Skip to main content

Estrategias de negocios. Diversos estudios de casos

Page 1


Primera edición: diciembre de 2014

ISBN 978-607-7690-23-8

Copyright © Fundación Universidad de las Américas, Puebla.

Ex hacienda Santa Catarina Mártir s/n, 72810, San Andrés Cholula, Puebla.

http://www.udlap.mx/internas/editorial.aspx editorial.udlap@udlap.mx

01 800 22 77 400

+52 (222) 229 20 00

Queda prohibida la reproducción parcial o total por cualquier medio del contenido de la presente obra, sin contar con autorización por escrito de los titulares de los derechos de autor.

Los artículos así como su contenido, su estilo y las opiniones expresadas en ellos, son responsabilidad de los autores y no necesariamente reflejan la opinión de la UDLAP.

Autores

Juan M. San Martín Reyna

Jorge A. Durán Encalada

Isis Gutiérrez-Martínez

Marco Morales

Sandra Sosa

Cecilia Trujillo

Juan Antonio Díaz

Rocío Moreno Sanabria

Erika Galindo Bello

María Isabel Huerta Carvajal

Robyn Lynn Johnson Carlson

Francois Duhamel

Luis Felipe Luna-Reyes

Dolores E. Luna

J. Ramón Gil-García

Rodrigo Sandoval-Almazán

Sergio Picazo-Vela

Compilador

Luis Felipe Luna-Reyes

Índice

Una nota inicial sobre este libro

Luis Felipe Luna-Reyes

* * * * *

La empresa familiar ante una decisión estratégica: un estudio de caso

Juan M. San Martín Reyna

Jorge A. Durán Encalada

* * * * *

Caso Hotel Grand Palladium Vallarta

Isis Gutiérrez-Martínez

Marco Morales

Sandra Sosa

Cecilia Trujillo

* * * * *

Tools & More

Dolores E. Luna

Juan Antonio Díaz *

Casa de regalos: estrategias de supervivencia para empresas familiares

Rocío Moreno Sanabria

Sergio Picazo Vela

Erika Galindo Bello

María Isabel Huerta Carvajal

* * * * *

The Rise and Fall of a Maquiladora: Strategic and Legal Issues as Denim Deals Move to China

Robyn Lynn Johnson Carlson

Francois Duhamel

* * * * *

El portal del Gobierno del Estado de Puebla

Luis Felipe Luna-Reyes

Dolores E. Luna

J. Ramón Gil-García

Rodrigo Sandoval-Almazán

Sergio Picazo-Vela

* * * * *

Una nota inicial sobre este libro

Departamento de Administración de Empresas Universidad de las Américas Puebla luisf.luna@udlap.mx

Introducción

Este libro es el resultado tangible de un taller de escritura de casos de enseñanza que tuvo lugar durante los meses de enero a mayo de 2013, en la Universidad de las Américas Puebla. Este volumen, así como nuestra participación en este trabajo, surgen del interés colegiado por la mejora continua de nuestra práctica docente, el promover un aprendizaje significativo y el desarrollar competencias en los estudiantes.

Como todo producto colegiado, el presente texto es el resultado de contrastar visiones sobre el aprendizaje y la enseñanza a nivel universitario, y de la evaluación y retroalimentación entre pares. El disparador de este esfuerzo fue un taller sobre el uso de casos en la enseñanza universitaria. Adicionalmente, algunos de los que participamos en esta experiencia, partiendo de la necesidad de contar con casos apropiados para el contexto latinoamericano y mexicano (Pitt & Watson, 2011), decidimos continuar con la escritura de casos propios para ser utilizados, principalmente, dentro de nuestros cursos. Así, este libro constituye una vía para compartir este esfuerzo colegiado, pero también un mecanismo para compartir algunas de nuestras reflexiones sobre la enseñanza a nivel universitario.

Así, este capítulo introductorio propone brevemente nuestra visión sobre la enseñanza con el método de casos en las escuelas de negocios, y continúa con una breve descripción de cada caso presentado en el libro.

La enseñanza universitaria y el

método de casos

El propósito de esta sección es clarificar nuestro entendimiento actual del caso y la metodología del caso. Adicionalmente, incluimos una breve descripción de los principales métodos activos y sus diferencias con el método de casos. Finalmente, hacemos algunos comentarios sobre los beneficios de utilizar el método y algunas posibles limitaciones.

El método de casos

Existe una larga tradición de investigación académica orientada a identificar mejores prácticas en la enseñanza universitaria (Bain, 2004; Duarte, 2013; Nilson, 2010). Algunos de los principios básicos que se incluyen como buenas prácticas en la enseñanza a nivel universitario incluyen promover el contacto entre alumnos y profesores, la cooperación entre estudiantes, el aprendizaje activo, la retroalimentación inmediata y el respeto a distintas formas de aprendizaje (Duarte, 2013).

Desde nuestro punto de vista, el método de casos es un método activo que tiene el potencial de promover varias de estas prácticas de excelencia a nivel universitario. A través de la discusión en clase se logra el contacto entre pares y la retroalimentación inmediata a los razonamientos de todos los participantes en el proceso de discusión, promoviendo además el uso de textos, imágenes y otras experiencias —como el juego de roles— que dan oportunidad a estudiantes con distintos estilos de aprendizaje de crecer al involucrarse en la experiencia.

El método de casos fue adoptado en las escuelas de negocios casi desde el origen de las mismas. En 1915, la Escuela de Negocios de la Universidad de Harvard adoptó el método que se utilizaba regularmente en la Escuela de Derecho. Esta decisión respondió a la convicción de que la administración de negocios no es una disciplina científica, sino principalmente una profesión que no puede enseñarse a través de lecciones, sino a través de enfrentar problemas reales de los negocios (Khurana, 2007).

A lo largo de la historia, en el uso de casos en la enseñanza de la administración, se ha desarrollado la concepción de que un caso es «la descripción de una situación real, que los estudiantes leen individualmente antes de la clase, y que sirve para su discusión y análisis en grupo bajo la moderación de un profesor » (Ogliastri, 1993, p. 151). Desde esta perspectiva, los mejores casos son aquéllos en los que se cubre una diversidad de temas, y se proporciona una diversidad de puntos de vista sobre una situación particular. De este modo, el caso contiene paradojas y contradicciones internas que permiten a los estudiantes escoger una postura específica, contando con elementos para fundamentar su interpretación. Desde este punto de vista, el mejor caso es aquél para el que

no existe una respuesta perfecta, e incluso respuestas que puedan ser derivadas del análisis económico o matemático puedan ser discutidas. Así, no se trata de «resolver » el caso, sino que se trata de desarrollar competencias de análisis, elaboración de juicios, toma de decisiones y solución de problemas (Barnes, Christensen, & Hansen, 1994; Ogliastri, 1993).

El método de casos como método de aprendizaje activo

De hecho, el uso de casos en la enseñanza es un método que comparte características con algunos otros métodos activos. Con el propósito de clarificar las similitudes y diferencias, queremos contrastar los tres métodos más comunes: el aprendizaje basado en investigación, el aprendizaje basado en problemas y el aprendizaje con el método de casos (Nilson, 2010).

El aprendizaje basado en investigación consiste en que los estudiantes exploren un área del conocimiento para encontrar preguntas sin responder, y utilicen el método científico para dar respuesta a estas preguntas. Normalmente, la aplicación de este método requiere un año escolar completo, ya que la exploración bibliográfica de cualquier tema, para enfocarse en el desarrollo de algunas preguntas específicas, lleva tiempo. La realización de una tesis para obtener el título de licenciatura o el grado de maestría es un buen ejemplo de la aplicación de este método de aprendizaje. Una variación del método, que ocasionalmente se confunde con el método de casos, es el aprendizaje basado en proyectos: un proyecto consiste en una tarea en la que los estudiantes, normalmente como parte de un equipo, realizan un diseño, un producto, un programa de cómputo, una presentación o un trabajo literario o artístico; este proyecto puede incluir la descripción de un caso donde el diseño es requerido.

El aprendizaje basado en problemas es un método en el que se asigna a los estudiantes un problema poco estructurado (Nilson, 2010). Ellos, como respuesta, investigan sobre el problema y desarrollan soluciones para el mismo. Normalmente los estudiantes también trabajan en equipo, y se involucran en un proceso de definición del problema y de búsqueda de soluciones. Los estudiantes generalmente llegan a soluciones distintas, las cuales pueden ser compartidas y evaluadas por todos los miembros del grupo. Una variación de este método, comúnmente encontrado en los cursos de carácter cuantitativo, es el asignar a los estudiantes problemas mucho más estructurados para los que se espera una respuesta «correcta» por parte de todos los estudiantes. Estos problemas se utilizan para practicar la aplicación de una técnica o método específicos. Aunque estos problemas se pueden presentar de formas simples –utilizando sólo un párrafo o dos– también pueden presentarse como un caso. No obstante, estos problemas son diferentes del método de casos en el sentido en el que se espera que los estudiantes lleguen a la misma respuesta.

Finalmente, y como lo comentamos anteriormente, el método de casos expone a los estudiantes a problemas reales con el propósito de desarrollar sus habilidades de toma de decisiones y análisis de problemas. Los estudiantes pueden también llegar a distintas soluciones, que son discutidas en grupo, facilitados por un profesor (Barnes et al., 1994; Nilson, 2010; Ogliastri, 1993). En el método de casos, a diferencia del aprendizaje basado en problemas, los estudiantes utilizan sólo la información que se incluye en el caso mismo, que es posiblemente contradictoria, con el propósito de promover el debate. El método de casos es especialmente útil para cuando se trata de desarrollar competencias de la mente como la curiosidad o el juicio, competencias personales como la ética, el carácter o la sensibilidad, y competencias para aplicar el conocimiento en la solución de problemas (Barnes et al., 1994). El método incluye como variaciones a la presentación del caso como un texto, la presentación del caso como un video o la presentación verbal por parte del dueño del problema (Cameron, Trudel, Titah, & Leger, 2012; Prat, 2012).

Un elemento común a todos los métodos activos es el hecho de que reconocen que aprender es un proceso social que requiere el desarrollo de una relación interpersonal entre los que participan en el aprendizaje. Un segundo elemento común en estos métodos activos es que el profesor se convierte más en un guía que en la fuente de conocimiento. Finalmente, todos requieren la planeación detallada de actividades de aprendizaje, ya sea a través de trabajos en equipo, trabajos individuales o discusiones.

Ventajas y limitaciones del método de casos

Nuestro interés en el método de casos para la enseñanza universitaria surge no sólo del hecho de que instituciones líderes en la enseñanza en los negocios lo utilizan, sino también porque estamos convencidos que ofrece una serie de ventajas para el aprendizaje, entre las que se encuentran (Nilson, 2010): (1) Requiere que los estudiantes se involucren con el caso y el material que lo acompaña, (2) acostumbra al estudiante a tomar decisiones y realizar juicios en ambientes de incertidumbre, (3) promueven pensamiento crítico de alto nivel como análisis, síntesis o aplicación, (4) sensibilizan al estudiante a reconocer el lado ético del proceso de decisiones, y (5) demandan el pensamiento tanto inductivo como deductivo.

Sin embargo, el método de casos no es el método ideal para todas las circunstancias. De hecho, cuando se trata de aprender principios teóricos o métodos para resolver problemas, otras formas de dinámica de clase, incluyendo las lecciones tradicionales son mejores que el método de los casos. Más aún, hemos discutido y cuestionado la utilidad del método para los semestres iniciales de los programas académicos a nivel licenciatura, cuando probablemente los estudiantes requieren una mayor formación en conceptos y métodos. Por otro lado, investigación en el área muestra que el método de casos tampoco es necesariamente el mejor para la educación ejecutiva como

diplomados o cursos más orientados a la adquisición de herramientas y técnicas muy focalizadas a necesidades específicas de los participantes (Garvin, 2007). Finalmente, los estudiantes muestran distintos niveles de satisfacción de acuerdo con sus estilos de aprendizaje (Prat, 2012).

Los casos en este libro

Finalmente, deseo concluir esta introducción comentando brevemente las temáticas de los casos que se incluyen en este volumen. Adicionalmente, cada uno de los autores de estos casos ha preparado una Nota de Enseñanza, que contiene recomendaciones sobre preguntas y formas de facilitar cada caso. Estas notas de enseñanza están disponibles a petición de los interesados a través de correo electrónico con alguno de los autores del caso.

El libro incluye seis casos de enseñanza. El primero de ellos presenta la problemática de JB Grupo Empresarial y posibilidades de crecimiento en el futuro, en el contexto del proceso de transición de una generación a otra en una empresa familiar. El segundo caso introduce las prácticas de responsabilidad social empresarial tomadas por el Hotel Grand Palladium, Vallarta, para ser analizadas como un proceso de cambio organizacional. El tercer caso plantea la aparente disyuntiva y conflicto entre métodos de optimización en el uso de materia prima y sus métodos de control del proceso de producción. El cuarto caso presenta la problemática de la tienda Casa de Regalos, en su competencia con tiendas departamentales en su mismo giro. El quinto caso, escrito en inglés, trata sobre la problemática legal y estratégica de una maquiladora en México ante la competencia de productores asiáticos. Finalmente, el último caso introduce la problemática en el diseño de portales estatales de Internet para la creación de beneficios sociales.

Para concluir, quisiera comentar que con este libro queremos iniciar el proceso de institucionalización de la «colegialidad de la enseñanza», esto es, el trabajo colectivo y sujeto a la evaluación de pares de materiales y métodos de enseñanza. En nuestra institución, este libro es un ejemplo de ello, ya que los casos que en él incluimos son el resultado de la discusión y la retroalimentación entre todos los que en ellos trabajamos. Esperamos que sea, además, el principio de la formación de una comunidad académica que llegue a compartir los mismos principios y prácticas básicas como resultado de la interacción y discusión continua con nuestros pares en el interior y exterior de la universidad.

Referencias

Bain, K. (2004). What the best college teachers do. Cambridge, Mass.: Harvard University Press.

Barnes, L. B., Christensen, C. R., & Hansen, A. J. (1994). Teaching and the case method: text, cases, and readings. Boston, Mass.: Harvard Business School Press.

Cameron, A.-F., Trudel, M.-C., Titah, R., & Leger, P.-M. (2012). The Live Teaching Case: A New IS Method and Its Application. Journal of Information Technology Education: Research, 11, 27–42.

Duarte, F. P. (2013). Conceptions of Good Teaching by Good Teachers: Case Studies from an Australian University. Journal of University Teaching and Learning Practice, 10(1).

Garvin, D. A. (2007). Teaching Executives and Teaching MBAs: Reflections on the Case Method. Academy of Management Learning & Education, 6(3), 364–374. doi:10.5465/AMLE.2007.26361626

Khurana, R. (2007). From higher aims to hired hands the social transformation of American business schools and the unfulfilled promise of management as a profession. Princeton: Princeton University Press. Retrieved from http://public.eblib.com/EBLPublic/PublicView.do?ptiID=457842

Nilson, L. B. (2010). Teaching at its best: a research-based resource for college instructors. San Francisco, CA: Jossey-Bass.

Ogliastri, E. (1993). ¿Cómo escribir un caso? In E. Ogliastri (Ed.), Casos sobre casos. Experiencias con métodos de discusión en clase. (pp. 151–165). Bogotá: U. de los Andes.

Pitt, L. F., & Watson, R. T. (2011). The case for cases: writing and teaching cases for the emerging economies. Information Technology for Development, 17(4), 319–326. doi: 10.1080/02681102.2011.604080

Prat, N. (2012). Teaching Information Systems with Cases: An Exploratory Study. Journal of Computer Information Systems, 52(3), 71–81.

La empresa familiar ante una decisión estratégica: un estudio de caso

Centro de Investigación de Empresas Familiares

Universidad de las Américas Puebla juanm.sanmartin@udlap.mx

Centro de Investigación de Empresas Familiares

Universidad de las Américas Puebla jorgea.duran@udlap.mx

Introducción

Está iniciando el año y a Alejandro le preocupa que, en estos primeros meses, deberá dar respuesta a varias oportunidades, que se avizoran para el negocio, en las que ahora él juega un papel clave, además de clarificar las incertidumbres que, aunque aparentemente no son tan urgentes, deben resolverse acerca de la participación de la familia en el negocio.

Grupo JB Grupo Empresarial (JBGE ) es una empresa familiar poblana que se dedica a la reparación de inmuebles u obra civil relacionada con siniestros que son cubiertos por compañías de seguros. Los inicios de este negocio pueden remontarse a 1985, cuando Juan Carlos Bonilla comenzó con trabajos de decoración de interiores, incluyendo la venta de artículos relacionados. En 1997 le proporcionó estos servicios a la compañía de seguros GNP , y al poco tiempo, de manera sorpresiva, como Juan Carlos mismo comenta, se convirtió en proveedor de trabajos de reparación para esta compañía. En 2008 se estableció formalmente el negocio JBGE con el giro que actualmente tiene. Inicialmente se estructuró como una sociedad anónima de capital variable (S.A. de C.V.) y a partir de 2010 se conformó en una sociedad de responsabilidad limitada de capital variable (S.R.L. de C.V.).

Las operaciones de la empresa se centraron inicialmente en la ciudad de Puebla, pero posteriormente se expandieron a Veracruz, Córdoba, Jalapa, Poza Rica, Toluca, Coatzacoalcos, Villahermosa, Cd. del Carmen, Tuxtla Gutiérrez, Tapachula, Pachuca, Querétaro, Cancún, Cuernavaca y Mérida.

Puede decirse que el despegue del crecimiento de la empresa se dio a partir de la incorporación de Alejandro, hijo mayor de Juan Carlos, en la empresa en 2005, proyectando alcanzar en el año 2013 ingresos por ventas de $45 millones de pesos. Esto es, un crecimiento del 52% con relación al último año. Esta facturación proviene de una atención promedio de asignaciones de 300 siniestros al mes (Anexo 1: datos de ventas y asignaciones de JBGE ).

Características del sector

El crecimiento del giro donde se encuentra la empresa está estrechamente vinculado al sector asegurador, fundamentalmente de automóviles. Las pólizas de éstos, en México, se estima que han estado creciendo a tasas anuales de 8 a 12% en años pasados. Los tres principales clientes en la participación en los ingresos de JBGE concentran el 90% de su mercado (Anexo 2: datos de la industria).

La competencia en este sector de reparación de obra civil para aseguradoras se da a nivel local, donde las compañías que atienden las plazas de la ciudad de México, Guadalajara y Monterrey, tienen desde luego los mercados más atractivos. Sin embargo, JBGE es uno de los pocos competidores en el giro específico de reparación de obra civil para compañías aseguradoras que tiene presencia en varios estados; principalmente en el Centro y Sureste de la República Mexicana. Aún en la ciudad de México y Guadalajara, donde se tienen 4 y 1 empresas, respectivamente, que tienen un tamaño considerable, no alcanzan el mercado que tiene JBGE .

Las barreras a la entrada en términos de inversión o conocimientos técnicos son bajas para entrar al sector. No así el conocimiento que se deriva de las capacidades administrativas, tecnológicas, relaciones con el sector asegurador y de conocimiento propio de las peculiaridades de este mercado.

Aunque de 100 siniestros de autos atendidos por las aseguradoras, sólo dos se asignan a un proveedor de obra civil, al convertirse JBGE en el primer proveedor en el Sureste de este tipo de servicios, lo cual se vuelve relevante y visible como proveedor para las aseguradoras. Por lo tanto, en la estructura de costos de las aseguradoras de automóviles, las destinadas a reparaciones de obra civil son menores al 2%. De hecho, considerando los diversos servicios que se prestan a las aseguradoras por causa de siniestros, que incluye servicios de ajuste, hojalatería, pintura y suministro de autopartes, JBGE considera que se encuentra entre los diez principales proveedores a nivel del Sureste de México. La empresa Ajustes de México, enfocada en realizar las evaluaciones para las aseguradoras, es líder en este sentido, aunque no se hace cargo de las reparaciones.

Con base en lo anterior, el posicionamiento que tiene JBGE le ha llevado a definir su visión como: «Mantenerse como la empresa líder aceptando los desafíos de expansión, cobertura y asignación de siniestros de obra civil a nivel nacional».

Funcionamiento y estructura de la empresa

El esquema de operación de la empresa, a través de los que denominan líderes de equipo de trabajo (LET ), le permite operar con una planta de personal fija de sólo 39 personas. Los LET subcontratan cuadrillas en las plazas foráneas donde JBGE opera. A través de los LET , JBGE trabaja con aproximadamente 150 subcontratistas en las diferentes plazas donde opera.

La estructura organizacional de JBGE está conformada por Juan Carlos Bonilla, quien es el socio fundador y se encuentra a cargo de las funciones de relaciones públicas de la empresa, manteniendo contacto con los clientes y proveedores de servicio. Alejandro, que ocupa la posición de Gerente General, es quien toma las decisiones más importantes que tienen que ver con el negocio. Un hermano menor de éste, Héctor, quien es el jefe deoperaciones, se hace cargo de coordinar y supervisar la actividad de los LET , y también se encarga de que se cubran los servicios en tiempo y forma. Hay otras cuatro jefaturas más, de Recursos Humanos, Costos, Tecnologías de Información, y la recién creada de Gestión del Conocimiento, las cuales, son ocupadas por miembros no-familiares. La contabilidad de la empresa es encargada a un despacho externo.

JBGE se ha planteado como misión «Brindar satisfacción a nuestros clientes través de la solución en trabajos de obra civil que nos son asignados». De manera consistente con esta misión, se puede decir que la ventaja competitiva de la empresa se centra en su propia plataforma digital, software basado en la nube y la experiencia acumulada en este giro. La plataforma digital acumula una amplia base de datos que permite, en tiempo real, obtener diagnósticos acerca de las reparaciones y los costos y rendimientos. Esto le permite a JBGE proporcionar un servicio de calidad y tener una capacidad de respuesta rápida y atención «24×7»1.

Por el contrario, las debilidades se asocian más a aspectos operativos y de economías de escala en la atención a otras plazas, lo que ha ocasionado que se abran y cancelen servicios en otras localidades, principalmente del Sureste de México. Las situaciones concretas que originan problemas en este sentido tienen que ver con:

• Subcontratación en plazas foráneas, cuando no se tiene el suficiente volumen para tener un LET (líder de equipo de trabajo).

• Conocimientos técnicos mínimos requeridos de los LET y su capacidad financiera para cubrir pagos inmediatos.

• Al no contarse con LET en algunas plazas, esto conduce a que se paguen servi-

1 Se refiere al servicio que se ofrece de manera ininterrumpida las 24 horas del día durante los 7 días de una semana.

cios para los cuales no están capacitados los subcontratistas, como tomar fotografías u otras trámites administrativos, por ejemplo.

• Lentitud en subcontratación en estos últimos casos.

La familia en la empresas

La propiedad de la empresa se distribuye de la siguiente manera: Juan Carlos (papá) con 51%, Alejandro con 40%, Héctor con 8.99% y Rosa María Vázquez (mamá) con .01%.

Para completar la familia, hay una hermana, Laura, de 21 años quien se encuentra estudiando la licenciatura en Administración de Hoteles y Restaurantes, quien hasta el momento no ha expresado interés de integrarse al negocio. La mamá , quien es médico, aunque no tiene un puesto formal dentro de la estructura de la empresa, participa en actividades relacionadas con el pago de nómina, registro y verificaciones del parque vehicular de la empresa, y de apoyo en recursos humanos. Participan también en el negocio, pero no en la propiedad, un tío y una tía.

Las responsabilidades dentro del negocio se tienen bien definidas para el gerente general, Alejandro, y Héctor, en la jefatura de operaciones: la especificación de estas responsabilidades de los integrantes de la segunda generación contrastaba con la definición del rol del papá y de la mamá, pues recientemente se ha formalizado las responsabilidades del papá como director de Relaciones Públicas.

En cuanto al ámbito de toma de decisiones estratégicas del negocio, recientemente se creó un grupo de planeación, conformado por Alejandro, su papá y su hermano Héctor. Sin embargo, se requiere definir aspectos de su estructura y funcionamiento (quiénes participan, cada cuando, tipo de acuerdos, entre otros), ya sea como un comité o consejo de administración, de tal forma que adquiera plena capacidad como órgano supremo de gobierno dentro de la empresa.

Por el momento, Alejandro y Héctor están involucrados al 100% en la empresa: para ambos el negocio es su prioridad. Y, esto se traduce, que a corto y mediano plazo, su interés se enfocará en contribuir al crecimiento y desarrollo del negocio. Desde luego, esto deberá estar acompañado de un plan de salida del papá, quien actualmente tiene 47 años, el cual permita una retribución económica para su sostenimiento y el de su cónyuge e hija, quienes seguramente serán todavía su responsabilidad económica.

Aunque el compromiso con el negocio por parte de la segunda generación es fuerte, se aprecia una falta de experiencia fuera del ámbito del negocio familiar. Para ambos hijos, JBGE parece ser el único trabajo formal que han tenido. En cierta forma el papá ha sido, hasta el momento, ese contacto con otras experiencias fuera de JBGE . Alejandro se incorporó a la empresa en 2005, después de haber concluido la carrera de Ingeniería en Electrónica y recientemente, en 2012, concluyó también la maestría en Administración de Empresas. La incorporación de Héctor, quien cuenta con estudios de Licenciatura en Administración de Empresas y un diplomado en Recursos Humanos, se dio en el año de 2008.

Existen diferentes percepciones entre los hermanos en cuanto a la visión del negocio con relación a la familia: Héctor lo ve más como una fuente de empleo y Alejandro lo ve más con la expectativa de crecer y echar andar sus ideas. La rentabilidad, por lo pronto, no parece ser una prioridad para ninguno de ellos, entendido por el hecho de que no han creado una familia propia. Ambos entienden que el mercado les va a empezar a exigir costos más competitivos, por lo tanto, se verán en la necesidad de hacer más eficientes los procesos: los intentos actuales de implementar un Balanced Scorecard (BSC) para la empresa, se ha vuelto una actividad prioritaria.

Es claro el deseo de Héctor de asumir con el tiempo un rol más gerencial, delegando varias de las responsabilidades de tipo operativo, que actualmente realiza. También se aprecia su deseo de adquirir una mayor participación en la propiedad del negocio.

Las alternativas estratégicas

De acuerdo con las opiniones de los propietarios de JBGE , se tienen tres principales alternativas de crecimiento y desarrollo de la empresa, no totalmente excluyentes. La primera, de crecimiento en el mercado de la ciudad de México, puede considerarse básicamente como una estrategia de expansión de mercados. La segunda, consiste en una integración vertical de JBGE , para abarcar la actividad de la reparación misma, que actualmente realiza con subcontratistas. La tercera, es una estrategia de diversificación, esto es, proporcionar servicios de construcción menor y mantenimiento, y que se relaciona con el hecho de que JBGE se ha convertido recientemente en uno de dos principales proveedores del Grupo Constructor de Autopistas, subsidiaria del Grupo ICA, a cargo de la autopista carretera Arco Norte. El servicio para este cliente, desde luego, se lleva a cabo mediante las aseguradoras, aunque el grupo constructor de autopistas requiere de una certificación del proveedor, con la cual ya cuenta JBGE .

Expansión del mercado

La primera opción estratégica, entrar al mercado de la ciudad de México, tiene el atractivo de generar un alto crecimiento en el corto plazo de un 35% en las operaciones de JBGE. El tamaño del mercado de la ciudad de México se estima en 400,000 siniestros anuales, de los cuales 10,000 podrían dar lugar a reparaciones de obra civil. Si JBGE pudiera cubrir de inicio un 10% de ese mercado, se tendría un total anual de 1,000 reparaciones adicionales. La probabilidad de esta participación en el mercado de la capital mexicana es bastante conservadora ya que JBGE , por su trayectoria, ha recibido invitaciones de las aseguradoras para la cuales trabaja y que tienen una presencia importante en esta ciudad. Adicionalmente, JBGE considera que su presencia en la ciudad de México le proporcionar ía un mayor acercamiento a los altos directivos de esas compañías, como una alta probabilidad de obtener un posicionamiento más sólido a

nivel nacional y, eventualmente, hasta en mercados internacionales. De igual forma, es muy posible que el tamaño del mercado le permita alcanzar mayores economías de escala en las actividades que realizan, así como la oportunidad de concentrarse en un mercado menos disperso en comparación con el que actualmente tienen en el Sureste del país, facilitando de esa manera la logística de atención.

Observando los posibles riesgos de esta opción de expansión, los propietarios saben que para dar este paso es necesario tener muy afinado el modelo actual de negocios de la empresa, ya que de no ser así, las deficiencias actuales podrían impedir la cristalización de las proyecciones esperadas. Por otro lado, se requerirá contar con inversiones en capital de trabajo que permitan apoyar para la subcontratación de servicios locales, así como el desembolso de costos indirectos para la contratación de LET’s y otros servicios que requieren ser proporcionados por la misma empresa. Al respecto, en la estructura de costos de JBGE los costos fijos son del 45% y los variables del 55%. Los directivos de JBGE están conscientes que adentrarse a la ciudad de México los va a enfrentar a un territorio del cual desconocen bastante sobre nuevas formas de competencia, quizás más agresivas, con empresas rivales.

Integración vertical

La segunda opción que tiene que ver con la integración de actividades de reparación en la cadena de valor de JBGE, tiene también sus atractivos y riesgos: se espera que mediante esta estrategia puedan reducirse los tiempos para proporcionar los servicios de reparación, al tener menor dependencia de los proveedores para cubrir los servicios urgentes, y muy probablemente los costos asociados, mediante la reducción de los márgenes de intermediación. Es posible también, aunque no tan visible como en el caso de la opción estratégica anterior, que puedan lograrse algunas economías de escala al concentrar en sus talleres varias actividades de reparación, en lugar de estar dispersas entre contratistas. Incluso, estos servicios no tendrían que limitarse estrictamente a servicios para las aseguradoras, sino también ofrecerse para otros mercados empresariales o residenciales que requieran este tipo de reparaciones de obra civil. Otro aspecto a considerar, es que al tener presencia en este sector industrial, JBGE aumentaría su capacidad de negociación con subcontratistas al conocer más de cerca las actividades de reparación de obra civil.

Se han hecho algunos cálculos de inversión para este taller, estimándose que requeriría un monto de aproximadamente de $2.7 millones para atender Puebla, el cual se destinaría a la compra de un terreno, construcción, maquinaria, equipo y a la contratación de personal para su operación. Otros aspectos que presentan riesgos para esta opción se asocian con la curva de aprendizaje para alcanzar un nivel de eficiencia en este negocio, actividad que aunque no del todo desconocida para JBGE , sí implica factores que, en palabras de Alejandro, son aspectos «conocidos/desconocidos» a los que tendr ía que enfrentarse JBGE .

Diversificación

hacia construcción

La última opción es resultado de la incorporación reciente de JBGE en el padrón de proveedores, uno de los dos principales, de Grupo Constructor de Autopistas, a cargo de la autopista Arco Norte. En principio, la participación de JBGE como proveedor de este grupo le abre las puertas a siniestros cuyo precio de reparación es más atractivo, de $15,000, que es el precio promedio de los que actualmente atiende a $45,000, que es el precio promedio de los siniestros que ocurren en carretera, específicamente los del Arco Norte. Puede hacerse una sencilla estimación del atractivo de este nuevo mercado para JBGE, al considerar que de 60 siniestros mensuales, el 50% o la mitad de ellos pueden ser atendidos por ellos. A partir de estos servicios proporcionados al Arco Norte, JBGE ha planteado la posibilidad de diversificarse hacia el giro de mantenimiento, encontrando entre los atractivos de esta decisión, la dispersión del riesgo. Como apoyo a esta decisión encuentra que Grupo Constructor de Autopistas, es un cliente muy sólido y que tiene concesionada la autopista Arco Norte hasta el año 2053, además de contar, este grupo, con otras autopistas importantes en otros lugares del país, como Guadalajara y Tepic. Desde luego, el alcance de esta actividad no contempla la construcción de las carreteras, las obras se limitarían a mantenimiento como barreras centrales o de acotamiento, así como dar el mantenimiento necesario a las instalaciones, experiencia con la cual ya cuenta la empresa.

En cuanto a los riesgos asociados a esta estrategia de diversificación, JBGE considera los montos de inversión requeridos para entrar a este nuevo negocio, además del desconocimiento o falta de familiaridad de trabajar con Grupo Constructor de Autopistas, pues aunque sólido, apenas ha iniciado a operar con ellos.

Hay otros aspectos que desconoce sobre ese nuevo giro, como la capacidad de los competidores, estacionalidad del negocio, esquemas de subcontratación, entre otros. Su conocimiento de la competencia se limita sólo a identificar a aproximadamente siete empresas de tamaño mediano, una de ellas con presencia nacional. Sin embargo, no quiere dejar de examinar esta oportunidad, pues sabe que el otro proveedor de Grupo Constructor de Autopistas en la autopista Arco Norte, MC Construcción, se ha adelantado ya en proporcionar este servicio a la autopista de Tepic, donde busca capitalizar su experiencia operativa y de bajos costos, más que administrativa, y también las ventajas que puede proporcionar el moverse primero en este tipo de negocios.

Como se aprecia, son varios los asuntos que asaltan en este momento a Alejandro, y que desde luego requieren de su atención. Sabe que además de considerar las alternativas que se presentan al negocio, no puede descuidar los aspectos familiares. Debe asegurarse que las decisiones que se tomen vayan reforzando la capacidad de un gobierno corporativo capaz de preservar, tanto la prosperidad del negocio, como la armonía familiar en el futuro.

Preguntas del caso

1. Evalúa las fuerzas competitivas del mercado en el cual opera JBGE .

2. Lleva a cabo un análisis FODA para la empresa.

3. Analiza cada una de las alternativas estratégicas de JBGE , priorizándolas de acuerdo a criterios de rentabilidad, riesgos, ajustes estratégicos/cadena de valor con el negocio actual y ventaja competitiva, entre otros.

4. ¿Qué cambios en la estructura organizacional se requerirían para adaptarse a la nueva estrategia seleccionada?

5. ¿Cuáles crees que deben ser las acciones más importantes que deberá seguir JBGE para formalizar la participación de la familia en la planeación estratégica?

Anexo 1. Datos de ventas y asignaciones de JBGE

Tabla 1. Ventas anuales 2009-2012

Año Monto

2009

$ 13,181,730

2010 $ 18,759,304

2011 $ 21,990,143

2012 $ 29,578,647

Fuente: JBGE

2. Ventas anuales 2009-2012

Fuente: JBGE

Tabla

Tabla 3. Participación en ingresos por aseguradora 2009-2012

Aseguradora Asignaciones anuales

Fuente: JBGE

Anexo 2. Análisis de la industria

La industria en la que se encuentra la empresa JBGE puede clasificarse de la siguiente manera:

• Sector: Seguros

• Subsector: Proveedores

• Industria: Obra civil

Aunque la industria se dedica a reparar obra civil, las variantes del sector de la construcción no influyen tanto en ésta, ya que es el sector asegurador el que tiene mayor impacto en su comportamiento. Por lo que la industria se define dentro del subsector de proveedores de obra civil para las aseguradoras, pero afectado a su vez por las variables que afectan al sector de la construcción.

Definición de la industria

La industria de proveedores de obra civil para las aseguradoras se divide en:

1. Necesidades propias de aseguradoras:

• Mantenimiento de oficinas.

• Construcción, ampliación o remodelación.

• Gestión legal para la construcción.

2. Cobertura de pólizas ante las necesidades de obra civil que genera el cliente o tercero.

• Es en esta última donde se encuentra fundamentalmente JBGE. Pero debido a que se encuentra muy vinculada su actividad industrial a la evolución del sector asegurador, a continuación se detallan algunos datos relacionados con este sector, tanto a nivel internacional como nacional.

El sector asegurador a nivel internacional

Uno de los aspectos significativos que está resultando evidente, en el desarrollo de la actual crisis financiera, es que las entidades aseguradoras, a nivel mundial, están resistiendo mucho mejor; el negocio asegurador se basa en asumir riesgos, en lugar de transferirlos como hacen casi todos los demás sectores.

La puesta en marcha de la Ley de Seguros y Fianzas permitirá sentar las bases para que el sector asegurador crezca de forma sólida y eficiente en el funcionamiento del mercado (Aguilera, 2010). La implementación del nuevo marco jurídico provocará que el sector manifieste cambios importantes, los cuales, incentivarán una mayor penetración en la población.

Según el Presidente de la Comisión Nacional de Seguros y Fianzas (CNSF ), este proyecto es muy importante para el sector porque es una iniciativa que sienta las bases para su desarrollo a largo plazo sobre elementos muy sólidos y, además, elevará la eficiencia en el funcionamiento del mercado.

CNSF (2012) advierte que se llevan a cabo varias acciones con perspectivas negativas por las presiones al sector en 2013 y 2014, en particular, el incremento del riesgo de crédito por la debilidad de la economía, los bajos tipos de interés y las difíciles condiciones operativas que han ido erosionando las ganancias de las aseguradoras, poniendo en peligro su suficiencia de capital.

S&P (citado por CNSF , 2012) cree que la diversificación geográfica y de productos de estas grandes aseguradoras les ofrece una ventaja sobre las aseguradoras menos

diversificadas. Sin embargo, se espera que los desafíos por los bajos tipos de interés, el creciente riesgo de crédito en las carteras de inversión, la persistente volatilidad de los mercados bursátiles y las incertidumbres relativas a la crisis de deuda soberana en Europa, siguen siendo las principales amenazas para las calificaciones que se asignan a las aseguradoras globales.

El sector asegurador en México

Actualmente, el sector asegurador mexicano está conformado por 105 instituciones, al 30 de septiembre de 2012, de las 105 instituciones, 2 eran sociedades mutualistas de seguros y el resto instituciones privadas, 15 de las mismas estaban incorporadas a algún grupo financiero y 60 representaban capital, mayoritariamente, extranjero, y 8 representaban capital mayoritariamente extranjero al tiempo que pertenecían a algún grupo financiero. (Gráfica 1)

El factor económico, sin duda, funge como pilar importante de crecimiento de cualquier sector; en el tema de las aseguradoras, el ingreso disponible de la población en torno a la economía es un factor que tiene mayor influencia sobre el crecimiento de la demanda de seguros. El ingreso disponible se encuentra determinado por el crecimiento general del sistema económico y la estabilidad económica. (Gráfica 2)

Dependiendo de cómo se visualice el crecimiento y la estabilidad de la economía mexicana en los próximos años, el sector asegurador llegará a alcanzar un importante incremento en su nivel de penetración en la economía. (Gráfica 3)

Al finalizar el tercer trimestre de 2012, el total de primas obtenidas por el sector asegurador ascendió a 232,931.9 millones de pesos, de los cuales el 97.9% correspondió a seguro directo, mientras que el restante 2.1% se debió a primas tomadas en reaseguro. Las primas directas de la industria de seguros reportaron un incremento real anual de 7.1% al cierre del tercer trimestre de 2012, respecto al cierre de septiembre de 2011. (Gráfica 4)

Al cierre de 2012 las cifras en crecimiento de seguros, en comparación con el cierre del 2011 fueron: seguro de vida 40.3%, automóviles 19.7%, accidentes y enfermedades 14.1%; incendio y terremoto 8.9%, pensiones 5.8%, diversos 4.7%; marítimo y transportes 2.5%, responsabilidad civil 2.2% y otros ramos 1.8%. (Gráfica 5)

Referencias

Aguilera, M. (2010). Hacia un nuevo marco para el desarrollo del sector asegurador mexicano: http://www. cnsf.gob.mx/Difusion/Otraspublicaciones/Presentaciones/2010/MAguilera_CNSF_CNA%20 2010-PDF.pdf

CNSF (2012). Boletín de Análisis Sectorial Seguros, Pensiones y Fianzas: http://www.cnsf.gob. mx:46800/Difusion/BoletinSect/2012/BASsep12_30%2011%2012%20vf.pdf

Aguilera, M. (2010). Hacia un nuevo marco para el desarrollo del sectoer asegurador mexicano. http://www. cnsf.gob.mx/Difusion/Otraspubliciones/Presntaciones/2010/MAguilera_CNSF_CNA%202010PDF.pdf

CNSF (2012). Boletín de análisis Sectorial Seguros, Pensiones y Finanzas. http://www.cnsf.gob. mx:46800/Difusion/BoletinSect/2012/BASsep12_30%2011%2012%20vf.pdf.

Carlock, S.R. y Ward, J. L. (2003). La Planificación Estratégica de la Familia Empresarial. Bilbao: Deusto, IEF, PwC.

Chan Kim W. y Mauborgne, R. (2005). La Estrategia del Océano Azul. Bogota: Norma.

Gimeo A., Baulenas, G y Coma-Cros J. (2009). Modelos de empresas Familiares. Barcelona: Deusto, IEF, PwC.

Porter, M. (2008), “The five competitive force that shape strategy”, Harvard Business Review, January, 2008, pp. 78-93.

SanMartín Reyna, J.M. (2014). Recomendaciones para la reflexión para la reflexión estratégicas en Pymes: La información como factor claves para la toma de decisiones. México, D. F.: Porrúa.

Thompson, A. A., Peteraf, M. A., Gamble. J. E. and Strickland, A. J. (2012). Crafting and Executing Strategy, 18th. Edition, McGraw-Hill.

Ward, J. L. (2004). Cómo crear un consejo de administración en empresas familiares. Barcelona: Deusto, IEF, PwC.

Caso Hotel Grand Palladium Vallarta1

I SIS G UTIÉRREZ -M ARTÍNEZ

Departamento de Administración de Empresas Universidad de las Américas Puebla isis.gutierrez@udlap.mx

M ARCO M ORALES

Departamento de Administración de Empresas Universidad de las Américas Puebla marcoa.morales@udlap.mx

S ANDRA S OSA

Departamento de Administración de Empresas Universidad de las Américas Puebla

C ECILIA T RUJILLO

Departamento de Administración de Empresas Universidad de las Américas Puebla juanac.trujillo@udlap.mx

En una calurosa tarde del verano 2011, mientras tomaba una siesta en un día de descanso, el Sr. Wilson Canul despertó sobresaltado por un sueño en el que veía las playas de Nayarit, México, llenas de basura, con olores propios de los desechos dejados por pescadores y manchas de aceite en el agua. Tan real había sido su sueño que de inmediato corrió hacia la playa más cercana, pero para su fortuna la imagen que observó, contrastó totalmente con el desastre de su sueño.

Esta imagen desagradable, representaba recuerdos de un pasado no muy lejano que le tocó vivir y trabajar para resolverlo, en su papel de Gerente de Calidad y Responsabilidad Social, en el Hotel Grand Palladium Vallarta Resort & Spa, cuando en el pasado, el gobierno del estado de Nayarit trató de certificar las playas y todo se vino abajo, ya que

1 Este caso está inspirado en hechos reales y algunos escenarios fueron generados con fines académicos.

se encontraron basura, excrementos de animales y contaminación con residuos sólidos, tanto flotantes como en el fondo del mar2

El sobresalto del Sr. Canul se debía a que su mente se encontraba ocupada en la presentación que realizaría en el «Foro sobre sustentabilidad en la Hotelería», donde hablaría sobre el trabajo que se ha desarrollado para embellecer las playas cercanas al Hotel, y cumplir con los compromisos de responsabilidad social empresarial. ¿Cuántos temas para conversar?, ¿cuánta información que podría ser de utilidad para los participantes en el foro?; eran sus reflexiones antes de su presentación.

El conocimiento amplio sobre el proyecto, le permitió realizar una presentación fluida de su experiencia, logrando captar la atención de todos los asistentes. En su charla, el Sr. Canul comentó que en 2011 se lanzó una convocatoria para la limpieza de playas de toda la bahía de la Rivera Nayarit, a la cual, se unieron otras empresas, asociaciones civiles y la misma población. Como fruto de este esfuerzo, se creó un comité integrado por diversos representantes de hoteles de la zona llamado «Comité Bahía Limpia», del cual, el Sr. Canul es el presidente. Los miembros del comité se reúnen periódicamente para compartir ideas y experiencias con respecto a la responsabilidad social empresarial.

Una vez concluida la presentación, las preguntas de los asistentes abrieron la puerta para enriquecer con detalles esta experiencia. La primera intervención fue del Sr. Jiménez, quien comentó que en muchas organizaciones la responsabilidad social se limita al cuidado del medio ambiente, por lo que preguntó que si, además de ser una «empresa verde», el Hotel Gran Palladium Vallarta, estaba realizando algún otro tipo de prácticas socialmente responsables.

El Sr. Canul con un gran entusiasmo contestó:

«Además del cuidado del medio ambiente, nosotros nos hemos preocupado por beneficiar a la comunidad cercana. Tenemos el firme compromiso de contratar a nuestros empleados a nivel local o regional: el 85% de los mismos provienen de la zona de Nayarit directamente, y el porcentaje restante son de Jalisco, o por lo menos, dentro de Vallarta. Además, todas las compras que hacemos, hablando de productos perecederos, se adquieren con los productores locales en Nayarit y, también procuramos que los contratistas que tenemos sean de la zona; vaya, lo que tratamos es que los recursos se queden en la zona, que la riqueza se quede aquí».

Así mismo, conscientes que la responsabilidad social no debe venir sólo por parte

2 Mayor información en: http://www.noticiaspv.com/fracasa-limpieza-de-playas-para-certificacion-en-bahia-de-banderas/

de los empleados del Hotel, Grand Palladium Vallarta integró, en estos esfuerzos, a sus clientes, aseveró el Sr. Canul:

«Nuestra política ambiental y sustentable está publicada en todo el hotel, en diferentes puntos estratégicos y también en la página de internet, para que los huéspedes se enteren de nuestro compromiso. Por ejemplo, a la entrada del hotel tenemos un cartel gigantesco donde explicamos en qué consiste la cultura Huichol y la importancia de conservarla. A la llegada de los huéspedes, les entregamos una carta ambiental en donde les explicamos todo lo que hacemos en temas ambientales, cuál sería el beneficio directo de involucrarse para apoyarnos, y les pedimos su colaboración para no desperdiciar la energía eléctrica en la habitación, cuidar el agua y separar la basura en las diversas áreas. Por otra parte, en este afán de lograr la participación comprometida de los huéspedes, en el hotel hemos colocado carteles informativos sobre la flora y fauna local, la importancia de preservarlas, de no interferir con los animales de la zona al no tocarlos ni atraparlos. A través de estos carteles, les explicamos cuáles son las especies autóctonas y cómo nosotros las preservamos y hacemos que se reproduzcan, sin introducir especies que no sean de la región.

Para sensibilizar a los huéspedes, tenemos un video ambiental en el canal interno del hotel, en donde, lo que buscamos, es mostrarles lo que hemos hecho como buenas prácticas de responsabilidad social en el hotel y cómo ellos pueden apoyarnos durante su estancia. Asimismo, programamos pláticas de sensibilización cada uno o dos meses para los huéspedes, donde les explicamos lo que hace el hotel en materia de responsabilidad social. También involucramos a los huéspedes para que participen con nosotros en eventos ambientales como, por ejemplo, en el día mundial de la tierra y el día mundial de la limpieza de playas».

La respuesta del Sr. Canul llamó la atención de los asistentes debido a estas atractivas prácticas, que involucran a diversos grupos de interés, como a los empleados, los clientes y los proveedores. Se escucharon comentarios entre la audiencia, en referencia a qué los había orillado a implementar todas estas iniciativas, y de manera particular, un reportero local intervino preguntando ¿cuáles fueron los elementos detonadores para tomar la iniciativa de cambio? A lo que el Sr. Canul respondió:

«Por una parte, la preocupación por las playas en cuanto su apariencia e higiene, lo cual impacta seriamente en la percepción de los visitantes. Y por otra, la preocupación corporativa sobre la responsabilidad social».

Haciendo referencia a la información que se encuentra publicada en el portal de la cadena hotelera, Fiesta Hotel Group, indicó que Palladium Hotels & Resort, del cual forma parte el hotel Grand Palladium Vallarta, está plenamente comprometido con la

responsabilidad social, reconociendo que la conservación de la energía, gestión de residuos y la protección del medio ambiente, son esenciales para el éxito del hotel y de su comunidad. Esta cadena hotelera ha desarrollado programas innovadores para la conservación del agua, eficiencia energética, gestión de residuos sólidos y peligrosos, y la conservación de la flora y la fauna3. En algunos casos, más del 70% de agua utilizada en sus complejos es recuperada y reutilizada. Se emplea iluminación con focos ahorradores, luz y ventilación natural, y sensores de control de energía. Se cuenta con una política de reciclaje de elementos tales como plástico, papel, cartón, vidrio, aluminio y metal. Se realiza composta de residuos orgánicos y de la cocina, además, hay un esfuerzo importante para utilizar materiales reciclados en las oficinas. Muchos de los hoteles de la cadena tienen fuertes políticas de realizar ‘compras verdes’, haciendo hincapié en el uso de proveedores locales o nacionales, procurando utilizar productos biodegradables. La protección de los sistemas ecológicos locales de Palladium, inicia con la siembra y mantenimiento de plantas nativas de la región e incluye, en algunos casos, la reforestación, la protección y limpieza de las playas, la educación de los huéspedes y de la comunidad en temas de responsabilidad social, y asociarse con organizaciones del área ambiental para proteger especies nativas o en peligro de extinción. Como parte de las políticas de la empresa se encuentra invitar a los huéspedes a sumarse a todos estos esfuerzos4

Para finalizar, el Sr. Canul, comentó que siguiendo esta dinámica corporativa, en temas de responsabilidad social, en el 2010, Grand Palladium Vallarta comenzó a realizar esfuerzos para certificarse por EarthCheck5. Como fruto de todos los esfuerzos realizados en la empresa con respecto a la responsabilidad social, en junio de 2012 Grand Palladium Vallarta, logró obtener la certificación mundial de sustentabilidad turística EarthCheck Plata

Este último comentario despertó el interés del Sr. Aguilar, quien tenía algunos conocimientos sobre el tema, y quería obtener información adicional sobre la certificación. Así, el Sr. Canul abundó con la siguiente información, haciendo referencia específica a la forma en que se implementó en el hotel:

«Para obtener esta certificación, el hotel modificó su forma de hacer las cosas en su funcionamiento interno. Se creó una estructura de trabajo organizada en seis diferentes equipos liderados por uno de ellos, conocido como ´Equipo Verde´ Éste, se encarga de dar seguimiento a todos los planes de acción, al cumplimiento de los plazos, establecer nuevas metas, así como llevar los temas relativos a empresas familiarmente responsables, socialmente responsables, y EarthCheck.

3 Mayor información disponible en el anexo 1.

4 Información disponible en: http://www.eglobaltravelmedia.com.au/z-more/hotel-deals/nature-how-do-i-lovethee-palladium-hotels-resorts-can-count-the-ways.html

5 EarthCheck es una certificadora internacional en turismo sustentable y que avala que las empresas se adhieren a los más altos estándares de conservación ambiental. Para mayor detalle sobre esta certificación, véase anexo 2.

Todos los equipos se reúnen una vez al mes, y el seguimiento directo de los avances lo llevo yo, como líder del Equipo Verde. Cada equipo tiene diferentes planes de acción con plazos a cumplimiento; en cuanto cumplamos con todos los plazos de acción, nos crearemos nuevas metas, buscamos nuevas estrategias, nuevas cosas que implementar en pro de la sustentabilidad.

Tenemos el siguiente equipo conocido como Agua, Energía y Sustancias Peligrosas que, como su nombre lo indica, se encarga de buscar acciones para minimizar y gestionar de manera adecuada estos tres temas; otro equipo que se llama Reciclaje, quien se encarga de crear planes de acción para la gestión de los residuos sólidos, sistemas de separación, procedimientos de reciclaje, etcétera. El cuarto equipo se conoce como Ecosistemas, y su finalidad es buscar estrategias e implementar acciones para mejorar aspectos vinculados con la flora, la fauna, la playa y las tortugas. Por ejemplo, dentro del hotel tenemos un mini zoológico con animales rescatados de gente que no les puede dar los cuidados adecuados, y otros que nos han entregado para reubicarlos, o por sobrepoblación. Otra responsabilidad de este equipo es verificar que la contaminación lumínica y acústica, no afecte a la flora y la fauna. El equipo número cinco se denomina Comunicación y Vinculación con la Sociedad, el cual, está conformado por personal del Departamento de Recursos Humanos; se encarga de comunicar lo que hacemos en el hotel a la sociedad, así como enlazarnos con diferentes empresas e instituciones. Y por último, tenemos el equipo número seis, Revisiones del Sistema de Reciclaje y Buenas Prácticas, que se encarga de verificar el cumplimiento de todas las buenas prácticas implementadas, específicamente las vinculadas con el reciclaje».

Por su parte, el Sr. Vargas expresó su preocupación respecto a los intentos realizados en su empresa para desarrollar un proyecto similar, pero que desafortunadamente no tuvo el éxito esperado. El Sr. Canul, respondió mencionando tres elementos que él considera fundamentales para generar un cambio organizacional como éste: el liderazgo, la motivación y la formación del personal. Sobre el liderazgo, el Sr. Canul comentó:

«El líder del proyecto soy yo directamente, pero en cada equipo hay un líder. Sin embargo, todos los integrantes del equipo son considerados líderes porque son los que llevan estos temas directamente con todo el personal, convenciéndolos para que participen. Inclusive hay jefes que no están en el equipo verde, y nos apoyan para la implementación y convenciendo a sus colaboradores para que participen».

El segundo factor en este proceso de certificación, es lograr la participación de las personas con acciones que son motivadoras per se. Desde la perspectiva del Sr. Canul:

«Una cosa importante que motiva a la gente, para lograr su involucramien-

to, es que todas las acciones que estamos implementando en temas de responsabilidad social, tienen beneficios directos para ellos, para sus familias, para la propia comunidad. De esa manera les hacemos ver, por ejemplo, que al limpiar la playa estamos dejando de contaminar el área en donde viven, no agredimos a las especies de la zona y quizás esto va a atraer más gente que visite las playas, dado que están más limpias. Esto ocasiona más derrama económica, más trabajo para ellos y su familia. En definitiva, les recalcamos que todo lo que hacemos en estos temas les beneficia directamente a ellos. Adicionalmente, para fomentar el involucramiento con las acciones de responsabilidad social, el hotel reconoce al personal que esté más comprometido con los temas a través de un diploma y un incentivo económico».

Finalmente, el Sr. Canul hizo mención que en el Hotel Gran Palladium Vallarta, se cuenta con un programa de capacitación bien establecido en temas de responsabilidad social, donde se consideran tanto a los nuevos empleados, como a los ya existentes.

«Para los nuevos colaboradores, el curso de inducción incluye un apartado sobre aspectos generales de lo que se hace en el hotel en términos de responsabilidad social. Para los colaboradores activos del hotel, existe un programa anual de capacitación en el cual se tratan aspectos básicos de la operación del hotel, de superación personal (por ejemplo, comunicación y liderazgo) y también se imparten cursos sobre temas sustentables y ambientales, tales como cuidado del medio ambiente y explotación comercial sexual infantil. Asimismo, los empleados tienen a su disposición videos informativos con respecto a prácticas medioambientales, y se les pasan películas sobre el mismo tema. Adicionalmente, se les proporcionan revistas y panfletos sobre temas medioambientales».

Al terminar esta respuesta por parte del Sr. Canul, el Sr. Rodríguez expresó estar trabajando en una cadena muy reconocida en esa región, y manifestó su desacuerdo con los comentarios del Sr. Canul, dado que él también ha tenido resultados exitosos pero con una forma muy distinta de hacer las cosas. Para el Sr. Rodríguez, la manera más eficiente de lograr estos cambios es la presión y supervisión directa sobre los empleados. También, indicó que en algunos casos, si no se alinean a los proyectos de cambio lo mejor es retirar a las «manzanas podridas», y trabajar sólo con aquellos que estén dispuestos a acatar las instrucciones. Expresó que en su hotel, pedir la participación y propuestas de sus colaboradores representa una pérdida de tiempo para lograr introducir los cambios lo más rápido posible.

Este comentario, contrastante con la estrategia del Sr. Canul, provocó una ola de murmullos entre los asistentes, generando posiciones polarizadas. Desafortunadamente, con la finalidad de conservar el orden, se decidió pasar a la última pregunta, sin dar oportunidad a la réplica.

El último participante, el señor Fernández, cuestionó sobre los beneficios o resultados que se han logrado, hasta el momento, por haber desarrollado este proyecto. El Sr. Canul comentó que:

«[…] uno de los beneficios se relaciona con los ahorros que se generan por efecto de los consumos de energía, agua, gas, etcétera. Otro beneficio que se busca principalmente con estos programas, es atraer a clientes interesados en los servicios de un buen hotel, y que además, aprecian los esfuerzos por la sustentabilidad. Actualmente, la tendencia es que los huéspedes busquen hoteles que apliquen ciertas acciones vinculadas con el cuidado del medio ambiente, del agua, y la sociedad en general, lo cual nos brinda una ventaja competitiva».

Dado que el tiempo destinado para la sección de preguntas y respuestas había concluido, el Sr. Canul finalizó invitando a la audiencia a que se sumara a estas iniciativas en pro de la responsabilidad social y del beneficio de la comunidad.

Preguntas

1. ¿Cuáles crees que fueron los supuestos básicos sobre los que se sustentó el diseño del cambio?

2. ¿Qué acciones identificas que se llevaron a cabo en cada una de las etapas de cambio organizacional?

3. ¿Ante qué retos se pudo haber enfrentado, el Sr. Canul y los líderes de los distintos equipos en este proceso de cambio?

4. ¿Qué otras estrategias pudieran tomarse en consideración, para motivar a los empleados en este proceso de cambio?

5. ¿Cuáles son los pros y contras de las perspectivas del Sr. Canul y el Sr. «F» para implementar el cambio?

6. ¿Qué lección podrías proponer para otras organizaciones?

Anexo 1. EarthCheck6

Compañía

EarthCheck es el programa líder de benchmarking, certificación y sistema de gestión ambiental, utilizados por la Industria de Viajes y Turismo.

Por más de una década, EarthCheck ha recabado datos relacionados con el desempeño operacional de más de 1300 organizaciones de viajes y turismo, en más de 70 países. Esto ha permitido a los clientes de EarthCheck ser más competitivos al comparar la eficiencia de sus operaciones contra los estándares internacionalmente compatibles de Mejor Práctica.

EarthCheck reconoce 39 sectores de la industria de Viajes y Turismo, ayuda a los operadores a monitorear, medir y administrar sus impactos ambientales, sociales y económicos, incluyendo los reportes de emisiones de gases de efecto invernadero (GEI ) y el consumo de los recursos naturales.

EarthCheck ha permanecido fiel a sus raíces en la ciencia, la investigación y la innovación. Ha logrado posicionarse como una marca independiente, la cual es confiada por líderes de la industria, tales como InterContinental Hotels Group, Taj Hotels, Sandals, Langham Hospitality Group, Banyan Tree, y ACCOR .

EarthCheck surgió como resultado de una decisión del Gobierno Australiano, de establecer una organización de investigación científica y estratégica, específicamente para el Sector Turismo. Conocida como el Centro de Investigación Cooperativa del Turismo Sostenible (STCRC , por sus siglas en inglés), esta organización comenzó en 1997, y pronto se convirtió en la mayor organización dedicada a la investigación del turismo en el mundo.

Basado en los principios de la Agenda 21, de la Cumbre de la Tierra, celebrada en Río de Janeiro, el STCRC ayudó a empresas, comunidades y gobiernos a mejorar la sostenibilidad ambiental, social y económica de sus iniciativas turísticas. Una fuerte inversión fue designada a la innovación tecnológica, y a la investigación de la industria a lo largo de una década. Así fue como se creó EarthCheck Limited, el brazo comercial de STCRC

Comercializando como EC3 Global, la ciencia de EarthCheck fue utilizada previamente para sustentar las marcas de certificación como Green Globe. Esto fue hecho bajo la subsidiaria de EarthCheck llamada Green Globe Asia Pacific, la cual, aún tiene una

6 La información sobre EarthCheck fue tomada de manera integral de su página internet disponible en: http://es.earthcheck.org

licencia exclusiva para certificar bajo la marca Green Globe.

Servicios

Informes científicos

Usando un enfoque científico, EarthCheck ayuda a muchas de las compañías líderes mundiales a afrontar riesgos, a ser más eficientes en su triple balance, a maximizar las experiencias de los turistas y a minimizar sus huellas medioambientales.

Como una solución basada en la web, EarthCheck es adecuada, tanto para grandes como pequeñas organizaciones; proporciona las herramientas necesarias para medir el uso de los recursos utilizados y los residuos generados, mejora el diseño y la eficiencia operacional, y fomenta la Responsabilidad Social Corporativa (CSR , por sus siglas en inglés): todo a un costo sumamente accesible.

Estándares internacionales

EarthCheck facilita el cálculo independiente de las emisiones, en cuanto a los Alcances uno, dos y tres. El Programa cumple con la Guía para el Inventario Nacional de los Gases Efecto Invernadero del Panel Intergubernamental para el Cambio Climático (IPCC , por sus siglas en inglés), el Protocolo de Gases Efecto Invernadero del Consejo Empresarial Mundial para el Desarrollo Sustentable (WBCSD , por sus siglas en inglés) y con la serie de estándares ISO 14064, para la contabilización de Gases Efecto Invernadero de la Organización Internacional de Normalización (ISO , por sus siglas en inglés).

Garantía de calidad

El Programa EarthCheck está disponible en inglés, francés, alemán y español, siendo usado en más de 84 países alrededor del mundo. EarthCheck ofrece programas diseñados para satisfacer las necesidades de 39 sectores de la industria.

EarthCheck proporciona acceso a herramientas prácticas, plantillas de datos, asistencia administrativa, y a un programa de software dedicado a ayudarle a cumplir con los requisitos de los informes, tanto de la Evaluación EarthCheck k, como de los estándares para la Certificación EarthCheck.

Apoyo a los miembros EarthCheck

EarthCheck apoya a su red mundial de miembros, a través de un dedicado equipo de gerentes de relaciones, herramientas en línea, talleres regionales ofrecidos regularmente y una serie de módulos de capacitación.

Si su equipo necesita incrementar la reparación profesional, y usted está determinado a fomentar los mejores resultados posibles de sus operaciones, entonces EarthCheck tiene la experiencia necesaria para ayudarlo a alcanzar el éxito.

Academia de entrenamiento EartCheck

La Academia de Entrenamiento EarthCheck ofrece soluciones prácticas para ayudar a grupos empresariales, y a las comunidades a adaptarse y responder a los desafíos de un mundo que cambia rápidamente.

Nuestra reputación de puntualidad en la entrega, así como el presupuesto, es la envidia de la industria y, como consecuencia, ha dado lugar a un nivel muy alto de repetición de negocios. Con más de 19 programas de entrenamiento de sostenibilidad para implementar, disponibles de forma instantánea, ¿para qué reinventar la rueda?

¿Por qué es importante para usted? Somos los expertos, debido a esto, nuestros clientes se benefician de programas comprobados, los cuales, incluyen precios justos y razonables para todos.

Nosotros tomamos un enfoque holístico en el entrenamiento, convirtiéndonos en uno de los equipos (de apoyo), garantizando que nuestras soluciones ayuden a su negocio en pruebas futuras, maximizando el retorno y la capacidad de construir dentro de su organización, haciendo que sus empleados estén cualificados y permitiendo que usted mantenga el control.

La Academia de Entrenamiento EarthCheck, así como los socios aliados de la región, tienen las habilidades necesarias probadas y una historia en la implementación exitosa de proyectos referidos a:

• Evaluación y auditoría de la sostenibilidad.

• Amplia experiencia en investigación de análisis, planeación de acciones, estrategia y desarrollo de mercado.

• Facilitación de política de desarrollo.

• Gestión de riesgos y recuperación de desastres.

• Consulta a las partes interesadas, comunidad y compromiso con las grupos visionarios.

• Acreditación y proceso de revisión para la aplicación y cumplimiento.

• Industria / capacidad de creación sectorial.

Beneficios clave del programa EarthCheck

• Reducción de los costos operativos.

• Liderazgo ambiental.

• Comprensión de su exposición al riesgo potencial.

• Entrega de resultados de Triple Balance.

• Evita acusaciones de Greenwash.

• Ayuda a las empresas a identificar sus debilidades y oportunidades.

• Incremento en la motivación y en la moral del personal.

• Proporciona la seguridad de que sus anuncios sean genuinos.

• Permite capitalizar la sustentabilidad como un activo de mercado.

• Proporciona una base confiable para la presentación de los informes de los gases efecto invernadero.

• Proporciona confianza en los informes de cumplimiento.

• Proporciona una base para la creación de destinos sostenibles.

Áreas clave de desempeño

• Emisiones de gases efecto invernadero.

• Gestión, conservación y eficiencia energética.

• Gestión de los recursos de agua potable.

• Gestión y conservación de los ecosistemas.

• Gestión de los asuntos sociales y culturales del turismo.

• Gestión y planeación del uso del terreno.

• Control del ruido y protección de la calidad del aire.

• Gestión de aguas residuales.

• Gestión de residuos sólidos.

• Almacenamiento de sustancias nocivas para el medioambiente.

Anexo 2

Lista de acciones implementadas en el Hotel Grand Palladium Vallarta

Agua

• Instalación de ahorradores de agua en los grifos y en las duchas.

• Instalación de aireadores en todos los pisos.

• Auditorias en el consumo de agua.

• Instalación de válvulas Push en los grifos.

• Instalación de sistemas de tres decilitros para los WC en los baños.

• Colocación de válvulas reductoras en los tanques de todo el hotel.

• Instalación de sistemas biodegradables en las habitaciones para huéspedes.

• Instalación de sistemas de cableo mejorados en las habitaciones de los huéspedes.

• Control de sistemas de lavado.

• Riego con aguas tratadas de nuestra planta de tratamiento.

• Planeación de riegos.

Gas

• Instalación de sensores para el control y detección de fugas de gas con un equipo digital.

• Mantenimiento preventivo para el control de fugas.

• Medidores y registros para controlar los consumos mensuales de gas.

Energía

• Instalación de sistemas solares y de apagados de luz en habitaciones y en áreas públicas.

• Instalación de celdas fotoeléctricas para el control y el apagado y encendido de luces de áreas.

• Instalación de tarjeteros para interrumpir la energía eléctrica en habitaciones.

• Sensores para apagar el aire acondicionado.

• Termostatos en aires acondicionados bloqueados a 24 grados.

• Instalación de medidores seccionados para el control de energía.

• Registros para controlar el consumo de energía.

Residuos sólidos

• Compra de productos a granel para minimizar las envolturas.

• Eliminación de popotes en los bares con una leyenda del por qué lo hacemos.

• Implementación de procedimientos para la separación de la basura.

• Reciclaje y reutilización de bolsas de basura en áreas siempre que sea posible.

• Reutilización de hojas por ambas caras.

• Creación de composta.

• Donación de basura.

• Separación y donación de vidrio a una empresa capaz de procesarlo para que no se vaya al tiradero municipal.

• Registros del pesado de la basura y el control de la basura.

• Implementación de botes de basura en todas las áreas para la separación de basura.

• Gestión de residuos reciclables: metales, plásticos y cartón.

Residuos peligrosos

• Capacitación a empleados sobre lo que es un residuo peligroso.

• Separación de residuos peligros.

• Registros mensuales de residuos peligrosos

• Gestión de residuos peligrosos con la empresa especializada y aprobada para el tratamiento de residuos peligrosos.

Productos químicos

• Sustitución del gas R22, que ya está obsoleto por un gas ecológico para la refrigeración.

• Compra de pinturas amigables con el medio ambiente.

• Instalación de dosificadores para el uso eficiente de los productos químicos.

• Almacenamiento adecuado de residuos peligrosos.

• Implementación y protocolo de derrame de productos químicos.

• Registro del consumo y el uso de los productos químico.

Tools & More

Departamento de Ing. Industrial y Mecánica

Universidad de las Américas Puebla dolorese.luna@udlap.mx

Departamento de Matemáticas

Universidad de las Américas Puebla juana.diaz@udlap.mx

Tools & More es un corporativo que desde 1945 ha marcado estándares de excelencia en todo lo que hace. El éxito que tienen como empresa está basado fuertemente en su Sistema de Cumplimiento. Este sistema, que enmarca todas las actividades del corporativo, va más allá de la eficiencia en sus operaciones productivas: es su modo de pensar, el motor que motiva la innovación en el trabajo y en la forma en que crean valor para sus clientes.

El Sistema de Cumplimiento de Tools & More, es una parte integral de la cultura de la organización que impulsa a realizar mejoras constantes en todos los procesos de negocio, sincroniza la cadena de suministro, con las necesidades de los clientes, y conduce todas las prácticas de la empresa hacia las “mejores prácticas” a nivel mundial. Dentro de sus metas está lograr el equilibrio entre su oferta y su demanda, de manera que mantenga tasas de cumplimiento para el cliente mayores al 97%, minimizando a su vez, sus días de inventario, y lograr mantener precios competitivos. Para lograr estas metas, todas las plantas del corporativo tienen metas anuales de reducción de costos, reducción de inventarios e incremento de tasa de cumplimiento.

Uno de los elementos del Sistema de Cumplimiento, es la implementación sistemática y progresiva de los principios “lean”, como estrategia para mantenerse en la vanguardia del mercado de herramientas. Una de sus plantas, ubicada en México, empezó con esta conversión desde hace más de doce años. Y, como parte de ese compromiso, buscan continuamente oportunidades para mejorar sus productos y procesos, con el fin de eliminar desperdicios, incrementar su eficiencia y enfocarse a producir valor para el cliente.

En junio de 2012 Juan Morales, gerente de producción de esta planta, recibió la visita de un grupo de consultores, a los que mostró su planta. Durante esta visita les platicó sobre la dificultad, cada vez mayor, para cumplir con las metas anuales establecidas por el corporativo de reducción de costos e incremento de nivel de servicio al cliente. También les contó que, aunque ellos no tienen contacto con el cliente, sus indicadores forman parte de los indicadores de toda la cadena de suministro. Entre los objetivos anuales para la planta de México se contempla incrementar su nivel de cumplimiento al 98% y reducir sus costos en $10,000,000 de pesos.

Entre los productos principales que se manufacturan en esta planta, se encuentran una gran variedad de herramientas. El proceso de manufactura de varios de estos productos empieza con el corte de barras de acero, las cuales se reciben de dos diferentes proveedores: uno de estos proveedores es nacional y el otro extranjero; cada uno ellos envía sus barras con diferentes especificaciones y, en ocasiones, estas especificaciones no son respetadas entre dos diferentes pedidos del mismo proveedor.

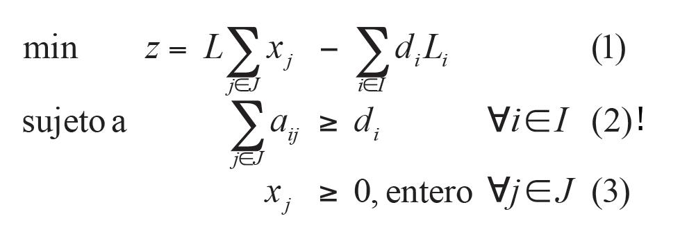
Al llegar al área de corte, Juan Morales, les presentó al operador encargado de hacer este trabajo. Él, muy orgulloso, describió la forma en que decidía cómo se cortarían las barras para abastecer al área de forja, tratando de reducir el desperdicio de acero. Una vez que las barras están cortadas, son enviadas al área de forja en contenedores para iniciar la fabricación de las herramientas. Debido a que el problema de corte es muy conocido y ha sido ampliamente estudiado y utilizado, de inmediato los consultores sugirieron hacer un estudio con un modelo matemático para tratar de reducir los costos en esta área.

Juan Morales les comentó que sería muy valioso poder reducir los costos en el área debido a que, en un estudio reciente, se había evidenciado que el costo de los materiales representaba más del 50% de los costos principales de la planta. Introducir este tipo de herramienta permitiría por un lado, reducir el desperdicio de acero y, por el otro, la cantidad de inventarios de barras cortadas. Además, contar con una herramienta como la propuesta, ayudaría a no tener que depender de la habilidad de un operador para encontrar la forma más adecuada para cortar el acero.

De igual forma, Juan Morales, les comentó que se encontraban a punto de empezar un proyecto muy ambicioso para que, en sólo unos meses, toda la planta funcionara con un sistema combinado de jale y empuje controlado (ver figura 1). Este sistema trabajaría por medio de kanbans para indicar al piso de producción lo que debe estar produciéndose y abasteciéndose. Con este cambio, ellos esperaban reducir el exceso de inventario en una de sus áreas, el tiempo total de producción a un tercio del tiempo actual y aumentar la productividad de las áreas finales del proceso productivo en un 10%. Además de la disminución de costos (se estima que se pueden reducir hasta un 10% de los costos principales de la planta) que tendrían con la reducción de inventarios y el aumento de productividad, el nivel de servicio al cliente se aumentaría con la disminución de los tiempos de producción.

El proceso de producción de las herramientas inicia en el departamento de corte, donde las barras de acero que se reciben de los proveedores se cortan en las diferentes

dimensiones requeridas; el movimiento de estas barras, al siguiente proceso, se hace con montacargas que transportan los lotes en contenedores; el proceso siguiente, es el de forja, en donde se da forma a las herramientas; posteriormente, las herramientas son maquinadas en el departamento de maquinado; enseguida, las herramientas se pintan y finalmente se envían al departamento de acabado para su empaque.

El sistema combinado de jale y empuje controlado fue diseñado con mucho ingenio por un equipo de trabajo liderado por el encargado de “lean”. El sistema de jale, se ocuparía de coordinar las órdenes de trabajo antes del área de acabado y hasta los procesos iniciales del proceso de manufactura, y el resto de la planta, se controlaría por medio de un sistema de empuje que controla, tanto el orden en que manufacturan los productos, como la cantidad de inventario en proceso.

En el mapa del estado futuro (figura 1) está representada la forma en que trabajará el sistema combinado de jale y empuje. El departamento de planeación y control de producción, recibe los pedidos de los clientes y, con la información de estos pedidos, se define la secuencia con la que se producirá. Entonces, ellos comunican esta secuencia al departamento de acabado y empaque a través de una caja heijunka (caja de nivelación de producción). El departamento de acabado y empaque se abastece de un supermercado que contiene lotes de todas las herramientas y las personaliza de acuerdo al cliente. El supermercado utiliza tarjetas (kanban) para indicar al proceso de corte las herramientas que se tomaron del supermercado para iniciar su fabricación. Cada tarjeta indica la cantidad exacta de producto que se debe producir. Esto implica, que se deben cortar tantas barras como sea necesario para completar esa cantidad y no más. Entre cada par de procesos de manufactura se mantiene una cantidad controlada de inventario (empuje controlado) para evitar la sobreproducción. El objetivo de este sistema es reducir el tiempo de entrega de los pedidos a 2 días.

Al final de la visita, los consultores se fueron con el compromiso de hacer el estudio y entregarlo a la empresa.

El modelo matemático utilizado para el problema, aunque no considera todas las variables, fue adaptado para la situación particular de Tools & More. Semanalmente se alimenta con la información del programa de producción y el resultado arroja la forma en que deben cortarse las barras de acero.

Clientes
Proveedores
Figura 1. Sistema de Jale

La diferencia más importante entre el uso del modelo y la práctica actual es simple: actualmente se corta una barra usando únicamente una o dos medidas, es decir, si para manufacturar un tipo de herramienta se necesitan barras de 30 centímetros, toda la barra se corta en barras de 30 centímetros, y si sobra suficiente material, se corta una barra de alguna medida diferente para otro tipo de herramienta; una vez que ya no es posible seguir cortando barras para fabricar cualquier tipo de herramienta (porque el sobrante es más pequeño que el requerido para todas las herramientas que se fabrican), el sobrante se considera desperdicio. Por otro lado, el modelo matemático da como resultado patrones de corte, y éstos normalmente son combinaciones de diferentes medidas que permiten que el desperdicio sea el menor posible. El reporte del modelo indica cuántas barras deben cortarse con cada patrón de corte: debido a que la demanda cambia semanalmente, los patrones, así como la cantidad de barras cortadas con ellos, también pueden variar semanalmente.

Para evaluar el impacto económico, de la implementación del modelo en el piso de producción, se hizo una comparación de las dos políticas con datos históricos y una proyección de ahorros en caso de introducir el uso del modelo matemático. La tabla 1 muestra una proyección de ahorros en algunos de los productos. Como puede observarse, además de una disminución de 2%, en los requerimientos de materia prima, el desperdicio se podría disminuir en alrededor del 60%. Juan Morales se impresionó de la magnitud de los ahorros, por lo que empezó la implementación de inmediato.

En ese mismo lapso, el equipo encargado de implementar el sistema de jale y empuje controlado, terminó el diseño e hizo pruebas en una línea piloto: los resultados fueron muy satisfactorios. El jefe de piso de producción les comentó: “con este sistema no tengo que andar corriendo, ni persiguiendo gente ni pedidos, se ha simplificado el trabajo y estamos cumpliendo mejor con la producción que nos solicitan”. También se notaba una mejora en la moral de todos los operadores al sentirse más tranquilos sabiendo qué es lo que tenían que hacer en cada momento. Por ello, el sistema se implementó en el resto de las líneas productivas.

Semanas

Tabla 1. Proyección de ahorros

Juan Morales estaba muy contento con los resultados de las dos iniciativas, hasta que su jefe de piso de producción le comentó: “no es posible trabajar con los dos sistemas al mismo tiempo: con el sistema de jale únicamente debo cortar barras de un tipo y el modelo matemático no me permite hacerlo”.

Juan está ahora considerando la posibilidad de echar para atrás alguno de los dos proyectos: si cancela el proyecto de corte, sacrifica la reducción de costos que se ha proyectado; en cambio, si cancela el sistema de jale y empuje controlado, además de hacer la administración de la producción más complicada, y perder los ahorros en niveles de inventario, sacrifica la posibilidad de incrementar el nivel de servicio de sus clientes. Ninguna de las posibilidades le parece atractiva. Si tan sólo encontrara una forma de que se pudieran combinar ambos sistemas… estaría más cerca de sus objetivos de este año.

Anexo A

El problema de corte unidimensional

En muchas industrias se producen materias primas que son luego cortadas con distintas longitudes para satisfacer diferentes demandas de productos. Tal es el caso de la industria del papel, la industria metal-mecánica, etcétera, donde se producen materias primas (rollos de papel, perfiles laminados, entre otros) con una longitud específica L y que después son cortados en piezas de distintas longitudes, L1, L2, ..., L m , con L i ≤ L, para todo i= l, ..., m, de acuerdo con las necesidades de sus procesos y/o de sus clientes.

A continuación, se ilustra el problema de corte unidimensional con un ejemplo: suponga que se reciben del proveedor barras redondas de acero con un diámetro de media pulgada y una longitud de 20 pulgadas, y que diferentes procesos utilizan dicha materia prima para la producción de diferentes piezas; supongamos que se fabrican 3 piezas distintas con este tipo de barra redonda de acero: la pieza del tipo 1 se produce con una barra redonda de acero de 3 pulgadas de longitud, la pieza del tipo 2 se produce con una barra redonda de acero de 5 pulgadas de longitud y la pieza del tipo 3 con una barra redonda de acero de 9 pulgadas de longitud.

Si en el plan de producción de una semana en particular se requiere un producción de 250 piezas del tipo 1,550 piezas del tipo 2 y 770 piezas del tipo 3: el problema de corte unidimensional consiste en determinar cuántas barras de materia prima deben cortarse y con qué patrones de corte, de manera tal, que se satisfagan los requerimientos de producción minimizando el desperdicio de materia prima. En este caso, el desperdicio se define como todos aquellos trozos de material con una longitud menor a 3 pulgadas, y que, por lo tanto, no se pueden utilizar en la producción de ninguna de las piezas. En la tabla 2 se muestran todos los patrones de corte posibles con diferentes

combinaciones de cantidades de las distintas piezas (no se incluye ningún patrón de corte con desperdicio mayor a la menor longitud (3 pulgadas) de las distintas piezas).

de piezas

Tabla 2. Patrones de corte

Por ejemplo, en la tabla 2, el patrón de corte 1 considera cortar seis piezas de 3 pulgadas, es decir, se aprovecha una longitud de 18 pulgadas de la barra de 20 pulgadas de longitud y el sobrante de dos pulgadas sería desperdicio. El patrón de corte 8 considera una combinación de las tres longitudes cortando 1 pieza de 3 pulgadas, 2 de cinco pulgadas y 1 de 7 pulgadas. En este último caso, el patrón de corte no genera ningún desperdicio.

El problema de corte óptimo se puede formular de la siguiente manera. Sea J={1, 2, …, n} el conjunto de índices de los distintos patrones de corte y I={1, 2, …, m} el conjunto de índices para las distintas longitudes de las piezas que se requieren cortar usando una pieza de materia prima de longitud L.a ij, denota la cantidad de piezas con longitud L i que se obtienen cortando una pieza con el patrón de corte i y di la cantidad de piezas a producir con longitud L i. Se definen las variables de decisión x j como la cantidad de piezas de longitud L que se deben cortar con el patrón de corte j.

A continuación se presenta el modelo del problema de corte unidimensional óptimo:

La función objetivo (1) especifica la minimización del desperdicio total. Las restricciones (2) aseguran que se produzca por lo menos la cantidad requerida de cada una de las distintas longitudes, mientras que las restricciones (3) aseguran la integridad de las variables de decisión.

A continuación se presenta el modelo para la instancia del ejemplo:

Sin embargo, en la mayoría de los casos y cuando la longitud de la materia prima L es muy grande con respecto a la longitud L i para i= l, ..., m, de las distintas piezas a cortar, la enumeración de todos los posibles patrones de corte sería una tarea muy ardua, ya que puede existir una cantidad muy grande de posibles patrones de corte. En su lugar, se utiliza una estrategia de generación de columnas que consiste en lo siguiente: la función objetivo (1) es equivalente a . Si se considera la relajación lineal de modelo de optimización de corte, de acuerdo con las condiciones de optimalidad en programación lineal, una solución es óptima sólo si

z j - c j ≤ 0, para j=1,...,n

Esta condición se puede reescribir de la siguiente manera:

wa j -1 ≤ 0, para j=1,...,n

donde w=( w1, ..., wm) es el vector de variable duales y

es el patrón de corte j. Notar también que los coeficientes de las variables de decisión en la función objetivo son todos iguales a 1, y por ello, se substituye por este valor el coeficiente c j . Si en lugar de enumerar todos los posibles patrones de corte desde el principio, sólo se considera algún subconjunto de ellos que permita encontrar una solución factible al problema, se pueden identificar patrones adicionales que mejoren el valor de la función objetivo resolviendo el siguiente sub-problema de la mochila

De esta manera, si zj > 1, la solución óptima del problema de la mochila define el patrón de corte que proporciona el mayor decremento en la solución del problema de corte. En este sentido, el procedimiento de generación de columnas utilizado para resolver el problema consiste en lo siguiente: primero se inicializa el conjunto de patrones de corte con algunos patrones que permitan encontrar una solución factible del problema; posteriormente, se ejecuta un procedimiento de generación de columnas para identificar patrones adicionales que permitan mejorar el valor de la función objetivo; el procedimiento de generación de columnas es un proceso iterativo, en cada iteración, se resuelve la relajación lineal del problema de corte y, para determinar si la solución de la relajación lineal es óptima, se resuelve el problema de la mochila asociado al vector de variables duales de las restricciones del problema de corte; si el valor de la solución óptima del problema de la mochila es mayor que uno, se añade el patrón de corte asociado a la solución óptima del problema de la mochila al conjunto de patrones de corte, de lo contrario, se termina el proceso iterativo y se resuelve el problema de corte (considerando las restricciones de integridad de las variables de decisión) usando todos los patrones de corte generados.

Casa de regalos: estrategias de supervivencia para empresas familiares

R OCÍO M ORENO S ANABRIA

Departamento de Mercadotecnia

Universidad de las Américas Puebla rocioc.moreno@udlap.mx

* * * *

S ERGIO P ICAZO V ELA

Departamento de Administración de Empresas

Universidad de las Américas Puebla sergio.picazo@udlap.mx

E RIKA G ALINDO B ELLO

Departamento de Mercadotecnia

Universidad de las Américas Puebla erika.galindo@udlap.mx * * * * *

M ARÍA I SABEL H UERTA C ARVAJAL

Departamento de Mercadotecnia

Universidad de las Américas Puebla isabel.huerta@udlap.mx

Introducción

La empresa Casa de Regalos, es una empresa familiar que surgió en la década de los 50, en la ciudad de Puebla. Actualmente cuenta con tres sucursales, las cuales, están ubicadas en zonas comerciales de gran importancia para la urbe. En los últimos años, la empresa ha tenido que enfrentar a competidores de gran tamaño que utilizan agresivas estrategias de mercadotecnia y grandes presupuestos de promoción y publicidad para entrar en el mercado y posicionarse en el gusto de los consumidores poblanos. A pesar de haber tenido una presencia fuerte en el mercado por más de cincuenta años, Casa de Regalos no estaba acostumbrada a competir con este tipo de adversarios. Para contrarrestar el impacto de la competencia, la empresa ha realizado estudios de mercado a clientes actuales y potenciales. El objetivo de estos estudios, era entender los cambios en el comportamiento de compra de los consumidores, sobre todo de los

clientes jóvenes que ha perdido totalmente, al no ser un referente de compra en ese sector.

Los resultados del estudio de mercado indican que los clientes jóvenes ven a la empresa muy clásica y de mucha tradición: su público meta se encuentra en un 10% formado por jóvenes de 18 a 24 años, un 20% por adultos entre 25 a 40 años, 30% adultos de 41 a 59 años, y las personas mayores de 60 años representan un 40%; en su mayoría, mujeres amas de casa y profesionistas.

La mayoría de los clientes gustan de los productos, precios, distribución y otros atributos que la empresa ofrece: lo que no le gusta a los clientes es la imagen de las tiendas que son muy clásicas, sobre todo, la primer tienda ubicada en el centro de la ciudad, la cual, tiene el mayor volumen de venta y número de clientes, teniendo la misma imagen desde hace treinta años, en que eran los líderes del mercado de regalos y decoración.

Por otra parte, los clientes entre los cincuenta y sesenta años, comentaron que para ellos es una tradición ir a comprar sus regalos de la temporada, sobre todo los regalos de navidad para sus amistades, ya que esto les recuerda las épocas de su juventud, ir al mismo lugar de siempre y encontrar artículos religiosos, como cuadros, imágenes, ángeles y niños dios que no encuentran fácilmente en otros lugares. Además, de lo conservador que llega a ser una parte de su mercado, se tiene arraigada la costumbre de obsequiar regalos de tipo religioso en todos los segmentos de la población local.

Historia de la empresa Casa de Regalos

El negocio empezó como una tienda de regalos, en el centro de la ciudad, en el año de 1957. Su propietario atendía de manera personal, por lo que llegó a ser una de las tiendas más prestigiadas y reconocidas, por su excelente servicio y atención a los clientes. El Sr. Ángel Sierra, propietario del negocio, fue adquiriendo mucho prestigio, y siempre se caracterizó por la excelente calidad de sus productos, así como por el servicio a los clientes. Casa de Regalos, fue la primer empresa en implementar los apartados de regalos para bodas en la ciudad de Puebla, hecho que los distinguió como la casa de regalos más importante de la región durante treinta años.

El 1 de diciembre de 1992, es inaugurada la primera sucursal fuera del centro de la ciudad, en el centro comercial más nuevo de la ciudad (Plaza Dorada). En el año 2004, el hijo del Sr. Ángel Sierra, el Lic. Jorge Sierra, graduado universitario, ingresa a trabajar en la empresa y, en ese mismo año, se inaugura la segunda sucursal (Angelópolis), ubicada en el centro comercial más importante de la ciudad. Aunque al llegar al nuevo centro comercial se encontraron frente una competencia muy fuerte, ante tiendas departamentales como Liverpool y El Palacio de Hierro, competidores bien organizados con ofertas muy segmentadas y ofreciendo una gran variedad de productos que, normalmente, una tienda local de regalos no puede ofrecer.

Estructura

La forma de organización de la empresa ha ido cambiando conforme ha ido evolucionando, y sobre todo, conforme se han ido presentando las diversas situaciones contextuales. Actualmente cuenta con 43 empleados: empleadas de mostrador, bodegueros, chofer y repartidor (el Anexo B muestra el organigrama de la empresa). El Lic. Jorge Sierra, siendo una persona muy joven, asumió el cargo de director general de la empresa, al retirarse el fundador, teniendo por delante que enfrentarse con diversos tipos de decisiones de acuerdo al ritmo actual del mercado, y considerando que no podrían mantener las mismas ventajas competitivas que tuvieron por muchos años.

El mercado

El negocio de la empresa familiar Casa de Regalos, a lo largo de su actividad comercial, ha desarrollado el interés del mercado consumidor en sus diferentes niveles socioeconómicos y poderes adquisitivos, lo cual, distingue al tipo de comprador de cada uno de los tres puntos de venta existentes. Los clientes van desde clase media, a media-alta, destacándose su valor con un ticket promedio de sus compras de entre 300 a 600 pesos. Una constante en todos los puntos de venta, es que las categorías de productos que conforman su catálogo es el mismo, no se hacen distinciones en el abasto de su inventario en relación a las posibles diferencias en gustos y preferencias, por tipo de clientes según el punto de venta.

Las tiendas de Casa Regalos, están ubicadas en áreas con mucho flujo de personas que comercialmente se concentran, convirtiéndose en tiendas estratégicas, lo que ayuda a que las zonas de venta estén la mayor parte del tiempo con visitantes y flujo de clientes.

El reto

Las ventas de la empresa han ido disminuyendo con los años (esto se puede constatar en el Anexo A, donde se muestra que del año 2011 al 2012, las ventas disminuyeron 26%), y un ejemplo de esto son las ventas de la sucursal del centro, las cuales, han disminuido, aunque paradójicamente, continúa siendo la sucursal de mayor nivel de ventas.

Como resultado de las disminuciones de ventas y los altos costos, los resultados de los ejercicios 2011 y 2012 han sido negativos. Los directivos consideran que un factor que pudiera explicar dicha disminución puede también ser resultado de no lograr atraer a compradores jóvenes. Aun cuando la empresa tiene una buena clientela, que continúa siendo fiel, no ha logrado estar presente en el gusto de las nuevas generaciones.

Estrategias de supervivencia

Tras sufrir una disminución importante en ventas y observar problemas financieros en la empresa, el Lic. Jorge Sierra, director de la empresa, decide asesorarse en algunos temas y emprender algunas estrategias para recuperar su posición en el mercado. Afirmando que no puede permanecer simplemente observando cómo se va derrumbando el negocio familiar día a día.

Estrategia 1: marketing digital

Una vez analizado lo anterior, se llegó a la conclusión de que se tenía que trabajar para atraer al mercado joven. Éste, se siente muy atraído por usar las nuevas tecnologías, ya que un gran porcentaje de ellos cuenta con computadoras y dispositivos móviles para estar en contacto con sus amigos y familiares.

Una de las herramientas más populares de acceso a los jóvenes son las redes sociales: la mayoría de ellos accede a diversas de estas redes para estar al tanto de los comentarios y de lo que pasa con todos sus conocidos. Además, las redes sociales se han convertido en un espacio de gran importancia para la promoción de las empresas, dado el número de usuarios que las frecuentan.

Otra tendencia que les llamó mucho a Casa de Regalos, fue el incremento de las ventas por Internet que se está dando en México, en años recientes. Y, analizando estas estadísticas de ventas por internet, se encontró que la población joven es muy activa al realizar diversos tipos de compra, desde aplicaciones, juegos, música, boletos de transporte y boletos para conciertos.

Enterados de estas tendencias, los responsables de la administración de la Casa de Regalos concluyeron que sería muy interesante realizar un plan de promoción en redes sociales y contar con una tienda virtual y, de esta forma, acercarse al mercado juvenil, así como poner especial atención a fechas particulares (solicitud de los clientes en el estudio de mercado), con la finalidad de revitalizar el mercado de la empresa y poder llegar a un mercado de usuarios (jóvenes) acostumbrados a comprar por internet. Ellos planean ofrecer el mismo catálogo de productos en las diferentes sucursales y en la web.

En su búsqueda de alternativas para atraer a más clientes, Jorge Sierra, solicita diferentes presupuestos de campañas publicitarias: las propuestas se basan, en un 80%, en medios digitales, y esto resulta atractivo ya que su costo es menor a las campañas tradicionales y se podría pagar con el presupuesto asignado a éste rubro. Se pensó en promocionar a la empresa a través de nuevas opciones tecnológicas como una página web o una tienda virtual. Inicialmente, se contrató a una empresa para el diseño de una página de internet, la cual cuenta con un catálogo en línea.

La página web que Casa de Regalos creó para su promoción es muy sencilla y tiene funcionalidad limitada. Fue desarrollada por la misma empresa que ofrece la campaña digital (Soluciones en Comunicaciones). Dicho sitio web, no incluye funcionalidad de venta. Pero la empresa ve con buenos ojos el uso de medios digitales, tanto que, ha empezado a considerar la opción de venta por internet. Sin embargo, no cuenta con los procesos ni sistemas de soporte que ayuden a tener una tienda virtual en forma.

Estrategia 2: reubicación de los puntos de venta

Jorge Sierra, decide dar un paseo por las tiendas de sus competidores y se pregunta, ¿qué tienen de atractivo?, ¿por qué la gente prefiere visitarlos a ellos? Finalmente, y después de un largo día de caminata se da cuenta de que el mercado de consumidores en las zonas de actividad comercial de la Casa de Regalos ha ido cambiando, a través de los últimos años, siendo influenciados, tanto por el concepto como por el estilo y diseño de los productos en la tienda. Y este factor concluye que el diseño del concepto y distribución de espacios de exhibición y circulación de los clientes al interior de la tienda, no se ha actualizado, tanto en lo anterior como en sus decisiones de mercadeo y diseño de tienda, en relación al cambiante comportamiento del consumidor y las acciones competitivas de negocios y empresas dentro del sector de negocios en el que se encuentra. Por lo cual, Jorge Sierra concluye que quizá necesitarían evaluar la posibilidad de modernizar y cambiar las condiciones actuales de sus locales.

El portafolio de negocios de los dueños de Casa de Regalos contempla la propiedad de centros comerciales ubicados en puntos estratégicos de la ciudad, lo cual les ha permitido incursionar en la renta y administración de espacios comerciales. Dicha situación amplía sus opciones de líneas de negocios, pudiendo reubicar sus puntos de venta actuales o abrir nuevos, e inclusive valorar la conveniencia de permanecer con el mismo concepto y giro comercial.

Estrategia 3: valoración de nuevos proveedores

Por otra parte, al día de hoy, la venta del catálogo de productos actuales no ha tenido una rotación que lleve a un resultado deseable en utilidades y un flujo de clientes en piso que detone un ticket promedio relevante. Lo cual, lleva a Jorge Sierra a reflexionar acerca del atractivo y variedad de artículos que oferta Casa de Regalos. Al deliberar sobre esto, se da cuenta que siguen comprando los productos con los mismos proveedores de hace décadas de una forma automática, dejando a un lado la posibilidad de evaluar a nuevos proveedores que están disponibles por la apertura del mercado mexicano. En este proceso, se tienen en puerta la valoración de nuevos proveedores, tanto nacionales como internacionales, de productos con una extensa variedad y estilos que pudieran ser elegibles para refrescar la exhibición en el punto de venta. Sin embargo, Jorge Sierra está en la disyuntiva de enfocarse en la búsqueda de proveedores con productos

atractivos para el gusto de los jóvenes, o continuar dando gusto a su mercado tradicional. Además, los lazos que lo atan a proveedores de tantos años son muy fuertes como para cortarlos de tajo.

El futuro de la empresa

Jorge Sierra se sienta a reflexionar sobre la trayectoria, logros y problemas que ha enfrentado la empresa. Hay muchas cosas en juego, ya que es una empresa de tradición. Sobre él está ahora el peso de decidir el rumbo de la misma; de sus decisiones dependerá el futuro familiar. Con tantas recomendaciones, tantos cambios en el consumidor, los cambios en el mercado, la competencia tan agresiva y fuerte y, además, por primera ocasión, desde que abrió sus puertas, le presentan un estado de resultados con números negativos: se encuentra en una disyuntiva que deberá resolver en el corto plazo, o resignarse a desaparecer del mercado. ¿Qué hacer?, ¿qué rumbo deberá tomar la empresa?, ¿debería cerrar?, ¿cambiar de giro? o ¿aceptar que no puede competir con los participantes actuales?

Preguntas detonadoras

1. ¿Cuáles son los principales problemas que enfrenta la empresa Casa de Regalos?

2. Identifique y analice las estrategias de supervivencia de la empresa.

3. ¿Qué estrategia propone para que la empresa recobre competitividad y sobreviva?

4. ¿Deberá cerrar sus puertas?

5. ¿Es la creación de una tienda virtual una opción viable para la empresa?

Anexo A

Estado de resultados Casa de Regalos 2011–2012

Participación de ventas por sucursal en %

Anexo B

The Rise and Fall of a Maquiladora: Strategic and Legal Issues as Denim Deals Move to China1

Departamento de Negocios Internacionales

Universidad de las Américas Puebla robynl.johnson@udlap.mx

Departamento de Negocios Internacionales

Universidad de las Américas Puebla francois.duhamel@udlap.mx

Introduction

From behind the worn iron bars on the window, Eduardo Perez Salinas looked down upon the courtyard below. After seven days in prison, he had the scene emblazoned in his memory. Bougainvillea vines with bright fuchsia blossoms made a long and crooked climb up the high stone walls. They reached the topmost barbed-wire security of the penitentiary which stood in the old downtown quarters in one of the largest cities in the State of Puebla, Mexico. The walls of the entire 18th century building and its inside chambers were a meter in thickness; a virtual fortress that showed no signs of succumbing to time. The fuchsia blossoms, nestled in lush green foliage, contrasted sharply against the clear blue morning sky and cast a well-defined shadow over a corner of the courtyard below.

1 All names of persons, companies and brands quoted in this case study are purely fictitious and any resemblance to existing persons, brand names or companies, is purely coincidental.

Under the freshness of the greenery, old wrought iron chairs and tables were arranged providing a space where prisoners received a simple but decent fare of beanbased dishes three times a day. A few blades of grass struggled to survive under the dense shade; most of the ground was dry dirt which formed swirls of dust beneath the shuffling of ankle-shackled prisoners. Between meals, the area doubled as well-supervised and open space for visiting privileges.

This morning the courtyard was empty. It was a cool and peaceful day in early January of 2007. Under other circumstances, the setting below may have even been pleasant.

Eduardo’s uneasiness was building. He wondered how much longer he would be detained. On the day of his arrest and in a state of disbelief, he met with his lawyers who began working on his case. It had taken longer than expected. Eduardo had time to go over in his mind, several times, the course of events. What could he have done differently to save his business and avoid this formidable legal entanglement as well as degrading imprisonment?

Early 1990s: the rise of INGRUPO

It all began with the rapid, remarkable and conspicuous success of a life-time buddy and golf companion, Jorge Alberto Mendoza Bravo, in the denim garment production and export business. Both Eduardo and Jorge Alberto were from prominent and wellto-do Mexican families, shared common roots and trusted in each other’s integrity. Jorge Alberto began his business in the early 1990’s by providing offshore outsourcing for companies under a maquiladora2 arrangement. His company, INGRUPO S.A. de C.V.3, assembled denim jeans, jackets and similar garments for small companies as well as well-known US enterprises with globally recognized name brands. The company had grown quickly and the activities expanded to encompass more and more of the activities composing the denim-garment value chain.

Despite the devastating economic crisis triggered at the end of 1994 (see appendix 2 for exchange rate information between the Mexican peso and the USD), the Mexican economy was recovering and exports were surging, thanks to NAFTA 4, toward the latter half of the decade. US newspapers and journals referred to Mexico as a forthcoming international textile powerhouse 5

2 Maquiladora refers precisely to offshore assembly activities which enjoy a low cost and/or production advantage.

3 Sociedad Anónima de Capital Variable: a legal denomination for a limited responsibility company

4 North American Free Trade Agreement which went into effect at the beginning of 1995.

5 Special access programs for maquiladoras gave Mexico preferred entry to the U.S. market even before NAFTA was signed. In general, from 1986, on the Mexican government began opening its market to trade; its textile mills had a reputation for high-quality textiles at a lower cost than many exporting countries of Asia.

Nobody could accuse Jorge Alberto of resting on his laurels, especially during these booming times. He had struggled to grow his business and now that he had survived the worst of the recent economic crisis, he regularly participated in trade fairs in the USA and had the opportunity to speak with buyers. It didn’t take him long to realize that buyers sought full-service suppliers in the NAFTA -era of Mexico. In other words, they shopped around for suppliers who would take responsibility for managing various activities in the supply chain. Essentially, they wanted nothing to do with the production and iffy operations on the Mexican side of the border. Jorge Alberto had a strong hunch that if he received the raw material with the corresponding designs and could integrate the cutting, sewing, detailing, stone-washing, labeling, ironing, folding and storage of products that were 100% ready-for-retail as well as manage the logistics and Mexican trámites6, he would have a difficult-to-match competitive advantage.

Enhancing overall competitive advantage, for Mexican maquiladoras, was becoming critical in the post NAFTA environment. Consequently, Jorge Alberto invested in warehouses, state-of-the art cutting machines, stone-washing facilities, dryers and more machines for sewing, button-hole making, ironing and the like. He also invested in vehicles to move materials to different plants; located, at times, in different pueblos7 and cities; throughout the production stages. New hires for production activities and management ensued, particularly in full-force, toward the end of 1998. For the most part, Mexico had regained stability and economic growth.

On top of the maquiladora activities, Jorge Alberto had launched, in 1999, his own private brand of jeans, jackets, vests and similar garments in the Mexican market. It was called DiJuliano; chosen to suggest Italian origin and design. He opened four small but hip retail centers in Puebla City, the capital of the State of Puebla, bearing the DiJuliano brand. Jorge Alberto hired designers to come up with good quality products suitable for targeting a young generation seeking «a top-fashion chic look». On a trial basis, non denim items that matched the concept were subcontracted and added to the collection; the DiJuliano label was sewn in the garments and, judging by sales, it appeared that a good fashion complement was achieved. Although the brand and the retail concept were successful locally, the brand had by no means national presence. In fact, for maintenance and growth, it required major capital for positioning and promotion even on a domestic scale. DiJuliano was more than Jorge Alberto’s dream; it was a plan to eventually diversify business activities and reduce his dependence on low-margin maquiladora activities. A long road lay ahead for that to happen, however; the DiJuliano brand was in an infant stage and did not even have city-wide retail coverage.

Judging by past performance and current orders on the international front, the overall opportunity for growth in the denim garment business couldn’t look more optimistic for small to medium denim clothing producers. In the case of Jorge Alberto, he

6 The amount of paperwork and red-tape required in Mexico.

7 Pueblos are towns.

scurried to keep up with a myriad of activities that needed to be done on a daily basis. He had reached a point in which he could no longer manage or finance all that needed to be done to grow and integrate the activities of his denim clothing export business. Despite these obstacles, neither his energy nor enthusiasm waned.

1999: The Rise of Prendas de Mezclilla

Jorge Alberto needed a partner. So that is how his golf buddy and confident Eduardo Pérez Salinas was invited to become a partner in the business in 1999. With such a promising opportunity and the appeal of diversification of his businesses into a non-related industry, Eduardo created his own maquiladora; Prendas de Mezclilla (Garments of Denim), S.A. de C.V. Eduardo then purchased, with the expertise and oversight of Jorge Alberto, over 80 different types of sewing machines and complementary equipment from the Mexico City supplier Importador y Distribuidor de Maquinaria para la Industria Textil, S.A. de C.V. (IDEMIT ). Eduardo acquired the equipment partly in cash and partly through an in-house financing agreement. The company required some guarantee; Eduardo offered his home as collateral. For Eduardo’ new venture, a suitable warehouse was rented and reconditioned at a minimal expense to house the maquiladora operations.

INGRUPO transferred the sewing and assembly tasks, as well as any useable sewing machinery to Prendas de Mezcilla. Nineteen seamstresses and their years of service at INGRUPO were also included in the deal. Many of the seamstresses that moved to Prendas de Mezclilla had worked almost 10 years for INGRUPO. When Prendas de Mezclilla opened for business, there were 127 employees; mainly seamstresses. Other employees included a driver, bookkeeper, security personal and, most importantly, a manager with ample experience in the production of denim garments and overseeing of personnel.

Both Eduardo and Jorge Alberto depended on each other for different stages in the process. Jorge Alberto remained in charge of securing production contracts, courting new customers, and all the other activities minus the sewing, assembly, labeling and ironing which were moved to Eduardo’s plant. An experienced manager was hired to control the overall finances of INGRUPO and establish more order within the business and its subunits. Essentially, Eduardo depended on Jorge Alberto to contact customers and maintain a smooth flow of work without significant interruptions between contracts. In addition, Jorge Alberto was in charge of the material imports, pattern design interpretation, cutting, and transfer to Eduardo’s plant. Jorge Alberto depended on Eduardo and his manager to decipher the sewing procedures, train the seamstresses and fulfill orders in time. Complicated designs posed major impediments for a smooth and efficient line of production. When the stiff dark-blue denim garments were finally completed and labeled, they were then sent to a plant in another city which specialized in providing industries with water-based treatments and services. Here they were

stone-washed, bleached, softened, given a wear-and-tear look and, at times, torn in fashionably strategic places.

For two years, Eduardo’s business struggled with the typical ups and downs of start-up operations; that is to say defining tasks, learning the proper procedures of the trade, dealing with variations in demand, preparing the machines for new orders, maintenance, training seamstresses, compensating for turnover, creating systems of inventory and control, etc.

However, the business was beginning to take shape and it seemed that soon the investment would be recovered and profits would improve. The business was generating enough to cover overhead, wages/salaries, and payment of the machines, however, little was left over for Eduardo. Large orders with relatively straight forward and simple designs were the most profitable. However, competition was increasing throughout Mexico and this placed a downward pressure on profit margins. For more complex designs commanding higher margins; such as special stitching, embroidery, extra pockets and details; the seamstresses needed much more time. The learning curve for new designs was at least one week. In fact, each time a product would change or a new order would come in, production would slow down as machines needed to be revamped and seamstresses adjusted to the change.

Experienced seamstresses, given the onslaught of competition throughout Mexico, were in high demand. The practice of sonsacando8 seamstresses was rampant among competitors. The problems this caused for the maquiladoras were twofold: first, there was upward pressure on wages and benefits in an industry with already tight margins and second, companies would find themselves with orders, machinery and debt while facing major shortages of workers to keep the production flowing. With respect to the raw materials and designs, most US customers supplied them. The raw materials needed to be carefully accounted for. That is to say, the production output needed to match the raw materials supplied. Lost or stolen garments and/or defects stemming from seamstress errors were expensive. Designs also needed to be protected from copy-cats and potential pirates. Close management was indispensable.

Overhead costs included, electricity, water and rent. Indirect costs included security, drivers, administrative personnel and the manager. Direct costs were primarily composed of the seamstress’ wages and the required social security known as IMSS 9 (see appendix 3). Seamstresses normally earned the minimum wage before and after the peak in demand. As a standard practice throughout Mexico at the time, employees worked Monday through Friday from 8:00-6:00 pm. In USD terms, they earned

8 Sonsacando is usurping.

9 IMSS is the Instituto Mexicano para el Seguro Social that guarantees the right to health and medical services as well as others services which promote the well-being of groups and individuals. It also protects the right to pension for retirees who are employees and pay into the system through taxes. Companies are required by law to contribute to IMSS for each employee on their payroll.

somewhat over $50 dollars a week. Regarding the schedule, there were morning and afternoon breaks as well as an hour time off for lunch. Seamstresses were expected to produce a given quota and received bonuses for additional production. Missed quotas created backlogs, postponed deliveries and contractual disputes with customers.

Business continued to grow and the day-to-day challenges kept Jorge Alberto and Eduardo mentally and physically occupied. They did not imagine how the events unfolding on the opposite side of the globe would have such a devastating effect on their businesses, their personal lives and the entire textile industry in Mexico.

2001-2006: first difficulties

In 2001, China entered the World Trade Organization (WTO ) and maquiladoras and their contracts were virtually sucked out of Mexico. In addition, the Multifiber Agreement10 which allowed countries to establish quotas on the amount of textile and clothing imports for members of the WTO was set to expire in 2004. Not only in Mexico, but textile plants from around the world moved to China and workers lost their jobs to the seemingly infinite supply of low cost Chinese laborers. Sooner than later offshoring to China became the norm; herd behavior pressured even the laggards to follow suit. Mexico as well as other countries in Latin America saw their textile industries, key drivers of their economies to varying degrees, on the verge of collapse.

The exodus of maquiladoras to China hit Jorge Alberto and Eduardo hard and fast. Mexican production exports, in general, to the USA were surpassed by Chinese exports from between 2002-2003 (See Appendix 1). Following suit, there was a significant loss of jobs in the maquiladora industry; textiles were among the most vulnerable sectors. Regarding Eduardo’s plant, some customers with smaller volumes and garments requiring intricate and high-skilled work remained. Emergency orders filled some gaps. The major high volume orders that permitted survival shrank fast. Resources from other separate businesses and personal savings were poured into the maquiladora activities to keep them afloat. The situation with seamstresses was reversed; many had lost their jobs as plants closed. Both Jorge Alberto and Eduardo struggled to keep their investments alive.

Eduardo’s assembly maquiladora was hit the hardest of all the activities in the chain. The blow landed most decisively around 2005 after the new quota system for textiles went into effect (i.e., the end of the Multifiber Agreement). He struggled to pay salaries, electricity and rent. Inevitably, the business was unable to pay the obligatory IMSS insurance and the debt with the supplier Importador y Distribuidor de Maquinaria para la Industria Textil, S.A. de C.V. ( IDEMIT ). 10 KnowledgeWharton ( 2005) and WTO (2013).

The decisive moment to finally close shop came when IMSS ordered the seizure of all assets within Prendas de Mezclilla’s warehouse and began a lawsuit against the company for its lack of payments. Entry to the maquiladora was barred, paddle-locked and under twenty-four hour surveillance. Workers were suddenly without jobs. They quickly found a labor lawyer to sue Prendas de Mezcilla for their liquidación11 as stipulated by Mexican law. To make matters worse, IDEMIT was insisting on settlement of the outstanding debt and was less than willing to negotiate new terms of payment. To top it off, a dispute between IMSS and IDEMIT surfaced regarding right of ownership of the seized assets.

2007: the downfall

Events continued on a downhill roll. On the unfortunate spring afternoon in 2007, Eduardo left his house after the family comida12 only to find that INDEMIT had carefully laid a trap for his arrest. As he drove out of his gated residence, two police cars cut him off within a block from his home. They had a warrant for his arrest on a criminal charge. He was swiftly cuffed and swooped off to the local penitentiary. His car in the meantime was impounded. It was a classic sabadazo13; an arrest orchestrated on a Friday afternoon when government offices closed for the weekend. The detainee had no alternative but to survive the weekend behind bars until offices open on Monday and legal procedure for release could begin (See Appendix 4 for information on sabadazos).

Jorge Alberto was stunned as well when he received the news of Eduardo’s arrest; he could have just as well been the victim of a sabadazo. The different subunits of his business were also struggling to survive and he was doing financial balancing acts to keep operations running. Jorge Alberto, however, was much more adept at handling the pressures of financial downturns and crises. He learned valuable lessons from the 1994/1995 devaluation, collapse of the Mexican economy and ensuing crisis. Somehow his businesses survived the crisis, grew under NAFTA and eventually flourished. That is until recent years when changes in global trade conditions abated Mexican competitive advantages in the textile industry. Jorge Alberto moved fast to get his lawyers in contact with Eduardo’s defense.

11 This refers to a type of severance pay.

12 Main meal of the day usually served sometime between 2:00- 4:00pm and consisting of several courses.

13 Sabadazo stems from the word Sabado (Saturday in Spanish). The azo is tacked on as a suffix to form a vernacular term. It is similar to saying “slapping a Saturday ambush” on someone even though it may actually occur on a Friday afternoon.

Conclusion

Eduardo intermittently paced his cell, chatted at times with frightened cellmates, but returned to staring out of his barred window onto the courtyard below. He thought back at what his lawyers had explained and the practice of sabadazos. The arrest came as a complete surprise, however, the issues were being properly addressed by Jorge Alberto’s and Eduardo’s lawyers in a timely fashion. As difficult as the situation was financially, Eduardo did not grasp how the succession of events constituted a criminal offense. This doubt fed his anxiety.

Eduardo’s uneasiness was well justified. With the criminal charge and sabadazo, it was uncertain how much longer he could be held. The judge assigned to the case set bail in pesos at an amount approximately equal to a quarter of a million USD. It was an impossible quantity to amass given the maquiladora bankruptcy! Over and over again, Eduardo relived the events. Foremost on his mind was getting out of this mess. He felt confident that his case was in good hands; some of the lawyers had been lifetime friends and others on the team came with impeccable reputations. This gave him the strength to endure the wait in prison. He could not, however, stop recriminating himself. What should have he done differently to save his business? Should he have, on the other hand, given in sooner and minimized his losses? How could he have foreseen this legal mess he was now in? What decisions should he have taken to avoid the three impending lawsuits and possible loss of personal assets? Lastly, could anyone have anticipated the sabadazo that landed him in prison? Was there any way that this ugly turn of events could be used in Eduardo’s favor?

Questions

1. What are the macro events that affected the apparel industry in Mexico over the last 20 years? How did Mexico’s comparative advantages evolve over time in the apparel industry?

2. What strategies should Eduardo have implemented to make his business prosperous?

a. In terms of diversification (products, markets, businesses)?

b. In terms of competitive advantage in its present activities? Would you choose a differentiation strategy (along which lines?) or a cost based strategy? In particular, what advantages would have Jorge Alberto and Eduardo reaped if the DiJuliano brand had taken off and become successful?

3. Should Eduardo have given in sooner? How could he have dealt with exit barriers at different points in time?

4. How could he have foreseen this legal mess he was now in? What decisions should he have taken to avoid the three impending lawsuits and possible loss of personal assets? Was there any way that this ugly turn of events could be used in Eduardo’s favor?

5. What ethical issues emerge with respect to the partnership between Eduardo and Jorge Alberto? What ethical issues emerge with respect to the arrest of Eduardo?

References

Knowledge Wharton (2005). Global Textile Quotas End. Watch China sew up the market. Business Mexico. Knowledge wharton.com, http://knowledge.wharton.upenn.edu/article. cfm?articleid=1133 consulted in February 2013.

Nordås, H. K. (2009). The Global Textile and Clothing Industry post the Agreement on Textiles and Clothing. Editorial WTO.

Polaski, S. (2004) Mexican Employment, Productivity and Income a Decade after NAFTA. Carnegie Endowment for International Peace retrieved from http://www.carnegieendowment. org/2004/02/25/mexican-employment-productivity-and-income-decade-after-nafta/8te on Feb. 16th, 2013.

WTO (2013), Textiles Monitoring Body (TMB), The Agreement on Textiles and Clothing. Retrieved from http://www.wto.org/english/tratop_e/texti_e/texintro_e.htm on February 2013.

Source: OTEXA (2013)

Appendix 2: Rate of exchange between USD and Mexican peso (1992-2011)

01 jul 2002 - 30 sep 2002 9.89

01 oct 2002 - 31 dic 2002 10.16

01 jan. 2003 - 31 mar 2003 10.81

01 apr 2003 - 30 jun 2003 10.45

01 jul 2003 - 30 sep 2003 10.72

01 oct 2003 - 31 dec 2003 11.19

01 jan 2004 - 31 mar 2004 10.99

01 apr 2004 - 30 jun 2004

01 jul 2004 - 30 sep 2004

01 apr 2005 - 30 jun 2005

01 jul 2005 - 30 sep 2005 10.72

01 oct 2005 - 31 dec 2005 10.71

01 jan 2006 - 31 mar 2006 10.59

01 apr 2006 - 30 jun 2006 11.17

01 jul 2006 - 30 sep 2006 10.96

01 oct 2006 - 31 dec 2006 10.89

01 jan 2007 - 31 mar 2007 11.02

01

01 apr 2008 - 30 jun 2008

01 jul 2008 - 30 sep 2008 10.31

01 oct 2008 - 31 dec 2008 13.03

01 jan 2009 - 31 mar 2009 14.36

01 apr 2009 - 30 jun 2009 13.33

01 jul 2009 - 30 sep 2009 13.26

01 oct 2009 - 31 dec 2009 13.07

01 jan 2010 - 31 mar 2010 12.79

01 apr 2010 - 30 jun 2010 12.56

01 jul 2010 - 30 sep 2010 12.80

01 oct 2010 - 31 dec 2010 12.39

01 jan 2011 - 31 mar 2011 12.07

01 apr 2011 - 30 jun 2011 11.72

01 jul 2011 - 30 sep 2011 12.27

01 oct 2011 - 31 dec 2011 13.64

01 jan 2012 - 31 mar 2012 13.00

01 apr 2012 - 30 jun 2012 13.53

01 jul 2012 - 30 sep 2012 13.16

01 oct 2012 - 31 dec 2012 12.95

01 jan. 1992 - 31 mar 1992 0.31

01 abr 1992 - 30 jun 1992 0.31

01 jul 1992 - 30 sep 1992 0.31

01 oct 1992 - 31 dec 1992 0.31

01 jan. 1993 - 31 mar 1993 1.07

01 apr 1993 - 30 jun 1993 3.11

01 jul 1993 - 30 sep 1993 3.12

01 oct 1993 - 31 dec 1993 3.12

01 jan 1994 - 31 mar 1994 3.18

01 apr 1994 - 30 jun 1994 3.34

01 jul 1994 - 30 sep 1994 3.39

01 oct 1994 - 31 dec 1994

01 jan 1995 - 31 mar 1995

01 apr 1995 - 30 jun 1995

01 jul 1995 - 30 sep 1995

01 oct 1995 - 31 dec 1995 7.21

01 jan 1996 - 31 mar 1996 7.52

01 apr 1996 - 30 jun 1996 7.48

01 jul 1996 - 30 sep 1996 7.56

01 oct 1996 - 31 dec 1996 7.83

01 jan 1997 - 31 mar 1997 7.86

01 apr 1997 - 30 jun 1997

01 jul 1997 - 30 sep 1997

01 oct 1997 - 31 dec 1997

01 jan 1998 - 31 mar 1998

01 apr 1998 - 30 jun 1998

01 jul 1998 - 30 sep 1998 9.48

01 oct 1998 - 31 dec 1998 10.00

01 jan 1999 - 31 mar 1999 9.94

01 apr 1999 - 30 jun 1999 9.46

01 jul 1999 - 30 sep 1999 9.36

01 oct 1999 - 31 dec 1999 9.44

01 jan 2000 - 31 mar 2000 9.40

01 apr 2000 - 30 jun 2000 9.57

01 jul 2000 - 30 sep 2000 9.36

01 oct 2000 - 31 dec 2000 9.51

01 jan 2001 - 31 mar 2001 9.69

01 apr 2001 - 30 jun 2001 9.19

01 jul 2001 - 30 sep 2001 9.23

01 oct 2001 - 31 dec 2001 9.25

01 jan 2002 - 31 mar 2002 9.11

01 apr 2002 - 30 jun 2002 9.48

Source: Yahoo Finance currency converter consulted in February 2013

Appendix 3: Labor Laws and Wages in Mexico

Although wages were low in Mexico compared to wages in industrialized nations, they didn’t, in isolation, project an accurate picture of overall costs. It was necessary to examine the entire payroll equation and its variables. By law, workers were entitled to federal holidays and several religious holidays, vacation days depending on their years of service, vacation bonuses, and medical insurance for government-run clinics (IMSS ), sick days if justified by one of IMSS ’ doctors, and a yearly aguinaldo which is a Christmas bonus equivalent to two weeks’ salary. When looking at the total equation rather than wages alone, labor costs increased significantly. In addition, if companies fired employees, they were obliged to make a severance payment, referred to as a liquidación, based on the years of service. This pay may have sometimes been avoided in cases such as employee theft or negligence but, for the most part, courts decided in favor of the employee. In essence, in response to extreme exploitation, Mexican labor law has adopted worker-protection orientation dating back to the early 1920s. Labor laws have become more globally competitive with respect to more flexible right-tohire/right-to-fire legislation, since a new labor law passed in 2012. As of 2012-2013, labor costs in China have surpassed those of Mexico and the phenomenon of reverse maquila is becoming more and more relevant.

Appendix 4: Sabadazos

How do sabadazos Work? In order to apply the sabadazo tactic in business situations, the plaintiff files a criminal charge that does not necessarily have proof or legitimacy. However, if the judge invoked is convinced that there is sufficient motive, he or she may issue a warrant for arrest. In the case of Eduardo, IDEMIT charged Eduardo with breach of faith. In Mexico, this is called abuso de confianza. Accusations of either abuso de confianza or fraude (fraud) can provide opportunities to turn business disputes into criminal charges.

Under Mexican law, the accused or defendant reserves the right to be served a notification, much like a subpoena, and prepare for his or her defense. This defense, in general, is referred to as an amparo and protects the accused from arrest. However, if the accused actually receives the notification, the sabadazo cannot play out. Somehow, the notification never reaches the accused giving the plaintiff the full advantage of a surprise attack. For this to happen, there must be collusion between the plaintiff and an authority figure with the power to prevent the subpoena from ever reaching the defendant.

Strictly speaking, sabadazos should not exist; a judge from the Ministerio Público; the organism which intervenes in such cases; is supposedly on call twenty-four hours a day/seven days a week.

What is the procedure for victims of a sabadazo? In order to get out of prison fast,

the person needs to have a hearing before the judge who issued the warrant on Monday in the morning accompanied by trustworthy legal defense; a lawyer with whom the defendant or close family members or trusted friends have reported favorable outcomes; and must have the amount of money stipulated for bail ready for bank transfer. This amount is equivalent to the plaintiff’s estimate of the amount of money that the defendant has purportedly swindled, stolen, embezzled, extorted, duped, or bamboozled in some form or another. This can be a feat in itself given the huge amounts and the limitation of time: the weekend in which the events transpired. If this amount of money cannot be produced; the defendant will remain in jail until he or she can disprove the accusation and/or the quantity involved. In essence, after a sabadazo has played out, the burden of proof of innocence falls on the defendant. This is no easy task; imprisonment limits mobility and communications.

What is the strategy behind a sabadazo? The strategy of a sabadazo is designed to get around the law and weaken the position of the defendant. Sabadazos stand as a nasty but not infrequent trick of the trade where the defendant in a case could be caught off-guard, brutally startled and thereby be coerced into conceding to the plaintiff‘s demands. The Mexican jail time provides sufficient duress to sway defendants and swiftly enhance the plaintiff’s bargaining power. Proof of any injustice lies on the accused; all odds are stacked against it. Common sense.

El portal del Gobierno del Estado de Puebla

L UIS F ELIPE L UNA -R EYES

Departamento de Administración de Empresas Universidad de las Américas Puebla luisf.luna@udlap.mx

D OLORES E. L UNA

Departamento de Ingeniería Industrial y Mecánica Universidad de las Américas Puebla dolorese.luna@udlap.mx

J. R AMÓN G IL -G ARCÍA

Center for Technology in Government, University at Albany y Centro de Investigación y Docencia Económicas (CIDE) jgil-garcia@ctg.albany.edu

R ODRIGO S ANDOVAL -A LMAZÁN

Universidad Autónoma del Estado de México rsandov@gmail.com

S ERGIO P ICAZO -V ELA

Departamento de Administración de Empresas Universidad de las Américas Puebla sergio.picazo@udlap.mx

Introducción

Después de su segundo informe de gobierno, el Gobernador Constitucional del Estado de Puebla, un poco molesto por los resultados obtenidos en el último ranking de portales de gobierno estatal, el cual ubica al portal de Puebla (ver figura 1) en el séptimo lugar, decidió cambiar al encargado del sitio, para nombrar como su colaborador a Íñigo Juárez, un reconocido experto en usabilidad y desarrollo de portales de Internet, centrado en el usuario. El trabajo de Íñigo –como le fue compartido por el Gobernador– era el de posicionar el portal del Estado de Puebla, dentro de los tres primeros lugares en el ranking del año 2013. Adicionalmente, el gobernador se encontraba muy interesado

en que el portal del Gobierno del Estado de Puebla contara con las funcionalidades de mayor valor para los habitantes del estado.

Figura 1. El portal del Gobierno del Estado en el 2012 (fuente: Luna-Reyes & Gil-Garcia, 2013).

Preocupado por dar respuesta al encargo del gobernador, Íñigo tomó tres acciones inmediatas: en primer lugar, decidió averiguar lo más posible sobre la historia del portal, con el objetivo de entender cómo se había desarrollado hasta ahora; como buen experto en usabilidad decidió, en segundo lugar, trabajar en el desarrollo de un estudio de usabilidad del portal, y desarrollar algunos grupos de enfoque para obtener información adicional que le apoyara en el proceso de desarrollo.

Antecedentes del portal del Gobierno del Estado de Puebla

Platicando con Sandy López, colaboradora en el desarrollo del portal del Estado desde sus orígenes, Íñigo aprendió que el portal del gobierno del Estado de Puebla fue desarrollado por primera vez en el año 2000. En este año, el Gobierno del Estado contrató a la empresa privada GEDAS (Volkswagen) para desarrollar el portal (Luna-Reyes & Gil-Garcia, 2013). Para el desarrollo del portal se seleccionó como herramienta de desarrollo el editor de código HTML Fireworks, el cual sólo permitía desarrollo de páginas de internet estáticas. Y con esto, se dio cuenta que el mantenimiento del portal era complicado, ya que si existían modificaciones al contenido, éstas se traducían en cambios en múltiples archivos HTML incluidos en el portal. Por ello, durante el periodo inicial el portal de Gobierno, se mantuvo como un portal estático, donde la información

no era fácil de cambiar o manipular.

En un inicio, el portal sólo contenía información de algunas dependencias de gobierno. A Sandy le gustaba mucho el primer diseño del portal, ya que incluía una selección de imágenes representativas del estado. Sin embargo, la página le parecía poco funcional, ya que se daba más peso al diseño que a la funcionalidad. Por ejemplo, la página estaba diseñada en un marco de más de 1200 × 800 pixeles, cuando en ese entonces la resolución más común en los monitores era de 800 × 600 pixeles. Así que, para recorrer la página (marco), se tenía que utilizar la barra de desplazamiento del navegador, de abajo para arriba y de izquierda a derecha, haciendo complicada la navegación (Méndez Aceves, Díaz, & Luna-Reyes, 2010).

Sandy le comentó que, durante la evolución del portal, habían existido varios cambios en el diseño, y que éstos se habían dado con mayor frecuencia hacia finales de la década pasada (ver figura 2). En la mayor parte de estos diseños, se incluía la información que el grupo de trabajo del portal creía conveniente. No se comparaba ni existía un estudio que otorgara una pauta a seguir. A partir del 2006, el área encargada del portal comenzó a colaborar con el área de Comunicación Social. La información incluida y el diseño tuvieron una directriz más clara como resultado de esta colaboración. Aunque el área de Comunicación Social, que dependía directamente de la oficina del gobernador, no contaba en ese entonces con conocimientos técnicos de desarrollo de páginas de internet y, como resultado, la comunicación y colaboración entre ambas áreas dio resultado algunos problemas en la operación del portal, relacionados con la falta de acuerdos en cuestiones técnicas, como el peso de las imágenes (en bytes), cortes y otros elementos técnicos del diseño.

2. Evolución portal del Gobierno del Estado de Puebla 2001 – 2009 (fuente: Méndez Aceves et al., 2010)

En términos de la plataforma de desarrollo, el portal también cambió después de los primeros años, mudándose de Fireworks a un administrador de contenidos, desarrollado por el área encargada del portal. Este administrador de contenido resultó insuficiente con el tiempo, principalmente como consecuencia del aumento de información disponible y complejidad del portal del Gobierno del Estado de Puebla.

Figura

Sandy también le comentó que en la administración 2005-2011, se dio al área encargada del portal, mayor libertad para diseñar y configurar la página web. Durante los primeros años de desarrollo, las dependencias y entidades del Gobierno Estatal habían decidido sobre los contenidos y la plataforma de desarrollo de sus propios sitios web, que se encontraban vinculados al portal estatal. Con la intención de unificar estos sitios oficiales de dependencias y entidades bajo una misma estructura, durante el año 2009, se realizó un cambio en la imagen gráfica, plataforma y sistemas de administración de contenido, descontinuando el uso del administrador de contenido desarrollado de forma interna y adoptando una herramienta de fuente abierta (Joomla). En general, el equipo adoptó una serie de herramientas de desarrollo de fuente abierta como base para el desarrollo del portal. El grupo desarrolló vínculos con la comunidad Joomla para efectos de capacitación y auto-aprendizaje, así como para la adopción de módulos adicionales para el desarrollo de distintas funcionalidades en el portal. El grupo también adoptó, en estos últimos años, el método de desarrollo Scrum1, lo que les ha permitido mantener una mejor comunicación y lograr resultados de una forma más efectiva.

Desde que el Gobierno del Estado decidió hacer su propio desarrollo del portal en el año 2004, prescindiendo de los servicios de GEDAS , el equipo base en el desarrollo del portal se ha mantenido muy estable en términos del número de personas involucradas. Este equipo incluye al líder de proyecto, quien tiene un nivel de jefatura de departamento, un diseñador gráfico y 3 desarrolladores. Para desarrollar el trabajo, este grupo se mantiene en contacto con los dueños de los proyectos, que son personas de contacto en cada una de las dependencias del Gobierno Estatal.

La persona de contacto dentro de cada dependencia tiene acceso de administrador de contenido en Joomla, lo que le da capacidad de actualizar directamente la información de su dependencia. Esta misma persona de contacto propone mejoras o nuevas aplicaciones para su área del portal, negociando con el equipo de desarrollo calendarios específicos para cada aplicación. El área de Comunicación Social, puntualizando, juega un papel muy importante en el diseño y actualización de la página de inicio del portal, así como en la imagen y diseño de todas las páginas del mismo. Por ello, el líder del equipo mantiene una estrecha relación con ellos.

Como Sandy comentó, la Ley de Transparencia y Acceso a la Información Pública del Estado de Puebla, fue relevante para el desarrollo del portal, ya que las distintas secretarías y la oficina del ejecutivo son sujetos obligados de esta Ley. Así, la existencia de la Ley y las instituciones para vigilar su aplicación –en este caso la Comisión para el Acceso a la Información Pública y Protección de Datos Personales del Estado de Puebla–, promovieron, en su momento, que el portal estatal tuviera mayor información. Así, el portal creció en información de trámites, trámites en línea, información jurídica

1 Scrum es una metodología de desarrollo ágil y flexible que se enfoca en el desarrollo de tareas sencillas a las que se les asigna un tiempo limitado para ser completadas conocidas como Sprint. El proyecto se administra de forma iterativa e incremental, en contraste a enfoques tradicionales de desarrollo que siguen un enfoque secuencial.

del estado, información sobre eventos, etcétera. El área de Transparencia del Gobierno del Estado juega un rol clave en el desarrollo de un área especial del portal, dedicada a transparencia, y se tiene mucha autonomía de esta área, comparada con el resto de las secciones del portal.

Finalmente, el proceso de transición en el año 2011 trajo consigo un nuevo cambio en el portal. Desafortunadamente, por la complejidad de información del portal y la poca disponibilidad de tiempo en la transición, resultó muy difícil lograr el cambio que se esperaba en tan corto periodo de tiempo. Como resultado de la transición, también se dieron varios cambios en el personal a cargo del portal, y sólo la mitad de los miembros del equipo continuaron.

La figura 3 muestra un comparativo del portal antes y después de la transición. En las imágenes se puede observar el paralelismo en el diseño y la forma en la que el principal cambio que se da es de “colores” (ver figura 3). Después del proceso de transición, el portal –que se encontraba en segundo lugar nacional– cayó hasta la posición 17.

Figura 3. Comparativo del portal estatal antes y después del proceso de transición (fuente: Luna-Reyes & Gil-Garcia, 2013).

Análisis de usabilidad del portal

Como segunda estrategia, Íñigo desarrolló un estudio de usabilidad con el propósito principal de conocer mejor el desempeño del portal y qué tan fácil resulta para el usuario encontrar información o servicios en el mismo. Las pruebas de usabilidad se

realizaron con algunos ciudadanos en sesiones individuales, utilizando la técnica de Thinking Aloud. Ésta, es una técnica usada ampliamente para pruebas de usabilidad de sitios web y otros tipos de software2. En esta técnica, se le pide a un conjunto de usuarios potenciales que completen diversas tareas en el sitio web, y que vayan explicando su experiencia mientras realizan tales tareas. La prueba de usabilidad consistió en 22 tareas agrupadas en 5 categorías: (1) tareas de búsqueda de información, (2) tareas de realización de servicios ciudadanos, (3) tareas en el área de negocios y turismo, (4) tareas de participación ciudadana, y (5) tareas de transparencia. Se utilizaron para las pruebas dos grupos distintos de ciudadanos dependiendo de su edad (González Martínez, Luna-Reyes, Luna, Gil-Garcia, & Sandoval-Almazán, 2011).

La figura 4 muestra los resultados de la medida de efectividad de la prueba de usabilidad. Esta medida representa el porcentaje de tareas desempeñadas con éxito por los usuarios del portal. El grupo 1 está formado por usuarios de edades de entre 18-35 años y el grupo 2 está formado por usuarios de edades de entre 36-60 años. Como se muestra en la figura, las tareas de transparencia fueron las que tuvieron un porcentaje de acierto menor, seguidas por las tareas de atención ciudadana. También podemos observar en la figura que el grupo formado por gente menos joven se desempeñó ligeramente mejor que el segundo grupo.

La figura 5, por su parte, muestra los resultados de la medida de eficiencia de la prueba de usabilidad. Esta medida consiste en el tiempo promedio que les tomó a los usuarios completar o abandonar una tarea. Otra vez, las tareas de información y transparencia fueron las que tomaron más tiempo para completarse, pero el grupo más joven fue el que en este caso se desempeñó mejor.

2 Los estudios de usabilidad, como el diseñado por Íñigo, parten de una definición de usabilidad de tres componentes: efectividad (se logra completar la tarea), eficiencia (se completa en poco tiempo) y satisfacción (medida subjetiva de la interacción con el sistema).

Finalmente, el cuadro 1 muestra las medidas de satisfacción para los dos grupos en una escala del 1 al 5, donde 5 representa totalmente satisfecho y 1 totalmente insatisfecho. Como se puede observar, el grupo de gente más joven está en promedio menos satisfecha con su experiencia de interacción con el portal, al compararla con el grupo de mayor edad. No obstante, las calificaciones de ambos reflejan en general un bajo nivel de satisfacción.

Cuadro 1. Satisfacción de los Usuarios en las dos observaciones

Observación 1

Grupo 1 Grupo 2

Utilidad de la información

Facilidad para encontrar contenido

Necesidad de capacitación

Usaría el portal con frecuencia 2.6 3.3 Términos fáciles de entender

navegación

(fuente: González Martínez et al., 2011).

Análisis de grupos focales

Finalmente, Íñigo realizó cuatro grupos de enfoque. Cada sesión tuvo una duración de una a una hora y media. Las sesiones se grabaron en audio y se transcribieron posteriormente, y las transcripciones fueron revisadas para localizar temas relevantes a los beneficios del portal estatal. Los perfiles incluidos en los grupos de enfoque fueron: (1) profesionistas-emprendedores, (2) estudiantes y (3) empleados de gobierno.

Todos los participantes en los grupos focales comentaron haber utilizado el portal del Gobierno del Estado de Puebla, aunque no de forma cotidiana. La mayor parte de los usuarios del portal, que participaron en los grupos de enfoque, utilizan el portal sólo dos o tres veces por año, y en general con propósitos muy específicos. Por ejemplo, un comentario de los participantes que refleja la forma en la que se usa el portal estatal es “realmente no lo utilizo en mi vida cotidiana, yo sólo utilizo el portal si me interesa saber qué trámite voy a realizar y dónde”. Los principales usos que se dan al portal, por los participantes en los grupos focales, es la consulta de información para la realización de trámites, como podrían ser la documentación necesaria para llevar a cabo el trámite o la dirección de la oficina donde deben acudir, o la realización del trámite mismo. Los estudiantes, de manera particular, comentaron que utilizan el portal para la búsqueda de información sobre oportunidades de becas, y así continuar con sus estudios. Uno de los participantes comentó, por ejemplo, “también (para consultar) lo de la CURP

(Clave Única de Registro de Población), recientemente entré para buscar información de SOAPAP (Sistema Operado de los Servicios de Agua Potable y Alcantarillado de Puebla), ubicación de sus oficinas, y sí encontré la información… y también el pago de tenencia”.

Un tema que causó controversia entre los participantes, en los grupos focales, fue el uso del portal como un medio de difusión de las actividades y la imagen del Gobernador, especialmente, entre los participantes de los grupos focales del gobierno y los estudiantes universitarios. Uno de los estudiantes, por ejemplo, comentó: “siento que en la página se quiere hacer notar todas las cosas positivas que hace (el gobernador) y deja a un lado el objetivo de la página que yo creo que es el de informar, solucionar problemas con el ciudadano y para realizar servicios que eviten tener tantas filas en los módulos de servicios”. Otros participantes del grupo de emprendedores mencionaron que puede ser parte del objetivo del portal, pero que deberían incluirse otros elementos informativos: “está bien que se presente la información pertinente del gobernador, pero también se deberían mencionar cuestiones relacionadas con la imagen del país o la ciudad, las cuales son bastantes y de ahí se detonarían buenas cosas”.

Algunos temas fueron más relevantes en algunos grupos focales, y otros tuvieron relevancia en todos por igual. Entre los temas que fueron importantes en la conversación, de todos los grupos focales, se encuentra la necesidad de ofrecer información a través del portal, que frecuentemente se asociaba en las conversaciones con temas de confianza en el gobierno y transparencia. Todos los grupos focales, con excepción del grupo focal de los estudiantes, se refirieron a la necesidad de incluir procesos de promoción del portal o de vías alternas de contacto, mientras que los estudiantes discutieron la importancia de utilizar, como parte de la estrategia del portal, elementos de movilidad, personalización y redes sociales. Resulta interesante que los emprendedores/profesionistas fueron los grupos que resaltaron mayormente los temas de brecha digital. El grupo focal de empleados de gobierno discutió el tema brevemente, aunque definitivamente se unió a los profesionistas al discutir sobre los impactos que el acceso al portal tiene sobre la equidad de oportunidades.

Nuevamente los profesionistas-emprendedores fueron quienes pusieron más énfasis en la conversación sobre aspectos de capacidades de gobierno para mantener el portal, especialmente en cuestiones de seguridad y privacidad. El diseño del portal y su enfoque ciudadano fueron características especialmente importantes para los miembros del grupo de empleados de gobierno. La eficiencia del gobierno y la mejora en la calidad de los servicios fueron temas relevantes para todos los clientes del portal, mientras que la simplificación de los procesos fue más relevante en el caso de los empleados de gobierno.

Siguientes pasos

Después de su trabajo de recopilación de información, Íñigo se sentó en la mesa de

diseño y planeación para desarrollar sus objetivos estratégicos y sus principales líneas de acción. Se trataba de tomar decisiones efectivas, no sólo para mejorar en el ranking anual, y avanzar de forma más agresiva que los líderes usuales (Nuevo León, Jalisco y Estado de México), sino que buscaba diseñar una estrategia que permitiera ofrecer a los ciudadanos servicios e información de valor para atraer su atención al portal y cubrir algunas de sus principales necesidades.

Agradecimientos

1. La investigación que hizo posible la escritura de este caso fue apoyada parcialmente por el Consejo Nacional de Ciencia y Tecnología (CONACYT ) de México, bajo el proyecto número 107154. Las opiniones que se expresan en el caso son de los autores y no reflejan necesariamente los puntos de vista del CONACYT

2. Los autores agradecen de manera especial a René Méndez Aceves, Sergio González Martínez, Rafael de la Rosa y Leonardo Flores Vivanco por su valiosa colaboración en trabajos de investigación que permitieron la escritura de este caso.

Referencias

González Martínez, S., Luna-Reyes, L. F., Luna, D. E., Gil-Garcia, J. R., & Sandoval-Almazán, R. (2011). Comparing usability of government web portals during governor change of terms. In Proceedings of the 12th Annual International Digital Government Research Conference: Digital Government Innovation in Challenging Times (pp. 327–328). New York, NY, USA: ACM. doi:10.1145/2037556.2037609

Luna-Reyes, L. F., & Gil-Garcia, J. R. (2013). Understanding the Co-Evolution of Institutions, Technology, and Organizations: The Enactment of the State Government Portal of Puebla. In Proceedings of the 14th Annual International Conference on Digital Government Research (pp. 214–223). Presented at the 14th Annual International Conference on Digital Government Research, Quebec, Canada: ACM

Méndez Aceves, R., Díaz, C. R. P., & Luna-Reyes, L. F. (2010). Portales de gobierno estatal en México: el caso del portal del gobierno del Estado de Puebla. In Proceedings of the 11th Annual International Digital Government Research Conference on Public Administration Online: Challenges and Opportunities (pp. 183–192). Digital Government Society of North America. Retrieved from http://dl.acm.org/citation.cfm?id=1809874.1809908

Este libro electrónico o epub fue maquetado y convertido a epub desde Adobe-InDesign en la Editorial UDLAP en 2014.

Turn static files into dynamic content formats.

Create a flipbook