
Modeling of drinking water distribution networks with intermittent service
Modelado de redes de distribución
![]()

Modelado de redes de distribución

RESUMEN
En México, 30% de la población es abastecida de agua potable mediante servicio intermitente; no obstante, las normas de operación y diseño de las redes de distribución de agua potable están enfocadas hacia el servicio continuo, lo cual propicia prácticas que merman la eficiencia en la red. Este artículo pretende emitir recomendaciones para la gestión de redes de abastecimiento de agua con suministro intermitente basadas en la modelación hidráulica. Para ello se presenta la metodología propuesta para elaborar dicho modelo dentro de la plataforma WaterGems, así como los resultados obtenidos.
PALABRAS CLAVE:
Servicio intermitente · Red de distribución · Modelos hidráulicos · WaterGems

ABSTRACT:
In Mexico 30% of the population water supply is by intermittent service; However, the operating and design standards of water distribution networks are focused on continuous service, which promotes practices that reduce the efficiency of the service. This paper intends to issue recommendations for the management of water supply networks with intermittent supply based on hydraulic modeling. In order to do this, it is presented the methodology for a model created on the platform Watergerms including the results obtained.
KEYWORDS: Intermittent water supply · Distribution network · WaterGems
INTRODUCCIÓN
Las redes de distribución de agua potable se analizan y diseñan para operar mediante servicio continuo, esto significa que los usuarios son abastecidos directamente de la red las 24 horas del día, todos los días del año. Sin embargo, el servicio continuo no siempre es posible debido a la disponibilidad de agua y/o a la capacidad de la infraestructura, por lo que se restringe el abastecimiento a determinados horarios y días de la semana y ello obliga a los usuarios a almacenar agua en depósitos intra-domiciliarios (tinacos y cisternas). A este tipo de servicio se le denomina «intermitente» o por «tandeo» y presenta problemas tales como mayor desgaste de la red, disminución en la calidad del agua y gastos adicionales para usuarios y organismos operadores (Velitchko et al., 2014). Por ello, el servicio intermitente no es deseable y es catalogado como una deficiencia de acuerdo con el Programa de Indicadores de Gestión de Organismos Operadores (pigoo). En México, aproximadamente el 30% de la población es abastecida mediante servicio intermitente, en el estado de Puebla, 54.7% es abastecido de esta forma y, particularmente, en la ciudad de Puebla de Zaragoza (en la que habitan 1.5 millones de personas), más del 90% de los usuarios tienen este tipo de servicio (Saavedra-Horita et al., 2016). Aunque muchos autores argumentan que es posible transitar del servicio intermitente al continuo, la realidad es que el cambio requiere de una gran capacidad técnica y financiera con la que no todos los organismos operadores del país cuentan, aunado a la baja disponibilidad del recurso hídrico que se presenta en varias zonas del país y a la sobreexplotación de las fuentes de abastecimiento. Pese al gran número de usuarios que es abastecido de esta forma, en
México las normas de operación y diseño de las redes están enfocadas –principalmente– hacia el servicio continuo. Lo anterior propicia que los encargados ejecuten la operación con base en conocimiento empírico; incentivando en repetidas ocasiones prácticas que dañan la infraestructura, afectando la eficiencia de la red y con ello su capacidad de abastecer la demanda y migrar hacia un servicio continuo. El presente trabajo pretende emitir recomendaciones para la gestión de redes de abastecimiento de agua con suministro intermitente, basadas en la modelación hidráulica. Para ello se ha empleado WaterGEMS (Bentley Systems, Inc. 2017) como herramienta de software para construir un modelo de red de abastecimiento de agua potable, operada con servicio intermitente y continuo, con el propósito de comparar ambos escenarios.
En el servicio intermitente existe un tanque regulador domiciliario (cisterna o tinaco) entre el usuario y la red, por lo que, a diferencia del servicio continuo, el flujo en la red no depende del consumo de los usuarios sino de la presión disponible en la toma de cada tanque, de su capacidad y de la duración del servicio. Debido a ello, no es recomendable modelar este tipo de servicio de manera convencional, a través de nodos con demandas y patrones de consumo, puesto que en realidad no existe una demanda propia del usuario hacia la red, sino que éste consume lo que el sistema le suministre hasta el llenado de las cisternas. Dicho suministro no es uniforme en todos los usuarios, ya que dependerá de la carga disponible que tenga cada usuario en su toma; ni será constante a través del tiempo, ya que una vez que se ha cubierto la capacidad
de almacenamiento de una cisterna domiciliaria, ésta se limitará a abastecer el nivel que logre abatirse durante el periodo que continúe el servicio.
Para emular este comportamiento dentro un modelo hidráulico se propone representar a los usuarios mediante tanques con un volumen igual al máximo que son capaces de almacenar (el volumen de sus cisternas o tinacos) y asignarles a éstos la demanda del usuario con su respectivo patrón de consumo para poder representar el abatimiento a lo largo del tiempo y obtener un valor más cercano al volumen real, que serán capaces de almacenar para cada periodo de servicio. Finalmente, para poder evaluar aspectos de eficiencia en el servicio se propuso una variante a este escenario, donde se añadieron las pérdidas físicas del sistema, es decir, las pérdidas por fugas en la red. Estas fueron representadas en el modelo a través de orificios en los nodos de la red.
Recopilación de información
Para construir el modelo es necesario recabar información de las variables de entrada que consisten –principalmente– en datos de los usuarios, la configuración red y su topografía. Estos datos físicos pueden obtenerse de alguna base de datos confiable (Catastro del Organismo Operador), o mediante un levantamiento en campo. Para los fines del presente estudio, los datos de la red se obtuvieron del plano hidráulico del área seleccionada como caso piloto, la demanda de los usuarios se asumió como aquella con la que fue diseñada la red y la altimetría se obtuvo a partir de un modelo de elevación construido con fotometría proveniente de información satelital obtenida de Google Earth Pro.
Descripción del área de estudio
El modelo se elaboró para la red de un fraccionamiento residencial ubicado al sur de la ciudad de Puebla, México, en el Fraccionamiento Lomas de Angelópolis. Cuenta con 248 viviendas de características similares, con cisternas domiciliarias de cinco mil litros. De acuerdo con los datos de diseño tiene una densidad de población de proyecto de 4.25 habitantes /vivienda y una dotación de proyecto de 225 litros/habitante/día. Se abastece mediante un servicio intermitente tres veces a la semana los días lunes, miércoles y viernes con una duración del servicio de doce horas, iniciando a las 8:00 pm. y terminando a las 8:00 am. del día siguiente. La red es abastecida por gravedad de un tanque elevado ubicado a un kilómetro hacia el suroeste del fraccionamiento cuya base se encuentra a 2113 msnm, a través de una línea de conducción de 6” de diámetro de Polietileno de alta densidad (pead) hasta llegar a la toma de la red de distribución del fraccionamiento, ubicada a 2090 msnm.
La red de distribución del fraccionamiento es de pead de 4” de diámetro y tiene la configuración mostrada en la figura 1. Las pérdidas menores, provocadas por las válvulas de seccionamiento, fueron despreciadas para los fines del presente estudio. Cabe mencionar que para válvulas calibradas (abiertas parcialmente para regular el caudal) se deberá hacer la corrección correspondiente y añadir una longitud extra a la tubería, que genere una pérdida de energía equivalente a la provocada por la válvula. Debido a que no se cuenta con información acerca del tanque, del cual se alimenta el fraccionamiento, la toma será representada mediante un reservorio (elemento de almacenamiento de volumen infinito y carga constante) con una carga
EN MÉXICO EL 30% DE LA POBLACIÓN ES ABASTECIDA DE AGUA POTABLE MEDIANTE SERVICIO INTERMITENTE.
DATOS DE PROYECTO:
Núm. Lotas= 255 lotes
Núm. de viviendas Individuales = 250.00 viv
Núm. de viviendas multifamiliares = 95 vivi.
Densidad de población = 4.25 Hab/ Viv Pérdidas = 7.74 m.c.a.
Capacidad de regularización requerida = 76, 324 m^3
Área vendible = 54 056,06 m^2
Área de jardines = 1 018.28
Población de proyecto = 1 471.00 Habitantes
Dotación = 225.00 L/Hab/Día
Gasto medio diario = 4.09 l/s Gasto máximo diario = 5.73 L/s
Gasto máximo horario = 3.87 L/s
Coeficiente de variación diaria = 1.40
Coeficiente de variación horaria = 1.55
Fuente de abastecimiento = red local municipal)
Abastecimiento= tanque superficial
Regularización = tanque elevado
Distribución = Por gravedad
Regularización secundaria = tinacos de azotea

de 20 mca (metros columna de agua), que corresponde a la carga de trabajo con la que fue diseñada la red y cuyo valor es similar a la carga estática que proporcionaría el tanque.
Desarrollo del modelo

operación, mostrado en la figura 2, el cual emula la operación de la válvula de seccionamiento con los horarios de servicio del fraccionamiento a lo largo de una semana.
Esqueletización de la red
Figura 2. Patrón de operación de reservorio. Hourly Reservoir Pattern Reservoir Pattern - 1
volumen, etcétera), por lo que capturar la información de cada tanque y, posteriormente, procesarla sería impráctico.
depósito. En el modelo se propuso que la válvula comenzará a reducir el flujo faltando 20 cm para el llenado del tanque (80% de llenado), ya que es el valor medido que se desplaza el brazo del flotador dentro de una cisterna real. Debido a que no se encontró bibliografía acerca de valores típicos para este tipo de válvulas, se propuso un coeficiente de descarga de 0.524 (l/s/m)1/2, de manera que los tanques se llenen en cinco horas, tiempo reportado por los usuarios como el requerido para llenar su cisterna.
El modelo se desarrolló en la plataforma WaterGEMS (Bentley Systems Inc., 2017). Para ello, se capturó dentro de la plataforma la red conforme a lo presentado en la figura 1, añadiendo nodos en los puntos de cruce o cambio de dirección de la red para –posteriormente– conectarlos mediante tubos a los cuales se les editó sus longitudes, material y diámetro. La alimentación de la red fue representada mediante un reservorio, al cual se le asignó un patrón de «LA ESQUELETIZACIÓN» EN LA MODELACIÓN DE TANQUES ES FUNDAMENTAL, YA QUE ESTOS SON ELEMENTOS A LOS CUALES SE LES ASIGNA UN NÚMERO IMPORTANTE DE VARIABLES Y DATOS.
La «esqueletización» de la red consiste en agrupar elementos que aislados no son significativos en el comportamiento del sistema, pero que al conformarlos como un solo elemento para su análisis produce el mismo efecto que los elementos agrupados. La propuesta de «esqueletización» en la modelación de tanques es fundamental, ya que éstos son elementos a los cuales se les asigna un número importante de variables y datos (nivel, flujo de entrada, carga,
Para la construcción del modelo se dividió al fraccionamiento en doce zonas, tal y como se muestra en la figura 3, con el objetivo de facilitar el manejo de la información de los 248 tanques que resultarían al representar a todas las viviendas. Cada zona se representó mediante un tanque cuyo volumen se calculó para ser igual al número de viviendas contenidas en la zona por el volumen de sus cisternas (5 m³), también se les asignó un consumo estimado con base en la dotación de proyecto como el consumo por vivienda al día (núm. de habitantes *dotación de proyecto) dividido entre 86,400 s (segundos en un día). Los tanques tienen una base igual al valor numérico del volumen y un metro de alto. La base de los tanques se asignó un metro debajo del nivel del nodo al cual están conectados. Adicionalmente, se añadieron válvulas tipo flotador a los tanques para controlar el flujo de entrada en función del nivel del agua en el
Las pérdidas físicas (fugas) se representaron como orificios ubicados en cada uno de los nodos de la red. Debido a que no existen estudios de eficiencia para el área de estudio, se supuso el promedio de la ciudad de Puebla que es del 60% (Saavedra-Horita et al., 2016). Para ello se propuso, a través de un proceso iterativo, un coeficiente de descarga para todos los nodos de 0.103 (l/s/m)1/2 con lo que se incrementó el caudal suministrado dturante un servicio de 434 m³ a 719 m³.

FRACCIONAMIENTO EN LOMAS DE ANGELÓPOLIS, DE ACUERDO CON LOS DATOS DE DISEÑO TIENE UNA DENSIDAD DE POBLACIÓN DE PROYECTO DE 4.25 HABITANTES/ VIVIENDA Y UNA DOTACIÓN DE 225 LITROS/HABITANTE/DÍA VIVIENDAS

RESULTADOS
En la figura 4 se muestra el caudal suministrado al fraccionamiento a lo largo de una semana bajo ambos escenarios. La línea continua representa al escenario base (sin considerar el efecto de las fugas) y registra un caudal máximo de 27.13 l/s, el cual corresponde al caudal máximo que el sistema es capaz de descargar en las cisternas con la carga disponible. Este
caudal disminuye, gradualmente, conforme las cisternas comienzan a llenarse hasta alcanzar un mínimo que corresponde al consumo de los usuarios.
Por otro lado, la línea punteada representa el caudal suministrado bajo el escenario que considera el efecto de las fugas. El caudal máximo registrado para este escenario es de 33.18 l/s, que corresponde al caudal máximo que el sistema es capaz de descargar en las cisternas y en las fugas de la red representadas mediante orificios con la carga disponible. Se puede observar que la separación entre ambos escenarios se acentúa hacia el final del servicio, debido a que el caudal disminuye conforme se llenan las cisternas, lo que provoca que la presión en la red se incremente propiciando que las fugas tengan una mayor descarga.
El nivel de las cisternas a lo largo de la semana de servicio se muestra en la figura 5: la línea continua representa el nivel promedio de las cisternas; la línea punteada superior representa el

nivel de la cisterna con mayor carga disponible; mientras que la línea punteada inferior representa el nivel de la cisterna con las condiciones más desfavorables (la que más tarda en llenarse). Debido a la diferencia de presión entre las zonas altas y bajas existe un desfase entre el llenado de los tanques de manera que los tanques en la zona baja (con mayor presión) comienzan a llenarse a las tres horas de iniciado el servicio, mientras que las zonas más altas tardan hasta nueve horas en llenarse.
Tiempo de llenado de la red Las tuberías con servicio intermitente no se encuentran constantemente presurizadas, ya que tienen periodos de llenado y vaciado durante los cuales su comportamiento hidráulico está restringido por fenómenos transitorios. De modo que los resultados del modelo sólo serán válidos una vez la red se haya llenado, siendo necesario obtener el tiempo que la red tarda en presurizarse. Sin embargo, dicho análisis exce-
fugas
EL CAUDAL MÁXIMO REGISTRADO
PARA ESTE ESCENARIO ES DE 33.18 L/S.
lunes martes miércoles jueves viernes sábado domingo
de los alcances del presente estudio. Debido a que la red es relativamente pequeña y el tiempo que tarda en presurizarse es corto, se propone la siguiente metodología para obtener un aproximado al tiempo máximo que la red podría tardar en llenarse, partiendo de los siguientes supuestos:
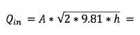
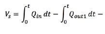
La red estará presurizada una vez que el volumen de agua almacenado dentro de ella (Vs) sea igual al volumen de la red ( VR), el cual se calcula con la ecuación 1 como el área (A) de la tubería de 4” ( 0.0081m2) por su longitud (1956 m):
1)

Por su parte, el volumen almacenado (Vs) puede ser calculado utilizando la ecuación 2 que se describe a continuación:
2)
3)


Por su parte, el caudal que descarga la red en cada cisterna es diferente, ya que depende de la altimetría de la cisterna, así como de la distancia a la que se encuentre del punto donde se alimenta la red, sin embargo, de la figura 4 se observa que el caudal máximo que será capaz de descargar la red en las cisternas es de 27.13 l/s. Asumiendo este valor como la suma de los caudales que descarga cada cisterna, el tiempo de llenado máximo se puede obtener utilizando la ecuación 4:
4)


Siendo Qin el caudal que suministra la línea de conducción a la red y Qout el caudal que descarga la red en las cisternas. Suponiendo una carga (h) constante de 20 m, Qin puede estimarse mediante la ecuación 3:


Lo anterior indica que los resultados del modelo serán válidos después de transcurridos dos minutos de iniciado el servicio.
Curva de caudal suministrado
En la figura 6 se reproduce una parte de la curva del caudal suministrado al sistema (miércoles), mostrado en la figura 4, pero en una esca-
la de tiempo menor. La curva de la figura 6 se encuentra dividida en tres zonas, por los puntos T1 (tiempo que tarda en llenarse la primera cisterna) y T2 (tiempo que tarda en llenarse la última cisterna). La zona de llenado (A) se desarrolla durante el periodo en el cual la red vierte de manera libre en todos los tanques, por lo que en ella se presenta el caudal pico. Depende, principalmente, de la presión en la red y el volumen que los usuarios son capaces de almacenar. La zona de servicio continuo (C) ocurre una vez que todos los tanques han sido llenados y el sistema sólo consume el volumen de agua que se logre abatir mientras continúe el servicio. Finalmente, la zona de transición (B) ocurre durante el periodo en el cual unos tanques terminan de llenarse y otros aún no se han llenado debido a la diferencia de carga disponible.
Escenario óptimo de operación
De los resultados mostrados en las figuras 4 y 6 se aprecia que la zona de llenado es la que tiene una mayor eficiencia, mientras que la
zona de servicio continuo se llega a desperdiciar 3/4 partes del agua suministrada. Por lo que, mantener el servicio por periodos prolongados más allá del punto T2, merma de manera importante la eficiencia de la red. Por otro lado, terminar el servicio antes del punto T2 implicaría no satisfacer la demanda de todos los usuarios. Finalizar el servicio en T2 incrementa la eficiencia del sistema a 63%. No obstante, debido a que las fugas son dependientes de la presión, existe una alternativa que permite incrementar la eficiencia del sistema, sin comprometer la duración del servicio y, adicionalmente, reduciendo el caudal en la red y con ello su desgaste. Reducir la presión en la red permite incrementar la zona de llenado y reducir la zona de servicio continuo, de manera que es posible ajustar el valor T2 para acercarse a una determinada duración.
La figura 7 representa el comportamiento de la red con 12 mca en la toma (8 m menos que el escenario original). Esto permite disminuir el gasto de las fugas y ampliar el rango óptimo de
VOLUMEN SUMINISTRADO EN EL ESCENARIO CUATRO SE REDUJO 9% A 654 M³ INCREMENTANDO LA EFICIENCIA DEL SERVICIO A 65%.
operación. El volumen suministrado en el escenario cuatro se redujo 9 % a 654 m³ incrementando la eficiencia del servicio a 65%.
Periodicidad y tiempo de servicio
Uno de los indicadores reportados por pigoo para evaluar la calidad del servicio intermitente es el número de horas que dura el servicio, sin embargo, no se reporta la periodicidad del mismo. Lo anterior es importante ya que la periodicidad está relacionada con la calidad del agua que recibe el usuario (entre mayor tiempo se encuentre almacenada, más difícil será garantizar la calidad de la misma), mientras que la duración del servicio no necesariamente se relaciona con la percepción de un mejor servicio;
no obstante, su duración sí incide en la cantidad de agua que se desperdicia, tal y como se mostró en el apartado anterior. A continuación, se muestran los efectos en la eficiencia del sistema al variar la periodicidad del servicio, manteniendo el total de horas a la semana del esquema original (36 horas/semana). En la figura 8 se muestra el porcentaje de llenado de las cisternas, la línea continua representa el promedio de todas las cisternas, la línea punteada superior verde representa el caso más favorable y la línea punteada naranja el caso más desfavorable (la cisterna que más tarda en llenarse). En la figura 9 se muestra el comparativo del caudal suministrado entre los escenarios sin fugas (donde se suministró un volumen
Servicio 6 veces a la semana con duración de 6 horas.
martes miércoles jueves viernes sábado domingo lunes
de 1644.21 m³) y considerando fugas (donde se suministró un volumen de 2580.6 m³) bajo esta política de operación.
Debido al corto periodo de tiempo del servicio, la curva de caudal tiene un comportamiento en forma de picos ya que no alcanza a estabilizarse en la zona de servicio continuo. Sin embargo, debido a la periodicidad del servicio el nivel de las cisternas no alcanza a disminuir y el servicio satisface la demanda de los usuarios.

En la figura 10 se muestra el porcentaje de llenado de las cisternas bajo este esquema de operación; la línea continua representa el promedio de todas las cisternas, la línea punteada superior representa el caso más favorable y la línea punteada inferior el caso más desfavorable (la cisterna que más tarda en llenarse). En la figura 11 se muestra el comparativo del caudal suministrado entre los escenarios sin considerar el efecto de las fugas en la línea continua (donde se suministró un volumen de 1623m³) y considerando fugas en la línea punteada (donde se suministró un volumen de 2750.85 m³).
Pese a que el nivel de las cisternas disminuye considerablemente, el tiempo que tardan en ser llenadas es relativamente corto comparado con el tiempo que dura el servicio, por lo que si se mantiene el servicio como continuo, esto incrementará el volumen de agua perdida debido al incremento de presión en la red.

Para el desarrollo de modelos similares en redes de distribución existentes no es necesario conocer el volumen real de las cisternas de todos los usuarios (siempre que no se vaya a proponer extender la periodicidad el servicio), basta con tener información confiable acerca de los consumos de los usuarios para conocer cuánta agua demandarán durante su servicio. No obstante, es recomendable realizar mediciones de cómo varía el nivel de las cisternas durante el servicio para calibrar el modelo, de modo que se garantice que el comportamiento del tanque sea representativo de las cisternas de la zona que abarca. Asimismo, cabe mencionar que en este modelo se consideró una carga constante en
la obra de toma, debido a que no se dispone de información sobre los niveles de la fuente. Sin embargo, es importante considerar esta variación en casos prácticos. También se recomienda analizar todas las zonas de servicio que dependan de una misma fuente y su interacción. Debido a que los caudales demandados en las zonas de servicio más cercanas a la fuente de abastecimiento podrían ser mayores a los esperados, la carga en las últimas zonas de servicio podría ser considerablemente menor y no brindar el servicio de manera que se satisfaga la demanda.
Por otro lado, las redes con servicio intermitente, a diferencia de las que son abastecidas con servicio continuo, no requieren de altas presiones en la obra de toma ya que los usuarios no se abastecerán directamente de ella. Por ello es recomendable reducir la presión lo máximo posible para reducir los efectos de la erosión, así como de los transitorios y de esta manera, incrementar la vida útil de la red y disminuir la probabilidad de generar fugas. Es recomendable reducir los tiempos de servicio de manera que se logre abastecer a todos los usuarios, sin que se prolongue más allá de este periodo ya que ayuda a incrementar la eficiencia del sistema.

José A. Romero Gil Egresado de la Licenciatura en Ingeniería Civil por la Universidad de las Américas Puebla con mención cum laude, acreditó el programa de honores a través de la tesis Modelos en redes de distribución de agua potable con servicio intermitente en la zona urbana de Puebla de Zaragoza como herramienta de gestión para incrementar la eficiencia del sistema. Ha asistido a diversos cursos y seminarios relacionados con la gestión del agua. jose.romerogl@udlap.mx

Benito Corona Vásquez
El Dr. Benito Corona Vásquez es director académico del Departamento de Ingeniería Civil y Ambiental y profesor del Doctorado en Ciencias del Agua de la Universidad de las Américas Puebla. benito.corona@udlap.mx

Carlos Patiño Gómez
Es Ingeniero civil de profesión y maestro en Ciencias en Hidráulica, egresado del Instituto Politécnico Nacional. Tiene el título de doctor en Ingeniería Civil y un postdoctorado en Ingeniería Civil, con especialidad en recursos hídricos y medio ambiente, por parte de la Universidad de Texas en Austin, EE.UU.. Miembro del sni – nivel 1. carlos.patino@udlap.mx
REFERENCIAS
• Bentley Systems Inc. (2017) .WaterGEMS CONNECT Edition Help. Recuperado de www.bentley.com/WaterGEMS
• Cabrera-Béjar, J. A. y Gueorguiev-Tzatchkov, V. (2012). Modelación de redes de distribución de agua con suministro intermitente. Tecnología y Ciencias del Agua, 3(2), 5-25.
• conagua (2016). Manual de diseño de agua potable, alcantarillado y saneamiento: datos básicos. México: Comisión Nacional del Agua.
• conagua (2016). Modelación hidráulica y de calidad del agua en redes de distribución saneamiento: diseño de redes de distribución. México: Comisión Nacional del Agua, Ciudad de México.
• Romero-Gil, J. A. (2018). Modelos en redes de distribución de agua potable con servicio intermitente en la zona urbana de Puebla de Zaragoza como herramienta de gestión para incrementar la eficiencia del sistema (tesis de licenciatura no publicada). México: Universidad de las Américas Puebla.
• Saavedra-Horita, J. R., Rodríguez-Varela, J. M. y Hasen-Rodríguez, M. P. (2016). Indicadores de gestión prioritarios en organismos operadores. Jiutepec, Morelos: Instituto Mexicano de Tecnología del agua.
• Velitchko, G. Tzatchkov, H., Alcocer-Yamanaka, V. J., Bourguett-Ortiz, F. I. y Arreguín-Cortés, F. (2014). Avances en la hidráulica de redes de distribución de agua potable. Jiutepec, Morelos: Instituto Mexicano de Tecnología del Agua.