69265 Pannier, Sisters, OR 97759 Digital Home Book

Page 1

PROPERTY FEATURES

UTILITIES

MAPS
S o u rce : E s ri , M ax a r, E a rth s tar Ge o g r a p h ics, a n d th e GIS Use r Co m m u n i ty, De s ch u te s C o u n ty GIS 69 26 5 Pannier
Dat e: 6/6/2024 0 80 160 40 ft ± 1 i nc h 9 4 f eet
Sist ers, O R 97759

FLOOR PLAN

COUNTY & TAX

INFO
PLAT

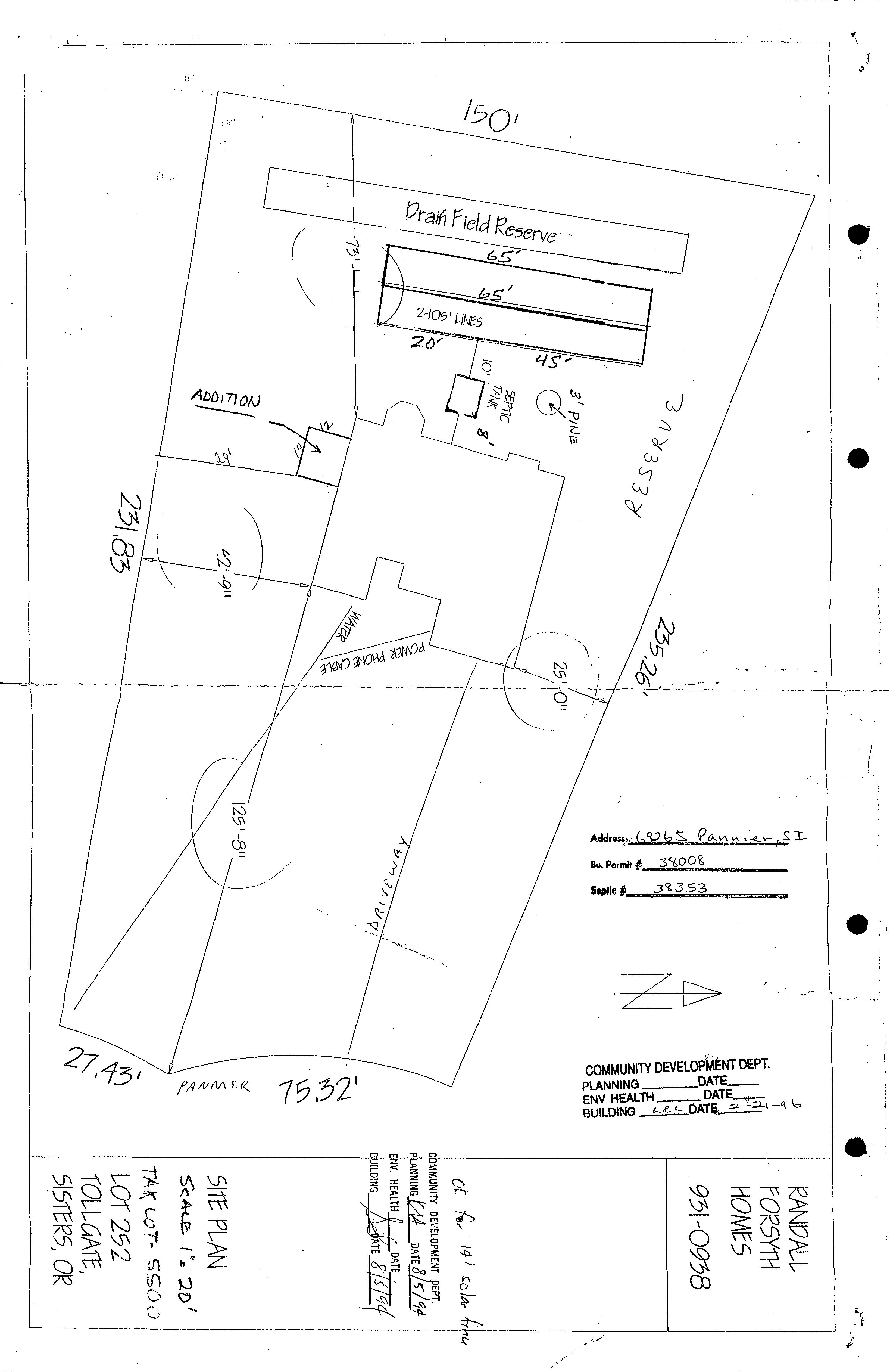
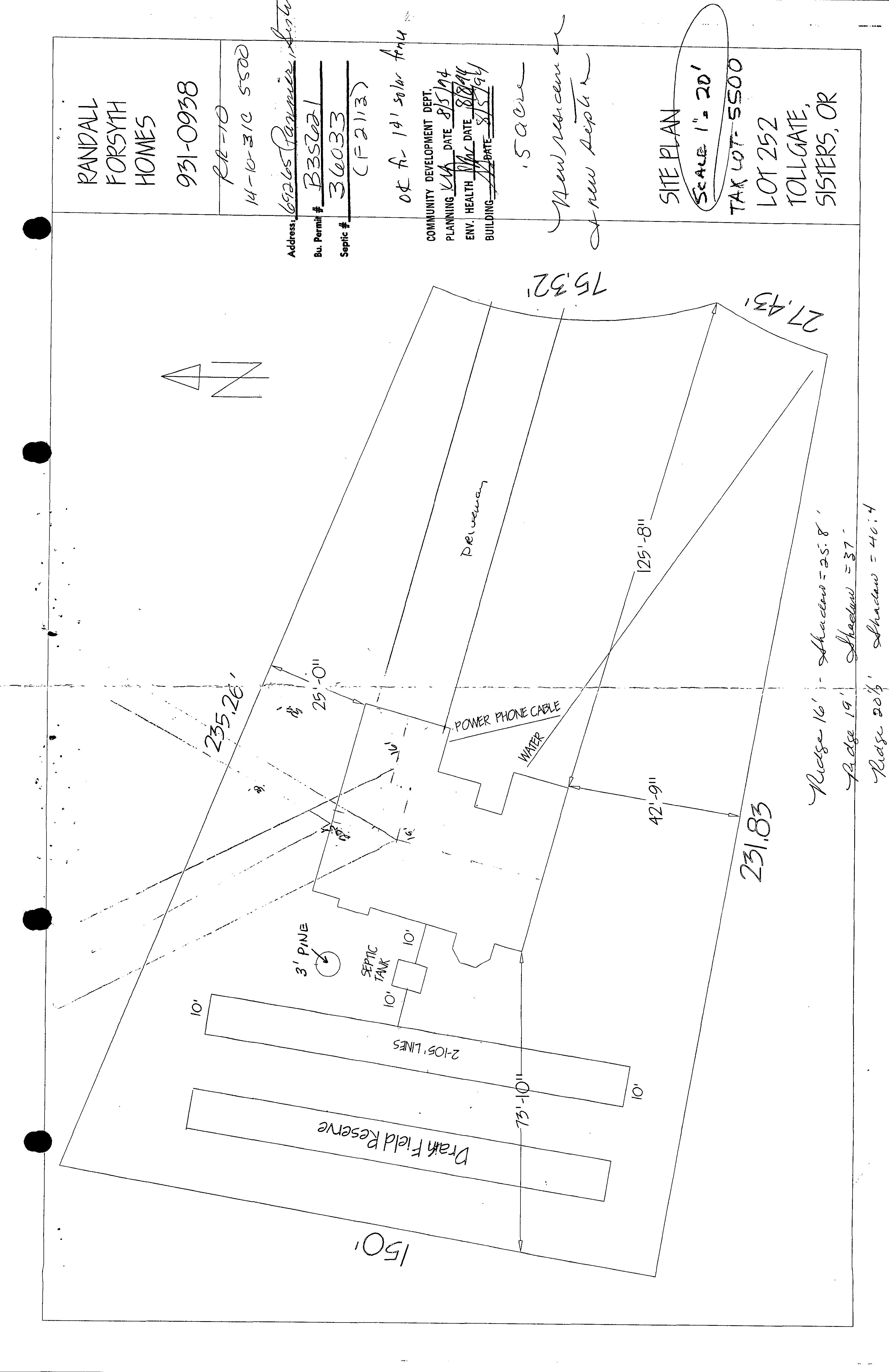
PLOT PLAN

SEPTIC

WOOD STOVE

CC&RS

NOTICE REGARDING

CERTAIN DISCRIMINATORY RESTRICTIONS, IF APPLICABLE

Omitted from the attached document is any covenant or restriction that is based upon, but not necessarily limited to, race, color, religion, sex, sexual orientation, familial status, marital status, disability, handicap, national origin, ancestry, source of income, gender, gender identity, gender expression, medical condition or genetic information, as set forth in applicable state or federal law, except to the extent that such covenant or restriction is permitted by applicable law. Oregon Version 20150707

NOTICE REGARDING

CERTAIN DISCRIMINATORY RESTRICTIONS, IF APPLICABLE

Omitted from the attached document is any covenant or restriction that is based upon, but not necessarily limited to, race, color, religion, sex, sexual orientation, familial status, marital status, disability, handicap, national origin, ancestry, source of income, gender, gender identity, gender expression, medical condition or genetic information, as set forth in applicable state or federal law, except to the extent that such covenant or restriction is permitted by applicable law. Oregon Version 20150707

ZONING REGULATIONS

ADDITIONAL DOCUMENTS

SELLER DISCLOSURES

LOCAL ATTRACTIONS

SCHOOLS

School Report

First American Title Insurance Company, and the operating divisions thereof, make no express or implied warranty respecting the information presented and assume no responsibility for errors or omissions. First

DEMOGRAPHICS

Demographics

First American Title Insurance Company, and the operating divisions thereof, make no express or implied warranty respecting the information presented and assume no responsibility for errors or omissions. First

Turn static files into dynamic content formats.

Create a flipbook
Issuu converts static files into: digital portfolios, online yearbooks, online catalogs, digital photo albums and more. Sign up and create your flipbook.