1_9788413978895

Page 1

EXPLORE YOUR BRAIN: PRACTICAL ACTIVITIES FOR FOUNDATIONS OF BIOPSYCHOLOGY

2nd EDITION

Patricia Mesa-Gresa (Coord.)

Raúl Ballestín Hinojosa

Raquel Costa Ferrer

Inés Moragrega Vergara

Miguel Ángel Serrano Rosa

Ferran Suay Lerma

apuntes
Lorem ipsum

ACCESO GRATIS a la Lectura en la Nube

Para visualizar el libro electrónico en la nube de lectura envíe junto a su nombre y apellidos una fotografía del código de barras situado en la contraportada del libro y otra del ticket de compra a la dirección:

ebooktirant@tirant.com

En un máximo de 72 horas laborales le enviaremos el código de acceso con sus instrucciones.

La visualización del libro en NUBE DE LECTURA excluye los usos bibliotecarios y públicos que puedan poner el archivo electrónico a disposición de una comunidad de lectores. Se permite tan solo un uso individual y privado

Copyright ® 2021

Todos los derechos reservados. Ni la totalidad ni parte de este libro puede reproducirse o transmitirse por ningún procedimiento electrónico o mecánico, incluyendo fotocopia, grabación magnética, o cualquier almacenamiento de información y sistema de recuperación sin permiso escrito de los autores y del editor.

En caso de erratas y actualizaciones, la Editorial Tirant lo Blanch publicará la pertinente corrección en la página web www.tirant.com.

© TIRANT LO BLANCH

EDITA: TIRANT LO BLANCH VALENCIA

TELFS.: 96/361 00 48 - 50

Email: tlb@tirant.com

www.tirant.com

Librería Virtual: www.tirant.es

DEPOSITO LEGAL: V-2443-2021

ISBN: 978-84-1397-889-5

MAQUETA E IMPRIME:

Si tiene alguna queja o sugerencia, envíenos un mail a: atencioncliente@tirant.com.

En caso de no ser atendida su sugerencia, por favor, lea nuestro procedimiento de quejas en: www.tirant.net/index.php/empresa/politicas-de-empresa

Responsabilidad Social Corporativa

http://www.tirant.net/Docs/RSCTirant.pdf

EXPLORE YOUR BRAIN:

PRACTICAL ACTIVITIES FOR FOUNDATIONS OF BIOPSYCHOLOGY

AUTHORS:

Patricia Mesa-Gresa (Coord.)

Raúl Ballestín Hinojosa

Raquel Costa Ferrer

Inés Moragrega Vergara

Miguel Ángel Serrano Rosa

Ferran Suay Lerma

2nd EDITION
7 Index INTRODUCTION TO BIOPSYCHOLOGY Activity 1.1. Disciplines and techniques in Biopsychology 9 Activity 1.2. Experimental design in animal studies 10 Activity 1.3. Experimental design in human studies 12 GENETICS Activity 2.1. DNA 14 Activity 2.2. Questions regarding genetics and epigenetics 16 Activity 2.3. The role of a psychologist in Genetic Counselling 20 THE CELLS OF THE NERVOUS SYSTEM Activity 3.1. The Neuron and its parts 22 Activity 3.2. Case studies on neuronal/glial dysfunctions 23 Activity 3.3. Additional questions to complete the topic 26 NEUROTRANSMISSION SYSTEMS Activity 4.1. Summary table of chemical messengers and neurotransmitters 29 Activity 4.2. The process of neurotransmission 32 Activity 4.3. Case study: NMDA receptor dysfunction 35 ANATOMY OF THE NERVOUS SYSTEM Activity 5.1. Ontogeny of the nervous system 37 Activity 5.2. Diagram of CNS and PNS anatomy 40 Activity 5.3. Dissection of a rabbit brain 42 Activity 5.4. NS neuroanatomy worksheets 43 Activity 5.5. APPs to study neuroanatomy 48 Activity 5.6. Acquired brain injury (ABI) 54 Activity 5.7. Brainstem functions and case studies 56 Activity 5.8. The cranial nerves 58 Activity 5.9. Case studies of cranial nerve disorders 60 Activity 5.10. Anatomy of the spinal cord 62 Activity 5.11. Functions of the ANS: sympathetic and parasympathetic NS 63 INTERACTION BETWEEN THE NERVOUS SYSTEM AND THE ENDOCRINE AND IMMUNE SYSTEMS Activity 6.1. Neuroinflammation 64 Activity 6.2. The Microbiota-Gut-Brain axis 67

INTRODUCTION TO BIOPSYCHOLOGY

ACTIVITY 1.1. DISCIPLINES AND TECHNIQUES IN BIOPSYCHOLOGY

Biopsychology is made up by a series of disciplines that allow the study of human behaviour by addressing various aspects In turn, the techniques are improving our knowledge and understanding of Biopsychology. With this in mind, complete the following exercises:

1. Indicate the biopsychological discipline(s) that would address the following experimental situations:

Measurement of the degree of cognitive deterioration of a patient following a traffic accident

The Medial Preoptic Area of the hypothalamus is injured in order to observe its role in the sexual behaviour of rats

Experimental subjects are subjected to a stressor and the degree of cardiac activation is assessed

The SRY gene is manipulated in mice to see its role in sexual development

An experimental substance for the treatment of depression is administered to a mouse

2. Indicate the technique that would be most appropriate for each case:

Temporary injury of an area of the brain in a mouse

Observation of the size of a person’s frontal lobe

Observation of cerebral blood flow

Study the brain’s response to a sensory stimulus in a person

Anesthetize a cerebral hemisphere

Permanent injury of an area of an animal brain

Study the role of genetics in human behaviour

Study a model of anxiety in mice

9

ACTIVITY 1.2. EXPERIMENTAL DESIGN IN ANIMAL STUDIES

The use of animal models in the field of Biopsychology, without entering in depth into the controversy surrounding the use of animals, or justifying their use in cases where they could be replaced by other methods, has some undeniable advantages that should be reviewed, as well as various drawbacks. Point out the advantages and disadvantages of the use of animals in research.

ADVANTAGES:

DISADVANTAGES:

10

Regarding the design of studies involving the use of animals, various issues must be assessed, the first of which is the strict compliance with research ethics, however other issues are also of vital importance in order to design an experiment that answers the questions we are asking with the maximum scientific rigor possible. At the same time, it must control the confounding or unknown variables as much as possible to increase the validity and reliability of the experimental method used, and to increase the generalizability of our results.

If we want to assess the memory and spatial capacity of a group of mice of the NMRI or C57 strain, what type of animal model could we use?

Justify your choice:

In an experimental design mice that have been either isolated (N=30) or grouped together (N=30) are administered 2 different doses of nicotine subcutaneously: 1) Group NIC 1 (n=10): 1 mg/kg; 2) Group NIC 2 (n=10): 0,5 mg/kg; and 3) Control Group (n=10), to which physiological serum is administered throughout the duration of the experimental phase (1 week).

Name the independent variables (IV):

Dependent variables (DV):

The type of experimental design used:

Propose the possible experimental hypotheses that can be extracted from the experimental design mentioned.

11

ACTIVITY 1.3. EXPERIMENTAL DESIGN IN HUMAN STUDIES

Nowadays, in the field of Neuroscience there is a specific interest in studying human behaviour in relation to the underlying neurobiological processes. In Psychology there is a clear preference for the type of studies in which humans can be studied directly, thus avoiding the extrapolation necessary when using animal models. However, the complexity of the human being makes this type of study a challenge for researchers, as human studies, in the same was as animal studies, present certain advantages and disadvantages. From your point of view, indicate the advantages and disadvantages of human studies.

ADVANTAGES:

DISADVANTAGES:

12

In human studies, similarly to in animal studies, strict compliance with research ethics is essential, as is the development of experimental designs that try to answer the questions asked with the maximum scientific rigor possible In turn, possible confounding or unknown variables should also be controlled as much as possible in order to increase the validity and reliability of the experimental method used, and to increase the generalizability of the results. If we want to measure the electrical activity of the brain in a group of humans, what scientific instrument could we use?

Justify your answer:

CASE STUDY: Researchers of the University of Valencia are studying the impact of the emotion of disgust on decision-making. They have designed a study with two groups (a control group and an experimental group in which the emotion of disgust has been induced via the exposure to stimuli that produce said emotion) and they observe changes in their heart rate. In this experimental design point out:

 Independent variables (IV):

 Dependent variables (DV):

 The type of experimental design used:

Propose the possible experimental hypotheses that can be extracted from the experimental design.

13

GENETICS

ACTIVITY 2.1. DNA

Deoxyribonucleic acid, abbreviated as DNA, is a nucleic acid that contains the genetic instructions used in the development and functioning of all living organisms and some viruses; it is also responsible for hereditary transmission. The main function of the DNA molecule is the long-term storage of the information needed to build other components of cells, such as proteins and ribonucleic acid (RNA) molecules. The DNA segments that carry this genetic information are called genes, whereas the other DNA segments can have structural purposes take part in the regulation of the use of this genetic information.

From a chemical point of view, DNA is a polymer of nucleotides, in other words, a polynucleotide. Each nucleotide, in turn, consists of a carbohydrate (deoxyribose), a nitrogenous base (which can be adenine → A, thymine → T, cytosine → C or guanine → G), and a phosphate group (derived from phosphoric acid). Thus, what distinguishes one polynucleotide from another is the nitrogenous base, and therefore the sequence of DNA is specified by naming only the sequence of its bases The sequential arrangement of these four bases along the chain is what encodes the genetic information, following the complementary criteria: A-T and G-C. This is because adenine and guanine are larger than thymine and cytosine, and thus with this in place criteria uniformity is achieved In living organisms, DNA is present as a double chain of nucleotides, in which two strands are linked together by connection known as hydrogen bonds.

Where is hereditary material stored?

What is the reason behind the G-C and A-T pairing of nitrogenous bases?

How many types of nucleic acids are there and what function does each one have?

14

What does semi-conservative DNA duplication mean?

What is the role of codons in the genetic code and what characteristics does said function have?

Briefly explain the 4 phases of Mitosis:

Using the DNA model provided by the professor in the Foundations of Biopsychology class, assemble the double antiparallel chain of DNA by correctly placing paired nitrogenous bases as explained in class. Once assembled, discuss any doubts or questions with the professor and your classmates.

(http://www.molymod.com/dna_rna.html)

15
Figure 1: Advanced miniDNA® 12-layer Kit - Article Ref: AMDNA-060-12

ACTIVITY 2.2. QUESTIONS REGARDING GENETICS AND EPIGENETICS

Answer the following questions about genetics and epigenetics.

1. One way to use blood group information is to help determine possible paternity in questionable cases. If the mother is O- and her son is A-, indicate which of the following is the father:

a) Mr. X: B -

b) Mr Y: AB +

c) Mr Z: O +

Explain the reasoning behind your answer:

2. You have just been appointed as a member of an expert jury that has to pass judgment on the following case: woman X has passed away, she was the mother of 4 children, and men X and Y claim paternity of the children. Assuming that one of the men is the father of all 4, determine which one it is.

DATA of the issue:

● Woman X: A -

● Man Y: B +

● Man Z: AB +

● Child 1: AB -

● Child 2: B +

● Child 3: O +

● Child 4: AB –

The father of the children is: __________

Explain the reasoning behind your answer:

16

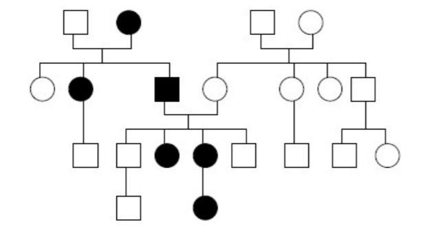
3. Observe the following genealogies. To which pattern of inheritance do the most likely correspond? Explain your answer.

a) __________________________________________________________________________

Explain the reasoning behind your answer:

b)________________________________________________________

Explain the reasoning behind your answer:

17

Explain the reasoning behind your answer:

d)_______________

Explain the reasoning behind your answer:

18 c)____________________________________

4. How can genetics explain why, among monozygotic twins, one develops colon cancer whilst the other does not.

5. Indicate the main mechanism by which epigenetics acts.

6. Was Lamarck really wrong? According to epigenetics, how would Lamarck’s theory be explained?

7. Why can epigenetics revolutionize our understanding of the relationship between genes and environment? How can epigenetics change the conception of individuals regarding their future generations?

19

ACTIVITY 2.3. THE ROLE OF A PSYCHOLOGIST IN GENETIC COUNSELLING

CASE: In 2013, actress Angelina Jolie appeared in the headlines of numerous media because she decided to voluntarily perform a double mastectomy to reduce her high chances of developing breast cancer. According to the media, the doctors advised her to have the surgery because of a genetic inheritance that increased the risk. This is just one example, as every day lots of people receive information on hereditary aspects related to diseases with some degree of genetic origin. Taking this information into account, respond to the following questions/tasks:

1. Search for information regarding what pathologies with some sort of psychological affectation may have a genetic origin that could require genetic advice and specify the genetic basis.

2. Search for the responsibilities of a Psychologist in Genetic Counselling (and who regulates said responsibilities).

20

Turn static files into dynamic content formats.

Create a flipbook
Issuu converts static files into: digital portfolios, online yearbooks, online catalogs, digital photo albums and more. Sign up and create your flipbook.