Skip to main content

Revista Entorno 5 - UDLAP

Page 1


ARTE LIFE BETWEEN THE DEATH: HOW NATURE RECLAIMS CEMETERIES INVESTIGACIÓN DESMITIFICANDO LOS RUMORES DE LA CARNE

Uso de electrocardiogramas para reconocimiento de personas

18. Reconocimiento de personas

PORTADA

RECONOCIMIENTO

de personas mediante señales de un electrocardiograma

Por: Nallely Alejandra Palacios-López · Gibran Etcheverry

5. DESCUBRIENDO EL KAIZEN-COACHING a través de mejorar la calidad de vida de las personas: un estudio cualitativo

Por: Manuel F. Suárez-Barraza

14. LIFE BETWEEN THE DEATH: How nature reclaims cemeteries

Por: Ana Cecilia Parrodi Anaya

28. DESMITIFICANDO LOS RUMORES DE LA CARNE

Por: Daniel Armando Villarreal-Portillo • Hermann Kaimann-Tenorio • Linda Sofía Vera-Guerrero • Remi Cid-Guerrero

38. VAPOR PHASE ANTIBACTERIAL EFFECT OF ROSEMARY (Rosmarinus officinalis) essential oil and its major component at selected pH’s and temperatures

Por: Ana Cecilia Lorenzo-Leal · Enrique Palou · Aurelio López-Malo

14. Life between the death

42. PERSPECTIVA ACTUAL Y FUTURA DE los recursos hídricos en la cuenca del río Bravo

Por: Paul Hernández-Romero · Carlos Patiño-Gómez

52. EL PROBLEMA DE LOS CONOCIMIENTOS previos: un estudio exploratorio en contabilidad financiera

Por: Francisco Calleja · Javier Piñataro

58. ACTIVIDAD ANTIBACTERIANA DE bacterias ácido lácticas

Por: Daniela Arrioja-Bretón · Emma Mani-López · Enrique Palou · Aurelio López-Malo REVISTA DE

E

PRESIDENCIA

José Ramón Valdés Parra

EDITOR GENERAL Polioptro Fortunato Martínez Austria

CONSEJO EDITORIAL

Dirección Ejecutiva

Sergio Picazo Vela Decano de Investigación y Posgrado

Secretaria Ejecutiva

Lorena Martínez Gómez Directora General de Planeación y Evaluación

Coordinación

Editorial Izraim Marrufo Fernández Director de Comunicación

Editora gráfica

Sonia Gisella Aguirre Narváez Profesora de la Licenciatura de Diseño de Información

Tecnologías de la Información

Fernando Thompson de la Rosa Director General de Tecnologías de la Información

Biblioteca

María Elvia Catalina

Morales Juárez Directora de Bibliotecas

DISEÑO EDITORIAL

Angélica González Flores

CORRECCIÓN DE ESTILO Aldo Chiquini Zamora Andrea Garza Carbajal

FOTOGRAFÍAS www.shutterstock.com

COMITÉ EDITORIAL

EDITORES ASOCIADOS

Artes y Humanidades

Enrique Ajuria Ibarra

Ciencias

Miguel Ángel Méndez Rojas

Ciencias Sociales

Leandro Rodríguez Medina

Ingeniería e Innovación Aurelio López Malo Vigil

Negocios y Economía Raúl Bringas Nostti

MIEMBROS DEL COMITÉ EDITORIAL

Ileana Azor Hernández Universidad de las Américas Puebla

Antonio Alcalá González Tecnológico de Monterrey

Cecilia Anaya Berríos Universidad de las Américas Puebla

Jorge Gamaliel Arenas Basurto Universidad de las Américas Puebla

Lucila Castro Pastrana Universidad de las Américas Puebla

Miguel Doria UNESCO

Jorge Alberto Durán Encalada Universidad de las Américas Puebla

Alexander James Hope Universidad Autónoma de Madrid

Juan Enrique Martínez-Legaz Barcelona Graduate School of Economics

Raúl Mújica García Instituto Nacional de Astrofísica, Óptica y Electrónica

René Reyes Mazzoco Universidad de las Américas Puebla

Ulises Sandal Ramos Koprivitza Universidad de las Américas Puebla

Manuel Francisco Suárez Barraza Universidad de las Américas Puebla

María Luisa Torregrosa y Armentia Facultad Latinoamericana de Ciencias Sociales

EDITORIAL

LLas actividades de investigación desempeñadas por la comunidad académica son fundamentales para el desarrollo integral de las universidades y la sociedad. Éstas permiten que los diferentes campos del conocimiento no se estanquen en teorías y prácticas que pudieran ser fundamentales en contextos diferentes a los que se vive actualmente. Ya que vivimos en una etapa de constantes cambios, lo cual deriva en problemáticas nuevas que requieren de soluciones innovadoras, por ello, la investigación es pilar para la innovación y fundamental para el crecimiento de las personas, universidades y sociedades.

ENTORNO UDLAP, Año 2, núm. 5, mayo-agosto 2018, es una publicación cuatrimestral editada por la Fundación Universidad de las Américas, Puebla. Exhacienda Santa Catarina Mártir s/n, San Andrés Cholula, Puebla, C. P. 72810. Tel. (222) 229 20 00. ww.udlap.mx, revista.entornoudlap@ udlap.mx. Editor responsable: Polioptro Fortunato Martínez Austria. Reserva de Derechos al Uso Exclusivo núm. 04-2016-091418231700-102, ISSN: 2594-0147, ambos otorgados por el Instituto Nacional del Derecho de Autor. Responsable de la última actualización de este número: Escuela de Ingeniería, Polioptro Fortunato Martínez, Exhacienda Santa Catarina Mártir s/n, San Andrés Cholula, Puebla, C. P. 72810. Fecha de última modificación: 27 de abril de 2018.

Los artículos, así como su contenido, su estilo y las opiniones expresadas en ellos, son responsabilidad de los autores y no necesariamente reflejan la opinión de la UDLAP.

Queda prohibida la reproducción parcial o total por cualquier medio del contenido de la presente obra, sin contar con autorización por escrito de los titulares de los derechos de autor.

Los artículos publicados en Entorno udlap se someten a revisión por pares, en el sistema de «doble ciego», es decir que los árbitros no conocen el nombre de los autores del texto que revisan, ni los autores los nombres de quienes lo revisan. La responsabilidad del contenido de los artículos corresponde exclusivamente a los autores, y no necesariamente refleja la postura de los editores, miembros del consejo y comité editoriales o de la Universidad de las Américas Puebla.

Las diversas tecnologías de información nos brindan un amplio abanico de posibilidades y han impactado la forma en cómo las personas adquieren –actualmente– conocimiento. En las universidades, el modelo tradicional de enseñanza, en el que interactúa el profesor con un grupo de estudiantes de forma presencial, se está complementando con interacciones en línea, en donde, de igual manera, se utilizan recursos digitales. Muchos de éstos son accesibles de forma abierta, sin importar edad, ubicación o condición social, lo cual abre las puertas para que personas interesadas en aprender continuamente lo hagan sin problema. Sin embargo, es tan fácil compartir información en Internet, que hay mucho contenido que no ha sido validado y, por lo tanto, cabe la enorme posibilidad de no ser correcto, por ello, es importante que organizaciones prestigiosas aporten contenido de calidad a la sociedad: universidades de gran prestigio internacional se han unido a esta tendencia de ofrecer acceso a recursos digitales de calidad a toda la sociedad. Para que las actividades de investigación tengan impacto, se necesitan foros para mostrar los resultados de éstas y, en ese sentido, la revista Entorno UDLAP permite, a investigadores de todas las áreas de estudio, publicar resultados de sus investigaciones, pero no de forma descuidada, por el contrario, cada artículo en la revista pasa por un proceso estricto de revisión, a través de un grupo de expertos, garantizando así la calidad de lo publicado.

Entorno UDLAP se distribuye en formato impreso y digital, y es reflejo de la intención de la Universidad de las Américas Puebla en contribuir a la generación de conocimiento en diferentes áreas de estudio; además de que representa un esfuerzo por parte de la UDLAP en contribuir a facilitar el acceso al conocimiento de calidad a todos los miembros de la sociedad.

En este número encontrarán artículos en las áreas de negocios, ciencias naturales e ingeniería. En el área de negocios se incluyen dos artículos: uno explica aspectos de la mejora continua en las organizaciones y el otro explica aspectos de la enseñanza de la contabilidad financiera en las universidades. En el área de ciencias naturales se incluyen cuatro artículos: dos que explican propiedades de la carne y del romero, uno que habla sobre la actividad antibacteriana de las bacterias ácido lácticas, y el otro que muestra la flora y fauna resultante del abandono de espacios. Por último, en el área de ingeniería, se incluye un artículo que aborda el tema de los recursos hídricos de la cuenca del río Bravo.

Considero que la diversidad de los temas y la actualidad de éstos, resulta en un número de interés que cumple con la filosofía de la revista y que, además, está en concordancia con los objetivos institucionales de difusión de conocimiento de calidad y de acceso abierto para la sociedad en general. Espero disfruten su lectura.

Dr. Sergio Picazo

Decano de Investigación y Posgrado

Cuenca del río Bravo
Vela

kaizencoaching descubriendo el

a través de mejorar la calidad de vida de las personas: un estudio cualitativo

Nuestro mundo se encuentra en –quizá– uno de los momentos más turbulentos de la historia: la pérdida de valores en un mundo globalizado y tecnológicamente desarrollado, que se mueve, en el día a día, de forma rápida y compleja. Ante este entorno tan complejo, que afecta la calidad de vida de ciertas personas en México y en el mundo, algunas de ellas han comenzado a voltear la mirada a formas de vida (filosofías) orientales para comenzar a cambiar su estilo de vida. Una de estas aproximaciones japonesas ha sido el Kaizen. El propósito de este artículo es comprender cómo se utiliza el Kaizen para cambiar la calidad de vida desde una perspectiva individual de las personas que en México han decidido aplicarlo con este objetivo. Se empleó una metodología cualitativa, utilizando la estrategia del caso de estudio, en el cual se eligieron tres casos. La evidencia empírica muestra que, al menos en los casos estudiados, es posible aplicar el Kaizen como un método de cambio incremental para mejorar la calidad de vida utilizando, en dos casos, coach

PALABRAS CLAVE: Kaizen · Calidad de vida · Mejora continua incremental · Kaizen-Coaching

ABSTRACT

Our world is, perhaps, in one of the worst turbulent moments in history. The loss of values in a globalized, technologically developed world, that moves day to day in a quickly and complex way. Faced with this complex environment that affects the quality of life of certain people in Mexico and the world, some of them have begun to turn their gaze to oriental ways of life (philosophies) to begin to change their lifestyle. One of these Japanese approaches has been Kaizen. The purpose of this article is to understand how Kaizen is used to change the quality of life from an individual perspective of the people in Mexico who have decided to apply it for this purpose. A qualitative methodology was used, using the case study strategy, in which three case studies were selected. The empirical evidence shows that, at least in the cases studied, it is possible to apply Kaizen as a method of incremental change to improve the quality of individual life of certain people, using in two cases the support of a coach.

Suárez-Barraza M. F. (2018). Descubriendo el Kaizen-Coaching a través de mejorar la calidad de vida de las personas:

KAIZEN ES UNA FILOSOFÍA DE GESTIÓN QUE GENERA MEJORAS INCREMENTALES EN LOS PROCESOS DE TRABAJO, LA CUAL PERMITE REDUCIR DESPERDICIOS O ERRORES Y POR CONSECUENCIA, MEJORAR EL RENDIMIENTO DEL TRABAJO Y LA SATISFACCIÓN DEL EMPLEADO (Suárez-Barraza, 2007)

CAMBIO BUENO

KEY WORDS:

Kaizen · Quality of Life · Incremental Continuous Improvement · Kaizen-Coaching

INTRODUCCIÓN

Nuestro mundo se encuentra –quizá– en uno de los peores momentos de la historia: la pérdida de valores en el mundo globalizado, tecnológicamente desarrollado, que se mueve en el día a día de forma rápida y compleja es algo común en la cotidianidad de las personas; e incluso para algunos autores, este entorno mundial actual es más caótico y complicado de lo que fue la civilización al principio de la Revolución Industrial (Farazmand, 2001). Las personas que habitamos este planeta estamos «bombardeados» todos los días por diferentes presiones que se encuentran en el trabajo, en la casa y en las ocupaciones de la vida diaria. Bajo esta óptica, muchos vivimos nuestras vidas sin tiempo para realizar ejercicio, con exceso de sedentarismo (entendido como una forma de vida con poco movimiento), y con un estrés tan fuerte que afecta, de diferentes maneras, nuestra salud, generando un problema serio en nuestra calidad de vida, tanto física como mental (Erdociaín, Solís e Isa, 2008).

Por otra parte, en el ámbito empresarial, las organizaciones mecanicistas también afectan la calidad de vida de sus empleados. Para Morgan (1986), este tipo de organizaciones pueden tener consecuencias no previstas y no deseables para los trabajadores. Por ejemplo, desmotivación, mediocridad, frustración, problemas de salud y estrés, entre otros efectos no deseados. Por lo tan-

to, su calidad de vida en el trabajo se ve seriamente diezmada día a día, ya que laboran en dichas condiciones bajo este modelo organizacional (Yoneyama, 2007). En esta misma línea, de acuerdo al Instituto Nacional de Estadística y Geografía (inegi ), en México, del total de la población mexicana, sólo el 16% de los hombres y el 10% de las mujeres realizan alguna actividad física (inegi , 2014); en otros términos, sólo 1 de cada 4 mexicanos practica algún deporte durante cuatro horas a la semana (Fundación Este País, 2010).

Ante este entorno tan complejo, que afecta la calidad de vida de ciertas personas en México y el mundo, algunas de ellas han empezado a voltear la mirada hacia las filosofías de vida orientales para comenzar a cambiar su sedentarismo, provocado por las presiones en el trabajo y la falta de motivación para realizar actividad física, lo que afecta su calidad de vida y, en algunos casos, su salud. Una de estas filosofías de vida es el Kaizen, una aproximación japonesa orientada a desarrollar productos y servicios de alta calidad, procesos robustos, libres de desperdicio y, por supuesto, personas entrenadas y motivadas para realizar mejoras (Macpherson, Lockhart, Kavan y Iaquinto, 2015). Surgida en la industria de la manufactura, principalmente en Toyota Motor Corporation (Corporación de Motores Toyota) (Ohno, 1978), su expansión ha llegado a sectores como el servicio privado y público (Suárez, Smith, y Dalhgaard, 2009).

Imai (1986) y Berger (1997) hablan del principio del Kaizen individual o enfoque en las personas, es decir, cómo el individuo puede realizar mejoras como un ente aislado y cómo, al hacerlo, mejorar su desempeño en la organización.

Otros autores más orientados a la práctica han publicado libros enfocados a utilizar el Kaizen como una filosofía para mejorar la calidad de vida de las personas (Popovich, 1997, Maurer, 2004, Suárez-Barraza, 2015). Sustentados en esta literatura, ciertas personas han buscado mejorar su calidad de vida aplicando los principios del Kaizen en el individuo. El propósito de este artículo es comprender cómo se aplica el Kaizen desde una perspectiva individual, para cambiar la calidad de vida de las personas que, en México, han decidido aplicarlo para este objetivo. Más específicamente, lo que se busca es contestar la principal pregunta de investigación del estudio: ¿cómo se aplica el Kaizen como un método de cambio para incrementar la calidad de vida individual de las personas? Con el fin de responder a esta pregunta, primero se realizó una revisión de la literatura, sobre el principio del Kaizen en su dimensión individual.

DESARROLLO DEL TEMA EL PRINCIPIO DEL KAIZEN INDIVIDUAL O ENFOQUE EN LAS PERSONAS

Masaaki Imai (1986) define el Kaizen de forma general, indicando que significa: «El mejoramiento o mejoramiento continuo en la vida social, familiar, personal y de trabajo. En el lugar de trabajo, Kaizen significa mejoramiento continuo que involucra a todos, gerentes y trabajadores por igual». Para la institución japonesa JRS (2006), en su sistema de gestión de información de servicios, el Kaizen se define como: «la selección de medios para alcanzar los objetivos de mejora, y los métodos de cambio en la forma en que se realiza el trabajo». Finalmente, una definición más específica del Kaizen, orientada a Latinoamérica, es la proporcionada por Suárez (2007): «Una filosofía de gestión que genera mejoras incrementales en los procesos de trabajo, la cual permite reducir desperdicios o errores (MUDA palabra japonesa de este término) y por consecuencia, mejorar el rendimiento del trabajo y la satisfacción del empleado. Por su parte, Newitt (1996) remarca que la palabra Kaizen es una derivación de dos ideogramas japoneses (Kanjis) que significan: KAI, «cambio», y ZEN «bueno» (para mejorar). Por lo tanto, en su versión occidental: mejora continua o principio de mejora continua (Lillrank y Kano, 1989). Por lo anterior, Imai (1986) señala que el Kaizen se puede dividir en tres segmentos: «1) el Kaizen orientado a la gestión; 2) el Kaizen orientado al grupo; 3) el Kaizen orientado al individuo» (Imai, 1986, p. 81). De esta manera, esta investigación se centra

Masaaki Imai (1986) define el Kaizen como: EL MEJORAMIENTO O MEJORAMIENTO CONTINUO EN LA

VIDA SOCIAL

principalmente en el contexto que explica el Kaizen orientado al individuo. Imai (1986, p. 110) señala que el Kaizen individual o enfoque en las personas: «…el Kaizen individual se manifiesta en forma de sugerencia. El sistema de sugerencias es un vehículo para que los trabajadores aporten mejoras y puedan cristalizar la filosofía de trabajadores brillantes y no sólo de empleados que trabajan fuerte». Por tal motivo, los empleados deben buscar en todo momento trabajar de manera inteligente y, para ello, ser capaces de cambiar y mejorar por sí mismos en su «yo» interno, tal como lo sugiere la literatura empresarial al respecto (Popovich, 1997; Maurer, 2004; Suárez 2007). Durante sus seminarios, Imai (2006) ha recalcado la importancia de contar con «personas Kaizen» para que puedan existir «empresas Kaizen».

CALIDAD DE VIDA: SU CONCEPTO Y DIMENSIONES

FAMILIAR

PERSONAL DE TRABAJO

La literatura nos muestra una perspectiva aristotélica para explicar el concepto de calidad de vida. De esta manera, Nussbaum y Sen (1986) proponen que puede entenderse como: «una lista de funcionamientos que constituyen una buena vida humana», ciertas características de nuestra común humanidad, aunque se experimenten de manera diferente en distintas culturas. Por lo tanto, desde su perspectiva aristotélica, Nussbaum y Sen (1986) proponen una lista de capacidades humanas «esenciales», entre las cuales se puede encontrar la calidad de vida. Éstas se estructuran en dos umbrales: a) un primer umbral estaría compuesto por las funciones humanas básicas, por debajo de las cuales una vida estaría tan empobrecida que no sería humana. Incluye nuestra mortalidad y consciencia, además de la capacidad para experimentar placer y dolor, la capacidad cognitiva, un desarrollo infantil temprano, la razón práctica, planificación y manejo de nuestra propia vida, el sentimiento de filiación con otros seres humanos, la relación con otras especies y la naturaleza del humor y del juego; b) en el segundo umbral, Nussbaum distingue uno superior –de corte ético– debajo del cual estas funciones características están disponibles en forma tan reducida que, a pesar de que juzguemos que es una vida humana, no la pensamos como una buena vida humana.

El término de calidad de vida es tan amplio que Hajiran (2006) lo clasifica en cuatro grandes dimensiones a través de las cuales se puede estudiar la calidad de vida:

ESTA INVESTIGACIÓN SE HA SUSTENTADO EN EL MARCO CONCEPTUAL PRESENTADO EN LA REVISIÓN DE LA LITERATURA, LO

CUAL HA LLEVADO A FORMULAR TRES HIPÓTESIS TEÓRICAS QUE SERÁN VALIDADAS EN EL TRABAJO DE CAMPO PARA COMPRENDER A MAYOR PROFUNDIDAD ESTE FENÓMENO.

1) Dimensión de salud física: antes de conducir un tratamiento específico, los médicos utilizan el indicador Quality-Adjusted-Life-Years (qaly ) (años de vida ajustados por calidad ajustada de los años de vida), para evaluar el nivel de calidad de vida de los pacientes. Dicho indicador percibe qué factores críticos del metabolismo de un individuo ponen en riesgo su bienestar físico (obesidad, diabetes, alcoholismo, tabaquismo, entre otros).

2) Dimensión económica: está relacionada directamente con el quehacer gubernamental de un país en el cual se trata de asegurar el bienestar de la sociedad y su calidad de vida, a través de la más alta eficiencia económica de dicha gestión.

3) Dimensión psicológica-conductual: representa todo tipo de pensamientos que llevan a las personas a generar conductas que dañan su salud física y mental, sin tener una enfermedad o patología psicológica. Por ejemplo, comer, consumir bebidas alcohólicas y fumar en exceso por ansiedad, baja autoestima, frustración, etcétera.

4) Dimensión del trabajo: relacionada con el bienestar físico y mental de la persona dentro de su trabajo.

MOTIVACIÓN DE LA INVESTIGACIÓN E HIPÓTESIS TEÓRICAS

La revisión de la literatura indicó que –prácticamente– no existe ninguna referencia académica que analice cómo se puede presentar el Kaizen en su segmento individual, y más aún, cómo puede representar un método de cambio incremental en la calidad de vida de las personas, utilizando el apoyo de un coach. Sin

DIMENSIÓN ECONÓMICA

DIMENSIÓN DE SALUD FÍSICA

CALIDAD DE VIDA

DIMENSIÓN PSICOLÓGICACONDUCTUAL

DIMENSIÓN DEL TRABAJO

Hajiran (2006) propone cuatro grandes dimensiones a través de las cuales se puede estudiar la calidad de vida.

CASO 1 Femenino 38 años Licenciatura en Administración

CASO 2 Femenino 35 años Licenciatura en Turismo

Estatus de su vida antes del cambio Situación económica

Casada con dos hijos, dedicada a las labores del hogar Ama de casa que depende del ingreso de su esposo

Casada sin hijos, dedicada a la venta de bienes raíces

Trabajadora asalariada con un sueldo menor al promedio para un técnico con bachillerato

CASO 3 Masculino 42 años Contador público

embargo, se encontraron al menos cinco libros prácticos que hablan del tema:

1) Living Kaizen: An Innovative, Systematic Way to Transform Your Life!, de Michael Lim y Chee Iihann (2010) (Viviendo el Kaizen. Un sistema innovador para transformar tú vida);

2) The Kaizen Plan for Organized Authors: Take Control of Your Writing Career 10 Minutes at a Time, de Lynn Johnston (2011) (El plan Kaizen para autores organizados, tome el control y escriba su trayectoria en 10 minutos);

3) Kaizen and You: Personal Success through Self Knowledge and Continuous Improvement de Igor Popovich (1997; 2011) (El Kaizen y tú: éxito personal a través del autoconocimiento y la mejora continua); The Kaizen Method to Living a Healthy Lifestyle: Easy Steps to Better Eating and Exercise Habits to Help You Lose Weight and Feel Great, de Barbara Bingham (2011) (El método del Kaizen para vivir una vida sana: pasos simples para comer y ejercitarte mejor con el fin de perder peso y sentirte bien);

4) One Small Step Can Change Your Life: The Kaizen Way, de Robert Maurer (2004) (Un pequeño paso puede cambiar tu vida: la filosofía del Kaizen).

Prácticamente ninguno de ellos presenta un marco teórico para sustentar sus ideas como método de cambio. De hecho, algunos de ellos se presentan como «recetas de cocina» que pueden funcionar con cualquier persona, en cualquier entorno, cultura y, sobre todo, en cualquier dimensión de las que se compone la calidad de vida.

Casado con dos hijos, trabaja en una empresa multinacional

Trabajador asalariado con un sueldo promedio para un profesionista

Por todo lo anterior, existe una clara motivación para aportar a esta brecha teórica del Kaizen en su segmento individual como elemento de mejora en las personas. Por lo tanto, esta investigación se ha sustentado en el marco conceptual presentado en la revisión de la literatura, lo cual ha llevado a formular tres hipótesis teóricas que serán validadas en el trabajo de campo para comprender a mayor profundidad este fenómeno.

H1. El Kaizen puede servir como método de cambio incremental para mejorar la calidad de vida de una persona en su dimensión física.

H2. El Kaizen puede servir como método de cambio incremental para mejorar la calidad de vida de una persona en su dimensión psicológica-conductual con el apoyo de un coach

H3. El Kaizen en su segmento individual puede representar una forma de vida equilibrada (budismo), que tiene un propósito (telos), y una visión individual, la cual aleja a las personas de los extremos de la vida cotidiana (malos hábitos) con el apoyo de un coach

METODOLOGÍA

Con la finalidad de explorar el fenómeno de utilizar el segmento individual del Kaizen como método de cambio incremental en la calidad de vida de las personas, se decidió tomar una aproximación cualitativa, utilizando el método del caso de estudio (Einsenhardt, 1989; Yin, 1994). El método del caso de estudio es muy útil cuando la investigación requiere de contestar preguntas del tipo «cómo» y «por qué» (Yin, 1994). En esta investigación, dada la naturaleza

Tabla 1. Perfiles de los casos de estudio.
Persona Sexo Edad Grado de estudio

SE IDENTIFICARON 28 CANDIDATOS Y SE REALIZÓ UN PRIMER FILTRO A TRAVÉS DE UNA ENTREVISTA TELEFÓNICA, PREGUNTANDO ELEMENTOS CARACTERÍSTICOS DEL KAIZEN Y DEL CAMBIO DE CALIDAD DE VIDA.

Persona Dimensión de calidad de vida que buscaba cambiar Efectos en su calidad de vida Aproximaciones del Kaizen tomadas

La obesidad la estaba llevando a problemas cardiacos

CASO 1 Física. Obesidad excesiva

Baja autoestima

Posibles problemas pulmonares

CASO 2

Psicología-conductual, tabaquismo, fumadora excesiva

Pequeñas acciones de cambio incrementales y acumulables

Trabajar en encontrar el equilibrio mental y físico

Pequeñas acciones de cambio incrementales y acumulables

Frustración y ansiedad en su vida personal y profesional Encontrar el equilibrio mental y físico

Insomnio, falta de apetito y tic nervioso en los párpados de los ojos

CASO 3

Del trabajo. Falta de una visión individual clara que lo empujara a un mayor desarrollo personal

Frustración y ansiedad en su vida personal y profesional

Tabla 2. Resultados obtenidos en los tres casos de estudio.

de la metodología, la pregunta de investigación y las hipótesis planteadas, se seleccionaron tres casos de estudio, correspondientes a tres personas que han utilizado el Kaizen como método de cambio incremental en su calidad de vida, siguiendo el criterio de «muestreo teórico». Para Ritchie y Lewis (2003) el muestreo teórico es el proceso de recolección de datos para generar una teoría por la cual el investigador selecciona, codifica y analiza los datos de acuerdo a la máxima riqueza y potencial de los mismos para conseguir resultados útiles del diseño de la investigación. Por esta razón, los casos de estudio seleccionados tienen un amplio potencial de contribución para la comprensión y desarrollo de teoría. Pettigrew (1997) señala que la importancia de la selección en este tipo de muestreo no radica en el número de casos, sino en el estudio a profundidad de cada uno de ellos. El proceso de selección de los casos fue el siguiente. Primero, se exploró la base de datos de los alumnos del mba de una universidad determinada, seleccionando a aquellos quienes habían cursado en los últimos tres años (20082011) las materias de Estrategia de Operaciones, Manufactura Avanzada (Lean-Kaizen) e Innovación de Procesos. Esta exploración detectó quién de ellos había experimentado un cambio significativo en su calidad de vida en cualquier dimensión. Con este criterio, se identificaron 28 candidatos y se realizó un primer filtro a través de una entrevista telefónica, preguntando elementos característicos del Kaizen

Pequeñas acciones de cambio incrementales y acumulables

Trabajar para encontrar un «telos», un propósito, una visión personal y sobretodo pequeños objetivos simples del lograr, paso a paso

y del cambio de calidad de vida (sin indicarles específicamente los términos). El resultado fue que sólo existían ocho personas que reunían las características. Cada una de ellas fue entrevistada brevemente para validar estos elementos de forma personal para buscar el rapport de la entrevista cara a cara (Ritchie y Lewis, 2003). Se hicieron preguntas similares a las telefónicas, como por ejemplo: ¿en los últimos tres años has intentado cambiar tu forma de vida?, si la respuesta era positiva, se preguntaba, ¿haz utilizado algún método, filosofía, técnica o herramienta para hacerlo?, entre otras preguntas de profundidad. Al final de este proceso, sólo tres personas (la unidad de análisis del caso de estudio era la persona) reunían dichas características. En otros términos, sólo tres casos de estudio utilizaron al Kaizen como método de cambio incremental para mejorar alguna dimensión de su calidad de vida (ver tabla 1).

Para mantener la consistencia de los datos, se utilizaron tres métodos de recolección: 1) observación directa; 2) análisis documental y 3) entrevistas semiestructuradas (Yin, 1994).

En la observación directa se acompañó a cada uno de los tres casos estudiados durante treinta días (sin contar los fines de semana), cinco horas por día, de 9:00 a 14:00 horas. El propósito fue observar la conducta específica de cómo aplicaban el Kaizen, como método de cambio incremental, con el fin de mejorar su calidad de vida. Durante dicho seguimiento, se recolectó material documental (el que se tenía) referido a

la utilización del Kaizen para este cambio: registros médicos, bitácoras personales, diarios personales, planes y objetivos de la empresa en las cuales colaboraba cada persona estudiada, artículos de revistas donde se ha publicado uno de los casos; planes de nutrición, bitácoras de ejercicio, recetas médicas, entre otros. Con finalidad de incrementar la confiabilidad de la investigación se realizó un protocolo de entrevista y una base de datos de todos los casos de estudio (Pettigrew, 1997). Se realizaron dos entrevistas a cada participante, la primera al inicio y la segunda tres meses después de haber iniciado el contacto. Esta última entrevista tuvo dos propósitos fundamentales: el primero, ratificar los datos encontrados en la observación directa y la primera entrevista; el segundo, observar el progreso que el Kaizen había generado en cada uno de ellos. En total se realizaron seis entrevistas (dos a cada caso) las cuales se realizaron en los meses de octubre de 2013 y febrero de 2014, siguiendo estrictamente el protocolo de investigación, pero dando flexibilidad a ciertas respuestas importantes al tema. Cada entrevista se transcribió como mínimo 48 horas después de realizada y fueron exhaustivas en claridad y saturación de datos. Finalmente, el análisis de los datos buscó, en todo momento, asegurar la validez de constructo a través de utilizar múltiples fuentes de evidencia y establecer una cadena planificada de recolección de datos. Asimismo, se trató de incrementar la validez externa a través de tener varios casos de estudio para comparar (múltiples casos de estudio) (Yin, 1994).

DISCUSIÓN DE RESULTADOS

Esta investigación presenta resultados de tres casos de estudio proporcionando evidencia empírica cualitativa de los beneficios de adoptar el Kaizen como un método de cambio incremental para mejorar la calidad de vida. Tal como se observa en la tabla 2, los tres casos muestran resultados positivos derivados de la aplicación del Kaizen. Sin embargo, y vale la pena resaltarlo, el proceso ha sido lento, paso a paso y, por supuesto, lleno de obstáculos en el camino. De hecho, en ningún momento se ha tratado de un proceso fácil; cada una de las personas estudiadas ha tenido que trabajar para lograr un cambio en su calidad de vida durante los días y meses en que han aplicado el Kaizen. Ahora bien, este trabajo encontró tres aportes teóricos fundamentales. Como primer aporte de la investigación, se descubrió una coincidencia teórica; los tres casos analizados aplicaron la

Se utilizaron tres métodos de recolección de datos:

1) OBSERVACIÓN DIRECTA

En la observación directa se acompañó a cada uno de los tres casos estudiados durante:

2) ANÁLISIS DOCUMENTAL

Registros médicos, bitácoras personales, diarios personales, planes y objetivos de la empresa en las cuales colaboraba cada persona estudiada, artículos de revistas donde se ha publicado uno de los casos; planes de nutrición, bitácoras de ejercicio, recetas médicas, entre otros.

3) ENTREVISTAS SEMIESTRUCTURADAS

Se realizaron dos entrevistas a cada participante, la primera al inicio y la segunda tres meses después de haber iniciado el contacto. En total se realizaron las cuales se hicieron en los meses de octubre de 2013 y febrero de 2014.

característica Kaizen de «pequeñas acciones de cambio incrementales y acumulables», por supuesto, sin que ninguna de ellas tuviera relación alguna ni se conocieran entre sí, lo que generó un patrón común de conducta durante el cambio realizado. Cabe señalar que al menos dos de ellos, utilizaron un guía (coach) que los apoyó durante el proceso de mejora; otro dato relevante del estudio. En segundo lugar, siguiendo lo encontrado en el trabajo empírico, cada uno de los casos estudiados fue constante y disciplinado para generar su cambio, a pesar de que en otras ocasiones lo habían intentado (el cambio) y no habían alcanzado ningún tipo de progreso. Los casos 1 y 2 lo habían intentado en al menos unas cinco ocasiones anteriormente y habían fallado. De acuerdo a la literatura, una forma de explicar este hallazgo es que en el Kaizen no se requieren grandes esfuerzos de voluntad individual cuando se intenta realizar una mejora; se busca empezar el cambio con pequeños pasos de comportamiento diferentes a lo «tradicional» y que les venía afectando su calidad de vida. Acompañándose de una pequeña dosis de fuerza de voluntad, de un propósito o visión individual y de un coach de soporte, se puede iniciar el camino hacia un cambio verdadero (Brunet y New, 2003; Imai, 2006; Suárez, 2007; Oropesa, et. al., 2016).

Finalmente, el tercer elemento es que los tres casos comenzaron a vivir un cambio equilibrado en su vida; empezaron a vivir y a experimentar una calidad de vida que tenían muchos años de no vivirla, Algunos de ellos quizás desde su niñez. Además, a pesar de que sólo el caso 3 documentó su visión personal, las personas de los casos 2 y 3 comenzaron a tener un propósito específico para que el cambio fuera parte de su vida cotidiana. La herramienta que impulsó este propósito fue el Kaizen. En la tabla 3 se observan los resultados obtenidos de la aplicación del Kaizen para mejorar la calidad de vida de las personas.

CONCLUSIONES

El punto de origen de la investigación es que el actual mundo globalizado de consumismo, rapidez, incluso de miedo por el terrorismo, presiona a las personas a tal grado que tienen una forma de vida sedentaria y estresante, que afecta seriamente su calidad de vida y salud. Por lo tanto, la pregunta que detonó el propósito de este trabajo fue: ¿cómo se aplica el Kaizen como método de cambio incremental de la calidad de vida individual de las personas? La evidencia empírica nos muestra que, al menos

Suárez-Barraza M. F
DÍAS
ENTREVISTAS

Persona Dimensión de calidad de vida que buscaba cambiar Antes del Kaizen Después del Kaizen

Pesaba 112 kilogramos

CASO 1 Física-salud

CASO 2 Física-salud

Trabajo

CASO 3

Física-salud

Pesó 62 kilogramos La obesidad la estaba llevando a problemas cardiacos

Fumaba en promedio 7 cigarros al día Dejó de fumar por completo Posibles problemas pulmonares

Exceso de estrés laboral

Falta de gusto y orgullo por su trabajo

Insomnio, falta de apetito y movimientos nerviosos en los párpados de los ojos

Tabla 3. Resultados obtenidos de la aplicación del Kaizen en cada caso de estudio.

en los casos estudiados, fue posible aplicar el Kaizen como un método de cambio incremental para mejorar la calidad de vida individual de ciertas personas, utilizando en dos casos el apoyo de un coach, a diferencia del tercer caso que utilizó un libro del Kaizen de enfoque empresarial como guía. Por lo tanto, esta investigación contribuyó a resolver un número de temas abordados en la literatura empresarial señalada al principio del artículo de cómo el Kaizen se puede aplicar como un método para mejorar la calidad de vida de las personas. Cabe resaltar que este trabajo de investigación en ningún momento tuvo el objetivo de generar una «receta médica metodológica», tal como se indica en la literatura práctica del tema (Lim y Iihann, 2010; Johnston, 2011; Popovich, 1997; Bingham, 2011; Maurer, 2004). Por el contrario, se buscó en todo momento estudiar casos (personas) que realmente lo hayan vivido y aplicado en su vida personal bajo su propio ritmo y bajo sus propias circunstancias, sólo siguiendo los principios básicos que el Kaizen, en su segmento individual, indica. De esta manera, los hallazgos fueron relevantes en el sentido de que cada uno de ellos utilizó sus propias acciones para intentar salir de la problemática, dos de ellos con apoyo de un guía o coach que los orientó y no los dejó caer cuando sentían que se daban por vencidos. Por lo tanto, es posible referir, con las limitaciones del estudio pertinente, que nos encontramos frente a una variación del Kaizen como aproximación: el Kaizen-Coaching.

Logró un mejor desarrollo en su trabajo cotidiano, sin estrés laboral

Desaparición y disminución de los síntomas

Otra contribución importante de la investigación fue que, al ir de manera profunda en el estudio y seguimiento personalizado de cada caso (cada persona), se lograron validar las hipótesis de forma preliminar bajo un ángulo cualitativo. De esta forma, para la primera y segunda hipótesis: H1: El Kaizen puede servir como método de cambio incremental para mejorar la calidad de vida de una persona en su dimensión física y H2: El Kaizen puede servir como método de cambio incremental para mejorar la calidad de vida de una persona en su dimensión psicológica-conductual con el apoyo de un coach. Ambas se pudieron corroborar con las personas del caso 1 y el caso 2, derivado de los pequeños cambios que realizaron, tanto para romper el problema de la obesidad, poco a poco y de manera gradual, como el «vicio» de fumar. Se confirmó que es posible realizar los cambios a través del Kaizen en las dimensiones física y conductual. Para la tercera hipótesis: H3: El Kaizen en su segmento individual puede representar una forma de vida equilibrada, que tiene un propósito y una visión individual, la cual aleja a las personas de los extremos de la vida cotidiana (malos hábitos) con el apoyo de un coach; se pudo observar cierta presencia con la persona del caso 2, cuando el firme propósito de mejorar y cambiar la calidad de vida la impulsó a generar dichos cambios. De igual forma, con el caso 3, la persona que deseaba cambiar su calidad de vida en su trabajo cotidiano, se pudo corroborar la H3 en el sentido de que ésta conformó una visión personal

con el apoyo de su coach, que ha equilibrado su vida tanto en lo personal como en lo laboral, y ha comenzado a generarle un propósito y un rumbo a la vida tan difícil que llevaba. Por supuesto que el autor está consciente que corroborar hipótesis con tan sólo uno o dos casos es muy difícil de generalizar bajo una óptica positivista y cuantitativa. No obstante, el propósito de este estudio en ningún momento ha sido buscar una generalización teórica. Por el contrario, en todo momento se ha buscado encontrar evidencia empírica de lo que la literatura práctica o empresarial indica al respecto, tema nada fácil, en un entorno en que las personas consideran muy privado los comportamientos que afectan su calidad de vida, así como los propios esfuerzos de cambio, los cuales, muchos de ellos, han fallado anteriormente por varias razones. Otra posible limitación es que no se ha segmentado la selección de los casos por edades, tipo de educación o nivel socioeconómico, la principal razón de la selección fue el uso de los principios del Kaizen para el cambio. Aunque, tal como se señaló en la metodología, sí se descartaron casos que no cumplían con estas características. Asimismo, el que cada uno de los casos estudiados haya permitido que se les hiciera una observación personalizada en algo tan privado como su calidad de vida, fue un gran logro de esta investigación. Sin embargo, no fue sencillo conseguirlo y representó una inversión de tiempo constante durante, por lo menos, un mes continuo.

En estudios futuros, si se logran detectar más casos que cumplan los requisitos indicados para la selección, se puede realizar un filtro más detallado en el cual se busque por segmentos de edad, tipo de educación o nivel socioeconómico. De hecho, esta investigación se encuentra en un proceso de seguimiento, ya que se continúa indagando y documentando los nuevos casos que pudieran surgir.

Manuel F. Suárez-Barraza Doctor en Management Science por esade Business School en Barcelona, España. Maestro en Investigación en Calidad Total e Ingeniería Industrial en la Universidad de Sophía en Japón. Autor de más de 40 artículos académicos, 8 libros del tema de mejora continua (Kaizen), y varios casos y capítulos de libros. Integrante del equipo editorial de International Journal of Quality and Service Science revista británica indexada. Miembro del Sistema Nacional de Investigadores Nivel 1, desde 2010. Actualmente es director académico de Negocios Internacionales y profesor investigador de la udlap manuel.suarez@udlap.mx

REFERENCIAS

• Berger, A. (1997). Continuous Improvement and Kaizen: Standardizations and organizational designs. Integrated Manufacturing System, 8(2), 110-117.

• Bingham, B. (2011). The Kaizen Method to Living a Healthy Lifestyle: Easy Steps to Better Eating and Exercise Habits to Help You Lose Weight and Feel Great. Londres: E-Kindle. Amazon.

• Brunet, A. P. y New, S. (2003). Kaizen in Japan an empirical study. International Journal of Operations & Production Management, 23(12), 1426-1446. Obtenido de https://doi.org/10.1108/01443570310506704

• Eisenhardt, K. M. (1989). Building Theories from Case Study Research. Academy of Management Review, 14(4), 532-550.

• Erdociaín, L., Solís, D. e Isa, R. (2008). El sedentarismo. Estudio de Hábitos Deportivos de la Población Argentina. Buenos Aires: Secretaría de Turismo y Deporte.

• Farazmand, A. (2001). Editor’s note: Public Organizations in the Age of Accelerated Globalization. Public Organization Review, 1(1) 5-13.

• Fundación Este País. (2010). El deporte en la vida de los mexicanos. Fundación Este País, (231), 61-64.

• Hajiran, H. (2006). Toward a quality of life theory: Net domestic product of happiness, Social Indicators Research. 75(1), 31-43.

• Imai, M. (1986). Kaizen: The key to Japan’s Competitive Success. Nueva York: Random House.

• Imai, M. (2006). What is Total Flow Management using Kaizen approach? (3rd Day of Kaizen Training). Barcelona: Kaizen Institute.

• Instituto Nacional de Estadística y Geografía (inegi). Encuesta Nacional sobre Uso del Tiempo 2009, Microdatos, 2014. Recuperado de www.inegi.gob.mx

• Johnston, L. (2011). The Kaizen Plan for Organized Authors: Take Control of Your Writing Career 10 Minutes at a Time. Nueva York: World Press.

• JRS (2006). Clarifying the meaning of Kaizen. Recuperado de www.jrs.ne.jp/sample/ pdf/1150501.pdf.

• Lillrank, P. y Kano, N. (1989). Continuous Improvement-Quality Control Circles in Japanese Industry. Ann Arbor MI: University of Michigan.

• Lim, M. y Iihann, C. (2010). Living Kaizen: An Innovative, Systematic Way to Transform Your Life! Nueva York: Morgan James Publishing.

• Macpherson, W., Lockhart, J., Kavan, H. y Iaquinto, A. (2015). Kaizen: a Japanese philosophy and system for business excellence. Journal of Business Strategy, 36(5) 3-9.

• Maurer, R. (2004). One small step can change your life. The Kaizen way. Nueva York: Workman Publishing Company.

• Morgan, G. (1986). Images of Organizations. Beverly Hills: CA. Sage.

• Newitt, D. J. (1996). Beyond BPR & TQM - Managing through processes: Is kaizen enough? Industrial Engineering Londres: Institution of Electrical Engineers.

• Nussbaum, M. y Sen, A. (1998). La calidad de vida. México: Fondo de Cultura Económica.

• Ohno, T. (1978). Beyond Large-scale Production. Portland Oregón: Productivity Press.

• Oropesa, M. y García, J. L., Maldonado, M., Aide, A. y Martínez, V. (2016). The impact of managerial commitment and Kaizen benefits on companies. Journal of Manufacturing Technology Management, 27(5), 692-712. Obtenido de https://doi.org/10.1108/JMTM02-2016-0021

• Pettigrew, A. M. (1997). What is a processual analysis? Scandinavian Journal of Management, 13(4) 337-348.

• Popovich, I. (1997). Kaizen and you. Reino Unido: Management Books 2000.

• Popovich, I. (2011). Kaizen and You: Personal Success through Self Knowledge and Continuous Improvement. Reino Unido: Management Books 2000.

• Ritchie, J. y Lewis, J. (2003). Qualitative Research Practice. Londres: Sage Publications.

• Suárez-Barraza, M. F. (2007). El Kaizen, la filosofía de mejora e innovación incremental detrás de la Admnistración por Calidad Total. México: Panorama Editorial.

• Suárez-Barraza, M. F., Smith, T. y Dalhgaard, S. M. (2009). Lean-Kaizen Public Service. An empirical approach in Spanish Local Government. TQM Journal, 21(2) 143-167.

• Suárez-Barraza, M. F. (2015). El Kaizen-Coaching, un método para mejorar la calidad de vida de las personas. Puebla: Editorial udlap

• Yin, R. (1994). Case Study Research, Design and Methods. California: Sage Publications.

• Yoneyama (2007). Phenomenology of life, Zen and Management. Society and Business Review 2(2) 204-207.

Suárez-Barraza

Life between the death:

how nature reclaims

cemeteries

Cities are growing really fast, and new buildings are appearing everywhere either for the living or for leisure, affecting wildlife and making it move to further places outside the city. As new building appear, green space is reduced, turning cemeteries into places of leisure and as the refuge for native wildlife. Turning the cemeteries into parks can be a tricky thing as some people view them as sacred. Population keeps increasing every year, and noise, pollution, and mental health problems increase as well. Cities can be very stressful and people need to have recreational spaces in urban areas. Some psychologists say that human brain has not yet coped with the changes of living in cities because humans have spent thousands of years adapting to nature and they have only been living in cities for just a few generations. People are disengaging from the natural world that surrounds us, causing several mental health issues like depression, anxiety, and stress.

POPULATION

KEEPS INCREASING EVERY YEAR, AND NOISE, POLLUTION, AND MENTAL HEALTH PROBLEMS INCREASE AS WELL.

CITIES

CAN BE VERY STRESSFUL AND PEOPLE NEED TO HAVE RECREATIONAL SPACES IN URBAN AREAS.

Parrodi Anaya A. C. (2018). Life between the death: how nature reclaims cemeteries Entorno UDLAP, 5. Recibido: 10 de octubre de 2017. Aceptado: 3 de enero de 2018.
Parrodi Anaya A. C. Entorno
THE ORIGINAL PURPOSE OF THE CEMETERIES IS TO HAVE A PLACE FOR THE DEATH WITH A PROPER BURIAL AND A NICE LANDSCAPE SO THAT PEOPLE CAN MOURN THEIR FAMILIES, FRIENDS OR PEOPLE THEY KNEW.

Recreational spaces are needed in big cities, this gives the community a chance to play and rest. The truth is green spaces are needed for human health, some studies have shown that exposure to greenery helps improve the well-being of the individual and makes us less vulnerable to depression. Places like this will not only help humans but will also increase fauna population which again will help us regulate cities. The idea of making cemeteries into places of relaxation comes in handy when there is no more space for greenery in big cities, making cemeteries have a double function in society: one for religious purposes and the other as a public space to relax in hectic cities. The original purpose of the cemeteries is to have a place for the dead with a proper burial and a nice landscape so that people can mourn their families, friends or people they knew. But now a day, not all the people bury the dead in cemeteries nor they go to mourn anymore, leaving these spaces partly or entirely abandoned. For people having different views about cemeteries can arise a problem when making them a leisure area but even though different points of view may affect, we cannot deny that cemeteries are one of the greenest places in some cities, some people even say they are green lungs for the city. For example, the Oslo cemetery serves as lungs for the big city and some people even describe going there to relax and enjoy nature, some use it

to cross to the other side of the city when going to work but still enjoy going thru the cemetery rather than crossing through the street side. This cemetery is also an example of tolerance as they have divided the land for the Muslims to use and now they are starting to change the context of them from sacred to leisure by leaving some room for those that want to mourn the dead and the other half as a public space.

Some cemeteries have been abandoned partially or completely leaving behind space for nature to take over. Hosting a great number of insects (beetles), mammals (bats), birds and plants, old cemeteries gather a collection of native species that are no longer found in the city, making them a potential place for the scientists to study native trees, plants, and animals, as well as old graveyard stones that accumulate a lot of lichen and fungi. It is easier for nature to reclaim abandoned areas because there is no one to take care of them or disturb them. Big cemeteries provide ecosystem services and help as safe passing points for animals to move from one place to another without encountering with the urban human life; this is very important for animals as they might get killed on the roads by cars, or bicycles. London cemeteries are a great example of biodiversity as they have allowed nature to reclaim what was once their home.

In order to make cemeteries a home for nature, some governments have divided wooded

SOME OF THE MOST RELEVANT PRINCIPLES SO THAT CEMETERIES HELP BIODIVERSITY ARE NOT TO PRUNE TREES IN BIRDS BREEDING SEASON, SO THAT THEY ARE NOT DISTURBED NOR HOMELESS.

areas where there is no human interaction providing space and time for nature to reclaim those parts of the cemetery, wooded areas have a very important function since they provide shelter for native species that are affected due to the loss of green spaces in urban environments. In areas where people can spend their day, they are able to do some gardening but taking care of wildlife that lives there. For example, Natural England encourages some principle that can be applied to cemeteries. Some of the most relevant principles so that cemeteries help biodiversity are not to prune trees in birds breeding season, so that they are not disturbed nor homeless. Other principles include retaining some fallen branches or trees, if permitted and in safe areas, so that they help host more life; controlling invasive plants that are not allowing native plants to grow or that are affecting fences or stones, and planting new trees and shrubs where there are none or less fauna, not only to make it more appealing but to help spread biodiversity inside the cemetery. If all the cities begin to follow these norms in all their cemeteries on a regional scale, they could provide the same effect as parks or gardens, helping the ecosystem of cities and the health of human beings. Nature reclaiming of abandoned spaces is beneficial to everyone so in order to make cities greener. We need to let nature reclaim its territories.

Ana Cecilia Parrodi Anaya (fotografías originales) Es licenciada en Diseño de Información Visual por la Universidad de las Américas Puebla y es maestra en Fotografía Biológica e Imagen por la Universidad de Nottingham. Ha ganado premios en fotografía y video en México y otros países. Actualmente se dedica a tomar fotografías de especies mexicanas. ana.parrodiaa@udlap.mx

Parrodi Anaya A. C. Entorno udlap, núm. 5, 14-17, Mayo 2018
«Cowslip, Primula veris»
Goldfinch, Carduelis carduelis

ELECTRO CARDIOGRAMA MEDIANTE SEÑALES DE UN RECONOCIMIENTO DE PERSONAS

RESUMEN

El reconocimiento de personas, a través de la adquisición de señales biométricas, para aplicaciones de seguridad y confidencialidad de datos es una necesidad creciente día con día. La extracción y clasificación de características a partir de señales de un electrocardiograma (ecg ) para poder reconocer a una persona es un área de gran interés para el autenticado de personas en los sistemas inteligentes, debido a la robustez de dicha señal que deriva en la imposibilidad de suplantación de identidad para engañar a un sistema automatizado. En este trabajo se extraen las señales ecg de 3 usuarios mediante el uso de un sistema electrónico, para después extraer características lineales mediante un modelo autorregresivo (arma ) con optimización hereditaria. Asimismo, se obtiene a un experto que «asesora» a dichas características a través del uso de una red bayesiana que permite la identificación efectiva del usuario, generando de esta forma un sistema experto.

Por: Nallely Alejandra Palacios-López · Gibran Etcheverry

1. Forma de onda

PALABRAS CLAVE:

Biometría · Reconocimiento de personas · Redes bayesianas · Sistemas expertos

ABSTRACT

People recognition through biometric signals acquisition for data security and confidentiality applications is a growing need every day. In order to recognize a person, the extraction and classification of characteristics from electrocardiogram (ecg ) signals, is an area of great interest for people authentication in intelligent systems, due to the signal robustness that results in the identity impersonation impossibility to deceive an automated system. In this work, the ecg signals of 3 users are extracted through an electronic system in order to extract linear characteristics by an autoregressive (arma ) modeling with hereditary optimization; likewise, an expert is extracted who «advises» these characteristics through a Bayesian Network implementation to allow the user’s effective identification, thus generating an expert system.

KEYWORDS:

de un ecg (Estrada, 2011). LA IDENTIDAD ES LO QUE PERMITE DISTINGUIR A UN INDIVIDUO DE LOS DEMÁS Y RESULTA DE UNA COMBINACIÓN DE RASGOS BIOLÓGICOS (FÍSICOS) Y SOCIALES (CONDUCTUALES) QUE LE SON INTRÍNSECOS.

irreproducibles y confidenciales, para que sólo el usuario pueda autenticarse correctamente (O’Gorman, 2002).

El trabajo sobre la biométrica ecg ha visto un nuevo amanecer a través de la introducción de la detección,

Biometrics · Pattern Recognition · Bayesian Networks · Expert Systems

INTRODUCCIÓN

Actualmente, los sistemas de control de acceso o métodos de seguridad son esenciales para proteger la integridad, confidencialidad y disponibilidad de la información de cada individuo. Muchos de los sistemas y procesos de autenticado que se ofrecen a las personas en el control de acceso a la información, ya sea en bancos o en donde se utilice una contraseña, son muy propensos a ser duplicados. Una de las características más importantes que deben tener los métodos de seguridad es que deben ser

La identidad es lo que permite distinguir a un individuo de los demás y resulta de una combinación de rasgos biológicos (físicos) y sociales (conductuales) que le son intrínsecos: la forma de la cara, la estatura, el color de ojos, la conformación de la dentadura, son ejemplos típicos de elementos constituyentes de la identidad biológica de una persona. La práctica tecnológica de identificar a un individuo por sus rasgos biológicos y conductuales recibe el nombre de biometría; cuando tiene lugar de manera automatizada y mediante técnicas matemáticas auxiliadas por computadora, se conoce como biometría informática. La identidad así construida se denomina identidad biométrica del individuo (unam , Facultad de Ingeniería Biométrica Informática, s.f.).

El estudio de las señales electrocardiográficas (ecg ) como un posible rasgo biométrico se remonta a las innovadoras obras de Biel et al.(2001) y Kyoso y Uchiyama (2001). Aunque muchos autores han seguido contribuyendo al campo, un aspecto limitante de esta modalidad ha sido la introducción del sensor que, por lo re-

«OFF-THEPERSON»

lo que hace aceptable a las señales ecg en comparación con los métodos más utilizados como:

gular, requiere la colocación de múltiples electrodos en el pecho y las extremidades del sujeto. El trabajo sobre la biométrica ecg ha visto un nuevo amanecer a través de la introducción de la detección «off-the-person», lo que hace aceptable a las señales ecg en comparación con los métodos más utilizados como el iris, impresiones de las palmas y la huella digital, entre otros. El ecg de un ser humano es más universal y difícil de ser falsificado utilizando métodos fraudulentos. Métodos propuestos anteriormente para el uso de reconocimiento de identidad están basados en el electrocardiograma (Laurenoço, Silva y Fred, 2011). Asimismo, la clasificación de un ecg empleando segmentos de 2 y 5 segundos para detectar arritmias ha sido implementado recientemente (Rajendra et al., 2017). La importancia del ecg para identificar seres humanos ha sido revisada a través de cien publicaciones para establecer las técnicas y madurez metodológica de este importante rasgo biométrico (Fratini et al., 2015). En términos prácticos, hay patentes que establecen su uso, no sólo en el reconocimiento de personas de manera instantánea y continua (Agrafioti, 2017), sino también para la seguridad en automóviles, reconociendo a su propietario y su estado de salud (Srinivasn, 2015).

RASGOS BIOMÉTRICOS

Teóricamente, las características fisiológicas o de comportamiento del ser humano se pueden utilizar como medio de identificación personal sólo si poseen las siguientes propiedades: universalidad, unicidad, permanencia y recolectabilidad. Universalidad significa que todas las personas pueden tener la característica

que se desea usar como rasgo biométrico. Unicidad implica que el rasgo biométrico debe ser lo suficientemente distintivo entre un usuario y otro. Por recolectabilidad se entiende que el rasgo biométrico requerido debe ser fácilmente medible. Mientras que permanencia significa que las características del rasgo biométrico deben ser invariantes con el tiempo, posición y condición del usuario (Laurenoço, Silva y Fred, 2011). Además, para mayor practicidad, los siguientes requerimientos son deseables: rendimiento, aceptabilidad y elusión. Rendimiento significa que el sistema necesita desempeñarse con rapidez y precisión. Por aceptabilidad se entiende que las personas deben aceptar el sistema con facilidad. Y con elusión nos referimos a lo fácil que es engañar al sistema por medio de técnicas fraudulentas. Una comparativa entre los rasgos biométricos comúnmente estudiados como método de identificación de usuarios, incluidas las señales ecg , se presenta en la tabla 1.

SEÑAL ECG

Las señales ecg son un registro de la actividad eléctrica del corazón, éstas, denominadas en este contexto como biopotenciales, tienen su origen en la capacidad que poseen las células orgánicas para producir diferenciales de potencial durante sus procesos funcionales al transformar energía química en eléctrica. El fenómeno bioeléctrico en las células del miocardio sucede a un proceso de polarización y despolarización de las membranas celulares. La medición de estos potenciales, cuyas magnitudes varían en el tiempo, se conoce como electrocardiograma. El corazón humano pue-

Figura 2. a) Señal ecg real en el tiempo. b) Transformada de Fourier donde se observa el contenido de baja frecuencia.

cual ya no presentan cambios substanciales (ver tabla 2).

ANÁLISIS DE LA SEÑAL ECG

La señal ecg es no estacionaria, por lo que su contenido es de baja frecuencia debido a su naturaleza cambiante (ver la figura 2b), lo que significa que la información se encuentra disponible pocas veces en segmentos de tiempo. Otra característica está representada por las variaciones de la señal entre patrones periódicos e irregulares que producen fenómenos no lineales nombrados intermitencia. Estas variaciones representan fases caóticas repentinas en la forma de ráfagas o fallos (Priestley, 1988), los cuales son característicos de sistemas con atractores. Un atractor es simplemente un estado donde un sistema dinámico se asienta, de manera que es necesaria la disipación, por lo tanto, un sistema dinámico disipativo se asienta en un atractor. Matemáticamente un atractor es un conjunto en el espacio de fase (ver la figura 3) que tiene una vecindad en la cual todo punto permanece cercano y alcanza el atractor a medida que el tiempo tiende al infinito (Peña y Dairuve, 2005).

METODOLOGÍA

En este trabajo se utilizó el sensor ekg de Vernier y la tarjeta Elvis II con LabView SignalExpress® para la adquisición de las señales ecg . Una vez que la señal fue procesada adecuadamente, el registro se almacenó en una base de datos para analizarla con ayuda del programa de Matlab® para la extracción de características y su clasificación (ver figura 4).

SISTEMA DE ADQUISICIÓN

En el sistema de adquisición se emplearon tres electrodos ekg de Vernier (ver figura 5):

1)Referencia en color negro para la línea isoeléctrica o línea de base (muñeca derecha)

2)Negativo en color verde en el codo derecho 3)Positivo en color rojo en el codo izquierdo

de caracterizarse, entonces, como un complejo sistema bioeléctrico, donde el registro electrocardiográfico está compuesto por varias ondas e intervalos que representan el comportamiento del corazón. Tal como se puede observar en la figura 1, cada latido del ecg se manifiesta por seis ondas fundamentales: P, Q, R, S, T y U. Es importante mencionar que los valores nominales de medición de un ecg varían hasta los 16 años de edad, momento después del

El sensor ekg de Vernier se conectó a la tarjeta Elvis II a través del Analog Protoboard Connector (ver figura 6).

Los pasos detallados para efectuar dicha conexión se encuentran en el manual Vernier ECG for NI Elvis II (National Instruments, 2014) (ver figura 7).

El software de LabView SignalExpress (National Instruments, 2014) se empleó para elegir el canal por el cual se adquirió la señal a través de la tarjeta Elvis II y, para ello, se decidió

Parámetro 1-3 años

Amplitud

2. Valores normales para mediciones del ecg ordenados por edades (Rijnbeek, 2007).

especificar un ritmo de adquisición de datos de 1 kHz durante diez segundos. Es importante notar que mientras que el ecg es muestreado, típicamente a una frecuencia de 500 Hz a 1 kHz, la señal de ritmo cardiaco muestreada uniformemente tiene una frecuencia de muestreo mucho menor, de tan sólo unos pocos Hz (Carrión, Rieta y Ródenas, 2007).

MODELADO ARMA DE LA SEÑAL

El estimador de un paso adelante tipo arma , empleado para modelar la señal ecg , tiene la forma siguiente:

donde y =y -yt es el error de estimación y ai, b son los coeficientes autorregresivos (Linear Predictive Coefficients - LPCs) y de entrada respectivamente. Esta expresión se deriva de la media móvil simple (ma ) de la forma:

donde y =yt+y para regresar a (1), lo cual presenta un punto de vista interesante, teniendo en cuenta la forma racional de dicha ecuación

y el

EN EL SISTEMA DE ADQUISICIÓN SE EMPLEARON TRES ELECTRODOS EKG DE VERNIER:

Referencia en color negro para la línea isoeléctrica o línea de base (muñeca derecha)

Negativo en color verde en el codo derecho

Positivo en color rojo en el codo izquierdo Palacios-López N. A. y Etcheverry E. Entorno udlap núm. 5, 18-27, Mayo

ADQUISICIÓN DE LA SEÑAL

PROCESAMIENTO DE LA SEÑAL EXTRACCIÓN DE LA SEÑAL

CLASIFICACIÓN DE LA SEÑAL

Tabla
Figura 6. Conexiones a la tarjeta Elvis II con el sensor ekg
Analog Protoboard Connector.
Figura 3. Diagrama espacio-fase de una señal ecg donde se pueden observar los atractores.
Figura 4. Etapas para el reconocimiento de personas mediante señales ecg
Figura 5. Conexión de los tres electrodos en las referencias correspondientes.

como una manera más eficiente y robusta del modelado lineal de series de tiempo. El cálculo hereditario de la función de correlación de la señal ecg , nos da la posibilidad de determinar los parámetros lineales automáticamente sin «ventaneo» ni «traslape» (Etcheverry y Reyes-García, 2009). Lo anterior permitió obtener un fit de la señal de 99.50% (ver figura 8).

CEPSTRUM COMPLEJO (EXPERTO)

En la práctica, el Cepstrum de potencia es eficaz si la wavelet (Daubechies, 1992) y la serie de impulsos, cuya convolución comprende los datos compuestos, ocupan diferentes rangos de frecuencia. Dado que el Cepstrum complejo conserva la información de fase de los datos compuestos, puede ser utilizado no sólo para la detección de eco sino también la recuperación de la wavelet del sistema. Este proceso también se conoce como «filtrado homomórfico» (Childers, Skinner y Kemerait, 1977). El Cepstrum es un método para la deconvolución, es decir, la restauración de las señales para recuperar los datos que han sido degradados por un proceso físico, de una serie de impulsos. Así, la forma de la serie de impulsos de eco se puede recuperar.

El ecg es una combinación de ondas pequeñas básicas (potenciales de acción generados por el corazón) y la función de excitación (patrón de excitación del músculo del corazón). El Cepstrum permite separar el patrón de excitación del músculo cardíaco a partir de wavelets básicas (ver figura 9).

En Oppenheim, Schafer y Stockham, (1968), los autores mostraron que el Cepstrum está relacionado con el concepto más general de filtrado homomórfico de señales que son combinadas por convolución y dieron una definición del Cepstrum de una señal discreta en el tiempo como: donde log|X(e jw)| es el logaritmo de la magnitud de la Discrete-Time Fourier Transform (dtft ) de la señal, y se extendió el concepto definiendo el Cepstrum complejo como:

COMPUTADORA

CABLE USB

TARJETA ELVIS II

PROTOBOARD

donde log {X (e^ jω )} es el logaritmo complejo de X (e^ jω ) definido como: Para obtener el Cepstrum complejo de la fórmula 4 en este trabajo, se empleó la función cceps de Matlab® (MATLAB y Simulink, 2014) (Rajendra et al., 2017)

REDES BAYESIANAS PARA CLASIFICACIÓN

Las redes bayesianas pertenecen al grupo de clasificación estadística, en el que la estimación de una función de probabilidad se realiza mediante un modelo gráfico de estructura específica, en combinación con un grupo de funciones de probabilidad condicional a partir de las clases de características extraídas. La calidad discriminante de estas características, además de la manera en que la estructura gráfica las combina, da lugar a una estrategia de modelo de mezcla de gaussianas (Sánchez, 2005).

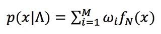
Un modelo de mezcla de gaussianas (gmms, por sus siglas en inglés) es una combinación de densidad de gaussianas en el que la densidad condicional de un vector x dado, compuesto de M-elementos, está dado por Λ={x,μ,Σ} en la forma:

donde ∑I M=1ω =1,0≤ω ≤1, i, y fN (x) es la función de densidad de probabilidad (pdf ) normal del vector x con media y matriz de covarianza μ y Σ, respectivamente.

A fin de aplicar dicha mezcla entre el experto Cepstrum y los coeficientes lineales del modelo arma , obtenidos de la señal ecg , es necesario realizar una estimación inicial de la función de densidad de los coeficientes, mediante el algoritmo de maximización de la expectación (em por sus siglas en inglés) para agruparlos. El algoritmo em consiste en dos etapas: la «expectación», que determina la probabilidad posterior de cada característica/dato y el paso de «maximización», que actualiza el componente mezclando pesos ω , medias μ y covarianzas Σ (Martínez, Martínez y Solka, 2010).

La estructura utilizada en este trabajo (ver figura 10) se desarrolló pensando en que las características lineales o lpc s (nodo 5) dependan del experto Cepstrum complejo (nodo 4) debido a su mayor capacidad discriminante a través de las tablas de probabilidad discreta contenidas en los nodos 3 y 2. Esta es una idea que ha sido revisada como una mezcla de expertos junto

con el algoritmo em , (Jordan y Jacobs, 1994). El algoritmo gmm desarrollado en este trabajo se implementó mediante el uso del «toolbox» para Matlab Bayes Net (Murphy, 2014).

RESULTADOS

En este trabajo se obtuvieron diez segundos de grabación de la señal ecg de tres sujetos y se aplicó la técnica leave-one-out a partir de cada unidad de latido o forma de onda completa del ecg de cada participante. Lo anterior permitió entrenar la red bayesiana con aproximadamente catorce latidos para después hacer la prueba con el latido restante y para los tres usuarios. La figura 11 muestra la captura de pantalla del resultado de clasificación empleando la mezcla de expertos mediante gmm para clasificar cinco latidos de cada usuario, obteniendo excelentes resultados en pocos segundos. Los resultados de este método se muestran en la tabla 3.

Como podemos observar en la tabla 3, se muestran, además, dos trabajos seminales como el de Lugovaya, (2005), que se encuentra ligado a la base de datos PhysioNet (Gold-

Figura 8. Señal real ecg su estimación.
Figura 9. Cepstrum complejo de una señal ecg.
Palacios-López
Figura 7.
Salida «negro», estimación «magenta»

Autor Extracción de

Lugovaya T.S. (2005)

Samples of cardiac cycle fragment containing the QRS complex, P and T waves

Israel S.A et. al. (2005) Fiducial points

Linear Discriminant Analysis (LDA) and Majority Vote Classifier 96%

Linear Discriminant Analysis (LDA) 97% a 100%

Zokaee S. & Faez K. (2012) MFCC K-Nearest Neighbors (KNN) 100%

Tseng K.K et. al. (2016) R-R intervals & Statistical Features Back-Propagation Neural Networks (BPNN)

Este trabajo LPCs & Complex Cepstrum Gaussian Mixture Models (GMM)

Tabla 3. Comparación de estudios seminales y recientes.

berger et al., 2000) y que contiene una revisión de los estudios de biometría con señales ecg hasta el 2005. Además, el trabajo de Israel et al., (2005) sienta las bases para el establecimiento de los nueve puntos que marcan las características principales de la onda ecg y el uso de las distancias entre dichos puntos (15 valores/atributos) para después emplear un clasificador lda

Es importante mencionar que otros trabajos, como el que aquí se reporta, han obtenido prácticamente el 100% de correcta clasificación para identificar al usuario a través de la señal ecg . Sin embargo, existen otros factores a tomar en cuenta como son los siguientes:

El número de usuarios a identificar a la vez dentro de una base de datos y la longitud/tamaño de los registros requeridos para ello.

La complejidad computacional, tanto para extraer las características de la señal ecg , como para llevar a cabo el proceso de clasificación.

Derivado de los dos puntos anteriores, la factibilidad de implementación en un sistema electrónico embebido para tener un sistema de biometría en tiempo real, así como la disponibilidad de un sensor de simple instalación para recuperar la onda ecg (Cigarro et al., 2014).

CONCLUSIONES

El empleo de coeficientes cepstrales, más los gmm , fue reportado para registros del sonido del latido del corazón para identificar personas en (Phua et al., 2008). Sin embargo, en este trabajo empleamos el Cepstrum complejo y los gmm mediante la mezcla de expertos sobre la forma de onda ecg . Aunque es más fácil adquirir el sonido del latido del corazón a través de un micrófono que con el uso de electrodos, el trabajo mencionado reporta el 96% de eficiencia mediante una gran cantidad de grabaciones: diez usuarios con mil sonidos del latido del corazón cada uno. Lo anterior nos lleva a considerar los siguientes aspectos reportados en este trabajo.

Ventajas

• El estimador arma puede ser implementado en tiempo real en un dispositivo electrónico embebido y mediante la optimización hereditaria, es capaz de modelar, con precisión, la forma de onda ecg ,

• El uso de un experto, como el Cepstrum complejo, permite emplear los gmm para tener una clasificación precisa con poco procesamiento y con factibilidad en la implementación electrónica también.

• La posibilidad de identificar personas con pocos registros de la onda ecg del corazón.

Desventajas

• La principal desventaja es el contar con un sensor de fácil instalación y costo relativo para la adquisición en tiempo real de la onda ecg (ecg - ekg Sensor, 2018).

CONTRIBUCIÓN

El uso del Cepstrum complejo para el análisis de la onda ecg no ha sido reportado en otros trabajos hasta donde los autores tienen conocimiento y restaría validar la presente metodología empleando las bases de datos que manejan el estado del arte, tanto para el reconocimiento de personas como para el de afecciones cardiacas, y establecer así los límites de dicha técnica.

Nallely Alejandra Palacios-López

Nallely egresó de la Licenciatura en Ingeniería Mecatrónica de la udlap en 2014 y se tituló con la tesis Reconocimiento de personas mediante señales ECG nallely.palacioslz@udlap.mx

REFERENCIAS

• Agrafioti, F. M. (2017). US Patente nº 9646261. Recuperado de https://patents.google.com/patent/US9646261B2/en

• Biel, L., Petterson, O. Phillipson, L. y Wide, P. (2001) ECG analysis: A new approach in human identification. IEEE Trans. on Instrumentation and Measurement, 808-812.

• Carrión, P., Rieta, J. y Ródenas, J. (2007). Procesado de señales biomédicas. En Variabilidad del Ritmo Cardiaco.

• Childers, D. G., Skinner, D. P., y Kemerait, R. C. (Octubre de 1977). The Cesptrum: A Guide to Processing. IEEE, 65(10), 1430,1437.

• Cigarro, A. et al. (2014). Embedded system for individual recognition based on ECG. Procedia Technology (17), 265-272.

• Daubechies, I. (1992). Ten Lectures on Wavelets (First ed., Vol. 61). (C.-N. R. Mathematics, Ed.) SIAM: Society for Industrial and Applied Mathematics.

• ECG - EKG Sensor (2018). Recuperado de NeuroSky: http://neurosky.com/ biosensors/ecg-sensor/

• Estrada, J. (2011). Hagamos electrónica. Recuperado de http://hagamoselectronica.blogspot.mx/2011/06/prototipo-de-un-cardiotacometroparte-1.html

• Etcheverry, G. y Reyes-García, C. A. (2009). Pole Tracking Method by Adaptive Hereditary Computation. MICAI. Guanajuato: SMIA.

• Fratini, A., et al. (2015). Individual identification via electrocardiogram analysis. BioMedical Engineering OnLine, 14(78). Recuperado de https:// biomedical-engineering-online.biomedcentral.com/articles/10.1186/ s12938-015-0072-y

• Goldberger, A.L. et al. (13 de junio, 2000). PhysioBank, PhysioToolkit, and PhysioNet. Recuperado de http://circ.ahajournals.org/content/101/23/ e215.full

• Israel, S. A. et al. (2005). ECG to identify individuals. Pattern Recognition(38), 133-142.

• Jordan, M. y Jacobs, R. (1994). Hierarchical mixtures of experts and the EM algorithm. Neural Computation 161-214.

• Laurenoço, A., Silva, H. y Fred, A. (2011). Unveiling the Biometric Potential of Finger-Based ECG Signals. Computational Intelligence and Neuroscience 45-62.

• Lugovaya, T. S. (5 de marzo de 2005). Biometric Human Identification based on ECG. Recuperado de PhysioNet: https://www.physionet.org/ physiobank/database/ecgiddb/biometric.shtml

• Martínez, W., Martínez, A. y Solka, J. (2010). Exploratory Data Analysis with MATLAB. CRC Press.

• MATLAB y Simulink. (3 de noviembre de 2014). Cesptrum Analysis Recuperado de http://www.mathworks.com/help/signal/ref/cceps. html

Gibran Etcheverry Doger

Es profesor de tiempo completo del Departamento de Computación, Electrónica y Mecatrónica (dcem) en la Escuela de Ingeniería de la udlap y es también coordinador de la Licenciatura en Ingeniería Mecatrónica. gibran.etcheverry@udlap.mx

• Murphy, K. (20 de noviembre de 2014). Bayes Net Toolbox for Matlab Recuperado de https://github.com/bayesnet/bnt

• National Instruments. (3 de noviembre de 2014). NI LabVIEW SignalExpress. Recuperado de http://www.ni.com/labview/signalexpress/esa/

• National Instruments. (2 de noviembre de 2014). Vernier ECG for NI ELVIS II. Recuperado de http://www.ni.com/example/31503/en/

• Nouroddine, P., Fethe, B., Amine, N. y Régis, F. (2012). Person Identification System Based on Electrocardiogram Signal Using LabVIEW. International Journal On Computer Science And Engineering 974-992.

• O’Gorman, L. (2002). Securing Business´s Fornt Door-PAswword, Token, and Biometric Authentication En M. M.-Z. Sumit Ghosh, Guarding Your Bussines: A Management Approach to Security. Nueva York: Plenum Publisher.

• Oppenheim, A. V., Schafer, R. W., y Stockham, T. G. (1968). Nonlinear Filtering of Multiplied and Convolved Signals. Proceedings of the IEEE, 6 1264-1291. IEEE,.

• Peña, B., Y Dairuve, C. (2005). Dinámica no Lineal para el Análisis de Señales Electrocardiográficas de Pacientes Chagásicos. Mérida-Venezuela.

• Phua, K. et al. (2008). Hear sound as a biometric. Pattern Recognition, 41, 906-919.

• Priestley, M. (1988). Nonlinear and Nonstationary Time Series Analysis. Academis Press.

• Rajendra, U., et al. (2017). Automated detection of arrhythmias using different intervals of tachycardia ECG segments with convolutional neural network. Information Sciences, 405 81-90.

• Rijnbeek, P. (2007). Automatic Interpretation of Pedriatric Electrocardiograms En P. Rijnbeek, New normal limits for the pediatric electrocardiogram. Holanda: Erasmus Universiteit Rotterdam.

• Sánchez, E. (2005). Réseaux Bayésiens Dynamiques pour la Vérification du Locuteur. París: TELECOM.

• Srinivasan, J. M. (2015). US Patente nº 9144389. Recuperado de https:// patents.google.com/patent/US9144389B2/en

• Tseng, K. K., Lee, D. y Chen, C. (2016). ECG Identification System using Neural Network with Global and Local Features. International Conferences ITS, ICEduTech and STE.

• UNAM, Facultad de Ingeniería Biométrica Informática. (s.f.). Red y Seguridad Recuperado de http://redyseguridad.fi-p.unam.mx/proyectos/ biometria/

• Zokaee, S. y Faez, K. (2012). Human identification Based on Electrocardiogram and Palmprint. International Journal of Electrical and Computer Engineering, 2(2), 261-266.

Figura 10. Mezcla de expertos. Figura 11. Captura de la clasificación obtenida mediante el toolbox Bayes Net.
Palacios-López N. A. y Etcheverry E. Entorno udlap núm. 5, 18-27, Mayo 2018

Desmitificando los rumores de la

carne

RESUMEN

En este artículo se discuten las ventajas y desventajas del consumo de carne a través de un punto de vista analítico: la descripción de su valor nutrimental es fundamental. Se mencionan algunas patologías generadas por su consumo, así como lo que se pierde al no incluirla en la dieta, generando consecuencias no favorables para el cuerpo humano; se delimitan distintos puntos de vista de diversos personajes históricos acerca de su decisión de no incluir la carne en su dieta, y se habla de forma breve sobre el «especismo». No obstante, también se presenta un análisis sobre la carne de cerdo para poder desmitificar su valor nutricional mediante la divulgación de investigaciones.

PALABRAS CLAVE:

Patología · Dieta · Consumo · Carne ·

This paper discusses the advantages and disadvantages of meat consumption through an analytical point of view, to define this, the description of its nutritional value is critical, some pathologies generated by its consumption are mentioned as well as what is lost by not including it in the diet, generating unfavorable consequences for the human body. Different perspectives of some historical figures about their decision of not including meat in their diet are mentioned, as a consequence of this, we will talk about the «speciesism». However, an analysis of pork meat is also presented to demystify its nutritional value through the dissemination

SE ABORDARÁN LOS MITOS DE LA CARNE DE CERDO, YA QUE ESTA PROTEÍNA ES PARTE IMPORTANTE DE LA ALIMENTACIÓN DE UN GRAN SECTOR DE LA POBLACIÓN.

su producción. De la misma manera se mencionarán algunas patologías generadas por su consumo, se hablará de lo que se pierde al no incluirla en la dieta y se verán distintos puntos de vista acerca de las personas que deciden no incluir la carne en su dieta. Se abordarán los mitos de la carne de cerdo, ya que esta proteína es parte importante de la alimentación de un gran sector de la población.

Pathology · Diet · Consumption · Meat ·

INTRODUCCIÓN

culo se observarán las ventajas y desventajas del consumo de carne, y los factores que influyen en la absorción de sus elementos para la correcta homeostasis del organismo, no sólo desde el punto de vista de la etnomedicina, sino también desde lo clínico, así como de lo que le sucede al planeta con

Existen mitos donde se cree que ser vegetariano es una mejora en la alimentación, sin embargo, no siempre el abstenerse de comer alimentos de origen animal resulta la mejor opción, ya que el cuerpo humano necesita dichos macronutrientes esenciales para su funcionamiento adecuado, lo que llevaría a la opinión de que estos alimentos son indispensables en la dieta normal de un individuo.

¿Por qué hay personas que están en contra del consumo de carne? Existen múltiples razones por las cuales hay individuos que se reúsan a comerla. Entre las razones más controversiales sobre el menor consumo, está el impacto medioambiental de la ganadería, y

Villarreal-Portillo

AL CABO DE UN AÑO DE HABER DEJADO DE COMER CARNE, MIS NUEVOS HÁBITOS ME PROPORCIONARON PLACER Y DELEITE.

ADEMÁS ME PARECE QUE SE HA VENIDO DESARROLLANDO MI CAPACIDAD INTELECTUAL».

Lucio Anneo Séneca

también, la manera en cómo se procesa la carne por los efectos negativos sobre el medio ambiente, ya que se usa la combustión de carburantes fósiles, que genera la emisión de dióxido de carbono y gas metano, entre otros, que contribuyen al efecto invernadero (Forrest, 1975; Lawrie, 1985).

Asimismo, las lagunas de estiércol del sector pecuario emiten una gran cantidad de óxido nitroso, mientras que, en la producción de alimentos vegetales, se obtienen menores emisiones de dióxido de carbono. Los especímenes animales que más contaminan, debido a su emisión de dióxido de carbono, son los del grupo bovino, seguidos de los ovinos y caprinos. México cuenta con los peores estándares medioambientales para la agricultura industrial, ya que no existen regulaciones para límites de granjas o la concentración de animales, lo que genera problemas de salud pública, creando prejuicios innecesarios en la producción agropecuaria y pérdidas económicas sustanciales (Forrest, 1975).

Otra razón para no consumir carne está ligada a la salud: debido a que la carne producida en granjas industriales contiene pesticidas y químicos nocivos, como estimulante para el crecimiento del ganado, hormonas sintéticas cancerígenas y sulfato de sodio, eventualmente genera consecuencias negativas en el organismo. Cuando se sacrifica a un animal, sus heces quedan retenidas, esto es importante ya que existen diferentes tipos de patógenos productores de enfermedades, por ejemplo, la giardiasis, con su patógeno característico Gardia lamblia, que puede llegar a generar un síndrome de mala absorción, llevando al individuo a un déficit nutricional. Además, consumir carne de manera exagerada produce elevación de lipoproteínas y colesterol, generando dislipidemias, arteriosclerosis, enfermedades cardiovasculares, trastornos digestivos, cáncer, diabetes y otras enfermedades crónico degenerativas mortales (Forrest, 1975; Sienkiewicz, 2012; Ural et al., 2017).

ABSTINENCIA DEL CONSUMO DE CARNE

Al tener una dieta sin carne los niveles de colesterol en el cuerpo son menores, disminuyendo las posibilidades de contraer enfermedades cardíacas; incluso hay estudios que demuestran que, al abstenerse de carne, se puede tener un sistema inmunológico más fuerte ya que se consumen antioxidantes y la cantidad de toxinas es menor, desafortunadamente no se mencionan las consecuencias a largo plazo generadas por su abstinencia (Vorvick, 2015).

Se cree que ser vegetariano significa una mejora en la alimentación. Sin embargo, no siempre el abstenerse de comer alimentos de origen animal resulta la mejor opción.

El cuerpo humano necesita dichos macronutrientes esenciales para su funcionamiento adecuado, lo que llevaría a la opinión de que estos alimentos son indispensables en la dieta normal de un individuo.

Las vitaminas A, C y E, que son encontradas únicamente en vegetales (usualmente crudos), contribuyen a reducir respuestas inflamatorias y alérgicas, refuerzan las defensas del organismo y reducen el envejecimiento celular (Ruiz, 2012). La mayoría de los vegetarianos suelen tener un nivel de salud muy alto sin tomar suplementos de vitaminas o minerales, aunque hay excepciones. Esto da una pauta importante en la tesis de los vegetarianos de una dieta sin carne, donde los requerimientos nutricionales están más que cubiertos por los alimentos vegetales (Vorvick, 2015).

Una razón más tiene que ver con la existencia de personas que están en contra del «especismo»1 (este término es un neologismo que se utiliza para referirse a la interacción del ser humano con seres vivos de otras especies). Es el reflejo ético del antropocentrismo, que sitúa los intereses y las necesidades del ser humano por encima de otros seres vivos. Fue creado por el psicólogo Richard Reyner en 1970, aunque no fue bien definido en esa época. Richard Reyner decía que los especistas forman una distinción moral fuerte entre los humanos y los animales. Después, se creó un nuevo término denominado «nuevo especismo» donde sólo se favorecen los derechos de algunos animales, en especial los que son parecidos a los humanos (Horta, 2009).

En otras palabras: hay quienes se abstienen de comer carne por solidaridad con los animales y están a favor de los derechos animales. Los derechos animales son muy similares a los que conocemos: hablan de integridad física, libertad y vida. Las leyes de protección animal en México están organizadas por gal (Global Animal Project), organización que se encarga de dar a los animales una mejor calidad de vida; uno de los proyectos más nuevos que realizaron fue el de la abolición de los circos con anima-

CONSUMIR CARNE DE MANERA EXAGERADA PRODUCE ELEVACIÓN DE LIPOPROTEÍNAS Y COLESTEROL, GENERANDO DISLIPIDEMIAS, ARTERIOSCLEROSIS Y ENFERMEDADES CARDIOVASCULARES, ENTRE OTRAS.

les en México. Las personas que deciden dejar de comer carne toman una actitud de respeto y empatía hacia los animales evitando su explotación (Horta, 2009; Del Olmo, 2008).

En el pasado, ciertos personajes importantes decidieron no comer carne explicando sus razones, como Pitágoras, quien decía que la carne contaminaba y brutalizaba el alma. O como Miguel de Cervantes, quien pensaba que la alimentación de un hombre sólo debe incluir frutos y raíces comestibles (Del Olmo, 2008).

De la misma forma, el Dr. Carlos Linneo (1707-1778) aseguraba que las frutas son el alimento más conveniente para el hombre, ya que, fisiológicamente, el hombre no fue dispuesto a comer carne. Se sabe que el primer libro dedicado a la abstinencia de carne fue El artículo del régimen alimenticio, de George Cheyne, publicado en 1740 (Horta, 2009). Lo anterior demuestra que el especismo no es un término que se debe considerar nuevo, pues se

MITOS
1. Especismo: cualquier prejuicio o discriminación basada en la especie (Horta, 2009)
Villarreal-Portillo

ES NECESARIO QUE

LA CARNE LLEGUE

A UNA CIERTA TEMPERATURA

PARA PODER

MATAR A LOS

ORGANISMOS QUE

SON DAÑINOS

PARA EL HUMANO.

EL CONSUMO DE ESPECÍMENES ANIMALES QUE MÁS CONTAMINA, DEBIDO A LA EMISIÓN DE DIÓXIDO DE CARBONO EN EL PROCESO, ES EL DEL GRUPO BOVINO, SEGUIDO DE LOS OVINOS Y CAPRINOS.

ha practicado desde hace varios años. Sin embargo, con el paso del tiempo ha tenido diferentes puntos de vista.

FACTORES PARA LA ABSORCIÓN CORRECTA DE LOS ELEMENTOS DE LA CARNE

Por otro lado, desde el punto de vista de la antropología médica, Charles Hughes, un renombrado antropólogo médico definió la etnomedicina como: «those beliefs and practices relating to disease wich are products of indigenous cultural development and are not explicitly derived from the conceptual system of modern medicine» (Singer y Hans, 2012, p. 118). De la definición anterior, los antropólogos médicos Rubel y Hasss, en 1996, consideraban junto con la etnomedicina, a la etnopsicología, la etnobotánica, la entofarmacología y la etnonutrición, diferentes campos de la antropología médica (Singer y Hans, 2012).

Un ejemplo de etnomedicina se observa en zonas del norte y sur del estado de Puebla,

específicamente en Olintla y Chila donde, de acuerdo al Dr. Fausto Fernández Ruiz, se observa la abstinencia al consumo de cítricos debido a que son considerados alimentos fríos y, sin embargo, son esenciales para la correcta absorción de nutrientes que provee la carne, como el hierro, por lo que si no son ingeridos, en última consecuencia, conlleva al padecimiento de anemias, específicamente anemia ferropénica y anemia megaloblástica por mecanismos que a continuación se explican (F. Fernández, comunicación personal, 26 de octubre de 2016).

La fisiopatología de la anemia ferropénica se debe a que, en una dieta normal, se aportan 10-20 mg de hierro, de los cuales, sólo el 1% es absorbido; para mejorar esa absorción se necesita un pH ácido en el estómago y el consumo de cítricos, lo cual es un problema en lactantes mayores de seis meses que comienzan con la introducción a alimentos sólidos, ya que de acuerdo a la Norma Oficial Mexicana, se debe empezar con cereales suplementados con hierro de arroz y trigo; dichos productos deben consumirse uno por uno durante una semana para que el sistema digestivo del lactante tolere los nuevos alimentos que, en el futuro, serán incluidos en su dieta (Ruiz, 2012; Norma Oficial Mexicana, 2002).

La anemia megaloblástica mencionada se debe a la falta de vitamina B12, que se encuentra en fuentes de origen animal, lo cual representa un problema de salud pública para los vegetarianos que no incorporan el suplemento vitamínico debido en su dieta. De los 15-30 mg que aporta la dieta normal, sólo se absorben 2-5mg; aunque las manifestaciones clínicas se ven meses después a comparación de la anemia ferropénica, esto se debe a que los reservorios de vitamina B12 son abundantes en el organismo, por lo que el tratamiento implica la administración de la vitamina por vía intramuscular cada tres meses (Ruiz, 2012).

¿POR

QUÉ HAY PERSONAS QUE ESTÁN EN CONTRA DEL CONSUMO DE CARNE?

Debido al impacto medioambiental de la ganadería, ya que se usa la combustión de carburantes fósiles, que genera la emisión de:

DIÓXIDO DE CARBONO

GAS METANO

Porque la carne producida en granjas industriales contiene

PESTICIDAS

QUÍMICOS NOCIVOS

como estimulantes para el crecimiento del ganado, hormonas sintéticas cancerígenas y sulfato de sodio.

Una segunda causa que puede conducir al desarrollo de la anemia megaloblástica se asocia a la falta de folatos que se pueden encontrar en vísceras de animales, cereales y vegetales, pero para aprovechar la mayor parte de su contenido, éstos deben consumirse de forma cruda o mínimamente hervidos. La diferencia con la vitamina B12 resulta en que pueden existir alteraciones neurológicas por la falta de esta última (Ruiz, 2012).

Desgraciadamente, un factor que facilita y empeora la aparición de las anemias ya mencionadas es la presentación de infecciones gastrointestinales debido al estado en el que se consume la carne y, de acuerdo al Dr. Fausto Fernández, en los lugares de Puebla ya mencionados, dichas infecciones son comunes por la manera de cocción: es necesario que la carne llegue a una cierta temperatura para poder matar a los organismos que son dañinos para el humano. La carne, que es cocinada mediante el uso de leña, principalmente, genera un efecto en cadena, dejando de lado la potabilización del agua que se consume, porque la leña ya fue usada para la preparación de la carne y su ausencia no permite que el agua pueda ser potabilizada a menos que se traiga más, hecho que no sucede por el esfuerzo que implica conseguirla lo que predispone a la población en general a infectarse por diferentes agentes.

Por lo anterior, se debe introducir otro concepto: epidemiología sociocultural. Paul Hersch la define como «la constitución de un referente operativo y analítico integrador, que tiene como objetivo primordial la aplicación de diversos métodos y aproximaciones en función de la dimensión multifactorial y colectiva de las enfermedades, tomando como uno de sus ejes la categoría del daño evitable, lo que implica su estudio, pero también la generación de medidas para enfrentarlo y solucionarlo» (Hersch, 2013).

De la epidemiología sociocultural existen diferentes perspectivas, una importante –para fines de este artículo– es la etnoepidemiología, cuya función pretende estudiar los factores de riesgo en una preventiva estructural clave, considerando a la realidad biológica y ambiental en su íntima relación con la cultura y las relaciones socioeconómicas y políticas, tema que se ha desarrollado en los párrafos anteriores (Hersch, 2013).

De igual forma, resulta importante determinar los problemas que, en última consecuencia, son el resultado de la falta del consumo de carne o de elementos que favorecen la absorción de sus nutrientes: es momento de hablar sobre

las ventajas y desventajas de la carne, profundizando en los efectos de algunas enfermedades generadas por su consumo.

EFECTOS DEL CONSUMO DE CARNE

Debido a que recientemente la carne roja y procesada se ha asociado con el desarrollo de dos de las enfermedades crónicas más importantes en el mundo occidental, que son las enfermedades cardiovasculares y el cáncer de colon, Jenny Fonesca afirma que:

El consumo de carne favorece la aparición de la enfermedad de Crohn2. En este caso, lo que ocurre es que la carne que no puede ser absorbida en su totalidad por el intestino delgado (que comienza después del estómago y termina en el colon) pasa al colon, donde fermentará por efecto de las bacterias de la flora intestinal. Esta fermentación produce derivados tóxicos que atacan a la mucosa del intestino, lo que puede provocar las hemorragias, diarreas y terribles dolores abdominales característicos de la enfermedad de Crohn (Fonesca, 2014, p. 33).

Este es un ejemplo de una de las patologías causadas por consumir carne roja de forma excesiva. De acuerdo con la Organización Mundial de la Salud, 100 gramos de carne consumidos diariamente, ya es considerado excesivo debido a que el organismo no está diseñado para tener una dieta alta en carnes rojas y, al no tener un control adecuado sobre su consumo, se obtienen resultados desfavorables para el cuerpo humano (OMS, 2015).

Otro factor importante que se debe considerar es que, cuando la carne se cuece y dora directamente al fuego vivo (al carbón o a la leña), se forman compuestos cancerígenos que generan tumoraciones en el estómago, intestino grueso e intestino delgado (Fonesca, 2014). El riesgo de este problema aumenta si la dieta de la persona no incluye productos de origen vegetal. Otros elementos importantes a considerar son el tiempo dedicado al ejercicio, al trabajo y saber si la persona fuma.

Existen personas que suelen cocinar carne envolviéndola en aluminio y esto es de gran daño para la salud, ya que se puede generar cáncer por el contacto de la carne con el aluminio. También se suele poner la carne en recipientes de unicel y, al igual que el aluminio, esto puede provocar cáncer e incluso Alzhei-

2. Enfermedad de Crohn: enfermedad inflamatoria del intestino delgado.

EFECTOS DEL CONSUMO DE CARNE

de carne, consumidos diariamente, es considerado excesivo debido a que el organismo no está diseñado para tener una dieta alta en carnes rojas y, al no tener un control adecuado sobre su consumo, se obtienen resultados desfavorables para el cuerpo humano.

Cuando la carne se cuece y dora directamente al fuego vivo (al carbón o a la leña), se forman compuestos cancerígenos que generan tumoraciones en el estómago, intestino grueso e intestino delgado.

3.

mer. Este fenómeno se debe a la producción de dioxinas. El Dr. Edgar Fijimoto, gerente del Programa de Bienestar del Hosptital Castle y distinguido catedrático de la Universidad Johns Hopkins, menciona que «Las dioxinas son cancerígenas, mutagénicas, persistentes, bioacumulables, tóxicas y volátiles; se transmiten mediante la cadena alimenticia en la que el ser humano está al final, por lo que recibe concentraciones más altas. Las consecuencias en la salud humana, animal y vegetal son muy graves. En el humano, está la aparición de algunos tipos de cáncer: piel, cataratas, y cambios en el sistema inmunológico. En conclusión, la dioxina es carcinógena y altamente tóxica para ser humano, perjudica al sistema inmunológico y altera el sistema hormonal» (Fujimoto, 2011, p. 12).

La carne está estrictamente relacionada con el colesterol, aunque es un compuesto graso vital que se requiere para regular varias funciones del organismo a nivel celular, por ejemplo, la consistencia de la membrana celular como un gel cristalizado liposo libre o como un gel líquido más permeable. Sin embargo, en grandes cantidades puede agravar enfermedades como presión arterial alta3, desencadenar problemas tan delicados como aterosclerosis4 y en el peor de los casos puede generar con el tiempo un infarto agudo.

Particularmente, la sintomatología de la aterosclerosis es descrita por los pacientes como dolor en extremidades inferiores, pulsaciones débiles y sensación de pies fríos. Esto puede orientar al diagnóstico más no lo confirma, para su confirmación se pueden utilizar estudios de laboratorio como la química sanguínea o estudios de gabinete como la angiografía. Este último es fundamental para decidir

si el paciente necesita tratamiento quirúrgico o no (Mol, Herrstrein y Weintraub, 2002).

En cuanto a la angiografía, si no se encuentra estenosis (la pérdida del diámetro luminal de alguna arteria) dentro de este estudio, no se lleva a cabo el tratamiento quirúrgico. Por el lado contrario, un signo específico para la intervención quirúrgica es que el paciente refiera «dolor al caminar» (Mol, Herrstrein y Weintraub, 2002 La clasificación de la American Heart Asosiation determina cuatro niveles de insuficiencia cardiaca. Estos grados son una relación de la función sistema cardio/pulmonar, donde grado 1 es cuando el paciente puede realizar todas sus actividades sin disnea y grado 4 cuando el paciente tiene disnea en reposo. Para lo anterior, existe otro tipo de tratamiento coadyuvante que consiste en iniciar una rutina de ejercicio leve, como caminata, 30 minutos al día; es importante que el paciente realice todo el entrenamiento, aun cuando presente dolor en las extremidades con estenosis parcial (Mol, Herrstrein y Weintraub, 2002).

En México la mortalidad por infarto agudo al miocardio crece día con día; de acuerdo con el Programa Sectorial de Salud (2013-2018) las enfermedades crónicas no transmisibles encabezan las estadísticas de mortalidad y, particularmente, las enfermedades cardiovasculares son las más destacadas en esta sección, lo que sugiere que se deben hacer prácticas de promoción a la salud enfocadas a la nutrición de la población mexicana (Secretaría de Salud, 2016). Por otro lado, si nos enfocamos en un tipo de carne roja específica, como la carne de cerdo, encontraremos que es muy consumida a nivel mundial, aunque todavía existen diversos prejuicios relacionados con su consumo. Por eso, la Dra. Aliza Fifshitz afirma lo siguiente:

4. Aterosclerosis: acumulación de grasas y taponamiento de las venas por la formación de ateromas.

SI NOS ENFOCAMOS EN UN TIPO DE CARNE ROJA ESPECÍFICA, COMO LA CARNE DE CERDO, ENCONTRAREMOS QUE ES MUY CONSUMIDA A NIVEL MUNDIAL, AUNQUE TODAVÍA EXISTEN DIVERSOS PREJUICIOS RELACIONADOS CON SU CONSUMO.

Presión arterial alta: hipertensión.

Algunas personas evitan comer carne de cerdo (puerco) porque la consideran muy grasosa y otros temen contraer algún tipo de enfermedad, principalmente la triquinosis. Por el contrario, hay quienes la consideran una buena opción proteica (proporciona proteínas) que incluso aporta otros beneficios para la salud. (Fifshitz, 2015, p. 2).

Los principales mitos o miedos que se han desarrollado sobre la carne de cerdo no son del todo cierto pues la Dra. Aliza Fifshitz asegura que puede ser una importante fuente nutricional, la cual aporta proteínas al organismo y resulta tan saludable como otras carnes, ya sean rojas o blancas (Fifshitz, 2015). Con respecto a uno de los temas más importantes de este alimento, que son las grasas que contiene la carne de cerdo, se tiene que considerar que los métodos de crianza y conservación de estos animales han variado con el tiempo y se ha logrado disminuir el valor calórico de su carne, por consiguiente se ha probado que algunos cortes específicos de estos animales aportan menos colesterol que las carnes rojas. La Dra. Aliza Fifshitz explica por qué sucede esto:

Esto último ocurre porque la carne de cerdo es rica en grasas monoinsaturadas, un tipo de ácido oleico característico del aceite de oliva, cuyo consumo contribuye a reducir los niveles de colesterol total en la sangre a expensas del llamado colesterol malo o LDL y a aumentar los niveles del denominado colesterol bueno o HDL. (Fifshitz, 2015, p. 3).

Se puede decir que junto con las aves o el conejo, el cerdo es una buena alternativa de consumo de carne que no implica una ingesta elevada de grasa ni incide de modo negativo en los niveles de colesterol en la sangre. Sin embargo, hay que tener cuidado pues esto no aplica para embutidos elaborados a base de cerdo como el jamón y el chorizo, ya que estos productos tienen grasas saturadas y son altos en colesterol.

Basado en elementos de biología celular y fisiología, resulta claro el papel indispensable que realiza la carne en la homeostasis del organismo; la manera más fácil de obtener estas biomoléculas lipídicas vitales es consumiendo productos animales, además, Martínez Loriente, investigador de este tema por parte de la profeco , afirma que la carne roja es una fuente de proteínas de alta calidad, materia prima necesaria para el crecimiento y la regeneración de los tejidos del cuerpo (Martínez, L. 2013).

Por ejemplo, la carne de vaca es destacada por su alto contenido en proteínas de alta cantidad, ya que contiene aminoácidos esenciales fundamentales en nuestra dieta, dado que nuestro organismo no es capaz de sintetizarlos, o bien, lo hace de manera insuficiente. Particularmente la carne de vaca aporta desde un 18% a un 20% de proteínas de alta calidad.

La carne roja da un gran aporte nutricional al organismo, a diferencia de otros alimentos, pero es indispensable saber que sólo es buena en cantidades moderadas, por esto Martínez (2013) nos habla más de los beneficios de consumir carne roja:

La carne roja contiene aminoácidos esenciales para la estimulación de las defensas y la protección de nuestro sistema inmunológico de agentes externos. Otras de las grandes propiedades de la carne roja para nuestra salud son sus elevadas concentraciones de vitamina B12, fundamentales para el mantenimiento del sistema nervioso central y de la formación de los glóbulos rojos (Martínez, 2013, p. 11).

Una alimentación saludable está basada en la diversidad de alimentos ya que no existe uno solo capaz de proporcionar todas las sustancias nutritivas que nuestro organismo requiere, por lo tanto, la mejor postura que se puede tomar ante el consumo de carne roja consiste en buscar un punto intermedio que sea benéfico para el organismo.

CONCLUSIÓN

Resulta importante recalcar el principal problema conforme al consumo de carne, este tiene sus ventajas y desventajas, no es necesario generar un tabú cuando el problema es la sociedad: se puede decir que la mejor forma de evitar patologías generadas por el consumo de carne –como las que ya se mencionaron–consiste en consumirla de forma moderada y responsable, recordando que es importante tener una dieta variada en los diferentes tipos de alimentos.

De la misma manera, dos de las funciones esenciales que deben cumplir los trabajadores de la salud consisten en proteger y promover la salud, lo cual se logra concientizando a la población sobre las consecuencias que se obtienen en el organismo al no tener una dieta correcta, particularmente, por la abstinencia a los

Daniel Armando

Villarreal-Portillo

Estudiante de 7º semestre de la Licenciatura en Médico Cirujano en la udlap. Autor del artículo «Tumor de Brenner fronterizo» en la Revista Cubana de Obstetricia y Ginecología. Miembro del Programa de Honores donde investiga la seguridad de medicamentos en México. daniel.villarrealpo@udlap.mx

Hermann

Kaimann-Tenorio

Estudiante de 7º semestre de la Licenciatura de Médico Cirujano en la udlap, miembro del Programa de Honores donde realiza investigación sobre la antropología sociocultural en el ámbito de la salud. hermann.kaimannto@udlap.mx

Linda Sofía

Vera-Guerrero

Estudiante de 7º semestre de la Licenciatura de Médico Cirujano en la udlap, miembro del Programa de Honores donde investiga acerca de la nutrigenómica para la prevención y beneficio de enfermedades. linda.verago@udlap.mx

Remi Cid-Guerrero

Estudiante de 7º semestre de la Licenciatura de Médico Cirujano en la udlap. Obtuvo el primer lugar en la presentación de carteles de la Primera Jornada Estudiantil del Hospital General del Norte con el trabajo «Craneorraquisquisis: revisión de la literatura a propósito de un caso». Miembro del Programa de Honores. remi.cidgo@udlap.mx cítricos –ya mencionada– para evitar problemas de salud pública a la población y, sobre todo, a las futuras generaciones. Tampoco podemos desmentir que la producción moderna de productos de origen animal está generando un impacto irreversible dentro del medio ambiente, el problema medioambiental aquí no son los hábitos alimenticios de la gente de bajos recursos, que consume la carne que produce dentro de sus granjas, sino las grandes industrias productoras de carne a gran escala. Con un simple plan de no comer carne una vez a la semana se podría generar un cambio enorme en el impacto medioambiental y también moral conforme a la producción y el consumo de este producto.

REFERENCIAS

• Del Olmo, J. (2008). Historia antropológica del racismo. Génesis de un problema Recuperado de https://www.indymedia.org/media/2008/12/918594.pdf

• Fifshitz, A. (2015). Ventajas y desventajas de consumir carne de cerdo. Recuperado de http://www.vidaysalud.com/diario/dieta-y-nutricion/ventajas-y-desventajas-de-consumir-carne-de-cerdo/

• Fonesca, J. (2014). Ventajas y desventajas de comer carne. Salud. Recuperado de http://www.sagarpa.gob.mx/ganaderia/Documents/MANUALES%20INIFAP/17.%20 Composici%C3%B3n%20de%20la%20Carne%20Mexicana%20Baja%20Res.pdf

• Forrest, J. (1975). Fundamentos de ciencia de la carne San Fransisco: Acribia Zaragoza.

• Fujimoto, E (2011). El hospital John Hopkins cambió su visión sobre el cáncer. En línea. Disponible en: http://www.portalamlar.org/images/documentos/miscelaneas/JOHN%20HOPKINS%20VISIN%20SOBRE%20EL%20CANCER.pdf

• Hersch, P. (2013). Epidemiología sociocultural: una perspectiva necesaria. Salud pública de México, 55(5), 512-518.

• Horta, O. (2009). Términos básicos para el análisis del especismo Recuperado de https://masalladelaespecie.files.wordpress.com/2009/03/terminosbasicosanalisisespecismo2.pdf

• Lawrie, R. (1985). Meat science. Nueva York: Pergamon Press.

• López, A. (2008). Bioconservación de carne molida de res y cerdo. Recuperado de http://www.ingquimica.uady.mx/revista/pdf/Revista47.pdf

• Martínez, L. (2013). Beneficios de la carne roja Recuperado de http://www.profeco.gob.mx/revista/publicaciones/adelantos_06/_ago06.pdf

• Mol, A, M., Barbara Herrstein, B., y Weintraub, E. R. (2002). The Body Multiple: Ontology in Medical Practice. Duke University Press.

• NORMA Oficial Mexicana NOM-034-SSA2-2002. (2002). Para la prevención y control de los defectos al nacimiento. Recuperado de http://www.salud.gob.mx/unidades/ cdi/nom/034ssa202.html

• OMS. (2015). Carcinogenicidad del consumo de carne roja y de la carne procesada. Recuperado de http://vivirsalud.imujer.com/6281/cuales-son-las-ventajas-y-desventajas-de-comer-carne

• Ruiz, G. J. (2012). Fundamentos de hematología. México: Editorial médica panamericana.

• Secretaría de Salud México. (2016). Programa Sectorial de Salud. SSA. Recuperado de http://portal.salud.gob.mx/contenidos/conoce_salud/prosesa/prosesa.html

• Sienkiewicz, F. (2012). Nutrition: Concepts and Controversies. Estados Unidos: Wadsworth.

• Singer, M. y Hans, B. (2012). Introducing Medical Anthropology. Londres: Altamira. Express.

• Smolin, L. (2008). Nutrition: Science and Aplications. Estados Unidos: John Wiley and Sons.

• Ural, K., Gultekin, M., Pasa, S., Aysul, N. y Ayan, A. (2017). Chloroquine treatment against naturally occuring Giardia duodenalis infection in lams. Medycyna Weterynaryjna 73(5), 280-283.

• Vorvick, L. (2015). Dieta vegetariana. Medline Plus. Recuperado de http://www.nlm. nih.gov/medlineplus/spanish/ency/article/002465.htm

rosemary

(rosmarinusofficinalis) essential oil

Vapor phase antibacterial effect of and its major component at selected pH’s and temperatures

ABSTRACT

Consumer demand for natural preservatives, such as essential oils (eos ) from plants has increased over the years. Therefore, the aim of this study was to evaluate the vapor phase antibacterial effect of rosemary essential oil (eo ) and its major component (1,8-cineole), against Salmonella enterica serovar Typhimurium, Listeria monocytogenes, or Pseudomonas fluorescens at selected pHs and temperatures. The minimum inhibitory concentrations (mics ) of the eo and 1,8-cineole were determined at different pH’s and temperatures in culture mediums; resulting that in most of the cases L. monocytogenes exhibited less resistance to tested natural antimicrobials when compared to S. enterica and P. fluorescens.

KEY WORDS:

Antibacterial effect · Vapor phase · Rosemary · 1,8-cineole · Essential oils.

INTRODUCTION

Bacteria are the main cause of foodborne illnesses and difficult to detect and control by the food industry (USDA, 2012). Foodborne illnesses are important health concerns for governments, nowadays commonly attributed to

minimally (or not appropriately) processed (or stored) food products.

Chemical preservatives have been used as food antimicrobials for a long time; however, consumer search for food products with «clean» labels has increased over recent years. Therefore, there is an increasing need to find natural preservatives such as herbs and spices, and/or their extracts or essential oils (Hyldgaard et al., 2012). Essential oils are defined as mixtures of volatile and aromatic compounds. eos could be extracted from different parts of plants, where 85-95% of the main volume of eos is constituted by their major components (Burt, 2004). Among several alternative natural preservatives are eos extracted from rosemary (Rosmarinus officinalis), which have shown antimicrobial activity against different microbial strains, when applied either in liquid or vapor phase.

Though, when eos are applied in the liquid phase (directly to the food) they usually have a significant impact on food sensory attributes, because of their strong aromas and flavors. In contrast, vapor phase application (indirectly) of eos typically requires lower concentrations for their use as antimicrobials; thus, vapor phase application could be a solution to the adverse effects of the intense aroma and

flavor of applying eos directly to foods. Several culture medium ( in vitro ) studies have helped to simulate the antibacterial behavior of selected EOs in food systems (Mejía-Garibay et al., 2015). Thus, the aim of this study was to evaluate the vapor phase antibacterial effect of rosemary essential oil and its major component (1,8-cineole) against three different bacteria at selected pHs and temperatures.

METHODOLOGY

Rosemary essential oil was obtained from Hersol® laboratories (Hersol, Mexico City, Mexico) while its major component (1,8-cineole also known as eucalyptol) was obtained from Sigma-Aldrich® (Sigma, St. Louis, MO, USA). Tested essential oil was analyzed by a gas chromatographer coupled to a mass selective detector (GC/MSD, Thermo Fisher Scientific Inc., Waltham, MA, USA); compounds were identified by comparing their retention indices with the US National Institute of Standard Technology Library and with Shimadzu retention index (RI) isothermal equation.

Salmonella enterica serovar Typhimurium ATCC 14028, Listeria monocytogenes Scott A, and Pseudomonas fluorescens were obtained from the Universidad de las Américas Puebla Food Microbiology Laboratory strain collection. They were maintained on Trypticase soy agar (tsa, Merck, Germany) slants at 5 °C. Cultures were prepared by inoculating the bacteria strains into 10 mL of Trypticase soy broth (TSB, Merck, Germany), incubated at 35 °C for 24 h, and adjusted to a cell concentration to 107 CFU mL-1

Culture mediums were prepared with tsa adjusting its pH (6.0 or 6.5) with hydrochloric acid, then sterilized (15 min at 121 °C), and allowed to solidify in sterile Petri dishes. Subsequently, sterilized culture media were inoculated with 50 µL of inoculum of each bacteria strain, using a spiral plater (Spiral Biotech, Inc., Norwood, MA, USA).

WHEN EOS ARE APPLIED IN THE LIQUID PHASE THEY USUALLY HAVE A SIGNIFICANT IMPACT ON FOOD SENSORY ATTRIBUTES, BECAUSE OF THEIR STRONG AROMAS AND FLAVORS.

Minimum inhibitory concentration ( mic ) refers to the minimum concentration necessary to inhibit the visible growth of the studied strain (López-Malo et al., 2005), and it was utilized to evaluate the antibacterial activity of tested eo by means of the inverted Petri dish technique. This method consists in placing a sterile paper disc (Whatman No. 1), on the lid of the Petri dish, impregnated with a known volume of the tested eo or its major component. The volumes tested varied from 5 to 1900 μL, depending on the studied combinations of bacteria, pHs, and temperatures. The culture medium with the paper disc was immediately inverted on top of the lid, sealed with Parafilm® and incubated as follows: 1) at 35 °C for

Lorenzo-Leal A. C., Palou E. y López-Malo A. Entorno udlap núm. 5, 38-41, Mayo 2018
Lorenzo-Leal A. C., Palou E. y López-Malo A. (2018). Vapor phase antibacterial effect of rosemary (Rosmarinus officinalis) essential oil and its major component at selected pH’s and temperatures. Entorno UDLAP, 5 Recibido: 5 de febrero de 2018. Aceptado: 20 de febrero de 2018.

24 h, 2) at 25 °C for 48 h, 3) at 15 °C for 8 days, or 4) at 10 °C for 9 days. These incubation conditions were selected from previous experiments that corroborated that studied bacteria were able to grow at the studied temperatures after those incubation times. The obtained mics were expressed as mL of eo (or 1,8-cineole) per L of air.

Quantification of colony forming units (cfu mL-1) was made when growth was observed using a Q-Count counter and its corresponding software (Spiral Biotech, Inc., Norwood, MA, USA). Whereas, no growth was detected, the culture mediums were incubated again for the same corresponding period and temperature (35 °C/24 h, 25 °C/48 h, 15 °C/8 days, or 10 °C/9 days), changing the Petri dish lid with a new sterile one (with non-impregnated paper disc), removing the systems from the generated antibacterial atmosphere (caused by the EO/1,8-cineole) with the aim of proving a bacteriostatic or a bactericidal effect; if the bacteria grew after the lid change, it was reported as bacteriostatic effect, whereas if no growth was found, it was reported as a bactericidal effect. Every test was performed by triplicate.

RESULTS AND DISCUSSION

growth, and when these values are changed microbial growth could be deferred. Furthermore, when a microorganism is exposed to different preservation factors, such as temperature, pH, and/or preservatives, such as eos and its major components, there is an interaction amongst factors that could affect microbial growth. In this study, the temperature only showed a lower inhibition effect when increased to 25 or 35 °C, which could be related to the fact that the optimum growth temperatures are between 25 and 37 °C for the studied bacteria. In some of the tested combinations, when the pH increased the mic also increased; however, the impact of pH was much lower than the one presented by temperature. Summarizing, in most cases when temperature and pH increased, the observed mic was higher.

ACKNOWLEDGMENTS

Ana Cecilia Lorenzo Leal greatly acknowledges financial support from udlap for her Ph. D. studies in Food Science.

Ana Cecilia Lorenzo-Leal Estudió la Licenciatura de Nutrición y Ciencia de los Alimentos en la Universidad Iberoamericana (2013), y actualmente se encuentra en el último año del Doctorado en Ciencia de Alimentos en la udlap donde investiga temas relacionados con antimicrobianos naturales y microbiología de alimentos, en particular sobre el efecto antimicrobiano de diversos aceites esenciales. ana.lorenzoll@udlap.mx

Tested rosemary eo main components identified by GC-MSD, and their calculated retention index, are reported in table 1. Burt (2004) reported that rosemary eo may contain 6-14% of 1,8-cineole and 2-10% of pinene, which agrees with the results obtained in our case. On the other hand, Miladi et al. (2013) found in rosemary eo -pinene, 1,8-cineole, -pinene, and camphene as its main components; also similar to our reported results, except for -pinene.

The antibacterial activity of tested rosemary eo and its major component (1,8-cineole) against L. monocytogenes S. enterica, and P. fluorescens is shown in figure 1. It can be observed that the eo and its major component exhibited strong antibacterial effects (at different concentrations) against the three studied bacteria.

In both cases (rosemary eo and 1,8–cineole) the mics against L. monocytogenes were the lowest, followed by the ones against S. enterica, and then by the ones against P. fluorescens In general, the smallest concentrations needed to inhibit studied bacteria were observed when incubated at 10 or 15 °C for both tested pH’s. However, when the temperature was increased up to 25 or 35 °C (at both pHs) the mic for the three studied bacteria, augmented considerably.

It is important to note that microorganisms have an optimum pH and temperature for

When comparing the mics of tested rosemary eo and of its major component (1,8 cineol), it can be deduced that the antibacterial effects of tested eo cannot be correlated solely to the presence of 1,8 cineol, since in many of the evaluated conditions the concentrations needed to inhibit studied bacteria were higher for the major component than those observed for the eo It has been reported that Gram-positive bacteria are more susceptible to eos than Gram-negative bacteria as can be observed in figure 1. L. monocytogenes exhibited less resistance to tested natural antimicrobials when compared to S. enterica and P. fluorescens. The resistance of Gram-negative bacteria can be related to their hydrophilic cell wall, which helps them against penetration of hydrophobic compounds of the eos

Finally, a bacteriostatic effect refers to inhibition of cell growth while a bactericidal effect denotes cell death (Reyes-Jurado et al., 2016). In our case, only five of studied combinations were bacteriostatic, most of them against L. monocytogenes: 1) 1,8-cineole mic at pH 6 and 25 °C, 2) rosemary eo mic at pH 6.5 and 25 °C, or 3) rosemary eo mic at pH 6.5 and 35 °C. The only bacteriostatic effect observed against S. enterica was for the rosemary eo mic at pH 6.5 and 25 °C, while the only one against P. fluorescens was for 1,8-cineole mic at pH 6.5 and 35 °C.

Tested rosemary eo and its major component (1,8-cineole), when applied in vapor phase, could be considered a good alternative to traditional chemical antimicrobials. Further studies regarding their sensory compatibility with selected foods can lead to the development of new and distinct products.

Enrique Palou-García Doctor en Ingeniería por la Universidad Estatal del Estado de Washington (EE.UU.) y catedrático del Departamento de Ingeniería Química y Alimentos en la udlap desde 1992. Tiene más de 170 publicaciones científicas en el área de ciencia, tecnología e ingeniería de alimentos. Es investigador nacional (sni) nivel 3, fellow del Institute of Food Technologists, miembro de la Academia Mexicana de Ciencias y de la Academia de Ingeniería. enrique.palou@udlap.mx

Aurelio López-Malo Doctor en Química (Alimentos) por la Universidad de Buenos Aires (Argentina) y profesor del Departamento de Ingeniería Química y Alimentos de la udlap desde 1987. Ha publicado más de doscientos artículos científicos en revistas indizadas de prestigio internacional en el área de ciencia, tecnología e ingeniería de alimentos. Desde 1998 es investigador nacional (conacyt), actualmente, SNI nivel 3, y es miembro de la Academia Mexicana de Ciencias. aurelio.lopezm@udlap.mx

REFERENCES

• Burt, S. (2004). Essential Oils: their Antibacterial Properties and Potential Applications in Foods. International Journal of Food Microbiology, 94, 223-243.

• Hyldgaard, M., Mygind, T., & Meyer, R. L. (2012). Essential oils in food preservation: mode of action, synergies and interactions with food matrix components. Frontiers in Microbiology, 3, 1-24.

• López-Malo, A., Palou, E., Parish, M. E., & Davidson. P. M. (2005). Methods for Activity Assay and Evaluation of Results. In P. M. Davidson, J. N. Sofos & A. L. Branen (Eds.), Antimicrobials in Foods (3rd ed., pp. 659-680). New York: CRC.

• Miladi, H., Slama, R.B., Mili, D., Zouari, S. Bakhrouf A., & Ammar, E. (2013). Essential oil of Thymus vulgaris L. and Rosmarinus officinalis L.: Gas chromatography-mass spectrometry analysis, cytotoxicity and antioxidant properties and antibacterial activities against foodborne pathogens. Natural Science, 5, 729-739.

• Reyes-Jurado, F., López-malo, A., & Palou, E. (2016). Antimicrobial activity of individual and combined essential oils against foodborne pathogenic bacteria. Journal of Food Protection, 79 309-315.

• Mejía-Garibay, B., Palou, E., & López-Malo, A. (2015). Composition, diffusion, and antifungal activity of black mustard (Brassica nigra) essential oil when applied by direct addition or vapor phase contact. Journal of Food Protection. 78 843-848.

• USDA. (2012). Introduction to the microbiology of food processing (pp. 64). USA: United States Department of Agriculture.

Table 1. Main components of tested rosemary (Rosmarinus officinalis) essential oil determined by gas chromatographymass spectrometry.
Figure 1. Minimum inhibitory concentrations (mics) of tested rosemary (Rosmarinus officinalis) essential oil and its major component (1,8-cineole) against a) L. monocytogenes, b) S. enterica, or c) P. flourescens, at studied pHs and temperatures. Rosemary EO

Perspectiva actual y futura de los recursos hídricos en la cuenca

RESUMEN

El agua en la cuenca del río Bravo se maneja de acuerdo con la legislación mexicana y los tratados internacionales establecidos. Dicha gestión toma como base los derechos y exigencias de cada usuario de la misma y considera la disponibilidad del recurso en los embalses principales dentro de ésta. Según los estudios técnicos realizados por la Comisión Nacional del Agua en la Región Hidrológica núm. 24 Bravo-Conchos en el año 2011, se estimó que para abastecer en su totalidad a todos los usuarios de esta región se necesitaban casi doce mil hectómetros cúbicos anuales, de los cuales el 60% estaban destinados para uso consuntivo. Si se considera que el volumen de escurrimiento es de 5,590 hm3 y que el volumen de agua faltante se encuentra disponible de agua que proviene de retornos al sistema, se observa un panorama crítico de disponibilidad en un futuro cercano. En este trabajo se analiza la situación actual y la brecha hídrica proyectada al 2030 en esta región de México.

PALABRAS CLAVE:

Región Hidrológica núm. 24 · Cuenca del río Conchos · Brecha hídrica

ABSTRACT

The water in the Rio Bravo basin is managed according to the Mexican legislation and established international treaties. This management is based on the rights and demands of each user, and considers the availability of the resource in the main reservoirs within it. According to technical studies, carried out by the National Water Commission in the Hydrological Region No. 24 Bravo-Conchos in 2011, it was estimated that to supply all users of this

Por: Paul Hernández-Romero · Carlos Patiño-Gómez

region in its entirety, almost twelve thousand cubic hectometers per year were needed, of which 60% were destined for consumptive use. If it is considered that the volume of runoff is 5,590 hm3, and that the volume of water that is lacking is available from water that comes from returns to the system, then a critical outlook of availability is observed in the near future. This paper analyzes the current situation and the water gap projected to 2030 in this region of Mexico.

KEY WORDS:

Hydrological Region No. 24 · Rio Conchos basin · Water gap

ANTECEDENTES

De acuerdo con la Comisión Nacional del Agua (conagua ) y a los resultados de los estudios técnicos realizados en la región hidrológica (RH) núm. 24 Bravo-Conchos, se estima que para abastecer de agua, en su totalidad, a toda esta región se necesitan 11,881.3 hectómetros cúbicos1 (hm³) anuales. De este volumen, aproximadamente un 60% (7,091.4 hm³/año) corresponde al uso consuntivo (diferencia entre el volumen extraído y el descargado al llevar a cabo una actividad2) y el 40% restante (4,789.9 hm³/año) es para uso no consuntivo, relacionado con la generación de energía eléctrica (este volumen es regresado totalmente aguas abajo de las plantas hidroeléctricas o sitios de extracción, para que sea aprovechado por otros usuarios) (conagua , 2011). Del volumen total extraído, el 86% del abastecimiento del agua en la región, para todos los usos, proviene de ríos, corrientes superficiales y embalses, es decir, sólo el 14% proviene de fuentes subterráneas o acuíferos (tabla 1). Algo importante a resaltar es que en la región se estima que un volumen de agua de 5,142.8 hm³/año proviene de retornos al sistema, una vez utilizados en las plantas hidroeléctricas y otros usos, de los cuales 352.9 hm³/

EL VOLUMEN DE AGUA CONCESIONADO PARA LA GENERACIÓN DE ENERGÍA (USO NO CONSUNTIVO) ES DE

4,789.65

HM³/AÑO, EL CUAL ESTÁ DIVIDIDO EN LAS HIDROELÉCTRICAS LA BOQUILLA, MADERO, LA COLINA, LA AMISTAD Y FALCÓN.

año provienen de descargas de aguas residuales tratadas de las principales localidades (conagua , 2011). Esta cifra es muy significativa ya que el volumen de los escurrimientos naturales generados en esta región hidrológica es en promedio de 5,590 hm³/año.

CLASIFICACIÓN DE LOS USOS DEL AGUA

El agua en la cuenca del río Bravo se maneja de acuerdo con la legislación mexicana y los tratados internacionales establecidos. Dicha gestión toma como base los derechos y exigencias de cada usuario y considera la disponibilidad del recurso en los embalses principales dentro de ésta. Los volúmenes concesionados o concedidos a los usuarios de aguas nacionales en los organismos de cuenca se encuentran en el Registro Público de Derechos de Agua (repda ). Este registro proporciona una clasificación del agua según su uso, sin embargo, la conagua ha empleado el término «uso agrupado» para integrar en una sola clasificación varios rubros establecidos en el repda , diferenciando si es uso consuntivo o no. El uso consuntivo corresponde a las siguientes actividades: agrícola, abastecimiento públi-

co, industria autoabastecida y energía eléctrica excluyendo hidroelectricidad. Para el uso no consuntivo estaba establecida una sola agrupación: generación de energía (Hidroeléctricas), pero en 2014 se agregó un nuevo rubro no consuntivo denominado «uso ambiental» o «uso de conservación ecológica», con un volumen concesionado de 9.46 hm³/año (conagua , 2015a). Según conagua (2016a) en la región hidrológica-administrativa (rha ) VI: Río Bravo (incluye la RH-24: Bravo-Conchos y RH-34: cuencas cerradas del norte) los volúmenes concesionados para usos consuntivos y no consuntivos son 9,306.16 hm³/año y 5,409.56 hm³/año, respectivamente, dando un total de 14,715.72 hm³/año. El uso consuntivo agrupado con mayor volumen en toda la rha vi es el agrícola, con un total de 7,725.93 hm³/año, que representa el 83% del uso consuntivo total.

Del volumen total de agua para uso consuntivo, determinado para la rha vi un volumen de 7,091.79 hm³/año (76.2%) es para atender los requerimientos actuales de uso del sector agrícola, abastecimiento público e industria autoabastecida de la RH-24: Bravo-Conchos (conagua, 2011). De esta cantidad de agua, el 84.93% (6,022.94 hm3/año) es destinada al uso agrícola, el cual supera el 67.82% nacional (conagua 2017a). Hablando de fuentes de abastecimiento para uso consuntivo, conagua (2011) reportó que 5,402.09 hm³/año (76.2%) provienen de fuentes superficiales y 1,689.71 hm³/año (23.8%) proviene de fuentes subterráneas que abastecen esta región. En la tabla 2 se muestran las fuentes de abastecimiento por uso consuntivo y los porcentajes que representan para toda la región. En la figura 1 se muestran los volúmenes concesionados por usos agrupado. Según conagua (2011), el volumen de agua concesionado para la generación de energía (uso

Tabla 2. Fuentes de abastecimiento por uso consuntivo del agua de la RH-24: Bravo-Conchos. (elaborado con datos de conagua, 2011).
Tabla 1. Volúmenes anuales de extracción por fuente de abastecimiento de la RH-24: Bravo-Conchos (elaborado con datos de conagua, 2011).
Figura 1. Volúmenes concesionados para uso consuntivo de la RH-24: Bravo-Conchos (elaborado con datos de conagua, 2011).
Núm. 24 BravoConchos

distribuidos a los distritos de riego asentados en la RH-24 (elaborado con datos de conagua, 2016c).

no consuntivo) es de 4,789.65 hm³/año, el cual está dividido en las hidroeléctricas La Boquilla (713.61 hm hm³/año), Madero (245.79 hm³/año), La Colina (741.74 hm³/año), La Amistad (1,464.26 hm³/año) y Falcón (1,624.26 hm³/año)

TRATADOS INTERNACIONALES

Los dos principales tratados binacionales referentes al agua entre México y Estados Unidos, que se establecieron para regular la distribución del agua entre ambos países, dentro de los cuales está comprendida la cuenca el río Bravo/Grande son: Convención para la equitativa distribución de las aguas del río Grande de 1906 (Tratado del Agua para el Valle de Juárez) y el Tratado sobre la Distribución de Aguas Internacionales entre los Estados Unidos Mexicanos y los Estados Unidos de Norteamérica de 1944. Éste último es el que tiene más relevancia, ya que conforme al mismo tratado, México recibiría 1,850.23 hm³/año de agua proveniente de los Estados Unidos de Norteamérica, asignada del río Colorado y Estados Unidos de Norteamérica recibiría un tercio del agua que llegue al río Bravo (431.7 hm³/año), procedente de los ríos Conchos, San Diego, San Rodrigo, Escondido, Salado y Arroyo Las Vacas. Esta última cantidad, establecida en el tratado de 1944, no podrá ser menor a 2,158.5 hm3 en ciclos de cinco años consecutivos; así el tratado establece que: «en caso de extraordinaria sequía o serio accidente de los sistemas hidráulicos los faltantes que existieran al final del ciclo de cinco años, se repondrán en ciclo siguiente con agua procedente de los mismos tributarios» (cila, 1944). El cumplimiento de este convenio internacional se ha visto afecta-

do por las sequías que han azotado a México en años recientes (cila , 1995), por ejemplo, la sequía más severa y prolongada de la cual se tiene registro en la zona, que duró prácticamente catorce años, desde 1992 al año 2005 (Ortega, 2013). Este fenómeno provocó una falta de entregas de agua a EE. UU. en casi un ciclo completo, provocando con ello intensas negociaciones binacionales para lograr una solución cooperativa ante esta crisis climática (Martínez, Derbez y Giner, 2013).

SITUACIÓN DE LOS RECURSOS HÍDRICOS EN LA CUENCA

La presión hídrica en la región ha aumentado de manera acelerada en los últimos años, el grado de presión, definido como el volumen de agua concesionado dividido entre el volumen de agua renovable, era del 50% en 2003 ( conagua , 2003) y se incrementó a 77% en 2015 (conagua , 2015a). De acuerdo con conagua (2015a), un grado de presión mayor a 40% se considera alto. Tomando en consideración este indicador, los planes actuales de manejo o de gestión del agua en esta zona del país no responden a las expectativas de aprovechamiento para los distintos usuarios del recurso, el medio ambiente y sus responsabilidades internacionales.

De acuerdo con evaluaciones de conagua (2016b), cada una de las subcuencas que conforman la región tiene un déficit hídrico, ya que no cuentan con disponibilidad de agua debido al incremento poblacional, el aumento de la demanda de agua para irrigación, una creciente urbanización, la contaminación de cuerpos de agua y la sobreexplotación de acuíferos que

Hernández-Romero P. y Patiño-Gómez C. Entorno udlap núm. 5, 42-51, Mayo 2018

4. Acuíferos con y sin disponibilidad en la cuenca media y alta del río Conchos (elaborado con datos de conagua, 2016f, 2017d.)

han afectado la disponibilidad de agua en esta región del país. Para establecer la oferta hídrica actual y futura es necesario analizar cada uno de estos rubros, los cuales se describen a continuación.

INCREMENTO POBLACIONAL Y AUMENTO DE LA DEMANDA DE ALIMENTO

En el año 2000, la RH-24 tenía 9.19 millones de habitantes, según el XII censo de población y vivienda realizado ese año (inegi 2017a). Para 2010, la población en la región alcanzó los 10.98 millones de habitantes, de acuerdo con el censo de población y vivienda de ese año, esta dinámica arrojó una tasa de crecimiento de 19.5% en todo el periodo (inegi , 2017b), la cual fue superior a los 15.2% que se registró a nivel nacional. De acuerdo con la Consejo Nacional de Población (conapo ) para el año 2030 se proyecta que habrá 13.91 millones de habitantes en la región (conapo , 2017a). En la figura 2, se muestra la dinámica de población de la RH-24, del 2010 al 2030. Se establece que, derivado del crecimiento poblacional extraordinario, en un futuro cercano se necesitará más agua para uso agrícola y producción de alimentos. Un ejemplo claro son los volúmenes de agua distribuidos a los usuarios de los distritos de riego (dr ) asentados en la cuenca, ya que se pasó de 1,516.17 hm3/año, distribuidos en 2005, a 1,652.06 hm3/año en 2015. Actualmente se requiere 9% más de agua para la agricultura, a pe-

sar de que la superficie física regada ha disminuido un poco más de 32% (276,966 ha contra 187,071 ha) en ese mismo periodo ( conagua , 2016c). En la figura 3 se muestra la superficie física regada y los volúmenes distribuidos en el periodo mencionado.

El sector agrícola –actualmente– está regando un poco más de 187,000 hectáreas que se encuentran distribuidas en los once distritos de riego ubicados en la cuenca (conagua , 2016c); cabe mencionar que en los últimos diez años (de 2005 a 2015) se había estado regando más de 270,000 hectáreas, teniendo una productividad física del agua3, en promedio, de 1.33 kilogramos por metro cúbico de cultivo (kg/m3), esta cifra estuvo por abajo del promedio nacional, que fue de 1.59 kg/m3 en ese mismo periodo (conagua , 2016d); además se ha observado una alta variabilidad de precipitación que caracteriza a la cuenca y periodos prolongados de sequías.

CRECIENTE URBANIZACIÓN

La RH-24 es predominantemente urbana, con un 99.7% del total de la población asentada en localidades urbanas4 (inegi , 2017c). La población se concentra, mayormente, en nueve zonas metropolitanas (zm ): Saltillo, Monclova-Frontera, Piedras Negras, Ciudad Juárez, Chihuahua, Monterrey, Reynosa-Río Bravo, Matamoros y Nuevo Laredo, representando el 84% de la población total de la región (conapo , 2017b). Se

3. Productividad física del agua = Producción agrícola (gr) / Volumen de agua empleado en el riego (m ) (conagua 2016d). Salazar, Rojano y López (2014) la denominan «eficiencia en el uso del agua».
4. De acuerdo al inegi (2017c) se refiere a localidades donde habitan más de 2,500 personas.
Figura 2. Dinámica de población total en la RH-24 del año 2010 al año 2030. Elaboración propia con datos de conapo (conapo, 2017a).
Figura 3. Superficie física regada y volúmenes
Figura

de la RH-24 se encuentran

ACUÍFEROS

cuentan con disponibilidad de agua

33 17 5 5

no cuenta con disponibilidad

acuíferos sobreexplotados

prevé que la población urbana siga predominando en esta región del país en el futuro, de acuerdo con la proyección de la población urbana y rural en esta rh . Los retos relacionados con el abastecimiento y saneamiento del agua en estas zonas metropolitanas serán enormes, y se requerirá de un uso sumamente eficiente del agua para hacer frente a esta concentración de personas. Además, se necesitará de medidas de conservación del medio ambiente, que son también necesarias para salvaguardar las fuentes de abastecimiento.

CONTAMINACIÓN DE LOS

CUERPOS DE AGUA

De acuerdo con conagua (2016e), las descargas de aguas residuales se clasifican en dos categorías: municipales e industriales. La primera categoría incluye todas las aguas residuales manejadas en los sistemas de alcantarillado municipales, urbanos y rurales, mientras que en la segunda, están las aguas residuales vertidas por locales que efectúan actividades comerciales e industriales. Tomando en consideración sólo las aguas residuales municipales en la RH-24, se generan 853.3 hm3/año, de las cuales, el 95.4% (813.9 hm3/año) son colectadas y canalizadas a las plantas de tratamiento. El 4.6% restante, que equivale a 39.3 hm3/año, son vertidos directamente a los cuerpos de agua de la región. De los 813.9 hm3/año de agua que llega a las 176 plantas de tratamiento de aguas residuales (ptar ) en operación en toda la región, el 88.4% (719.9 hm3/año) es tratado y el 11.6%, correspondiente a 94.1 hm3/año, es vertido al medio ambiente sin ningún tipo de tratamiento (conagua , 2016e).

están bajo el fenómeno de salinización de suelos y aguas subterráneas salobres

Aun cuando el porcentaje tratado de agua residual por las ptar de la RH-24 supera en un 31% al porcentaje nacional de tratamiento, el volumen total de agua residual, considerando el no tratado y el no colectado, vertido anualmente a ríos, arroyos y lagos de la cuenca supera los 133 hm3 (conagua 2016e), contaminando y generando un riesgo para la salud humana y del medio ambiente, así como afectando la disponibilidad del recurso con una calidad adecuada para los diferentes usos consuntivos.

Otros factores que empeoran la contaminación de los cuerpos de agua en la región son: descargas clandestinas no contabilizadas, aplicación y observancia de la normatividad y legislación para las descargas a ríos y cuerpos de

agua, falta de una cultura de reutilización del agua tratada, falta de educación ambiental en la sociedad, plantas de tratamiento que no operan o que lo hacen de manera ineficiente, contaminación difusa en gran parte de la región, entre otras (conagua , 2012). En conclusión, se debe incluir la calidad del agua como un factor muy importante en la oferta hídrica actual y futura, así como considerar el manejo y control de la contaminación como un componente en la gestión y administración del recurso hídrico (fao, 2013).

SOBREEXPLOTACIÓN DE ACUÍFEROS

Dentro de la RH-24 se encuentran 50 acuíferos y, de acuerdo con el Diario Oficial de la Federación (dof ), 33 acuíferos cuentan con disponibilidad de agua y los 17 restantes no (conagua , 2016f). Además, existen cinco acuíferos sobreexplotados y cinco más están bajo el fenómeno de salinización de suelos y aguas subterráneas salobres (conagua , 2016g; conagua , 2016h). El volumen de recarga regional media de estos acuíferos es 3,674.5 hm3/año y el volumen de extracción concesionado es de 2,355.69 hm3, siendo su índice de explotación5 de 0.64 (conagua , 2017c). Cabe destacar que las ciudades con más habitantes y los distritos de riego con más hectáreas sembradas están ubicados dentro o cerca de los acuíferos sin disponibilidad, siendo ésta su principal fuente de abastecimiento, lo que propiciará, en un futuro cercano, que más acuíferos se declaren sobreexplotados.

Un ejemplo de esto se puede apreciar en la cuenca media y alta del río Conchos (figura 4). En esta región se encuentran asentados los distritos de riego 005 Delicia, 103 Río Florido, 113 Alto Río Bravo, con una superficie física regada total de 70,737 ha, las cuales se encuentran dentro de los acuíferos 831 Meoqui-Delicias y 832 Jiménez-Camargo, con un déficit de disponibilidad de 172.19 y 142.14 hm3/año, respectivamente. Además, la localidad de Chihuahua (809,232 habitantes) se encuentra asentada dentro del acuífero 830 Chihuahua-Sacramento con un déficit de disponibilidad de 45.46 hm3/ año (conagua , 2017d).

AL 2030

En 2012, la conagua realizó un análisis técnico prospectivo (atp ) con el objetivo de generar alternativas de oferta y demanda de agua, así

BRECHA HÍDRICA ACTUAL Y FUTURA DE LA REGIÓN
BRECHA HÍDRICA
Tabla 3. Perspectiva de la brecha hídrica al año 2030 por célula

1366 hm3

como determinar los retos y las posibles soluciones para cada uno de los ejes de la agenda del agua en esta región hidrológica. Por ello se establecieron y definieron estrategias, recomendaciones, acciones y proyectos de soporte a mediano y largo plazo para cumplir con los principios establecidos en la denominada Agenda 2030 y con el desarrollo de una política pública regional. Como resultado, la Agenda 2030 se estructuró en cuatro importantes prioridades nacionales: 1) Cuencas y acuíferos en equilibrio, 2) Ríos limpios, 3) Cobertura universal de agua potable, alcantarillado y saneamiento y 4) Asentamientos seguros frente a inundaciones catastróficas.

Con base a esta agenda, la RHA VI río Bravo se dividió en 24 células de planeación6 utilizando los limites hidrológicos estatales. De estas 24 células de planeación, 19 corresponden a la RH-24 Bravo Conchos, entre las que destacan, por su superficie, la del Conchos en Chihuahua, Cuatro Ciénegas en Coahuila y Monterrey en Nuevo León, que representan el 32.8%, 12.1% y 6.5% de la superficie de la región, respectivamente. Las células de planeación con mayor brecha hídrica7 estimada actual, son las del Conchos Chihuahua, con 695.2 hm³ (50.9%), Salado Nuevo León, con 223 hm³ (16.3%) y Coahuila Sureste, con 188.9 hm³ (13.8%).

3,662 hm3

La perspectiva para el año 2030 es que la demanda de agua en la RH-24 aumente en un 33% y la oferta en un 3%, incrementando la brecha en un 68%, pasando de 1,366 hm³ a 3,662 hm³ (figura 5). El aumento de la demanda de agua en la región estará relacionado –principalmente– con el crecimiento acelerado de la población, la recuperación de la superficie agrícola en distritos de riego y el crecimiento industrial en la región (conagua 2012).

En la tabla 3 se muestra la perspectiva de la brecha hídrica por célula de planeación para el año 2030. Destaca la célula de Conchos Chihuahua pues representa casi el 40% de la brecha total, con 1,432 hm 3 . El otro 40% de la brecha hídrica en la región la complementan las células Salado Nuevo León (409 hm3), Tamaulipas Norte (391 hm3), Monterrey Nuevo León (378 hm3) y Coahuila Sureste (287 hm3).

Si se analiza el déficit del agua en la región como la relación de brecha y oferta, se aprecia que las cinco células con mayor brecha/ oferta son: Monclova Coahuila (329%), Acuña Coahuila (277%), Coahuila Sureste (233%),

Salado Nuevo León (106%) y Sabinas Coahuila (103%).

CONCLUSIONES

De acuerdo con datos oficiales de la conagua , el déficit hídrico en la RH-24 es una realidad actualmente, ya que cada una de las cuencas que conforman la región no cuentan con disponibilidad (conagua , 2016b). Además, 17 de los 50 acuíferos en la cuenca tienen una disponibilidad negativa y 5 de ellos están siendo sobreexplotados. Esta problemática actual se acentuará en un futuro cercano por el incremento poblacional, la creciente urbanización, la demanda agrícola, la contaminación de los cuerpos de agua y la sobreexplotación de acuíferos.

La brecha hídrica en la RH-24, en 2012 se estimó en 1,366 hm3 y la brecha que se espera para el 2030 es de 3,662 hm3 (168% más), esto sin considerar los efectos del cambio climático. Esta brecha es en función de la demanda de agua y la oferta sustentable. De acuerdo a conagua (2012), la oferta sustentable de agua se espera que aumente un 3% conforme a la tendencia actual de infraestructura factible de construirse y la demanda de agua será de un 33% para el 2030, lo cual está relacionado por el crecimiento acelerado de la población, el aumento del riego de la superficie agrícola y el crecimiento acelerado de la industria.

Teniendo como base estos escenarios, se observa que son necesarios instrumentos eficientes de gestión del recurso hídrico en la RH24. Éstos son urgentes para los tomadores de decisiones actuales y futuros. Una gestión integrada del recurso hídrico es de suma importancia en estos momentos, la cual debe estar soportada por modelos de datos, modelos hidrológicos y de calidad de agua que estén vinculados en un modelo de gestión, en el cual se podrán crear diferentes escenarios futuros con la finalidad de proyectar y/o plantear alternativas que conlleven a mejorar o hacer más eficiente la distribución y uso del agua en esta importante cuenca mexicana.

AGRADECIMIENTOS

Este trabajo fue patrocinado por el Consejo Nacional de Ciencia y Tecnología (conacyt), en el marco el programa de Proyectos de Desarrollo Científico para atender problemas nacionales, proyecto 240080. Los autores agradecen el apoyo de la Universidad de las Américas Puebla.

M.I. Paul Hernández-Romero

Ingeniero civil y maestro en Ingeniería, actualmente estudiante del Doctorado en Ciencias del Agua, en la udlap. En este momento está participando en un grupo de trabajo interdisciplinario en el proyecto denominado: «Gestión integrada de la cuenca del río Bravo bajo condiciones de cambio climático», financiado por el conacyt paul.hernandezro@udlap.mx

REFERENCIAS

• cila (1944). Tratado de utilización del agua de los ríos Tijuana, Colorado y Grande entre Estados Unidos de America y México. Washington: Comisión Internacional de Límites y Agua.

• cila (1995). Medidas emergentes de cooperación para abastecer las necesidades municipales de las poblaciones mexicanas ubicadas a lo largo del río Bravo aguas abajo de la presa de La Amistad. México, D.F.: Comisión Internacional de Límites y Aguas.

• conagua (2003). Estadística del agua en México. México, D.F.: Comisión Nacional del Agua.

• conagua (2011). Acuerdo por el que se da a conocer el resultado de los estudios técnicos de la región hidrológica número 24 Bravo-Conchos. México, D.F.: Diario Oficial de la Federación.

• conagua (2012). Programa Hídrico Regional Visión 2030. Región Hidrológico Administrativa VI Río Bravo. Mexico: Comisión Nacional del Agua.

• conagua (2015a). Estadísticas del Agua en México. México, D.F.: Comisión Nacional del Agua.

• conagua (2016a). Registro Público de Derechos de Agua (repda). Información Estadistica por Organismo de Cuenca. Recuperado de http:// www.gob.mx/cms/uploads/attachment/file/154673/REPDA_GR-06.pdf

• conagua (2016b). Acuerdo por el que se actualiza la disponibilidad media anual de las aguas nacionales superficiales de las 757 cuencas hidrológicas que comprenden las 37 regiones hidrológicas en que se encuentra dividido los Estados Unidos Mexicanos. Diario Oficial de la Federación.

• conagua (2016c). Estadísticas hidrométricas. Estadísticas agrícolas de los distritos de riego. Recuperado de http://www.edistritos.com/DR/ estadisticaHidrometrica/organismo.php

• conagua (2016d). Estadística de agua en México. México D.F.: Comisión Nacional del Agua.

• conagua (2016e). Situación del subsector agua potable, drenaje y saneamiento México, DF: Comisión Nacional del Agua.

• conagua (2016f). Sistema Nacional de Información del Agua. Disponibilidad de los Acuíferos. Recuperado de http://201.116.60.25/sina/ index_jquery-mobile2.html?tema=acuiferos#&ui-state=dialog

• conagua (2016g). Sistema de Información del Agua. Condición de acuíferos. Recuperado de http://sina.conagua.gob.mx/sina/index_ jquery-mobile2.html?tema=acuiferos

• conagua (2016h). Sistema de Información de Agua. Acuíferos con instrucción marina o fenómenos de salinización de suelos y aguas

Carlos Patiño-Gómez

Es ingeniero civil de profesión y maestro en Ciencias en Hidráulica, egresado del Instituto Politécnico Nacional. Tiene el título de Doctor en Ingeniería Civil y un postdoctorado en Ingeniería Civil, con especialidad en recursos hídricos y medio ambiente, por parte de la Universidad de Texas en Austin, EE.UU. Miembro del Sistema Nacional de Investigadores, Nivel 1. carlos.patino@udlap.mx

subterráneas salobres. Recuperado de http://sina.conagua.gob.mx/sina/ index_jquery-mobile2.html?tema=acuiferosmobile2.html?tema=divisionHidrologicaAdministrativa

• conagua. (2017a). Registro Público de Derechos de Agua (repda). Información Estadistica Nacional. Recuperado de http://www.gob.mx/ cms/uploads/attachment/file/196286/NACIONAL.pdf

• conagua. (2017b). Sistema Nacional de Información del Agua. Plantas de tratamiento de agua residual (Estatal). Recuperado de http://sina. conagua.gob.mx/sina/index_jquery-mobile2.html?tema=plantasTratamiento conagua (2017c). Agua subterránea. Disponibilidad por acuíferos. Recuperado de https://www.gob.mx/conagua/acciones-y-programas/ disponibilidad-por-acuiferos-66095

• conagua. (2017d). Estadísticas Agrícolas. Series históricas de Estadísticas Agrícolas. Recuperado de http://www.edistritos.com/DR/estadisticaAgricola/serie.php

• conapo. (2017b). Consejo Nacional de Población. Delimitación de las zonas metrolitanas de México 2010: Zonas metropolitanas por tamaño de población. Recuperado de http://www.conapo.gob.mx/es/CONAPO/ Zonas_metropolitanas_2010

• fao (2013). Afrontar la escasez de agua: un marco de acción para la agricultura y seguridad alimentaria. Roma, Italia: Organización de la Naciones Unidas para la Alimentación y la Agricultura.

• inegi. (2017a). Instituto Nacional de Estadística y Geografía. Censos y conteos de población y vivienda: XII Censo general de porblación y vivienda 2000. Recuperado de http://www.beta.inegi.org.mx/proyectos/ ccpv/2000/default.html

• inegi. (2017b). Instituto Nacional de Estadística y Geografía. Censos y conteos de población y vivienda: Censo de población y vivienda 2010. Recuperado de http://www.beta.inegi.org.mx/proyectos/ccpv/2010/

• inegi. (2017c). Instituto Nacional de Estadística y Geografía. Censos y conteos de población y vivienda. Recuperado de http://www.inegi.org. mx/est/contenidos/Proyectos/ccpv/

• Mártinez-Austria, P. F., Derbez, L. E. y Giner, M. E. (2013). The US-Mexico institutional arrangement for transboundary water governance. In Free Flow. Reaching water security through cooperation (pp. 182-197). París: Tudor Rouse and unesco

• Ortega-Gaucin, D. (2013). Caracterización de las sequías hidrológicas en la cuenca del río Bravo. Terra Latinoamericana, 31(3), 167-180.

• Salazar-Moreno, R., Rojano-Aguilar, A. y López-Cruz, I. L. (2014). La eficiencia en el uso del agua en la agricultura controlada. Tecnología y Ciencias del Agua, 177-183.

Figura 5. Comparativa de brecha hídrica 2012 y 2030 de la RH-24 (elaborado con datos de conagua, 2012).

El problema de los conocimientos previos: un

estudio exploratorio en

conta-

bilidad

financiera

RESUMEN

Gran parte de los alumnos que ingresan a las licenciaturas del área de negocios han recibido en la preparatoria alguna formación académica de tipo contable, lo cual debería dotarlos de ciertas herramientas básicas para su desempeño en la materia de Contabilidad Financiera, primera asignatura de esta área, en la mayoría de los planes de estudio. Existe la creencia empírica entre los estudiantes de que dicho estudio previo ayuda a un mejor desempeño en el curso de licenciatura, pero la experiencia de los profesores que imparten este curso va en sentido contrario, pues se ha observado que la formación previa en áreas contables, adquirida en la preparatoria, representa en ocasiones un obstáculo que limita o dificulta el proceso de aprendizaje de los estudiantes. La aplicación de un instrumento diagnóstico (pretest) pretende obtener elementos objetivos para empezar a validar la idea anterior.

PALABRAS CLAVE

Preparatoria · Negocios · Contabilidad Financiera · Evaluación · Instrumento diagnóstico · Pretest · Conocimientos previos

RESULTA NECESARIO DIAGNOSTICAR EL GRADO DE DOMINIO QUE TIENEN LOS ALUMNOS DE NUEVO INGRESO SOBRE UNA SERIE DE TEMAS CONSIDERADOS BÁSICOS EN EL CURSO CONTABLE DE LA LICENCIATURA.

ABSTRACT

Students that begin university business courses have usually studied accounting in high school. That knowledge should give them basic tools for a better understanding of Financial Accounting, the first course in most of the study plans of the business area. Students believe empirically that this previous experience helps them to improve their performances during university courses, but professors’ experience goes the other way because the high school accounting courses are not comprehensive nor updated and aren’t linked with actual companies, resulting in an obstacle to learning for students instead of being helpful. The use of a pretest tries to obtain objective elements to start validating the aforementioned hypothesis.

KEY WORDS

High School · Business · Financial Accounting · Evaluation · Pretest

PROPÓSITO

A través del tiempo ha existido una serie de observaciones empíricas de los profesores de contabilidad financiera, las cuales correlacionan

los errores típicos que comenten los estudiantes de recién ingreso, con su formación académica previa en áreas de contabilidad. Resulta entonces necesario diagnosticar, a través de un pretest, el grado de dominio que tienen los alumnos de nuevo ingreso sobre una serie de temas considerados básicos en el curso contable de la licenciatura y así determinar el impacto que representa la ausencia de conocimientos previos adecuados en el proceso de aprendizaje de los estudiantes.

ANTECEDENTES

Los criterios de evaluación de un curso recomiendan siempre utilizar tres tipos de evaluación: diagnóstica, formativa y sumativa, recalcando que es importante iniciarlo con una evaluación diagnóstica; es decir, con una prueba en la que indaguemos qué conocimientos previos, del curso que comenzamos, poseen los integrantes del grupo (Vázquez y López, 1993). Es fundamental realizarla precisamente al inicio del curso para identificar la realidad particular de los alumnos y así diseñar una adecuada secuencia de aprendizaje (Carreño, 1978). En este caso se eligió un pretest sobre los temas conta-

Por: Francisco Calleja · Javier Piñataro
Calleja F. y Piñataro
Calleja F. y Piñataro

¿SE HA ESTUDIADO CONTABILIDAD EN CURSOS ANTERIORES?

Se tuvo una población de contestaron la prueba

ALUMNOS

bles ubicados en las primeras doce semanas del curso de contabilidad financiera.

Aunque la idea anterior se aplica normalmente en cursos que tienen un antecedente, por ejemplo, en contabilidad de costos, cuyo antecedente es contabilidad financiera o contabilidad gerencial; la existencia de cursos a nivel medio superior que supuestamente han dado ciertos conocimientos al alumno sobre temas contables, ha sugerido a los profesores de contabilidad financiera que pueden contar, en sus grupos, con alumnos que tienen ciertos antecedentes contables, de allí la idea de un test que mida dichos conocimientos (Calleja, 2018).

50 43 2 5

No tengo estudios previos

Sí, la estudié en preparatoria

Sí, la estudié en otra licenciatura

Sí, ya la estudié porque estoy repitiendo la materia

Los resultados por grupo no tienen una diferencia significativa con el total, pero lo que debe observarse es que la prueba, consistente en diez preguntas sobre los temas de las primeras doce semanas del curso, el promedio fue de 38.9 sobre 100 y la máxima calificación que un solo alumno obtuvo fue de 70.

consistentes con 97% y 91% respectivamente y la pregunta para identificar capital social tuvo un 83% de respuestas correctas. No se plantearon preguntas para identificar activo ni capital contable.

La tercera pregunta es relativa a los elementos (cuentas) que componen el activo a corto plazo o circulante y el pasivo a corto plazo (cinif , 2015; Calleja, 2015).

das, sólo una nos reporta 43% de aciertos y las otras cuatro no superan el 28%.

LA PRUEBA

CONSISTENTE EN

DIEZ PREGUNTAS

SOBRE LOS TEMAS

DE LAS PRIMERAS

DOCE SEMANAS

DEL CURSO, EL PROMEDIO FUE DE 38.9 SOBRE

100 Y LA MÁXIMA

CALIFICACIÓN QUE

UN SOLO ALUMNO

OBTUVO FUE DE 70

Entonces, cuando se trata del primer curso de contabilidad a nivel licenciatura, que en algunas universidades se llama Contabilidad Financiera o Información Financiera, podemos suponer que habrá dos tipos de respuestas: la de aquellos que han estudiado la materia en la preparatoria y la de quienes no tomaron ningún curso contable antes.

EL PRETEST

Se seleccionaron a los alumnos de tres secciones (grupos) que cursaban la materia con el maestro Francisco Calleja en otoño de 2017 en la Universidad de las Américas Puebla, pertenecientes a las licenciaturas de Estrategias Financieras y Contaduría Pública, Negocios Internacionales, Administración o Mercadotecnia. En este caso se tuvo una población de 136 alumnos, divididos en los tres grupos (64, 32 y 40 respectivamente), de los cuales cien contestaron la prueba. La primera pregunta se refiere a si «se ha estudiado contabilidad en cursos anteriores» y tiene cuatro posibles respuestas.

Con base en lo anterior, podría enunciarse la hipótesis de que los conocimientos previos de los 43 alumnos que cursaron contabilidad en la preparatoria parecen ser insuficientes. Revisando en detalle hay una serie de aspectos relevantes. En primer lugar, es importante revisar el anexo, donde se clasifican las preguntas por el nivel taxonómico que se diagnostica.

La segunda pregunta se refiere a la «clasificación del balance: activo, pasivo, capital social y contable», según las actuales Normas de Información Financiera (cinif , 2015) y el respectivo libro de texto de la materia (Calleja, 2015).

Es evidente que los alumnos conocen la fórmula del balance desde la preparatoria, ya que la única pregunta hecha sobre el tema tuvo 83% de respuestas correctas, pero parece ser un concepto aprendido de memoria sin mucho razonamiento, ya que en las preguntas de detalle, para identificar cada uno de sus tres elementos, el resultado fue bajo: identificar pasivo (44%), identificar capital social (48%) y en dos preguntas, enfocadas a identificar el capital contable, la respuesta es contradictoria (45% vs. 86%). No se planteó una pregunta para identificar activo.

En cambio, cuando se llega al primer examen parcial, el resultado es totalmente diferente, se hicieron dos preguntas para identificar el pasivo y las respuestas correctas fueron

También salta a la vista que los conceptos aprendidos son antiguos o no están puestos al día, ya que en las cinco opciones de preguntas, encaminadas a identificar qué cuentas deben formar parte del activo a corto plazo o circulante, y qué cuentas deben formar parte del pasivo a corto plazo, el promedio de aciertos fue de 30%. Esto se confirma con alumnos que ya en el desarrollo del curso se sorprenden de que, por ejemplo, pagos anticipados se clasifique en el activo a corto plazo o circulante, siendo que esta postura se adoptó desde los antiguos principios de contabilidad en 1981 (CPC, 2004).

En el primer examen parcial el promedio de aciertos a las preguntas anteriores fue de 72%, la pregunta con más bajo porcentaje de aciertos tuvo 58% y la más alta 83%. Aunque el alumno resiente la presencia de conceptos sinónimos y de conceptos poco frecuentes, como inversiones en valores a corto plazo, la diferencia es significativa en relación al pretest.

La cuarta pregunta es sobre la teoría de la partida doble, que desde los autores clásicos de la materia y hasta la actualidad se ha planteado siempre de la misma manera (Prieto, 1987 y Calleja, 2015). El manejo de transacciones sencillas, como aplicación de la teoría de la partida doble; es decir, aumentos y disminuciones de conceptos, también dio malos resultados, ya que de las cinco opciones de preguntas plantea-

Lo anterior lleva a suponer que la enseñanza excesivamente memorística de la contabilidad, tanto en la fórmula del balance, como en el entendimiento del impacto que tienen las operaciones en el mismo, aunado a la falta de actualización de ciertos conceptos, conduce a que el curso de contabilidad estudiado en la preparatoria parezca tener poca utilidad para el alumno, ya que no razona al no tener que aplicarlo. En el primer parcial, las cinco opciones de pregunta sobre el tema anterior tienen un promedio de 76%, con la pregunta más baja en aciertos en 58% y la más alta en 89%.

La quinta pregunta se refiere al registro de asientos contables (Calleja, 2015). Cuando el pretest pasa al tema de asientos contables, al preguntar por el registro de pagos, con efectivo o cheque, a proveedores, acreedores o documentos por pagar, las respuestas correctas están entre 31% y 58%, con un promedio de 45%. Puede apreciarse que el manejo del tema es insuficiente, aunque se trata de una de las operaciones más frecuentes en las empresas. Cuando en el primer parcial se pasa al tema de asientos contables, al preguntar por el registro de pagos, con efectivo o cheque, a proveedores, acreedores o documentos por pagar, las respuestas correctas están entre 55% y 86%, con promedio de 67%. Puede verse que es el tema en que el avance es menor, porque es el más novedoso y complejo y el tratado en menos tiempo, justo antes del examen. La sexta pregunta es sobre cómo ordenar las cuentas en el balance según los criterios de las Normas de Información Financiera vigentes (cinif , 2017) y el respectivo libro de texto (Calleja, 2015). Al ordenar las cuentas dentro del pasivo

Calleja

de los alumnos obtuvo más de 50% de aciertos

EN EL PRIMER EXAMEN PARCIAL SE PIDIÓ ORDENAR LAS CUENTAS

DENTRO DEL ACTIVO A CORTO PLAZO O CIRCULANTE, QUE SE CONSIDERA EQUIVALENTE A LA PREGUNTA DEL PRETEST.

a corto plazo, para presentación en el balance, sólo el 33% de los alumnos obtuvieron más de 50% de aciertos. El conocimiento de este tema es insuficiente.

En el primer examen parcial se pidió ordenar las cuentas dentro del activo a corto plazo o circulante, que se considera equivalente a la pregunta del pretest, y el 75% de los alumnos obtuvieron más de 50% de aciertos.

La séptima pregunta corresponde a identificar cuentas de resultados de deudoras y acreedoras según los criterios de las Normas de Información Financiera vigentes (cinif 2017) y el respectivo libro de texto (Calleja, 2015).

Al identificar las cuentas de resultados acreedoras por su función (cinif , 2017), utilizando sólo ventas, productos financieros y otros productos, el nivel de aciertos, en promedio, es de 35%. Normalmente, el alumno identifica mejor las cuentas de resultados deudoras, de manera que ésta es la pregunta difícil, pero la hipótesis podría ser que el tema no fue adecuadamente explicado en la preparatoria.

En cambio, en el segundo examen parcial, la respuesta a esta misma pregunta tuvo un nivel de acierto de 87%, elaborada exactamente igual sobre cuentas de resultados acreedoras.

La octava pregunta se refiere a identificar qué monto del impuesto al valor agregado (iva ) está ya incluido en una cierta cantidad, ya sea cobrada o pagada (Calleja, 2015).

En la pregunta se hace referencia al monto del iva que tiene la cantidad que debe un cliente; el promedio de aciertos es de 28% y sólo lo

supera una pregunta, con 46%, en la que la cifra era $23,200 y el cálculo era el más fácil. En las otras, donde el cálculo era más complicado, el porcentaje de aciertos fue entre 16% y 30%. Podemos suponer que no se les enseñó una fórmula para este cálculo o sólo se les ofrecieron ejemplos sumamente simples que pudieran calcular fácilmente. Se vuelve a la cuestión de que la enseñanza de la materia ha recurrido a formatos fáciles de memorizar o de crear rutinas de resolución, en vez de procurar el razonamiento del alumno.

En cambio, en el segundo examen parcial el porcentaje de respuestas correctas fue de 83%, aquí se incluyeron cantidades que debe un cliente o que se le deben a un proveedor o a un acreedor, pero son totalmente equivalentes.

La novena pregunta es relativa a registrar una venta con impuesto al valor agregado (Calleja, 2015) El número de aciertos no excede el 36% en promedio. Esto es lógico en función de la respuesta anterior, el tema del IVA requiere razonamiento. En el segundo examen parcial, en la misma pregunta, el nivel de aciertos fue de 84%.

La décima pregunta versa sobre la determinación de la utilidad o pérdida de la empresa (Calleja, 2015). De manera simple; es decir, comparando los saldos de las cuentas de resultados deudoras y las acreedoras, el porcentaje de acierto, en promedio, fue de 66%. Aquí se trata sólo de comparar dos sumas y es fácil lograr que los alumnos identifiquen qué lista de cuentas es superior y si implica utilidad o pérdida.

A pesar de todo, en el tercer examen parcial las respuestas acertadas fueron del 84% en la misma pregunta, mejorando lo obtenido en el pretest.

La undécima pregunta se refiere a distinguir las cuentas del método pormenorizado, analítico o periódico en el control de las mercancías (Calleja, 2015). Sólo el 25% de los alumnos acertó. El inventario perpetuo es más fácil y las explicaciones en preparatoria se centran en él.

En cambio, en el tercer examen parcial, donde se aplicó la misma pregunta, el porcentaje de aciertos fue de 88%, debido a que hay frecuentes ejercicios en el curso para diferenciar ambos procedimientos.

CONCLUSIÓN

La selección de preguntas abarca sólo los tres exámenes parciales del semestre y no se entra a temas difíciles como ajustes, que son tratados

Anexo. El instrumento utilizado fue un pretest montado en la plataforma Blackboard con las siguientes características:

Número de pregunta

Examen parcial al que corresponde la pregunta Temas Nivel taxonómico

Número de variantes de cada pregunta, entre las que Blackboard selecciona

1 Ninguno Estudio previo del curso Ninguno 1

2 Primero Clasificación del balance: activo, pasivo, capital social y contable Conocimiento 5

poco antes del examen final de la materia. La situación implica una seria meditación, sobre todo cuando algunos compañeros profesores comentan que ciertas universidades están suponiendo que sus alumnos de nuevo ingreso ya saben contabilidad por haberla estudiado en preparatoria y que los cursos de licenciatura son estructurados bajo ese supuesto. El estudio ha tenido sólo una finalidad exploratoria y se extenderá el próximo semestre a todos los grupos de la materia para avanzar en la validación de los resultados obtenidos.

AGRADECIMIENTO

A Valeria Rojas González, becaria en la udlap , por haber extraído la información de la plataforma de Blackboard y tabulado los resultados.

3 Primero

Elementos (cuentas) que componen el activo a corto plazo o circulante y el pasivo a corto plazo Aplicación 5

4 Primero Teoría de la partida doble Comprensión 5

5 Primero Registro de asientos contables Aplicación 6

6 Primero Ordenar las cuentas en el balance Aplicación 5

7 Segundo Identificar cuentas de resultados deudoras y acreedoras Comprensión 5

8 Segundo Identificar qué monto de impuesto al valor agregado (iva) está ya incluido en una cierta cantidad Aplicación 4

9 Segundo Registrar una venta con impuesto al valor agregado Aplicación 4

10 Tercero Determinación de la utilidad o pérdida de la empresa Comprensión 5

11 Tercero Distinguir las cuentas del método pormenorizado, analítico o periódico en el control de las mercancías

Conocimiento 4

REFERENCIAS

• Calleja, F. (2015). Contabilidad 1 (2ª ed.). México: Pearson.

• Calleja, F. (2018). Aprender a enseñar. México: Pearson, en prensa.

• Carreño, F. (1978) Enfoques y principios teóricos de la evaluación México: Trillas.

• Comisión de Principios de Contabilidad (2004). Principios de contabilidad generalmente aceptados (20ª ed.). México: IMCP.

• Consejo Mexicano para la Investigación y Desarrollo de Normas de Información Financiera (2015). Normas de Información Financiera México: CINIF-IMCP.

• Prieto, A. (1987). Principios de Contabilidad (17ª ed.). México: Banca y Comercio.

• Vázquez, J. y López, V. (1993). Manual de didáctica para las áreas básicas de la contaduría pública. México: IMCP.

Francisco Javier Calleja Bernal Contador público por la Escuela Bancaria y Comercial, maestro en Enseñanza Superior por la Universidad La Salle, maestro en Administración por el ITESM y candidato a doctor en Educación por la Universidad Anáhuac. Profesor durante 45 años, desde 2013, en la udlap Ha publicado diez libros, entre ellos, Contabilidad 1, Costos y Contabilidad administrativa en segunda edición.francisco.calleja@udlap.mx

Javier Piñataro

Estudió Ingeniera en Electrónica y Computadoras y una Maestría en Ciencias de la Educación, ha sido profesor en diversas instituciones y actualmente colabora en el área de Desarrollo Docente de la udlap, donde ha tenido la oportunidad de participar en proyectos en el área de ciencia y educación. javier.pinataro@udlap.mx

Actividad antibacteriana

de bacterias ácido

lácticas

Actualmente existe una tendencia en la preferencia de los consumidores por elegir alimentos frescos y menos procesados, por lo que ha surgido el interés en buscar conservadores diferentes a los sintéticos y asegurar la inocuidad de los alimentos. Con este propósito se han estudiado algunos bioconservadores, entre los que destacan los aceites esenciales, enzimas y microorganismos (Beristain-Bauza et al., 2012, 2017; Mani-López et al., 2017). Entre estos últimos se encuentran las bacterias ácido-lácticas (bal ), las cuales, además de producir sabores, olores, texturas y cambios nutricionales en los alimentos,

también son conocidas por su capacidad de producir metabolitos secundarios tales como ácidos orgánicos, bacteriocinas, peróxido de hidrógeno, reuterina, diacetilo y alcohol etílico, entre otros. Varios estudios han demostrado que la aplicación directa de las bal o de sus metabolitos inhiben bacterias indeseables en alimentos (Mani-López et al., 2018).

El objetivo de este estudio fue evaluar la efectividad como antimicrobianos de diferentes cepas de bal (sobrenadantes libres de células) contra Escherichia coli, Staphylococcus aureus, Salmonella Typhimurium y Listeria monocytogenes. Se evaluó la actividad antimicrobiana mediante una prueba de difusión en pozos de los sobrenadantes de doce cepas de bal .

METODOLOGÍA

Las cepas de las bal (Lactococcus lactis subsp. lactis NRRL B-633, Lactococcus lactis subsp. cremoris NRRL B-634, Pediococcus acidilactici NRRL B-1116, Pediococcus pentosaceus NRRL B-14009, Leuconostoc mesenteroides subsp. mesenteroides NRRL B-1118, Lactobacillus sakei NRRL B-1917, Lactobacillus fermentum NRRL B-1932, Lactobacillus reuteri NRRL B-14171, Lactobacillus plantarum NRRL B-4496, Lactobacillus acidophilus NRRL B-4495, Lactobacilus casei NRRL B-1922 y Lactobacillus rhamnosus NRRL B-442), así como las cepas de las bacterias indicadoras (Escherichia coli ATCC 25922, Staphylococcus aureus ATCC 29413, Salmonella Typhimurium ATCC 14028 y Listeria monocytogenes Scott A) fueron obtenidas de la colección de cepas del laboratorio de Microbiología de Alimentos de la Universidad de las Américas Puebla, y se mantuvieron a 5°C en agar MRS y en agar soya tripticaseína, respectivamente.

Los cultivos fueron preparados inoculando las cepas de las bal en 30 mL de caldo MRS y las bacterias indicadoras en 10 mL de caldo soya tripticaseína, se incubaron a 35°C durante 24 h. Para la obtención del sobrenadante de las bal , los cultivos fueron centrifugados durante diez minutos a 10,000 rpm. Posteriormente se filtraron al vacío a través de una membrana HVLP de 0.45 μm, para después concentrar hasta reducir el volumen a la décima parte del original, en un rotavapor a una temperatura de 70°C.

La actividad antimicrobiana de los sobrenadantes de las bal se evaluó a través de una prueba de difusión en pozos sobre placas de agar, la cual consiste en realizar una siembra por extensión de los microrganismos indicadores (105 UFC/g) en cajas Petri con agar soya trip-

LAS CEPAS DE LAS BAL Y LAS CEPAS DE LAS BACTERIAS INDICADORAS

fueron obtenidas de la colección de cepas del laboratorio de Microbiología de Alimentos de la Universidad de las Américas Puebla, y se mantuvieron a

EN AGAR MRS Y EN AGAR SOYA TRIPTICASEÍNA

SE INCUBARON A 35°C DURANTE 24 HORAS 5°C 30 10 mL mL

los cultivos fueron preparados inoculando las cepas de las bal en

DE CALDO MRS Y LAS BACTERIAS INDICADORAS EN

EN DE CALDO SOYA TRIPTICASEÍNA

Arrioja-Bretón D. et al. Entorno udlap núm. 5, 58-61, Mayo 2018
Arrioja-Bretón D. et al. (2018). Actividad antibacteriana de bacterias ácido lácticas. Entorno UDLAP, 5

Arrioja-Bretón D. et al. Entorno udlap núm. 5, 58-61, Mayo 2018

Lactococcus lactis subsp. cremoris

Lactococcus lactis subsp. lactis

-No se observaron halos de inhibición.

ticaseína solidificado, posteriormente se realizaron cuatro perforaciones. En tres de los pozos se colocó el sobrenadante; en el cuarto se colocó caldo MRS concentrado, como control negativo. Las placas se incubaron a 37°C durante 24 horas y, posteriormente, se midió el diámetro de los halos de inhibición con un calibrador Vernier digital; se realizaron tres mediciones a cada uno de los halos de inhibición. Todas las pruebas se realizaron por duplicado.

RESULTADOS

El efecto de los sobrenadantes de las doce bal producto del crecimiento en un medio líquido, contra las diferentes bacterias indicadoras, se muestra en la tabla 1. Se puede observar que los sobrenadantes producidos por Lb. plantarum NRRL B-4496, Lb. sakei NRRL B-1917 y Lb. rhamnosus NRRL B-442 son los que presentaron halos de inhibición más grandes contra las bacterias indicadoras, siendo el sobrenadante de Lb. plantarum NRRL B-4496 el que presenta mayor inhibición contra S. Typhimurium ATCC 14028, mientras que para S. aureus ATCC 29413, E. coli ATCC 25922 y L. monocytogenes Scott A se

Figura 1. Prueba de difusión en pozos del sobrenadante de Lb. sakei NRRL B-1917 contra L. monocytogenes

De acuerdo con otros estudios semejantes, Anas et al. (2008) observaron que los sobrenadantes de Lb. plantarum,  Lb. paracasei subsp.  paracasei y  Lb. rhamnosus son capaces de inhibir el crecimiento de Staphylococcus aureus ATCC 25923, siendo los sobrenadantes de Lb. plantarum los que destacaron en la reducción de la población patógena. Beristain-Bauza et al. (2016, 2017) reportan que los sobrenadantes de Lb. sakei y Lb. rhamnosus tienen un efecto inhibitorio en la población de microorganismos patógenos Gram positivos y Gram negativos (Escherichia coli ATCC 25922, Staphylococcus aureus ATCC 29413, Salmonella Typhimurium ATCC 14028 y Listeria monocytogenes Scott A). Por otro lado, observaron que al Staphylococcus aureus

aumentar la concentración de los sobrenadantes, la reducción logarítmica de los microorganismos patógenos es mayor. Se puede concluir que los sobrenadantes obtenidos del crecimiento en un medio líquido de la mayoría de las bacterias ácido lácticas evaluadas, presentan inhibición contra bacterias Gram positivas y Gram negativas. Los sobrenadantes que presentan mayor inhibición son los de las cepas de Lb. sakei NRRL B-1917 y Lb. plantarum NRRL B-4496, seguido de los sobrenadantes de Lb. rhamnosus NRRL B-442 Los sobrenadantes, producto del crecimiento de las bacterias ácido lácticas, podrían ser una alternativa de bio-conservadores, por lo que se requiere mayor investigación sobre su aplicación y comportamiento al ser añadidos en alimentos, así como su capacidad de inhibir o reducir la proliferación de diversos microorganismos patógenos, no sólo los estudiados en el presente trabajo.

AGRADECIMIENTOS

Daniela Arrioja-Bretón agradece a la Universidad de las Américas Puebla (udlap ) por el financiamiento para sus estudios de Doctorado en Ciencia de Alimentos.

REFERENCIAS

observó una mayor inhibición con los sobrenadantes producidos por Lb. sakei NRRL B-1917, esto puede ser debido a la presencia de metabolitos como ácidos orgánicos, peróxido de hidrógeno, dióxido de carbono, el diacetilo, entre otros (Anas et al., 2008). También se observó que, de las cuatro bacterias indicadoras, la más sensible a los sobrenadantes de las bal estudiadas fue L. monocytogenes Scott A (figura 1).

• Anas, M., Eddine, H.J. y Mebrouk, K. (2008). Antimicrobial activity of Lactobacillus species isolated from Algerian raw goat’s milk against Staphylococcus aureus. World Journal of Dairy and Food Sciences. 3(2), 39-49

Beristain-Bauza, S.C. Palou, E., y López-Malo, A. (2012). Bacteriocinas: antimicrobianos naturales y su aplicación en los alimentos. Temas Selectos de Ingeniería de Alimentos, 6(2), 64-78.

Beristain-Bauza, S.C., Mani-López, E., Palou, E. y López-Malo, A. (2016). Antimicrobial activity and physical properties of protein films added with cell-free supernatant of Lactobacillus rhamnosus. Food Control, 62 44-51.

Beristain-Bauza, S.C., Mani-López, E., Palou, E. y López-Malo, A. (2017). Antimicrobial activity of whey protein films supplemented with Lactobacillus sakei cell-free supernatant on fresh beef. Food Microbiology, 62 207-211.

Mani-López, E., Palou, E. y López-Malo, A. (2018). Chapter 8: Biopreservatives as agents to prevent food spoilage. Microbial Contamination and Food Degradation. Handbook of Food Bioengineering. Volume 10. A.M. Grumezescu, A.M. Holban (Editors). Academic Press. pp. 235-270.

Daniela Arrioja-Bretón Estudió la Licenciatura en Nutrición y Ciencia de los Alimentos en la Universidad Iberoamericana (2011), actualmente es estudiante del Doctorado en Ciencia de Alimentos en la udlap Su área de investigación es la microbiología de alimentos y estudia la actividad antimicrobiana de bacterias ácido lácticas como posible fuente de bioconservadores.daniela.arriojabn@udlap.mx

Emma Mani-López Doctora en Ciencia de los Alimentos por el Instituto Tecnológico de Veracruz, ingeniera de Alimentos y maestra en Ciencia de Alimentos por la udlap. Actualmente es investigadora en diversos proyectos financiados por la industria en vinculación con el Departamento de Ingeniería Química y Alimentos de la udlap. Es investigador nacional (conacyt) actualmente SNI nivel 1, y sus intereses de investigación son los agentes antimicrobianos, bacteriocinas y su posible aplicación en alimentos. emma.mani@udlap.mx

Enrique Palou Doctor en Ingeniería por la Universidad Estatal del Estado de Washington (EE.UU.) y catedrático del Departamento de Ingeniería Química y Alimentos en la udlap desde 1992. Tiene más de 170 publicaciones científicas en el área de ciencia, tecnología e ingeniería de alimentos. Es investigador nacional (SNI) nivel 3, Fellow del Institute of Food Technologists, miembro de la Academia Mexicana de Ciencias y de la Academia de Ingeniería. enrique.palou@udlap.mx

Aurelio López-Malo Doctor en Química (Alimentos) por la Universidad de Buenos Aires (Argentina) y profesor del Departamento de Ingeniería Química y Alimentos de la udlap desde 1987. Ha publicado más de doscientos artículos científicos en revistas indizadas de prestigio internacional en el área de ciencia, tecnología e ingeniería de alimentos. Desde 1998 es investigador nacional (conacyt) actualmente SNI nivel 3, y es miembro de la Academia Mexicana de Ciencias. aurelio.lopezm@udlap.mx

Tabla 1. Diámetro (mm) de los halos de inhibición generados por los sobrenadantes de diversas bacterias ácido lácticas contra algunos microorganismos indicadores.

POLÍTICA EDITORIAL

MISIÓN

Difundir el conocimiento, los avances científicos y tecnológicos, y la creación artística, a través de la publicación de artículos de divulgación y notas, inéditos, que brinden aportaciones originales.

CONTENIDO

Multidisciplinario, integrado con artículos y notas derivadas de una investigación, innovación o creación artística, principalmente, pero no de forma necesaria desarrollada en la udlap, con la participación de profesores y/o estudiantes. Que difundan aportaciones o innovaciones científicas y tecnológicas originales, obras de creación artística o cultural que se desarrollen dentro del campo del conocimiento de las diversas disciplinas que se cultivan en la universidad. La orientación de los textos será de divulgación del conocimiento y la creación artística.

• Ser responsable de la calidad del español o inglés que utilice. Si su redacción es deficiente, se rechazará su contribución. La revista sólo se hará cargo del cuidado editorial.

Estar atento para resolver las dudas y propuestas que presenten los editores y la coordinación editorial.

b. El contenido de los textos publicados es responsabilidad exclusiva de los autores.

EL DICTAMEN SERÁ INAPELABLE.

4. En caso necesario, cuando se puedan producir demoras para la publicación de un artículo que se considere de interés, por falta o retraso de entrega de los árbitros, el editor en jefe, en coordinación con el editor temático que corresponda, tiene la facultad de emitir por sí mismo el dictamen.

La revista en formato electrónico tendrá acceso abierto en los sitios de internet de la udlap. CONSULTE

COBERTURA TEMÁTICA

Interdisciplinaria, en cualquiera de los campos del conocimiento, la innovación o la creación artística.

TIPO DE CONTRIBUCIONES

· Artículo científico

Documento científico que trata y difunde los resultados de una investigación o innovación exitosa, cuyas contribuciones aportan e incrementan el conocimiento actual. La orientación de los textos será divulgativa y éstos se someterán a revisión de pares.

· Artículo de creación

Documento que trata y difunde los resultados de una obra de creación artística o cultural. Será sometido a revisión de pares.

· Artículo de estado del arte

Documento que analiza a profundidad y difunde el conocimiento, en el estado del arte, de un problema, campo de investigación o área artística o literaria, de relevancia e interés general. Será sometido a revisión de pares.

· Nota especializada

Texto que trata avances en el campo de la práctica profesional, sin que necesariamente sea una aportación original, pero que contribuye con mejoras a aplicaciones o procedimientos.

· Notas breves

Reportan de manera resumida resultados de investigación, innovación y creación artística.

PROCESO DE ARBITRAJE

Las propuestas de contribuciones a la revista serán analizadas, revisadas y dictaminadas por el Comité Editorial, integrado por profesores e investigadores distinguidos. La participación de los miembros del Comité Editorial se considera una contribución profesional, que se realiza de manera honorífica. El proceso de arbitraje de los artículos se presenta en la Convocatoria, y puede consultarse en http://www.udlap.mx/entorno/ .

Las «Notas breves» y «Notas especializadas» no se someterán a proceso de arbitraje, y su inclusión queda a cargo del editor en jefe y el editor temático.

AUTORES

Se publican trabajos de investigación, análisis e innovación científica, social, humanística o artística de especialistas y académicos mexicanos o extranjeros y en especial de profesores y/o estudiantes de la Universidad de las Américas Puebla. Se pueden incluir coautores de diversas instituciones. Se aceptarán trabajos en español o inglés, y en todos los artículos se incluirá un resumen en español y en inglés.

RESPONSABILIDAD DE LOS AUTORES:

• La responsabilidad del contenido de los artículos corresponde exclusivamente a los autores.

La propuesta de un trabajo compromete a su autor a no someterlo simultáneamente a la consideración de otras publicaciones.

• Los colaboradores, cuyos artículos hayan sido aceptados, cederán formalmente los derechos de autor a la Fundación Universidad de las Américas Puebla.

Cada autor deberá aprobar las pruebas de imprenta de sus textos, paso previo a su publicación.

· Recepción de trabajos

La recepción de artículos y notas es permanente.

A juicio del Consejo Editorial, se podrán incluir artículos por invitación.

· Periodicidad

Edición cuatrimestral.

La revista se editará en papel y en formato electrónico.

· Acceso abierto

CONVOCATORIA

El Decanato de Investigación y Posgrado, a través del Consejo Editorial de la revista Entorno UDLAP, convoca a especialistas, catedráticos, investigadores y estudiantes, a enviar textos originales para su publicación.

La revista tiene como propósito difundir el conocimiento, avances científicos y tecnológicos, y la creación artística, a través de la publicación de artículos y notas inéditas que brinden aportaciones originales.

La revista Entorno UDLAP publica textos provenientes de la comunidad académica de la universidad y de autores externos.

El contenido de Entorno UDLAP es multidisciplinario, integrado con artículos y notas derivadas de una investigación, innovación o creación artística, principalmente, pero no de forma necesaria desarrollada en la UDLAP con la participación de especialistas, profesores y/o estudiantes. El objetivo será difundir las aportaciones o innovaciones científicas y tecnológicas originales, así como las obras de creación artística o cultural que se desarrollen dentro del campo del conocimiento de las diversas disciplinas que se cultivan en la universidad. La orientación de los textos será divulgativa. Se aceptarán los siguientes tipos de contribuciones:

• Artículo científico: documento científico que trata y difunde los resultados de una investigación original o innovación exitosa, cuyas contribuciones aportan e incrementan el conocimiento actual. Éstos se someterán a revisión de pares.

• Artículo de creación: documento que trata y difunde los resultados de una obra de creación artística o cultural. Será sometido a revisión de pares.

• Artículo de estado del arte: documento que analiza a profundidad y difunde el conocimiento, en el estado del arte, de un problema, campo de investigación o área artística o literaria, de relevancia e interés general. Será sometido a revisión de pares.

• Nota especializada: texto que trata avances en el campo de la práctica profesional, sin que necesariamente sea una investigación original pero que contribuye con mejoras a aplicaciones o procedimientos.

• Nota breve: texto que reporta de manera resumida resultados de investigación, innovación y creación artística.

Los interesados en publicar sus artículos y notas deberán enviar el documento al Dr. Polioptro Martínez Austria, editor general de Entorno UDLAP al correo electrónico: revista.entornoudlap@udlap.mx Todos los artículos entregados serán sometidos a un proceso de revisión por pares, en el sistema de «doble ciego», antes de ser aceptados para su publicación.

Las notas serán revisadas directamente por el presidente del consejo, el editor general y los editores temáticos, antes de ser aceptadas para su publicación.

Todos los textos deberán enviarse acompañados de una carta de presentación, firmada por el autor de correspondencia, con el formato que se incluye en el portal de la revista en http://www.udlap.mx/entorno/

BASES Sobre los textos

1. Respecto a los autores:

a. Se aceptarán textos de autores de cualquier procedencia. Son especialmente bienvenidos los de cualquier universidad o centro de investigación, público o privado.

c. En el caso de textos con más de un autor, se indicará el nombre del «autor de correspondencia» que será quien mantenga la comunicación con el cuerpo editorial de la revista y coordinará el proceso de revisión con sus coautores y, en caso de ser aceptado para publicación, recabará la aprobación de la impresión de todos los autores.

2. Participarán textos originales, inéditos, que no hayan sido publicados o sometidos a proceso de publicación en alguna otra revista. Deberán enviarse en formato del procesador Word, editable.

3. Los artículos deberán contar con una extensión mínima de 16 mil caracteres y máxima de 23 mil. No exceder las quince cuartillas, incluidas figuras y tablas, con un espacio interlineal de 1.5 y con márgenes de 2 cm arriba y abajo, y 3 cm a la izquierda y a la derecha.

4. Las notas breves o especializadas deberán contar con una extensión mínima de 7 mil caracteres, y máxima de 15 mil. No exceder las cinco cuartillas, incluidas figuras y tablas, con un espacio interlineal de 1.5 y con márgenes de 2 cm arriba y abajo, y 3 cm a la izquierda y a la derecha.

5. Los autores se comprometerán a presentar trabajos originales, escritos en español o inglés y acompañados con una breve ficha biográfica.

6. Los sistemas de citas y referencias a usar serán APA para temas de Ciencias Sociales, Negocios y Economía, Ciencias e Ingeniería; y MLA para textos de Artes y Humanidades.

7. La bibliografía final de las obras citadas se presentará también en el sistema indicado y con datos completos (sin abreviaturas en nombres y apellidos, ni siglas en nombre de instituciones).

8. Las notas a pie de página servirán para comentar, complementar o profundizar información dentro del texto. No deberán ser notas bibliográficas.

9. Las citas textuales de más de cuatro líneas se escribirán en párrafo aparte, sangrado a la izquierda y en letra tamaño 10 puntos. El resto de las citas textuales se incluirán dentro del texto e irán entre comillas latinas (« »).

10. Las figuras, a color de preferencia, deben enviarse también en archivo aparte, claramente numeradas y con los letreros que deban usarse. 11. Cuando sea posible, las figuras deben proporcionarse con el formato del programa en el que fueron creadas y que sean editables. Si se envían en formatos JPEG, la calidad debe ser de impresión I.E. 300 dpi con ancho de 1500 pixeles mínimo proporcional alrededor de 12.5 cm.

12. Si el artículo propuesto sufrió modificaciones, producto de las observaciones de los árbitros, su versión definitiva (apegándose a las indicaciones) será enviada de nuevo en un archivo electrónico para su edición. El editor informará a los autores del avance en el proceso aprobación de su artículo. Previo al envío de manuscritos, se solicita a los autores consulten las guías para autores, política editorial y formatos disponibles en el sitio web de la revista en http://www.udlap.mx/entorno/

PROCEDIMIENTO DE APROBACIÓN DE ARTÍCULOS

1. A partir de la convocatoria o invitación realizada, el autor de correspondencia enviará el manuscrito del artículo propuesto al editor en jefe quien revisará el cumplimiento general de los criterios para someter un manuscrito a revisión, así como la carta de propuesta y originalidad del texto. En caso de no cumplir los criterios, el editor en jefe lo informará a los autores para que, si así lo consideran conveniente, lo revisen y envíen de nuevo al proceso. En caso de cumplirse los criterios, el editor en jefe abrirá un expediente para el artículo y, con el apoyo del editor asociado del área de conocimiento correspondiente, designará dos árbitros de entre los miembros del comité editorial o invitará a otros profesores, investigadores o profesionales destacados. Los árbitros seleccionados podrán ser de la propia UDLAP o externos.

2. Se enviará a los árbitros y se les fijará un plazo de una semana para declinar o de tres semanas para su dictamen. En caso de declinación, el editor en jefe, junto con el editor asociado, designará a otro árbitro.

3. El dictamen de los árbitros podrá emitirse en cualquiera de los siguientes sentidos:

a. Aceptado

b. Aceptado con cambios menores

c. Aceptado sujeto a cambios mayores

d. Rechazado

En todos los casos el dictamen deberá ser argumentado adecuadamente.

Por «aceptado sujeto a cambios mayores», se entiende que el manuscrito sólo será publicado si se cumple con los cambios propuestos por los árbitros y será sujeto a una nueva revisión de parte del editor y/o los árbitros. Por «aceptado con cambios menores» se entiende que el manuscrito ha sido aceptado y se publicará tan pronto el autor o autores cumplan con los cambios solicitados, lo cual será revisado por el editor.

5. Una vez completado el ciclo de revisión y aprobado el texto, el editor en jefe enviará el manuscrito al coordinador editorial.

6. El coordinador editorial, con el apoyo de la editora gráfica y del personal a su cargo, elaborarán el diseño editorial para impresión final y lo enviarán nuevamente al editor en jefe para su revisión, la del editor asociado y la de la secretaria ejecutiva. En caso necesario, se solicitará una nueva versión con correcciones a los autores.

Una vez concluido el diseño editorial, el editor general enviará a los autores la versión para impresión. Éstos harán en su caso las correcciones necesarias y firmarán una carta de autorización de la publicación y sesión de los derechos correspondientes a favor de la Fundación Universidad de las Américas, Puebla.

ENTREGA DE TEXTOS

Los interesados deberán enviar el documento original completo al Dr. Polioptro F. Martínez Austria, al correo electrónico revista.entornoudlap@udlap.mx

El texto deberá ir acompañado de una carta de presentación del trabajo en formato libre firmada por el autor de correspondencia, en representación de todos los autores.

Se recibirán textos de forma continua a partir de la publicación de esta convocatoria

PUBLICACIÓN DE LOS TEXTOS

Los documentos aceptados se mantendrán en una lista de espera para publicarse en la revista Entorno UDLAP. Los autores ceden, al aceptarse sus textos, el derecho de publicación a la Fundación Universidad de las Américas, Puebla.

LOS AUTORES

1. El autor se compromete a no retirar su obra de la convocatoria una vez presentada.

2. Es recomendable, más no necesario, que el autor haya registrado su obra en el Instituto Nacional de Derechos de Autor. Para más información: http://www.indautor.gob.mx/formatos/registro/registro_obras.htm

3. En el caso de usar figuras, tablas o datos de otras fuentes que requieran de autorización para reproducción y publicación, los autores se comprometen a obtener los permisos o autorizaciones necesarias.

4. Los autores aceptan que, de ser seleccionados, no retirarán su obra si no es por el consentimiento mutuo de las partes.

5. Los autores seleccionados se comprometen a colaborar con los editores para una óptima publicación de acuerdo con las necesidades editoriales.

6. Los autores seleccionados aceptan la utilización publicitaria de su nombre e imagen exclusivamente para promoción de la revista y en los portales de Internet de la UDLAP.

7. Los autores elegidos se comprometen a participar personalmente en los actos de presentación y promoción de su obra, de acuerdo con las necesidades editoriales.

8. Una vez aceptado su trabajo para publicación, los autores firmarán una carta de sesión de derechos a favor de la Fundación Universidad de las Américas, Puebla.

VIGENCIA

La presente convocatoria se mantiene abierta de manera permanente, los interesados pueden enviar sus manuscritos propuestos en cualquier momento, a partir de esa fecha inicia el proceso de revisión por editores y por pares. En caso de ser aceptados, en su versión final, se publicarán en el siguiente número de la revista en que se tenga el espacio disponible, usualmente a más tardar en tres meses después de la fecha de aceptación final.

Cualquier duda respecto de esta convocatoria podrá ser consultada con el director ejecutivo.

ATENTAMENTE,

Turn static files into dynamic content formats.

Create a flipbook