con 30% de harina de cáscara de mango fue 8.1%, mientras que el pastel adicionado con 30% de harina de pulpa de mango tuvo 6.29%, en contraste con el 1.85% de fibra del pan control, elaborado con 100% harina de trigo. Los autores concluyeron que el uso de estas harinas de mango como ingredientes de los productos de panificación es apropiado para mejorar el valor nutricional de éstos.

Otro producto que ha sido obtenido del mango es almidón. Bello-Pérez, Aparicio-Saguilán, Méndez-Montealvo, Solorza-Feria y Flores-Huicochea (2005) reportan que el proceso para obtener este producto consiste en en pelar los mangos, cortarlos en cubos (5-6 cm), sumergir los cubos en una solución de sulfato de sodio (1.22 g/L, 500 g de fruta:500 g de solución), triturarlos ligeramente en una licuadora a baja velocidad durante 2 minutos, tamizar (tamiz No. 50-100) y lavar el triturado hasta que el agua de lavado se vea limpia y centrifugar (10800g, 30 minutos); los sedimentos blancos resultantes de la centrifugación, que constituyen el almidón del mango, se separan del sobrenadante, se secan (40°C, 48 horas), se muelen en un mortero, se tamizan (tamiz No. 100) y se almacenan en un contenedor de vidrio a temperatura ambiente. En este mismo estudio, estos investigadores determinaron algunas propiedades morfológicas, fisicoquímicas y funcionales del almidón aislado de dos variedades mexicanas de mango (manila y criollo). El contenido de amilosa en el mango manila fue 13.3%, mientras que el del criollo fue 12.9%. Los autores concluyeron que debido a sus propiedades, el almidón del mango es una fuente factible de este polisacárido para ser usada en la industria de alimentos (Bello-Pérez et al., 2005).

Conclusiones y comentarios finales

El enriquecimiento de formulaciones tradicionales a base de harina de trigo es importante en vías del mejoramiento de su contenido nutricional; aunque no todas las formulaciones han resultado exitosas, técnica y sensorialmente. En este sentido, es importante considerar aspectos relacionados con las propiedades sensoriales de los productos, sobre todo ante la posibilidad de combinar las harinas de fuentes no conven-

cionales con harina de trigo, para productos de panificación, ya que es interesante desde el punto de vista tecnológico y nutricional.

La documentación y publicación de los resultados obtenidos en este tema es información valiosa a considerar para el planteamiento de nuevos diseños en vías de producir alimentos más nutritivos.

Agradecimientos

La autora Torres-González agradece el apoyo recibido por parte del Consejo Nacional de Ciencia y Tecnología y de la Universidad de las Américas Puebla, para la realización de sus estudios de posgrado.

Referencias

Abou, E, Helmy, I. y Bareh, G. (2010). Nutritional evaluation and functional properties of chickpea (Cicer arietinum, L.) flour and improved produced from its. Journal of American Science, 6(10), 1055-1072.

AEP (European Association for Grain Legume Research). (2007). The amazing lentil. Recuperado el 10 de febrero 2014. http://www.legumefutures.de/images/Grain_legumes_57_Lentils.pdf

Agama-Acevedo, E., Islas-Hernández, J., Osorio-Díaz, P., Rendón-Villalobos, R., Utrilla-Coello R., Angulo, O. y Bello-Pérez, L. (2009). Pasta with unripe banana flour: physical, texture and preference study. Journal of Food Science, 74(6), 90-95.

Aguilar J., Esparza J., Meza J., Candelas M., Aguilera O. y Ramírez P. (2011). Efecto de la harina de lenteja (Lens culinaris) sobre propiedades reológicas y de panificación de la harina de trigo. Facultad de Ciencias Químicas, 2, 4-9. Agustiniano-Osorio, J., González-Soto, R., Flores-Huicochea, E., Manrique-Quevedo, N., Sánchez-Hernández, L. y Bello-Pérez, L. (2005). Resistant starch production from mango starch using a single, screw extruder. Journal of the Science of Food and Agricultural, 85, 2105-2110.

Alasino, M, Andrich, O., Sabbag, N., Costa, S., de la Torre, M. y Sánchez, H. (2008). Panificación con harina de arvejas (Pisum sativum) previamente sometidas a inactivación enzimática. Archivos Latinoamericanos de Nutrición,

Temas Selectos de Ingeniería de Alimentos 8 - 1 (2014): 94 - 102

58(4), 397-402.

Alasino, M, Osella, C., de la Torre, M. y Sánchez, H. (2011). Efecto de oxidantes y emulsionantes sobre la calidad de pan elaborado con harina de arvejas (Pisum sativum) inactivadas enzimáticamente. Información Tecnológica, 22, 42-50.

Aparicio-Saguilán, A., Osorio-Díaz, P., Agama-Acevedo, E., Islas-Hernández, J. y Bello-Pérez, A. (2013).Tortilla added with unripe banana and cassava flours, chemical composition and starch digestibility. CyTA Journal of food, 11(1), 90-95.

Bello-Pérez, L., Agama-Acevedo, E., Osorio-Díaz, P., Utrilla, R. y García, F. (2011). Banana and mango flours. En Preedy, V., Watson, R. y Patel, V. B. Flour and breads, and their fortification in health and diseases prevention. (Primera edición, págs. 235-244). San Diego, CA: Elsevier.

Bello-Pérez, L., Aparicio-Saguilán, A., Méndez-Montealvo, G., Solorza-Feria, J. y Flores-Huicochea, E. (2005). Isolation and partial characterization of Mango (Mangifera indica L.) starch: Mophological, phisycochemical and functional studies. Plant foods for human Nutrition, 60, 7-12.

Belitz, H. y Grosch, W. (2009). Química de los alimentos (4a edición). Berlin, Heidelberg: Springer.

Comai, S., Bertazzo, A., Costa, C. y Allegri, G. (2011). Quinoa: protein and non-protein tryptophan in comparison with other cereal and legume flours and bread. En Preedy, V., Watson, R. y Patel, V. B. Flour and breads, and their fortification in health and diseases prevention. (Primera edición, págs. 113-125). San Diego, CA: Elsevier. Eliasson, A. y Gudmundsson, M. (1996). Starch: Physicochemical and functional aspects. En A. Eliasson, Carbohydrates in Food. (págs. 431-503). EE.UU: Marcel Dekker Inc. Carbohydrates in Food., (págs. 431-503). EE.UU: Marcel Dekker Inc. Englyst, S. y Cummings, J. (1986). Digestion of carbohydrates of banana (Musa paradisiaca sapientum) in the human small intestine. The American Journal of Clinical Nutrition, 44, 42-50.

Fares, C. y Menga, V. (2012). Effects of toasting on the carbohydrate profile and antioxidant properties of chickpea (Cicer arietum L.) flour added to durum wheat pasta. Food Chemistry, 131(4), 1140-1148.

Gray, J.A. y Bermiller, J.N. (2003). Bread staling: molecular basis and control. Comprehensive reviews in Food Science and Food Safety. 2,1-21.

Gómez-Pallarés, M. León, A.E. y Rossel, C. M. (2006). De tales harinas tales panes: granos, harinas y productos de

panificación en Iberoamérica (1a edición, págs. 31).

Córdoba, Argentina: Báez Ediciones.

Hefnawy, T., El-Shourbagy, G. y Rmadan, M. (2012). Impact of adding chickpea (Cicer arietinum L.) flour to wheat flour on the rheological properties of toast bread. International Food Research Journal. 19(2), 521-525.

Juárez-García, E., Agama-Acevedo, E, Sáyago-Ayerdi, S., Rodríguez-Ambriz, S. y Bello-Pérez, L. (2006). Composition, digestibility and application in breadmaking of banana flour. Plant foods for human Nutrition, 61, 131-137.

Larrauria, J., Rupérez, P., Borrotoa, B. y Saura-Calixto F. (1996). Mango Peels as a New Tropical Fibre: Preparation and Characterization. Lebensmittel-Wissenschaft und -Technologie, 29, 729-733.

Murray, R. (2000). Harper’s Biochemistry. McGraw Hill. En Aguilar, J., Esparza, J., Candelas, M., Aguilera, O. y Ramírez, P. (2011). Efecto de la harina de lenteja (Lens Culinaris) sobre las propiedades reológicas y de panificación de la harina de trigo. Ciencia@UAC, 4(2), 4-9

Noor, A., Lee, W. y Bhat, R. (2011). Nutritional and sensory quality evaluation of sponge cake prepared by incorporation of high dietary fiber containing mango (Mangifera indica Var. Chokanan) pulp and peel flours. International Journal of Food Sciences and Nutrition, 62(6), 559-567.

Okpala, L. y Ekwe, O. (2013). Nutritional quality of cookies produced from mixture of fermented pigeon pea, germinated sorghum and cocoyam flours. European Journal of food Research 3, 38-49.

Oliete, B. y Gómez-Pallarés, M. (2006). Leguminosas. En Gómez-Pallarés, P., León, A.E. y Rossel, C. De tales harinas tales panes: granos, harinas y productos de panificación en Iberoamérica (1a edición, págs. 403-438).

Córdoba, Argentina: Báez Ediciones.

Ovando, M. (2008). Pasta adicionada con harina de plátano: digestibilidad y capacidad antioxidante. Tesis de maestría no publicada. Instituto Politécnico Nacional, Morelos, México.

Rossel, C. (2011). The science of doughs and bread quality. En Preedy, V., Watson, R. y Patel, V. B. Flour and breads, and their fortification in health and diseases prevention. (Primera edición, págs. 3-14). San Diego, CA: Elsevier.

Rymbai, H., Srivastav, M., Sharma, R., Patel, C., y Singh, A. (2013). Bio-active compounds in mango (Manguifera indica L.) and their roles in human health and plant defense- a review. Journal of Horticultural Science and Biotechnology, 88, 369-379.

M. P. Torres-González, M. T. Jiménez-Munguía y M. E. Bárcenas-Pozos

Temas Selectos de Ingeniería de Alimentos 8 - 1 (2014): 94 - 102

Sanjeewa, W., Wanasundara J., Pietrasik, Z. y Shand, P. (2010). Characterization of chickpea (Cicer arietum L.) flour and application in low-fat pork bologna as a model system. Food Research International, 43, 617-626.

Serna, S. (2005). Química, almacenamiento e industrialización de cereales (2a edición). México, D.F.: AGT Ediciones.

Shewry, P.., D’Ovidio, R., Lafiandra, D., Jenkins, J., Mills, E., y Békes, F. (2009). Wheat grain proteins. En K. Khan y P.R. Shewry (Eds.), Wheat Chemistry and Technology (4a. edición, págs. 223-298), St. Paul, MN: American Association of Cereal Chemists.

Shewry, P. R. (1999). The synthesis, processing, and deposition of gluten proteins in the developing wheat grain. Cereal Foods World, 44, 587-588.

Tavano, O., da Silva, S., Demonte, A. y Neves, V. (2008). Nutritional responses of rats to diets based on chickpea (Cicer

arietinum L.) seed meal or its protein fractions. Journal of Agricultural and Food Chemistry, 56, 11006-11010.

Tuncel, N., Yilmaz, N. y Sener, E. (2010). The effect of pea (Pisum sativum L.) -originated asparaginasa on acrylamide formation in certain bread types. International Journal of Food Science and Technology, 45, 2470-2476.

Vergara -Valencia, N., Granados-Perez, E., Agama-Acevedo, E., Tovar, J., Ruales, J., & Bello-Perez, L. (2007). Fiber concentrate from mango fruit: Characterization, associated antioxidant capacity and application as a bakery product ingredient. LWT Food Science and Technology, 40, 722729.

Yusufu, P., Egbunu, F., Egwujeh, S., Opega, M. y Adikwu. (2013). Evaluation of complementary food prepared from sorghum, Africam yam bean (Sphenostylis Stenocarpa) and mango mesocarp flour blends. Pakistan Journal of Nutrition, 12(2), 205-208.

Artículos de Revisión

Productos lácteos funcionales, fortificados y sus beneficios en la salud humana

E. Santillán- Urquiza*, M.A. Méndez-Rojas y J. F. Vélez Ruiz

Líquidos iónicos: una alternativa “verde” para procesos de extracción en la industria de alimentos

A. Franco-Vega*, E. Palou, N. Ramírez-Corona y A. López-Malo

Tratamientos cuarentenarios no químicos como alternativa en frutos cítricos

D. B. Queb-González* y A. López-Malo

Calidad del agua y su relación con alimentos: aplicación de procesos

Fenton y tipo Fenton en la eliminación de contaminantes en agua

V. Escalante-Pozos* y E. R. Bandala

El tamarillo (Cyphomandra betacea) y su importancia como fuente de compuestos antioxidantes

G. Preciado-Iñiga* y M. E. Bárcenas-Pozos

Métodos para la inactivación de esporas en alimentos

L. C. Huesca-Espitia*, J.L. Sánchez-Salas y E. R. Bandala

Métodos de evaluación de la actividad antimicrobiana y de determinación de los componentes químicos de los aceites esenciales

F. Reyes-Jurado*, E. Palou y A. López-Malo

El grano de trigo: características generales y algunas problemáticas y soluciones a su almacenamiento

Z. N. Juárez*, M. E. Bárcenas-Pozos y L. R. Hernández

Harinas de frutas y/o leguminosas y su combinación con harina de trigo

M. P. Torres-González*, M. T. Jiménez-Munguía y M. E. Bárcenas-Pozos

Departamento de Ingeniería Química, Alimentos y Ambiental Universidad de las Américas Puebla

Turn static files into dynamic content formats.

Create a flipbook