Lighting Journal April 2023

Page 1

The publication for all lighting professionals

April 2023

REFLECTED GLORY

Bouncing off ideas (rather than light) in a highly reflective London restaurant

ICONS OF ILLUMINATION

Why restoring the lighting on Wandsworth Bridge was a job not to be rushed

DEFENDING SAFE HIGHWAYS

How to push back against pressure from above simply to switch off street lighting

Professional best practice from the Institution of Lighting Professionals
asdlighting.com 01709 374898 sales@asdlighting.com Discover More To view our range of exterior lighting, visit our website or scan the QR code & discover lighting solutions for you. Established in 1982 ASD Lighting PLC Design, Develop & Manufacture in Rotherham, South Yorkshire, UK
Highway Electrical Association Award Winner 2022

DEFENDING SAFE HIGHWAYS

How in the current energy crisis can local authority lighting engineers push back, with evidence and authority, against pressure from above simply to switch off street lighting? Allan Howard outlines a number of considerations to take on board 12

‘WE CAN’T CARRY ON JUST DOING WHAT WE’VE ALWAYS DONE’

Over the next three years East Riding of Yorkshire Council intends to hold a mirror up to the current British Standards when it comes to highway lighting. Are the current standards out of date? Are there better, more energy efficient ways to be illuminating our roads? Karl Rourke explains all

16 SOLAR SOLUTIONS

With local authority lighting teams under pressure to find answers to the energy crisis, it is imperative they know – and can argue – when solar street lighting is and isn’t a viable solution. Guy Harding reports

20

‘WE NEED TO PUSH ON CHANGING MINDSETS’

The House of Lords Science and Technology Committee is investigating the impact of artificial light on human health. In its submission, the ILP has argued that, yes, light pollution is getting worse, and highlighted a range of important changes that can be made

24

32

CASTING A SPELL

Repairing, refurbishing and restoring cast-iron heritage lighting columns, rather than simply replacing them, takes significant technical skill. But the time and effort involved is definitely worth it. Andy Statham and Natalie Fowler report

36

REFLECTED GLORY

High-end seafood restaurant

Scott’s Richmond in London revels in its oldworld opulence of tall ceilings, gold, and Venetian chandeliers. However, its highly reflective glass and mirror walls also created something of a lighting design headache

38

BETA MAXED

Even in its current ‘beta’ iteration, TM66 is a document and tool for the lighting industry that is growing in importance. So much so that ILP London recently held an online event for ILP members on ‘TM66 –what do you need to know?’

46

FLUORESCENT COMES OF AGE

As post-war Britain looked to the future, the evolution of fluorescent street lighting was a process of trial and error. But, as Simon Cornwell writes, one pilot on London’s Brompton Road proved to be a defining statement of future thinking and design

48

NIGHT LIFE

The ILP’s GN08 guidance note on bats and artificial lighting has been updated, once again in conjunction with the Bat Conservation Trust. As Guy Harding writes, it is important all lighting professionals in exterior lighting understand how to manage, mitigate and, where appropriate, avoid the use of artificial light at night when working around these legally protected animals

28

ICONS OF ILLUMINATION

Restoring historic street lighting and bringing it into line with modern requirements often requires a craft-led, painstaking and methodical approach. This was very much the case in the recent restoration and switch to LED of the lighting across Wandsworth Bridge, as Guy Bolton outlines

‘FACE-TO-FACE EVENTS REMAIN A GREAT OPPORTUNITY FOR NETWORKING’

Bristol LDC supports members from across the South West and Wales, and is working to develop more face-to-face CPD during 2023, writes Claire

49

‘THE YLP IS AN OPPORTUNITY TO FIND OUT HOW THE INDUSTRY WORKS’

With 325 members, the YLP is working hard to keep young and new lighters informed and connected, with a lively calendar of events in the pipeline for this year. As Toby Penter explains, it can also be a springboard to greater things within the ILP

44

50

‘ACCESS TO GOOD QUALITY LIGHTING AND DARKNESS SHOULD

BE THE NORM’

As we continue our profiles of new and young lighting professionals, lighting designer Aliz Sanduj explains her route into the industry and why it inspires her

COVER PICTURE

The high-end London restaurant Scott’s Richmond, showing the new opulent lighting scheme by 18FIFTY. Turn to page 36, where the practice’s founder Evina Diamantara explains how the space, dominated by tall ceilings, Venetian chandeliers, and lots and lots of glass and mirrors, proved something of a challenge to light. Photograph by Gavriil Papadiotis

06
Contents 28 6
16
www.theilp.org.uk APRIL 2023 LIGHTING JOURNAL 3 ILLUMINATING INTERIORS AMBIANE™ AP anolislighting.com WARMING COLOURS & ADJUSTABLE WHITES
WatchourVideo info@indolighting.com https://indolighting.com/ 02380982022 BENEFITS DirectDrive® technology Availablein2200K-4000K Marketleadingefficacyupto190lm/W Integratedlong-lifephotocell Excellentthermalmanagement Noneedtoreplacewholefitting Upgradeyourheritage lightingwithINDO’s LEDRetrofitGearTrays

Volume 88 No 4

April 2023

President

Chief Executive

Justin Blades

Editor

Nic Paton BA (Hons) MA

Email: nic.cormorantmedia@outlook.com

LightingJournal’scontentischosenand evaluatedbyvolunteersonourreaderpanel, peerreviewgroupandasmallrepresentative groupwhichholdsfocusmeetingsresponsible forthestrategicdirectionofthepublication. Ifyouwouldliketovolunteertobeinvolved, pleasecontacttheeditor.Wealsowelcome reader letters to the editor.

Graphic & Layout Design

George Eason

Email: george@matrixprint.com

Advertising Manager

Emma Barrett

Email: ebarrett@matrixprint.com

Published by

Matrix Print Consultants Ltd on behalf of Institution of Lighting Professionals

Regent House, Regent Place, Rugby CV21 2PN

Telephone: 01788 576492

E-mail: info@theilp.org.uk

Website: www.theilp.org.uk

Produced by Matrix Print Consultants Ltd

Unit C,Northfield Point, Cunliffe Drive, Kettering, Northants NN16 9QJ

Tel: 01536 527297

Email: gary@matrixprint.com

Website: www.matrixprint.com

© ILP 2023

The views or statements expressed in these pages do not necessarily accord with those of The Institution of Lighting Professionals or the Lighting Journal’s editor. Photocopying of Lighting Journal items for private use is permitted, but not for commercial purposes or economic gain. Reprints of material published in these pages is available for a fee, on application to the editor.

OUR NEW

Ihad the privilege of attending the joint ILP/Bat Conservation Trust event at the end of February to launch the new, updated version of GN08 BatsandartificiallightingintheUK, as we report this month from page 24.

It was a lively affair and, for me, one of the most positive aspects was the fact the vast majority of the audience appeared to be made up of ecologists rather than lighting professionals. Clearly, as Guy Harding highlights in our coverage of the new GN, it is important for lighting professionals to be aware of what is changing in the guidance, what is the new thinking, and how this needs to be reflected in projects on the ground.

But it is also important this knowledge is being disseminated beyond lighting, that this is a conversation extending outside of lighting. We’ll pick up on some of the discussions that came from the event in next month’s edition, including the recommendation that bollard or low-level downward-directional luminaires is strongly discouraged. For me, however, the fact much of the discussion was focused on simply the avoidance of artificial light at night in the first place – only where of course appropriate and where balanced against safety at night – was also encouraging.

That, I appreciate, may sound strange. Obviously, Lighting Journal is, well, a journal about lighting and published for an audience of lighting professionals. Yet at the same time it is important for lighting professionals to be recognising that the question ‘do we need to light?’ or ‘is it necessary to light here?’ is increasingly part – and sometimes a brave part – of the planning and design conversation, especially in this sort of ecologically sensitive context.

On the subject of ongoing conversations, we return this month to how lighting can, should and must be responding to the energy crisis, in particular pressure from above to switch off street lighting. Our articles by Allan Howard (page six), Karl Rourke (page 12) and Guy Harding (page 16) have all been built from their respective presentations to the ILP’s special energy crisis event in Daventry in February.

What I hope is that they will give members, especially those working in local authority street lighting, the confidence to be able to argue their case with authority, to push back if need be, against pressure to switch off or switch unthinkingly to solar. And then, in the case of Karl Rourke’s article, it’s all about building an even stronger evidence base for the future.

As Karl freely concedes, the reality is that, on the ground, there’s likely to be little in the way of visible change in East Riding for the next year, possibly longer. The point of the pilot is to question and challenge assumptions within the Standards, perhaps long-standing ones too, that could be rethought to better reflect the very different world we now all live in, both in terms of climate change and energy prices.

Karl is at pains to emphasise this will not necessarily mean a default of dimming and trimming or even switching off; it could in some scenarios actually mean more light. It is just about trying to think anew, to think afresh. It’s a pilot we’re certainly going to try and keep an eye on over the next three years.

Finally, I found Guy Bolton’s article from page 28 on his practice’s refurbishment of the 80-year-old lighting on London’s Wandsworth Bridge absolutely fascinating. The skill, care and painstaking attention to detail shines through.

Lighting, yes of course, is often about coming up with new solutions or technologies or pushing boundaries. But it is also about recognising how the ‘white heat’ of such new technologies can mesh with, complement and even celebrate much older, more venerable skills, approaches and technologies. And long may that be so.

Nic Paton Editor

SUBSCRIPTIONS

ILP members receive Lighting Journal every month as part of their membership. You can join the ILP online, through www.theilp.org.uk. Alternatively, to subscribe or order copies please email Diane Sterne at diane@theilp.org.uk. The ILP also provides a Lighting Journal subscription service to many libraries, universities, research establishments, non-governmental organisations, and local and national governments.

Editor’s letter
www.theilp.org.uk APRIL 2023 LIGHTING JOURNAL 5 anolislighting.com CALUMMA™
FAMILY

DEFENDING SAFE HIGHWAYS

We are in a period of rapid and extraordinary increases in the cost of electricity within the highway sector, which is having a huge impact on highway authority budgets.

For a long time now we have been used to costs in the region of 12p per KWh, depending upon our energy purchasing agreement arrangements. But now some authorities that are looking to new agreements are being advised that this may well be region of 70 to 80p KWh.

To give this some context, one average-sized authority commented that its public lighting energy costs have risen from £680,000 to close to £2.8m.

We of course cannot know if this is trend is going to increase or if at some point start to reduce, but I suspect the old days of 12p KWh may be long gone.

So, clearly, the highway lighting energy costs are coming under closer scrutiny and questions are being asked about how the energy consumption can be reduced and what level of service can be provided.

FIRST PRINCIPLES

Let’s understand the provision of street lighting. A highway authority has a power (in others words, the ability), not a duty (not an obligation) under the Highways Act 1980 [Section 97 Lighting of Highways] or in Scotland the Roads (Scotland) Act 1984 [Section 35 Provision of lighting by roads authorities] to provide and maintain road lighting.

Similarly, the local lighting authority, usually the parish, town, district or borough council, has the power to provide and maintain footway lighting.

In exercising its powers, and with respect to the extent, operation and maintenance of its road lighting, a highway authority should act ‘reasonably’. If it acts in a way that no reasonable authority would act, then the decision of that authority could be subject to review in the courts.

APPLYING A ‘REASONABLE’ APPROACH

What does reasonably mean in a legal context? In comes down to using good judgement, not going beyond what is usual or expected, and undertaking the task is carried out in a satisfactory way.

The Construction Design and Management Regulations also apply in that no dutyholder should appoint a designer, CDM co-ordinator, principal contractor or contractor unless they have taken reasonable steps to ensure the organisation or individual is competent to carry out the duties for which they are being appointed.

This applies to any party involved within the design, be it the lighting designer or even a local councillor making demands on the lighting authority. The ILP’s Guidance Note 04 provides an overview on the CDM Regulations [1]

WHY DO WE LIGHT?

Highway lighting is provided for a number of reasons, key of which are:

• As a road safety mitigation measure

• As a public amenity

• To provide a safe environment for all users

• To aid economic support

To aid our application of good highway/public lighting we apply the Standards (BS5489-1 and BS EN 13201 Parts 1 to 5) supported by good industry practice, such as that advised in the ILP’s professional lighting guides and guidance notes. On top of this we source other guidance, such as that provided by the Society of Light and Lighting and the Design Manual for Roads and Bridges (DMRB), especially TD510 Road lightingdesign[2]

Of course, these are all guidance and don’t have to be applied. But if you don’t follow them or if you divert from them you should record in detail why this approach has been followed and how the safety of all users has been considered. ‘To save money’ is not a

How in the current energy crisis can local authority lighting engineers push back, with evidence and authority, against pressure from above simply to switch off street lighting? Allan Howard outlines a number of considerations

good reason for diverting from the Standards and good practice.

Should the unfortunate happen, and a death occur, then the police have a duty under the Road Death Investigation Manual to undertake an assessment of the road infrastructure and checks on its compliance with the Standards applicable at the time of construction.

Failure to meet the Standards could lead to the authority being legally challenged and also to the coroner’s court.

Now, you may say no authority has been prosecuted before. But they have come close, and would you wish to be in court and run the risk of being the first?

APRIL 2023 LIGHTING JOURNAL 6

Highway lighting and the energy crisis

WE ARE IN A PERIOD OF RAPID AND EXTRAORDINARY INCREASES IN THE COST OF ELECTRICITY WITHIN THE HIGHWAY SECTOR, WHICH IS HAVING A HUGE IMPACT ON HIGHWAY AUTHORITY BUDGETS

www.theilp.org.uk APRIL 2023 LIGHTING JOURNAL 7

Highway lighting and the energy crisis

The following below is a statement from one UK council following a coroner’s court and is pertinent to the current situation. It relates to the main highway routes through the authority, turning one luminaire on double arm columns off, turning off roundabout approach and departure lighting, and having one or two columns in lighting at T junctions.

• [The previous administration] were placed in a position where budget cuts and savings had to be found and we were advised that this would be a reasonable thing to do.

• There was a 30% rise in accidents and two deaths in unlit areas.

• We have evidence from the coroner’s office that [recommends] we ought to rethink and that’s exactly what we are doing.

The result was that 2,700 columns were turned back on and adaptive lighting then applied.

WHAT ENERGY REDUCTION OPTIONS ARE AVAILABLE FOR CONSIDERATION?

1. Switching off the street lighting totally

Starting with the most obvious, the first question you should be asking when considering the different options available is: can we simply switch off the street lighting?

As we have seen, there is a power not a duty to provide street lighting. However, to remove streetlighting the authority should demonstrate that the risks or assessment that required the lighting provision are no longer present, or that the resultant risks of a part-night lighting policy or full lighting switch-off are mitigated.

This means that the lighting cannot be considered in isolation and the whole highway safety must be reviewed. This includes highway signage, road markings and other road attributes.

If we just look at road signing and road markings, then under the Traffic Signs Regulations and General Directions (TSRG) we are advised as follows:

• Where a sign is placed on a road subject to a speed limit greater than 20mph, and is within 50m of any lamp, which forms part of a system of street-lighting, the illumination requirements for the sign are:

a) where that system of street lighting is illuminated throughout the hours of darkness, the sign must be illuminated by internal or external lighting for so long as that system is illuminated and may also be reflectorised; or

b) where that system of street-lighting is not illuminated throughout the hours of darkness:

i. the sign must be illuminated by internal or external lighting for so long as that system is illuminated and must also be reflectorised; or

ii. the sign must be illuminated throughout the hours of darkness by internal or external lighting and may also be reflectorised.

Road markings also have to be suitable for an unlit road; this may require wider markings and/or a higher reflectivity of them.

2. Switching off every other streetlight Basically, this should not be considered. BS5489-1 states: ‘If switching light sources off is the method used to vary the lighting level, the uniformity requirements should be met.’

So, uniformity is of vital importance and research currently being undertaken at Sheffield University indicates that for pedestrians’ uniformity has a higher importance that achieving the minimum average illuminance.

3. Reducing the lighting class Authorities have asked if they can apply scotopic/photopic (S/P) ratios to the consideration of lighting class under BS5489-1, as this seems to have been removed from the current issue of the Standard.

The previous issue of BS5489-1 was based on sodium lighting. Thus, the benefits through the perception that roads lit with

white light such as LEDs were brighter permitted the class performance requirements to be reduced by the provision of the S/P ratio.

The current issue of BS5489-1 is now based upon white light sources, so this factor is no longer applicable. If you compare the standards, you will see that the options of P1 and M1 are no longer really viable and instead where we used to use P1 we now design to P2, with P4 being a bottom stop.

In fact, it goes further and advises that, where a non-white light source is used, the S/P ratio should be applied and the lighting performance level increased. This perhaps is a factor to consider when using ‘wildlife friendly’ amber light sources?

Any further reduction in lighting class should be based on a site-specific lighting level risk assessment in accordance with the Standard.

APRIL 2023 LIGHTING JOURNAL www.theilp.org.uk 8

Highway lighting and the energy crisis

SO WHAT, PRACTICALLY, CAN WE DO?

1. Review your inventory. The best thing you can ensure is to have a correct and up-to-date inventory. Does it accurately reflect what you have out on your highway?

I am past being surprised at just how poor inventories can be, even to the extent that in more than one instance energy reduction programmes have been underway for some time but the work undertaken still has not made it to the inventory. So, no energy savings are being realised!

2. Make use of your meter administrator (MA). Your MA sends you regular reports; these reflect your energy use and also reference similar months in past years, so you can compare energy consumption. Do you understand these and even, dare I ask, read them?

They can be an early warning that the energy plans you are putting in place are not being realised. Your MA will be happy, I am sure, to explain the reports to you should you need.

3. Prioritise LED deployment . This should by now be an obvious option for any energy conscious local authority. Look to implementing an LED upgrade programme if this is not already underway.

This should include a central management system (CMS) or similar to facilitate the application of adaptive lighting. When considering this approach, it is vital that the columns are assessed as minor structures and that the guidance provided within the ILP’s GN06 Retrofitting LED luminaires on existing lighting columns is followed [3]

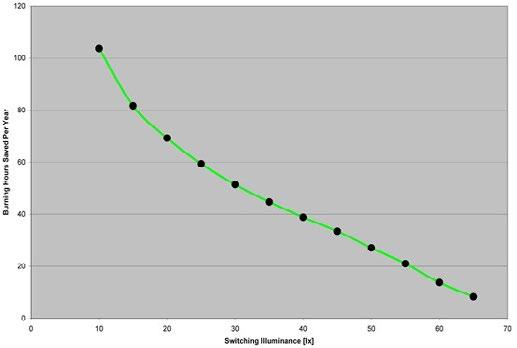
4) Embrace the mantra of ‘right light at the right time’. Using the CMS or other control approach, make the most of adaptive lighting. Look to vary the lighting levels to suit the task; when you look at traffic flows, for example, it can be quite surprising how early you can look to reduce the lighting performance by a class.

Adaptive lighting is not just dimming the lighting, it includes other options. One of these that potentially could help reduce your tariff and also save considerable energy costs is trimming, or the turning on and off of the lighting at the right time.

With LEDs we no longer have to wait for the light source to warm up to

full output, so if we light a road to perhaps 5 lux, why not turn the lighting on at 10 lux rather than the traditional 70 lux?

This can reduce the burning hours per column by 105 hours per annum. If you have 40,000 units, that equates to 400,000 less burning hour across your stock, as shown in figure 1 above.

This so important because of the way in which energy tariffs are calculated. When demand is at its highest, energy is the most expansive, as can be seen from the DUoS KWh and DuoS costs charts above (figure 2).

Whilst the black bars in the DUoS KWh chart are quite small, when you look at the actual DUoS energy costs chart you can see just how great a cost impact using energy at this time there is.

It is especially from November through to February that trimming can have an impact on consumption and costs, as it reduces use over this expensive period.

CONCLUSIONS

All the points that have been raised in this article are considerations that can be applied to help reduce a highway authorities energy consumption.

Unfortunately, because of ongoing high energy prices your energy bill is still likely to increase. But not to the scale that it could have if these measures have not been considered and deployed.

This article is based on the presentation Allan Howard gave to the ILP’s special energy crisis event in Daventry in February. It is also a presentation he is taking around various LDCs in the coming months. So watch out for when it comes to your local area.

[1] Guidance Note 4 ‘CDM 2015 overview’, The ILP, 2016, https://theilp.org.uk/ publication/guidance-note-4-cdm-2015-overview/ [2] BS 5489-1:2020 – TC ‘Design of road lighting - Lighting of roads and public amenity areas. Code of practice’, https:// knowledge.bsigroup.com/products/design-of-road-lighting-lighting-of-roads-and-publicamenity-areas-code-of-practice/tracked-changes; BS EN 13201 – ‘Road lighting’, https:// landingpage.bsigroup.com/LandingPage/Series?UPI=BS%20EN%2013201; GG 101 –‘Introduction to the Design Manual for Roads and Bridges’, https://www. standardsforhighways.co.uk/dmrb/search/25cefcd4-3464-4e41-8e4f-fffc155723ea; TD 501 – ‘Road lighting design’ https://www.standardsforhighways.co.uk/dmrb/ search/07c88b7e-bd8f-43c8-bdd9-49bfb86d6878 [3] Guidance Note 6 ‘Retrofitting LED luminaires on existing lighting columns’, The ILP, 2017, https://theilp.org.uk/publication/ guidance-note-6-retrofitting-led-luminaires-on-existing-lighting-columns/

Figure 1. This shows the benefits of switching illuminance versus annual burning hours saved Figure 2. DUoS KWh and costs, showing monthly difference over the course of a year. Graphic courtesy of Power Data Associates Allan Howard BEng(Hons) CEng FILP FSLL is group technical director, Lighting & Energy Solutions, at WSP
APRIL 2023 LIGHTING JOURNAL www.theilp.org.uk 10

Discover Kingfisher

For 35 years we have been delivering outstanding lighting solutions all over the UK and Ireland.

Our product range has been specifically designed to o er excellent e iciency and uniformity, and coupled with bespoke accessories and controls packages ensure each scheme exceeds expectation.

01623 415900 www.kingfisherlighting.com plc Part of the group of companies STREET | AMENITY | ARCHITECTURAL | SPORT | HIGH MAST | RAIL | CONTROLS

‘WE CAN’T CARRY ON JUST DOING WHAT WE’VE ALWAYS DONE’

Over the next three years East Riding of Yorkshire Council intends to hold a mirror up to the current British Standards when it comes to highway lighting. Are the current standards out of date? Are there better, more energy efficient ways to be illuminating our roads? Karl Rourke explains what’s happening

APRIL 2023 LIGHTING JOURNAL 12

As was highlighted in last month’s LightingJournal, here at East Riding of Yorkshire Council we are beginning a pilot scheme to test and evaluate new technologies to decarbonise our street lighting network.

Our pilot is one of seven being run by the Department for Transport through the Live Labs 2: Decarbonising Local Roads competition.

So, what are we doing? The first thing to say is that, in terms of actual activity or things changing on East Riding’s highway network, initially there’s not going to be a lot to see!

The three-year project is due to start from later this month. But the first year is mostly going to be taken up by research designed to tell us what we’re going to need to do when we do start changing things on the road, which is likely to be in the second year.

However, in time, I am hopeful our pilot could have significant ramifications for the UK street lighting sector, not least around energy use and illuminance.

SCRUTINISING THE STANDARDS

This is because our pilot is aiming to go back to basics and test the current British Standards that govern our highway landscape, namely BS5489, BS EN13201 and TSRDG.

Highway lighting and the energy crisis

We are going to test these from a user perspective and academically scrutinise the standards to ensure they are fit for purpose for 2023 and beyond. Our aim is to provide a visually informative and safe highway environment but remove – or at the very least question – some of the long-standing default positions around our street and highway lighting.

However, as I said to ILP members when I presented on this in Daventry in February at the ILP’s special energy crisis event, this doesn’t mean you all have to panic and begin mentally reviewing your CVs. Equally, it doesn’t mean we’re going to be proposing that we switch off every streetlight tomorrow.

Rather, what we’re working towards is the creation of a new set of academically supported guidance for the provision of lighting, levels of lighting, and, if lighting is not provided, then what alternatives need to be provided to ensure safe road use for all.

I should also emphasise I firmly believe the British Standards have served us well. But we have some 7.2 million streetlights in the UK, which cost us £3.5bn a year. We spent £1bn on energy, £2bn on columns, £500m on repairs and maintenance. Our street lighting network generates one million tonnes of carbon and half a million

tonnes of energy carbon per year; it uses half a million tonnes of steel per annum too. And this is before the current energy crisis, which is of course focusing all our minds in terms of what we can afford now when it comes to street lighting – as both a nation and a sector – and, even more importantly, what we will be able to afford in the future.

TACKLING RISK AVERSION

As Bob Dylan sang, the times they are a’changing and, to my mind, the status quo is simply unsustainable from both a financial

www.theilp.org.uk APRIL 2023 LIGHTING JOURNAL 13
Karl Rourke presenting at the ILP’s special energy crisis event in Daventry, Northamptonshire

Highway lighting and the energy crisis

and environmental point of view. Many ILP members, especially those working in local authorities, face these self-same challenges. We are all trying to drive down our energy use, we all have different political challenges to navigate, different priorities and different financial challenges.

Yet all of us are still driven by risk aversion. BS5489 and BS EN 13201 bring a level of safety as asset owners but, I would argue, lighting empty roads is a complete waste. Councils can – and increasingly need to –strike a balance between reducing budgets and enhancing safety.

To that end, the overarching premise to our work with Live Labs will be to engage with and interrogate the current national standards that govern our highway construction. We intend to reconsider the layered approach of building highways, where all aspects of the highway landscape are considered and designed in isolation.

We intend to produce a template whereby all items of highway infrastructure are investigated in relation to their impact on each other. This holistic approach (with academic evidence, which I will return to) will examine highway design from the users’ visual perspective.

It will test the current standards, baselining carbon usage and providing a template that can be used to remove the conflicts between asset managers and designers and stand the scrutiny of legal challenge. Things we’re going to look at will include:

• light levels versus visual perception, how the eye reacts and the distinction between light levels versus visual perception;

• the effects of weather conditions, including wet roads versus dry roads and summer nights versus winter evenings;

• the type of tarmac (in other words, does a particular type lend itself better to new interventions);

• lens design and the optical benefit for modern and evolving roads and cars;

• how the transition to LED headlights creates far greater positive vision for the motorist; and

• the impact of our significant ‘legacy’ car stock.

Other questions we’re going to address will include the viability of new approaches to white lines, including innovative stipple effects that sit above a wet surface. Or whether the use of micro dots – instead of a solid white line – actually increases the contrast of each dot and makes a white line look brighter. Currently, the British Standards simply say these are non-compliant.

What about, too, sign brightness? Sign brightness has been shown to speed up reading time; diamond-grade signs have been shown to reduce night-time collisions by nearly 50%. Or what about smart, safe and sustainable solar-powered road studs, which have been proven to increase nighttime road safety and have vastly greater visibility (on average 10x greater) around 900m?

Or, instead of thinking of white lines as the last-minute task before reopening a road, should councils be putting lines and other road information methods front and centre of user experience? Not because it looks nice but because this is what makes the road work in a safe manner and be more efficient in terms of lighting and energy use.

To reiterate, this not about tearing up the

APRIL 2023 LIGHTING JOURNAL www.theilp.org.uk 14
The various partners in the East Riding pilot, including of course the ILP This image and above: Beverley in East Riding of Yorkshire

current British Standards. It is about combining all elements of the highway visual environment into a holistic approach rather than designing layer upon layer with no regard as to how one element affects the other. We can’t carry on just doing what we’ve always done – just because it’s how we’ve always done it.

NATIONAL PARTNERS

The other important point to make here is that, yes, notionally this is an East Riding of Yorkshire pilot. But we are working with an extensive network of partners, industry bodies, and universities. Our partners, which include councils from across the country, have been specifically selected because of their contrasts in terms of geography and community. They come from Northern Ireland, Wales, Scotland and a cross-cut of key English county, unitary and London borough authorities.

We are also bringing together streetlighting boards across ADEPT, Midlands Highways Alliance, TAG, LCRIG, Chair of SCOTS and CSS Wales. Nearly half of UKRLG – the UK Roads Leadership Group – is also driving this Live Lab. The ILP, too, is a partner in this project and its input will I am sure be immensely valuable.

On the academic side, we are fortunate to be partnered with Sheffield University –where we are working with Professor Steve Fotios, among others – and Napier University to support our academic research and provide powerful insight.

Highway lighting and the energy crisis

Moreover, throughout the three-year programme we will work closely with Safer Streets groups and increase our current engagement with police and crime commissioners. Our aim is very much not to plunge the country in to darkness but to provide a well-researched basis to highway visual perception. In fact, in some areas we may well find that current standards don’t go far enough and streets could be safer if we increase illumination.

We intend to arrive at a clear and robust methodology, which will support our final findings and provide a robust basis on which to defend the changes we make, ultimately in a court of law or coroner’s court if necessary.

Our aim is to see the current 7.2 million lighting columns out there as peak saturation and provide an evidence-based framework for the steady reduction in these numbers. We want to ensure that future highway design places carbon and energy use as an equal priority to the visual environment we want to achieve.

We want to ensure future highway design considers the public realm holistically. For us, ‘success’ will be in creating a measure that provides illumination that is safe, visually stimulating and brings benefit day and night.

SUMMARY

Ultimately, streetlights will always be with us. As I say, in some places we need may even conclude we need to dial up lighting to meet modern requirements that outdated standards have neglected.

Conversely, we expect to show evidence that, for many parts of the UK, we can

match or exceed high visual appreciation of the streetscape with lighting targeted only where needed.

One way or another, I am excited that over the next three years we will be holding a mirror up to the sector. That we will be replacing tick-box approaches to lighting schemes with a new safety-centric and carbon-focused approach, one that will put lighting professionals firmly in the spotlight.

Finally, I want to ask for your input in this as ILP members, especially ILP members working in local authorities. I want to hear your views and engage with what you think and have to say about all this.

If you feel you have certain roads where our approach could come in handy, perhaps accident data for a specific section of road, then come and speak to us. I am keen to raise awareness so we can build that wider collaboration (and my email is at the end).

Local authorities too often work either against each other or in isolation. What we’re trying to do is reach out to local authorities and say ‘come and work with us; we’d love to see what innovations or reallife scenarios you’ve got out there’.

FIND OUT MORE

Anyone interested in discussing the pilot can email Karl on karl.rourke@eastriding.gov.uk

‘OVER THE NEXT THREE YEARS WE WILL BE HOLDING A MIRROR UP TO THE SECTOR. WE WILL BE REPLACING TICK-BOX APPROACHES TO LIGHTING SCHEMES WITH A NEW SAFETY-CENTRIC AND CARBON-FOCUSED APPROACH, ONE THAT WILL PUT LIGHTING PROFESSIONALS FIRMLY IN THE SPOTLIGHT.’
Karl Rourke is service manager, Street Lighting, Traffic Signals and CCTV, at East Riding of Yorkshire Council
www.theilp.org.uk APRIL 2023 LIGHTING JOURNAL 15

SOLAR SOLUTIONS

With local authority lighting teams under pressure to find answers to the energy crisis, it is imperative they know – and can argue – when solar street lighting is and isn’t a viable solution

Local authorities, we all know, are under a lot of pressure right now to cut costs because of the energy crisis, with this pressure often being passed down to local lighting teams.

One answer – apparently neat and quick – is simply to transition existing conventional street lighting stock over to solar. It cuts your bills – tick. It will help your authority in its drive to net zero – tick. And it can be a great way of showing to both the general public and your elected officials that you are doing something to respond to the crisis – tick.

But is solar always the right answer? And what questions should you as a result be asking of all those solar salespeople now knocking at your door?

In this article, I’m going to spell out why solar may, yes, sometimes be the right answer. But equally why it isn’t always the case, especially when it comes to replacing street lighting.

I’m also going to suggest some of the questions you need to be asking to enable you to make the right decisions about the use of solar for your external lighting.

The first point to note here is that currently there is no viable solar product that will provide dawn-to-dusk P4 lighting levels. By viable, I mean with a sensibly sized photovoltaic panel. In other words, some-

APRIL 2023 LIGHTING JOURNAL 16

thing that isn’t the size of a dinner table.

So, we have to consider that we’re not going to get solar for P4 – yet. It is also important to think about costs, not only the initial capital costs but the whole life of the solar installation. That, obviously, needs to show a return on investment.

LONGEVITY OF BATTERIES

Another area that needs thorough investigation is the lifetime of batteries and any warranties that your manufacturer will give. Batteries can be the weak point within solar lighting, possibly lasting no more than 10 to 12 years. Moreover, there is a big call on batteries at the moment – and battery technologies are developing all the time – especially for the electric vehicle and EV charging industry.

A further important point to consider is what’s going to be the future price and availability of all these batteries? Rare metals go into batteries, whether we’re talking geltype batteries, older leisure-type batteries, or Lithium-Ion ones. So, as well as the ‘eco solution’ argument of solar, we do need to be thinking about the materials, energy and resources that go into the creation of solar lighting, as Mark Hopkins ably highlighted in last month’s edition of Lighting Journal (‘Solar, supply and sustainability’, March 2022, vol 88, no 3).

What, then, about the size of the solar panel and the potential windage? These panels have got to go on top of the column. They can unsightly. If they’re huge, they’re going to have to be blended in properly. Solar luminaires will be heavier, with batteries in or batteries down the base of the column.

It is likely your columns will need upgrading to heavy duty or stronger to hold the battery and support the panel with its

Solar lighting and the energy crisis

increased windage – and that’s a much more expensive column than a standard one.

You need to look at – and interrogate –the efficiency of the solar product as a solution. Solar panels are probably 20%-22% efficient – at best. So, if you’re quoting for a 60W panel, you need to think that you’re only going to get 12W out of that panel reliably.

Then, what about future-proofing your product? Or the availability of spares? As new products are introduced, will there be the spares you need available for your solar product?

If you’re serious about transitioning at least some of your lighting stock to solar, perhaps the first and most fundamental question you need to be asking is: ‘does this area need to be lit at all?’.

If the answer to this is ‘yes’ then, based on experience of local authority engineers who I have spoken to, they suggest that, if you are designing for highways especially, you have to design for full compliance. So, don’t compromise. If you have got to go to site and be installing stuff later on, it’s going to cost more.

It is important to consult with other groups as well, especially emergency services to ensure there is a back-up plan should your solar lighting fail. If it does fail for whatever reason, especially on a highway, what is going to be the cost to reinstall standard lighting if the solar just does not work?

WHERE SOLAR DOESN’T WORK

One of the key messages to get across here is that, despite often being seen as a popular and easy answer, solar is not a panacea solution. It is not going to work everywhere and it is not going to be appropriate for all situations or environments.

Solar, yes, will probably work well for the Middle East or south of France. But when we start getting up in the middle or north of

England, there is a lot less sunlight. So, check that the manufacturer’s claims are valid for that location.

What sort of autonomy or reserve does the system has? What is the back-up if you get a very poor charging day? How many nights’ reserve have you got in the batteries? Typically two or three nights would be ideal. The duty cycle of the battery is also an important consideration.

If you get a really poor charging day, have you some back-up and reserve is a very relevant question to be asking. Also, will it light throughout the long winter nights, when we need the lighting most? And when we get far less sunlight during the day.

As well as long winter nights, you need to consider low temperatures. There were a lot of people this winter reporting that their electric vehicle ranges have been dropping right down in cold temperatures. It is exactly the same for solar batteries. Batteries don’t like cold. And the amount of reserve you’ll get is a lot less.

Also, consider shading from the surroundings. You can’t put solar in the shadow next to a building. Or under trees. You’re just not going to get the solar charging on to the panels themselves. Sometimes that is not understood.

There was a case when I was working for a manufacturer years ago looking at solar lighting for a sign. The architect wanted it in the corner of a courtyard, in the shadows tucked away. Yet it was solar powered, with a solar panel on top. It was not going to work.

Lastly, be aware there can be problems with lumen compliance on edge illumination on a cycle path. Again, the solar technology might be reasonable, but the optics that were available weren’t that good for lighting a pathway. So you might get benefits from solar in one case, but that has got to be coupled with a good lantern and good optics.

WHERE SOLAR DOES WORK

So, where will solar work? The best place in my opinion is off highway. Generally, where there is no power infrastructure already existing.

In this environment, solar can be beneficial. To my mind, the best candidates for solar are schemes that are running at a very low level and have passive PIR sensors. So, if there is movement, the lighting level can go up quickly and they stay on for a short duration of time. Solar can be great for this sort of scenario, as we’ll come to shortly.

So, talk to your manufacturer; start grilling them. They should be working out the efficiency of the system and you should be checking really closely that any claims they are making are valid for that location.

www.theilp.org.uk APRIL 2023 LIGHTING JOURNAL 17
Guy Harding presenting at Daventry

Solar lighting and the energy crisis

As one local authority engineer recently told me: ‘Some manufacturers are economical with the truth; they will try and sell you something that is perhaps not going to work.’ A good manufacturer will be truthful and perhaps say to you, ‘solar doesn’t work here’. So pick your manufacturer carefully.

Another possible solution worth looking at is a hybrid system, one where the solar lighting is still connected to the DNO. The idea here is that you use solar power during the times when electricity is particularly expensive, peak hours 5pm-7pm for example, which of course saves your authority money. Then you switch over, back to the DNO, when power is cheaper later on in the evening and through the night. This option, to my mind, needs exploring further. There could be issues with metering for example.

CASE STUDIES – WIGAN MBC

I’m grateful to Chris Pennington, technical and design officer at Wigan Metropolitan Borough Council, who passed on to me a recent, and positive, experience he has had with a solar street lighting installation.

Looking to achieve net zero, in 2020 the council received some Safer Streets funding. It had identified an area particular affected by crime, such as burglary and vehicle theft. It was off highway, essentially a series of relatively narrow pathways and alleyways between houses on a number of estates.

A resident survey had shown that improved lighting was the number one priority for the community; it was something they really wanted, not least as a way to the reduce crime and anti-social behaviour in the area.

To complicate matters, there was also a lack of electrical power in the area. There are no DNO or cables running down these pathways and alleyways. There was also limited accessibility for heavy plant and equipment.

Furthermore, there was potential for spill light to fall on to properties and bedroom windows. Covid-19 also struck at just the wrong time, which meant that contractor availability was problematic. Brexit was also affecting product availability, spares and components. And the deadline to complete the scheme was by March 2021!

Solar in this case offered the solution for the approximately 70 lighting points that were needed. It avoided 2.2km of trenching for cabling. It much reduced disruption to residents. It reduced a forecast of 75 working days down to 10 to get the scheme installed. Turning to solar avoided having to use 15,000KWh of energy and some 58 tonnes of CO2. It also avoided £17,000 of energy charges.

The feedback from the scheme has been

very positive so far; the residents feel safer. The lights have been set at a low level and as soon as any movement is detected, they ramp up for a few minutes. This product is very much scalable and is being developed and is likely to be used for further Safer Streets initiatives.

So, that is one use case where, clearly, solar has worked well as a solution. But there was a lot of consultation, a lot of detailed planning, and a lot that needed to be looked into beforehand.

WESTMINSTER CITY COUNCIL

To highlight another example, speaking to Dean Wendelborn, street lighting project manager at Westminster City Council, it is trialling solar lighting on a road where there are DNO connectors.

The location is a big office development where the developer decided to dig up the pavements but then concreted it all back, so there was no possibility of cabling, or at least not without great expense.

The scheme is using 8W and 16W luminaires, with a PIR control. Much as with Wigan, the lights are switched up from a low level upon detection of movement.

Another benefit here is that the street has a generous amount of ambient light; there is a lot of spill light from retail and other surroundings, which has helped.

It’s not lit to a standard but, as Dean has commented, ‘it’s better than nothing’. At least they’re getting some lighting there. In the future, they’ll probably get the DNO

supplies back in but, in the meantime, it is a viable temporary solution and, for now, an ongoing trial.

SUMMARY

So, in conclusion, yes, it is clear that solar can be a viable solution for street lighting – in certain circumstances. The evidence is there and, where it is appropriate to the environment, location and need, it can work extremely well.

But – and this is the important point to take away – in other cases or locations it is not going to be the answer.

It is not going to be the right answer every time. In that scenario, it is imperative that the local authority lighting team makes a robust and evidence-based case as to why it is not the right solution on this occasion, irrespective of any pressure for quick wins or solutions coming from above.

This article is based on the presentation Guy Harding gave to the ILP’s special energy crisis event in Daventry in February. Like with Allan Howard, it is a presentation he is taking around various LDCs in the coming months. So watch out for when it comes to your local area.

APRIL 2023 LIGHTING JOURNAL www.theilp.org.uk 18
EUR ING Guy Harding CEng FILP and MSLL is the ILP’s Technical Manager Solar can be a great solution in hot, sunny climates, like the Middle East, but may not be as appropriate in parts of the UK

Urbis Schréder

It’s not a product, It’s .

Our Heritage and Sports range is designed to bring a touch of elegance with modern technology to your smart city, whilst offering quality lighting. However, unlike standard luminaires in the market, it doesn’t just contribute towards your NetZERO but maintains it, through

With Schreder’s EXEDRA and the LOGIC approach , we help clients achieve significant energy savings and low carbon footprint, through our connectedready CMS that monitors, meters and manages each luminaire in a lighting network.

Talk to us about making the right connections. Get in touch at logic@urbis-schreder.com
Control Manage Collect data decarbonisation.

In last month’s Lighting Journal, we reported how the House of Lords Science and Technology Committee announced in January it intended to conduct an inquiry into the impact of artificial light and noise on human health. The committee said it was seeking to understand three key points:

• the evidence base surrounding the impacts of artificial light and noise on human health in the UK;

• the nature of the current regulatory landscape for light and noise pollution and how well these regulations are enforced; and

• how policy should be adjusted to minimise the impacts of artificial light and noise on human health.

‘WE NEED TO PUSH ON CHANGING MINDSETS’

The House of Lords Science and Technology Committee is investigating the impact of artificial light on human health. In its submission, the ILP has argued that, yes, light pollution is getting worse, and highlighted a range of important changes that can be made

As is often the case with these things, the time window for submitting evidence was quite tight, with the deadline for submissions closing on Friday 3 March.

To that end, the ILP’s technical group got its skates on during February, formed a working party and submitted a detailed response to the MPs.

What, then, did this say? The ILP made it clear, first, that simply the fact MPs were wanting to investigate light pollution was positive. However, it added: ‘Unfortunately, there is a great deal of misinformation and social media noise through lobby groups and activists that essentially categorises all artificial lighting as being bad.

‘We have seen this concern increase since governments have looked to drive forward energy efficiencies which remove all

light sources for all lighting applications from the market, with the exception of LEDs. There are applications that just do not suit LEDs and can create adverse impacts on the environment and users. We fully support the drive to net zero and reducing energy consumption, but this should not come at the cost of good lighting design.’

As Allan Howard also highlighted in last month’s edition (‘Not guilty, m’lud’, vol 88 no 3), the submission emphasised that, in the exterior environment, the impact of street lighting is broadly being manged in the context of light pollution. Rather, ‘it is the impact of other exterior and interior exterior-facing lighting installations that adversely affect the night-time environment’.

20 APRIL 2023 LIGHTING JOURNAL

It added: ‘Health effects are still being understood and the greatest impact on humans is through interior lighting installations, poor quality domestic lighting unit with a high flicker, close and long duration exposure to light sources of all types.

‘We emphasise the requirement that artificial light is correctly considered at all stages of the planning process with due reference to competent lighting professionals,’ the submission said.

EVIDENCE BASE FOR IMPACT

On the question of the evidence base for impact, the working group highlighted research by Public Health England advising that lighting levels provided for public lighting are not sufficient to affect human circadian rhythms and that people will have a

Light pollution

higher exposure when in houses, workplaces, and commercial properties.

The Environmental Protection Act does mention that ‘artificial light emitted from premises can be prejudicial to health’, the ILP agreed. But it also argued: ‘We do not consider that street lighting could be considered as being prejudicial to health, we have no case law but if we look at noise case law this would apply if the observer was exposed to flashing/changing lighting installations or lighting installations that may turn on and off fairly quickly ie domestic PIR controlled security lighting.’

There have, however, been a number of academic papers linking blue light to various adverse health effects, the ILP team noted, and this was often a hot topic on people’s doorsteps.

‘Our local government membership regularly receives complaints from the general population around street lighting. This is often quite simply because street lighting is so visible, the lights are outside people’s houses. When this happens, the focus has been reducing light output, shielding and naturally heading towards warmer colour temps and reducing blue light,’ it said.

Domestic or private lighting, however, is often unregulated and unenforceable by local planning authorities or councils, the submission emphasised. ‘It is available at many retailers and is inexpensive to purchase. It is the ILP’s view that this is the area most harmful to light pollution,’ it added.

‘It is increasing the amount of light pollution significantly and is putting critical eco-systems at risk of collapse,’ it said, also

APRIL 2023 LIGHTING JOURNAL 21 www.theilp.org.uk

Light pollution

pointing the finger of blame at external security lighting, car headlights, illuminated advertising façades, industry lighting, and sports lighting, among others.

IS LIGHT POLLUTION WORSENING?

On whether light pollution is worsening, the ILP’s position was unequivocal. ‘Yes, it is. There is more exterior lighting than there has been before. This is in part due to the LEDs paradox: less energy = more light pollution but also reduced manufacturing costs that has seen exterior lighting become more affordable, so application is now more liberal by all users. There is simply more of it than there has been before.

‘It is the ILPs view that, whilst population growth and housing development increases, so will light pollution,’ it added.

When it came to recommendations for changing government policy on light pollution, the ILP in its submission called for the following:

• Remove blue light content from future eco-design parameters, create tension to develop light sources that create less impact on the environment. Do not just focus on efficacy to reduce energy consumption.

• Moves to protect rural areas as dark sky zones should be prioritised to limit the damage that has already been done.

• As we move into a critical phase of net zero and we understand the risk to human health and proven impact on biodiversity, all exterior lighting should be enforceable by a local planning authority.

• Artificial lighting at night needs to be taken seriously by planning departments and lighting needs to be considered earlier on in scheme considerations with the first question being should we light.

• Planning, ecology and street lighting teams in local government should see greater levels of investment from central government.

RESPONSIBILITY AND INTEGRITY

As the ILP argued: ‘We need to push on changing mindsets and evidence that there are misconceptions around the requirement to light.’

To do this, however, it needed to be proved categorically that lighting does or doesn’t have an impact on human health or biodiversity. ‘Increased levels of responsibility and integrity need to be adopted by all involved in exterior lighting,’ the ILP submission argued.

It concluded by considering the various lighting premises that are exempt under

Environmental Protection Act, namely: airports, harbours, railways, tramways, bus stations, public and goods vehicle operating centres, lighthouses, and prisons.

‘The basis for these exemptions is not understood and, with the exception of lighting needed for safe navigation of

marine and air transport, all these installations can have well-designed lighting that meets all of the obtrusive light/skyglow requirements whist providing the right lighting levels. These exemptions should be removed,’ the ILP submission recommended.

CITY OF LONDON TACKLING LIGHT POLLUTION

Skyscrapers in the City of London (above) will be required to dim their lights at night, as part of proposals by the City of London Corporation to reduce light pollution and save energy.

Under the plan, which was consulted on during February, developers will be required to submit a detailed strategy for how their buildings are lit, under plans to cut light pollution and save energy.

The draft ‘Lighting Supplementary Planning Document’ will lay down requirements for future planning applications in the Square Mile and provide guidance on lighting existing buildings.

The City of London Corporation will also encourage businesses and building

owners to sign up to a new voluntary ‘Considerate Lighting Charter’, to show their commitment to improving lighting in the City.

The document has proposed allocating new developments into ‘brightness zones’, with curfew times during which all external lighting other than that required for safety or crime prevention reasons should be switched off or dimmed.

Owners of new developments would be required to consider lighting levels and to turn off or dim their lights earlier if their building is in a sensitive area such as a residential or special heritage area.

The document can be found here: https://www.cityoflondon.gov.uk/services/planning/planning-policy/ supplementary-planning-documents

Ynys Enlli (Bardsey Island, shown left) is the first place in Europe to receive the accolade, and joins one of just 16 sites around the world. The island is located two miles from the tip of the Llŷn Peninsula on the North Wales coast.

The island only has a small population, who mostly work the land and carry out fishing. It is also something of a holiday destination, with 10 cottages for visitors.

WELSH DARK SKIES RECOGNITION

An island in North Wales has been recognised as an International Dark Sky Sanctuary by the International Dark-Sky Association.

Mari Huws is one of the wardens on the island, and a member of the certification process, said: ‘Living here, I am always in awe of the island’s beauty – and the night sky is very much a part of that. Having secured the certification, we look forward to welcoming visitors here over the coming months and years and sharing with them our unique story.’

APRIL 2023 LIGHTING JOURNAL www.theilp.org.uk 22

NIGHT LIFE

The ILP’s GN08 guidance note on bats and artificial lighting has been updated, once again in conjunction with the Bat Conservation Trust. It is important all lighting professionals in exterior lighting understand how to manage, mitigate and, where appropriate, avoid the use of artificial light at night when working around or near these legally protected animals

APRIL 2023 LIGHTING JOURNAL 24

Artificial lighting and bats

It is now five years since ILP’s GN08 Bats andartificiallighting in the UK was last updated, in 2018 [1]. Our knowledge and understanding of how artificial light at night, especially LED, potentially affects bats is growing all the time, which makes the latest iteration of the GN all the more timely and important.

GN08/23 has, once again, been brought together by the ILP in conjunction with the Bat Conservation Trust and a steering group of industry professions, with a joint launch event being held at the end February – and look out for more on that in next month’s edition of LightingJournal

So, what’s in the latest edition and what do ILP members need to be taking note of?

First, I’d certainly recommend you take the time to download and read the full guidance, especially if you’re working in exterior lighting and likely to find yourself lighting sites where bat populations may be in residence. The UK has 18 bat species found throughout the country, even in our most urban areas so there’s a very good chance if you’re working in exterior lighting you will need to know how to avoid impacting them.

The new edition does cover much of the same ground that the 2018 guidance addressed (and before that 2009), but there are some important additions and changes. Recapped from 2018 is guidance on the fact bats tend to live in the UK, why they’re protected under law, and why artificial light at night (ALAN) can be such a problem for them. Additions include added planning guidance – with avoidance being a strong theme – linked to rescuing energy waste and mitigation methods.

Also recapped are how bats can be affected by projects involving exterior lighting, especially in the context of their roosting sites, their foraging habits, and when they’re commuting through the landscape.

As in the previous GN, there are detailed sections on why the different colours of light are important in this context, what

developers need to be doing to ensure bats are protected, the law, and the powers lighting professionals have to install street lighting.

It covers the importance of avoiding the use of artificial light in the first place while also balancing that against the need for people, especially women and vulnerable people, to feel safe at night. It covers a number of key mitigations, which we’ll come to shortly, the role of environmental impact assessments, and the value of lighting contour plans, among other tools.

Finally, it includes some valuable real-life case studies, considering and reflecting on projects in Worcester, Malvern, Newton Ferrers and Kidderminster.

NUMBER OF KEY MESSAGES

The guidance emphasises a number of key messages, including (and this is just a selection) the fact that bat population recovery and status are important, not just because of their intrinsic value as unique mammals and their ecological vulnerability, but also because bats are bio-indicator species.

It is important to, at best, avoid or at the least minimise ALAN close to vegetation, particularly for slower-flying species, and the need to increase dense vegetation in urban landscapes. This is to provide not just roosting opportunities but also protection against ALAN for open-space foraging bats in city landscapes.

Even species known to display some ‘light opportunistic’ behaviours can be detrimentally impacted by ALAN. It is a complicated picture, requiring knowledge gathered at a site level, to make accurate predictions of impacts.

This is a particular issue in recent years, with moves to save energy by using partnight lighting schemes or switching from low-pressure sodium to LED lamps, which can lead to an increase in light intensity.

There are no lux level thresholds available for individual species to negate the need for

site-specific advice. Every site is different. Ideally, light levels should of course always be designed to minimise possible environmental impacts and to maximise the potential of habitat and species enhancement work. This will often need to be through multidisciplinary working and evidence-based new, or retrofit, scheme designs.

RECOMMENDED MITIGATION MEASURES

The guidance is detailed and complex (as I say, do take the time read the whole document) but these are just some examples of the mitigation measures the latest iteration of the document recommends.

• Avoidance should be considered as the first step in line with the mitigation hierarchy and any use of light justified using a holistic approach and evidence lead design

• All luminaires should lack UV elements when manufactured. Metal halide, compact fluorescent sources should not be used.

• LED luminaires should be used where possible due to their sharp cut-off, lower intensity, good colour rendition and dimming capability.

• A warm white spectrum (2700K or lower) should be adopted to reduce blue light component.

• Lights should feature peak wavelengths higher than 550nm to avoid the component of light most disturbing to bats. Internal luminaires can be recessed (as opposed to using a pendant fitting) where installed in proximity to windows to reduce glare and light spill.

• Waymarking inground markers (using low output with ‘bat-hats’ or similar top shielding to minimise upward light spill) can be used to delineate path edges.

• Column heights should be carefully

www.theilp.org.uk APRIL 2023 LIGHTING JOURNAL 25

Artificial lighting and bats

considered to minimise light spill and glare visibility. This should be balanced with the potential for increased numbers of columns and upward light reflectance, as with bollards.

• On bollards, the use of bollard or lowlevel downward-directional luminaires is strongly discouraged. This is due to a considerable range of issues, such as unacceptable glare, poor illumination efficiency, unacceptable upward light output, increased upward light scatter from surfaces and poor facial recognition which makes them unsuitable for most sites. Bollards should only be considered in specific cases where the lighting professional and project manager are able to resolve these issues.

• Only luminaires with a negligible or zero upward light ratio, and with good optical control, should be considered.

• Luminaires should always be mounted horizontally, with no light output above 90° and/or no upward tilt.

• Any external security lighting should be set on motion-sensors and set to as short a possible a timer as the risk assessment will allow. For most general residential purposes, a one- or two-minute timer is likely to be appropriate.

• Use of a central management system (CMS) with additional web-enabled devices to light on demand is recommended. However, use of motion sensors for local authority street lighting may not be feasible, unless the authority has the potential for smart metering through a CMS.

• Only if all other options have been explored should accessories such as baffles, hoods or louvres be used to reduce light spill and directed only to where it is needed. Because of the lensing and fine cut-off control of the beam inherent in modern LED luminaires, the effect of cowls and baffles is often far less than anticipated and so should not be relied upon solely.

There are also further recommendations made within the GN around physical screening, dimming and part-night lighting and glazing treatments, among other areas.

CONCLUSIONS

In summary, in the context of bats and artificial lighting at night, the importance of integrating avoidance measures into developmental design cannot be overemphasised; it

is the key mitigation measure in this context.

However, throughout the guidance we have remained aware of the need for a balance to be struck. The last thing we want is to be creating ‘no go’ areas for vulnerable people at night.

Furthermore, in general, retaining ecologically functional ‘dark corridors’ and key habitats for bats within schemes is to be preferred to lighting mitigation strategies. This avoids costly and time-consuming additional surveys, mitigation and post-development monitoring.

Local planning authorities are likely to favour applications where steps have been taken to avoid such conflicts. Any master-planning work self-evidently needs to be informed by robust ecological survey data and lighting assessments, carried out by the relevant experts at the earliest opportunity in the project.

Ultimately, as the GN concludes, ‘light levels should always be designed to minimise potential environmental impact, and maximise the potential of habitat and species enhancement work, through multidisciplinary working and evidence-based new, or retrofit, scheme design.’

FIND OUT MORE

Guidance Note 08/23 Batsandartificial lightingatnight, is available as a free download from the ILP website, at https://theilp.org.uk/ resources/#guidance-notes

The ILP Technical Committee is in the process of reviewing and updating PLG06 Guidance on installation and maintenanceofseasonaldecorationsandlighting columnattachments[2]

YOUR VIEWS WANTED ON PLG06

Are you an installer of seasonal decorations? Do you have seasonal decorations or column attachments on your column stock? Do you therefore make reference to the ILP’s PLG06 guidance?

The committee is keen to hear comments and constructive criticism on the current document from installers and clients. Is there anything you think needs adding, amending or clarifying?

If you have a query or comment you would like addressing then please email Guy Harding at guy@theilp.org.uk for consideration by the Technical Committee.

[1] ‘Night sense’, Lighting Journal, November-December 2018, vol 83 no 10 [2] PLG06 ‘Guidance on installation and maintenance of seasonal decorations and lighting column attachments’, The ILP 2014, https://theilp.org.uk/publication/plg06-guidance-oninstallation-and-maintenance-of-seasonal-decorations-and-lighting-column-attachments/
APRIL 2023 LIGHTING JOURNAL www.theilp.org.uk 26
EUR ING Guy Harding CEng FILP and MSLL is the ILP’s Technical Manager
Feeder Pillar Shells Pre-wired Distribution Cabinets EV Supply Cabinets NEW 2023 BROCHURE AVAILABLE Wessex Way, Wincanton Business Park, Wincanton, Somerset, BA9 9RR Company reg no 1855059 England +44 (0)1963 828 400 - info@charlesendirect.com - www.charlesendirect.com

ICONS OF ILLUMINATION

Restoring historic street lighting and bringing it into line with modern requirements often requires a craft-led, painstaking and methodical approach. This was very much the case in the recent restoration and switch to LED of the lighting across Wandsworth Bridge in south-west London

SStreet lighting is often a crucial part of historic architecture and, by extension, our national heritage.

However, restoring and updating these ‘icons of illumination’ in a way that preserves their history and authenticity is an enormous responsibility and is often not a simple process.

Projects that require the restoration of historic or vintage lighting assets can be among the most challenging to undertake, as each project has its own unique requirements.

This was very much the case when we at DW Windsor were asked to carry out a complete refurbishment of the 80-year-old lighting on Wandsworth Bridge in south-west London, which we completed in July last year. This included converting the existing lanterns to LED as part of a wider £6m renovation and upgrade project.

There has been a bridge on the site across the River Thames since 1873, although the current steel cantilever bridge, designed by London County Council chief engineer Sir Thomas Peirson Frank, dates back to 1940.

For this project, the restoration process began with examining the lanterns, columns and mountings to determine the level of work required. In addition, it was important to understand how any previous maintenance or restoration work, whether

well-executed or not, was going to impact the task. Often the full extent of the project cannot be understood until this point.

UNDERSTANDING THE PROCESS

Invariably, on any heritage restoration project, the scope of the work differs widely from project to project. It can include replacing damaged or missing parts of the lanterns, refurbishing or replacing broken or discoloured glazing and finishing the items to restore their original appearance.

However, the aim is always to use as much of the original lantern as possible. For example, on the restoration of the lanterns on Wandsworth Bridge, we were able to retain approximately 95% of the original elements.

Routinely (and this was the case with Wandsworth too), the first step is to completely strip the lantern back to a raw state and remove all paint and corrosion. This must be done carefully. Certain materials, such as lead-based paint, can be hazardous and must be removed and disposed of in a way that minimises the risks – typically using a chemical process.

Replacing damaged or missing parts on heritage lanterns is not a simple task and often requires bespoke manufacturing and the use of traditional skills and techniques, which are no longer widely practised. For us,

APRIL 2023 LIGHTING JOURNAL 28

Heritage lighting

www.theilp.org.uk APRIL 2023 LIGHTING JOURNAL 29

Heritage lighting

for example, our in-house restoration team includes expert coppersmiths who can handcraft replacement components to exactly match the original design.

On rare occasions, it is necessary to completely recreate a lantern that has been lost or is too badly damaged. This requires a

craft-based approach and attention to detail. In addition, the replacement luminaire must fully replicate the original and seamlessly match the rest of the installation.

Something as seemingly simple as the repainting process can also present issues on restoration projects. There can be real challenge in recreating a colour and finish applied decades ago. It is often more an art than a science due to the need to visually match the colour in the absence of definitive information.

For example, to reproduce the characteristic gold colour of the columns and lanterns on Wandsworth Bridge, we had to work with a paint-mixing specialist to achieve a colour that replicated the original as closely as possible. Now, even the keenest observer would not be able to see any difference.

When it came to the LED conversion process, initially our applications team prepared a lighting design to London Borough of Wandsworth’s specification, based on our standard LED range.

This meant we could be sure we were putting the correct lighting application at the heart of the programme. The purpose of all lanterns after all is, first and foremost, to safely illuminate the area. Once approved, the next stage was to design the internal lantern optics to carry this LED array in exactly the right position.

On receipt of the luminaires from LB Wandsworth, each one was found to be slightly different to the next, which

complicated matters somewhat! During the initial dismantling process, each section, cover plate and glazing panel therefore had to be marked and labelled to fit back into the correct part of the correct lantern.

All the painted elements were sent to our specialist painter so they could be chemically stripped into a controlled waste container for safe disposal, and the clean-stripped pieces returned to us for rebuilding.

EXTENSIVE TESTING

The smallest unit was then assembled for laboratory testing, as this would be considered the ‘worst case’ for thermal testing. Inside the lantern was a thick aluminium plate, and a recessed optic that had been fitted at some previous upgrade for housing a discharge lamp.

This had been fitted in a way that obscured the upper glazing and left it in darkness, so it was nice to be able to build an LED tray that allowed a small amount of upward lighting and restored these dormant windows to life.

A top tray was designed to fit exactly into each luminaire, with each correct fixing location and attachment holes pre-cut into the tray before painting.

The complete test lantern was then assembled fully before being passed onto our laboratory for both thermal and photometric testing.

This allowed us to ensure the necessary heatsink arrangement would comfortably dissipate the heat from the LED equipment, and also to ensure that the lighting distribution would not be impeded by the rebuilt lantern structure. This was important for Wandsworth Bridge, which requires a minimum road lighting standard of ME3 to ensure pedestrian and road safety. Once tested and approved, the process could be applied to all of the remaining lanterns, safely in the knowledge that all would work to their best performance.

APRIL 2023 LIGHTING JOURNAL www.theilp.org.uk 30
This image and bottom right: the finished lanterns proudly back on Wandsworth Bridge. Top two images: the restoration process underway in the DW Windsor workshop

Heritage lighting

Due to the positioning of the lanterns along the edge of the bridge, shields were fitted to reduce light spill into the river. This, of course, helps to protect the nocturnal wildlife as well as reducing light pollution.

Finally, we carried out extensive testing, using specialised testing equipment, to ensure the lanterns were still able to withstand prolonged exposure to the elements. This was again important from the ME3 perspective.

LEARNING POINTS

What, then, have we learnt from this sort of painstaking and complex project?

First, it is important to understand that not all restorations are the same, and the consequences of poor repairs can be severe.

A refurbishment service can look great, but the approach can often end up purely cosmetic in nature. Simple surface-level cleaning and repainting is usually insufficient to address any underlying problems and can lead to continued degradation or worse.

Structural issues that are not recognised and addressed can result in a serious risk of injury or damage to property. For example, we’ve seen cases where the structure has deteriorated so much that the lantern breaks away and falls to the ground. Such events can result in expensive enquiries incurring high additional costs if further corrective or preventative works are required.

Second, yes, an important element of restoration is bringing the lighting assets into line with modern standards or introducing

the latest lighting technology, as was the case with Wandsworth Bridge. However, this must be completed in a way that is sensitive to the history of the site and retains as much of the original character as possible.

Third, an essential part of any restoration project is close cooperation with everyone involved. This begins with ensuring the end client understands the scope of the work and what can and cannot be achieved.

Collaboration with the contractor responsible for the project is also crucial, ensuring operatives understand how best to dismantle, pack and transport the items to avoid any damage.

One of the challenges of the Wandsworth Bridge project, for example, was that, because of its original construction, not only were all the luminaires very slightly different, the columns and lanterns would also only fit in their original positions and orientations.

As a result, just as with the LED conversion process, the key was ensuring each one was diligently catalogued and marked to ensure it was returned to the same location and faced the correct way. This required us to track each lantern, and its components, throughout all of the restoration processes to ensure this could be achieved.

CONCLUSIONS

Restoration of historic lighting assets is a process that requires a thorough and professional approach. In the vast majority of cases, it also relies on the dedication and talents of skilled craftspeople who can replicate the work of the original artisans.

In contrast to many other areas, lighting restoration relies almost entirely on work done by hand using traditional methods. This is because of the bespoke nature of refurbishment, the need to replicate the original work and the delicacy and care that is demanded.

While there are modern column and wallmounted luminaires available that are designed to replicate the style of older lights, often restoring the existing lanterns remains a key priority, especially within public realm lighting.

This may be to retain authenticity or because the architecture in question has listed status, because of its historic significance. But restoration also has strong sustainability benefits, including reduced embodied carbon.

A circular approach to material use keeps resources operating for as long as possible, extracts maximum value while in use, and then allows us to recover and regenerate products and materials at the end of each service life. Therefore, restoration of lighting assets, rather than replacement, very much aligns clearly with this circular approach.

The UK contains thousands of historic luminaires, ranging from the earliest use of gas through to the modern world of LEDs. Many hands have crafted and toiled to light our streets and open spaces, making them safer environments and illuminating the events of generations through time.

It is both a duty and a privilege to be able to restore these icons of illumination for our descendants long into the future.

www.theilp.org.uk APRIL 2023 LIGHTING JOURNAL 31
Guy Bolton is special projects coordinator at DW Windsor

CASTING A SPELL

Repairing, refurbishing and restoring cast-iron heritage lighting columns, rather than simply replacing them, takes significant technical skill. But the time and effort involved is definitely worth it

Who says you can’t weld cast iron? Here at Cast Iron Welding Services (CIWS), we’re a third-generation family-run business committed (since 1946) to ensuring this long-practised (if now somewhat niche) technique still has a place in the restoration, repair and refurbishment of heritage lighting columns.

As probably most ILP members will be well-aware, cast iron has over many centuries proven itself to be a durable and resilient material. We still see it all around us in the built environment, in many structures dating back well over 100 years.

With care, cast iron can lend itself to an extended service life, far in excess of the expected lifetime of modern alternatives. Of course, modern lower-cost alternatives have their place, but what this article is going to make the case for is that there is also a strong ethical, environmental and financial prerogative for the protection of our cast-iron historical lighting assets.

Key to this is the ability to weld cast iron and, without wanting to do a commercial ‘sell’, we use a range of unique welding processes that, we argue, can allow local authorities or their contractors to consider restoration of cast-iron lighting assets, regardless of their condition.

But it isn’t easy, which is perhaps why the refurbishment, rather than the replacement, of cast-iron lighting columns is too often put into the ‘too hard, too expensive, give me a modern solution’ box.

METALLURGICAL CHALLENGES

For starters, there are a number of metallurgical difficulties relating to welding cast iron, notably the very high carbon content compared to more common steel alloys. Iron-carbon alloys with a carbon content below 2.14% are classed as a steel.

Over 2.14% is classed as a cast iron. This is no arbitrary number but the maximum

APRIL 2023 LIGHTING JOURNAL 32

point at which carbon is soluble in the alloy.

Steel, with all the carbon dissolved, is a single-phase material. Cast iron, with traces of carbon remaining undissolved, is a twophase material.

If you put cast iron under a microscope, you will actually see the carbon. In old ‘grey iron’ (also sometimes referred to as ‘flake iron’), the carbon is rather random. Grey iron is what anything pre-1960 is cast from.

As an aside, you may be interested to know that the name ‘grey iron’ comes from the colour of it when it breaks!

So, why did engineers use this ‘difficult’ material in bygone days? They had no choice; modern smelting of steel had not been invented and, anyway, the high carbon content is what provides the hardness and resilience of the metal, combined with resistance to wear and deformation.

The main downside is its brittleness. The high (and random) content of carbon in grey iron is also a challenge for testing, which we’ll return to later. It was largely because of this that more ductile spheroidal graphite iron (SG cast iron) was developed in the 1960s. This has the same high carbon content but, structurally, is different at a molecular level.

The second major challenge with welding cast iron is the process itself. There are commercially available nickel welding rods around that purport to allow conventional welding of cast iron. But these require the addition of a new material, notably nickel.

The extreme temperatures called for at the point of welding (between 2,000°C and 5,000°C depending on the method) change the cast iron at a molecular level, just where the damage is being repaired and so can present problems.

New cracks adjacent to the repair can occur during or not long after the process are the most serious challenge. Once complete, the structure now consists of mixed materials – the original cast iron and the new nickel. These expand and contract at different rates and, sooner or later, the original crack is liable reoccur.

The secret to successful welding of this tricky material is basically to use a ‘foundry’ process. This includes pre-heating the entire component, creating a molten pool of cast iron, and then introducing new cast iron of precisely the same grade.

This means there is no new ‘unlike’ material, such as nickel, introduced. Following the repair process, it is then imperative that a tightly controlled cooling of the asset takes place to stress-relieve it.

It is self-evident from the above description that this is a process that cannot be carried out in situ; it has to be done in a specialist

workshop, in our case our facility in Leicestershire. The component is heated to a full 600°C and held at that temperature while the repairs take place at some 1,400°C.

CAST IRON AND HERITAGE COLUMN TESTING

The majority of standing heritage lighting columns were originally cast from grey iron. As we’ve seen, however, one of the issues with grey iron is its brittleness.

Local authorities may therefore need (or be required by their insurers) to test their assets to determine if cracks or corrosion are present. This is basic health and safety.

There is a European standard for ultrasonic testing of modern SG cast iron but not for earlier grey iron.

The random nature of the carbon within grey iron can make the readings difficult to understand. Thus, measuring the wall thickness of an historic column with ultrasonic testing is not reliable.

Add to this the requirement for the removal of the paint (most often of course full of lead and thus challenging to remove on site) and the testing method most commonly used on more modern assets is self-evidently unsuitable for cast-iron heritage columns.

Happily, there are more suitable non-destructive testing (NDT) methods available. These are magnetic particle inspection (MPI) and dye-pen testing (DPT).

Nevertheless, despite this, an authority or contractor with a desire to save its historic lighting columns (or perhaps responding to a vociferous campaign from the public) is still faced with the removal of the columns for an alternative method of testing and potentially their subsequent repair. There is, naturally, a conversation to be had over cost and inconvenience but, if the authority is serious about preserving its street lighting heritage, little real choice in the end.

So, how do these NDT methods work? When a column arrives at our facility, the (sometimes copious) layers of paint first need to be removed in a safe and compliant manner, taking into account the safe disposal of lead-based paint.

The structure is then inspected using magnetic particle testing (MPI). This technique involves using white background paint and black magnetic ink.

A powerful yoke (positive/negative) is applied that draws the magnetic ink into any cracks or defects. This also shows up any previous repairs and even faults dating back to the original casting at the foundry. Any areas of concern are marked, and repairs carried out as already described.

On completion of the repair, further

Heritage lighting

APRIL 2023 LIGHTING JOURNAL 33
THE
anolislighting.com
ARCHITECTURE OF LIGHT
Magnetic particle inspection (MPI) testing A founders’ crest on a cast-iron column before restoration (top) and with its new protective topcoat (above)

Heritage lighting

testing is then carried out to check that the structure is sound. This time, dye penetrant testing (DPT) is used. For this process, a cleaning fluid, dye, and a developer is used to highlight anything that remains of concern after the repair process.

MPI and DPT are described as ‘liquid-penetrant-inspection’ practices. They are controlled to an international standard (BS EN 1371) thus ensuring testing is carried out to a fixed and effective procedure. Inspectors are subject to annual refresher courses in order to retain their certification.

STANDING STRAIGHT AND TRUE

Large cast-iron columns were often originally constructed in sections, with a spigot joint at the interface.

These joints corrode over time and are often a cause for instability in the column. ‘Male’ and ‘female’ joints were tightly toleranced when the columns were designed, cast and erected.

Fusion welding – in our case a patented gas fusion welding process called ‘FusionCast©’ – can be used for repairing cracks and corrosion and to reconstitute the joints.

The ‘female’ joint is bored out to an agreed fixed diameter. The ‘male’ part of the joint is then built up with cast iron before being machined back to a suitable tolerance. At installation, the joint is made and lateral movement is no longer possible. The column will then stand straight and true for another full lifetime.

LANTERN INTERFACE MODIFICATION

The requirement to update lanterns on heritage columns can be a headache when it comes to the interface between the old and the new.

Modern, lightweight materials are desirable for the lantern but care is required, particularly in coastal settings where there may be sulphur-laden air. This can lead to electrolytic reaction and aggressive corrosion at the interface between dissimilar metals.

Our preferred process in this sort of scenario is to rebuild the cast-iron part of the lantern interface where there has been corrosion, improve the fixing method, and even changing its profile to allow the introduction of barrier materials.

PROTECTIVE COATINGS

Specialist paint and coating application is an option. Once the repair of the asset has taken place, restoration of the decorative elements can begin.

Detailed imagery, for example founders’ marks and crests, will often be prominent in the original design of these venerable castiron columns. However, it has to recognised that (just as with everything else that is painstaking about heritage column restoration) applying new decorative and protective paint is a lengthy process.

Specifically selected paints are used to give a protective layer, not only from the great British weather but also to resist graffiti attacks. Patience is a must for this decorative part of the restoration. A protective clear topcoat is applied over the entire column to create a tough lustre, as shown in the image on the previous page.

ENVIRONMENTAL BENEFITS

Finally, it is quite obviously ‘greener’ to repair than to replace. Don’t just take our word for it as gospel, however.

Back in 2019, we employed an independent organisation to carry out a lifecycle assessment to measure the carbon emissions of manufacturing new components and compare them to those emitted during a typical repair to the same item.

The findings showed that our repair process reduced the carbon footprint by 89.4% when compared to casting a new replacement.

The assessment was carried out on a 1 tonne sample component, in accordance with the requirements of ISO 14040 and 14044.

CONCLUSIONS

We’ve worked to restore, repair and refurbish street lighting columns across the country. But recognising the value of recycling, restoring and reusing our built heritage is not of course just about public realm and exterior lighting.

From Tower Bridge in London to the North Bridge in Edinburgh (both of which we’ve worked on), from London Borough of Westminster to the south coast, we’re seeing a real resurgence of interest in the restoration of architectural buildings and monuments.

There is a real growth in recycling and reusing our heritage, especially using traditional and time-served restoration processes.

One way or another, lighting assets that might otherwise have been demolished or left in a dangerous condition are now increasingly being saved, made safe and fit for purpose, for this century and for posterity. And long may that continue.

APRIL 2023 LIGHTING JOURNAL www.theilp.org.uk 34
Andy Statham is business development manager at Cast Iron Welding Services (CIWS) and Natalie Fowler is a professional writer contracted by CIWS Tower Bridge, London and (below) North Bridge, Edinburgh

Lighting restoration experts since 1976

Preserving Our Past
dwwindsor.com Light Responsibly® Preserving the look and feel of historical lighting is both an art and a science. At DW Windsor, we have perfected this balance over many years to become industry leaders in the craft of lighting restoration.
Wandsworth Bridge, London Historical lantern and column restoration and LED upgrade undertaken by DW Windsor

REFLECTED

GLORY

High-end seafood restaurant

Scott’s Richmond in London revels in its old-world opulence of tall ceilings, gold, and Venetian chandeliers. However, its highly reflective glass and mirror walls – abounding with artworks needing to be illuminated – also created something of a lighting design headache

Located on a westward meander of the River Thames, Scott’s Richmond is the latest addition to the burgeoning highend seafood, fish, and shellfish restaurant chain.

Opened last autumn and mirroring the opulent ambience of the chain’s Mayfair flagship, Scott’s Richmond is all about tall ceilings, Venetian chandeliers, and glass and mirror walls. Lots of glass and mirror walls, as Evina Diamantara, founder and creative director of lighting design practice 18FIFTY, recalls.

‘Because everything was cut-glass walls or mirrors, one of the key challenges from a lighting perspective was the fact everything was a reflective surface,’ she tells Lighting Journal

‘The client, Caprice Holdings, is also an avid collector of artwork; the space is full of pieces of art. So illuminating all of those without also using too much ceiling light was another big challenge. Not getting the specular reflections distracting when you’re eating and trying to have a nice meal, especially in the evenings,’ continues Evina.

On the ground floor, which again abounds with reflective surfaces, the challenge was also not to get the light bouncing around and being picked up off every surface, she adds, with a lot of careful planning and positioning playing a key role.

LIGHTING CENTRE-STAGE

On the plus side, a key opportunity of the project – which has since been shortlisted for this year’s darc awards – was that the light and the lighting was very much centre-stage in the project brief, Evina points out.

‘With this client, the lighting is always very, very important to the vision. This client is very focused on lighting, which is of course great for us,’ she says.

‘Because it is next to the river, the vision was to have this sense of old glamour but at the same time still respecting the legacy of Scott’s Mayfair. The lighting needed to be central to, but not overpower, the space,’ Evina adds.

Rather than dim table lamps that mean diners have to crack out their phones to read the menu, the table illumination comes from pairs of downlights combined with spreader lenses.

‘It is nice to use table lamps as an extra layer of warmth, almost like a candle, but for the guests at the table it is equally useful to have a

APRIL 2023 LIGHTING JOURNAL 36
Scott’s Richmond, showing the new opulent lighting scheme. All photographs by Gavriil Papadiotis

layer of downlighting to see your food,’ emphasises Evina. ‘Also, apart from simply being able to see the menu, you want to be able to showcase the beautiful food that is being prepared by the chefs.

‘Especially where the long banquette is, we had to have the lighting spread out on a linear format rather than having lots of spots. This enabled us to rationalise the use of downlights according to the tables and it allows for flexibility should the general manager wish to adjust the table layout,’ she says.

‘However, for any bigger tables on their own, for instance in a corner, then, yes, obviously there are downlights above,’ she adds.

USE OF LINEAR LIGHTING

LED strips are also a key element of the lighting design, with 18FIFTY for this working with manufacturer LEDFlex. 2100K to 2300K LED luminaires were placed in coffers throughout the ground and first floor, resulting in a wash of warm light.

To flexibly illuminate the ground-floor cornice detailing, further narrow (4mm) 2400K

LED strips were used, which work to accentuate these ceiling architectural details.

The gold and glass bar area is illuminated with further 2200K strips, housed in silicone, and which light glasses and bottles from the edge, so creating a glittering, reflective impression. Five different LED luminaires were incorporated into the gold cast-glass bar to achieve the desired lit effect.

The basement ladies’ restrooms are illuminated with 2200K strips, with the edges of the vanity mirrors taken up to 2400K for applying make-up, and then rising even further, to 2700K, in the men’s restroom.

‘The whole scheme has gone down very well,’ says Evina. ‘The client, in truth, is quite demanding – but they know that! In fact, I like clients like that because they know what they want; they have very high standards, but they know what good lighting is, which is half the battle.

‘Moreover, they really respected anything we advised them; any details we said we needed to introduce they always went along with us. They were very much up for having

Hospitality lighting

layers of light. They always listened to us about all of the details and I really appreciated that,’ Evina adds.

STAND YOUR GROUND

What, then, have been the takeaways from lighting this sort of challenging space? ‘I’ve been in the lighting industry for so many years and the thing I’ve found is, if you have an opinion as a lighting designer, you need to stand your ground,’ emphasises Evina.

‘Sometimes we get involved with teams –architects and interior designers – and they think they know better than us. But good lighting is of course what all of us have been doing for so many years.

‘Something that might seem excessive to them – almost “why do we need another linear there?” – you have to stand your ground and say, “because we need the layers of light”. This is the most important lesson I have learnt from dealing with so many designers and clients.

‘Also, work closely and collaboratively with your manufacturers. Communicating with the manufacturers is the most key thing that you can do,’ Evina advises.

‘Give them a very specific brief – what you want, why you want it and why it matters. If it needs to be 2400K and they ask “can we live with 2700K?” explain why, no, it needs to be 2400K for x and y reasons. Communicating with the manufacturers is so important.

‘Finally, spend time on testing the materials. I know many lighting designers may hate me for saying this. Yes, calculations are really essential, especially for more technical projects. But, when it comes to projects in hospitality and restaurants in particular, then the look and feel – the reveal of the material – is also vital.

‘So, get out your tools and mock things up; ask for samples; see and feel the materials; feel how things look. You might initially think you need to have 2700K or 2400K but, depending on the surface or material, this may need to change. For example, with brass surfaces I always use warmer tones because it brings out the gold hues of the brass materials beautifully.

‘So, for me, mock-ups and testing is one of the most essential things for good lighting design. Calculations are also good of course, but they can in some circumstances limit the creativity,’ Evina adds in conclusion.

PROJECT CREDITS:

Lighting design: 18FIFTY

Client: Caprice Holdings

Design: Cantor Masters & Caprice

Holdings ID

Contractor: WFC

Photographer: Gavriil Papadiotis

APRIL 2023 LIGHTING JOURNAL 37
www.theilp.org.uk

Even in its current ‘beta’ iteration, TM66 is a document and tool for the lighting industry that is growing in importance. So much so that ILP London recently held an online event for ILP members on ‘TM66 – what do you need to know?’. Here is an abridged version of its conclusions

egular readers of LightingJournalwill probably be well aware that we’ve been discussing the SLL/CIBSE TM66 technical memorandum quite a bit of late. That’s because, in the context of the challenges lighting faces around sustainability and the circular economy – and where it needs to get to around net zero – it is an important document and tool, even in its current ‘beta’ iteration.

That said, as Bob Bohannon, head of policy and academy at the LIA and co-author of TM66, has put it: ‘TM66 didn’t invent circular economy. From a CIBSE point of view, the first publication was in 2014, TM56. So this work has gone on for a long time.’

Bob was speaking at a recent online CPD event hosted by ILP London entitled: ‘TM66 in 2023 – what do you need to know?’, accompanied by Allan Howard of WSP, with the event concluding with a lively panel discussion bringing in Kristina Allison of Atkins, and (with Bob) co-author of TM66, and Alan Grant of DW Windsor.

Opening the event, Bob recapped where we currently are with the development and evolution of TM66, and, as the name of the event suggested, what ILP members need to be knowing.

‘How do we stop throwing things away; how do we stop throwing luminaires away, that could be repaired or have longer lives? And that was the question that we had to answer; and that is what TM66 is all about. How do we fix that as fast as possible?’ he explained.

‘Up until very recently, we’ve been looking at energy efficiency and energy use, energy use for a product. And the move to LED

helped that; the move to LED drove a huge amount of carbon savings in lighting.

‘But nature doesn’t work that way. In nature, there is no waste. When a tree dies in a forest it rots, and that tree feeds the next generation. Huge amounts of damage to the environment is done at the manufacturing stage, what we call cradle to gate.

BETA MAXED R

‘Then when we throw those resources at end of life, we don’t have the resources back. We know there’s legislation coming at us and the EU is working on this, and the UK is working on this. But how do we turn this into a real day-to-day action? The whole point of TM66 was to make something that, actually, does the job,’ Bob said.

‘CIRCULAR ECONOMY’ MISUNDERSTOOD

The term ‘circular economy’ had been misunderstood by some people, Bob contended, as just the ability to repair things. That, in turn, has led to a debate about whether LED, for all its benefits around energy and maintenance efficiency, has in some respects been a step backwards when it comes to repair, reuse and recycle.

‘We know the move to LED has challenged the old ways of luminaire construction. The old ways, they were inherently repairable. Go back to a metal halide or a sodium streetlight, you could replace the ballast, the igniter, the lamp,’ Bob conceded.

‘And now we’ve gone to sealed “fit and forget”. But we must understand that there’s more than one way of delivering long service life in a product. Repairability is an option at one end of the scale. Durability is another option. Or a mix of these in between; these are not mutually exclusive,’ he said.

Bob then turned to recapping how TM66 came out. ‘Let’s be clear, it was by the industry, for the industry. We built it as a team. We had six manufacturers and a product designer,

APRIL 2023 LIGHTING JOURNAL 38

Lighting and sustainability

Simon Fisher, a lot of the work came out of SLL, we had a major end user in Sainsbury’s. We had four lighting design practices. And of course we did a huge amount of work around the topic.

‘What came out of that was two things. One, initially it started off as a factfile; that’s what we thought we were going to create. And then we had a checklist. And then we joined those up and developed it. The factfile became the full technical memorandum. And the checklist evolved into the circular economy metric, the Circular Economy Assessment Method (CEAM).

‘One of the key motivators for the change was a brilliant idea from Mark Ridler, who was then director of BDP Lighting. As a specifier we need to checklist that you can tick or mark a number in so the minimum standards can be negotiated with the client. That goes back to the taxonomy – we’re now beginning to put a number on what we do. You can compare and contrast products; you can give them minimum standards that you want in your performance specification.

‘So TM66 covered all sorts of things. It has 47 pages; it explains, it encourages, it gives business sector examples sector by sector. It covers the legislation and FAQs,’ Bob continued.

‘The Circular Economy Assessment Method (CEAM) has colour-coded buttons. Dark blue denotes a wider or topical explanation. Pale blue/turquoise denotes choice or explanation. White, you take a choice of the performance of your product or product family you are reviewing. Yellow is the evidence to support which button you chose, where you explain how and why you chose a button,’ he said, with four tabs also covering product design, manufacturing, materials, and eco-system.

‘There is a lot of complexity behind this. The idea is that it is easy to use but a lot of thought went into it. What comes out? What comes out is the zero to hero. Zero doesn’t mean your product is bad, it just means it is typical of the year 2021. Four is superb in terms of circular economy, but four at the moment is impossible because that means you’re trying to get truly regenerative. 2.7 is really excellent. The idea is to move you up from zero to one, two, three,’ Bob continued.

‘We take the scores through, we add them up on the four tabs, we average them out and then you get your answer. 0-0.5 is poor circularity. It doesn’t mean that it is a bad product, it just means it was typical before people realised that we had to get back to the ability to mend things or make things last in service,’ he added.

From the initial founding partners, the TM66 team was now working with 15 manufacturers and growing; six lighting design practices; six lighting associations from across the world. ‘We are taking that review process and now moving from the beta version to come up with the full-release version,’ Bob said.

www.theilp.org.uk APRIL 2023 LIGHTING JOURNAL 39

Lighting and sustainability

NATIONAL HIGHWAYS CASE STUDY

The next speaker was Allan Howard, group technical director, lighting and energy solutions at WSP, who considered how TM66 can and should be used on the ground. He highlighted a case study where WSP had worked with National Highways and used TM66 on its LED highway programme, which is upgrading 70% of strategic road network to LED by 2025.

‘Net zero is a big thing. Lots of people are looking at net zero, and TM66 is just a little bit of this. Net zero is the much bigger picture that we have got to look to. This is something that will feed in as part of the overall considerations. We are looking at reducing the emissions, looking at the energy reduction and so on, of the project,’ Allan explained.

‘A product is not either non-circular economy or circular economy. There is a sliding scale. What we have to decide from the point of view of what we want to look to is a specification, we’ve got to advise the designers undertaking the project about circular economy, and we have got to look to a benchmark. Where do we want to start?

‘What CEAM Make score do we want to set

as a minimum value at this time? We have got to look at how far we want to take this sliding scale from non-circular to full, because full circular economy can be very expensive and complex. And we have just got to look at where we are in current technologies and applications and where do we feel it is best just to set ourselves now with the aim of improving and getting maybe better CEAM Make scores as we move forward,’ Allan added.

In the case of National Highways, its main suppliers were approached and were asked to show what their CEAM Make score was for the products they wanted to use on the project.

‘We got a range of responses, ranging from total silence to “what are you talking about?” to “this is going to be complex and I’ll need to employ people to do this for me”. But we said, “no it’s not, you’ve not actually read it”. But we also had a very good response from quite a wide range of the luminaire manufacturers, who were able to say, “for this luminaire, this is it”,’ Allan explained.

‘They were also kind enough to take the time as part of going through the CEAM Make

exercise to feed back what they weren’t sure about; we ended up with a wealth of feedback that is now being passed back to Bob and the team to move TM66 forward. And we are very grateful for the fact the manufacturers took their time to look at it and really started to engage with and consider it a valid approach to go forward with and take on.

‘We didn’t just take the values we were given at face value. What we asked them for was the CEAM Make assessment sheets so we could look to go through those and ask many questions, just to get our own peace of mind. We want to get confidence going forward that these scores are realistic,’ Allan added.

PANEL DISCUSSION

The event then concluded with a panel discussion, where Allan and Bob were joined by Kristina Allison, senior lighting designer at Atkins, and Alan Grant, design and development director at DW Windsor. Alan explained that, while he had not been involved in creation of TM66, he had provided feedback, had fed back on National Highways project, and was one of founding partners of the programme. The discussion was chaired by LDC London chair Peter Burbidge, with support from ILP Technical Manager Guy Harding.

How, the panel was asked, did they feel TM66 fits into the wider sustainability agenda?

‘TM66 of course is about circular economy in the lighting industry, as its title suggests,’ said Kristina. ‘But sustainability is a very broad subject. Circular economy is an important part of that, but it is only one part.

‘We need tools to help us along our way with the journey of achieving sustainability within our work. We can often forget that

APRIL 2023 LIGHTING JOURNAL www.theilp.org.uk 40

Longer warranties. Shorter lead times.

We know that when you have to buy heritage lighting you want to do so from a team committed to making a difference.

That’s the acrospire difference.

A small but mighty team committed to making life easier.

Whether that’s retrofit light engines into your existing lighting assets or new.

T To view our full range of heritage lighting solutions, visit: acrospire.co

Lighting and sustainability

lighting in itself is a smaller industry within the bigger built environment.

‘So TM66 is a fantastic tool for helping us with circular economy, TM65 and others look at embodied carbon within products. But all of these things fit under the umbrella of what sustainability is and what it looks like for us as lighting professionals looking to develop lighting designs,’ she added.

How can ambiguities be dealt with, Kristina was also asked, the fear, for example, of manufacturers just focusing on nudging or finessing their CEAM Make score?

‘The thing is we developed this tool so it was accessible. If you look at the cost of a life-cycle assessment (LCA) or an EPD, they cost a lot of money and time. So what we have developed is a tool that is accessible. But what you might get with that – though hopefully not too much – is people trying to fudge the results a little bit to get something that looks favourable towards them,’ she said. Kristina also highlighted the role of the LIA Assurance Scheme in helping to validate things

ROLE WITHIN TENDERING

Alistair Scott, chair of the BSI Technical Committee and non-executive director and chairman at DFL UK, who was in the audience, asked how the panel saw TM66 being incorporated into tenders and tendering. Will there be guidance for assessing the score provided?

‘At the moment, if we look at the National Highways project, what they’ve done is appointed technical assurance advisers,’ said Allan Howard. ‘And they’ve set a baseline score. What is being required is that the luminaire manufacturers that the designers are proposing to use have to provide the evidence in the format that is listed in TM66 at the moment.

‘The assessment sheets are sent through to the technical assurance advisers, they make sure that the products comply or don’t comply – and quite often there is a lot of detailed

questioning backwards and forwards to get the confidence in that.

‘The hard part, I suppose, is if you’re looking at long-term contracts you will want to keep access open to a range of manufacturers; you don’t want to end up with a sole supplier situation just because of the way you’ve looked to put a score in place. So it is an area that still will be looked at. It is an aspect that is ramped up going forward, but in discussion with the manufacturers to make sure everyone understands what is going on and that what we’re looking at is achievable,’ he added.

‘I remember when we were talking about this with Allan, on his project,’ agreed Bob Bohannon. ‘He’d go to a manufacturer and they’d say, “we do circular economy and we call it this”. And another manufacturer would say the same. But there was no way of comparing between the two. And the other trouble is there is no way of putting that into a tender. You can’t just be saying, “we have a website page with an LED and green leaves on it”.

‘So, by having a metric, from Mark Ridler’s brilliant idea, just as you would have for lumen output and all the other metrics, and saying “you have to deliver that or better”. That makes it much more accessible.

‘I’ve had people coming up to me saying, “why do we have to be green? If we make products which are essentially low-cost products, we sell more of them over a 10-year period, we make more money, it keeps me in a job, why should we do that?”. My answer is: great, providing you haven’t got children, fill your boots.

‘And that’s the point. Being green is expensive and complicated. To quote Kermit the frog, it’s not easy being green. By doing it this way, it gives you the reason. The whole point of TM66 was it didn’t just give the manufacturers the push for circular economy, it gave demand the pull. So specifiers could write down the number in their specifications. And that was why we had lighting designers working with manufacturers,’ Bob added.

As the discussion came to a close, the panel was asked whether they have seen any uptake of TM66 from other local authorities?

Kristina Allison pointed out that Atkins had been approached by one south London council about how to incorporate TM66 into its planning. ‘People are seeing this and thinking “hang on, how does that fit into our future planning?,’ she said.

‘Certainly our customer-facing staff, our sales staff, they have questions from their customers, from local authority engineers about “can you explain more about TM66? How do your products fit in?, what are their scores?” that sort of thing,’ added Alan Grant.

‘So people who are specifying lighting at a local authority level are aware of TM66. They may not fully understand it and there’s a hunger from our sales people to understand enough to have those engaging conversations and then maybe pass it a bit further up the chain for more detailed explanations. I think in general in local authorities, yes, people are hearing about it and asking about it. It is not just WSP, National Highways, it is other authorities, other engineers as well,’ he added.

‘I would certainly agree,’ said Allan Howard. ‘We’re discussing it and people are picking up on it. It just happened to be that National Highways came along with a big project at the time and it was just right.’

Getting the mindset change could be a challenge down the road, he highlighted, especially from clients, Allan added. Having said that, so far, he had found the industry was often pushing at something of an open door. ‘We’re finding the mindset change in the clients is fantastic. A little bit further down the line, especially on the contractor side, is where perhaps we’ve got to put a bit more effort in to see the benefit,’ Allan concluded.

APRIL 2023 LIGHTING JOURNAL 42
MEDIA IN MOTION ARCDOT™ anolislighting.com ARCPIX II™

Locked service position

Internal retention safety wire

Quick release connections

Aligning spirit level

Removable luminaire head

Preliminary TM66 score: 2.8 excellent circularity.

Contact us: info@holophane.co.uk www.holophane.co.uk TM THE ALL NEW
CONTRACTOR FOCUSED FEATURES
APRIL 2023 LIGHTING JOURNAL 44

Light on the past

FLUORESCENT COMES OF AGE

‘FUNDAMENTAL CHANGE IN OUTLOOK’

Nevertheless, Colquhoun had just viewed eight lanterns, strung up over Old Bond Street, providing lighting which ‘provided a fundamental change in outlook’.

Yet, all was not quite as it seemed. BTH was not the originator of the scheme, nor was the General Electric Company (GEC), even though it was hard on its heels independently with it own fluorescent lighting ideas.

As post-war Britain looked to the future, the evolution of fluorescent street lighting was a process of trial and error. But one pilot, on London’s Brompton Road, proved to be a defining statement of future thinking and design

As the early morning bustle of a busy London thoroughfare cleared, an army of lorries and workmen appeared, burdened with a consignment of bulky concrete columns.

As hoists and ropes were lashed together, the columns were pulled upright, angles checked and the bases cemented. Pedestrians, temporarily diverted by this flurry of activity, would’ve assumed it was just another new street lighting installation, part of the slow rebuilding which was just gathering momentum across the shattered capital.

If the locals expected grace and beauty, or anything resembling the old curved and decorated steel columns which were being replaced, then they were in for a shock. The new lanterns were extraordinarily huge, all glass and alloys, gleaming in the morning sun.

Elevated by tower wagons, these monsters were bolted directly on to the concrete columns, a considerable horizontal abutment which competed with the column’s considerable girth.

By the time the workmen had completed their work, seven new bulky concrete

columns stood solemnly along a short section of London’s Brompton Road, top-heavy and burdened with ten huge lanterns. The capital’s second fluorescent lantern trial was now in place – and it was a defining statement of future thinking and design.

This second trial was far less discreet than the relatively delicate span-wire system erected by British Thomson Houston (BTH) along the narrow and deep confines of Old Bond Street. The first trial installation, timed perfectly to coincide with the Association of Public Lighting Engineers’ (APLE) London Conference in September 1946, was met with enthusiastic acclaim.

Proceedings of the conference, recorded in Public Lighting, revealed a normally stoic audience now stoked up with enthusiasm. J F Colquhoun, Swindon’s lighting engineer and a previous past President was ‘thrilled’ after viewing the Old Bond Street installation.

‘[This] represents a fundamental change in outlook. Not long ago I told a friend that fluorescent lighting for street work was an impossibility; I thought the units were too large and could never be handled,’ he said.

Both companies had been approached by Central London Electricity (CLE), which having developed tungsten lamp lighting scientifically to its limit before the war, was searching for an alternative form of electric lighting to give improved illumination in important shopping centres.

Jack Waldram, who was working for the GEC at the time, recalled being approached by CLE: ‘When the war came to an end, there was less enthusiasm for street lighting; threads were hard to pick up. But we were approached with the request for something worthy of the occasion of the end of the war for the greatest city in the victorious Empire, which Britain still had.’

The various new types of electric discharge lamp (such as high-pressure mercury and low-pressure sodium) did not provide good colour, according to CLE, and were unsuitable for the lighting of high streets and civic areas.

ENTIRELY NEW SYSTEM

So, CLE considered the exploitation of the new fluorescent tube because of its great possibilities and that it promised an entirely new system of street lighting. ‘We had the idea of using the fluorescent lamps, developed during the war,’ said Waldram, ‘and we felt that if that colour was to be used, it would not succeed unless we had plenty of light.’

CLE conferred with Westminster City Council and the Royal Borough of Kensington and selected two very different high

www.theilp.org.uk APRIL 2023 LIGHTING JOURNAL 45

Light on the past

streets from each borough for the experimental installations.

These were the narrow, building-fronted Old Bond Street and the wide, expansive, double-carriageway of Brompton Road.

CLE was confident the trials would be trailblazers and ‘there will be a revolution in the methods of lighting busy shopping centres.’

In many ways, BTH had the easier job and, after trials around its factory, and along the high street in Rugby (which had a similar topology to Old Bond Street), discovered that three 80W 5ft lamps would be sufficient if spaced at 80ft and suspended by catenary wires at a height of 25ft.

The consumption of energy compared favourably with the old tungsten lighting they were replacing and the new lanterns gave better illumination.

The GEC had a considerably more complex problem, faced with the prospect of lighting a short section of the wide, dual carriageway of Brompton Road.

It approached the situation with the Ministry of Transport Report of 1937 in mind, adhering to the lighting specification of Group A roads, and concluded that a seven-tube fluorescent lantern would be required.

SEVEN-TUBE ‘MONSTER’

Unlike BTH, offered the choice of a narrow road, and able to reduce the spacing which allowed them to whittle down their prototype lanterns to three tubes, the GEC bit the bullet – and built the seven-tube monster.

Not only did the GEC have to produce these huge lanterns, but they also required columns sturdy enough to take the weight of these giants.

With steel in short supply, the company turned to Concrete Utilities to produce the columns for the prototype installation. The GEC specified two different types: one for side-of-road lighting, one which supported one lantern and another for centre island

positioning, which could accept two lanterns.

In another nod to the versatility of the fluorescent tube, the Brompton Road lanterns were fitted with ‘Daylight’ tubes whilst Old Bond Street lanterns sported ‘Warm-white’ versions.

The public reception to this new, brutal installation was not recorded at the time, but Waldram was not complimentary: ‘We made our first fluorescent lantern, which had seven lamps and reflectors in it; it was about the size of a small boat… Curiously enough, the CLE liked it, and one installation was made in Brompton Road, which it dwarfed.’

In the end, it was just too much. The economics of seven-tube lanterns didn’t work and their daylight appearance was simply too excessive and domineering. But both BTH’s three-tube lantern and GEC’s seven-tube lantern showed that fluorescent tubes could be used for street lighting – but compromises would be made regarding their application, spacing and so on.

In the end, the seven-tube monster was never put into commercial production, and Brompton Road remained a lone example of this excess in fluorescent lantern design.

FLUORESCENT STREET LIGHTING

However, despite the daylight appearance of Brompton Road, CLE’s trial installations were determined a huge success and ushered in the start of using fluorescent tubes for street lighting.

The firm’s insistence that fluorescent lighting be used for high streets and/or areas of civic importance rubbed off on many lighting engineers and it started a trend, with many authorities lighting their high streets or shopping parades with fluorescent lanterns during the next two decades.

It isn’t known how long BTH’s Old Bond Street trial lingered, but the GEC’s over-sized, over-engineered behemoths survived a couple of decades, leading to the GEC slyly to claim the first fluorescent installation in the country – by discreetly dropping its ‘trial’ status.

Waldram was never really convinced of the merits of fluorescent tube street lighting. But the GEC would eventually become one of the leading firms in their manufacture, albeit with a reduced number of tubes.

‘The idea was not pursued on that scale [seven tubes]; but I am sure that in principle [the GEC’s president] was right; fluorescent lighting with only three or four lamps simply has not enough light,’ he said.

But this did not deter or hinder their gradual introduction, and soon the large, bulky fluorescent lantern became a familiar sight along the nation’s high streets.

It turned out that the optimistic CLE was right; there was a revolution in the lighting of busy shopping centres, and the genie had now been let out of the bottle. The fluorescent tube had found its outdoor application in street lighting.

APRIL 2023 LIGHTING JOURNAL www.theilp.org.uk 46
Simon Cornwell BSc (Hons) is an R&D development senior manager at Dassault Systems The entire Brompton Road trial installation by night, showing its excellent illumination of road and buildings Part of the Brompton Road trial installation by day. The road was wide enough to be considered a dual carriageway, so columns were installed on the island refuges with double fluorescent lanterns to light each carriageway

WHAT’S COMING UP

To find out more about what’s going on at LDC Bristol go to https://theilp.org.uk/ branch/ilp-bristol/

You can also make sure you hear all about events organised by your local branch’s volunteers by logging into your ‘MyILP’ portal and setting your communication preferences.

‘FACE-TO-FACE EVENTS REMAIN A GREAT OPPORTUNITY FOR NETWORKING AND CATCHING UP WITH PEERS’

from as far away as Berkshire, so it was a fantastic event, very successful.

At ILP Bristol (Bristol LDC) we work hard to support and represent members from across the South West and Wales.

We’re quite blessed in that we have a very solid, supportive core of members who come regularly to our meetings –but there’s always room for more!

Our last meeting was at Newport Golf Club and discussed electric vehicles and charging. It included an update on the regulations from National Grid and a talk from Lucy Zodion and Charlight, all of which went down very well.

It was a very positive day, not least because we had a number of new faces turning up. In fact, people came from a long way,

We also held a lively event in February in Cullompton on sustainability; solar specification, climate literacy and transport strategy by Dave Denner from Welsh Government. Looking back, we were one of the first LDCs to get webinars up and running during Covid, something I am very proud about and able to have kept in touch with members.

We are a very friendly lighting community in the South West and Wales. We get a lot of south-west engineers who come to our meetings, and we work to make sure our events are attractive to members from Wales as well. However, we are finding that members in many local authorities are finding it harder and harder to be allowed time off for attending CPD events.

Again, like many LDCs, we’re always on the hunt for new members to join our committee, even though, in Ken Pitt and Jeremy Morgan, we’ve recently had two new arrivals, which is very positive.

Looking forward, as with many LDCs around the country, we’re aiming to run

more face-to-face and physical events during 2023, ones that can combine technical CPD, networking and an element of socialising.

Our meeting in Newport, for example, was a very welcome return to face-to-face meetings. There are still people who can be a bit nervous about coming to physical events but in my view face-to-face events remain a great opportunity for networking and catching up again with peers in the profession.

It is just about reassuring people. Webinars are valuable – and will remain an important part of the CPD calendar, I am sure – but it is good to meet up and talk face to face. We’re currently planning for an architectural lighting CPD event at Cardiff Castle in June. So, watch this space!

WHO’S WHO Claire Gough, Chair Sarah Lindley Tom Lewis, Vice Chair Stuart Brown Ken Pitt Jeremy Morgan Colin Davis Andrew Williams David Denner Ian Clementson Simon Tibble
Bristol LDC supports members from across the South West and Wales, and is working to develop more face-to-face CPD and engagement during 2023
Claire Gough is chair of Bristol LDC and sales lighting engineer at Exterior Lighting Solutions
APRIL 2023 LIGHTING JOURNAL 48

‘THE YLP IS AN OPPORTUNITY TO FIND OUT HOW THE INDUSTRY WORKS’

Anyone under 35 in the lighting industry automatically gets put on the YLP (Young Lighting Professionals) mailing list and can turn up to YLP events.

In fact we now have some 325 YLP members, which is a great achievement and, I think, speaks volumes about the engagement of young lighters with professional development and the wider industry.

Having said that, if you’re over 35 and want to come along to a YLP we’re not going to turn you away. It’s not like we ask for age ID on the door or anything like that!

Our calendar of events and activities for 2023 is already filling up, I’m very pleased to say. Last month, for example, we held our regular ‘YLP takeover’ event with LDC Durham. This allows young lighters to get invaluable practice at presenting a paper in public in a completely safe and supportive environment.

We have an event later this month at Lucy Zodion at Sowerby Bridge in West Yorkshire (and see the panel for more on this). We’ve agreed in principle on an event next month (May) at Urbis Schréder in Basingstoke. It’s early days but we are also talking to INDO to do an event in Southampton – along with our annual general meeting – in June.

So there is lots going along. Our hope going forward is to incorporate an element of social event within our technical events as well, especially for the event in June. Especially now, post Covid, people I think increasingly value the potential for networking and just face-toface chat that can come with attending technical events; it is another incentive to make the effort to get out of the office.

RISK OF ISOLATION

With hybrid and remote working having become increasingly commonplace since the pandemic, it is very easy for people to become a bit isolated, especially for those only starting out in the industry. Pre pandemic you’d maybe meet people, say, during a module for the Exterior Lighting Diploma, or when going to a meeting or just when visiting another office.

That’s all much harder to do now and, to my mind, makes an organisation like YLP all the more important.

So, the YLP is a good opportunity to get into lighting, to meet new people who are in lighting, and to find out how the industry works. But it’s also a great way to get more involved in the Institution.

In fact, many YLP committee members have progressed to senior roles within the ILP. These include current President Fiona Horgan, Senior Vice President Rebecca Hatch, Honorary Treasurers and Executive Board Members James Duffin and John Sutcliffe, and Vice President – Products Scott Pengelly, among others.

For me, personally, being in the YLP has introduced to a much wider range of people than I would have been able to meet otherwise. So, come and join us!

WHO’S WHO

WHAT’S COMING UP

The YLP’s Lucy Zodion CPD event will be looking at power connection and switching, along with a factory tour. The Urbis Schréder CPD event will include a paper on handrail lighting and CMS, plus an interactive session on YLP membership. The INDO CPD event will include a factory tour and then a visit to the Baynhams’ Brewery for a tour and social event.

To find out more and/or get involved with the YLP, go to https://theilp.org.uk/branch/ young-lighting-professionals/

Toby Penter, chair and honorary treasurer Kieron Jarvis, Birmingham representative Katerina Xynogala, editorial Ben Steels, honorary secretary Elizabeth Harrison, Durham representative Sunny Sribanditmongkol, architectural Ryan Carroll, vice chair and technical Tom Lewis, Bristol representative Nathan Poundall, membership Matthew Fisher, London representative and immediate past chair Chris Ellis, education Emma Gregory, products
With 325 members, the YLP is working hard to keep young and new lighters informed and connected, with a lively calendar of events in the pipeline for this year. It can also be a springboard to go on to greater things within the ILP
Toby Penter BA (Hons) IEng MILP is chair of the YLP and senior engineer, Lighting & Energy Solutions, at WSP
www.theilp.org.uk APRIL 2023 LIGHTING JOURNAL 49 Inside the ILP: meet your LDCs

‘ACCESS TO GOOD-QUALITY LIGHTING AND DARKNESS SHOULD BE THE NORM’

As we continue our profiles of new and young lighting professionals, lighting designer Aliz Sanduj explains her route into the industry and why it inspires her

TELL US ABOUT YOURSELF

I am Aliz Sanduj and I grew up in Transylvania (Romania). I completed a BEng in electrical engineering in Cluj-Napoca where I discovered my passion for lighting design.

Following this, I moved to London and since then I have been working as a lighting designer. I have completed work on numerous residential projects, super yachts, mixed-use developments, commercial projects and landscape projects.

APRIL
LIGHTING
50 Light
2023
JOURNAL
art at Paradigm Electronic Art Exhibition, Summerhall, Edinburgh 2016

Young and new lighters

Light art is something that I truly enjoy, and I love experimenting with. I recently joined Introba (previously known as Elementa) as a lighting design consultant and I am really looking forward to what this year brings.

HOW DID YOU GET INTO LIGHTING?

It was pure chance, luck and an incredible journey; while researching for an undergraduate project, lighting design came up. I got excited and searched for more information.

There are not many places that you can study lighting design. After a lot more searches and planning, I came to London. I needed a plan, a portfolio and an English exam.

I worked hard and I completed an MA in lighting design at Edinburgh Napier University. Following my graduation, I started working as an assistant lighting designer in London.

WHY LIGHTING?

I don’t think there is an easy, nor obvious answer to this question. It started as a passion, and it turned into something much more as I learned about it.

Light has an impact on our lives and using this medium can have a positive impact on the planet.

I strongly believe that access to good-quality lighting and darkness should be the norm and this is the reason I became a lighting designer.

Light is related directly or indirectly to 10 out of the 17 UN Sustainable Development Goals. These are: good health and wellbeing; quality education; affordable and clean energy; industry, and innovation and infrastructure. Then there’s: reduced inequalities; sustainable cities and communities; responsible consumption and production; climate action, life below water and life on land [1]. Responsible lighting design responds to these goals.

WHAT DO YOU FIND MOST INTERESTING ABOUT YOUR ROLE AND WHY?

There is always a challenge, something to come up with, something to improve, something to learn, something new to try out, something beautiful to create and to experience.

Apart from being challenging and interesting, it requires a lot of listening, and a high level of sensitivity and empathy.

I particularly enjoy conducting design research and gathering data to inform the outcome of a project – which I find is key to success.

Participating in conferences, lighting

events and design festivals are always interesting, inspiring and thought provoking. Working in a team and delivering projects from concept to handover is highly rewarding.

HAVE YOU BEEN INVOLVED IN ANY PROJECTS YOU ARE PARTICULARLY PROUD OF, AND WHY?

I love theatre and how everything is unfolding in the moment. For instance, I have supported the theatre lighting and design at the Napier University Drama Society. I found it to be a very creative, enjoyable environment, with lots of responsibilities.

In theatre production, you work with the screenplay, the actors, the venue, the technicians, the stage manager, and you go through very long and tough rehearsal days and nights before the premier.

It gives you such a valuable experience and a good insight to architectural

lighting and what you can do with the light in the space. I would recommend doing theatre lighting (small or big productions, concept or installation) to everyone who is thinking of becoming a lighting designer. It is a valuable experience, a fun way to learn, and it is a highly rewarding activity.

I was also involved in the community co-design project led by Napier University, where I supported the development and implementation of an exciting and challenging urban renewal initiative to improve Edinburgh’s historic pedestrian streets surrounding the Royal Mile. This was highlighted in Lighting Journal in June last year (‘Close encounters’, vol 87 no 6).

Edinburgh World Heritage, in partnership with Napier University and City of Edinburgh Council designed and provided 12 of the Old Town ‘Closes’ with a lighting-focused makeover, including new artwork and public realm enhancements.

Through this partnership, I supported the development of full-scale mock-ups and helped to lead public consultations to better understand community values and how considerate lighting design can encourage and increase pedestrian use.

www.theilp.org.uk APRIL 2023 LIGHTING JOURNAL 51
LIGHT UP, DRIVE OVER EMINERE™ INGROUND anolislighting.com
Trying out dynamic GOBOs and water effects for a project The Twelve Closes project in Edinburgh, which Aliz was involved in. Photograph by Tom Duffin Above (both) theatre lighting, showing Napier University Drama Society’s original ‘Larry Potter and the Triwizard Hunger Games’, Edinburgh 2015

Young and new lighters

HOW DOES LIGHT INSPIRE YOU?

Light inspires me through the people who experience it and their reaction to it. As much as appropriate light, the lack of light is also vital. Light, darkness, shadows, reflections, colours are everywhere and the changing nature of them is exciting.

Art is a great tool to experiment with these qualities and to create something incredible and intangible. The appropriate lighting, or the lack of it, enhances the spatial experience.

One of my research projects focused on understanding the relationship between the street musician and their chosen environment, and how light plays a vital part when they choose their environment.

Street musicians have a very deep understanding of the space, timing and people. They use daylight, street lighting and their own lighting, while some of them choose to play in darkness.

WHAT BARRIERS ARE THERE FOR YOUNG PEOPLE TO ENTER THE INDUSTRY?

I believe the hardest step is to get into the industry and to get started. Especially coming from a different country and not knowing anyone can be challenging.

Fortunately, the UK design community is diverse and open. During my studies and after my graduation I went to numerous lighting events. For example, The ILP’s ‘How to Be brilliant’ events are a great way to meet people and to learn from them.

Being a lighting designer requires a wide range of skills, and showing your skillset can also be overwhelming, especially as a graduate. You could get help on your CV, portfolio and interviews, if you are struggling.

WHAT WOULD YOU IDENTIFY AS KEY CHALLENGES FACING THE INDUSTRY FOR THE FUTURE?

Time. We need to act now so that the future

can be better. We design for the next 10 to 20 years, therefore what we do now matters.

As designers, we need to take on this responsibility. We need to make more intentional and conscious decisions, and we need to keep challenging the ways of designing and working within the construction industry.

We are responsible for the future of our cities, our night skies and the other living organisms that we share the planet with.

HOW HAS THE ILP HELPED YOU ON YOUR LIGHTING ‘JOURNEY’?

The ILP is a great platform to join. Membership has provided me with technical knowledge and courses.

Lighting events such as conferences, presentations, socials and competitions organised by the ILP provided me the opportunity to meet people and to challenge myself, even allowing me to make a presentation at last year’s Professional Lighting Summit in Bristol.

I would also recommend taking part at the Young Lighter of the Year; as it can help

you to meet people and to present your ideas, projects and research.

WHAT’S YOUR AMBITION IN LIGHTING? WHERE WOULD YOU LIKE TO BE IN, SAY, 10 YEARS’ TIME?

I would like to work on lots of projects that are sustainable, that make a positive impact on the world and that I am proud of.

I would like to see and be part of a sustainable and transparent network of designers and manufacturers that believe in the power of good design.

WHAT WOULD BE YOUR MESSAGE TO OTHER YOUNG PEOPLE INTERESTED IN OR THINKING ABOUT A CAREER IN LIGHTING?

A career in lighting design can be bumpy with lots of challenges on the way, but it is very rewarding in so many levels.

If you feel it, just go for it! Most importantly, do it your way!

GET IN TOUCH

Don’t forget, if you’re under 35 or new to the industry and would like to tell your story during 2023, simple email LightingJournaleditor Nic Paton on nic.cormorantmedia@outlook.com or the ILP’s Jess Gallacher on jess@ theilp.org.uk. We’ll then send you a questionnaire to fill in and return with a photograph. Simple!

Aliz Sanduj is a lighting design consultant with Introba (previously Elementa)
APRIL 2023 LIGHTING JOURNAL www.theilp.org.uk 52
[1] The 17 UN Sustainable Development Goals, the United Nations, https://sdgs. un.org/goals Street musician on the Royal Mile, Edinburgh, 2016. The interaction of light and street music was one of Aliz’s research projects The ILP Professional Lighting Summit in Bristol, 2022, where Aliz presented a paper

ZEB STAR MID/MID +

The ZEBSTAR MID is a tough, high performance mid post beacon ideal for sites that require a high level floodlight for pedestrian crossing illumination.

Designed to fit around the post at the top of the white band section

Mid post fixing to 114, 89 & 76mm posts

Standard and Hi Visibility beacon

IP65 Sealing

Low energy long life LED

light engine

Adjustable Hi Visibility arrays using remote handset (MID+)

Synchronised flash

Easily fitted

5 year warranty

For more information visit www.portlandtraffic.co.uk call us on 01922 666725 or email sales@portlandtraffic.co.uk

Portland Traffic are a division of Portland Lighting and are part of the FW Thorpe PLC group of companies, working in partnership with TRT Lighting. ISO 45001
..be Safe

LIGHTING CONSULTANTS

This directory gives details of suitably qualified, individual members of the Institution of Lighting Professionals (ILP) who offer consultancy services

HERBIE BARNIEH

BEng CEng MILP PROJECT CENTRE

1 AMERICA SQUARE, LONDON, EC3N 2LS

T: 0330 135 8950, 077954 75570

HERBIE.BARNIEH@PROJECTCENTRE.CO.UK

WWW.MARSTONHOLDINGS.CO.UK/PROJECTCENTRE

Efficient, innovative, and bespoke lighting design services from an award winning consultancy.

Experienced in delivering exterior lighting projects from feasibility studies to post construction services. Whether it’s highway, street, or public realm lighting, let us assist you to realise your project goals.

STEVEN BIGGS

IEng MILP

MILESTONE INFRASTRUCTURE

PETERBOROUGH PE1 5XG

T: 07834 506705

STEVEN.BIGGS@MILESTONEINFRA.CO.UK

MILESTONEINFRA.CO.UK

Award winning lighting design specialists, delivering innovative design, installation and maintenance solutions in highways, public realm, commercial and architectural environments.

Our HERS registered team provide design strategies, impact assessment, technical & certifier support.

BONNIE BROOKS

BA(Hons) BEng (Hons) MSc

CEng MSLL MCIBSE MILP

THE LIGHTING BEE LTD

EXETER EX4 1NF

T: 07840 054601, E: INFO@THELIGHTINGBEE.CO.UK

WWW.THELIGHTINGBEE.CO.UK

Professional independent lighting design consultancy providing designs for all exterior applications, including street lighting. Specialists in assisting at the planning application stage with designs, strategies, lighting impact assessments, and expert witness, with a focus on mitigating ecological and environmental impacts.

SIMON BUSHELL

MBA DMS IEng MILP ENERVEO

PORTSMOUTH PO6 1UJ

M: +44 (0)7584 313990 T: +44 (0)121 387 9892

E: SIMON.BUSHELL@ENERVEO.COM

WWW.ENERVEO.COM

Professional consultancy from the UK’s and Irelands largest external lighting contractor. From highways and tunnels, to architectural and public spaces our electrical and lighting designers also provide impact assessments, lighting and carbon reduction strategies along with whole installation packages.

LORRAINE CALCOTT

IEng FILP IALD MSLL ILA BSS IT DOES LIGHTING LTD

THE CUBE, 13 STONE HILL, TWO MILE ASH, MILTON KEYNES, BUCKINGHAMSHIRE, MK8 8DN

T: 01908 560110 E: INFORMATION@ITDOES.CO.UK

WWW.ITDOES.CO.UK

Award winning lighting design practice specialising in interior, exterior, flood and architectural lighting. Emphasis on section 278/38, public realm, ecology receptor mitigation and supporting Councils with planning approvals, CDM2015 and SBD accredited. Specialists in circadian spectrally specific lighting design.

MARK CHANDLER

EngTech AMILP

MMA LIGHTING

CONSULTANCY LTD

READING RG10 9QN

T: 0118 3215636

E: MARK@MMA-CONSULTANCY.CO.UK

WWW.MMA-CONSULTANCY.CO.UK

Exterior lighting consultant’s who specialise in all aspects of street lighting design, section 38’s, section 278’s, project management and maintenance assistance. We also undertake lighting appraisals and environmental lighting studies

KEVIN RAMSAY

IEng MILP MIET SWECO

SWECO, EDINBURGH EH3 9QG

T: 07467685753 E: KEVIN.RAMSAY@SWECO.CO.UK

WWW.SWECO.CO.UK

Lighting and electrical design consultancy providing private and public sector innovative professional services. Specialising in Section 38, Section 278, RCC, highways, architectural, public spaces, car park, lighting impact assessments, Internet of Things, interior and emergency lighting, EV design. From planning to post-construction we provide innovative and environmental balanced solutions.

REBECCA HATCH

IEng MILP

WSP

LONDON WC2A 1AF

T: 07385 461143

E: REBECCA.HATCH@WSP.COM

WWW.WSP.COM

National team of specialist lighting and energy professionals offering the latest thinking and best client service across all aspects of lighting and energy, both public and private sector. Architectural, Highways, Environmental, Local Government, Electrical and Technical Expertise

STEPHEN HIGHAM

IEng MILP

SHD LIGHTING CONSULTANCY LTD

BOLTON BL2 6SE

M: 07834 490 192

E: STEVE@SHDLIGHTING.CO.UK

WWW.SHDLIGHTING.CO.UK

Outdoor lighting design consultancy specialising in street lighting and private lighting design services. We provide Section 38, Section 278, Car Park lighting designs, Commercial lighting and Environmental Impact Lighting Assessments and planning application consultancy advice throughout the UK.

ALLAN HOWARD

BEng(Hons) CEng FILP FSLL WSP

HERTFORD SG13 7NN

T: 07827 306483

E: ALLAN.HOWARD@WSP.COM

WWW.WSP.COM

Professional artificial and daylight lighting services covering design, technical support, contract and policy development including expert advice and analysis to develop and implement energy and carbon reduction strategies. Expert witness regarding obtrusive lighting, light nuisance and environmental impact investigations. registered personnel.

ALAN JAQUES

IEng FILP ATKINS

NOTTINGHAM, NG1 5FW

T: +44 (0)115 9574900 M: 07834 507070

E: ALAN.JAQUES@ATKINSGLOBAL.COM

WWW.ATKINSGLOBAL.COM

Professional consultancy providing technical advice, design and management services for exterior and interior applications including highway, architectural, area, tunnel and commercial lighting.

Advisors on energy saving strategies, asset management, visual impact assessments and planning.

PATRICK REDMOND

MILP MSLL IEng Tech IEI

REDMOND ANALYTICAL MANAGEMENT SERVICES LTD.

M: + 353 (0)86 2356356

E: PATRICK@REDMONDAMS.IE

WWW.REDMONDAMS.IE

Expert lighting and electrical infrastructure for all interior, exterior, and emergency lighting applications. On street EV charging infrastructure design. Authorising Officer and Live Working Manager for Local Authorities.

ANDREW LONGMAN

BEng (Hons) CEng MILP MIET

MHEA -Managing Director

DFL-UK

WINCHESTER SO23 7TA

T: +44 (0)1962 855080 M: +44 (0)7779 327413

E: ANDREW@DFL-UK.COM

WWW.DFL-UK.COM

Professional lighting design consultancy offering technical advice, design and management services for exterior/interior applications for highway, architectural, area, tunnel and commercial lighting. Advisors on lighting and energy saving strategies, asset management, visual impact assessments and planning.

ANTHONY SMITH

IEng FILP

STAINTON LIGHTING DESIGN SERVICES LTD

STOCKTON ON TEES TS23 1PX

T: 01642 565533, E: ENQUIRIES@STAINTONLDS.CO.UK

WWW.STAINTONLDS.CO.UK

Specialist in: motorway, highway schemes, illumination of buildings, major structures, public artworks, amenity area lighting, public spaces, car parks, sports lighting, asset management, reports, plans, assistance, maintenance management, electrical design, Lighting Impact Assessments and Dark Skies Compliant Lighting.

NICK SMITH

IEng FILP MIES

NICK SMITH ASSOCIATES LIMITED

CHESTERFIELD, S40 3JR

T: 01246 229444

E: MAIL@NICKSMITHASSOCIATES.COM

WWW.NICKSMITHASSOCIATES.CO.UK

Specialist exterior lighting consultant.

Private and adopted lighting and electrical design for highways, car parks, area and sports lighting. Lighting Impact assessments, expert witness and CPD accredited Lighting design AutoCAD and Lighting Reality training courses.

ALAN TULLA

IEng FILP FSLL

ALAN TULLA LIGHTING

WINCHESTER, SO22 4DS

T: 01962 855720

M:0771 364 8786

E: ALAN@ALANTULLALIGHTING.COM

WWW.ALANTULLALIGHTING.COM

Visual Impact Assessments for planning applications. Expert in minimising environmental impact. 3D building modelling of light spill. Exterior and Interior architectural lighting design. Site surveys and lighting measurements. Specialises in problem solving and out-of-the-ordinary projects..

MICHAEL WALKER

IEng MILP CMS

MCCANN LTD

NOTTINGHAM NG9 6DQ

M: 07939 896887

E: M.WALKER@JMCCANN.CO.UK

WWW.MCCANN-LTD.CO.UK

Design for all types of exterior lighting including street lighting, car parks, floodlighting, decorative lighting, and private lighting. Independent advice regarding light trespass, carbon reduction and invest to save strategies. Asset management, data capture, inspection and testing services available.

PETER WILLIAMS

EngTech AMILP

WILLIAMS LIGHTING CONSULTANTS LTD.

OFFICE 6, STONEHOUSE BUSINESS CENTRE, 1A MIDDLE ROW, CHIPPING NORTON, OX7 5NH

T: 01608 642530 E: PETER.WILLIAMS@WLCLIGHTING.CO.UK

WWW.WLCLIGHTING.CO.UK

Specialists in the preparation of quality and effective street lighting design solutions for Section 38, Section 278 and other highway projects. We also prepare lighting designs for other exterior applications. Our focus is on delivering solutions that provide best value.

anolislighting.com LESS WIRES, MORE WIRELESS LIGHTING SOLUTIONS FOR HERITAGE BUILDINGS
Neither Lighting Journal nor the ILP is responsible for any services supplied or agreements entered into as a result of this listing

The largest

Based in Newcastle Upon Tyne, established for 30 years, our long serving staff have an extensive knowledge of the exterior lighting industry. Paired with our unrivalled stock levels, we are able to distribute our industry specific range of products quickly and conveniently throughout the whole of the UK with the use of our fleet of Hiab equipped vehicles. We are complimented by our Grangemouth (Scotland) & Bridgend (Wales) branches, ensuring short lead times & guaranteed delivery schedules.

Our vast range of stock includes - Cable, ducting, chambers, earthing equipment, feeder pillars, steel & aluminium lighting columns, lanterns, photocells, cut-outs & isolators. We are your one stop shop for any lighting projects.

Light & Energy Distribution Ltd is a dedicated specialist supplier of external, commercial, amenity & public lighting products. Light & Energy Distribution Ltd Front Street, Seaton Burn, Newcastle Upon Tyne, NE13 6BW Email: sales@lightandenergydesigns.com • Web: www.streetlightingsupplies.com Office: 0191 217 0119
Also: Bridgend - Tel 01656 335 835 • bridgend@streetlightingsupplies.com Grangemouth - Tel: 01324 665602 • sales@streetlightingsupplies.com
column
the UK
stockist in

Celebrating a Century of British Manufacturing

Traditional Lighting Solutions

New improved performance to celebrate our centenary

Have you considered us for heritage lighting?

For locations of historical importance our Traditional Range is now available with a choice of three light engines.

- CCT options from 2200K to 4000K

- Up to 172lm/W

- Up to 7 different lighting distributions

- Cost competitive Contact us for a quote.

+44 1920 860600 cuphosco.com enquiries@cuphosco.com

Turn static files into dynamic content formats.

Create a flipbook
Issuu converts static files into: digital portfolios, online yearbooks, online catalogs, digital photo albums and more. Sign up and create your flipbook.
Lighting Journal April 2023 by The ILP - Issuu