Revista Obras y Proyectos - Edición 33 , año 2023

Page 1

Evaluación de caudal de sobrepaso en una defensa costera mediante un modelo basado en las ecuaciones de Navier-Stokes promediadas por Reynolds en el volumen (VARANS)

Assessment of wave overtopping in a coastal defense using a model based on the volume-averaged Reynolds averaged Navier-Stokes (VARANS)

Sistema de simulación numérica para la costa de Chile central mediante el acoplamiento de modelos numéricos

Numerical simulation system for the coast of central Chile by coupling numerical models

Evaluación de sitio para la determinación de zona de vertimiento de sedimentos dragados mediante la aplicación del método Montecarlo

Site evaluation for the determination of a dredged sediment disposal area through the application of the Montecarlo method

F. Galaz, A. González y M. Quezada

Diseño por vida útil de infraestructura marítima en hormigón armado: Enfoque holístico con experiencias de casos chilenos Service life design of reinforced concrete maritime infrastructure: holistic approach with experiences from Chilean cases

Puerto Lirquén y su descarbonización: Aplicando medidas de mitigación basado en la reconversión de equipamiento portuario a Hidrógeno verde

Decarbonization of Puerto Lirquén: Applying mitigation measures based on the reconversion of port equipment to green Hydrogen

M. A. Gallegos

Study of avalanche models using well-balanced finite volume schemes

Estudio de modelos de avalancha usando esquemas de volúmenes finitos bien balanceados

F. Campos, M. Sepúlveda, R. Abarca del Río and D. Issler

Sistema constructivo de una fundición de cobre del siglo XIX en Atacama, Chile

Construction system of a nineteenth-century copper smelting in Atacama, Chile

A. Nazer y O. Pavez

Calefacción distrital en Chile y avances en la investigación de interacción entre suelo y tuberías en redes de calefacción distrital District heating in Chile and advances in the investigation on soil-pipe interactions in district heating networks

F. Villalobos, I. Weidlich, I. Wolf, S. Hay y J. Fumeron

Métodos estáticos equivalentes para el análisis dinámico de edificios altos bajo cargas de viento en Cuba

Equivalent static methods for dynamic analysis of tall buildings under wind loads in Cuba

A. Ballate, D. Robert, P. Martín e I. Fernández

ISSN 0718 - 2805 ver SI ó N I mpre S a I ISSN 0718 - 2813 ver SI ó N e N lí N ea edición 33 i 2023 Edición 33, Otoño 2023
Ensayos Avanzados de Mecánica de Suelos, Mecánica de Rocas y Químicos para la Ingeniería Geotécnica Acreditación INN, certificado LE 1139 según norma NCh-ISO/IEC 17025:2017 www.onegeotecnia.cl contacto@onegeotecnia.cl tel: +56 22604 8203 / +56 22604 8202 / +56 22728 6233

Edición 33, Otoño 2023

Revista Obras y Proyectos

Universidad Católica de la Santísima Concepción

Facultad de Ingeniería

Departamento de Ingeniería Civil

Alonso de Ribera 2850, Campus San Andrés

Casilla 297, 4090541 Concepción, Chile

Editor

Dr. Felipe Villalobos

Universidad Católica de la Santísima Concepción

Editor invitado

Dr. Patricio Winckler

Universidad de Valparaíso, Chile

Comité asesor

Dr. Juan Ayala

Klohn Crippen Berger, Perth, Australia

Dr. Óscar Link

Universidad de Concepción, Chile

Dr. Arsenio Negro

Consultor independiente, Sào Paulo, Brasil

Dr. Giang Nguyen

The University of Adelaide, Australia

Dr. Ricardo Nicolau

Constructora Incolur S.A., Las Condes, Chile

Comité editorial

Dr. Giovanny Alvarado

AECOM Pty Ltd, Sydney, Australia

Dra. Luisa Equihua

Comisión Federal de Electricidad, México

Dr. Wagner Fleming

Universidad Católica del Norte, Antofagasta, Chile

Dr. David Muriá

Instituto de Ingeniería, UNAM, México

Dr. Efraín Ovando

Instituto de Ingeniería, UNAM, México

Dr. Felipe Prada

Aarhus University, Dinamarca

Dr. Iván Salazar

Universidad Católica del Norte, Antofagasta, Chile

Dra. Alejandra Stehr

Universidad de Concepción, Chile

Dr. Tetsuo Tobita

Universidad de Kansai, Osaka, Japón

Dr. Ingo Weidlich

HafenCity University, Hamburgo, Alemania

Dr. Torsten Wichtmann

Ruhr University Bochum, Alemania

Dr. Patricio Winckler

Universidad de Valparaíso, Chile

Diseño y diagramación

Verónica Cornejo - VCR Publicidad vcornejor@gmail.com

56 9 88823187

Contacto y envío de artículos oyp@ucsc.cl www.oyp.ucsc.cl ww.revistas.ucsc.cl

Avisos comerciales y suscripciones

Dr. Marcelo Behrens ebehrens@ucsc.cl

56 41 234 5323

Periodicidad: semestral (edición de Otoño y Primavera)

Revista indexada y catalogada en www.scielo.conicyt.cl www.latindex.org : www.dialnet.unirioja.es http://apps.webofknowledge.com

Definición de la Revista

Obras y Proyectos es una revista de Ingeniería Civil cuya misión es divulgar, promover e incentivar la investigación, aportando al intercambio del conocimiento entre los profesionales del área de la Ingeniería Civil. Para ello se consideran trabajos originales de carácter científico, además de notas técnicas principalmente orientadas a exponer y discutir relevantes obras y proyectos. También se presentan trabajos técnicos que expongan innovaciones y aplicaciones utilizadas principalmente por empresas y consultoras relacionadas con la Ingeniería Civil. De esta manera se desarrollan los temas clásicos de la Ingeniería Civil, como son: Estructuras, Hidráulica, Geotecnia, Transporte y Construcción. Además otros temas relacionados y aplicados a la Ingeniería Civil son considerados, tales como Energía, Ambiente, Geología, Minería, Informática y Tecnología. De esta forma Obras y Proyectos busca la participación de un grupo amplio que abarca desde el mundo universitario, organismos públicos y el mundo empresarial.

Revisión de artículos por pares evaluadores externos

Al recibir un artículo el editor junto con miembros del comité asesor comprueban que el artículo corresponda o esté relacionado con Ingeniería Civil. Además se verifica que el artículo esté bien escrito, que no haya sido publicado anteriormente y que constituye un aporte a la Ingeniería Civil. De no ser así el artículo es devuelto. Luego, si el artículo es aceptado para su revisión, el editor envía el artículo a al menos dos especialistas en el tema que cubre el artículo. Los especialistas son evaluadores externos al Departamento de Ingeniería Civil de la UCSC y no son miembros del comité editorial. A partir de las observaciones de los evaluadores externos, el artículo puede ser aceptado, aceptado con observaciones o rechazado. En el segundo caso se pide la incorporación de cambios que satisfagan los requerimientos planteados por los revisores externos. En cualquiera de los tres casos se informa al o los autores del resultado de la revisión y de los cambios a realizar. Los autores no saben quienes revisaron sus artículos y no hay contacto entre autores y revisores. Antes de editar la revista el comité editorial la revisa en una versión en línea. Finalmente, una vez revisada y aprobada por el editor, la versión final de la revista es publicada.

Evaluación de caudal de sobrepaso en una defensa costera mediante un modelo basado en las ecuaciones de Navier-Stokes promediadas por Reynolds en el volumen (VARANS)

Assessment of wave overtopping in a coastal defense using a model based on the volume-averaged Reynolds averaged Navier-Stokes (VARANS)

R. Campos-Caba y P. Winckler

Sistema de simulación numérica para la costa de Chile central mediante el acoplamiento de modelos numéricos

Numerical simulation system for the coast of central Chile by coupling numerical models

S. Bahamóndez y C. Aguirre

Evaluación de sitio para la determinación de zona de vertimiento de sedimentos dragados mediante la aplicación del método Montecarlo

Site evaluation for the determination of a dredged sediment disposal area through the application of the Montecarlo method

F. Galaz, A. González y M. Quezada

Diseño por vida útil de infraestructura marítima en hormigón armado: Enfoque holístico con experiencias de casos chilenos

Service life design of reinforced concrete maritime infrastructure: holistic approach with experiences from Chilean cases

L.

Puerto Lirquén y su descarbonización: Aplicando medidas de mitigación basado en la reconversión de equipamiento portuario a Hidrógeno verde

Decarbonization of Puerto Lirquén: Applying mitigation measures based on the reconversion of port equipment to green Hydrogen

Study of avalanche models using well-balanced finite volume schemes

Estudio de modelos de avalancha usando esquemas de volúmenes finitos bien balanceados

F. Campos, M. Sepúlveda, R. Abarca del Río and D. Issler

Sistema constructivo de una fundición de cobre del siglo XIX en Atacama, Chile

Construction system of a nineteenth-century copper smelting in Atacama, Chile

A. Nazer y O. Pavez

Calefacción distrital en Chile y avances en la investigación de interacción entre suelo y tuberías en redes de calefacción distrital

District heating in Chile and advances in the investigation on soil-pipe interactions in district heating networks

F. Villalobos, I. Weidlich, I. Wolf, S. Hay y J. Fumeron

Métodos estáticos equivalentes para el análisis dinámico de edificios altos bajo cargas de viento en Cuba

Equivalent static methods for dynamic analysis of tall buildings under wind loads in Cuba

A. Ballate, D. Robert, P. Martín e I. Fernández

www.oyp.ucsc.cl www.scielo.conicyt.cl/oyp Contenidos 5 6 15 23 34 45 54 64 74 84

Campos-Caba, R. y Winckler, P. (2023). Evaluación de caudal de sobrepaso en una defensa costera mediante un modelo basado en las ecuaciones de Navier-Stokes promediadas por Reynolds en el volumen (VARANS). 33, 6-14

Evaluación de caudal de sobrepaso en una defensa costera mediante un modelo basado en las ecuaciones de Navier-Stokes promediadas por Reynolds en el volumen (VARANS)

Assessment of wave overtopping in a coastal defense using a model based on the volumeaveraged Reynolds averaged Navier-Stokes (VARANS)

Fecha de entrega: 15 de diciembre 2022

Fecha de aceptación: 21 de abril 2023

Rodrigo Campos-Caba1 y Patricio Winckler2,3,4

1 Department of Physics and Astronomy Augusto Righi (DIFA), Alma Mater Studiorum Università di Bologna, Bologna, Italia. rodrigo.camposcaba@unibo.it

2 Escuela de Ingeniería Civil Oceánica, Universidad de Valparaíso, Valparaíso, Chile. patricio.winckler@uv.cl

3 Centro Nacional de Investigación para la Gestión Integrada de Desastres Naturales (CIGIDEN), Santiago, Chile.

4 Centro de Observación Marino para Estudios de Riesgos del Ambiente Costero (COSTAR), Valparaíso, Chile.

En este trabajo se expone el proceso de calibración del modelo numérico IH2VOF y un análisis de sensibilidad del caudal de sobrepaso en una defensa costera. Para efectuar estos trabajos, se replican los ensayos de un modelo físico a escala reducida de 1:50 en el rompeolas principal del puerto de Pòvoa de Varzim, Portugal (Neves et al., 2008). Los parámetros analizados en el proceso de calibración corresponden a la porosidad y los coeficientes de fricción lineal y no-lineal , que caracterizan a los medios porosos. Para ensayos con oleaje irregular y generación de oleaje de primer orden, que incorpora sólo la banda espectral asociada al oleaje como condición de borde, los parámetros de fricción no tienen una gran incidencia en el cálculo del sobrepaso, pues actúan sobre un volumen relativamente pequeño de defensa costera. La porosidad, en contraste, juega un rol no despreciable en los resultados. Una vez calibrados estos parámetros, se repiten los ensayos usando un forzamiento de segundo orden, que incorpora tanto la banda del oleaje como las ondas infragravitatorias asociadas a los grupos de olas. Los resultados muestran que la generación de primer orden sobrestima el caudal de sobrepaso, lo que se hace más evidente para condiciones de oleaje de mayor intensidad. Para el forzamiento de segundo orden, en contraste, se obtienen resultados cercanos a los reportados por Neves et al. (2008). Finalmente, se recomienda utilizar el forzamiento de segundo orden tanto en la modelación numérica como física del sobrepaso de oleaje para evitar el sobredimensionamiento injustificado de defensas costeras.

Palabras clave: modelo numérico CFD, condiciones de borde, ondas infragravitatorias, medio poroso

The calibration of the IH2VOF numerical model and a sensitivity analysis of wave overtopping in a coastal defense are presented in this study. Physical model tests are replicated at a reduced scale of 1:50 in the main breakwater of the port of Pòvoa de Varzim, Portugal (Neves et al., 2008). The parameters used in the calibration correspond to porosity, linear and non-linear friction coefficients characterizing a porous media, which in our model represent the defense’s armor and filter. For irregular waves and first-order generation in the numerical wavemaker (i.e., considering only waves as a boundary condition), overtopping is practically insensitive to the range of values used for the friction parameters, due to the relatively small volume of coastal defense. Porosity, in contrast, plays a significant role in the computation of overtopping. Once these parameters have been calibrated, the tests are repeated using a second-order generation, which incorporates both waves and the infragravity waves accompanying the former. Results show that the first-order generation overestimates the overtopping, especially in more intense wave conditions. For the second-order generation, results correspond fairly well with those reported by Neves et al. (2008). Finally, we recommend the use of secondorder generation both in the numerical and physical modelling of wave overtopping on coastal defenses to avoid unnecessarily conservative designs.

Keywords: CFD numerical model, boundary conditions, infragravity waves, porous media

6

Introducción

El sobrepaso de oleaje es uno de los parámetros fundamentales que se utilizan en el diseño de obras costeras. La forma tradicional de calcular el sobrepaso es utilizar fórmulas empíricas, basadas en el análisis dimensional, cuyos coeficientes se obtienen en ensayos en modelos físicos a escala reducida en laboratorio. En el proceso de diseño se busca limitar el sobrepaso a valores máximos admisibles que permitan el tránsito seguro de peatones y vehículos, controlen el daño del equipamiento urbano o el daño estructural de edificaciones, según sea el caso. Existen muchas formulaciones de uso común (e.g. Pedersen, 1996), disponibles en manuales de diseño como el Coastal Engineering Manual (USACE, 2011) y el Eurotop (Allsop et al., 2016). El uso de ecuaciones empíricas, no obstante, está restringido a las condiciones experimentales utilizadas en su derivación, y que no necesariamente coinciden con las condiciones locales de un sitio de estudio.

En los últimos años se han desarrollado modelos basados en las ecuaciones de Navier-Stokes promediadas por Reynolds (RANS, del inglés Reynolds-Averaged Navier–Stokes), que permiten resolver, entre otros, los procesos de asomeramiento, reflexión y rotura del oleaje además de la interacción del oleaje con estructuras marítimas tanto a escala de prototipo o laboratorio. Este tipo de modelos han ido cobrando importancia en la medida que las empresas consultoras capacitan a sus especialistas. No obstante, a nivel nacional estamos aún en una etapa incipiente de uso, donde existen aún dudas sobre la sensibilidad de los resultados ante las diversas parametrizaciones de los fenómenos de disipación, turbulencia y las condiciones de borde. La Figura 1 presenta un ejemplo de resultados obtenidos mediante este tipo de modelos en la Avenida Perú, Viña del Mar, que en los últimos años ha sido afectada por marejadas intensas (Winckler et al., 2019).

Este estudio se desarrolla en el marco del proyecto FONDEF

IDeA I+D 2020 denominado “Desarrollo de una escala de impacto de marejadas para la comunicación efectiva y disminución del riesgo de desastre”. En la actualidad, el Sistema de Alerta de Marejadas1 que da soporte al proyecto se basa en una combinación de un modelo numérico

1 Universidad de Valparaíso, Escuela de Ingeniería Civil Oceánica, marejadas.uv.cl

Figura 1: Modelos de sobrepaso para la marejada del 8 de agosto de 2015 en Avenida Perú. a) Fotografía tomada durante el peak de la tormenta desde el Restaurant Cap Ducal, b) modelo a escala 1:30 utilizado para el cálculo de sobrepaso en la defensa costera. El agua, el aire y el fondo marino se representan con negro, gris y blanco, respectivamente, c) Campo de velocidad en un instante donde se registra sobrepaso, d) Sobrepaso instantáneo y e) volumen acumulado de oleaje para dicha marejada (Winckler et al. (2017) a partir de los modelos de Fritz (2018)).

7 Campos-Caba, R. y Winckler, P. (2023). 33, 6-14

Campos-Caba, R. y Winckler, P. (2023). Evaluación de caudal de sobrepaso en una defensa costera mediante un modelo basado en las ecuaciones de Navier-Stokes promediadas por Reynolds en el volumen (VARANS). 33, 6-14

global (WWIII), un modelo a escala de bahía (SWAN), un pronóstico de la marea astronómica y fórmulas empíricas de sobrepaso desarrolladas en un modelo físico a escala bajo condiciones que no necesariamente representan a la Avenida Perú.

Para mejorar la estimación del sobrepaso, en el Laboratorio de Modelado Costero de la Universidad de Valparaíso (Labocéano2) se decidió invertir esfuerzos en desarrollar un modelo numérico implementado mediante el modelo

IH2VOF del Instituto de Hidráulica Ambiental de Cantabria (IHCantabria)3. Al objeto de calibrar el modelo, se replican los ensayos de sobrepaso en la defensa costera del puerto de Póvoa de Varzim (Portugal), llevados a cabo por Neves et al. (2008) mediante un modelo físico a escala reducida de 1:50. En el presente documento se expone la implementación y calibración del modelo numérico mediante parametrización del medio poroso (enrocado) y la incorporación de ondas infragravitatorias en la condición de borde.

Métodos de cálculo de sobrepaso

Formulaciones empíricas

En los manuales de diseño existen muchas formulaciones de uso sencillo pero que responden a geometrías, materialidad y parámetros acotados a los ensayos a partir de las cuales fueron derivadas. La fórmula de Pedersen (USACE, 2011, Tabla VI-5-12), por ejemplo, representa la geometría y parámetros indicados en la Figura 2.

, en m3/m/s, mediante la expresión:

donde Hs es la altura significativa del oleaje, Tom y Lom son el período medio y la longitud del oleaje en aguas profundas, Rc es el francobordo (distancia entre el nivel del agua en reposo y el coronamiento de la defensa), Ac es la distancia vertical entre el nivel en reposo y la cota de la coraza, B es el ancho de la berma y cotα es el talud (Figura 2). La Figura 3 ilustra un ejemplo sencillo de cómo esta fórmula puede utilizarse para definir variables de diseño de la defensa (Rc, B, α) cuando se han definido las condiciones de oleaje cerca de la obra (Hs, Tom). El uso de este tipo de análisis, no obstante, está restringido a las condiciones experimentales utilizadas en su derivación, y que no necesariamente coinciden con las condiciones locales del sitio de estudio.

de USACE (2011)).

En términos dimensionales, la fórmula de Pedersen define el caudal de sobrepaso medio por unidad de frente de obra

2 Labocéano de la Escuela de Ingeniería Civil Oceánica https:// ingenieriaoceanica.uv.cl/laboceano

3 Instituto de Hidráulica Ambiental de la Universidad de Cantabria, ih2vof.ihcantabria.com

Modelación numérica mediante ecuaciones tipo VARANS

Una herramienta mucho más poderosa para estimar caudales de sobrepaso lo constituyen los modelos basados en las ecuaciones tipo RANS (o adaptaciones de ellas) pues permiten evaluar condiciones locales y geometrías no contempladas en las fórmulas empíricas. En general, este tipo de modelos tiene la capacidad de: a) resolver los procesos de asomeramiento, reflexión y rotura del oleaje, b) resolver la interacción con estructuras marítimas, y

8
Figura 2: Geometría en la fórmula de Pedersen para el sobrepaso (adaptado Figura 3: Análisis de sensibilidad del sobrepaso ante diferentes variables para la fórmula de Pedersen

c) simular oleajes de tipo regular, irregular o de formas definidas por el usuario, todo ello a escala de prototipo o laboratorio. En la actualidad, estos modelos son capaces de simular dominios a escala de prototipo de hasta un kilómetro, por lo que deben nutrirse de condiciones de borde de modelos que resuelven la fase y/o modelos de tipo espectral.

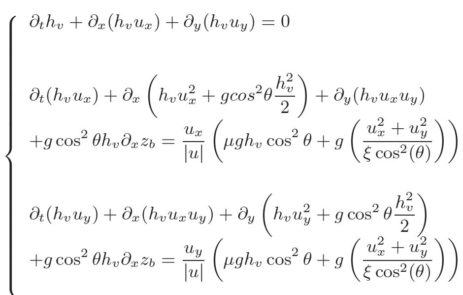
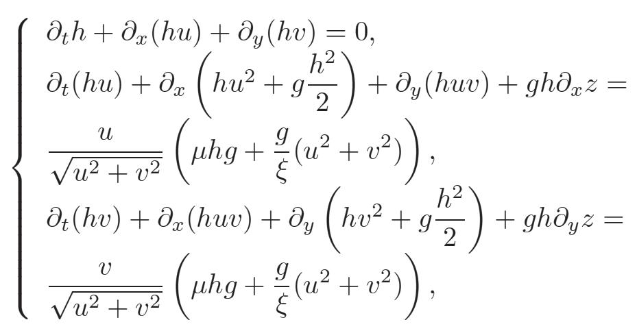
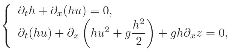
El modelo IH2VOF, en particular, resuelve las ecuaciones VARANS (Volume-Averaged/Reynolds-Averaged NavierStokes), versión promediada en el volumen de las RANS para la resolución de los medios porosos, como las corazas y filtros de defensas costeras. El modelo ha sido validado con diversos ensayos de laboratorio (Di Lauro et al., 2019; Guanche et al., 2009; Lara et al., 2006; Neves et al., 2008; Losada et al., 2005, 2008; Lara, 2005; García et al., 2004). El modelo cuenta con un sistema de generación basado en una condición de borde de tipo Dirichlet en la que se prescriben las velocidades y la superficie libre, a partir de una serie de oleaje. Además, cuenta con una condición de frontera móvil que permite simular el movimiento de una pala generadora del oleaje y el ascenso/descenso del oleaje en una playa. Ambos sistemas de generación cuentan con un sistema de absorción activa que absorbe el oleaje reflejado dentro del dominio sin la necesidad de usar esponjas o zonas de fricción que conllevarían un mayor dominio espacial y costo computacional. Las ecuaciones de conservación de la masa (2) y de momentum (3) que permiten resolver el campo de velocidades ui y presión P en un dominio bidimensional son:

en un material poroso y se parametriza mediante los coeficientes de fricción lineal (α) y no-lineal (β), la mediana del tamaño de los elementos del enrocado (D50) y la viscosidad molecular (v). Las tensiones de Reynolds se resuelven a partir de un modelo de cierre tipo k - ε, donde k es la energía cinética turbulenta y ε es el rango de disipación. Con esta parametrización, el modelo permite resolver la transmisión en el interior de medios porosos y los procesos de transferencia de energía entre las ondas infragravitatorias y el oleaje, que condicionan el run-up en playas. El modelo efectúa el seguimiento de la superficie libre mediante la técnica VOF (Volume Of Fluid).

Calibración del modelo IH2VOF

Para validar la capacidad de simular procesos como el sobrepaso de oleaje en defensas costeras mediante IH2VOF, se implementó un modelo numérico para replicar los ensayos de Neves et al. (2008). En dicho estudio se llevaron a cabo ensayos físicos a escala 1:50 para analizar el sobrepaso de oleaje en la obra de protección del puerto de Pòvoa de Varzim, en Portugal (Figura 4a). En la Figura 4b se muestra la sección de la obra en prototipo (escala 1:1), que consiste en un enrocado de protección con un parapeto en su parte posterior. La sección implementada mediante el modelo IH2VOF replica al modelo físico a escala 1:50 ilustrado en la Figura 4c. En ella se muestra el perfil de aproximación del fondo batimétrico y el parapeto en la parte posterior del enrocado, considerado como un medio poroso en el modelo IH2VOF. Estos son parametrizados mediante los coeficientes de fricción lineal (α) y no-lineal (β), además de la mediana de la granulometría del material D50

Condición de borde

donde representa una magnitud promediada en el volumen, xi es una coordenada espacial, t es el tiempo, cA = 0.34(1 - n)/n es el coeficiente de masa añadida que depende de la porosidad n, son los esfuerzos de Reynolds, son los esfuerzos de corte viscosos (considerados despreciables frente a los esfuerzos de Reynolds), ρ es la densidad y gi es la aceleración de gravedad. El último término de la ecuación de momentum representa la fricción

Neves et al. (2008) considera cuatro ensayos con duración de 300 s indicados en la Tabla 1. Los ensayos se llevan a cabo con una profundidad de 0.39 m y oleaje irregular, caracterizado por un espectro JONSWAP, cuyos valores de altura significativa (Hos) y periodo peak (Top) son medidos en el primer sensor de oleaje (wave gauge) de la Figura 4d. Como condición de borde, el proceso de calibración se realizó tanto con generación de oleaje de primer orden, que incorpora sólo la banda espectral asociada al oleaje, y generación de segundo orden, que incorpora tanto la banda

9 Campos-Caba, R. y Winckler, P. (2023). 33, 6-14

Campos-Caba, R. y Winckler, P. (2023). Evaluación de caudal de sobrepaso en una defensa costera mediante un modelo basado en las ecuaciones de Navier-Stokes promediadas por Reynolds en el volumen (VARANS). 33, 6-14

del oleaje como las ondas infragravitatorias asociadas a los grupos de olas. Esto pues existen antecedentes que revelan una gran sensibilidad del sobrepaso ante este tipo de forzamiento. De hecho, Beyá (2017) demostró que el sobrepaso del oleaje en Av. Perú de Viña del Mar se sobreestima en hasta un 85% al usar teoría de primer orden, pues este método induce ondas largas ficticias que anulan a las ondas de grupo con que incide el oleaje en la realidad.

Tabla 1: Altura significativa (Hos) y periodo peak (Top) medidos cerca de la paleta y caudal medio de sobrepaso por unidad de ancho de estructura (Ǫ) utilizadas en los ensayos de modelo físico realizados por Neves et al. (2008).

Con el fin de validar las condiciones de oleaje en el modelo IH2VOF, se incorporaron puntos de control siguiendo el esquema de la Figura 4d propuesto por Neves et al. (2008), agregando una sección de control adicional sobre el parapeto en la defensa, para obtener el caudal de sobrepaso. La Figura 5 muestra la comparación entre las condiciones de oleaje en el primer sensor de oleaje obtenidas del modelo físico (Hos y Top en Tabla 1) y las obtenidas con el modelo IH2VOF, lo que constata la correcta incorporación de las condiciones de borde en el modelo numérico.

Figura 4: a) Ubicación de defensa costera del Póvoa de Varzim, en Portugal, b) en prototipo y c) en modelo físico a escala 1:50 y d) esquema de modelo físico y ubicación de puntos de control (wave gauges) para medición de condiciones de oleaje (adaptado de Neves et al. (2008)).

Figura 5: Diagramas de dispersión de altura significativa (Hos) y periodo peak (Top) entre modelo físico de Neves et al. (2008) y modelo numérico IH2VOF

Dominio de integración y mallado numérico

En el dominio numérico (Figura 6a) se consideran mallas uniformes, con tamaños de celda constantes en las direcciones horizontal y vertical. En la Figura 6b se muestra una sección del dominio, en la que se ilustra el nivel de agua (línea azul), los obstáculos impermeables

10
Ensayo Hos, m Top, s Ǫ, m3/s/m Rango Ǫ, m3/s/m 1 0.09 1.69 1.66×10-5 0.90×10-5 a 2.83×10-5 2 0.08 2.24 2.65×10-5 2.65×10-5 a 8.44×10-5 3 0.11 2.28 1.65×10-4 1.15×10-4 a 2.02×10-4 4 0.14 2.21 4.44×10-4 3.43×10-4 a 4.69×10-4

(línea amarilla) y el enrocado de protección (línea roja) que se modela como un medio poroso. El tamaño vertical de celdas (Δy) se encuentra condicionado por la altura de ola a simular, la cual debe resolverse por una cantidad mínima de 10 celdas, i.e. Δy < Hos/10 . Debido que la altura de ola significativa mínima de los ensayos ejecutados es de Hos = 0.09 m (Tabla 1), el tamaño de celda en vertical se ha establecido como Δy = 0.01 m. Adicionalmente, la relación entre los tamaños de celda de los ejes x e y debe cumplir con la relación 1 < Δx/Δy < 5, utilizando Δx = 0.015 para las simulaciones. Adicionalmente, se consideró absorción activa de oleaje en lados izquierdo y derecho, reduciendo los posibles efectos de reflexión inexistentes en la realidad.

Figura 6: Mallado numérico IH2VOF para modelo de Neves et al. (2008): a) dominio numérico, incluyendo nodos numéricos donde se evalúan las propiedades del oleaje y b) acercamiento al mallado numérico en la defensa

Calibración del modelo Coeficientes de fricción del medio poroso

Los enrocados se consideraron como medios porosos en el modelo IH2VOF. Los parámetros a calibrar corresponden al coeficiente de fricción lineal (α) y al coeficiente de fricción no lineal (β), incluidos en las ecuaciones de momentum (3). Para definir el valor óptimo de cada parámetro se define a priori un rango o valores recomendados en la literatura. El coeficiente de fricción lineal se considera entre 200 ≤ α ≤ 230 y el coeficiente de fricción no-lineal en el rango 0.7 ≤ β ≤ 1.1, dependiendo de la sección de la obra a parametrizar (Lara et al., 2006; Losada et al., 2008 y Guanche et al., 2009). En esta evaluación se consideró una porosidad de n = 0.6 (USACE, 2011), un diámetro de D50 = 0.22 m para el filtro y D50 = 0.33 m para la coraza (Neves et al., 2008) y un coeficiente de masa añadida de CA = 0.34 (Lara et al., 2006; Losada et al., 2008). Esto entrega

11 Campos-Caba, R. y Winckler, P. (2023). 33, 6-14
Figura 8: Caudal medio de sobrepaso por unidad de frente de obra (Q) para parametrización de α y β Figura 7: Resultados típicos de los ensayos utilizados en la calibración (Neves et al., 2008). a) Desnivelación instantánea en el punto de control 1 y b) volumen de sobrepaso acumulado por unidad de frente de obra.

Campos-Caba, R. y Winckler, P. (2023). Evaluación de caudal de sobrepaso en una defensa costera mediante un modelo basado en las ecuaciones de Navier-Stokes promediadas por Reynolds en el volumen (VARANS). 33, 6-14

un total de 24 casos para cubrir las combinaciones de α y β. Cabe destacar que este proceso se realizó sin considerar generación de segundo orden en la condición de borde.

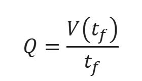
La Figura 7 muestra la desnivelación instantánea (η) en el punto de control 1 (Figura 6a) y el volumen de sobrepaso acumulado por unidad de frente de obra, V(t) , obtenido al integrar el caudal instantáneo en una sección de control sobre el parapeto Qi(t) según la ecuación (4).

A partir de V(t) se obtiene el caudal medio de sobrepaso por unidad de frente de obra

donde tf = 300 s corresponde a la duración del ensayo. El caudal Q obtenido para las combinaciones de α y β se exponen en la Figura 8. Salvo excepciones que especulamos devienen de la aproximación numérica, se observa que el sobrepaso es insensible a los valores de estos parámetros. Por esta razón, en adelante se utilizan valores de α = 200 y β = 0.8 , lo que concuerda con lo reportado en la evidencia científica consultada.

Generación de primer y segundo orden

Para mejorar los excesivos resultados del caudal de sobrepaso obtenidos mediante la generación de oleaje de primer orden (o generación lineal), se incorporó la generación de segundo orden (que incluye las ondas infragravitatorias que acompañan al grupo), usando los valores de los parámetros obtenidos en la sección anterior (α = 200, β = 0.8, n = 0.6, CA = 3.4, D50 = 0.22 m para el filtro y D50 = 0.33 m para la coraza). Con estos valores, se obtuvo una sobreestimación del caudal medio de sobrepaso por unidad de frente de obra Q, por lo que se probaron diferentes valores de porosidad, hasta alcanzar un valor óptimo de n = 0.4, valor que concuerda con lo establecido para roca (USACE, 2011). El análisis de sensibilidad considerando una generación de segundo orden y diferentes valores de porosidad se muestran en la Figura 9.

β = 0.8, n = 0.6, CA = 3.4, D50 = 0.22 m para el filtro y D50 = 0.33 m para la coraza

Figura 10: Comparación de caudal de sobrepaso instantáneo (Q) en el modelo físico Neves et al. (2008) y mejores ajustes del modelo numérico IH2VOF. Los parámetros adoptan los siguientes valores: α = 200, β = 0.8, n = 0.6, CA = 3.4, D50 = 0.22 m para el filtro y D50 = 0.33 m para la coraza.

La Figura 10 muestra los valores del caudal medio de sobrepaso por unidad de frente de obra (Q), considerando las mejores parametrizaciones de medio poroso para generación de oleaje de primer y segundo orden. El análisis evidencia la mejora de los resultados al incluir las ondas infragravitatorias en la condición de borde, puesto que

12
Figura 9: Comparación del caudal medio de sobrepaso por unidad de frente de obra Q en modelo físico Neves et al. (2008) y modelo numérico IH2VOF con generación de segundo orden y diferentes valores de porosidad. Los parámetros adoptan los siguientes valores:α = 200,

los caudales de sobrepaso se acercan a los reportados por Neves et al. (2008). Por otra parte, los resultados sólo con forzamiento de primer orden muestran una sobrestimación considerable del sobrepaso, lo que se vuelve más evidente para condiciones de oleaje de mayor energía.

La Figura 11 corresponde a un modelo conceptual que explica la sobreestimación del sobrepaso cuando se utiliza generación de primer orden. De la teoría lineal del oleaje se sabe que cuando varios trenes de olas interactúan (Figura 11a) se genera un grupo que está en desfase con las olas de mayor altura (Figura 11b). Dentro del grupo, las olas resultantes de mayor altura tienen mayor energía cinética asociada que las de menor altura (la energía cinética se escala con el cuadrado de la velocidad, que a su vez se escala, en primer orden, con la altura de ola). Para conservar la energía mecánica del oleaje, el nivel medio del mar, asociado a la energía potencial, se reduce bajo las olas de mayor altura y aumenta para olas más bajas, generando así una variación del nivel medio del mar que se propaga en forma desfasada con el grupo (línea azul en la Figura 11b). Al omitir este cambio en el nivel medio con la generación de primer orden, se impone una onda infragravitatoria ficticia que está en fase con las olas de mayor altura (línea segmentada verde en la Figura 11c) y cuyo efecto es producir un nivel medio constante, reduciendo así el francobordo de la obra y aumentando el

sobrepaso. Al considerar la generación de segundo orden (Figura 11d), en contraste, se logra reproducir de manera más acertada la física del fenómeno real (Figura 11b). Al objeto de conservar la energía mecánica total, en la generación de segundo orden se impone una disminución (aumento) en el nivel medio del mar cuando las olas pertenecientes al grupo aumentan (disminuyen) su altura.

Conclusiones

Del análisis de sensibilidad del modelo numérico IH2VOF aplicado a los ensayos de Neves et al. (2008) se concluye que los coeficientes de fricción lineal (α) y no-lineal (β) no tienen una influencia considerable en la evaluación del caudal de sobrepaso. La porosidad de la coraza de la defensa costera (n), en contraste, juega un rol más relevante pero no primordial en los resultados. Se presume que esto se debe a que el volumen de la coraza porosa es relativamente pequeño en estos ensayos analizados. El mejor desempeño de los resultados utilizando la generación de segundo orden en la condición de borde demuestra la importancia de las ondas infragravitatorias en el cálculo del sobrepaso. En la física real, este tipo de ondas disminuyen el nivel medio del mar cuando inciden olas de gran altura, proceso que sólo se reproduce incorporando la generación de segundo orden en la modelación numérica. Por ende, recomendamos efectuar un análisis de sensibilidad de los parámetros que caracterizan los medios porosos en las ecuaciones VARANS y utilizar el forzamiento de segundo orden tanto en la modelación numérica como física del sobrepaso de oleaje sobre defensas costeras.

Referencias

Allsop, N.W.H., Bruce, T., De Rouck, J., Kortenhaus, A., Pullen, T., Schüttrumpf, H., Troch, P. and Zanuttigh, B. (2016). EurOtop II Manual on wave overtopping of sea defences and related structures: An overtopping manual largely based on European research, but for worldwide application. Second edition. HR Wallingford, UK

Beyá, I. (2017). Comparación del sobrepaso del oleaje en canales experimentales, utilizando teorías de generación de oleaje de 1er y 2do orden. Caso de análisis: Av. Perú, Viña del Mar, Chile, en canal bidimensional del Instituto Nacional de Hidráulica. XXIII Congreso Chileno de Ingeniería Hidráulica, Universidad Santa María, Valparaíso, Chile, artículo 52

13 Campos-Caba, R. y Winckler, P. (2023). 33, 6-14
Figura 11: Teoría de superposición de ondas e implicancias en nivel medio del mar y sobrepaso al considerar forzamiento de primer y segundo orden.

Campos-Caba, R. y Winckler, P. (2023). Evaluación de caudal de sobrepaso en una defensa costera mediante un modelo basado en las ecuaciones de Navier-Stokes promediadas por Reynolds en el volumen (VARANS). 33, 6-14

Di Lauro, E., Lara, J.L., Maza, M., Losada, I.J., Contestabile, P. and Vicinanza, D. (2019). Stability analysis of a nonconventional breakwater for wave energy conversion. Coastal Engineering 145, 36-52

Fritz, S. (2018). Estudio del sobrepaso en avenida Perú mediante el software CFD - olaFOAM. Memoria del proyecto para optar al Título de Ingeniero Civil Oceánico. Universidad de Valparaíso, Chile

García, N., Lara, J.L. and Losada, I.J. (2004). 2D numerical analysis of near-field flow at low-crested permeable breakwaters. Coastal Engineering 51(10), 991-1020

Guanche, R., Losada, I.J. and Lara, J.L. (2009). Numerical modelling of coastal structures stability. Coastal Engineering 56(5-6), 543-558

Lara, J.L. (2005). A numerical wave flume to study the functionality and stability of coastal structures. Journal of the International Navigation Association (PIANC) 121: 5-29

Lara, J.L., Garcia, N. and Losada, I.J. (2006). RANS modelling applied to random wave interaction with submerged permeable structures. Coastal Engineering 53(5-6), 395-417

Losada I.J., Lara J.L., Christensen E.D. and Garcia, N. (2005). Modelling of velocity and turbulence fields around and within low-crested rubble-mound breakwaters. Coastal Engineering 52(10-11), 887-913

Losada, I.J., Lara, J.L., Guanche, R. and Gonzalez-Ondina, J.M. (2008). Numerical analysis of wave overtopping of rubble mound breakwaters. Coastal Engineering 55(1), 47-62

Neves, M.G., Reis, M.T., Losada, I.J., Asce, M., Keming, H. (2008). Wave overtopping of Póvoa de Varzim breakwater: physical and numerical simulations. Journal of Waterways, Port, Coastal and Ocean Engineering 134(4), 226-236

Pedersen, J. (1996). Wave forces and overtopping on crown walls of rubble mound breakwaters: an experimental study. Aalborg Universitetsforlag. Series paper No. 12, Denmark

USACE (2011). Coastal engineering manual, part VI, chapter 5: Fundamentals of design. US Army Corps of Engineers. USA

Winckler, P., Contreras-López, M., Campos-Caba, R., Beya, J. y Molina, M. (2017). El temporal del 8 de agosto de 2015 en las regiones de Valparaíso y Coquimbo, Chile Central. Latin American Journal of Aquatic Research 45(4): 622-648

Winckler, P., Esparza, C., Agredano, R. y Ibaceta, R. (2019). Nuevas metodologías para el estudio de marejadas en Chile. En Martínez, C., Hidalgo, R., Henríquez, C., Arenas, F., Rangel, N. y Contreras-López, M. (eds.). La Zona Costera en Chile: Adaptación y Planificación para la Resiliencia. Serie GEOlibro Nº 31, Instituto de Geografía, Pontificia Universidad Católica de Chile, Santiago, Chile

14

Bahamóndez, S. y Aguirre, C. (2023). Sistema de simulación numérica para la costa de Chile central mediante el acoplamiento de modelos numéricos. 33, 15-22

Sistema de simulación numérica para la costa de Chile central mediante el acoplamiento de modelos numéricos

Numerical simulation system for the coast of central Chile by coupling numerical models

Fecha de envío: 30 de octubre 2022 Fecha de aceptación: 13 de marzo 2023

Sergio Bahamóndez1,2 y Catalina Aguirre1,2,3

1 Escuela de Ingeniería Civil Oceánica, Universidad de Valparaíso, Valparaíso, Chile, sergio.bahamondez@alumnos.uv.cl, catalina.aguirre@uv.cl

2 Centro de la Ciencia del Clima y la Resiliencia (CR)2, Santiago, Chile

3 Núcleo Milenio Comprendiendo el Sistema de Surgencia Costera en el Pasado, Ambientes Locales y Efectos Duraderos (UPWELL), Coquimbo, Chile.

Con la modelación numérica es posible anticipar condiciones de oleaje desfavorables para la actividad portuaria. Mediante modelos numéricos acoplados es factible incluir una mayor cantidad de variables, parámetros, procesos e interacciones con el objetivo de mejorar la representación y precisión de lo que ocurre en la realidad. En este trabajo se presenta un sistema de simulación numérica para la costa de Chile central mediante el acoplamiento del modelo de oleaje Wavewatch III (WW3) con el modelo hidrodinámico Coastal and Regional Ocean Community (CROCO) y el modelo atmosférico Weather Research and Forecasting (WRF). El sistema de modelación considera un acoplamiento unidireccional desde las variables de WRF que utilizan como entrada CROCO y WW3, además de un acoplamiento bidireccional entre los modelos CROCO y WW3. Este último se desarrolla a través de la implementación del software acoplador Ocean Atmosphere Sea Ice Soil (OASIS-MCT3) y el uso de las herramientas de acoplamiento facilitadas por CROCO. Los resultados son contrastados con observaciones instrumentales de oleaje realizadas por el Centro Nacional de Datos Hidrográficos y Oceanográficos de Chile (CENDHOC) a través de estadígrafos como el sesgo, error cuadrático medio y correlación. Las simulaciones acopladas hidrodinámicamente presentan un mejor grado de ajuste a las mediciones en comparación con las sin acoplamiento. En este sentido, los estadígrafos revelan un menor sesgo para las alturas significativas y direcciones medias acopladas. Asimismo, se obtienen mayores valores en los coeficientes de correlación de la altura de oleaje con acoplamiento hidrodinámico.

Palabras clave: modelación numérica, acoplamiento oleaje-corrientes, acoplamiento bidireccional

Using numerical modelling it is possible to anticipate unfavorable wave conditions for port activity. In particular, using coupled numerical models it is possible to include a larger number of variables, parameters, processes and interactions with focus on improving the representation and precision of processes that occur in the environment. This paper presents a numerical simulation system applied to the coast of central Chile using a coupled tool, which includes the wave model Wavewatch III (WW3), the hydrodynamic model Coastal and Regional Ocean Community (CROCO) and the atmospheric model Weather Research and Forecasting (WRF). The coupled modeling system accounts a oneway coupling from the WRF variables that CROCO and WW3 use as input, and a two-way coupling between the CROCO and WW3 models. The latter is developed through the implementation of the coupler software Ocean Atmosphere Sea Ice Soil (OASIS-MCT3) and the use of coupling tools provided by CROCO. Model results are contrasted with wave instrumental observations made by the National Hydrographic and Oceanographic Data Center of Chile (CENDHOC) using statistics error parameters such as bias, mean square error, and correlation. The hydrodynamic coupled simulations present a better adjustment to the measurements compared to those without coupling revealing a lower bias for significant wave height and mean directions. Likewise, higher values of the correlation coefficients are found in significant wave height with the hydrodynamic coupled tool.

Keywords: numerical modelling, wave-current coupling, two-way coupling

15

Introducción

La modelación numérica constituye una herramienta fundamental para predecir el comportamiento del oleaje y con esto anticiparse a magnitudes o eventos que sean desfavorables para la actividad portuaria. En el informe del Ministerio del Medio Ambiente (2019) se evidencia mediante simulaciones de oleaje el aumento de condiciones que tienen como consecuencia cierres de puerto. En la actualidad, existen casos de simulaciones de oleaje, corrientes y vientos del territorio chileno mediante modelos numéricos (Aguirre et al., 2014; Beyá et al., 2016; Falvey et al., 2018). No obstante, estos casos no consideran la influencia de las corrientes sobre el oleaje o viceversa y tampoco la respuesta de ambos fenómenos sobre la atmósfera superficial.

Distintas instituciones recurren a modelos numéricos acoplados para incorporar mayor cantidad de procesos significativos en la predicción numérica de fenómenos naturales en el tiempo (e.g. NOAA1, ECMWF2, IRD3, WCRP4). Sin embargo, corresponden a modelos globales de baja resolución que se enfocan en el comportamiento general del planeta y no en áreas regionales en donde se necesita mayor resolución espacial para representar sus procesos. Oerder et al. (2016) y Putrasahan et al. (2013) corresponden a ejemplos entre la escasa literatura de modelos numéricos acoplados bidireccionalmente para las costas chilenas. Estos casos se enfocan en simular el sistema océano-atmósfera sin considerar el oleaje.

A propósito de las limitaciones de la investigación, la dinámica de cada modelo está dominada por las ecuaciones de gobierno para pronosticar aproximadamente el comportamiento de distintas variables físicas (e.g. energía trasportada por las olas, velocidad de la partícula de fluido, temperatura del medio, entre otras). En realidad, existen fenómenos físicos que escapan de las ecuaciones de gobierno por su complejidad o escala de acción, los cuales tienen incidencia en los procesos representados y son incluidos en la simulación mediante parametrizaciones

1 National Oceanic and Atmospheric Administration, https:// www.noaa.gov/

2 European Centre for Medium-Range Weather Forecasts, https://www.ecmwf.int/

3 Institut de Recherche pour le Développement, https://es.ird.fr/

4 World Climate Research Programme, https://www.wcrp-climate.org/

físicas (Hourdin et al., 2017). La gran cantidad de coeficientes y parámetros empleados por cada modelo en estas formulaciones aumentan considerablemente los grados de libertad para obtener resultados. Por lo tanto, la finalidad de la investigación recae en el trabajo organizado entre los modelos numéricos con un set en específico de parametrizaciones físicas y se orienta la evaluación de los resultados al comportamiento del oleaje con y sin acoplamiento hidrodinámico.

En este trabajo se presenta un sistema de simulación numérica para la costa de Chile central mediante el acoplamiento del modelo de oleaje Wavewatch III (WW3) con el modelo hidrodinámico Coastal and Regional Ocean Community (CROCO) y el modelo atmosférico Weather and Forecasting (WRF). El modelo WRF fuerza a WW3 y CROCO sin recibir retroalimentación, mientras que estos últimos trabajan paralelamente intercambiando información mediante el software acoplador Ocean Atmosphere Sea Ice Soil (OASIS-MCT3). De esta manera, la herramienta tiene la capacidad de calcular los flujos de variables atmosféricas, la generación y propagación del oleaje y la hidrodinámica de las corrientes, permitiendo el traspaso de información entre los modelos implicados.

Metodología Modelo de oleaje

El WW3 versión 6.07 es un modelo espectral de oleaje de tercera generación desarrollado por National Centers for Environmental Prediction NCEP (WW3DG, 2019). La representación del oleaje se basa en la conservación de la energía espectral para simular procesos de generación, propagación y disipación de la energía. El dominio computacional se construye sobre los datos batimétricos globales ETOPO2v2 de 2“ de resolución (NOAA, 2006). El oleaje que arriba a las costas de Chile central se reconstruye mediante dos dominios anidados para considerar la energía proveniente desde el Océano Pacífico e incluirla en los bordes de la simulación regional. La Simulación del Océano Pacífico (SOP) o dominio padre abarca desde 70°N hasta 70°S en latitud y desde 100°E hasta 60°W en longitud con una resolución de 0.5°, mientras que el dominio hijo de 1/10° (~10 km) de resolución considera geográficamente desde 30°S hasta 36°S en latitud y desde 77°W hasta 71°W en longitud (Figura 1).

16 Bahamóndez, S. y Aguirre, C. (2023). 33, 15-22

Bahamóndez, S. y Aguirre, C. (2023). Sistema de simulación numérica para la costa de Chile central mediante el acoplamiento de modelos numéricos. 33, 15-22

El forzamiento atmosférico del modelo de oleaje consiste principalmente en información de las componentes zonal y meridional de la velocidad del viento a 10 m de altura. Por una parte, la SOP utiliza campos forzantes de la velocidad del viento y hielo marino del reanálisis ERA5 (C3S, 2017; Hersbach et al., 2018). Por otra parte, la simulación regional es forzada con resultados de la velocidad del viento simulados por el modelo WRF.

Modelo atmosférico

Figura 1: Batimetría y dominios utilizados en el sistema de simulación numérica

La generación y propagación del oleaje se resuelve sobre espectros de 24 frecuencias, desde 0.04118 Hz con un factor de incremento de 1.1 Hz y 25 direcciones a partir de los 0° hasta los 345.6°. Los pasos de tiempo globales utilizados en el desarrollo de las ecuaciones de gobierno son de 3600 s y 900 s para el dominio padre e hijo respectivamente. En el caso de los pasos de tiempo de propagación espacial, infraespectral y de integración de los términos fuentes se determinan a partir de recomendaciones (WW3DG, 2019; Splinder y Tolman, 2008). Las principales parametrizaciones físicas empleadas se exponen en la Tabla 1, las cuales están incorporadas en el switch Ifreme1 disponible en la versión de WW3 v6.07.

Tabla 1: Parametrizaciones físicas para la simulación de oleaje (WW3DG, 2019)

Parametrización Referencia Opción física

Crecimiento y disipación de energía debido al viento

Calavari y Malonatte-Rizzoli con filtro. Paquete de términos fuentes de Ardhuin. Esquema de propagación de segundo orden (UNO)

El WRF versión 4.1.2 es un modelo regional de circulación atmosférica que utiliza el solucionador dinámico de Investigación Avanzada WRF (ARW) y fue desarrollado principalmente por el Centro Nacional de Investigación Atmosférica NCAR (Skamarock et al., 2021). La dinámica atmosférica se basa en la integración de las ecuaciones de Euler no-hidrostáticas totalmente compresibles con opciones hidrostáticas disponibles. El modelo representa el estado de la atmósfera sobre una grilla tridimensional discretizada con Arakawa C-grid (Arakawa y Lamb, 1977) y coordenadas verticales híbridas sigma-presión (Park et al., 2013).

LN1 ST4 UQ

Disipación inducida por el fondo SHOWEX BT4

Rotura inducida por el fondo Battjes-Janssen DB1

Dispersión inducida por el fondo No se utiliza dispersión por fondo BS0

Interacciones no lineales entre cuadrupletas Aproximación por interacciones discretas (DIA) NL1

Interacciones no lineales entre triadas No se utilizan interacciones de triada TR0

El dominio se construye a partir de los datos geográficos estáticos provenientes de la página de usuarios WRF (NCAR, 2018). La grilla de cálculo cubre desde 27°S hasta 39°S en latitud y de 80°W a 68°W en longitud con una resolución horizontal de 8 km (~1/12 °). En la vertical, el dominio se discretiza en 38 niveles. Las ecuaciones de gobierno se resuelven con un paso de tiempo de 40 s. El set de parametrizaciones físicas utilizadas se exhibe en la Tabla 2.

Tabla 2: Parametrizaciones físicas de la simulación atmosférica (Skamarock et al., 2021)

Parametrización Referencia Opción física

Microfísica Esquema WSM

3-class mp_physics = 3

Radiación atmosférica

Modelo de transferencia radiativa rápida. Esquema

Dudhia

ra_lw_physics = 1 ra_sw_ physics = 1

Cúmulos Esquema Kain-Fritsch cu_physics = 1

Capa superficial Esquema de similitud de Monin-Obukhov sf_sfclay_physics = 1

Superficie terrestre Modelo de superficie terrestre de Noah sf_surface_physics = 2

Capa límite planetaria Esquema YSU bl_pbl_physics = 1

17

Las condiciones iniciales y de borde para la representación del estado de la atmósfera se obtienen a partir del reanálisis ERA5 (C3S, 2017; Hersbach et al., 2018). Es por ello que se descarga información para 38 niveles de presión y un nivel superficial, donde se incluye datos de geopotencial, humedad relativa, temperatura, velocidad del viento, mascara tierra-mar, presión, capa de hielo marino, entre otros.

Modelo hidrodinámico

CROCO v1.0 es un modelo de circulación oceánica y superficie libre desarrollado por un consorcio francés. Entre sus socios destacan el Instituto de Investigación y Desarrollo de Francia (IRD), Instituto Nacional de Ciencias Oceánicas (Ifremer), el Instituto francés de investigación en ciencias y tecnologías digitales (INRIA), entre otros (Jullien et al., 2022). El modelo se basa en la solución del sistema de ecuaciones primitivas con seguimiento del terreno en superficie libre. El océano se discretiza mediante Arakawa C-grid (Arakawa y Lamb, 1977) y el sistema de coordenadas verticales Sigma σ (Haney, 1991).

El dominio computacional se confecciona a través de la batimetría ETOPO2V2 (NOAA, 2006) desde 30°S hasta 36°S en latitud y de 77°W a 71°W en longitud (Figura 1). La grilla horizontal tiene una resolución de 1/12 ° (~8 km) y en la vertical la discretización se realiza sobre 32 niveles. El paso de tiempo empleado es de 450 s. En la Tabla 3 se muestran las parametrizaciones físicas utilizadas para incluir la turbulencia en la circulación de las corrientes.

Tabla 3: Parametrizaciones físicas de la simulación hidrodinámica (Jullien et al., 2022)

Parametrización Referencia Opción física

Parametrización Perfil K (KPP)

Mezcla de KPP de la capa límite de la superficie

Mezcla de KPP de la capa límite inferior

Las condiciones iniciales y de borde son generadas mediante el reanálisis oceánico SODA versión 1.4.2 (Carton y Giese, 2008). Esta información provee datos de temperatura, salinidad, nivel del mar y velocidad de las corrientes. La superficie atmosférica es forzada con los resultados WRF, donde se necesita la radiación térmica, radiación solar, temperatura superficial, precipitación, humedad específica y velocidad del viento superficial.

Sistema de acoplamiento

El sistema de acoplamiento está basado en la simulación de los campos atmosféricos por parte de WRF, los elementos del oleaje se representan mediante WW3 y las variables oceanográficas a partir de CROCO. En la Figura 2 se exhibe el traspaso de campos entre los modelos numéricos incluyendo el forzamiento atmosférico a partir del reanálisis ERA5 y el anidamiento del modelo de oleaje. De esta manera, el sistema de simulación considera un acoplamiento unidireccional desde WRF hacia WW3 y CROCO, además de uno bidireccional entre el modelo de oleaje y el hidrodinámico.

Mezcla vertical

Mezcla interior inestabilidad cortante

Mezcla interior por convección

Transporte no local para SKPP

LMD_MIXING

LMD_SKPP

LMD_BKPP

LMD_RIMIX

LMD_CONVEC

LMD_NONLOCAL

Figura 2: Traspaso de variables del Sistema Océano-OleajeAtmósfera

Difusión horizontal

Advección de trazador horizontal Mezcla horizontal Laplaciana de momentum

TS_HADV_UP3

18 Bahamóndez, S. y Aguirre, C. (2023). 33, 15-22
Viscosidad turbulenta de Smagorinsky UV_VIS2 UV_ VIS_SMAGO
El acoplamiento en una dirección se realiza a través de los resultados del modelo atmosférico, es decir, que estos campos no reciben retroalimentación del estado del océano simulado por los otros modelos. Dichos datos atmosféricos son interpolados a la resolución espacial de WW3 y CROCO por parte de subprogramas de preprocesamiento contenidos en cada uno de ellos. Por consiguiente, previo a la simulación acoplada en dos direcciones se debe contar con los campos prescritos en formato compatible con WW3 y CROCO.

Bahamóndez, S. y Aguirre, C. (2023). Sistema de simulación numérica para la costa de Chile central mediante el acoplamiento de modelos numéricos. 33, 15-22

El OASIS3-MCT versión 4.0 es un software capaz de organizar el intercambio de información entre códigos de distintos modelos numéricos (Valcke et al., 2018). Fue desarrollado por el Centro Europeo de Investigación y Formación Avanzada en Informática Científica (CERFACS) y el Centro Nacional de Investigaciones Científicas (CNRS). Este software utiliza internamente el Kit de Herramientas de Acoplamiento de Modelos (MCT) desarrollado por el Laboratorio Nacional Argonne de los Estados Unidos (ANL) (Jacob et al., 2005; Larson et al., 2005).

Al respecto del acoplamiento bidireccional, OASIS3MCT tiene la capacidad de identificar el tipo de variables a interpolar sobre las grillas de cálculo y los pasos de tiempo para recibir y entregar la información correspondiente. El paso de tiempo para el acoplamiento o intercambio de variables se realiza cada 900 s. La ejecución de CROCO y WW3 se efectúa de manera simultánea, la integración de las ecuaciones de gobierno se realiza en cada paso de tiempo de los modelos y se entregan sus valores a OASIS3-MCT. Una vez alcanzado el paso de tiempo del acoplamiento, el modelo hidrodinámico recibe las variables de oleaje y viceversa.

Es preciso señalar, que la implementación de los modelos numéricos y el software acoplador fue realizada en el Laboratorio Nacional de Computación de Alto Rendimiento (NLHPC), ubicado en la Facultad de Ciencias Físicas y Matemáticas de la Universidad de Chile. El clúster utilizado lleva el nombre de Leftraru, el cual concede acceso a almacenamiento y a alta capacidad de cómputo para el uso de los modelos. Además, la instalación y compilación de los programas fue realizada por parte del equipo de soporte técnico del NLHPC.

Datos de observación

Los resultados son contrastados con observaciones instrumentales de oleaje realizadas por el CENDHOC. Las mediciones fueron efectuadas mediante boyas Triaxys en torno a los -32.93°S en latitud y -71.68°W en longitud, por periodos de tiempo intermitentes desde junio del 2000 hasta agosto del 2004 (Figura 3). La información de las boyas es comparada a través de estadígrafos como el sesgo (BIAS), raíz del error cuadrático medio (RMSD) y coeficiente de correlación (R) para evaluar el desempeño

de las simulaciones de oleaje con y sin acoplamiento hidrodinámico.

Figura 3: Información de registros instrumentales de oleaje (Centro Nacional de Datos Hidrográficos y Oceanográficos de Chile CENDHOC)

Resultados

En la Figura 4 se muestran diagramas de Taylor para comparar la altura significativa, dirección media y periodo peak de las simulaciones con acoplamiento corrientesoleaje (ACO) y desacopladas (DCO) versus mediciones de boyas instrumentales. Dichos diagramas agrupan el coeficiente de correlación, la raíz del error medio cuadrático y el sesgo en un solo gráfico. El cálculo de los estadígrafos fue realizado a partir de la agrupación de toda la información disponible por las boyas para considerar el comportamiento general del modelo. De esta forma, se cuantifica la consistencia de los resultados para representar las características del oleaje medido en Chile central, frente a la costa de Valparaíso.

En el caso de la altura, la simulación acoplada presenta un mejor coeficiente de correlación, un menor sesgo y raíz del

19
VA1 01-06-2000 30-09-2000 Hs, Dm y Tp VA2 01-03-2001 31-01-2001 Hs, Dm y Tp VA3 01-02-2002 31-03-2002 Hs, Dm y Tp VA4 01-08-2002 31-12-2002 Hs, Dm y Tp VA5 01-02-2003 07-08-2004 Hs, Dm y Tp
Fecha inicio Fecha fin Parámetro

error medio cuadrático en comparación a la no acoplada. Esto quiere decir que la simulación acoplada presenta una mejor representación de la variabilidad de la altura y sus valores son más cercanos a las observaciones. Por el lado de la dirección, la simulación acoplada presenta un menor R y un mayor RMSD, pero presenta un menor BIAS. En este sentido, la simulación acoplada presenta una menor

sobrestimación de los valores de dirección con respecto a los desacoplados. Cabe destacar, que el parámetro con menor ajuste corresponde a los periodos peak con correlaciones de 0.29 (ACO) y 0.30 (DCO). Aunque tengan RMSD cercanos a 3 s y sesgos inferiores a 1 s, se descartan del análisis por su inadecuada representación basada en los bajos valores de R.

Al respecto, las mejoras en los resultados debido a la inclusión de variables oceanográficas en la representación del oleaje pueden tener implicancias en los pronósticos de su arribo hacia zonas costeras. Un mejor ajuste de la variabilidad de altura de la ola implica consecuencias positivas para determinar las ventanas de tiempo que presenten condiciones desfavorables sobre las actividades portuarias o usos del borde costero. La mayor sobrestimación de altura por parte del modelo desacoplado se podría traducir en predicciones de cierres de puertos innecesarios o alertas de sobrepaso erradas en paseos marítimos. Además, la reducción del sesgo de la dirección media acoplada con respecto a la desacoplada conlleva un aumento de la fiabilidad para determinar la exposición de una determinada zona según su orientación geográfica. Por lo tanto, el uso de modelos acoplados entre oleaje y corrientes podría ser beneficioso para la planificación de operaciones portuarias y determinación de la exposición de sistemas humanos y naturales.

El uso de modelos numéricos requiere de ordenadores de alta capacidad de cómputo ya que las simulaciones del ambiente marítimo están descritas en su mayoría por ecuaciones diferenciales parciales que traducen leyes físicas. En este sentido, al recurrir a modelos acoplados es indispensable, por una parte, disponer de almacenamiento suficiente para contar con los softwares instalados y compilados, además de las entradas, salidas y archivos de programa. Por otra parte, es necesario que los ordenadores tengan alta capacidad de cálculo y múltiples procesadores para soportar la ejecución simultánea de los modelos y paralelizar los trabajos con el fin de optimizar las tareas y reducir los tiempos de cómputo. De esta manera, el costo computacional adicional va a depender de la cantidad de modelos numéricos utilizados y de sus características, resultando así en un aspecto clave para la elección del tipo de modelo a emplear.

20 Bahamóndez, S. y Aguirre, C. (2023). 33, 15-22
a) Altura significativa, m b) Dirección media ° c) Dirección media ° Figura 4: Diagramas de Taylor para los parámetros del oleaje promedio

Bahamóndez, S. y Aguirre, C. (2023). Sistema de simulación numérica para la costa de Chile central mediante el acoplamiento de modelos numéricos. 33, 15-22

Conclusión

El propósito de la presente investigación fue generar un sistema de simulación numérica para la costa de Chile central mediante modelos numéricos acoplados. Para esto, se organizó la ejecución de los modelos WRF, CROCO y WW3, además del uso de OASIS3-MCT para realizar el intercambio simultáneo de información entre estos dos últimos. Los resultados obtenidos por parte de las simulaciones de oleaje permitieron comprobar que las alturas significativas con acoplamiento hidrodinámico presentaron un mejor ajuste a las observaciones instrumentales frente a la costa de Valparaíso. Dichas mejoras podrían implicar una mayor precisión para determinar el arribo del oleaje en zonas costeras, beneficiando así a la planificación de operaciones portuarias, uso del borde costero, determinación de la exposición de sistemas humanos y naturales, entre otras. En cuanto a las limitaciones del presente trabajo, los altos grados de libertad con respecto a las parametrizaciones físicas de cada modelo conlleva una gran cantidad de combinaciones. Sin embargo, la calibración y validación de éstas implica la posibilidad de mejorar los ajustes de las simulaciones de oleaje. Por lo tanto, se recomienda validar las simulaciones con más observaciones tanto de oleaje como de la hidrodinámica del océano para disponer de más estadística y mejorar la evaluación del desempeño del sistema de simulación. Con esto, fomentar el uso de modelos numéricos acoplados y mejorar la literatura con parámetros y formulaciones que se representen de manera adecuada la dinámica costera. Entre las proyecciones, uno de los pasos siguientes es incluir en el acoplamiento bidireccional al modelo WRF para estudiar cómo afectan los cambios de la rugosidad de la superficie marina o sus cambios de temperatura sobre la parte baja de la atmósfera. En definitiva, se podría contribuir a la actividad portuaria del país con el estudio y representación de las alturas de ola, corrientes y vientos que se desarrollan en la zona.

Agradecimientos

Los autores agradecen a FONDECYT Iniciación

N°11171163, “Extreme wave climate of the Southeast Pacific: interannual variability and projections under climate change”, Centro de Ciencia del Clima y la Resiliencia (CR2) FONDAP 15110009 y FONDEF

ID21I10404, “Desarrollo de una escala de impacto de marejadas para la comunicación efectiva y la reducción del riesgo de desastre”. Esta investigación fue parcialmente apoyada por la infraestructura de supercómputo del NLHPC (ECM-02).

Referencias

Aguirre, C., Garreaud, R.D. and Rutllant, J.A. (2014). Surface ocean response to synoptic-scale variability in wind stress and heat fluxes off south-central Chile. Dynamics of Atmospheres and Oceans 65, 64-85

Arakawa, A. and Lamb, V.R. (1977). Computational design of the basic dynamical processes of the UCLA general circulation model. Methods in Computational Physics. General Circulation Models of the Atmosphere. Academic Press, New York, USA, vol. 17, 173-265

Beyá, J., Álvarez, M., Gallardo, A., Hidalgo, H., Aguirre, C., Valdivia, J., Parra, C., Méndez, L, Contreras, F., Winckler, P. y Molina, M. (2016). Atlas de oleaje de Chile. Universidad de Valparaíso, Valparaíso, Chile

C3S (2017). ERA5: Fifth generation of ECMWF atmospheric reanalyses of the global climate. Copernicus Climate Change Service Climate Data Store (CDS), European Union

Carton, J.A. and Giese, B.S. (2008). A reanalysis of ocean climate using simple ocean data assimilation (SODA). Monthly Weather Review 136(8), 2999-3017

Falvey, M., Ibarra, M., Pérez, R. y Hernández, V. (2018). Explorador eólico, descripción y guía de uso. Universidad de Chile, Santiago, Chile

Haney, R.L. (1991). On the pressure force over steep topography in sigma coordinate ocean models. Journal of Physical Oceanography 21(4), 610-619

Hersbach, H., Bell, B., Berrisford, P., Biavati, G., Horányi, A., Muñoz, J., Nicolas, J., Peubey, C., Radu, R., Rozum, I., Schepers, D., Simmons, A., Soci, C., Dee, D. and Thépaut, J. (2018). ERA5 hourly data on single levels from 1979 to present. Copernicus Climate Change Service (C3S) Climate Data Store (CDS)

Hourdin, F., Mauritsen, T., Gettelman, A., Golaz, J.C., Balaji, V., Duan, Q., Folini, D., Ji., D., Klocke, D., Qian, Y., Rauser, F., Rio, C., Tomassini, L., Watanabe, M. and Williamson, D. (2017). The art and science of climate model tuning. Bulletin of the American

21

Meteorological Society 98(3), 589–602

Jacob, R., Larson, J. and Ong, E. (2005). M×N communication and parallel interpolation in Community Climate System Model Version 3 using the model coupling toolkit. International Journal of High Performance Computing Applications 19(3), 293-307

Jullien, S., Caillaud, M., Benshila, R., Bordois, L., Cambon, G., Dufois, F., Dumas, F., Gula, J., Le Corre, M., Le Gentil, S., Lemarié, F., Marchesiello, P., Morvan, G. and Theetten, S. (2022). Croco Technical and numerical documentation (1.2) Zenodo. France

Larson, J., Jacob, R. and Ong, E. (2005). The model coupling toolkit: A new Fortran90 toolkit for building multiphysics parallel coupled models. The International Journal of High Performance Computing Applications 19(3), 277-292

Ministerio del Medio Ambiente (2019). Volumen 2: Determinación del riesgo de los impactos del Cambio Climático en las costas de Chile. Preparado por Winckler, P.; ContrerasLópez, M.; Vicuña, S.; Larraguibel, C.; Mora, J.; Esparza, C.; Salcedo, J.; Gelcich, S.; Fariña, J. M.; Martínez, C.; Agredano, R.; Melo, O.; Bambach, N.; Morales, D., Marinkovic, C.; Pica, A., Santiago, Chile.

NCAR (2018). WRF users page: WRF preprocessing system (WPS) geographical input data mandatory fields downloads. National Center for Atmospheric Research Mesoscale & Microscale Meteorology Laboratory, USA, https://www2.mmm. ucar.edu/wrf/users/download/get_sources_wps_geog.html

NOAA (2006). 2-minute gridded global relief data (ETOPO2) v2. National Geophysical Data Center, NOAA National Centers for Environmental Information, USA

Oerder, V., Colas, F., Echevin, V., Masson, S., Hourdin, C., Jullien, S., Madec, G. and Lemarié, F. (2016). Mesoscale SST–wind stress coupling in the Peru–Chile current system: which mechanisms drive its seasonal variability?. Climate Dynamics 47, 2309–2330

Park, S.H., Skamarock, W.C., Klemp, J.B., Fowler, L.D. and Duda, M.G. (2013). Evaluation of global atmospheric solvers using extensions of the Jablonowski and Williamson baroclinic wave test case. Monthly Weather Review 141(9), 3116-3129

Putrasaham, D.A., Miller, A.J. and Seo, H. (2013). Regional coupled ocean–atmosphere downscaling in the Southeast Pacific: impacts on upwelling, mesoscale air–sea fluxes, and ocean eddies. Ocean Dynamics 63, 463-488

Skamarock, W., Klemp, J., Dudhia, J., Gill, D., Liu, Z., Berner, J., Wang, W., Powers, J., Duda, M., Barker, D. and Huang, X. (2021). A description of the advanced research WRF Version 4 (Vols. NCAR Tech. Note NCAR/TN-556+STR). National Center for Atmospheric Research, Boulder, Colorado, USA

Splinder, D.M. and Tolman, H. (2008). Example of WAVEWATCH III for the NE Pacific. Tech. Note 259, NOAA/ NWS/NCEP Camp Spring MD, USA

Valcke, S., Craig, A. and Coquart, L. (2018). OASIS3-MCT user guide, OASIS3-MCT4.0, CECI, Université de Toulouse, CNRS. CERFACS-TR-CMGC-18-77, Toulouse, France

WW3DG (2019). User manual and system documentation of WAVEWATCH III Development Group, version 6.07. Technical Note 333. NOAA/NWS/NCEP/MMAB, College Park, MD, USA

22 Bahamóndez, S. y Aguirre, C. (2023). 33, 15-22

Galaz, F., González, A. y Quezada, M. (2023). Evaluación de sitio para la determinación de zona de vertimiento de sedimentos dragados mediante la aplicación del método Montecarlo. 33, 23-33

Evaluación de sitio para la determinación de zona de vertimiento de sedimentos dragados mediante la aplicación del método Montecarlo

Site evaluation for the determination of a dredged sediment disposal area through the application of the Montecarlo method

Fecha de envío: 3 de noviembre 2022 Fecha de aceptación: 31 de marzo 2023

Felipe Galaz, Ariel González y Matías Quezada

Ecotecnos, Limache 3405, of. 31, edificio Reitz, Viña del Mar, Chile, fgalaz@ecotecnos.cl, agonzalez@ecotecnos.cl, mquezada@ecotecnos.cl

Entre algunas de las principales preocupaciones de los puertos se encuentra la generación y mantenimiento del calado de los sitios de atraque, los cuales requieren operaciones de dragado. El vertimiento del sedimento retirado no resulta ser una labor trivial, en relación a los efectos que pueda causar a la biota marina. Por esta razón, la localización del sitio de vertimiento requiere evitar los sectores más activos biológicamente. La elección del sitio óptimo en esta situación se convirtió en un análisis multivariable que se solucionó mediante el método Montecarlo, con el fin de obtener una respuesta más completa. En este estudio se ha propuesto un procedimiento de dragado que considera el retiro del sedimento mediante una excavadora y el traslado hacia el punto de vertimiento utilizando uno o dos gánguiles, dependiendo del caso analizado. La resolución de este problema se llevó a cabo en tres puertos localizados en la región de Valparaíso, Puerto de Ventanas, Puerto de Valparaíso y Puerto de San Antonio, que permitieron la evaluación de resultados bajo distintas características espaciales. Frente a los resultados encontrados se determinó que la aplicación de un gánguil adicional permite disminuir el riesgo en el procedimiento en una magnitud relevante. Por otro lado, a causa de la variabilidad espacial de la actividad biológica, fue más simple la selección del punto de vertimiento en ciertas locaciones, reduciendo la incertidumbre del procedimiento, como se estimó para el puerto de San Antonio.

Palabras clave: método de Montecarlo, probabilidad tareas de dragado, vertimiento en el mar, disposición de sedimentos

Introducción

Dentro de las principales preocupaciones de los puertos, en diferentes partes del mundo, se encuentra la mantención de las profundidades de los terminales marítimos, así también,

Among some of the main concerns of the ports is the generation and maintenance of the depth of the docking sites, which require dredging operations. The dumping of the removed sediment is not a trivial task, in relation to the effects it may cause to the marine biota. For this reason, locating the dumping site requires avoiding the most biologically active spots. The choice of the optimal site in this situation was converted into a multivariable analysis that was solved using the Montecarlo method, to obtain a more complete answer. In this study, a dredging procedure has been proposed that considers the removal of the sediment by means of an excavator and the offshore dumping using one or two hoppers, depending on the case analyzed. This problem was solved in three ports in the Region of Valparaíso in Chile, namely, port of Ventanas, Valparaíso and San Antonio, which allowed the evaluation of the results for diverse spatial features. The results of this study determined that the application of an additional hopper allows to reduce the risk in the procedure in a relevant magnitude. On the other hand, due to the spatial variability of the biological activity, the selection of the dumping point was simpler, reducing the uncertainty of the procedure, as estimated for the port of San Antonio.

Keywords: Montecarlo’s method, probability dredge’s jobs, shedding in sea, sediment placement

la modificación de los sitios de atraque, en relación a la profundización o expansión de ellos, con el fin de poder atender a las naves que actualmente recorren el orbe distribuyendo cargas.

23

Los proyectos de profundización implican el movimiento de sedimentos marinos de un determinado lugar (zona portuaria) hacia un sitio de descarte, este material debe ser estudiado bajo aspectos físicos, químicos y biológicos, a modo de determinar sus principales características y si estas son o no un riesgo ambiental en alguna escala si son removidos y/o vertidos. Una vez que los sedimentos son retirados desde su ubicación actual, necesitan ser descartados ya sea a una zona en tierra o en algún sector de vertimiento en el mar, el cual se debe definir y analizar bajo diversas aristas físicas, químicas y biológicas, las que complementadas entre ellas deben permitir que el proyecto sea ambientalmente admisible.

La decisión del emplazamiento de la zona de vertimiento se encuentra ligado a un universo de variables, las cuales se puede clasificar dentro de criterios económicos, disponibilidad de espacios, criterios ambientales, entre algunos. La consideración de múltiples variables, usualmente independiente entre ellas, complejiza la búsqueda de una solución óptima. Por dicha razón, se decidió llevar a cabo el actual estudio, cuyo propósito fue la investigación de la combinación ideal de las variables mediante la aplicación del método de Montecarlo, que aborda el problema desde una considerable cantidad de escenarios distintos y aleatorios, asociados a los aspectos seleccionados por su mayor relevancia.

Para el desarrollo de este estudio se debió escoger un procedimiento específico, cuyas características más importantes presentan una variabilidad dentro de rangos supuestos en base de documentos técnicos y la experiencia

profesional del equipo. Por ende, se debe destacar el análisis aplicado por sobre los resultados numéricos estimados, pues estos se encuentran subordinados al detalle del procedimiento elegido como, por ejemplo, las características del equipamiento empleado.

Dicha solución fue evaluada en tres puertos de la Región de Valparaíso, siendo seleccionados el Puerto de Ventanas, el Puerto de Valparaíso y el Puerto de San Antonio (Figura 1), para los cuales, pese a localizarse próximamente, exhiben distintas situaciones que permitieron examinar diferentes resultados.

Alcances y limitaciones

El estudio de evaluación de sitio se realizó para determinar puntos posibles de vertimiento de sedimentos provenientes desde el proceso de dragado en los tres puertos mencionados. El objetivo central de este estudio fue la elaboración de una nueva metodología para la determinación del punto de descarga de los sedimentos removidos del lecho, aplicando el método de Montecarlo, respondiendo a múltiples requerimientos nacidos desde el procedimiento de dragado considerado para este estudio. Por esta razón, los análisis indicados en este trabajo se centraron en la metodología establecida por sobre los resultados numéricos, que se encuentran susceptibles a cambiar según la maquinaria, procedimientos o técnicas empleadas.

Análisis de la compatibilidad del sitio

Para determinar la compatibilidad de un sitio con la implementación de un proyecto marino se requiere

24 Galaz, F., González, A. y Quezada, M. (2023). 33, 23-33
Figura 1: Ubicación de los puertos analizados

Galaz, F., González, A. y Quezada, M. (2023). Evaluación de sitio para la determinación de zona de vertimiento de sedimentos dragados mediante la aplicación del método Montecarlo. 33, 23-33

la verificación de aspectos como: el uso del sector, la relevancia histórica del sitio, junto a la presencia de sitios arqueológicos y la compatibilidad ambiental.

La actual utilización del sitio de interés o sus lugares cercanos, tiene como propósito general el determinar si existe alguna asignación previa del espacio marítimo, tal como una zona de AMERBS1 o concesión marítima (solicitada o asignada).

La arqueología corresponde a una de las principales incompatibilidades, ya que eventuales hallazgos se encuentran legalmente protegidos en virtud de la Ley N° 17.288 de Monumentos Nacionales, lo que es válido para naufragios (pecios) de más de 50 años de data de su hundimiento. Pese a lo anterior, se encuentra fuera del alcance de este estudio, el poder determinar si en los sitios evaluados existe alguna condición de restricción por Patrimonio Cultural Subacuático (PCS), debido a que se requiere dilucidar mediante prospección sistemática realizada por arqueólogos PCS, la que debiera ejecutarse en un futuro sobre los sitios de vertimiento recomendados en este estudio.

Respecto de la incompatibilidad ambiental, el propósito de esta actividad es verificar si en el sitio de estudio existe presencia de especies marinas y/o costeras que se encuentren protegidas, constituyan un recurso hidrobiológico de importancia comercial o si estos se encuentran en una densidad compatible con la denominación de banco natural. Según la información disponible, se recurrió a las superficies denominadas como el Área de Reserva a la Pesca Artesanal (ARPA) y la cobertura de recursos hidrobiológico.

El Artículo 47 de la Ley General de Pesca y Acuicultura, establece que se reserva a la pesca artesanal el ejercicio de las actividades pesqueras extractivas en una franja del mar territorial de cinco millas marinas medidas desde la costa. Dentro de este sector se constituye la línea oficial respecto del cual se fiscalizan las actividades en ARPA que es presentada en la Figura 2a2.

La franja que se construye a partir del límite ARPA y la

1 Área de manejo de recursos bentónicos.

2 Establecida con la cartografía del software de Monitoreo Satelital de Naves Pesqueras THEMIS VIEWER y con los datos de las cartas náuticas electrónicas (CNE) entregadas por el Servicio Hidrográfico y Oceanográfico de la Armada (SHOA)

línea de costa (Figuras 2a y 2b), corresponde a una zona en la cual el Servicio de Evaluación Ambiental ha manifestado que no es adecuada para ejecutar vertimiento de sedimentos provenientes desde alguna operación de dragado, como lo han declarado en la adenda complementaria del proyecto TCVAL (SGA, 2016), de tal modo que, se ha considerado como una restricción para el estudio constituyendo de esta manera como una zona incompatible para la ejecución del vertido.

Basándose en estudios realizados por la Subpesca para determinar la biomasa, abundancia y distribución espacial de diferentes especies a lo largo de la costa de Chile con una metodología de evaluación directa utilizando el método de área barrida, se han determinado la presencia de recursos biológicos en la proximidad de los sitios de interés. Se obtuvieron las coberturas espaciales (Figura 2a) a partir de las versiones más recientes de los estudios de evaluación de disponibilidad que provee el Instituto de Fomento Pesquero (IFOP) de las especies Camarón Nailon (Acuña et al., 2015), Gamba (Arana et al., 2006), Langostino Amarillo (Acuña et al., 2014) y Langostino Colorado (Acuña et al., 2014). Estas especies sedentarias tienen baja capacidad de movimiento y, por lo tanto, es de esperar que su presencia se mantenga acotada al área detectada por el IFOP durante el tiempo. En el caso contrario se encuentra la merluza, especie con interés comercial y para la cual el IFOP ha realizado estudios similares. Sin embargo, corresponde a una especie nectónica y, por lo tanto, de caladero móvil, es decir, se desplaza horizontalmente a lo largo de su vida. Por dichas razones su detección en un punto determinado, no corresponde a una estimación absoluta, dado que en diversos instantes de tiempo se puede tener presencia o ausencia del organismo.

En base a la presencia de recursos biológicos sedentarios y a la delimitación del ARPA con la línea de costa, se ha construido un mapa de limitación de selección de sitio para efectos de vertimiento de los sedimentos en el medio marino, siendo sus resultados los ilustrados en la Figura 2b.

De la Figura 2b se puede apreciar que toda el área sombreada en rojo corresponde a lugares no adecuados para realizar el vertimiento de sedimentos, por lo tanto, los puntos a evaluar como sitio de vertimiento, no deben ubicarse dentro de dichas zonas.

25

Estudio basado en simulación Montecarlo

El procedimiento de dragado considerado para este estudio, consiste en la aplicación de una máquina excavadora que retirará el sedimento desde el lecho marino, lo depositará sobre uno o dos gánguiles, para luego dirigirse hacia el

punto de vertimiento. Para el cumplimiento de los objetivos de estudio se aplicaron características tipo para la pala de la excavadora, así como, las características del gánguil. En la sección anterior se determinó la disponibilidad de sitios cercanos a las zonas a dragar, donde se podría realizar el vertimiento de sedimentos, sin interacción directa con agentes biológicos o zonas de reserva para pesca artesanal. Sin embargo, no se ha determinado en qué punto o conjunto de ellos se puede realizar el vertido en consideración de que el proyecto sea técnicamente factible de ejecutar, en plazos de tiempo concordantes con la duración estimada de las faenas.

La duración total de la faena de dragado/vertimiento de los sedimentos, depende de diversos factores, los que en su mayoría no son determinísticos ni constantes y, por lo tanto, requieren un tratamiento probabilístico y evaluar mediante simulaciones de Montecarlo ante un set robusto de iteraciones, las condiciones bajo las cuales se puede ejecutar la faena.

El método Montecarlo se utilizó con el propósito específico de definir el punto de descarga de los sedimentos extraídos desde el proceso de dragado para cada uno de los sitios portuarios estudiados.

El Método de Montecarlo permite resolver problemas físicos y matemáticos, de manera no determinística, aplicando múltiples casos de variables aleatorias las que son simuladas mediante distribuciones de probabilidad, que intentan describir el comportamiento natural de la variable en análisis. Con la simulación de Montecarlo se espera que el error asociado sea una función del número de iteraciones (N) que se aplique y el cual alcanzaría una magnitud igual a 1/√N.

Para las variables a emplear en este estudio se debe definir el tipo de distribución probabilística con el cual se representarán matemáticamente. Frente a lo anterior, se asumieron que las variables aleatorias de la faena de dragado se distribuyen en forma normal, debido a la presencia casi universal de la misma. En base a estas distribuciones se define cuáles valores tendrán una mayor frecuencia, dentro de un rango definido.

Referente a proyectos consultados3 y la experiencia del

3

26 Galaz, F., González, A. y Quezada, M. (2023). 33, 23-33
DIA, Dragado Puerto de Iquique (Bentos, 2011), y EIA, Dragado Puerto de San Antonio (SIGA, 2013) Figura 2: a) Trazado del límite ARPA y zonas de interés biológico detectadas en las costas de la Región de Valparaíso y b) zonas incompatibles para el desarrollo del vertimiento de sedimentos

Galaz, F., González, A. y Quezada, M. (2023). Evaluación de sitio para la determinación de zona de vertimiento de sedimentos dragados mediante la aplicación del método Montecarlo. 33, 23-33

equipo de trabajo en distintos proyectos, para la estimación del radio de descarga y día de faena, se definieron los siguientes parámetros: un volumen de dragado total de 100 000 m3, un tiempo de descarga del gánguil de 30 minutos, una capacidad de la pala de 25 m3

Estimación del punto de descarga

La estimación del punto de descarga consistió en la simulación de Montecarlo asumiendo que el tiempo total para ejecución de la faena se encuentra definido y no puede ser modificado. Es decir, este escenario busca establecer cuáles son las distancias que se deben recorrer para realizar el vertimiento y afectar en la menor cantidad de tiempo posible las faenas de la operación portuaria.

El tiempo total de ejecución de las faenas se determinó mediante una estimación lineal relacionando el volumen a dragar en este estudio, con los valores temporales y volumétricos del Estudio de Impacto Ambiental (EIA) del Dragado del Puerto de San Antonio, llegando a un valor estimado de 46 días.

Para abordar el problema, se ha definido un set de variables conceptuales las que se indican a continuación de manera tabulada, identificando aquellas que se han tratado como variables determinísticas (Tabla 1) y aquellas que se han tratado como probabilísticas (Tabla 2).

Tabla 1: Variables deterministas consideradas en la simulación de Montecarlo.

Variable Justificación

El tiempo de descarga es constante e igual a 30 min

Volumen máximo de la pala

Volumen máximo del gánguil

Especificado en la Declaración de Impacto Ambiental (DIA) del dragado del puerto de Iquique (Bentos, 2011)

Especificado en DIA del dragado del puerto de Iquique (Bentos, 2011). No hay cambio de excavadora en la faena, ni de su pala.

Especificado en DIA del dragado del puerto de Iquique (Bentos, 2011).

No se cambia gánguil durante la faena.

Cada viaje de descarga tomará el mismo tiempo Solución tipo Steady State

Siempre se descarga en el mismo punto

Condición necesaria para la unicidad de la solución

Tabla 2: Variables probabilísticas consideradas en la simulación de Montecarlo.

Variable Distribución4 Justificación

Llenado de la pala Normal Trabajo depende de la experiencia del operador

Tiempo de palada (ciclo) Normal Ver ecuación (10)

Volumen utilizado del gánguil Normal

Velocidad de viaje de ida a descarga Normal

Velocidad de viaje de vuelta a llenado Normal

Accidentes no mortales Normal

No siempre el gánguil se llena a su máxima capacidad, dadas condiciones de operación.

El avance de la embarcación no es una constante

El avance de la embarcación no es una constante

Las faenas tienen implicado un riesgo y puede generar accidentes

Ocurrencia de marejadas Normal Puede implicar tiempos de espera de zarpe o trabajo

Atraque de buques Normal

Esto puede implicar detenciones de la maniobra

4 La distribución utilizada es normal, pero no estándar, es decir, no está centrada en cero y no pueden tomar valores negativos.

En consideración del set de variables definidas, se ha propuesto la simulación de 2 casos base, los que se presentan en la Tabla 3, y que tuvieron como finalidad determinar los lugares probables de vertido de sedimentos, al aplicar un gánguil individual (caso 1) y el incremento obtenido al emplear un gánguil adicional (caso 2) con las mismas características. Cada caso fue ejecutado con 1000 iteraciones de casos aleatorios.

Tabla 3: Casos simulados para definir el punto de descarga. Caso CapGánguil NºGánguiles VelGC Δ VelGC VelGV Δ VelGV Tiempo faena, días

Los valores utilizados para los casos simulados se basan en la características de los gánguiles descritos en SIGA (2013) y Bentos (2011).

El gánguil tipo seleccionado consideró una capacidad de 2000 m3 y una velocidad media de cargado de 7 nudos con una variabilidad de 3 nudos, mientras que, al estar vacío se estima una velocidad de 13 nudos con una variabilidad de 3 nudos. Para el procedimiento completo se proyectó un tiempo de 46 días (tiempo faena).

27
1 2000 1 7 3 13 3 46 2 2000 2 7 3 13 3 46

Para todos los casos se tomaron los siguientes supuestos:

• Para la operación se considera que se trabajan 24 horas al día.

• El ciclo de llenado de la draga se distribuye de manera normal.

• Dependiendo del volumen que toma la pala en el ciclo de la draga, el ciclo de la misma presenta un aumento, el cual se distribuye de manera normal.

• Dependiendo de la composición del fondo (roca, grava, arenisca, arena, etc.), la draga debería rasgar para poder extraer el material, por tanto, el número de estos rasgados se distribuye de manera normal.

• El tiempo que toma un rasgado, es el 30% del tiempo del ciclo de llenado de la pala.

• El ciclo de llenado final (ciclo que realiza la pala), es el tiempo del ciclo más los aumentos producto del volumen de sedimento y el número de rasgados realizados.

Basado en los supuestos anteriores y dado el propósito de la simulación de Montecarlo, se ha definido el radio de descarga (r(N)), es decir, la distancia máxima donde se puede ir a descargar los sedimentos desde el proceso de dragado para cumplir con los días de faena disponibles, de acuerdo a la expresión (1) mostrada en la Tabla 4. A su vez, se presenta la dependencia por variables como el tiempo para la descarga del gánguil en la zona de vertimiento (TDescarga) y las velocidades de viaje del gánguil

Tabla 4: Variables y ecuaciones de radio y tiempo

cargado (Vel´GC (N) y vacío (Vel´GV (N)) en km/día. Junto a lo anterior, se encuentra el tiempo por viaje (Tpv (N)), que se estima según lo establecido en la ecuación (2), respecto al número total de viajes (Nºviajes (N)) y del tiempo total disponible para movilizar el volumen completo a dragar (Tviajes (N)). La anterior expresión (2) se resuelve acorde lo indicado en la ecuación (3), que corresponde al tiempo disponible para el proceso de descarga del gánguil (tiempo faena) menos el tiempo de carga y los tiempos de castigo. El tiempo de carga total (TCT(N)) se encuentra asociado a la toma de sedimentos del lecho y el depósito sobre el gánguil, estimado de acuerdo a la ecuación (4), respecto al volumen total (100 000 m3) y a la velocidad de carga (Velcarga) indicada en la siguiente sección. Los tiempos de castigos empleados para esta metodología se clasifican en accidentes laborales (TCANM (N)), mal tiempo (TCclima (N)) y asociado a los tiempos de operación de puertos (TCOP (N)). Las sanciones relacionadas a los accidentes laborales y a la operación de puertos se estimaron respecto a las ecuaciones (5) y (7), respectivamente. Estas expresiones se desarrollaron entorno de la experiencia del equipo que desarrolló el estudio y, por ende, puede enfrentar cambios a sus valores según el puerto a analizar o los profesionales a cargo. En el caso de las interrupciones por el clima, se asociaron a los efectos de las marejadas, en razón a ello, se consideró con un downtime del 2% de acuerdo declarado por TPS el 20215.

5 https://www.tps.cl/tps/noticias/2021/abr-may-jun/tps-destaca-ventajas-de-la-bahia-de-valparaiso-frente-a-los-cierres-de

28 Galaz, F., González, A. y Quezada, M. (2023). 33, 23-33
Variable Ecuación Radio de descarga (1) Tiempo por viaje (2) Tiempo total disponible para movilizar el volumen completo a dragar (3) Tiempo de carga total requerido
del lecho y depositarlos en el gánguil (4) Tiempo de castigo por accidente laboral (5) Tiempo de castigo por mal tiempo (6) Tiempo de castigo por operación de puerto (7)
para tomar los sedimentos

Galaz, F., González, A. y Quezada, M. (2023). Evaluación de sitio para la determinación de zona de vertimiento de sedimentos dragados mediante la aplicación del método Montecarlo. 33, 23-33

Determinación de las velocidades de trabajo

La velocidad de carga del gánguil (Velcarga), expresada en la ecuación (8) en la Tabla 5, corresponde a una de las variables más relevantes del proceso analizado. Se define esta velocidad entorno del volumen de la pala (Vpala) y el tiempo total requerido en la palada desde el lecho y su depósito en el gánguil (T´ciclo), según las ecuaciones (9) y (10), respectivamente. La variable T´ciclo, por su parte, se compone del tiempo requerido en cada palada (Tciclo y retrasos asociados a la maniobrabilidad de la pala con mayores volúmenes (TCVP) y al tiempo empleado en rasgar el fondo marino (TCrasgados) que, a su vez, depende de la variable probabilística, número de rasgados, calculada según la ecuación (14), asumiendo un suelo consolidado.

Por otra parte, el número de viajes (Nºviajes) es estimado como el volumen total a dragar (100 000 m3) respecto al volumen mínimo para comenzar el viaje hacia la zona de vertimiento, el cual se denominó como el volumen de partida (Vpartida(N)), determinado con la ecuación (16) en forma probabilística y en base de la capacidad del gánguil (CapGánguil).

Respecto de las velocidades del gánguil, según lo mencionado, se consideraron las velocidades de cargado (VelGC) y vacío (VelGV), los cuales se estiman como se indica en las ecuaciones (17) y (18), a partir de la velocidad media (VelGC (N) y VelGV (N), respectivamente) y una variabilidad asociada a dificultades en la navegación (ΔVelGC y ΔVelGV, respectivamente).

29
Variable Ecuación Velocidad de carga del gánguil (8) Volumen total de sedimentos que contiene la pala (9) Tiempo total que se necesita para que una palada tome sedimentos del lecho y lo deposite en el gánguil (10) Tiempo necesario para realizar cada palada (11) Retraso (castigo) asociado al volumen de la pala (12) Retraso (castigo) asociado a la necesidad de realizar rasgados del lecho marino para poder remover los sedimentos (13) Número de rasgados (14) Número de viajes necesarios (15) Volumen mínimo para comenzar el viaje hacia a la zona de vertimiento (16) Velocidad del gánguil cargado (17) Velocidad del gánguil vacío (18)
Tabla 5: Variables y ecuaciones usadas en el estudio

Procesamiento de la información

A partir de las simulaciones de Montecarlo se obtuvieron distancias máximas para ejecutar el vertimiento y posteriormente, mediante la definición de un punto, el tiempo máximo para la ejecución de la faena. Es importante mencionar que, la ecuación (1) del radio, depende del tiempo disponible para viajes según la ecuación (3), el cual puede ser negativo en escenarios muy pesimistas, representando que la faena necesita un tiempo mayor al disponible. Por lo tanto, tendría un valor negativo matemáticamente, pero físicamente no existiría e implicaría la inviabilidad del proyecto de dragado.

En el caso de la distancia del sitio de vertimiento, se contó con una restricción asociada al límite ARPA, de tal modo que todas aquellas distancias máximas dentro de dicha área, se consideraron estadísticamente como probabilidad de falla, es decir, escenarios en los cuales no tendría éxito la faena en consideración de que existe un plazo acotado para la ejecución de las tareas.

Las distribuciones estadísticas de los resultados simulados mediante Montecarlo, se analizaron para definir tres resultados característicos, los que se definen a continuación:

• Escenario pesimista: corresponde a aquella situación en la cual se presentan todas las condiciones adversas para la ejecución de las tareas y, por lo tanto, requiere de una distancia más corta para el vertimiento (percentil 25%).

• Escenario normal: corresponde a aquella situación en la cual no se presentan de manera significativa las condiciones adversas para la ejecución de las tareas y, por lo tanto, tanto la distancia como el tiempo requerido se asocian al percentil 50%.

• Escenario optimista: corresponde a aquella situación en la cual no se presentan condiciones adversas para la ejecución de las tareas y, por lo tanto, se puede recorrer una distancia mayor para el vertimiento (percentil 75%).

Resultados

Siguiendo las ecuaciones establecidas en las Tablas 4 y 5 y con las características de las maquinarias seleccionadas se determinaron las distancias posibles de circular,

cumpliendo las condiciones del proyecto. La Tabla 6 indica las distancias asociadas a los correspondientes escenarios pesimista (percentil 25%), normal (percentil 50%) y optimista (percentil 75%), que fueron ilustradas para cada uno de los puertos relevantes en las Figuras 3 y 4 para los casos 1 y 2, respectivamente. Es importante notar que, para el caso 2 donde se agrega gánguil adicional las distancias experimentan incrementos sobre el doble del caso 1.

Tabla 6: Distancias asociadas a los distintos percentiles, en los correspondientes casos

Para la aplicación de la actual propuesta metodológica, se sugirieron dos puntos de vertimiento por cada puerto, con la condición de que cada uno se encontrara fuera del límite ARPA y de las áreas de interés biológico, seleccionados con anterioridad. Los puntos escogidos se resumen en la Tabla 7, donde se indica que las distancias requeridas comienzan desde los 10 km, siendo la menor la asociada al Puerto de San Antonio (P6) con 10.40 km, a diferencia del punto P3, relacionada con el Puerto de Valparaíso, cuya distancia alcanzó los 18.08 km. Los posibles puntos de vertimiento fueron ilustrados en las Figuras 3 y 4, localizándose entre los espacios libres de las áreas de interés biológico, con el fin de conseguir las menores distancias.

Tabla 7: Probabilidad de falla respectiva a cada punto de vertimiento. Puntos dragados Id. Punto de descarga Distancia desde el punto de dragado,

Probabilidad de falla, % Este, m Norte, m Caso

Para cada punto seleccionado se estimó la probabilidad de falla para cubrir tales distancias y cumplir el vertimiento (ver Tabla 7), aplicándose para los dos casos estudiados, con los cuales se demostró una disminución importante en la incertidumbre con la aplicación de un gánguil adicional

30 Galaz, F., González, A. y Quezada, M. (2023). 33, 23-33
Casos Percentiles, km 25% 50% 75% 1 7.02 13.74 20.20 2 25.49 38.63 52.82
km
1
2 Ventanas P1 261.326,511 6.387.058,203 15.12 51.50 19.00 P2 255.090,81 6.378.275,705 11.92 46.31 17.34 Valparaíso P3 253.581,178 6.360.136,041 18.08 55.24 20.20 P4 251.062,598 6.353.310,689 11.94 45.85 17.20 San Antonio P5 245.321,613 6.285.272,432 12.05 44.80 16.86 P6 246.152,744 6.280.134,528 10.40 43.17 16.34
Caso

33, 23-33

(caso 2).

Los resultados del caso 1, donde se consideró solo un gánguil, son ilustrados en la Figura 3, plasmando los radios probabilísticos correspondientes para cada puerto analizado. Los escenarios simulados bajo la configuración del caso 1 son esquematizados con un gráfico de frecuencias (Figura 3), representando una distribución normal, cuyo promedio se estimó con una magnitud semejante a las distancias mínimas desde los puertos a los extremos de las zonas incompatibles para el vertimiento. Por dicha razón, los escenarios pesimistas (percentil 25%) se extendieron dentro del ARPA impidiendo el vertimiento allí. Dentro de los escenarios normales (percentil 50%) comenzaron a aparecer sectores disponibles para el vertimiento, coincidiendo con algunos de los puntos seleccionados. Para el puerto Ventanas, fuera de la Bahía de Quintero, se encontró el punto P2, entre el límite del ARPA y área de interés biológico, que se encuentra cubierto por los escenarios normales. De la misma forma, correspondiente al percentil 50%, se tiene el punto P4, ubicado hacia el norte del puerto de Valparaíso, como uno

de sus posibles sitios para el vertimiento. Para el puerto de San Antonio, los puntos P5 y P6 se encontraron dentro de la superficie delimitada en los escenarios normales, en los límites del ARPA, pero bastante alejados de las áreas de interés biológicos. Se indica que, en los posibles sitios de vertimientos, P1, asociado el puerto de Ventanas y P3, respecto del puerto de Valparaíso, presentaron los mayores riesgos, con probabilidades de falla de 45.85% y 55.24%, respectivamente (Tabla 7). Estos se encontraron cercanos a los escenarios normales (percentil 50%), requiriendo las mejores condiciones.

Se puede notar que, para los puertos de Ventanas y Valparaíso, los sitios disponibles bajo los escenarios normales son escasos, localizándose allí los puntos propuestos, sin embargo, en los escenarios optimistas se obtiene una mayor cantidad de posibilidades. Por el contrario, para el puerto de San Antonio se muestra una gran superficie disponible para el vertimiento, debido a la ausencia de áreas de interés biológico en la proximidad del puerto.

La disposición de un gánguil adicional para los procesos

31
Galaz, F., González, A. y Quezada, M. (2023). Evaluación de sitio para la determinación de zona de vertimiento de sedimentos dragados mediante la aplicación del método Montecarlo. Figura 3: Radios probabilísticos para la realización del vertimiento en los distintos puertos, correspondientes al caso 1, empleando un gánguil

de vertimiento, presentes en el caso 2, incrementan notablemente la distancia capaz de transitar según las condiciones establecidas (Figura 4). El gráfico de frecuencias demostró un aumento en la variabilidad de los casos, ampliando las distancias máximas posibles a alcanzar. Para estas circunstancias, todos los puntos de vertimientos se encontraron dentro de la superficie que considera el escenario pesimista (percentil 25%), identificándose variadas opciones. Por otro lado, para este caso se indican las intercepciones de los escenarios normales (percentil 50%) y escenario optimista (percentil 75%) entre los distintos puertos.

En los posibles sitios de vertimiento del puerto de Ventanas se encontraron probabilidad de falla entre 19.00% para el punto P1 y 17.34% para P2. De forma similar, para el puerto de Valparaíso se estimó una probabilidad de falla del 17.20% en el punto P4 y, por el contrario, en el punto P3 alcanzó una magnitud del 20.20%, respecto de su mayor distancia. En el puerto de San Antonio, el punto P5 mantuvo un valor similar (16.86%), mientras que, P6, en función de su cercanía al puerto disminuyó su incertidumbre con 16.34%.

Conclusiones

Mediante la investigación realizada en este estudio, se determinaron zonas de incompatibilidad para el vertimiento de sedimentos, frente a los puertos seleccionados. Estas superficies consideran un ancho constante desde la línea de costa en relación del ARPA, sin embargo, la integración con las áreas de interés biológico, centrada en especies con baja movilidad, otorgaron variabilidad en el espacio. Por dicha razón, en los puertos de Ventanas y Valparaíso el procedimiento de vertimiento se vio dificultado, en comparación al puerto de San Antonio, que dispone de una amplia superficie después del ARPA, libre de registros de especies, de acuerdo a la bibliografía encontrada. Los resultados obtenidos indicaron que, para el caso1, las evaluaciones con menores distancias, dentro del percentil del 25% (escenario pesimista) no logran sobrepasar el límite del ARPA. Por otro lado, al menos uno de los puntos asociados a los puertos se encontró dentro del percentil 50% (escenario normal), destacando el puerto de San Antonio que, por la lejanía de las especies analizadas, permitió disponer ambos puntos en distancias semejantes. Para los puertos de Ventanas y Valparaíso, dentro del radio

32 Galaz, F., González, A. y Quezada, M. (2023). 33, 23-33
Figura 4: Radios probabilísticos para la realización del vertimiento en los distintos puertos, correspondientes al caso 2, empleando dos gánguiles.

Galaz, F., González, A. y Quezada, M. (2023). Evaluación de sitio para la determinación de zona de vertimiento de sedimentos dragados mediante la aplicación del método Montecarlo. 33, 23-33

descrito con el percentil 50% se debe mencionar la escasez de posibilidades donde fuera posible verter el sedimento. El radio correspondiente al percentil 75% contenía el resto de puntos seleccionados, además de identificarse otras opciones. Entre los puntos estudiados, el P6, relacionado al puerto de San Antonio, demostró ser la posición más segura de vertimiento, con una probabilidad de falla de 43.17%. Por el contrario, P3, correspondiente al puerto de Valparaíso demostró el mayor riesgo, con probabilidad de falla de 55.24%.

El caso 2, que incluyó un gánguil adicional, otorgó un incremento importante en las distancias posibles de circular para la operación (debido al mayor volumen por viaje). Con los resultados encontrados se estimaron radios correspondientes al percentil 25% (escenario pesimista) de 25.49 km, permitiendo sobrepasar el límite del ARPA y alcanzar todos los puntos evaluados al vertimiento. Debido a que el riesgo en la opción es principalmente asociado a la distancia, los sitios P6 y P3 consideraron los valores extremos de probabilidades de falla de 16.34% y 20.20%, respectivamente. Estimándose una reducción del riesgo cercana al 60%, según los puntos mencionados, por la adición de un gánguil. Con los antecedentes dispuestos, se estableció el incremento en la factibilidad de la ejecución por la adición de un gánguil para dar cumplimiento al proyecto en los plazos acordados, cuya aplicabilidad dependerá de factores particulares del proyecto.

Se debe destacar que los resultados determinados corresponden a la solución de un problema de múltiples variables simplificado, de acuerdo a los parámetros obtenidos, sin embargo, la solución determinada puede ser mucho más certera según la información del sitio a emplear. Por ejemplo, con un conocimiento más basto de las principales localizaciones de las especies se puede incrementar la seguridad ambiental del procedimiento. En este estudio se dio prioridad a los parámetros ambientales, no obstante, es claramente posible agregar variables comerciales al problema y determinar la solución más económicamente factible, bajo el cumplimiento ambiental. Así también, las condiciones establecidas en este problema son fácilmente ajustables según variaciones de las características de la maquinaria disponible.

De acuerdo al estudio establecido, la determinación del sitio óptimo se decidió a partir del menor riesgo asociado

en el desplazamiento al punto de vertimiento, aunque en consideración del medio marino, es importante estudiar las condiciones hidrodinámicas de los sitios con la finalidad de conocer el transporte de la pluma generada a partir del vertimiento. El análisis mencionado otorga una nueva variable de decisión, compleja de obtener, pues es recomendable la implementación de modelos numéricos que representen la hidrodinámica espacial, con una veracidad física que permita disminuir el riesgo, y para efectos de este estudio, se consideró fuera del alcance.

Referencias

Acuña, E., Acuña, R., Arancibia, H., Cortés, A., Cubillos, L. y Cid, L. (2014). Evaluación directa de Langostino Amarillo y Langostino Colorado entre la II y VIII regiones, año 2013 Universidad Católica del Norte, Coquimbo, Chile

Acuña, E., Alarcón, A., Arancibia, H., Cubillos, L. y Cid, L. (2015). Evaluación directa de camarón Nailon entre la II y VIII regiones, año 2013. Universidad Católica del Norte, Coquimbo, Chile

Arana, P., Ahumada, M., Guerrero, A., Melo, T., Queirolo, D., Barbieri, M., Bahamonde, R., Canales, C. y Quiroz, J.C. (2005). Evaluación directa de Camarón Nailon y Gamba entre la II y VII regiones, año 2005. Proyecto FIP, Pontificia Universidad Católica de Valparaíso, Valparaíso, Chile

Bentos (2011). DIA: Dragado de profundización portuaria, Iquique, Chile.

SGA (2016). ADENDA TCVAL: Respuestas al informe consolidado de solicitud de aclaraciones, rectificaciones y/o ampliaciones al Estudio del Impacto Ambiental. Santiago, Chile.

SIGA (2013). EIA: Dragado en zona marítima común del puerto San Antonio. Santiago, Chile

33

Ebensperger, L. (2023). Diseño por vida útil de infraestructura marítima en hormigón armado: enfoque holístico con experiencias de casos chilenos. 33, 34-44

Diseño por vida útil de infraestructura marítima en hormigón armado: enfoque holístico con experiencias de casos chilenos

Service life design of reinforced concrete maritime infrastructure: holistic approach with experiences from Chilean cases

Construtechnik SpA, Santiago, Chile, luis.ebensperger@gmail.com

La consideración de la vida útil del hormigón armado en las distintas etapas del ciclo de vida de una estructura, como un elemento diferenciador al momento de proceder con el diseño por desempeño asociado a las condiciones de agresividad del ambiente en que ésta se ubique, ha generado nuevos desafíos constructivos. Junto al desarrollo de nuevas normativas que incluyen materiales innovadores de ingeniería, la incorporación de ensayos de desempeño y a procesos de modelamiento para la estimación del desarrollo del deterioro del hormigón en el tiempo, y a procesos constructivos que aseguren un adecuado Control de Calidad y Aseguramiento de la Calidad QAQC. Lo anterior ha llevado a obras de infraestructura que incluso podrían sobrepasar su período de uso manteniendo niveles de serviciabilidad por más de 100 años. Tal es el caso, por ejemplo, del proyecto del puente Chacao, actualmente en ejecución, en el sur de Chile. En este trabajo se revisan las distintas etapas de un proyecto considerando un enfoque holístico, concentrándose en aquellos aspectos que debieran considerarse inherentes a toda planificación, incluyendo complementariamente al proceso de diseño y constructivo, las etapas de control de los niveles de deterioro a través de diagnósticos con una frecuencia determinada, y monitoreos si fuera pertinente, para apoyar en todo momento la Gestión del Estado de Salud de la estructura. Se presentan algunos casos de diseño de casos reales efectuados con modelos creados para cada caso.

Palabras clave: hormigón, durabilidad, vida útil, enfoque holístico

Introducción

Las infraestructuras marítimas, entendiendo como tal a toda estructura ubicada en contacto con agua de mar, y que por excelencia es construida en hormigón armado y/o

Fecha de entrega: 7 de noviembre 2022

Fecha de aceptación: 6 de marzo 2023

The consideration of the service life of reinforced concrete in the different stages of the life cycle assessment LCA of a structure, as a differentiating element, when proceeding with the performance design associated with the in-place aggressive conditions of the environment, has generated new construction challenges. In addition with the development of new regulations that include innovative engineering materials, the incorporation of performance tests and modeling processes to estimate the development of concrete deterioration over time, and construction processes that ensure adequate Quality Assurance and Quality Control QAQC. This has led to infrastructure that could even exceed their period of use, maintenance serviceability levels for more than 100 years. Such is the case, for example, of the Chacao Bridge project, currently underway, in southern Chile. In this paper, the different stages of a project are reviewed considering a holistic approach, concentrating on those aspects that should be inherent to all planning, including complementary to the design and construction process. The stage of control of the deterioration levels through diagnostics, with a defined frequency, and monitoring if relevant, to support at any moment the Structural Health Management SHM. Some cases of service life design of real cases made with own created models are presented.

Keywords: concrete, durability, service life design, holistic approach

en combinación con estructuras metálicas como pilotes y tablestacados, requieren, dado los altos niveles de inversión involucrados y su importancia estratégica en la logística de un país, los más elevados estándares de diseño

34

estructural, calidad en su construcción y conservación de los niveles de serviciabilidad en el tiempo mediante una adecuada programación de mantenimiento (Repetto et al., 2019). Un estudio inicial de las posibles patologías que pueden afectar la estructura es vital al momento de pretender asegurar la vida útil especificada.

A lo anterior deben sumarse los inconvenientes y el lucro cesante resultantes de interrupciones o demoras en la operación de las instalaciones portuarias que podrían ocurrir por construcciones defectuosas y deterioros prematuros.

Es importante destacar que una estructura de hormigón que se encuentra seca o con bajo grado de saturación es inmune a los fenómenos de deterioro físico-químicos que ocurren en su interior (reacción álcali-agregado, sulfatos, congelación) o electroquímicos (corrosión del acero inducida por cloruros o carbonatación). Pero, por su naturaleza, las instalaciones portuarias están expuestas al contacto permanente o frecuente con agua salada, condición que también ocurre en otros tipos de estructuras como canales, esclusas de navegación, represas, tuberías, estanques o depósitos de agua desalinizada y puentes. Ambos tipos de deterioro generan fuerzas expansivas internas o la desintegración de los compuestos hidratados del cemento, lo cual en combinación con procesos corrosivos del acero llevan a la estructura a perder su capacidad soportante, como se observa en los ejemplos de la Figura 1.

La ocurrencia de daños acumulativos e irreversibles tanto en la pasta de cemento (matriz aglomerante) como en los aceros de refuerzo es intrínseco al material, siendo el objetivo utilizar los materiales adecuados y retardar el ingreso de sustancias agresivas a un punto tal, que la serviciabilidad de la estructura sea asegurada hasta el momento definido como la vida útil especificada.

Con el correr de los años las metodologías de diseño que consideran todos aquellos factores asociados han mejorado progresivamente, en especial modelaciones que ya se utilizan en la mayoría de los países. Sin embargo, como recalcan los especialistas, estos avances no han sido capaces de asegurar diseños durables. Es así como en Europa se cuentan casos de 3 puentes con una edad entre 20 a 25 años de servicio, que, a pesar de ser diseñados para una vida útil de 100 años, sufrieron corrosión prematura

del acero inducida por cloruro (Di Pace et al., 2019). Una atención especial merece el puente Morandi en Génova, cuyo reciente colapso el año 2018 a la edad de 21 años, significó la lamentable pérdida de vidas humanas.

Estas son evidencias claras de que la especialidad de Ingeniería de los Materiales junto a la Ingeniería Estructural ha estado lejos de ser exitosas en el logro de durabilidad, y esta situación merece un mayor análisis. Una explicación podría ser, que diseñar por durabilidad implica conocimientos de física, química y electroquímica de los que carecen muchos ingenieros civiles. Sin embargo, probablemente la explicación principal de esta falla es la creencia errónea de que un puente en un entorno agresivo puede alcanzar una vida útil de 100 años mediante la aplicación de prácticas de diseño, materiales, construcción e inspección convencionales. Esta creencia errónea se alimenta de enfoques conceptualmente erróneos en normas y códigos. Por ejemplo, el Eurocódigo 2 (EN, 2004) estipula que se pueden lograr 100 años de vida útil simplemente aumentando la profundidad de recubrimiento del acero en 10 mm por encima de lo especificado para 50

35 Ebensperger, L. (2023). 33, 34-44
Figura 1: Deterioro por efecto de corrosión en estructuras portuarias

Ebensperger, L. (2023). Diseño por vida útil de infraestructura marítima en hormigón armado: enfoque holístico con experiencias de casos chilenos. 33, 34-44

años de vida útil, aunque se aplique la misma especificación del hormigón para ambas vidas útiles de servicio. Esta combinación de profundidad de recubrimiento y calidad del hormigón es claramente insuficiente y no producirá una estructura durable.

Lograr una larga vida útil para una estructura expuesta a entornos agresivos no es una tarea fácil y requiere esfuerzos especiales de todas las partes involucradas en su diseño, construcción, inspección y mantenimiento. A menos que los propietarios, diseñadores, proveedores de materiales, contratistas, organismos de inspección y ensayos, y consultores, reconozcan el desafío y cumplan con sus tareas con sumo cuidado y responsabilidad, no se logrará el rendimiento de durabilidad esperado.

El objetivo de este trabajo es revisar los aspectos críticos en cada paso del desarrollo de un proyecto, y resaltar las acciones a tomar para lograr una estructura durable, cumpliendo con las expectativas de los mandantes y la sociedad. La atención se centra en el diseño de durabilidad contra la corrosión del acero inducida por cloruros, mostrando experiencias en Chile, experiencias muy necesarias dado el hecho que nuestra infraestructura costera y portuaria está envejeciendo y se observan deterioros con fallas tempranas del hormigón incluso en menos de 5 años (Oberreuter, 2022).

Etapas de un proyecto al considerar su ciclo de vida

Fase de anteproyecto

En esta fase, que suele comenzar muchos años antes del inicio de las construcciones, es importante obtener información precisa sobre las condiciones macro y microclimáticas junto a los niveles de agresividad esperados a los que estará expuesta la estructura en cada uno de sus componentes y sus posibles efectos sobre su durabilidad. Esta información debe quedar incluida en un informe denominado Estrategia de Durabilidad. La Figura 2 señala distintos niveles de agresividad del ambiente marino sobre una estructura, los cuales afectan finalmente el riesgo de ocurrencia de corrosión en los aceros de refuerzo.

Es recomendable construir maquetas confeccionadas no solo con hormigón durable, sino también con sistemas avanzados de construcción. Estas maquetas deben

colocarse en entornos similares a los que experimentarán los elementos estructurales reales. Las pruebas exhaustivas y avanzadas de las mezclas de prueba y el seguimiento regular de los elementos de la maqueta deberían proporcionar información útil sobre las propiedades iniciales y el comportamiento de los sistemas a mediano y largo plazo. Esta información permitirá la calibración de modelos y predicciones más precisas de los procesos de penetración de cloruros y corrosión del acero. Un buen ejemplo de tal esfuerzo es el proyecto de enlace vial Hong Kong-Zhuhai-Macao, inaugurado el año 2018 con un total de 55 km de diferentes estructuras de puentes y túneles que unen 3 puntos del estuario del río Las Perlas en China (Li et al., 2015). Se instalaron y monitorearon muestras durante 30 años antes del inicio de la construcción, proporcionando información clave para el diseño de la vida útil de los elementos que componen este proyecto,

En esta etapa se debe definir la vida útil de diseño de la estructura. Se consideran como valores indicativos de vida útil de servicio (fib, 2006) los indicados en la Tabla 1.

Existe la imperiosa necesidad que los códigos nacionales incorporen a la brevedad el concepto de vida útil en estructura, especialmente en obras marítimas, que sin dudas estarán sometidas a un alto riesgo de corrosión de las armaduras. De acuerdo a la Tabla 1, la vida útil de diseño de estructuras de hormigón armado debiese ubicarse como mínimo en los 50 años. La actual norma de hormigones NCh170 (2016) incorporó conceptos de durabilidad,

36
Figura 2: Riesgo de corrosión en estructuras marítimas según su ubicación

Vida útil, años Descripción

10 Estructuras temporales (estructuras o partes de estructuras que pueden ser desmanteladas con el objetivo de ser reutilizada, no debe considerarse como temporal).

10 – 25 Piezas estructurales reemplazables como vigas de pórticos, cojinetes soportantes, etc.

15 – 30 Estructuras agrícolas y similares.

50 Edificaciones y otras estructuras comunes.

100 Estructuras de edificios monumentales, puentes y otras estructuras de envergadura (infraestructura).

como los grados de exposición y exigencias mínimas a las mezclas según grado de agresividad, encontrándose en estudio la forma de inclusión de conceptos más detallados para el análisis de vida útil, ya sea desde el punto de vista de la materialidad o del diseño estructural.

Fase de diseño

Esta es una fase crucial del proyecto, donde las principales características de los elementos de hormigón, que se espera duren, por ejemplo, 50 años, se definen, se modelan y se traducen en las especificaciones técnicas de hormigones del proyecto.

Modelos de ingreso de cloruros por difusión

El modelo de Tuutti (1982), aplicado a la corrosión del acero por cloruros o carbonatación, muestra esquemáticamente el proceso de deterioro que ocurre en los hormigones. Como muestra la Figura 3, hay un período inicial sin daños considerables, llamado Tiempo

de Iniciación Ti, que finaliza en el momento de inicio de la corrosión. Dentro de este período, los cloruros penetran en la superficie del hormigón hasta alcanzar la concentración crítica Ccr en el acero de refuerzo. En este momento el acero queda propenso a iniciar el proceso de corrosión si existe disponibilidad de oxígeno y humedad. El Ti se asocia con la vida útil del elemento que puede estar asociado con agrietamiento menor, descascaramiento localizado o pérdida de sección admisible del acero, y un estado límite último, correspondiente a la pérdida de la capacidad portante del elemento estructural debido a la pérdida de adherencia y la probable reducción de la sección de acero y hormigón.

La mayoría de los modelos desarrollados para predecir el Ti de estructuras (fib, 2006; Life-365, 2012) se basan en el supuesto simplificado de que la penetración de cloruros ocurre exclusivamente por difusión en estado no estacionario, que obedece a la segunda ley de difusión de Fick definida en (1). La ecuación diferencial es compleja, y su solución es posible sólo al considerar constante el coeficiente de difusión Dt y la concentración de cloruros en la superficie del hormigón Cs En este caso la segunda ley de Fick acepta una solución explícita. Asumiendo la condición de borde en (2), es decir, la corrosión se inicia cuando el nivel de cloruros en la superficie del acero alcanza un nivel crítico Ccr, se obtiene la solución (3) de vida útil. Lo anterior requiere de la incorporación del factor de envejecimiento m para considerar adecuadamente la variación de Dt en el tiempo según (4). Este factor depende del tipo de cemento utilizado y del tiempo supuesto para que la hidratación del cemento siga generando un aumento de la impermeabilidad del hormigón, conocido como THyd.

37 Ebensperger, L. (2023). 33, 34-44
Tabla 1: Valores de vida útil de servicio referenciales. Figura 3: Modelo de vida útil de Tuutti (1982)

Ebensperger, L. (2023). Diseño por vida útil de infraestructura marítima en hormigón armado: enfoque holístico con experiencias de casos chilenos. 33, 34-44

donde C(x,t) es la concentración de cloruros en la profundidad y el tiempo, x es el espesor de recubrimiento en mm, t es el tiempo en años, to es el tiempo de medición de la difusión (28 días), Do es el coeficiente de difusión a los 28 días (m2/s), D t es el coeficiente de difusión en el tiempo (m2/s), Cs es la concentración superficial de cloruros, variable según condición de severidad de la exposición, Ccr es la concentración crítica de cloruros (0.05% peso h.) para dar inicio al proceso corrosivo en el acero, Co es la concentración inicial de cloruros contenida en componentes, erf-1 es la inversa de la función de error, m es el factor de envejecimiento (reducción de la difusión en el tiempo) y THyd es la duración del efecto del envejecimiento sobre la reducción de la difusión (años).

Las expresiones (1) - (4) constituyen el núcleo de los modelos más conocidos para predecir la vida útil en casos de corrosión inducida por cloruros. Si bien conseguir que se especifique el par de valores x y Do para lograr la vida útil de diseño Ti puede parecer trivial, los valores calculados son extremadamente sensibles a los parámetros Cs, Ccr, m y THyd. Los parámetros Cs y Ccr son muy difíciles de determinar, y su relación puede afectar a Ti en un factor de 4. Además, la validez de la función de disminución de la difusión en el tiempo y el valor propuesto del exponente m son objeto de mucha incertidumbre y controversia. El efecto de m sobre Ti puede ser dramático, llevando a efectos de órdenes de magnitud sobre Ti e incluso a valores absurdos extremadamente altos, particularmente si THyd no es limitado.

La Figura 4 muestra los parámetros involucrados al momento de proceder al diseño por vida útil de una

estructura. A través del modelamiento respectivo se calcula el perfil de cloruros en la profundidad. En el ejemplo, desde los 10 hasta los 120 años, se observa que aproximadamente para la curva para 100 años se obtiene que a la profundidad del acero xc = 100 mm se obtenga una concentración de cloruros C(100,100) igual a la crítica Ccr.

Las recomendaciones varían ampliamente. Life-365 (2012) propone un valor THyd de 25 años, mientras que el modelo fib (2006) extiende THyd a todo el Ti de la estructura. Algunos expertos sugieren, más razonablemente, un valor no mayor a 10 años y otros recomiendan que se limite a 1 año o menos. En los últimos casos, la recomendación se basa en la observación de que después de un período de curado apropiado, no habrá una disminución sustancial de la permeabilidad a los cloruros en las condiciones in situ. La determinación experimental de m es difícil debido a la naturaleza a largo plazo del exponente. Por lo tanto, no es posible realizar cálculos con valores representativos de m y THyd en el momento del diseño de vida útil. Aquí se puede ver la importancia de los ensayos a largo plazo en elementos de maqueta mencionados anteriormente. Un excelente ejemplo de cómo se utiliza la información recopilada de estos elementos para hacer un diseño de vida útil bien fundado se puede encontrar en Li et al. (2015). Experiencias sobre el tema en Chile son escasas, Ebensperger y Olivares (2019) demostraron con experiencias de medición de difusión de cloruros a través de los ensayos de penetración de cloruros Q y de migración de cloruros M hasta 3 años de duración, para distintos contenidos de agua y de curado inicial, que a partir de los 180 días ambos valores tienden a mantenerse constantes, como se puede observar en las Figuras 5a y 5b.

De hecho, cuando la información precisa sobre los parámetros de las ecuaciones indicadas no está disponible, el diseñador debe confiar en los valores propuestos por los modelos, muchos de los cuales no son el resultado de datos experimentales, sino que se basan principalmente en opiniones de expertos. La elección selectiva de estos parámetros hace que las predicciones sean muy débiles y propensas a juicios subjetivos.

Para evitar ensayos de inmersión que consumen mucho tiempo (12 semanas) para la determinación de Do (ASTM C1556, 2016), la tendencia actual es reemplazarlos con

38
Figura 4: Esquema representado los parámetros de análisis del ingreso de cloruros al hormigón

Figura 5: a) Penetración de cloruros Q y b) migración de cloruros M. Disminución de valores de Q y M (aumento de resistencia al ingreso de cloruros) con el tiempo

pruebas de migración rápida de cloruros M de un día de duración (NTBuild492, 1999). En este ensayo se establece un diferencial eléctrico entre las caras de una probeta de hormigón, una de las cuales está en contacto con una solución de NaCl. Debido a este campo eléctrico que acelera enormemente el proceso, los iones cloruro migran del cátodo al ánodo a través de la probeta de hormigón. Este método asume de manera conservadora que el coeficiente de migración de cloruros M = Do (fib, 2006), aunque para algunos autores M = 2Do (Li et al., 2015).

Un modo de dar más fuerza al análisis asociado consiste en atribuir ciertas distribuciones estadísticas a cada factor de las ecuaciones. Estas distribuciones son conjeturas también cuestionables, porque los valores centrales de las distribuciones no se conocen con certeza, pero permiten a través de simulaciones de Montecarlo entregar la curva probabilística de ocurrencia de la corrosión.

El modelo CTK-ServiceLifeDesign® desarrollado en Chile para la aplicación en estructuras marítimas se basa en estos conceptos (construtechnik.cl), incorporando adicionalmente el parámetro de la temperatura, basado en el modelo Duracon (Gjørv, 2013; PIANC, 2016).

La Figura 6 muestra un ejemplo de la estimación de la vida útil utilizando este modelo. En este caso se trata de estructuras de hormigón sumergidas que se ubicarán en las aguas del Estrecho de Magallanes con una temperatura promedio anual de T = 7.4°C. Los parámetros utilizados para la obtención de una vida útil VU = 20 años, aparte de la temperatura, fueron tomados desde experiencias internacionales, son Cs = 0.70% peso hormigón, Ccr = 0.05% peso hormigón, Co = 0%, m = 0.45 para cemento tipo puzolánico, THyd =10 años, xc = 50 mm, utilizando en todos los casos una distribución normal de los parámetros con una desviación estándar de 10%.

Figura 6: a) Concentración de cloruros versus espesor de hormigón superficial y b) probabilidad de corrosión versus tiempo. Diseño por vida útil para un hormigón sumergido según el modelo CTK-ServiceLifeDesign®

39 Ebensperger, L. (2023). 33, 34-44

Ebensperger, L. (2023). Diseño por vida útil de infraestructura marítima en hormigón armado: enfoque holístico con experiencias de casos chilenos. 33, 34-44

Bajo estas condiciones se requiere contar con un hormigón que presente una resistencia al ingreso de cloruros determinada según la segunda ley de Fick con Do = 7.4 x 10-12 m2/s (ver Figura 6a). En este caso, a pesar de ubicarse la estructura en una zona de clima frío, debido al hecho de encontrarse sumergida no estará sometida a la acción de ciclos de hielo/deshielo. La Figura 6b muestra un análisis probabilístico en el cual se indica que a la edad de 20 años se estima que la probabilidad de inicio de la corrosión (tiempo de iniciación Ti) será de un 10%, equivalente a un índice de confiabilidad β =1.30 según las recomendaciones del modelo Duracrete (fib, 2006).

Por otro lado, el problema de modelar el tiempo de propagación Tp es más complejo que modelar Ti, porque se deben considerar varios fenómenos como la velocidad de corrosión, la función de resistividad y suministro de O2 y el proceso de aparición y crecimiento de grietas en el hormigón.

La asociación de la vida útil con Ti se puede aceptar para estructuras sujetas a entornos severos como zonas de mareas y salpicaduras, donde Tp es bastante corto: 6 años según Life-365 (2012). Esto se debe a que las condiciones alternas húmedo-seco aseguran un suministro suficiente de oxígeno (O2) y humedad para promover las reacciones electroquímicas a través del recubrimiento del hormigón. Para ambientes menos severos y especialmente para el caso de corrosión inducida por carbonatación, el criterio de hacer VU = Ti es demasiado conservador y se debe tener en cuenta el tiempo de propagación Tp.

Modelo referencial basado en la permeabilidad al aire

A los inicios de los años 90 se inició el desarrollo y la aplicación pionera a través de 2 estudios de largo alcance de Torrent y Ebensperger (1993) y Torrent y Frenzer (1994) de un método de ensayo END capaz de medir el coeficiente de permeabilidad al aire in situ. Este innovador método ha sido incorporado como un método estandarizado de ensayo in situ en la norma suiza SIA262/1 (2013) y cuenta con una actualización después de 10 años, orientada específicamente a entregar recomendaciones y especificaciones para su control in situ.

El nuevo método referencial basado en el método ExpRef descrito por Torrent et al. (2022) es simple pero robusto, y se basa en correlaciones obtenidas a partir de

resultados de investigaciones a nivel mundial que han correlacionado la difusión de cloruros y el ingreso de CO2 a resultados de permeabilidad al aire. Al considerar el nivel de agresividad de la Exposición actuante, la cual incide de acuerdo al espesor del recubrimiento y la Vida Útil de Diseño requerida, especifica el valor de permeabilidad al aire requerido del hormigón superficial en condiciones de obra terminada.

La inclusión de las condiciones reales de confección de hormigones, tanto en laboratorio como in situ, a través de la distribución estadística de los distintos parámetros ya indicados, permiten calcular un valor de vida útil más realista a través del modelo CTK-ConcreLife® (construtechnik.cl). El módulo de diseño permite realizar un análisis para diferentes condiciones de agresividad de la exposición actuante, entregando el resultado en forma

Figura 7: a) Espesor de hormigón superficial versus permeabilidad al aire y b) probabilidad de corrosión versus tiempo de inicio de la corrosión. Diseño por vida útil para un hormigón sumergido según el modelo CTK-ConcreLife®

40

gráfica, así como la probabilidad de inicio de la corrosión del acero Ti en el tiempo (ver Figuras 7a y 7b) para distintas combinaciones de permeabilidad al aire con el espesor de recubrimiento.

En esta fase es necesario preparar un programa experimental integral, con pautas sobre las características de la mezcla y el desempeño de durabilidad requerido, para ser ejecutado por un laboratorio de ensayos calificado. Idealmente se debe trabajar con mezclas propuestas por productores de hormigón interesados, con los materiales previstos de usarse durante la construcción del proyecto, especialmente los tipos de áridos. Tal propuesta, a cargo del autor, fue ejecutada por el consorcio del Puente Chacao en Chile, en que 24 mezclas de prueba de hormigón fueron sometidas a una caracterización completa, incluyendo propiedades mecánicas, reológicas, térmicas y de durabilidad (incluyendo pruebas a largo plazo), para refinar el diseño estructural y de durabilidad de la estructura del puente que cruzará sobre el canal de agua de mar del mismo nombre.

Fase de construcción

Durante la fase de construcción, se debe establecer un estricto programa de ensayos de hormigón, que incluya no solo pruebas mecánicas, sino también pruebas que proporcionen indicadores del comportamiento por durabilidad, en ensayos que pueden durar unos minutos (resistividad eléctrica y permeabilidad al aire), unas pocas horas (penetración y migración de cloruros), unas semanas (penetración de agua a presión), o varios meses (ensayos de inmersión o de difusión de cloruros y resistencia a ciclos de hielo/deshielo). Las correlaciones entre ensayos de corto, mediano y largo plazo, establecidas durante la caracterización completa de las mezclas (fase de diseño), permite verificar que el proceso de producción de hormigones está (o no) bajo control. De este modo se comprueba que los hormigones producidos y entregados para su colocación cumplan con los requisitos especificados.

El control de calidad se lleva a cabo principalmente en probetas confeccionadas en condiciones de laboratorio, cuya calidad generalmente sobreestima a la obtenida en terreno. La durabilidad depende en gran medida de la penetrabilidad del recubrimiento del hormigón, capa que protege al acero. Las malas prácticas de hormigonado se han identificado como un factor importante en el

rendimiento deficiente de la durabilidad de las estructuras, ya que el efecto perjudicial de las malas prácticas es justamente mucho más influyente en el recubrimiento del hormigón que en el núcleo de los elementos de hormigón.

De hecho, las técnicas de colocación y compactación deficientes más la falta de curado (que a menudo resulta en una mayor micro-fisuración) pueden conducir a permeabilidades al aire que son hasta 50 veces más altas que los valores medidos en muestras coladas del mismo lote y curadas en condiciones de laboratorio (Ebensperger y Olivares, 2017). Los factores adicionales incluyen la variabilidad de las condiciones bajo las cuales se procesa el hormigón en terreno y la alta variabilidad que se observa en la profundidad de recubrimiento.

La única forma práctica de tener una evaluación realista de la variabilidad de la penetrabilidad y el espesor del recubrimiento de hormigón es mediante mediciones nodestructivas (END) realizadas in situ sobre la estructura terminada (Figura 8). Por eso se recomienda realizar una investigación regular y extensa tanto de la permeabilidad al aire kT (SIA262/1, 2013) y el espesor del recubrimiento Xc del hormigón en las superficies expuestas de los distintos elementos de una estructura. Estas mediciones se incorporan en el módulo de control in situ del modelo CTKConcreLife®. A la luz de los resultados de este control de calidad (laboratorio e in situ), se revisa el cumplimiento del requisito de permeabilidad al aire y de las predicciones de vida útil.

Por otro lado, existen instrumentos electromagnéticos o de tecnología GPR (penetración de ondas tipo radar) capaces de evaluar de manera no destructiva y precisa la profundidad del recubrimiento de acuerdo a normativas vigentes (BS1881, 1988).

Figura 8: Ejemplos de aplicación de ensayos no destructivos para control de vida útil con el modelo CTK-ConcreLife® (construtechnik.cl), a) humedad del hormigón, b) verificación de armaduras y c) permeabilidad al aire del hormigón

41 Ebensperger, L. (2023). 33, 34-44

Ebensperger, L. (2023). Diseño por vida útil de infraestructura marítima en hormigón armado: enfoque holístico con experiencias de casos chilenos. 33, 34-44

Fase de puesta en servicio y entrega

Toda la información recopilada durante las fases de diseño y construcción debe recopilarse en un informe y un manual de mantenimiento. Un aspecto importante en esta fase es la generación de un Certificado de Nacimiento que, de acuerdo con el código modelo (fib, 2010), debe proporcionar detalles específicos sobre parámetros importantes para la durabilidad y vida útil de la estructura de hormigón armado, bien sea como consecuencia de su grado de exposición (supuestos mal considerados) o de sus características y propiedades (recubrimiento del acero, permeabilidad del hormigón y calidad de la mano de obra lograda).

Las áreas de la estructura detectadas como más vulnerables, es decir, aquellas que muestran mayor permeabilidad al aire in situ y/o profundidades de recubrimiento más bajas, deben identificarse en el informe, enfocando la atención de los ingenieros responsables de los planes de mantenimiento.

Los resultados de los análisis de vida útil esperada calculados mediante el método CTK-ConcreLife®, pueden facilitar la planificación del mantenimiento, la cual debe quedar incorporada en el manual de mantenimiento. Este manual detalla las acciones a llevar a cabo durante la vida útil de la estructura a fin de prevenir con la máxima antelación eventuales deterioros y remediarlos oportunamente. Ambos documentos son de vital importancia para las sucesivas generaciones de ingenieros a cargo de la vigilancia y mantenimiento de estructuras que deben perdurar por varias décadas.

Fase operativa

El plan de mantenimiento debe incluir el seguimiento del desempeño a largo plazo de los elementos estructurales de la obra y de las maquetas, realizadas en las mismas condiciones que los elementos de la estructura. Los sistemas de monitoreo pueden incluir sensores integrados, aplicar ensayos de diagnóstico END, y la obtención de perfiles de cloruro desde testigos extraídos a partir de maquetas. Estas medidas son vitales para juzgar y mejorar la precisión de los modelos predictivos utilizados durante el diseño, ya que sirven como puntos de referencia de calibración. Las mediciones se pueden utilizar para evaluar el desempeño futuro de la estructura real y realizar estimaciones de vida útil residual.

El estudio del comportamiento en el tiempo de una estructura puede quedar reflejado como se ilustra en la Figura 9, la cual es una adaptación de ISO16311 (2014). Para una condición natural de envejecimiento, ocurre un deterioro paulatino con la edad, con la consecuente disminución del nivel de desempeño esperado (curva roja central). La ejecución de un diagnóstico luego de transcurrido un tiempo razonable, de acuerdo con el nivel de agresividad o de daños observados en una estructura, permitirá identificar si el desempeño real de la estructura coincide o no con el de diseño: la curva amarilla a la izquierda indica un desempeño menor.

De no ejecutar ninguna acción, la vida útil remanente se ve drásticamente reducida (cruce de curva roja y amarilla con nivel de desempeño requerido); es necesario ejecutar trabajos de mantención, los cuales pueden ser parciales (escenario A curva azul) o exhaustivos (escenario B curva verde, con mayor costo). En el primer caso se aumenta la vida útil remanente, pero se mantiene por debajo de

42
Figura 9: a) Definiciones de nivel de serviciabilidad (desempeño) de una estructura en el tiempo (ISO16311, 2014), b) mediciones END de ingreso de carbonatación y cloruros y c) nivel de corrosión de armaduras

la de diseño. En cambio, el escenario B permite incluso extender la vida útil original del proyecto. La condición de desempeño Inicial puede ser determinada mediante la ejecución de ensayos sobre la obra terminada, quedando incorporados en el certificado de nacimiento de la estructura.

La ejecución de diagnósticos para determinar la condición real de estructuras existentes es esencial para respaldar el proceso de toma de decisiones con respecto a su conservación y mantención en el tiempo, y determinar además la vida residual o remanente de ésta. Cabe señalar en este aspecto la metodología SIDDE® basada en una serie de ensayos no-destructivos que permiten como objetivo realizar estimaciones de vida residual de acuerdo a mediciones in situ de permeabilidad al aire, espesor de recubrimiento, niveles de corrosión (velocidad y potencial junto a resistividad eléctrica), ingreso colorimétrico de carbonatación y cloruros, y estimaciones de resistencia (construtechnik.cl).

Comentarios finales

El enfoque tradicional del diseño de durabilidad, basado en prescripciones, ha demostrado ser inadecuado para garantizar la vida útil esperada de estructuras expuestas a corrosión. La aplicación de los modelos existentes es difícil para los ingenieros civiles debido a la necesidad de definir parámetros críticos, que son difíciles de determinar incluso para los expertos. La mayoría de los modelos se basan en los resultados de ensayos de laboratorio de probetas que no reflejan la durabilidad real de la estructura ejecutada en obra. Lograr una larga vida útil de las obras expuestas a entornos agresivos solo es posible si todos los involucrados en la cadena de construcción de hormigón reconocen los desafíos y se esfuerzan para construir una estructura de calidad. Se presenta un enfoque integral que involucra medidas que deben tomarse antes, durante y después de la construcción de la estructura. Pone un fuerte énfasis en la calidad del producto final, enfatizando la calidad de la mezcla de hormigón y de las prácticas in situ, las cuales deben ser controladas adecuadamente. Se incluyen experiencias de diseño y control con modelos desarrollados en el país en temas de durabilidad del hormigón armado.

Referencias

ASTM C1556 (2016). Standard test method for determining the apparent chloride diffusion coefficient of cementitious mixtures by bulk diffusion. ASTM International, West Conshohocken, PA, USA

BS1881 (1988). Testing concrete Part 204 - Recommendations on the use of electromagnetic covermeters. British Standards Institutions, Milton Keynes, UK

Di Pace, G., Ebensperger, L., Torrent, R. and Bueno, V. (2019). From cradle to maturity: a holistic service-life approach for concrete bridges. Concrete International 41(4), 47-54

Ebensperger, L. y Olivares, M. (2019). Envejecimiento a mediano plazo de probetas: factor incidente en las estimaciones de vida útil. XV Congreso Latinoamericano de Patología de la Construcción y XVII Congreso de Control de Calidad en la Construcción, CONPAT 2019, Chiapas, México

Ebensperger, L. y Olivares, M. (2017). Especificación y control de durabilidad del hormigón in situ con ensayos no-destructivos: metodología integral de estimación de vida útil con mediciones de permeabilidad al aire y espesor de recubrimiento. Presentación en el Segundo Congreso Internacional de Puentes, Dirección de Vialidad, Santiago, Chile

EN (2004). Eurocode 2: Design of concrete structures - Part 1-1: General rules and rules for buildings. European Standard EN 1992-1-1, Brussels, Belgium

fib (2010). Model code 2010 – Final draft, v.1. Féderation Internationale du Béton, Lausanne, Switzerland

fib (2006). Modelo duracrete. fib Bulletin 34. Féderation Internationale du Béton, Lausanne, Switzerland

Gjørv, O.E. (2013). Durability design of concrete structures in severe environments. CRC Press, USA

ISO16311 (2014). Maintenance and repair of concrete structures – Part 1: General principles. Geneva, Switzerland

Li, Q., Li, K., Zhou, X., Zhang, Q. and Fan, Z. (2015). Modelbased durability design of concrete structures in Hong KongZhuhai-Macau sea link project. Structural Safety 53, 1-12

Life-365 (2012). Service life prediction modelTM and computer program for predicting the service life and life-cycle cost of reinforced concrete exposed to chlorides. Life-365 Consortium II.

43 Ebensperger, L. (2023). 33, 34-44

Ebensperger, L. (2023). Diseño por vida útil de infraestructura marítima en hormigón armado: enfoque holístico con experiencias de casos chilenos. 33, 34-44

NCh170 (2016). Hormigón – requisitos generales. Instituto Nacional de Normalización INN, Santiago, Chile

NTBuild492 (1999). Concrete, mortar and cement-based repair materials: chloride migration coefficient from non-steady-state migration experiments. Nordtest, Espoo, Finland

Oberreuter, R. (2022). Infraestructura costera y portuaria en Chile: desafíos para su desarrollo. Hormigón al Día 78, 30-33

PIANC (2016). Recommendations for increased durability and service life of new marine concrete infrastructure. Report N°162, Brussels, Belgium

Repetto, F., Boré, G., Eliceiry, M., Sabaini, S. and Covarrubias, M. (2019). An innovative approach for corrosion control to enable asset management of steel elements in coastal infrastructure. Obras y Proyectos 26, 37-42

SIA 262/1 (2013). Betonbau – Ergänzende Festlegungen (Concrete structures – supplementary specifications). Swiss Society of Engineers and Architects SIA, Zurich, Switzerland

Torrent, R. and Frenzer, G. (1995). Study on methods to measure and evaluate the characteristics of the cover concrete on sitePart II. Report N° 516, Swiss Federal Highways Office, Bern, Switzerland

Torrent, R. and Ebensperger, L. (1993). Study on methods to measure and evaluate the characteristics of the cover concrete on site. Report N° 506, Swiss Federal Highways Office, Bern, Switzerland

Torrent, R.J., Neves, R.D. and Imamoto, K. (2022). Concrete permeability and durability performance: from theory to field applications. CRC Press, USA

Tuutti, K. (1982). Corrosion of steel in concrete. Research Report 4.82, Swedish Cement and Concrete Research Institute CBI, Stockholm, Sweden

44

Gallegos, M.A. (2023). Puerto Lirquén y su descarbonización: Aplicando medidas de mitigación basado en la reconversión de equipamiento portuario a Hidrógeno verde. 33, 45-53

Puerto Lirquén y su descarbonización: Aplicando medidas de mitigación basado en la reconversión de equipamiento portuario a Hidrógeno verde

Decarbonization of Puerto Lirquén: Applying mitigation measures based on the reconversion of port equipment to green Hydrogen

Marco Antonio Gallegos

Fecha de envío: 4 de noviembre 2022 Fecha de aceptación: 20 de marzo 2023

Escuela de Ingeniería Naval, Facultad de Ingeniería, Universidad Austral de Chile, General Lagos 2086, Valdivia, Chile, m_gallegos__jeria@hotmail.com

Reducir los gases de efecto invernadero está dentro de los compromisos contraídos por Chile en el Acuerdo de París (2015), por lo que la contaminación de los puertos es uno de los aspectos que resolver para cumplir este tratado internacional. El presente trabajo pretende integrar a la matriz energética de DP World Puerto Lirquén el Hidrógeno verde como combustible, considerando para esto: 1) sustituir las grúas horquillas que utilizan diésel por unidades con motorización eléctrica, alimentadas con pilas de Hidrógeno como combustible, 2) fomentar el uso de Hidrógeno verde en remolcadores que prestan servicios en DP World Puerto Lirquén, a través de reconversión de motores diésel a combustión dual, 3) asegurar suministro de Hidrógeno verde instalando una planta de electrólisis para abastecer equipos portuarios y 4) generar externalidades positivas en la población, las que se verían reflejadas en la educación y capacitación en conceptos de energías limpias y el significado de la reducción de gases de efecto invernadero. Para lo anterior, se desarrollan cuatro aspectos principales; análisis técnico, económico, ambiental y social, finalizando con una conclusión de los resultados de estos análisis y su viabilidad.

Palabras clave: Hidrógeno verde, matriz energética, equipamiento portuario

Introducción

Chile se ha comprometido a disminuir los gases de efecto invernadero (GEI) con el fin de detener el cambio climático, por lo que es crucial abordar dicha temática y realizar medidas desde diferentes sectores industriales, siendo uno de estos el portuario. Como concepto, NOx es un grupo de gases compuestos, formados por una combinación de dióxido de Nitrógeno, cuya fórmula es NO2, y óxido nítrico, NO. Cuando hablamos de los NOx,

Reducing greenhouse gases is one of the commitments made by Chile in the Paris Agreement (2015), so port pollution is one of the issues to be resolved in order to comply with this international treaty. The present work intends to integrate green Hydrogen as fuel into the energy matrix of DP World Puerto Lirquén, considering for this: 1) substitute forklifts that use diesel for units with electric motorization, powered by Hydrogen batteries as fuel, 2) promote the use of green Hydrogen in tugboats that provide services in DP World Puerto Lirquén, through conversion of diesel engines to dual combustion, 3) ensure supply of green Hydrogen by installing an electrolysis plant to supply port equipment and 4) generate positive externalities in the population which would be reflected in education and training in clean energy concepts and the meaning of reducing greenhouse gases. For the above, four main aspects are developed: technical, economic, environmental, and social analysis, ending with a conclusion of the results of these analyses and their viability.

Keywords: green hydrogen, energy matrix, port equipment

estamos aludiendo al resultado de la mezcla de ambos. Los óxidos de Azufre o también llamados SOx, son un grupo de gases compuestos por trióxido de Azufre (SO3) y dióxido de Azufre (SO2). El más común es el SO2, ya que el SO3 es solo un intermediario en la formación del ácido sulfúrico (H2SO4), siendo todos los gases detallados anteriormente del tipo GEI. Del concepto anterior, ITF (2016) revela una costa altamente contaminada, donde indica que “la contaminación ambiental local en los puertos de Chile

45

alcanza las 20 800 toneladas de emisiones de NOx, 15 700 toneladas de emisiones de SOx y alrededor de 2 000 toneladas de material particulado”. Los puertos se consideran claves para la adopción de las tecnologías del Hidrógeno y como infraestructura principal para el transporte y el comercio de este. Pueden ayudar a construir un enfoque integrado hacia la transición energética, acelerar la descarbonización y, al mismo tiempo, cumplir los planes del sector marítimo y de los puertos para reducir las emisiones de los combustibles fósiles. Así mismo, el Gobierno de Chile está incentivando diferentes programas y proyectos para el desarrollo de la industria del Hidrógeno dentro del territorio nacional. Como primer paso, estableció la Estrategia Nacional del Hidrógeno Verde, enfocada en impulsar el uso doméstico y la obtención de Hidrógeno para exportación. En la Figura 1, se muestra la proyección de los mercados chilenos del Hidrógeno.

Análisis técnico

DP World Puerto Lirquén cuenta con una flota de 50 grúas horquilla con motorización diésel para las distintas faenas de recepción, operación a bordo, consolidación y despacho de carga. Existen otras unidades impulsadas a GLP, las cuales no forman parte de esta propuesta. Para un año calendario, DP World Puerto Lirquén considera una jornada laboral compuesta por 3 turnos de 7.5 horas cada uno, de lunes a domingo y que los vehículos estarán en movimiento efectivo 18 horas por día, dando como resultado los consumos expresados en la Tabla 1.

El presente trabajo de prefactibilidad es una propuesta que conjuga los objetivos de mitigar el impacto de los GEI y contaminantes locales provenientes del puerto de Lirquén, modificando la matriz energética del puerto, utilizando para esto Hidrógeno verde.

Desarrollo Antecedentes

Este anteproyecto se ubica en la región del Bío Bío, localidad de Lirquén, a 16 km de Concepción por la ruta 150 y a 496 km al sur de Santiago de Chile, por la ruta 5 Sur. Considera su emplazamiento en recintos intra portuarios y adyacentes al puerto (Figura 2).

La utilización de celdas de combustible a Hidrógeno requiere de un sistema de motorización eléctrico, por lo que el equipamiento actual no es compatible con esta tecnología. En este caso, el grupo Hyster-Yale a través de su filial Nuvera, ha desarrollado kits de reconversión para sus grúas eléctricas, los cuales serán considerados dentro del plan de adquisición para esta evaluación. Se proyecta que dichos kits de fuel cells estarán disponibles para comercialización dentro del primer semestre del año 2024.

46 Gallegos, M.A. (2023). 33, 45-53
Figura 1: Proyección de mercados Chilenos de Hidrógeno verde y derivados (ME, 2020) Figura 2: Layout DP World Puerto Lirquén. Las líneas de color indican los distintos sectores que son propiedad del puerto.
Descripción Cantidad Volumen estanque, l Consumo, l/h Consumo diario 18 h, l Consumo diario total, l/d Grúa horquilla forklift H360 XD 16 ton 15 160 14 252 3780 Grúa horquilla forklift H155 FT 7 ton 35 160 14 252 8820
Tabla 2: Estimación de consumo de diésel para grúas horquilla Hyster

Gallegos, M.A. (2023). Puerto Lirquén y su descarbonización: Aplicando medidas de mitigación basado en la reconversión de equipamiento portuario a Hidrógeno verde. 33, 45-53

Para el reemplazo de las grúas por equipamiento similar, existen dos modelos eléctricos; J360XD contrabalanceada, 350 V, capacidad nominal de levante 16400 kg y la J155 XNSL, 350 V, capacidad nominal de levante 7000 kg con desplazador lateral. Como este equipamiento es eléctrico, es necesario instalar un kit fuel cell para adaptar el uso de Hidrógeno al equipo. Dado lo incipiente que son estas aplicaciones para alto tonelaje de carga, el proyecto debe ser desarrollado en conjunto con Hyster-Yale, de manera de poder agendar la producción de las unidades a implementar en el puerto. En la Figura 3, se muestra un ejemplo del kit fuel cell de la marca, con los datos técnicos referenciales.

normar de manera gradual respecto a la exigencia de reducción de emisiones a través de la implementación de tecnología basada en fuentes verdes, junto con medidas de mitigación como la reducción del ralentí, entre otras.

Una forma concreta de fomentar el uso de energías verdes es con la tecnología de combustión dual, que permite la inyección de hidrógeno en los motores diésel existentes en los remolcadores, evitando así los costos de inversión en conversión de las embarcaciones a unidades eléctricas. El porcentaje de sustitución es equivalente a la cantidad de CO2 que se deja de emitir al no combustionar ese porcentaje de diésel. Se considera un factor de sustitución del diésel en un 5% por Hidrógeno gaseoso (Lillo, 2022), utilizando kits de reconversión para este tipo de motores, siendo la sustitución de un 5% del diésel que equivale anualmente a 231 941 litros no consumidos por ambos remolcadores, lo que representa una reducción de emisiones aproximadamente a 630.9 ton de CO2 equivalente. Para lo anterior, existe un kit de reconversión de la empresa ULEMCo que permite la mezcla del Hidrógeno directamente en la cámara de combustión del motor, reemplazando entre 30% a un 70% de la energía proporcionada por el diésel. La tecnología entrega la flexibilidad de que, en caso de que se acabe el suministro de Hidrógeno en los estanques, el buque podrá seguir trabajando sin problemas.

Los remolcadores que operan en la bahía de Lirquén no forman parte de los activos de DP World Puerto Lirquén, sin embargo, los avances tecnológicos en la matriz energética de los buques y lo detallado en OMI (2018), en sus medidas de corto plazo, la inclusión del suministro de energía de fuentes renovables desde tierra a los buques, por lo anterior, se propone; fomentar el uso del Hidrógeno incluyendo dentro de los criterios de evaluación de las licitaciones, opciones más ventajosas al uso de fuentes renovables, además proponiendo a la Autoridad Marítima

La hidrogenera deberá abastecer de Hidrógeno de acuerdo con lo detallado en la Tabla 2, por lo que será necesario emplazar electrolizadores de 7 MW con una capacidad de acopio de 500 kg a 1000 bar, con una estación de conexión externa llenada por camión, compresores de 35 kg/h, por pistón, dos boquereles como dispensadores, con una velocidad de carga de 5 a 10 min y una presión de salida de 700 bar. Su capacidad de producción será menor a 1240 kg/día, con un consumo de energía de 240 kWh/día y de 12400 l/día.

47
Figura 3: Kit Nuvera Fuel Cell Engine (www.nuvera.com)
Tabla 2: Estimación de consumo de Hidrógeno Vehículo Unidades l/día kg/día Blending, 5%H2v Energía total, MJ Energía útil, MJ Energía H2, MJ Fuel cell, kg/día H2v Grúa 16 ton 15 252 204 - 8859 3189 5315 664 Grúa 07 ton 35 252 204 - 8859 3189 5315 1550 REM Ranco 1 4.320 3499 175 151865 54672 91119REM Panguipulli 1 8.424 6823 341 296137 106609 177682Total 516 2215

Un aspecto clave del Hidrógeno verde es el suministro eléctrico, el cual debe ser obtenido por fuentes renovables, por lo que el proyecto considera realizar contrato(s) de energía, conocidos como Power Purchase Agreement (por sus siglas en inglés PPA), con centrales eólicas que se encuentran ya operando o las que entrarán en el corto plazo en la región del Bío Bío. Ciertamente el recurso es intermitente, sin embargo, recientemente, se ha llevado a cabo el proyecto piloto denominado “Brande Hydrogen”, implementado por SIEMENS Gamesa (2021), que ha estudiado la afectación de esta fuente de energía fluctuante sobre el electrolizador, dando estabilidad al suministro eléctrico.

Análisis económico

La rentabilidad es analizada evaluando sólo los efectos que este proyecto genera, sin incorporar posibles acciones sinérgicas, por lo que se utilizarán tres indicadores; Valor Actualizado Neto VAN (1), Tasa Interna de Retorno TIR (2) y Periodo de Recuperación payback (3). Fue necesario un flujo de caja para realizar las evaluaciones financieras, pero no se incluye el detalle, por lo que se presentarán aspectos cualitativos del análisis económico. Lo incipiente de esta tecnología hace que cualquier proyecto que se evalúe económicamente no encuentra una viabilidad esperada por un inversionista, sin embargo, indiscutiblemente a futuro el uso del hidrógeno será parte de toda matriz energética industrial. Actualmente el apoyo estatal está siendo gestionado vía concurso por CORFO, para comenzar a implementar este modelo de negocios a escala industrial. Las condiciones del modelo a 20 años son la de comprar cada año 5 grúas horquilla y a la vez enajenar en el mercado secundario la misma cantidad, producir Hidrógeno verde para los equipos y eventualmente suministrar a los remolcadores habilitados. Se plantearon dos escenarios donde el primero, que implica financiamiento privado, arrojó todos los indicadores negativos y el segundo, donde por medio de subvenciones fiscales se amortizó el costo de la hidrogenera y el compresor de Hidrógeno, fue más optimista, siendo el periodo de recuperación de 18 años.

Donde N es el número total de períodos, t son los años en que se van obteniendo los beneficios de cada período, ft flujo de caja, i tasa de interés aplicada e I0 es la inversión inicial.

Parafraseando el texto escrito por Lind et al. (2022), que define el entorno portuario como multidimensional, ya que en él conviven tres cadenas de valor relevantes y simbióticas entre sí, que nos permiten abordar la problemática de la descarbonización; la cadena de valor de las operaciones marítimas, de los combustibles marinos y la construcción naval. Ciertamente como indica Lind et al. (2022), los derechos de decisión se distribuyen entre todos los interesados y no hay solo un líder que establezca la dirección, por tanto, la adaptación no tiene un centro, sino que es orgánica en respuesta a las presiones de cada parte. Siendo el calentamiento global una condición crítica, es necesario liderar el proceso con un enfoque más colaborativo entre la industria portuaria y los reguladores, en este caso los servicios públicos asociados a la actividad portuaria. Los puertos dando énfasis a la adopción de cambios en sus procesos productivos y adaptando su cadena de valor a este nuevo escenario y los reguladores instando a la acción, apoyando la investigación prometedora con subsidios o estableciendo tarifas y derechos diferenciados entre quienes adopten medidas de descarbonización, considerando la importancia de usar el poder conferido para imponer multas a quienes no cumplan con los nuevos requisitos.

La incertidumbre aumenta las vacilaciones en el uso del Hidrógeno verde, donde se requieren estímulos y mecanismos de apalancamiento financiero, como lo está orientando CORFO con incentivos en la compra de hidrogeneras. Es necesario alinear las estrategias para dar garantías de que estas tres cadenas de valor trabajarán de manera simultánea.

Hay una diferencia importante entre los costos que hacen menos competitivo al Hidrógeno. Sin embargo, hay razones para considerar el uso de los hidrocarburos, que es la Teoría del Peak de Hubbert, también conocida como el cenit del petróleo, considerando que el petróleo posee un límite de explotación, ya que es una fuente de energía no renovable.

48 Gallegos, M.A. (2023). 33, 45-53

Gallegos, M.A. (2023). Puerto Lirquén y su descarbonización: Aplicando medidas de mitigación basado en la reconversión de equipamiento portuario a Hidrógeno verde. 33, 45-53

Esta teoría predice que el crudo declinará su producción y llegará un punto que extraerlo será más caro que venderlo. En lo fundamental, se trata de que existen desafíos en que la comunidad y la industria debe asumir, el compromiso de mitigar los GEI, para así disminuir los resultados del cambio climático y la crisis energética global. Además, se suma a este análisis el cambio tecnológico que afectará a los electrolizadores y los proveedores de energía vía PPA.

Análisis ambiental

El cumplimiento de la legislación ambiental se puede ver resumido en la Tabla 3, siendo obligatorio su ingreso como un estudio de impacto ambiental.

En cuanto a la gestión de aspectos ambientales, se tuvo como referencia la Guía Verde (ESPO, 2021), donde se han definido las diez prioridades medioambientales de los puertos europeos para el 2020, las cuales se han analizado como parte de la evaluación ambiental de este proyecto, y se describen en la Tabla 4. Como último punto del análisis ambiental, se aplica la Chile Agenda 2030 (www.chileagenda2030.gob.cl), firmada por 193 Estados miembros de Naciones Unidas, la que pretende mitigar diferentes desafíos y para ello se establecieron 17 Objetivos de Desarrollo Sostenible (ODS), traducidos en 169 metas y más de 230 indicadores. La Tabla 5 detalla siete ODS asociados a este proyecto.

Análisis social

El puerto está ubicado en la comuna de Penco, localidad de Lirquén con 15 000 habitantes y una superficie de 107.6 km2. La ciudad se fue acercando al puerto, dándose una interdependencia, ya que no se puede hablar solo del puerto, sino de una comunidad portuaria, dentro de la que existen intereses económicos y urbanísticos, evidenciándose un crecimiento sostenido de transformaciones urbanísticas porque la ciudad también ve una ventaja en crecimiento urbano, social o económico con la presencia de un puerto en la zona. Sin embargo, el puerto es un recinto privado y cerrado a la ciudad, lo que evidencia un quiebre en la relación entre ciudad y puerto. No obstante, se da la certeza que ambos se necesitan entre sí y se ven beneficiados; el puerto y el trabajo que genera, las transformaciones territoriales, siendo una relación con el pueblo y no con la ciudad de Penco (Figueroa, 2014). El puerto organizó y dio vida a la población de cooperativa de portuarios, dándole el nombre de quien fuera su gerente por más de treinta años Jaime Le Plaza. Figueroa (2014) relata la creación de la población y la buena conectividad de la zona. Se observa que existen sentimientos de pertenencia de parte de la comunidad, logrando una identidad de ciudad y puerto. Incluso el Liceo Pencopolitano, imparte la especialidad de Operaciones Portuarias, dando una oportunidad a DP World Puerto Lirquén de coordinar la vinculación de los alumnos con estas nuevas tecnologías energéticas.

N° Ley 19.300 Dec. N°40 Tipificación SEIA EIA

1 Art. N°10 - Letra a) Art. N°3 -

49
Tabla 3: Legislación ambiental aplicable al proyecto
DIA
Acueductos
2 Art. N°10
Letra c) Art.
Letra
Centrales generadoras sobre
aplica
3 Art. N°10 - Letra e) Art.N°3
Letra e.6) Estaciones
servicio
aplica
4 Art. N°10 - Letra f) Art.N°3
Letra f.1) Terminales
Aplica
5 Art N°10 - Letra j) Art.N°3 - Letra j) Gasoductos No aplica No No 6 Art. N°10 - Letra ñ) Art.N°3 - Letra ñ) Producción, almacenamiento y transporte sustancias explosivas/inflamables Aplica Si No 7 Art.N°3 - Letra ñ.3) Producción, disposición o reutilización de sustancias inflamables No aplica No
8 Art.N°3 - Letra ñ.4) Producción, disposición
reutilización
aplica
9 Art. N°3 - Letra ñ.5) Transporte por medios terrestres de sustancias tóxicas, explosivas, inflamables, corrosivas o reactivas No aplica No No
Letra a)
No aplica No No
-
N°3 -
c)
3 MW No
No No
-
de
No
No No
-
marítimos
Si No
No
o
de sustancias reactivas No
No No

Tabla 4: Gestión de aspectos ambientales

Aspectos ambientales

Externalidad o impacto

Calidad del aire

En la construcción de la planta se producirán contaminantes locales y GEI, los que irán disminuyendo en la medida que se sustituyan los equipos. La utilización de Hidrógeno en fuel cells produce como resultado del proceso H2O líquido.

Se emitirán GEI aún cuando el proyecto esté en operación, debido a la sustitución gradual de las grúas horquillas.

Mitigación

Monitorear la calidad de aire y mitigar con acciones provista por los contratistas.

Si la tecnología baja de precio en el mediano plazo podría sustituirse más rápido las grúas horquillas, complementando con medidas de disminución del ralentí de los buques.

Cambio climático

Eficiencia energética

Uso de maquinaria ineficiente y pérdida de energía eléctrica debido a la distancia entre la fuente y el electrolizador.

Condiciones contractuales orientadas al uso de maquinarias energéticamente eficientes y contratos PPA cercanos.

Ruido

Relación con la comunidad local

Residuos de buques

Ruidos en la etapa de construcción debido al uso de las diferentes maquinarias.

Control y nivelación de los decibelios de los equipos según normativas locales e internacionales.

El desconocer la tecnología puede ocasionar en la población desconfianza y rechazo.

Involucrará la comunidad local desde las etapas iniciales del proyecto, educando sobre esta nueva tecnología.

El proyecto no tiene injerencia sobre el tratamiento de residuos de los buques. No se consideran medidas.

El proyecto utiliza agua potable para la producción de Hidrógeno, por lo que no se considera tratamiento de aguas o utilización de aguas industriales.

Calidad del agua

Durante la etapa de construcción se producirán residuos industriales sólidos (RISES) de las obras civiles.

Basura y residuos portuarios

Operaciones de dragado

Desarrollo del puerto (relacionado con las tierras)

No se consideran medidas

Retiro por empresa autorizada para disposición en vertedero autorizado.

No se contemplan operaciones de dragado para el proyecto. No se consideran.

Movimiento de tierras para construcción de losa de hormigón para instalación de planta de electrólisis. Disposición de escombros en vertedero autorizado.

50 Gallegos, M.A. (2023). 33, 45-53

Gallegos, M.A. (2023). Puerto Lirquén y su descarbonización: Aplicando medidas de mitigación basado en la reconversión de equipamiento portuario a Hidrógeno verde. 33, 45-53

Tabla 5: Objetivos de desarrollo sostenible

3.9. Para 2030, reducir sustancialmente el número de muertes y enfermedades producidas por productos químicos peligrosos y la contaminación del aire, el agua y el suelo.

3.9.1 Tasa de mortalidad atribuida a la contaminación de los hogares y del aire ambiente. Mejora de la calidad del aire.

Agua limpia y saneamiento

6.4 Para 2030, aumentar sustancialmente la utilización eficiente de los recursos hídricos en todos los sectores y asegurar la sostenibilidad de la extracción y el abastecimiento de agua dulce para hacer frente a la escasez de agua y reducir sustancialmente el número de personas que sufren de escasez de agua.

7.1 Para 2030, garantizar el acceso universal a servicios de energía asequibles, confiables y modernos.

6.4.1 Cambio en el uso eficiente de los recursos hídricos.

Optimizar la gestión y uso del agua en el puerto.

Energía asequible y no contaminante

Industria innovación e infraestructura

7.2 Para 2030, aumentar sustancialmente el porcentaje de la energía renovable en el conjunto de fuentes de energía.

9.4 Para 2030, mejorar la infraestructura y reajustar las industrias para que sean sostenibles, usando los recursos con mayor eficacia y promoviendo la adopción de tecnologías y procesos industriales limpios y ambientalmente racionales, y logrando que todos los países adopten medidas de acuerdo con sus capacidades.

7.1.2 Proporción de la población cuya fuente primaria de energía son los combustibles y tecnologías limpios.

7.2.1 Proporción de energía renovable en el consumo final total de energía.

Uso H2v como combustible y tecnología limpia

Impulso de las energías renovables.

9.4.1 Emisiones de CO2 por unidad de valor añadido.

Impulso del transporte eléctrico de grúas horquilla a Hidrógeno.

Ciudades y comunidades sosteni-bles

11.6 Para 2030, reducir el impacto ambiental negativo per cápita de las ciudades, incluso prestando especial atención a la calidad del aire y la gestión de los desechos municipales y de otro tipo.

11.6.2 Niveles medios anuales de partículas finas en suspensión (por ejemplo, PM2.5 y PM10) en las ciudades (ponderados según la población).

Mejorar la movilidad de vehículos pesados en el entorno portuario.

Producción y consumo responsables

Acción por el clima

12.6 Alentar a las empresas, en especial las grandes empresas y las transnacionales, a que adopten prácticas sostenibles e incorporen información sobre la sostenibilidad en su ciclo de presentación de informes.

12.a Apoyar a los países en desarrollo en el fortalecimiento de su capacidad científica y tecnológica a fin de avanzar hacia modalidades de consumo y producción más sostenibles

13.2 Incorporar medidas relativas al cambio climático en las políticas, estrategias y planes nacionales

12.6.1 Número de empresas que publican informes sobre sostenibilidad.

12.a.1 Capacidad instalada de generación de energía renovable en los países en desarrollo (expresada en vatios per cápita)

Presentación de informe de sostenibilidad, para ser un referente portuario.

Uso de generación renovable.

13.2.2 Emisiones totales de gases de efecto invernadero por año

Reducción de gases de efecto invernadero.

51
ODS Meta asociada Indicador asociado Aplicación
Salud y bienestar

Las zonas portuarias se caracterizan por una alta concentración de actividades industriales y comerciales, lo que impacta en su entorno y la comunidad, tanto en los aspectos sociales, ambientales como en la saturación de la zona en cuanto a la densidad de movimientos viales. En particular, la calidad del aire se ve afectada por el alto flujo de embarcaciones y maquinaria portuaria, siendo una parte del problema la contaminación por emisiones de GEI. Las actividades económicas predominantes son la forestal, pesca artesanal, portuaria, fabricación de vidrios y el comercio minorista, ver detalles en Ilustre Municipalidad de Penco (2020). El enfoque de la comuna es el desarrollo de la cultura, el patrimonio y el reconocimiento de su historia, educando a la ciudadanía, siendo en aspectos económicos la cesantía y la falta de oportunidades para grupos vulnerables; jóvenes y adultos mayores el objetivo dentro de su planificación.

Sin duda, los índices financieros relacionados a este tipo de análisis están asociados a los beneficios que le generan a las Arcas Fiscales y a la población cercana; ingresos por importaciones, impuesto a la renta, impuesto al valor agregado, leyes sociales, costo social del CO2 (1.5 Millones US$ al año 0), generación de empleos por construcción, operación y mantención de la planta, rentas municipales. Hay que considerar además el significado del cambio tecnológico para el entorno ciudadano, el cual se verá con los cambios de paradigmas educacionales respecto a las energías limpias.

Conclusión

El estudio realizado ha permitido evaluar medidas concretas y de un alto impacto para descarbonizar el puerto de Lirquén con la utilización de Hidrógeno verde, siendo la reconversión de las grúas horquilla como la medida prioritaria que se ha propuesto realizar. Lo anterior permite alinearse con las estrategias del Gobierno de Chile en las áreas de Electromovilidad e introducción del Hidrógeno Verde como vector energético que reemplace el uso del diésel, de cara a los objetivos de carbono neutralidad proyectados para el año 2050.

Si bien es cierto se comprobó que, desde las áreas técnicas, ambiental y social, el proyecto tiene una prefactibilidad positiva para el reemplazo de las grúas horquilla y el fomento del Hidrógeno en los remolcadores, aún existen

externalidades tales como la capacidad de fabricación y tiempos de entrega de los componentes que son claves para el proyecto como lo son el Electrolizador y las Fuel Cells para las grúas horquilla. Esto puede ser mitigado trasladando en el tiempo el inicio del proyecto para el año 2024 y generando alianzas estratégicas con los proveedores de estos equipos, además desde el punto de vista económico y financiero, es necesario la presencia del Estado chileno a través de subvenciones y/o apoyos no reembolsables para paliar parte de los altos costos de la tecnología de la planta de electrólisis y con esto incentivar la introducción del Hidrógeno verde en la industria. Debido a que la magnitud de la inversión que involucra el reemplazo de las grúas horquilla además de la construcción de la planta productora de Hidrógeno verde, se identificaron 3 áreas de optimización para reducir los costos de implementación del proyecto:

Desagregar el proyecto en 2 subproyectos: 1) reemplazo de flota de grúas horquilla; 2) construcción de planta productora de Hidrógeno Verde.

Para el proyecto de reemplazo de grúas horquilla, considerar compra de Hidrógeno gris, durante los primeros 5 años, dando espacio para la aparición de proveedores de Hidrógeno verde en la región del Bío Bío.

Evaluar una vez reemplazada la flota de 50 grúas la construcción de la planta de producción in situ.

Hay que considerar que en lo que respecta a los remolcadores, solo se fomenta su uso ya que no forman parte de los activos de DP World Puerto Lirquén. Finalmente, este estudio de prefactibilidad logra el objetivo de ser una guía para identificar las oportunidades dentro de DP World Puerto Lirquén para la utilización del Hidrógeno Verde y ayudar en el camino de la reducción de emisiones y el reemplazo gradual del uso de diésel en sus procesos logísticos. Seamos los primeros.

Agradecimientos

Este trabajo fue realizado sobre la base del proyecto “Aplicando medidas de mitigación basado en la reconversión de equipamiento portuario a Hidrógeno verde, caso DP World Puerto Lirquén”, presentado en el concurso “Factibilidad de puertos sustentables impulsados por H2v en el Bío Bío”, actividad organizada por la Alianza

52 Gallegos, M.A. (2023). 33, 45-53

Gallegos, M.A. (2023). Puerto Lirquén y su descarbonización: Aplicando medidas de mitigación basado en la reconversión de equipamiento portuario a Hidrógeno verde. 33, 45-53

Estratégica Hidrógeno Verde para el Bío Bío, Chile. Doy las gracias al equipo del que fui parte en el concurso impulsado por la Alianza del Hidrógeno Verde de la Región del Bío Bío: Tatiana Orellana, Diego Ávila y Luis Berrios, además en memoria de mi hijo Isaac Gallegos por ser la inspiración de este proyecto.

Referencias

Acuerdo de Paris (2015). https://unfccc.int/sites/default/files/ spanish_paris_agreement.pdf

ESPO (2021). A manual for European ports towards a green future. European Sea Ports Organizations ESPO Green Guide 2021. Brussels, Belgium

Figueroa, V. (2014). Libro de Oro de la historia de Penco Segunda ed., Penco, Chile

Ilustre Municipalidad de Penco (2021). Plan de desarrollo comunal, diagnóstico. http://penco.cl/wp-content/ uploads/2020/12/DIAGN%C3%93STICO-COMUNAL.pdf

ITF (2016). Ports policy review of Chile. International Transport Forum ITF, OECD, Paris, France

Lillo, P. (2022). Combustión dual de hidrógeno. Clase 5, curso: Transporte y uso del hidrógeno. Diplomado en Hidrógeno Verde, Pontificia Universidad Católica de Chile.

Lind, M., Lehmacher, W., Björk, S.Å., Haraldson, S., Pålsson, C., Penttilä, R., Kirsi Tikka, K. and Watson, R.T. (2022). Decarbonizing the maritime sector: Mobilizing coordinated action in the industry using an ecosystems approach. UNCTAD Transport and Trade Facilitation Newsletter N°94 - Second Quarter. Article No. 89. Geneva, Switzerland

ME (2020). Estrategia Nacional de Hidrógeno Verde. Chile, fuente energética para un planeta cero emisiones. Ministerio de Energía, Gobierno de Chile, Santiago, Chile

OMI (2018). Estrategia inicial de la OMI sobre la reducción de las emisiones de GEI procedentes de los buques. Anexo 11, Resolución MEPC.304(72). Organización Marítima Internacional OMI, Londres, Reino Unido

SIEMENS Gamesa (2021). Siemens Gamesa’s groundbreaking pilot project hits key milestone as first green hydrogen is delivered to zero emission vehicles. Press release. Denmark

53

Campos, F., Sepúlveda, M., Abarca del Río, R. and Issler, D. (2023). Study of avalanche models using well-balanced finite volume schemes. 33, 54-63

Study of avalanche models using well-balanced finite volume schemes

Estudio de modelos de avalancha usando esquemas de volúmenes finitos bien balanceados

Fecha de entrega: 21 de diciembre 2022 Fecha de aceptación: 3 de abril 2023

Fernando Campos1, Mauricio Sepúlveda1, Rodrigo Abarca del Río2 and Dieter Issler3

1 Departamento de Ingeniería Matemática DIM and Centro de Investigación en Ingeniería Matemática CI2MA, Universidad de Concepción, Concepción, Chile, fcamposg@udec.cl, maursepu@udec.cl

2 Department of Geophysics, Universidad de Concepción, Concepción, Chile, rabarcadelrio@gmail.com

3 Department of Natural Hazards, Norwegian Geotechnical Institute, Oslo, Norway, Dieter.Issler@ngi.no

Avalanches are natural disasters with substantial human and economic consequences worldwide. Chile, a mountainous country, is particularly susceptible to these events. In this study, we employ a numerical technique based on the Saint-Venant system of differential equations and the well-balanced Finite Volume method with hydrostatic reconstruction to analyse snow avalanche behaviour, taking into account topography and friction as described by the VoellmySalm rheology model. The Rigopiano avalanche in Italy serves as a case study to test and validate our strategy, demonstrating the model’s potential in simulating real-world avalanche events. The numerical model is thoroughly explained, and the results for the real avalanche case are presented visually, showing close alignment with field data and estimates from the literature. In conclusion, we highlight key findings, emphasize the importance of further research in avalanche modelling, and suggest the potential applications of these models for avalanche risk management in regions like Chile.

Keywords: avalanches, natural disasters, Saint Venant's equations, well balanced finite volumes, hydrostatic reconstruction

Introduction

The effects of climate change on natural disasters are attracting considerable attention. These changes are susceptible to trigger snow avalanches. Snow avalanches are defined as the rapid descent of snow masses down steep

Las avalanchas son desastres naturales con importantes consecuencias humanas y económicas en todo el mundo. Chile, un país montañoso, es particularmente susceptible a estos eventos. En este estudio, empleamos una técnica numérica basada en el sistema de ecuaciones diferenciales de Saint-Venant y el método de volúmenes finito bien balanceado con reconstrucción hidrostática para analizar el comportamiento de las avalanchas de nieve, teniendo en cuenta la topografía y la fricción descritas por la reología del modelo de Voellmy-Salm. La avalancha de Rigopiano en Italia sirve como caso de estudio para probar y validar nuestra estrategia, demostrando el potencial del modelo para simular eventos de avalanchas del mundo real. El modelo numérico se explica detalladamente y los resultados para el caso de avalancha real se presentan visualmente, mostrando una estrecha alineación con los datos de campo y las estimaciones de la literatura. En conclusión, destacamos los hallazgos clave, enfatizamos la importancia de seguir investigando en el modelado de avalanchas y sugerimos las posibles aplicaciones de estos modelos para la gestión del riesgo de avalanchas en regiones como Chile.

Palabras clave: avalanchas, desastres naturales, ecuaciones de Saint Venant, volúmenes finitos bien balanceados, reconstrucción hidrostática

slopes as result of gravity, often dragging soil, rocks and vegetation (Pudasaini and Hutter, 2007).

An estimated 250 people per year fatalities are due to snow avalanches worldwide (Schweizer et al., 2015). In certain regions, the economic cost to avoid the effects of snow

54

avalanches can be very high. For example, it is estimated that the average annual cost in Canada exceeds U$5 billion (Schweizer et al., 2015).

In Chile, there are large areas with high altitudes where snow avalanches can occur. According to published statistics on fatalities in central Chile between 1906 and 2001, of the 378 total victims, 241 (63.8%) were related to mining activities, while 52 (13.8%) were related to tourism (Ramírez and Mery, 2007).

Currently, only the mining sector in the Center-North zone uses meteorological records, data analysis, and avalanche simulation for avalanche risk management (Ramírez and Mery, 2007). In Chile, there is no governmental avalanche warning service, and only private groups such as ski resorts and mining enterprises take preventative steps.

Using a numerical model to simulate snow height and flow velocity is one method for analysing avalanche dynamics. Numerous physical models exist to describe avalanches. For this purpose, the Saint-Venant system of differential equations is widely used (Pudasaini and Hutter, 2007). The model includes friction effect as a source term. The frictional rheology model used varies depending on the fluid characteristics. Consideration will be given to the Voellmy-Salm rheology model proposed by Salm (1993) and Voellmy (1955). However, we can mention that other physical models can be used. For example, the SavageHutter equations of various types are used to model avalanches (Savage and Hutter, 1991). The numerical model that we use is the finite volume method, which uses a non-conservative scheme. The main approach is described by Bouchut (2004), along with the hydrostatic reconstruction scheme. This approach will be used to conduct our simulations. The scheme is well-balanced, consistent, and stable (Bouchut, 2004).

We might list a few publications that complement and work with this strategy. The hydrostatic reconstruction is utilized by Audusse (2004) for a well-balanced approach for the Saint-Venant problem with topography, including proofs and numerical examples, as well as an extension to second order. The enhanced second-order approach shown by Kurganov and Petrova (2007) preserves steady states and fluid height positivity. In reference to pyroclastic avalanches, a numerical technique using the Voellmy-Salm

rheology is discussed by de’Michieli Vitturi et al. (2018) along with other numerical examples.

The Rigopiano avalanche in Italy was investigated using the numerical technique in this study. There is abundant literature about this disaster, and numerous studies have been conducted in the zone to establish the event’s characteristics. The meteorological conditions and fluid dynamics are detailed by Frigo et al. (2021). The velocity and departure distance estimates are provided by Issler (2020). We will provide graphs of the numerical simulations performed with the scheme, using estimates for the physical parameters and assumptions about the initial conditions that we consider reasonable according to the available data. Finally, we will conclude, describe various numerical approach enhancements that may be investigated, and provide some suggestions for future studies.

Methodology

We consider the Saint-Venant system with Voellmy-Salm rheology model as avalanche model. The model is given by

where h = h(x, y, t) is the fluid height, u = u(x, y, t) and v = v(x, y, t) are the components of the velocity, z = z(x, y) is the topography height, is the gravitational constant, m is Coulomb’s coefficient of friction (Popov, 2010) and x is the turbulent friction coefficient (Ferziger and Peric, 2002). We also consider the initial conditions:

We define Z = z and we set U = (h, hu, hv) as the system solution. We have made the following assumptions for the avalanche model:

55 Campos, F., Sepúlveda, M., Abarca del Río, R. and Issler, D. (2023). 33, 54-63

Campos, F., Sepúlveda, M., Abarca del Río, R. and Issler, D. (2023). Study of avalanche models using well-balanced finite volume schemes. 33, 54-63

1. The avalanche can be treated as a homogeneous fluid (the density is constant in space and time).

2. The velocity in the vertical direction is negligible.

3. The pressure distribution is hydrostatic in the vertical direction.

4. The curvature of the bed is negligible.

5. Normal and shear stresses on the free surface are negligible.

6. We can consider that the bed has a gentle slope concerning the horizontal plane of reference. This means we can approximate the normal to the bed with the vertical direction.

The last assumption is not realistic in everyday avalanche events with steep terrain. However, first, we will develop the scheme for this model. Later, we will show a more accurate physical model that considers this problem. Then, we will discuss a way to adapt the numerical scheme for the new model.

In this work we use a non conservative finite volume scheme. We study this method in parts, first developing the one dimensional model, then using this scheme for the two-dimensional problem, and finally, we include friction in the model.

One-dimensional frictionless model

The one-dimensional model without friction is given by

We consider a critical point for this system a point (U, Z) such that FU(U, Z) is not invertible. We can write the equations in the form

We define U = (h, hu). We can write the equations as a quasi-lineal system in the variable U = (U, Z). with

The eigenvalues of A(U, Z) are:

Then, we have that at every noncritical point, the system is hyperbolic (A(U, Z) is diagonalizable). The stationary states are the solutions U(x) independent of time. These states are relevant because generally represent the solution when time tend to infinity. The stationary states are the functions h(x) and u(x) that satisfy:

The stationary states at rest are given by In the finite volume method, a mesh of points xi +1/2, i ∈ , in space is created. Finite volumes are defined by Ci = ]xi ˗1/2, xi +1/2[. We consider a time step Δt and define tn+1 = tn + Δt, n ∈ . We want to approximate the solution U(x, t) by discrete values , i ∈ , n ∈ . This is,

We consider a first order non conservative finite volume scheme given by with

56
With

where , and Fl and Fr are the left and right numerical fluxes, respectively.

We impose a Courant-Friedrichs-Lewy (CFL) condition for the time step to allow the convergence of the numerical model. The condition has the following form

It can be proven that with this flux, the scheme is conservative in h, preserves the non-negativity of h in the interface, and is well balanced, consistent and stable. Further details and technical explanations of concepts and the proofs of these propositions are presented by Bouchut (2004).

Two-dimensional frictionless model

where a = max|λ|, is the maximum modulus of the eigenvalues of the matrix system, evaluated for all cells at time step n (Audusse, 2004).

A well balanced scheme for this problem is the hydrostatic reconstruction scheme (Bouchut, 2004). Considering the topography, to calculate the fluxes between the mesh elements it is necessary to reconstruct the left and right solution states at each interface. We denote this states Ul = (hl, hlul) and Ur = (hr, hrur), and reconstructed states as U* l = (h* l , h* l ul) and U* r =(h* r , h* r ur), respectively.

In the hydrostatic reconstruction scheme, the steady state relations are replaced by

Now we can proceed with the avalanche model in two dimensions without friction force. The two-dimensional Saint-Venant problem with frictionless topography is given by

With these relations, the reconstructed states are obtained by where ΔZ = Zr Zl. The fluxes will be given by

where is a consistent numerical flux for the Saint-Venant problem without topography. In our case, we will use the Lax-Friedrichs flux, given by

The solutions of the system can develop discontinuities, which means we have to consider weak solutions. These solutions are well defined under the assumption that the topography z ∈ W1,∞(R) (Dafermos, 2000). To find a unique physical solution we use an entropy condition as an additional admissibility criteria. The details of the theory about uniqueness of solution are explained by Fjordholm et al. (2011). For the finite volume method, we consider a mesh of elements Ci in two dimensions. Let Γij be the edge between the volumes Ci and Cj, and nij the unitary normal vector with orientation from Ci to Cj. Let U n i be the values of the solution in some interior point of the element Ci at time tn. The finite volume method is given by where |Ci| is the area of the control volume Ci, |Γij| is the length of the edge Γij, Ki is the set of indices of the cells that share edges with Ci, and Fij is the flux between Ci and Cj with

57 Campos, F., Sepúlveda, M., Abarca del Río, R. and Issler, D. (2023). 33, 54-63

Campos, F., Sepúlveda, M., Abarca del Río, R. and Issler, D. (2023). Study of avalanche models using well-balanced finite volume schemes. 33, 54-63

Fij = F (Ui, Uj , Zi, Zj, nij) (21)

Let n = (n1, n2) be the unit vector with its rotation matrix given by

And analogously with Fr 2

Two-dimensional model with friction

Let x´ = Rnx and (u´, v´) = Rn1(u, v). Then U´ = (h, hu´, hv´) is a solution to the two-dimensional problem. We can compute the numerical fluxes through the following onedimensional problem

Now we can consider the two-dimensional problem with friction given by (1). Friction in the Voellmy-Salm rheological model includes two parts:

1. Coulomb friction:

2. Turbulent friction:

Let Fl (U´l, U´r, ΔZ) = (Fl0, Fl1, Fl2) be the flux obtained from the one-dimensional problem with U´. Then the left flux of the original two dimensional problem is given by

Each type of friction is treated differently in the numerical scheme. We can include the Coulomb friction in the numerical method by modifying the source term in our scheme. To do this, the numerical fluxes are computed with

Let (h, hu, hv)* = (h, -hu, -hv). By symmetry we have

where xi and xj are arbitrary points in the interior of the elements Ci and Cj, respectively. We define

The right flux of the original two dimensional problem is given by

In the above expression, we use

Now we explain how we solve the one-dimensional problem in (23).

We can obtain the numerical flux for the problem with the first and second equation with the method for onedimensional problems shown in the previous section. The third equation is a passive transport equation

We obtain the flux for this part using

For the turbulent friction, we use a splitting method to ensure the scheme stability (Bouchut et al., 2020). Once the solution of the finite volume method is obtained, which we will denote as h* , u * , v*, we proceed to include the turbulent friction. The final solution is given by

58

where w = u2 + v2 .

Model in global coordinates

As we explained before, the model studied considers a smooth slope. In real situations, this assumption can be unsatisfactory. A way to solve this problem is to use a model in global coordinates that considers the effect on vertical velocity given by steep terrain. The scheme derived from this flow analysis is explained in detail by Zugliani and Rosatti (2021). In Figure 1 we show a control volume for the one-dimensional model with a slope angle θ

This model can be extended to two dimensions, giving the following system

The system of equations in global coordinates is given by

We can rewrite this system in the form of the avalanche model (1) as follows

where

where = cos2 θ and x = cos2 θ. In this way we can use the hydrostatic reconstruction method for this system with the new parameters and x. We recall that this method allows incorporating the Coulomb friction. In the case of turbulent friction, it is added by means of splitting, and to do so the original parameter is used, as can be seen from the system of equations.

Results

The numerical scheme was applied for the case of the snow avalanche of January 18, 2017 at Rigopiano, Gran Sasso National Park (Frigo et al., 2020). This natural disaster

59 Campos, F., Sepúlveda, M., Abarca del Río, R. and Issler, D. (2023). 33, 54-63
Figure 1: Control volume (x is horizontal axis and z is vertical axis). hv is the height of the fluid, zb is the height of the terrain topography and ux is the velocity component in x

Campos, F., Sepúlveda, M., Abarca del Río, R. and Issler, D. (2023). Study of avalanche models using well-balanced finite volume schemes. 33, 54-63

destroyed the Rigopiano hotel, resulting in the death of 29 people. The avalanche was a mixture of snow and wood, displacing rocks and trees in its path. The damage generated in the event shows that the avalanche was of great intensity. Figure 2 shows an aerial view of the path of the avalanche before and after the event.

A simulation of the avalanche at Rigopiano using the system of equations in global coordinates given in (41) is now presented. The numerical method consists of finite volumes with a hydrostatic reconstruction scheme, with the parameters for the new physical model being modified.

Figure

Figure 3 shows a map of the Abrazzo region, where the avalanche happened. The position of the Rigopiano Hotel is indicated. The location of snow measurement points in the area is also shown. We also show a map of Italy with the position of the Abrazzo region.

We worked with a sub-domain of this domain for the numerical simulation, based on the area shown in the Figure 3. This sub-domain’s dimensions are approximately 989 m x 989 m, with approximates coordinates in Figure 4 given by [4.0001·105 , 4.0100·105].[4.6970·106 , 4.6980·106]. The topography in this sub-domain is shown in Figure 5.

Figure 3: Geographical area of the Abrazzo region with the Rigopiano Hotel (green triangle) position. Snow gauges in the area are also shown (yellow circles). Italy map on top with Abrazzo region marked in red. The right diagrams show the relief’s height and slope, indicating the avalanche’s main flow. The image is taken from Bocchiola et al. (2020).

60
Figure 2: Aerial view of the path of the avalanche over Rigopiano Hotel, before (2015) and after (2017) the catastrophic event. The image is taken from Frigo et al. (2020) 4 displays the topography z of the Rigopiano area under study. Figure 4: Rigopiano topography with height z. This surface is considered as the relief without snow of the area. Right scale is given in m Figure 5: Topography in sub-domain with height z. The isolevels are shown. Right scale is given in m

The initial condition for the snow height is considered to be a constant slope with a maximum height of 2 m that goes to 0 m at the isolevel z = 1600 m. As data we used g = 9.8 m/s, µ = 0.15, k = g/x= 0.002 and an angle of slope θ = 30. Figures 6 show the results at different times.

The model we use is the Saint-Venant system with Voellmy-Salm rheology model in global coordinates. The numerical scheme we use is the finite volume method with hydrostatic reconstruction scheme.

The domain used for this simulation is the closer to the real avalanche for the initial snow depth and for the flux behaviour.

61 Campos, F., Sepúlveda, M., Abarca del Río, R. and Issler, D. (2023). 33, 54-63
a) Simulation at t = 0 s. d) Simulation at t = 15 s. e) Simulation at t = 20 s. b) Simulation at t = 5 s. c) Simulation at t = 10 s. Figure 6: Numerical simulation of the avalanche at Rigopiano at different times. The snow depth h is shown with the isolevels. The scale is in m.

Campos, F., Sepúlveda, M., Abarca del Río, R. and Issler, D. (2023). Study of avalanche models using well-balanced finite volume schemes. 33, 54-63

Figure 6a) shows the initial condition. Because the lack of data, we made a reasonable assumption for this condition, with a constant slope with a maximum height of 2 m.

We can see the snow advance in the direction of the slope of the topography, which is the expected result for the avalanche simulation.

Conclusions

In this comprehensive study, we have modelled an avalanche by employing the Saint-Venant system of differential equations, considering topography and friction as described by the Voellmy-Salm rheology model. The finite volume method, with hydrostatic reconstruction, has been utilized to examine a real-world scenario. Our methodology was rigorously tested using various examples from the literature, spanning one-dimensional and two-dimensional cases, as well as both frictional and frictionless scenarios. This comprehensive testing enabled us to calibrate and validate the numerical model, ensuring its accuracy and reliability.

The primary focus of our investigation centred on the Rigopiano avalanche, a real-life event that highlights the importance of steep terrain in determining avalanche outcomes. To accurately model this event, it was crucial to account for the impact of such conditions on flow dynamics and incorporate these effects into the system of equations. While specific information regarding initial snow depth was unavailable, we reasonably assumed a maximum snow height of 2 m. Furthermore, we were able to make well-founded estimations of friction characteristics and slope angle (30 degrees) for the system based on relevant literature and research.

Initially, we chose a smaller domain for our simulations but later discovered that the actual avalanche had originated near the edge of the original domain. By adjusting our model accordingly, we significantly improved the accuracy of our initial numerical results. Our refined model now demonstrates that the snow flux closely aligns with the field data collected at Rigopiano, and the snow velocity is consistent with estimates found in the literature. While more precise data would allow for an even more accurate comparison with the actual avalanche, our initial numerical model offers a reasonable simulation of snow behaviour as a first approach.

Moving forward, there are several possible improvements to be considered. For instance, we could explore more sophisticated physical models that improve the flow characteristics of avalanches. Moreover, it is worth investigating the use of more precise numerical models, particularly regarding the incorporation of friction and the impact of slope angle on velocity. We employed a LaxFriedrichs flux for the numerical scheme and hydrostatic reconstruction, which is straightforward to implement but suffers from excessive numerical dissipation. This limitation can be mitigated by substituting the flux with an upwind HLLC flux and applying second-order extensions using the Osher-Solomon-Toro Riemann solver. We are currently conducting numerical experiments in this area, which could potentially lead to future research.

In Chile, there is significant potential for the application of avalanche-related research, particularly as rising temperatures increasingly impact the region. To address these hazards, it is crucial to employ a variety of investigative methods. Numerical models, such as the one presented in this study, can complement field observations and laboratory research, contributing to a more comprehensive understanding of avalanche dynamics. There are many opportunities for further research in this field in Chile, since developing and refining these models can lead to more effective avalanche prediction and mitigation strategies.

To our knowledge, this study represents the first of its kind in Chile, and we anticipate that the ideas presented here will be further enhanced and applied to other realworld situations in the near future. As research in this area progresses, it has the potential to significantly improve avalanche risk management, ultimately contributing to the safety and well-being of communities in avalancheprone regions. By enhancing our understanding of avalanche behaviour and refining the predictive capabilities of our numerical models, we can develop more effective and targeted strategies for avalanche prevention, preparedness, and response.

In conclusion, this work demonstrates the potential of using the Saint-Venant system of differential equations, coupled with the finite volume method and hydrostatic reconstruction, to model avalanches accurately. Our initial model has shown promising in simulating the Rigopiano avalanche, and with further improvements, it can provide

62

valuable insights into the behaviour of avalanches in various environments. As we refine these models and explore their applications, we can better understand the complex dynamics of avalanches, ultimately working towards more effective avalanche risk management strategies and protecting communities in avalanche-prone areas.

Acknowledgements

F. Campos gratefully acknowledge the funding from FONDECYT 1180868. Research of M. Sepúlveda was supported FONDECYT Grant No. 1220869, ANID project ECOS200018, and by Centro de Modelamiento Matemático (CMM), ACE210010 and FB210005, BASAL funds for centers of excellence from ANID-Chile. Special thanks to Dr. Francois Bouchut for his helpful comments on the computational implementation of the Voellmy-Salm friction term.

References

Audusse, E., Bouchut, F., Bristeau, M.O., Klein, R. and Perthame, B.T. (2004). A fast and stable well-balanced scheme with hydrostatic reconstruction for shallow water flows. SIAM Journal on Scientific Computing 25(6), 2050-2065

Bocchiola, D., Galizzi, M., Bombelli, G.M. and Soncini, A. (2018). Mapping snow avalanches hazard in poorly monitored areas. The case of Rigopiano avalanche, Apennines of Italy. Natural Hazards and Earth System Sciences (discussion), 1-31

Bouchut, F. (2004). Nonlinear stability of finite volume methods for hyperbolic conservation laws and well-balanced schemes for sources. Birkhäuser Verlag, Basel, Switzerland

Bouchut, F., Fernández-Nieto, E.D., Koné, E.H., Mangeney, A. and Narbona-Reina, G. (2021). Dilatancy in dry granular flows with a compressible μ(I) rheology. Journal of Computational Physics 429, 110013

Dafermos, C.M. (2000). Hyperbolic conservation laws in continuum physics. Springer, Berlin, Germany

de’ Michieli Vitturi, M., Esposti Ongaro, T., Lari, G. and Aravena, A. (2019). IMEX_SfloW2D 1.0: a depth-averaged numerical flow model for pyroclastic avalanches. Geoscientific Model Development 12(1), 581-595

Ferziger, J.H., Peric, M. and Street, R.L. (2002). Computational methods for fluid dynamics. Springer Cham, Switzerland

Fjordholm, U.S., Mishra, S. and Tadmor, E. (2011). Well-balanced and energy stable schemes for the shallow water equations with discontinuous topography. Journal of Computational Physics 230(14), 5587-5609

Frigo, B., Bartelt, P., Chiaia, B., Chiambretti, I. and Maggioni, M. (2021). A reverse dynamical investigation of the catastrophic wood-snow avalanche of 18 January 2017 at Rigopiano, Gran Sasso National Park, Italy. International Journal of Disaster Risk Science 12, 40-55

Issler, D. (2020). The 2017 Rigopiano avalanche—dynamics inferred from field observations. Geosciences 10(11): 466, 1-34

Kurganov, A. and Petrova, G. (2007). A second-order wellbalanced positivity preserving central-upwind scheme for the Saint-Venant system. Communications in Mathematical Sciences 5(1), 133-160

Popov, V.L. (2010). Contact mechanics and friction. Springer Berlin Heidelberg, Germany

Pudasaini, S.P. and Hutter, K. (2007). Avalanche dynamics: dynamics of rapid flows of dense granular avalanches. Springer Berlin, Heidelberg, Germany

Ramírez, L. and Mery, J. (2007). Las avalanchas en Chile: efectos y sistemas de control. Revista de la Construcción 6(1), 48-63

Salm, B. (1993). Flow, flow transition and runout distances of flowing avalanches. Annals of Glaciology 18, 221-226

Savage, S.B. and Hutter, K. (1991). The dynamics of avalanches of granular materials from initiation to runout. Part I: Analysis. Acta Mechanica 86, 201-223

Schweizer, J., Bartelt, P. and van Herwijnen, A. (2015). Snow avalanches. In Snow and Ice-Related Hazards, Risks, and Disasters, J.F. Shroder, W. Haeberli and C. Whiteman (eds.), Academic Press, Elsevier, 346–395

Voellmy, A. (1955). Über die Zerstörunskraft von Lawinen (on the destructive force of avalanches). Schweizerische Bauzeitung 73, 212-217

Zugliani, D. and Rosatti, G. (2021). TRENT2D: An accurate numerical approach to the simulation of two-dimensional dense snow avalanches in global coordinate systems. Cold Regions Science and Technology 190, 103343

63
Campos, F., Sepúlveda, M., Abarca del Río, R. and Issler, D. (2023). 33, 54-63

Nazer, A. y Pavez, O. (2023). Sistema constructivo de una fundición de cobre del siglo XIX en Atacama, Chile. 33, 64-73

Sistema constructivo de una fundición de cobre del siglo XIX en Atacama, Chile

Construction system of a nineteenth-century copper smelting in Atacama, Chile

Fecha de envío: 25 de agosto 2022

Fecha de aceptación: 18 de enero 2023

Amin Nazer1,3 y Osvaldo Pavez2,3

1 Departamento de Construcción, Universidad de Atacama, Av. Copayapu 485, Copiapó, Chile, amin.nazer@uda.cl

2 Departamento de Ingeniería en Metalurgia, Facultad de Ingeniería, Universidad de Atacama, Av. Copayapu 485, Copiapó, Chile, osvaldo.pavez@uda.cl

3 Centro Regional de Investigación y Desarrollo Sustentable de Atacama CRIDESAT, Universidad de Atacama, Avenida Copayapu 485, Copiapó, Chile

La minería ha ocupado un sitial importante en la economía chilena desde el siglo XIX y hasta nuestros días. Sin embargo, los oscilantes ciclos de bonanzas y de crisis económicas del sector minero, han dejado vestigios de edificaciones industriales de la minería y la metalurgia del cobre de características muy singulares. El objetivo de este artículo es describir la materialidad y origen del sistema constructivo utilizado en las ruinas de una ex fundición de cobre del siglo XIX ubicada en el puerto de Caldera, en el norte chileno. Los vestigios de las edificaciones, muestran que los cimientos y muros construidos con bloques de escoria de cobre fundida y moldeada in situ, fue una técnica constructiva traída por los constructores y metalurgistas ingleses que arribaron a los centros mineros de Atacama, replicando las técnicas utilizadas en obras inglesas, actividad que permitió valorizar los residuos metalúrgicos.

Palabras clave: bloques de escoria de cobre, fundición de cobre, arqueología industrial, sistemas constructivos, patrimonio minero

Introducción

Marco histórico

Durante el siglo XIX, el surgimiento de nuevos yacimientos de minerales de cobre, oro y plata en el norte de Chile, y la necesidad de expansión del mercado a través de las exportaciones de productos de la minería a nivel global, dio origen al establecimiento de nuevos puertos de embarque, así como también, el cierre de otros, sea por tener baja capacidad de carga de minerales, o porque no garantizaban una navegación segura en sus costas. A mediados del siglo

Mining has occupied an important place in the Chilean economy since the 19th century and up to the present day. However, the oscillating cycles of economic booms and crises in the mining sector have left traces of industrial buildings from mining and copper metallurgy with unique characteristics. The objective of this article is to describe the materiality and origin of the construction system used in the ruins of a former nineteenth-century copper foundry located in the port of Caldera, in northern Chile. The ruins of the buildings show that the foundations and walls built with blocks of copper slag melted and molded in situ, was a construction technique brought by the English builders and metallurgists who arrived in the mining centers of Atacama, replicating the techniques used in English works, an activity that allowed the valorization of metallurgical waste.

Keywords: copper slag blocks, copper smelting, industrial archaeology, construction systems, mining heritage.

XIX, Caldera pasa de ser una caleta de pescadores a un puerto mayor en el norte de Chile, pudiendo importar y exportar productos comerciales a Europa y Estados Unidos. La importancia económica del puerto de Caldera se vio favorecida por la construcción del primer ferrocarril chileno que permitió la salida de minerales desde las minas explotadas al interior de la provincia de Copiapó, situación que a su vez, permitió la instalación de una maestranza que atendió las necesidades del ferrocarril y la reparación de herramientas de la minería. Así también, se instalaron nuevas fundiciones de cobre en las inmediaciones del

64

activo puerto. Actualmente, Caldera es una ciudad portuaria que conserva la tradición exportadora y ha sabido ganar un lugar dentro del turismo de sol y playa en la región de Atacama. En los alrededores del puerto, se pueden observar vestigios de algunas construcciones de finales del siglo XIX de una fundición de cobre inglesa, que por su particular sistema constructivo al emplear ladrillos refractarios y bloques de escoria moldeada en caliente en sus muros y cimientos, le confiere al lugar características singulares que serán estudiadas. La revisión bibliográfica no aporta información sobre estos vestigios, así como tampoco se han reportado estudios sobre la materialidad y origen del sistema constructivo del lugar.

Caldera y su relación con la minería

Como es sabido, la minería de oro, plata y cobre fue la principal industria de Chile, contribuyendo notablemente a la riqueza nacional del siglo XIX (Espinoza, 1897), condición que en gran medida se mantiene hasta nuestros días. Por su abundancia mineral dispuestas en vetas y masas irregulares (Domeyko, 1876), se denominó “zona minera” a las actuales regiones de Atacama y Coquimbo. La exportación de minerales de esta zona minera, desde mediados del siglo XIX se realizaba desde los puertos de Totoralillo, Tongoy, Guayacán, Coquimbo, Sarco, Peña Blanca, Huasco, Carrizal Bajo, Caldera y Chañaral. En el año 1842, el puerto Caldera fue nombrado “puerto mayor” siendo el principal puerto de Atacama, ubicado a 81 km al Oeste de la capital regional Copiapó. Un puerto mayor permite las importaciones y exportaciones de mercaderías de procedencia o con destino al extranjero. La villa de Caldera fue creada posteriormente por decreto en diciembre de 1850, contando a esa fecha, con la exigua población de 50 personas (Philippi, 1860). Desde el año 1851, el puerto de Caldera se comunicó directamente con la ciudad de Copiapó mediante el primer ferrocarril construido en Chile financiado por inversionistas dueños de la mina de plata Chañarcillo (Millán, 2004), ubicada al sur de Copiapó. Por otra parte, en las localidades del interior del Valle de Copiapó, algunas antiguas fundiciones producían cobre metálico, sin embargo, en 1852 no existían fundiciones de cobre en el puerto de Caldera (Treutler, 1958). La red ferroviaria permitió reducir hasta en un 75% los costos de transporte de productos que habitualmente se realizaban en carretas, estimulando la fundición de minerales de cobre

de baja ley de los productores mineros establecidos entre la ciudad de Copiapó y el puerto (Valenzuela, 1992). La abundancia de minas de cobre sulfurado atrajo el interés de inversionistas de la minería, principalmente ingleses y estadounidenses, quienes aportaron capital, mano de obra calificada y nuevas tecnologías en la fundición de minerales de cobre. En consecuencia, la abundancia de cobre, la incorporación de modernos procesos de fundición de la época y un puerto para importación y exportación, fue la tríada perfecta para el crecimiento económico de la zona. En cuanto a la tecnología metalúrgica utilizada, el ingeniero de minas Charles Lambert introdujo en Chile en el año 1830, el horno de reverbero empleando carbón mineral como combustible y desplazando al ineficiente y costoso proceso de fundición del horno de manga que utilizaba madera, por cierto, muy escasa en esta zona desértica de Atacama.

Los hornos de reverbero ya eran utilizados en Chile por la empresa inglesa Mexican and South American Company en 1848 en su fundición de cobre instalada en Guayacán, región de Coquimbo (United States Hydrographic Office, 1876), firma que posteriormente instaló una importante fundición en las inmediaciones del puerto de Caldera (Centner, 1942; Valenzuela, 1992). Esta fundición inicia sus operaciones en Caldera en el año 1853, la cual mantuvo alguna actividad por tres a cuatro años (San Román, 1894), y los minerales llegados al puerto de Caldera por la vía marítima, eran transportados en embarcaciones al otro lado de la bahía, a una “fundición grande” ubicada en la entrada sur del puerto (Petermann, 1875)⁠. En Figura 1, se muestra una postal del puerto en el año 1913 con las chimeneas humeantes de una fundición (Bowman, 1913).

65 Nazer, A. y Pavez, O. (2023). 33, 64-73
Figura 1: Postal del puerto de Caldera en 1913. A la izquierda se pueden observar las chimeneas humeantes de una fundición de cobre (Bowman, 1913)

Nazer, A. y Pavez, O. (2023). Sistema constructivo de una fundición de cobre del siglo XIX en Atacama, Chile. 33, 64-73

Participación inglesa en la metalurgia de Caldera

La empresa Mexican and South American Company, replicó en Caldera la forma de construir los hornos y la tecnología de la fundición de los minerales de cobre europea, generando, además, la demanda de trabajadores con oficios especializados para las faenas. En consecuencia, la minería y la metalurgia promovieron la inmigración de trabajadores galeses a Chile. Un informe, registra que la inmigración de galeses con destino a la región de Atacama era frecuente y anterior a la instalación de la fundición en Caldera. Un registro señala que arribaron 20 mineros galeses que se embarcaron en el puerto de Falmouth en 1830 (Bowman, 1907)⁠.

Durante la década de 1870, con el auge de la metalurgia una nueva corriente migratoria de trabajadores especializados originarios de Gales arribaron a Coquimbo, entre los que se mencionan fundidores, refinadores y albañiles quienes facilitaron la construcción de los hornos de fundición de cobre (Jones, 2017)⁠. En la fundición de Guayacán, región de Coquimbo, vivieron cerca de cien inmigrantes y ha sido probablemente la concentración de galeses más grande de Chile en esa época, lo que reforzaría los fuertes vínculos comerciales establecidos entre Chile y Swansea en el siglo XIX (Jones, 2017)⁠. Por otra parte, además de inmigrantes galeses, arribaron a Chile y Perú, comerciantes, artesanos y, curiosamente se mencionan “futuros novios” irlandeses e ingleses (Monteón, 1975).

También se ha reportado que desde la ciudad metalúrgica de Swansea en Gales, se destinó una inversión con capital a gran escala, implantó tecnologías industriales en entornos muy diversos y movilizó una fuerza laboral transnacional que incluyó a empresarios nacidos en Gran Bretaña (Evans y Saunders, 2015)⁠, contribuyendo con tecnología innovadora en la metalúrgica chilena.

En 1876, operaban en Caldera los Hornos del Norte y los Hornos del Sur ubicados al Este de Caldera, conectados por las líneas del ferrocarril (United States Hydrographic Office, 1876). La denominación de estos hornos, se refiere a hornos de diseño medieval, siendo el Horno del Norte un horno rectangular y el Horno del Sur con forma de colmena (Frank, 1982)⁠. La empresa Mexican and South American Company, pasó de importar minerales de plata y de cobre desde Chile, Perú y Bolivia al Reino Unido, a

exportar desde sus instalaciones en Chile, cobre fundido y minerales de cobre y plata a Estados Unidos, Inglaterra y Hamburgo en Alemania (United States Hydrographic Office, 1876)⁠.

La decadencia minera

La bonanza económica duró tan sólo algunos años, dando paso a la crisis de la minería en la provincia de Atacama, agudizándose durante la década de 1870 (San Román, 2012)⁠. Chile como país productor de cobre, pasó de tener un 90% de participación en el mercado mundial en 1876, a un 4.47% en 1918, debido a diversos factores: la importancia económica de la producción de nitrato por sobre la del cobre, agotamiento de los yacimientos, la Guerra del Pacífico entre Chile y la Confederación PerúBoliviana, la falta de capital y el estancamiento tecnológico, entre otros, afectó enormemente la producción minera (Mamalakis, 1967)⁠. Sin embargo, algunas fundiciones continuaron sus actividades productivas a pesar de todo. Un registro histórico indica que en el año 1884, la empresa norteamericana Hemmenway y Cía. fundó “injenios” de fundición de cobre en varias partes de Chile y uno de importancia en el puerto de Caldera (San Román, 1894)⁠. Según Aracena (1884), en 1884 Caldera contaba con dos establecimientos de fundición de cobre montados en hornos de reverbero (sistema antiguo). Además, menciona que uno de los hornos, perteneciente a la sucesión de F.S. Matta, se encontraba paralizado, mientras que el otro funcionaba solo cuando su propietario, Sr. Sanhueza, disponía de una buena cantidad de minerales para fundirlos. Siendo un negocio aún rentable, también estableció hornos de fundición en el mismo puerto, la casa Hünicken Bahr y después la de Hemmenway y Cía. que funcionó hasta 1880. Asimismo, el establecimiento de Tagle y otros, prosperaron también por algún tiempo en el puerto de Caldera (San Román, 1894). En 1915 se reporta que la planta beneficiadora en Caldera es de propiedad de la Sociedad Industrial Atacama (Gandarillas, 1915)⁠, y en 1920, se menciona que las fundiciones de Caldera y Carrizal eran de propiedad de la empresa America Smelting (Marín, 1920)⁠. Sin duda, los factores económicos que afectaron negativamente al desarrollo de la industria minera y metalúrgica del norte chileno, dejaron pueblos, puertos y establecimientos metalúrgicos abandonados o en el mejor de los casos, con escasa actividad productiva.

66

Abandono de las instalaciones

Uno de los asentamientos metalúrgicos abandonados en Caldera, que fuera propiedad de la Mexican and South American Company, se sitúa en terrenos próximos a la costa, en el sector denominado popularmente como Playa Negra, nombre que adopta debido al color de las escorias repartidas en el lugar. En Figura 2, se puede observar en una vista parcial del lugar, el abandonado escorial de fundición de cobre del siglo XIX que ha incorporado partículas de escoria a la playa producto de la acción de las olas. En la literatura no se encontró información sobre la ubicación exacta de las fundiciones de cobre en Caldera, así como tampoco, la materialidad de sus construcciones y el origen de la técnica de construcción empleada.

El objetivo de este trabajo, es describir la materialidad de un conjunto de ruinas de una ex-fundición de cobre inglesa del siglo XIX en Caldera, Chile. A esta fecha, al no ser reportado estudios sobre la técnica constructiva de estas edificaciones, se pretende contribuir al patrimonio arqueológico industrial de la construcción de un asentamiento metalúrgico del norte de Chile.

mediados del siglo XIX. Diversas fundiciones se instalaron en esa localidad operando desde mediados del siglo XIX hasta la segunda década del siglo XX. La fundición más importante, por su capacidad de producción y tecnología metalúrgica utilizada fue la de la empresa inglesa Mexican and South American Company.

En la actualidad, sólo quedan las ruinas de las construcciones que albergaron las instalaciones de esta fundición. Los escasos muros y cimientos de esos edificios han permanecido en el lugar, pese al desmantelamiento sucesivo y a los agentes ambientales de la costa chilena que los han deteriorado progresivamente. Por otra parte, estas instalaciones han sido afectadas por terremotos y tsunamis. Pese a ello, dada su especial materialidad y sistema constructivo utilizado, permanecen hasta ahora con severos daños, sin embargo, pueden ser motivo de estudio, contribuyendo al rescate patrimonial tanto de la construcción como de la minería chilena.

La zona de estudio, está afecta a inundación por olas marinas destructivas del océano Pacífico. En la Figura 3 se

Conjunto constructivo de la fundición de Caldera

Zonas estudiadas

Como se ha descrito anteriormente, tanto el puerto como la Villa de Caldera, deben su existencia al cobre, mineral que fue producido en Atacama y exportado a Europa y EEUU a

67 Nazer, A. y Pavez, O. (2023). 33, 64-73
Figura 2: Vista actual del vertedero abandonado de escorias de cobre (color oscuro) en Caldera. Figura 3: Ubicación de las zonas de estudio

Nazer, A. y Pavez, O. (2023). Sistema constructivo de una fundición de cobre del siglo XIX en Atacama, Chile. 33, 64-73

ilustra la zona de interés de nuestro estudio y, en la Figura 4 se muestran las cinco zonas de inundación propuesta por el Servicio Hidrográfico y Oceanográfico de Chile (SHOA, 2013), la que podría inundar el área de estudio con olas de altura superiores a los 6 m. Por otra parte, un informe señala al menos la ocurrencia de 6 tsunamis entre los años 1851 y 1930, que han provocado inundaciones en la costa de Caldera con alturas comprendidas entre los 0.7 y los 9 m (Lagos, 2000).

Materialidad

Para confirmar la materialidad de los bloques negros, se ensayó una muestra mediante la técnica de fluorescencia de rayos-X (FRX) para determinar la composición química, y por difracción de rayos-X (DRX) para determinar su mineralogía. Los resultados mostraron que los bloques se componen mayoritariamente de SiO2 (39%), Fe2O3 (31%) y CaO (13%), mientras que la mineralogía es una estructura cristalina formada principalmente por magnetita y fayalita, composición propia de una escoria de cobre (Nazer et al., 2016)⁠. De acuerdo a estos resultados, se confirma que los bloques se fabricaron con la escoria de cobre moldeados en caliente a la salida del horno y una vez fríos, pudieron utilizarse en las edificaciones de muros y fundaciones de la fundición. Las dimensiones de los bloques son variables dependientes del molde utilizado para su elaboración, de esta manera se garantiza el tamaño y forma uniforme del bloque, pero en general son de 20 x 30 x 50 cm (espesor x ancho x largo) y el mortero de pega de las hiladas es una mezcla de cemento, agua y arena de playa.

Descripción del lugar de estudio

En la visita realizada al lugar, se pudo observar el absoluto abandono, con presencia de basura urbana y ausencia total de las instalaciones propias de un establecimiento metalúrgico como hornos y chimeneas, sin embargo, algunos elementos constructivos como muros y cimientos quedan como evidencia de lo que antaño fuera una próspera instalación industrial.

In situ se ha podido delimitar tres zonas (Figura 3) que cuentan con edificaciones con muros y cimientos, principalmente construidos con bloques de escorias de cobre color negro con matices ocre y verde debido a los óxidos de hierro y cobre residual. En algunas partes de las estructuras, los bloques se combinan con ladrillos refractarios de descarte (post mortem) de los hornos. En general, se observa que los elementos constructivos existentes se construyeron con bloques, fragmentos de bloques y trozos de escoria del vertedero.

Con el propósito de describir adecuadamente los vestigios del lugar, se zonificó en tres sitios de interés. La zona 1, corresponde a una edificación que cubre una área aproximada de 460 m², con muros de unos 50 cm de ancho, fundadas en cimientos de albañilerías de bloques de escoria combinados con ladrillos refractarios que nacen bajo el nivel de terreno natural, lo que podría compararse a un subterráneo, que en este caso, se encuentra a cielo abierto. Los muros se elevan con altura variable por sobre el nivel del terreno natural, adaptándose a la topografía del terreno. Como se muestra en Figura 5, la parte interior de los muros conservan parcialmente un revoque de cemento pintado de color ocre, luciendo una albañilería de bloques de escorias de cobre dispuestos en hiladas de soga, y algunos rellenos con ladrillos refractarios post mortem de los hornos de fundición, en hiladas de cabeza.

Además, se observan 3 finas líneas horizontales pintadas con un carácter estético en el revoque interior (Figura 6).

Por otra parte, se puede observar que los bloques de escoria van trabados a la mitad de su longitud, lo que les otorga resistencia adicional a los muros ante solicitaciones sísmicas. El piso de la construcción es de hormigón en mal estado de conservación.

68
Figura 4: Zona que ilustra las alturas de inundación por tsunamis y el área de estudio (SHOA, 2013).

En la zona 2, mostrada en la Figura 7, se ubica una edificación de planta rectangular de 64 m² aproximadamente, formada por 4 muros exteriores y 2 muros interiores perpendiculares entre sí formando 4 áreas independientes, posiblemente dispuestas para el almacenamiento.

Una de sus fachadas se ha derrumbado, probablemente por la acción sísmica. Los materiales que constituyen los muros son de bloques de escoria alternados con hiladas de ladrillos refractarios de la fundición revocados exteriormente con mortero de cemento, el que también está fracturado en toda su superficie.

Los cimientos lo constituyen al menos 2 hiladas de bloques de escoria unidos con mortero de cemento. Se pudo observar que en los encuentros de los muros no hay refuerzos metálicos o de madera, lo que los hace

69 Nazer, A. y Pavez, O. (2023). 33, 64-73
Figura 6: Zona 1: revoque de cemento pintada de color ocre. Se puede observar 3 líneas decorativas más oscuras en el centro y escoria de cobre formando el muro Figura 7: Estructura en la Zona 2, cuenta con 2 muros interiores en perpendicular, formando 4 secciones cerradas Figura 5: Zona 1: a) vista del interior, b) murete exterior con fragmentos de escoria de cobre, c) cimiento de bloques de escoria y d) muro exterior de escoria de cobre con contrafuertes

Nazer, A. y Pavez, O. (2023). Sistema constructivo de una fundición de cobre del siglo XIX en Atacama, Chile. 33, 64-73

vulnerables a las ondas sísmicas causando fracturas verticales y horizontales.

La zona 3 es la que reúne un conjunto de construcciones de materiales variados. En la Figura 8, se observa un conjunto de fundaciones de hormigón armado, de una edad posterior a las estructuras de bloques de escorias. Al igual que en los casos anteriores, no se ha podido determinar el uso para el cual fueron construidas las estructuras, sin embargo, se pueden observar pernos de anclaje de 25 mm de diámetro, los que posiblemente sirvieron para fijar estructuras o máquinas industriales.

En la misma zona, se encuentra un muro construido con 6 hiladas de bloques de escoria y sobre este, continúa con trozos de tertel unidos con mortero de cemento (Figura 9). El tertel es un material natural característico del borde costero del norte chileno, correspondiendo a un suelo cementado natural con abundantes conchuelas, arena

y gravilla (Villalobos, 2016). Como puede observarse en la Figura 9c, los bloques de escoria se disponen alternadamente con hiladas de tendel y cabeza.

En Figura 10 se observa una gran extensión de superficie semi sepultada por la arena del lugar que requiere mayor

70
Figura 9: Zona 3. a) Muro de bloques de escoria y tertel, b) trozos de tertel formando el tramo superior del muro, c) bloques de escoria dispuestos alternadamente en tendel y cabeza y d) detalle encuentro de bloque de escoria y tertel. Figura 8: Fundaciones de hormigón en la Zona 3

estudio a través de excavación. Sin embargo, se pudo apreciar que son fundaciones de bloques de escoria de cobre y en menor cantidad, ladrillos refractarios de los hornos de fundición. Además, en la Figura 10 se observa que se ha vertido escoria fundida en varias capas finas alrededor de las fundaciones.

Construcciones similares

Los vestigios de edificaciones que utilizaron bloques de escorias descritas, es un ejemplo de otros tantos asentamientos metalúrgicos en la región de Atacama del siglo XIX. En la Figura 12, se muestran algunas construcciones en las que también se utilizaron bloques de escoria, las cuales se ubican en las localidades de

En la Figura 11, se puede observar un estanque circular de 1.5 m de diámetro aproximadamente, con el muro construido con fragmentos de escoria y alternadamente con ladrillos refractarios post mortem siguiendo un patrón: por cada dos hiladas de escoria continúa una hilada de ladrillos. El muro está revocado fabricado con mortero de cemento y arena del lugar, con marcas rehundidas formando una cuadrícula que simulan bloques rectangulares de cemento, terminación que le otorga un buen aspecto al estanque.

71 Nazer, A. y Pavez, O. (2023). 33, 64-73
Figura 10: Fundaciones de bloques de escoria sepultadas por arena y escoria vertida en la Zona 3 Figura 11: Estanque circular en Zona 3 Figura 12: Utilización de bloques de escoria en muros de diferentes fundiciones chilenas del siglo XIX. a) Carrizal Bajo, b) Carrizal Alto, c) Canto del Agua y d) La Compañía.

Nazer, A. y Pavez, O. (2023). Sistema constructivo de una fundición de cobre del siglo XIX en Atacama, Chile. 33, 64-73

Carrizal Bajo, Carrizal Alto y Canto del Agua. Otra obra de envergadura que utilizó bloques de escoria de cobre, se encuentra en el sector denominado La Compañía en la Serena, región de Coquimbo.

Como se ha descrito, las edificaciones que se erigieron con bloques de escoria de cobre en Atacama y Coquimbo en el siglo XIX, tienen el sello de los inmigrantes del Reino Unido, quienes trajeron la técnica de transformación de un residuo metalúrgico en un nuevo material de construcción. Esto se confirma al existir evidencias claras de construcciones que utilizaron bloques de escoria en el siglo XVIII y XIX en el Reino Unido y que aún se conservan en Cornwall (Cahill, 2000; Ulkyte y Dowley, 2018), Gloucestershire (AIA, 1992; Spry, 2003), y en Bristol (Etheridge, 2012; Wilkes, 1810; Hughes, 2008)⁠. Incluso la influencia europea del uso de bloques de escoria dejó testimonios en edificaciones en Japón, EEUU, Suecia, Noruega, Finlandia, Alemania y República Checa (Langwagen, 2019).

Comentarios finales

En general, en América Latina, especialmente en Chile, no hay estudios que estén abocados al patrimonio histórico en función de las antiguas fundiciones de cobre. Como se ha descrito anteriormente, hay localidades en las que se ha investigado el uso de materiales de fundiciones de cobre, principalmente los bloques de escorias de cobre utilizados en vivendas, caminos, puentes entre otros, mostrando la importancia que tuvo ese tipo de material en las construcciones de esa época y que hoy en día, reditúan para el sector del turismo histórico-cultural. El presente artículo se centró en resaltar los vestigios constructivos de la fundición que existió en la ciudad de Caldera, pero debe señalarse que existen en Atacama otros lugares que también se pueden destacar, tales como, Carrizal Bajo, Carrizal Alto, Canto del Agua, Potrerillos y Chañaral, donde existieron fundiciones y se usaron las escorias de cobre como material de construcción. Las construcciones que utilizaron bloques de escorias de cobre, si bien no revisten belleza arquitectónica, representan una técnica constructiva única del norte chileno, en el que un residuo minero se valorizó al transformarlo en un nuevo material de construcción que no existía en Chile y que no continuó fabricándose tras apagarse definitivamente los hornos de la

fundición. Por otra parte, el patrimonio histórico de Atacama generado por fundiciones de cobre del siglo XIX no ha sido suficientemente abordado en nuestro país, es por ello, que es imperativo el desarrollo y fortalecimiento de una línea de investigación multidisciplinar con la participación de la academia y de especialistas en construcción, metalurgia, historia, arqueología industrial, entre otros, que aporte al conocimiento y difusión de este patrimonio que forma parte de la historia minero-metalúrgica de nuestro país.

Agradecimientos

Los autores agradecen a la Vicerrectoría de Investigación y Postgrado de la Universidad de Atacama por el financiamiento del proyecto DIUDA Regular N° 22342/2017.

Referencias

Aracena, F. (1884). Apuntes de viaje. La industria del cobre en la Provincias de Atacama y Coquimbo. Imprenta del Nuevo Mercurio, Valparaíso, Chile

AIA (1992). A guide to the industrial archaeology of Glouchestershire. Association for Industrial Archaeology AIA, S. Mills, P. Riemer, I. Standing and R. Wilson (eds.), Cornwall Litho, UK

Bowman, I. (1913). Caldera (Chile), ship in port. AGSL digital photo archive - South America. UWM libraries digital collections.

Bowman, I. (1907). South America. Copiapó Mining Co. Journal by Saunderson, J., 1827-1906. Archives of the American Geographical Society, USA

Cahill, N. (2000). Hayle historical assessment Cornwall. Cornwall Archaelogical Unit, Report for English Heritage, Truro, Cornwall, UK

Centner, C.W. (1942). Great Britain and Chilean Mining 18301914. The Economic History Review 12(1-2), 76-82

Domeyko, I. (1876). Vista de Jeolojia Minera. Ensayo sobre los depósitos metalíferos de Chile, con relacion a su jeolojía i configuracion exterior. Anales de la Universidad de Chile, Santiago, Chile, 441–582

72

Espinoza, E. (1897). Jeografía descriptiva de la República de Chile. Imprenta Litografía I Encuadernación Barcelona, Santiago, Chile

Etheridge, D. (2012). Bristol & West Archaeology. Land off Crews Hole Road, Bristol: Archaeological Desk-Based Assessment Report. Project 11/2389, Bristol and West Archaeology Limited, Bristol, UK

Evans, C. and Saunders, O. (2015). A world of copper: globalizing the Industrial Revolution, 1830-70. Journal of Global History 10(1), 3–26

Frank, S. (1982). Glass and archaeology. Academic Press, London, UK

Gandarillas, J. (1915). Bosquejo del estado actual de la industria minera del cobre en el estranjero i en Chile. Imprenta y Litografía Universo, Santiago, Chile

Hughes, S. (2008). The characteristics of extractive and smelting landscapes of the Industrial Revolution at Swansea and Blaenavon. Landscape History 30(1), 21-47

Jones, B. (2017). Migración laboral e intercambios culturales: trabajadores galeses del cobre en Chile durante el siglo XIX. Revista de Historia Social y de las Mentalidades 21(1), 155–177

Lagos, M. (2000). Tsunamis de origen cercano a las costas de Chile. Revista de Geografía Norte Grande 27, 93–102

Langwagen, S. (2019). Slag blocks - the rudimentary history of a forgotten building material. Master dissertation, Uppsala Universitet, Gotland, Sweden

Mamalakis, M. (1967). The American Copper Companies and the Chilean Government, 1920-1967: Profile of an Export Sector. Discussion papers, Economic Growth Center, Yale University, New Haven, Connecticut, USA

Marín, S. (1920). La industria del cobre en Chile: problemas nacionales. Imprenta Universitaria, Santiago, Chile

Millán, A. (2004). La minería metálica en Chile en el siglo XIX Editorial Universitaria, primera edición, Santiago, Chile

Monteón, M. (1975). The British in the Atacama Desert: the cultural bases of economic imperialism. The Journal of Economic History 35(1), 117-133

Nazer, A., Payá, J., Borrachero, M.V. and Monzó, J. (2016). Characterization of Chilean copper slag smelting nineteenth century. Revista de Metalurgia 52(4), e083

Petermann, A. (1875). Die südamerikanischen Republiken Argentina, Chile, Paraguay und Uruguay nach dem Stande der geographischen Kenntniss in 1875. Gotha: Justus Perthes, Germany

Philippi, R. (1860). Viage al desierto de Atacama. Librería de Eduardo Anton, Santiago, Chile

San Román, F. (1894). Reseña industrial e histórica de la minería y metalurjia de Chile. Imprenta Nacional, Santiago, Chile

San Román, F. (2012). Desierto y cordilleras de Atacama 18381902. Biblioteca Fundamentos de la Construcción de Chile, Sagredo Baeza, R., Santiago, Chile

SHOA, (2013). Carta de inundación por tsunami de las localidades de Caldera, Calderilla y Bahía Inglesa. Servicio Hidrográfico y Oceanográfico de la Armada de Chile SHOA, Valparaíso, Chile

Spry, N. (2003). Eighteenth Century slag construction blocks in Gloucestershire- a survey. Gloucestershire Society for Industrial Archaeology Journal 2003, 36-58

Treutler, P. (1958). Andanzas de un alemán en Chile 1851-1863. Editorial del Pacífico, Santiago, Chile

Ulkyte, G. and Dowley, T. (2018). Slag: not just waste. http:// bristoldigberkeley.blogspot.com/2018/05/slag-not-just-waste. html (27/06/2020)

United States Hydrographic Office (1876). The coasts of Chile, Bolivia, and Perú. Government Printing Office, N° 59, Washington DC, USA

Valenzuela, L. (1992). The Chilean copper smelting industry in the mid-nineteenth century: phases of expansion and stagnation, 1834-58. Journal of Latin American Studies 24(3), 507-550

Villalobos, F. (2016). Mecánica de suelos. 2da ed., Ediciones UCSC, Concepción, Chile

Wilkes, J. (1810). Encyclopaedia Londinensis – Bristol. London, UK

73 Nazer, A. y Pavez, O. (2023). 33, 64-73

Villalobos, F., Weidlich, I., Wolf, I., Hay, S. y Fumeron, J. (2023). Calefacción distrital en Chile y avances en la investigación de interacción entre suelo y tuberías en redes de calefacción distrital. 33, 74-83

Calefacción distrital en Chile y avances en la investigación de interacción entre suelo y tuberías en redes de calefacción distrital

District heating in Chile and advances in the investigation on soil-pipe interactions in district heating networks

Fecha de entrega: 30 de enero 2023

Fecha de aceptación: 20 de mayo 2023

Felipe A. Villalobos1, Ingo Weidlich2, Ingo Wolf3, Stefan Hay4 y Javier Fumeron1

1 Departamento de Ingeniería Civil, Universidad Católica de la Santísima Concepción, Alonso de Ribera 2850, Casilla 297 Concepción, Chile, avillalobos@ucsc.cl (Orcid: 0000-0002-5419-3958), jfumeron@magister.ucsc.cl

2 Infrastructural Engineering, HafenCity University Hamburg, Hamburg, Germany, ingo.weidlich@hcu-hamburg.de (Orcid: 00000003-2653-0133)

3 Quality Assurance and Standardization Consultant, Colmarer Straße 1, Bremen, Germany; formerly at enercity Netz GmbH, Hannover, Germany, bremer.freiheit@htp-tel.de

4 Project Manager and Scientific Instructor in District Heating, Cooling and Combine Heating and Power (CHP), Research and Development, AGFW, Frankfurt am Main, Germany, s.hay@agfw.de

El alto nivel de contaminación atmosférica en las ciudades del centro y sur de Chile debido en gran parte a la combustión de leña ocasiona graves daños a la salud de las personas, tala de bosque nativo, incendio de viviendas y deceso de personas. Una alternativa funcionando por más de 100 años en el hemisferio norte es la calefacción distrital. En Chile existen dos sistemas de calefacción distrital funcionando por varias décadas y en los últimos años pequeños proyectos lentamente en aumento. Se plantea promover la calefacción distrital para un mayor número de población, ya sea usando fuentes de energía industriales que son desperdiciadas o de energía renovable no contaminante. Luego, se enfoca el análisis a la red de tuberías de distribución subterránea en relación a su interacción con el suelo en términos mecánicos y térmicos. Estas tuberías son de acero, aisladas con espuma y protegidas con un encamisado plástico. Se presentan resultados de mediciones en un circuito de tuberías instrumentado conectado a una red de calefacción distrital en operación. Los desplazamientos axiales de las tuberías en condiciones estacionarías son posibles de estimar adecuadamente mediante las metodologías de cálculo disponibles. Sin embargo, condiciones estacionarias de cambios bruscos de temperatura y presión son difíciles de estimar.

Palabras clave: calefacción distrital en Chile, interacción suelo-tuberías, monitoreo, temperatura del suelo, desplazamiento axial de las tuberías

The high level of air pollution in the cities of central and southern Chile, largely due to the burning of firewood, causes serious damage to people’s health, felling of native forests, house fires, and people’s deaths. An alternative that has been working for more than 100 years in the northern hemisphere is district heating. In Chile, there are two district heating systems operating for several decades and in recent years small projects have been slowly increasing. It is proposed to promote district heating for a greater number of population, either using industrial energy sources that are wasted or from non-polluting renewable energy sources. Then, the analysis is focused on the buried distribution pipe network in relation to its interaction with the ground related to mechanical and thermal response. These pipes are made of steel, insulated with foam and protected with a plastic jacket. Results of measurements in an instrumented pipe circuit connected to a district heating network in operation are presented. The axial displacements of the pipes in stationary conditions are possible to adequately estimate using the available calculation methodologies. However, steady-state conditions of sudden changes in temperature and pressure are difficult to estimate.

Keywords: district heating in Chile, soil-pipe interaction, monitoring, soil temperature, axial displacement of pipes

74

Introducción

El centro y sur de Chile atraviesan desde hace ya varias décadas por graves problemas de contaminación atmosférica, especialmente en los meses de otoño e invierno. Se continúan registrando altos niveles de contaminación del aire en ciudades como Talca, Chillán, el gran Concepción, Los Ángeles, Temuco, Padre las Casas, Valdivia, Osorno y Coyhaique, solo por nombrar las ciudades más pobladas. El alto nivel de material particulado MP proviene principalmente de la combustión de leña en estufas domiciliarias. Se debe tener en cuenta que el 40% del consumo energético residencial en el año 2018 (50.8 TWh total) corresponde al uso de leña (el doble respecto al año 2008 (Pastén, 2012)), seguido por un 31% de gas, 26% electricidad y el 3% restante en otros como parafina y pellets (CDT, 2019). En Temuco se ha medido que más del 93% del MP emanado de estufas a leña corresponde a MP2.5, el cual conduce a serias enfermedades y muerte prematura principalmente en bebes y ancianos (Celis et al., 2004; Schueftan y González, 2013; Silva y Arcos, 2011; Silva y Godoy, 2016). Aunque existen estrategias estatales para tratar de contrarrestar la contaminación del aire, estas medidas ofrecen solo una leve mejora y una reacción tardía al problema en vez de eliminarlo (DS39, 2014). Recomendaciones tales como el uso de leña no tan húmeda o estufas nuevas o prohibir el uso de estufas a leña solo después de alcanzar elevados niveles de contaminación (emergencia ambiental) claramente no resuelven el problema de contaminación (Schueftan y González, 2013, 2015). La emergencia ambiental se alcanza cuando los niveles de PM2.5 están por sobre 250 mg/m3, lo cual ocurre habitualmente en Temuco u Osorno, por ejemplo. Es importante mencionar el gasto anual de miles de millones de dólares en programas de salud para enfermos al pulmón y vías respiratorias, en gran parte ocasionados por los altos niveles de contaminación atmosférica (MMA, 2013). A lo cual se suma la deforestación indiscriminada de bosque nativo para proveer leña (Álvarez et al., 2021; Boso et al., 2022). Las estufas a leña también han sido la causa de incendios de viviendas y la muerte de personas. En términos prácticos, las estufas a leña requieren de constante vigilancia y mantención, desde el adecuado almacenamiento al corte de astillas y su colocación en la estufa (Hernández et al., 2016).

En los últimos años ha surgido la posibilidad de implementar filtros en las chimeneas para retener gran parte de los contaminantes y también ha habido un lento, pero constante reemplazo de la leña por pellet. Además, existen otras formas de calefacción menos contaminante al ambiente exterior como el gas, electricidad o kerosene, aunque algunos sistemas a gas y parafina producen contaminación intradomiciliaria. La eficiencia y costo por kW/h de cada tipo de sistema de calefacción es variable y depende en gran parte de la mantención del equipo, pero en general es de alrededor de $50 kW/h en el caso más favorable al usar pellet o leña de muy baja humedad. Para estufas a gas licuado, kerosene o eléctricas este valor a lo menos se duplica (Hernández et al., 2016). Sin embargo, todas estas formas son individuales, aplicadas en un solo punto o a lo más a una sola vivienda. Es por ello, que surge la necesidad de contar con un sistema de calefacción que optimice los recursos energéticos y ofrezca una entrega masiva tal como el agua potable y electricidad. Este sistema existe hace más de cien años en el hemisferio norte y se denomina calefacción distrital (Frederiksen y Werner, 2013; Werner, 2017). La Figura 1(a) muestra una tapa de la red de calefacción distrital (Fernwärme) en la ciudad de Hamburgo en Alemania y la Figura 1(b) muestra una tapa conmemorativa de los 100 años de calefacción distrital celebrados en 1994.

Este artículo presenta y analiza el sistema de calefacción distrital, primero desde el punto de vista de su desarrollo en el mundo y en Chile. Después, se plantea la problemática de la interacción entre el suelo y las tuberías de una red de calefacción distrital. Finalmente, se incluyen estudios de monitoreo de un circuito de tuberías conectados a una red de calefacción distrital en operación. Se indica que hoy existen las condiciones para desarrollar proyectos más amplios y extensos de calefacción distrital en Chile.

Calefacción distrital

La calefacción distrital consiste en suministrar agua caliente desde plantas de generación de calor hacia redes de calefacción central en edificaciones de viviendas, oficinas, comercio, educacional, hospitalaria y todos los lugares donde sea requerido con la idea de abarcar a la mayor parte de la población de un barrio, sector, ciudad o comuna (Figura 2). La calefacción distrital nace en

75 Villalobos, F., Weidlich, I., Wolf, I., Hay, S. y Fumeron, J. (2023). 33, 74-83

parte como una forma de aprovechar el calor perdido en centrales termoeléctricas (combined heat and power CHP) y en industrias que producen y emiten calor a la atmósfera como parte de sus procesos termoquímicos (excedente industrial EI). Por ejemplo, las centrales termoeléctricas de Coronel en vez de botar agua caliente al mar podrían conducirla a una red de distribución de calefacción distrital. Lo mismo podría hacerse con el calor producido y desperdiciado en Huachipato, Petrox, Cementos Bío Bío y en otras industrias como papeleras. Se ha estimado un potencial de 62 MW de calor residual industrial recuperable para calefacción en 19 plantas industriales (de 31) ubicadas en Coronel, Hualpén, Penco, Talcahuano y San Pedro de la Paz (UDT, 2017). Este calor es de muy bajo costo y, por ello, muy conveniente para calefacción distrital y es lo usado en muchos países. Otra opción son las plantas de calor exclusivo (heat plant HP) para uso directo en calefacción distrital. Actualmente, en este tipo de plantas de calor se están empezando a utilizar fuentes

de energía renovable tales como colectores solares, pozos geotérmicos y biomasa. La gran ventaja de CHP y EI es el ahorro de energía comparado con la generación exclusiva de energía en HP.

La calefacción distrital tiene ventajas en términos de reducción de costos producto de la economía de escala al distribuirse a muchos usuarios. Dado que la calefacción se entrega como calor directamente en el lugar donde se necesita, no se requiere comprar combustible ni destinar espacios de almacenamiento ni mantención de equipos de calefacción. No se emiten residuos o contaminantes en el lugar donde se calefacciona. La calefacción puede estar encendida ininterrumpidamente día y noche, sin tener que apagar y encender para ahorrar dinero o para recargar. Ello permite contar con espacios confortables con una temperatura y humedad estable, lo cual es beneficioso para la salud de todos, especialmente de bebes, niños, ancianos y personas enfermas. En la fuente de generación de calor es posible controlar las emisiones en plantas de calor usando filtros, lo cual permite reducir significativamente las emisiones en una ciudad. En comparación con las emisiones individuales que son muy difíciles de controlar e impedir, incluso con legislación y sanciones. Es por ello que la calefacción distrital es una opción eficiente a considerar en Chile.

76
Villalobos, F., Weidlich, I., Wolf, I., Hay, S. y Fumeron, J. (2023). Calefacción distrital en Chile y avances en la investigación de interacción entre suelo y tuberías en redes de calefacción distrital. 33, 74-83 Figura 2: Esquema de un sistema de calefacción distrital Figura 1: a) Tapa de la red de calefacción distrital en Hamburgo, Alemania y b) tapa conmemorativa de los 100 años de calefacción distrital en Hamburgo

Calefacción distrital en Chile

En Chile existen algunos proyectos de calefacción distrital históricos, los cuales no aprovechan calor de plantas o industrias. El caso más desarrollado, y tal vez el primero en Chile, sea el de las Torres San Borja en Santiago construido en 1969 para 2600 departamentos de 100 m2 en 18 edificios, donde viven aproximadamente 12000 personas. La red de cañerías es de 7 km y el calor fue inicialmente producido por medio de petróleo, luego carbón, gas natural y a partir del año 2012 con biomasa. La caldera es de 3 MW y necesita alrededor de 100 m3 de chip de eucaliptus y pino en invierno y 30 m3 en verano con una humedad menor a 45%. Las emisiones son retenidas por un filtro de precipitadores electrostáticos (cossbo.cl).

Otro ejemplo pionero es el sistema de calefacción distrital instalado en el campus de la Universidad de Concepción. La central térmica data de fines de los años 1960 y principio de los años 1970. Inicialmente usaba carbón, pero desde el año 2007 se cambió a gas para evitar la contaminación atmosférica. La central térmica posee 3 calderas de 3.5 MW de potencia cada una. Las calderas fueron cambiadas el año 2017 debido a las fallas y pérdidas de las calderas de más de 40 años de antigüedad. La red de distribución abastece a unas 20000 personas en 23 edificios del campus (88000 m2). La red no utiliza tuberías aisladas térmicamente para no perder calor en el fluido transportado, lo cual se puede notar al ver y tocar el terreno en superficie.

Más recientemente, se ha construido el año 2012 el proyecto Condominio Frankfurt en Temuco, el cual consiste en usar energía geotérmica para distribuir mediante una red de calefacción distrital a 34 casas aisladas de 134 a 220 m2. Las viviendas fueron construidas con aislación térmica pasiva para un consumo de 37 kWh/m2 al año (consumo 10 veces menor a una vivienda promedio en Chile), carga térmica de 29 W/m2, COP = 5.7 (coefficient of performace) y carga eléctrica de 5.1 W/m2. Se utilizan dos bombas de calor de 36 kW cada una para una temperatura de operación de 42°C (eechile.cl). En el año 2020 en el Condominio Jardines de Luxemburgo en Temuco también se han construido 3 edificios con 90 departamentos con una central distrital aerotérmica (29 kWh/m2 al año, carga térmica de 24 W/m2, COP = 4.0 y carga eléctrica de 6.1 W/m2). Y en el proyecto Sendero Bayo en Valdivia en el año 2021 se construyeron

8 edificios de 1500 m2 con estándar de casa pasiva, el cual consta de una central distrital aerotérmica (6 kWh/m2 al año, carga térmica de 7 W/m2, COP = 4.0 y carga eléctrica de 1.75 W/m2). En todos estos proyectos se provee agua para calefacción y agua caliente sanitaria. En el proyecto de Valdivia también se cuenta con sistema de enfriamiento para el verano.

Por otro lado, se han planteado varios proyectos de factibilidad de calefacción distrital para las ciudades de Rancagua, Temuco, Osorno y Coyhaique (Carrasco et al., 2016; UDT, 2013a,b; UA, 2014; MMA, 2015). De estos estudios económicos se ha concluido que la calefacción distrital es inicialmente más costosa que las formas tradicionales de calefacción individual (leña, kerosene, gas). Se plantea hipotéticamente que si el costo de la construcción de la red de tuberías de distribución fuera subsidiado y la operación de la planta HP de generación de calor fuera privada, el costo para los clientes sería reducido a un nivel competitivo con la calefacción individual. Para Rancagua, el beneficio/costo se estimó en 4.2, es decir, por cada unidad de dinero invertida por el estado (subsidio), el beneficio social es de 4.2. Se ahorrarían 50 millones de euros/año en servicios médicos y hospitalarios si la calidad del aire fuera recuperada, reduciéndose 139 ton/año de MP10 y 135 ton/año de MP2.5 (UDT, 2013b).

Por ejemplo, en la ciudad de Hannover en Alemania, el retorno de la inversión en un proyecto de calefacción distrital completo (red de tuberías y planta) es de alrededor de 10 a 20 años, lo cual es un excelente resultado. Se pueden obtener resultados especialmente favorables con una densidad de población superior a 2000 habitantes por km2. Las ganancias económicas para proyectos basados en CHP y EI están garantizadas. Lo planteado por UDT se refiere a la generación de la energía en plantas HP, lo cual tiene un costo que reduce la ganancia económica. Hoy la interrogante para la industria de la energía y los servicios públicos es la vida útil mínima de la red antes de su recambio. Esta vida útil mínima está establecida en la normativa en 30 años (EN 253, 2020; EN 13941, 2019). Aunque se está estudiando su extensión a 50 años, lo cual forma parte de las investigaciones en curso, siendo parte de ellas el sistema de monitoreo in situ presentado más adelante.

77 Villalobos, F., Weidlich, I., Wolf, I., Hay, S. y Fumeron, J. (2023). 33, 74-83

Aislación térmica

En medio de los altos niveles de contaminación atmosférica en Chile, los efectos negativos del cambio climático se deben contrarrestar, además de implementar una economía sustentable. Por ello, la calefacción distrital representa una tecnología única para el progreso efectivo del país en términos energéticos, ambientales y económicos. Es importante destacar el gran rol que cumple la aislación térmica de las edificaciones para evitar el despilfarro de energía y ofrecer confort a costos razonables. Todas las soluciones de calefacción deben partir por una política de aislación térmica. Si bien en Chile existen recomendaciones y normativa, solo se ocupa para viviendas nuevas y construidas por el estado. Es por ello que se debe extender a todas las viviendas y edificaciones. Envolventes térmicas de edificios y viviendas junto a ventanas con doble vidrio y aislación de entre techo son fundamentales para el éxito de un programa energético y de descontaminación.

Red de distribución

El funcionamiento eficiente de un sistema de calefacción distrital descansa en gran medida en la red de distribución (Hay et al., 2018; Villalobos et al., 2018). La red de distribución está compuesta de tuberías mayoritariamente bajo el terreno que conecta las viviendas y edificios con las centrales térmicas CHP o unidades de producción HP. Las tuberías transmiten un fluido que es agua procesada a altas temperaturas y presiones. Por ello, las tuberías están sometidas a altos niveles de deformación y esfuerzos. Las variaciones de temperatura y presión interna inducen deformaciones y esfuerzos axiales y radiales en las tuberías. Por esta razón, el suelo que rodea a las tuberías interactúa por medio de empujes y roce con los movimientos axiales y laterales de las tuberías. Esta interacción es compleja y representa una importante área de investigación en calefacción distrital para desarrollar diseños adecuados y así evitar roturas, fallas o filtraciones que reducen la calidad del servicio (Villalobos et al., 2019; Hay et al., 2022).

Las tuberías son prefabricadas, por lo general de acero para soportar las altas temperaturas de hasta 140°C y altas presiones de hasta 16 bar. La tubería de acero es adherida con un material aislante térmico que es, por lo general, espuma de poliuretano PUR para reducir las pérdidas de

calor. Finalmente se cubre la tubería con un encamisado de plástico (polietileno PE de alta densidad HDPE) unido al PUR con tecnologías especiales de termofusión para proteger al PUR de dañarse por fricción con el suelo circundante y dar solidez a la tubería en su conjunto (Figura

78
Villalobos, F., Weidlich, I., Wolf, I., Hay, S. y Fumeron, J. (2023). Calefacción distrital en Chile y avances en la investigación de interacción entre suelo y tuberías en redes de calefacción distrital. 33, 74-83 Figura 3: a) Tuberías de calefacción distrital, b) instalación en una zanja en el suelo mostrando uniones de tuberías y c) vista general de la instalación en medio de la ciudad

3(a)). Además, el encamisado de PE permite su más fácil transporte y manipulación y es también una última barrera de aislación. Este tipo de tubería está normada y permite durabilidad (de al menos 30 años de vida útil), resistencia y buen funcionamiento en la mayoría de los casos (EN253, 2020; EN13941, 2019). La Figura 3(b) muestra la instalación de las tuberías en el suelo bajo una zanja mostrando uniones soldadas a la espera del terminado con PUR y HDPE y la Figura 3(c) muestra una vista general de la instalación en una calle.

Interacción suelo-tubería

La rigidez del sistema acero-PUR-PE es de vital importancia para la transmisión íntegra de la fricción del suelo a la tubería. Si la espuma de PUR se despega del acero, el movimiento relativo puede dañar la tubería y generar no solo pérdidas de calor sino posibles filtraciones y roturas. Grandes cambios de temperatura y presión en cortos intervalos de tiempo pueden someter a grandes esfuerzos y deformaciones a las tuberías. El suelo si bien contrarresta en parte los movimientos repentinos, se pueden generar condiciones de esfuerzos en las tuberías que alcancen niveles de fluencia. El comportamiento del aislante PUR bajo las condiciones extremas encontradas en tuberías de calefacción distrital está recién empezándose a investigar para conocer entre otros aspectos su respuesta termomecánica (Doyle et al., 2019; Banushi et al., 2021). Por otro lado, la respuesta del suelo ya sea bajo condiciones de empuje pasivo, activo o en reposo se está investigando para las condiciones especiales de tuberías de calefacción distrital. Se acostumbra utilizar teorías de empujes clásicas para muros o superficies planas enterradas, las cuales no son siempre directamente aplicables a superficies curvas de tuberías (Villalobos et al., 2019).

Se han realizado investigaciones experimentales a pequeña escala en el laboratorio para estudiar la interacción suelotubería (Weidlich, 2008; Weidlich y Achmus, 2008) y también se han llevado a cabo análisis numéricos (Achmus, 1995; Achmus y Rizkallah, 1997; Gerlach y Achmus, 2017). Estos estudios han permitido cuantificar las fuerzas, esfuerzos y deformaciones involucradas en condiciones particulares de análisis y extrapolaciones a condiciones reales de tuberías en operación. Sin embargo, no había sido posible comparar estos resultados experimentales de

laboratorio y numéricos con resultados de desplazamientos medidos en tuberías enterradas pertenecientes a una red de calefacción distrital en operación. Es importante recalcar que la experimentación a escala real de una estructura o sistema ingenieril es muy necesaria, pero no es habitual debido a lo complejo y costoso de su implementación.

Sistema de monitoreo de tuberías de calefacción distrital

AGFW es una asociación que desde 1971 promueve la eficiencia energética, calefacción distrital, climatización y CHP en Alemania y también en otros países de Europa. AGFW reúne a los fabricantes y abastecedores de calefacción distrital, representa al 95% de la industria de calefacción distrital de Alemania que es la más grande de Europa. Como parte de sus proyectos y programas de investigación ha desarrollado un sistema de monitoreo de tuberías de acero-PUR-PE conectadas a un sistema de calefacción distrital en funcionamiento en la ciudad de Chemnitz (Hay et al., 2018; Villalobos et al., 2018). Este proyecto contempla instrumentación con sensores para medir temperatura en las tuberías y el suelo, empujes ejercidos por las tuberías contra el suelo y viceversa, además de sensores para medir los desplazamientos axiales de las tuberías. El diseño, construcción y operación de este sistema de tuberías de ensayo a escala real se dividió en cuatro secciones y se conectó a la red de calefacción distrital de Chemnitz en operación (Figura 4). Este circuito

Figura 4: Vista de la zanja abierta con dos tuberías de calefacción distrital a los costados que llegan a los bloques de hormigón y en el centro se muestra un tubo con los cables de los instrumentos de medición de temperatura, presión del suelo y desplazamiento axial de las tuberías que luego fueron enterrados

79 Villalobos, F., Weidlich, I., Wolf, I., Hay, S. y Fumeron, J. (2023). 33, 74-83

Villalobos, F., Weidlich, I., Wolf, I., Hay, S. y Fumeron, J. (2023). Calefacción distrital en Chile y avances en la investigación de interacción entre suelo y tuberías en redes de calefacción distrital. 33, 74-83

de tuberías instrumentado cuenta con una unidad de control que permite realizar cambios de temperatura y presión del fluido. Además, se han realizado variaciones en los tipos y cantidad de uniones entre tramos de tuberías y se han usado suelos arenosos fino y grueso. También, se han estudiado las propiedades geotécnicas de los suelos usados para el relleno de las zanjas donde se instalan las tuberías (Villalobos et al., 2019).

La Figura 5 muestra la variación de la temperatura con el tiempo del fluido proveniente de la red de calefacción distrital (~125°C), el cual es disminuido a 90°C en la red de monitoreo usando un fluido de enfriamiento. La temperatura exterior también aparece en el gráfico, donde los máximos (saltos) representan el sol directo sobre el sensor.

de 20 días. La temperatura es menor en los puntos más distantes T6, T11 y finalmente T7. Las temperaturas T18 y T21 fueron medidas en la esquina (codo) de la tubería con colchón, el cual actúa como aislante y, por ello, son las más bajas. La Figura 7 presenta resultados medidos de desplazamiento axial a lo largo de la sección 4 del circuito de monitoreo en función del tiempo y la temperatura del fluido. Variaciones similares del desplazamiento fueron medidas en las otras secciones. Además, se incluye una estimación del desplazamiento para suelo suelto y denso determinada usando el procedimiento de cálculo de AGFW FW 401 (2021). Resulta evidente observar en la Figura 7 como el desplazamiento aumenta de forma no lineal desde

Figura 5: Variación de la temperatura en el tiempo del fluido medido en la unidad de control

El circuito monitoreado se dividió en cuatro secciones para su análisis. La Figura 6 muestra mediciones de temperatura en una esquina de la sección 1 alrededor y a lo largo de la tubería. Las temperaturas más altas (T23) fueron medidas directamente sobre la tubería sin el colchón de protección. El colchón se utiliza para controlar el empuje y roce ejercido por las tuberías sobre el suelo y viceversa, es decir, reducir la fricción en la interfaz suelo y tubería cuando la tubería se deforma producto de cambios marcados de temperatura. Luego, las temperaturas medidas en el suelo alrededor de la tubería con colchón (T6 a T11) se distribuyen de acuerdo a la proximidad a la tubería. Así, sobre la tubería ocurren las mayores temperaturas (T8), sigue al costado (T10) y en diagonal (T9), siendo estas últimas casi similares después

80
Figura 6: Variación en el tiempo de la temperatura en el suelo alrededor de la tubería Figura 7: Desplazamiento axial de la tubería medido y estimado a lo largo de la tubería (Hay et al., 2022)

el punto donde la tubería está fija en el centro dentro de un bloque de hormigón (ver Figura 4) hasta el codo en la esquina (no fijo), donde se obtiene el valor máximo. Este aumento del desplazamiento de la tubería se produce por el aumento de la temperatura del fluido transportado en la tubería.

Se concluye que, a pesar de que la condición inicial de los suelos es suelta, pero producto de la expansión de las tuberías durante la operación, se produce un reacomodo y arreglo de las partículas de suelo induciendo una densificación. Sin embargo, esta es una hipótesis para explicar los primeros resultados obtenidos. Se requiere de posteriores verificaciones en terreno y laboratorio para confirmar los niveles de densificación del suelo. Los resultados de empujes en reposo permiten corroboran las estimaciones teóricas, en orden de magnitud, pero su variación es difícil de interpretar.

Otro aspecto a considerar son los ciclos de carga y descarga aplicados a las tuberías por medio de la variación de la temperatura del fluido transportado. Se ha reportado una disminución de las fuerzas de fricción con el número de ciclos en arena densa en ensayos de laboratorio (Weidlich y Achmus, 2006). Sin embargo, esto necesita ser probado en condiciones a escala real y en arena suelta.

Discusión y comentarios finales

En estos últimos años se han realizado proyectos de calefacción distrital en Chile para condominios de casas y edificios en Temuco y Valdivia, los cuales usan geotermia y aerotermia. Sin embargo, aún no se han desarrollado proyectos de calefacción distrital de mayor envergadura que involucre miles de habitantes, tal como en los proyectos pioneros de los años 1960 y 1970 en Santiago y Concepción, aún en funcionamiento. Esto se debe principalmente a la falta de iniciativa privada sumado a la necesidad de un mayor énfasis en las políticas energéticas estatales de respaldo a la calefacción distrital.

La calefacción distrital puede producir un gran impacto social, económico y ambiental. Es capaz de proveer energía de forma confiable a miles y millones de hogares, lo cual ocurre desde hace más de un siglo principalmente en el hemisferio norte. En estos momentos los desafíos son transformación, descarbonización y optimización de los sistemas actualmente en funcionamiento. Esto con el objeto

de alcanzar las metas para contrarrestar el aumento de las temperaturas que está provocando el cambio climático. Se debe destacar que están disponibles los conocimientos y las tecnologías para construir y operar de forma eficiente, económicamente conveniente y ambientalmente sustentable proyectos nuevos de calefacción distrital en Chile.

Agradecimientos

Se agradece el apoyo brindado por la agencia de alemana de energía AGFW y en particular al financiamiento otorgado por el Ministerio Federal Alemán de Economía y Energía (fondo 03ET13335). El primer autor quisiera agradecer el financiamiento de ZEIT Stiftung a través de una pasantía de investigación en la Universidad HafenCity de Hamburgo en Alemania. El primer y quinto autor agradecen el apoyo brindado por la Dirección de Investigación de la Universidad Católica de la Santísima Concepción (fondo DIREG 04/2021).

Referencias

Achmus, M. (1995). The calculation of stresses and displacements of underground district heating pipelines. PhD thesis, Institute of Geotechnics, Leibniz University of Hannover, Germany (in German)

Achmus, M., and Rizkallah, V. (1997). The interaction between underground district heating pipelines and the surrounding soil. International Conference on Soil Mechanics and Foundation Engineering, Hamburg, Germany, A.A. Balkema, Rotterdam, the Netherlands, vol. 2, 943–946

AGFW FW 401 (2021). Installation and calculation of preinsulated bonded pipes for district heating networks. Part 10: Static design; basics of stress analysis. Frankfurt am Main, Germany

Álvarez, B., Boso, A., Rodríguez, I., Hofflinger, A. and VallejosRomero, A. (2021). Who buys certified firewood? Individual determinants of clean fuel adoption for promoting the sustainable energy transition in southern Chile. Energy, Sustainability and Society 11(1), 1-9

Banushi, G., Vega, A., Weidlich, I., Yarahmadi, N., Kim, J., Jakubowicz, I. and Sällström, J.H. (2021). Durability of district heating pipelines exposed to thermal aging and cyclic operational loads. Journal of Pipeline Systems Engineering and Practice 12(1), 04020067

81 Villalobos, F., Weidlich, I., Wolf, I., Hay, S. y Fumeron, J. (2023). 33, 74-83

Villalobos, F., Weidlich, I., Wolf, I., Hay, S. y Fumeron, J. (2023). Calefacción distrital en Chile y avances en la investigación de interacción entre suelo y tuberías en redes de calefacción distrital. 33, 74-83

Boso, A., Hofflinger, A., Garrido, J. and Álvarez, B. (2022). Breathing clean air or cheaply heating your home: an environmental justice dilemma in Chilean Patagonia.

Geographical Review 112(5), 667-687

Carrasco, R., Jiménez, J. y Mardones, C. (2016). Análisis costobeneficio de la calefacción distrital en la zona central de Chile.

Revista Internacional de Contaminación Ambiental 32(1), 35-45

CDT (2019). Uso de energía de los hogares Chile 2018. In-Data, Corporación de Desarrollo Tecnológico CDT. Informe para el Ministerio de Energía, Santiago, Chile

Celis, J.E., Morales, J.R., Zaror, C.A. and Inzunza, J.C. (2004). A study of the particulate matter PM10 composition in the atmosphere of Chillán, Chile. Chemosphere 54(4), 541–550

Doyle, L., Weidlich, I. and Illguth, M. (2019). Anisotropy in polyurethane pre-insulated pipes. Polymers 11(12), 2074

DS39 (2014). Establece norma de emisión de material particulado para los artefactos que combustionen o puedan combustionar leña y pellet de madera. Ministerio del Medio Ambiente, Gobierno de Chile

EN 13941 (2019). District heating pipes. Design and installation of thermal insulated bonded single and twin pipe systems for directly buried hot water networks: Part 1: Design. Part 2: Installation. European Committee for Standardization, Brussels, Belgium

EN 253 (2020). District heating pipes. Preinsulated bonded pipe systems for directly buried hot water networks. Pipe assembly of steel service pipe, polyurethane thermal insulation and outer casing of polyethylene. European Committee for Standardization, Brussels, Belgium

Frederiksen, S. and Werner, S. (2013). District heating and cooling. Studentlitteratur, Lund, Sweden

Gerlach, T. and Achmus, M. (2017). On the influence of thermally induced radial pipe extension on the axial friction resistance. Energy Procedia 116: 351–364

Hay, S., Weidlich, I., Wolf, I. and Villalobos, F.A. (2022). Analysis of pipe axial displacements from a monitored pipeline connected to an operating district heating network. Proceedings of the Institution of Civil Engineers - Energy 175(3), 150-161

Hay, S., Villalobos, F.A., Weidlich, I. and Wolf, I. (2018). Analyses of axial displacement measurements from a monitored district heating pipeline system. Energy Procedia 149, 84-93

Hernández, V., Böttcher, D. and Villalobos, F.A. (2016). A small geothermal project of low enthalpy in Bío Bío sand. First International Conference on Energy Geotechnics, Kiel, Germany, Wuttke, Bauer and Sánchez (eds.), Taylor & Francis Group, London, UK, 637-643

MMA (2015). Proyecto piloto de calefacción distrital en Coyhaique. Presentación Seremi del Medio Ambiente de Aysén, Ministerio del Medio Ambiente, Chile

MMA (2013). Primer reporte del estado del medio ambiente. Ministerio del Medio Ambiente, Santiago, Chile

Pastén, C. (2012). Chile, energía y desarrollo. Obras y Proyectos 11, 28-39

Schueftan, A. and González, A.D. (2015). Proposals to enhance thermal efficiency programs and air pollution control in southcentral Chile. Energy Policy 79, 48–57

Schueftan, A. and González, A.D. (2013). Reduction of firewood consumption by households in south-central Chile associated with energy efficiency programs. Energy Policy 63, 823–832

Silva, A. y Arcos, D. (2011). Aplicación del programa AERMOD para modelar dispersión de PM10 emitido por equipos de calefacción a leña en la ciudad de Constitución. Obras y Proyectos 9, 4–10

Silva, A. y Godoy, G. (2016). Modelado de la dispersión de material particulado en la ciudad de Los Ángeles (Chile) a partir de las estufas a leña en el período de invierno usando AERMOD. Obras y Proyectos 20, 44-54

UA (2014). La calefacción distrital se perfila como una solución para el problema de la contaminación en Temuco. Noticias uatonoma.cl, Universidad Autónoma de Chile

UDT (2017). Estudio para la identificación de calor residual para proyectos de calefacción distrital ubicados en el área Metropolitana de Concepción. Estudio de prefactibilidad técnica y económica. Unidad de Desarrollo Tecnológico, Universidad de Concepción, Chile

UDT (2013a). Calefacción distrital con biomasa en Chile. Evaluación de prefactibilidad técnica, económica y social de proyectos piloto en Osorno. Unidad de Desarrollo Tecnológico, Universidad de Concepción, Chile

UDT (2013b). Calefacción distrital con biomasa en Chile. Evaluación de prefactibilidad técnica, económica y social de proyectos piloto en Rancagua. Unidad de Desarrollo Tecnológico, Universidad de Concepción, Chile

82

Villalobos, F.A., Hay, S., Weidlich, I. and Wolf, I. (2019). Design, construction, and operation of a monitored district heating pipeline system. Journal of Pipeline Systems Engineering and Practice 10(3), 04019018

Villalobos, F., Hay, S. and Weidlich, I. (2018). Monitoring in a district heating pipeline system. International Symposium on Energy Geotechnics SEG-2018, Lausanne, Switzerland, A. Ferrari and L. Laloui (eds.). Springer Series in Geomechanics and Geoengineering, 132-139

Weidlich, I. (2008). Investigation of friction on cyclically and axially displaced buried pipes. PhD thesis, Institute of Soil Mechanics, Foundation Engineering and Waterpower Engineering, Leibniz University of Hannover, Germany

Weidlich, I. and Achmus, M. (2008). Measurement of normal pressures and friction forces acting on buried pipes subjected to cyclic axial displacements in laboratory experiments. Geotechnical Testing Journal 31(4): 334–343

Weidlich, I. and Achmus, M. (2006). Reduction of friction forces between soil and buried district heating pipes due to cyclic axial displacements. 10th International Symposium on District Heating and Cooling, 18-27

Werner, S. (2017). International review of district heating and cooling. Energy 137: 617–631

83
Villalobos, F., Weidlich, I., Wolf, I., Hay, S. y Fumeron, J. (2023). 33, 74-83

Ballate, A., Robert, D., Martín, P. y Fernández, I. (2023). Métodos estáticos equivalentes para el análisis dinámico de edificios altos bajo cargas de viento en Cuba. 33, 84-99

Métodos estáticos equivalentes para el análisis dinámico de edificios altos bajo cargas de viento en

Cuba

Equivalent static methods for dynamic analysis of tall buildings under wind loads in Cuba

Fecha de entrega: 13 de julio 2022

Fecha de aceptación: 18 de enero 2023

Amaya Ballate Delgado, Dora Robert López, Patricia Martín Rodríguez e Ingrid Fernández Lorenzo

Facultad de Ingeniería Civil, Universidad Tecnológica de La Habana José Antonio Echeverría CUJAE, Calle 114 No. 11901 entre Ciclovía y Rotonda, Marianao, apartado Postal 19390, La Habana, Cuba, amayaballated@civil.cujae.edu.cu, dorarol@tesla.cujae.edu.cu, patriciamr@civil.cujae.edu.cu, ingridfl@civil.cujae.edu.cu485

Los diseños actuales de edificios altos se caracterizan por un creciente aumento en la altura, una mayor esbeltez y el uso de materiales ligeros por lo que estas estructuras presentan gran susceptibilidad ante las acciones dinámicas de la carga de viento. El método factor de efecto de ráfaga (FER) se emplea en varias normas internacionales para la determinación de la respuesta dinámica de edificios altos bajo carga de viento, este método difiere de la metodología empleada por la norma de viento cubana vigente (NC285, 2003). En este trabajo se compara la norma cubana vigente NC285 (2003) con la propuesta de actualización según los parámetros del viento, el método estático equivalente utilizado, los valores del cortante en la base y los desplazamientos máximos considerando como objetos de estudio dos edificios de 100 y 152 m de altura. Además, se presenta un procedimiento de cálculo de las aceleraciones actuantes y los criterios de aceleraciones límites permisibles. Los resultados en los edificios objeto de estudio muestran que la aceleración máxima transversal rige el estado de servicio para los estudios de confort. Los valores de desplazamientos máximos son mayores para la nueva propuesta de la norma solo en la dirección de viento que proviene directamente del mar.

Palabras clave: edificaciones altas, componente dinámica, cargas de viento

Introducción

Los edificios altos son estructuras sensibles frente a las acciones del viento y el sector hotelero demanda este tipo de edificaciones especialmente en sitios donde no hay mucha disponibilidad de terreno. Ejemplo clásico de

Current designs of tall buildings are characterized by a gradual increase in height, greater slenderness and the use of lightweight materials, so they are highly susceptible to the dynamic actions of wind load. The gust effect factor (FER) method is used in several international standards for the determination of the dynamic response of tall buildings under wind load, this method differs from the methodology used by the current Cuban wind standard (NC285, 2003). This paper compares the current Cuban standard NC285 (2003) with the proposed update according to the wind parameters, the equivalent static method used, the values of base shear and maximum displacements considering as objects of study two buildings of 100 and 152 m high. In addition, a calculation procedure of the acting accelerations and the permissible limit acceleration criteria are presented. The results for the buildings under study show that the maximum across wind acceleration governs the serviceability state for the comfort studies and the maximum displacement values are higher for the new proposed standard only in the wind direction coming directly from the sea.

Keywords: tall buildings, dynamic component, wind loadings

esta situación lo constituye la inserción de nuevas obras en las cabeceras de provincias, donde La Habana es el destino turístico que tiene el mayor número de proyectos de edificios altos en ejecución en Cuba. La necesidad de una correcta evaluación de las cargas de viento sobre edificios altos ha motivado el estudio de las tendencias

84

internacionales en la determinación de su respuesta bajo la acción del viento, donde se ha identificado la importancia de la actualización de la norma cubana de viento vigente (NC285, 2003).

En Cuba, el método de análisis para la consideración de la componente dinámica del viento en las estructuras se incorporó a la norma de viento a partir del año 1983 (NC53-41, 1983, 1990; NC285, 2003). El método se adoptó a partir de los estudios realizados por Llanes Burón (1984a, 1984b, 1988) y el método que propone la norma rusa de cargas en estructuras (SNiP2.01.07-85, 2001). El método propuesto en la NC285 (2003) presenta limitaciones ya que varios parámetros, como el factor de aceleración reducida, no quedan claramente definidos, no se han podido identificar los fundamentos teóricos con los principios y conceptos definidos en la Ingeniería de Viento y no se corresponde con los métodos propuestos en el resto de las normas internacionales (AIJ, 2018; AS/NZS1170.2, 2021; EN1991-1-4, 2005; IS:875(Part-3), 2012; ISO4354, 2020; NBCC, 2020).

A partir del estudio de las referencias internacionales y la comparación de las normas de acción del viento sobre las estructuras se identificó el método factor de efecto de ráfaga FER como el más aplicado internacionalmente para el análisis de edificios altos. Además, el método FER incluye la consideración de las tres componentes: longitudinal, transversal y torsional. Los estudios comparativos entre normas internacionales (García Miranda et al., 2019; López Litvinovich et al., 2018) desarrollados en Cuba han utilizado las características de las velocidades básicas y de turbulencia de los vientos del país para la aplicación de diferentes variantes del método FER según las normativas europea (EN1991-1-4, 2005), internacional (ISO4354, 2020), india (IS:875(Part-3), 2012) y japonesa (AIJ, 2018). Los resultados de estos trabajos mostraron que, a pesar de las diferencias entre los métodos en las normas estudiadas, y que no se conoce la base teórica de la NC285 vigente, en la mayoría de los casos los valores de desplazamientos y fuerzas interiores fueron similares. Además, se identificó la necesidad de evaluar la influencia de las componentes transversales y torsionales en la respuesta frente al viento de los edificios altos.

Otro de los chequeos para tener en cuenta en el análisis de los edificios altos es el efecto de las oscilaciones y

aceleraciones inducidas por el viento en los humanos. La norma cubana de viento vigente NC285 (2003) no contiene ningún procedimiento para la determinación de las aceleraciones inducidas por el viento ni los valores permisibles en edificaciones altas para chequear el estado límite de servicio. Además, el método propuesto para la consideración de los efectos dinámicos de la carga no es compatible con las formulaciones reconocidas internacionalmente para calcular las aceleraciones, que están basadas en el método FER. Se han realizado estudios donde se determinaron las aceleraciones máximas longitudinales, transversales y torsionales mediante una metodología propuesta a partir de la revisión e interpretación de las normativas internacionales de acción del viento sobre las estructuras (Ballate Delgado et al., 2021a, 2021b). Los resultados de estos estudios mostraron que los mayores valores se obtuvieron para la aceleración en la componente transversal.

El presente trabajo tiene como objetivo describir los fundamentos y las metodologías propuestas para la actualización de la norma cubana de viento NC285 (2003) en cuanto a la determinación de las fuerzas de viento y aceleraciones inducidas en edificios altos. Los resultados comparativos entre la norma cubana vigente y las metodologías propuestas se aplican en dos edificios altos de 100 y 152 m de altura de hormigón armado.

Metodología

Estudio comparativo entre normas de viento para la determinación de la componente dinámica

La expresión de las presiones de viento en la dirección longitudinal sobre una edificación se define de forma general como proponen Kwon y Kareem (2013):

donde qz es la presión del viento en la altura z, G es el factor de efecto ráfaga y Cp es el coeficiente de presión. La presión del viento puede ser generalizada según:

donde ρ es la densidad del aire, Cexposición es el perfil de

85 Ballate, A., Robert, D., Martín, P. y Fernández, I. (2023). 33, 84-99

Ballate, A., Robert, D., Martín, P. y Fernández, I. (2023). Métodos estáticos equivalentes para el análisis dinámico de edificios altos bajo cargas de viento en Cuba. 33, 84-99

velocidad o factor de exposición, Ctopografía es el factor de topografía, Cdirección es el factor de direccionalidad del viento, Cimportancia es el factor de importancia del edificio y C(otro) es un factor que tiene en cuenta otros aspectos, como la zona de huracanes o el intervalo medio de recurrencia (periodo de retorno).

Como refleja el estudio de Kwon y Kareem (2013) se encontró que una causa importante de la divergencia entre las normas era la definición del perfil de la velocidad del viento adoptada por cada norma (logarítmica o potencial), y la selección de la altura de referencia para el cálculo de la carga (0.6H en la ASCE 7-10 (2010) y en la EN19911-4 (2005) y H para el NBCC (2020) y la AS/NZS1170.2 (2021), donde H es la altura total de la edificación).

El factor de efecto de ráfaga para la componente longitudinal se puede escribir en formato general según (Kwon y Kareem, 2013): donde GLF es el factor de carga de ráfaga, Gq es el factor de ráfaga para la presión de la velocidad del viento. La expresión (3) representa lo que se definirá como coeficiente dinámico global para tener en cuenta las fuerzas estáticas equivalentes en la dirección longitudinal. GLF fue definido originalmente por Davenport (1967) como:

Tabla 1: Comparación de la consideración del efecto dinámico y las componentes de la respuesta entre las normas internacionales de viento estudiadas.

Normas Utilización del coeficiente dinámico global para la componente longitudinal Consideración de las componentes longitudinal, transversal y torsional

ASCE 7-10 (2010)

EN1991-1-4 (2005)

Definido como G (factor de efecto de ráfaga). Tiene un factor multiplicativo adicional de 0.925 introducido para ajustar la predicción para que coincida con versiones anteriores de la norma.

Considera el producto cscd denominado factor estructural.

- cs tiene en cuenta la no simultaneidad de ocurrencia de los máximos de presión sobre la superficie.

- cd tiene en cuenta el efecto de las vibraciones en la estructura debido a la turbulencia.

Las metodologías para estimar el máximo de viento en la dirección transversal y la carga de torsión se proporcionan con un enfoque estático de cargas parciales.

Considera únicamente la componente longitudinal. Si el elemento se estudia de manera aislada ofrece métodos para estimar la respuesta longitudinal y transversal. La torsión se estima mediante la aplicación de combinaciones de carga no uniformes.

NBCC (2020)

Considera el factor de efecto de ráfaga GD que se debe calcular para el diseño del sistema estructural principal por la expresión:

Las metodologías para estimar el máximo de viento en la dirección transversal y la carga de torsión se proporcionan con un enfoque de carga parcial. La torsión se estima mediante la aplicación de combinaciones de carga estáticas no uniformes.

AS/NZ1170.2 (2021)

Se describe como factor de respuesta dinámica cdyn y se determina para estructuras o elementos estructurales con frecuencias naturales fundamentales del primer modo. Para valores mayores que 1 Hz, cdyn =1. Para valores menores que 1 Hz, entre otras especificaciones, se calcula por la expresión: Se consideran las tres componentes de la respuesta frente al viento.

AIJ (2018)

ISO4354 (2020)

Se define como factor de efecto de ráfaga GD para las cargas longitudinales Se consideran las tres componentes de la respuesta frente al viento.

Considera el factor de respuesta dinámica cdyn. Tiene en cuenta las presiones fluctuantes debidas a las ráfagas de viento. Se consideran las tres componentes de la respuesta frente al viento.

86

donde y son los factores máximos para las respuestas no resonantes y resonantes, respectivamente, r es la variable relacionada con la intensidad de la turbulencia, B y R son los factores de respuesta no resonantes y resonantes, respectivamente. El factor de ráfaga para la presión de la velocidad del viento se define según:

relación de amortiguamiento, la expresión (7) muestra la fórmula generalizada. El factor E tiene en cuenta la escala de turbulencia, la frecuencia de oscilación de la estructura y la velocidad media a la altura de referencia, mientras que el factor S depende de la frecuencia, de parámetros geométricos de la estructura y de la velocidad media a la altura de referencia. En la Tabla 2 se muestran las características de algunos parámetros de la respuesta no resonante y resonante según las diferentes normativas.

donde es el factor máximo de la velocidad del viento. En las normas AIJ (2018), NBCC (2020) e ISO4354 (2020), el factor de ráfaga Gq se toma como unidad porque se utiliza la velocidad media del viento en lugar de la velocidad de ráfaga.

La Tabla 1 presenta una descripción de la utilización del coeficiente dinámico global para la componente longitudinal según las normas de viento internacionales, así como la forma en que consideran las componentes de la respuesta del viento longitudinal, transversal y torsional.

Todas las normas utilizan la expresión (6) en diferentes formas para el factor de máximo resonante R (Kwon y Kareem, 2013). En cuanto al factor máximo de la componente no resonante B, las normas ASCE 7-10 (2010), AS/NZ1170.2 (2021) e ISO4354 (2020) utilizan un valor constante, mientras que AIJ (2018), EN19911-4 (2005) y NBCC, (2010) utilizan el factor máximo determinado por:

Tabla 2: Comparación de parámetros de la respuesta no resonante y resonante entre las normas internacionales de viento estudiadas.

Normas

ASCE 7-10 (2010)

Consideraciones de la escala de longitud de turbulencia

Consideración para el espectro de potencia

Ecuación de Kaimal EN1991-1-4 (2005)

NBCC (2020)

AS/NZ1170.2 (2021)

Escala de longitud constante en todas las alturas Ecuación de Davenport

Ecuación de von Karman AIJ (2018)

ISO4354 (2020)

donde v es la frecuencia reducida y T es el periodo de tiempo utilizado para el intervalo de promediación de la velocidad media en segundos.

Para todas las normas el factor de respuesta no resonante B depende de las dimensiones del edificio y la escala de longitud de la turbulencia L(z). La formulación de B varía considerablemente entre las normas. En la norma NBCC (2010), este factor se proporciona gráficamente. El factor de respuesta resonante R se expresa generalmente en función de un factor de reducción de tamaño o reducción por dimensión S, un factor de energía E que es un parámetro adimensional que toma en cuenta el contenido espectral de la turbulencia en el sentido longitudinal y una

La elección del espectro influye en el valor del factor de energía y en el factor de respuesta resonante resultante. Los factores de reducción de tamaño S, aunque todos incorporan la frecuencia natural, la velocidad y las dimensiones del edificio, varían considerablemente en las respectivas formulaciones de las normas analizadas. Las normas AS/NZS1170.2 (2021), AIJ (2018) e (ISO4354, 2020) incluyen un factor de corrección de modo que es igual a la unidad para un modo de vibración lineal.

Para la determinación de las fuerzas interiores y desplazamientos en edificios altos debido a las acciones dinámicas de la turbulencia atmosférica del viento es necesario tener en cuenta las componentes de la respuesta que son divididas en respuesta longitudinal, respuesta transversal y respuesta torsional.

87 Ballate, A., Robert, D., Martín, P. y Fernández, I. (2023). 33, 84-99

Ballate, A., Robert, D., Martín, P. y Fernández, I. (2023). Métodos estáticos equivalentes para el análisis dinámico de edificios altos bajo cargas de viento en Cuba. 33, 84-99

En cuanto a la combinación de las componentes de la respuesta, la norma AIJ (2018) y la ISO4354 (2020) presentan combinaciones de los tres efectos sobre la edificación: longitudinal, transversal y torsional. Las tres componentes no actúan independientes, sino que se combina su efecto para obtener el estado de cargas de viento más desfavorable, en donde cada una de ellas no actúa al 100% de su valor. La norma AS/NZS1170.2 (2021) combina las cargas longitudinales y transversales según una ecuación que integra el efecto de acción derivado de la respuesta longitudinal media del viento, de la respuesta máxima longitudinal y la respuesta máxima transversal. La norma NBCC (2020) y ASCE 7-10 (2010) no contemplan un enfoque dinámico de combinación de la respuesta.

Se propone para la actualización de la nueva propuesta de norma cubana de viento NC285 (2003) seleccionar para la consideración de la componente dinámica debido a la turbulencia atmosférica el método factor de efecto de ráfaga basado en la norma japonesa AIJ (2018) que presenta el mismo enfoque que la norma ISO4354 (2020). La descripción del método en la norma AIJ (2018) contiene la presentación de todos los parámetros involucrados de manera independiente, a diferencia de la norma ASCE 7-10 (2010) y NBCC (2020) que ofrecen un valor numérico global. Además, los métodos de la norma AIJ (2018) y la ISO-4354 (2020) tienen en cuenta las tres componentes de la respuesta frente al viento y sus combinaciones.

Determinación de las fuerzas de viento

La norma cubana vigente NC285 (2003) considera la determinación de las fuerzas de viento en sentido longitudinal de la carga a partir de dos componentes: estática y dinámica (ver Tabla 3), las que deben ser calculadas de forma independiente y luego se suman según la ecuación (8).

Tabla 3: Componentes para el cálculo de las cargas de viento según NC285 (2003)

Componente estática Componente dinámica

Q (kN): fuerza del viento

q10 (kN/m2): presión básica del viento

Ct : coeficiente de recurrencia

Ch : coeficiente de altura

Cr :coeficiente de ráfaga

Cra :coeficiente de reducción de área

Cf :coeficiente de forma

Aneta(m2) : área tributaria

Mj : j-ésima masa concentrada del tramo (kg)

CD: es el coeficiente dinámico del modo i-ésimo

CCE: coeficiente que tiene en cuenta la correlación espacial de las pulsaciones según la altura y fachada del edificio

Nji :aceleración reducida de la j-ésima masa (m/s2)

en el cálculo y γs es el coeficiente de mayoración de la carga (1.4).

En la actualización de la norma NC285 (2003) se propone la ecuación (9) que incluye tanto los efectos estáticos como los dinámicos. Estos últimos se consideran a partir de un coeficiente denominado coeficiente dinámico.

donde FV(N) es la fuerza de viento, qp(ze) (N/m2) es la presión máxima, Cf es el coeficiente de fuerza y CD es el coeficiente dinámico. A(m2) es el área tributaria en dependencia del tipo de estructura, q10 (N/m2) es la presión básica del viento, Ch, Ct, y Cr son los coeficientes de altura, recurrencia y ráfaga, respectivamente, y ze es la altura de referencia.

donde X es el valor de la solicitación (momento flector, fuerza cortante, fuerza axial y otras) de cálculo total debido al efecto de las cargas de viento, XE es el valor de la solicitación debido a la componente estática de la carga de viento, XD representa el valor de la solicitación debido a la componente dinámica de la carga de viento, S es el número de modos de oscilaciones que se tienen en cuenta

La presión básica del viento es uno de los aspectos que se modifican también con relación al código vigente. Estudios realizados sobre las velocidades básicas del viento en Cuba han propuesto nuevas estimaciones de estos valores (Fernández Lorenzo y Elena Parnás, 2016; Luis García, 2017). La velocidad básica para La Habana, que pertenece a la región 2 en la nueva distribución, es de 33 m/s en un intervalo de promediación de 10 min, mientras que para esta zona en la NC285 (2003) es de 45.6 m/s que responde a unas presiones básicas de 0.66 y 1.3 kN/m2, respectivamente.

El coeficiente de altura es otro parámetro que se propone modificar en la norma. Se adoptó su formulación a partir del análisis de las normas de viento más importantes del mundo teniendo en cuenta el estudio realizado por Kwon y Kareem (2013). En cuanto a las categorías de terreno, los

88

Tabla 4: Parámetros para determinar el coeficiente dinámico longitudinal.

Coeficiente dinámico longitudinal

Factor de efecto de ráfaga longitudinal

GL: factor de efecto de ráfaga longitudinal

ZD: altura de referencia para el cálculo dinámico 0.6h para estructuras verticales

I(ZD): intensidad de turbulencia calculada a la altura de referencia ZD

gLB: factor de máximo para la componente de fondo, puede equipararse a g = 3.5

gLR:factor máximo para la componente resonante

BL: factor de la respuesta de fondo que toma en cuenta la correlación parcial de las presiones actuando sobre la estructura

RL: factor de respuesta resonante longitudinal

Factor máximo para la componente resonante

T: intervalo de promediación de la velocidad media del viento, T = 600 s

vL: frecuencia esperada de la respuesta longitudinal

Frecuencia esperada

Factor de la respuesta de fondo

nL: frecuencia fundamental en el sentido longitudinal (en Hz)

α: exponente de la ley potencial de variación de la velocidad media del viento en función del terreno

b: ancho de la estructura (perpendicular a la dirección de viento)

h: altura de la estructura

γ: constante que toma valores de 0.15 para h/b < 1 y 0.07 para h/b ≥ 1

Lv(ZD): escala longitudinal de la turbulencia calculada a la altura de referencia

Escala longitudinal de la turbulencia

zo: longitud de rugosidad en metros, depende de las categorías de terreno y se determina a partir de una equivalencia con el factor α

Factor de respuesta resonante longitudinal

k: exponente de potencia de la forma del primer modo de la vibración expresado como , depende del tipo de estructura

K: factor de corrección del modo

K= 0.27k + 0.73

xL: razón de amortiguamiento en el primer modo longitudinal de vibración

EL : parámetro adimensional que toma en cuenta el contenido espectral de la turbulencia en el sentido longitudinal

S: factor de reducción por dimensión

r: factor que representa los efectos de correlación de las presiones a barlovento y las presiones a sotavento

Parámetro adimensional EL

Um(zD): velocidad media calculada a la altura de referencia para el análisis dinámico

Um(zD) = U0Ce(zD)Co(zD)

Factor de reducción por dimensión

Factor r

89 Ballate, A., Robert, D., Martín, P. y Fernández, I. (2023). 33, 84-99

Ballate, A., Robert, D., Martín, P. y Fernández, I. (2023). Métodos estáticos equivalentes para el análisis dinámico de edificios altos bajo cargas de viento en Cuba. 33, 84-99

estudios actualizados proponen una mayor discretización de las rugosidades en comparación con la NC285 (2003) y quedarán más detalladas las categorías de terreno, en

especial una mejor caracterización del terreno llano cercano a la costa marina.

El coeficiente de ráfaga también se propuso modificar

Tabla 5: Fuerzas estáticas equivalentes transversales. Coeficiente dinámico.

Fuerzas estáticas equivalentes en el sentido transversal

CT: coeficiente de fuerza aerodinámica (asociado al momento de vuelco fluctuante)

CDT: coeficiente dinámico transversal

Presión máxima de viento q(h)

Ch(h): coeficiente de altura calculado a la altura máxima

Ct: coeficiente de recurrencia (igual a 1)

Cr(h): coeficiente de ráfaga calculado a la altura h

Cr = 1 +2gIh

Coeficiente de fuerza aerodinámica

b: ancho del edificio (m) perpendicular a la dirección de viento analizada

d: Profundidad de la edificación (dimensión paralela a la dirección actuante del viento analizada)

Coeficiente dinámico transversal

GT: factor de efecto de ráfaga transversal;

I(h): intensidad de turbulencia calculada a la altura máxima de la edificación

Factor de efecto de ráfaga transversal

Factor transversal máximo

gT: factor transversal máximo

RT: factor de respuesta resonante transversal h

T: intervalo de promediación de la velocidad media del viento, T = 600 s

nT: frecuencia fundamental en el sentido transversal (en Hz).

Factor de respuesta resonante transversal

K:factor de corrección del modo

xT: es la razón de amortiguamiento en el primer modo transversal de vibración (se tomó el mismo valor que para la longitudinal)

ET: coeficiente del espectro de fuerza transversal Coeficiente del espectro de fuerza transversal

Parámetros k1, ns1 y β1 (casos de los edificios estudiados)

Parámetros k2, ns2 y β2

Um(h): velocidad media del viento calculada a la altura máxima de la edificación

90

Tabla 6: Momento estático equivalente torsional. Coeficiente dinámico.

Momento estático equivalente en sentido torsional

q(h): presión de viento máxima calculada a la altura máxima

CM: coeficiente de fuerza aerodinámica (asociado al momento de vuelco fluctuante)

A (m2): área proyectada a la altura z

CDM: coeficiente dinámico torsional

Coeficiente de fuerza aerodinámica

b: ancho del edificio (m) perpendicular a la dirección de viento analizada

d: Profundidad de la edificación (dimensión paralela a la dirección actuante del viento analizada)

Coeficiente dinámico torsional

GM: factor de efecto de ráfaga torsional

I(h):intensidad de turbulencia calculada a la altura máxima de la edificación h

Factor de efecto de ráfaga torsional

Factor torsional máximo

gM: factor torsional máximo

RM: factor de respuesta resonante torsional

T: intervalo de promediación de la velocidad media del viento, T = 600 s

nM: frecuencia fundamental en el sentido torsional (en Hz)

Factor de respuesta resonante torsional

K: factor de corrección del modo

xM: es la razón de amortiguamiento en el primer modo torsional de vibración (se tomó el mismo valor que para la longitudinal)

EM: factor de energía espectral del momento torsional y su ecuación depende del valor de la velocidad media reducida U*M

Factor de energía espectral del momento torsional

l: es la mayor dimensión entre b y d U*M : velocidad media reducida

JM, βM: coeficientes adimensionales

Velocidad reducida

Um(h)velocidad media del viento calculada a la altura máxima de la edificación

Parámetros JM, βM

91 Ballate, A., Robert, D., Martín, P. y Fernández, I. (2023). 33, 84-99

Ballate, A., Robert, D., Martín, P. y Fernández, I. (2023). Métodos estáticos equivalentes para el análisis dinámico de edificios altos bajo cargas de viento en Cuba. 33, 84-99

de un formato tabulado que presenta la norma vigente a la colocación de una expresión que parte de estudios realizados por Davenport (1964). El coeficiente dinámico CD, en función de las características de la estructura deberá calcularse para sus tres componentes: longitudinal, transversal y torsional. El CDL, coeficiente en sentido longitudinal, se calcula a partir de lo planteado en la Tabla 4. Las componentes transversal y torsional se tienen en cuenta si se cumple la ecuación (10).

Las fuerzas estáticas equivalentes en el sentido transversal de ser requeridas se calculan a través de las expresiones de la Tabla 5. El momento estático equivalente en la estructura en sentido torsional se calcula mediante las expresiones de la Tabla 6.

Las tres acciones (longitudinal, transversal y torsional) deben ser combinadas para un análisis de las edificaciones frente al viento, así como los efectos asociados (desplazamientos, rotaciones, tensiones, aceleraciones, entre otros) como se muestra en la Tabla 7.

Tabla 7: Reglas de combinación para efectos y acciones Combinación Efecto/Acción longitudinal Efecto/Acción transversal Efecto/Acción torsional

torsional está basado en los parámetros que define el método estático equivalente para obtener las fuerzas dinámicas debido a la acción del viento. Las ecuaciones (11) a (20) muestran las fórmulas para calcular las aceleraciones máximas en un punto z, así como los factores máximos y desviaciones estándar de la aceleración para cada una de las componentes. La Tabla 8 muestra los parámetros que influyen en la determinación de la aceleración máxima longitudinal. Las normas internacionales y estudios más actuales recomiendan el uso de periodos de retorno de un año para el análisis de los estudios de servicio en la determinación de las aceleraciones. Por tanto, U1 se refiere a la velocidad media a 10 m de altura, sobre un terreno llano y abierto para un periodo de retorno de 1 año. La metodología que se propone está basada en la norma AIJ (2018). No se especifica directamente que no deban ser calculadas las tres componentes de las aceleraciones, por lo que se realiza en este trabajo el análisis de las tres respuestas frente al viento.

La aceleración longitudinal máxima se calcula mediante la siguiente ecuación:

donde gαL es el factor máximo en sentido longitudinal y σαL en la ecuación (12) es la desviación estándar de la aceleración en el sentido longitudinal a una altura z, nL es la frecuencia fundamental en el sentido longitudinal (en Hz) y T es el intervalo de promediación de la velocidad media del viento, T = 600 s.

Los símbolos de la Tabla 7 tienen los siguientes significados: L, T, M indican, dependiendo de las circunstancias, los efectos (desplazamientos, rotaciones, tensiones, aceleraciones) o acciones longitudinales, transversales o torsional respectivamente, GL es el factor de efecto de ráfaga longitudinal, γTM es un coeficiente adimensional para la combinación de los efectos o acciones transversales y torsionales que se encuentra tabulado en la nueva propuesta.

Procedimiento de cálculo de las aceleraciones

El procedimiento para determinar las aceleraciones máximas de la respuesta longitudinal, transversal y

Donde ρ es la densidad del aire asumida como 1.205 kg/ m3, Um1(ZD) es la velocidad media en m/s y calculada a la altura de referencia para un periodo de retorno de 1 año, mL es la masa generalizada para el primer modo longitudinal, Cf es el coeficiente de forma, RL es el factor de respuesta resonante en sentido longitudinal para un periodo de retorno de 1 año, KL es un coeficiente adimensional y φL(z) representa la forma del primer modo longitudinal.

92
1 L 0.4T 0.4M 2 T γTM M 3 γTM T M
Tabla 8: Parámetros para la determinación de la aceleración

longitudinal máxima

Velocidad media:

U1 = 11 m/s (indistintamente de la región)

Co(ZD): coeficiente de topografía

Ce(ZD): coeficiente de exposición a la altura de referencia

La masa generalizada en sentido transversal mi es la masa estructural por unidad de longitud en kg/m y φi el valor del desplazamiento modal en cada piso del primer modo de oscilación en la dirección transversal, normalizados con respecto a su valor máximo.

Coeficiente adimensional :

Ze: altura de referencia de la edificación

Z0: longitud de rugosidad

k: exponente de la forma del modo

Cuando y

Masa generalizada en el sentido longitudinal:

mi: masa estructural por unidad de longitud (kg/m)

φ i: valor del desplazamiento modal en cada piso del primer modo de oscilación en la dirección longitudinal, normalizados con respecto a su valor máximo

La aceleración torsional máxima se calcula mediante la siguiente ecuación:

donde gM es el factor máximo en sentido transversal y σaM es la desviación estándar de la aceleración en el sentido transversal a una altura z

Forma del primer modo longitudinal:

La aceleración transversal máxima se calcula mediante la siguiente ecuación:

nM es la frecuencia natural de vibración del primer modo de oscilación en el sentido torsional.

donde gT es el factor máximo en sentido transversal y σaT es la desviación estándar de la aceleración en el sentido transversal a una altura (z).

CM es el coeficiente de fuerza aerodinámica en el sentido torsional, IM es el momento polar de inercia (de masa) generalizado (kgm2) y son las formas del primer modo torsional evaluadas a la altura máxima de la edificación y a la altura z donde se requiera conocer la aceleración respectivamente.

nT es la frecuencia natural de vibración del primer modo de oscilación en el sentido transversal.

El momento polar de inercia I(s) es el momento de inercia (de masa) (flector o polar) de la estructura por unidad de longitud y l es la altura de la estructura (o del elemento estructural).

Um1(h) es la velocidad media en m/s y calculada a la altura máxima de la edificación para un periodo de retorno de 1 año, CT es el coeficiente de fuerza aerodinámica en el sentido transversal, mT es la masa generalizada de la edificación en el sentido transversal en kg y son las formas del primer modo transversal evaluadas a la altura máxima de la edificación y a la altura z donde se requiera conocer la aceleración respectivamente.

Valores límites permisibles de las aceleraciones

Para los valores límites de las aceleraciones se propuso adoptar el procedimiento de la norma de viento italiana CNR-DT207 (2008). Según esta norma, para garantizar los criterios de servicio de las edificaciones, cada valor de aceleración máxima en el sentido longitudinal y transversal

93 Ballate, A., Robert, D., Martín, P. y Fernández, I. (2023). 33, 84-99

en el centro de giro, apL y apT, no deben exceder los valores límites dados por:

donde a0 es el valor de referencia límite de la aceleración: a0 = 6 cm/s2 para edificios de oficina, a0 = 4 cm/s2 para edificios de apartamentos; n0 es la frecuencia dominante en Hz, según n0 = fL para la aceleración en el sentido longitudinal aDmax, n0 = fT para la aceleración en el sentido transversal aT. fL y fT son las primeras frecuencias (fundamentales) en los sentidos longitudinal y transversal, respectivamente.

Descripción de la edificación objeto de estudio

Los edificios analizados (1 y 2) son de hormigón armado y tienen una altura de 100 m y 152 m respectivamente. La estructura del primer caso de análisis está formada por columnas perimetrales y vigas de hormigón armado, las losas de entrepiso son de hormigón postensado y el núcleo central es de muros de hormigón armado. La relación de amortiguamiento crítica utilizada es de 0.01 de acuerdo con el valor de amortiguamiento estructural calculado según la norma italiana de viento (CNR-DT207, 2008). El sistema de ejes de referencia, las dimensiones de las edificaciones, las direcciones de viento analizadas y los tipos de terreno se muestran en la Figura 1. En la Figura 2 se aprecia una vista en isométrico de los edificios objeto de análisis. La estructura del segundo edificio consiste en losas de entrepisos de hormigón armado in situ sin vigas, apoyadas directamente sobre columnas hormigonadas in situ. La estabilidad horizontal está asegurada por dos sistemas de muros de cortante que componen los pozos de ascensores y escaleras ubicados en los extremos laterales de cada piso. La transición de las cargas verticales se garantiza con columnas de hormigón armado que descienden hasta los cimientos. La relación de amortiguamiento total utilizada para el análisis es de 0.0125; este valor se encuentra en el rango propuesto por las normativas (EN1991-1-4, 2005; ISO4354, 2020). Los valores de frecuencias naturales de traslación para el primer modo de oscilación en cada uno de los ejes y las frecuencias torsionales de las edificaciones

se muestran en la Tabla 9. Los valores de frecuencias fueron extraídos de un modelo en ETABS (CSI, 2018) luego de realizado el análisis modal. En los modelos los entrepisos se consideraron rígidos a través de la definición de diafragmas. En cuanto a definición del material, para el edificio 1 se consideró un módulo de elasticidad de 24856 MPa con una resistencia a la compresión de 35 MPa; para el edificio 2 el módulo de elasticidad es de 33200 MPa con una resistencia a la compresión de 50 MPa. Para el análisis modal y de respuesta frente a las cargas de viento se consideraron las secciones no fisuradas de los elementos verticales y horizontales y la masa como la carga permanente más un 25% de la carga de uso.

Las cargas consideradas para el análisis de los casos de estudio fueron: cargas permanentes, cargas de uso (ver Tabla 10) y las cargas de viento de acuerdo con las normativas (NC283, 2003; NC284, 2003). Ambas edificaciones se consideran para el sector hotelero. En la Tabla 11 se presentan los valores de los principales

94
Ballate, A., Robert, D., Martín, P. y Fernández, I. (2023). Métodos estáticos equivalentes para el análisis dinámico de edificios altos bajo cargas de viento en Cuba. 33, 84-99 Figura 1: Ejes de referencia, dimensiones y direcciones de viento analizadas de los edificios. a) Edificio objeto de estudio 1 b) Edificio objeto de estudio 2 Figura 2: Vista en isométrico, a) edificio 1 y b) edificio 2

Tabla 9: Valores de periodos y frecuencias de las edificaciones.

Tabla 11: Resumen de parámetros para el cálculo de las fuerzas de viento según la NC285 (2003)

coeficientes utilizados para el cálculo de las componentes estática y dinámica según la NC285 (2003) y en la Tabla 12 los valores de los coeficientes considerados para el cálculo de las fuerzas de viento longitudinales según la nueva propuesta de norma de viento. Las fuerzas de viento se calcularon para dos direcciones de viento teniendo en cuenta las características de las edificaciones y los tipos de terreno en los que se encuentran. En el modelo computacional se definieron dichas fuerzas concentradas en el centro de masa de las edificaciones de acuerdo con la definición de diafragmas rígidos en cada nivel.

Tabla 10: Cargas permanentes y de uso de las edificaciones Cargas permanentes (kN/m2) Cargas de uso (kN/m2)

-En la cubierta: Impermeabilización más relleno para conformación de pendientes: 2.47

-En pisos de habitaciones y áreas de servicio: 1.72 (incluye mortero de colocación, terminación de piso, tabiquería ligera, falsos techos e instalaciones)

-En pisos técnicos, oficinas, almacenes y otras zonas de acceso: 1.75 (incluye mortero de colocación, terminación de piso, tabiquería ligera, falsos techos e instalaciones)

-Se incluyen pesos de equipos tecnológicos (Chiller 12 kN/m2, tanques de agua caliente 48 kN/m2, calderas 7 kN/m2)

-Las cargas debidas al peso de la fachada de las torres (0.8 kN/m2) se coloca linealmente en el borde de las losas de entrepiso de las torres

-Habitaciones y pasillos: 1.5

-Áreas de oficinas, locales, balcones, cubierta: 2

-Áreas de restaurantes, gimnasios y galerías de circulación: 4

-Almacenes y cámaras frías: 8

-Áreas de cocina, bar y cafeterías: 3

-Pisos técnicos y zonas de circulación de piscina: 5

En la nueva propuesta de la NC285 se expone el método para calcular las cargas estáticas equivalentes en los sentidos transversal y torsional debidas a la turbulencia lateral generada por el viento en dicho sentido. Según el epígrafe 2.1 para el edificio 1 no es necesario calcular

Tabla 12: Resumen de parámetros para el cálculo de las fuerzas de viento según la nueva propuesta de NC285

Casos de estudio Edificio 1 Edificio 2

95 Ballate, A., Robert, D., Martín, P. y Fernández, I. (2023). 33, 84-99
Edificio Tipo de modo y dirección Periodo, s Frecuencia, Hz % de participación de la masa UX UY RZ 1 1er Flector (y) 2,85 0,35 10 45 2 1er Flector (x) 2,71 0,37 47 10 0 Torsor 1,87 0,53 0 1 61 2 1er Flector (y) 3,91 0,26 60 0 0 1er Flector (x) 2,68 0,37 0 58 0 Torsor 1,42 0,71 0 0 58
Parámetros Edificio 1 Edificio 2 Dirección 0° Dirección 90° Dirección 0° Dirección 90° Componente estática q10 1.3 1.3 Tipo terreno A B CT 1 1 Cr 1.05 1.07 Ch (h máx) 2.09 2.15 Componente dinámica ɣ 1.4 1.4 1.4 1.4 CCE 0.416 0.422 0.385 0.688 E1 0.109 0.104 0.095 0.138 CDin1 1.80 1.77 1.80 1.90
Parámetros Componente longitudinal Componente longitudinal Dirección 0˚ Dirección 90˚ Dirección 0˚ Dirección 90˚ q10, kN/m2 0.66 0.66 Categoría de terreno III (abierto) I (mar) IV (urbano) Cr 1.899 1.771 2.040 Ch (h máx) 1.98 2.57 1.87 Ct 1 1 ZD, m 60 91.2 Um(ZD), m/s 43.06 50.75 40.76 I(ZD) 0.142 0.118 0.150 Lv(ZD) 160.37 189.96 185.79 nL, Hz 0.351 0.369 0.373 0.256 ξL 0.0100 0.0125 BL 0.760 0.770 0.730 0.797 EL 0.095 0.092 0.080 0.103 k 1.0 1.0 1.5 K 1.000 1.000 1.135 S 0.200 0.240 0.092 0.240 r 0.056 0.067 0.033 0.098 RL 1.01 1.07 0.54 1.04 vL, Hz 0.28 0.30 0.22 0.20 gLB 3.5 3.5 gLR 3.38 3.40 3.31 3.29 GL 2.23 2.07 1.93 2.32 CDL 1.119 1.134 0.947 1.134

Ballate, A., Robert, D., Martín, P. y Fernández, I. (2023). Métodos estáticos equivalentes para el análisis dinámico de edificios altos bajo cargas de viento en Cuba. 33, 84-99

las componentes transversales y torsionales, teniendo en cuenta sus características geométricas; mientras que según la ecuación (10), para el edificio 2 es necesario el análisis de las componentes trasversal y torsional. La Tabla 13 muestra las condiciones establecidas por la norma para el cálculo de dichas componentes. La Tabla 14 muestra los valores de los parámetros para el cálculo de los coeficientes dinámicos transversales y torsionales en el edificio 2 que permiten calcular las fuerzas estáticas equivalentes de estas componentes.

Tabla 13: Condiciones para el cálculo de las componentes transversales y torsionales de viento según la propuesta nueva de la NC285

Resultados para el edificio 2

4.51 > 3

4.51 < 6 0.2 < 0.39 < 5

5.23 < 10 (con nT) 1.9 < 10 (con nM)

Tabla 14: Resumen de parámetros para el cálculo de los coeficientes dinámicos transversales y torsionales en el edificio 2.

longitudinal de la fuerza del viento. Las fuerzas resultantes en la base se corresponden con la sumatoria de las fuerzas de viento calculadas en las edificaciones.

Resultados y discusión

En esta sección se presenta la respuesta global de las edificaciones analizadas en lo que se refiere a fuerzas resultantes en la base y desplazamientos mediante una comparación de resultados entre la norma de viento cubana vigente y la propuesta de actualización. En la Tabla 15 se muestran las fuerzas resultantes en la base para la componente longitudinal del viento. Los resultados comparativos se muestran para las dos direcciones de viento analizadas. Estos valores, para la dirección 0° (Y) en el primer caso de estudio, son muy cercanos entre las normas analizadas con una diferencia del 3%, el mayor valor de cortante en la base en ese caso se observa para la norma vigente. Para el segundo caso de estudio los valores en la dirección 0° (Y) presentan una diferencia de 17%, en este caso también se aprecia la mayor fuerza resultante en la base para la norma vigente. Las mayores diferencias se encuentran en la dirección de 90° (X) para ambos edificios; son de un 24% para el edificio 1, donde el mayor resultado se presenta para la nueva propuesta y de un 21% para el edificio 2 donde el mayor resultado se presenta para la norma vigente. En las diferencias de los resultados tiene gran influencia la consideración de los tipos de terreno (terrero A y B respectivamente) dentro de los parámetros del viento. Mientras en la NC285 (2003) se considera terreno tipo A para edificaciones cercanas al mar, los estudios actualizados definen cuatro categorías de terreno, dentro de las que se encuentra la categoría I que tiene en cuenta de forma directa la dirección proveniente del mar, en este caso 90˚. En la segunda edificación, según la NC285 (2003), la categoría de terreno es B para zonas urbanas, mientras que en la nueva propuesta esta se corresponde con la categoría de terreno IV donde los parámetros que determinan el perfil vertical de la velocidad de viento no difieren considerablemente entre una propuesta y otra.

En el análisis comparativo para la obtención de los desplazamientos se emplea la combinación

CP+CV+CU+CUc donde CP es la carga permanente, CU es la carga de uso, CUc es la carga de uso de cubierta y CV la carga de viento. La carga de viento incluye la componente

La Tabla 16 muestra para el edificio 2 las fuerzas resultantes en la base para las componentes transversal y torsional del viento determinadas por la propuesta de actualización de la norma vigente de viento.

Los valores de las fuerzas de las componentes transversal y torsional deben ser combinados según la Tabla 8 para

96
Condición
Parámetros Componente transversal Parámetros Componente torsional 0˚ 90˚ 0˚ 90˚ Um(h), m/s 45.15 nM 0.707 Ch(h) 1.87 U*M 1.897 Ih 0.131 JM 0.313 0.016 q(h), kN/m2 2.37 βM 1.049 2.570 nT, Hz 0.256 0.373 EM 0.007 0.009 ξT 0.125 RM 0.84 0.77 m 1 gM 3.64 k1 0.85 GM 4.76 4.60 β1 0.37 0.69 CDM 2.40 2.48 ns1 0.095 0.084 ET 0.084 0.054 RT 2.61 2.09 gT 3.35 3.47 GT 9.37 8.03 CDt 4.88 4.19

Tabla 15: Valores máximos de fuerzas resultantes en la base en la componente longitudinal

Casos de estudio Edificio 1 Edificio 2

kN

obtener las fuerzas interiores en los elementos estructurales y realizar los diseños correspondientes. Por tanto, es necesario ampliar los estudios que evidencien cómo se modifica el diseño estructural del sistema resistente ante cargas laterales cuando se tienen en cuenta las tres componentes de la respuesta del viento para cada dirección de viento en comparación con el diseño cuando solo son consideradas las fuerzas longitudinales.

En las Figuras 3 y 4 se observan para la combinación CP+CV+CU+CUc los valores de desplazamientos máximos para la componente longitudinal en los edificios 1 y 2 respectivamente. En el edificio 1 los desplazamientos son superiores para la nueva propuesta en la dirección que corresponde al terreno tipo mar (dirección 90°) en un 17%, para la dirección de viento 0° los mayores valores los presenta la norma cubana de viento vigente con un incremento del 10%. Para el edificio 2 en las direcciones de

97 Ballate, A., Robert, D., Martín, P. y Fernández, I. (2023). 33, 84-99
Figura 4: Desplazamientos máximos según las normas en el edificio 2 analizado, a) dirección 0° y b) dirección 90°
Normas Fuerzas resultantes en la
para
direcciones, kN Fuerzas resultantes en la
para
direcciones,
0° (Fy) 90° (Fx) 0° (Fx) 90° (Fy) NC285 (2003) 12332.82 11743.73 22918.62 10706.45 NC propuesta 12001.32 15385.71 18164.76 8923.92
base
dos
base
dos
Transversal, kN Torsional, kNm 0° (Fy) 90° (Fx) 0° (Mf) 90° (Mf) 8821.96 9212.69 48094.41 48575.86
Tabla 16: Valores máximos de fuerzas resultantes en la base en las componentes transversal y torsional el Edificio 2.
Componentes del viento
Figura 3: Desplazamientos máximos según las normas en el edificio 1 analizado, a) dirección 0° y b) dirección 90°

Ballate, A., Robert, D., Martín, P. y Fernández, I. (2023). Métodos estáticos equivalentes para el análisis dinámico de edificios altos bajo cargas de viento en Cuba. 33, 84-99

0° y 90° las diferencias son de 22% y 27%, respectivamente. Se destaca que los valores de desplazamiento se encuentran dentro del rango permisible pues cumplen con el criterio de desplazamiento H/500 según (Longarini et al., 2017).

Los valores de las aceleraciones máximas para cada una de las componentes en las edificaciones se muestran en las Tablas 17 y 18 para los edificios 1 y 2, respectivamente. Las aceleraciones permisibles fueron obtenidas a partir de la ecuación (23), donde a0 es 4 cm/s2. En las Tablas 17 y 18 se evidencia que los valores de aceleraciones calculados no superan los límites aceptados.

Tabla 17: Valores de aceleraciones máximas y permisibles en la edificación 1

Componentes en la dirección X (90˚)

Componentes en la dirección Y (0˚)

Longitudinal Transversal Torsional Longitudinal Transversal Torsional h cálculo = 100 m, ZD = 60 m h

= 100 m, ZD = 60 m

= 13603720 kg, IM = 3679500000 kgm2

Tabla 18: Valores de aceleraciones máximas y permisibles en la edificación 2

Componentes en la dirección X (90˚)

Componentes en la dirección Y (0˚) Longitudinal Transversal Torsional Longitudinal Transversal Torsional

= 152 m, ZD = 91.2 m h

= 152 m, ZD = 91.2 m

= 19013770 kg, IM = 5211905035 kgm2

la determinación de las acciones dinámicas del viento en edificios altos, tanto en términos de fuerzas de viento como de aceleraciones a partir de los estudios realizados para la actualización de la nueva propuesta de norma cubana de viento NC285 (2003). En la nueva propuesta las acciones estáticas equivalentes longitudinales que simulan el efecto dinámico que induce el viento sobre la estructura se tienen en cuenta mediante la aplicación del coeficiente dinámico CDL. Este coeficiente es un parámetro adimensional que modifica las acciones aerodinámicas máximas teniendo en cuenta la correlación parcial de la acción del viento y la amplificación de la carga resonante. A diferencia de NC285 (2003), este coeficiente dinámico integra los factores resonante y no resonante que tienen en cuenta las características espectrales de la velocidad de viento. La carga dinámica de viento por la norma vigente es la sumatoria de las respuestas de los efectos estáticos y los dinámicos calculados sobre las estructuras. Las componentes transversales y torsionales que no se contemplan en NC285 (2003) deben considerarse en el diseño por resistencia y confort de las estructuras. Las fuerzas resultantes en la base y los desplazamientos para el edificio 1 muestran las mayores diferencias entre las normas en la dirección de 90° correspondiente a la dirección del mar donde los parámetros que determinan el perfil vertical de la velocidad del viento se desvían significativamente con respecto a los del terreno tipo A según NC285 (2003). Las fuerzas resultantes en la base y los desplazamientos para el edificio 2 fueron mayores cuando se aplica la norma cubana vigente NC285 (2003). Futuros estudios deben considerar otras tipologías de edificios altos para comparar los resultados entre ambas normas, además debe incluirse las comparaciones en cuanto al diseño estructural de los elementos resistentes a cargas laterales.

Conclusiones

En este trabajo se presentaron las consideraciones para

Los resultados muestran que los mayores valores de aceleraciones corresponden a la aceleración transversal y, por tanto, es la que rige el diseño de servicio para la edificación estudiada. Todas las aceleraciones máximas calculadas resultaron menores que las máximas permisibles. Las futuras investigaciones en el tema de aceleraciones deben estar encaminadas a determinar qué nivel de movimiento es cómodo para los habitantes y para determinar cuál puede conducir a la degradación del desempeño de los ocupantes en los edificios más allá de indicar el nivel de movimiento que es perceptible.

98
Um1(ZD) = 16.92 m/s Um1(h) = 17.62 m/s Um1(ZD) = 14.35 m/s Um1(h) =15.50 m/s apL = 0.88 cm/s2 apT = 1.83 cm/s2 apM = 0.04 rad/s2 apL = 0.75 cm/s2 apT = 1.14 cm/ s2 apM = 0.03 rad/ s2 Aceleraciones permisibles, cm/s2 6.99 7.19 5.68 7.19 6.99 5.68
cálculo
m
h cálculo
cálculo
m
Um1(ZD)
14.82 m/s Um1(h)
m/s Um1(ZD) =14.82 m/s Um1(h) =16.42 m/s apL = 0.54 cm/s2 apT = 1.54 cm/s2 apM = 0.022 rad/s2 apL = 0.45 cm/s2 apT = 1.70 cm/s2 apM = 0.012 rad/s2 Aceleraciones permisibles (cm/s2) 6.95 8.58 4.86 8.58 6.95 4.86
=
=16.42

Referencias

AIJ (2018). AIJ Recommendations for loads on buildings (2015). Architectural Institute of Japan, Tokyo, Japan

ASCE 7-10 (2010). Minimum design loads for buildings and other structures. ASCE/SEI, Reston, Virginia, USA

AS/NZS1170.2 (2021). Structural design actions, Part 2: Wind actions. Australian/New Zealand Standards, Wellington, New Zealand

Ballate Delgado, A., Fernández Lorenzo, I. y Martín Rodríguez, P. (2021a). Aceleraciones inducidas por el viento en edificios altos. X Convención Científica Internacional de la Universidad de Matanzas, VII Taller Internacional de Ingenierías, Cuba

Ballate Delgado, A., Fernández Lorenzo, I. y Martín Rodríguez, P. (2021b). Cálculo de las aceleraciones inducidas por el viento en edificios altos en Cuba. Revista Ciencia y Construcción 2(2), 23-32

CNR-DT207 (2008). Guide for the assessment of wind actions and effects on structures. Italian National Research Council, Roma, Italy

CSI (2018). ETABS v18. Computers & Structures, Inc. CSI. Structural and earthquake engineering software. USA

Davenport, A.G. (1967). Gust loading factors. Journal of the Structural Division 93(3), 11-34

Davenport, A.G. (1964). Note on the distribution of the largest value of a random function with application to wind loading. Proceedings Institution Civil Engineers 28(2), 187-196

EN1991-1-4 (2005). Eurocode 1: Actions on structures — General actions — Part 1-4: Wind actions. Brussels, Belgium

Fernández Lorenzo, I. y Elena Parnás, V.B. (2016). Análisis de métodos de vientos extremos para calcular las velocidades básicas. Revista Cubana de Ingeniería 7(2), 15-25

García Miranda, J.A., López Litvinovich, A., Fernández Lorenzo, I. y Martín Rodríguez, P. (2019). Análisis de nuevos proyectos de edificios altos bajo carga de viento en La Habana. II

Convención Científica Internacional, Universidad Central Marta Abreu de Las Villas, Cuba

IS:875(Part-3) (2012). Wind loads on buildings and structures

- Proposed draft & commentary. Document No IITK GSDMAWind 02-V 5.0. Indian Wind Code IWC, India

ISO 4354 (2020). Wind actions on structures. International Organization for Standardization. Switzerland

Kwon, D.K. and Kareem, A. (2013). Comparative study of major international wind codes and standards for wind effects on tall buildings. Engineering Structures 51, 23-35

Longarini, N., Cabras, L., Zucca, M., Chapain, S. and Aly, A.M. (2017). Structural improvements for tall buildings under wind loads: comparative study. Shock and Vibration, article ID 2031248

López Litvinovich, A., Martín Rodríguez, P. y Castañeda Hevia, A.E. (2018). Respuesta torsional de edificaciones bajo cargas de viento. Revista Arquitectura e Ingeniería 12(1), 1-13

Luis García, K. (2017). Análisis estadístico de velocidades de viento para el cálculo de estructuras. Tesis de máster, Universidad Tecnológica de La Habana CUJAE, La Habana, Cuba

Llanes Burón, C. (1988). Algoritmo para determinar las componentes dinámicas de las cargas de viento en edificios. Ingeniería Estructural IX(2), 113-120

Llanes Burón, C. (1984a). Algunos criterios sobre el diseño de edificios altos. Ingeniería Civil (ISPJAE) 1, 16-28

Llanes Burón, C. (1984b). Algunos métodos de análisis utilizados en edificios. Elementos paneles, tímpanos y pórticos interconectados. Ingeniería Civil (ISPJAE) 6, 24-30

NBCC (2020). National building code of Canada. Canadian Commission on Buildings and Fire Codes, National Research Council of Canada, Ottawa, Ontario, Canada

NC53-41 (1983, 1990). Elaboración de proyectos de construcción. Cargas de viento. Método de cálculo. Oficina Nacional de Normalización, La Habana, Cuba

NC283 (2003). Densidad de materiales naturales, artificiales y de elementos de construccion como carga de diseño. Oficina Nacional de Normalización, La Habana, Cuba

NC284 (2003). Edificacones. Cargas de uso. Oficina Nacional de Normalización, La Habana, Cuba

NC285 (2003). Carga de viento. Método de cálculo. Oficina Nacional de Normalización, La Habana, Cuba

SNiP2.01.07-85 (2001). Loads and effects. State Building Committee of USSR (Gosstroi of USSR). Moscow, USSR

99
33
84-99
Ballate, A., Robert, D., Martín, P. y Fernández, I. (2023).
,

Obras y Proyectos guidelines for authors

1. The articles submitted should be original and not have been published before nor be in a revision process for other publication. Once the article is received complying with the points detailed below, it will be sent to external reviewers, experts in the specific subject of the article. The authors are responsible for recognising any conflict of interest which might bias the work, for example, naming sources of funding and support.

2. Articles should not have more than 8000 words. No specific format is obligatory, but it is suggested the use of letter size 12, Times New Roman letter type and double spacing. It is required to write with clarity, which means to follow a logical sequence of what is written. It is also needed clear figures, plots, tables and pictures.

3. Articles should include in the first page the title, name and surname of the authors as well as the affiliation, postal and electronic address of all the authors. The title has to be written in Spanish and English.

4. The abstract should not exceed more than 250 words and should address the key points of the articles and gives and brief resume of the application and main article conclusion. The abstract has to be a correct translation from the Spanish. Keywords have to be included in English and Spanish.

5. The references have to be complete and correct. The references cited in the text, figures and tables have to be included in the reference list at the end of the article and vice versa. In the text, figures and tables, references should be written as Martínez (2008) or (Goodell and Warren, 2006). For more than two authors it should be cited as (Van Abeelen et al., 2008). If the same authors cited have more than one publication the same year, it should be used 2010a, 2010b, etc. The style of the references should consider the following examples:

Moffat, R., Correia, N. and Pastén, C. (2016). Comparison of mean shear wave velocity of the top 30 m using downhole, MASW and bender elements methods. Obras y Proyectos 20, 6-15

Escribano, D.E. and Nash, D.F.T. (2015). Changing anisotropy of G0 in Hostun sand during drained monotonic and cyclic loading. Soils and Foundations 55(5), 974-984

Kausel, E. (2017). Advanced structural dynamics. Cambridge University Press, UK

6. Tables and formulae (equations) should be numbered sequentially in the same order as they appear in the text, with Arabic numbers and referring to them as: Table 1, Table 2, formula (1), formula (2)...etc., as appropriate. Tables should not repeat results presented in plots and the titles for tables put above the table. The unit system accepted is the International System IS.

7. Figures can include plots, sketches and diagrams. Figures should be sent ready for publication, laser print quality. Photographies and pictures should also be of high quality. Sequentially numbered as Figure 1, Figure 2 or Photography 1, Photography 2, etc. and the title for the figure put below the figure. Figures have to be mentioned in the text before they appear.

8. Opinions stated in the articles published in Obras y Proyectos are exclusive responsibility of the authors and they do not reflect necessarily the point of views of the Department of Civil Engineering of the Catholic University of Concepción, UCSC.

9. The submission of an article to Obras y Proyectos implicates that the authors accept to transfer the authors’ rights of their articles to the UCSC only if the article is accepted for publication. The copyrights cover the exclusive rights for the reproduction and distribution of the article, including reprints, photographic reproductions, microfilms, scanning or any other similar production method as well as translations. Permissions to use figures which do not belong to the authors have to be obtained by the authors before submitting the article.

100

SISTEMA DE ENTIBACIÓN ISCHEBECK GIGANT:

UN SISTEMA LIGERO, EFICAZ Y SEGURO

EL SISTEMA DE ENTIBACIÓN ISCHEBECK GIGANT es idóneo y manejable para zanjas y pozos, se utiliza para todo tipo de excavaciones como, por ejemplo, agua potable, alcantarillado, gas e instalación de cable. Igualmente ofrece ventajas para pozos o piques de dimensiones acotadas. Alcanza hasta 6 metros de profundidad.

VENTAJAS DEL SISTEMA:

· Pocas piezas / muchas soluciones.

· Montaje sencillo: empleo de pernos en lugar de tornillos.

· Fácil de transportar y de mover por su ligereza.

· 50% más liviano que otras soluciones.

· Rapidez en la instalación y en el desmontaje.

GEOTECNIA: HACEMOS DE LA INNOVACIÓN UNA

SOLUCIÓN A TU MEDIDA

LOS MICROPILOTES AUTOPERFORANTES ISCHEBECK

TITAN están compuestos por un miembro portante que es una barra de acero roscada, que sirve como barra de perforación perdida, conducto de inyección y armadura.

Este tipo de soluciones es aplicado principalmente en cimentaciones, recalces, anclajes, soil nailing y construcción de túneles.

CARACTERÍSTICAS DEL SISTEMA:

· Acero estructural de grano fino S 460 NH según EN 10210

· Material dúctil – fracaso no súbito del material

· Protección duradera frente a la corrosión

· Genera fisuras de anchura mínima en el cuerpo de inyección

CONTACTO:

Avenida Echeñique 5839, Oficina 509

La Reina, Santiago de Chile

Fono: +56 264690891

comercial@ischebeckchile.com

www.ischebeckchile.cl

1 2 3 4 5 1
4 5
2 3

Turn static files into dynamic content formats.

Create a flipbook
Issuu converts static files into: digital portfolios, online yearbooks, online catalogs, digital photo albums and more. Sign up and create your flipbook.
Revista Obras y Proyectos - Edición 33 , año 2023 by Universidad Católica de la Santísima Concepción - Issuu