
Sapientia udlap
[escuela de artes y humanidades] Colección
![]()

Sapientia udlap
[escuela de artes y humanidades] Colección
criterios de diseño
para climas en mé xico
criterios de diseño
para climas en mé xico
Doris Abigail Chi Pool
D.R. © 2021 Fundación Universidad de las Américas, Puebla
Ex hacienda Santa Catarina Mártir, C. P. 72810
San Andrés Cholula, Puebla, México.
Tel.: +52 222 229 20 00 • www.udlap.mx • editorial.udlap@udlap.mx
Primera edición: mayo 2021
isbn: 978-607-8674-44-2
Diseño: Guillermo Pelayo Olmos
Queda prohibida la reproducción, parcial o total, por cualquier medio del contenido de la presente obra, sin contar con autorización por escrito de los titulares de los derechos de autor.
El contenido de este libro, así como su estilo y las opiniones expresadas en él, son responsabilidad del autor y no necesariamente reflejan la opinión de la udlap.
Impresion bajo demanda.
Luis Ernesto Derbez Bautista Rector
Cecilia Anaya Berríos
Vicerrectora académica
Martín Alejandro Serrano Meneses Decano de Investigación y Posgrado
Luis Ricardo Hernández Molina Director de Investigación y Posgrado
Martha Laura Ramírez Dorantes
Decana de la Escuela de Artes y Humanidades
Mayra Ortiz Prida
Directora general de la Oficina de Rectoría
Izraim Marrufo Fernández Director de Comunicación
Prefacio / 13
Introducción / 17
El contexto actual / 17
La luz natural y su aprovechamiento en las edificaciones / 21
El uso de luz natural en el diseño sostenible / 24
La ventana como fuente de luz / 27
Objetivos / 29
Estructura / 31
1 Luz natural: fundamentos / 35
Conceptos teóricos sobre la luz natural / 35
Ganancias solares / 78
2 Luz natural en el diseño arquitectónico / 93
Breve reseña sobre la luz natural en la arquitectura / 93
Estrategias de diseño con luz natural / 101
3 La ventana / 117
El rol de las ventanas en los edificios / 117
Parámetros de diseño de ventanas / 119
Tipo de acristalamiento / 126
Protección solar / 127
Efecto del diseño de ventanas en la iluminación y el consumo eléctrico / 133
4 Clima y arquitectura / 137
Clima y diseño arquitectónico / 137
Clasificación climática / 142
Estándares de diseño arquitectónico pasivo / 146
Necesidades actuales en México / 159
5 Diseño de ventanas acotado a los climas de México / 163
Planteamiento / 163
Casos de estudio / 164
Modelado de la luz natural basado en el clima / 176
Radiación solar y ganancias solares / 183
Resultados y discusión / 190
Resumen comparativo entre climas: resultados lumínicos y térmicos / 210
Propuesta de criterios de diseño de ventanas / 212
Conclusiones / 218
Anexo 1: La carta solar / 225
Nociones fundamentales / 225
Carta solar / 226
Aplicaciones / 231
Anexo 2: Archivo climático epw / 235
Nociones fundamentales / 235
Archivos climáticos epw / 236
Herramientas para lectura de archivos epw / 239
Anexo 3: Análisis temporal / 243
Conceptos / 243
Análisis temporal de iluminancias / 243
Conclusiones / 247
Índice de figuras / 248
Índice de tablas / 253
Glosario de términos / 254
Bibliografía / 263
Semblanza de la autora / 275
Anexo 4: Imágenes a color / 277
Este libro atiende la necesidad de la sociedad mexicana de mejorar la calidad ambiental de los espacios habitables. El creciente interés por la conservación de la energía ha impulsado a realizar estudios sobre el rendimiento general de los edificios, respecto a su entorno. En el ámbito internacional, se han propuesto estándares y normativas que conducen a proyectar edificios sostenibles, siendo aplicables desde las etapas conceptuales del proceso de diseño. Al momento, México no cuenta con estándares que consideren los requerimientos específicos de las diferentes regiones climáticas. Siendo un país extenso y de gran diversidad, es necesario desarrollar directrices y criterios de diseño de edificios, aplicables según las condiciones climáticas locales.
Las ventanas y/o fachadas acristaladas son componentes edilicios que condicionan fuertemente el balance entre la provisión de la luz natural y la reducción de las ganancias solares en las edificaciones. No obstante, su diseño se ha regido por criterios intuitivos y estéticos, desaprovechando su capacidad como fuentes luminosas y sus beneficios en la disminución del consumo eléctrico. Hoy es posible proponer directrices mediante evaluaciones climáticas locales, que consideran las condiciones lumínicas y energéticas anuales; éstas se realizan con herramientas y algoritmos de simulación computacional. En este contexto, México requiere la formación y actualización de profesionales que manejen tales herramientas e interpreten los resultados.
El objetivo principal de este libro es aportar criterios de diseño de ventanas, aplicables según las necesidades de las diferentes regio-
nes climáticas de México. Es decir, se plantean directrices para guiar a los arquitectos en la elección de una u otra configuración de ventana, en términos de su orientación y tamaño, según la profundidad del espacio y el clima del sitio de emplazamiento. Los primeros capítulos se plantean como una herramienta didáctica, con contenidos actualizados sobre la materia. Se exponen conceptos y términos claves para comprender la naturaleza de la luz visible y la radiación solar; asimismo, se presentan las herramientas de simulación computacional. La finalidad es acercar estos conceptos a los arquitectos, ingenieros y estudiantes de licenciaturas afines. Los últimos capítulos presentan contenido original sobre iluminación natural y acondicionamiento ambiental, producto del trabajo de investigación del autor. Se incluyen análisis de archivos climáticos locales que permiten clasificar al país en unidades climáticas. En éstos se establece la metodología de evaluación y se concluye con las estrategias de diseño de ventanas, específicos para los bioclimas de México.
La eficiencia de los edificios depende, en gran medida, de decisiones tomadas durante las etapas iniciales del proceso de diseño. No obstante, éstas no suelen considerar aspectos como el uso de energía o el confort interior, sino hasta las etapas más avanzadas del diseño, incluso después de que el proyecto se construya y comience a habitarse. Entonces, sólo es posible implementar pequeñas acciones para solventar los problemas derivados del diseño. Por ejemplo, la adecuación de sistemas de protección solar, sin considerar el clima o la orientación de las fachadas, limita el aprovechamiento de la luz natural; esto, a su vez, potencia el uso de tecnologías de iluminación artificial (por ejemplo, fluorescentes y leds) y la implementación de sistemas mecánicos y eléctricos para la climatización artificial. Para contrarrestar esta problemática y mejorar el rendimiento de los edificios es importante desarrollar herramientas que puedan utilizarse para evaluar diversos aspectos de su desempeño desde las primeras etapas del proceso de diseño, pues es aquí donde el diseñador todavía tiene la libertad de elegir entre un número casi ilimitado de diferentes soluciones posibles [1].
Entre los grandes desafíos experimentados durante las últimas décadas están la relevancia del ahorro energético y el desarrollo de estrategias para optimizar los recursos y favorecer la sostenibilidad
de los proyectos dentro del medio urbano. Esto se debe al incremento vertiginoso que el consumo energético ha tenido durante las últimas décadas y al agotamiento de los recursos que ha traído consigo. Tal situación ha influenciado las prescripciones dadas en las regulaciones europeas [2], en términos de limitación del consumo energético del sector de la edificación, dado que éste representa, aproximadamente, el 20% del consumo total de energía en el mundo [3] y más del 40% del total del consumo de energía en la Unión Europea. Esto, principalmente en tres ámbitos que son la iluminación, el acondicionamiento térmico y el equipamiento [4].
El incremento en el consumo energético se atribuye a las prácticas actuales de confort en los edificios que han potenciado el uso de diferentes sistemas mecánicos y eléctricos para forzar las condiciones del ambiente interior y así suministrar ventilación, controlar la temperatura interior y proveer de iluminación artificial [5]. Esto ha sido consecuencia, en gran medida, de un diseño de edificios ajeno a las condiciones climáticas locales. A partir de 1990, muchos edificios fueron diseñados con fachadas altamente acristaladas para ser aireadas, ligeras y transparentes, con mayor acceso a la luz natural, independientemente del clima de la localidad, lo que reforzó la necesidad de climatización eléctrica. A esto se suma que, actualmente, las personas permanecen alrededor del 80% del tiempo dentro de los edificios, tiempo durante el cual se les debe proveer de un ambiente interior confortable [6].
En el contexto mundial, la iluminación artificial representa el 2.3% del consumo total de energía, teniendo un impacto del 19% en el consumo eléctrico global (figura 0.1) [7]. Alrededor de la mitad de este consumo se atribuye al sector de servicios (48%) y el resto se distribuye entre el sector residencial (28%), industrial (16%) y la iluminación urbana o de otra naturaleza (8%). En el sector de la edificación, las oficinas son de particular interés debido a la gran cantidad de gases de efecto invernadero que generan y a su elevado consumo energético [8]. Estos inmuebles han sido catalogados como los más altos consumidores de energía anual, alcanzando rangos del 100-1000 kWh/m2, según el uso y tipo de equipamientos, horarios de ocupación,

Figura I.1.
Consumo total de energía mundial. La iluminación eléctrica representa el 19% en el consumo eléctrico global [07].
En México, más del 80% de las emisiones totales de gases de efecto invernadero provienen de la producción y consumo de energía. Las fuentes de energía principales son el crudo y petrolíferos, el gas natural y condensados; únicamente un 6% proviene de fuentes renovables [10]. Esta situación continúa a pesar de que el país es un territorio privilegiado en cuanto a disponibilidad de radiación solar y, por tanto, de luz natural disponible que es desaprovechada. El sector residencial representa el tercer lugar del consumo energético en México, después del sector transporte y el industrial. En el sector residencial, el consumo de energía eléctrica en el total de los usos incrementó a 27% en 2015 (figura 0.2); de este total de energía eléctrica consumida, 8.6% se utilizó para iluminación y 21.2% para enfriamiento de los espacios [10].
En localidades rurales del país, el 30% de las lámparas son aún incandescentes y la tecnología led recién comienza a incorporarse, con 9% por debajo de lo que representa en las localidades urbanas (figura I.3) [11]. Respecto al uso de equipos de aire acondicionado, se han
Universidad de las Américas Puebla sistemas hvac y de iluminación [4]. Al respecto, la mayor parte de la iluminación de las oficinas es provista por lámparas fluorescentes que representan el 76.5% del total del consumo y el resto es suministrado por la combinación de lámparas incandescentes, fluorescentes compactas y hid [9].

Figura I.2.
Distribución del consumo de energía por uso final en el sector residencial, México 2015 [10].

Figura I.3.
Distribución porcentual por tipo de lámpara y tipo de localidad [11].
contabilizado poco más de siete millones en viviendas particulares en el país. En cambio, sólo un 6.3% utiliza algún tipo de calefacción. En cuanto a los inmuebles de oficinas, el Índice de Consumo de Energía Eléctrica (icee), que mide la relación entre el consumo total de energía eléctrica en un año y la superficie construida, fue de 59.2 kWh/m2 al año durante el 2015 [10]. Ambos sectores de la edificación, residencial y de oficinas, podrían aprovechar el uso de la luz natural como principal fuente de iluminación y/o climatización, sin embargo, hacen falta criterios de diseño y normativas que consideren las condiciones climáticas locales en las necesidades de confort de los usuarios.
Para contrarrestar tal crecimiento global en el consumo de energía, se hace necesario el desarrollo y la implementación de regulaciones que permitan potenciar el ahorro energético, incrementar el uso de recursos renovables y minimizar los impactos ambientales originados por la producción de la energía [12-16] En este sentido, la arquitectura actual muestra una tendencia hacia el aprovechamiento de las energías renovables y hacia la creación de sistemas y equipos que permitan conseguir edificios energéticamente eficientes [17-19]. Dos áreas con gran potencial de ahorro energético en los edificios son la iluminación y la refrigeración; esto es posible a un bajo coste no sólo mediante la actualización de los sistemas de iluminación artificial, sino también mediante el aprovechamiento de otros recursos, como la iluminación natural [20, 21].
La radiación solar es una de las fuentes de energía más importantes del planeta, prácticamente inagotable y de gran disponibilidad. Esta luz natural que proviene del Sol puede ser aprovechada para mantener pasivamente un buen ambiente visual en los espacios [5]. Ésta tuvo un importante rol en la arquitectura vernácula como principal fuente de iluminación con esquemas de diseño orientados a admitir su máxima penetración, lo que permitía crear atmósferas ricas y proveer a las personas de luz funcional para el desarrollo de sus actividades. Dicha situación fue cambiando en el tiempo y con la aparición de las nuevas tecnologías que rezagaron el uso de la luz natural. Sin embargo, y tal como se ha mencionado previamente, el elevado consumo de energía eléctrica registrado durante las últimas décadas ha vuelto las miradas hacia el aprovechamiento de este recurso.
La luz natural ofrece grandes ventajas frente a la iluminación artificial al implicar ahorro de energía en las instalaciones eléctricas de iluminación y en los sistemas activos de acondicionamiento térmico

Figura I.4.
Beneficios de la iluminación natural.
Consultar la versión a color en anexo 4.
[22]. Además, es un recurso renovable y disponible en gran cantidad de horas durante el día, pudiendo alcanzar niveles de iluminancia homogénea interior de alrededor de 1,000 lux [23]. Por tanto, tiene un gran potencial de eficiencia si se le aprovecha correctamente, sobre todo en aquellas latitudes que reciben grandes cantidades de radiación solar durante todo el año. Sin embargo, en la utilización de la luz natural hay que considerar, también, que la radiación solar es una de las principales fuentes de sobrecalentamiento y deslumbramiento, especialmente durante los meses de verano y en los climas cálidos donde es crucial obtener un equilibrio entre la admisión de la luz natural y las ganancias solares transmitidas al interior [24]. Por ello, resulta de suma importancia el modular y diseñar adecuadamente la iluminación natural en el interior de los espacios. El aporte de la luz natural es valioso, no sólo en relación a la cantidad, sino también a la calidad de la iluminación en los edificios (figura I.4). La luz solar es dinámica en color e intensidad a través de las horas, días y estaciones, particularidad apreciada favorablemente por los usuarios [23]. Se ha mostrado que la visión humana está adaptada a esta característica cambiante, por lo que es estimulante al sistema visual [25]. Este constante dinamismo también resulta preferido por las
La cantidad de luz natural disponible en los espacios es altamente dependiente de las condiciones del entorno y del diseño del edificio, particularmente del diseño de la envolvente que es la interfaz edificio-medio urbano [28]. Ésta permite el control y/o admisión de los agentes climáticos (tales como el calor, luz, aire, ruido, etcétera) y el contacto visual con el exterior [29]. Un adecuado diseño de la envolvente puede significar alrededor del 80% de la solución ambiental, creando edificios eficientes que interactúan con su ambiente exterior [30]. Entonces, la forma y el aspecto del edificio; el tamaño, orientación y las características de los huecos o áreas acristaladas, y las propiedades ópticas de las superficies del espacio determinarán la cantidad y la cualidad de la iluminación natural interior [31]. Por tanto, es importante que en las etapas iniciales del diseño de edificios se habiliten métodos y herramientas para la evaluación de la iluminación natural. Es en estas etapas conceptuales del proyecto arquitectónico cuando los diseñadores toman las decisiones para el aprovechamiento de la luz natural en el interior y cuando pueden escoger entre una gran cantidad de alternativas para mejorar el rendimiento final del edificio. La caracterización lumínica de un espacio, en función de la disponibilidad de la luz natural exterior, se ha realizado mediante diferentes indicadores. Entre éstos, el más tradicional y utilizado en las normativas estandarizadas es el factor de iluminación natural (daylight factor, DF) que se define como la relación entre el nivel de iluminación en un punto interior y el nivel de iluminación simultánea de un punto en un plano horizontal exterior, debido a la luz que recibe
Universidad de las Américas Puebla personas, pudiendo intervenir en su estado de ánimo y producir sensaciones positivas y de bienestar, reducir el estrés e inclusive disminuir demandas en los servicios de salud [26]. Asimismo, la luz natural posee una excelente reproducción de color que se asocia con mejoras en el rendimiento visual y, a la vez, con aumentos de productividad, satisfacción laboral y reducción de ausentismo [25]. A menudo está acompañada por vistas al exterior que permiten que el usuario mantenga una conexión con su entorno y que se favorezca el ritmo circadiano [27]. Una adecuada provisión de luz natural también puede tener efectos positivos en el valor comercial de los espacios [25].
de la bóveda celeste sin presencia de obstrucciones y sin considerar la luz directa proveniente del Sol [32]. No obstante, el DF ofrece una visión limitada del comportamiento de la luz natural porque no considera la iluminancia directa del Sol y tampoco los cielos claros; además, permanece invariable en todas las orientaciones del edificio [33], [34]. Esta incapacidad de evaluar el comportamiento cambiante y anual de la luz natural ha sido una de las principales causas de diseños deficientes y ha enfatizado el abandono del estudio de las condiciones de iluminación natural en la arquitectura.
Tal situación ha ido cambiando durante las últimas décadas en las que se ha comenzado a implementar el estudio dinámico de la luz natural mediante métodos de cálculo e indicadores que permiten analizar los valores horarios y subhorarios de las iluminancias de luz natural global en cada sensor del espacio, para años completos y bajo condiciones reales de sol y cielo recogidas en los archivos climáticos normalizados. De esta manera, se han implementado las simulaciones dinámicas de iluminación natural (dynamic daylight simulation, dds), que permiten evaluar cuantitativamente las condiciones lumínicas en función de las condiciones climáticas locales [35]. Actualmente es posible realizar análisis cuantitativos anuales de las condiciones de iluminación natural en los edificios y se han validado diversas herramientas de simulación para realizar los cálculos lumínicos mediante el modelado de la luz natural con base climática (climate-based daylight modelling, cbdm) [36]. A este respecto, es importante dar a conocer estos nuevos métodos e indicadores de manera que puedan ser aplicados en la práctica del diseño de edificios e incorporados en las normativas y estándares mexicanos, que hoy siguen carentes de actualización.
El uso de luz natural en el diseño sostenible
El creciente interés por la conservación de la energía ha impulsado a realizar estudios sobre el rendimiento lumínico y energético de los
edificios respecto a su entorno. Numerosas investigaciones se han realizado en diversos países con la finalidad de proponer guías, estándares y normativas que conduzcan a diseñar edificios sostenibles. En este contexto, las certificadoras de edificios eficientes tienen como objetivo revisar si los proyectos cumplen con los mínimos estándares y criterios de eficiencia en las fases de diseño, construcción y ocupación.
Algunas ya han incluido apartados sobre la provisión de luz natural para la iluminación de interiores, pero éstos no son específicos según las características climáticas locales, sino que su aplicación se hace de manera generalizada. En otros casos, estas puntuaciones o niveles otorgados por las certificadoras sólo son posibles de lograr demostrando, a través de simulaciones computacionales, que se consiguen determinados niveles de luz natural durante todo el año. No obstante, en México existe una necesidad apremiante de actualización sobre el manejo de las herramientas de simulación y la interpretación de sus resultados.
El sistema leed (Leadership in Energy and Environmental Design), por ejemplo, es internacionalmente reconocido para certificar edificios verdes, los cuales son correctamente diseñados, siguiendo estrategias para mejorar su rendimiento general. En el ámbito de la iluminación natural, leed ha requerido en su última versión, el cálculo computacional de métricas dinámicas anuales, específicamente la autonomía de luz natural espacial (spatial daylight autonomy, sda). En resumen, para que un espacio sea considerado «adecuadamente iluminado con luz natural», según sda, niveles de iluminación apropiados (p. ej. 300 lux) tienen que alcanzarse en al menos el 55% o 75% en el área de trabajo, durante al menos el 55%, 75% o 90% del tiempo de ocupación, según sea el tipo/uso del edificio. Como segunda opción, el leed solicita demostrar, a través del modelado computacional, que los niveles de iluminancias son entre 300 lux y 3,000 lux, entre las 9:00 horas y las 15:00 horas, sobre el área de trabajo regularmente ocupado anualmente.
Por tanto, el uso de herramientas de simulación dinámica de la luz natural y la interpretación de los resultados son de gran relevancia para valorar el comportamiento y la suficiencia de la iluminación na-
tural en los proyectos arquitectónicos. Un paso clave en la simulación computacional es la disposición de archivos climáticos que sinteticen la información meteorológica de las localidades. Estos archivos contienen datos horarios sobre la turbidez atmosférica, grado de nubosidad, radiación solar exterior global y/o directa, altura del sol, temperatura, humedad relativa, duración del día, etcétera. Los programas de cálculo lumínico y energético traducen y convierten toda esta información de los datos de radiación solar en valores de iluminancias en el espacio interior, a través de modelos tridimensionales, algoritmos matemáticos y modelos de cielos.
Hasta hace una década, México sólo contaba con tres archivos climáticos estandarizados para unas pocas localidades del país: Acapulco, Ciudad de México y Veracruz. Hoy en día, el Departamento de Energía (doe) de Estados Unidos, a través de la plataforma EnergyPlus [37], ha conseguido elaborar los archivos climáticos para más de cien ciudades distribuidas en todo el territorio nacional. Por tanto, hoy es posible trabajar en el replanteamiento o elaboración de normas y estándares específicos para las diferentes regiones climáticas de México. Esto hará posible que la dependencia de nuestras normas a reglamentos internacionalizados ya no sea ineludible, y puntualizará la aplicación de estrategias específicas según el clima, la latitud y la trayectoria solar en diferentes localidades del país. Este libro se plantea como una iniciativa y primer acercamiento para el diseño bioclimático en México, a través de criterios y estrategias específicos para diseñar ventanas y fachadas acristaladas, para las regiones climáticas del país.
Actualmente se han desarrollado estrategias y sistemas innovativos, como estantes que redireccionan la luz para conseguir una mayor profundidad de penetración en los espacios, ductos que conducen la luz al interior, vidrios prismáticos, sistemas con hologramas, etcétera. Sin embargo, es necesario reconsiderar los elementos básicos que proveen luz natural en los edificios. Con esto se hace referencia a la ven-

La ventana como fuente de luz.
tana, pues es un componente arquitectónico que, muchas veces, se utiliza con fines especialmente estéticos; sin embargo, diseñada adecuadamente, puede aportar importantes beneficios en iluminación y ventilación, al moderar la cantidad de luz y viento que ingresa a los espacios (figura I.5).
En México, actualmente, existe un desconocimiento de los efectos producidos por la elección de una u otra configuración de ventana en la demanda de iluminación natural. Por tanto, se desaprovecha su capacidad como fuente luminosa y se desperdician sus beneficios en la disminución de la demanda del consumo eléctrico en iluminación, en la eficiencia en la realización de las actividades y el bienestar de los usuarios. Estudiar este componente edilicio es de especial interés en nuestro país, donde, hasta la fecha, no se cuenta con especificaciones particulares por orientación, clima y latitud geográfica. El conavi [38], por ejemplo, sólo incluye especificaciones muy generales como aberturas mínimas en fachadas al norte y máximas en fachadas sur-
sureste. Sin embargo, este código no es de obligado cumplimiento y no recomienda tamaños precisos o posiciones específicas para cada orientación, según la ganancia solar o la provisión de niveles de iluminación adecuados.
La Norma Oficial Mexicana (nom) incluye el tema de iluminación y especifica los niveles de iluminación, uniformidad y reflectividad del sistema de alumbrado eléctrico para distintas áreas. Incluye, además, normas que rigen la eficacia de las lámparas y luminarias, y otras relacionadas que certifican los componentes e instalaciones eléctricas relacionados con los equipos de iluminación. Estas normas incluyen escasas recomendaciones respecto al uso de la luz natural; por ejemplo, indican que es necesario realizar al menos tres mediciones en la primera hora del turno, a la mitad del turno y en la última hora del turno [39]. No obstante, no indican qué niveles de iluminación natural serían adecuados, excesivos o insuficientes para la realización de las actividades. Tampoco indican parámetros como fechas representativas del año, posiciones y alturas de medición (al centro, cercano a la ventana, al fondo del espacio, en el suelo, en el plano de trabajo, o a altura de la vista del observador, etcétera), número de mediciones dentro del espacio, entre otros.
Respecto a la eficiencia energética, la nom-007-ener-2014 establece los niveles en términos de densidad de potencia eléctrica para alumbrado (dpea) con que deben cumplir los sistemas de iluminación eléctrica para uso general de edificios no residenciales nuevos, ampliaciones, etcétera [40]. La finalidad es disminuir el consumo de energía eléctrica y contribuir a la preservación de los recursos energéticos y la ecología de la nación. No obstante, es de interés notar que no menciona el uso de la luz natural como recurso para la iluminación de los espacios interiores.
En México son muy limitadas las investigaciones que estudian el balance entre la provisión de la luz natural y la reducción de las ganancias solares derivadas de la implementación de diferentes diseños de ventanas y/o fachadas acristaladas. Esta falta de investigaciones se puede deber a que la integración de la luz natural con el rendimiento energético es una tarea compleja que involucra la interacción de dife-
rentes dominios en muchos niveles, y las herramientas de simulación están especializadas en un único dominio. Por tanto, la combinación de las necesidades de iluminación natural y del rendimiento energético requiere del manejo de diferentes programas computacionales para realizar los cálculos correspondientes. En el país, aún existe un gran desconocimiento sobre el manejo de tales tecnologías y las ventajas que representan. La interpretación de los resultados, comúnmente hecha por expertos en el área, requiere conocimientos elementales. Además, tales herramientas de cálculo del rendimiento energético y lumínico implican una inversión de tiempo considerable para realizar las simulaciones e iteraciones para obtener resultados precisos [5]. Por otro lado, y como ya se mencionó previamente, hasta hace poco no se contaba con los archivos climáticos estandarizados para poder ejecutar las simulaciones lumínicas y energéticas, según los climas de las ciudades del país.
El planteamiento de este libro se deriva de la necesidad de la sociedad mexicana de mejorar la calidad ambiental, en términos lumínicos y de ganancias solares, en los proyectos de edificios. Particularmente, se atiende a usos de vivienda y oficinas, pues son dos grandes rubros donde las personas pasan muchas horas (>80%) de su tiempo; además, han mostrado ser dos áreas de alto consumo de energía. A esto se suma que en México existen escasos criterios de diseño de edificios con base climática; en cambio, la mayoría de estrategias están sustentadas en la experiencia personal y no en criterios cuantitativos sobre el confort interior.
Este libro tiene como objetivo principal el aportar criterios de diseño de ventanas aplicables según los bioclimas en México. La metodología propuesta tiene como base la información meteorológica recogida en los archivos climáticos estandarizados, por tanto, se incluye la simulación lumínica y energética de modelos de estudio considerados prototipos de vivienda y oficina. La finalidad es optimizar el
diseño de estas tipologías de edificios, en términos de la provisión de luz natural y la reducción de las ganancias solares. El contenido es un trabajo original que pretende sentar las bases para futuros estudios que abarquen otras cuestiones del diseño de las edificaciones, tales como materiales constructivos, sistemas de acristalamientos, sistemas de control solar, estrategias de diseño pasivo, entre otros.
Aunado a lo anterior, este libro se propone como una herramienta de diseño para arquitectos, ingenieros, diseñadores y estudiantes de éstas y otras disciplinas afines. Por tanto, los primeros capítulos están destinados al aprendizaje y conocimiento general sobre conceptos clave para comprender la naturaleza de la radiación solar y su impacto en la luz visible y en las ganancias solares a través de los componentes edilicios. Asimismo, este libro se plantea como un acercamiento hacia el conocimiento y manejo de las herramientas digitales, y la actualización o formulación de criterios de diseño sostenible en el país. Los objetivos particulares son los siguientes:
• Sentar las bases para un diseño arquitectónico fundamentado en criterios sostenibles, específicos para los bioclimas de México.
• Analizar los siguientes parámetros de diseño de las edificaciones: tamaño y orientación de las ventanas, profundidad del espacio y factores climáticos del sitio de emplazamiento. Para estos parámetros se cuantificarán los valores óptimos que permitan alcanzar niveles de iluminancia adecuados para diversas tareas visuales, principalmente las de mediana y alta dificultad. De esta manera, se favorecerá la reducción del consumo eléctrico en iluminación. Asimismo, los valores óptimos deberán contribuir a la reducción de las ganancias solares y, en consecuencia, favorecer la reducción del consumo eléctrico en climatización artificial.
• Cuantificar métricas de iluminación natural, mediante simulación computacional: disponibilidad de luz natural (DAv), fundamentada en iluminancias de luz natural útil (useful daylight illuminance, udi). Éstas servirán para establecer los
rangos de variación óptimos y los parámetros de configuración más apropiados.
• Cuantificar indicadores energéticos, tales como: ganancias solares (kWh/m2) y consumo de energía eléctrica (kWh/m2) en iluminación, refrigeración y calefacción.
• Planificar guías de diseño de ventanas que integren el aprovechamiento de la luz natural, desde las primeras etapas del proyecto arquitectónico.
Este libro se organiza en seis capítulos que abarcan los diferentes aspectos para cumplir con los objetivos planteados. En la introducción se hace una breve explicación sobre el contexto actual, la luz natural y los beneficios de un adecuado diseño de iluminación natural. Asimismo, se pone énfasis en la necesidad que tiene el país sobre el conocimiento y actualización en el manejo de las herramientas de simulación computacional con base climática. Su aplicación permitirá la formulación de estrategias y criterios de diseño arquitectónico específicos por bioclimas en México. Se concluye con los objetivos generales y particulares.
En el capítulo uno se definen los principales conceptos lumínicos que se utilizarán en el desarrollo del libro. Además, se explican los diferentes métodos de cálculo de la luz natural y se definen las métricas que permiten cuantificar los niveles de iluminación, así como también los criterios más utilizados para su aplicación. Seguidamente, se abarcan los conceptos de radiación y ganancias solares; se especifican también los programas de simulación energética que permiten la estimación de estos indicadores.
En los capítulos dos y tres se presentan estrategias básicas de iluminación natural, tales como orientación, profundidad del espacio, línea sin cielo y diferentes componentes de captación lumínica. Se profundiza en el estudio de las ventanas, entendiendo estos componentes como elementos arquitectónicos cruciales para un adecuado
aprovechamiento de la luz natural. Se describen los principales parámetros de diseño de ventanas, tales como tamaño y orientación. Asimismo, se presentan los principales criterios de diseño de ventanas, que, aunque intuitivos, han sido aplicados de manera generalizada en los proyectos arquitectónicos en el ámbito internacional.
En el capítulo cuatro se definen los términos y factores climáticos que permiten clasificar al país en regiones climáticas. Éstas se sintetizan para posteriormente trabajar en la propuesta «estrategias de diseño por bioclimas en México». Posteriormente, se mencionan los principales estándares y legislaciones nacionales que incluyen criterios de diseño sostenible. Se analizan sus ventajas y se advierten sus limitaciones.
En el capítulo cinco se expone la metodología aplicada al estudio del diseño de la ventana mediante un análisis dinámico anual, con base climática. Para esto, el primer paso consiste en revisar la información contenida en los archivos climáticos de las regiones climáticas. A continuación se plantean las características de evaluación del modelo base, en cuanto a parámetros de diseño, tales como sitio de emplazamiento, orientación, profundidad del espacio y tamaño de ventana. Seguidamente se establecen los criterios de evaluación del desempeño lumínico y energético de las ventanas, junto con los parámetros de cálculo y los programas computacionales a utilizar.
Además, se presentan los resultados obtenidos de las simulaciones dinámicas y se determinan las configuraciones de ventana óptimas, desde el punto de vista luminotécnico y energético. En resumen, se definen como óptimas aquellas ventanas que aportan iluminancias entre 150-3000 lux, rango considerado útil para realizar la mayoría de las tareas visuales y que no está asociado al deslumbramiento ni al exceso de ganancias solares. Se concluye con la propuesta de criterios de diseño de ventanas óptimas para los diferentes bioclimas de México. Finalmente, en el capítulo seis se exponen y discuten las conclusiones generales de los resultados obtenidos; se evalúa en qué medida se alcanzaron los objetivos del libro, y se plantean las perspectivas futuras que se sugieren para continuar con esta temática de diseño acotado a climas y localidades específicos.

La luz natural es una combinación de toda la radiación solar exterior que se recibe durante el día. Esta radiación o flujo radiante se compone de ondas electromagnéticas que transfieren energía por unidad de tiempo, y que son emitidas por el Sol [41]. La radiación solar comprende aproximadamente un 7% en longitudes de onda menores de 380 nm (región ultravioleta), un 47% en longitudes de onda comprendida entre 380 nm y 780 nm (región visible) y un 46% en longitudes por encima de 780 nm (región infrarroja). La magnitud que cuantifica la radiación solar que llega a la tierra es la irradiancia y mide la potencia que por unidad de superficie alcanza la Tierra (W/m2) [41].
Como se puede apreciar, dentro del gran espectro solar, una pequeña porción es denominada luz visible y comprende las longitudes de onda entre los 380 nm hasta los 760 nm, aproximadamente (figura 1.1). La característica particular de esta porción de energía es que puede ser absorbida por los fotorreceptores del sistema visual humano, iniciando así el proceso de la visión. Comprender la naturaleza de la luz natural es crucial para aprovechar su rango visible en la iluminación interior y para disminuir riesgos importantes, como la introducción de radiación infrarroja en forma de calor.
Entre las principales unidades para cuantificar la luz visible, podemos mencionar las siguientes (figura 1.2):
| Imagen recuperada de: http:/shutterstock.com

Figura 1.1.
Espectro de la radiación solar.
Consultar la versión a color en anexo 4.

Figura 1.2.
Unidades fotométricas.
Consultar la versión a color en anexo 4.
• Flujo luminoso. Cantidad de flujo radiante que produce sensación visual. Se caracteriza por ser emitido en todas direcciones. Se mide en lúmenes (lm).
• Iluminancia. Flujo luminoso que incide por unidad de área en una superficie dada. Se mide en lux (lx = lm/m2).
La luz natural se caracteriza por su constante dinamismo en intensidad y color a lo largo de las horas del año. Esta variabilidad se debe a dos factores principales que producen condiciones únicas e irrepetibles en cada localidad y situación específica [42]:
• La duración del día. Este primer factor se refiere al periodo de exposición de la superficie terrestre a la luz solar. Está determinado por los horarios de salida y puesta del sol, que dependen de la latitud geográfica de la localidad y de la inclinación solar a lo largo del año (figura 1.3). Es así como la duración del día es más corta durante el solsticio de invierno y más larga durante el solsticio de verano en localidades del hemisferio norte. Lo contrario sucede en el hemisferio sur.
• Las condiciones de nubosidad y turbidez. Este segundo factor engloba las condiciones de nubosidad y turbidez atmosférica que determinan las propiedades de absorción o difusión de la atmósfera, dando como resultado una luz natural difusa o una luz solar directa sobre las superficies (figura 1.4). Al ser variables durante el año, dichas condiciones modifican constantemente los niveles de iluminancia exterior y, por tanto, los niveles de iluminancia que llegan por reflexión o transmisión a los espacios interiores [43].
La luz natural aprovechable en un espacio interior se compone de tres fuentes principales (figura 1.5):
• La luz natural difusa que proviene de la bóveda celeste y que, dependiendo del grado de nubosidad, puede tener aproximadamente la misma intensidad en diferentes direcciones.
• La luz solar directa que incide en un lugar específico y que se caracteriza por su continuo cambio de dirección, su probabilidad de ocurrencia y su variabilidad en intensidad y temperatura de color.

Figura 1.3.
Alturas del Sol en tres días representativos del año, a las 13:00 horas, para una fachada sur.
Consultar la versión a color en anexo 4.

Figura 1.4.
Iluminancia exterior en un día nublado (o con nubes interceptando el sol) frente a un día despejado con sol.
Consultar la versión a color en anexo 4.

Figura 1.5.
Principales fuentes de luz natural en el interior de los espacios.
Consultar la versión a color en anexo 4.
• La luz indirecta que llega al interior por reflexión generalmente de los muros, pisos y cielorrasos, proveniente tanto de la luz difusa como de la luz solar.
La caracterización de las fuentes de luz natural dio lugar a la formulación teórica de modelos de cielo. Éstos tienen la finalidad de describir la distribución de luminancias1 de ciertos cielos para estimar la cantidad de luz natural que proveen. La principal aplicación de estos modelos matemáticos es en los cálculos de iluminación natural interior. Según las características de la bóveda celeste, se han empleado diversas clasificaciones, siendo relevantes el cielo nublado, el claro, el intermedio y el general.
Cielo nublado estándar cie
Este modelo descarta la componente directa que proviene del sol y considera una distribución de luminancias constante de la bóveda ce-
1 Luminancia [136]. Flujo luminoso emitido en una dirección determinada, dividido por el producto del área proyectada de una fuente puntual perpendicular a la dirección y el ángulo sólido que contiene esa dirección. Se mide en candela por metro cuadrado (cd/m2).
leste. Se corresponde con un cielo cubierto en un 90% por nubes con sol no visible. Otras clasificaciones incluyen los cielos con proporción de nubes del 70 al 100%. Una característica importante del cielo nublado es que es de 2.5 a 3 veces más luminoso en el cenit que en el horizonte. La siguiente ecuación para la distribución de luminancias para el cielo nublado fue formulada en 1942 [44]:

Donde l z es la luminancia en el cenit y Ɵ es el ángulo de altitud del punto considerado (figura 1.6a). El cielo nublado fue adoptado por la Commission Internationale de l’Eclairage (cie) en 1994 como cielo nublado estándar cie y sigue vigente al día de hoy [45]. Sus valores y distribuciones varían según la localización, las características climáticas, densidad y uniformidad de las nubes y las condiciones atmosféricas como la turbidez. El valor medio anual de iluminancia exterior sobre una superficie horizontal que se considera para los cálculos es de 5,000 lux.
Una simplificación de este tipo de cielo es conocida como cielo de luminancias uniformemente distribuidas o cielo uniformemente nublado. Esta simplificación supone una capa de nubes blancas de espesor constante y una atmósfera de turbidez constante (figura 1.6b). En este caso, las luminancias provenientes del cielo uniformemente nublado son asumidas como isotrópicas (iguales independientemente de la dirección de donde provienen); por tanto, su distribución de luminancias es:

En otras palabras, el cielo uniformemente nublado es rotacionalmente invariable, independiente de la latitud geográfica de estudio, y no considera el Sol. Este tipo de cielo puede ser estudiado mediante el cielo artificial, que es una instalación didáctica diseñada para simular los efectos de la luz difusa bajo un cielo uniformemente nublado

Figura 1.6.
Distribución de luminancias para: a) cielo nublado, y b) cielo uniformemente nublado.
Consultar la versión a color en anexo 4.

Figura 1.7.
Cielo artificial tipo «caja de espejos», Universidad de las Américas Puebla.
(figura 1.7). A través de mediciones con luxómetro en modelos o maquetas, el cielo artificial permite medir qué porcentaje de la luz proveniente del exterior logra incidir en el interior de los proyectos.
Universidad de las Américas Puebla

Figura 1.8.
Distribución luminosa de un cielo claro.
Consultar la versión a color en anexo 4.
Cielo claro estándar cie
En este modelo, el cielo no está obstruido por nubes o lo está en un porcentaje menor al 30%; además, el Sol tampoco está obstruido por las nubes. Básicamente, consiste en:
• Una componente directa, representada por el Sol.
• Una componente indirecta, representada por la dispersión y reflexión de la luz solar en la atmósfera.
La distribución luminosa de un cielo claro es, por tanto, no uniforme, y dependiente de la posición del Sol y de la capacidad de dispersión de la luz que existe en la atmósfera. En general, se establece una relación de luminancias de 1 en el horizonte y 0.5 en el cenit (figura 1.8). Esto significa que la parte más brillante en el cielo es aquélla donde se encuentra el Sol y el anillo que lo circunda (circunsolar); en cambio, la parte más oscura es aquélla que se encuentra a 90° del Sol; por tanto, el horizonte puede ser más luminoso que el cenit en condiciones de cielo claro.
La siguiente ecuación de la distribución de luminancias del cielo claro fue formulada en 1967 [46] y adoptada por la cie como cielo claro estándar cie [47] a partir de 1973:

Donde l z es la luminancia del cenit, Ɵ es el ángulo de altitud del punto considerado, k es la distancia angular de este punto desde el Sol y zen es el ángulo cenital del Sol.
Cielo intermedio
Este modelo se caracteriza por la presencia estacional del sol, alternada por periodos de nubosidad variable; es común en los climas templado-húmedo y cálido-húmedo [23]. El cielo intermedio es el que más se acerca al cielo real, pero es el más difícil de predecir por su enorme variabilidad. La iluminancia en una superficie horizontal exterior no obstruida bajo este cielo puede variar entre 100,000 lux (sin nubes) y 10,000 lux (con nubes interceptando el sol). Se han realizado diversas formulaciones matemáticas sobre la distribución de luminancias en este cielo. En 1988, se propusieron cinco categorías de clasificación, cada una con una expresión matemática [48]: cielo nublado, cielo nublado intermedio, cielo intermedio, cielo despejado intermedio y cielo despejado. En 1998, se propuso una nueva clasificación de quince categorías para incluir todas las condiciones de cielo [49]. No obstante, la complejidad de las condiciones intermedias ha dificultado la aplicación de estas propuestas teóricas y sus caracterizaciones.
En 1993, se propuso el modelo de cielo «All-Weather», que permitió calcular la distribución luminosa del cielo a partir de registros de radiación solar (directa y difusa) obtenidos en las estaciones meteorológicas [50]. En este modelo, los valores de irradiancia medidos en las estaciones meteorológicas se pueden convertir en valores equivalentes de iluminancia siempre que se tenga el valor de la eficacia luminosa de la radiación visible. La eficacia luminosa depende de la altitud del Sol, de la nubosidad y del contenido de vapor de agua en la atmósfera. La ecuación de la eficacia luminosa es la siguiente [51]:

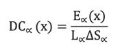
El modelo All-Weather suele acoplarse al enfoque de los coeficientes de luz natural (daylight coefficients, dc) en diversos programas computacionales para optimizar los cálculos lumínicos. Un dc es un método que divide hipotéticamente a la bóveda celeste en parches (ver ejemplo en las figuras 1.27 y 1.28). Posteriormente, la contribución total de iluminancia en un punto en el edificio es calculada para cada parche individual del cielo. Una vez que todos los segmentos de cielo son calculados para todos los puntos de referencia dentro del edificio, es posible obtener las iluminancias y luminancias combinando la información de los dc con:
• Los archivos climáticos. Información de irradiancia directa, global y difusa para una latitud y clima específico.
• El modelo de eficacia luminosa del cielo. Relaciona las tres componentes de la radiación (irradiancia directa, global y difusa) con su equivalente fotópica (iluminancia directa, global y difusa).
• Los parámetros requeridos son cuatro. El ángulo cenital del Sol, su altura, los datos horarios o subhorarios de las iluminancias directas y difusas y el contenido de agua precipitable en la atmósfera.
• El modelo de distribución luminosa del cielo. Proporciona la distribución luminosa del cielo con base en la fecha, la hora y las iluminancias directa y difusa. El modelo comprende cinco parámetros: la oscuridad o el brillo del horizonte, el gradiente luminoso cercano al horizonte, la intensidad relativa de la región circunsolar, el ancho de la región circunsolar y la intensidad relativa de la luz retro-dispersada desde la superficie de la tierra. De esta manera, la luminancia de cualquier punto del cielo viene determinada por la del cénit.
En la subdivisión de dc propuesta por Tregenza/Reinhart, la bóveda celeste es dividida en 145 segmentos de cielo que cubren por completo la bóveda celeste, sin ningún traslape entre parches (figura 1.9, en anexo 4). Esta subdivisión también incluye 3 parches para el terreno y 65 para las diferentes posiciones horarias del Sol. Más adelante, en la subsección «Daysim», se incluye una explicación más ampliada sobre los dc.
El modelo All-Weather significó un gran avance en el estudio de la iluminación natural, ya que el tipo de cielo y su correspondiente distribución de luminancias se pudo caracterizar específicamente para el clima y lugar de emplazamiento de los edificios. En este modelo se analiza la frecuencia de ocurrencia de cielo claro o con nubes a partir de los datos meteorológicos locales, pudiendo completar la información respecto a la distribución de luminancias con mediciones locales de irradiancias e iluminancias.
El modelo All-Weather ha sido normalizado por la cie como cielo general estándar cie [53]. En resumen, se definen quince tipos generales de cielo para representar diferentes condiciones, desde el cielo nublado hasta incluir diferentes variaciones de luz solar directa (figura 1.10, en anexo 4). Este modelo ha demostrado ser fiable y preciso para la obtención de la distribución de luminancias del cielo para cada momento del año registrado en el archivo climático. Es, por tanto, el modelo que más se acerca a la realidad local.
Aunado a lo anterior, la cie creó el Programa Internacional de Medición de Luz Natural (International Daylight Measurement Programme, idmp), estableciendo tres categorías de estaciones de medición: básica, general y de investigación. En las dos primeras, las principales cantidades medidas son iluminancia y radiación, mientras que en la tercera se realiza una recolección continua de la distribución de luminancia de cielo, así como de iluminancia, radiación y otros datos meteorológicos [54, 55].
El primer paso para definir los objetivos de la iluminación natural en los edificios consiste en:
• Establecer un criterio para evaluar si el rendimiento de la luz natural es bueno, adecuado y suficiente en los espacios. Idealmente, este criterio debe ser objetivo y cuantificable, de manera que pueda ser una guía utilizable en el proceso de diseño.
El desarrollo de métricas de iluminación natural ha sido objeto de considerables esfuerzos y debates; su propósito es predecir exitosamente si el rendimiento de la iluminación natural es mejor o peor, según las decisiones tomadas en el proyecto. En esta sección se describen las principales métricas de iluminación natural que han sido utilizadas en los proyectos, junto con sus ventajas y limitaciones. Asimismo, se incluyen los principales requerimientos establecidos para la aplicación de estas métricas en los sistemas de certificación de edificios eficientes y sostenibles.
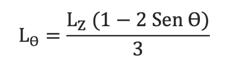
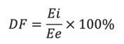
Se define como la relación entre el nivel de iluminación en un punto interior (Ei) y el nivel de iluminación simultánea de un punto en un plano horizontal exterior (Ee) bajo el cielo uniformemente nublado cie y sin presencia de obstrucciones (figura 1.11) [32]. El df se expresa como un porcentaje, por lo que no considera valores absolutos de iluminancias. Su cálculo se realiza mediante la siguiente fórmula:

Por su facilidad de cálculo, el df continúa siendo tradicionalmente requerido en diversas normativas.

Figura 1.11.
Factor de iluminación natural.
Consultar la versión a color en anexo 4.
Limitaciones
• Es independiente del clima y la ubicación geográfica.
• Es independiente de la orientación del edificio investigado.
• No incluye la contribución de la luz solar directa ni el tiempo del día.
• Se basa en una condición única de cielo (cielo uniformemente nublado cie), por lo que no considera la variabilidad de las condiciones de cielo que suceden a lo largo del año y en los diferentes climas locales.
Como resultado, el valor df predicho resultará igual para un edificio con fachada norte en Ciudad de México (por dar algún ejemplo) que para un edificio con fachada sur en cualquier otra localidad del mundo. Debido a que el Sol no es considerado, tampoco se pueden establecer estrategias dependientes del ángulo o la intensidad solar. Para contrarrestar esta desventaja del df, algunos diseñadores han incluido el estudio de la luz solar directa en los espacios mediante el estudio de diagramas de luz solar o análisis dinámicos de sombreamiento. No obstante, los análisis basados en la métrica df continúan
sin presentar los valores de iluminancias de la luz del cielo o de la luz solar reflejada.
Estándares y recomendaciones
La métrica df ha sido ampliamente utilizada en las normativas internacionales, debido a su practicidad y facilidad de cálculo.
• British Standards Institution (bsi), bs 8,206 [56]:
• Si la iluminación eléctrica no es normalmente usada durante el día, el promedio del df debe ser no menor del 5%.
• Si la iluminación eléctrica es usada a lo largo del día, el promedio del df debe ser no menor del 2% cuando se requiere una predominante apariencia de luz natural.
• leed (Leadership in Energy and Environmental Design) versión 2.1:
• Si un mínimo de df del 2% es alcanzado en el 75% de los espacios ocupados donde se realizan tareas visuales críticas, entonces otorga un crédito.
• Building Research Establishment - Environmental Assessment Method (breeam) [57]:
• Se requiere el 80% del área de piso con un df mayor del 2%.
Métricas dinámicas de iluminación natural (ddm , dynamic daylight metrics)
El modelado de la luz natural con base climática (cbdm, climate-based daylight modelling) consiste en predecir los valores de irradiancia, iluminancia y luminancia usando las condiciones de sol y cielo que se derivan de los archivos climáticos estandarizados. Estos archivos climáticos se obtienen de mediciones realizadas en sitios específicos durante periodos anuales completos y pueden ser descargados gratuitamente de varios sitios web oficiales. Uno de los repositorios más completos es el compilado para su uso en el software EnergyPlus,
que contiene archivos climáticos de más de 1,200 localidades de todo el mundo [37].
El cbdm permite predecir las cantidades absolutas de luz (por ejemplo, iluminancias) que ingresan a un espacio [58, 59]. Sus principales ventajas incluyen la consideración de:
• Las condiciones particulares de la localidad: a través de archivos climáticos específicos por localidad que consideran las intensidades de la radiación solar que varían según la latitud y el recorrido aparente del Sol a través de las horas, los días y las estaciones.
• La distribución luminosa de los cielos no-uniformes: a través de programas de simulación computacional con algoritmos que permiten considerar todas las posibles condiciones del cielo a lo largo del año, implementando el modelo de cielo All-Weather.
• La orientación de las aberturas, la geometría del espacio y las propiedades de los materiales: a través de modelos tridimensionales realizados mediante programas computacionales.
La finalidad del cbdm es representar las condiciones prevalecientes durante un periodo de tiempo, en lugar de considerar simplemente las condiciones específicas de un instante estático, tal como lo supone el df (figura 1.12).
Debido a la variabilidad de la luz natural, el periodo de evaluación mediante cbdm es normalmente un año entero, aunque ciertas estaciones o meses también pueden ser analizados particularmente. Como resultado, el uso del cbdm genera archivos, o series temporales de iluminancias, que contienen 8,760 valores horarios de iluminancias para un año entero; por cada sensor o punto de cálculo usualmente establecido como plano de trabajo (figura 1.13, en anexo 4). Esto genera una gran cantidad de información difícil de manejar; por ejemplo, si se consideran 2,000 sensores, cada uno con 8,760 horas, se obtienen 17,520,000 valores de iluminancias.

Figura 1.12.
Comparativa entre el modelado con base climática y el factor de iluminación natural. Mardaljevic, J. [60].
Consultar la versión a color en anexo 4.
Para interpretar esta gran cantidad de información generada, se han formulado las llamadas métricas dinámicas de iluminación natural (ddm, dynamic daylight metrics). Las ddm son medidas obtenidas mediante el análisis estadístico de las series temporales de iluminancias en el plano de trabajo. De esta manera, los miles de valores horarios se pueden «convertir» en un único valor intuitivo que representa la cantidad anual de luz natural en un espacio determinado. Los pasos determinantes en tal conversión son los siguientes:
• Decidir el rango del tiempo anual en que se basarán los análisis. Una elección común es concentrarse en el tiempo cuando el espacio investigado está ocupado debido a que la luz natural «necesita testigos» para tener un efecto (figura 1.14) [34].
Otra manera de analizar el rango de tiempo es considerar las horas diurnas del año, que son aquéllas en las que existe disponibilidad de luz natural. Este segundo rango se fundamenta en que el comportamiento de los usuarios no es fijo, sino que

Figura 1.14.
Ejemplo de rango de tiempo anual con ocupación de 8:00 a 18:00 horas, con horario de verano.
varía en función de la vocación del espacio y de las actividades que un edificio puede tener a lo largo de todo su ciclo de vida. Con esta segunda opción, es posible considerar todo el potencial intrínseco de la iluminación natural de un espacio en función de su diseño arquitectónico [34,61].
• Decidir los niveles de iluminancias naturales «adecuados» para las tareas visuales y las actividades del espacio investigado. Según los propósitos del estudio, se debe optar por alguna de las métricas de luz natural.
A continuación, se describen las ddm que actualmente han sido requeridas en diversas normativas internacionales.
Autonomía de luz natural (da, daylight autonomy)
Se define como el porcentaje de horas ocupadas al año, cuando el mínimo de iluminancia puede ser mantenido por luz natural exclusivamente [58]. El mínimo de iluminancia corresponde con el requerimiento mínimo de iluminación que debe mantenerse en todo momento para que una determinada tarea pueda llevarse a cabo con seguridad y sin fatigar al ocupante que trabaja en el espacio; por ejemplo, mínimo de iluminancia de 300 lux (figura 1.15 en anexo 4).A tra-
vés del da, también es posible contemplar patrones de ocupación y de utilización de la iluminación eléctrica y de sistemas de sombreado, como louvers o persianas.
Una de las desventajas de utilizar la métrica da es que implica asumir un único límite u objetivo de iluminación. Este único objetivo puede ser restrictivo por dos motivos principales [62]:
• No se otorga significancia alguna a aquellas iluminancias de luz natural que están por debajo del límite (por ejemplo, iluminancias <300 lux no son consideradas); sin embargo, en la práctica real, estas iluminancias inferiores pueden ser valoradas positivamente por los usuarios e incluso pueden contribuir a reducir el consumo eléctrico en iluminación.
• No se considera la cantidad de tiempo en el que el objetivo de iluminación es excedido. Esto significa que altos niveles de luz natural (por ejemplo, >3,000 lux) también son considerados positivamente aun cuando en la realidad pueden ser asociados con disconfort térmico y visual de los ocupantes.
Autonomía espacial de luz natural (sda, spatial daylight autonomy)
Esta métrica describe la suficiencia anual de los niveles de iluminación natural en espacios de interior y se define como el porcentaje del área de estudio que alcanza un mínimo de iluminación natural por una fracción especificada de las horas de ocupación anual [63]. En el sda, un punto es considerado «iluminado naturalmente» cuando la métrica da en ese punto alcanza o excede un objetivo de iluminación de 300 lux, durante al menos el 50% de las horas de ocupación entre las 8:00 y 18:00 horas, durante un año meteorológico típico (da 300, 50%). Similares objetivos de iluminación se han establecido en diversas normativas:
• ies-LM83 [63] establece que el sda debe alcanzar al menos el 55% y 75% del plano de trabajo para que el espacio
sea considerado «nominalmente aceptable» y «preferible», respectivamente.
• leed versión 4.0 requiere el 55% y 75% de da 300, 50% en el área regularmente ocupada (en espacios de oficinas, escuelas, almacenes y nuevas construcciones) para otorgar 2 y 3 créditos, respectivamente.
Las principales ventajas del sda son que es un indicador dinámico y que representa toda la zona de estudio (figura 1.16, en anexo 4), es decir, el sda arroja como resultado un único valor que representa toda el área de evaluación [63]. Las limitaciones de esta métrica son prácticamente las mismas que las de la métrica da.
leed V. 4.0 requiere adicionalmente calcular qué porcentaje del plano de trabajo consigue la métrica exposición solar anual (ase, annual solar exposure). Esta métrica cuantifica los niveles excesivos de radiación solar, es decir, las iluminancias >3,000 lux, durante >5% del horario de ocupación. No obstante, los resultados de ase han mostrado estar condicionados a la resolución del plano de cálculo y al método empleado [64]. Por tanto, no es una métrica confiable al momento, y hasta que no se establezcan criterios para su cálculo computacional.
Iluminancia de luz natural útil (udi, useful daylight illuminance)
Se define como el porcentaje de horas ocupadas cuando los niveles de iluminación natural sobre el plano de trabajo son considerados «útiles» para los ocupantes, esto es, que no son ni muy oscuros ni muy brillantes [62]. Estos niveles útiles fueron sugeridos según los reportes de preferencias de ocupantes en oficinas iluminadas con luz natural [61]. Así, udi establece un límite de iluminancia bajo y otro de iluminancia alta; el rango intermedio es considerado como útil y puede ser subdivido en dos (figura 1.17, en anexo 4). Debido a estos límites, cada punto en el espacio obtiene hasta cuatro valores udi, según la ocurrencia de niveles de iluminación donde:
• udi-f (bajo). La iluminancia es <100 lux. Este rango representa el tiempo cuando existe «poca iluminación», haciendo necesaria la iluminación eléctrica.
• udi-s (suplementario). La iluminancia es >100 lux y < 300 lux. Para estos niveles, se podría necesitar iluminación eléctrica para complementar la luz natural requerida para realizar actividades comunes como la lectura.
• udi-a (autónomo). La iluminancia es >300 lux y <3,000 lux. Cuando suceden estas iluminancias, no se debe requerir iluminación artificial adicional.
• udi-e (excesivo). La iluminancia >3,000 lux. Este rango representa el tiempo cuando existe una sobreiluminación de luz natural que puede traer problemas de disconfort térmico y visual.
Las principales ventajas de utilizar el esquema udi son que es un indicador dinámico y que establece dos límites de iluminancias para medir la cantidad de luz natural. Por tanto, udi informa no sólo de los niveles útiles de iluminación natural sino también de la frecuencia de ocurrencia de niveles excesivos de luz natural que pueden ocasionar problemas de disconfort visual (deslumbramiento) y ganancias solares excesivas. Las posibles limitaciones son que al día de hoy no existe un total acuerdo sobre los límites de iluminancias útiles y que el udi provee hasta cuatro valores para cada punto del espacio, lo que podría resultar poco práctico.
En 2013, la efa (Education Funding Agency, uk) estableció un requerimiento mandatorio, basado en la métrica udi, para la evaluación de los diseños de escuelas sometidos en el Programa psbp (Priority Schools Building Programme). De acuerdo con este requerimiento, los diseños de escuelas deben conseguir un promedio del 80% para el udi 100-3,000 lux, durante el periodo de 8:30 a 16:00 horas. Debido a que 300 lux es el objetivo de iluminación en la mayoría de los salones de clases, también es apropiado utilizar el rango de 3003,000 lux para cumplir con este requerimiento [65].
Disponibilidad de luz natural (dav, daylight availability)
Esta métrica intenta amalgamar la información da y udi en una sola métrica [59], de manera que el espacio estudiado (o plano de trabajo) se subdivide en dos o tres zonas. El esquema dav se puede subdividir en dos zonas (figura 1.18a):
• Iluminado. Área interior que se considera iluminado naturalmente si recibe suficiente iluminación durante al menos la mitad del tiempo, en una ocupación de 8:00 a 18:00 horas (da 300, 50%).
• Sobreiluminado. Área interior que consigue iluminancias que exceden el límite máximo de iluminancias naturales (3,000 lux) durante al menos el 5% de las horas de ocupación; en resumen, udi >3,000, 5% [66]. El criterio del 5% fue seleccionado como un método análogo de los análisis térmicos de acuerdo al estándar BS EN 15251 [67]. Este estándar define un nivel límite para diversas categorías del confort térmico, las cuales no deben ser excedidas el 3-5% de las horas de ocupación anual. Estudios han mostrado que el área sobreiluminada significa un potencial para el sobrecalentamiento por radiación [68]. Además, el área sobreiluminada representa un riesgo de deslumbramiento, pues ha mostrado estar correlacionada con la probabilidad del deslumbramiento por luz natural [69,70].
Asimismo, el esquema dav se puede subdividir en tres zonas (figura 1.18b):
• Completamente iluminado. Área interior que se considera iluminado naturalmente si recibe suficiente iluminación durante al menos la mitad del tiempo en una ocupación de 8:00 a 18:00 horas (da 300, 50%).
• Parcialmente iluminado. Área interior que consigue menos del 50% de las horas de ocupación con niveles suficientes de iluminación natural. Es decir, que recibe da para una iluminancia objetiva de 150 lux durante al menos el 50% del

Figura 1.18.
Métrica DAv: a) con dos áreas iluminadas, y b) con dos áreas iluminadas y una no iluminada. Vistas en planta.
tiempo de ocupación comprendido entre las 8:00 y 18:00 horas (da 150, 50%). Esta área permite mostrar una transición entre el área completamente iluminada y el área no iluminada, lo cual es un acercamiento a la cuantificación de la naturaleza subjetiva de la luz en la evaluación de los espacios [66].
• No iluminado. Área que no consigue da150, 50%. Debido a que da no tiene un límite superior de iluminancias, el área parcialmente iluminada necesariamente contiene al área completamente iluminada (da 300, 50%), por tanto, el área restante resultará no iluminada.
Al momento no hay estándar vigente que especifique alguna de estas áreas. Las más similares refieren las métricas da en ies-LM83 y leed V.4.0. Se ha hecho una sugerencia [66] de añadir el concepto de evaluación de dos niveles para la iluminación natural en los sistemas de certificación de edificios verdes: asignar un crédito a los edificios que consigan una adecuada proporción del espacio «parcialmente iluminado» y un segundo crédito cuando esa adecuada proporción sea «completamente iluminada».
Existen diversas herramientas de cálculo de la luz natural, actualmente disponibles para los diseñadores y que debieran ser utilizadas diligentemente en las etapas conceptuales del diseño arquitectónico. Entre tales herramientas se distinguen las mediciones en sitio, las mediciones en modelos a escala y los cálculos a través de programas computacionales. En cualquier caso, los pasos a seguir para realizar un análisis de iluminación natural son los siguientes:
• Definir un criterio de análisis, es decir, elegir qué métrica(s) de luz natural se utilizará en la evaluación de la luz natural interior.
• Definir el plano de cálculo donde se realizarán las mediciones. Este plano es una referencia ficticia, que puede ser horizontal, vertical o inclinada. Está conformado por puntos de cálculo o sensores equidistantes, a una altura correspondiente con la función del espacio (por ejemplo, en oficinas donde el trabajo se realiza comúnmente en escritorios, una altura de 0.80 metros sobre el piso sería adecuada). Este plano debe separarse de los muros limitantes del espacio, por una banda perimetral de 0.50 metros (figura 1.19). Esto para evitar incluir los picos de iluminancias producidos por las reflectancias de los muros.
El número de puntos de cálculo y la separación entre ellos se puede determinar mediante la siguiente fórmula [71]:

Donde d es la distancia más larga del área de cálculo (m); resultando p≤m.
La definición del plano de cálculo es parte crucial para obtener los niveles de iluminancia. Mientras mayor sea su definición (mayor número de sensores), mayor será la precisión de los valores de iluminancias obtenidos (promedios, medias, máximos, mínimos, etc.). Además, se podrá apreciar de manera más exacta la distribución de

Figura 1.19.
Ejemplo de plano de cálculo, con banda perimetral de 0.50 m y altura de 0.80 m sobre el piso. Los sensores de cálculo están representados por los cuadritos.
las iluminancias en el plano de trabajo y en las áreas inmediatas. Cabe mencionar que la iluminación y su distribución en el espacio tienen un gran impacto en cuán segura y confortable es la percepción y el desarrollo de las tareas visuales.
La evaluación de la luz natural en sitio y en modelos a escala permite realizar un análisis cuantitativo (valores interiores medidos) y además puede otorgar datos cualitativos de la distribución de la iluminancia interior [72]. Dado que la luz no tiene dimensión escalar, los valores de iluminancia medidos en maqueta deben ser los mismos que los que se registrarían en el sitio real. El factor de error está referido a las reflectancias2 de las superficies interiores. Por esto, es importante utilizar en el interior de las maquetas, superficies cuya reflexión sea similar a la del sitio real. La precisión en la geometría de la maqueta debe ser tan alta como sea posible, especialmente en la disposición y tamaño de los vanos, ventanas y acristalamientos. Se deben incluir, también, los edificios y otros elementos constructivos del contexto, ya que ellos 2 Propiedad de los materiales que se refiere al valor porcentual de la energía radiante que es reflejada por una superficie, respecto al total de la energía radiante incidente. Usualmente se utiliza el índice de color como una medida de la reflectividad u opacidad del material.
Tabla 1.1. Escalas recomendadas para la evaluación de la luz natural en maquetas.
Escala Aplicaciones
Para estudiar la luz solar incidente en el interior de los edificios.
1:200 a 1:10
1:100 a 1:10
Para apreciar cuantitativamente el ambiente luminoso interior de las maquetas, áreas con luz solar directa y áreas en sombra.
Para estudiar la luz difusa (cielo artificial) y luz solar directa (heliodón) que incide en el interior de las maquetas.
Para obtener detalles sobre las visuales hacia el exterior.
Para considerar la redefinición de componentes espaciales, como ventanas, claraboyas, estantes de luz, sistemas de control solar, etc.
influyen en la provisión de luz natural. La escala de las maquetas varía según los objetivos de estudio; las escalas más recomendables se especifican en la tabla 1.1. No obstante, estas escalas pueden estar condicionadas a la escala propia de instrumentos como el cielo artificial y el heliodón.
La evaluación de la luz difusa en modelos a escala puede realizarse bajo una bóveda celeste natural o bajo un «cielo artificial» [73]. Existen varios modelos de cielos artificiales; uno de los más comunes y económicos consiste en una «caja de espejos» En este tipo de modelos, la maqueta se ubica en el centro del cielo artificial, sobre una mesa; la luz proviene de un plafón translúcido iluminado por barras de lámparas fluorescentes; asimismo, la luz proviene de las múltiples reflexiones desde los espejos, consiguiendo representar una iluminación simétrica rotacional (figura 1.20). El cielo artificial sólo permite realizar estudios comparativos, ya que no es posible el análisis de la presencia estacional del Sol. Como tal, permite comparar el porcentaje de luz del exterior que incide en el interior, es decir, el cálculo de la métrica df. Es importante considerar que los cielos artificiales reproducen las condiciones exteriores similares a las de un cielo uniformemente nublado. Las mediciones se realizan con un luxómetro, considerando los sensores a una altura previamente establecida. Los modelos a escala también pueden ser estudiados respecto a la direccionalidad de la luz solar directa que reciben, mediante instrumentos conocidos como «heliodón» (figura 1.21). Mediante este ins-

Figura 1.20.
Cielo artificial tipo «caja de espejos», Universidad de las Américas Puebla.
trumento, la maqueta es iluminada por una lámpara de luz paralela, cuyo ángulo de inclinación e incidencia representa los ángulos solares de altura y azimut correspondientes al día y hora específicos de estudio (figura 1.22). De esta manera, el heliodón permite predecir el ingreso solar en determinados rangos de tiempo, horas del día y estaciones, por lo que es útil para investigaciones de carácter cualitativo.
Los ángulos solares permiten conocer la posición del sol sobre el horizonte, como en un sistema de coordenadas, donde:
• Altura. Es el ángulo de elevación formado entre el sol y el plano horizontal en el que se encuentra el observador. Se mide en grados, entre el 0 y 90. Éste último es conocido como el cenit, o punto imaginario ubicado directamente «arriba», en el cielo, de una ubicación particular.
• Azimut. Es el ángulo de orientación del sol sobre el horizonte. Se forma por la proyección perpendicular del sol (arriba en el horizonte) sobre el plano horizontal. Usualmente es medido desde el norte en sentido de las manecillas del reloj.


Figura 1.21.
Heliodón, Universidad de las Américas Puebla.

Figura 1.22.
Ángulos solares: a) altura, y b) azimut. Consultar la versión a color en anexo 4.
Otra herramienta para el estudio de la luz solar directa es la carta solar. Consiste en una representación gráfica en planta, que nos permite obtener la posición del Sol en el cielo con respecto a nuestra ubicación, considerando una latitud específica. La carta solar contiene información sobre fechas y horas específicas, para las cuales se obtienen los ángulos solares de altura y azimut. La carta solar más utilizada es la estereográfica, que basa la proyección del recorrido del Sol
en una semiesfera (figura 1.23). En general, la carta solar estereográfica consiste en:
• Circunferencia exterior donde se señalan los ángulos de azimut que van de 0° a 360°, respecto a su centro.
• Eje vertical donde se señalan los ángulos de altura solar que van de 0° a 90°.
• Curvas horizontales que representan el recorrido aparente del sol en fechas específicas del año. Se suelen incluir fechas claves, como los solsticios y equinoccios.
• Curvas verticales que representan las horas del día. En los equinoccios existen doce horas de luz solar; en los solsticios de verano estas horas se extienden consiguiendo el día más largo del año; en los solsticios de invierno estas horas se reducen produciendo el día más corto del año.
La carta solar tiene diversas aplicaciones (ver anexo 1: «La carta solar»). A través de ella, es posible predecir la incidencia del Sol en el interior de los espacios, de manera que se pueden establecer criterios de aprovechamiento de la luz natural y de protección solar en verano. Igualmente, se puede utilizar para proyectar efectos luminosos y de ambientación en los espacios interiores. Asimismo, es de gran utilidad para la proyección de sombras de edificios y definir alturas o distancias de separación entre los bloques a construir.
Simulaciones de luz natural
Una simulación de luz natural es un cálculo computacional que predice la situación de la iluminación en el interior de un edificio, bajo una situación específica de luz natural. Para realizar los cálculos se requieren tres componentes: información del sitio, condiciones de cielo y algoritmo de simulación (figura 1.24). Éstos se describen a continuación:

Figura 1.23.
Carta solar estereográfica para la latitud de Puebla, México. Consultar la versión a color en anexo 4.

Figura 1.24. Componentes requeridos para realizar simulaciones de luz natural [82] .
Universidad de las Américas Puebla
Información del edificio
Se refiere a la descripción del espacio mediante un modelo virtual tridimensional del edificio que contenga la información de la geometría y del contexto; además de las propiedades ópticas de todas las superficies de los materiales. Programas cad como Autocad y Rhinoceros son útiles para crear modelos virtuales de tres dimensiones para realizar análisis rápidos sobre el diseño de los edificios; permiten visualizar y modificar aspectos como la forma de los locales, el tamaño y orientación de las ventanas, la selección de los materiales, etc. Estos programas también incluyen librerías de objetos como techos, paredes, puertas y ventanas. Las propiedades de los materiales como color, reflexión y transmisión (figura 1.25) pueden ser provistas por librerías implementadas o por la industria de acristalamientos, pinturas o mobiliario.
• Las superficies opacas. Son caracterizadas por sus propiedades de reflexión.
• Los sistemas de acristalamiento. Son caracterizados por la transmitancia o transmisión de luz visible dependiente del ángulo de incidencia.
A continuación, se definen las principales propiedades de los materiales que se deben especificar en los modelos tridimensionales para las simulaciones lumínicas (figura 1.26):
• Reflectancia visible. Porcentaje de luz visible reflejada después de incidir sobre alguna superficie. Cuando el ángulo de incidencia es igual al ángulo reflejado, se tiene una reflexión especular, característica de los espejos. Cuando el ángulo de incidencia no es igual al ángulo reflejado, sino que este último se descompone, se tiene una reflexión difusa. Los materiales pueden presentar variaciones intermedias a estos dos modos de reflexión básicos.
• Transmitancia visible. Porcentaje de luz visible que incide en el acristalamiento y que lo atraviesa. La transmitancia visi-

Figura 1.25.
Propiedades de reflexión, difusión y transmisión de superficies opacas y transparentes.
ble considera la sensibilidad del sistema visual humano. Los acristalamientos claros se caracterizan por altos valores de transmitancia visible; no obstante, hay que controlar el deslumbramiento. Los vidriados con baja transmitancia son mejores para evitar el deslumbramiento, pero disminuyen los niveles de iluminación natural y las vistas al exterior.
• Color del vidriado. Afecta la apariencia de las visuales (por ejemplo, el bronce mostrará cielos con azules grisáceos). Aunque el color es un factor dominante en el diseño arquitectónico, se debe ser flexible en su selección pues afecta directamente las condiciones de iluminación natural interior.
Información sobre las condiciones prevalecientes del cielo en el sitio de emplazamiento
Para calcular los niveles de iluminancias de luz natural en el interior de un espacio, es necesario conocer la distribución luminosa de la bóveda celeste para las condiciones específicas de estudio. La cantidad física

Figura 1.26.
Diferentes tipos de vidriados y su transmitancia visible.
de iluminancias de luz natural de la bóveda celeste puede ser calculada de dos maneras:
• Escáner de cielo. Dispositivo óptico que realiza mediciones de luminancias en diferentes direcciones de cielo, de dos maneras: a) con un número determinado de sensores que miran hacia diferentes direcciones de cielo y b) con un sólo sensor que se mueve mecánicamente. Estas mediciones suelen tomarse cada quince minutos, durante muchos meses y años; no obstante, existen limitados sitios en el mundo con estos dispositivos.
• Modelos de cielo. Modelos teóricos basados en amplia información disponible en los archivos climáticos. Diversos modelos de cielo han sido desarrollados a lo largo de los últimos años. Los más utilizados han sido mencionados anteriormente en este documento, en el apartado «Modelos de cielo».
Algoritmo de simulación que calcule las luminancias e iluminancias interiores basado en los dos ítems anteriores
Básicamente, existen tres tipos de algoritmos para la simulación de iluminancias en los espacios tridimensionales:
• Cálculos directos. Son utilizados para calcular la iluminación que proviene directamente de las fuentes de luz, como el Sol, aberturas o luminarias. Los cálculos directos suelen ser usados en el contexto del cálculo de luminarias. Su aplicación requiere fórmulas físicas y simplificaciones que a menudo son establecidas en estándares nacionales e internacionales para cubrir la mayoría de las situaciones usuales. Un ejemplo es el
Método de Lumen3
• Trazado de rayos (inverso). Simula rayos de luz individuales para calcular la distribución luminosa en un espacio, desde un determinado punto de vista. Es decir, los rayos son emitidos desde un punto de interés en el espacio, luego son trazados hacia atrás hasta que alcancen una fuente de luz o algún objeto. Si un rayo alcanza una fuente de luz, se aplica la función de la distribución luminosa de dicha fuente y se determina la contribución de luminancias en ese punto de interés. Si el rayo alcanza un objeto, la luminancia del objeto necesita ser calculada por rayos secundarios que son emitidos desde el objeto; la distribución angular con la que se emiten los rayos secundarios depende de las propiedades ópticas del objeto. Un trazo de rayos se termina cuando alcanza cierto número de rebotes reflexivos o cuando cae debajo de cierto límite predefinido [74, 75]. Este método permite incluir superficies puramente especulares como espejos, superficies lambertianas4 como muros regulares, superficies transparentes como acristalamientos e incluso superficies mixtas. La principal ventaja del trazado de rayos es que puede representar la mayoría de las superficies reales por lo que los resultados físicos son bastante aproximados a la realidad. Esto es especialmente impor-
3 Es una forma práctica y sencilla de calcular el nivel medio de la iluminancia en una instalación de alumbrado general. Proporciona una iluminancia media con un error de ±5% y nos da una idea muy aproximada de las necesidades de iluminación artificial. 4 Una superficie lambertiana es una superficie difusa ideal que refleja la luz incidente en igual manera hacia todas direcciones.
Universidad de las Américas Puebla
tante cuando se modela la luz natural con elementos como cortinas, estantes de luz o prismas con superficies no-difusas.
• Radiosidad. En este método, cada superficie es tratada como un reflector perfectamente difuso con una luminancia constante; es decir, el intercambio de radiación entre dos superficies puede ser descrita con un número simple que depende de las propiedades reflectivas de las superficies y de la geometría de la escena. Para calcular la distribución de luminancias de luz natural interior en un espacio, los flujos luminosos entrantes a través de las partes transparentes de la envolvente edilicia se establecen igual al flujo luminoso disponible dentro del edificio. Esta simplificación define el conjunto de ecuaciones que singularmente determinan las luminancias de todas las superficies consideradas; existe una gran cantidad de métodos descrita por diversos autores [76, 77]. La radiosidad supone todas las superficies como mate, por lo que no reproduce adecuadamente las reflexiones especulares. No obstante, cuando se la compara con el trazado de rayos, la radiosidad tiene la ventaja de que requiere menos tiempo de cálculo para geometrías sencillas; esta ventaja disminuye cuando aumenta la complejidad del modelo. El tiempo de cálculo en radiosidad incrementa con el cuadrado del número de elementos considerados, mientras que el trazado de rayos mantiene una relación lineal [78]. Por otro lado, un cálculo de radiosidad produce el total de la distribución de luminancias en una escena independientemente del punto de vista del observador. Esto significa que es innecesario recalcular la iluminación de la escena cuando se produce un cambio en la posición de la cámara. Por tanto, un recorrido dentro de una escena puede ser más rápido con la radiosidad; en cambio, el trazado de rayos requiere una nueva simulación por cada nuevo punto de vista.
Actualmente, existe una gran variedad de modelos matemáticos, disponibles en forma de programas computacionales, para la simulación de la luz natural. La tabla 1.2 resume las características de los programas más comúnmente utilizados.
Tabla 1.2. Comparativa de programas de simulación de la luz natural.
ProgramaMétodo
Radiance Trazado de rayos inverso Escena radiante
daysim Trazado de rayos inverso
diva Trazado de rayos inverso
adeline Trazado de rayos inverso
Modelo de cielo
Cielo nublado estándar cie
Cielo general estándar cie
Cielo general estándar cie
Cielo nublado estándar cie
Cielos claros
AGi32
DIALux
Cálculo directo Radiosidad Trazado de rayos (limitado)
Cálculo directo Radiosidad Trazado de rayos pov para imágenes
Cielo nublado estándar cie
Cielos claros
Cielo nublado estándar cie
Tipo de simulación
Dinámica (base climática)
Dinámica (base climática)
Dinámica (base climática)
Propósito
Disponibilidad
GeneralGratuito Código abierto
GeneralGratuito Código abierto
GeneralPagado Código abierto
Estática Diseño de iluminación eléctrica
Integración de luz natural Pagado
Estática Diseño de iluminación eléctrica
Integración de luz natural Pagado
Estática Diseño de iluminación eléctrica
Integración de luz natural Gratuito Propiedad de software
Universidad de las Américas Puebla
ProgramaMétodo
Relux Cálculo directo Radiosidad Trazado de rayos inverso (modificado)
Mental Ray Mapeado de fotones
Radiosidad (principios)
Trazado de rayos inverso (principios)
Modelo de cielo
Cielo nublado estándar cie
Cielo general estándar cie
Tipo de simulación
Propósito
Estática Diseño de iluminación eléctrica
Disponibilidad
Integración de luz natural Gratuito Propiedad de software
EstáticaGeneral Incluido en algún software de pago
En general, los programas más avanzados para el cálculo de la luz natural son los que están basados en las simulaciones dinámicas, que permiten incluir la información de radiación solar disponible en los archivos climáticos estandarizados. En cambio, los programas de simulación estática suelen ser implementados para el cálculo de iluminación artificial.
Programas de simulación
Radiance
Entre la gama de herramientas de simulación, Radiance es considerado como el de mayor influencia en las investigaciones de iluminación. Radiance es un motor de cálculo de la luz natural que utiliza el trazado de rayos inverso [79]. Su reputación científica está basada en una serie de estudios independientes en los que se valida su capacidad de predecir la distribución de luminancias e iluminancias internas en edificios con geometrías complejas, con materiales reflectivos, translúcidos o transparentes y bajo condiciones arbitrarias de cielo [59, 80, 81]. En Radiance, las contribuciones debidas a las fuentes de luz directa y a las reflexiones de los objetos son tratadas separadamente mediante cálculos directos e indirectos que determinan el número de rayos trazados. Con la finalidad de reducir el esfuerzo en el trazado
de rayos, Radiance incorpora esquemas de interpolación y extrapolación mediante los cuales se estiman las luminancias en el punto de interés desde las luminancias en puntos cercanos.
Una desventaja de Radiance radica en que los cálculos lumínicos requieren la especificación de diferentes parámetros que deben ser establecidos individualmente en cada simulación; situación que requiere cierto nivel de conocimiento para su manejo5. Aunque siempre se puede escoger entre una gran cantidad de valores para los parámetros de simulación, «el arte de usar Radiance radica en una selección efectiva de los parámetros de simulación de manera que se obtengan resultados fiables dentro de un tiempo justificable» [82]. La tabla 1.3 explica brevemente en qué consisten los parámetros de simulación. La tabla 1.4 proporciona un conjunto de valores para los parámetros de simulación de aplicación generalizada.
Tabla 1.3. Parámetros de simulación en Radiance.
ab Rebotes ambientalesNúmero de interreflexiones difusas, calculadas antes de que un rayo sea descartado. Este parámetro incrementa significativamente el tiempo de simulación. Un valor de 5 es suficiente para un espacio estándar sin elementos complicados en la fachada. En caso de que se incluyan venecianas, se debe considerar elevar este valor debido a que los rayos deben ser reflejados mayor número de veces para encontrar su salida del edificio.
ad División ambientalNúmero de rayos que son enviados hacia afuera de algún punto en la superficie durante el cálculo. Este parámetro requiere ser alto si la distribución luminosa en la escena tiene altas variaciones de brillo.
as Muestreo ambientalNúmero de rayos extra que son enviados fuera de las superficies muestra que tienen un alto brillo.
ar Resolución ambiental
aa Precisión ambientalLa combinación de estos parámetros con la máxima dimensión de la escena provee una medida de cuán fina se calculará la distribución luminosa en la escena.
5 Una descripción detallada de los parámetros se encuentra en http://radsite.lbl.gov/ radiance/man_html/rtrace.1.html
dt Umbral directoEsta opción desactiva la prueba de la fuente selectiva, es decir, durante un test de sombreado, cada fuente de luz será considerada igual.
ds Muestreo ambientalEste parámetro desactiva el umbral directo del submuestreo, es decir, sólo un rayo es enviado desde el centro de cada fuente de luz.
Tabla 1.4. Parámetros de simulación con Radiance.
Complejidad de la escena
Parámetros
Un espacio rodeado por una envolvente edilicia que consiste en elementos opacos, translúcidos o transparentes sin ningún sistema de iluminación natural complejo como venecianas o paneles cortados con láser. -ab 5 -ad 1000 -as 20 -aa 0.1 -ar 300 -dt 0 -ds 0
Un espacio con sistemas de iluminación natural complejos como superficies difusoras. -ab 7 -ad 1500 -as 100 -aa 01 -ar 300 -dt 0 -ds 0
Un espacio con sistemas de iluminación natural complejos como superficies altamente especulares.
Radiance requiere la construcción de un modelo 3D que incluya las características de los materiales y la geometría [83]. Para esto, se requiere un programa cad, entre los que figuran Ecotect, Autocad, Sketchup o Rhinoceros. En estos programas se prepara el escenario tridimensional y se exporta como archivo *.dxf que, posteriormente, se importará en Radiance para los cálculos lumínicos. Radiance no tiene una interface amigable por lo que se han desarrollado diferentes programas con este propósito. Entre éstos figuran Daysim y diva. Radiance es un programa con código abierto y puede ser descargado gratuitamente de la página oficial en http://radsite.lbl.gov/radiance/.
Daysim
Daysim [84] es un software de análisis de la luz natural que utiliza los algoritmos de Radiance para calcular eficientemente los perfiles anuales de iluminancias y luminancias interiores basándose en un archivo
Daysim puede realizar simulaciones estáticas y dinámicas, dependiendo de si considera una simple condición de cielo o una serie de condiciones. En el primer caso, los resultados se expresan como una imagen realística y en el segundo caso como un perfil anual de iluminancias. Este último consiste en un conjunto de valores de iluminancias medido en determinados puntos o sensores en un espacio del edificio y bajo un modelo de cielo específico. A partir del tratamiento estadístico de estos perfiles, se pueden calcular las métricas dinámicas (da, udi, sda y dav).
Radiance realiza simulaciones para una simple condición de cielo y ésta suele tomar horas; por tanto, una simulación anual con Daysim podría llegar a tomar literalmente un año de cálculos. Para mantener las simulaciones dentro de un tiempo relativamente corto, Daysim utiliza los algoritmos de Radiance, pero los acopla al enfoque de los coeficientes de luz natural (dc, daylight coefficient).
Coeficientes de luz natural: es un método para el cálculo de iluminancias de luz natural interior, debajo de condiciones arbitrarias de cielo. Este método divide hipotéticamente a la bóveda celeste en parches. Posteriormente, la contribución total de iluminancia en un punto en el edificio es calculada para cada parche individual del cielo (figura 1.27). Un dc (x) describe la iluminancia E (x) en el punto x en un edificio que es causada por el segmento S que está brillando con la luminancia normalizada L [78].

Donde x es un punto en el edificio, Sα es un segmento de cielo, ∆S α es el tamaño angular de Sα, Eα (x) es la iluminancia en x debido a S α y Lα es la luminancia de S α
Universidad de las Américas Puebla climático. Estos perfiles pueden ser acoplados con modelos del comportamiento de los usuarios para predecir indicadores o métricas del rendimiento de la luz natural, tales como la autonomía de luz natural y el consumo de energía vinculado a estrategias de control solar y de uso de iluminación artificial.

Figura 1.27.
Coeficiente de luz natural (dc) [82].
La ventaja de utilizar los dc es que una vez que son calculados para todos los segmentos del cielo y para los puntos de referencia en el edificio, las iluminancias y luminancias pueden ser calculadas rápidamente para cualquier posible condición de cielo. Esto último combinando los dc con la distribución luminosa del cielo. Las luminancias de los parches individuales para determinada condición de cielo pueden ser calculadas utilizando el modelo de cielo All-Weather. Los dc utilizados en Daysim han probado ser precisos para modelar las iluminancias interiores en oficinas a gran escala con sistemas de protección solar como venecianas. Una explicación más detallada de los dc puede encontrarse en Reinhart [82].
La filosofía detrás del cálculo de los dc en Daysim es reducir el número de trazado de rayos necesarios para calcular el conjunto completo de dc y modelar correctamente todos los rayos de luz que pueden contribuir al total de iluminancias en un punto. Para realizar esto, Daysim distingue entre las contribuciones de luz natural (figura 1.28 y figura 1.29):

Figura 1.28.
División de la bóveda celeste (vista desde arriba) y del terreno (visto desde abajo) en 145 dc difusos y en 3 dc de terreno, respectivamente [82].

Figura 1.29.
Ejemplo de posiciones horarias anuales del Sol; las cruces marcan las 65 posiciones representativas para una latitud determinada y para las cuales se calculan los dc directos; el cuadro encierra 4 posiciones representativas que corresponden a las posiciones reales del Sol a las 13:00 y 14:00 horas (tiempo solar) en junio y el 21 de abril/agosto [82].
• 145 segmentos de cielo que representan la luz difusa de la bóveda celeste.
• 3 segmentos que representan las reflexiones del suelo o terreno exterior.
• 65 posiciones representativas del Sol.
Daysim implementa un modelo de control del comportamiento del usuario llamado Lightswitch [85]. Este modelo puede ser utilizado para cuantificar el potencial de ahorro de energía de controles de iluminación automatizados, por ejemplo, un sensor de ocupación sobre un interruptor encendido/apagado (on/off) ubicado en la pared. Lightswitch combina los perfiles anuales de iluminancias y los perfiles de ocupación con patrones de comportamiento de usuarios basándose en estudios de campo realizados en edificios de occidente. Los datos de entrada son la descripción de los controles de iluminación (interruptor manual en la pared, sensores de ocupación, atenuadores, etcétera), los controles de cortinas o persianas (manual o automatizado) y el tipo de ocupante (consciente de la energía/activo o pasivo). Así, el modelo Lightswitch predice cuándo los usuarios bajarán las persianas en respuesta al deslumbramiento y cuándo apagarán la luz eléctrica en respuesta a la luz natural. Daysim puede descargarse gratuitamente en http://www.daysim.com.
diva
diva [86] es un plugin altamente optimizado para simulaciones de luz natural y para modelado de energía. Existen dos versiones, una vinculada dentro de la interfaz de Rhinoceros [87] y otra que se utiliza dentro de la interfaz de Grasshopper [88]. Esta vinculación con programas cad permite a diva tener la versatilidad para modelar la geometría del edificio y del contexto. diva utiliza Radiance y Daysim como motores de cálculo de la luz natural. Por tanto, se requiere la utilización de un archivo climático en formato epw para simular todas las condiciones anuales de sol y cielo.
Al igual que en Daysim, en diva se calculan los dc para las contribuciones difusas de luz natural, las reflexiones del terreno y la luz

Figura 1.30.
Visualización de iluminancias en el interior del espacio y según la posición solar, en fechas y horas específicas del año (21 de junio y 21 de diciembre a las 9:00 horas). Gráficos generados en diva para Grasshopper.
Consultar la versión a color en anexo 4.
solar directa. Por defecto, diva utiliza el modelo de cielo All-Weather para asignar los valores de luminancias a los 145 dc difusos; una interpolación para asignar los valores de luminancias a los 65 dc directos y el gen-daylit para los 3 dc del terreno. Asimismo, diva tiene la versatilidad de escoger entre otros modelos de cielo, normalizados por la cie. El resultado de los cálculos lumínicos origina los perfiles anuales de iluminancias, base para calcular las métricas dinámicas da, dav, udi, etc.
diva puede implementar controles de iluminación manuales o automatizados, con o sin sensores de ocupación y con o sin sistemas de protección solar dinámicos. Como resultado, diva genera calendarios horarios de iluminación y visualizaciones de falso-color de los calendarios. En su versión para Grasshoper, diva permite realizar visualizaciones, diagramas de soleamiento y animaciones (figura 1.30). Otra gran ventaja de diva es que incorpora algoritmos de cálculo energético directamente vinculados a EnergyPlus, software para el modelado de zonas térmicas.
La luz natural que entra en un espacio, a través de sus huecos, se compone tanto de radiación solar en el rango visible del espectro electromagnético como de radiación solar que se distribuye desde el rango infrarrojo hasta el ultravioleta. Por tanto, el concepto de iluminación natural no sólo influencia el uso de energía para la iluminación artificial, sino que también está fuertemente ligado al acondicionamiento térmico en los edificios. Esto se debe a que la luz natural siempre está acompañada de ganancias solares: el 46% de la radiación solar está en el rango infrarrojo, por encima de los 780 nm [41].
Usualmente, el objetivo en el diseño arquitectónico es admitir suficiente luz natural, pero al mismo tiempo evitar las ganancias solares, sobre todo en el periodo de refrigeración; esta aparente contradicción a menudo es resuelta utilizando la luz natural difusa y evitando la luz solar directa. Ésta última es reconocida como una fuente de calor y de deslumbramiento por lo que se recomienda utilizarla en espacios
Los conceptos de iluminación natural y climatización pueden ser compatibles a menos que las condiciones del entorno resulten desfavorables debido a un inadecuado diseño del edificio, por ejemplo, el sobredimensionamiento del acristalamiento en las fachadas. La forma y la construcción de los edificios tiene un efecto importante no sólo en el método que será adoptado para la climatización sino también por el consecuente uso de energía y emisiones de dióxido de carbono. Aunque existen diversas fuentes de calor dentro de un espacio (por ejemplo, la energía consumida por la iluminación eléctrica, el equipamiento y el calor de los ocupantes), el calor proveniente de la radiación solar que ingresa a través de los huecos (o acristalamientos) es, en muchos casos, la causa del exceso de temperatura en los espacios.
La transferencia global de energía a través del acristalamiento en un edificio se realiza de dos formas (figura 1.31):
• Transmitancia primaria. Ganancia solar directamente transmitida a través del acristalamiento.
• Transmitancia secundaria. Energía absorbida por el acristalamiento y, posteriormente, transferida al interior por convección y radiación.
Por tanto, en la transferencia total de energía ocurren tres mecanismos [90, 91]:
• Conducción. Flujo de calor a través de un material sólido, por contacto directo entre los cuerpos. El calor fluye desde un cuerpo de mayor temperatura a otro de menor temperatura que está en contacto con el primero. En la transferencia de calor a través de los acristalamientos, la conducción ocurre en-
de las Américas Puebla de trabajo, sólo si es bien distribuida y cuando no genera excesivos niveles de iluminancias [89].

Figura 1.31.
Ganancia de calor a través del acristalamiento.
tre el vidrio y el marco. El vidrio absorbe energía y aumenta su temperatura, generando flujos de calor en dirección normal de la superficie interior o exterior de la habitación y hacia el marco. De la misma forma ocurre cuando el marco aumenta su temperatura. La propiedad física de los materiales que determina su capacidad para conducir el calor es la conductividad térmica.
• Convección. Flujo de calor que ocurre cuando las moléculas de calor son transportadas físicamente mediante fluidos (líquidos o gases). Ocurre entre una superficie y un fluido en movimiento cuando están a diferentes temperaturas. La convección sucede entre el aire del ambiente y el acristalamiento. Las temperaturas del interior y exterior de una habitación se establecen como condiciones de prueba para evaluar un acristalamiento. Los coeficientes de transferencia de calor convectivos deben considerar la geometría de la superficie, la naturaleza del fluido (convección natural o forzada) y la variación de las propiedades termodinámicas del fluido. La convección forzada es causada por medios externos y la convección natural es causada únicamente por la diferencia de temperaturas en el fluido.
• Radiación. Transferencia de energía en forma de ondas electromagnéticas. La radiación solar que ingresa a través de los acristalamientos representa una ganancia de calor hacia el interior de la habitación. Cuando la radiación solar incide sobre un acristalamiento, una parte de esta energía se transmite, otra se absorbe y el resto se refleja. En el marco, parte de la energía se refleja y parte se absorbe calentando el marco y radiando la energía absorbida al interior y al exterior. La mayoría de los vidrios transmite fácilmente las longitudes de onda corta de la luz solar, entretanto, la mayoría de ellos bloquea la radiación de onda larga. Las superficies interiores del espacio que son alcanzadas por las ondas cortas se calientan y emiten calor en forma de radiación de onda larga. Estos intercambios radiantes se determinan por las características de emisión, absorción, transmisión y reflexión de los materiales en las diferentes longitudes de onda y ángulos de incidencia.
La cantidad de radiación solar que incide en un acristalamiento depende de las condiciones climáticas, la altura solar y la orientación e inclinación del vidriado. La pérdida o ganancia de calor a través de los acristalamientos, dependiendo del lugar, puede alcanzar hasta un 50% de la transmisión total del calor en el edificio [92]. En la mayoría de las aplicaciones de edificios en la vida real, el conocer los parámetros de transferencia de calor en acristalamientos permite realizar mejoras en los diseños de manera que se incremente el aislamiento, lo cual puede conducir a importantes ahorros de energía en climatización (figura 1.32). Los parámetros característicos para determinar el desempeño térmico de un acristalamiento son:
• Coeficiente de ganancia de calor solar (shgc, solar heat gains coefficient). Describe la transmisión total de la radiación solar a través del acristalamiento. Es la relación entre la transmitancia solar total (primaria más secundaria) que entra a través del vidriado y la radiación solar incidente en el exterior.
Universidad de las Américas Puebla

Figura 1.32.
Comparación entre las propiedades de dos tipos de acristalamientos.
shgc es expresado como un número entre 0 y 1. Mientras más bajo sea el shgc, menor será la ganancia de calor transmitida.
• Coeficiente global de transferencia de calor (factor U). Describe la razón de flujo de calor a través del acristalamiento. Su unidad de medida es W/m2K y representa el flujo de calor por cada metro cuadrado del vidriado por la diferencia de temperaturas del aire interior y el exterior de una edificación. Es útil para facilitar la comparación y clasificación de los componentes de edificios (muros, ventanas, puertas, domos, etc.).
Estos factores incluyen los procesos de transferencia de calor por conducción, convección y radiación dados por una serie de condiciones ambientales. Cuando incide radiación solar se considera el shgc y cuando no incide se considera U.
Los requerimientos actuales sobre el consumo energético de los edificios han incentivado el desarrollo de modelos matemáticos que describen los procesos dinámicos y físicos que intervienen en la interrelación edificio-entorno. Estos modelos matemáticos consisten
en programas de simulación computacional que modelan la interacción dinámica del calor, la luz y la masa en un edificio. Tales programas permiten predecir el comportamiento térmico de un edificio por su exposición a las condiciones climáticas, el impacto de la luz natural y artificial, los patrones de ventilación, la interacción de los usuarios y los sistemas activos de acondicionamiento para el confort visual y térmico [93].
El proceso de cálculo de estos programas está basado en la resolución ordenada de numerosas y complejas ecuaciones que describen, con una alta precisión, la transferencia de calor por conducción, convección y radiación. La radiación solar transmitida al interior de los espacios a través del acristalamiento es uno de los elementos que forma parte de las ecuaciones que describen el flujo de calor a través de la envolvente térmica y representa una carga de calor sensible, con efectos generalmente positivos en invierno y negativos en verano. Es, por tanto, uno de los factores que afectan el dimensionamiento de los sistemas activos de acondicionamiento térmico [91].
La determinación del calor que fluye a través de los acristalamientos se calcula en dos partes: transmisión primaria y transmisión secundaria. La primera está directamente relacionada con el efecto térmico de la componente directa de la luz solar. La segunda está relacionada con las propiedades de emisividad6 y absortancia7 de los materiales. Para evaluar el intercambio radiante entre el acristalamiento y las superficies interiores de un espacio, los programas generalmente asumen las siguientes simplificaciones [9]:
• Todas las superficies son grises, por lo que las propiedades de los materiales son independientes de la longitud de onda.
• Cada superficie difunde isotrópicamente la radiación infrarroja.
6 Emisividad: relación entre la radiación térmica (infrarroja) emitida por una superficie u objeto y la de un cuerpo negro a la misma temperatura. Cuanto más pequeño sea el valor de la emisividad en una escala de 0 a 1, mejor aislante por reflexión será. 7 Absortancia: relación entre el flujo de radiación absorbida por una superficie y la radiación total que incide sobre ella.
Universidad de las Américas Puebla
• La temperatura de cada superficie es uniforme salvo la superficie interior de la ventana.
• La energía incidente sobre cada superficie es uniforme.
Al considerar los cuerpos como superficies grises, se asume que la emisividad y la absortancia son iguales, por lo que la energía emitida por los elementos del entorno al llegar a un cuerpo, en parte se absorbe, otra parte se transmite y el resto se refleja, siendo la suma de esta terna de valores igual a la unidad. Aunque son independientes de la longitud de onda, los materiales se caracterizan por su comportamiento a onda corta y a onda larga, dando lugar a dos ternas de valores. Estos coeficientes determinan cómo se produce la transferencia de calor y la transferencia de luz a través de un material.
Entre las diferentes herramientas y programas de simulación que se han desarrollado destacan EnergyPlus y eQuest. Ambos han sido acreditados para su uso en el cálculo energético [57]. Estos programas se basan en una cierta metodología de cálculo e incorporan algoritmos únicos para convertir la ganancia instantánea del espacio en cargas de enfriamiento y calefacción. EnergyPlus utiliza el método de balance térmico que es más preciso que el método de la función de transferencia que utiliza eQuest [94]. Por otro lado, EnergyPlus permite a los usuarios controlar la absorción y emitancia solar, visible y térmica de cada superficie; mientras que eQuest utiliza modelos de intercambio radiante a través de coeficientes de radiación/convección. Asimismo, EnergyPlus permite modelar sistemas radiales de enfriamiento y calefacción, por lo que ofrece una mayor diversidad en sistemas de control solar para ventanas y lucernarios que eQuest. EnergyPlus también permite modelar sistemas hvac a través de plantillas y asistentes que simplifican el proceso; en cambio, eQuest no cuenta con modelos prediseñados. En resumen, EnergyPlus cuenta con ventajas considerables de implementar en los análisis energéticos.
EnergyPlus
Es un programa de simulación energética de los edificios que modela el consumo de energía para calefacción, enfriamiento, ventilación,
iluminación y otras cargas [95]. Contiene numerosas herramientas innovadoras que incluyen cálculos subhorarios, módulos configurables de sistemas de calefacción, ventilación y acondicionamiento térmico (hvac, heating, ventilation, and air conditioning). Además, cuenta con modelos de confort térmico basado en las actividades del usuario, temperatura, humedad, etc.; cálculo de fenestraciones controlables como cortinas, vidriados electrocrómicos; balance térmico capa por capa de la energía solar absorbida en los paneles de vidrio; controles de iluminación natural que incluyen cálculos de iluminancias interiores, simulación y control de deslumbramiento y luminarias y el efecto de la reducción de iluminación artificial en la calefacción y enfriamiento, y predicciones CO2, SOx, NOx y CO.
Ganancias y distribución solar
EnergyPlus [95] establece que la ganancia solar en cualquier superficie exterior es una combinación de la absorción de la radiación solar difusa y directa (figura 1.33), dada por:
Donde:
α = absortancia solar de la superficie
Ɵ = ángulo de incidencia de los rayos del Sol
S = área de la superficie
SS = área de la luz solar
Ib = intensidad de la radiación directa
Is = intensidad de la radiación difusa reflejada en el terreno
Fss = factor del ángulo entre la superficie y el cielo
Fsg = factor del ángulo entre la superficie y el terreno
Si la superficie Qso está sombreada, el programa modifica Fss mediante un factor de corrección que considera la distribución de la radiación del cielo, y Fsg no se calcula.
EnergyPlus [95] ofrece cinco formas para el cálculo de la radiación solar directa que ingresa a la zona desde los acristalamientos exteriores:
Universidad de las Américas Puebla
• Sombreado mínimo. En este caso no se considera el sombreado exterior excepto el de las ventanas y puertas. Se asume que toda la radiación solar que ingresa a la zona cae en el piso, donde es absorbida de acuerdo a la absortancia solar de este elemento. Las reflexiones del piso se suman a la radiación difusa transmitida, la cual es uniformemente distribuida en todas las superficies interiores.
• Exterior completo. En este caso se calculan patrones de sombras en superficies exteriores causados por dispositivos de sombreamiento, voladizos y salientes. La radiación solar que ingresa a la zona se trata igual que en el sombreado mínimo.
• Exterior completo con reflexiones. Esta modalidad es similar a la distribución interior del caso anterior con la diferencia de que en éste sí se consideran las reflexiones del exterior (provenientes de superficies de sombreado, edificios exteriores y el terreno) que alcanzan el edificio estudiado.
• Exterior e interior completo. Es similar al caso anterior con la diferencia de que no se asume que toda la radiación solar directa cae en el piso, sino que el programa calcula la cantidad de radiación que cae en cada superficie dentro de la zona, incluyendo pisos, paredes y ventanas. Esto mediante la proyección de los rayos del Sol que atraviesan los acristalamientos, considerando el efecto de las sombras producidas por superficies exteriores y dispositivos de protección solar. En esta modalidad, el programa calcula cuánta radiación cae en el acristalamiento (interior o exterior), cuánta es absorbida y cuánta es reflejada al interior de la zona, e incluso cuánta es transmitida a alguna zona adyacente o al exterior.
• Exterior e interior completo con reflexiones. Este caso utiliza la misma distribución interior que en la modalidad anterior. La diferencia es que además utiliza las reflexiones provenientes del exterior (de superficies de sombreado, edificios exteriores y el terreno) que alcanzan el edificio estudiado.

Figura 1.33.
Reflexión solar desde superficies de sombreado en EnergyPlus. Las flechas sólidas representan la radiación solar directa, las flechas punteadas representan la radiación solar difusa. a) Reflexión difusa de la radiación solar directa en un volado horizontal; b) reflexión difusa de la radiación solar del cielo, en un volado horizontal; c) reflexión especular directa-directa desde la fachada de un edificio altamente acristalado.
La radiación solar transmitida a través del sistema de capas de vidrios y la radiación solar absorbida en cada capa dependen de la transmitancia solar y de las propiedades de reflectancia y absortancia de cada capa individual. La radiación solar absorbida es calculada dentro del balance de calor que determina la temperatura de la superficie interior y, por tanto, la ganancia de calor en la zona desde el vidriado. La radiación solar transmitida es absorbida por las superficies interiores de la zona, lo que contribuye al balance de calor en la zona. De esta manera, la transmitancia visible del vidriado es un factor importante en el cálculo de las iluminancias de luz natural interior desde el vidriado. Para el cálculo de las cargas en el espacio, EnergyPlus desarrolla una metodología de simulación integrada que utiliza un programa de balance de masa y calor, que ha demostrado ser precisa en la predicción de la temperatura del espacio y las condiciones de confort [96].
La principal desventaja de EnergyPlus es que no puede describir con precisión el fenómeno de la transferencia de energía que ocu-
rre con geometrías complejas (sólo es válido para evaluar geometrías simples) [97]. Por otro lado, EnergyPlus es un programa basado en consola que está estructurado en series de datos de entrada y salida de textos. Viene con diferentes utilidades incluyendo un editor idf para crear archivos de entrada utilizando una simple hoja de cálculo como interfaz. Por tanto, puede ser poco amigable para los usuarios convencionales; por ello, se han desarrollado diferentes interfaces gráficas para facilitar su manejo. Entre éstas figuran DesignBuilder, OpenStudio y Archsim.
DesignBuilder
Incluye una interfaz cad muy básica, plantillas, herramientas y configuraciones de sistemas de aire compactos para realizar cálculos energéticos mediante el motor EnergyPlus [98]. El flujo de trabajo en DesignBuilder comienza con la selección de una localidad y su correspondiente archivo climático. Posteriormente, con la interfaz cad se crea la geometría de un modelo térmico específico para el edificio analizado. Esta geometría es necesaria para la simulación del rendimiento térmico, aunque también se pueden importar archivos dxf.
DesignBuilder provee una variedad de plantillas específicas para países o regiones que contienen una preselección de parámetros como los materiales y elementos constructivos. Además, las plantillas incluyen otros parámetros (también personalizables por el usuario) que incluyen cargas internas de ocupación y actividades, aberturas (ventanas y puertas), iluminación y sistemas hvac. Una vez que todos estos parámetros se han definido, el usuario puede realizar las simulaciones anuales y/o diarias. Incluso, uno puede validar la mayor parte del modelo térmico en referencia a códigos energéticos que se aplican en la localidad especificada para el edificio.
DesignBuilder incluye también una opción de evaluación de fachadas de geometrías simples, análisis de iluminación natural, visualización de planos del sitio y sistemas de sombreamiento, simulaciones térmicas de ventilación natural y cálculo de equipamiento y sistemas hvac. Cabe señalar que DesignBuilder no es una interfaz gratuita.
OpenStudio
Es otro plugin que utiliza el motor de cálculo EnergyPlus. Fue desarrollado para el programa Sketch Up, por el Laboratorio Nacional de Energía Renovable del Departamento de Energía de ee. uu. [99].
OpenStudio permite crear y editar la geometría de los edificios para posteriormente importarlos en EnergyPlus. Además, permite visualizar los resultados en la interfaz del programa Sketch Up 3D. Las habilidades de OpenStudio son: crear y editar zonas y superficies de EnergyPlus, realizar las simulaciones energéticas dentro de la interfaz de Sketch Up, combinar las condiciones de las superficies interzonales, añadir cargas internas y aire exterior en los cálculos, calcular los sistemas ideales hvac, establecer y cambiar las características constructivas y calcular controles de luz natural y mapas de iluminancias. OpenStudio está disponible gratuitamente.
Archsim
Desde la creación de Grasshopper se han habilitado muchos scripts que permiten la integración de herramientas de simulación con diferentes aspectos del rendimiento de los edificios, tales como la geometría, estructura, aspectos térmicos y luz natural. Un ejemplo de estos scripts es Archsim Energy Modelling [100], un plugin que ofrece las simulaciones energéticas de EnergyPlus dentro de Rhinoceros/Grasshopper y por tanto, vincula las simulaciones energéticas de EnergyPlus con el ambiente de modelado cad y el diseño paramétrico. De esta manera, los análisis térmicos pueden ser accesibles a un amplio rango de usuarios. Archsim permite crear, sin mucho esfuerzo, complejos modelos energéticos multizonales, simularlos y visualizar sus resultados dentro de la misma interfaz de Grasshopper. El plugin utiliza archivos nativos idf que son completamente personalizables en el nivel de interfaz, pero no aplica ningún pre o post procesado sobre los algoritmos o el motor de simulación EnergyPlus. Por tanto, las validaciones científicas realizadas para EnergyPlus permanecen válidas para la interfaz Archsim.
Archsim soporta análisis avanzados de iluminación natural y control solar, módulos de ventilación, cálculo de sistemas hvac. El plugin
es típicamente utilizado en la exploración de las etapas iniciales del diseño donde la forma, la proporción ventana-muro, la fachada, los sistemas de vidriados y el potencial de los sistemas de control solar y ventilación natural son probados y evaluados respecto a su impacto en el rendimiento energético y el confort en los edificios. Mediante Archsim, los datos de entrada, la geometría del modelo, los materiales, las construcciones y los perfiles de uso de las zonas son completamente paramétricos y pueden ser acoplados con algoritmos de optimización de Grasshopper. El programa es una herramienta reciente y gratuita que está en continuo desarrollo por lo que nuevos componentes son añadidos frecuentemente. En su última actualización, Archsim fue directamente vinculado dentro de diva-for-Grasshopper.

La luz natural fue utilizada durante siglos como la fuente primaria de iluminación en los edificios. En la antigüedad, la arquitectura estuvo vinculada a la luz natural principalmente por motivos religiosos. Durante el mundo clásico, la luz fue empleada como un medio para embellecer y destacar las formas y las proporciones de la arquitectura, obviando en muchos casos el carácter funcional de la iluminación natural. Más adelante, las innovaciones técnicas y constructivas del gótico permitieron que los edificios fueran diseñados para propiciar una mayor penetración de la luz natural en los interiores, consiguiendo espacios de gran luminosidad. Hasta entonces, la luz natural tuvo un significado religioso y fue entendida como la sublimación de la divinidad.
En el Renacimiento, el arquitecto se alejó del teocentrismo e hizo del hombre el protagonista. Esto provocó que la arquitectura se acercara más a la calidad de la luz como medio de iluminación de los espacios que a su significado religioso. Numerosas ventanas fueron una característica dominante en la arquitectura renacentista. En los textos de arquitectura comenzaron a surgir estudios acerca de la iluminación de las estancias, la proporción de las ventanas y las dimen-
| Imagen recuperada de: https://www.denverpost.com/

Figura 2.1.
El Panteón romano se ilumina sutilmente desde el óculo. Se caracteriza por una iluminación natural constantemente variable, según el movimiento del sol.
Consultar la versión a color en anexo 4.

Figura 2.2.
Las ventanas del Renacimiento se caracterizaron por barras y paneles de vidrio, a veces coloreados. Casa de Matías Hansen y Castillo de Rosenburg, ambos en Copenague, Dinamarca [101].
Consultar la versión a color en anexo 4.
Las ventanas en las fachadas fueron muy comunes en regiones con climas nublados, como Inglaterra. El aumento en el tamaño de las ventanas fue tan llamativo en este país que la frase «más ventanas que paredes» fue muy popular. Aunque las fachadas de los palacios renacentistas del sur fueron diseñadas para dar la impresión de grandes estructuras masivas, las plantas en forma de E y H proveyeron ventilación e iluminación natural. Este tipo de plantas fue bastante utilizado hasta el siglo xx [102]. Estos edificios y sus voladizos no fueron mayores que 18 metros de profundidad por lo que ningún punto en el interior estuvo a más de 9 metros de las ventanas. Los elevados techos junto con las ventanas altas permitieron que la luz natural entrase hasta los 9 metros en estos espacios. Hasta el siglo xv, el costo real de la iluminación artificial era bastante elevado y se hacía mediante lámparas de bronce o arcilla, con aceite de oliva u otros vegetales como combustible y con ciertos agregados de elementos reflectores para mejorar el aprovechamiento de la luz producida.
Durante los años previos a la industrialización, los requerimientos de los edificios fueron más relativos a la protección. La mayor parte del trabajo era realizado en los exteriores por lo que las ventanas de los edificios fueron usadas mayormente para ventilación. Ellas consistían únicamente de barras verticales y fueron limitadas en tamaño por motivos de seguridad. Aunque el vidrio surgió en el siglo xii, éste sólo habría sido utilizado en los edificios religiosos. Gradualmente, su costo disminuyó por lo que las clases medias comenzaron a adoptarlo en sus edificios, consiguiendo aumentar el tamaño de las ventanas. A la par, ciertas actividades de interior (por ejemplo, escribir y pintar) comenzaron a requerir iluminación por lo que la luz natural habría sido el principal medio.
La industrialización trajo consigo grandes avances en los materiales constructivos (vidrio y metal), pero también un cambio importante en el trabajo práctico que movió gran cantidad de la población del campo a las ciudades, donde el trabajo en los interiores predominó por sobre el trabajo en el exterior. La invención de la lámpara incan-
Universidad de las Américas Puebla siones adecuadas de los espacios. La funcionalidad de la luz natural para los fines del hombre fue parte importante durante esta época.

Figura 2.3.
Lámpara incandescente con filamento de carbón. Consultar la versión a color en anexo 4.

Figura 2.4.
Entrada principal del Palacio de Cristal en el Hyde Park, Londres, para la Exhibición Internacional de 1851.
descente en el siglo xix fue un gran avance y significó la imposición de la luz eléctrica [103]. Gradualmente, la iluminación natural de los edificios dejó de tener relevancia, aunque se mantuvieron ciertos requerimientos como los edificios angostos, limitaciones en la profundidad de los espacios y el uso de la iluminación cenital.
Durante el siglo xix, los edificios altamente acristalados llegaron a ser posibles debido al incremento en la disponibilidad de los vidrios combinado con las innovaciones constructivas que utilizaron hierro en sus estructuras. El Palacio de Cristal de Paxton es el ejemplo más famoso [102]. Fue una edificación construida en hierro fundido y vidrio, en el Hyde Park, en Londres, con motivo de la Gran Exposición Mundial de 1851. Su innovador diseño y los efectos visuales de sus grandes paredes de cristal causaron gran impresión y lo convirtieron en un símbolo popular de modernidad. En este contexto, grandes ciudades como Nueva York comenzaron a promulgar códigos de zonificación para los niveles mínimos de iluminación natural. En Inglaterra, en cambio, las leyes que trataron de garantizar el acceso a la luz natural se remontan desde el año 1189.
En el siglo xx, la arquitectura implementó el uso de la luz natural principalmente por sus propósitos escénicos, aunque también por su funcionalidad. Numerosos ejemplos de edificios construidos en esta época muestran cuán importante fue el papel de la luz natural en la arquitectura. El Museo Guggenheim de Frank Lloyd Wright, en Nueva York, utilizó la luz natural para iluminar las obras de arte, mediante la iluminación indirecta y la proveniente de ventanas lineales en los muros y de los domos de vidrio. De manera similar, en el edificio administrativo Johnson Wax, en Wisconsin, el arquitecto consiguió utilizar la luz natural mediante claraboyas. Le Corbusier creó efectos dramáticos con ventanas abocinadas y torres de luz en la capilla Ronchamp, al sureste de París. Eero Saarinen utilizó la luz natural de una forma fascinante en la capilla mit, en Cambridge, Massachusetts, mediante una claraboya sobre el altar.
No obstante, hasta mediados del siglo xx, no existía método que cuantificara la iluminación natural, dada la enorme variabilidad de la luz del cielo y la complejidad de su cálculo. El desarrollo de la lámpara

Figura 2.5.
Museo Guggenheim, Nueva York. Luz cenital para iluminación natural. Consultar la versión a color en anexo 4.
fluorescente en 1939 significó un gran incremento en la eficiencia en iluminación. Esto favoreció la construcción de edificios no residenciales con mayor profundidad y el uso de vidrios tintados en las fachadas para evitar los problemas de ganancias solares excesivas. Entonces, el diseño de la iluminación natural fue desvalorizado y pasó a ser secundario en una arquitectura que comenzó a incorporar las nuevas tecnologías de iluminación artificial. La cantidad de fuentes luminosas de diversos tipos se vio enormemente incrementada durante el siglo xx. La aparición de las lámparas de vapor de mercurio alrededor de 1930, la introducción de las lámparas de tungsteno halogenado en la década de los cincuenta, la aparición de las lámparas de sodio de alta presión y las de halogenuros metálicos en los años sesenta hasta la introducción de las lámparas fluorescentes compactas en la década de los setenta. Con la crisis del petróleo en 1973, se cuestionó la dependencia energética, afectando al sector de la edificación. A raíz de esto, se puso énfasis en contrarrestar el incremento vertiginoso en el consumo energético que se atribuye a las prácticas de confort en los edificios que han potenciado el uso de diferentes sistemas de acondicio-
namiento artificial para forzar las condiciones del ambiente interior y así suministrar ventilación, controlar la temperatura interior y proveer de iluminación artificial. A esto, se suma que las personas permanecen alrededor del 80% del tiempo dentro de los edificios, tiempo durante el cual se les debe proveer de un ambiente interior confortable. Esta situación dejó clara la necesidad del ahorro energético y la reducción de los gases de efecto invernadero, y puso énfasis en el aprovechamiento de las energías renovables.
En este contexto de preocupación global sobre las emisiones de carbono, el calentamiento global y el diseño sostenible, la luz natural reemerge como una estrategia importante para mejorar la eficiencia energética en la iluminación de interiores en la medida en que permite reducir el uso de la luz eléctrica y la climatización artificial. Nuevamente se enfatiza la importancia de la utilización correcta y planificada de la luz natural. No obstante, se detectan ciertas limitantes para que la luz natural pueda ser aprovechada en su totalidad en los proyectos. Entre éstas, la complejidad que representaba predecir y calcular correctamente la luz natural de los espacios desde las etapas iniciales del proyecto. Esto se atribuye a su constante dinamismo a través de las horas, los días y las estaciones, particularidad que hacía más difícil realizar los estudios. Asimismo, la falta de métodos adecuados de análisis que permitan evaluar cómo y cuánto de la luz natural puede ser aprovechada en un espacio.
Durante los últimos veinte años se ha conseguido avanzar en el desarrollo de indicadores de la disponibilidad de luz natural en los espacios que consideren su variabilidad anual; asimismo, en la creación de diferentes programas y herramientas computacionales para su cálculo. No obstante, su aplicación es aún poco conocida y hace falta formación en la materia. Esto se puede atribuir a la complejidad del proceso proyectual, especialmente cuando existen escasas normativas que justifiquen la inversión de tiempo y que usualmente no se señalan mínimos de iluminación natural a alcanzar [59]. Asociado a los beneficios en el campo energético, estudios recientes han puesto especial atención en los beneficios fisiológicos y psicológicos del ser humano frente a la luz natural en los espacios de interior, haciendo más evi-

Figura 2.6.
Evolución de las fuentes luminosas desde su aparición hasta la actualidad, en conjunto con el desarrollo de los principales modelos, métodos e indicadores de iluminación natural.
dente la necesidad de profundizar en este campo del conocimiento. En suma, es necesario desarrollar metodologías de análisis y criterios de evaluación que utilicen las nuevas herramientas informáticas en pro de un mayor aprovechamiento de la luz natural en los proyectos arquitectónicos.
La iluminación natural consiste en admitirla en el interior de los edificios de una manera controlada. Por un lado, es necesario proporcionar adecuada iluminación en cuanto a calidad y cantidad se refiere. Esto permitirá que los usuarios desarrollen sus actividades y tareas visuales de manera confortable, y que la iluminación responda a otras cuestiones como las estéticas, simbólicas y expresivas. Por otro lado, es necesario moderar la luz solar directa que ingresa a los espacios, ya que ella puede implicar deslumbramiento y ganancias de calor excesivas.
A través de los años, y mayormente como resultado de la experiencia, se han planteado ciertas estrategias que pueden guiar a arquitectos y diseñadores hacia un correcto diseño de la iluminación natural. La luz natural debe integrarse en el diseño arquitectónico y de interior desde las etapas conceptuales del proyecto; no debiera resolverse de manera independiente ni dejarse para etapas avanzadas cuando el proyecto ya ha sido definido, haciendo complicada la integración de las estrategias. El caudal potencial de este recurso natural sólo será aprovechado cuando el edificio cuente con los recursos y estrategias necesarias, y cuando la sustitución de la luz eléctrica por la natural sea realizada [104]. De allí la conveniencia de identificar los factores determinantes del potencial de aprovechamiento de la luz natural en los proyectos (figura 2.7):
• La cantidad de luz natural disponible en el sitio de emplazamiento del edificio, dependiente de factores geográficos, climáticos, estacionales y atmosféricos. Estos factores no son modificables a la hora de diseñar los edificios. Por tanto, es necesaria su consideración en la evaluación del potencial de la luz natural. Actualmente es posible cuantificar su constante variabilidad mediante la utilización de los archivos de climas locales en las predicciones. De esta manera, los cálculos lumínicos pueden considerar todas las condiciones particulares del cielo, la distribución luminosa de la bóveda celeste y las

Figura 2.7.
Factores para el aprovechamiento de la luz natural en los edificios.
Consultar la versión a color en anexo 4.
intensidades de la radiación solar que varían según la localización geográfica y las diferentes inclinaciones del Sol a través de las horas y las estaciones.
• La cantidad de luz natural que es admitida al interior del edificio, dependiente de su orientación y entorno. El diseño de la forma y dimensiones del edifico influye en las aportaciones de la luz natural. Las superficies exteriores de los edificios y sus colores actúan reflejando la luz entre ellas. La luz incidente en las fachadas que es reflejada en el suelo es especialmente importante en días con cielos totalmente descubiertos. La geometría de los locales interiores, las características de los huecos y las propiedades ópticas de las superficies del espacio.
Todas estas propiedades del edificio en la admisión de la luz natural desde el exterior son modificables en la etapa de diseño, principalmente en las etapas iniciales donde el diseñador todavía tiene la libertad de elegir la mejor solución posible entre un número casi ilimitado de posibilidades.
A continuación, se describen un conjunto de estrategias para favorecer el ingreso de la luz natural de manera satisfactoria en los espacios interiores.

Figura 2.8.
Orientación de los edificios para que la mayoría de los espacios interiores tengan acceso a la luz natural.
La orientación de los edificios permite optimizar el acceso a la luz natural y controlar las ganancias solares inherentes a la trayectoria e incidencia solar. Por tanto, se debe procurar una orientación favorable de los edificios y de sus vanos (figura 2.8). Es recomendable que las fachadas principales del edificio estén orientadas norte-sur. En cambio, no es recomendable orientarlas hacia el este-oeste, ya que la incidencia solar es más difícil de controlar.
Cuando se consideran orientaciones diferentes a los puntos cardinales, es importante identificar el eje longitudinal o eje mayor de los edificios. Partiendo del mejor de los casos, coincidir el eje mayor de los edificios con el eje este-oeste nos permite tener el máximo acceso al Sol para los periodos fríos del año. En el caso contrario, orientar el eje mayor de los edificios sobre el eje norte-sur no es recomendable. Por tanto, orientar las edificaciones sobre los ejes noreste-suroeste y noroeste-sureste puede ser aceptable o desaconsejable según el diagrama de recomendación de orientaciones para el hemisferio norte (figura 2.9).

Figura 2.9.
Diagrama de orientaciones recomendables y no recomendables para el eje de edificaciones en el hemisferio norte [105].
Consultar la versión a color en anexo 4.
La forma y dimensiones del edificio influyen considerablemente en el aprovechamiento de la luz natural para la iluminación interior. Su diseño es un factor determinante que puede o no favorecer el ingreso de la luz natural a la mayoría de los espacios interiores (figura 2.10). La forma y volumetría de un edificio deben diseñarse según el clima del sitio de emplazamiento.
El factor de forma permite establecer una relación entre la superficie envolvente del edificio con el volumen envuelto en su interior (figura 2.11) [106]. Un factor de forma bajo significa que el edificio tiene menos pérdidas. A menor superficie de la envolvente, menores pérdidas de calor. A menor volumen, mayor factor de forma. En climas cálidos, se recomienda aumentar el factor de forma. Cuando la modificación de la forma está condicionada al programa o al sitio, se debe

Figura 2.10.
Forma y dimensiones del edificio para favorecer el ingreso de la luz natural a la mayoría de sus espacios. Los ejes son referencias para zonificar espacios de áreas similares.

Figura 2.11.
Ejemplo del cálculo del factor de forma de los edificios.
prestar mayor atención a la calidad de la envolvente (climas cálidos) y al control de la radiación solar (aprovechándola en climas fríos y evitándola en climas cálidos).
La organización de los espacios en el interior de un edificio debe considerar las necesidades de acondicionamiento térmico e iluminación natural, además de los horarios de ocupación, los usos y las costumbres de los habitantes. Aquellos espacios donde se permanece más tiempo deben priorizarse para conseguir un correcto asoleamiento.
En las residencias, por ejemplo, los espacios deben seguir las siguientes recomendaciones (figura 2.12):
• Las recámaras requieren una mayor incidencia solar durante las mañanas para un despertar confortable que active los ritmos circadianos; orientaciones este y sureste son recomendables.
• La cocina, en cambio, es un espacio que genera calor por los electrodomésticos y aparatos utilizados en ella, por tanto, orientarla hacia el norte y este puede ser lo más favorable para evitar la rápida descomposición de los alimentos y para reducir el consumo de energía.
• Las áreas sociales y de circulación pueden destinarse hacia el sur, este y oeste, pues son espacios caracterizados por requerir luz a lo largo del día; se puede utilizar vegetación para evitar exceso de radiación solar directa.
• Las áreas de servicio, como bodegas y cocheras, pueden orientarse al norte pues son lugares con muy pocas horas de ocupación, además que las temperaturas frescas favorecen la conservación de los objetos almacenados.
• Los baños en climas cálidos pueden orientarse hacia el norte para evitar que la humedad sea sofocante; en climas fríos, en cambio, orientarlos hacia el sur o sureste favorecerá un clima interior más confortable.
• Los accesos deben protegerse de las temperaturas exteriores y del viento, sobre todo durante los meses de invierno, en climas fríos y templados. Para esto, es recomendable utilizar vestíbulos como zonas de transición para evitar excesivas pér-

Figura 2.12.
Distribución de espacios en zonas templadas (latitud 19° norte). Esta es una sugerencia: siempre se deben priorizar los espacios en los que los usuarios de la edificación vayan a pasar la mayor parte del día de acuerdo a su estilo de vida y actividades.
Consultar la versión a color en anexo 4.
didas de calor. Además, en climas lluviosos proveen protección previa al ingreso a las residencias.
• En todos los casos se deben establecer prioridades de acuerdo a la orientación del terreno y los espacios en que los usuarios de la edificación vayan a pasar la mayor parte del día de acuerdo a su estilo de vida y de actividades.
• Se debe privilegiar la orientación de los espacios más utilizados, asignándoles las mejores vistas y el asoleamiento más adecuado.
La iluminación lateral de un edificio establece un límite de profundidad para que su interior pueda ser iluminado satisfactoriamente durante el día [107].
• Si la iluminación natural de un edificio es unilateral, la profundidad del espacio L no debe exceder un límite dado por:

Donde W es el ancho del espacio, Hw es la altura de la parte superior de la ventana y Rb es la reflectancia promedio de las superficies en la mitad posterior del espacio (figura 2.13). Si L excede este valor, la mitad posterior del espacio parecerá sombrío y se necesitará iluminación eléctrica complementaria [107].
• Si la iluminación natural proviene de aberturas situadas en lados opuestos del edificio (figura 2.14), la profundidad máxima que puede ser iluminada con luz natural de modo efectivo es dos veces la profundidad límite de la sala L, desde la pared de una abertura a la pared de la otra abertura [107].
• La iluminación cenital se desarrolló con la finalidad de introducir mayores niveles de iluminación natural en espacios con mayor profundidad. Claraboyas, lucernarios y cúpulas son ejemplos de iluminación cenital (figura 2.15). Este tipo de iluminación natural se utiliza generalmente en localidades con predominio de cielos nublados.
• Existen diferentes esquemas de aberturas (figuras 2.16, 2.17 y 2.18) para lograr iluminación cenital o iluminación combinada (cenital y a través de ventanas) en los edificios, según la altura del espacio interior [23].
• El espacio entre claraboyas pequeñas (<2.75 m2) no debe exceder la altura del espacio (H); el espacio entre claraboyas grandes (>2.75 m2) no debe exceder dos veces la altura (2H) [108].

Figura 2.13
Límite de la profundidad del espacio en espacios con iluminación natural unilateral.

Figura 2.14.
Límite de la profundidad del espacio en espacios con iluminación natural bilateral.

Figura 2.15. Componentes para iluminación cenital.

Figura 2.16. Esquemas de iluminación cenital para edificios sin aberturas verticales.

Figura 2.17. Esquemas de iluminación cenital combinada: lucernarios y ventanas.

Figura 2.18.
Esquemas de iluminación cenital combinada.
Línea sin cielo
La línea sin cielo es aquélla a partir de la cual no se recibe luz del cielo directa; si un área significativa del plano de trabajo se encuentra más allá de esta línea, la distribución de la luz natural en el espacio será escasa y se requerirá iluminación artificial suplementaria [107]. Los puntos claves para trazar la línea sin cielo son la parte superior de la ventana y el borde superior del edificio u obstrucción exterior más cercano (figura 2.19). Antes de la construcción del edificio, la posición de la línea sin cielo puede ajustarse subiendo la parte superior de la ventana o ajustando la distancia de separación de la fachada del edificio a la obstrucción exterior.
Componentes de captación y distribución de la luz natural
Los estantes de luz, difusores, lumiductos, atrios y galerías son ejemplos de elementos arquitectónicos que pueden ser empleados para aprovechar la luz natural en los edificios. Éstos se describen a continuación.

Figura 2.19.
Línea sin cielo.

Figura 2.20.
Iluminación natural a través de una ventana, con y sin estante de luz.
Estante de luz
Consiste en una bandeja de material reflectivo que se implementa en la parte superior de las ventanas con la finalidad de redireccionar la luz solar directa que incide sobre su superficie hacia el cielo raso en el espacio interior. Su principal ventaja es que permite aumentar la profundidad de penetración de la luz natural, hasta 2.5 veces su altura de colocación (figura 2.20). De esta manera, permite disminuir el deslumbramiento y las molestias visuales en las zonas de trabajo cercanas a las ventanas. Son recomendables hacia el sur; en cambio, al norte no producen beneficios notorios.

Figura 2.21.
Iluminación natural a través de una ventana, con y sin difusores de luz.

Figura 2.22.
Ejemplo de aplicación de lumiducto.
Difusores de luz
Conjunto de bandejas implementadas en el interior de los espacios para difundir la luz solar directa que proviene de las ventanas (figura 2.21). Las ventajas de utilizarlas son similares a las de los estantes de luz.
Lumiducto
Son captadores de luz solar utilizados en espacios que no tienen posibilidad de abrir vanos hacia el exterior, o simplemente cuando se requiere incrementar los niveles de iluminación difusa en el interior. Consisten en un colector de luz que recibe los rayos solares, un ducto que conduce la luz por reflexiones en su cuerpo interior hasta el espacio interior, y un emisor/difusor de luz en los espacios interiores (figura 2.22).
Atrios
Existen ciertos espacios arquitectónicos que, por sus características constitutivas, favorecen el ingreso de la luz natural, no sólo a su interior sino también a los espacios aledaños. Los atrios, por ejemplo, son espacios cerrados lateralmente por los muros de un edificio; sin embargo, su cubierta con materiales transparentes o translúcidos permite la iluminación natural. Son similares a los patios interiores o claustros que permiten la distribución de la luz natural en los espacios contiguos o circundantes que no tienen acceso a la iluminación.
• Para iluminar todos los espacios contiguos a un atrio interior, la altura (H) máxima del atrio no debe exceder 2.5 veces su ancho (W) (figura 2.23):

Galerías
Las galerías son espacios cubiertos adosados a un edificio; se caracterizan por abrirse hacia el exterior completa o parcialmente con acristalamientos que permiten introducir luz natural a su interior y al interior del edificio.
Escuela de Artes y Humanidades

Figura 2.23.
Estrategia para dimensionar atrios que permitan la iluminación natural en los espacios contiguos.
Nuevos materiales
En la actualidad, existen diferentes tipos de acristalamientos que han sido diseñados para redirigir la luz al interior. Por ejemplo, los vidrios prismáticos utilizan el efecto de un prisma que refracta la luz al interior del espacio. Su principio básico es el mismo que el de un estante de luz. Los vidrios con control solar permiten filtrar el calor de la luz solar mientras minimizan la pérdida de luz natural. Los muros y techos de materiales translúcidos que cierran los paramentos verticales u horizontales de un espacio permiten la penetración lateral o superior de la luz y la difunden al interior.

La ventana es un elemento arquitectónico que se ubica en el paramento vertical (o inclinado) de un edificio. Entre sus principales funciones podemos destacar las siguientes [109]:
• Entrada de luz natural. La ventana tiene la función de permitir el paso lateral de la luz natural desde el ambiente exterior hacia el interior de los edificios. Debido a su ubicación lateral, el nivel de iluminación en el interior es mayor en la zona cercana a la ventana y disminuye rápidamente conforme aumenta la distancia a ésta. Por ello se recomienda ubicar la ventana en una posición alta y dimensionarla adecuadamente. La reducción de la altura de la ventana restringe la profundidad de penetración de la luz natural (figura 3.1). Estudios realizados indican que las personas muestran una marcada preferencia en el uso de la luz natural sobre la artificial, siempre y cuando no se produzca disminución en el confort visual o térmico. En este sentido, es importante considerar la incidencia solar directa pues, aunque puede aportar mayor dinamismo en intensidad, patrones de luz, color y sombra, también puede incrementar los niveles de iluminación ocasionando problemas de deslumbramiento y sobrecalentamiento. La latitud es una característica importante de estudiar para poder controlar la luz solar directa.
| Imagen recuperada de: http://www.dinocro.info

Figura 3.1.
Iluminación lateral a través de ventanas.
• Vistas y relación con el mundo exterior. Las ventanas permiten que las personas perciban el ambiente exterior y los cambios dinámicos de la luz. Estos últimos son ocasionados por las variaciones en la intensidad y color de la luz a través de las horas, las estaciones y la fuente luminosa, que en algunos casos puede ser el cielo y en otros el Sol. En este aspecto, el tamaño de la ventana y la altura de su antepecho son muy importantes, pues mientras más baja esté situada, más favorablemente permitirá las vistas al exterior. Además, en el aspecto fisiológico, la posibilidad de tener vistas lejanas satisface la necesidad del ojo para cambiar de foco. Las cuestiones de privacidad deben balancearse al momento de considerar las visuales al exterior.
• Ventilación. Otra función de la ventana es proporcionar aire fresco, saludable y confortable (figura 3.2). Asimismo, contribuir con la eliminación del exceso de calor para impedir el sobrecalentamiento. En este sentido, la posición y orientación de la ventana es más importante que el tamaño.
• Intercambio acústico. El ruido que transmite una ventana puede llegar a ser un problema en determinados ambientes. Por ello y de acuerdo a las necesidades de aislación acústica, se puede implementar el uso de vidrios dobles, triples o inclusive tratamientos que maximizan las propiedades materiales de absorber o reflejar las ondas sonoras que se generan en el ambiente.

Figura 3.2
Ventilación natural.
• Seguridad. Las ventanas pueden tener requerimientos específicos en cuanto a su resistencia al impacto. Esto depende del uso y localización del edificio, así como también de otros factores como la posibilidad de huracanes, el peso de la nieve, posibilidad de robos, etc.
Una ventana puede ser caracterizada según su tamaño, forma, posición y orientación [110]. Estos parámetros de diseño son comúnmente especificados durante las fases de diseño arquitectónico. Por ello es importante conocer cómo afectan las condiciones de iluminación natural.
Este parámetro hace referencia a la disposición de las ventanas respecto a la orientación geográfica. A continuación, se resumen las principales ventajas e inconvenientes de la elección de una u otra orientación (tabla 3.1).
Tabla 3.1. Ventajas e inconvenientes en la elección de la orientación de la abertura en el hemisferio norte.
Orientación
Ventajas
Sur Es la orientación más adecuada. Recibe luz solar con bastante regularidad a lo largo del día y del año. Esta luz es especialmente bien recibida en invierno, cuando se agradece el calor que aporta. Los mecanismos de control solar son también más efectivos en esta orientación. Proporcionan niveles luminosos elevados y prácticamente constantes, elevada ganancia de energía en invierno y media en verano.
Este-oeste Proporciona niveles de iluminación medios pero variables a lo largo del día. Elevada ganancia de energía en verano y baja en invierno.
Inconvenientes
En verano, esta luz puede ser un inconveniente por las ganancias solares; sobre todo en los climas cálidos.
Norte Es la segunda orientación más adecuada. Aun si la luz del norte es bastante baja, su calidad es alta, siempre que la luz blanca y fría resulte aceptable. No origina muchos problemas de deslumbramiento por luz solar directa. En climas calurosos la orientación norte puede ser preferible a la sur.
Tamaño
Recibe luz solar sólo durante la mitad del día y además la luz es máxima en verano. La altura del Sol del levante y poniente crea problemas de deslumbramiento y dificultades para conseguir la protección.
Proporciona niveles de iluminación bajos pero constantes a lo largo del día. Escasa ganancia de energía.
Las ventanas se pueden clasificar en diferentes tamaños según diferentes criterios. Dependiendo de la relación entre la superficie de la ventana y el área interior que puede ser iluminada por ésta (muros, techos y suelos), las ventanas pueden clasificarse de la siguiente manera:
• Muy baja fenestración: menor del 1%
• Fenestración baja: 1-4%
• Fenestración media: 4-10%
• Alta fenestración: 10-25%
• Muy alta fenestración: mayor al 25%
El nivel de fenestración evalúa la cantidad y la calidad de la distribución de la luz. Bajos y muy bajos niveles de fenestración pueden disminuir considerablemente los niveles de iluminación, especialmente bajo cielos cubiertos, ambientes contaminados o edificios muy obstruidos. Por el contrario, altos y muy altos niveles de fenestración pueden causar deslumbramiento.
Otra forma de referirse al tamaño de las ventanas es mediante el porcentaje de su superficie comparándola con el área de la superficie de otro elemento del espacio. Al respecto, las normas inglesas bs 8206 [56] establecen como superficie máxima de ventanas el 22.5%.
Esto, con respecto a la superficie del piso y considerando vidrios dobles tanto en ventanas y puertas, como en aberturas en techos. En caso de que los vidriados sean de muy baja transmitancia, el porcentaje puede ser del 26%. En caso de sólo considerar el área de vidriado claro doble en ventanas, se establecen tres criterios:
• 10% de la superficie del piso.
• 20% de la superficie del muro que la contiene.
• Una trigésima parte del área de las superficies internas (techo, paredes –incluyendo ventanas– y pisos).
La tabla 3.2 muestra una comparativa de estos tres criterios para identificar cuál es el que da una mejor provisión de la luz natural. Como se observa, los tres criterios arrojan tamaños de ventana muy diferentes. El criterio 1 aumenta considerablemente el tamaño de la ventana conforme se incrementa la profundidad del espacio. El segundo criterio genera muy poca superficie vidriada para los espacios profundos. El tercer criterio está condicionado a la distribución de las divisiones internas del espacio.
Tabla 3.2. Comparativa del porcentaje de ventana, según tres criterios diferentes.
La tabla 3.3 resume otras recomendaciones internacionales sobre el tamaño de la ventana, específicas según el uso de los edificios:
Tabla 3.3. Áreas máximas de ventanas de doble vidrio, incluyendo puertas y aberturas en techos [111].
Tipo de edificio
Residencias, hoteles y edificios institucionales 30%
Oficinas y tiendas 40%
Industrias y bodegas 15%
Ventanas y puertas (% en muros expuestos)
Accesos vehiculares (todo tipo de edificios)Según se requiera
Prueba de viabilidad de la iluminación natural
Una manera bastante generalizada de clasificar el tamaño relativo de la ventana es su proporción respecto al área del muro que la contiene o proporción ventana-muro (window-to-wall-ratio, wwr). La prueba de viabilidad de la iluminación natural en edificios en zonas urbanas (caracterizadas por obstrucciones de edificios vecinos) consiste en verificar el ángulo de cielo Ɵ, para un edificio iluminado unilateralmente con una ventana cuyo wwr es [112]:


Figura 3.3.
Prueba de viabilidad de la iluminación natural [112].
Mediante esta prueba de viabilidad, es posible predimensionar el tamaño de las ventanas. Para su aplicación, el punto de referencia en la fachada debe ser el centro del acristalamiento (figura 3.3). Este análisis debe realizarse para cada nivel del edificio. Asimismo, debe considerarse un wwr 80% como límite máximo para el aprovechamiento de la luz natural, debido a la inferencia de la cancelería y carpintería.
La forma de las ventanas es muy variable, sin embargo, una primera aproximación consiste en definir la relación entre su alto y su ancho (figura 3.4). De este modo, las ventanas se pueden clasificar como:
• Horizontal: Coeficiente de forma ½
• Vertical: Coeficiente de forma 2
• Intermedia: Coeficiente de ½ a 2

Figura 3.4.
Diferentes formas de ventanas.
La forma de la ventana influye principalmente sobre la distribución de la luz en el espacio iluminado, la calidad de visión y el potencial para la ventilación natural [113]:
• Con ventanas horizontales la iluminación del interior es una banda paralela a la pared de la ventana, que produce poca diferencia en la distribución de la luz a lo largo del día, con poco deslumbramiento. La dimensión horizontal relativamente grande permite una vista panorámica.
• Con ventanas verticales la iluminación del interior es una banda perpendicular a la pared de la ventana, produciendo así una distribución luminosa muy variable a lo largo del día. Esta forma de ventana ofrece mejor iluminación en las zonas más alejadas de ella; sin embargo, hay un mayor deslumbramiento. Las vistas exteriores son limitadas horizontalmente, pero pueden contener una mayor profundidad de campo, combinando el fondo y las vistas a media y gran distancia.
La posición de una ventana puede ser descrita mediante la situación horizontal y vertical en la pared en la que está colocada. Respecto a su posición en referencia al alto del muro, la ventana se puede clasificar como (figura 3.5):
• Alta. Mientras más alta sea la ventana, mayor es la profundidad de penetración de la luz natural y su distribución en el interior. La luz directa en techos disminuye el deslumbramiento; por tanto, las reflectancias en muros deben ser altas para no generar demasiado contraste con la luz de las ventanas. Por otro lado, las ventanas altas favorecen la extracción del aire caliente mediante ventilación natural.
• Intermedia. Proyecta más luz al piso interior y consigue mejor distribución de la luz exterior que se refleja en el terreno. Además, permite visuales al exterior, a altura del observador. Los reflejos en piso pueden balancear la luz reflejada en pisos y techo.
• Baja. Limita las visuales a altura del observador, pero genera visuales atractivas según el diseño exterior. Según su orientación, pueden producir reflectancias altas en pisos que ayudan a disminuir el deslumbramiento.
Respecto a su posición en referencia al ancho del muro, la ventana se puede clasificar como (figura 3.5):
• Central. Puede lograr una mejor distribución de la luz en el interior del espacio. Además, permite las visuales al exterior, a la altura del observador.
• Lateral. Produce altas reflectancias y luminancias en los muros laterales y en las zonas cercanas a las ventanas. El efecto contrario se obtiene en las zonas alejadas de las ventanas. Esto puede generar problemas de pérdida de uniformidad en las zonas iluminadas. Se deben procurar reflectancias bajas en pisos para ayudar a disminuir los reflejos y el deslumbramiento.
• Esquina. Los efectos de las ventanas laterales se acentúan más cuando se trata de ventanas esquinadas.
Universidad de las Américas Puebla

Figura 3.5.
Diferentes posiciones de la ventana, respecto al alto y ancho del muro.
Altura del dintel de la ventana
Una simplificación a la regla de la «profundidad del espacio» está relacionada con la altura del dintel de la ventana (figura 3.6). Particularmente, esta pauta señala que la profundidad de la zona iluminada con luz natural es de 1.5 a 2 veces la altura del dintel de la ventana, en espacios con ventanas estándar y cortinas venecianas; en cambio, cuando no se requieren sistemas de protección solar, la profundidad de la zona iluminada puede aumentar hasta 2.5 veces [114].
En la configuración de la ventana, el acristalamiento juega un papel crucial. Su selección debe realizarse de manera cuidadosa, evaluando

Figura 3.6.
Altura del dintel de la ventana y profundidad de la zona iluminada.
sus propiedades más importantes, respecto a la iluminación natural y a las ganancias solares (ver sección: «Luz natural: fundamentos»).
• Transmitancia visible
• Reflectancia visible
• Color del vidriado
• SHGC
• Factor U
Mientras mayor sea la transmitancia visible, mayor será la cantidad de luz visible en el interior. Mientras menores sean los valores del coeficiente solar y el factor U, menor será la ganancia de calor al interior de los edificios.
Las ventanas de los edificios deben contar con dispositivos adecuados de control solar para satisfacer las necesidades de los ocupantes. Estos dispositivos deben bloquear la luz solar directa para evitar el deslumbramiento y el sobrecalentamiento, pero no deben limitar en su tota-
Universidad de las Américas Puebla

Figura 3.7.
Recomendaciones sobre el uso de protecciones solares en ventanas del hemisferio norte. Según la latitud, se pueden requerir parasoles verticales para evitar el deslumbramiento. Consultar la versión a color en anexo 4.
lidad la admisión de la luz natural pues esto incrementaría considerablemente el uso de la iluminación artificial. Las distintas fachadas de una edificación deben ser tratadas particularmente para satisfacer las necesidades de protección solar en los acristalamientos (figura 3.7):
• Sur. En latitudes al norte, esta fachada recibe radiación solar durante la mayor parte del día, sobre todo durante los meses de invierno, que es cuando el Sol se encuentra más bajo con respecto al cenit por lo que alcanzará una mayor profundidad de penetración a través de los acristalamientos. Es recomendable utilizar protecciones solares horizontales como voladizos y estantes de luz. El dimensionamiento de estos elementos puede realizarse mediante cartas solares específicas de las latitudes de estudio (figura 3.8).

Figura 3.8.
Dimensionamiento de voladizo para una fachada sur, según el ángulo solar en temporada de sobrecalentamiento. Consultar la versión a color en anexo 4.

Figura 3.9.
Protección solar vertical exterior para orientación este y oeste. Consultar la versión a color en anexo 4.
• Este y oeste. Estas fachadas se caracterizan por recibir radiación solar durante las mañanas y las tardes, respectivamente, tanto en invierno como en verano. Debido a los ángulos bajos del sol durante los horarios del amanecer y del atardecer, estas fachadas pueden generar sobrecalentamiento si no son protegidas. Para controlar la incidencia solar, se recomienda
utilizar parasoles verticales exteriores, o parasoles combinados (vertical-horizontal) hacia el este, oeste, sureste y suroeste (figura 3.9). No se recomiendan protecciones horizontales debido a los ángulos cercanos a 0°.
• Norte. En latitudes en el hemisferio norte, esta fachada generalmente no recibe radiación solar en forma directa durante gran parte del año. En la latitud 19°, por ejemplo, únicamente se recibe en verano, durante ciertas horas cercanas al amanecer y al atardecer. El resto del año, la iluminación natural que provee esta orientación es principalmente difusa. Por tanto, no se requiere protección solar, pero se recomienda no exceder el área acristalada para evitar las pérdidas de calor durante el invierno. Según la latitud al norte, se pueden requerir parasoles verticales para evitar el deslumbramiento.
Existen diferentes tipos de protecciones solares, algunas pueden ser fijas, otras móviles. En el primer caso, son efectivas contra la radiación solar durante el verano permitiendo reducir las cargas de enfriamiento (figura 3.10). En el segundo, su dinamismo permite adaptarlas a las condiciones variantes del ambiente, permitiendo controlar las ganancias térmicas, proteger contra el deslumbramiento y redirigirla luz natural, según la época y hora del año (figura 3.11).
La vegetación es otro elemento de control solar que no debe pasarse por alto, al contrario, es altamente recomendable. Cuando es caducifolia, ella puede ser efectiva como elemento de protección solar, produciendo sombra en verano y dejando pasar la luz solar en invierno. Según la especie, puede permitir las visuales al exterior. Además, refrigera el ambiente y el aire que ingresa al espacio interior (figura 3.12).
La protección solar en elementos opacos de los edificios también es recomendable para evitar el sobrecalentamiento del espacio interior, especialmente en los muros de estructura liviana. Es posible disminuir las ganancias de calor a través de los muros opacos por medio de cámaras ventiladas exteriores o mediante la implementación de aislantes térmicos. La ventilación será de gran relevancia para evitar el sobrecalentamiento.

Elementos de protección solar fijos [102].

Figura 3.11. Elementos de protección solar móviles [102].

Figura 3.12. Vegetación como protección solar.
El acceso a la luz natural a través de las ventanas tiene un importante efecto en el consumo de energía en iluminación y climatización. Actualmente, se han desarrollado diversos estudios para resaltar la importancia de optimizar el diseño de estos elementos arquitectónicos.
De acuerdo a los resultados del Centro de Investigación en Iluminación (Lighting Research Center), se estima que entre el 30% y el 50% de los espacios en edificios públicos tienen acceso a la iluminación natural a través de las ventanas. Sin embargo, esta situación es desaprovechada la mayoría de las veces con lo cual se desperdicia una importante posibilidad de ahorro eléctrico [115].
Al respecto, Mardaljevic [116] observa que cuando existe luz natural disponible, el consumo de energía eléctrica para iluminación puede ser disminuido por los ocupantes o por mecanismos de control. Por tanto, propone un rango de iluminación natural útil autónoma de 500-2500 lux pues considera que dichos niveles son adecuados para la mayoría de las tareas, situación que contribuye a disminuir la probabilidad del encendido de las luces eléctricas. El autor realiza estudios mediante el método de cálculo basado en el clima, para lo cual analiza dos tipos de edificios residenciales con varias configuraciones de ventanas y de obstrucciones internas. Evalúa un total de diez configuraciones de edificios con combinaciones de 8 orientaciones y 6 zonas climáticas, mediante simulación computacional con Radiance [116].
Otro estudio relativo es el realizado por Pellegrino y Lo Verso [117], quienes se concentran en estimar la variación de la demanda de energía eléctrica en iluminación. Ellos analizan aspectos del diseño de los edificios, tales como la orientación (norte y sur), profundidad del espacio, tamaño de la ventana y obstrucciones externas. Mediante simulaciones computacionales con Daysim y Radiance, consideran la disponibilidad de la luz natural a través de archivos climáticos para Turín, Italia. Concluyen que la máxima demanda de energía coincide con la mínima disponibilidad de la luz natural. Además, observan que la demanda de energía disminuye a su nivel más bajo cuando el wwr
aumenta, los ángulos de las obstrucciones reducen y la profundidad del espacio disminuye [117].
Esquivias, Navarro y Muñoz [118] cuantifican y determinan niveles de df, da, udi y radiación solar para distintas configuraciones de ventanas, mediante la variación de la superficie relativa, azimut, elevación, forma y proporción. Sus estudios los realizan mediante simulaciones computacionales con Daysim y Ecotect, utilizando el archivo climático de Sevilla, España. Los resultados arrojan que existe una tendencia lineal proporcional al aumento de la superficie relativa de la ventana. Es decir, a mayor superficie se obtiene mayor df, uniformidad y autonomía, pero también mayor deslumbramiento pues la radiación solar predomina en la superficie de trabajo. Además, encuentran que la ubicación de la ventana (azimut y elevación) influye en la cantidad y en las condiciones de distribución de la luz; por ejemplo, el df disminuye cuantitativamente sobre el plano de trabajo en las posiciones extremas del paramento, lo cual se atribuye a la presencia de un plano perpendicular en el límite de la ventana que produce reflexiones. Asimismo, observan que las ventanas cenitales centradas son las que aportan mayor uniformidad, mientras que las ventanas verticales centradas en las cuatro orientaciones cardinales presentan menos uniformidad. Con respecto a la forma, encuentran que las variaciones que produce son apenas relevantes mientras se conserve la superficie relativa. Concluyen que el parámetro que presenta mayor incidencia en casi todas las variables es la superficie relativa, tanto en el incremento como en la reducción de los niveles de iluminación [118].
En otro trabajo relacionado, Wu [119] señala que es posible encontrar un rango óptimo de superficie relativa de ventana (con respecto a la superficie del muro) que aporta ahorros de energía en calefacción e iluminación para cada orientación. Su estudio lo realiza mediante los simuladores Equest y diva, para dos climas locales de luz natural correspondientes a California: CZ06 (Los Ángeles) y CZ15 (Blythe). Los parámetros de ventana que estudia son orientación, superficie relativa, posición, proporción, transmitancia del vidrio y niveles de lux. Wu cuantifica consumos eléctricos (W/ft) y de equipamiento (W/m2). Sus resultados arrojan que la superficie relativa más óptima es del 10-30%
en el sur y del 30-60% en el norte, este y oeste. Asimismo, las posiciones de 0.10 y 0.70 metros de la altura del cerramiento generan consumos energéticos similares; mientras que la posición centrada en la altura del muro es la que consume más energía. Respecto a la superficie relativa de la ventana, cuando es más pequeña, los niveles de iluminación disminuyen de 500 lux a 350 lux. En el parámetro proporción, Wu obtiene las relaciones ancho/alto de ventana más óptimas para las diferentes orientaciones. Así, las proporciones 4/1 y 2/1 son recomendadas para el sur; 2/1 y 1/1 para el norte, y 2/1 para el este y oeste. En todas las orientaciones, las ventanas verticales en proporción 1/2 no son recomendadas; mientras que las horizontales son las más adecuadas para la conservación de la energía. Por otro lado, la transmitancia de los vidrios permite aumentar los ahorros, sobre todo en las ventanas de mayor tamaño orientadas al sur [119].
De los trabajos anteriores podemos observar que existe una preocupación por el estudio del diseño de las ventanas para optimizar el aprovechamiento de la luz natural. Esto a raíz de que la ventana es un componente de los edificios que puede y debiera ser diseñado desde el comienzo de los proyectos como una fuente de iluminación. Asimismo, los estudios encontrados al respecto, coinciden en la necesidad de contemplar la variabilidad anual y diaria de la luz natural. Por tanto, es necesario replantear las normativas y recomendaciones actuales de manera que puedan incluir tales aspectos. Los avances en las técnicas de cálculo contribuyen con este fin y cada vez es más fácil el acceso a los programas computacionales, con lo que se abre una importante oportunidad de diseño que permite optimizar el aprovechamiento de la luz natural específico por localidades y, en consecuencia, disminuir el consumo eléctrico en iluminación y climatización artificial.

La relación entre el clima y el diseño arquitectónico es un aspecto clave en el bienestar de los ocupantes de las edificaciones. Los arquitectos deben procurar que los espacios diseñados se beneficien de los aspectos positivos del clima (luz, vientos, vegetación) y que se protejan de las inclemencias del medio ambiente (calor, ruido, etc.). La latitud, altitud, distancia al mar, relieves, dirección de los vientos, etc. son elementos que determinan el clima particular de un sitio. Un espacio puede ser agradable o desagradable, no sólo por la clase de clima del lugar, sino también por la influencia que el clima tiene sobre las actividades y el confort de los usuarios. Por ello, es crucial comenzar el proceso de diseño arquitectónico identificando y analizando el clima del lugar donde se emplazará el edificio. Para esto, se deben considerar los parámetros climáticos que marcarán las pautas para el diseño.
La información contenida en estos parámetros está basada en datos históricos de las distintas estaciones meteorológicas existentes en un país, registrados durante periodos de tiempo de 10, 20 o 30 años. Entre estos datos se encuentran las temperaturas máximas, mínimas, máximas promedio y mínimas promedio del lugar para las diferentes estaciones del año. Asimismo, los niveles de humedad relativa del aire
| Imagen recuperada de: http://www.posta.com.mx

Figura 4.1.
Valores de temperatura (°C) en Puebla, según el archivo climático EPW. Imagen generada con el programa ClimateConsultant V.6 .
Consultar la versión a color en anexo 4.
para dichos periodos, datos sobre pluviometría, dirección y velocidad del viento. Igualmente, datos de asoleamiento, niveles de radiación solar y nubosidad. A continuación se definen los parámetros climáticos [120]:
• Temperatura. Valor térmico en un sitio, resultado de la radiación solar que es acumulada por el suelo y luego entregada al aire como radiación infrarroja. Es medida comúnmente como temperatura relativa del aire en grados Celsius (°C). Cuando se clasifica un clima determinado, es vital considerar las temperaturas medias en invierno y en verano, las mínimas en invierno y las máximas en verano (figura 4.1). Cuando se habla de temperatura interior de un espacio, se deben considerar la temperatura del aire y la temperatura radiante de los muros.
• Humedad. Cantidad de vapor de agua que contiene el aire. La humedad relativa se refiere a la capacidad del aire de contener una mayor cantidad de agua conforme el aumento de su temperatura (figura 4.2, en anexo 4). La humedad del aire influye en la sensación térmica y en la posibilidad de condensación. Cuanto mayor es el índice de humedad relativa, mayor es la posibilidad de condensación.

Figura 4.3.
Días de lluvias al mes en Puebla [122].
• Precipitación. Cantidad de agua que cae sobre la tierra en forma de lluvia, nieve, aguanieve y granizos; no se incluye neblina ni rocío. La cantidad de precipitaciones de un lugar en un tiempo determinado se denomina pluviosidad y se mide en litro/m2. Debido a que un litro sobre un metro cuadrado alcanza una altura de 1 milímetro, la precipitación se suele registrar en milímetros. También se suelen contabilizar los días de lluvia de una localidad (figura 4.3).
• Vientos dominantes. Las diferencias de presión en la atmósfera originan movimientos de aire, conocidos como vientos, los cuales se caracterizan según tres parámetros. El primero es la velocidad, que se refiere a la rapidez con que se mueve una masa de aire; se mide en km/h y en m/s. El segundo parámetro es la frecuencia y se refiere a la cantidad de horas en que se presenta cierta velocidad del viento en un periodo (figura 4.4, en anexo 4). El tercer parámetro es la dirección desde donde sopla el viento; se mide respecto a los puntos cardinales y se expresa en grados desde el norte geográfico.
• Radiación solar. Conjunto de radiaciones electromagnéticas emitidas por el Sol que llegan a la superficie terrestre. La radiación solar en un sitio depende del grado de nubosidad y de los ángulos solares, azimut y altura. Éstos afectan la cantidad de radiación que llega efectivamente a la tierra en las diferen-
tes estaciones (figura 4.5, en anexo 4). Es importante considerar la estacionalidad en los proyectos, solsticios y equinoccios, ya que ellos marcarán los momentos más críticos del año que suelen ser los que se utilizan en los estudios climáticos.
• Nubosidad. Cantidad de días cubiertos por nubes y su distribución en el cielo. Actualmente, se utiliza el concepto de tipos de cielo definidos por la cie. El modelo de cielo All-Weather es de gran utilidad por su versatilidad en la caracterización de los climas luminosos locales. A través de los archivos climáticos de cada localidad es posible hacer un estudio más preciso sobre las condiciones de nubosidad (figura 4.6).
• Asoleamiento. Trayectoria solar en el sitio de emplazamiento que condiciona la incidencia solar en los espacios interiores del proyecto. En este factor, la orientación de los vanos es de vital importancia para el aprovechamiento de la luz natural y el control solar. La duración de los días es crucial para el aprovechamiento de la luz natural y para la protección solar en determinadas orientaciones. Para predecir el comportamiento solar a través de los vanos de un edificio se recomienda utilizar las cartas solares de las latitudes de estudio (figura 4.7) y/o los programas de simulación de la trayectoria solar.
Analizar los parámetros climáticos nos permite entender el medio natural en el que se emplazará el proyecto, identificar los aspectos positivos para aprovecharlos en el acondicionamiento interior y reconocer los elementos negativos de los cuales es necesario protegerse. Cabe resaltar que los factores de radiación solar, nubosidad y asoleamiento son elementos clave para el estudio de la iluminación natural y de las ganancias solares a través de los vanos en las edificaciones (ver sección «Luz natural: fundamentos»).

Figura 4.6.
Rango de cielo nublado, según el archivo climático epw. Imagen generada con el programa ClimateConsultant V.6 [121].

Figura 4.7.
Carta solar de Puebla, donde se señalan los días más cortos y más largos del año.
El clima se define como el sumario estadístico, o promedio de los parámetros meteorológicos, a través de un determinado número de años (comúnmente, periodos de 30 años) [123]. La climatología aplicada puede considerarse como el análisis y aplicación de los datos climáticos con algún propósito específico. En este libro, el fin principal es aplicar la información climática al diseño arquitectónico.
Existen diferentes sistemas para clasificar el clima. Uno de los más utilizados mundialmente es el de Wladimir Köppen [124] que identifica 31 tipos de climas (figura 4.8, en anexo 4). La tabla 4.1 resume este sistema de clasificación, basado en una serie de letras que indican el comportamiento de las temperaturas y precipitaciones.
Tabla 4.1. Resumen de la clasificación de climas de Köppen-Geiger [124].
Climas
Tropical o ecuatorial (A)
Subtipos
Húmedo (Af)
Monzónico (Am)
Sabana con verano seco (As)
Sabana con invierno seco (Aw)
Seco (B)Desértico (BW)
Frío desértico (BWk)
Cálido desértico (BWh)
Estepa (BS)
Estepa fría (BSk)
Estepa cálica (BSh)
Templado (C)Húmedo (Cf)
Verano cálido (Cfa)
Criterio
Tmin ≥ +18 °C
Pmin ≥ 60 mm
P ann ≥ 25(100−Pmin)
Pmin < 60 mm en verano
Pmin < 60 mm en invierno
P ann < 10 Pth
P ann ≤ 5 Pth
T ann < +18 °C
T ann ≥ +18 °C
P ann > 5 Pth
T ann < +18 °C
T ann ≥ +18 °C
−3 °C < Tmin < +18 °C
No (Cs) o (Cw)
T max ≥ +22 °C
Verano templado (Cfb) no (a) y al minos 4 Tmin ≥ +10 °C
Climas
Subtipos
Criterio
Templado (C)Verano e invierno fríos (Cfc) no (b) y Tmin > −38 °C
Verano seco (Cs) Psmin < Pwmin, P wmax > 3 Psmin y Psmin < 40 mm
Verano cálido (Csa) T max ≥ +22 °C
Verano templado (Csb) no (a) y al minos 4 T mon ≥ +10 °C
Verano e invierno fríos (Csc) no (b) y Tmin > −38 °C
Invierno seco (Cw) Pwmin < Psmin y P smax > 10 Pwmin
Verano cálido (Cwa) T max ≥ +22 °C
Verano templado (Cwb) no (a) y al minos 4 Tmin ≥ +10 °C
Verano e invierno fríos (Cwc) no (b) y Tmin > −38 °C
Frío continental (D)
Húmedo (Df) Tmin ≤ −3 °C No (Ds) o (Dw)
Verano cálido (Dfa)Tmax ≥ +22 °C
Verano templado (Dfb)no (a) y al minos 4 Tmin ≥ +10 °C
Verano e invierno fríos (Dfc)no (b) y Tmin > −38 °C
Extremo contenental (Dfd)como (c) pero Tmin ≤ −38 °C
Verano seco (Ds)
Psmin < Pwmin, Pwmax > 3 Psmin y Psmin < 40 mm
Verano cálido (Dsa)Tmax ≥ +22 °C
Verano templado (Dsb)no (a) y al minos 4 Tmon ≥ +10 °C
Verano e invierno fríos (Dsc)no (b) y Tmin > −38 °C
Extremo continental (Dsd)como (c) pero Tmin ≤ −38 °C
Invierno seco (Dw) Pwmin < Psmin y Psmax > 10 Pwmin
Verano cálido (Dwa)Tmax ≥ +22 °C
Verano templado (Dwb)no (a) y al minos 4 Tmin ≥ +10 °C
Verano e invierno fríos (Dwc)no (b) y Tmin > −38 °C
Extremo contenental (Dwd)como (c) pero Tmin ≤ −38 °C
Frío polar (E)Helado (EF) Tmax < +10 °C
Tmax < 0 °C
Tundra (ET) 0 °C ≤ Tmax < +10 °C
El sistema Köppen fue modificado por Enriqueta García en 1964 para adaptarlo a las condiciones de México. La base de esta adaptación fue la información sobre temperatura media y precipitación total anual, recopilada en las estadísticas de 1921 a 1975, por el Instituto Nacional de Estadística, Geografía e Informática (inegi). Los parámetros de presión del aire, vientos y humedad, aunque también fueron registrados, se consideraron secundarios al estar estrechamente relacionados con la temperatura y la precipitación. A partir de los datos de estos dos principales parámetros climáticos, se calculó mediante fórmulas matemáticas, y por medio de un programa de cómputo, la nueva clasificación climática para México. Finalmente, esta información se sobrepuso en un mapa topográfico, a través de isotermas o isolíneas de temperatura que permiten delimitar los grupos climáticos [125]:
• Isoterma de 22 °C separa los climas cálidos de los semicálidos.
• Isoterma de 18 °C separa los climas semicálidos de los templados.
• Isoterma de 12 °C separa los climas templados de los semifríos.
• Isoterma de 5 °C separa los climas semifríos de los muy fríos.
Una vez separados los tipos de climas por temperatura, el siguiente paso fue separarlos por límites de humedad, utilizando la información de la precipitación total anual (figura 4.9, en anexo 4). Finalmente, se prepara el mapa con la clasificación de climas del país (figura 4.10, en anexo 4).
En febrero de 2018, el mapa de climas de México fue simplificado por el inegi con la información recopilada entre 1950-2000 (figura 4.11, en anexo 4). Actualmente, existe la herramienta del Sistema de Información Geográfica (sig) del Registro Único de la Vivienda (ruv) en el que se puede consultar la última actualización de las zonas bioclimáticas de México, según datos del inegi 2020 (figura 4.12, en anexo 4). Como se puede observar, el último mapa presenta poca variación respecto al inmediato anterior. Por ejemplo, el clima semifrío desaparece, los climas seco y semiseco se unifican, el templado húmedo se reduce.
México cuenta con una gran diversidad de zonas bioclimáticas, tal como se ha visto en las clasificaciones realizadas por el inegi. Esta gran biodiversidad se atribuye a su geografía y orografía, así como también a su ubicación en el planeta. México se extiende entre los paralelos 14°32’27’’ en la desembocadura del río Suchiate y el paralelo 32°43’06’’ que pasa por la confluencia del río Gila con el Colorado. Asimismo, el país está comprendido entre las longitudes oeste de Greenwich de 118°22’00’’ y 86°42’36’’. El territorio nacional tiene una extensión de 1,964,375 km2, de los cuales 1,959,248 km2 corresponden a superficie continental y el resto a superficie insular [125]. Dada esta gran extensión, en México se utilizan cuatro husos horarios, denominados oficialmente tiempo del sureste, tiempo del centro, tiempo del pacífico y tiempo del noroeste (figura 4.13, en anexo 4). Estos horarios fueron definidos por el Centro Nacional de Metrología (cenam) y la Ley del Sistema de Horario en los Estados Unidos Mexicanos.
De acuerdo a la norma ASHRAE-90.1 y al Código Internacional de Conservación de Energía (iec), las zonas climáticas también se pueden establecer en función de los grados día1, además de las temperaturas promedio mensuales y la precipitación pluvial. En México no se integra información sobre los grados día, sin embargo, es posible estimar los valores promedio mensual a partir de las mediciones de temperatura [127]. Para definir las zonas climáticas de un país, el iec maneja los grados días de calefacción referidos a 18 °C y de refrigeración a 10 °C. Con base en los resultados de los promedios mensuales de temperaturas máximas y mínimas, se calcularon los grados día para México [127]. A partir de estos datos, se propuso una nueva clasificación del país en 10 regiones bioclimáticas que consideran los 2,456 municipios de México (figura 4.14, en anexo 4). En esta clasificación, cada entidad federativa puede tener de dos a nueve zonas bioclimáticas diferentes entre los municipios de su territorio.
1 Diferencia algebraica, expresada en grados, entre la temperatura media de un día determinado y una temperatura de referencia. Para un periodo dado (meses, años) es la suma algebraica de los «grados-día» de los diferentes días del periodo.
Por la importancia que tienen las condiciones climáticas para el confort, la Comisión Nacional para el Uso Eficiente de la Energía (conuee) ha diferenciado el consumo de energía dependiendo del clima. Con esta finalidad, el territorio nacional se ha agrupado en tres regiones según la estacionalidad climática predominante: cálido, tropical y templado (figura 4.15, en anexo 4). La región cálida extrema tiene usualmente un clima cálido con incrementos drásticos de temperatura en el verano e incluye a los estados del norte del país; la región tropical cuenta con clima cálido todo el año que se acentúa comenzada la primavera, y comprende a los estados del sur-sureste del país; y la región templada está conformada por los estados del centro y occidente del país [127]. Actualmente, el Instituto del Fondo Nacional de la Vivienda para los Trabajadores (infonavit) ha implementado esta clasificación para cumplir con los fines de sus programas nacionales de vivienda.
El diseño pasivo se ha vuelto crucial en el contexto actual donde predominan el agotamiento de los recursos naturales y la preocupación por el futuro del planeta. El diseño pasivo tiene la finalidad de lograr que el acondicionamiento ambiental de los edificios se realice mediante procedimientos naturales, de manera que se reduzca el uso de la climatización artificial y se promueva la eficiencia energética de las edificaciones. Uno de los aspectos claves para lograr esto, es considerar el clima local desde las etapas iniciales del proceso de diseño. Existen diferentes estrategias que permiten aprovechar las ventajas del ambiente y minimizar sus desventajas.
El aprovechamiento de la luz natural y la reducción de las ganancias solares son dos temas importantes en el diseño pasivo. Las principales estrategias relacionadas con temas de iluminación natural fueron descritas previamente en los capítulos 2 y 3. Existen otras estrategias para el ahorro de energía, como la implementación de aislantes térmicos, la utilización de dobles vidrios, el cambio a equipos de cli-
matización certificados, la sustitución de tecnologías de iluminación obsoletas por otras más eficientes, etc. No obstante, el tema principal de este libro es la luz natural, por lo que únicamente se pondrá énfasis en aquellos estándares relativos al diseño pasivo.
El propósito de esta sección es revisar los estándares y lineamientos establecidos para guiar los proyectos arquitectónicos en México, principalmente aquellos que consideran las características climáticas del emplazamiento del proyecto.
conavi
Con el fin de apoyar a los municipios con el desarrollo y la actualización de regulación de construcción de vivienda, la Comisión Nacional de Vivienda (conavi) ha desarrollado un modelo normativo voluntario de carácter técnico-administrativo que puede adoptarse y adaptarse en todo el territorio nacional para garantizar la seguridad estructural de la vivienda, su habitabilidad y sustentabilidad, y el confort de sus habitantes [129]. Este código establece diferentes requerimientos para el diseño arquitectónico, según las regiones bioclimáticas del sig-ruv (figura 4.12, en anexo 4). A continuación, se resumen los principales requerimientos de la tercera edición de este código:
• Especificaciones bioclimáticas para el diseño urbano. Incluye aspectos relacionados con el agrupamiento de edificios, según la zona climática donde se emplace el proyecto. Por ejemplo, si se deben incluir plazas y plazoletas, evitar sombreado entre viviendas en orientación norte-sur, viviendas más altas al norte y más bajas al sur, espaciamiento mínimo entre edificios, etc. También se incluyen especificaciones sobre la orientación de los edificios: una crujía sur-sureste, doble crujía noreste-suroeste, según la zona climática. Además, se incluyen ciertos criterios sobre espacios exteriores y el uso de vegetación, prin-
cipalmente en plazas, plazoletas, andadores y estacionamientos. La tabla 4.2 incluye estas especificaciones de diseño urbano del conavi.
• Altura mínima de espacios. Según la zona climática, el conavi sugiere alturas mínimas de los espacios dentro de la vivienda.
• Muy seco, seco y semiseco: 2.50 metros.
• Cálido húmedo y cálido subhúmedo: 2.70 metros.
• Templado subhúmedo, templado húmedo y frío de alta montaña: 2.30 metros.
• Orientar las ventanas a favor de los vientos dominantes del sitio para conseguir un alto flujo de aire en el interior. Las ventanas encontradas también son recomendables para lograr una ventilación cruzada y renovar el aire de manera natural, sin necesidad de equipos mecánicos.
• Considerar ventanas y lucernarios como elementos principales para la iluminación natural, de manera que se favorezca el ahorro energético, por la reducción del consumo de iluminación eléctrica.
• Considerar los valores térmicos mínimos para los acristalamientos, según la zona bioclimática, con el objetivo de alcanzar un desempeño óptimo.
• Muy seco, seco y semiseco: U 1.20 Btu/h*ft2*°F, SHGC 0.25 y SC2 0.28.
• Cálido húmedo y cálido subhúmedo: U 0.75 Btu/ h*ft2*°F, SHGC 0.25 y SC 0.28.
• Templado subhúmedo y templado húmedo: U 0.65 Btu/ h*ft2*°F, SHGC 0.25 y SC 0.28.
• Frío de alta montaña: U 0.40 Btu/h*ft2*°F, SHGC 0.40 y SC 0.46.
2 SC: coeficiente de sombreado, es una medida de la ganancia de calor, por radiación solar, través del vidrio. Se define como la relación entre la radiación solar incidente que atraviesa un determinado tipo de vidrio respecto a uno base de 3 mm claro.
En su segunda edición, el conavi incluía especificaciones para el proyecto arquitectónico, ventanas, ventilación y control solar. En tal versión, México estaba dividido en 9 regiones climáticas, sin embargo, en su última edición, el país incluye sólo 7. Las tablas 4.3, 4.4, 4.5, 4.6 y 4.7 resumen los requerimientos de aquellas zonas (consideradas en la segunda edición) que más coinciden con los climas actuales.
NMX-AA-164-SCFI-2013: edificación sustentable (criterios y requerimientos ambientales mínimos)
La creciente urbanización que han experimentado las principales ciudades mexicanas ha impactado de manera irreversible el entorno natural y la disposición de los recursos naturales. Por ello, es necesario identificar las prácticas de edificación sostenible en pro del desempeño ambiental y energético de los edificios. La norma «NMX-AA-164SCFI-2013: Edificación sustentable. Criterios y requerimientos ambientales mínimos», se ha propuesto como referente nacional sobre prácticas de edificación sostenible que contribuyan a la protección del ambiente, la salud y el confort de los ocupantes y la productividad de las personas [131]. Entre los requerimientos sobre diseño pasivo, iluminación natural y ganancias solares, esta norma incluye los siguientes:
• Se establecen límites del consumo energético (kWh/m2 * año), resumidos en la tabla 4.8, según los climas del país (figura 4.16, en anexo 4).
• La edificación debe estar diseñada con criterios bioclimáticos que favorezcan la iluminación natural dentro del edificio, logrando una buena distribución y organización de los espacios. Se debe generar una iluminación de 250 o más luxes, medidos con un luxómetro a 0.78 metros de altura sobre el nivel de piso a cada 1.5 metros a partir de una distancia de 4 metros con respecto a los muros de fachada.
Tabla 4.2. conavi: especificaciones bioclimáticas para el diseño urbano [38].
Zona climática
Muy seco
-Plazas y plazoletas: densamente arboladas con vegetación caducifolia
-Vegetación perenne como control de vientos fríos
-Andadores: mínimas dimensiones, mínimo pavimento sombreado en verano, soleados en invierno
-Acabados de piso: permeables
-Una crujía SE
-Doble crujía N-S, con dispositivos de control solar en ambas fachadas
-Plazas y plazoletas: densamente arboladas con vegetación caducifolia
-Vegetación perenne como control de vientos fríos
-Andadores: mínimas dimensiones, mínimo pavimento sombreado en verano, soleados en invierno
-Acabados de piso: permeables
Cálido subhúmedo
Cálido húmedo
-Tipo tablero de ajedrez
-Espaciamiento entre viviendas mínimo una vez la altura de las viviendas
-En sentido de los vientos dominantes tres veces la altura de la vivienda
-Tipo: tablero de ajedrez
-Espaciamiento entre edificios mínima: una vez la altura de los edificios
-En el sentido de los vientos dominantes tres veces la altura
-De una y doble crujía al SE
-Una crujía: al eje de los vientos dominantes
-Doble crujía: N-S no recomendable
-Plazas y plazoletas sombreadas
-Andadores angostos y sombreados
-Acabados de piso permeables
-Plazas y plazoletas: densamente arboladas con vegetación perenne
-Andadores: mínimas dimensiones, mínimo pavimento; sombreados todo el año
-Acabados de piso: permeables, que dejen pasar el agua al subsuelo
-Árboles de hoja caduca en plazas y andadores; de hoja perenne en estacionamientos
-Distancia entre árboles que den sombra continua
-Arbustos: barreras de viento frío en plazas y andadores
-Cubresuelos con mínimo requerimiento de agua
-Árboles de hoja perenne para plazas, plazoletas, andadores y estacionamientos
-Arbustos como canalizadores de viento en plazas y plazoletas
-Cubresuelos, especies con menor requerimiento de agua
-Árboles: de hoja perenne en plazas, andadores y estacionamientos
-Distancia entre árboles que den sombra continua
-Como barreras de nortes
-Arbustos: como conductores de vientos
-Cubresuelos: bajos en la dirección de los vientos
Escuela de Artes y Humanidades
Zona climática Agrupamiento
-Que deje circular el viento dominante
-Tipo tablero de ajedrez
Templado húmedo
Templado subhúmedo
-Espaciamiento entre viviendas en el sentido de los vientos dominantes, tres veces la altura de las viviendas
-Mínima, una vez la altura, perpendicular a los vientos
-Evitar sombreado entre viviendas en orientación N-S
-Ubicar viviendas altas al N y de menor altura al S
-Viviendas alineadas con los vientos
-Espaciamiento entre viviendas, óptimo 1.7 veces la altura de la vivienda
-Mínima una vez la altura de la vivienda
-Evitar sombreado entre viviendas en orientación N-S
Seco y semiseco
-Ubicar viviendas más altas al N del conjunto y más bajas al S
-Viviendas alineadas
-Espaciamiento entre viviendas 1.7 veces la altura
Orientación Espacios exteriores
-Una crujía al SE
-Doble crujía N-S, no se recomienda
-Plazas y plazoletas amplias, sombreadas en verano, soleadas en invierno, abiertas a los vientos dominantes, como barreras vegetales al SO, O y NO.
-Andadores cubiertos, sombreados en invierno
-Acabados de piso, antiderrapantes, buena pendiente
-Una crujía S-SE
- Doble crujía NE-SO, con dispositivos de control solar
-Una crujía S-SE
-Doble crujía NE-SO, no se recomienda
-Plazas, plazoletas y andadores sombreados en verano
-Acabados de piso, porosos que absorban y retengan la humedad
-Plazas y plazoletas despejadas en invierno, sombreadas en verano
-Andadores amplios, despejados en invierno, sombreados en verano
-Estacionamientos sombreados en verano
-Acabados de piso permeables
Vegetación
-Árboles en plazas y plazoletas como protección solar y canalizadores de vientos, hoja caduca al NE y S, perennes al NO-SE y protección de estacionamiento
-Arbustos en plazas y plazoletas, como canalizadores de viento
-Cubresuelos, no hay requerimientos particulares
-Árboles de hoja caduca en plazas, plazoletas y andadores
-De hoja perenne para estacionamientos
-Arbustos de hoja perenne, como barreras de vientos fríos en plazas, plazoletas y andadores
-Cubresuelos de mínimo requerimiento de agua en plazas y plazoletas
-Árboles de hoja caduca en plazas, plazoletas y andadores
-De hoja perenne como barreras de vientos fríos y nortes en estacionamiento
-Arbustos de hoja perenne como barrera de vientos fríos
-Cubresuelos con menor requerimiento de agua
Frío de alta montaña
-Viviendas más altas al N del conjunto, las más bajas al S
-Agrupadas entre sí para evitar pérdidas de calor y protegerse de vientos fríos
-Espaciamiento entre las viviendas: Óptima en sentido N-S, 1.7 veces la altura de la vivienda -Mínima, una vez la altura
-Una crujía S-SE
-Doble crujía
E y O, no recomendable
-Plazas y plazoletas: espacios cerrados por las viviendas y barreras vegetales contra vientos
-Andadores: protegidos con aleros o pasillos cubiertos
-Acabados de pisos: pesados
Tabla 4.3. Especificaciones para el proyecto arquitectónico [130].
Zona climática
Ubicación en el lote Configuración
Orientación de la fachada más larga
-Al eje térmico
Cálido seco y extremoso -Muro a muro-Compacta, con patio
Cálido subhúmedo -Separada de las colindancias
-Abierta, alargada -Óptima de una crujía
-De una crujía: SE -Doble crujía: N-S con dispositivos de control solar en ambas fachadas
Cálido húmedo -Aislada
-Árboles de hoja caduca: para plazas y andadores
-De hoja perenne: para estacionamientos y como barreras de vientos
-Arbustos en plazas y plazoletas, como barreras de vientos
-Cubresuelos: no hay requerimientos particulares
Localización de las actividades Tipo de techo
-Estar, comer, dormir: SE
-Cocinar: N, NE
-Circulaciones, aseo: NO
- Fachada frontal a los vientos dominantes - Una crujía y doble crujía
-Abierta, alargada, con remetimientos -Al eje eólico
Escuela de Artes y Humanidades
-Estar, comer, dormir: SE
-Cocinar: N, NE
-Circulaciones, aseo: NO
-Plano con poca pendiente
-Doble plano con fuerte pendiente
-Doble cubierta con ventilación entre ambos
-Dos aguas con aislante
-Plano con pretil alto de celosía
-Estar, comer, dormir: SE
-Cocinar: N, NE
-Circulaciones, aseo: NO
-Inclinado o diferentes niveles
Zona climática
Templado húmedo
Templado
Ubicación en el lote Configuración
-Separada de las colindancias
-Separada de las colindancias
-Abierta, máxima exposición a los vientos
-Compacta, forma óptima: cubo con patios
Orientación de la fachada más larga
-Sureste
Templado seco
-Separada de las colindancias
-Compacta con patio
-Compacta con patio
-Una crujía: SE
-Doble crujía:
NE-SO (con dispositivos de control solar para las tardes en primavera)
Tabla 4.4. Especificaciones para las ventanas [130].
Localización de las actividades Tipo de techo
-Sala, comedor, recámaras al SE -Guardarropa, cocina, áreas de aseo y circulaciones al NO
-Estar, dormir, comer: SE
-Cocinar: N
-Circular, aseo: NO-O
-Comedor, sala y recámaras al SE -Cocina, áreas de aseo y circulaciones al NO
-Inclinado, cubierta con fuerte pendiente
-Plano
-Plano con relleno -Poca pendiente
Zona climática
Ubicación en fachada según dimensión
Ubicación según nivel de piso interior
Formas de abrir
Protección
Cálido seco y extremoso
-Mínimas necesarias: en todas direcciones
-Al S-SE para ganancia solar directa en invierno
-En la parte media y baja del muro a nivel de los ocupantes
-Operables en espacios que den a patios y jardines de buen sellado
-No deben usarse persianas en ninguna orientación
-Mosquiteros -Postigos exteriores
Universidad de las Américas Puebla
Cálido subhúmedo
-Máxima para captar los vientos
-Mínimas para ventilación e iluminación en todas las fachadas
-Evitar ventanas al SO, O y NO
-Si se requiere acelerar la velocidad del aire, la salida debe ser 25% mayor a la entrada
-Máxima: al eje eólica
Cálido húmedo
Templado húmedo
-Mínimas: opuestas al eje eólico
-Fachadas SO, O, NO, cerradas o vanos muy pequeños con control solar
-Máxima de donde viene el viento
-Operables
-De la mayor dimensión posible
-El área de la ventana de salida es 25% de la de entrada
-Mínima en fachadas NO, O y SO
-En la parte media y baja del muro
-Brisa sobre los ocupantes
-Al eje eólico en la parte del muro a nivel de ocupantes
-Opuestas al eje
eólico: en la parte alta del muro
-Operables en todas las fachadas
-Persianas, de abrir, pivote, celosías, de proyección o resbalón
-Mosquiteros
Templado
-Máxima: orientación E, SE, S para ganancia directa
-Menor del 80% de superficie de muro
-Mínimas: N, NE, NO, O, SO
-En la parte media baja del muro
-Que el aire pase a nivel de los ocupantes
-Abatibles de proyección, banderolas, persianas, celosías
Templado seco
-Máximas (<80 % de superficie del muro) en las orientaciones E, S, SE para ganancia
solar directa
-Mínima dimensión al N, NE, NO, O y SO
-Orientación E, SE, S en la parte media y baja del muro
-Que el aire pase a nivel de los ocupantes
-Orientación N, NE, NO, O, SO, en la parte alta del muro
-E-SE, S a la altura del plano de las actividades
-N y dirección de vientos fríos, por encima del plano de las actividades
Escuela de Artes y Humanidades
-Mosquiteros, persianas, celosías
-Abatibles, corredizas de proyección, persianas -Mosquiteros
-Abatibles, corredizas, de proyección, etc. de buen sellado
-No se recomiendan las persianas
-Mosquiteros
-Cortinas gruesas
-E, SE, S, abatibles, corredizas de proyección
-N, NE, NO, banderolas, etc.
-En ambos casos de buen sellado y fácilmente operables
-Cortinas gruesas
-Persianas, postigos
Tabla 4.5. Especificaciones para ventilación [130].
Zona climática Unilateral Cruzada Otras
-Renovación del aire para condiciones higiénicas
Cálido seco y extremoso
Cálido subhúmedo
-Con aberturas operables a ambos lados
-Organización lineal de los espacios con ventanas en el mismo eje
Cálido húmedo
Templado húmedo
Templado
Templado seco
-Con ventanas operables que den a patios interiores y reciban los vientos de primavera y otoño
-Controlar los vientos fríos de invierno
-Cerrar los espacios abiertos de ventilación natural a la dirección de huracanes, ciclones
-No es recomendable-Óptima: en espacios habitables entre doble cubierta y entre piso y suelo
-A cualquier orientación-Con ventanas a los vientos dominantes, operables a ambos lados
-Con ventanas operables de buen sellado
-Aberturas hacia patios interiores
-Que el aire pase a nivel de los ocupantes
-Renovación de aire para condiciones higiénicas
-Evitar vientos fríos de invierno
-No se requiere
-Control de los vientos nocturnos y de invierno
-Chimeneas eólicas
-Turbinas eólicas
-Captadores eólicos
-Con ventanas operables de buen sellado, orientadas para captar los vientos de verano, para enfriamiento y humidificación
-La brisa pase a nivel de los ocupantes
-Inducida sifónica
-Techumbre de succión
Tabla 4.6. Especificaciones para el control solar: remetimiento y saliente en fachada, patios interiores, aleros, pórticos, balcones y vestíbulos [130].
Zona climática
Remetimiento y saliente en fachada
-Evitarlos en el edificio
-Ventanas remetidas
Cálido seco y extremoso
Cálido subhúmedo
Cálido húmedo
-Que sombreen fachadas y den máxima exposición al viento
-En todas las orientaciones
-En todas las orientaciones
Patios interiores Aleros
-Sombreados, con fuentes, espejos de agua y vegetación de hoja caduca para enfriamiento y humidificación
-En todas las fachadas
-Fachada S, grande para evitar el soleamiento por las tardes, dominado con parteluces
-SE, calentamiento directo en invierno y control en verano
-SO, NO, combinados con vegetación
-No se requieren-En todas las fachadas
-Al sur de mayor dimensión
-No se requieren-En todas las fachadas según gráfica solar. Para control solar de 9:00 a 15:00 horas
-S-SE de mayor dimensión
-SO-O-NO: combinado con parteluces y vegetación
-E: con control de ángulos solares bajos
Pórticos, balcones, vestíbulos
-Como protección del acceso
-Pórticos, pérgolas con vegetación al S
-Vestíbulos al N
-Techos verdes como aislantes
-Entre zonas habitables y el exterior
-En fachadas al eje eólico
-Orientación: E, S, y SE, pórticos de control solar todo el año
-NO-O-SO: combinados con parteluces, celosías, vegetación, etc.
Zona climática
Remetimiento y saliente en fachada
Templado húmedo
Patios interiores
Aleros
-Evitarlos -No se requieren-En todas las fachadas para proteger del sol y la lluvia
-Fachada S para protección solar en primavera y verano
-Fachada N, control
solar de 9:00 a 15:00 horas, dejando pasar vientos
-Al SO, O, NO, completar con árboles de hoja perenne
Pórticos, balcones, vestíbulos
-Se recomiendan en accesos
-Pórticos en fachadas donde da el viento
Templado
Templado seco
Evitarlos -Con fuentes o espejos de agua y vegetación de hoja caduca
Evitarlos
-Con vegetación y fuentes o espejos de agua
-En fachadas S para evitar ganancias directas en primavera y verano -En otras orientaciones combinados con parteluces y vegetación
-Combinados con parteluces y remetimientos en ventanas
-E-SE dimensión que deje pasar el sol por las mañanas
-SO, O, NO dimensión que no deje pasar el sol todo el año
-Invernaderos secos adosados en orientación
S-SE con ventanas operables a los espacios interiores
Espacios de transición entre el exterior y los espacios cubiertos
Universidad de las Américas Puebla
Tabla 4.7. Especificaciones para el control solar: tragaluces, parteluces y vegetación [130].
Zona climática Tragaluces Parteluces Vegetación
-Orientados al S con control solar en verano
-En fachadas E, NE O, NO, SO
-De hoja caduca en todas las orientaciones
Cálido seco y extremoso
Cálido subhúmedo
Cálido húmedo
-No se requieren-En ventanas SE, O, SO, combinados con aleros, persianas, pórticos, celosías, vegetación
-N: operables con dispositivos de control solar
-En fachadas E, O, SO, NO, combinados con vegetación
-Muy densa en NE, E, SO, NO como control de ángulos solares muy bajos
-SO, NO: árboles altos y densos
-De hoja perenne: en O y como barrera de vientos fríos
-Árboles altos, de follaje perenne para sombrear las viviendas y pavimentos en todas las orientaciones
-De follaje denso en SO, O, NO
-Arbustos para control de ángulos de incidencia solar muy bajos evitando obstruir los vientos dominantes
-Árboles de hoja perenne, altos, densos para sombrear edificios y espacios exteriores durante todo el año en todas las orientaciones.
-En el eje eólico: que filtren el viento y no lo interrumpan
-Arbustos para control de ángulos solares bajos al SO, O, NO, E, NE
Templado húmedo
-Orientados al N con protección solar en verano
-Evitar los horizontales
-Control solar en verano y primavera
Templado
-Con dispositivos de control solar y ventanas operables
-Cuidando de no obstruir vientos
-Combinados con aleros y vegetación en fachadas NE, E, NO, O
-Árboles de hoja caduca para sombrear en verano y asolear en invierno, de hoja perenne al SO, O y NO
-Arbustos para protección solar
-No bloquear vientos
-Árboles: de hoja caduca en rango S o NO
-Árboles: de hoja perenne en orientación N
-Arbustos: para controlar ángulos solares bajos
-En ventanas con orientación SO, O, NO
-Árboles de hoja caduca al E, S, O
-De hoja perenne al N
Templado seco
-Arbustos para controlar ángulos de altura solar muy bajos
Tabla 4.8. Consumo energético (kWh/m2 por año) de referencia anual [131]
Uso del edificio
Cálido seco
Cálido húmedo
Cálido subhúmedo Templado
Hoteles 170200190120
Oficinas 12020010570
Escuelas 60 70 55 40
Hospitales 260350225240
Restaurantes 325350225240
Centros comerciales 190265250155
Tiendas de autoservicio 200290280170
Otros 190265225155
• Se debe favorecer la iluminación natural de los espacios interiores mediante ventanas, tragaluces, pérgolas y otros elementos arquitectónicos.
• Toda edificación sostenible debe demostrar una disminución en la ganancia de calor de al menos un 10% con respecto al edificio de referencia calculado conforme al método de cálculo establecido en las normas nom-008-ener-2001 [132] o nom020-ener-2011 [133].
• En el interior de la edificación deben existir parámetros de confort térmico, con temperaturas entre los 18 °C y 25 °C favoreciendo las soluciones bioclimáticas por sobre las mecánicas.
La Estrategia Nacional de Energía 2014-2028 incluye entre sus directrices: «mejorar el desempeño energético de los componentes y sistemas de las edificaciones». Asimismo, la nom-020 señala que la ganancia de calor por radiación solar es la fuente más importante a controlar, lo cual se logra con un «diseño adecuado de la envolvente» [133]. No obstante, los reglamentos y códigos existentes en nuestro país pueden no conducir al logro de estos objetivos por las deficiencias
Universidad de las Américas Puebla
que presentan, principalmente respecto a su contenido y alcances. Su debilidad principal reside en la falta de actualización y regulación de su cumplimiento [129].
Respecto al diseño de componentes arquitectónicos para la iluminación natural, las normativas mexicanas vigentes señalan la necesidad de implementación de ventanas y claraboyas para disminuir el consumo eléctrico de iluminación. Sin embargo, tales normativas no aportan criterios cuantificables sobre su diseño. Es decir, no se establecen porcentajes de tamaño de ventanas adecuados para la iluminación natural, según la orientación de los vanos y el clima del sitio. Sólo se habla de criterios muy generales, tales como mínimos necesarios en todas direcciones, máximos para captar los vientos, evitar ventanas al SO, O y NO, etc. En algunos climas, se establece que el área de ventanas debe ser menor del 80% de la superficie del muro, aunque se puede suponer que este tamaño es relativo a las necesidades de ventilación y reducción de ganancias solares directas. Respecto a la posición de las ventanas, únicamente se menciona que deben ir a nivel de los ocupantes, en la parte media y baja del muro, y que el aire pase a nivel de los ocupantes. Nuevamente, se puede notar que estas recomendaciones son alusivas a la ventilación y no a la iluminación natural. A su vez, las normativas sugieren formas de apertura, como abatibles, corredizas, de buen sellado, etc. También se incluyen ciertos criterios de protección como persianas, celosías, patios interiores, aleros, tragaluces, vegetación, y otros sistemas de control solar. Una vez más, no se establecen tamaños, orientaciones, ni algún criterio de diseño cuantificable.
En resumen, se desconocen los efectos producidos por la elección de una u otra configuración de ventana en la demanda de iluminación natural y en el consumo eléctrico en iluminación. El diseño de ventanas se ha realizado, hasta el presente, de manera intuitiva, sin criterios cuantificables sobre tamaños, posiciones u orientaciones. En consecuencia, se desaprovecha la capacidad de estos componentes como fuentes luminosas y se desperdician sus beneficios en la disminución de la demanda del consumo eléctrico en iluminación y climatización artificial, en la eficiencia en la realización de las actividades y
en el bienestar de los usuarios. Estudiar este componente edilicio es, por tanto, de especial interés en nuestro país, pues ello permitirá establecer directrices de diseño específicas por orientación, clima y latitud geográfica.

En este capítulo se plantea adquirir una mejor comprensión del comportamiento de la luz natural a través de las ventanas. Para ello, se analizan los siguientes parámetros de diseño que definen a la ventana en función del espacio arquitectónico: clima de la localidad de emplazamiento, orientación, profundidad del espacio y tamaño de la ventana. La finalidad es evaluar qué configuraciones de ventana son de utilidad en los proyectos arquitectónicos, tanto en el ámbito lumínico como en el energético.
Para este análisis, se obtienen valores cuantificables de los tamaños de ventana óptimos, es decir, aquéllos que logran un balance entre los niveles de iluminancia adecuados para realizar tareas visuales y los valores de ganancias por radiación solar transmitida a través de las ventanas. Asimismo, se considera que ambos dominios de la luz natural repercuten en el consumo de energía total anual (refrigeración e iluminación, principalmente).
Con los resultados obtenidos, se proponen guías de diseño de ventanas aplicables desde las primeras etapas del proyecto arquitectónico, de manera específica y acotada a los climas y orientaciones de estudio. De esta manera, se apunta a contrarrestar la tendencia actual de esperar etapas avanzadas de los proyectos en las cuales únicamente se «verifican» los niveles de iluminación, dejando en manos del rendimiento de la instalación eléctrica todo el peso del consumo energético.
Este capítulo se organiza en diversas secciones para el logro de los objetivos. En la primera se presentan las condiciones que intervienen en la iluminación, las características del modelo propuesto para los estudios y los parámetros de diseño de la ventana. En la segunda y tercera secciones se establecen los pasos generales para la obtención de las métricas de iluminación y de análisis energético, respectivamente; además, se especifican los programas de simulación a utilizar y los parámetros que se requieren contemplar para los cálculos. En la siguiente sección se exponen y discuten los resultados lumínicos y energéticos. A continuación, se proponen las estrategias y guías de diseño de ventanas para diferentes climas de México. Finalmente, se valora el impacto de este trabajo y se exponen futuras líneas de investigación.
Para la definición de los casos de estudio, es necesario identificar cuáles son las condiciones del espacio que intervienen en la cantidad de luz natural que se recibe en su interior. Dichas condiciones se clasifican en exteriores e interiores. Las primeras consideran las condiciones del clima y emplazamiento; las segundas incluyen las características del diseño arquitectónico y de la configuración de la ventana.
Las condiciones exteriores se refieren a la ubicación y al emplazamiento, siendo determinantes el clima (recogido en archivos climáticos) y las condiciones del cielo, día y hora de estudio (establecidos en los modelos de cielo y algoritmos de simulación). Otros elementos que rodean al espacio de estudio, tales como el entorno construido y las protecciones solares, también forman parte de las condiciones exteriores; sin embargo, estos últimos no serán objeto de estudio en esta investigación. La finalidad es centrar los cálculos lumínicos y simulaciones energéticas en el estudio de las ventanas, de manera que los datos obtenidos puedan reflejar específicamente las variaciones producidas por estos componentes arquitectónicos.

Figura 5.1.
Regiones climáticas consideradas en NMX-AA-164-SCFI-2013.
Consultar la versión a color en anexo 4.
Clima y emplazamiento
Como se revisó en el capítulo anterior, México tiene una gran extensión y biodiversidad en todo su territorio. Por ello, el país ha sido clasificado de diferentes maneras, considerando aspectos como la temperatura y la precipitación, y otros factores como la estacionalidad predominante y el consumo de energía. La figura 5.1 presenta la clasificación aceptada actualmente en diversas normas mexicanas; contempla cuatro regiones climáticas definidas mediante el registro de los promedios de temperaturas mensuales y la humedad relativa.
En síntesis [134], el clima «cálido seco» es predominante en la zona norte de país, y se caracteriza por temperaturas altas en verano y bajas en invierno, además de humedad relativa debajo del 50% durante todo el año. El clima «cálido subhúmedo» se distribuye principalmente en el litoral del océano pacífico y en el norte de la península de Yucatán; presenta temperaturas altas en verano y medias en invierno, además de una humedad relativa anual del ~70%. La región «cálida húmeda» se distribuye en parte del litoral del golfo de México
Universidad de las Américas Puebla

Figura 5.2.
Porcentaje estatal de producción bruta en el rubro de edificación residencial, agrupado por región climática [135].
y en gran parte de la península de Yucatán; presenta temperaturas altas (>25°C) y humedad relativa alta (>80%) durante todo el año. La región «templada» predomina en la zona central de México y se caracteriza por temperaturas bajas (<20°C) en invierno y medias el resto del año (~20°C), además de humedad relativa entre el 50% y el 70%.
Con base en estas cuatro regiones, se continuó con la revisión de la producción bruta de los estados en el rubro de «edificación residencial» [135]. Es importante mencionar que se consideraron los datos más recientes publicados al momento de escribir este documento. La finalidad de este ejercicio fue identificar aquellas ciudades con mayor producción de viviendas, de manera que las estrategias de diseño propuestas al finalizar el estudio pudieran tener un aporte más significativo. La figura 5.2 resume el porcentaje de producción bruta de cada estado, respecto al total del país, agrupado por región climática. De esta manera, es posible identificar los estados de Nuevo León, Yucatán, Veracruz y Jalisco, con los mayores porcentajes en las regiones cálida seca, cálida subhúmeda, cálida húmeda y templada, respectivamente.
Otro aspecto importante a considerar en esta etapa del análisis es que existe una variabilidad climática que no está directamente re-

Figura 5.3.
Climas representativos de cada estado, según la temperatura media anual. Agrupado por región climática [135].
Consultar la versión a color en anexo 4.
lacionada con los límites políticos de cada estado. Esto significa que en cada entidad federativa es posible tener más de un clima entre los municipios de su territorio. Por ello, se procede a identificar los diferentes climas incluidos en los territorios estatales. La figura 5.3 resume la diversidad de climas que pueden estar distribuidos entre las zonas municipales de cada estado [125].
Considerando la variabilidad climática dentro de cada región, se procedió a elegir aquellos estados que cumplieran con dos características principales: 1) producción bruta en edificación residencial significativa y 2) disponibilidad del archivo climático de la ciudad cuyo clima fuera representativo de la región climática.
Como se puede apreciar, en la región cálida seca se observan diferentes climas, tales como muy seco, seco y semiseco, cálido húmedo, templado húmedo, etc. Entre éstos, los climas seco y semiseco son los más representativos de la región por el porcentaje del territorio
Universidad de las Américas Puebla
que ocupan. En consecuencia, sobresalen los estados de mayor extensión territorial, éstos son Chihuahua, Sonora, Coahuila, Durango y Zacatecas. Sin embargo, su producción bruta está muy por debajo de otros estados (figura 5.2). En el caso de Nuevo León, su extensión territorial es significativa para los climas seco y semiseco; además, su porcentaje de producción bruta es muy superior al resto de los estados de la región seca. En este estado, Monterrey es la ciudad que sobresale por su número de habitantes [136], asimismo, se verifica la disponibilidad de su archivo climático.
En la región cálida subhúmeda se observan los climas cálido húmedo, cálido subhúmedo, seco y semiseco, templado húmedo, etc. En general, se puede observar que los estados de Guerrero, Oaxaca, Quintana Roo y Yucatán presentan mayor porcentaje de su territorio con clima cálido subhúmedo. Entre estos estados, Yucatán es el que presenta la mayor producción bruta (figura 5.2). Dentro de su territorio, la ciudad de Mérida sobresale por su número de habitantes [136], por lo que se verifica la disponibilidad de su archivo climático.
En la región cálida húmeda también existen diferentes climas, por ejemplo, cálido húmedo, cálido subhúmedo, seco y semiseco, templado húmedo, etc. En general, sobresalen dos estados con mayor parte de su territorio con clima cálido húmedo: Chiapas, seguido por Veracruz. No obstante, este último se caracteriza por el mayor aporte a la producción bruta de edificación de viviendas (figura 5.2). Tres ciudades sobresalen en este estado por su número de habitantes: Veracruz, seguida por Xalapa y Coatzacoalcos [136]. Asimismo, se cuenta con los archivos climáticos de estas localidades.
En la región templada, existe una gran variabilidad climática dentro de cada estado. Inclusive se observa que Jalisco es predominantemente cálido subhúmedo por lo que no es representativo de la región templada. En cambio, el Estado de México, Michoacán y Puebla tienen una importante parte de su extensión con clima templado subhúmedo que es el clima representativo de la región templada. Entre estos tres estados, Puebla sobresale por su producción bruta en edificación residencial (figura 5.2), siendo representativa la ciudad de Puebla por su número de habitantes [136]. Por tanto, se verifica la disponibilidad de su archivo climático.
En resumen, los archivos climáticos epw [37] representativos de las regiones climáticas de México son los siguientes:
• Región cálida seca: MEX_NLE_Monterrey-Escobedo.Intl. AP.763943_TMYx.2003-2017
• Región cálida subhúmeda: MEX_YUC_Merida-Rejon.Intl. AP.766440_TMYx.2003-2017
• Región cálida húmeda: MEX_VER_Veracruz-Jara.Intl.
AP.766913_TMYx.2003-2017
• Región templada: MEX_PUE_Puebla-Serdan.Intl. Ap.766850_TMYx-2003-2017
Estos archivos epw contienen datos sintetizados de la información recopilada desde los aeropuertos de las ciudades citadas, durante diferentes años. Cada dato horario y mensual ha sido tratado estadísticamente, de manera que la información pueda ser representativa de las condiciones promedio mensuales recopiladas durante ~12 años [37]. El anexo 2: «Archivo climático epw» contiene una descripción más detallada de la información climática de los archivos epw.
En modo comparativo, la tabla 5.1 resume la información de los cuatro archivos climáticos; principalmente los datos sobre temperatura de bulbo seco, humedad relativa y radiación horizontal global.
Como se puede observar, las ciudades de Mérida y Veracruz tienen valores muy similares en temperatura de bulbo seco y humedad relativa. Entre estas dos ciudades, Mérida obtiene mayor producción bruta y mayor número de habitantes. Cabe aclarar que en la figura 5.2 se presenta la producción bruta por estado, siendo representativa la ciudad de Mérida en Yucatán y las ciudades de Veracruz, Xalapa y Coatzacoalcos en Veracruz. De este modo, la producción bruta de Mérida es mayor que la acumulada por las tres principales ciudades veracruzanas [135].
Con base en lo anterior, se procede a delimitar el estudio a tres localidades o climas representativos para México:
• Monterrey, Nuevo León - región cálida seca
• Mérida, Yucatán - región cálida subhúmeda
• Puebla, Puebla - región templada.
Universidad de las Américas Puebla
Tabla 5.1. Promedio anual de valores representativos contenidos en los archivos climáticos.
CiudadLatitud
Temperatura bulbo seco (°C)
Humedad relativa (%)
Radiación horizontal global (Wh/m2)
Monterrey 25°40’ N 22 6629345
Mérida20°58’N26 7529356
Veracruz 19°11’ N 25 7824646
Puebla 19°3’ N 16 6032718
Zona climática
Seco y semiseco
Cálido subhúmedo
Cálido húmedo
Templado subhúmedo
Región climática
Cálido seco
Cálido subhúmedo
Cálido húmedo
Templado
Las figuras 5.4, 5.5 y 5.6 (ver anexo 4) resumen los valores horarios anuales contenidos en los tres archivos climáticos seleccionados.
Las condiciones interiores comprenden la geometría del espacio interior, la orientación y las dimensiones de los vanos, la reflexión de los paramentos y las características de los materiales de la envolvente.
Geometría de los modelos base
En general, para los modelos base se consideraron las dimensiones y áreas mínimas de los espacios interiores recomendadas para una vivienda accesible, tal como se resume en la tabla 5.2 [38]. Asimismo, se consideró una altura mínima de 2.70 metros, acorde a las recomendaciones para los espacios dentro de la vivienda [38] y considerando englobar las tres regiones climáticas.
A partir de estas dimensiones, se analizó la proporción de la cavidad del espacio (room cavity ratio, rcr). La finalidad es comparar la iluminación natural que incide en el interior de un espacio de planta cuadrada (anchura 1: profundidad 1) respecto a un espacio de planta rectangular y mayor profundidad (anchura 1: profundidad 2).
Tabla 5.2. Dimensiones mínimas para espacios habitables [38].
El rcr consiste en un número que indica las proporciones de la cavidad de un espacio, considerando en su cálculo la longitud, anchura y altura [137]. La utilización de este índice es extendida en los diseños de iluminación artificial que consideran la influencia de las dimensiones del espacio. En este trabajo, se propone de modo análogo para evaluar la influencia de la profundidad del espacio en la provisión de iluminación natural. La fórmula para el cálculo del RCR es la siguiente [137]:

donde rcr es un índice adimensional, W representa el ancho del espacio, P la profundidad y h la altura entre la superficie de trabajo y el plafón.
En este análisis se considera una altura del plano de trabajo de 0.80 metros, por lo que, respecto a la altura del espacio de 2.70 metros, nos da como resultado h = 1.90 metros. Una vez definido este valor h, el ancho del espacio puede ser expresado en función de la profundidad. Por tanto, para un espacio de planta cuadrada con proporción 1:1, W = P, entonces P = 10h / rcr:

Para un espacio de planta cuadrada con proporción 1:2, 2W = P, entonces W = 7.5h / rcr:

En la tabla 5.3 se resumen los valores de ancho y profundo para espacios de plantas cuadradas (1:1) y rectangulares (1:2), cuya altura piso-plafón es de 2.70 metros. Se considera un lado mínimo de 2.70 metros para espacios como recámaras, estancias, estancia-comedor y estancia-comedor-cocina, que suelen ser iluminados unilateralmente (tabla 5.2). Por tanto, se opta por un modelo base de rcr = 5 que arroja dimensiones W y P bastante comunes en las viviendas en el país. Valores superiores para el rcr dan como resultado espacios con un lado mínimo menor de 2.70 metros que pueden presentar problemas con las dimensiones antropométricas y de mobiliario.
En síntesis, las dimensiones del modelo base de planta cuadrada son de 3.80 m × 3.80 m y para el modelo base de planta rectangular son de 2.85 m × 5.70 m. En ambos casos, el rcr es 5, la altura del espacio es 2.70 metros y la altura del plano de trabajo es 0.80 metros, tal como se observa en la figura 5.7.
Parámetros de diseño de la ventana: orientación y tamaño
La configuración de la ventana incluye sus características principales, es decir, la orientación y el tamaño. En el primer aspecto, se considera que los dos modelos base rotarán su orientación hacia los cuatro puntos cardinales: norte, sur, este y oeste.
En cada una de estas orientaciones se compararán diferentes tamaños de ventana. Una de las maneras más utilizadas para caracterizar el tamaño de la ventana consiste en establecer una relación entre su área y el área del muro que la contiene (window-to-wall-ratio, wwr).
En este estudio, se comparan wwr entre el 10% y el 100%, en intervalos de 10%. La figura 5.8 y la tabla 5.4 presentan los diferentes tamaños analizados.
Tabla 5.3. Dimensiones calculadas para espacios con planta cuadrada (1:1) y rectangular (1:2).

Figura 5.7.
Modelos base para el estudio de la iluminación natural a través de ventanas: planta y sección. La línea punteada representa el plano de trabajo. Las cotas están en metros.

Figura 5.8.
Tamaños de ventana analizados, según el porcentajes de wwr. Vistas de fachadas.
Características y propiedades de los materiales
Tal como se describió en capítulos anteriores, las propiedades de las superficies interiores (por ejemplo, reflectancia visible, transmitancia visible y color del vidriado) son indispensables de definir para realizar los cálculos de iluminación natural; ellas intervienen directamente en la cantidad y en la distribución de la luz natural en el espacio interior. Asimismo, las propiedades térmicas de los materiales constructivos (por ejemplo, shgc, factor U, conductividad térmica, absortancia y emisividad) son factores determinantes en la transferencia global de energía a través de la envolvente.
Otro aspecto a considerar en ese tipo de análisis es que la construcción de los modelos tridimensionales se realiza de manera dife-
Tabla 5.4. Dimensiones de ventanas según el modelo base.
101.030.851.20
202.051.211.70
303.081.482.08
404.101.712.40
505.131.912.69 606.162.092.94
707.182.263.18
808.212.413.40 909.232.563.60
10010.262.703.80
100.770.850.90
201.541.211.27
302.311.481.56
403.081.711.80
503.851.912.02
604.622.092.21
705.392.262.38
806.162.412.55
906.932.562.70
1007.702.702.85
rente cuando se trata de los programas de simulación lumínica que cuando se involucran los programas de cálculo energético. Por tanto, es necesario definir los modelos base en función del ámbito de estudio: lumínico o energético. Con este fin, la descripción de las características, las propiedades y la construcción de los modelos tridimensionales se organiza dentro de dos subsecciones. Cada una de éstas abarca uno de los dos ámbitos de estudio; la finalidad es proporcionar una mejor comprensibilidad de la metodología y utilización de los programas computacionales.
Este estudio tiene como fin evaluar las condiciones de iluminación natural resultantes de la variabilidad climática local. Por tanto, se utiliza el cbdm para la predicción de las iluminancias que ingresan al espacio. El cbdm considera, entre otros factores, la variabilidad de la radiación solar según la localización geográfica y la trayectoria solar a través de las horas y las estaciones. De esta manera, puede predecir hasta 8,760 valores horarios cuando los cálculos se realizan para un año entero. Esta gran cantidad de valores debe ser analizada estadísticamente para generar las métridas dinámicas o DDMs. Es importante considerar que el cbdm sólo puede ser realizado mediante simulaciones computacionales y que requiere la especificación de un modelo tridimensional, plano de cálculo donde se estimarán las iluminancias de luz natural, archivo climático, rango de tiempo de estudio y las métricas para sintetizar los 8,760 valores horarios. A continuación, se especifica la información requerida para el análisis lumínico.
Para el cálculo y simulación de la iluminación natural, es necesario considerar diversos aspectos. Primero, especificar los materiales de los modelos, en cuanto a sus propiedades de reflexión y transmisión de la luz visible, tal como se resume en la tabla 5.5. Los muros, plafón y piso, al ser superficies opacas se caracterizan por su reflectividad, la cual se establece en 50%, 70% y 20%, respectivamente. La ventana, como elemento transparente, se establece como un vidrio simple claro de 6 milímetros de grosor cuya transmitancia visible es del 88%.
Otro aspecto a determinar es la superficie donde se cuantificarán los niveles de iluminación. Para esto, se establecen 121 sensores para el modelo A y 133 sensores para el modelo B, en ambos casos distribuidos equidistantemente en el plano de trabajo y a 0.80 m sobre el nivel del piso (figura 5.9). Estos sensores se separan 0.25 m entre sí, y 0.50 m de los muros de la envolvente [71]. Además, se establece un sensor en el
Tabla 5.5. Características de las superficies interiores de los modelos base A y B.
centro de la segunda mitad más profunda del espacio interior (representado con un punto en la figura 5.9). Este sensor se define como un sistema de control con un interruptor atenuable que apaga las luces eléctricas cuando los niveles de luz natural alcanzan los 250 lux aproximadamente. De este modo, el sensor mide la cantidad de iluminancia incidente, según la proporción y profundidad del espacio (1:1 o 1:2), y controla el encendido y apagado de la iluminación artificial.

Figura 5.9.
Modelos A y B en planta, sección y perspectiva, construidos con Rhinoceros. Los planos de cálculo se delimitan con una banda perimetral de 0.50 metros, con sensores espaciados 0.25 metros. El sensor para controlar la iluminación artificial se señala con un punto rojo en la segunda mitad más profunda del espacio.
En la sección anterior se delimitó el estudio a tres ciudades mexicanas, por tanto, se utilizan los siguientes tres archivos climáticos:
• Región cálida seca MEX_NLE_Monterrey-Escobedo.Intl.
AP.763943_TMYx.2003-2017
• Región cálida subhúmeda MEX_YUC_Merida-Rejon.Intl.
AP.766440_TMYx.2003-2017
• Región templada MEX_PUE_Puebla-Serdan.Intl.
Ap.766850_TMYx-2003-2017
Con la finalidad de conocer el potencial de iluminación natural, como consecuencia de la proporción espacial, se considera todo el tiempo en que existe disponibilidad de luz natural [61]. Es decir, se utilizan todas las horas diurnas del año, que son aquéllas en las cuales la iluminancia difusa horizontal exterior es mayor a cero [34]. Por tanto, los tres archivos climáticos son formulados de tal manera que se consideren exclusivamente las horas diurnas en el cálculo de las métricas dinámicas, según la localidad de estudio.
El criterio para evaluar la disponibilidad de luz natural se fundamenta en la métrica DAv (daylight availability). Sin embargo, en este libro se plantea un «esquema modificado» de DAv, de manera que se contemplen 4 zonas de evaluación del espacio iluminado. Éstas se resumen en la figura 5.10 y se describen a continuación:
• No iluminado. Área interior que consigue iluminancias <150 lux durante al menos el 50% de las horas de ocupación, entre las 8:00 y 18:00 horas [138].
• Parcialmente iluminado. Área interior que consigue iluminancias de luz natural en el rango de 150-300 lux, durante periodos que no alcanzan los porcentajes de tiempo establecidos para el área completamente iluminada o para el área no iluminada [138]. Esta área permite mostrar una transición entre el área completamente iluminada y la no iluminada, lo cual es un acercamiento a la cuantificación de la naturaleza subjetiva de la luz en la evaluación de los espacios [66].
• Completamente iluminado. Área interior que se considera iluminada naturalmente cuando recibe suficiente iluminación (300-3,000 lux) durante al menos la mitad del tiempo de ocupación entre las 8:00 y 18:00 horas; en resumen, udi 3003000, 50% [66]. Además, se consideran las iluminancias mayores de 3000 lux cuando no sobrepasan un tiempo de ocupación del 5%; es decir, udi >3000, <5% [138].
• Sobreiluminado. Área interior que consigue iluminancias que exceden el límite máximo de iluminancias naturales (3000 lux) durante al menos el 5% de las horas de ocupación; en resumen, udi >3,000, 5% [66]. El criterio del 5% fue seleccionado como un método análogo de los análisis térmicos de acuerdo al estándar BS EN 15251 [67]. Este estándar define un nivel límite para diversas categorías del confort térmico, las cuales no deben ser excedidas el 3-5% de las horas de ocupación anual. Por tanto, el área sobreiluminada significa un potencial para el sobrecalentamiento por radiación. Además, representa un riesgo de deslumbramiento, pues ha mostrado estar correlacionada con la probabilidad del deslumbramiento por luz natural [69].
Debido a la vocación del espacio analizado, vivienda, se considera un nivel de iluminación adecuado entre los 150 lux y 300 lux para espacios como recámaras y estancias, >300 lux para estudios y cocinas. Por tanto, las «áreas parcialmente y completamente iluminadas» pueden considerarse favorables para los fines de este análisis.
Parcialmente iluminado
Completamente iluminado
Sobreiluminado

Figura 5.10.
Esquema modificado DAv [139].
Consultar la versión a color en anexo 4.
Los cálculos y simulación de iluminación natural se realizan con el programa diva-for-Grasshopper dada su versatilidad y vinculación con el programa de modelado tridimensional, Rhinoceros. Aunado a esto, diva-for-Grasshopper emplea el motor de cálculo Radiance, que ha sido ampliamente validado por la precisión de sus resultados y por la posibilidad de caracterizar gran diversidad de materiales. Los parámetros de simulación con Radiance se definen en la tabla 5.6. diva también utiliza Daysim que permite el modelado de la luz natural con base climática y la obtención de métricas dinámicas. Asociado a Grasshopper, es posible una mayor versatilidad en el cálculo de las métricas mediante el plugin Python.
El proceso de simulación y la obtención de las métricas se resume a continuación:
Tabla 5.6. Parámetros de simulación con Radiance.
1. Se construyen digitalmente, mediante Rhinoceros, los modelos A y B. Asimismo, se modelan las ventanas, según los tamaños y orientaciones establecidas.
2. Mediante diva-for-Rhino, se establecen los materiales que servirán como input en diva-for-Grasshopper.
3. Dentro de la interfaz de diva-for-Grasshopper, se establecen el plano de cálculo, el número de sensores, el sensor de iluminancias y control de la iluminación eléctrica, los horarios de cálculo, los límites de iluminancias para las métricas, los parámetros de simulación y el archivo climático.
4. Al finalizar los cálculos lumínicos, se obtiene el «perfil de iluminancias de luz natural (*.ill)» que contiene las series temporales de las iluminancias internas en cada punto de interés del espacio, es decir, los 8,760 valores de iluminancias para todos los sensores (121 en el modelo A y 133 en el modelo B). El formato de este archivo es el siguiente: las columnas 1-3 corresponden al mes, día y hora; las columnas 4-(4 + 121 = 125; 4 + 133 = 137) son las iluminancias en cada sensor individual.
5. Al finalizar los cálculos lumínicos, también se obtiene el «perfil de uso de la iluminación eléctrica (*.csv)». En primera instancia, este perfil está acotado a las horas diurnas; no obstante, los patrones de ocupación de los residentes suelen comprenderse entre un horario de 6:00 a 22:00 horas. Por tanto, los perfiles se verifican mediante hojas de cálculo para acotar el uso de la luz eléctrica en ese horario. Una vez ajustados, los perfiles se utilizan como input en los cálculos energéticos.
6. Dentro de Grasshopper, se calculan las métricas dinámicas con los siguientes objetivos de iluminación:
• da150. Autonomía de luz natural o porcentaje de horas diurnas del año, cuando un mínimo de iluminancia de 150 lux puede ser mantenido por luz natural exclusivamente.
• da300. Autonomía de luz natural o porcentaje de horas diurnas del año, cuando un mínimo de iluminancia de 300 lux puede ser mantenido por luz natural exclusivamente.
• udi<50. Porcentaje de horas diurnas del año cuando la iluminancia es <150 lux. Este rango representa cuando existe poca iluminación, haciendo necesaria la iluminación eléctrica.
• udi 150-300. Porcentaje de horas diurnas del año cuando la iluminancia es >150 lux y <300 lux. Este rango representa cuando existe iluminación útil y adecuada para actividades cotidianas de las viviendas, en espacios como estancias y recámaras. Según las preferencias de los usuarios, estos niveles de iluminancias se pueden complementar con luz artificial, por lo que comúnmente se denominan como «suplementarias».
• udi 300-3,000. Porcentaje de horas diurnas del año cuando la iluminancia es >300 lux y <3,000 lux. Este rango representa cuando existe iluminación adecuada para actividades cotidianas de las viviendas, en espacios como estudios y cocinas. Estos niveles de iluminación útiles suelen denominarse como «autónomos», es decir, no son necesarios de complementar con luz artificial.
• udi>3000. Porcentaje de horas diurnas del año cuando la iluminancia es >3000 lux. Este rango representa cuando existe una sobreiluminación de luz natural que puede traer problemas de disconfort térmico y visual.
7. Debido a que diva-for-Grasshopper no calcula el esquema DAv, es necesario procesar las métricas del punto anterior mediante hojas de cálculo para obtener las 4 áreas DAv [139].
El concepto de iluminación natural no sólo influencia el uso de energía para la iluminación artificial sino también el acondicionamiento térmico en los edificios. Esto se debe a que la luz natural siempre está acompañada de ganancias solares.
El modelo 3D se construye con Rhinoceros y consiste en una caja construida con superficies planas, tal como se muestra en la figura 5.11. Sobre la superficie de la fachada principal se añade otra correspondiente a la ventana, según el tamaño que corresponda. Cinco superficies planas se sobreponen sobre la caja, para representar superficies adiabáticas. Este modelo energético se importa en Archsim, donde a cada superficie se le asigna el material de muro, techo, piso o vidrio. La caracterización de las propiedades térmicas de los materiales constructivos se resume en la tabla 5.7.
Con la finalidad de enfocarse en el estudio del rendimiento lumínico y térmico de la luz natural a través de las ventanas, el efecto térmico a través de muros, techo y piso se establece como adiabático. Únicamente se exceptúa la fachada donde se ubicará la ventana, por lo que para este paramento se establece un material con transmitancia térmica de 2.3 W/m2K. Esto considerando que este valor se mantendrá fijo, pues la finalidad de este estudio no es la comparación de los materiales constructivos utilizados en las diferentes regiones climáticas. Por ende, su fijación permitirá reducir su influencia en los resultados obtenidos. La ventana se especifica con un vidrio simple claro de 6 milímetros de espesor, con valor U de 2.785W/m2K y shgc de 0.703. La fachada acristalada se rotará hacia las cuatro orientaciones de estudio.

Figura 5.11.
Modelos A y B en perspectiva, construidos con Rhinoceros, para el cálculo energético por zona.
Consultar la versión a color en anexo 4.
Tabla 5.7. Propiedades de los componentes edilicios del modelo y del acristalamiento.
Componente
Muros
Fachada
Techo
Piso
Acristalamiento
Adiabático
Transmitancia térmica
Adiabático
Adiabático
Factor U
Propiedad
Coeficiente de ganancia solar, shgc
Transmitancia térmica
2.3 W/m2K
5.894 W/m2K
0.905
2.785 W/m2K
La tabla 5.8 enlista las cargas internas, ocupación y equipamiento del modelo, según estándares de espacios habitables [131-133, 140]. La zona de cálculo se establece como simple. Al terreno se le asigna una temperatura de 14° y una reflectancia del 20%.
Tabla 5.8. Cargas consideradas en las simulaciones energéticas.
OcupaciónPersonas/m2
Calendario 0.05
Completa durante las noches y parcial durante el día (figura 5.12)
Cargas internas
Equipamiento W/m2
Calendario 7.3
Parcial según patrones identificados en viviendas (figura 5.13) [140]
Acondicionamiento
IluminaciónW/m2
Objetivo (lux)
Calendario 12 250
Horario de 6:00 a 22:00 horas, según el perfil de uso de iluminación eléctrica (diva), específico para cada ventana (figura 5.14).
Calefacción Temperatura (°C)
Calendario 20
Refrigeración Temperatura (°C)
Ventilación por ventana
Según la ocupación
Calendario 24
Área operable (0-1) Coeficiente de descarga (0-1)
Temperatura (°C)
Según la ocupación
Calendario 0.5 0.65 20
Según la ocupación

Figura 5.12.
Patrón de ocupación de los usuarios, considerado en los cálculos energéticos.
Universidad de las Américas Puebla

Figura 5.13.
Patrón de utilización del equipamiento en una vivienda [140].

Figura 5.14.
Ejemplos de perfiles anuales del uso de la iluminación eléctrica, para dos tamaños de ventanas: wwr100% y wwr10%. Generados de los cálculos lumínicos con diva y procesados para incluir un horario de 6:00 a 22:00 horas dentro de los cálculos con EnergyPlus.
Este estudio se enfoca en tres ciudades mexicanas; por tanto, se utilizan los siguientes tres archivos climáticos:
• Región cálida seca MEX_NLE_Monterrey-Escobedo.Intl.
AP.763943_TMYx.2003-2017
• Región cálida subhúmeda MEX_YUC_Merida-Rejon.Intl.
AP.766440_TMYx.2003-2017
• Región templada MEX_PUE_Puebla-Serdan.Intl.
Ap.766850_TMYx-2003-2017
Las simulaciones térmicas dinámicas se realizan con el programa EnergyPlus V.8.4.0, un motor de cálculo que no posee una interfaz de usuario amigable, por lo que usualmente se utilizan otros programas como su interfaz gráfica. Entre éstos, Archsim ha sido desarrollado para configurar y ejecutar modelos energéticos rápidamente. Archsim utiliza los archivos nativos idf de EnergyPlus y, por tanto, no realiza ningún pre o post procesado sobre los algoritmos del motor de cálculo. Esto significa que los estudios de validación realizados para EnergyPlus puedan extenderse a Archsim. El proceso para las simulaciones con estos programas es Rhinoceros-Grasshoper-Archsim. Una ventaja de utilizar Archsim dentro de la interfaz de Grasshopper es que es posible interconectar los cálculos energéticos con los análisis lumínicos (a través de los perfiles de uso de iluminación eléctrica derivados de diva).
Los parámetros de simulación y los algoritmos de cálculo con EnergyPlus se establecen en la tabla 5.9. Una descripción más detallada sobre estos parámetros de simulación puede encontrarse gratuitamente en la documentación de la instalación de EnergyPlus V.8.4.0 [95]. El periodo de simulación se establece desde el 1 de enero hasta el 31 de diciembre, con una resolución horaria.
Tabla 5.9. Parámetros de simulación con EnergyPlus.
Método de cálculo
Cálculo de distribución solar
Radiación
solar
Balance de calor
Frecuencia del cálculo de sombreado
Traslape del cálculo de sombreado
Intervalos de tiempo por hora
Algoritmo
Discretización del espacio
Frecuencia promedio diaria
Completa interior y exterior con reflexiones
20 15000
4
Función de la transferencia de calor
3
Las variables de salida de EnergyPlus requeridas en los cálculos energéticos son las siguientes:
• Energía de radiación solar transmitida a través del acristalamiento de la zona (joules, J). Cantidad de radiación solar de onda corta transmitida a través de las ventanas exteriores de la zona. Esta radiación incluye la luz solar directa que atraviesa el vidriado, la radiación difusa reflejada desde el exterior de la ventana y la radiación difusa que atraviesa el vidriado desde el exterior de la ventana.
• Energía de iluminación eléctrica de la zona (J). Consumo eléctrico en iluminación para todas las luces de la zona, incluidos los balastros si están presentes. Estos cálculos utilizan la información de cada perfil anual del uso de la iluminación eléctrica generado con Radiance, mediante diva. Estos perfiles horarios son un archivo de entrada para el cálculo de la energía de iluminación eléctrica de la zona con EnergyPlus. Se establecen como un sistema de control manual para una fuente de iluminación artificial en el centro de la segunda
mitad más profunda del espacio. Estos calendarios horarios son utilizados en lugar de los cálculos de iluminación natural preestablecidos en EnergyPlus que utilizan el método de flujo dividido (SplitFlux) que es menos preciso que el de Radiance.
Esto también ayuda a obtener resultados más sensibles y evitar los inconvenientes ya reportados con respecto a la precisión del software EnergyPlus en la predicción de la luz natural disponible en un espacio, especialmente a medida que aumenta la distancia a la fachada [141].
• Energía de calefacción total de la zona (J). Energía de calefacción total (sensible y latente) suplida por zona.
• Energía de refrigeración total de la zona (J). Es la energía de refrigeración total (sensible y latente) suplida por zona.
Con el enfoque de estudiar el rendimiento energético de las ventanas, se evita modelar un sistema hvac específico. Por tanto, se selecciona la opción del programa EnergyPlus «Sistema ideal hvac» que provee un modelo ideal que suple la calefacción y refrigeración en suficiente cantidad para alcanzar la carga de la zona o hasta sus límites [95]. Las condiciones de este modelo hvac ideal son controladas según las especificaciones de la tabla 5.8. Una vez establecidos todos estos parámetros, se procede a realizar las simulaciones. Los resultados se obtienen en Joules (J), por lo que es preciso realizar su conversión a kWh con el factor:

Al finalizar los cálculos, se obtienen los indicadores para describir el rendimiento térmico de las ventanas que corresponden a la ganancia solar y a los consumos de energía anual en iluminación, calefacción, refrigeración y total. Éstos se resumen en la tabla 5.10.
Tabla 5.10. Indicadores del rendimiento energético.
Ganancia solar
Consumo de energía en iluminación
Consumo de energía en calefacción
Consumo de energía en refrigeración
Consumo de energía total
Energía de radiación solar de onda corta transmitida a través del acristalamiento, cuantificada anualmente y normalizada por área.
Energía anual total utilizada en sitio para suplir la iluminación eléctrica, normalizada por área.
Energía anual total utilizada en sitio para suplir el sistema de calefacción, normalizada por área.
Energía anual total utilizada en sitio para suplir el sistema de refrigeración, normalizada por área.
Energía anual total utilizada en sitio para suplir los sistemas de iluminación, calefacción y refrigeración, normalizada por área.
kWh/m2
kWh/m2
kWh/m2
kWh/m2
kWh/m2
El criterio de selección de las ventanas óptimas involucra dos ámbitos: iluminación y ganancias solares. Por tanto, se debe procurar un balance entre la provisión de la luz natural y la reducción de las ganancias solares, ya que ambos factores repercuten en los consumos de energía total (iluminación más calefacción y refrigeración).
• Los resultados de iluminación natural son presentados como porcentajes del plano de trabajo (% pt), de acuerdo a los objetivos de la métrica DAv. En resumen, el «área completamente iluminada» está basada en iluminancias autónomas útiles (300-3000 lux) y el «área parcialmente iluminada» está basada en iluminancias suplementarias útiles (150-3000 lux),
ambos rangos mantenidos con luz natural durante al menos el 50% del tiempo de ocupación. Por tanto, se considera como objetivo de iluminación:
• Al menos la mitad del plano de trabajo como área completamente y parcialmente iluminada
área parcialmente iluminada+ área completamente iluminada ≥50% pt
• La iluminación natural excesiva está asociada con problemas de deslumbramiento y disconfort térmico por exceso de ganancias solares1, por tanto, es conveniente establecer un límite máximo para las iluminancias excesivas. Estudios recomiendan confinar el «área sobreiluminada» a menos de la mitad del plano de trabajo para minimizar el uso del acondicionamiento eléctrico [68]. El área sobreiluminada se refiere a las iluminancias excesivas (>3000 lux) que ocurren durante más del 5% del tiempo de ocupación; éstas han sido asociadas con pérdida de confort visual y térmico [69]. Por tanto, el objetivo para limitar las iluminancias excesivas es:
• Confinar el área sobreiluminada a menos de la mitad del plano de trabajo
área sobreiluminada< 50% pt
• En el aspecto energético, se consideran los resultados anuales obtenidos para los indicadores de ganancias solares y los consumos de energía en iluminación, refrigeración y calefacción.
1 Respecto a las ganancias solares a través del acristalamiento, existe una falta de información sobre los valores límites recomendables en un espacio. Una de las maneras de relacionar la radiación solar con el exceso de calor en un espacio es a través del comportamiento de los usuarios: ante disconfort térmico o visual, los usuarios dejarán su lugar o utilizarán sistemas para bloquear la entrada de luz solar. Al presente, existen variedad de resultados experimentales pero no un criterio unificado sobre límites de kWh/m2 [142-146].
las Américas
En general, el objetivo es la disminución del consumo energético y de las ganancias solares. Cabe aclarar que, aunque la práctica del uso de sistemas de calefacción es poco habitual en México, se incluyó su cálculo para evaluar el efecto de la radiación solar en el interior de los espacios. Al considerarse diferentes wwr en cuatro orientaciones, es importante valorar los beneficios/desventajas producidos por las ganancias solares (por ejemplo, el efecto de las pérdidas de calor a través de wwr grandes, sobre todo en fachadas orientadas al norte, en climas templados).
En esta sección se presentan los resultados de las métricas de iluminación natural y de los indicadores energéticos, obtenidos de la simulación computacional de todas las configuraciones de ventanas. Para la interpretación y procesamiento estadístico de los resultados, se estudia un factor a la vez mientras los otros factores se mantienen fijos. En síntesis, se analiza:
• El efecto de la variación del tamaño de la ventana (wwr) en la iluminación y ganancias solares, cuando la localidad, la orientación y la profundidad del espacio se mantienen fijos. Los resultados se expresan en gráficas comparativas por localidad de estudio.
Las figuras 5.15 y 5.16 presentan los resultados del esquema DAv obtenidos para los modelos A (proporción 1:1) y B (proporción 1:2), respectivamente. En tales, se incluyen todos los tamaños de ventanas (wwr 10-100%), en las 4 orientaciones (sur, norte, este y oeste), para la ciudad de Monterrey, Nuevo León. Considerando los objetivos de iluminación propuestos, es posible identificar qué porcentajes de wwr originan ventanas óptimas.

Figura 5.15.
Resultados DAv obtenidos para el modelo A. Se incluyen todos los tamaños de ventanas (WWR 10-100%), en las 4 orientaciones (sur, norte, este y oeste), para la ciudad de Monterrey, Nuevo León.
Consultar la versión a color en anexo 4.

Figura 5.16.
Resultados DAv obtenidos para el modelo B. Se incluyen todos los tamaños de ventanas (WWR 10-100%), en las 4 orientaciones (sur, norte, este y oeste), para la ciudad de Monterrey, Nuevo León.
Consultar la versión a color en anexo 4.
a) Proporción 1:1
• Sur: resultan óptimos los tamaños pequeños, éstos son los wwr 10-30%.
• Norte: los tamaños convenientes resultaron los wwr 10-90%.
• Este: únicamente el wwr 10%.
• Oeste: similar al sur, resultan óptimos los wwr 10-30%.
b) Proporción 1:2
• Sur: resultan óptimos los wwr 20-70%.
• Norte: los tamaños convenientes son wwr 20-100%.
• Este: los wwr 10-20% cumplen únicamente con no exceder las iluminancias excesivas.
• Oeste: similar al sur, resultan óptimos los WWR 20-70%.
En general, para la ciudad de Monterrey, se observa que las orientaciones sur y oeste presentan un rendimiento lumínico similar, con wwr óptimos equivalentes (cuando se trata de modelos de igual proporción). Asimismo, se aprecia que el norte provee mayores posibilidades de diseño y de selección del wwr. En cambio, la orientación este presenta problemas de sobreiluminación en la mayoría de los tamaños de ventana. Esto se atribuye a que los niveles de radiación solar durante las horas matutinas son más altos que los observados en las horas vespertinas. En la figura 5.17 (ver anexo 4) se pueden observar los valores horarios de radiación global horizontal (Wh/m2) para los solsticios y equinoccios, considerando el huso horario GMT-6 utilizado en México. Asimismo, la figura 5.18 (ver anexo 4) muestra los valores horarios de la iluminancia normal directa del Sol (lux), cuya frecuencia e intensidad es mayor durante las horas de la mañana. Esto, considerando el horario estándar que tiene como mediodía las 12:30 horas aproximadamente, según el archivo climático de la ciudad de Monterrey.
Comparando las dos profundidades analizadas, se aprecia que la proporción 1:2 consigue mayores wwr como óptimos, principalmente en las orientaciones sur y oeste. En cambio, las orientaciones norte y este, consiguen wwr óptimos similares para las dos proporciones. En cuestiones de diseño, esto permite inferir que los espacios que se requieren orientar hacia el sur y oeste (por diversas razones como pueden ser la zonificación, las condicionantes del terreno, los límites y colindancias, etc.) debieran proponerse con mayor profundidad si se requiere ampliar el tamaño de ventanas (por visuales, mayor acceso a la luz natural, etc.).
En el aspecto energético, las figuras 5.19 y 5.20 resumen los resultados anuales obtenidos para los indicadores de ganancias solares y
consumos de energía en iluminación, refrigeración y calefacción. Las simulaciones energéticas confirmaron que el consumo en calefacción es prácticamente nulo para algunos climas del país. Este fue el caso de la ciudad de Monterrey, con excepción de la orientación norte. En resumen, los resultados energéticos:
a) Proporción 1:1
• Sur: los wwr 10-30% proveen ganancias solares de entre 67 y 203 kWh/m2. El consumo en iluminación es de 32 a 38 kWh/m2 y en refrigeración, de 226 a 313 kWh/m2. Por tanto, el consumo total es de entre 264 y 345 kWh/m2
• Norte: los wwr convenientes proveen ganancias solares de entre 26 y 235 kWh/m2. El consumo en iluminación es de 31 a 42 kWh/m2, mientras que en refrigeración es de 139 a 246 kWh/m2, y en calefacción es de entre 2 y 4 kWh/m2. Por tanto, el consumo total es de entre 185 y 279 kWh/m2.
• Este: esta orientación es particular, debido a que sólo el wwr 10% resultó conveniente. Sus ganancias solares son de 75 kWh/m2, mientras que los consumos en iluminación y refrigeración son de 38 y 250 kWh/m2, respectivamente. El consumo total es de 288 kWh/m2.
• Oeste: los wwr 10-30% consiguen ganancias solares entre 49 y 148 kWh/m2, consumos en iluminación, refrigeración y calefacción de entre 32 y 39 kWh/m2, 187 y 243 kWh/m2 y 1 kWh/m2, respectivamente. El consumo total es de entre 226 y 276 kWh/m2.
b) Proporción 1:2
• Sur: los wwr 20-70% proveen ganancias solares de entre 90 y 316 kWh/m2. El consumo en iluminación es de 32 a 43 kWh/m2 y en refrigeración, de 226 a 377 kWh/m2. Por tanto, el consumo total es de entre 269 y 410 kWh/m2
• Norte: los wwr 20-100% proveen ganancias solares de entre 35 y 171 kWh/m2. El consumo en iluminación es de 32 a 50 kWh/m2, mientras que, en refrigeración, de 142 a 211 kWh/m2. Por tanto, el consumo total es de entre 193 y 243 kWh/m2

Figura 5.19.
Modelo A: resultados de los indicadores energéticos obtenidos para todos los tamaños de ventanas (WWR 10-100%), en las 4 orientaciones (sur, norte, este y oeste), para la ciudad de Monterrey, Nuevo León.
Consultar la versión a color en anexo 4.
• Este: los wwr 10 y 20% proveen ganancias solares de entre 50 y 101 kWh/m2. El consumo en iluminación es de entre 42 y 52 kWh/m2, mientras que el consumo en refrigeración es de entre 216 y 244 kWh/m2. Como resultado, el consumo total fue de entre 268 y 286 kWh/m2
• Oeste: los wwr 20-70% consiguen ganancias solares de entre 66 y 230 kWh/m2, el consumo en iluminación es de entre 32 y 45 kWh/m2, mientras que el consumo en refrigeración es de entre 187 y 287 kWh/m2. El consumo total es de entre 232 y 319 kWh/m2.
Los resultados térmicos y energéticos señalan claramente que las orientaciones sur y este son las que consumen más energía total anual. Incluso, se observa que las orientaciones norte y oeste consiguen menores consumos aun cuando se utilizan ventanas más grandes (>wwr que sus equivalentes al sur y este). Lo anterior se debe principalmente al consumo en el rubro de refrigeración. Como se puede observar en las figuras 5.19 y 5.20, existe una relación lineal entre las ganancias solares y el consumo en refrigeración.

Figura 5.20.
Modelo B: resultados de los indicadores energéticos obtenidos para todos los tamaños de ventanas (WWR 10-100%), en las 4 orientaciones (sur, norte, este y oeste), para la ciudad de Monterrey, Nuevo León.
Consultar la versión a color en anexo 4.
Otra observación importante de señalar es que los espacios de mayor profundidad consumen menos energía que los espacios de menor profundidad. Esto se observa principalmente en el consumo de energía en refrigeración; lo contrario sucede con los consumos en iluminación eléctrica. No obstante, el primer rubro tiene un peso mayor en el consumo de energía total anual. Esta tendencia es general para los diferentes wwr en diversas orientaciones. Por tanto, es importante considerar espacios profundos, principalmente en las orientaciones sur y este, para minimizar los consumos eléctricos.
La observación anterior puede atribuirse a la profundidad de penetración de la luz solar: en espacios profundos, un área importante del plano de trabajo queda alejada de la ventana, por lo que no siempre recibe radiación solar directa; lo contrario ocurre con espacios de poca profundidad, en los que el plano de trabajo queda constantemente expuesto a la luz solar. Las figuras 5.21 y 5.22 (ver anexo 4) muestran una comparativa entre las iluminancias excesivas (E >3,000 lux, >5% tiempo) cuantificadas sobre el plano de trabajo (área sobreiluminada en color magenta). Así, es posible observar que esta área aumenta conforme aumenta el wwr, en todas las orientaciones.
Además, se aprecia que el área sobreiluminada tiende a cubrir un menor porcentaje del plano de trabajo cuando se trata de espacios con mayor profundidad. En los modelos en proporción 1:2, la mayoría de los modelos tiende a alcanzar menos del 100% del plano de trabajo como área sobreiluminada; únicamente se exceptúan los wwr 80100% en la orientación este (figura 5.22). En contraste, en los modelos en proporción 1:1, sólo en la orientación norte no se cubre la totalidad del plano de trabajo como área sobreiluminada; en las otras orientaciones, el 100% del plano de trabajo permanece completamente sobreiluminado a partir de wwr >60% al sur, wwr >30% al este y wwr >70% al oeste (figura 5.21).
Mérida
Las figuras 5.23 y 5.24 presentan los resultados de las cuatro áreas DAv obtenidos para los modelos A (proporción 1:1) y B (proporción 1:2), respectivamente. A modo comparativo, se incluyen todos los tamaños de ventanas (wwr 10-100%), en las cuatro orientaciones (sur, norte, este y oeste), para la ciudad de Mérida, Yucatán. Considerando los objetivos de iluminación propuestos, es posible identificar qué porcentajes de wwr originan ventanas óptimas.
a) Proporción 1:1
• Sur: resultan óptimos los tamaños pequeños, éstos son los WWR 10-30%.
• Norte: los tamaños convenientes son wwr 10-90%.
• Este: las ventanas pequeñas o wwr 10 y 20%.
• Oeste: resultan óptimos únicamente el wwr 10%.
b) Proporción 1:2
• Sur: resultan óptimos los wwr 10-80%.
• Norte: los tamaños convenientes son wwr 20-100%.
• Este: los wwr 30-50% resultan adecuados.
• Oeste: resultan óptimos los wwr 20-30%.

Figura 5.23.
Resultados DAv obtenidos para el modelo A. Se incluyen todos los tamaños de ventanas (WWR 10-100%), en las 4 orientaciones (sur, norte, este y oeste), para la ciudad de Mérida, Yucatán.
Consultar la versión a color en anexo 4.

Figura 5.24.
Resultados DAv obtenidos para el modelo B. Se incluyen todos los tamaños de ventanas (WWR 10-100%), en las 4 orientaciones (sur, norte, este y oeste), para la ciudad de Mérida, Yucatán.
Consultar la versión a color en anexo 4.
En general, para la ciudad de Mérida, se observa que casi todos los tamaños de ventanas (incluso los wwr > 50%) son factibles para la orientación norte (en ambas proporciones). Por tanto, esta orientación provee más posibilidades de diseño de ventanas y de proporción
del espacio. En cambio, las ventanas en las otras tres orientaciones presentan comportamientos directamente relacionados con la profundidad del espacio. Por ejemplo, la proporción 1:2 consigue ventanas óptimas de mayor wwr hacia las orientaciones sur, este y oeste, en comparación con las que consigue la proporción 1:1. Más específicamente, wwr ≤80% son óptimos al sur para espacios profundos mientras que wwr ≤30% son recomendables al sur para espacios poco profundos. Asimismo, ventanas pequeñas o wwr ≤50% y wwr ≤30% son recomendables para las orientaciones este y oeste, respectivamente, cuando el espacio es profundo. En cambio, ventanas más pequeñas, wwr ≤20% y wwr ≤10% son adecuadas hacia el este y oeste cuando el espacio es poco profundo.
En general, se observa que el oeste requiere wwr menores para las dos profundidades. Esto se atribuye a que los niveles de radiación solar durante las horas matutinas son menores a los observados durante las horas vespertinas. En la figura 5.25 (ver anexo 4) se pueden observar los valores horarios de radiación global horizontal para los solsticios y equinoccios, considerando el huso horario gmt–6 utilizado en México. Asimismo, la figura 5.26 (ver anexo 4) muestra los valores horarios de la iluminancia normal directa del Sol (lux), cuya frecuencia e intensidad es mayor durante las horas de la tarde. Esto, considerando el horario estándar que tiene como mediodía las 12:00 horas aproximadamente, según el archivo climático de la ciudad de Mérida.
En el aspecto energético, las figuras 5.27 y 5.28 resumen los resultados anuales obtenidos para los indicadores de ganancias solares y consumos de energía en iluminación, refrigeración y calefacción. Tal como se mencionó previamente, el uso de los sistemas de calefacción en México es muy escaso. En Mérida, por ejemplo, el uso de calefacción es prácticamente nulo debido al clima que caracteriza a la región. En síntesis, los resultados energéticos:
a) Proporción 1:1
• Sur: los wwr 10-30% proveen ganancias solares de entre 63 y 190 kWh/m2. El consumo en iluminación es de 32 a 38 kWh/m2

Figura 5.27.
Modelo A: resultados de los indicadores energéticos obtenidos para todos los tamaños de ventanas (WWR 10-100%), en las cuatro orientaciones (sur, norte, este y oeste), para la ciudad de Mérida, Yucatán.
Consultar la versión a color en anexo 4.

Figura 5.28.
Modelo B: resultados de los indicadores energéticos obtenidos para todos los tamaños de ventanas (WWR 10-100%), en las cuatro orientaciones (sur, norte, este y oeste), para la ciudad de Mérida, Yucatán.
Consultar la versión a color en anexo 4.
y en refrigeración de 345 a 433 kWh/m2. Por tanto, el consumo total es de entre 423 y 465 kWh/m2
• Norte: los wwr convenientes proveen ganancias solares de entre 27 y 239 kWh/m2. El consumo en iluminación es de 31 a 41 kWh/m2, mientras que en refrigeración, de 246 a 396 kWh/m2. Por tanto, el consumo total es de entre 288 y 412 kWh/m2
• Este: los wwr 10 y 20% consiguieron ganancias solares de entre 51 y 102 kWh/m2, consumos en iluminación, de 34 a 40 kWh/m2 y consumos en refrigeración, de 310 y 342 kWh/m2. El consumo total fue de entre 350 y 376 kWh/m2
• Oeste: el wwr 10% consigue ganancias de 64 kWh/m2. Asimismo, consumos en iluminación y refrigeración de 38 kWh/ m2 y 342 kWh/m2, respectivamente. Por tanto, el consumo total es de 380 kWh/m2.
b) Proporción 1:2
• Sur: los wwr 10-80% proveen ganancias solares de entre 42 y 337 kWh/m2. El consumo en iluminación es de entre 33 y 56 kWh/m2 y en refrigeración de entre 302 y 503 kWh/m2. Por tanto, el consumo total es de entre 358 y 536 kWh/m2
• Norte: los wwr 20-100% proveen ganancias solares de entre 36 y 174 kWh/m2. El consumo en iluminación es de 32 a 50 kWh/m2, mientras que en refrigeración, de entre 240 y 325 kWh/m2. Por tanto, el consumo total es de entre 290 y 358 kWh/m2
• Este: los wwr 30-50% proveen ganancias solares de entre 102 y 171 kWh/m2. El consumo en iluminación es de 35 a 39 kWh/ m2, mientras que el consumo en refrigeración, de entre 314 y 362 kWh/m2. Como resultado, el consumo total fue de entre 354 y 396 kWh/m2
• Oeste: los wwr 20 y 30% consiguen ganancias solares de entre 86 y 129 kWh/m2, el consumo en iluminación, de 37 a 43 kWh/m2, mientras que el consumo en refrigeración, de 323 a 350 kWh/m2. El consumo total es de entre 366 y 387 kWh/m2
Los resultados térmicos y energéticos señalan que las orientaciones sur y oeste son las que consumen más energía total anual. Esto se debe principalmente al uso de energía en refrigeración, derivado de las ganancias solares a través de las ventanas. Las figuras 5.27 y 5.28 indican una relación lineal entre estos dos rubros. Aunado a esto, la orientación oeste presenta un consumo eléctrico menor que el este, debido a las diferencias en intensidad de la radiación solar que ocurre durante las mañanas y durante las tardes (figura 5.25, ver anexo 4). En contraste, la orientación norte es la que presenta los menores consumos anuales y de refrigeración. Por tanto, existe la versatilidad de abrir ventanas con mayores wwr hacia esta última orientación.
Respecto a la profundidad, los resultados energéticos muestran lo siguiente. Los espacios con mayor profundidad tienden a consumir menos energía total y de refrigeración que los espacios con menor profundidad. Lo contrario sucede con los consumos de energía en iluminación, aunque este rubro no es muy significativo en la suma de energía total anual. Esta tendencia aplica para los diferentes wwr en las diferentes orientaciones. Por tanto, es importante considerar espacios profundos, principalmente en las orientaciones sur y oeste en la ciudad de Mérida, con el objetivo de minimizar los consumos eléctricos.
Tal comportamiento puede atribuirse a la profundidad de penetración de la luz solar: en espacios profundos, una importante área del plano de trabajo queda alejada de la ventana, por lo que no siempre recibe radiación solar directa; lo contrario ocurre con espacios de poca profundidad, en los que el plano de trabajo queda constantemente expuesto a la luz solar. Las figuras 5.29 y 5.30 (ver anexo 4) presentan una comparativa entre las iluminancias excesivas (E >3000 lux, >5% tiempo) cuantificadas sobre el plano de trabajo (área sobreiluminada en color magenta) para los diferentes modelos de estudio.
De esta manera, es posible observar que el área sobreiluminada aumenta conforme lo hace el wwr, en todas las orientaciones. Asimismo, se aprecia que el área sobreiluminada tiende a cubrir un menor porcentaje del total del plano de trabajo cuando se trata de espacios con mayor profundidad. Al respecto, los modelos en proporción 1:2 alcanzan menos del 100% del plano de trabajo como área sobreilu-
minada en las cuatro orientaciones (figura 5.30). En cambio, esta última tendencia sólo se observa en la orientación norte, en los modelos en proporción 1:1 (figura 5.29); en las otras orientaciones, el 100% del plano de trabajo queda sobreiluminado con wwr >70% al sur, wwr >50% al este y wwr >40% al oeste.
Las figuras 5.31 y 5.32 presentan los resultados de las cuatro áreas DAv obtenidos para los modelos A (proporción 1:1) y B (proporción 1:2), respectivamente. A modo comparativo, se incluyen todos los tamaños de ventanas (wwr 10-100%), en las cuatro orientaciones (sur, norte, este y oeste), para la ciudad de Puebla, Puebla. Considerando los objetivos de iluminación propuestos, es posible identificar qué porcentajes de wwr originan ventanas óptimas.
a) Proporción 1:1
• Sur: resultan óptimos los tamaños pequeños, éstos son los wwr 10-30%.
• Norte: los tamaños convenientes son wwr 10-90%.
• Este: las ventanas pequeñas, wwr 10%.
• Oeste: resultan óptimos únicamente los WWR 10-30%.
b) Proporción 1:2
• Sur: resultan óptimos los wwr 20-80%.
• Norte: los tamaños convenientes son wwr 20-100%.
• Este: resulta óptimo el wwr 20%, mientras que el wwr 10% cumple únicamente con no exceder las iluminancias excesivas.
• Oeste: similar al sur, resultan óptimos los WWR 20-80%.
En general, para la ciudad de Puebla, se aprecia que el norte provee mayores posibilidades de diseño y de selección del wwr, incluyendo aquellas ventanas que cubren el 90-100% de la fachada. Asimismo, se observa que las orientaciones sur y oeste presentan un rendimiento lumínico similar, con wwr óptimos equivalentes para

Figura 5.31.
Resultados DAv obtenidos para el modelo A. Se incluyen todos los tamaños de ventanas (WWR 10-100%), en las cuatro orientaciones (sur, norte, este y oeste), para la ciudad de Puebla, Puebla. Consultar la versión a color en anexo 4.

Figura 5.32.
Resultados DAv obtenidos para el modelo B. Se incluyen todos los tamaños de ventanas (WWR 10-100%), en las cuatro orientaciones (sur, norte, este y oeste), para la ciudad de Puebla, Puebla. Consultar la versión a color en anexo 4.
modelos de igual proporción: 10-30% al sur y 20- 80% al oeste. En cambio, la orientación este presenta problemas de iluminación excesiva en la mayoría de los tamaños de ventana.
Lo anterior se atribuye a que los niveles de radiación solar durante las horas matutinas son más altos que los observados en las horas vespertinas. En la figura 5.33 (ver anexo 4) se puede observar los valores horarios de radiación global horizontal para los solsticios y equinoccios, considerando el huso horario gmt–6 utilizado en México. Asimismo, la figura 5.34 (ver anexo 4) muestra los valores horarios de la iluminancia normal directa del Sol (lux), cuya frecuencia e intensidad es mayor durante las horas de la mañana. Esto, considerando el horario estándar que tiene como medio día las 12:30 horas aproximadamente, según el archivo climático de la ciudad de Puebla.
Comparando las dos profundidades analizadas, se aprecia que la proporción 1:2 consigue mayores wwr como óptimos, particularmente en las orientaciones sur y oeste. En cambio, las orientaciones norte y este consiguen wwr óptimos similares para ambas proporciones de espacio (aunque la iluminación natural es menos intensa en el modelo de mayor profundidad, lo que permite menor área sobreiluminada). En cuestiones de diseño, esto permite inferir que los espacios que se requieren orientar hacia el sur y oeste (por diversas razones como pueden ser la zonificación, las condicionantes del terreno, los límites y colindancias, etc.) debieran proponerse con mayor profundidad cuando se requieran ventanas de mayor área (por visuales, acceso a la luz natural, etc.).
En el aspecto energético, las figuras 5.35 y 5.36 resumen los resultados anuales obtenidos para los indicadores de ganancias solares y consumos de energía en iluminación, refrigeración y calefacción. En este último rubro, las simulaciones arrojaron que sólo en la orientación norte se requiere calefacción. En resumen, los resultados energéticos:
a) Proporción 1:1
• Sur: los wwr 10-30% proveen ganancias solares de entre 67 y 203 kWh/m2. El consumo en iluminación es de 32 a 37 kWh/m2
Escuela de Artes y Humanidades
y en refrigeración, de 90 a 169 kWh/m2. Por tanto, el consumo total es de entre 127 y 201 kWh/m2
• Norte: los wwr convenientes proveen ganancias solares de entre 29 y 264 kWh/m2. El consumo en iluminación es de 31 a 40 kWh/m2, mientras que, en refrigeración, de 21 a 114 kWh/ m2, y en calefacción, de entre 1 y 3 kWh/m2. Por tanto, el consumo total es de entre 64 y 145 kWh/m2.
• Este: esta orientación es particular, debido a que sólo el wwr 10% resultó conveniente. Sus ganancias solares fueron de 84 kWh/m2, mientras que los consumos en iluminación y refrigeración fueron de 37 y 127 kWh/m2, respectivamente. El consumo total fue de 164 kWh/m2.
• Oeste: los wwr 10-30% consiguen ganancias solares de entre 52 y 156 kWh/m2; asimismo, consumen entre 32 y 38 kWh/ m2 en iluminación y entre 50 y 101 kWh/m2 en refrigeración. El consumo total de energía es de entre 88 y 133 kWh/m2.
b) Proporción 1:2
• Sur: los wwr 20-80% proveen ganancias solares entre 90 y 360 kWh/m2. El consumo en iluminación es de 32 a 43 kWh/m2 y en refrigeración, de 118 a 288 kWh/m2. Por tanto, el consumo total es de entre 161 y 320 kWh/m2
• Norte: los wwr 20-100% proveen ganancias solares de entre 39 y 192 kWh/m2. El consumo en iluminación es de 32 a 49 kWh/m2, mientras que en refrigeración es de 43 a 109 kWh/ m2. Por tanto, el consumo total es de entre 92 y 141 kWh/m2
• Este: los wwr 10 y 20% proveen ganancias solares de entre 56 y 112 kWh/m2. El consumo en iluminación es de 42 a 56 kWh/ m2, mientras que el consumo en refrigeración es de 128 a 156 kWh/m2. Como resultado, el consumo total fue de entre 184 y 200 kWh/m2
• Oeste: los wwr 20-80% consiguen ganancias solares de entre 69 y 277 kWh/m2, el consumo en iluminación, de 32 a 45 kWh/ m2, mientras que el consumo en refrigeración, de 81 a 200 kWh/m2. El consumo total es de entre 126 y 232 kWh/m2

Figura 5.35.
Modelo A: resultados de los indicadores energéticos obtenidos para todos los tamaños de ventanas (WWR 10-100%), en las cuatro orientaciones (sur, norte, este y oeste), para la ciudad de Puebla, Puebla.
Consultar la versión a color en anexo 4.

Figura 5.36.
Modelo B: resultados de los indicadores energéticos, obtenidos para todos los tamaños de ventanas (WWR 10-100%), en las cuatro orientaciones (sur, norte, este y oeste), para la ciudad de Puebla, Puebla.
Consultar la versión a color en anexo 4.
Los resultados térmicos y energéticos señalan que las orientaciones sur y este son las que consumen más energía total anual en la ciudad de Puebla. Esto se debe principalmente al consumo en el rubro de refrigeración, tal como se observa en las figuras 5.35 y 5.36. En éstas también se aprecia una relación lineal entre las ganancias solares y el consumo en refrigeración: a mayor ganancia solar, mayor consumo en refrigeración. Además, se observa que las orientaciones norte y oeste consiguen menores consumos totales aun cuando se utilizan ventanas más grandes (>wwr).
Otra observación importante es que los espacios de mayor profundidad consumen menos energía que los espacios de menor profundidad. Esto se observa principalmente en el consumo de energía en refrigeración; lo contrario sucede con los consumos en iluminación eléctrica. No obstante, el primer rubro tiene un peso mayor en el consumo de energía total anual. Esta tendencia aplica para los diferentes wwr en las cuatro orientaciones. Por ejemplo, el consumo máximo en la proporción 1:2 es de 466 kWh/m2, mientras que en la proporción 1:1 se alcanzan 608 kWh/m2
Tal comportamiento puede atribuirse a la profundidad de penetración de la luz solar: en espacios profundos, una importante área del plano de trabajo queda alejada de la ventana, por lo que no siempre recibe radiación solar directa; lo contrario ocurre con espacios de poca profundidad, en los que el plano de trabajo queda constantemente expuesto a la luz solar. En suma, es recomendable diseñar espacios con mayor profundidad en las orientaciones sur y este, para minimizar los consumos eléctricos.
Respecto a lo anterior, las figuras 5.37 y 5.38 (ver anexo 4) presentan una comparativa entre las iluminancias excesivas (E >3000 lux, >5% tiempo) cuantificadas sobre el plano de trabajo (área sobreiluminada en color magenta). De esta manera, es posible observar que el área sobreiluminada aumenta conforme aumenta el wwr, en las cuatro orientaciones. Asimismo, se aprecia que ésta tiende a cubrir un menor porcentaje del plano de trabajo cuando se trata de espacios con mayor profundidad. En aquellos modelos en proporción 1:2, ningún wwr en la orientaciones sur, norte y oeste alcanza el 100%
del plano de trabajo como área sobreiluminada; únicamente los wwr >80% en la orientación este presentan el 100% del plano con iluminación excesiva (figura 5.38). En cambio, aquellos modelos en proporción 1:1 consiguen el 100% del plano de trabajo como área sobreiluminada a partir del wwr >70% al sur y al oeste, y wwr >40% al este (figura 5.37).
Resumen comparativo entre climas: resultados lumínicos y térmicos
Las figuras 5.39 y 5.40 resumen los resultados lumínicos y energéticos de las tres localidades de estudio, para el modelo en proporción 1:1. En ellas se observan los cambios atribuibles al clima y latitud. En el ámbito lumínico, las variaciones más notorias se obtuvieron para las orientaciones este y oeste, particularmente en los wwr < 50%. En el ámbito energético, se aprecia claramente que la orientación y el clima son factores cruciales en el consumo de energía. La temperatura y la humedad (figuras 5.4, 5.5 y 5.6) de una región impactan linealmente el rubro de refrigeración: a mayor temperatura, mayor consumo en refrigeración (por ejemplo, la ciudad de Mérida). En cambio, la cantidad de radiación puede resultar positiva para disminuir los consumos en refrigeración en climas templados (por ejemplo, en la ciudad de Puebla se consiguen consumos eléctricos menores, aun cuando las ganancias solares son mayores en algunas orientaciones).
Las figuras 5.41 y 5.42 resumen los resultados lumínicos y energéticos para el modelo en proporción 1:2. En el ámbito lumínico, los cambios más notorios se atribuyen nuevamente a las orientaciones este y oeste, a partir de wwr < 30%. En el ámbito energético, se aprecia que tanto el clima como la profundidad del espacio son aspectos claves. Respecto al clima, las observaciones del modelo A se aprecian nuevamente en el modelo B. Es decir, a mayor temperatura, mayor consumo en refrigeración. Asimismo, las ganancias solares (en climas templados) tienen un impacto positivo en el uso de refrigeración, en cuanto contribuyen a disminuir el consumo eléctrico. Respecto a la profun-

Figura 5.39.
Modelo A: resultados DAv. Se incluyen todos los tamaños de ventanas (WWR 10-100%), en las cuatro orientaciones (sur, norte, este y oeste), para las tres localidades de estudio (Monterrey, Mérida y Puebla).
Consultar la versión a color en anexo 4.

Figura 5.40.
Modelo A: resultados de los indicadores energéticos obtenidos para todos los tamaños de ventanas (WWR 10-100%), en las 4 orientaciones (sur, norte, este y oeste), para las tres localidades de estudio (Monterrey, Mérida y Puebla).
Consultar la versión a color en anexo 4.
didad, se observa lo siguiente (figura 5.40 vs. 5.42): a mayor profundidad del espacio, menores ganancias solares y, por tanto, menor consumo de energía en refrigeración y menor consumo de energía total. Con base en esto, se ratifica que es conveniente establecer rangos de diseño de ventanas óptimas por clima y localidad, según la profundidad del espacio.

Figura 5.41.
Modelo B: resultados DAv. Se incluyen todos los tamaños de ventanas (WWR 10-100%), en las cuatro orientaciones (sur, norte, este y oeste), para las tres localidades de estudio (Monterrey, Mérida y Puebla).
Consultar la versión a color en anexo 4.

Figura 5.42.
Modelo B: resultados de los indicadores energéticos, obtenidos para todos los tamaños de ventanas (WWR 10-100%), en las cuatro orientaciones (sur, norte, este y oeste), para las tres localidades de estudio (Monterrey, Mérida y Puebla).
Consultar la versión a color en anexo 4.
A continuación, se resumen los criterios de diseño de ventanas óptimos, según los objetivos establecidos. Es decir, aquellas ventanas que proveen niveles adecuados de luz natural para desarrollar tareas visuales comunes en edificios residenciales, éstas son, iluminancias autónomas (300-3,000 lux) y suplementarias (150-300 lux), durante
más del 50% del tiempo de ocupación. Asimismo, estos criterios de diseño contribuyen a reducir las iluminancias excesivas (>3,000 lux) durante menos del 5% del tiempo de ocupación. Estas iluminancias han sido asociadas con problemas de disconfort térmico y visual, y, según los resultados aquí expuestos, están vinculadas con incrementos en los consumos de energía total anual, principalmente en el rubro de refrigeración.
Los criterios están organizados en tres grupos, acorde a la localidad estudiada. La simbología «» se utiliza para identificar los tamaños de ventana (wwr) óptimos, según la proporción del espacio y la orientación. El ícono «!» significa que el tamaño de ventana es recomendable, en tanto que no provee iluminancias excesivas durante más del 5% del tiempo de ocupación; sin embargo, los niveles de iluminación pueden requerir complementarse con iluminación artificial. El ícono «» significa que las ventanas no son recomendables en esos tamaños, para esas orientaciones y proporciones específicas.
Tabla 5.11. Guías de diseño para ventanas en clima cálido seco (Monterrey, Nuevo León).
Monterrey, Nuevo León
Proporción 1:1
OrientaciónWWR
Área completamente iluminada Área sobreiluminada
Proporción 1:2
Área completamente iluminada Área sobreiluminada
Norte
Oeste
Tabla 5.12. Guías de diseño para ventanas en clima cálido húmedo (Mérida, Yucatán).
Mérida, Yucatán
Proporción 1:1
OrientaciónWWR
Área completamente iluminada Área sobreiluminada
Proporción 1:2
Área completamente iluminada Área sobreiluminada
Tabla 5.13. Guías de diseño para ventanas en clima templado (Puebla, Puebla).
Puebla, Puebla
Proporción 1:1
OrientaciónWWR
Área completamente iluminada
Área sobreiluminada
Proporción 1:2
Área completamente iluminada
Área sobreiluminada Sur
México es un país de gran extensión territorial, caracterizado por diversidad de climas, atribuible a su geografía, orografía y ubicación en el planeta. Según parámetros como la temperatura y humedad predominantes, junto con criterios como los grados día y la estacionalidad predominante, el país puede ser clasificado en cuatro regiones climáticas: cálido seco, cálido subhúmedo, cálido húmedo y templado. Actualmente, es posible utilizar la información recopilada para todas las ciudades representativas del país mediante el uso de archivos climáticos estandarizados. Éstos contienen datos horarios y mensuales sobre temperatura de bulbo seco, humedad relativa, radiación horizontal global, etc. Tal información ha sido recopilada durante más de 18 años y tratada estadísticamente para ser representativa de las condiciones promedio mensuales de localidades particulares.
Con base en la clasificación climática del país y en el análisis de la información contenida en los archivos climáticos, junto con criterios de la producción bruta en el rubro de edificación residencial, se seleccionaron tres ciudades y climas representativos para México:
• Clima cálido seco (Monterrey, Nuevo León)
• Clima cálido húmedo (Mérida, Yucatán)
• Clima templado (Puebla, Puebla)
A partir de simulaciones lumínicas y energéticas, fue posible analizar el rendimiento de espacios ubicados en las tres localidades mencionadas. Parámetros como la orientación, la profundidad del espacio, y el tamaño de la ventana fueron ratificados como cruciales para el aprovechamiento de la luz natural. Los tres parámetros mostraron estar muy ligados entre sí. Si bien, este conocimiento ha estado presente de manera intuitiva en el quehacer profesional, a partir de los cálcu-
los aquí presentados, fue posible determinar criterios cuantificables y rangos óptimos (wwr específicos según la profundidad del espacio, la orientación y el clima) para diseñar ventanas eficientes.
A continuación se resumen los criterios de diseño propuestos para los climas analizados:
• Limitar el tamaño de las ventanas en la orientación sur. Para espacios con proporción 1:1, wwr 10-30% fueron identificados como los rangos óptimos para las tres ciudades. En cambio, para espacios con proporción 1:2, wwr 20-70% fueron adecuados para Monterrey, y wwr 20-80% para Mérida y Puebla.
• Aprovechar la orientación norte con mayor libertad de diseño. Esto implica la versatilidad de ampliar el tamaño de las ventanas en las tres localidades. Los rangos óptimos fueron establecidos en wwr 10-90% para espacios con proporción 1:1, y wwr 20-100% para proporción 1:2.
• El este se observó como una orientación bastante condicionada a los niveles de radiación solar. En ciudades como Monterrey y Puebla se cuantificaron niveles de radiación solar predominantemente altos durante las horas matutinas; en cambio, tal parámetro climático fue menos intenso durante las horas vespertinas. La ciudad de Mérida, por el contrario, mostró patrones de radiación solar altos durante las horas vespertinas. En consecuencia, los rangos óptimos de wwr fueron diversos según esta condicionante. En espacios de proporción 1:1, wwr 10% para Monterrey y Puebla, y wwr 1020% para Mérida, fueron identificados como óptimos. En espacios de proporción 1:2, wwr 10-20% para Monterrey y Puebla, y wwr 30-50% para Mérida.
• El oeste mostró niveles de radiación solar elevados durante las horas vespertinas para la ciudad de Mérida. En contraste, y tal como ya se mencionó en el punto anterior, las otras dos ciudades mostraron niveles más bajos durante las tardes que durante las mañanas. Esta condicionante fue clave para el
planteamiento de los tamaños de ventana óptimos al oeste. Para espacios con proporción 1:1, los wwr adecuados fueron 10-30% para Monterrey y Puebla, y wwr 10% para Mérida. Para espacios con proporción 1:2, los wwr óptimos fueron 2070% para Monterrey y Puebla, y wwr 20-30% para Mérida.
En cuanto a la profundidad, los resultados señalaron el siguiente criterio de diseño:
• Los espacios de mayor profundidad tienden a consumir menos energía en refrigeración, la cual representa la mayor carga para el consumo de energía total anual. Esto se atribuye a la profundidad de penetración de la luz natural en el espacio interior. En espacios de mayor profundidad, el porcentaje del plano de trabajo con incidencia lumínica excesiva es menor que en espacios con poca profundidad.
• Es recomendable diseñar espacios con mayor profundidad, según la incidencia de radiación solar matutina o vespertina, para conseguir ahorros en el consumo de energía. Aunque este patrón aplica para las cuatro orientaciones, es posible identificar tendencias predominantes según la localidad de estudio. En ciudades con clima cálido seco, como Monterrey, y clima templado, como Puebla, este patrón aplica principalmente en las orientaciones sur y este. En ciudades con clima cálido húmedo, como Mérida, esta directriz aplica especialmente para las orientaciones sur y oeste.
El estudio aquí presentado ratifica el planteamiento inicial sobre la necesidad de establecer guías de diseño bioclimático, que deben ser establecidas y aplicadas según los climas de las localidades. Este libro se propone como un primer planteamiento de criterios cuantificables para las regiones climáticas de México. El enfoque fue el diseño de ventanas, entendiendo estos elementos arquitectónicos como fuen-
tes de iluminación natural que potencian el uso de este recurso renovable, y permiten aprovechar sus múltiples beneficios. En el ámbito económico, la luz natural favorece la disminución en el uso de la iluminación artificial; en el ámbito de los efectos no visibles, este recurso se traduce en importantes beneficios para la salud de las personas: consigue mejorar su estado de ánimo, potenciar su rendimiento en los espacios de trabajo, mejorar el desempeño de los estudiantes en los espacios educativos, contribuye también en la revalorización de los espacios comerciales, etc.
Los resultados aquí expuestos permitieron establecer diferencias entre los rangos óptimos, según los climas predominantes, con base en parámetros como la temperatura, la humedad relativa y los niveles de radiación solar. Si bien se utilizaron archivos climáticos de tres ciudades específicas, la aplicabilidad de estos criterios es extensible hacia otras ciudades con climas similares. Tal como se presentó en capítulos previos, los climas de México son muchos, pero ellos presentan ciertas similitudes, pudiendo agruparse en tres o cuatro regiones. Un ejemplo es el caso de la ciudad de Veracruz, cuyos parámetros climáticos resultaron muy similares a los de la ciudad de Mérida. Es, por tanto, esperable que los rangos óptimos aquí propuestos sean aplicables a otras ciudades incluidas dentro de las mismas regiones climáticas. Un análisis descriptivo de los parámetros climáticos es recomendable de realizar previo a la aplicación de estos criterios de diseño.
Tal como se mencionó previamente, las ciudades analizadas representan tres regiones climáticas del país. No obstante, una futura línea de investigación se podría dirigir hacia el análisis descriptivo de los diferentes archivos climáticos de las ciudades mexicanas con los que se cuenta al momento. Esto podría ayudar a clarificar y validar la clasificación climática vigente. Asimismo, esto podría determinar con mayor precisión en qué otras ciudades aplicar estos criterios de diseño de ventanas y, posteriormente, abordar el estudio de aquellas zonas
climáticas que se encuentren más diferenciadas de las tres estudiadas en esta investigación.
Por otro lado, los resultados aquí presentados consideraron dos modelos base, uno de proporción 1:1 y otro de proporción 1:2. Diversas conclusiones fueron derivadas de estos modelos, no obstante, existe una diversidad de proporciones espaciales que no fueron aquí evaluadas pero que son importantes de considerar. Por ejemplo, la profundidad de penetración de la luz natural tiene un límite para considerar el espacio como iluminado adecuadamente. Esto quiere decir que los espacios profundos recomendados para ciertas orientaciones sólo aplican hasta un máximo de profundidad que es el doble de su ancho. Para espacios de mayor profundidad, se recomienda hacer análisis y evaluaciones específicos.
Este estudio no consideró el uso de sistemas de protección solar, debido a que éstos pueden ser muy variados: desde voladizos, louvers, cortinas interiores o exteriores, parasoles verticales u horizontales, etc. En México, esta es una necesidad latente, ya que es muy común la implementación de estos dispositivos en las edificaciones de viviendas. Dada la extensión de este documento, no se incluyó este análisis, no obstante, es un área de investigación con la que se prevé continuar.
El aprovechamiento de la luz natural es sólo una de las estrategias de diseño bioclimático. Existen otras cuya aplicación debiera realizarse de manera específica según el clima del sitio de emplazamiento del proyecto. Por ello, se exhorta a continuar con esta línea de investigación y desarrollar criterios de diseño bioclimático específicos para las diferentes regiones climáticas de México. Esta línea puede abarcar cuestiones como la selección de los materiales constructivos por sus propiedades térmicas y acústicas (muros, techos, pisos, tipos de acristalamientos), el diseño de sistemas de protección solar, estrategias de ventilación natural, estrategias de transmisión y distribución de la luz natural, etc.
Para entender el movimiento del Sol y su influencia en los espacios arquitectónicos, es necesario recordar los movimientos de la Tierra. Primero, la traslación de la Tierra alrededor del Sol que se realiza durante un año en un plano llamado elíptica. Segundo, la rotación de la Tierra alrededor de su propio eje, el cual está inclinado 23.5 grados con respecto a la elíptica, durante 24 horas.
Estos dos movimientos originan las diferentes estaciones del año: primavera, verano, otoño e invierno. En general, se considera que el día 21 de los meses de marzo, junio, septiembre y diciembre da inicio a cada una de las cuatro estaciones, respectivamente. Las estaciones están caracterizadas por diferentes patrones de iluminación y duración de los días. Los equinoccios de primavera y otoño son aquellos días en los que se considera que el día y la noche tienen la misma duración. Los solsticios de verano e invierno son aquellos días en los que la duración del día es la más larga o la más corta del año, respectivamente.
En arquitectura, es importante conocer la trayectoria solar para aprovechar la iluminación natural en el interior de los espacios, según las características del espacio y las sensaciones que se quieran generar. Ventanas y claraboyas son algunos ejemplos de dispositivos para lograr iluminación natural unilateral, bilateral o cenital. Estantes de luz y lumiductos son componentes que pueden redirigir la luz natural en mayor profundidad del espacio y proveer iluminación en espacios sin muros expuestos al exterior o con bajos niveles de iluminancias. Por otro lado, también es importante predecir la incidencia solar para prevenir el exceso de radiación solar mediante el diseño de sistemas de protección solar, como pueden ser voladizos, parasoles verticales u horizontales, etc. La correcta ubicación de estos elementos dependerá de las características del entorno, la latitud, la trayectoria solar, el clima del sitio y la orientación de los dispositivos.
Durante el proceso de diseño arquitectónico, uno de los pasos claves es la comprensión y predicción de la trayectoria solar. Con este propósito, es importante ubicar el sitio según su latitud y su longitud. La latitud es la distancia angular entre el ecuador y un punto determinado en la Tierra, medida a lo largo del meridiano en el que se encuentra dicho punto; así, se originan los paralelos (norte o sur, variando entre 0° y 90°), tales como el ecuador, el trópico de Cáncer, el trópico de Capricornio y los dos círculos polares. Es importante señalar, que cada latitud tiene una carta solar específica.
La longitud expresa la distancia angular entre un punto dado de la superficie terrestre y el meridiano que se toma como 0°, medida a lo largo del paralelo en el que se encuentra dicho punto; así se origina el meridiano de Greenwich, base de referencia para indicar las horas, según los husos horarios correspondientes al resto de los meridianos (este u oeste, variando entre 0° y 180°). Esto último es importante de identificar en el análisis solar, ya que la carta solar se puede referir a la hora solar, definida de modo que el Sol alcance su punto culminante a mediodía. Otra manera de utilizar la carta solar es mediante la hora legal correspondiente, para la cual hay que considerar el huso horario, la longitud local y, eventualmente, el cambio de horario durante el verano.
Consiste en una representación gráfica en planta, que nos permite obtener la posición del Sol en el cielo con respecto a nuestra ubicación, considerando una latitud específica. La carta solar contiene información sobre fechas y horas específicas, para las cuales se obtienen los ángulos solares de:
a) Azimut. Es el ángulo de orientación del Sol sobre el horizonte. Se forma por la proyección perpendicular del Sol (arriba en el horizonte) sobre el plano horizontal. Usualmente es medido desde el norte en sentido de las manecillas del reloj (figura A.1).


Ángulos de azimut señalados en la carta solar.
Consultar la versión a color en anexo 4.
b) Altura. Es el ángulo de elevación formado entre el Sol y el plano horizontal en el que se encuentra el observador (figura A.2). Se mide en grados, entre el 0 y 90. Éste último es conocido como el cenit, o punto imaginario ubicado directamente «arriba» en el cielo, de una ubicación particular.
Una de las cartas solares ampliamente utilizada es la denominada «estereográfica», que basa la proyección del recorrido del sol en una semiesfera. Los elementos importantes en la lectura de esta carta solar son el cenit, el centro del círculo y la circunferencia periférica. El cenit es el punto ubicado justo encima del observador; el centro del círculo representa el punto de observación y la circunferencia representa el horizonte. Otros elementos claves son los arcos horizontales que representan las trayectorias del sol durante ciertos días específicos del año (comúnmente el día 21 de los meses). Asimismo, los arcos verticales que representan las horas del día. A continuación, se explican estos componentes claves para la lectura e interpretación de la carta solar estereográfica.
1. Circunferencia exterior donde se señalan los ángulos de azimut que van de 0° a 360°, en sentido de las manecillas del reloj, y respecto a su centro (figura A.1).
2. Eje vertical donde se señalan los ángulos de altura solar que van de 0° a 90°; donde 90° representa el cenit, justo arriba del observador (figura A.2).
3. Curvas horizontales que representan el recorrido aparente del Sol en fechas específicas del año. Se suelen incluir fechas claves, como los solsticios y equinoccios. En la figura A.3 se resaltan en magenta las trayectorias correspondientes al solsticio de verano e invierno. El primero ocurre el 21 de junio, es el día más largo del año, y representa la máxima inclinación hacia el norte, para la latitud de Puebla (y, en general, para los sitios ubicados en el hemisferio norte). El segundo solsticio es el 21 de diciembre, es el día más corto del año, y representa la máxima inclinación hacia el sur, para la latitud estudiada (y aquéllas del hemisferio norte). Estas fechas son claves para


Ángulos de altura señalados en la carta solar.
Consultar la versión a color en anexo 4.

Figura A.3.
Recorrido aparente del Sol según los meses del año.
Consultar la versión a color en anexo 4.

Figura A.4.
Recorrido aparente del Sol según las horas del día.
Consultar la versión a color en anexo 4.
los estudios de asoleamiento y proyección de sombras pues representan los picos máximos de inclinación solar, por lo que pueden ser directrices para el diseño de sistemas de protección solar. Adicionalmente, se suelen incluir otras curvas representativas de ciertos meses del año.
4. Curvas verticales que representan las horas del día (figura 4.4). En los equinoccios existen 12 horas de luz solar; en los solsticios de verano estas horas se extienden consiguiendo el día más largo del año; en los solsticios de invierno estas horas se reducen produciendo el día más corto del año. En este aspecto, es importante verificar si la carta solar es relativa a la hora solar o a algún huso horario.
La carta solar puede ser de utilidad para predecir el recorrido solar durante fechas específicas. Usualmente, en estos análisis solares se utilizan las fechas representativas del año. Éstas son los solsticios de verano e invierno, que son los días en los que el Sol alcanza su máxima inclinación hacia el norte o el sur, respecto al cenit. Igualmente, se utilizan los equinoccios de primavera y otoño, que son aquellos días en los que el recorrido solar se localiza en el plano del ecuador celeste, por lo que los días y las noches duran aproximadamente lo mismo. Generalmente, se eligen tres horarios de estos días como indicativos del recorrido solar diurno: una hora por la mañana, al mediodía y otra hora por la tarde.
A continuación, se presenta un ejemplo de uso de la carta solar para realizar un estudio de sombras para la ciudad de Puebla (figura A.5). Consiste en una matriz de tres días de análisis (21 de junio, 21 de marzo/septiembre y 21 de diciembre), en tres horas diferentes (9:00, 12:00 y 15:00 horas). Los análisis de sombra son útiles para determinar cuándo una fachada queda escondida del Sol y cuándo proyecta su sombra sobre edificios vecinos. Existen ciertos criterios de diseño urbano que recomiendan garantizar un mínimo de asoleamiento entre edificaciones, según las alturas máximas permitidas.

Figura A.5.
Carta solar y estudio de proyecciones de sombra con base en una matriz de 3 × 3. Vista en perspectiva de la fachada sur del modelo A (proporción 1:1), ubicado en Puebla. Consultar la versión a color en anexo 4.
Otra aplicación de la carta solar es para identificar la incidencia solar en el interior de los espacios. En la figura A.6 se observa que las fechas críticas del año son durante el invierno, para una ventana en la fachada sur, en la latitud de Puebla. En cambio, en verano, la penetración solar desde la misma ventana es prácticamente nula. En los equinoccios, también se identifica incidencia solar interior, aunque en menor medida que durante el invierno. Para ilustrar la importancia de la orientación de los vanos, la figura A.7 muestra el cambio en la penetración solar si la fachada (ventana) se rotara hacia el sureste. Durante la mañana, el parche solar se extiende abarcando casi la totalidad del piso, mientras que, en la tarde, no hay penetración solar.

Figura A.6.
Análisis interior de la penetración solar con base en una matriz de 3 × 3. Vista desde la fachada norte del modelo A (proporción 1:1), ubicado en Puebla, Puebla. Ventana ubicada en la fachada sur.

Figura A.7.
Comparativa de incidencia solar cuando la orientación del modelo cambia. Ventana ubicada en la fachada sureste, en la localidad de Puebla.
Los archivos climáticos contienen datos sintetizados para representar un año típico meteorológico (tmy, typical meteorological year). Un tmy se define como el conjunto de mediciones horarias reales para los parámetros climáticos, como temperatura de bulbo seco, radiación global, difusa y normal directa, velocidad del viento, etc. Estos datos son recopilados durante un mínimo de doce años. Su información está secuenciada dentro de cada mes: para cada mes se utilizan los datos mensuales medidos del año más cercano a la media de los doce años de tal mes, lo que resulta en una recopilación de mediciones mensuales que pueden o no derivarse del mismo año. Cada doce años, se sintetiza un nuevo conjunto de datos, o tmy, por lo que los archivos se van nombrando seguidos de un número, por ejemplo, tmy1, tmy2, tmy3.
Los archivos climáticos pueden obtenerse en diferentes formatos: wea (Weather Data File), epw (Energy Plus Weather Data Files) o iwec (data set: new International Weather for Energy Calculations format from ashrae), por mencionar algunos ejemplos. Son muy útiles y actualmente son ampliamente empleados en los programas de simulación de edificios para incorporar las condiciones climáticas locales representativas del sitio de emplazamiento.
Los datos característicos contenidos en los archivos climáticos son los siguientes:
• Temperatura de bulbo seco se refiere a la temperatura del aire medido con un termómetro común en el aire. Se presenta el promedio por hora.
• Temperatura de bulbo húmedo es la temperatura mostrada por un termómetro envuelto en un paño de algodón empapado en agua. Se diferencia de la temperatura de bulbo seco porque considera la cantidad de evaporación y, por tanto, de humedad.
• Iluminancia global es la cantidad de iluminación (lux) que incide sobre una superficie horizontal. Incluye la luz directa proveniente del Sol y la luz difusa de la bóveda celeste.
• Irradiación global es la cantidad de energía procedente de la radiación solar que incide sobre una superficie horizontal durante una hora. Se entiende como la suma de la radiación directa y la difusa.
• Irradiación solar directa cuantifica la irradiación incidente en una superficie perpendicular a los rayos solares; no incluye la radiación difusa.
• Dirección del viento presenta los puntos cardinales desde los cuales llega el viento. Usualmente se mide a 10 metros de altura en una locación sin obstrucciones (por ejemplo, aeropuertos).
• Velocidad del viento, se presenta el promedio por hora.
• Cobertura del cielo es una estimación visual de la proporción de nubosidad que cubre el cielo. Los valores nominales son cero cuando el cielo está despejado y 8 cuando está totalmente nublado.
En este libro, los archivos climáticos utilizados son epw y presentan información recopilada entre los años 2003 a 2017, desde los aeropuertos de las ciudades mexicanas. En un archivo climático epw, cada dato horario y mensual ha sido tratado estadísticamente, de manera que la información pueda ser representativa de las condiciones promedio mensuales recopiladas durante diversos años [37].
La información contenida en un archivo epw está organizada por filas y columnas, similar a una hoja de cálculo. Las primeras filas (1-8) están destinadas a información general:
1. Localidad. Se incluye el nombre de la ciudad, latitud, longitud, elevación y huso horario.
2. Condiciones de diseño. Incluye datos sobre la media diaria extrema anual, las medias máximas y mínimas de la temperatura de bulbo seco y su desviación estándar, las temperaturas de calefacción y refrigeración, porcentaje de humedad, grados día de calefacción, grados día de refrigeración, entre otros. Referencia al Manual de diseño climático 2009 [91].
3. Condiciones típicas y periodos extremos. Número de días típicos y de periodos extremos, días de inicio y término de los anteriores.
4. Temperaturas de terreno. Incluye aspectos como la conductividad, densidad, calor específico y temperaturas promedio mensuales del terreno.
5. Días feriados y horario de verano (sí / no).
6. Comentarios
7. Comentarios
8. Periodo de recolección de datos. Desde el 1 de enero, hasta el 31 de diciembre.
A partir de la fila 9, la información del archivo se organiza por columnas (A, B, C, D, E, etc.). De esta manera, cada columna corresponde a un tipo de información específico (año, mes, parámetro climático,
A continuación, se especifica la información de las columnas (a partir de la fila 9):
a) Año de recolección de datos, por ejemplo, 2015, 2008, 2017, etc.
b) Mes del año, enero núm. 1, febrero núm. 2, marzo núm. 3, y así consecutivamente hasta diciembre núm. 12
c) Día, domingo 1, 2, 3, 4, 5… hasta el 28, 30 o 31, según corresponda el número de días del mes respectivo
d) Horas, 1:00, 2:00, 3:00, 4:00, 5:00… hasta las 24:00 horas
e) Minutos
f) Incertidumbres
g) Temperatura de bulbo seco (°C)
h) Temperatura de bulbo húmedo (°C)
i) Humedad relativa
j) Presión barométrica (Pa)
k) Radiación horizontal extraterrestre (Wh/m2)
l) Radiación normal directa extraterrestre (Wh/m2)
m) Radiación horizontal infrarroja desde el cielo (Wh/m2)
n) Radiación global horizontal (Wh/m2)
o) Radiación normal directa (Wh/m2)
p) Radiación difusa horizontal (Wh/m2)
q) Iluminancia horizontal global (lux)
r) Iluminancia normal directa (lux)
s) Iluminancia horizontal difusa (lux)
t) Luminancia en el zenit (cd/m2)
u) Dirección del viento (°)
v) Velocidad del viento (m/s)
w) Cobertura del cielo total
x) Cobertura del cielo opaca
y) Visibilidad (km)
z) Altura del plafón (m)
Escuela de Artes y Humanidades etc.); por tanto, las filas desde la 9 hasta la 8768 contienen la colección de los datos correspondientes al tipo de información específica particular de cada columna (figura B.1).

Figura B.1.
Archivo climático EPW: organización de la información contenida. Consultar la versión a color en anexo 4.
aa) Observación del tiempo presente
ab) AB. Códigos del tiempo presente
ac) AC. Precipitación (mm)
ad) AD. Profundidad óptica (miles)
ae) AE. Días desde el último nevado
Como se puede apreciar, la información de un archivo climático es bastante extensa. Contiene información de los diferentes parámetros climáticos (columnas A, B, C… etc.) por hora del día (8,760 filas). Por tanto, es importante contar con herramientas y programas computacionales que permitan su rápido análisis e interpretación.
Actualmente, existen diversas herramientas con las cuales es posible realizar la lectura y la graficación de los datos climatológicos contenidos en un archivo EPW. Meteornom, Weather Tool y Climate
Consultant son algunos ejemplos de programas desarrollados con este objetivo. Por tanto, su interfaz gráfica está destinada principalmente a la lectura de los archivos climáticos. Muchos de ellos permiten la lectura de diversos formatos y su conversión según los intereses del proyectista.
Existe otro tipo de herramientas más recientes que permiten integrar estas lecturas de los archivos climáticos mediante plugins inmersos dentro de interfaces de otros programas de simulación lumínica y energética. Ladybug es un ejemplo de herramienta que permite la lectura de la información climática, dentro de una modalidad de diseño paramétrico. Al estar vinculado a Grasshopper, es bastante versátil en la lectura y elaboración de gráficas que sinteticen la información horaria. Ladybug es la herramienta elegida para el desarrollo de los diferentes gráficos presentados en este libro. Su principal ventaja consiste en ser un plugin vinculado a otros plugins de Grasshopper especializados en el cálculo lumínico (por ejemplo, Honeybee y diva) y en la simulación energética (por ejemplo, Archsim, diva y ClimateStudio).
Los mapas temporales son gráficos que permiten condensar la información horaria anual de los parámetros contenidos en un archivo climático, por ejemplo, la radiación horizontal global, la radiación horizontal difusa, la iluminancia normal directa, iluminación normal difusa, la temperatura de bulbo seco, etc. Estos gráficos también son utilizados para sintetizar los resultados horarios de simulaciones dinámicas anuales, por ejemplo, los valores de iluminancias útiles, iluminancias excesivas, iluminancias no útiles, etc., que ingresan al espacio a través de los componentes arquitectónicos (ventanas, claraboyas, celosías, etc.).
Los mapas temporales consisten en dos ejes. Usualmente, en el eje horizontal se grafican los 365 días del año; mientras que en el eje vertical se grafican las 24 horas, en orden ascendente o descendente. De esta manera, se muestran los 8,760 valores reportados/calculados por cada hora del año para un punto o área en específico.
El objetivo de este apartado es comparar las iluminancias suplementarias (E 150-300 lux) y autónomas (E 300-3000 lux) que se consiguen
durante todo el año a través de las ventanas. Con esta finalidad, se seleccionan los wwr específicos del 30% y 80% pues permiten comparar resultados entre tamaños representativos de ventanas (pequeñas y grandes).
Asimismo, los mapas temporales aquí presentados pueden ser de gran utilidad para el estudio y planteamiento de sistemas de control y protección solar, temas que deben ser abordados en futuras investigaciones. Como se puede observar, los siguientes mapas temporales presentan claramente aquellos periodos/meses del año, a partir de los cuales se obtienen iluminancias iguales o mayores a los 3,000 lux, límite máximo para considerar las iluminancias como excesivas y asociadas a problemas de disconfort térmico y visual.
A continuación se presentan los mapas temporales de las ventanas seleccionadas para la localidad de Monterrey, Nuevo León, caracterizado por su clima cálido seco. La figura C.1 muestra la comparativa entre diferentes tamaños y proporciones de ventanas orientadas al sur. En general, se observa que los wwr 30% son recomendables en ambas proporciones de espacios, al proveer iluminancias suplementarias durante todo el año; asimismo, se aprecia que la proporción 1:1 consigue iluminancias autónomas durante los meses de invierno. La figura C.1 también compara los resultados para el wwr 80%. En este caso, se observa que sólo la proporción 1:2 consigue ser iluminada óptimamente a través de la ventana, en cuanto consigue iluminancias suplementarias durante todo el año y autónomas durante el invierno. En cambio, la proporción 1:1 con wwr 80% no resulta útil pues consigue exceso de iluminación durante el invierno. En este sentido, un estudio sobre el uso de protecciones solares móviles durante los meses de octubre a marzo puede ayudar a identificar las estrategias que se requieren para lograr un balance entre la reducción de los problemas de deslumbramiento y la provisión de luz natural.
La figura C.2 presenta los mapas temporales de iluminancias para ventanas orientadas al norte. Como se puede observar, ambos wwr
Escuela de Artes y Humanidades
del 30% y del 80% consiguen iluminancias útiles (300-3,000 lux) durante todo el año. Estos niveles se obtienen más altos en el modelo en proporción 1:1, con wwr 80%.
La figura C.3 muestra los mapas temporales de iluminancias para ventanas orientadas al este. En éstos se aprecia que durante las mañanas puede haber iluminancias excesivas a los 3,000 lux, en mayor medida en los wwr 80%. Únicamente se exceptúa la ventana en wwr 30% en un espacio de proporción 1:2, ya que ésta consigue iluminancias útiles durante todo el día. Además, se observa que, durante las tardes, ambos wwr en ambas proporciones espaciales consiguen iluminancias útiles (300-3,000 lux) durante todo el año.
La figura C.4 presenta los mapas temporales de iluminancias para ventanas orientadas al oeste. Como es de esperar, el comportamiento es totalmente opuesto al de las ventanas orientadas al este. Sin embargo, también se aprecia que los niveles de iluminancias recogidos durante las tardes son menores a los cuantificados durante las mañanas. Esto se debe a que la localidad de Monterrey presenta más condiciones de cielo nublado durante los horarios vespertinos.
A continuación, se presentan los mapas temporales de las ventanas seleccionadas para la localidad de Mérida, Yucatán, caracterizado por su clima cálido húmedo. La figura C.5 muestra la comparativa entre diferentes tamaños y proporciones de ventanas orientadas al sur. Respecto al modelo en proporción 1:1, el wwr 30% resulta adecuado; en cambio, el wwr 80% presenta problemas de sobreiluminación durante el invierno. Respecto al modelo en proporción 1:2, ambos wwr proveen iluminancias suplementarias durante todo el año; además, las ventanas grandes (wwr 80%) proveen iluminancias autónomas durante los meses de invierno.
La figura C.6 presenta los mapas temporales de iluminancias para ventanas orientadas al norte, utilizadas en espacios en proporción 1:1 y 1:2. En general, se observa que ambos wwr del 30% y del 80% consiguen iluminancias útiles (300-3,000 lux) durante todo el año, en am-
bas proporciones espaciales. Estos niveles se obtienen más altos en el modelo en proporción 1:1, por lo que sería más conveniente utilizar ventanas grandes en esta orientación.
La figura C.7 muestra los mapas temporales de iluminancias para ventanas orientadas al este. En éstos se aprecia que durante las mañanas puede haber iluminancias que exceden los 3,000 lux, principalmente en los wwr 80% y en mayor medida en los modelos en proporción 1:1. En cambio, durante las tardes, ambos wwr en ambas proporciones, consiguen iluminancias útiles (300-3,000 lux) durante todo el año.
La figura C.8 presenta los mapas temporales de iluminancias para ventanas orientadas al oeste. Como es de esperar, el comportamiento es opuesto al de las ventanas orientadas al este. Sin embargo, también se aprecia que los niveles de iluminancias recogidos durante las tardes son ligeramente mayores a los cuantificados durante las mañanas. Esto se debe a que la localidad de Mérida presenta más condiciones de cielo nublado durante las horas de la mañana.
Finalmente, se presentan los mapas temporales de las ventanas seleccionadas para la localidad de Puebla, caracterizado por su clima templado. La figura C.9 muestra la comparativa entre diferentes tamaños y proporciones espaciales orientados al sur. En general, se observa que los wwr 30% son recomendables en ambas proporciones al proveer de iluminancias suplementarias durante todo el año; asimismo, se aprecia que la proporción 1:1 consigue iluminancias autónomas durante los meses de invierno. En la misma figura también se comparan los resultados para el wwr 80%. En este caso, se observa que sólo la proporción 1:2 consigue ser una ventana óptima en cuanto consigue iluminancias suplementarias durante todo el año y autónomas durante el invierno. En cambio, la proporción 1:1 en wwr 80% no resulta útil pues consigue exceso de iluminación durante el invierno.
La figura C.10 presenta los mapas temporales de iluminancias para ventanas orientadas al norte. Como se puede observar, ambos wwr del 30% y del 80% consiguen iluminancias útiles (300-3,000 lux)
Escuela de Artes y Humanidades
La figura C.11 muestra los mapas temporales de iluminancias para ventanas orientadas al este. Claramente se aprecia que durante las mañanas puede haber iluminancias excesivas a los 3,000 lux, principalmente en los wwr 80% y en mayor medida en los modelos en proporción 1:1. En cambio durante las tardes, ambos wwr en ambas proporciones consiguen iluminancias útiles (300-3,000 lux) durante todo el año.
La figura C.12 muestra los mapas temporales de iluminancias para ventanas orientadas al oeste. Como es de esperar, el comportamiento es opuesto al de las ventanas orientadas al este. Comparando ambas orientaciones, se aprecia que los niveles de iluminancias recogidos durante las tardes son menores a los cuantificados durante las mañanas. Esto se debe a que la localidad de Puebla presenta más condiciones de cielo nublado durante los horarios vespertinos.
Del análisis previo se concluye que las ventanas orientadas hacia el sur y el norte proveen de condiciones de iluminación muy similares entre las tres localidades estudiadas, principalmente cuando se utilizan en espacios en proporción 1:1. En cambio, cuando estas ventanas son utilizadas en proporción 1:2, se observan diferencias entre los niveles de iluminación y el porcentaje de horas en los cuales se consiguen. Estas diferencias se ven reflejadas en los tamaños óptimos de ventanas que se plantean según la localidad (ver sección: «Propuesta de criterios de diseño de ventanas»). Por otro lado, las orientaciones este y oeste tienen diferencias más marcadas. Por ejemplo, las localidades de Puebla y Monterrey presentan cielo nublado durante el horario vespertino; lo contrario sucede en la localidad de Mérida. Como resultado, los tamaños de ventana son mayores para orientaciones al oeste o al este, respectivamente.
de las Américas Puebla durante todo el año. Estos niveles se obtienen más altos en el modelo en proporción 1:1.
Consumo total de energía mundial [07]. / 19
Distribución del consumo de energía por uso final en el sector residencial, México 2015 [10]. / 20
Distribución porcentual por tipo de lámpara y tipo de localidad [11]. / 20
Beneficios de la iluminación natural. [bn] / 22 [c] / 277
La ventana como fuente de luz. / 27
Espectro de la radiación solar [bn] / 36 [c] / 277
Unidades fotométricas. [bn] / 36 [c] / 277
Alturas del Sol en tres días representativos del año, a las 13:00 horas, para una fachada sur. [bn] / 38 [c] / 278
Iluminancia exterior en un día nublado y en un día despejado con sol. [bn] / 38 [c] / 279
Principales fuentes de luz natural en el interior de los espacios. [bn] / 39 [c] / 279
Distribución de luminancias para: a) cielo nublado, y b) cielo uniformemente nublado. [bn] / 41 [c] / 280
Cielo artificial tipo «caja de espejos»,
Universidad de las Américas Puebla. / 41
Distribución luminosa de un cielo claro.[bn] / 42 [c] / 280
Modelo de cielo All-Wheather con subdivisión de cielo Tregenza/Reinhart. / 281
Ejemplo de los 15 tipos de cielo definidos en el cielo general estándar CIE. / 281
Factor de iluminación natural. [bn] / 47 [c] / 282
Comparativa entre el modelado con base climática y el factor de iluminación natural. Mardaljevic, J. [60] [bn] / 50 [c] / 282
Ejemplo de serie temporal de iluminancias para un «único sensor» en el interior de un espacio./ 283
Ejemplo de rango de tiempo anual con ocupación de 8:00 a 18:00 horas, con horario de verano. / 51
Métrica DA, calculada en un plano de trabajo horizontal.
Vista en planta. / 283
Métricas sDA y ASE, calculadas en un plano de trabajo horizontal.
Vista en planta. / 284
Esquema UDI en los rangos bajo (UDI-f), útil (UDI) y excesivo (UDI-e), calculadas en un plano de trabajo horizontal. Vista en planta. / 284
Métrica DAv: a) con dos áreas iluminadas [70], y b) con dos áreas iluminadas y una no iluminada [66]. Vistas en planta. / 56
Ejemplo de plano de cálculo, con banda perimetral de 0.50 m y altura de 0.80 m sobre el piso./ 58
Cielo artificial tipo «caja de espejos», Universidad de las Américas Puebla. / 60
Heliodón, Universidad de las Américas Puebla. / 61
Ángulos solares: a) altura, y b) azimut. [bn] / 61 [c] / 285
Carta solar estereográfica para la latitud de Puebla, México. [bn] / 63 [c] / 285
Componentes requeridos para realizar simulaciones de luz natural. / 63
Propiedades de reflexión, difusión y transmisión de superficies opacas y transparentes. / 65
Diferentes tipos de vidriados y su transmitancia visible. / 66
Coeficiente de luz natural (dc) [82]. / 74
División de la bóveda celeste (vista desde arriba) y del terreno (visto desde abajo) en 145 dc difusos y en 3 dc de terreno, respectivamente [82]. / 75
Ejemplo de posiciones horarias anuales del Sol [82]. / 75
Visualización de iluminancias en el interior del espacio y según la posición solar, en fechas y horas específicas del año. [bn] / 77 [c] / 286
Ganancia de calor a través del acristalamiento. / 80
Comparación entre las propiedades de dos tipos de acristalamientos. / 82
Reflexión solar desde superficies de sombreado en EnergyPlus. / 87
El Panteón romano se ilumina sutilmente desde el óculo. [bn] / 94 [c] / 287
Casa de Matías Hansen y Castillo de Rosenburg, ambos en Copenague, Dinamarca [101]. [bn] / 94 [c] / 287
Lámpara incandescente con filamento de carbón. [bn] / 96 [c] / 288
Entrada principal del Palacio de Cristal en el Hyde Park, Londres, para la Exhibición Internacional de 1851. / 96
Museo Guggenheim, Nueva York. Luz cenital para iluminación natural. [bn] / 98 [c] / 288
Evolución de las fuentes luminosas desde su aparición hasta la actualidad. / 100
Factores para el aprovechamiento de la luz natural en los edificios. [bn] / 102 [c] / 289
Orientación de los edificios para que la mayoría de los espacios interiores tengan acceso a la luz natural. / 103
Diagrama de orientaciones recomendables y no recomendables para el hemisferio norte [105]. [bn] / 109 [c] / 289
Forma y dimensiones del edificio para favorecer el ingreso de la luz natural a la mayoría de sus espacios. / 105
Ejemplo del cálculo del factor de forma de los edificios. / 105
Distribución de espacios en zonas templadas (latitud 19° norte). [bn] / 107 [c] / 290
Límite de la profundidad del espacio en espacios con iluminación natural unilateral. / 109
Límite de la profundidad del espacio en espacios con iluminación natural bilateral. / 109
Componentes para iluminación cenital. / 110
Esquemas de iluminación cenital para edificios sin aberturas verticales. / 110
Esquemas de iluminación cenital combinada: lucernarios y ventanas. / 110
Esquemas de iluminación cenital combinada. / 111
Línea sin cielo. / 112
Iluminación natural a través de una ventana, con y sin estante de luz. / 112
Iluminación natural a través de una ventana, con y sin difusores de luz. / 113
Ejemplo de aplicación de lumiducto. / 113
Estrategia para dimensionar atrios que permitan la iluminación natural en los espacios contiguos. / 115
Iluminación lateral a través de ventanas. / 118
Ventilación natural. / 119
Prueba de viabilidad de la iluminación natural [112]. / 123
Diferentes formas de ventanas. / 124
Diferentes posiciones de la ventana, respecto al alto y ancho del muro. / 126
Altura del dintel de la ventana y profundidad de la zona iluminada. / 127
Recomendaciones sobre el uso de protecciones solares en ventanas del hemisferio norte. [bn] / 128 [c] / 290
Dimensionamiento de voladizo para una fachada sur, según el ángulo solar en temporada de sobrecalentamiento. [bn] / 129 [c] / 291
Protección solar vertical exterior para orientación este y oeste. [bn] / 129 [c] / 291
Elementos de protección solar fijos [102]. / 131
Elementos de protección solar móviles [102]. / 132
Vegetación como protección solar. / 132
Valores de temperatura (°C) en Puebla, según el archivo climático EPW [121]. [bn] / 138 [c] / 292
Valores de humedad relativa en Puebla, según el archivo climático EPW [121]. / 292
Días de lluvias al mes en Puebla [122]. / 139
Valores anuales de temperatura, humedad relativa y vientos dominantes en Puebla [122]. / 293
Radiación solar global en Puebla, según el archivo climático EPW [121]. / 293
Rango de cielo nublado, según el archivo climático epw [121]. / 141
Carta solar de Puebla, donde se señalan los días más cortos y más largos del año [121]. / 141
Clasificación de climas mundial, base Köppen [124]. / 294
Datos sobre temperatura media anual y precipitación media anual, de México [125]. / 294
Mapa de las unidades climáticas de México, según el sistema de clasificación climática Köppen (1963), modificado por Enriqueta García (1973) [125]. / 295
Mapa de las unidades climáticas de México (1950-2000) [125]. / 295
Mapa de las unidades climáticas de México, inegi 2020 [126]. / 296
Husos horarios establecidos en México [127]. / 296
Distribución municipal de zonas climáticas [127]. / 297
Regionalización por estacionalidad climática, con base en la información de herramienta grados-día [127]. / 297
Zonas climáticas consideradas en NMX-AA-164-SCFI-2013 [131]. / 298
Regiones climáticas consideradas en NMX-AA-164-SCFI-2013. [bn] / 165 [c] / 298
Porcentaje estatal de producción bruta en el rubro de edificación residencial, agrupado por región climática [135]. / 166
Climas representativos de cada estado, según la temperatura media anual.
Agrupado por región climática [135]. [bn] / 167 [c] / 299
Valores horarios de la temperatura de bulbo seco, humedad relativa y radiación horizontal global para la ciudad de Monterrey, Nuevo León. / 300
Valores horarios de la temperatura de bulbo seco, humedad relativa y radiación horizontal global para la ciudad de Mérida. / 301
Valores horarios de la temperatura de bulbo seco, humedad relativa y radiación horizontal global para la ciudad de Puebla. / 302
Modelos base para el estudio de la iluminación
natural a través de ventanas: planta y sección. / 173
Tamaños de ventana analizados, según el porcentaje de wwr. Vistas de fachadas. / 174
5.9
5.28 5.29 5.30 5.31
Modelos A y B en planta, sección y perspectiva, construidos con Rhinoceros / 177
Esquema modificado DAv [139]. [bn] / 180 [c] / 303
Modelos A y B en perspectiva, construidos con Rhinoceros, para el cálculo energético por zona. [bn] / 184 [c] / 303
Patrón de ocupación de los usuarios, considerado en los cálculos energéticos. / 185
Patrón de utilización del equipamiento en una vivienda [140]. / 186
Ejemplos de perfiles anuales del uso de la iluminación eléctrica, para dos tamaños de ventanas: wwr 100% y wwr 10%. / 186
Resultados DAv obtenidos para el modelo A para la ciudad de Monterrey, Nuevo León. [bn] / 193 [c] / 304
Resultados DAv obtenidos para el modelo B para la ciudad de Monterrey, Nuevo León. [bn] / 193 [c] / 304
Diagrama del recorrido solar para la ciudad de Monterrey. / 305
Valores horarios de iluminancia normal directa para la ciudad de Monterrey. / 305
Modelo A: resultados de los indicadores energéticos para la ciudad de Monterrey, Nuevo León. [bn] / 196 [c] / 306
Modelo B: resultados de los indicadores energéticos para la ciudad de Monterrey, Nuevo León. [bn] / 197 [c] / 306
Modelo A (proporción 1:1) para la ciudad de Monterrey, Nuevo León. / 307
Modelo B (proporción 1:2) para la ciudad de Monterrey, Nuevo León. / 308
Resultados DAv obtenidos para el modelo A para la ciudad de Mérida, Yucatán. [bn] / 199 [c] / 309
Resultados DAv obtenidos para el modelo B para la ciudad de Mérida, Yucatán. [bn] / 199 [c] / 309
Diagrama del recorrido solar para la ciudad de Mérida. / 310
Valores horarios de iluminancia normal directa para la ciudad de Mérida. / 310
Modelo A: resultados de los indicadores energéticospara la ciudad de Mérida, Yucatán. [bn] / 201 [c] / 311
Modelo B: resultados de los indicadores energéticospara la ciudad de Mérida, Yucatán. [bn] / 201 [c] / 311
Modelo A (proporción 1:1) para la ciudad de Mérida, Yucatán. / 312
Modelo B (proporción 1:2) para la ciudad de Mérida, Yucatán. / 313
Resultados DAv obtenidos para el modelo A para la ciudad de Puebla, Puebla. [bn] / 205 [c] / 314
Resultados DAv obtenidos para el modelo B para la ciudad de Puebla, Puebla. [bn] / 205 [c] / 314
Diagrama del recorrido solar para la ciudad de Puebla. / 315
Valores horarios de iluminancia normal directa para la ciudad de Puebla. / 315
Modelo A: resultados de los indicadores energéticos para la ciudad de Puebla, Puebla. [bn] / 208 [c] / 316
Modelo B: resultados de los indicadores energéticospara la ciudad de Puebla, Puebla. [bn] / 208 [c] / 316
Modelo A (proporción 1:1) para la ciudad de Puebla, Puebla. / 317
Modelo B (proporción 1:2) para la ciudad de Puebla, Puebla. / 318
Modelo A: resultados DAvpara las tres localidades de estudio. [bn] / 211 [c] / 319
Modelo A: resultados de los indicadores energéticos para las tres localidades de estudio. [bn] / 211 [c] / 319
Modelo B: resultados DAv para las tres localidades de estudio. 199. [bn] / 212 [c] / 320
Modelo B: resultados de los indicadores energéticos para las tres localidades de estudio. [bn] / 212 [c] / 320
C.9
C.10
C.11
C.12
Ángulos de azimut señalados en la carta solar. [bn] / 227 [c] / 321
Ángulos de altura señalados en la carta solar. [bn] / 229 [c] / 322
Recorrido aparente del sol según
los meses del año. [bn] / 230 [c] / 323
Recorrido aparente del sol según
las horas del día. [bn] / 230 [c] / 323
Carta solar y estudio de proyecciones de sombra en base a una matriz de 3 × 3. [bn] / 232 [c] / 324
Análisis interior de la penetración solar en base a una matriz de 3×3. / 233
Comparativa de incidencia solar cuando la orientación del modelo cambia. / 233
Archivo climático epw: organización de la información contenida. [bn] / 239 [c] / 325
Mapas temporales de iluminancias: ventanas orientadas hacia el sur en la ciudad de Monterrey. / 325
Mapas temporales de iluminancias: ventanas orientadas hacia el norte en la ciudad de Monterrey. / 326
Mapas temporales de iluminancias: ventanas orientadas hacia el este, en la ciudad de Monterrey. / 326
Mapas temporales de iluminancias: ventanas orientadas hacia el oeste en la ciudad de Monterrey. / 327
Mapas temporales de iluminancias: ventanas orientadas hacia el sur en la ciudad de Mérida. / 327
Mapas temporales de iluminancias: ventanas orientadas hacia el norte en la ciudad de Mérida. / 328
Mapas temporales de iluminancias: ventanas orientadas hacia el este en la ciudad de Mérida. / 328
Mapas temporales de iluminancias: ventanas orientadas hacia el oeste, en la ciudad de Mérida. / 329
Mapas temporales de iluminancias: ventanas orientadas hacia el sur en la ciudad de Puebla. / 329
Mapas temporales de iluminancias: ventanas orientadas hacia el norte en la ciudad de Puebla. / 330
Mapas temporales de iluminancias: ventanas orientadas hacia el este, en la ciudad de Puebla. / 330
Mapas temporales de iluminancias: ventanas orientadas hacia el oeste en la ciudad de Puebla. / 331
Escuela de Artes y Humanidades
Escalas recomendadas para la evaluación de la luz natural en maquetas. / 59
Comparativa de programas de simulación de la luz natural. / 69
Parámetros de simulación en Radiance. / 71
Parámetros de simulación con Radiance. / 72
Ventajas e inconvenientes en la elección de la orientación de la abertura en el hemisferio norte. / 120
Comparativa del porcentaje de ventana, según tres criterios diferentes. / 122
Áreas máximas de ventanas de doble vidrio, incluyendo puertas y aberturas en techos [111]. / 122
Resumen de la clasificación de climas de Köppen-Geiger [124]. / 142 conavi: especificaciones bioclimáticas para el diseño urbano [38]. / 150
Especificaciones para el proyecto arquitectónico [130]. / 152
Especificaciones para las ventanas [130]. / 153
Especificaciones para ventilación [130]. / 155
Especificaciones para el control solar: remetimiento y saliente en fachada, patios interiores, aleros, pórticos, balcones y vestíbulos [130]. / 156
Especificaciones para el control solar: tragaluces, parteluces y vegetación [130]. / 158
Consumo energético de referencia anual [131]. / 159
Promedio anual de valores representativos contenidos en los archivos climáticos. / 170
Dimensiones mínimas para espacios habitables [38]. / 171
Dimensiones calculadas para espacios con planta cuadrada (1:1) y rectangular (1:2). / 173
Dimensiones de ventanas según el modelo base. / 175
Características de las superficies interiores de los modelos base A y B. / 177
Parámetros de simulación con Radiance. / 181
Propiedades de los componentes edilicios del modelo y del acristalamiento. / 184
Cargas consideradas en las simulaciones energéticas. / 185
Parámetros de simulación con EnergyPlus. / 188
Indicadores del rendimiento energético. / 190
Guías de diseño para ventanas en clima cálido seco (Monterrey, Nuevo León). / 213
Guías de diseño para ventanas en clima cálido húmedo (Mérida, Yucatán). / 215
Guías de diseño para ventanas en clima templado (Puebla, Puebla). / 216
Absortancia
Relación entre el flujo de radiación absorbida por una superficie y la radiación total que incide sobre ella.
Adiabático
Que no permite la transferencia de calor de un lado a otro, es decir, que no deja entrar ni salir el calor.
Altura
Es el ángulo de elevación formado entre el Sol y el plano horizontal en el que se encuentra el observador. Se mide en grados, entre el 0 y 90. Éste último es conocido como el cenit, o punto imaginario ubicado directamente «arriba», en el cielo, de una ubicación particular.
Archivo climático
Archivo que contiene datos climáticos sintetizados estadísticamente para representar un año típico meteorológico.
Asoleamiento
Trayectoria solar en el sitio de emplazamiento que condiciona la incidencia solar en los espacios interiores del proyecto.
Azimut
Es el ángulo de orientación del Sol sobre el horizonte. Se forma por la proyección perpendicular del Sol (arriba en el horizonte) sobre el plano horizontal. Usualmente es medido desde el norte en sentido de las manecillas del reloj.
Carta solar
Representación gráfica que nos permite obtener la posición del Sol en el cielo con respecto a nuestra ubicación, considerando una latitud específica. Contiene información sobre fechas y horas específicas, para las cuales se obtienen los ángulos solares de azimut y altura.
Cenit
Intersección de la vertical de un lugar y la esfera celeste. Punto más alto en el cielo, en relación con el observador, que se encuentra justo sobre su cabeza (90°).
Cielo artificial
Instalación didáctica diseñada para simular los efectos de la iluminación natural bajo un «cielo nublado». El modelo «caja de espejos» consiste en un cubo cuyas superficies verticales interiores son recubiertas con espejos. El plafón es translúcido e ilumina la mesa central sobre la que se colocan las maquetas de estudio.
Clima
Sumario estadístico, o promedio de los parámetros meteorológicos, a través de un determinado número de años (comúnmente, periodos de treinta años).
Climate-based daylight modelling (CBDM)
Modelado de la luz natural con base climática. Método de simulación que permite realizar análisis cuantitativos anuales de las condiciones de iluminación natural en los edificios. Calcula la iluminancia natural (horaria o subhoraria) que recibe cada punto o sensor del plano de trabajo, según la información contenida en los archivos climáticos.
Coeficiente global de transferencia de calor (factor U)
Describe la razón de flujo de calor a través del acristalamiento. Está dado en W=m2K y representa el flujo de calor por cada metro cuadrado del vidriado por la diferencia de temperaturas del aire interior y el exterior de una edificación. Es útil para facilitar la comparación y clasificación de los componentes de edificios (muros, ventanas, puertas, domos, etc.).
Condiciones climáticas locales
Estadística representativa del tiempo atmosférico en un intervalo de treinta años, regularmente. Evalúa los patrones de variación de temperatura, humedad relativa, presión atmosférica, dirección y velocidad de los vientos, precipitación y otras variables meteorológicas en una región determinada.
Conducción
Flujo de calor a través de un material sólido, por contacto directo entre los cuerpos. El calor fluye desde un cuerpo de mayor temperatura a otro de menor temperatura que está en contacto con el primero.
Conductividad térmica
Propiedad que describe la cantidad de energía que fluye durante 1 segundo a través de 1 m2 de material, que tiene un metro de espesor, cuando existe una diferencia de temperatura de 1°K entre las dos caras.
Confort térmico
Manifestación subjetiva de conformidad o satisfacción con el ambiente térmico existente. Involucra parámetros climáticos (temperatura del aire, humedad relativa, etc.) y otros factores como la actividad física desarrollada, la vestimenta y el metabolismo de las personas.
Confort visual
Manifestación subjetiva de conformidad o satisfacción con el ambiente visual existente. Involucra aspectos como el nivel de iluminación, las exigencias visuales de las tareas, el contexto, factores personales, etc.
Consumo de energía total
Energía anual total (kWh/m2) utilizada en sitio para suplir los sistemas de iluminación, calefacción y refrigeración, normalizada por área.
Convección
Flujo de calor que ocurre cuando las moléculas de calor son transportadas físicamente mediante fluidos (líquidos o gases). Ocurre entre una superficie y un fluido en movimiento cuando están a diferentes temperaturas.
Daylight autonomy (da)
Autonomía de luz natural. Se define como el porcentaje de horas ocupadas al año, cuando el mínimo de iluminancia puede ser mantenido por luz natural exclusivamente.
Daylight availability (DAv)
Disponibilidad de luz natural. Métrica que amalgama la información da y udi en una sola. El espacio estudiado se divide en cuatro áreas, cada una alcanzando un objetivo de iluminancia, durante un porcentaje del tiempo estudiado.
Daylight factor (df)
Factor de iluminación natural. Se define como la relación entre el nivel de iluminación en un punto interior (Ei) y el nivel de iluminación simultánea de un punto en un plano horizontal exterior (Ee) bajo el cielo uniformemente nublado cie y sin presencia de obstrucciones.
Deslumbramiento
Condición de visión que puede ocasionar desde molestia o incomodidad visual, hasta enmascaramiento de la visión. Se produce por una distribución inadecuada del rango de luminancias, contrastes extremos, dispersión de la luz en el campo visual, entre otros.
Dynamic Daylight Metrics (ddm)
Métricas dinámicas de iluminación natural. Indicadores que permiten interpretar los valores horarios o subhorarios de las iluminancias obtenidas en los cálculos lumínicos anuales con base climática. Permiten establecer la cantidad anual de luz natural para un determinado espacio, considerando el rango de tiempo anual y la iluminancia objetiva en que se basarán los análisis.
Emisividad
Capacidad relativa de una superficie para radiar calor. Los factores de emisividad van de 0.0 (0%) hasta 1.0 (100%).
Flujo luminoso
Cantidad de flujo radiante que produce sensación visual. Se caracteriza por ser emitido en todas direcciones. Se mide en lúmenes (lm).
Grados día
Diferencia algebraica, expresada en grados, entre la temperatura media de un día determinado y una temperatura de referencia. Para un periodo dado (meses, años), es la suma algebraica de los «grados-día» de los diferentes días del periodo.
Heliodón
Instrumento que simula la trayectoria del Sol en la bóveda celeste. Consiste en una base que simula el plano horizontal, sobre la cual se coloca la maqueta de estudio. Ésta es iluminada mediante una lámpara de luz paralela, cuyo ángulo de inclinación e incidencia representa los ángulos solares de altura y azimut correspondientes al día y hora específicos de estudio.
Humedad relativa
Capacidad del aire de contener una mayor cantidad de agua conforme el aumento de su temperatura.
Iluminancia
Flujo luminoso que incide por unidad de área en una superficie dada. Se mide en lux (lx = lm/m2).
Iluminancia global
Cantidad de iluminación (lux) que incide sobre una superficie horizontal. Incluye la luz directa proveniente del Sol y la luz difusa de la bóveda celeste.
Iluminancia normal directa
Cantidad de iluminancia producida por la luz solar directa que incide en una superficie perpendicular a los rayos solares.
Isoterma
Isolíneas de temperatura utilizadas en mapas geográficos para delimitar los grupos climáticos.
Línea sin cielo
Aquélla a partir de la cual no se recibe luz del cielo directa.
Lumen
Unidad del flujo luminoso en el Sistema Internacional. Valor de flujo luminoso emitido en un ángulo sólido de 1 estereorradián por una fuente con intensidad luminosa de 1 candela.
Luminancia
Flujo luminoso emitido en una dirección determinada, dividido por el producto del área proyectada de una fuente puntual perpendicular a la dirección y el ángulo sólido que contiene esa dirección. Se mide en candela por metro cuadrado (cd/m2).
Lux
Unidad de iluminancia en el Sistema Internacional. Valor de iluminancia producido en una superficie con área de 1m2 por un flujo luminoso de un lumen distribuido uniformemente sobre dicha superficie.
Luxómetro
Instrumento de medición de la iluminancia real en un ambiente.
Luz natural
Combinación de toda la radiación solar exterior que se recibe durante el día. Se compone por ondas electromagnéticas que abarcan un amplio espectro, desde la radiación infrarroja hasta la ultravioleta, pasando por el rango visible.
Luz natural difusa
Parte de la luz natural que llega a una superficie tras sufrir difusión por las moléculas del aire, partículas aerosoles y nubes de partículas.
Luz solar directa
Parte de la luz natural que llega a una superficie, proveniente de la luz directa del Sol.
Luz visible
Porción del espectro electromagnético que el ojo humano es capaz de percibir. Comprende las longitudes de onda entre los 380 nm hasta los 760 nm, aproximadamente.
Modelos de cielo
Modelos teóricos de cielo basados en amplia información disponible en los archivos climáticos.
Nubosidad
Cantidad de días cubiertos por nubes y su distribución en el cielo.
Plano de cálculo
Referencia ficticia, que puede ser horizontal, vertical o inclinada, sobre la cual se posicionan puntos o sensores equidistantes para el cálculo de iluminación.
Precipitación
Cantidad de agua que cae sobre la tierra en forma de lluvia, nieve, aguanieve y granizos.
Radiación
Transferencia de energía en forma de ondas electromagnéticas.
Radiación horizontal global
Cantidad de energía que incide sobre una superficie horizontal durante una hora. Incluye la radiación directa proveniente del Sol y la radiación difusa de la bóveda celeste.
Radiación infrarroja
Parte del espectro electromagnético de mayor longitud de onda que la luz visible, pero menor que la microondas.
de las Américas Puebla
Radiación solar
Conjunto de radiaciones electromagnéticas emitidas por el Sol que llegan a la superficie terrestre. La radiación solar en un sitio depende del grado de nubosidad y de los ángulos solares, azimut y altura.
Radiación ultravioleta
Parte del espectro electromagnético de menor longitud de onda que la luz visible, pero menor que los rayos x.
Rango del tiempo anual
Tiempo cuando el espacio investigado es de interés para los análisis. Puede coincidir con el horario de ocupación o con las horas diurnas anuales.
Reflectancia visible
Porcentaje de luz visible que incide en el material y que es reflejado. Considera la sensibilidad del sistema visual humano.
Ritmo circadiano
Cambios periódicos característicos de los seres vivos. Se relacionan con aspectos físicos, mentales y conductuales que siguen un ciclo diario, y que responden, principalmente, a la luz y a la oscuridad en el ambiente.
Room cavity ratio (rcr)
Cavidad del espacio. Consiste en un número que indica las proporciones de la cavidad de un espacio, considerando en su cálculo la longitud, anchura y altura.
Solar heat gains coefficient (shgc)
Coeficiente de ganancia de calor solar. Es la relación entre el calor solar total que entra a través del acristalamiento y la radiación solar incidente en el exterior de ésta. shgc se expresa con un número entre 0 y 1. Mientras más bajo sea el shgc, menor será la ganancia de calor transmitida.
Spatial daylight autonomy (sDA)
Autonomía espacial de luz natural. Describe la suficiencia anual de los niveles de iluminación natural en espacios de interior y se define como el porcentaje del área de estudio que alcanza un mínimo de iluminación natural por una fracción especificada de las horas de ocupación anual.
Escuela de Artes y Humanidades
Tarea visual
Actividad del sistema visual del ser humano, la cual se desarrolla con determinadas condiciones de iluminación.
Temperatura
Valor térmico en un sitio, resultado de la radiación solar que es acumulada por el suelo y luego entregada al aire como radiación infrarroja. Es medida comúnmente como temperatura relativa del aire en grados Celsius (°C).
Temperatura de bulbo seco
Temperatura del aire medido con un termómetro común en el aire.
Transmitancia visible
Porcentaje de la luz visible que incide en el acristalamiento y que lo atraviesa. Considera la sensibilidad del sistema visual humano.
Typical meteorological year (tmy)
Año típico meteorológico. Conjunto de mediciones horarias reales para los parámetros climáticos, como temperatura de bulbo seco, radiación global, difusa y normal directa, velocidad del viento, etc.
Estos datos son recopilados durante un mínimo de doce años y su información está secuenciada dentro de cada mes.
Useful Daylight Illuminance (udi)
Iluminancia de luz natural útil. Porcentaje de horas ocupadas cuando los niveles de iluminación natural sobre el plano de trabajo son considerados «útiles» para los ocupantes, esto es, que no son ni muy oscuros ni muy brillantes.
Ventana
Componente arquitectónico que consiste en una abertura en un plano vertical o casi vertical de una habitación. Según su diseño, puede favorecer las condiciones de iluminación y ventilación naturales, las visuales al exterior y la estética del edificio.
Vientos dominantes
Movimientos de aire debido a diferencias de presión en la atmósfera.
La velocidad, la frecuencia y la dirección de los vientos determinan la predominancia en el sitio.
[1] T. Nielsen y S. Svedendsen. «Performance optimization of buildings». Proceedings of the 6th Symposium on Building Physics in the Nordic Countries, 2002, 563-570.
[2] EC (European Commission). Directive 2010/31/EU on Energy Performance of Buildings. Bruselas: EC, 2010.
[3] EIA (Energy Information Administration). International Energy Outlook. Washington, DC: EIA, 2013.
[4] M. Santamouris y E. Dascalaki. «On the potential of retrofitting scenarios for offices». Build. Environ. 37. 6 (2002), 557-567.
[5] G. Molina. Integrated thermal and lighting analysis of spaces with controled complex fenestration systems and artificial lighting during the design stage. Pontificia Universidad Católica de Chile, 2014.
[6] G. Molina, W. Bustamante, J. Rao, P. Fazio y S. Vera. «Evaluation of Radiance’s genBSDF capability to assess bidirectional solar properties of complex fenestration systems». J. Build. Perform. Simul. 8.4 (2014), 216-225.
[7] P. Waide y S. Tanishima. Light’s Labour’s lost - Policies for energy efficient lighting, Internatio. International Energy Agency (IEA), 2006.
[8] L. Perez-Lombard, J. Ortiz y C. Pout. «A review on buildings energy consumption information». Energy Build. 40.3 (2008), 394-398.
[9] IEA (International Energy Agency). «Light’s Labour’s Lost: Policies for Energy-efficient lighting». París: IEA Publications, 2006.
[10] Comisión Económica para América Latina y el Caribe (CEPAL), Informe nacional de monitoreo de la eficiencia energética de México, 2018.
[11] SENER-CONUEE-INEGI. «Encuesta nacional sobre consumo de energéticos en viviendas particulares», 2018.
[12] Parlamento Europeo (PE) 2009-2014 y Consejo de la Unión Europea (CE). Directiva 2010/31/UE relativa a la eficiencia energética de los edificios (EBPD recast). Bruselas: Comisión Europea (CE), 2010.
[13] CEN (European Committee for Standardization). UNE-EN 15193: Energy performance of buildings - energy requirements for lighting. Incorporating corrigendum. Bruselas: Comité Européen de Normalisation, 2007.
de las Américas Puebla
[14] CIBSE (Chartered Institution of Building of Services Engineers). Energy efficiency in buildings: CIBSE guide. Londres: CIBSE, 1998.
[15] D. Watson, The energy design handbook. Washington (DC): American Institute of Architects Press, 1993.
[16] FSEC (Florida Solar Energy Center). Principles of low energy building design in warm, humid climates. Cape Canaveral, Florida: FSEC, 1984.
[17] K. Steemers. «Energy and the city: Density, buildings and transport». Energy Build. 35.1 (2003), 3-14.
[18] S. Hui. «Low energy building design in high density urban cities». Renew. Energy 24.3-4 (2001), 627–640.
[19] E. Abel. «Low energy buildings» Energy Build 21.3 (1994), 169-174.
[20] M. C. Dubois y A. Blomsterberg. «Energy saving potential and strategies for electric lighting in future North European, low energy office buildings: A literature review» Energy Build 43.10 (2011), 2572-2582.
[21] W. Ryckaert, C. Lootens, J. Geldof y P. Hanselaer. «Criteria for energy efficient lighting in buildings» Energy Build 42.3 (2010), 341–347.
[22] A. Galasiu, M. Atif y R. MacDonald. «Impact of window blinds on daylight-linked dimming and automatic on/off lighting controls» Sol. Energy 76.5 (2004), 523-544.
[23] A. Pattini. «Luz natural e iluminación de interiores» en ELI (Efficient Lighting Initiative), Diego Pasj., no. 978-950-42-0077–2, Buenos Aires: Universidad Tecnológica Nacional y Eli Argentina, 2006, 2-24.
[24] M. Bodart y A. De Herde. «Global energy savings in office buildings by the use of daylighting» Energy Build 34.5 (2002), 412-429.
[25] P. Boyce, C. Hunter y O. Howlett. The benefits of daylight through windows. Troy, Nueva York: Lighting Research Center - Rensselaer Polytechnic Institute, 2003.
[26] M. Andersen, J. Mardaljevic y S. Lockley. «A framework for predicting the non-visual effects of daylight-Part I: Photobiology-based model». Light. Res. Technol. 44.1 (2012), 37-53.
[27] J. Zeiter, D. Dijk, R. Dronauer, E. Brown y C. Czeisler. «Sensivity of the human circadian pacemaker to nocturnal light: melatonin phase resetting and suppression». J. Physiol. 526.3 (2000), 695-702.
[28] C. Lai y S. Hokoi. «Solar façades: A review». Build. Environ. 30 (2015), 1-14.
[29] M. Zawidiski y L. Kahn. «Dynamic shading of a building envelope based on rotating polarized film system controlled by one-dimensional cellular automata in regular tessellations (triangular, square and hexagonal )». Adv. Eng. Informatics 29.1 (2014), 87-100.
[30] O. Etman, O. Tolba y S. Ezzeldin «Double-Skin façades in Egypt between parametric and climatic approaches» en Computation and performance-Proceedings of the 31 st eCAADe Conference, 2014, 459-465.
[31] J. Mardaljevic. «Daylight, indoor ilumination and human behaviour» en Sustainable Built Environments, Springer N., Springer New York, Ed. New York, 2013, 69-111.
[32] R. Hopkinson, P. Petherbridge y J. Longmore. Daylighting. Londres: Butterworth-Heinemann Ltd, 1966.
[33] J. Mardaljevic y A. Nabil. «The useful daylight illuminance paradigm: A replacement for daylight factors» en Lux Europa, 2005, 169-174.
[34] C. Reinhart, J. Mardaljevic y Z. Rogers. «Dynamic daylight performance metrics for sustainable building design». Leukos 3.1 (2006), 7-31.
[35] O. Walkenhorst, J. Luther, C. Reinhar y J. Timmer. «Dynamic annual daylight simulations based on one-hour and one-minute means of irradiance data». Sol. Energy 72.5 (2002), 385-395, 2002.
[36] J. Mardaljevic. Climate-based daylight analysis for residential buildings: Impact of various window configurations, external obstructions, orientations and location on Useful Daylight Illuminance. uk: Institute of Energy and Sustainable Development and De Montfort University, 2008.
[37] doe (U.S. Department of Energy). «Energy Plus Energy Simulation Software: Weather Data». EnergyPlus, 2017. 12 de junio de 2017 https://energyplus.net/weather.
[38] conavi Código de Edificación de Vivienda. Tercera Ed. sedatuconavi, 2017.
[39] Secretaría de Energía. Norma Oficial Mexicana nom-025-stps-2008, Condiciones de iluminación en los centros de trabajo. sener, 2008.
[40] Secretaría de Energía. Norma Oficial Mexicana nom-007-ener-2014, Eficiencia energética para sistemas de alumbrado en edificios no residenciales. seer, 2014.
Universidad de las Américas Puebla
[41] cie (Commision Internationale de L’Eclairage), cie S 017/E:2011 ILV: International lighting vocabulary. Viena: cie, 2011.
[42] R. Kittler, M. Kocifaj y S. Darula. «Simulation of seasonal variations in the local daylight climate» en Daylight Science and Daylighting Technology. Londres: Editorial Springer Science+Business Media, LLC, 2012, 155-186.
[43] cie (Commision Internationale de L’Eclairage), International Dayligth Measurement Programme. Viena, 1991.
[44] P. Moon y D. Spencer. «Illumination from a Non-Uniform Sky». Illum. Eng. 37 (1942), 707-726.
[45] CIE (Commision Internationale de L’Eclairage). CIE 016:1970. Daylight: International Recommendations for the Calculations of Natural Daylight. París: CIE, 1970.
[46] R. Kittler. «Standardization of outdoor conditions for the calculation of the daylight factor with clear skies». Comm. Int. l’Eclairage, 1967.
[47] cie (Commision Internationale de L’Eclairage). Standardization of Luminance Distribution on Clear Skies 22, 1973.
[48] M. Perraudeau. «Luminance models» en National Lighting Conference, 1988, 291–292.
[49] R. Kittler, S. Darula y R. Perez. A set of standard skies, characterizing daylight conditions for computer and energy conscious design, 1998.
[50] R. Perez, R. Seals y J. Michalsky. «All-weather model for sky luminance distribution - preliminary configuration and validation». Sol. Energy 50.3 (1993), 235-245.
[51] R. Perez, P. Ineichen, R. Seals, J. Michalsky y R. Stewart. «Modelling daylight availability and irradiance components from direct and global irradiance». Sol. Energy 44.5 (1990), 271-289.
[52] cie (Commision Internationale de L’Eclairage). «cie Sky Generator» http://andrewmarsh.com/software/cie-sky-web/, http://andrewmarsh.com/software/cie-sky-web/, 2020.
[53] cie (Commision Internationale de L’Eclairage), cie S 011:2003. Spatial distribution of Daylight -cie Standard General Sky. Viena: cie, 2003.
[54] P. Tregenza. «The CIE/WMO international daylighting measurement programe». CIE J. 6.2, 1987.
[55] D. Dumortier. «Evaluation of luminous efficacy models according to sky types and atmospheric conditions» en Lux Europa, 1997.
[56] bsi (British Standard Institution). «BS 8206-2: Lighting for builgings: Code of practice for daylighting», 2008.
[57] breeam (Building Research Establishment Environmental Assessment Method). «Hea 01 Daylighting». Health and Wellbeing, 2016. 27 de febrero de 2017 http://www.breeam.com/domrefurbmanual/content/05hea/hea_01_daylighting.htm#CN1.
[58] C. Reinhart y O. Walkenhorst. «Dynamic RADIANCE-based daylight simulations for a full-scale test office with outer venetian blinds». Energy Build 33.7 (2001), 683-697.
[59] C. Reinhart y J. Wienold. «The daylighting dashboard - A simulationbased design analysis for daylit spaces». Build. Environ. 46.2 (2011), 386-396.
[60] J. Mardaljevic. «Climate-Based Daylight Modelling», 2011 http://climate-based-daylighting.com/doku.php.
[61] J. Mardaljevic y J. Christoffersen. «A roadmap for upgrading national/ eu standards for daylight in buildings» en Proceedings of CIE Centenary «Towards a New Century of Light», 2013, 178-187.
[62] A. Nabil y J. Mardaljevic. «Useful daylight illuminance: A new paradigm for assessing daylight in buildings». Light. Res. Technol. 37.1 (2005), 41-59.
[63] IES (Illuminating Engineering Society) y The Daylight Metrics Committee. «IES LM-83-12. Spatial Daylight Autonomy (sDA) and Annual Sunlight Exposure (ASE)». Nueva York: IES, 2012.
[64] E. Brembilla, D. A. Chi, C. J. Hopfe y J. Mardaljevic. «Evaluation of Climate-based daylighting techniques for complex fenestration and shading systems». Energy Build 203, 2019.
[65] J. Mardaljevic. «Climate-Based Daylight Modelling and its discontents» en CIBSE Technical Symposium, 2015, 1-12.
[66] C. Reinhart, T. Rakha y D. Weissman. «Predicting the Daylit AreaA Comparison of Students Assessments and Simulations at Eleven Schools of Architecture». Leukos 10 (2014), 193-206.
[67] bsi (British Standard Institution). «Indoor environmental input parameters for design and assessment of energy performance of buil-
Universidad de las Américas Puebla
dings addressing indoor air quality, thermal environment, lighting and acoustics» BSI, London, UK, BS EN 15251, 2007.
[68] D. A. Chi, D. Moreno y J. Navarro. «Correlating daylight availability metric with lighting, heating and cooling energy consumptions». Build. Environ. 132 (2018), 170-180.
[69] J. Mardaljevic, M. Andersen, N. Roy y J. Christoffersen. «Daylighting metrics: Is there a relation between Useful Daylight Illuminance and Daylight Glare Probability?» en Proceedings of the Building Simulation and Optimization Conference BSO12, (septiembre 2012), 189-196.
[70] C. F. Reinhart y J. Wienold. «The daylighting dashboard-A simulationbased design analysis for daylit spaces». Build. Environ. 46.2 (2011), 386-396.
[71] SLL (The Society of Light and Lighting), The SLL Code for Lighting. Londres: CIBSE, 2012.
[72] A. Pattini, J. Mitchell y C. De Rosa. «Evaluación de iluminación natural en aulas mediante simulación y modelos a escala» en XVI Reunión de Trabajo de ASADES, 1993.
[73] The Society of Light y Lighting (sll). «Lighting for the built environment» en LG10: Daylighting - a guide for designers, cibse sll, 2014.
[74] A. Tsanrassoulis y M. Santamouris. «Daylight modeling with passportlight» en International Building Performance Simulation Associaton Conference (1997), 73-78.
[75] G. Ward y F. Rubistein. «A new technique for computer simulation of illuminated spaces». J. Illum. Eng. Soc. 1 (1988), 80-91.
[76] S. Müller. «Simulation von Kunst- und tageslicht mit dem Radiosity Verfahren». Technical University Darmstadt, 1997.
[77] M. F. Cohen y J. R. Wallace. Radiosity and realistic image synthesis Academic Press Professional Inc, 1993.
[78] P. Tregenza. «Daylight Coefficients». Light. Res. Technol. Technol. 15.2 (1983), 65-71.
[79] G. Ward. «Measuring and modeling anisotropic reflection». Comput. Graph. (ACM) 26.2 (1992), 265-272.
[80] C. Reinhart y M. Andersen. «Development and validation of a radiance model for a translucent panel». Energy Build 38.7 (2006), 890-894.
Escuela de Artes y Humanidades
[81] C. Reinhart y O. Walkenhorst. «Validation of dynamic RADIANCEbased daylight simulations for a test office with external blinds». Energy Build 33.7 (2001), 683-697.
[82] C. Reinhart. «Simulation algorithms for Radiance and Daysim» en Tutorial on the use of Daysim/Radiance simulations for building design, EE. UU.: Harvard University, 2010, 18-31.
[83] Lawrence Berkeley Laboratory (LBNL). «The RADIANCE 4.2 Synthetic Imaging System», 2017 http://radsite.lbl.gov/radiance/refer/ray. html#Materials.
[84] C. Reinhart. Tutorial on the use of Daysim simulations for sustainable design. EE. UU.: Harvard University, 2010.
[85] C. Reinhart. «Lightswitch-2002: A model for manual and automated control of electric lighting and blinds». Sol. Energy 77.1 (2004), 15-28.
[86] C. Reinhart, K. Lagios, J. Niemasz y A. Jakubiec. DIVA for Rhino. Cambridge, MA: Solemma, LCC, 2012.
[87] R. McNeel. «Rhinoceros: Nurbs Modeling for Rhino (Versión 4.0 SR 8)». Robert McNeel and Associates, 2010.
[88] S. Davidson. Grasshopper: Algorithmic Modelling for Rhino. Brisbane, CA: NING/MODE Social, 2013.
[89] C. Reinhart. Daylight availability and manual lighting control in office buildings- Simulations studies and analysis of measurements Alemania: University of Karlsruhe, 2001.
[90] iea (Energy conservation in buidlings and community systems). Themal and solar properties of windows. Expert guide. Copenhagen: iea shc, 1987.
[91] ahsrae (American Society of Heating Refrigerating and Air-Conditining Engineers), ASHRAE Handbook - Fundamentals, I-P Editio. Atlanta: ahsrae, Inc, 2013.
[92] S. Svendsen, J. Laustsen y J. Kragh. «Linear thermal transmittance of the assembly of the glazing and the frame in windows» en Nordic Symposium on Building Physics, 2005, 995-1002.
[93] J. L. Hensen y R. Lamberts. Building performance simulation for design and operation. Oxford, 2011.
[94] T. Hong. EnergyPlus analysis capabilities for use in California building energy efficiency standards develpment and compliance calculations. Berkeley: Lawrence Berkeley National Laboratory (lbnl), 2008.
de las Américas Puebla
[95] doe (U.S. Department of Energy). EnergyPlus Version 8.5 Documentation. Engineerging reference. California: lbnl (Lawrence Berkeley National Laboratory), 2016.
[96] ahsrae (American Society of Heating Refrigerating and Air-Conditining Engineers). ASHRE/IESNA Standard 90.1-2016. Energy standard for buildigns except low-rise residendial buildings. Atlanta, 2016.
[97] D. W. Kim y C. S. Park. «Difficulties and limitations in performance simulation of a double skin façade with EnergyPlus». Energy Build 43.12 (2011), 3635-3645.
[98] DesignBuilder Software Ltd. «DesignBuilder». DesignBuilder Company, 2019.
[99] National Laboratory of the U.S. Department of Energy (nrel), «OpenStudio». Alliance for Sustainable Energy, LLC., 2019.
[100] T. Dogan, Archsim Primer. An introduction to energy modeling with Grasshopper. GitBook, 2016.
[101] Villum Window Collection. «History of the window», 10 de febrero de 2020 http://en.villumwindowcollection.com/ history-of-the-window.
[102] N. Lechner. Heating, cooling and lighting. Sustainable design methods for architects, 4a ed. John Wiley & Sons, 2015.
[103] D. Lash. Daylight in low energy buildings, 1998.
[104] L. Assaf. «El aprovechamiento energético del alumbrado natural en edificios» en Manual de iluminación eficiente, Diego Pasj., Buenos Aires, Argentina: Universidad Tecnológica Nacional y Efficient Lighting Initiative, 2006, 1-19.
[105] Geohábitat. Energía y medioambiente. Manual. Arquitectura solar para climas cálidos. España, 2000.
[106] W. Bustamante. Guía de diseño para la eficiencia energética en la vivienda social. Santiago de Chile: minvu, 2009.
[107] idae (Instituto para la Diversificación y Ahorro de Energía). Guía técnica. Aprovechamiento de la luz natural en la iluminación de edificios. Madrid, España: IDAE, 2005.
[108] M. Egan. Concepts in architectural ligting. Hill, New York: McGraw, 1983.
[109] cibse Daylighting and window design., vol. LG10_1999. Londres: Publicaciones idae, 1999.
Humanidades
[110] N. Baker, A. Fanchiotti y K. Steemers. «Daylighting components» en Daylighting in Architecture. A European Reference Book., Italia: Energy Research Group, School of Architecture, University College, Dublin. James&James (Science Publishers), Commission of the European Communities, 1993, 5.1-5.65.
[111] Department of the Environment. «Conservations of fuel and power». Approv. Doc. Part L1, HSMO, London, 1990.
[112] C. F. Reinhart y V. R. M. Lo Verso. «A rules of thumb based design sequence for diffuse daylight». Light. Res. Technol. 42.1 (2010), 7-32.
[113] idae (Instituto para la Diversificación y Ahorro de Energía). Guía Práctica de la Energía. Consumo eficiente y responsable., 3a. ed. Madrid, España: idae, 2011.
[114] C. F. Reinhart. «A simulation-based review of the ubiquitous windowhead-height to daylit zone depth rule of thumb» en Building Simulation, 2005.
[115] R. Leslie, R. Raghavan, O. Howlett y C. Eaton. «The potential of simplified concepts for daylight harvesting». Light. Res. Cent. - Rensselaer Polytech. Institute, Troy, NY, USA, 37.1 (2005), 21-38.
[116] J. Mardaljevic. «Simulation of annual daylighting profiles for internal illuminance». Light. Res. Technol. 32.3 (2000), 111-118.
[117] A. Pellegrino y V. Lo Verso. «The energy demand for electric lighting as a consequence of different architectural building features and lighting plant characteristics». Proc. CIE 2010 Lighting Qual. Energy Effic. x035 (2010), 695-703.
[118] P. Esquivias, J. Navarro y C. Muñoz. «Hacia la optimizacion del aprovechamiento de la luz natural». Greencities 2° Salón la Efic. Energética en Edif. y Espac. Urbanos (2011), 229-274.
[119] G. Wu. «Studies in preliminary design of fenestration: Balancing daylight harvesting and energy consumption» Faculty of the USC School of Architecture, University of Southern California, California, 2012.
[120] V. Olgyay. Arquitectura y clima. Manual de diseño bioclimático para arquitectos y urbanistas. Barcelona: Gustavo Gili, 1988.
[121] doe (US Department of Energy). «Climate Consultant», 2020 http:// www.energy-design-tools.aud.ucla.edu/climate-consultant/request-climate-consultant.php.
de las Américas Puebla
[122] «DatosMundial». 23 de febrero de 2020 https://www.datosmundial. com/america/mexico/clima-puebla.php.
[123] inegi Guía para la interpretación de cartografía climatológica Aguascalientes: Instituto Nacional de Estadísitca, Geografía e Informática (inegi), 2005.
[124] M. Kottek, J. Grieser, C. Beck, B. Rudolf y F. Rubel. «World map of the Köppen-Geiger climate classification updated». Meteorol. Zeitschrift 15.3 (2006), 259-263.
[125] inegi. «Climatología». Mapa de Climas de México, 2005 inegi.org. mx.
[126] Registro Único de Vivienda (RUV). «Visor geográfico: Aspectos físicos geográficos: Climas». Registro Único de Vivienda, 24 de febrero de 2020 https://geoespacial.ruv.org.mx/geoportal/map?gp=N2Ew MDQ4ZTYtYTAxOS00MmNlLTkzMzUtZGEzYjQ3N2M4MDQ5.
[127] conuee. «Proceso de cálculo de grados día de México». conuee, Secretaría de Energía, 2016 https:// www.gob.mx/conuee/acciones-y-programas/ herramientas-y-aplicaciones?state=published.
[128] Comisión Nacional para el Uso Eficiente de la Energía. «Grados día y zonas climáticas para México. Versión 1.0.». conuee, Secretaría de Energía, 2013 http://www.conuee.gob.mx/.
[129] conavi Guía de implementación del Código de Edificación de Vivienda (CEV): Adaptación y adopción locales, 3a ed. conavi-sedatu, 2017.
[130] conavi Código de Edificación de Vivienda, 2ª ed. sedatu - conavi, 2010.
[131] Secretaría de Economía. Norma Mexicana Nmx-AA-164-SCFI-2013, Edificación Sustentable - Criterios y Requerimientos Ambientales Mínimos, 2013, 158.
[132] Comisión Nacional para el Uso Eficiente de la Energía. nom-008ener-2001: Eficiencia energética- Edificaciones, 2001.
[133] Comisión Nacional para el Uso Eficiente de la Energía. nom-020ener-2011: Eficiencia energética en edificaciones-Envolvente de edificios para uso habitacional, 2011.
[134] R. Vidal-Zepeda, Las regiones climáticas de México. Temas selectos de geografía de México. México: UNAM, 2005.
Escuela de Artes y Humanidades
[135] inegi. «Características principales de las unidades económicas del sector privado y paraestatal que realizaron actividades durante 2013, según actividad y tamaño de la unidad económica». Censos Económicos 2014., 2016 https://www.inegi.org.mx/app/ descarga/?p=1664&ag=00. [Accessed: 23-May-2020].
[136] inegi Censo General de Población y Vivienda, 2014.
[137] iesna (Illuminating Engineering Society of North America). Lighting handbook 10th Edition. Nueva York: iesna Publications Department, 2011.
[138] D. A. Chi, D. Moreno y J. Navarro. «Impact of perforated solar screens on daylight availability and low energy use in offices». Adv. Build. Energy Res. 0.0 (2018), 1-25.
[139] D. A. Chi. «Daylight through perforated solar screens over glazed façades: Design guidelines» [Phd thesis] University of Seville, 2017.
[140] sia Merkblatt. «sia Merkblatt 2024, Ausgabe 2015. Raumnutzungsdaten für Energie- und Gebäudetechnik». sia Merkblatt, 2015.
[141] G. Ramos y E. Ghisi. «Analysis of daylight calculated using the EnergyPlus program». Renew Sustain Energy Rev. 14.7 (2010), 1948-1958.
[142] P. Correia Da Silva, V. Leal y M. Andersen. «Influence of shading control patterns on the energy assessment of office spaces». Energy Build 50 (2012), 35-48.
[143] G. Newsham. «Manual control of window blinds and electric lighting: Implications for comfort and energy consumption». Indoor Environ. 3 (1994), 135-144.
[144] E. S. Lee y S. Selkowitz. «The design and evaluation of integrated envelope and lighting control strategies for commercial buildings» en ashrae 1995 Winter Meeting, 1995.
[145] cen (European Committee for Standardization). «cen, en iso 13790 Energy performance of buildings - calculation of energy use for space heating and cooling», 2008.
[146] C. Reinhart y K. Voss. Monitoring manual control of electric lighting and blinds. nrc-cnrc, National Research Council Canada, 2003.
de las Américas Puebla
Doris Abigail Chi Pool es doctora por la Universidad de Sevilla, con mención internacional, en la línea de investigación sobre iluminación natural, acondicionamiento ambiental y eficiencia energética en la edificación. Es especialista en medio ambiente visual e iluminación eficiente, y maestra en iluminación, por la Universidad Nacional de Tucumán, Argentina; es arquitecta por la Universidad Autónoma de Yucatán. Actualmente es profesora de tiempo completo en el Departamento de Arquitectura de la Universidad de las Américas Puebla, México.
Ha realizado estancias de investigación en diferentes instituciones, como el Instituto de Ciencias Humanas y Ambientales (incihusa), en Argentina, y la Escuela de Construcción e Ingeniería Civil de la Universidad de Loughborough, en Reino Unido. Actualmente es miembro del Sistema Nacional de Investigadores (sni), México; miembro de la Asociación Internacional de Simulación de Rendimiento de Edificios (ibpsa), capítulo de México, y colaboradora en el grupo de investigación «TEP-130, arquitectura, patrimonio y sostenibilidad: acústica, iluminación, óptica y energía». Ha publicado diferentes artículos en prestigiosas revistas y participado con ponencias en conferencias internacionales; también ha sido revisora de artículos de investigación para revistas internacionales indexadas.
Sus intereses en investigación son sobre modelado de la luz natural con base climática (cbdm), acondicionamiento ambiental de espacios, eficiencia energética y simulaciones del rendimiento general de las edificaciones. Particularmente, está enfocada en estudios para la optimización del diseño de edificios a través del diseño paramétrico y análisis estadísticos, que permitan mejorar la iluminación natural y la eficiencia energética. También ha trabajado como consultora y diseñadora en proyectos de iluminación arquitectónica, patrimonial, urbana y de paisaje.
Áreas de investigación
• Luz natural y radiación solar
• Edificios eficientes energéticamente
• Simulación de rendimiento de edificios
• Optimización y diseño paramétrico
Escuela de Artes y Humanidades

Figura I.4. Beneficios de la iluminación natural.

Figura 1.1. Espectro de la radiación solar.

Figura 1.2. Unidades fotométricas.

Figura 1.3. Alturas del Sol en tres días representativos del año, a las 13:00 horas, para una fachada sur.
Escuela de Artes y Humanidades

Figura 1.4.
Iluminancia exterior en un día nublado (o con nubes interceptando el sol) y en un día despejado con sol.

Figura 1.5.
Principales fuentes de luz natural en el interior de los espacios.

Figura 1.6.
Distribución de luminancias para: a) cielo nublado, y b) cielo uniformemente nublado.

Figura 1.8.
Distribución luminosa de un cielo claro.

Figura 1.9.
Modelo de cielo All-Weather con subdivisión de cielo Tregenza/Reinhart. Imagen generada en la aplicación CIE Sky Generator [52], para la ciudad de Puebla, el 21 de marzo a las 13:00 horas, con el archivo climático EPW [52].

Figura 1.10.
Ejemplos de los 15 tipos de cielo definidos en el cielo general estándar CIE. Imágenes generadas en la aplicación CIE Sky Generator [52], para la ciudad de Puebla, el 21 de marzo a las 13:00 horas.
Universidad de las Américas Puebla

Figura 1.11. Factor de iluminación natural.

Figura 1.12. Comparativa entre el modelado con base climática y el factor de iluminación natural. Mardaljevic, J. [60].
Escuela de Artes y Humanidades

Figura 1.13.
Ejemplo de serie temporal de iluminancias para un «único sensor» en el interior de un espacio. Las líneas blancas punteadas representan el horario de ocupación típico de una oficina, considerando el horario de verano.

Figura 1.15.
Métrica DA, calculada en un plano de trabajo horizontal. Vista en planta.

Figura 1.16. Métricas SDA y ASE calculadas en un plano de trabajo horizontal. Vista en planta.

Figura 1.17. Esquema UDI en los rangos bajo (UDI-f), útil (UDI) y excesivo (UDI-e), calculados en un plano de trabajo horizontal. Vista en planta.

Figura 1.22. Ángulos solares: a) altura y b) azimut.

Figura 1.23.
Carta solar estereográfica para la latitud de Puebla, México.

Figura 1.30.
Visualización de iluminancias en el interior del espacio y según la posición solar, en fechas y horas específicas del año (21 de junio y 21 de diciembre a las 9:00 horas). Gráficos generados en DIVA para Grasshopper.
Escuela de Artes y Humanidades

Figura 2.1.
El Panteón romano se ilumina sutilmente desde el óculo. Se caracteriza por una iluminación natural constantemente variable, según el movimiento del sol.

Figura 2.2.
Las ventanas del Renacimiento se caracterizaron por barras y paneles de vidrio, a veces coloreados. Casa de Matías Hansen y Castillo de Rosenburg, ambos en Copenague, Dinamarca [101].

Figura 2.3. Lámpara incandescente con filamento de carbón.

Figura 2.5. Museo Guggenheim, Nueva York. Luz cenital para iluminación natural.

Figura 2.7.
Factores para el aprovechamiento de la luz natural en los edificios.

Figura 2.9.
Diagrama de orientaciones recomendables y no recomendables para el hemisferio norte [104].

Figura 2.12.
Distribución de espacios en zonas templadas (latitud 19° norte). Esta es una sugerencia: siempre se deben priorizar los espacios en los que los usuarios de la edificación vayan a pasar la mayor parte del día de acuerdo a su estilo de vida y actividades.
Figura 3.7.

Recomendaciones sobre el uso de protecciones solares en ventanas del hemisferio norte. Según la latitud, se pueden requerir parasoles verticales para evitar el deslumbramiento.

Figura 3.8.
Dimensionamiento de voladizo para una fachada sur, según el ángulo solar en temporada de sobrecalentamiento.

Figura 3.9.
Protección solar vertical exterior para orientación este y oeste.

Figura 4.1.
Valores de temperatura (°C) en Puebla, según el archivo climático EPW. Imagen generada con el programa ClimateConsultant V.6 [121].

Figura 4.2.
Valores de humedad relativa en Puebla, según el archivo climático EPW. Imagen generada con el programa ClimateConsultant V.6 [122].

Figura 4.4.
Valores anuales de temperatura, humedad relativa y vientos dominantes en Puebla, según el archivo climático EPW. Imagen generada con el programa ClimateConsultant V.6 [121].

Figura 4.5.
Radiación solar global en Puebla, según el archivo climático EPW. Imagen generada con el programa ClimateConsultant V.6 [121].

Figura 4.8. Clasificación de climas mundial, base Köppen [124].

Figura 4.9. Datos sobre temperatura media anual y precipitación media anual de México (inegi) [125].

Figura 4.10.
Mapa de las unidades climáticas de México, según el sistema de clasificación climática Köppen (1963), modificado por Enriqueta García (1973) [125].

Figura 4.11.
Mapa de las unidades climáticas de México (1950-2000) [125].

Figura 4.12. Mapa de las unidades climáticas de México, inegi 2020 [126].

Figura 4.13. Husos horarios establecidos en México (cenam) [127].

Figura 4.14. Distribución municipal de zonas climáticas. (conuee) [127].

Figura 4.15.
Regionalización por estacionalidad climática, con base en la información de herramienta grados-día (conuee) [127].

Figura 4.16. Zonas climáticas consideradas en NMX-AA-164-SCFI-2013 [131].

Figura 5.1. Regiones climáticas consideradas en NMX-AA-164-SCFI-2013.

Figura 5.3.
Climas representativos de cada estado, según la temperatura media anual. Agrupado por región climática [135].

Figura 5.4.
Valores horarios de la temperatura de bulbo seco, humedad relativa y radiación horizontal global para la ciudad de Monterrey, Nuevo León. Archivo climático MEX_NLE_Monterrey-Escobedo.Intl. AP.763943_TMYx.2003-2017. Gráficos generados en el programa Ladybug – Grasshopper.

Figura 5.5.
Valores horarios de la temperatura de bulbo seco, humedad relativa y radiación horizontal global para la ciudad de Mérida. Archivo climático MEX_YUC_Merida-Rejon.Intl.AP.766440_TMYx.2003-2017. Gráficos generados en el programa Ladybug – Grasshopper.

Figura 5.6.
Valores horarios de la temperatura de bulbo seco, humedad relativa y radiación horizontal global para la ciudad de Puebla. Archivo climático MEX_PUE_Puebla-Serdan.Intl.Ap.766850_TMYx-2003-2017.epw. Gráficos generados en el programa Ladybug – Grasshopper.
No iluminado
Parcialmente iluminado
Completamente iluminado
Sobreiluminado

Figura 5.10. Esquema modificado DAv [138].

Figura 5.11.
Modelos A y B en perspectiva, construidos con Rhinoceros, para el cálculo energético por zona.

Figura 5.15.
Resultados DAv obtenidos para el modelo A. Se incluyen todos los tamaños de ventanas (WWR 10-100%), en las cuatro orientaciones (sur, norte, este y oeste), para la ciudad de Monterrey, Nuevo León.

Figura 5.16.
Resultados DAv obtenidos para el modelo B. Se incluyen todos los tamaños de ventanas (WWR 10-100%), en las cuatro orientaciones (sur, norte, este y oeste), para la ciudad de Monterrey, Nuevo León.
Wh/m2

Figura 5.17.
Diagrama del recorrido solar para la ciudad de Monterrey (latitud 25°40’N): valores horarios de radiación global horizontal (Wh/m2) para los días 21 de los meses de junio, septiembre/marzo y diciembre. Archivo climático MEX_NLE_Monterrey-Escobedo.Intl.AP.763943_ TMYx.2003-2017.epw. Gráfico generado en el programa Ladybug –Grasshopper.

Figura 5.18.
Valores horarios de iluminancia normal directa para la ciudad de Monterrey. Archivo climático MEX_NLE_Monterrey-Escobedo. Intl.AP.763943_TMYx.2003-2017. Gráfico generado en Ladybug –Grasshopper.

Figura 5.19.
Modelo A: resultados de los indicadores energéticos obtenidos para todos los tamaños de ventanas (WWR 10-100%), en las cuatro orientaciones (sur, norte, este y oeste), para la ciudad de Monterrey, Nuevo León.

Figura 5.20.
Modelo B: resultados de los indicadores energéticos obtenidos para todos los tamaños de ventanas (WWR 10-100%), en las cuatro orientaciones (sur, norte, este y oeste), para la ciudad de Monterrey, Nuevo León.

Figura 5.21.
Modelo A (proporción 1:1): área sobreiluminada (color magenta) cuantificada en el plano de trabajo, para WWR 10-100%, en las cuatro orientaciones, para la ciudad de Monterrey, Nuevo León.

Figura 5.22.
Modelo B (proporción 1:2): área sobreiluminada (color magenta) cuantificada en el plano de trabajo, para WWR 10-100%, en las cuatro orientaciones, para la ciudad de Monterrey, Nuevo León.
Escuela de Artes y Humanidades

Figura 5.23.
Resultados DAv obtenidos para el modelo A. Se incluyen todos los tamaños de ventanas (WWR 10-100%), en las cuatro orientaciones (sur, norte, este y oeste), para la ciudad de Mérida, Yucatán.

Figura 5.24.
Resultados DAv obtenidos para el modelo B. Se incluyen todos los tamaños de ventanas (WWR 10-100%), en las cuatro orientaciones (sur, norte, este y oeste), para la ciudad de Mérida, Yucatán.

Figura 5.25.
Diagrama del recorrido solar para la ciudad de Mérida (latitud 20°58’N): valores horarios de radiación global horizontal (Wh/m2) para los días 21 de los meses de junio, septiembre/marzo y diciembre. Archivo climático MEX_YUC_Merida-Rejon.Intl.AP.766440_TMYx.20032017.epw. Gráfico generado en Ladybug-Grasshopper.

Figura 5.26. Valores horarios de iluminancia normal directa para la ciudad de Mérida. Archivo climático MEX_YUC_Merida-Rejon.Intl.AP.766440_ TMYx.2030-2017. Gráfico generado en Ladybug-Grasshopper.

Figura 5.27.
Modelo A: resultados de los indicadores energéticos obtenidos para todos los tamaños de ventanas (WWR 10-100%), en las cuatro orientaciones (sur, norte, este y oeste), para la ciudad de Mérida, Yucatán.

Figura 5.28.
Modelo B: resultados de los indicadores energéticos obtenidos para todos los tamaños de ventanas (WWR 10-100%), en las cuatro orientaciones (sur, norte, este y oeste), para la ciudad de Mérida, Yucatán.

Figura 5.29.
Modelo A (proporción 1:1): área sobreiluminada (color magenta) cuantificada en el plano de trabajo, para WWR 10-100%, en las cuatro orientaciones, para la ciudad de Mérida, Yucatán.

Figura 5.30.
Modelo B (proporción 1:2): área sobreiluminada (color magenta) cuantificada en el plano de trabajo, para WWR 10-100%, en las cuatro orientaciones, para la ciudad de Mérida, Yucatán.

Figura 5.31.
Resultados DAv obtenidos para el modelo A. Se incluyen todos los tamaños de ventanas (WWR 10-100%), en las cuatro orientaciones (sur, norte, este y oeste), para la ciudad de Puebla, Puebla.

Figura 5.32.
Resultados DAv obtenidos para el modelo B. Se incluyen todos los tamaños de ventanas (WWR 10-100%), en las cuatro orientaciones (sur, norte, este y oeste), para la ciudad de Puebla, Puebla.
Wh/m2

Figura 5.33.
Diagrama del recorrido solar para la ciudad de Puebla (latitud 19°3’
N): valores horarios de radiación global horizontal (Wh/m2) para los días 21 de los meses de junio, septiembre/marzo y diciembre. Archivo climático MEX_PUE_Puebla-Serdan.Intl.Ap.766850_TMYx-2003-2017. epw. Gráfico generado en Ladybug-Grasshopper.

Figura 5.34.
Valores horarios de iluminancia normal directa para la ciudad de Puebla. Archivo climático MEX_PUE_Puebla-Serdan.Intl.Ap.766850_ TMYx-2003-2017.epw. Gráfico generado en Ladybug-Grasshopper.

Figura 5.35.
Modelo A: resultados de los indicadores energéticos obtenidos para todos los tamaños de ventanas (WWR 10-100%), en las cuatro orientaciones (sur, norte, este y oeste), para la ciudad de Puebla, Puebla.

Figura 5.36.
Modelo B: resultados de los indicadores energéticos, obtenidos para todos los tamaños de ventanas (WWR 10-100%), en las cuatro orientaciones (sur, norte, este y oeste), para la ciudad de Puebla, Puebla.

Figura 5.37.
Modelo A (proporción 1:1): área sobreiluminada (color magenta) cuantificada en el plano de trabajo, para WWR 10-100%, en las cuatro orientaciones, para la ciudad de Puebla, Puebla.

Figura 5.38.
Modelo B (proporción 1:2): área sobreiluminada (color magenta) cuantificada en el plano de trabajo, para WWR 10-100%, en las cuatro orientaciones, para la ciudad de Puebla, Puebla.
Escuela de Artes y Humanidades

Figura 5.39.
Modelo A: resultados DAv. Se incluyen todos los tamaños de ventanas (WWR 10-100%), en las cuatro orientaciones (sur, norte, este y oeste), para las tres localidades de estudio (Monterrey, Mérida y Puebla).

Figura 5.40.
Modelo A: resultados de los indicadores energéticos obtenidos para todos los tamaños de ventanas (WWR 10-100%), en las cuatro orientaciones (sur, norte, este y oeste), para las tres localidades de estudio (Monterrey, Mérida y Puebla).

Figura 5.41.
Modelo B: resultados DAv. Se incluyen todos los tamaños de ventanas (WWR 10-100%), en las cuatro orientaciones (sur, norte, este y oeste), para las tres localidades de estudio (Monterrey, Mérida y Puebla).

Figura 5.42.
Modelo B: resultados de los indicadores energéticos, obtenidos para todos los tamaños de ventanas (WWR 10-100%), en las cuatro orientaciones (sur, norte, este y oeste), para las tres localidades de estudio (Monterrey, Mérida y Puebla).


Ángulos de azimut señalados en la carta solar.


Ángulos de altura señalados en la carta solar.

Figura A.3.
Recorrido aparente del Sol según los meses del año.

Figura A.4. Recorrido aparente del Sol según las horas del día.

A.5.
Carta solar y estudio de proyecciones de sombra con base en una matriz de 3 × 3. Vista en perspectiva de la fachada sur del modelo A (proporción 1:1), ubicado en Puebla.

Figura B.1.
Archivo climático EPW: organización de la información contenida.

Figura C.1.
Mapas temporales de iluminancias: ventanas orientadas hacia el sur, en la ciudad de Monterrey: A) modelos en proporción 1:1 y B) modelos en proporción 1:2.

Figura C.2.
Mapas temporales de iluminancias: ventanas orientadas hacia el norte, en la ciudad de Monterrey: A) modelos en proporción 1:1 y B) modelos en proporción 1:2.

Figura C.3.
Mapas temporales de iluminancias: ventanas orientadas hacia el este, en la ciudad de Monterrey: A) modelos en proporción 1:1 y B) modelos en proporción 1:2.

Figura C.4.
Mapas temporales de iluminancias: ventanas orientadas hacia el oeste, en la ciudad de Monterrey: A) modelos en proporción 1:1 y B) modelos en proporción 1:2.

Figura C.5.
Mapas temporales de iluminancias: ventanas orientadas hacia el sur, en la ciudad de Mérida: A) modelos en proporción 1:1 y B) modelos en proporción 1:2.

Figura C.6.
Mapas temporales de iluminancias: ventanas orientadas hacia el norte, en la ciudad de Mérida: A) modelos en proporción 1:1 y B) modelos en proporción 1:2.

Figura C.7.
Mapas temporales de iluminancias: ventanas orientadas hacia el este, en la ciudad de Mérida: A) modelos en proporción 1:1 y B) modelos en proporción 1:2.

Figura C.8.
Mapas temporales de iluminancias: ventanas orientadas hacia el oeste, en la ciudad de Mérida: A) modelos en proporción 1:1 y B) modelos en proporción 1:2.

Figura C.9.
Mapas temporales de iluminancias: ventanas orientadas hacia el sur, en la ciudad de Puebla: A) modelos en proporción 1:1 y B) modelos en proporción 1:2.

Figura C.10.
Mapas temporales de iluminancias: ventanas orientadas hacia el norte, en la ciudad de Puebla: A) modelos en proporción 1:1 y B) modelos en proporción 1:2.

Figura C.11.
Mapas temporales de iluminancias: ventanas orientadas hacia el este, en la ciudad de Puebla: A) modelos en proporción 1:1 y B) modelos en proporción 1:2.

Figura C.12.
Mapas temporales de iluminancias: ventanas orientadas hacia el oeste, en la ciudad de Puebla: A) modelos en proporción 1:1 y B) modelos en proporción 1:2.
Izraim Marrufo Fernández Director
Rosa Quintanilla Martínez Jefa editorial
Angélica González Flores
Guillermo Pelayo Olmos Coordinadores de diseño
Andrea Garza Carbajal Aldo Chiquini Zamora Coordinadores de corrección
Carolina Tepetla Briones
Coordinadora administrativa
Andrea Monserrat Flores Santaella Coordinadora de preprensa
Guadalupe Salinas Martínez Coordinadora de producción
José de Jesús López Castillo
José Enrique Ortega Oliver Impresores
María del Rosario Montiel Sánchez Encuadernación y acabados
IlumInacIón natural a través de ventanas criterios de diseño para climas en méxico fue preparado como archivo para impresión bajo demanda por el Departamento de Publicaciones de la Universidad de las Américas Puebla el 3 de mayo de 2021. En su diseño se empleó la tipografía Udlap Sans.
Libro en impresión bajo demanda.
