7

Page 1

ІНТЕГРОВАНИЙ КУРС ЧАСТИНА 1 ОЛЕКСАНДР ІСТЕР
ЛІНІЙНЕ РІВНЯННЯ З ОДНІЄЮ ЗМІННОЮ ax = b якщо a ≠ 0, то якщо a = 0 і b = 0, то х – будь-яке число якщо a = 0 і b ≠ 0, то рівняння не має коренів КВАДРАТИ І КУБИ НАТУРАЛЬНИХ ЧИСЕЛ ВІД 1 ДО 10 n 1 2 3 4 5 6 7 8 9 10 n2 1 4 9 16 25 36 49 64 81 100 n3 1 8 27 64 125 216 343 512 729 1000 СТЕПЕНІ ЧИСЕЛ 2 ТА 3 n 1 2 3 4 5 6 7 8 9 10 2n 2 4 8 16 32 64 128 256 512 1024 3n 3 9 27 81 243 729 2187 6561 19 683 59 049 СУМІЖНІ КУТИ ∠ AOK і ∠ KOB – суміжні ∠ AOK + ∠ KOB = 180° ВЕРТИКАЛЬНІ КУТИ ∠ AKC і ∠ DKB – вертикальні ∠ AKD і ∠ CKB – вертикальні ∠ AKC = ∠ DKB ∠ AKD = ∠ CKB ОЗНАКИ ПАРАЛЕЛЬНОСТІ ПРЯМИХ a || b, якщо ∠ 1 = ∠ 5 (∠ 2 = ∠ 6, ∠ 3 = ∠ 7, ∠ 4 = ∠ 8), або ∠ 3 = ∠ 5 (∠ 4 = ∠ 6), або ∠ 3 + ∠ 6 = 180° (∠ 4 + ∠ 5 = 180°)

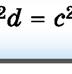
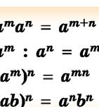
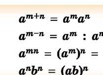
aman = am+n

am : an = am–n

(am)n = amn

(ab)n = anbn

am+n = aman

am–n = am : an

amn = (am)n = (an)m

anbn = (ab)n

ЛАТИНСЬКИЙ АЛФАВІТ Друковані букви Рукописні букви Назва букв Друковані букви Рукописні букви Назва букв Aa Aa а Nn Nn ен Bb Bb бе Oo Oo о Cc Cc це Pp Pp пе Dd Dd де Qq Qq ку Ee Ee е Rr Rr ер Ff Ff еф Ss Ss ес Gg Gg же Tt Tt те Hh Hh аш Uu Uu у Ii Ii і Vv Vv ве Jj Jj йот (жі) Ww Ww дубль-ве Kk Kk ка Xx Xx ікс Ll Ll ель Yy Yy ігрек Mm Mm ем Zz Zz зет ВЛАСТИВОСТІ СТЕПЕНЯ З НАТУРАЛЬНИМ ПОКАЗНИКОМ
a
ОЗНАКИ РІВНОСТІ ТРИКУТНИКІВ 1. За двома сторонами і кутом між ними 2. За стороною і прилеглими до неї кутами 3. За трьома сторонами
1 = a
ОЛЕКСАНДР ІСТЕР Київ «Генеза» 2024 Рекомендовано Міністерством освіти і науки України Підручник для 7 класу закладів загальної середньої освіти у 2-х частинах Частина 1 (інтегрований курс)

УДК 51(075.3)

І-89

Рекомендовано Міністерством освіти і науки України (наказ Міністерства освіти і науки України від 05.02.2024 № 124)

Видано за рахунок державних коштів. Продаж заборонено

Відповідає модельній навчальній програмі «Математика (інтегрований курс). 7–9 класи» для закладів загальної середньої освіти (автор Істер О. С.)

І-89

Істер О.С. Математика (інтегрований курс) : підруч. для 7-го кл.

закл. заг. серед. освіти. У 2 ч. Ч. 1 / Олександр Істер. —

Київ : Генеза, 2024. — 256 с. : іл.

ISBN 978-617-8353-39-1

ISBN 978-617-8353-41-4 (Ч.1).

ISBN 978-617-8353-39-1

ISBN 978-617-8353-41-4 (Ч.1)

УДК 51(075.3)

© Істер О.С., 2024 © Генеза, оригінал-макет, 2024

Øàíîâíі ñåìèêëàñíèöі òà ñåìèêëàñíèêè!

Ïðîäîâæóєìî âèâ÷àòè êóðñ ìàòåìàòèêè, ÿêèé ìіñòèòèìå äâі

ñêëàäîâі ÷àñòèíè – àëãåáðó і ãåîìåòðіþ. Äîïîìîæå âàì ó öüîìó ïіäðó÷íèê, ÿêèé âè òðèìàєòå â ðóêàõ.

Ó ïіäðó÷íèêó âèêîðèñòàíî òàêі óìîâíі ïîçíà÷åííÿ:

– ïðèãàäàé (ðàíіøå âèâ÷åíå);

– çâåðíè îñîáëèâó óâàãó;

– çàïèòàííÿ і çàâäàííÿ äî òåîðåòè÷íîãî ìàòåðіàëó;

1.13 – çàâäàííÿ äëÿ êëàñíîї òà 1.15 – äîìàøíüîї ðîáîòè;

– «êëþ÷îâà» çàäà÷à (çàäà÷à, âèñíîâêè ÿêîї âèêîðèñòîâóþòü äëÿ ðîçâ’ÿçóâàííÿ іíøèõ çàäà÷);

– ðóáðèêà «Óêðà їíà – öå ìè»;

ðóáðèêà «Öіêàâі çàäà÷і – ïîìіðêóé îäíà÷å»;

– ðóáðèêà «Æèòòєâà ìàòåìàòèêà»;

– âïðàâè äëÿ ïіäãîòîâêè äî âèâ÷åííÿ íîâîї òåìè;

– âïðàâè äëÿ ïîâòîðåííÿ;

– ðóáðèêà «Ãîëîâíå â òåìі».

Òåêñò, íàäðóêîâàíèé æèðíèì øðèôòîì, çâåðòàє âàøó óâàãó

íà íîâå ïîíÿòòÿ àáî òàêå, ÿêå òðåáà ïðèãàäàòè.

Óñі âïðàâè ðîçïîäіëåíî âіäïîâіäíî äî ðіâíіâ íàâ÷àëüíèõ äîñÿãíåíü і âèîêðåìëåíî òàê:

ç ïîçíà÷êè ïî÷èíàþòüñÿ âïðàâè ïî÷àòêîâîãî ðіâíÿ;

ç ïîçíà÷êè ïî÷èíàþòüñÿ âïðàâè ñåðåäíüîãî ðіâíÿ;

ç ïîçíà÷êè ïî÷èíàþòüñÿ âïðàâè äîñòàòíüîãî ðіâíÿ;

ç ïîçíà÷êè ïî÷èíàþòüñÿ âïðàâè âèñîêîãî ðіâíÿ;

ç ïîçíà÷êè ïî÷èíàþòüñÿ âïðàâè ïіäâèùåíîї ñêëàäíîñòі. Ïåðåâіðèòè ñâîї çíàííÿ òà ïіäãîòóâàòèñÿ äî òåìàòè÷íîãî îöіíþâàííÿ ìîæíà, âèêîíóþ÷è çàâäàííÿ «Äîìàøíüîї ñàìîñòіéíîї ðîáîòè», ÿêі ïîäàíî â òåñòîâіé ôîðìі, òà «Çàâäàííÿ äëÿ ïåðåâіðêè çíàíü». Ïіñëÿ êîæíîї òåìè íàâåäåíî âïðàâè äëÿ її ïîâòîðåííÿ,

3

îñíîâíèé òåîðåòè÷íèé ìàòåðіàë (ðóáðèêà «Ãîëîâíå â òåìі»), à â êіíöі ïіäðó÷íèêà – «Çàâäàííÿ äëÿ ïåðåâіðêè çíàíü çà êóðñ ìàòåìàòèêè 7 êëàñó». «Çàäà÷і ïіäâèùåíîї ñêëàäíîñòі» äîïîìîæóòü ïіäãîòóâàòèñÿ äî ìàòåìàòè÷íîї îëіìïіàäè òà ïîãëèáèòè çíàííÿ ç ìàòåìàòèêè.

Àâòîð íàìàãàâñÿ ïîäàòè òåîðåòè÷íèé ìàòåðіàë ïðîñòîþ, äîñòóïíîþ ìîâîþ, ïðîіëþñòðóâàòè éîãî çíà÷íîþ êіëüêіñòþ ïðèêëàäіâ. Ïіñëÿ âèâ÷åííÿ òåîðåòè÷íîãî ìàòåðіàëó â øêîëі éîãî îáîâ’ÿçêîâî ïîòðіáíî îïðàöþâàòè âäîìà.

Ïіäðó÷íèê ìіñòèòü âåëèêó êіëüêіñòü âïðàâ. Áіëüøіñòü ç íèõ

âè ðîçãëÿíåòå íà óðîêàõ і ïіä ÷àñ äîìàøíüîї ðîáîòè, іíøі âïðàâè ðåêîìåíäóєòüñÿ ðîçâ’ÿçàòè ñàìîñòіéíî.

Ó ðóáðèöі «Æèòòєâà ìàòåìàòèêà» çіáðàíî çàäà÷і, ÿêі ÷àñòî

äîâîäèòüñÿ ðîçâ’ÿçóâàòè â ïîâñÿêäåííîìó æèòòі. Öіêàâі ôàêòè ç іñòîðії âèíèêíåííÿ ìàòåìàòè÷íèõ ïîíÿòü і ñèìâîëіâ òà ðîçâèòêó ìàòåìàòèêè ÿê íàóêè âè çíàéäåòå â ðóáðèöі «À ùå ðàíіøå...». Áàæàєìî óñïіõіâ â îïàíóâàííі ìàòåìàòèêè!

Øàíîâíі â÷èòåëüêè òà â÷èòåëі!

Ïðîïîíîâàíèé ïіäðó÷íèê ìіñòèòü âåëèêó êіëüêіñòü âïðàâ; âïðàâè áіëüøîñòі ïàðàãðàôіâ ïîäàíî «іç çàïàñîì». Òîæ îáèðàéòå їõ äëÿ âèêîðèñòàííÿ íà óðîêàõ, ôàêóëüòàòèâíèõ, іíäèâіäóàëüíèõ, äîäàòêîâèõ çàíÿòòÿõ òà ÿê äîìàøíі çàâäàííÿ çàëåæíî âіä ïîñòàâëåíîї ìåòè, ðіâíÿ ïіäãîòîâëåíîñòі ó÷íіâ/ó÷åíèöü, äèôåðåíöіàöії íàâ÷àííÿ òîùî.

Äîäàòêîâі âïðàâè â «Çàâäàííÿõ äëÿ ïåðåâіðêè çíàíü» ïðèçíà÷åíî äëÿ ó÷íіâ/ó÷åíèöü, ÿêі âïîðàëèñÿ ç îñíîâíèìè çàâäàííÿìè ðàíіøå çà іíøèõ. ×è ïðàâèëüíî їõ ðîçâ’ÿçàíî, ó÷èòåëü/ó÷èòåëüêà ìîæå îöіíèòè îêðåìî.

Âïðàâè äëÿ ïîâòîðåííÿ òåì ìîæíà çàïðîïîíóâàòè ó÷íÿì/ó÷åíèöÿì, íàïðèêëàä, ïіä ÷àñ óçàãàëüíþâàëüíèõ óðîêіâ àáî ïіä ÷àñ ïîâòîðåííÿ і ñèñòåìàòèçàöії íàâ÷àëüíîãî ìàòåðіàëó â êіíöі íàâ÷à ëüíîãî ðîêó.

Ó ðóáðèöі «Æèòòєâà ìàòåìàòèêà» çіáðàíî çàäà÷і, ïîâ’ÿçàíі ç åêîíîìі÷íîþ ãðàìîòíіñòþ і ïіäïðèєìëèâіñòþ, åêîíîìі÷íîþ áåçïåêîþ, çäîðîâèì ñïîñîáîì æèòòÿ, ãðîìàäÿíñüêîþ âіäïîâіäàëüíіñòþ, à â ðóáðèöі «Ïіäãîòóéòåñÿ äî âèâ÷åííÿ íîâîãî ìàòåðіàëó» –çàäà÷і, ùî äîïîìîæóòü àêòóàëіçóâàòè âіäïîâіäíі çíàííÿ. «Çàäà÷і ïіäâèùåíîї ñêëàäíîñòі», ÿêі ðîçìіùåíî â êіíöі ïіäðó÷íèêà, äîïîìîæóòü ïіäãîòóâàòè ó÷íіâ/ó÷åíèöü äî ðіçíîìàíіò-

4

íèõ ìàòåìàòè÷íèõ çìàãàíü і ïіäâèùèòè їõíþ öіêàâіñòü äî ìàòåìàòèêè.

«Çàâäàííÿ äëÿ ïåðåâіðêè çíàíü çà êóðñ ìàòåìàòèêè 7 êëàñó», ÿêі òàêîæ ðîçìіùåíî â êіíöі ïіäðó÷íèêà, ìîæíà çàïðîïîíóâàòè ó÷íÿì/ó÷åíèöÿì äëÿ ïіäãîòîâêè äî ðі÷íîї êîíòðîëüíîї ðîáîòè.

Øàíîâíі äîðîñëі!

ßêùî âàøà äèòèíà ïðîïóñòèòü îäèí ÷è êіëüêà óðîêіâ ó øêîëі, ïîòðіáíî çàïðîïîíóâàòè їé ñàìîñòіéíî îïðàöþâàòè ìàòåðіàë

öèõ óðîêіâ çà ïіäðó÷íèêîì óäîìà. Ñïî÷àòêó äèòèíà ìàє ïðî÷èòàòè òåîðåòè÷íèé ìàòåðіàë, ÿêèé âèêëàäåíî ïðîñòîþ, äîñòóïíîþ ìîâîþ, ïðîіëþñòðîâàíî çíà÷íîþ êіëüêіñòþ ïðèêëàäіâ. Ïіñëÿ öüîãî ïîòðіáíî ðîçâ’ÿçàòè âïðàâè, ùî ïîñèëüíі, ç ðîçãëÿíóòîãî ïàðàãðàôà.

Óïðîäîâæ êóðñó ìàòåìàòèêè 7 êëàñó, ÿêèé îïðàöüîâóє äèòèíà, âè ìîæåòå ïðîïîíóâàòè їé äîäàòêîâî ðîçâ’ÿçóâàòè âäîìà âïðàâè, ùî íå ðîçãëÿäàëèñÿ ïіä ÷àñ óðîêó. Öå ñïðèÿòèìå ÿêíàéêðàùîìó çàñâîєííþ íàâ÷àëüíîãî ìàòåðіàëó.

Êîæíà òåìà çàêіí÷óєòüñÿ òåìàòè÷íèì îöіíþâàííÿì. Ïåðåä éîãî ïðîâåäåííÿì çàïðîïîíóéòå äèòèíі ðîçâ’ÿçàòè çàâäàííÿ «Äîìàøíüîї ñàìîñòіéíîї ðîáîòè», ÿêі ïîäàíî â òåñòîâіé ôîðìі, òà «Çàâäàííÿ äëÿ ïåðåâіðêè çíàíü». Öå äîïîìîæå ïðèãàäàòè îñíîâíі òèïè âïðàâ òà ÿêіñíî ïіäãîòóâàòèñÿ äî òåìàòè÷íîãî îöіíþâàííÿ.

ßêùî âàøà äèòèíà âèÿâëÿє ïіäâèùåíó öіêàâіñòü äî ìàòåìàòèêè òà áàæàє ïîãëèáèòè ñâîї çíàííÿ, çâåðíіòü óâàãó íà «Çàäà÷і ïіäâèùåíîї ñêëàäíîñòі», ÿêі ðîçìіùåíî â êіíöі ïіäðó÷íèêà.

5

Натуральні числа та дії над ними. Подільність натуральних чисел

1. Îá÷èñëіòü çíà÷åííÿ âèðàçіâ і äіçíàéòåñÿ êіëüêіñòü ìåøêàíöіâ ó äåÿêèõ ìіñòàõ Óêðà їíè íà ìîìåíò îñòàííüîãî ïåðåïèñó íàñåëåííÿ. Äîñëіäіòü, äî ÿêèõ îáëàñòåé íàëåæàòü öі ìіñòà:

1) 13 145 + 7435 (Êðàñèëіâ); 2) 203 912 + 825 137 (Îäåñà); 3) 78 117 – 13 256 (Ïðèëóêè); 4) 974 002 – 725 189 (Ðіâíå); 5) 313 ∙ 42 (Áàøòàíêà); 6) 833 ∙ 281 (Êðåìåí÷óê); 7) 64 246 : 13 (Ðóäêè); 8) 1 536 470 : 106 (Ñóäàê).

2. Îá÷èñëіòü:

1) 137 125 + 321 117; 2) 429 113 – 253 087; 3) 429 ∙ 17; 4) 91 575 : 45; 5) 79 335 : 215; 6) 137 ∙ 273.

3. Îá÷èñëіòü çíà÷åííÿ âèðàçó çðó÷íèì ñïîñîáîì: 1) 297 + (495 + 703); 2) 329 + 1075 + 1925 + 671; 3) 250 ∙ 49 ∙ 4; 4) 125 ∙ 37 ∙ 8 ∙ 2.

4. Îá÷èñëіòü çíà÷åííÿ âèðàçó çðó÷íèì ñïîñîáîì: 1) (724 + 913) + 276; 2) 2715 + 256 + 1285 + 744; 3) 500 ∙ 73 ∙ 20; 4) 25 ∙ 13 ∙ 400 ∙ 7.

5. Çàïèøіòü óñі äіëüíèêè ÷èñëà: 1) 16; 2) 38; 3) 60.

6. Çàïèøіòü óñі äіëüíèêè ÷èñëà: 1) 25; 2) 36; 3) 78.

7. Ðîçêëàäіòü íà ïðîñòі ìíîæíèêè ÷èñëî: 1) 48; 2) 80.

8. Ðîçêëàäіòü íà ïðîñòі ìíîæíèêè ÷èñëî: 1) 60; 2) 96.

9. Çíàéäіòü íàéáіëüøèé ñïіëüíèé äіëüíèê і íàéìåíøå ñïіëüíå êðàòíå ÷èñåë: 1) 19 і 3; 2) 36 і 48; 3) 17 і 51; 4) 10, 15 і 25.

10. Çíàéäіòü íàéáіëüøèé ñïіëüíèé äіëüíèê і íàéìåíøå ñïіëüíå êðàòíå ÷èñåë: 1) 7 і 12; 2) 39 і 52; 3) 54 і 18; 4) 12, 16 і 20.

11. Îá÷èñëіòü çíà÷åííÿ âèðàçó òà äіçíàéòåñÿ ðіê çàñíóâàííÿ Êèїâñüêîãî íàöіîíàëüíîãî óíіâåðñèòåòó іìåíі Òàðàñà Øåâ÷åíêà: (166 788 : 452 – 125) ∙ 409 – 97 962.

6
ТА СИСТЕМАТИЗАЦІЯ ЗНАНЬ ЗА КУРС МАТЕМАТИКИ 5-6 КЛАСІВ
УЗАГАЛЬНЕННЯ

12. Çíàéäіòü çíà÷åííÿ âèðàçó òà äіçíàéòåñÿ ðіê çàñíóâàííÿ Íàöіîíàëüíîãî óíіâåðñèòåòó «Ëüâіâñüêà ïîëіòåõíіêà»: 95 472 – (423 – 35 133 : 147) ∙ 509.

13. ßêîþ öèôðîþ çàêіí÷óєòüñÿ ÷èñëî: 1) 53472; 2) 20033 – 1952; 3) 1463 + 1272 – 393?

14. ßêîþ öèôðîþ çàêіí÷óєòüñÿ ÷èñëî: 1) 72932; 2) 40073 – 1292; 3) 1253 + 1383 – 452?

15. Çíàéäіòü íàéìåíøå òà íàéáіëüøå ï’ÿòèöèôðîâі ÷èñëà, êðàòíі ÷èñëó 123.

16. Çíàéäіòü íàéìåíøå òà íàéáіëüøå ÷îòèðèöèôðîâі ÷èñëà, êðàòíі ÷èñëó 39.

17. (Óñíî.) Îá÷èñëіòü:

1) 4 + 2,7; 2) 1,8 + 3,2; 3) 4,5 – 1,2; 4) 7,2 – 4,5; 5) 10 ∙ 5,2; 6) 4,3 ∙ 0,01; 7) 3,6 : 3; 8) 2,8 : 0,1.

18. Âèêîíàéòå äіþ: 1) 4,92 + 5,713; 2) 12,38 – 4,113; 3) 3,5 ∙ 2,14; 4) 2,62; 5) 5,9 ∙ 4,03; 6) 41,04 : 12; 7) 8,55 : 2,5; 8) 0,73.

19. Âèêîíàéòå äіþ:

1) 5,731 + 9,28; 2) 17,52 – 9,293; 3) 7,6 ∙ 4,15; 4) 3,22; 5) 2,05 ∙ 4,7; 6) 31,2 : 15; 7) 8,82 : 2,8; 8) 0,63.

20. Çàïèøіòü ó ïîðÿäêó çðîñòàííÿ ÷èñëà: 2,9(Ï); 2,81(Ë); 3,41(Ê); 2,8(Ñ); 3,4(À); 2,89(І) òà ïðî÷èòàéòå ïðіçâèùå âіäîìîãî ó ñâіòі óêðà їíñüêîãî îïåðíîãî ñïіâàêà, Ãåðîÿ Óêðà їíè. Äіçíàéòåñÿ ç іíòåðíåòó áіëüøå ïðî íüîãî.

21. Çàïèøіòü ó ïîðÿäêó ñïàäàííÿ ÷èñëà: 7,7(Ï); 7,6(Í); 7,8(І); 6,8(Ü); 7,73(Ð); 7,65(І) òà ïðî÷èòàéòå íàçâó ìіñòà-ãåðîÿ Óêðà їíè. Äіçíàéòåñÿ ç іíòåðíåòó, çà ùî ìіñòó áóëî ïðèñâîєíî öå çâàííÿ.

22. Îêðóãëіòü ÷èñëà: 1) 7,25; 3,739; 8,03; 9,05 äî äåñÿòèõ; 2) 5,713; 9,8999; 4,115; 8,718 äî ñîòèõ; 3) 7,389; 4,5; 9,93; 7,38 äî îäèíèöü; 4) 135,72; 431,431 äî äåñÿòêіâ.

Óçàãàëüíåííÿ òà ñèñòåìàòèçàö³ÿ çíàíü çà êóðñ ìàòåìàòèêè 5–6 êëàñ³â 7
Десяткові дроби та дії над ними

23. Îêðóãëіòü ÷èñëà: 1) 17,38; 49,55; 4,06; 7,02 äî äåñÿòèõ; 2) 13,548; 29,341; 9,999; 4,444 äî ñîòèõ; 3) 3,713; 14,52; 7,111 äî îäèíèöü.

24. Çíàéäіòü çíà÷åííÿ âèðàçó: 1) 2,9 ∙ (7,32 + 0,08 : 0,125) – 4,2 ∙ 0,25 + 7,35; 2) (7,85 + 4,22) : 5 – 0,93 : 3.

25. Çíàéäіòü çíà÷åííÿ âèðàçó: 1) 45,2 ∙ 0,75 – (9,34 + 0,06 : 0,25) ∙ 2,8 – 4,05; 2) (8,93 – 2,62) : 4 + 0,63 : 2.

26. Çàïèøіòü òðè äåñÿòêîâèõ äðîáè, êîæíèé ç ÿêèõ:

1) áіëüøèé çà 4,8 і ìåíøèé âіä 4,9; 2) ìåíøèé âіä 0,43 і áіëüøèé çà 0,41.

27. Çàïèøіòü òðè äåñÿòêîâèõ äðîáè, êîæíèé ç ÿêèõ:

1) ìåíøèé âіä 9,6 і áіëüøèé çà 9,4; 2) áіëüøèé çà 4,83 і ìåíøèé âіä 4,84.

Звичайні дроби та дії над ними. Відсотки

28. (Óñíî.) Îá÷èñëіòü: 1) ; 2) ; 3) ; 4) ; 5) ; 6) ; 7) ; 8) .

29. Îá÷èñëіòü: 1) ; 2) ; 3) ; 4) ; 5) ; 6) ; 7) ; 8) .

30. Âèêîíàéòå äіþ: 1) ; 2) ; 3) ; 4) ; 5) ; 6) ; 7) ; 8) .

31. Îá÷èñëіòü çíà÷åííÿ âèðàçó: 1) ; 2) .

8

32. Îá÷èñëіòü çíà÷åííÿ âèðàçó:

1) ; 2) .

33. Äçâіíîê äëÿ âåëîñèïåäà êîøòóє 150 ãðí. Ñêіëüêè êîøòóâàòèìå âåëîñèïåäíèé äçâіíîê ïіñëÿ:

1) çíèæåííÿ öіíè íà: 10 %; 16 %; 2) ïіäâèùåííÿ öіíè íà: 8 %; 20 %?

34. ×îõîë äëÿ òåëåôîíà êîøòóє 200 ãðí. Ñêіëüêè êîøòóâàòèìå

÷îõîë ïіñëÿ:

1) ïіäâèùåííÿ öіíè íà: 15 %; 9 %; 2) çíèæåííÿ öіíè íà: 4 %; 30 %?

35. Ðîçâ’ÿæіòü ðіâíÿííÿ: 1) x + 0,4  ; 2) x –  ; 3) – x  0,6; 4)  ; 5) x :  1,6; 6) 2,4 : x  .

36. Ðîçâ’ÿæіòü ðіâíÿííÿ: 1) – x  ; 2) 0,8 + x  ; 3) x – 0,05  ; 4) 3,2 : x  ; 5) 1,5x  ; 6) x :  2,8.

37. Àâòîìîáіëü çà ïåðøèé äåíü ïîäîðîæі ç Êèєâà äî Áóõàðåñòà ïîäîëàâ 364 êì, ùî ñòàíîâèòü 40 % âіä âіäñòàíі ìіæ öèìè ìіñòàìè. Ñêіëüêè êіëîìåòðіâ éîìó çàëèøèëîñÿ ïîäîëàòè?

38. Ïðèäáàâøè êíèæêó çà 90 ãðí, Îëÿ âèòðàòèëà 30 % ãðîøåé, ÿêі ìàëà. Ñêіëüêè ãðîøåé çàëèøèëîñÿ ó äіâ÷èíêè?

39. Îá÷èñëіòü äâîìà ñïîñîáàìè (ïåðåòâîðèâøè äåñÿòêîâèé äðіá ó ìіøàíå ÷èñëî àáî ïåðåòâîðèâøè ìіøàíå ÷èñëî â äåñÿòêîâèé äðіá): 1) 13,75 + ; 2) – 3,9; 3) 1,125 ∙ ; 4) : 1,4.

40. Îá÷èñëіòü äâîìà ñïîñîáàìè (ïåðåòâîðèâøè äåñÿòêîâèé äðіá ó ìіøàíå ÷èñëî àáî ïåðåòâîðèâøè ìіøàíå ÷èñëî â äåñÿòêîâèé äðіá): 1) + 6,05; 2) 3,48 – ; 3) 1,15 ∙ ; 4) 5,2 : .

Óçàãàëüíåííÿ òà ñèñòåìàòèçàö³ÿ çíàíü çà êóðñ ìàòåìàòèêè 5–6 êëàñ³â 9

41. Ïіñëÿ çíèæåííÿ öіíè íà 10 % íàâóøíèêè ñòàëè êîøòóâàòè 225 ãðí. ßêîþ áóëà ïî÷àòêîâà âàðòіñòü íàâóøíèêіâ?

42. Ïіä ÷àñ ñóøіííÿ ÿáëóêà âòðà÷àþòü 82 % ñâîєї ìàñè. Ñêіëüêè ïîòðіáíî ñâіæèõ ÿáëóê, ùîá îòðèìàòè 9 êã ñóøåíèõ?

43. Öіíó òîâàðó ñïî÷àòêó çáіëüøèëè íà 20 %, à ïîòіì íîâó öіíó çìåíøèëè íà 15 %. ßê і íà ñêіëüêè âіäñîòêіâ çìіíèëàñÿ

öіíà ïîðіâíÿíî ç ïî÷àòêîâîþ?

44. Öіíó òîâàðó ñïî÷àòêó çìåíøèëè íà 20 %, à ïîòіì íîâó öіíó çáіëüøèëè íà 15 %. ßê і íà ñêіëüêè âіäñîòêіâ çìіíèëàñÿ öіíà òîâàðó ïîðіâíÿíî ç ïî÷àòêîâîþ?

45. (Óñíî.) ×îìó ðіâíіñòü є ïðîïîðöієþ? Íàçâіòü

êðàéíі òà ñåðåäíі ÷ëåíè.

46. (Óñíî.) Ñêіëüêîì êіëîìåòðàì íà ìіñöåâîñòі âіäïîâіäàє 1 ñì íà êàðòі ç ìàñøòàáîì:

1) 1 : 100 000; 2) 1 : 700 000; 3) 1 : 5 000 000?

47. Çíàéäіòü íåâіäîìèé ÷ëåí ïðîïîðöії: 1) x : 6  5 : 3; 2) ; 3) x : 12  .

48. Çíàéäіòü íåâіäîìèé ÷ëåí ïðîïîðöії: 1) 6 : x  2 : 7; 2) ; 3) .

49. Ñêіëüêè âіäñîòêіâ ñòàíîâèòü: 1) 2 âіä 5; 2) 18 âіä 12; 3) 3,5 âіä 17,5; 4) âіä ?

50. Ñêіëüêè âіäñîòêіâ ñòàíîâèòü: 1) 4 âіä 8; 2) 20 âіä 16; 3) 2,6 âіä 10,4; 4) âіä ?

51. Ïîäіëіòü ÷èñëî: 1) 28 íà äâі ÷àñòèíè ó âіäíîøåííі 5 : 2; 2) 36 íà òðè ÷àñòèíè ó âіäíîøåííі 1 : 3 : 5.

52. Ïîäіëіòü ÷èñëî: 1) 48 íà äâі ÷àñòèíè ó âіäíîøåííі 1 : 3; 2) 50 íà òðè ÷àñòèíè ó âіäíîøåííі 2 : 5 : 3.

10
Відношення і пропорції
її

53. Ðîçâ’ÿæіòü ðіâíÿííÿ: 1) ; 2) .

54. Ðîçâ’ÿæіòü ðіâíÿííÿ: 1) ; 2) .

55. 1) Ìàéñòðèíÿ çà ïåðøèé òèæäåíü âіäðåìîíòóâàëà 24 äåâàéñè, à çà äðóãèé — 30 äåâàéñіâ. Íà ñêіëüêè âіäñîòêіâ çðîñëà ïðîäóêòèâíіñòü ïðàöі ìàéñòðèíі?

2) Ìàéñòåð çà ïåðøèé òèæäåíü âіäðåìîíòóâàâ 30 äåâàéñіâ, à çà äðóãèé — 24 äåâàéñè. Íà ñêіëüêè âіäñîòêіâ çíèçèëàñÿ ïðîäóêòèâíіñòü ïðàöі ìàéñòðà?

56. Òîâàð êîøòóâàâ 80 ãðí. Íà ñêіëüêè âіäñîòêіâ çáіëüøèëàñÿ àáî çìåíøèëàñÿ öіíà òîâàðó, ÿêùî â ðåçóëüòàòі ïåðåîöіíêè âіí ñòàâ êîøòóâàòè: 1) 72 ãðí; 2) 84 ãðí?

57. Äî 180 ã 10-âіäñîòêîâîãî ðîç÷èíó ñîëі äîëèëè 70 ã âîäè. ßêèì ñòàâ âіäñîòêîâèé óìіñò ñîëі â íîâîìó ðîç÷èíі?

58. Äî ñïëàâó ìàñîþ 250 ã, ùî ìіñòèòü 40 % îëîâà, äîäàëè 150 ã îëîâà. ßêèì ñòàâ âіäñîòêîâèé óìіñò îëîâà â íîâîìó ñïëàâі? Раціональні числа та дії над ними

59. Îá÷èñëіòü: 1) –8 + (–9); 2) –13,6 + (–7,9); 3) 29 + (–11); 4) –37 + 4,5; 5) –8 – 5; 6) –9 – (–4); 7) 7 – (–3); 8) 4 – 9,1; 9) 2,9 ∙ (–10); 10) –4 ∙ (–4,5); 11) –4,2 : (–4); 12) 8 : (–0,01).

60. Âèêîíàéòå äії: 1) –6 + (–10); 2) –4,9 + (–5,7); 3) –38 + 12; 4) 7,2 + (–5); 5) –4 – (–3); 6) –9 – 11; 7) 0 – (–9); 8) 5 – 10,2; 9) –5,1 ∙ (–0,1); 10) –6 ∙ 2,5; 11) –7,2 : 10; 12) –7,5 : (–5).

61. Âèêîíàéòå äії: 1) ; 2) ; 3) ; 4) ; 6) 7) ; 9) .

Óçàãàëüíåííÿ òà ñèñòåìàòèçàö³ÿ çíàíü çà êóðñ ìàòåìàòèêè 5–6 êëàñ³â 11

62. Îá÷èñëіòü: 1) ; 2) ; 3) ; 4) ; 5) ; 7) ; 9) .

63. Çàïèøіòü óñі öіëі ÷èñëà, ùî ìіñòÿòüñÿ íà êîîðäèíàòíіé ïðÿìіé ìіæ ÷èñëàìè: 1) –2,7 і 4,1; 2) –102,5 і –97,9; 3) і .

64. Çàïèøіòü óñі öіëі ÷èñëà, ùî ìіñòÿòüñÿ íà êîîðäèíàòíіé ïðÿìіé ìіæ ÷èñëàìè: 1) і 4,7; 2) –85,3 і –78,4; 3) і .

65. Ïîçíà÷òå íà êîîðäèíàòíіé ïëîùèíі òî÷êè: A(–2; 4), M(0; –3), K(5; 1), D(4; 0), L(–6; –2), N(2; –3).

66. Ïîçíà÷òå íà êîîðäèíàòíіé ïëîùèíі òî÷êè: B(2; –5), C(–2; 0), T(4; 2), E(0; 3), Q(–4; –1), P(–5; 2).

67. Çâåäіòü ïîäіáíі äîäàíêè: 1) 4x + 2y – 5x – 2y; 2) –5,9 + 11,2a + 7,8 – 18a; 3) –9a + 7b – 8 + 3a – b; 4) 2,7x7 + 3x + 12y – 9,8y – 5,7x7 .

68. Çâåäіòü ïîäіáíі äîäàíêè: 1) 7p7 – 2m + 6p + 2m; 2) –14b + 3,9 – 7,2 + 18,5b; 3) 5x – 8y + 5 – 4x + y; 4) 2,5a – 2,9b + 3a + 3,7b – 5,5a.

69. Ðîçêðèéòå äóæêè і çâåäіòü ïîäіáíі äîäàíêè:

1) –5(2a – 3) + 3(4a – 5); 2) 2(a – 3m) – 7(2a + m); 3) (2y – 3) ∙ (–3) + 2(4y – 1); 4) 2,4(2x – 3) – 4,8(x – 5).

70. Ðîçêðèéòå äóæêè і çâåäіòü ïîäіáíі äîäàíêè:

1) –4(3a – 2) + 6(2a – 1); 2) 5(b – 3c) – 3(4b + c); 3) (7x7 – 2) ∙ (–4) + 2(4 – 3y); 4) 2,6(3a – 5) – 7,8(a – 10).

71. Ðîçâ’ÿæіòü ðіâíÿííÿ:

1) 0,5(2x – 3) + 2,6  0,2(4 + 2x); 2) .

12

72. Ðîçâ’ÿæіòü ðіâíÿííÿ: 1) 0,5(3 – x) + 1,4  –0,3(2x – 2); 2) .

73. Çíàéäіòü çíà÷åííÿ âèðàçó òà äіçíàéòåñÿ, ó ÿêîìó ñòîëіòòі

áóëà ïåðøà ïèñüìîâà çãàäêà ïðî ñåëèùå Ãóðçóô ó Êðèìó: .

74. Îá÷èñëіòü çíà÷åííÿ âèðàçó òà äіçíàéòåñÿ ðіê çàêëàäàííÿ Ìèõàéëіâñüêîãî Çîëîòîâåðõîãî ñîáîðó â Êèєâі: .

75. Ñïðîñòіòü âèðàç 5(2,6a + 3,4b) – 2(6a – 2,5b) і çíàéäіòü éîãî

çíà÷åííÿ, ÿêùî a  –11, .

76. Ñïðîñòіòü âèðàç 6(1,5x + 2,5y) – 5(2x – 3y) і çíàéäіòü éîãî

çíà÷åííÿ, ÿêùî x  –2, .

77. Çíàéäіòü ñóìó, äîäàíêàìè ÿêîї є ÷èñëà: îáåðíåíå òà ïðîòèëåæíå äî ÷èñëà 2,6.

78. Çíàéäіòü çíà÷åííÿ âèðàçó a2, ÿêùî .

79. Çíàéäіòü çíà÷åííÿ âèðàçó b3, ÿêùî b  24,25 – + ∙ (–4,8).

80. Çíàéäіòü çíà÷åííÿ âèðàçó 10b – (2b + 4x), ÿêùî x – 2b  –5.

81. Çíàéäіòü çíà÷åííÿ âèðàçó 15a – (3a + 4m), ÿêùî m – 3a  –3. Ïiäãîòóéòåñÿ äî âèâ÷åííÿ íîâîãî ìàòåðiàëó ×è є ÷èñëî –2 êîðåíåì ðіâíÿííÿ: 1) õ + 5  7; 2) õ ∙ 4  –8; 3) õ – 3  –5; 4) –10 : õ  –5?

83. Çíàéäіòü êîðіíü ðіâíÿííÿ: 1) õ – 3  8; 2) 7 + õ  3; 3) –4õ  –20; 4) õ : 3  –7.

Óçàãàëüíåííÿ òà ñèñòåìàòèçàö³ÿ çíàíü çà
5–6 êëàñ³â 13
êóðñ ìàòåìàòèêè

У ЦІЙ ТЕМІ ВИ:

пригадаєте

пригадаєте основні властивості рівнянь з однією

ознайомитеся

навчитеся

змінною; з лінійним рівнянням з однією змінною; розв’язувати лінійні рівняння з однією

змінною та рівняння, які до них зводяться; текстові

задачі за допомогою рівнянь.

ñòîëіòü âîíà ðîçâèâàëàñÿ ÿê íàóêà ïðî ðіâíÿííÿ.

Îñíîâíі âіäîìîñòі ïðî ðіâíÿííÿ âè âæå çíàєòå ç ïîïåðåäíіõ

êëàñіâ. Âèðàç, çàïèñàíèé ó ðіâíÿííі ëіâîðó÷ âіä çíàêà ðіâíîñòі, íàçèâàþòü ëіâîþ ÷àñòèíîþ ðіâíÿííÿ, à âèðàç, çàïèñàíèé ïðàâîðó÷, – ïðàâîþ ÷àñòèíîþ ðіâíÿííÿ.

ßêùî â ðіâíÿííÿ 4x – 6  x çàìіñòü çìіííîї x ïіäñòàâèòè ÷èñëî 2, òî îäåðæèìî ïðàâèëüíó ÷èñëîâó ðіâíіñòü: 4 · 2 – 6  2, àäæå ÷èñëîâі çíà÷åííÿ îáîõ ÷àñòèí ðіâíÿííÿ áóäóòü ìіæ ñîáîþ ðіâíі. Ó òàêîìó ðàçі ïðî ÷èñëî 2 êàæóòü, ùî âîíî є êîðåíåì ðіâíÿííÿ.

.

іçíі ðіâíÿííÿ

14 ТЕМА 1 ЛІНІЙНІ РІВНЯННЯ З ОДНІЄЮ ЗМІННОЮ
§ 1. Загальні відомості про рівняння Рівняння та його розв’язки
ìàòåìàòè÷íèõ äèñöèïëіí є àëãåáðà.
Îäíієþ ç íàéâàæëèâіøèõ
Óïðîäîâæ áàãàòüîõ
Про число, яке є коренем рівняння, ще кажуть, що воно задовольняє
ìîæóòü ìàòè ðіçíó êіëüêіñòü êîðåíіâ. Íàïðèêëàä,
Л ІНІЙНІ ОД НІЄЮ
рівняння
Ð
ðіâíÿííÿ 4x – 6  x ìàє ëèøå îäèí êîðіíü – ÷èñëî 2. Ðіâíÿííÿ x(x – 6)  0 ìàє äâà êîðåíі – ÷èñëà 0 і 6. Ðіâíÿííÿ

x + 0,1  0,1 + x çàäîâîëüíÿòèìå áóäü-ÿêå çíà÷åííÿ çìіííîї x, òîáòî áóäü-ÿêå ÷èñëî є éîãî êîðåíåì, îòæå, öå ðіâíÿííÿ ìàє áåçëі÷ êîðåíіâ. À ëå íå іñíóє æîäíîãî çíà÷åííÿ çìіííîї x, ÿêå á ïåðåòâîðþâàëî ðіâíÿííÿ x + 1  x ó ïðàâèëüíó ÷èñëîâó ðіâíіñòü, àäæå äëÿ êîæíîãî çíà÷åííÿ çìіííîї x çíà÷åííÿ ëіâîї ÷àñòèíè ðіâíÿííÿ áóäå íà 1 ïåðåâèùóâàòè çíà÷åííÿ ïðàâîї éîãî ÷àñòèíè. Òîìó ðіâíÿííÿ êîðåíіâ íå ìàє. Рівносильні

Приклад 1.

Ðîçâ’ÿçàííÿ. 1) Êîðåíåì ðіâíÿííÿ є ÷èñëî 1, à êîðåíåì ðіâíÿííÿ – ÷èñëî 2. Òîìó ðіâíÿííÿ і íå є ðіâíîñèëüíèìè.

2) Êîæíå ç ðіâíÿíü і íå ìàє êîðåíіâ, òîìó öі ðіâíÿííÿ є ðіâíîñèëüíèìè.

3) Êîðåíåì ðіâíÿííÿ 18 – x  11 є ÷èñëî 7. Êîðåíåì ðіâíÿííÿ 21 : x  3 òàêîæ є ÷èñëî 7. Òîìó ðіâíÿííÿ 18 – x  11 і 21 : x  3 – ðіâíîñèëüíі. Âіäïîâіäü: 1) íі; 2), 3) òàê.

Äëÿ ðîçâ’ÿçóâàííÿ ðіâíÿíü âèêîðèñòîâóþòü âëàñòèâîñòі, ÿêі ïåðåòâîðþþòü ðі іâíîñèëüíі ї і

˳í³éí³ ð³âíÿííÿ ç îäí³ºþ çì³ííîþ 15
Ðîçãëÿíåìî ðіâíÿííÿ і . Êîæíå ç íèõ ìàє єäèíèé êîðіíü – ÷èñëî 4. Öі ðіâíÿííÿ є ðі
×è ðіâíîñèëüíі ðіâíÿííÿ: 1) і ;
– x; 3) 18 – x  11 і
: x 
рівняння
âíîñèëüíèìè.
2) x + 2  x і 2
x  5
21
3?
Властивості рівнянь

Ç’ÿñóâàòè, ÷è є ðіâíîñèëüíèìè ð

òÿì äóæîê ó éîãî ëіâіé ÷àñòèíі. 2) Ðіâíÿííÿ 3a + 2  5a – a –

âíÿííÿ:

îñêіëüêè äðóãå ðіâíÿííÿ îäåðæóєìî ç ïåðøîãî çâåäåííÿì ïîäіáíèõ äîäàíêіâ ó éîãî ïðàâіé ÷àñòèíі.

3) Ðіâíÿííÿ і – ðіâíîñèëüíі, îñêіëüêè äðóãå ðіâíÿííÿ îäåðæóєìî ç ïåðøîãî ïåðåíåñåííÿì äîäàíêà ç ïðàâîї ÷àñòèíè ðіâíÿííÿ â ëіâó çі çìіíîþ çíàêà öüîãî äîäàíêà íà ïðîòèëåæíèé.

4) Ðіâíÿííÿ 0,5b  1,5b – 3,5 і b  3b – 7 – ðіâíîñèëüíі, îñêіëüêè äðóãå ðіâíÿííÿ îäåðæóєìî øëÿõîì ìíîæåííÿ íà 2 îáîõ ÷àñòèí ïåðøîãî ðіâíÿííÿ.

Âіäïîâіäü: 1) – 4) òàê, ðіâíÿííÿ ð

ÒÅÌÀ 1 16
a + 2  4a – 7;
b
7.
îäåðæóєìî ç ïåðøîãî
7 і 3a + 2  4a – 7 – ðіâíîñèëüí
і
1) 2(x – 1)  5x і ; 2) 3a + 2  5a – a – 7 і 3
3) і ; 4) 0,5b  1,5b – 3,5 і b  3
Ðîçâ’ÿçàííÿ. 1) Ðіâíÿííÿ 2(x – 1)  5x і є ðіâíîñèëüíèìè, îñêіëüêè äðóãå ðіâíÿííÿ
ðîçêðèò-
і,
У ІХ ст. видатний арабський математик Мухаммед бен Муса Аль-Хорезмі у своєму трактаті «Кітаб аль-джебр аль-мукабала» зібрав і систематизував наявні на той час методи розв’язування рівнянь. Узятий з назви цієї книжки термін «аль-джебр» (у перекладі з арабської означає «відновлення») надалі став уживатися як «алгебра» і дав назву цілій науці. У ті часи, коли Аль-Хорезмі писав свій трактат, від’ємні числа вважалися хибними, несправжніми. Тому, коли від’ємне число переносили з однієї частини рівняння в іншу, змінюючи його знак, вважали, що воно «відновлюється» (стає додатним), тобто з несправжнього перетворюється на справжнє. Саме таке перетворення рівнянь Аль-Хорезмі й назвав «відновленням».
іâíîñèëüíі.
Приклад 2.

Аль-Хорезмі

ді вивчали європейці протягом ХІІ–ХVI ст. Подальший розвиток алгебри пов’язаний саме з європейськими вченими, зокрема з італійськими математиками епохи Відродження. До XIX ст. алгебра розвивалася як наука, що вивчає методи розв’язування рівнянь. Згодом вона значно збагатилася новими змістовими лініями: спрощення виразів, функції, розв’язування нерівностей тощо. І тепер рівняння – це лише одна

Ðîçâ '

1.1. (Óñíî.) ßêèé іç çàïèñіâ є ðіâíÿííÿì (âіäïîâіäü îáґðóíòóéòå): 1) 4x – 12 > 0; 2) 3x + 7; 3) 4x – 2  10; 4) (14 – 10) · 2  8?

1.2. (Óñíî.) ×è є ÷èñëî 4 êîðåíåì ðіâíÿííÿ: 1) 2x  8; 2) x – 2  3; 3) 2x – 3  6; 4) 32 : x  8?

1.3. ×è є ÷èñëî 3 ðîçâ’ÿçêîì ðіâíÿííÿ: 1) x + 5  8; 2) 2x  9; 3) x – 4  –1; 4) x : 3  0?

1.4. ßêå іç ÷èñåë є êîðåíåì ðіâíÿííÿ : 1) 0; 2) –1; 3) 1; 4) 3?

1.5. ×è є êîðåíåì ðіâíÿííÿ ÷èñëî: 1) 0; 2) 1; 3) –2; 4) –4?

1.6. Äîâåäіòü, ùî êîæíå іç ÷èñåë 1,2 òà –1,2 є êîðåíåì ðіâíÿííÿ x2  1,44.

1.7. ×è є ðіâíîñèëüíèìè ðіâíÿííÿ: 1) і ; 2) і ?

1.8. ×è є ðіâíîñèëüíèìè ðіâíÿííÿ: 1) і 2x  10; 2) і

˳í³éí³ ð³âíÿííÿ ç îäí³ºþ çì³ííîþ 17 Властивість взаємного знищення однакових доданків рівняння, що містилися в обох його частинах, Аль-Хорезмі назвав «протиставленням»
мовою – «аль-мукабал»)
першим відокремив алгебру від
й розглянув її як окрему математичну науку. Алгебру
-Хорезмі (783 – бл. 850) Що називають рівнянням? Що називають коренем
рівняння? Які рівняння називають рівносильни-
Які властивості використовують під час розв’язування
(арабською
Аль-Хорезмі
арифметики
в латинському перекла-
зі складових частин алгебри. Мухаммед бен Муса Аль
(або розв’язком) рівняння? Що означає розв’язати
ми?
рівнянь?
ÿæiòü çàäà÷i òà âèêîíàéòå âï ð àâ è

1.9. Äîâåäіòü, ùî:

1) êîðåíåì ðіâíÿííÿ 2(x – 3)  2x – 6 є áóäü-ÿêå ÷èñëî;

2) ðіâíÿííÿ y – 7  y íå ìàє êîðåíіâ.

1.10. Äîâåäіòü, ùî:

1) êîðåíåì ðіâíÿííÿ 3(2 – c)  6 – 3c є áóäü-ÿêå ÷èñëî;

2) ðіâíÿííÿ x  x + 8 íå ìàє êîðåíіâ.

1.11. Ñêëàäіòü ðіâíÿííÿ, ùî ìàє:

1) єäèíèé êîðіíü – ÷èñëî –2; 2) äâà êîðåíі – ÷èñëà 5 і –5.

1.12. Ç’ÿñóéòå, íå ðîçâ’ÿçóþ÷è ðіâíÿíü, ÷è є âîíè ðіâíîñèëüíèìè:

1) 4(x – 2)  19 і 4x – 8  19;

2) і 2x – 3x  5 + 3;

3) 8(x – 3)  40 і x – 3  5; 4) і

1.13. Óñòàíîâіòü, íå ðîçâ’ÿçóþ÷è, ÷è є ðіâíÿííÿ ðіâíîñèëüíèìè:

1) 8(x – 1)  5 і 8x – 8  5; 2) і 3x – 4x  –8 – 7; 3) 9(x + 2)  18 і x + 2  2; 4) і

1.14. ×è ìàє ðîçâ’ÿçêè ðіâíÿííÿ: 1) 2) 3) 4)

5) 0 · (x – 1)  3; 6) 5(x – 1)  5x – 5; 7) 0 : x  0; 8) 2(x – 3)  2x – 7? Âï ð à â è äëÿ ïî â òî ð åííÿ ðð

1.15. Îá÷èñëіòü: 1) ; 2) ; 3) ; 4) ; 5) ; 6) .

1.16. Çíàéäіòü: 1) 25 % âіä ÷èñëà 200; 2) 13 % âіä ÷èñëà 82; 3) 20,5 % âіä ÷èñëà 64; 4) 21 % âіä ÷èñëà .

ÒÅÌÀ 1 18

Æè òò є â à ìàòåìàò è ê à 1.17. Ùîá çàîùàäèòè íà åëåêòðîñïîæèâàííі, ó ðîäèíі âèðіøèëè âñòàíîâèòè äâîçîííèé ëі÷èëüíèê åëåêòðîåíåðãії. Îïëàòà çà åëåêòðîåíåðãіþ âíî÷і ñêëàäàє 50 % âіä îïëàòè â іíøèé ÷àñ. Ëі÷èëüíèê áóëî ïðèäáàíî çà 1500 ãðí, і ùå 500 ãðí áóëî

ñïëà÷åíî çà âñòàíîâëåííÿ òà âçÿòòÿ ëі÷èëüíèêà íà îáëіê. Ç ÷åðâíÿ 2023 ðîêó òàðèô äëÿ íàñåëåííÿ ñòàíîâèòü 2,64 ãðí çà 1 êÂò · ãîä. Ðîäèíà ùîìіñÿöÿ âèêîðèñòîâóє 500 êÂò · ãîä

åëåêòðîåíåðãії, ç íèõ 100 êÂò · ãîä – ó íі÷íèé ÷àñ. Çà äâîçîííèì ëі÷èëüíèêîì âàðòіñòü åëåêòðîåíåðãії, âèêîðèñòàíîї â íі÷íèé ÷àñ, îá÷èñëþєòüñÿ çà òàðèôîì 1,32 ãðí çà 1 êÂò · ãîä. ×åðåç ñêіëüêè ìіñÿöіâ ðîäèíà îêóïèòü óñòàíîâëåííÿ äâîçîííîãî ëі÷èëüíèêà?

1.18. Ïåðåíåñіòü ó ëіâó ÷àñòèíó ðіâíÿííÿ âñі äîäàíêè, ùî ìіñòÿòü çìіííó, à ó ïðàâó – óñі äîäàíêè, ÿêі її íå ìіñòÿòü: 1) 5ó + 11  8 – 3ó; 2) 6õ – 13  2õ + 7; 3) –2m – 13  –3m + 5; 4) –1 – 4x  17x7 – 8.

1.19. Ðîçâ’ÿæіòü ðіâíÿííÿ: 1) –3x  –21; 2) –2x  40; 3) 0,2x  –5; 4) 50x  –5.

1.20. ßêó îñòà÷ó ïðè äіëåííі íà 1001 äàє ÷èñëî 1 · 2 · 3 · 4 ·

˳í³éí³ ð³âíÿííÿ ç îäí³ºþ çì³ííîþ 19
îãî ìàòåðiàëó
Ï iäãîòóéòåñÿ äî â è â ÷åííÿ íî â
ðó Ö і êà â і çà ä à÷ і – ïîì і ð ê ó é î ä íà÷å äðóä
5 · 6 · 7 · 8 · 9 · 10 · 11 · 12 · 13 + 2000? § 2. Лiнiйне рiвняння з однiєю змiнною Лінійне рівняння з однією змінною та його розв’язування Ìè
ðîçâ’ÿçóâàòè ðіâíÿííÿ
–8; –0,01
. Êîæíå іç öèõ ðіâíÿíü ìàє âèãëÿä ax
,
çíàєìî, ÿê
2x 
x  17;
 b
äå x – çìіííà, a і b – äåÿêі ÷èñëà.

ßêùî a  0, òî ðіâíÿííÿ є ðіâíÿííÿì ïåðøîãî ñòåïåíÿ ç îäíіє þ çìіííîþ. Ïîäіëèâøè îáèäâі ÷àñòèíè òàêîãî ðіâíÿí-

íÿ íà a, ìàòèìåìî, ùî , òîáòî єäèíèì êîðåíåì öüîãî ðіâ-

íÿííÿ є ÷èñëî .

ßêùî a  b  0, òî ëіíіéíå ðіâíÿííÿ íàáóâàє âèãëÿäó . Éîãî

êîðåíåì є áóäü-ÿêå ÷èñëî, îñêіëüêè ïðè áóäü-ÿêîìó çíà÷åííі x çíà-

÷åííÿ ëіâîї і ïðàâîї ÷àñòèí ðіâíÿííÿ áóäóòü ìіæ ñîáîþ ðіâíèìè і äîðіâíþâàòèìóòü íóëþ. Òîìó ðіâíÿííÿ ìàє áåçëі÷ êîðåíіâ.

ßêùî , à b  0, ëіíіéíå ðіâíÿííÿ íàáóâàє âèãëÿäó . Ïðè öüîìó íå іñíóє æîäíîãî çíà÷åííÿ çìіííîї x, ÿêå á ïåðåòâîðþâàëî ëіâó òà ïðàâó ÷àñòèíè ðіâíÿííÿ íà îäíå é òå ñàìå ÷èñëî. Àäæå çíà÷åííÿ ëіâîї ÷àñòèíè ðіâíÿííÿ ïðè áóäü-ÿêîìó çíà÷åííі x äîðіâíþâàòèìå íóëþ, à çíà÷åííÿ ïðàâîї ÷àñòèíè – ÷èñëó b, âіäìіííîìó âіä íóëÿ. Òîìó ðіâíÿííÿ ïðè b  0 êîðåíіâ íå ìàє. Ñèñòåìàòèçóєìî äàíі ïðî ðîçâ’ÿçêè ëіíіéíîãî ðіâíÿííÿ , äå a і b – ÷èñëà, ó âèãëÿäі ñõåìè:

Приклад 1.

1) 0,2x  7; 2) 3)

Ðîçâ’ÿçàííÿ. 1) 0,2x  7; x  7 : 0,2; x  35. Âіäïîâіäü: 35. 2) x  –4. Âіäïîâіäü: –4. 3) 0x  7; ðіâíÿííÿ êîðåíіâ íå ìàє. Âіäïîâіäü: êîðåíіâ íåìàє.

2.

і ðіâíÿííÿ –2x  8 і 3x + b  11?

ÒÅÌÀ
20
1
Ðîçâ’ÿçàòè ðіâíÿííÿ:
Äëÿ
çíà÷åííÿ b ðі
ÿêîãî
âíîñèëüí
Приклад

Ðîçâ’ÿçàííÿ. 1) Ðîçâ’ÿæåìî ðіâíÿííÿ –2x  8. Ìàєìî x  8 : (–2); x  –4.

2) Ùîá ðіâíÿííÿ –2x  8 і 3x + b  11 áóëè ðіâíîñèëüíèìè, íåîáõіäíî, ùîá äðóãå ðіâíÿííÿ ìàëî єäèíèé êîðіíü, ùî äîðіâíþє

÷èñëó –4. Îñêіëüêè x  –4, òî ìàєìî –12 + b  11; b  23. Ëåãêî

ïåðåñâіä÷èòèñÿ â òîìó, ùî ðіâíÿííÿ 3x + 23  11 ìàє єäèíèé

êîðіíü, ùî äîðіâíþє –4. Âіäïîâіäü: 23.

Розв’язування рівнянь, що зводяться до лінійних

Ïðîöåñ ðîçâ’ÿçóâàííÿ áàãàòüîõ ðіâíÿíü є çâåäåííÿì öèõ ðіâíÿíü äî ëіíіéíèõ øëÿõîì ðіâíîñèëüíèõ ïåðåòâîðåíü çà âëàñòèâîñòÿìè ðіâíÿíü.

Приклад 3.

Ðîçâ’ÿçàòè ðіâíÿííÿ:

1) 3(x + 3) – 2x  6 – 4x; 2)

Ðîçâ’ÿçàííÿ.

1. Ïîçáóäåìîñÿ çíàìåííèêіâ (ÿêùî âîíè є):

1) 3(x + 3) – 2x  6 – 4x. 2)

Ïîìíîæèìî îáèäâі ÷àñòèíè ðіâíÿííÿ íà 6 (íà íàéìåíøèé ñïіëüíèé çíàìåííèê äðîáіâ). Ìàєìî: 3(x + 1) + 2(5 – x)  x + 13.

2. Ðîçêðèєìî äóæêè (ÿêùî âîíè є): 3x + 9 – 2x  6 – 4x. 3x + 3 + 10 – 2x  x + 13.

3. Ïåðåíåñåìî äîäàíêè, ùî ìіñòÿòü çìіííó, ó ó ëіâó ÷àñòèíó ðіâíÿííÿ, à іíøі – ó ïðàâó, ó çìіíèâøè çíàêè öèõ äîäàíêіâ íà ïðîòèëåæíі: 3x – 2x + 4x  6 – 9. 3x – 2x – x  13 – 3 – 10.

4. Çâåäåìî ïîäіáíі äîäàíêè: 5x  –3. 0x  0.

5. Ðîçâ’ÿæåìî îòðèìàíå ëіíіéíå ðіâíÿííÿ: x  –3 : 5; x  –0,6. x – áóäü-ÿêå ÷èñëî.

Âіäïîâіäü: –0,6. Âіäïîâіäü: áóäü-ÿêå ÷èñëî.

˳í³éí³
ç îäí³ºþ çì³ííîþ 21
ð³âíÿííÿ

Приклад 4.

Ðîçâ’ÿçàòè ðіâíÿííÿ 5(x + p)  3x – 7p, x – çìіííà.

Ðîçâ’ÿçàííÿ. Ðîçêðèєìî äóæêè â ëіâіé ÷àñòèíі ðіâíÿííÿ: 5x + 5p  3x – 7p.

Ïåðåíåñåìî äîäàíîê 3x ó ëіâó ÷àñòèíó, à 5p5 – ó ïðàâó.

Ìàòèìåìî: 5x – 3x  –7p7 – 5p, òîáòî 2x  –12p2 .

Òîäі x  (–12p2 ) : 2, òîáòî x  (–12 : 2)p) , îòæå, x  –6p6 .

Âіäïîâіäü: –6p6 .

Приклад 5.

Ðîçâ’ÿçàòè ðіâíÿííÿ .

Ðîçâ’ÿçàííÿ. Ùîá ìîäóëü äåÿêîãî âèðàçó äîðіâíþâàâ ÷èñëó 3, çíà÷åííÿ öüîãî âèðàçó ìàє äîðіâíþâàòè 3 àáî –3.

Ìàєìî

2x – 7  3; àáî 2x – 7  –3; 2x  10; 2x  4; x  5. x  2.

Âіäïîâіäü: 5; 2.

Яке рівняння називають лінійним

приклади лінійних рівнянь.

Коли рівняння ax  b має єдиний корінь?

Коли рівняння ax  b має безліч коренів?

Коли рівняння ax  b не має коренів?

2.1. (Óñíî.) ßêі ç ðіâíÿíü є ëіíіéíèìè: 1) 15x  0; 2) ; 3) x2  2x; 4) 0x  19; 5) x + 3  x2; 6) 0x  0?

2.2. (Óñíî.) Ñêіëüêè êîðåíіâ ìàє ðіâíÿííÿ: 1) 2x  –3; 2) 0x  7; 3) 0x  0?

2.3. Ç’ÿñóéòå, ÿêі ç äàíèõ ðіâíÿíü ìàþòü ëèøå îäèí êîðіíü, íå ìàþòü êîðåíіâ, ìàþòü áåçëі÷ êîðåíіâ: 1) –2x  –9; 2) 0x  0; 3) 0,42x  0; 4) 17  0x; 5) ; 6) 0x  –12.

ÒÅÌÀ 1 22
з однією змінною? Наведіть
рівнянням
Ðîçâ'ÿæiòü çàäà÷i òà âèêîíàéòå âï ð àâ è

2.4. (Óñíî.) Ðîçâ’ÿæіòü ðіâíÿííÿ: 1) –2x  –12; 2) 0,5x  –2,5; 3) –2,5x  7,5; 4) 5) 6) –

2.5. Ðîçâ’ÿæіòü ðіâíÿííÿ: 1) –3x  –21; 2) 3) 4) 50x  5; 5) 6) –0,01x  0,17; 7) 8) –1,2x  –4,2; 9)

2.6. Çíàéäіòü êîðіíü ðіâíÿííÿ: 1) 2x  –8; 2) 3) 4) –10x  –5; 5) 6) 0,1x  –0,18.

2.7. Âèçíà÷òå, ùî ìàє áóòè çàïèñàíî ó ïðàâіé ÷àñòèíі ðіâíÿííÿ çàìіñòü ïðîïóñêіâ, ÿêùî âіäîìî éîãî êîðіíü: 1) 8x  ...; 2) –9x  ...; 3) ; x  –9; x  0; x  12.

2.8. Çíàéäіòü êîðіíü ðіâíÿííÿ: 1) 2) 3) 4) 5) 6)

2.9. Ðîçâ’ÿæіòü ðіâíÿííÿ: 1) 2) 3) 4) 5) 6)

2.10. ßêå ç ðіâíÿíü ðіâíîñèëüíå ðіâíÿííþ 5x  10: 1) 2) 3) 4) x – 7  –5; 5) 6)

2.11. ×è є ðіâíÿííÿ ðіâíîñèëüíèìè: 1) і 2) і 3) і 4) і

îäí³ºþ çì³ííîþ 23
˳í³éí³ ð³âíÿííÿ ç

2.12. Äëÿ ÿêîãî çíà÷åííÿ x çíà÷åííÿ âèðàçó: 1) äîðіâíþє –2; 2) 4(x + 1) äîðіâíþє çíà÷åííþ âèðàçó ?

2.13. Äëÿ ÿêîãî çíà÷åííÿ y: 1) çíà÷åííÿ âèðàçó 5y – 13 äîðіâíþє –3; 2) çíà÷åííÿ âèðàçіâ 3(y – 2) і 13y – 8 ìіæ ñîáîþ ðіâíі?

2.14. Ðîçâ’ÿæіòü ðіâíÿííÿ: 1)

2.15. Çíàéäіòü êîðіíü ðіâíÿííÿ:

2.16. Ñêëàäіòü ëіíіéíå ðіâíÿííÿ, êîðåíåì ÿêîãî є ÷èñëî: 1) –2; 2) –0,2.

2.17. Ñêëàäіòü ëіíіéíå ðіâíÿííÿ: 1) ÿêå íå ìàє êîðåíіâ; 2) êîðåíåì ÿêîãî є áóäü-ÿêå ÷èñëî.

2.18. Ñêëàäіòü ëіíіéíå ðіâíÿííÿ, êîðåíåì ÿêîãî є: 1) ÷èñëî –8; 2) áóäü-ÿêå ÷èñëî.

2.19. Çíàéäіòü êîðіíü ðіâíÿííÿ: 1) 2) 3) 4)

2.20. Ðîçâ’ÿæіòü ðіâíÿííÿ: 1) 2) 3) 4)

2.21. Ðîçâ’ÿæіòü ðіâíÿííÿ і Çíàéäіòü äîáóòîê 10xy і äіçíàéòåñÿ ðіê çàñíóâàííÿ ×åðíіâåöüêîãî íàöіîíàëüíîãî óíіâåðñèòåòó.

2.22. Ðîçâ’ÿæіòü ðіâíÿííÿ і . Çíàéäіòü çíà÷åííÿ âèðàçó x + y + 1788 і äіçíàéòåñÿ ðіê çàñíóâàííÿ Õàðêіâñüêîãî íàöіîíàëüíîãî óíіâåðñèòåòó.

ÒÅÌÀ 1 24
2)
3) 4)
1) 2) 3) 4)

2.23. Ðîçâ’ÿæіòü ðіâíÿííÿ, äå x – çìіííà: 1) 2) 3) 4)

2.24. Ðîçâ’ÿæіòü ðіâíÿííÿ, äå x – çìіííà: 1) 2) 3) 4)

2.25. ×è є ðіâíîñèëüíèìè ðіâíÿííÿ: 1) і 2) і 3) і 4) і 5) і 6) і

2.26. Äëÿ ÿêîãî çíà÷åííÿ y çíà÷åííÿ âèðàçó: 1) óòðè÷і áіëüøå çà çíà÷åííÿ âèðàçó 2) íà 7,4 áіëüøå çà çíà÷åííÿ âèðàçó

2.27. Äëÿ ÿêîãî çíà÷åííÿ x çíà÷åííÿ âèðàçó: 1) óäâі÷і áіëüøå çà çíà÷åííÿ âèðàçó 2) íà 17,2 ìåíøå âіä çíà÷åííÿ âèðàçó

2.28. Ñêëàäіòü ðіâíÿííÿ, ÿêå áóëî á ðіâíîñèëüíèì ðіâíÿííþ 7(2x – 8)  5(7x7 – 8) – 15x.

2.29. Ðîçâ’ÿæіòü ðіâíÿííÿ: 1) + 3  7; 2) – 2  –9; 3) – 6  0; 4) ; 5) ; 6) ; 7) ; 8) ; 9) .

2.30. Ðîçâ’ÿæіòü ðіâíÿííÿ: 1) ; 2) + 1  –2; 3) – 4  0; 4) ; 5) ; 6) .

2.31. Äëÿ ÿêîãî çíà÷åííÿ a ðіâíÿííÿ: 1) ìàє êîðіíü, ùî äîðіâíþє 4; 2) ìàє êîðіíü, ùî äîðіâíþє 3) ìàє êîðіíü, ùî äîðіâíþє –1?

2.32. Äëÿ ÿêîãî çíà÷åííÿ b êîðåíåì ðіâíÿííÿ: 1) є ÷èñëî –4; 2) є ÷èñëî 3?

˳í³éí³
ç îäí³ºþ çì³ííîþ 25
ð³âíÿííÿ

2.33. Ðîçâ’ÿæіòü ðіâíÿííÿ: 1) 2) .

2.34. Çíàéäіòü êîðіíü ðіâíÿííÿ: 1) 2)

2.35. Ðîçâ’ÿæіòü ðіâíÿííÿ: 1) 2) 3) 4) ; 5) 6) .

2.36. Çíàéäіòü êîðіíü ðіâíÿííÿ: 1) 2) 3) 4)

2.37. Çà ÿêîãî çíà÷åííÿ b ðіâíÿííÿ ìàþòü îäíàêîâі êîðåíі: 1) і 2) і

2.38. Äëÿ ÿêîãî çíà÷åííÿ a ðіâíÿííÿ ìàþòü îäíàêîâі êîðåíі: 1) 2x – 3  7 і a – 3x  9; 2) x + a  7 і 3x – a  2x?

2.39. Çíàéäіòü óñі öіëі çíà÷åííÿ m, äëÿ ÿêèõ êîðіíü ðіâíÿííÿ є öіëèì ÷èñëîì.

2.40. Çíàéäіòü óñі öіëі çíà÷åííÿ b, äëÿ ÿêèõ êîðіíü ðіâíÿííÿ є íàòóðàëüíèì ÷èñëîì.

2.41. Äëÿ ÿêîãî çíà÷åííÿ a íå ìàє êîðåíіâ ðіâíÿííÿ: 1) (a – 1)x  5; 2) (a + 3)x  a – 2; 3) (a – 4)x  a – 4?

ÒÅÌÀ 1 26

2.42. Äëÿ ÿêîãî çíà÷åííÿ b íå ìàє ðîçâ’ÿçêіâ ðіâíÿííÿ:

1) (b + 1)x  6; 2) (b – 3)x  b; 3) (b + 1)x  b + 1?

2.43. Äëÿ ÿêîãî çíà÷åííÿ m áóäü-ÿêå ÷èñëî є êîðåíåì ðіâíÿííÿ:

1) (m – 1)x  1 – m; 2) m(m + 2)x  (m + 2); 3) (m – 3)x  5?

2.44. Äëÿ ÿêîãî çíà÷åííÿ a ìàє áåçëі÷ êîðåíіâ ðіâíÿííÿ:

1) (a + 2)x  2 + a; 2) (a – 3)x  9; 3) a(a – 4)x  4 – a?

2.45. Ðîçâ’ÿæіòü ðіâíÿííÿ, äå x – çìіííà: 1) (b + 1)x  7; 2) (5 – b)x  b – 5; 3) .

2.46. Ðîçâ’ÿæіòü ðіâíÿííÿ: 1) + 4x  15; 2) – x  24.

2.47. Çíàéäіòü çíà÷åííÿ âèðàçó:

1) 4a + 12b + 8a, ÿêùî a  –13, b  13; 2) (3x – 2x)(5m + 4m), ÿêùî x  , m  .

2.48. Çíàéäіòü ÷èñëî, ÿêùî:

1) 15 % éîãî äîðіâíþþòü 300; 2) 11 % éîãî äîðіâíþþòü 28,16.

2.49. Çâåäіòü ïîäіáíі äîäàíêè:

1) 7x7 – 2y + 3x + 17y7 ; 2) –5,2 + 17a7 + 4,9 – 12a; 3) –5x + 7 – 2y + 5x – 12y; 4) .

2.50. Ðîçêðèéòå äóæêè і ñïðîñòіòü âèðàç: 1) a – (a – (2a – 8)); 2) 5m – ((n – m) + 3n); 3) 15a – (2a – (3a – (a + 1))); 4) b – (b – ((b – a) – 2a)).

Æè òò є â à ìàòåìàò è ê à

2.51. Äîáîâà äîçà âіòàìіíó Ñ äëÿ äîðîñëîї ëþäèíè ñòàíîâèòü 0,05 ã. Ó 100 ã ÿãіä ìàëèíè ìіñòèòüñÿ ìàéæå 25 ìã âіòàìіíó Ñ (1 ìã  0,001 ã).

1) Âèçíà÷òå, ñêіëüêè ãðàìіâ âіòàìіíó Ñ ìіñòèòüñÿ â 1 êã ÿãіä ìàëèíè.

2) Ñêіëüêè äîáîâèõ äîç âіòàìіíó Ñ ìîæå çàìіíèòè äîðîñëіé ëþäèíі 1 êã ÿãіä ìàëèíè?

ç îäí³ºþ çì³ííîþ 27
˳í³éí³ ð³âíÿííÿ
Âï ð à â è äëÿ ïî
ðð
â òî ð åíí ÿ

Ï iäãîò ó éòåñÿ äî â è â ÷åííÿ íî â îãî ìàòåðiàë ó

2.52. Îäíå ÷èñëî íà 6 ìåíøå âіä іíøîãî. Ìåíøå іç ÷èñåë ïîçíà÷åíî ÷åðåç õ. Âèðàçіòü ÷åðåç õ іíøå ÷èñëî.

2.53. Îäíå ÷èñëî â 4 ðàçè áіëüøå çà іíøå. Ìåíøå іç ÷èñåë ïîçíà÷åíî ÷åðåç õ. Âèðàçіòü ÷åðåç õ іíøå ÷èñëî.

2.54. Íà äâîõ êëóìáàõ ðàçîì ðîñòå 62 òþëüïàíè, äî òîãî æ íà îäíіé êëóìáі íà 6 òþëüïàíіâ ìåíøå, íіæ íà іíøіé. Ñêіëüêè òþëüïàíіâ ðîñòå íà êîæíіé êëóìáі?

рівнянь. Рівняння як математична модель задачі Математична модель задачі

Ùîá ðîçâ’ÿçàòè çàäà÷ó ïðàêòè÷íîãî çìіñòó, äîöіëüíî ñïî÷àòêó

ñòâîðèòè її ìàòåìàòè÷íó ìîäåëü, òîáòî çàïèñàòè çàëåæíіñòü ìіæ âіäîìèìè òà íåâіäîìèìè âåëè÷èíàìè çà äîïîìîãîþ ìàòåìàòè÷íèõ ïîíÿòü, âіäíîøåíü, ôîðìóë, ðіâíÿíü òîùî.

Розв’язування текстових задач за допомогою рівнянь

Ðîçãëÿíåìî òåêñòîâі çàäà÷і, ìàòåìàòè÷íèìè ìîäåëÿìè ÿêèõ

є ëіíіéíі ðіâíÿííÿ òà ðіâíÿííÿ, ùî çâîäÿòüñÿ äî íèõ.

Ðîçâ’ÿçóâàòè çàäà÷ó çà äîïîìîãîþ ðіâíÿííÿ ñëіä ó òàêіé ïîñëіäîâíîñòі:

ÒÅÌÀ 1 28
2.55.
іäîìî, ùî x + y  13. Äëÿ ÿêèõ íàòóðàëüíèõ
§
за допомогою лінійних
ðó Ö і êà â і çà ä à÷ і – ïîì і ð ê ó é î ä íà÷å äðóä
Â
çíà÷åíü x і y âèðàç xy íàáóâàє íàéáіëüøîãî çíà÷åííÿ?
3. Розв’язування задач

Ðîçãëÿíåìî êіëüêà çàäà÷ і ðîçâ’ÿæåìî їõ çà äîïîìîãîþ ëіíіéíîãî ðіâíÿííÿ.

Приклад 1.

Íà ñâіé äåíü íàðîäæåííÿ ñåñòðè÷êè-áëèçíþ÷êè Íàòàëÿ òà Îëåíà îòðèìàëè ðàçîì 127 âіòàëüíèõ SMS-ïîâіäîìëåíü, ïðè÷îìó Íàòàëÿ îòðèìàëà íà 13 ïîâіäîìëåíü áіëüøå, íіæ Îëåíà. Ñêіëüêè SMS-ïîâіäîìëåíü íà ñâіé äåíü íàðîäæåí-

íÿ îòðèìàëà êîæíà ñåñòðè÷êà?

Ðîçâ’ÿçàííÿ. Íåõàé Îëåíà îòðèìàëà x ïîâіäîìëåíü, òîäі Íàòàëÿ – . À îáèäâі ðàçîì – ïîâіäîìëåíü, ùî çà

óìîâîþ äîðіâíþє 127.

Ìàєìî ðіâíÿííÿ: Çâіäêè

Îòæå, Îëåíà îòðèìàëà 57 ïîâіäîìëåíü, (ïîâіä.) – îòðèìàëà Íàòàëÿ.

Âіäïîâіäü: 70 ïîâіäîìëåíü; 57 ïîâіäîìëåíü.

Приклад 2.

Ìàêñèìàëüíî äîïóñòèìèé ðîçìіð êðåäèòó áàíê îá-

÷èñëþє çà ôîðìóëîþ:

äå S – ñóìà êðåäèòó, C – ñåðåäíüîìіñÿ÷íà çàðïëàòà ïîçè÷àëüíèêà. Äëÿ êðåäèòó òåðìіíîì â îäèí ðіê ââàæàþòü, ùî , òåðìіíîì ó äâà ðîêè – , òåðìіíîì ó òðè ðîêè – . ßêèé íàéìåíøèé ðîçìіð ñåðåäíüîìіñÿ÷íîї çàðïëàòè ìàє áóòè

â ïîçè÷àëüíèêà, ùîá áàíê íàäàâ éîìó êðåäèò ó ñóìі 30 000 ãðí íà: 1) 1 ðіê; 2) 2 ðîêè; 3) 3 ðîêè?

Ðîçâ’ÿçàííÿ. Çà óìîâîþ ãðí. Íåõàé íàéìåíøèé ðîçìіð ñåðåäíüîìіñÿ÷íîї çàðïëàòè ïîçè÷àëüíèêà – x ãðí.

1) Ìàєìî ðіâíÿííÿ: çâіäêè

Îòæå, ñåðåäíüîìіñÿ÷íà çàðïëàòà ïîçè÷àëüíèêà ìàє áóòè íå ìåíøå íіæ 10 000 ãðí.

2) Ìàєìî ðіâíÿííÿ: çâіäêè x  4285,7.

Îòæå, ñåðåäíüîìіñÿ÷íà çàðïëàòà ìàє áóòè íå ìåíøå íіæ 4286 ãðí.

3) Ìàєìî ðіâíÿííÿ: çâіäêè x  2727,3.

Îòæå, ñåðåäíüîìіñÿ÷íà çàðïëàòà ìàє áóòè íå ìåíøå íіæ 2728 ãðí.

Âіäïîâіäü: 1) 10 000 ãðí; 2) 4286 ãðí; 3) 2728 ãðí.

˳í³éí³
ç îäí³ºþ çì³ííîþ 29
ð³âíÿííÿ

Приклад 3.

Ç ìіñòà A äî ìіñòà B, âіäñòàíü ìіæ ÿêèìè 310 êì, âèїõàëà âàíòàæіâêà. ×åðåç 30 õâ ïіñëÿ öüîãî ç ìіñòà B äî ìіñòà A âèїõàâ ëåãêîâèê. Âàíòàæіâêà і ëåãêîâèê çóñòðіëèñÿ ÷åðåç

2 ãîä ïіñëÿ âèїçäó ëåãêîâèêà. Çíàéòè øâèäêіñòü êîæíîї іç öèõ

àâòіâîê, ÿêùî øâèäêіñòü ëåãêîâèêà íà 20 êì/ãîä áіëüøà çà

øâèäêіñòü âàíòàæіâêè.

õ êì/ãîä (õ + 20) êì/ãîä A B

Ðîçâ’ÿçàííÿ. Íåõàé øâèäêіñòü âàíòàæіâêè – x êì/ãîä. Óìîâó

çàäà÷і çðó÷íî ïîäàòè ó âèãëÿäі òàáëèöі:

Ó÷àñíèêè ðóõó v, êì/ãîä t, ãîä s, êì

Âàíòàæіâêà x 2,5 2,5x 310 êì

Ëåãêîâèê x + 20 2 2(x + 20)

Îñêіëüêè àâòіâêè âèїõàëè íàçóñòðі÷ îäíà îäíіé і çóñòðіëèñÿ, òî

ðàçîì âîíè ïîäîëàëè 310 êì.

Ìàєìî ðіâíÿííÿ:

Ðîçâ’ÿæåìî éîãî: 2,5x + 2x + 40  310; 4,5x  270; x  60 (êì/ãîä) – øâèäêіñòü âàíòàæіâêè; 60 + 20  80 (êì/ãîä) – øâèäêіñòü ëåãêîâèêà.

Âіäïîâіäü: 60 êì/ãîä; 80 êì/ãîä.

Якої послідовності дій слід дотримуватися, розв’язуючи задачу за допомогою рівняння?

Ðîçâ ' ÿæiòü çàäà÷i òà âèêîíàéòå âï ð àâ è

3.1. (Óñíî.) Îäíå ÷èñëî íà 30 áіëüøå çà іíøå. Ìåíøå ç íèõ ïîçíà÷åíî ÷åðåç x. Âèðàçіòü ÷åðåç x áіëüøå іç öèõ ÷èñåë.

3.2. (Óñíî.) Îäíå äîäàòíå ÷èñëî â 4 ðàçè áіëüøå çà іíøå. Ìåíøå ç íèõ ïîçíà÷åíî ÷åðåç x. Âèðàçіòü ÷åðåç x áіëüøå іç öèõ ÷èñåë.

3.3. Íà ïåðøіé êëóìáі ðîñòå x êóùіâ òðîÿíä, à íà äðóãіé – óòðè÷і áіëüøå. Âèðàçіòü ÷åðåç x êіëüêіñòü êóùіâ òðîÿíä, ùî ðîñòóòü íà äðóãіé êëóìáі.

ÒÅÌÀ 1 30
310
êì

3.4. (Óñíî.) Âіäñòàíü, ùî äîðіâíþє x êì, âåëîñèïåäèñòêà äîëàє çà 3 ãîä. Âèðàçіòü ÷åðåç x øâèäêіñòü її ðóõó.

3.5. (Óñíî.) Ïåðøå ÷èñëî ïîçíà÷èëè ÷åðåç x, à äðóãå ÷èñëî ñòàíîâèòü ÷âåðòü âіä ïåðøîãî. Âèðàçіòü äðóãå ÷èñëî ÷åðåç x.

3.6. Ïåðøå ÷èñëî äîðіâíþє x, à äðóãå ÷èñëî ñòàíîâèòü 60 % âіä ïåðøîãî. Âèðàçіòü ÷åðåç x äðóãå ÷èñëî.

3.7. (Óñíî.) Ñóìà äîâæèí äâîõ âі äðіçêіâ äîðіâíþє 16 ñì. Äîâæèíà îäíîãî ç íèõ x ñì. Âèðàçіòü ÷åðåç x äîâæèíó іíøîãî âі äðіçêà.

3.8. (Óñíî.) Âëàñíà øâèäêіñòü ÷îâíà äîðіâíþє 24 êì/ãîä, à øâèäêіñòü òå÷ії – x êì/ãîä. Âèðàçіòü ÷åðåç x øâèäêіñòü ÷îâíà çà òå÷ієþ і ïðîòè òå÷ії.

3.9. Çàãàäàëè ÷èñëî. ßêùî âі ä íüîãî âі äíÿòè 7 і îäåðæàíèé ð åçóëüòàò ïîä і ëèòè íà 9, òî ìàòèìåìî 12. ßêå ÷èñëî çàãàäàëè?

3.10. Çíàéäіòü ÷èñëî, ïîëîâèíà ÿêîãî ðàçîì ç éîãî òðåòèíîþ äîðіâíþє 40.

3.11. Ó äâîõ öèñòåðíàõ ðàçîì 64 ò ïàëüíîãî, ïðè÷îìó â ïåðøіé íà 4 ò ìåíøå, íіæ ó äðóãіé. Ñêіëüêè òîíí ïàëüíîãî â êîæíіé öèñòåðíі?

3.12. Â àâòîïàðêó âàíòàæіâîê ó 6 ðàçіâ áіëüøå, íіæ ëåãêîâèêіâ. Ñêіëüêè ëåãêîâèêіâ ó àâòîïàðêó, ÿêùî їõ ðàçîì ç âàíòàæіâêàìè íàëі÷óєòüñÿ 91?

3.13. Îäíå ç äâîõ äîäàòíèõ ÷èñåë óòðè÷і áіëüøå çà іíøå. Çíàéäіòü öі ÷èñëà, ÿêùî їõíÿ ðіçíèöÿ äîðіâíþє 32.

3.14. Áàáóñі ðàçîì ç ìàìîþ 99 ðîêіâ. Ñêіëüêè ðîêіâ êîæíіé ç íèõ, ÿêùî áàáóñÿ ñòàðøà çà ìàìó íà 25 ðîêіâ?

3.15. Ñóìà äâîõ ÷èñåë 240, à їõ âіäíîøåííÿ äîðіâíþє 5 : 7. Çíàéäіòü öі ÷èñëà.

3.16. Ðіçíèöÿ äâîõ ÷èñåë 36, à їõ âіäíîøåííÿ äîðіâíþє 7 : 4. Çíàéäіòü öі ÷èñëà.

3.17. Ïåðèìåòð òðèêóòíèêà äîðіâíþє 20 äì. Äâі éîãî ñòîðîíè ìіæ ñîáîþ ðіâíі, і êîæíà ç íèõ íà 1 äì áіëüøà çà òðåòþ. Çíàéäіòü ñòîðîíè òðèêóòíèêà.

3.18. Çà äâà äíі áóëî ïðîäàíî 384 êã áàíàíіâ, ïðè÷îìó äðóãîãî äíÿ ïðîäàëè âіä òîãî, ùî ïðîäàëè ïåðøîãî. Ñêіëüêè êіëîãðàìіâ áàíàíіâ ïðîäàëè ïåðøîãî äíÿ і ñêіëüêè – äðóãîãî?

˳í³éí³ ð³âíÿííÿ ç îäí³ºþ çì³ííîþ 31

3.19. Òóðèñòè÷íà ãðóïà çà äðóãèé äåíü ïîäîëàëà âіä òієї âіäñòàíі, ÿêó ïîäîëàëà ïåðøîãî äíÿ. Ñêіëüêè êіëîìåòðіâ ïîäîëàëà òóðèñòè÷íà ãðóïà ïåðøîãî äíÿ і ñêіëüêè – äðóãîãî, ÿêùî çà ïåðøèé äåíü áóëî ïîäîëàíî íà 3 êì áіëüøå, íіæ çà äðóãèé?

3.20. Áàáóñÿ ëіïèëà âàðåíèêè ïðîòÿãîì äâîõ ãîäèí. Çà äðóãó ãîäèíó âîíà âèëіïèëà íà 5 % áіëüøå âàðåíèêіâ, íіæ çà ïåðøó. Ñêіëüêè âàðåíèêіâ âèëіïèëà áàáóñÿ çà ïåðøó ãîäèíó і ñêіëüêè – çà äðóãó, ÿêùî çà äðóãó ãîäèíó âîíà âèëіïèëà

íà 3 âàðåíèêè áіëüøå, íіæ çà ïåðøó?

3.21. Çà ïðàëüíó ìàøèíó òà її ïіäêëþ÷åííÿ çàïëàòèëè 11 760 ãðí. Âàðòіñòü ïіäêëþ÷åííÿ ñòàíîâèòü 5 % âіä âàðòîñòі ìàøèíè. Ñêіëüêè êîøòóє ïðàëüíà ìàøèíà?

3.22. Çà 2 ãîä ìîòîöèêëіñò äîëàє òàêó ñàìó âіäñòàíü, ùî é âåëîñèïåäèñòêà çà 5 ãîä. Øâèäêіñòü ìîòîöèêëіñòà íà 27 êì/ãîä áіëüøà çà øâèäêіñòü âåëîñèïåäèñòêè. Çíàéäіòü øâèäêіñòü êîæíîãî ç íèõ.

3.23. ßùèê ç àïåëüñèíàìè íà 3 êã âàæ÷èé çà ÿùèê ç ëèìîíàìè. ßêà ìàñà êîæíîãî ç íèõ, ÿêùî ìàñà ÷îòèðüîõ ÿùèêіâ ç àïåëüñèíàìè òàêà ñàìà, ÿê ìàñà ï’ÿòè ÿùèêіâ ç ëèìîíàìè?

3.24. Ç ìіñòà äî ñåëà òóðèñò іøîâ çі øâèäêіñòþ 4 êì/ãîä, à ïîâåðòàâñÿ íàçàä çі øâèäêіñòþ 3 êì/ãîä. Íà âåñü øëÿõ âіí âèòðàòèâ 7 ãîä. Çíàéäіòü âіäñòàíü âіä ìіñòà äî ñåëà.

3.25. Ïåðèìåòð ïðÿìîêóòíèêà äîðіâíþє 36 ñì, ïðè÷îìó îäíà ç éîãî ñòîðіí íà 4 ñì áіëüøà çà іíøó. Çíàéäіòü ñòîðîíè ïðÿìîêóòíèêà òà éîãî ïëîùó.

3.26. Ïіä ÷àñ ëіòíіõ êàíіêóë Ñåðãіé ïðî÷èòàâ óäâі÷і áіëüøå îïîâіäàíü, íіæ Êîñòÿ. Ïðîòå ïðîòÿãîì âåðåñíÿ Êîñòÿ âñòèã ïðî÷èòàòè ùå 24 îïîâіäàííÿ, ïіñëÿ ÷îãî âèÿâèëîñÿ, ùî õëîïöі ïðî÷èòàëè îäíàêîâó êіëüêіñòü îïîâіäàíü. Ñêіëüêè îïîâіäàíü ïðî÷èòàâ êîæåí ç õëîïöіâ äî ïî÷àòêó íàâ÷àëüíîãî ðîêó?

3.27. Ó Ìàðіéêè áóëî âòðè÷і áіëüøå ãðîøåé, íіæ ó Îëі. Ïіñëÿ òîãî ÿê Ìàðіéêà âèòðàòèëà 18 ãðí, ãðîøåé ó äіâ÷àò ñòàëî ïîðіâíó. Ñêіëüêè ãðîøåé ìàëà êîæíà ç äіâ÷àò ñïî÷àòêó? 3.28. Ìåðåæà êîíäèòåðñüêèõ äî ðі÷íèöі ñâîãî âіäêðèòòÿ äàðóâàëà âіäâіäóâà÷àì íàáîðè ñîëîäîùіâ òîðãîâèõ ìàðîê «Äîáðå», «Ñîëîäêî» òà «Ñìà÷íî». Íàïðèêіíöі ñâÿòêóâàííÿ ç’ÿñóâàëîñÿ, ùî íàáîðіâ «Ñîëîäêî» áóëî ïîäàðîâàíî íà 12 áіëüøå, íіæ íàáîðіâ «Äîáðå», à íàáîðіâ «Ñìà÷íî» – íà 31 áіëü-

ÒÅÌÀ 1 32

øå, íіæ «Ñîëîäêî». Ïî ñêіëüêè íàáîðіâ êîæíîї ìàðêè áóëî ïîäàðîâàíî, ÿêùî âіäâіäóâà÷іâ áóëî 430 і êîæåí ç íèõ îòðèìàâ ïî îäíîìó íàáîðó?

3.29. Îäíà ñòîðîíà òðèêóòíèêà íà 9 ñì ìåíøà âіä äðóãîї і âäâі÷і ìåíøà âіä òðåòüîї. Çíàéäіòü ñòîðîíè òðèêóòíèêà, ÿêùî éîãî ïåðèìåòð äîðіâíþє 105 ñì.

3.30. ×è ìîæíà ðîçêëàñòè 68 áàíîê êîíñåðâіâ ó òðè ÿùèêè òàê, ùîá ó äðóãîìó ÿùèêó áóëî âäâі÷і áіëüøå áàíîê, íіæ ó ïåðøîìó, à â òðåòüîìó – íà 3 áàíêè ìåíøå, íіæ ó ïåðøîìó?

3.31. ×è ìîæíà 90 êíèæîê ðîçìіñòèòè íà òðüîõ ïîëèöÿõ òàê, ùîá íà òðåòіé áóëî íà 3 êíèæêè áіëüøå, íіæ íà äðóãіé, і íà 5 êíèæîê ìåíøå, íіæ íà ïåðøіé?

3.32. Áàòüêîâі çàðàç – 38 ðîêіâ, à éîãî ñèíîâі – 10. ×åðåç ñêіëüêè ðîêіâ áàòüêî áóäå âòðè÷і ñòàðøèé çà ñèíà?

3.33. Íà ïåðøіé äіëÿíöі êóùіâ à ґðóñó âòðè÷і áіëüøå, íіæ íà äðóãіé. ßêùî ç ïåðøîї äіëÿíêè ïåðåñàäèòè 12 êóùіâ íà äðóãó, òî êóùіâ à ґðóñó íà îáîõ äіëÿíêàõ ñòàíå ïîðіâíó. Ñêіëüêè êóùіâ à ґðóñó ðîñòå íà êîæíіé äіëÿíöі? 3.34. Ó äâîõ êîðïóñàõ ïàíñіîíàòó ïðîæèâàëà îäíàêîâà êіëüêіñòü âіäïî÷èâàëüíèêіâ. Ó çâ’ÿçêó ç ïðîâåäåííÿì ðåìîíòó áóëî

âèðіøåíî ïåðåñåëèòè 24 âіäïî÷èâàëüíèêè ç ïåðøîãî êîðïóñó äî äðóãîãî, ïіñëÿ ÷îãî êіëüêіñòü âіäïî÷èâàëüíèêіâ ó ïåðøîìó êîðïóñі ñòàëà â 4 ðàçè ìåíøîþ, íіæ ó äðóãîìó. Ïî

ñêіëüêè âіäïî÷èâàëüíèêіâ ïðîæèâàëî â êîæíîìó êîðïóñі äî

ïî÷àòêó ðåìîíòíèõ ðîáіò?

3.35. Ó äâîõ ìіøêàõ öóêðó áóëî ïîðіâíó. Ïіñëÿ òîãî ÿê ç ïåðøîãî ìіøêà ïåðåñèïàëè 8 êã äî äðóãîãî, ó íüîìó ñòàëî âäâі÷і ìåíøå öóêðó, íіæ ó äðóãîìó. Ïî ñêіëüêè êіëîãðàìіâ öóêðó áóëî â êîæíîìó ìіøêó ñïî÷àòêó?

3.36. Íà 440 ãðèâåíü áóëî ïðèäáàíî 25 çîøèòіâ ó êëіòèíêó і ëіíіéêó. Âàðòіñòü çîøèòà â ëіíіéêó – 17 ãðí, à ó êëіòèíêó –18 ãðí. Ïî ñêіëüêè çîøèòіâ êîæíîãî âèäó ïðèäáàëè?

3.37. Äëÿ ñâÿòà ïðèäáàëè 12 êîðîáîê öóêåðîê ïî 55 ãðí і ïî 62,5 ãðí çà îäèíèöþ, óñüîãî íà ñóìó 697,5 ãðí. Ïî ñêіëüêè êîðîáîê êîæíîãî âèäó ïðèäáàëè?

3.38. Ñòàðîâèííà ãðåöüêà çàäà÷à. Ó Ïіôàãîðà çàïèòàëè: «Ñêіëüêè ó÷íіâ íàâ÷àєòüñÿ ó òâîїé øêîëі?» Íà ùî âіí âіäïîâіâ: «Ïîëîâèíà âñіõ ìîїõ ó÷íіâ âèâ÷àє ìàòåìàòèêó, ÷âåðòü – ìóçèêó, ñüîìà ÷àñòèíà ìîâ÷èòü, і, îêðіì òîãî, є ùå òðè æіíêè». Ñêіëüêè ó÷íіâ íàâ÷àëîñÿ ó øêîëі Ïіôàãîðà?

˳í³éí³ ð³âíÿííÿ ç îäí³ºþ çì³ííîþ 33

3.39. Ìàñà áіäîíà ç ìîëîêîì ñòàíîâèòü 25 êã і ùå ïîëîâèíó éîãî ìàñè. ßêà ìàñà áіäîíà ç ìîëîêîì?

3.40. âіä ïåðøîãî ÷èñëà äîðіâíþє âіä äðóãîãî. Çíàéäіòüöі ÷èñëà, ÿêùî їõíÿ ñóìà äîðіâíþє 66.

3.41. 60 % âіä ïåðøîãî ÷èñëà äîðіâíþþòü 45 % âіä äðóãîãî. Çíàéäіòü öі ÷èñëà, ÿêùî їõíÿ ñóìà äîðіâíþє 210.

3.42. ×îâåí âèòðàòèâ íà øëÿõ çà òå÷ієþ 2,5 ãîä, à ïðîòè òå÷ії –

3,6 ãîä. Âіäñòàíü, ÿêó ïðîïëèâ ÷îâåí çà òå÷ієþ, âèÿâèëàñÿ íà 7,6 êì ìåíøîþ, íіæ âіäñòàíü, ÿêó âіí ïðîïëèâ ïðîòè òå÷ії. Çíàéäіòü âëàñíó øâèäêіñòü ÷îâíà, ÿêùî øâèäêіñòü òå÷ії äîðіâíþє 2 êì/ãîä.

3.43. Êàòåð çà òå÷ієþ ðі÷êè ïëèâ 1,6 ãîä, à ïðîòè òå÷ії – 2,5 ãîä. Âіäñòàíü, ÿêó ïîäîëàâ êàòåð ïðîòè òå÷ії, âèÿâèëàñÿ íà 6,2 êì áіëüøîþ, íіæ âіäñòàíü, ÿêó ïîäîëàâ êàòåð çà òå÷ієþ. Çíàéäіòü øâèäêіñòü òå÷ії, ÿêùî âëàñíà øâèäêіñòü êàòåðà äîðіâíþє 16 êì/ãîä.

3.44. Ç ïóíêòó A äî ïóíêòó B çі øâèäêіñòþ 12 êì/ãîä âèїõàâ âåëîñèïåäèñò. ×åðåç 3 ãîä ç ïóíêòó B äî ïóíêòó A âèїõàëà ìîòîöèêëіñòêà çі øâèäêіñòþ 45 êì/ãîä. Ñêіëüêè ãîäèí äî çóñòðі÷і ç ìîòîöèêëіñòêîþ їõàâ âåëîñèïåäèñò, ÿêùî âіäñòàíü âіä A äî B ñòàíîâèòü 235,5 êì? Íà ÿêіé âіäñòàíі âіä ïóíêòó A âіäáóëàñÿ їõíÿ çóñòðі÷?

3.45. Ç êîòåäæíîãî ìіñòå÷êà â íàïðÿìêó çàëіçíè÷íîї ñòàíöії çі

øâèäêіñòþ 14 êì/ãîä âèїõàëà âåëîñèïåäèñòêà, à ÷åðåç 2 ãîä ïіñëÿ íåї çâіäòè ñàìî, àëå ó ïðîòèëåæíîìó íàïðÿìêó, çі

øâèäêіñòþ 4 êì/ãîä âèéøîâ ïіøîõіä. ×åðåç ñêіëüêè ãîäèí ïіñëÿ ñâîãî âèõîäó ïіøîõіä áóäå íà âіäñòàíі 73 êì âіä âåëîñèïåäèñòêè? Íà ÿêіé âіäñòàíі âіä êîòåäæíîãî ìіñòå÷êà â öåé ÷àñ âіí ïåðåáóâàòèìå?

3.46. Ïåðøèé êàâóí íà 5 êã ëåãøèé çà äðóãèé і âòðè÷і ëåãøèé çà òðåòіé. Ïåðøèé і òðåòіé êàâóíè ðàçîì óäâі÷і âàæ÷і çà äðóãèé. Çíàéäіòü ìàñó êîæíîãî êàâóíà.

3.47. Ïіä ÷àñ ïіäãîòîâêè äî îëіìïіàäè ç ìàòåìàòèêè Іâàí ðîçâ’ÿçàâ íà 3 çàäà÷і ìåíøå, íіæ Îêñàíà, і ó 2 ðàçè ìåíøå, íіæ Ñåðãіé. Ïðè öüîìó Іâàí і Ñåðãіé ðàçîì ðîçâ’ÿçàëè ó 2,1 ðàçà áіëüøå çàäà÷, íіæ Îêñàíà. ßêó êіëüêіñòü çàäà÷ ðîçâ’ÿçàâ êîæåí ç ó÷íіâ, ãîòóþ÷èñü äî îëіìïіàäè?

ÒÅÌÀ 1 34

 ï ð à â è äëÿ ïî â òî ð åíí ÿ ðð

3.48. Îá÷èñëіòü: 1) 2) 3) 4) 5)

3.49. Ñêіëüêè âіäñîòêіâ ñêëàäàє: 1) ÷èñëî 7 âіä ÷èñëà 28; 2) ÷èñëî 2,7 âіä ÷èñëà

3.50. Ïîÿñíіòü, ÷îìó íå ìàþòü ðîçâ’ÿçêіâ ðіâíÿííÿ: 1) 0x  15; 2) x + 8  x; 3) y – 2  y + 3; 4) 7 – m  2 – m; 5) 0 : x  13; 6) 3(x + 1)  3x.

3.51. Çíàéäіòü óñі çíà÷åííÿ a, äëÿ ÿêèõ ðіâíÿííÿ ax  –8 ìàє: 1) äîäàòíèé êîðіíü; 2) âіä’єìíèé êîðіíü.

Æè òò є â à ìàòåìàò è ê à

3.52. Íà àâòîìàãіñòðàëі âñòàíîâëåíî äî-

ðîæíіé çíàê, ÿêèé óêàçóє, ùî

øâèäêіñòü íà íàéáëèæ÷іé äіëÿíöі øëÿõó 10 êì çàâäîâæêè íå ìàє ïåðåâèùóâàòè 50 êì/ãîä. Âîäіé ïîäîëàâ öþ äіëÿíêó çà 10 õâ. ×è

ïîðóøèâ âіí ïðàâèëà äîðîæíüîãî ðóõó íà öіé äіëÿíöі øëÿõó?

Ö і êà â і çà ä à÷ і – ïîì і ð ê ó é î ä íà÷å äðóä

ðó

3.53. Ìàìà, òàòî òà äâîє їõíіõ äіòåé ìàþòü ïåðåïðàâèòèñÿ ÷îâíîì íà ïðîòèëåæíèé áåðåã ðі÷êè. Ìàñà òàòà – 75 êã, ìàìè –60 êã, äіòåé – ïî 38 êã. ßê їì ñêîðèñòàòèñÿ ÷îâíîì, ÿêùî âіí âèòðèìóє ìàñó äî 80 êã і êîæåí ó öіé ñіì’ї âìіє âåñëóâàòè?

ДОМАШНЯ САМОСТІЙНА

№ 1 (§§ 1–3)

Çàâäàííÿ 1–12 ìàþòü ïî ÷îòèðè âàðіàíòè âіäïîâіäåé (À–Ã), ñåðåä ÿêèõ ëèøå îäèí є ïðàâèëüíèì. Îáåðіòü ïðàâèëüíèé âàðіàíò âіäïîâіäі.

1. Êîðåíåì ÿêîãî ðіâíÿííÿ є ÷èñëî 8? À. x : 4  3 Á. x – 9  1 Â. x + 7  15 Ã. 2x  10

˳í³éí³ ð³âíÿííÿ ç îäí³ºþ çì³ííîþ 35
6)
РОБОТА

2. ßêå ç ðіâíÿíü є ëіíіéíèì?

À. 4x2  5 Á. x + 7  x2

Â. 3x + x2  0 Ã. 2x  0

3. ßêå ç ðіâíÿíü íå ìàє êîðåíіâ?

À. 7x  0 Á. 0x  7 Â. 0x  0 Ã. 7x  7

4. Çíàéäіòü êîðіíü ðіâíÿííÿ 0,3x – 1,5  0.

À. 5 Á. –5 Â. Ã.

5. ßêå ç ðіâíÿíü ðіâíîñèëüíå ðіâíÿííþ 3x – 8  10?

À. 2x  –12 Á. x + 7  1

Â. 5x  30 Ã. x – 9  3

6. Íà îäíіé ç ïîëèöü êíèæîê óòðè÷і áіëüøå, íіæ íà іíøіé.

Ñêіëüêè êíèæîê íà öіé ïîëèöі, ÿêùî ðàçîì íà äâîõ ïîëèöÿõ 48 êíèæîê?

À. 12 Á. 16 Â. 30 Ã. 36

7. Óêàæіòü ðіâíÿííÿ, êîðåíåì ÿêîãî є áóäü-ÿêå ÷èñëî.

À. 12x  –8 Á. 2(x – 1)  2x Â. 2(x – 1)  2x – 2 Ã. 2x  2x – 2

8. Çíàéäіòü êîðіíü ðіâíÿííÿ

À. 0 Á. 1 Â. 2 Ã. 5

9. Ðîçâ’ÿæіòü ðіâíÿííÿ |2x – 5|  7. ßêùî ðіâíÿííÿ ìàє îäèí êîðіíü, óêàæіòü éîãî ó âіäïîâіäі; ÿêùî ðіâíÿííÿ ìàє áіëüøå íіæ îäèí êîðіíü, ó âіäïîâіäі âêàæіòü їõíþ ñóìó.

À. 7 Á. 6 Â. –1 Ã. 5

10. Çíàéäіòü íàéìåíøå öіëå çíà÷åííÿ a, ïðè ÿêîìó êîðåíåì ðіâíÿííÿ ax  8 є öіëå ÷èñëî.

À. 4 Á. 1 Â. –8 Ã. –16

11. Äëÿ ÿêîãî çíà÷åííÿ a ðіâíÿííÿ (a + 3)x  a(a – 3) íå ìàє ðîçâ’ÿçêіâ?

À. Íåìàє òàêîãî çíà÷åííÿ a Á. –3 Â. 0 Ã. 3

12. 80 % âіä ïåðøîãî ÷èñëà äîðіâíþþòü âіä äðóãîãî. Çíàéäіòü ìåíøå іç öèõ ÷èñåë, ÿêùî їõ ñóìà äîðіâíþє 76. À. 30 Á. 24 Â. 22 Ã. 20 Ó çàâäàííі 13 ïîòðіáíî âñòàíîâèòè âіäïîâіäíіñòü ìіæ іíôîðìàöієþ, ïîçíà÷åíîþ öèôðàìè òà áóêâàìè. Îäíà âіäïîâіäü çàéâà.

ÒÅÌÀ 1 36

13. Ó ïåðøîìó êîøèêó ÿáëóê íà 6 ìåíøå, íіæ ó äðóãîìó, é óäâі÷і ìåíøå, íіæ ó òðåòüîìó. Âñüîãî ó òðüîõ êîøèêàõ ðà-

çîì 62 ÿáëóêà. Âñòàíîâіòü âіäïîâіäíіñòü ìіæ ïèòàííÿìè äî

çàäà÷і (1–3) òà âіäïîâіäÿìè äî íèõ (À–Ã).

ÏèòàííÿÂіäïîâіäі

1. Ñêіëüêè ÿáëóê ó ïåðøîìó êîøèêó?

2. Ñêіëüêè ÿáëóê ó äðóãîìó êîøèêó?

3. Ñêіëüêè ÿáëóê ó òðåòüîìó êîøèêó? À. 28 ÿáë. Á. 20 ÿáë. Â. 16 ÿáë. Ã. 14 ÿáë.

ЗАВДАННЯ ДЛЯ ПЕРЕВІРКИ ЗНАНЬ ДО §§ 1–3

1. ×è є ÷èñëî 4 êîðåíåì ðіâíÿííÿ: 1) x + 7  10; 2) 3x  12?

2. ßêі ç ðіâíÿíü є ëіíіéíèìè: 1) 5x  –2; 2) x2  7; 3) 7 : x  7; 4) 0x  0?

3. Ñêіëüêè êîðåíіâ ìàє ðіâíÿííÿ: 1) –3x  5; 2) 0x  7?

4. Ðîçâ’ÿæіòü ðіâíÿííÿ: 1) –4x  12; 2) 0,2x – 1,2  0.

5. ×è ðіâíîñèëüíі ðіâíÿííÿ 3x – 2  x + 8 і 2(x – 3)  x – 1?

6. Ó ïåðøîìó êîøèêó âäâі÷і áіëüøå ãðèáіâ, íіæ ó äðóãîìó. Ñêіëüêè ãðèáіâ ó êîæíîìó êîøèêó, ÿêùî ó äâîõ êîøèêàõ ðàçîì 78 ãðèáіâ?

7. Ðîçâ’ÿæіòü ðіâíÿííÿ: 1) x – (x + 5)  4(x – 2).

8. ×îâåí çà òå÷ієþ ïëèâ 3,5 ãîä, à ïðîòè òå÷ії 4,2 ãîä. Âіäñòàíü, ÿêó ïðîïëèâ ÷îâåí çà òå÷ієþ, âèÿâèëàñÿ íà 9,8 êì áіëüøîþ çà âіäñòàíü, ÿêó ïðîïëèâ ÷îâåí ïðîòè òå÷ії. Çíàéäіòü âëàñíó øâèäêіñòü ÷îâíà, ÿêùî øâèäêіñòü òå÷ії äîðіâíþє 2 êì/ãîä. Äîäàòêîâі çàâäàííÿ

9. Ðîçâ’ÿæіòü ðіâíÿííÿ |4x – 3|  5. 10. Çíàéäіòü óñі öіëі çíà÷åííÿ a, äëÿ ÿêèõ êîðіíü ðіâíÿííÿ ax  –6 є öіëèì ÷èñëîì.

11. Ç ìіñòà äî ñåëà âèéøîâ ïіøîõіä çі øâèäêіñòþ 4 êì/ãîä. ×åðåç 2 ãîä іç ñåëà äî ìіñòà âèðóøèëà âåëîñèïåäèñòêà çі øâèäêіñòþ 16 êì/ãîä. Ñêіëüêè ãîäèí äî çóñòðі÷і ç ïіøîõîäîì їõàëà âåëîñèïåäèñòêà, ÿêùî âіäñòàíü âіä ñåëà äî ìіñòà äîðіâíþє 38 êì?

˳í³éí³
ç îäí³ºþ çì³ííîþ 37
ð³âíÿííÿ

Äî § 1

1. ×è є ÷èñëî –5 êîðåíåì ðіâíÿííÿ: 1) 2) 3) 4)

2. Äîâåäіòü, ùî êîæíå іç ÷èñåë 2, –3 і 0 є êîðåíåì ðіâíÿííÿ

3. Ç’ÿñóéòå, ÷è є ðіâíîñèëüíèìè ðіâíÿííÿ: 1) і 2) і .

4. ×è є ïðàâèëüíèì òâåðäæåííÿ: «ßêùî êîæåí êîðіíü îäíîãî ðіâíÿííÿ є êîðåíåì іíøîãî, òî öі ðіâíÿííÿ ðіâíîñèëüíі

5. Óêàæіòü êіëüêіñòü êîðåíіâ ðіâíÿííÿ: 1) 2) 3) 4) 0x  –8.

6. Ðîçâ’ÿæіòü ðіâíÿííÿ: 1) 2) 3) 4) 5) 4,7x7 – 2  4,5x + 3; 6) 2x – 3 – (3x – 2)  –8.

7. Çíàéäіòü êîðіíü ðіâíÿííÿ: 1) 10(2x – 7) – 5(4x – 2)  –60; 2) 3(5x – 4) – (15x – 2)  9; 3) 4)

8. Äëÿ ÿêîãî çíà÷åííÿ a: 1) ðіâíÿííÿ íå ìàє êîðåíіâ; 2) êîðåíåì ðіâíÿííÿ є áóäü-ÿêå ÷èñëî?

9. Ðîçâ’ÿæіòü ðіâíÿííÿ âіäíîñíî çìіííîї x.

10. Íà ñòàíöії òåõîáñëóãîâóâàííÿ çà 3 äíі âіäðåìîíòóâàëè x àâòіâîê. Âèðàçіòü ÷åðåç x êіëüêіñòü âіäðåìîíòîâàíèõ àâòіâîê íà äåíü, ÿêùî ùîäíÿ ðåìîíòóâàëè îäíàêîâó êіëüêіñòü àâòіâîê.

11. Ïåðèìåòð ïðÿìîêóòíèêà äîðіâíþє 36 ñì, ïðè÷îìó éîãî äîâæèíà âäâі÷і áіëüøà çà øèðèíó. Çíàéäіòü ñòîðîíè ïðÿìîêóòíèêà òà éîãî ïëîùó.

ÒÅÌÀ 1 38 ВПРАВИ ДЛЯ ПОВТОРЕННЯ ТЕМИ 1
Äî § 2
»?
Äî §
3

12. Çà 7 îëіâöіâ і 3 ðó÷êè çàïëàòèëè 50 ãðí 85 êîï. Ñêіëüêè êîøòóє îäèí îëіâåöü, ÿêùî âіí äåøåâøèé çà ðó÷êó íà 4 ãðí 95 êîï.?

13. Ó êîøèêó áóëî â 4 ðàçè ìåíøå âèíîãðàäó, íіæ ó ÿùèêó. Ïіñëÿ òîãî ÿê ç ÿùèêà äî êîøèêà ïåðåêëàëè 1,5 êã âèíîãðàäó, ó êîøèêó ñòàëî âòðè÷і ìåíøå âèíîãðàäó, íіæ ó ÿùèêó. Ñêіëüêè êіëîãðàìіâ âèíîãðàäó áóëî â êîøèêó і ñêіëüêè –ó ÿùèêó ñïî÷àòêó?

14. Çà 4,5 ãîä ÷îâåí çà òå÷ієþ ðі÷êè äîëàє òàêó ñàìó âіäñòàíü, ÿê

çà 6 ãîä ïðîòè òå÷ії. Çíàéäіòü øâèäêіñòü òå÷ії, ÿêùî âëàñíà

øâèäêіñòü ÷îâíà äîðіâíþє 14 êì/ãîä.

15. Íà ïðîìіæíіé ñòàíöії ïîїçä áóëî çàòðèìàíî íà 0,5 ãîä. Çáіëü-

øèâøè øâèäêіñòü íà 15 êì/ãîä, âіí ÷åðåç 2 ãîä ïðèáóâ íà

êіíöåâó ñòàíöіþ ÷іòêî çà ðîçêëàäîì. ßêîþ áóëà øâèäêіñòü ïîїçäà äî çàòðèìêè?

16. Íà äâîõ òàðіëêàõ áóëî ïî 60 âàðåíèêіâ. Ïіñëÿ òîãî ÿê ç ïåðøîї òàðіëêè ç’їëè óòðè÷і áіëüøå âàðåíèêіâ, íіæ ç äðóãîї, íà íіé çàëèøèëîñÿ âäâі÷і ìåíøå âàðåíèêіâ, íіæ íà äðóãіé. Ïî ñêіëüêè âàðåíèêіâ çàëèøèëîñÿ íà êîæíіé òàðіëöі?

17. Äëÿ ïðåìіþâàííÿ ïðàöіâíèêіâ îôіñó íàðàõîâàíî ïåâíó ñóìó êîøòіâ. ßêùî êîæåí îòðèìàє ïî 11 000 ãðí, òî 2000 ãðí ùå çàëèøàòüñÿ, à ùîá êîæåí îòðèìàâ ïî 12 000 ãðí, íå âèñòà÷èòü 6000 ãðí. Ñêіëüêè ïðàöіâíèêіâ ó îôіñі òà ÿêó ñóìó êîøòіâ íàðàõîâàíî äëÿ ïðåìіþâàííÿ?

18. Ó ïåðøіé îâî÷åâіé ÿòöі çàïëàíóâàëè ïðîäàòè 95 êã ëèìîíіâ, à ó äðóãіé – 60 êã. Ó ïåðøіé ùîäíÿ ïðîäàâàëè ïî 7 êã, à ó äðóãіé – ïî 6 êã. ×åðåç ñêіëüêè äíіâ ëèìîíіâ ó ïåðøіé ÿòöі çàëèøèòüñÿ âäâі÷і áіëüøå, íіæ ó äðóãіé?

19. Çìіøàëè 15-âіäñîòêîâèé ðîç÷èí äîáðèâà ç 5-âіäñîòêîâèì і îäåðæàëè 180 ã 7,5-âіäñîòêîâîãî ðîç÷èíó. Ïî ñêіëüêè ãðàìіâ êîæíîãî ðîç÷èíó âçÿëè?

˳í³éí³
ç îäí³ºþ çì³ííîþ 39
ð³âíÿííÿ

РІВНЯННЯ

Ðіâíÿííÿì íàçèâàþòü ðіâíіñòü, ùî ìіñòèòü çìіííó.

КОРІНЬ РІВНЯННЯ

Çíà÷åííÿ çìіííîї, ÿêå ïåðåòâîðþє ðіâíÿííÿ ó ïðàâèëüíó ÷èñëîâó ðіâíіñòü, íàçèâàþòü êîðåíåì, àáî ðîçâ’ÿçêîì, ðіâíÿííÿ.

Ðîçâ’ÿçàòè ðіâíÿííÿ – îçíà÷àє çíàéòè âñі éîãî êîðåíі àáî

äîâåñòè, ùî êîðåíіâ íåìàє. РІВНОСИЛЬНІ РІВНЯННЯ

Äâà ðіâíÿííÿ íàçèâàþòü ðіâíîñèëüíèìè, ÿêùî âîíè ìàþòü

îäíі é òі ñàìі êîðåíі. Ðіâíîñèëüíèìè ââàæàþòü і òàêі ðіâíÿííÿ, ÿêі êîðåíіâ íå ìàþòü.

Ðіâíÿííÿ âèãëÿäó ax  b, äå x – çìіííà, a і b – äåÿêі ÷èñëà, íàçèâàþòü ëіíіéíèì ðіâíÿííÿì ç îäíіє þ çìіííîþ.

, x – çìіííà, a і b – ÷èñëà

ÿêùî a  0, òî

ÿêùî і , òî õ – áóäü-ÿêå ÷èñëî

ÿêùî a  0, à b  0, òî ðіâíÿííÿ íå ìàє êîðåíіâ

Ðîçâ’ÿçóâàòè çàäà÷ó çà äîïîìîãîþ ðіâíÿííÿ ñëіä ó òàêіé ïîñëіäîâíîñòі:

1) ïîçíà÷èòè çìіííîþ îäíó ç íåâіäîìèõ âåëè÷èí;

2) іíøі íåâіäîìі âåëè÷èíè (ÿêùî âîíè є) âèðàçèòè ÷åðåç óâåäåíó çìіííó;

3) çà óìîâîþ çàäà÷і âñòàíîâèòè ñïіââіäíîøåííÿ ìіæ íåâіäîìèìè òà âіäîìèìè çíà÷åííÿìè âåëè÷èí і ñêëàñòè ðіâíÿííÿ;

4) ðîçâ’ÿçàòè îäåðæàíå ðіâíÿííÿ;

5) ïðîàíàëіçóâàòè ðîçâ’ÿçêè ðіâíÿííÿ і çíàéòè íåâіäîìó âåëè÷èíó, à çà ïîòðåáè і çíà÷åííÿ іíøèõ íåâіäîìèõ âåëè÷èí;

6) çàïèñàòè âіäïîâіäü äî çà äà÷і.

ÒÅÌÀ 1 40
Л ІНІЙНЕ РІВНЯННЯ З О Д НІЄЮ ЗМІННО
Ю
Р ОЗВ’ЯЗКИ ЛІНІЙНОГО РІВНЯННЯ
Р ОЗВ’ЯЗУВАННЯ ЗА Д АЧ ЗА Д ОПОМОГОЮ
РІВНЯНЬ
ЛІНІЙНИХ
Ãîëî â íå â òåì і 1

ЕЛЕМЕНТАРНІ ГЕОМЕТРИЧНІ

У ЦІЙ ТЕМІ ВИ:

пригадаєте

дізнаєтеся

елементарні геометричні фігури: точку, пряму, промінь, кут, відрізок; про основні властивості елементарних геометричних фігур; що таке аксіома, теорема, означення, ознака, наслідок; суміжні та вертикальні кути; кут між двома прямими; розв’язувати задачі, пов’язані з відрізками та кутами; застосовувати властивості суміжних і вертикальних кутів до розв’язування задач.

навчитеся § 4. Геометричні фігури. Точка,

Геометрія

Âè ïî÷èíàєòå âèâ÷àòè îäèí ç íàéöіêàâіøèõ ïðåäìåòіâ – ãåîìåòðіþ (ó ïåðåêëàäі ç ãðåöüêîї ãåî – çåìëÿ, ìåòðåî – ìіðÿòè).

Âèíèêíåííÿ ãåîìåòðії ïîâ’ÿçàíå ç ïðàêòè÷íîþ äіÿëüíіñòþ ëþäèíè. Ùå äàâíі єãèïòÿíè òà ãðåêè áëèçüêî òðüîõ òèñÿ÷ ðîêіâ òîìó âìіëè âèêîíóâàòè ðіçíі âèìіðþâàííÿ, ïîòðіáíі äëÿ ðîçìі÷óâàííÿ äіëÿíîê, ñïîðóäæåííÿ áóäіâåëü, ïðîêëàäàííÿ äîðіã òîùî. Ó ïðîöåñі ïðàêòè÷íîї äіÿëüíîñòі çåìëåìіðіâ, áóäіâåëüíèêіâ, àñòðîíîìіâ, ìîðåïëàâöіâ, õóäîæíèêіâ ïîñòóïîâî ñêëàäàëèñÿ ïðàâèëà ãåîìåòðè÷íèõ âèìіðþâàíü, ïîáóäîâ òà îá÷èñëåíü.

Ïіçíіøå, çàâäÿêè äàâíüîãðåöüêèì ó÷åíèì Ôàëåñó, Ïіôàãîðó, Åâêëіäó òà іíøèì, äåäàëі áіëüøó ðîëü ó ãåîìåòðії ñòàëè âіäіãðàâàòè ñèñòåìè ìіðêóâàíü, ÿêі äàâàëè çìîãó äîâîäèòè íîâі ôîðìóëè òà ôàêòè íà îñíîâі ðàíіøå âіäîìèõ. Íà ïî÷àòîê íàøîї åðè ãåîìåòðіÿ âæå ñôîðìóâàëàñÿ ÿê íàóêà, ó ÿêіé âëàñòèâîñòі ãåîìåòðè÷íèõ ôіãóð âèâ÷àþòü øëÿõîì ìіðêóâàíü. Îòæå, ãåîìåòðіÿ âèíèêëà íà îñíîâі äіÿëüíîñòі ëþäèíè. Ñïî÷àòêó âîíà âèêîðèñòîâóâàëàñÿ ñóòî ïðàêòè÷íî, àëå çãîäîì ñôîðìóâàëàñÿ ÿê ñàìîñòіéíà ìàòåìàòè÷íà íàóêà. Ç óðîêіâ ìàòåìàòèêè âè âæå çíàєòå äåÿêі ãåîìåòðè÷íі ôіãóðè: òî÷êà, ïðÿìà, âіäðіçîê, ïðîìіíü, êóò, òðèêóòíèê, ïðÿìîêóòíèê,

41 ТЕМА
2
Ф I ГУРИ
КУТИ
ТА ЇХНІ ВЛАСТИВОСТІ. СУМІЖНІ ТА ВЕРТИКАЛЬНІ
пряма
промінь
,
КУТ И

êîëî (ìàë. 4.1 і 4.2). Íà óðîêàõ ãåîìåòðії âè ðîçøèðèòå é ïîãëèáèòå çíàííÿ ïðî öі ôіãóðè, îçíàéîìèòåñÿ

òî÷êó ìîæíà îòðèìàòè, ÿêùî íà àðêóø ïàïåðó íàòèñíóòè äîáðå çàãîñòðåíèì îëіâöåì àáî íà øêіëüíó äîøêó – äîáðå çàãîñòðåíèì øìàòêîì êðåéäè.

×àñòèíà ãåîìåòðè÷íîї ôіãóðè òåæ є ãåîìåòðè÷íîþ ôіãóðîþ. Ãåîìåòðè÷íîþ ôіãóðîþ є é îá’єäíàííÿ êіëüêîõ ãåîìåòðè÷íèõ ôіãóð. Íà ìàëþíêó 4.3 ôіãóðà ñêëàäàєòüñÿ ç ïðÿìîêóòíèêà і äâîõ òðèêóòíèêіâ.

Îäíà ç îñíîâíèõ ãåîìåòðè÷íèõ ôіãóð –ïëîùèíà. Óÿâëåííÿ ïðî ÷àñòèíó ïëîùèíè äàє ïîâåðõíÿ ñòîëà, øèáêè, ñòåëі òîùî. Ïëîùèíó â ãåîìåòðії ââàæàþòü ðіâíîþ òà íåîáìåæåíîþ; âîíà íå ìàє àíі êðàþ, àíі òîâùèíè. Ó 7–9-ìó êëàñàõ âè âèâ÷àòèìåòå ÷àñòèíó øêіëüíîãî êóðñó ãåîìåòðії – ïëàíіìåòðіþ. Планіметрія вивчає властивості

Ìàë. 4.3

ÒÅÌÀ 2 42
ô
Ìàë.
Геометрія – це наука про властивості геометричних фігур. Точка
ãåîìåòðè÷íà ôіãóðà – òî÷êà. Óÿâëåííÿ ïðî
ç іíøèìè âàæëèâèìè
іãóðàìè òà їõíіìè âëàñòèâîñòÿìè. Ìàë. 4.1
4.2
Íàéïðîñòіøà
на площині.
фігур

Îñíîâíèìè ãåîìåòðè÷íèìè ôіãóðàìè íà ïëîùèíі є òî÷êà і ïðÿìà. Ïðÿìі ìîæíà ïðîâîäèòè çà äîïîìîãîþ ëіíіéêè. Ïðè

öüîìó ìè çîáðàæóєìî ëèøå ÷àñòèíó ïðÿìîї, à âñþ ïðÿìó óÿâëÿєìî íåñêіí÷åííîþ â îáèäâà áîêè. Ïðÿìі íàé÷àñòіøå ïîçíà÷àþòü

ìàëåíüêèìè ëàòèíñüêèìè áóêâàìè a, b, c, d, ..., à òî÷êè – âåëèêèìè ëàòèíñüêèìè áóêâàìè D, ... .

б не була пряма,

не належать.

Çàóâàæèìî, ùî ÷åðåç òî÷êè A і B íå ìîæíà ïðîâåñòè іíøîї ïðÿìîї, ÿêà á íå çáіãàëàñÿ ç ïðÿìîþ a.

і до того ж тільки одну

Òóò і äàëі, ãîâîðÿ÷è ïðî «äâі òî÷êè», «äâі ïðÿìі», ââàæàòèìåìî, ùî öі òî÷êè, ïðÿìі – ðіçíі.

Ïðÿìó, íà ÿêіé ïîçíà÷åíî äâі òî÷êè, íàïðèêëàä A і B, çàïèñóþòü äâîìà áóêâàìè: AB àáî BA. ßêùî òî÷êà C, íàïðèêëà ä, íå íàëåæèòü ïðÿìіé AB, öå çàïèñóþòü òàê: C  AB, і êàæóòü, ùî

òî÷êè A, B і C íå ëåæàòü íà îäíіé ïðÿìіé.

Åëåìåíòàðí³ ãåîìåòðè÷í³ ôiãóðè òà ¿õí³ âëàñòèâîñò³... 43
Пряма
Яка
існують точки, які їй належать, і точки, які їй
Через будь-які дві точки можна провести
пряму

Òî÷êè M, K і P ëåæàòü íà îäíіé ïðÿìіé (ìàë. 4.4), ïðè÷îìó òî÷êà K ëåæèòü ìіæ òî÷êàìè M і P.

З трьох точок на прямій одна і тільки одна лежить між двома іншими.

Ìàë. 4.4 Ìàë. 4.5

ßêùî äâі ïðÿìі ìàþòü ñïіëüíó òî÷êó, òî êàæóòü, ùî âîíè ïåðåòèíàþòüñÿ â öіé òî÷öі. Íà ìàëþíêó 4.5 ïðÿìі a і b ïåðåòèíàþòüñÿ â òî÷öі T, à ïðÿìі m і n íå ïåðåòèíàþòüñÿ.

Промінь

Ïðîâåäåìî ïðÿìó òà ïîçíà÷èìî íà íіé òî÷êó A (ìàë. 4.6).

Öÿ òî÷êà äіëèòü ïðÿìó íà äâі ÷àñòèíè, êîæíó ç ÿêèõ ðàçîì ç òî÷êîþ A íàçèâàþòü ïðîìåíåì, ùî âèõîäèòü ç òî÷êè A. Òî÷êó A íàçèâàþòü ïî÷àòêîì êîæíîãî ç ïðîìåíіâ. Ïðîìåíі ïîçíà÷àþòü

äâîìà âåëèêèìè ëàòèíñüêèìè áóêâàìè, ïåðøà ç ÿêèõ îçíà÷àє ïî÷àòîê ïðîìåíÿ, à äðóãà – äåÿêó òî÷êó íà ïðîìåíі (íàïðèêëàä, ïðîìіíü OK íà ìàëþíêó 4.7).

Ìàë. 4.6 Ìàë. 4.7

Доповняльні промені

Äâà ïðîìåíі, ùî ìàþòü ñïіëüíèé ïî÷àòîê і äîïîâíþþòü îäèí îäíîãî äî ïðÿìîї, íàçè-

âàþòü äîïîâíÿëüíèìè. Íà ìàëþíêó 4.8 ïðîìіíü BC є äîïîâíÿëüíèì äëÿ ïðîìåíÿ BD, і íàâïàêè, ïðîìіíü BD є äîïîâíÿëüíèì äëÿ ïðîìåíÿ BC.

ÒÅÌÀ 2 44
Перші відомості про властивості геометричних фігур люди отримували з практичної діяльності та спостережень за довколишнім світом. Перший твір, що містить найпростіші геометричні відомості про знаходження площ деяких фігур та об’ємів тіл, дійшов до нас із Давнього Єгипту. Він датується XVII ст. до н. е. Описані в цьому творі правила обчислення площ та об’ємів отримали з практики. Жодних логічних доведень їх Ìàë. 4.8

істинності не наводилося. Самі

площ та

за такими правилами, були приблизними. Про зародження геометрії у Давньому Єгипті давньогрецький історик Геродот (V ст. до н. е.) писав: «Сезострис, єгипетський фараон, розділив землю, давши кожному єгиптянину ділянку за жеребкуванням, та стягував відповідно податок з кожної ділянки. Бувало, що Ніл заливав ту чи ту ділянку, тоді потерпілий звертався до фараона, а той посилав землемірів, щоб установити, на скільки зменшилася ділянка, і відповідно зменшував податок. Так виникла геометрія в Єгипті, а звідти

перейшла у Грецію». Саме в Давній

як науки. Завдяки грецьким геометрам Фалесу,

Піфагору, Демокріту (бл. 460–370 рр. до н. е.) відбувся поступовий

трії. Ці та інші вчені зробили кроки

строгого обґрунтування геометричних фактів і теорем, збагатили науку численними теоремами, які ми використовуємо й донині. Так було створено науку, що вивчає форми, розміри, властивості,

фігур. Цю науку, як і раніше, називають геометрією, хоча

Фалес (бл. 640–548 рр. до н. е.)

можна провести через дві точки? Що таке промінь? Як позначають промені? Які промені називають доповняльними?

Ðîçâ ' ÿæiòü çàäà÷i

4.1. Íàçâіòü çà ìàëþíêîì 4.9:

1) òî÷êè, ùî íàëåæàòü ïðÿìіé a;

2) òî÷êè, ùî íàëåæàòü ïðÿìіé b;

3) òî÷êó, ùî íàëåæèòü і ïðÿìіé a, і ïðÿìіé b; 4) òî÷êè, ùî íàëåæàòü ïðÿìіé a, àëå íå íàëåæàòü ïðÿìіé b;

Піфагор (бл. 580–500 рр. до н. е.) Ìàë. 4.9

5) òî÷êè, ùî íå íàëåæàòü àíі ïðÿìіé a, àíі ïðÿìіé b.

4.2. Ïîçíà÷òå â çîøèòі òî÷êè M і N òà ïðîâåäіòü ÷åðåç íèõ ïðÿìó. Íàçâіòü öþ ïðÿìó. Ïîçíà÷òå òî÷êó K, ùî íàëåæèòü ïîáóäîâàíіé ïðÿìіé, і òî÷êó L, ÿêà їé íå íàëåæèòü. Çðîáіòü âіäïîâіäíі çàïèñè.

Åëåìåíòàðí³ ãåîìåòðè÷í³ ôiãóðè òà ¿õí³ âëàñòèâîñò³... 45
ж значення
об’ємів, обчислені
Греції й відбулося становлення геометрії
від практичної до
геоме-
геометричних
її зміст вийшов далеко за межі вчення про вимірювання землі.
фігур. Назвіть основні геометричні фігури на площині. Як позначають прямі та точки? Скільки прямих
перехід
теоретичної
до
взаємне розміщення
Що вивчає геометрія? Наведіть приклади геометричних
òà âèêîíàéòå âï ð
àâ è

4.3. Ïðîâåäіòü ïðÿìó a. Ïîçíà÷òå äâі òî÷êè, ùî íàëåæàòü öіé

ïðÿìіé, і äâі òî÷êè, ÿêі їé íå íàëåæàòü. Íàçâіòü òî÷êè òà çàïèøіòü âçàєìíå ðîçìіùåííÿ ïðÿìîї і òî÷îê, âèêîðèñòîâóþ÷è ñèìâîëè  і .

4.4. Íà ìàëþíêó 4.10 ïðÿìà AB ïåðåòèíàє ïðÿìі MN і KL ó òî÷êàõ C і D. Çàïèøіòü:

1) óñі ïðîìåíі ç ïî÷àòêîì ó òî÷öі C; 2) ïàðè äîïîâíÿëüíèõ ïðîìåíіâ, ïî÷àòîê ÿêèõ – òî÷êà D.

Ìàë. 4.10 Ìàë. 4.11 Ìàë. 4.12

4.5. 1) Çàïèøіòü óñі ïðîìåíі, çîáðàæåíі íà ìàëþíêó 4.11.

2) ×è є ñåðåä öèõ ïðîìåíіâ ïàðè äîïîâíÿëüíèõ ïðîìåíіâ?

4.6. Ïîçíà÷òå â çîøèòі òî÷êè M, N, F òàê, ùîá ÷åðåç íèõ ìîæíà áóëî ïðîâåñòè ïðÿìó. Çàïèøіòü óñі ìîæëèâі íàçâè öієї

ïðÿìîї.

4.7. Ïîçíà÷òå â çîøèòі òî÷êè B, C і D òàê, ùîá çàïèñè CD і CB ïîçíà÷àëè îäíó é òó ñàìó ïðÿìó. ßê ùå ìîæíà íàçâàòè öþ ïðÿìó?

4.8. Âèêîðèñòîâóþ÷è ìàëþíîê 4.12:

1) ç’ÿñóéòå, ÷è ïåðåòèíàþòüñÿ ïðÿìі m і CB; 2) çàïèøіòü óñі òî÷êè, ÿêі íàëåæàòü ïðÿìіé m;

3) çàïèøіòü óñі òî÷êè, ÿêі íàëåæàòü ïðÿìіé BC;

4) çàïèøіòü òî÷êè, ÿêі íå íàëåæàòü àíі ïðÿìіé m, àíі ïðÿìіé BC.

4.9. Ïîçíà÷òå â çîøèòі òî÷êè D, E, F, P, ÿê íà ìàëþíêó 4.13.

1) ×åðåç êîæíі äâі òî÷êè ïðîâåäіòü ïðÿìó. Çàïèøіòü íàçâè âñіõ öèõ ïðÿìèõ.

2) Ñêіëüêè âñüîãî ïðÿìèõ óòâîðèëîñÿ?

3) Íà ñêіëüêè ÷àñòèí öі ïðÿìі ðîçáèâàþòü ïëîùèíó? Ìàë. 4.13

ÒÅÌÀ 2 46

4.10. Ïîçíà÷òå â çîøèòі òðè òî÷êè A, B і C, ùî íå ëåæàòü íà îäíіé ïðÿìіé.

1) ×åðåç êîæíі äâі òî÷êè ïðîâåäіòü ïðÿìó. Çàïèøіòü óñі

óòâîðåíі ïðÿìі.

2) Ñêіëüêè âñüîãî ïðÿìèõ óòâîðèëîñÿ?

3) Íà ñêіëüêè ÷àñòèí öі ïðÿìі ðîçáèâàþòü ïëîùèíó?

4.11. Òî÷êà A äіëèòü ïðÿìó m íà äâà ïðîìåíі. Çà ÿêîї óìîâè òî÷êè B і C öієї ïðÿìîї íàëåæàòü îäíîìó ïðîìåíþ; ðіçíèì ïðîìåíÿì?

Æ èòò є â à ìàòåìàòèê à

4.12. Ïàðê ìàє ôîðìó ïðÿìîêóòíèêà ðîçìіðàìè 800 ì і 600 ì, ïî ïåðèìåòðó ÿêîãî є äîðіæêà äëÿ áіãó, õîäüáè àáî âåëîñèïåäíèõ ïðîãóëÿíîê.

1) Ñåìèêëàñíèê Âàäèì âåäå çäîðîâèé ñïîñіá æèòòÿ òà

ùîðàíêó ïðîáіãàє ïî äîðіæöі ïàðêó çі øâèäêіñòþ 14 êì/ãîä. Ñêіëüêè ÷àñó âèòðà÷àє ó÷åíü íà ïðîáіæêó?

2) Áàòüêè Âàäèìà òàêîæ âåäóòü çäîðîâèé ñïîñіá æèòòÿ òà ùîâå÷îðà ïðîãóëþþòüñÿ äîðіæêîþ ïàðêó, öå çàéìàє â íèõ 50 õâ. Ç ÿêîþ øâèäêіñòþ ïðîãóëþþòüñÿ áàòüêè Âàäèìà? iäãîòóéòåñÿ äî âèâ÷åííÿ íîâîãî ìàòåðiàëó

4.13. Íàêðåñëіòü âіäðіçîê MN, ïîçíà÷òå íà íüîìó òî÷êè N A і B. Çàïèøіòü óñі óòâîðåíі âіäðіçêè ç êіíöÿìè â òî÷êàõ M, N, A і B.

4.14. Ïîáóäóéòå âіäðіçêè A B і DC òàê, ùîá AB  5 ñì, CD  6 ñì 2 ìì. Ïîðіâíÿéòå äîâæèíè âіäðіçêіâ.

Ö і êà â і çà ä à÷ і – ïîì і ð ê ó é î ä íà÷å äðóä

4.15. Íà ïëîùèíі ïðîâåäåíî òðè ïðÿìі. Íà ïåðøіé ïîçíà÷åíî 2023 òî÷êè, íà äðóãіé – 2024, à íà òðåòіé – 2025 òî÷îê. ßêó íàéìåíøó çàãàëüíó êіëüêіñòü òî÷îê ïðè öüîìó ìîæå áóòè ïîçíà÷åíî?

Åëåìåíòàðí³ ãåîìåòðè÷í³ ôiãóðè òà ¿õí³ âëàñòèâîñò³... 47
ðó

Відрізок

Íà ìàëþíêó 5.1 çîáðàæåíî âіäðіçîê A B àáî âіäðіçîê BA; òî÷êè A і B – éîãî êіíöі. Íà ìàëþíêó 5.2 òî÷êà M íàëåæèòü âіäðіçêó CD (її ùå íàçèâàþòü âíóòðіøíüîþ òî÷êîþ âіäðіçêà), à òî÷êà P éîìó íå íàëåæèòü.

Íà ìàëþíêó 5.3 âіäðіçêè KL і FN ìàþòü єäèíó ñïіëüíó òî÷êó O. Êàæóòü, ùî âіäðіçêè KL і FN ïåðåòèíàþòüñÿ â òî÷öі O.

Ìàë. 5.1 Ìàë. 5.2 Ìàë. 5.3

Вимірювання відрізків

Íà ïðàêòèöі ÷àñòî äîâîäèòüñÿ âèìіðþâàòè âіäðіçêè. Äëÿ öüîãî

ïîòðіáíî ìàòè îäèíè÷íèé âіäðіçîê (îäèíèöþ âèìіðþâàííÿ). Îäèíèöÿìè âèìіðþâàííÿ äîâæèíè є 1 ìì, 1 ñì, 1 äì, 1 ì, 1 êì.

Äëÿ âèìіðþâàííÿ âіäðіçêіâ âèêîðèñòîâóþòü ðіçíі âèìіðþâàëüíі іíñòðóìåíòè. Îäíèì ç òàêèõ іíñòðóìåíòіâ є ëіíіéêà ç ïîäіëêàìè. Íà ìàëþíêó 5.4 äîâæèíà âіäðіçêà AB äîðіâíþє 3 ñì. Êîðîòêî êàæóòü: «Âіäðіçîê A B äîðіâíþє 3 ñì». Íà ìàëþíêó 5.5 äîâæèíà âіäðіçêà CD äîðіâíþє 1 ñì 5 ìì, àáî 1,5 ñì, àáî 15 ìì. Çàïèñóþòü öå òàê: A B  3 ñì, CD  1,5 ñì  15 ìì.

Ìàë. 5.4 Ìàë. 5.5

ÒÅÌÀ 2 48 §
Вимірювання відрізків
Відстань між двома точками
5. Відрізок.
.
Кожний відрізок має певну довжину, більшу за нуль.

Іíøèìè іíñòðóìåíòàìè, ÿêèìè ìîæíà âèìіðþâàòè âіäðіçêè, є ñêëàäàíèé ìåòð (ìàë. 5.6), ðóëåòêà (ìàë. 5.7), êëåéîí÷àñòèé ñàíòèìåòð (ìàë. 5.8).

Ìàë. 5.6 Ìàë. 5.7 Ìàë. 5.8

Íà ìàëþíêó 5.9 çîáðàæåíî âіäðіçîê A B. Òî÷êà C äіëèòü éîãî

íà äâà âіäðіçêè: AC і CB (êàæóòü òàêîæ, ùî òî÷êà C íàëåæèòü

âіäðіçêó A B). Áà÷èìî, ùî AC  4 ñì, CB  1 ñì, A B  5 ñì. Îòæå, AC + CB  AB.

Ìàë. 5.9

Ìàєìî îñíîâíó âëàñòèâіñòü âèìіðþâàííÿ âіäðіçêіâ.

Äîâæèíó âі äðіçêà íàçèâàþòü òàêîæ â іäñòàííþ ìіæ éîãî ê іíöÿìè. Íà ìàëþíêó 5.9 âі äñòàíü ìіæ òî÷êàìè A і C äîðіâíþє 4 ñì. ×è ëåæàòü òî÷êè A, B і K íà îäíіé ïðÿìіé, ÿêùî:

Приклад 1.

1) AB  10 ñì, AK  6 ñì, KB  4 ñì; 2) AB  9 ñì, AK  6 ñì, KB  5 ñì? Ðîçâ’ÿçàííÿ. ßêùî òðè òî÷êè A, B і K ëåæàòü íà îäíіé ïðÿìіé, òî äîâæèíà áіëüøîãî ç òðüîõ âіäðіçêіâ AB, AK і KB ìàє äîðіâíþâàòè ñóìі äîâæèí äâîõ ìåíøèõ.

1) Îñêіëüêè 10  6 + 4, òî AB  AK + KB. Òî÷êè A, B і K ëåæàòü íà îäíіé ïðÿìіé, ïðè÷îìó òî÷êà K ëåæèòü ìіæ òî÷êàìè A і B.

2) Îñêіëüêè 9  6 + 5, òî AB  AK + KB. Òî÷êè A, B і K íå ëåæàòü íà îäíіé ïðÿìіé.

Âіäïîâіäü: 1) òàê; 2) íі.

Åëåìåíòàðí³ ãåîìåòðè÷í³ ôiãóðè òà ¿õí³
49
âëàñòèâîñò³...

Òî÷êà K íàëåæèòü âіäðіçêó AB, äîâæèíà ÿêîãî 15 ñì. Çíàéòè äîâæèíè âіäðіçêіâ AK і KB, ÿêùî AK áіëüøèé

çà KB íà 3 ñì. Ðîçâ’ÿçàííÿ. Ðîçãëÿíåìî ìàëþíîê 5.10, íà ÿêîìó òî÷êà K íàëåæèòü âіäðіçêó AB, AB  15 ñì.

1) Íåõàé KB  x ñì, òîäі AK  (x + 3) ñì.

Ìàë. 5.10

2) Îñêіëüêè AK + KB  AB (çà îñíîâíîþ âëàñòèâіñòþ âèìіðþâàííÿ âіäðіçêіâ), ìàєìî ðіâíÿííÿ: (x + 3) + x  15.

Ðîçâ’ÿæåìî öå ðіâíÿííÿ: 2x + 3  15; x  6 (ñì).

3) Îòæå, KB  6 ñì, AK  6 + 3  9 (ñì).

Âіäïîâіäü: KB  6 ñì, AK  9 ñì.

Порівняння довжин відрізків

Ç äâîõ âіäðіçêіâ áіëüøèì ââàæàþòü òîé, äîâæèíà ÿêîãî

áіëüøà. Íà ìàëþíêó 5.11 äîâæèíà âіäðіçêà MN äîðіâíþє

äîâæèíі âіäðіçêà AB, òîìó öі âіäðіçêè ðіâíі ìіæ ñîáîþ. Ìîæíà çàïèñàòè: MN  A B. Íà öüîìó ñàìîìó ìàëþíêó äîâæèíà âіäðіçêà MN áіëüøà çà äîâæèíó âіäðіçêà PL. Êàæóòü, ùî âіäðіçîê MN áіëüøèé çà âіäðіçîê PL, çàïèñóþòü öå òàê: MN > PL. Ìàë. 5.11

Íà ìàëþíêàõ ðіâíі âіäðіçêè ïðèéíÿòî ïîçíà÷àòè îäíàêîâîþ êіëüêіñòþ ðèñî÷îê, à âіäðіçêè íåîäíàêîâîї äîâæèíè – ðіçíîþ êіëüêіñòþ ðèñî÷îê. Середина

Òî÷êó âіäðіçêà, ÿêà äіëèòü éîãî íàâïіë, òîáòî íà äâà ðіâíі ìіæ ñîáîþ âіäðіçêè, íàçèâàþòü ñåðåäèíîþ âіäðіçêà.

ÒÅÌÀ 2 50
відрізка
Приклад 2.

Î÷åâèäíî, ùî

називають рівними? Яку точку називають серединою відрізка?

Ðîçâ ' ÿæiòü

5.1. Íàçâіòü óñі âіäðіçêè, çîáðàæåíі íà ìàëþíêó 5.12. Âèìіðÿéòå äîâæèíè

äâîõ ç íèõ.

5.2. Çàïèøіòü óñі âіäðіçêè, çîáðàæåíі íà

ìàëþíêó 5.13, òà âèìіðÿéòå äîâæèíè

òðüîõ ç íèõ.

5.3. Ïîçíà÷òå â çîøèòі òî÷êè C і D òà

çíàéäіòü âіäñòàíü ìіæ íèìè.

5.4. Íàêðåñëіòü âіäðіçêè AB і MN

òàê, ùîá AB  7 ñì 2 ìì, MN  6 ñì 3 ìì. Ïîðіâíÿéòå äîâæèíè âіäðіçêіâ

AB і MN.N

Ìàë. 5.12

Ìàë. 5.13

5.5. Íàêðåñëіòü âіäðіçêè KL і FP òàê, ùîá KL  5 ñì 9 ìì, FP  6 ñì 8 ìì. Ïîðіâíÿéòå äîâæèíè âіäðіçêіâ KL і FP.

5.6. Òî÷êà C ëåæèòü ìіæ òî÷êàìè A і B (ìàë. 5.14). Çíàéäіòü:

1) AB, ÿêùî AC  5 ñì, CB  2 ñì; 2) BC, ÿêùî A B  12 äì, AC  9 äì.

5.7. Òî÷êà K ëåæèòü ìіæ òî÷êàìè P і Q (ìàë. 5.15). Çíàéäіòü:

1) PQ, ÿêùî PK  3 äì, KQ  7 äì; 2) PK, ÿêùî PQ  8 ñì, KQ  6 ñì.

Ìàë. 5.15

5.8. ×è ëåæàòü òî÷êè K, L і M íà îäíіé ïðÿìіé, ÿêùî:

1) KL  8 ñì, LM  3 ñì, KM  11 ñì; 2) KL  5 ñì, LM  9 ñì, KM  8 ñì? Ó ðàçі ñòâåðäíîї âіäïîâіäі âêàæіòü, ÿêà ç òî÷îê ëåæèòü ìіæ äâîìà іíøèìè.

Åëåìåíòàðí³ ãåîìåòðè÷í³ ôiãóðè òà ¿õí³ âëàñòèâîñò³... 51
якщо два відрізки рівні, то їхні половини рівні, і навпаки, якщо половини двох відрізків рівні, то й самі відрізки рівні. Що називають відрізком? Що таке кінці відрізка? Які одиниці вимірювання довжини ви знаєте? Якими інструментами вимірюють довжини відрізків? Що називають відстанню між двома точками? Сформулюйте основну влас-
довжин відрізків. Які відрізки
тивість вимірювання
òà âèêîíàéòå âï ð àâ è
çàäà÷i

5.9. ×è ëåæàòü òî÷êè A, B і C íà îäíіé ïðÿìіé, ÿêùî:

1) AB  7 ñì, BC  3 ñì, AC  9 ñì;

2) AB  5 ñì, BC  2 ñì, AC  7 ñì?

Ó ðàçі ñòâåðäíîї âіäïîâіäі âêàæіòü, ÿêà ç òî÷îê ëåæèòü ìіæ äâîìà іíøèìè.

5.10. Íà ïðÿìіé ïîçíà÷åíî òî÷êè P, L і M, ïðè÷îìó PL  42 ìì, PM  3 ñì 2 ìì, LM  0,74 äì. ßêà ç òî÷îê ëåæèòü ìіæ äâîìà іíøèìè? Âіäïîâіäü îáґðóíòóéòå.

5.11. ×è ëåæàòü òî÷êè A, B і C íà îäíіé ïðÿìіé, ÿêùî A B  12 ñì,

BC  1,5 äì, AC  40 ìì?

5.12.Íà ìàëþíêó 5.16 äîâæèíè âіäðіçêіâ

AB і CD îäíàêîâі. Îá´ðóíòóéòå, ÷îìó

AC  BD.

5.16

5.13. Íà ìàëþíêó 5.16 äîâæèíè âіäðіçêіâ AC і BD îäíàêîâі. Îá´ðóíòóéòå, ÷îìó AB  CD.

5.14. Òî÷êè C і D íàëåæàòü âіäðіçêó A B. Çíàéäіòü äîâæèíó âіäðіçêà CD, ÿêùî A B  40 ñì, AC  25 ñì, BD  32 ñì.

5.15. Òî÷êè C і D íàëåæàòü âіäðіçêó MN. Çíàéäіòü äîâæèíó âіäðіçêà CD, ÿêùî MN  50 ñì, MC  40 ñì, ND  16 ñì.

5.16. Ðîçâ’ÿæіòü çàäà÷і, óìîâè ÿêèõ ïîäàíî â òàáëèöі, òà ïðî÷èòàéòå íàçâó ïåðøîї ñòîëèöі Óêðà їíè.

Òî÷êà C íàëåæèòü âіäðіçêó A B çàâäîâæêè 14 äì. Çíàéäіòü äîâæèíè âіäðіçêіâ AC і BC, ÿêùî: AC BC

AC âòðè÷і ìåíøèé âіä BC Â Õ

AC áіëüøèé çà BC íà 1,8 äì Ð Ê

AC : BC  3 : 2 À І 10,5 äì 8,4 äì 7,9 äì 6,1 äì 5,6 äì 3,5 äì

5.17. Ðîçâ’ÿæіòü çàäà÷і, óìîâè ÿêèõ ïîäàíî â òàáëèöі, òà ïðî÷èòàéòå ïðіçâèùå óêðà їíñüêîãî ïîåòà òà ïðàâîçàõèñíèêà. Äіçíàéòåñÿ ç

ÒÅÌÀ 2 52
іíòåðíåòó ïðî éîãî áіîãðàôіþ, òâîð÷èé øëÿõ і áîðîòüáó çà íåçàëåæíіñòü Óêðà їíè. Òî÷êà
âі
і
CD
Âèçíà÷òå äîâæèíó âіäðіçêіâ CM і DM, ÿêùî:
M íàëåæèòü
äð
çêó
 8,4 ñì.
CM DM CM áіëüøèé çà DM íà 0,6 ñì Ó Ò CM : DM  1 : 3 Ñ Ñ Ìàë.

2,1 ñì 3,9 ñì 4,5 ñì 6,3 ñì

5.18. Òî÷êè C, D і M ëåæàòü íà îäíіé ïðÿìіé. Çíàéäіòü âіäñòàíü ìіæ òî÷êàìè C і D, ÿêùî âіäñòàíü ìіæ òî÷êàìè C і M äîðіâíþє 5,2 ñì, à âіäñòàíü ìіæ òî÷êàìè D і M – 4,9 ñì. Ñêіëüêè ðîçâ’ÿçêіâ ìàє çàäà÷à?

5.19. Íà ïðÿìіé ïîçíà÷åíî òî÷êè A, M і N, ïðè÷îìó A M  7,2 ñì, MN  2,5 ñì. Çíàéäіòü âіäñòàíü ìіæ òî÷êàìè A і N. Ñêіëüêè

ðîçâ’ÿçêіâ ìàє çàäà÷à?

Æ èòò є â à ìàòåìàòèê à

5.20. Íà õіìі÷íîìó êîìáіíàòі, äå ó âåëèêіé êіëüêîñòі є îòðóéíі é íåáåçïå÷íі äëÿ æèòòÿ ðå÷îâèíè, óíàñëіäîê

іê õëîðó. Âіäîìî, ùî â áåçâіòðÿíó ïîãîäó õëîð ñòåëèòüñÿ ïî çåìëі. Ïîøèðþþ÷èñü, âіí çàéìàє äіëÿíêó ïîâåðõíі ó ôîðìі êðóãà.

1) Îá÷èñëіòü ïëîùó çàðàæåíîї òåðèòîðії, ÿêùî âіäñòàíü âіä ìіñöÿ âèòîêó õëîðó äî ìåæі ïî ðàäіóñó 200 ì.

2) Îá÷èñëіòü, ÿêîї äîâæèíè ìîòóçêà çíàäîáèòüñÿ äëÿ îãîðîäæåííÿ çàðàæåíîї çîíè. iä ãîò ó éòåñÿ äî â è â ÷åííÿ íî â îãî ìàòåðiàë ó

5.21. Íàçâіòü âèä êóòà (ãîñòðèé, ïðÿìèé, òóïèé, ðîçãîðíóòèé), ãðàäóñíà ìіðà ÿêîãî äîðіâíþє: 1) 52; 2) 180; 3) 129; 4) 90; 5) 2; 6) 173 .

5.22. Íàêðåñëіòü êóò, ãðàäóñíà ìіðà ÿêîãî äîðіâíþє:

1) 60; 2) 25; 3) 90; 4) 110; 5) 180; 6) 145 .

Ö і êà â і çà ä à÷ і – ïîì і ð ê ó é î ä íà÷å äðóä

5.23. Ðîçäіëіòü òðèêóòíèê äâîìà ïðÿìèìè íà: 1) äâà òðèêóòíèêè é îäèí ÷îòèðèêóòíèê; 2) äâà òðèêóòíèêè, îäèí ÷îòèðèêóòíèê і îäèí ï’ÿòèêóòíèê.

Åëåìåíòàðí³ ãåîìåòðè÷í³ ôiãóðè òà ¿õí³ âëàñòèâîñò³... 53
ñòàâñÿ
àâàðії
âèò
ðó

Ðîçãîðíóòèé êóò – öå êóò, ñòîðîíè ÿêîãî є äîïîâíÿëüíèìè ïðîìåíÿìè (ìàë. 6.1).

Áóäü-ÿêèé êóò äіëèòü ïëîùèíó íà äâі ÷àñòèíè.

Íà ìàëþíêó 6.2 òî÷êè A, B і C íàëåæàòü âíóòðіøíіé îáëàñòі êóòà (ëåæàòü óñåðåäèíі êóòà), òî÷êè M і N íàëåæàòü ñòîðîíàì êóòà, à òî÷êè P і Q íàëåæàòü çîâíіøíіé îáëàñòі êóòà (ëåæàòü ïîçà êóòîì). ßêùî êóò є ðîçãîðíóòèì, òî áóäü-ÿêó ç äâîõ ÷àñòèí, íà ÿêі âіí äіëèòü ïëîùèíó, ìîæíà ââàæàòè âíóòðіøíüîþ îáëàñòþ êóòà.

Ìàë. 6.1 Ìàë. 6.2

ÒÅÌÀ 2 54 § 6. Кут. Вимірювання кутів. Бісектриса кута Кут

Вимірювання кутів

Çà îäèíèöþ âèìіðþâàííÿ êóòіâ ïðèéìàþòü ãðàäóñ – êóò, ÿêèé

ñòàíîâèòü âіä ðîçãîðíóòîãî êóòà. Ïîçíà÷àþòü ãðàäóñ çíà-

êîì . Äëÿ âèìіðþâàííÿ êóòіâ

âèêîðèñòîâóþòü òðàíñïîðòèð –іíñòðóìåíò, ÿêèé âè çíàєòå

ç ìîëîäøèõ êëàñіâ. Íà ìàëþíêó 6.3 ãðàäóñíà ìіðà

êóòà AOB äîðіâíþє 50, à êóòà

COD – 110 . Êîðîòêî êàæóòü:

«êóò AOB äîðіâíþє 50, êóò COD

äîðіâíþє 110»; çàïèñóþòü òàê:

 AOB  50 ,  COD  110 .

Ìàë. 6.3

нуль. Розгорнутий кут дорівнює 180°.

Äóæå ìàëі êóòè âèìіðþþòü ó ìіíóòàõ і ñåêóíäàõ.

Ìіíóòà – öå ÷àñòèíà ãðà äóñà, ïîçíà÷àþòü çíàêîì  .

Ñåêóíäà – ÷àñòèíà ìіíóòè, ïîçíà÷àþòü çíàêîì  .

Îòæå, 1  60 , 1  60 .

Íà ìіñöåâîñòі êóòè âèìіðþþòü àñòðîëÿáієþ (ìàë. 6.4).

Áóäåìî ââàæàòè, ùî ïðîìіíü OK ïðîõîäèòü ìіæ ñòîðîíàìè

êóòà AOB, ÿêùî âіí âèõîäèòü ç éîãî âåðøèíè é ëåæèòü ó éîãî

âíóòðіøíіé îáëàñòі (ìàë. 6.5).

Íà ìàëþíêó 6.6 ïðîìіíü OM ïðîõîäèòü ìіæ ñòîðîíàìè êóòà AOB

і äіëèòü éîãî íà äâà êóòè: BOM і MOA. Áà÷èìî, ùî  BOM  40 ,  MOA  80 ,  AOB  120 . Îòæå,  AOB   BOM +  MOA.

Ìàë. 6.4

Ìàë. 6.5 Ìàë. 6.6

Åëåìåíòàðí³ ãåîìåòðè÷í³ ôiãóðè òà ¿õí³ âëàñòèâîñò³... 55
має певну градусну міру, більшу за
Кожний кут

Приклад.

Ïðîìіíü OK äіëèòü êóò AOB íà äâà êóòè (ìàë. 6.5).

Çíàéòè ãðàäóñíó ìіðó êóòà AOK, ÿêùî  AOB  75 , à êóò KOB

ñêëàäàє 40 % âіä êóòà AOB.

Ðîçâ’ÿçàííÿ. 1)  KOB  0,4 ∙  AOB  0,4 ∙ 75  30 . 2)  AOK   AOB –

 . Âіäïîâіäü: 45 .

Ç’ÿñóєìî, ÿê ïîðіâíþâàòè êóòè.

Ç äâîõ êóòіâ áіëüøèì ââàæàþòü òîé, ãðàäóñíà ìіðà ÿêîãî є áіëüøîþ.

Î÷åâèäíî, ùî

, òîìó êóò P áіëüøèé çà êóò M. Çàïèñóþòü öå òàê:  P >  M.

Ìàë. 6.7

ÒÅÌÀ 2 56 Ì
Порівняння кутів
 KOB  75
30
 45
Íà ìàëþíêó 6.7 ãðàäóñíà ìіðà êóòà äîð âíþє 70
якщо два кути рівні, то їхні половини рівні, і навпаки, якщо половини двох кутів рівні, то й самі кути рівні.
Åëåìåíòàðí³ ãåîìåòðè÷í³ ôiãóðè òà ¿õí³ âëàñòèâîñò³... 57 Види кутів
Бісектриса кута Íà ìàëþíêó 6.8 ïðîìіíü OP – áіñåêòðèñà êóòà AOB.  ABC  100 , BK – áіñåêòðèñà êóòà ABC, à BL – áіñåêòðèñà êóòà KBC. Çíàéòè  ABL. Ðîçâ’ÿçàííÿ. Ðîçãëÿíåìî ìàëþíîê 6.9. 1)  KBC    50 . 2)  LBC    25 . 3)  ABL   ABC –  LBC  100 – 25  75 . Âіäïîâіäü: 75 . Ìàë. 6.8 Приклад. Ìàë. 6.9
Êðіì ðîçãîðíóòîãî êóòà, є é іíøі âèäè êóòіâ.

Ðîçâ ' ÿæiòü çàäà÷i òà

6.1.Íàçâіòü âåðøèíè і ñòîðîíè êóòіâ, çîáðàæåíèõ íà

ìàëþíêó 6.10. Ìàë. 6.10

6.2. Çàïèøіòü âåðøèíó і ñòîðîíè êóòà:

1) MOP; 2) BLK.

6.3. ßêèé ç äàíèõ êóòіâ ãîñòðèé, òóïèé, ïðÿìèé, ðîçãîðíóòèé: 1)  A  39; 2)  B  90; 3)  C  91; 4)  D  170; 5)  M  180; 6)  Q  79; 7)  P  13; 8)  F  17312; 9)  K  45?

6.4. Âèïèøіòü, ÿêі ç íàâåäåíèõ êóòіâ ãîñòðі, òóïі, ïðÿìі, ðîçãîðíóòі: 1)  K  121; 2)  A  90; 3)  L  12; 4)  E  180; 5)  M  89; 6)  N  9312 .

6.5. (Óñíî.) ×è є ïðîìіíü OK áіñåêòðèñîþ êóòà AOB (ìàë. 6.11–6.13)? Ìàë. 6.11 Ìàë. 6.12 Ìàë. 6.13

ÒÅÌÀ 2 58 Яку фігуру називають кутом? Як позначають кут? Що таке вершина кута; сторона кута? Який кут називають розгорнутим? Якими інструментами вимірюють кути? У яких одиницях вимірюють кути? Що означає вислів: «Промінь проходить між сторонами кута»? Сформулюйте основну властивість вимірювання кутів. Які кути називають рівними? Який кут називають прямим; гострим;
Який промінь називають бісектрисою кута?
тупим?
âèêîíàéòå âï ð àâ
è

6.6. Çà ìàëþíêîì 6.14:

1) çàïèøіòü óñі çîáðàæåíі êóòè; 2) êîðèñòóþ÷èñü òðàíñïîðòèðîì, çíàéäіòü ãðàäóñíі ìіðè äåÿêèõ äâîõ ç íèõ; 3) îá÷èñëіòü ãðàäóñíó ìіðó òðåòüîãî êóòà.

6.7. Êîðèñòóþ÷èñü òðàíñïîðòèðîì, çíàéäіòü

ãðàäóñíі ìіðè êóòіâ, çîáðàæåíèõ íà ìàëþíêó 6.10. Âèçíà÷òå

âèä êîæíîãî ç íèõ.

6.8. Íàêðåñëіòü êóò ãðàäóñíîї ìіðè: 1) 30; 2) 90; 3) 115; 4) 75 .

6.9. Íàêðåñëіòü êóò, ãðàäóñíà ìіðà ÿêîãî: 1) 65; 2) 100; 3) 20; 4) 155 .

6.10. Íàêðåñëіòü êóò, ãðàäóñíà ìіðà ÿêîãî äîðіâíþє 140 , і ïðîâåäіòü éîãî áіñåêòðèñó.

6.11. Íàêðåñëіòü êóò, ãðàäóñíà ìіðà ÿêîãî äîðіâíþє 50 , і ïðîâåäіòü éîãî áіñåêòðèñó.

6.12. Âèêîíàéòå äії: 1) 713 + 1249; 2) 5217 – 4527 .

6.13. Âèðàçіòü: 1) ó ìіíóòàõ: 4; 215; 2) ó ñåêóíäàõ: 5; 2; 13 .

6.14. Ïðîìіíü OK ïðîõîäèòü ìіæ ñòîðîíàìè êóòà BOC. Çíàéäіòü

ãðàäóñíó ìіðó êóòà BOC, ÿêùî  BOK  38 ,  KOC  42 . Âèêîíàéòå ìàëþíîê.

6.15. Ïðîìіíü PC ïðîõîäèòü ìіæ ñòîðîíàìè êóòà A PB. Çíàéäіòü

ãðàäóñíó ìіðó êóòà CPB, ÿêùî  A PB  108 ,  A PC  68 . Âèêîíàéòå ìàëþíîê.

6.16. ×è ïðîõîäèòü ïðîìіíü BK ìіæ ñòîðîíàìè êóòà A BC, ÿêùî  A BC  52 ,  A BK  57? Âіäïîâіäü îáґðóíòóéòå.

6.17. Çíàéäіòü ãðàäóñíі ìіðè êóòіâ ìіæ ãîäèííîþ òà õâèëèííîþ ñòðіëêàìè ãîäèííèêà: 1) î 18 ãîä; 2) î 3 ãîä; 3) î 1 ãîä; 4) î 20 ãîä.

6.18. Çíàéäіòü ãðàäóñíó ìіðó êóòà ìіæ ãîäèííîþ òà õâèëèííîþ ñòðіëêàìè ãîäèííèêà: 1) î 21 ãîä; 2) î 6 ãîä; 3) î 19 ãîä; 4) î 2 ãîä.

6.19. Ïðîìіíü OC äіëèòü êóò AOB íà äâà êóòè. Çíàéäіòü ãðàäóñíó ìіðó êóòà BOC, ÿêùî  AOB  60 і  AOC   AOB. Ìàë. 6.14

Åëåìåíòàðí³ ãåîìåòðè÷í³ ôiãóðè òà ¿õí³ âëàñòèâîñò³... 59

6.20. Ïðîìіíü AB äіëèòü êóò MAK íà äâà êóòè. Çíàéäіòü ãðàäóñíó ìіðó êóòà MAK, ÿêùî  MAB  70, à êóò BAK ñòàíîâèòü 60 % âіä êóòà MAB.

6.21. Êóò ìіæ áіñåêòðèñîþ êóòà і ïðîäîâæåííÿì îäíієї ç éîãî ñòîðіí çà âåðøèíó êóòà äîðіâíþє 142. Çíàéäіòü ãðàäóñíó ìіðó öüîãî êóòà.

6.22. ßêèé êóò óòâîðþє áіñåêòðèñà êóòà 98 ç ïðîäîâæåííÿì îäíієї ç éîãî ñòîðіí çà âåðøèíó êóòà?

6.23. 1) Ðîçâ’ÿæіòü çàäà÷і, óìîâè ÿêèõ ïîäàíî â òàáëèöі, òà ïðî÷èòàéòå ïðіçâèùå.

MQB  120 . Ìіæ ñòîðîíàìè êóòà ïðîõîäèòü ïðîìіíü QP. Çíàéäіòü êóòè PQB і MQP, ÿêùî:

êóò PQB ó 4 ðàçè ìåíøèé âіä êóòà MQP Ó Ê

PQB : MQP  3 : 2 Ð ×

êóò PQB íà 20 áіëüøèé çà êóò MQP À Â

2) ßêèõ âіäîìèõ óêðà їíöіâ іç öèì ïðіçâèùåì âè çíàєòå? Іíòåðíåò äîïîìîæå äіçíàòèñÿ ïðî òèõ, êîãî íå ïðèãàäàëè.

6.24. 1) Ðîçâ’ÿæіòü çàäà÷і, óìîâè ÿêèõ ïîäàíî â òàáëèöі, òà ïðî÷èòàéòå íàçâó ñòîëèöі єâðîïåéñüêîї äåðæàâè.

Ïðîìіíü AC ïðîõîäèòü ìіæ ñòîðîíàìè

êóòà MAN, ÿêèé äîðіâíþє 84 N  . Çíàéäіòü

êóòè MAC і CAN, ÿêùî: N MAC CA N

êóò MAC áіëüøèé çà êóò CA N íà 14 Ð À

êóò MAC ìåíøèé âіä êóòà CAN óòðè÷і Â Ø

ðó êóòà LOK.

ÒÅÌÀ 2 60
PQB MQP
96 72 70 50 48 24 96
21 35 49 63 35 21 35
â
äñòàíü âіä Êèєâà
öієї
þ
2) Äіçíàéòåñÿ ïðî
і
äî
ñòîëèöі òà ñêëàäіòü çàäà÷ó, ïîâ’ÿçàíó іç öіє
âіäñòàííþ. 6.25. Ðîçãîðíóòèé  AOB ïðîìåíÿìè OK і OL ïîäіëåíî íà òðè êóòè òàê, ùî  AOK  140 ,  BOL  100 . Çíàéäіòü ãðàäóñíó ìі

6.26. Ïðÿìèé  COD ïðîìåíÿìè OM і ON ïîäіëåíî íà òðè êóòè òàê, ùî  CON  70 ,  MOD  80 . Çíàéäіòü ãðàäóñíó ìіðó êóòà MON.N

Æ èòò є â à ìàòåìàòèê à

6.27. Ôåðìåðñüêà ðîäèíà Íå÷èïîðóêіâ ïîñіÿëà îãіðêè â òåïëèöі

28 ì 50 ñì çàâäîâæêè і 16 ì çàâøèðøêè.

1) Ñêіëüêè êіëîãðàìіâ îãіðêіâ çáåðå ðîäèíà ç òåïëèöі, ÿêùî ç 1 ì2 çáèðàþòü 30 êã îãіðêіâ?

2) ßêó âèðó÷êó îòðèìàþòü ôåðìåðè, ÿêùî ïðîäàäóòü îãіðêè ïіä ÷àñ âåñíÿíîãî ñåçîííîãî ïіäâèùåííÿ öіí íà îâî÷і çà öіíîþ 18 ãðí çà êіëîãðàì?

äðóä

6.28. 1) Ïðèãàäàéòå íàçâè ãåîìåòðè÷íèõ ôіãóð, ÿêі âè ðîçãëÿíóëè â öіé òåìі, і ôіãóð, ÿêі âè çíàєòå ç ïîïåðåäíіõ êëàñіâ. Çàïèøіòü їõíі íàçâè â ðÿäêàõ êðîñâîðäà. ßêùî íàçâè ôіãóð çàïèñàíî ïðàâèëüíî, òî ó âèäіëåíîìó ñòîâï÷èêó ìîæíà ïðî÷èòàòè ïðіçâèùå âèäàòíîãî óêðà їíñüêîãî ìàòåìàòèêà. 2) Çíàéäіòü ó ëіòåðàòóðі ÷è іíòåðíåòі âіäîìîñòі ïðî æèòòєâèé і òâîð÷èé øëÿõ öüîãî ìàòåìàòèêà. Іíôîðìàöіþ ïðî öüîãî â÷åíîãî ìîæíà çíàéòè òàêîæ і íà ñòîðіíêàõ ïіäðó÷íèêà.

Àêñіîìè ãåîìåòðії – öå òâåðäæåííÿ ïðî îñíîâíі âëàñòèâîñòі ї íàéïðîñòіøèõ ãåîìåòðè÷íèõ ôіãóð, ïðèéíÿòі ÿê ïî÷àòêîâі ïîëîæåííÿ.

Ó ïåðåêëàäі ç ãðåöüêîї ñëîâî àêñіîìà îçíà÷àє ïðèéíÿòå ïîëîæåííÿ.

Åëåìåíòàðí³ ãåîìåòðè÷í³ ôiãóðè òà ¿õí³ âëàñòèâîñò³... 61
ðó
à÷ і –
і ð ê ó é î ä íà÷å
Ö і êà â і çà ä
ïîì
§ 7. Аксіоми, теореми, означення
Аксіоми

Теореми

Ìàòåìàòè÷íå òâåðäæåííÿ, ñïðàâåäëèâіñòü ÿêîãî âñòàíîâëþєòüñÿ çà äîïîìîãîþ ìіðêóâàíü, íàçèâàþòü òåîðåìîþ, à ñàìå ìіðêóâàííÿ íàçèâàþòü äîâåäåííÿì òåîðåìè. Êîæíà òåîðåìà ìàє óìîâó (òå, ùî äàíî) і âèñíîâîê (òå, ùî ïîòðіáíî äîâåñòè). Óìîâó òåîðåìè ïðèéíÿòî çàïèñóâàòè ïіñëÿ

ñëîâà «äàíî», à âèñíîâîê – ïіñëÿ ñëîâà «äîâåñòè». Äîâîäÿ÷è òåîðåìó, ìîæíà êîðèñòóâàòèñÿ àêñіîìàìè, à òàêîæ ðàíіøå äîâåäåíèìè òåîðåìàìè. Æîäíі іíøі âëàñòèâîñòі ãåîìåòðè÷íèõ ôіãóð (íàâіòü ÿêùî âîíè çäàþòüñÿ íàì î÷åâèäíèìè) âèêîðèñòîâóâàòè íå ìîæíà.

Означення

Òâåðäæåííÿ, ó ÿêîìó ïîÿñíþєòüñÿ çìіñò ïåâíîãî ïîíÿòòÿ (òåðìіí), íàçèâàþòü îçíà÷åííÿì. Âè âæå çíàєòå äåÿêі îçíà÷åííÿ, íàïðèêëàä îçíà÷åííÿ âіäðіçêà, êóòà, áіñåêòðèñè êóòà.

ÒÅÌÀ 2 62 Íàãàäàєìî äå
Давньогрецький учений Евклід у своїй видатній праці «Начала» зібрав та узагальнив багаторічний науковий досвід. Головним здобутком Евкліда було те, що він запропонував і розвинув аксіоматичний підхід до побудови курсу геометрії. Цей підхід полягає в тому, що спочатку формулюються основні положення (аксіоми), а потім на їх основі за

Ващенко-Захарченко опублікував переклад «Начал», додавши пояснення інших питань геометрії.

Евклід

давньогрецькі вчені, зокрема Архімед (бл. 287–212 рр.

матик Давид Гільберт (1862–1943). Він створив повну й несуперечливу систему аксіом геометрії Евкліда.

Що таке аксіома? Наведіть приклади аксіом. Що таке теорема; доведення теореми? Що таке означення? § 8. Суміжні кути Суміжні кути

Íà ìàëþíêó 8.1 êóòè AOK і KOB – ñóìіæíі, ñòîðîíà OK ó íèõ – ñïіëüíà, à OA і OB є äîïîâíÿëüíèìè ïðîìåíÿìè.

Åëåìåíòàðí³ ãåîìåòðè÷í³ ôiãóðè òà ¿õí³ âëàñòèâîñò³... 63 допомогою логічних міркувань доводять інші твердження (теореми). Такий підхід до побудови курсу геометрії використовують і досі, формулюючи деякі з аксіом Евкліда в більш сучасному вигляді. «Начала» згодом було перекладено на більшість європейських мов.
український математик Михайло
У 1880 р. видатний
Єгорович
М. Є. Ващенко-Захарченко
в «Началах», називають евклідовою геометрією. Значний внесок у розвиток геометрії зробили й інші
до н. е.) та Аполлоній (ІІІ ст. до н. е.). Аналіз
аксіом,
запропонував Евклід, тривав не одне
Його на межі XIX і XX ст. завершив видатний німецький мате-
(ІІІ ст. до н. е.)
(1825–1912) Саму науку, викладену
системи
які
століття.

Äîâåäåííÿ. Íåõàé  AOK і  KOB – ñóìіæíі (ìàë. 8.1).

Îñêіëüêè ïðîìåíі OA і OB óòâîðþþòü ðîçãîðíóòèé êóò, òî  AOK +  KOB   AOB  180 . Îòæå, ñóìà ñóìіæíèõ êóòіâ äîðіâíþє 180 . Òåîðåìó äîâåäåíî.

Òâåðäæåííÿ, ÿêі âèïëèâàþòü áåçïîñåðåäíüî ç àêñіîì ÷è òåîðåì, íàçèâàþòü íàñëіäêàìè. Ðîçãëÿíåìî íàñëіäêè ç äîâåäåíîї òåîðåìè.

ìî ðіâíÿííÿ: x + x

ÒÅÌÀ 2 64
суміжних кутів
Властивості
іðó êîæíîãî
. Äëÿ çðó÷íîñòі çàïèñіâ ïîçíà÷èìî ìåíøèé ç äàíèõ
+ 56  180, çâіäêè x  62 . 3)
êóòіâ äîðіâíþє 62, à іíøèé –
Які кути називають суміжними? Сформулюйте та доведіть теорему про властивість суміжних кутів. Ðîçâ ' ÿæiòü çàäà÷i òà âèêîíàéòå âï ð àâ è
Ìàë. 8.2 Ìàë. 8.3 Ìàë. 8.4 Ìàë. 8.5 Приклад.
Çíàéòè ãðàäóñíó ì
іç ñóìіæíèõ êóòіâ, ÿêùî îäèí ç íèõ íà 56 áіëüøèé çà іíøèé. Ðîçâ’ÿçàííÿ
êóòіâ –  1, à áіëüøèé –  2. 1) Íåõàé  1  x, òîäі  2  x + 56 . 2) Îñêіëüêè  1 +  2  180 (çà âëàñòèâіñòþ ñóìіæíèõ êóòіâ), ìàє
Îòæå, îäèí іç øóêàíèõ
62 + 56  118 . Âіäïîâіäü: 62; 118 .
8.1. (Óñíî.) Íà ÿêèõ ç ìàëþíêіâ 8.2–8.5 êóòè 1 і 2 є ñóìіæíèìè?

8.2. ×è ìîæóòü äâà ñóìіæíèõ êóòè äîðіâíþâàòè: 1) 42 і 148; 2) 90 і 90; 3) 166 і 14; 4) 23 і 156?

8.3. ×è ìîæóòü äâà ñóìіæíèõ êóòè äîðіâíþâàòè: 1) 13 і 167; 2) 5 і 165; 3) 11 і 179; 4) 91 і 89?

8.4.Çíàéäіòü êóò, ñóìіæíèé ç êóòîì: 1) 15; 2) 113 .

8.5. Çíàéäіòü êóò, ñóìіæíèé ç êóòîì: 1) 127; 2) 39 .

8.6. Íàêðåñëіòü çà äîïîìîãîþ òðàíñïîðòèðà  MON  50 . Ïîáóäóéòå ñóìіæíèé ç íèì êóò çà óìîâè, ùî ON – їõíÿ ñïіëüíà ñòîðîíà. Îá÷èñëіòü éîãî ãðàäóñíó ìіðó.

8.7. Íàêðåñëіòü çà äîïîìîãîþ òðàíñïîðòèðà  A PB  115. Ïîáóäóéòå ñóìіæíèé ç íèì êóò çà óìîâè, ùî PA – їõíÿ ñïіëüíà ñòîðîíà. Îá÷èñëіòü éîãî ãðàäóñíó ìіðó.

8.8. Ïðîìіíü, ùî ïðîõîäèòü ìіæ ñòîðîíàìè êóòà, äіëèòü éîãî íà êóòè, ùî äîðіâíþþòü 15 і 72. Çíàéäіòü ãðàäóñíó ìіðó êóòà, ñóìіæíîãî ç äàíèì.

8.9. Áіñåêòðèñà êóòà M óòâîðþє ç éîãî ñòîðîíîþ êóò, ùî äîðіâíþє 36. Çíàéäіòü ãðàäóñíó ìіðó êóòà, ÿêèé ñóìіæíèé ç êóòîì M.

8.10. Íàêðåñëіòü äâà ñóìіæíèõ êóòè òàê, ùîá їõíÿ ñïіëüíà ñòîðîíà áóëà âåðòèêàëüíîþ, à ãðàäóñíі ìіðè – íåîäíàêîâèìè.

8.11. Íàêðåñëіòü äâà ñóìіæíèõ êóòè ðіçíîї ãðàäóñíîї ìіðè òàê, ùîá їõíÿ ñïіëüíà ñòîðîíà áóëà ãîðèçîíòàëüíîþ.

8.12. ßêùî ñóìіæíі êóòè ðіâíі, òî âîíè ïðÿìі. Äîâåäіòü öå òâåðäæåííÿ.

8.13. Êóòè, ñóìіæíі äî êóòіâ A і B, ðіâíі ìіæ ñîáîþ. Äîâåäіòü, ùî  A   B.

8.14. Çíàéäіòü ñóìіæíі êóòè, ÿêùî îäèí ç íèõ:

1) íà 18 ìåíøèé âіä іíøîãî; 2) ñòàíîâèòü âіä іíøîãî.

8.15. Çíàéäіòü ñóìіæíі êóòè, ÿêùî îäèí ç íèõ:

1) óòðè÷і áіëüøèé çà іíøîãî; 2) ñòàíîâèòü 25 % âіä іíøîãî.

8.16. Äàíî ãîñòðèé êóò M і òóïèé êóò N, ãðàäóñíі ìіðè ÿêèõ âіäíîñÿòüñÿ ÿê 2 : 5. Çíàéäіòü ãðàäóñíі ìіðè öèõ êóòіâ, ÿêùî êóò, ñóìіæíèé ç îäíèì ç íèõ, äîðіâíþє 140 .

Åëåìåíòàðí³ ãåîìåòðè÷í³ ôiãóðè òà ¿õí³ âëàñòèâîñò³... 65

8.17. Äàíî òóïèé êóò A і ãîñòðèé êóò B, ãðàäóñíі ìіðè ÿêèõ âіäíîñÿòüñÿ ÿê 4 : 3. Çíàéäіòü ãðàäóñíі ìіðè öèõ êóòіâ, ÿêùî êóò, ñóìіæíèé ç îäíèì ç íèõ, äîðіâíþє 80 .

8.18. Çíàéäіòü êóò ìіæ áіñåêòðèñàìè ñóìіæíèõ êóòіâ.

8.19. Äâà êóòè âіäíîñÿòüñÿ ÿê 1 : 2, à ñóìіæíі ç íèìè – ÿê 7 : 5. Çíàéäіòü öі êóòè.

8.20. Îäèí ç äâîõ äàíèõ êóòіâ íà 20 áіëüøèé çà іíøèé, à ñóìіæíі ç íèìè – âіäíîñÿòüñÿ ÿê 5 : 6. Çíàéäіòü äàíі êóòè.

8.21. Îäèí іç ñóìіæíèõ êóòіâ óäâі÷і áіëüøèé çà ðіçíèöþ öèõ êóòіâ. Çíàéäіòü öі êóòè.

8.22.Íàêðåñëіòü êóò, ãðàäóñíà ìіðà ÿêîãî äîðіâíþє: 1) 27; 2) 119 .

8.23. Òî÷êè A, B і C ëåæàòü íà îäíіé ïðÿìіé, A B  2,7 ñì, BC  3,6 ñì. ×è ìîæå âіäñòàíü ìіæ òî÷êàìè A і C äîðіâíþâàòè: 1) 0,8 ñì; 2) 0,9 ñì; 3) 1 ñì; 4) 6,1 ñì; 5) 6,3 ñì; 6) 6,5 ñì?

Æè òò є â à ìàòåìàò è ê à

8.24. Áóäіâåëüíèêàì äëÿ âñòàíîâëåííÿ áàøòè ïîòðіá-

íî çàëèòè ôóíäàìåíò ó ôîðìі êіëüöÿ. Ðàäіóñ

çîâíіøíüîãî êîëà öüîãî ôóíäàìåíòó ìàє äîðіâ-

íþâàòè 15 ì, à âíóòðіøíüîãî – 10 ì. Âèçíà÷òå ïëîùó çåìåëüíîї äіëÿíêè ïіä ôóíäàìåíòîì áàøòè.

Ö і êà â і çà ä à÷ і – ïîì і ð ê ó é î ä íà÷å äðóä

ðó

8.25. Àíàãðàìè. Ó öіé çàäà÷і ïîòðіáíî ðîçøèôðóâàòè êîæíèé çàïèñ, ïåðåñòàâèâøè áóêâè â íüîìó òàê, ùîá îòðèìàòè âіäîìå ñëîâî. Òàêі ïåðåñòàíîâêè íàçèâàþòü àíàãðàìàìè. Íàïðèêëàä, ðîçâ’ÿçàòè àíàãðàìó ÂÄÀÊÒÀÐ – îçíà÷àє çíàéòè ñëîâî, ñêëàäåíå іç öèõ áóêâ, – öå ÊÂÀÄÐÀÒ.

Ðîçâ’ÿæіòü àíàãðàìè: 1) ÒÓÊ; 2) ÀÐßÌÏ; 3) ÊËÅІÂÄ; 4) ÌÎÐÒÅІßÃÅ.

ÒÅÌÀ 2 66
Âï
ð à â è äëÿ ïî â òî ð åííÿ ðð

Äîâåäåííÿ. Íåõàé êóòè A KC і DKB – âåðòèêàëüíі (ìàë. 9.1).

1) Îñêіëüêè êóòè A KC і A KD ñóìіæíі, òî  AKC +  AKD  180 .

2) Òàêîæ ñóìіæíі êóòè A KD і DKB, òîìó

 AKD +  DKB  180 .

Ìàë. 9.1

3) Ìàєìî:  AKC  180 –  AKD і  DKB  180 –  AKD.

Ïðàâі ÷àñòèíè öèõ ðіâíîñòåé ðіâíі, òîìó ðіâíèìè є і ëіâі їõíі ÷àñòèíè. Îòæå,  AKC   DKB. Òåîðåìó äîâåäåíî.

Приклад.

Äâà іç ÷îòèðüîõ íåðîçãîðíóòèõ êóòіâ, ùî óòâîðèëèñÿ ïðè ïåðåòèíі äâîõ ïðÿìèõ, âіäíîñÿòüñÿ ÿê 4 : 5. Çíàéòè ãðàäóñíó ìіðó êîæíîãî ç êóòіâ, ùî óòâîðèëèñÿ. Ðîçâ’ÿçàííÿ. Êîæíі äâà êóòè, ÿêі óòâîðèëèñÿ â ðåçóëüòàòі ïåðåòèíó äâîõ ïðÿìèõ, є àáî ñóìіæíèìè, àáî âåðòèêàëüíèìè (ìàë. 9.2). Îñêіëüêè âåðòèêàëüíі êóòè ðіâíі:  AKD   CKB,  AKC   BKD, òî â çàäà÷і éäåòüñÿ ïðî ñóìіæíі êóòè. Íàïðèêëàä  AKD і  AKC. 1) Çà óìîâîþ  AKD :  AKC  4 : 5, òîìó ìîæåìî ââåñòè ïîçíà÷åííÿ:  AKD  4x,  AKC  5x.

Ìàë. 9.2

Åëåìåíòàðí³ ãåîìåòðè÷í³ ôiãóðè òà ¿õí³ âëàñòèâîñò³... 67 § 9. Вертикальні
. Кут між двома прямими
що перетинаються
кути
,
Вертикальні кути

Який кут називають кутом між двома прямими? Ðîçâ'ÿæiòü çàäà÷i

9.1. (Óñíî.) Íàçâіòü ïàðè âåðòèêàëüíèõ êóòіâ íà ìàëþíêó 9.3.

Ìàë. 9.3 Ìàë. 9.4 Ìàë. 9.5 Ìàë. 9.6

9.2. (Óñíî.) ×è є íà ìàëþíêó 9.4 âåðòèêàëüíі êóòè?

9.3. Îäèí ç âåðòèêàëüíèõ êóòіâ äîðіâíþє: 1) 15; 2) 129 . Çíàéäіòü іíøèé âåðòèêàëüíèé êóò.

9.4. Îäèí ç âåðòèêàëüíèõ êóòіâ äîðіâíþє: 1) 42; 2) 139. Çíàéäіòü іíøèé âåðòèêàëüíèé êóò.

9.5. Íà ìàëþíêó 9.5 ïðÿìі A M, BL і CK ïåðåòèíàþòüñÿ â òî÷öі P. Çíàéäіòü óñі ïàðè âåðòèêàëüíèõ êóòіâ.

9.6. Îäèí ç êóòіâ, ùî óòâîðèëèñÿ ïðè ïåðåòèíі äâîõ ïðÿìèõ, äîðіâíþє 40 . Çíàéäіòü іíøі êóòè.

9.7. Íà ìàëþíêó 9.6  AML  120 . Çíàéäіòü  A MP,  PMB і  BML.

ÒÅÌÀ 2 68 2) Îñêіëüêè  AKD +  AKC  180 , ìàєìî ðіâíÿííÿ: 4x + 5x  180 , çâіäêè x  20 . 3) Òîäі  AKD  4 ∙ 20  80 ,  AKC  5 ∙ 20  100 . Äàëі:  CKB   AKD  80 ,  BKD   AKC  100 . Âіäïîâіäü: 80 , 100 , 80 , 100 . Кут між прямими Êóò ìіæ ïðÿìèìè A B і DC ç ïîïåðåäíüîї çàäà÷і äîðіâíþє 80 . Кут між прямими, що перетинаються, не може перевищувати 90° Які
вертикальними? Яку властивість мають вертикальні кути?
âèêîíàéòå âï ð àâ è
кути називають
òà

9.8. (Óñíî.) Ó÷åíèöÿ íàêðåñëèëà äâі ïðÿìі, ùî ïåðåòèíàþòüñÿ, òà, âèìіðÿâøè òðàíñïîðòèðîì îäèí ç êóòіâ, ÿêі ïðè öüîìó óòâîðèëèñÿ, îòðèìàëà 130 . ×è ìîæå âîíà ñòâåðäæóâàòè, ùî êóò ìіæ ïðÿìèìè äîðіâíþє 130? Âіäïîâіäü ïîÿñíіòü.

9.9. Ïðÿìі AB і PL ïåðåòèíàþòüñÿ â òî÷öі O (ìàë. 9.7),  POB  118 . Çíàéäіòü êóò ìіæ ïðÿìèìè A B і PL.

Ìàë. 9.7

9.10. Íàêðåñëіòü äâі ïðÿìі, ùî ïåðåòèíàþòüñÿ, і çíàéäіòü çà äîïîìîãîþ òðàíñïîðòèðà êóò ìіæ íèìè.

9.11. Íàêðåñëіòü  MON, ùî äîðіâíþє 110 N  . Ïîáóäóéòå äîïîâíÿëüíі ïðîìåíі OL і OK äî éîãî ñòîðіí OM і ON âіäïîâіäíî. Îá÷èñëіòü ãðàäóñíі ìіðè òðüîõ íåðîçãîðíóòèõ êóòіâ, ùî óòâîðèëèñÿ, і ïîðіâíÿéòå ç ðåçóëüòàòàìè âèìіðþâàííÿ.

9.12. Íàêðåñëіòü  AOB, ùî äîðіâíþє 30. Ïîáóäóéòå äîïîâíÿëüíі ïðîìåíі OP і OD äî éîãî ñòîðіí OA і OB âіäïîâіäíî. Îá÷èñëіòü ãðàäóñíі ìіðè òðüîõ íåðîçãîðíóòèõ êóòіâ, ùî óòâîðèëèñÿ, і ïîðіâíÿéòå ç ðåçóëüòàòàìè âèìіðþâàííÿ.

9.13. Çíàéäіòü ãðàäóñíó ìіðó êîæíîãî ç êóòіâ, ÿêі óòâîðèëèñÿ ïðè ïåðåòèíі äâîõ ïðÿìèõ, ÿêùî:

1) óñі êóòè ðіâíі ìіæ ñîáîþ;

2) ñóìà äâîõ ç íèõ äîðіâíþє 178 .

9.14. Çíàéäіòü ãðàäóñíó ìіðó êîæíîãî ç êóòіâ, ÿêі óòâîðèëèñÿ ïðè ïåðåòèíі äâîõ ïðÿìèõ, ÿêùî:

1) ñóìà äâîõ ç íèõ äîðіâíþє 16;

2) òðè іç ÷îòèðüîõ êóòіâ ðіâíі ìіæ ñîáîþ.

9.15. Çíàéäіòü êóò ìіæ ïðÿìèìè, ùî ïåðåòèíàþòüñÿ, ÿêùî:

1) ðіçíèöÿ äâîõ ç óòâîðåíèõ êóòіâ äîðіâíþє 18;

2) ñóìà òðüîõ ç óòâîðåíèõ êóòіâ äîðіâíþє 293;

3) îäèí іç êóòіâ ñòàíîâèòü âіä іíøîãî.

9.16. Çíàéäіòü êóò ìіæ ïðÿìèìè, ùî ïåðåòèíàþòüñÿ, ÿêùî:

1) îäèí ç êóòіâ, ùî óòâîðèëèñÿ, óäâі÷і ìåíøèé âіä іíøîãî;

2) îäèí іç êóòіâ ñòàíîâèòü 20 % âіä іíøîãî.

Åëåìåíòàðí³ ãåîìåòðè÷í³ ôiãóðè
69
òà ¿õí³ âëàñòèâîñò³...

9.17. Ïðÿìі AP, BL і CK ïåðåòèíàþòüñÿ â òî÷öі M (ìàë. 9.8),  BMC  20 ,  LMP  60 . Çíàéäіòü  AMK.

9.18. Ïðÿìі A P, BL і CK ïåðåòèíàþòüñÿ â òî÷öі M (ìàë. 9.8),  CMP  105 ,  KML  25. Çíàéäіòü  A MB. Ìàë. 9.9

9.19. Íà ìàëþíêó 9.9 çîáðàæåíî òðè ïðÿìі, ùî ïåðåòèíàþòüñÿ â îäíіé òî÷öі. Çíàéäіòü ñóìó êóòіâ 1, 2 і 3.

9.21. Íà ïðÿìіé ïîñëіäîâíî ïîçíà÷åíî 10 òî÷îê òàê, ùî âіäñòàíü ìіæ áóäü-ÿêèìè äâîìà ñóñіäíіìè òî÷êàìè äîðіâíþє 2 ñì. Çíàéäіòü âіäñòàíü ìіæ äâîìà êðàéíіìè òî÷êàìè.

9.22. Âіäîìî, ùî  A BC  70 , à  CBD  20 . ×è ìîæå ãðàäóñíà ìіðà êóòà A BD äîðіâíþâàòè: 1) 40; 2) 50; 3) 60; 4) 80; 5) 90; 6) 100? Æè òò є â à ìàòåìàò è êà

9.23. Çãіäíî іç ñàíіòàðíèìè íîðìàìè âіäíîøåííÿ ïëîùі âіêîí äî

ïëîùі ïіäëîãè ó êëàñíіé êіìíàòі ìàє áóòè íå ìåíøå íіæ 0,2. ×è äîòðèìàíî öèõ íîðì ó êëàñíіé êіìíàòі, äîâæèíà ÿêîї 14 ì, à øèðèíà ñòàíîâèòü 35 % âіä äîâæèíè, ÿêùî â êіìíàòі òðè âіêíà ðîçìіðîì 2 ì  1,8 ì?

Ö і êà â і çà ä à÷ і – ïîì і ð ê ó é î ä íà÷å äðóä

9.24. Ôіãóðó íà ìàëþíêó ñêëàäåíî ç âîñüìè ñіðíèêіâ.

1) Ñêіëüêè êâàäðàòіâ ïðè öüîìó óòâîðèëîñÿ?

2) ßê ïðèáðàòè äâà ñіðíèêè òàê, ùîá çàëèøèëîñÿ ëèøå òðè êâàäðàòè?

ÒÅÌÀ 2 70
Âï ð à â è äëÿ ïî â òî ð åííÿ ðð
9.20. Äîâåäіòü, ùî áіñåêòðèñè âåðòèêàëüíèõ êóòіâ є äîïîâíÿëüíèìè ïðîìåíÿìè.
ðó

Çàâäàííÿ 1–12 ìàþòü ïî ÷îòèðè âàðіàíòè âіäïîâіäåé (À–Ã), ñåðåä ÿêèõ ëèøå îäèí є ïðàâèëüíèì. Îáåðіòü ïðàâèëüíèé âàðіàíò âіäïîâіäі.

1. ßêà ç òî÷îê íà ìàëþíêó íàëåæèòü

і ïðÿìіé a, і ïðÿìіé b?

À. K Á. L Â. M Ã. N

2. ßêèé іç çàïðîïîíîâàíèõ êóòіâ є òóïèì?

3. Ïàðà ñóìіæíèõ êóòіâ ìîæå äîðі

4. Ïðîìіíü OP ïðîõîäèòü ìіæ ñòîðîíàìè êóòà AOB. Çíàéäіòü ãðàäóñíó ìіðó êóòà AOB, ÿêùî  AOP  20 ,  POB  50 .

À. 30 Á. 70

Â. 110 Ã. Íåìîæëèâî âèçíà÷èòè

5. Òî÷êà L íàëåæèòü âіäðіçêó A B. Çíàéäіòü A L, ÿêùî LB  5 ñì, AB  8 ñì.

À. 13 ñì Á. 9 ñì Â. 4 ñì Ã. 3 ñì

6. Îäèí ç êóòіâ, ùî óòâîðèëèñÿ ïðè ïåðåòèíі äâîõ ïðÿìèõ,

äîðіâíþє 160 . Çíàéäіòü êóò ìіæ ïðÿìèìè.

À. 160 Á. 100 Â. 80 Ã. 20

7. Âіäîìî, ùî AB  4 ñì, BC  7 ñì, AC  3 ñì. Óêàæіòü

âçàєìíå ðîçìіùåííÿ òî÷îê A, B і C.

À. Òî÷êà À ëåæèòü ìіæ òî÷êàìè  і Ñ

Á. Òî÷êà  ëåæèòü ìіæ òî÷êàìè À і Ñ

Â. Òî÷êà Ñ ëåæèòü ìіæ òî÷êàìè  і À

Ã. Æîäíà ç òî÷îê íå ëåæèòü ìіæ äâîìà іíøèìè

8. Ïðîìіíü OK є áіñåêòðèñîþ êóòà COB,  COB  70 (äèâ. ìàë.).

Çíàéäіòü  AOK.

À. 110 Á. 135 Â. 145 Ã. 155

Åëåìåíòàðí³ ãåîìåòðè÷í³ ôiãóðè òà ¿õí³ âëàñòèâîñò³... 71
РОБОТА
ДОМАШНЯ САМОСТІЙНА
№ 2 (§§ 4–9)
90
À.  M  129 Á.  T 
Â.  N  180 Ã.  L  78
âíþâàòè... À. 18 і 172 Á. 27 і 153 Â. 25 і 145 Ã. 47 і 134

9. Îäèí іç ñóìіæíèõ êóòіâ óäâі÷і ìåíøèé âіä іíøîãî. Çíàéäіòü

áіëüøèé іç öèõ êóòіâ.

À. 60 Á. 80 Â. 100 Ã. 120

10. Íà ïëîùèíі ïîçíà÷åíî ï’ÿòü òî÷îê òàê, ùî æîäíі òðè ç íèõ

íå ëåæàòü íà îäíіé ïðÿìіé. Ñêіëüêè ðіçíèõ ïðÿìèõ, êîæíà

ç ÿêèõ ïðîõîäèòü ÷åðåç äåÿêі äâі ç äàíèõ òî÷îê, ìîæíà ïðîâåñòè?

À. 5 Á. 8

Â. 10 Ã. 15

11. Ðîçãîðíóòèé  MON ïîäіëåíî ïðîìåíÿìè OA і OB íà òðè

êóòè,  MOA  120 ,  NOB  110 . Çíàéäіòü ãðàäóñíó ìіðó

êóòà AOB.

À. 50 Á. 60

Â. 70 Ã. 80

12. Äàíî äâà êóòè, ãðàäóñíі ìіðè ÿêèõ âіäíîñÿòüñÿ ÿê 1 : 2.

Ðіçíèöÿ êóòіâ, ñóìіæíèõ ç íèìè, äîðіâíþє 70. Çíàéäіòü

áіëüøèé ç äàíèõ êóòіâ.

À. 70 Á. 90 Â. 110 Ã. 140

Ó çàâäàííі 13 ïîòðіáíî âñòàíîâèòè âіäïîâіäíіñòü ìіæ іíôîðìàöієþ, ïîçíà÷åíîþ öèôðàìè òà áóêâàìè.

13. Íà âіäðіçêó A B çàâäîâæêè 74 ñì ïîçíà÷åíî òî÷êè M і N (äèâ. ìàë.). Äîâæèíè âіäðіçêіâ AM і M MN âіäíîñÿòüñÿ ÿê 3 : 2, N à âіäðіçîê NB íà 4 ñì äîâøèé çà âіäðіçîê MN. Óñòàíîâіòü âіä- N ïîâіäíіñòü ìіæ âіäðіçêàìè (1–3) òà їõíіìè äîâæèíàìè (À–Ã). Âіäðіçêè Äîâæèíè âіäðіçêіâ

1. A M À. 20 ñì

2. MN Á. 24 ñì 3. NB Â. 28 ñì Ã. 30 ñì

1. Íàçâіòü òî÷êè, ùî íàëåæàòü ïðÿìіé a, òà òî÷êè, ùî їé íå íàëåæàòü (äèâ. ìàë.). Çðîáіòü âіäïîâіäíі çàïèñè.

2. ßêèé ç äàíèõ êóòіâ ãîñòðèé, òóïèé, ïðÿìèé, ðîçãîðíóòèé: 1)  A  92; 2)  B  180; 3)  C  90; 4)  D  31?

ÒÅÌÀ 2 72
ЗАВДАННЯ ДЛЯ ПЕРЕВІРКИ ЗНАНЬ ДО
§§ 4–9

3. Çà ìàëþíêîì íàçâіòü ïàðè âåðòèêàëüíèõ êóòіâ.

4. Òî÷êà C íàëåæèòü âіäðіçêó MN. Çíàéäіòü äîâæèíó âіäðіçêà CM, ÿêùî MN  7,2 ñì, CN  3,4 ñì.

5. Çà äîïîìîãîþ òðàíñïîðòèðà íàêðåñëіòü êóò, ãðàäóñíà ìіðà

ÿêîãî äîðіâíþє 70 , і ïðîâåäіòü éîãî áіñåêòðèñó.

6. Ïðÿìі A B і CD ïåðåòèíàþòüñÿ â òî÷öі O,  AOC  132 . Çíàéäіòü êóò ìіæ ïðÿìèìè A B і CD.

7. Òî÷êè M і N íàëåæàòü âіäðіçêó A B, äîâæèíà ÿêîãî

äîðіâíþє 30 ñì. Çíàéäіòü äîâæèíó âіäðіçêà MN, ÿêùî N AM  20 ñì, BN  16 ñì.

8. Çíàéäіòü ñóìіæíі êóòè, ÿêùî îäèí ç íèõ íà 12 ìåíøèé âіä іíøîãî.

9. Òî÷êè A, B і K ëåæàòü íà îäíіé ïðÿìіé. Çíàéäіòü äîâæèíó âіäðіçêà A B, ÿêùî A K  9,3 ñì, KB  3,7 ñì. Ñêіëüêè ðîçâ’ÿçêіâ ìàє çàäà÷à?

Äîäàòêîâі âïðàâè

10. ßêèé êóò óòâîðþє áіñåêòðèñà êóòà 48 ç ïðîìåíåì, ùî є äîïîâíÿëüíèì äî îäíієї ç éîãî ñòîðіí?

11. Äâà êóòè âіäíîñÿòüñÿ ÿê 1 : 3, à ñóìіæíі ç íèìè – ÿê 7 : 3. Çíàéäіòü äàíі êóòè.

ВПРАВИ ДЛЯ ПОВТОРЕННЯ ТЕМИ 2 Äî § 4

1. Çà ìàëþíêîì óêàæіòü:

1) òî÷êó ïåðåòèíó ïðÿìèõ a і b;

2) ÿêі òî÷êè íàëåæàòü ïðÿìіé c;

3) ÷è íàëåæèòü òî÷êà M ïðÿìіé PL; 4) ÿê іíàêøå ìîæíà íàçâàòè ïðÿìó b.

2. 1) Ïîáóäóéòå ïðîìåíі OK, OM і ON

òàê, ùîá ïðîìіíü OM áóâ äîïîâíÿëüíèì

äëÿ ïðîìåíÿ ON.N

2) Ïîáóäóéòå ïðîìåíі OA, OB і OC òàê, ùîá ñåðåä ïîáóäîâàíèõ

ïðîìåíіâ íå áóëî æîäíîї ïàðè äîïîâíÿëüíèõ.

Åëåìåíòàðí³ ãåîìåòðè÷í³ ôiãóðè òà ¿õí³ âëàñòèâîñò³... 73

3. Ïîçíà÷òå òî÷êè A, B і C òàê, ùîá çàïèñè A B і AC îçíà÷àëè

äâі ðіçíі ïðÿìі.

4. Îäíà ç äâîõ ïðÿìèõ, ùî ïåðåòèíàþòüñÿ, ïðîõîäèòü ÷åðåç

òî÷êó M, ÿêà íàëåæèòü іíøіé ïðÿìіé. Ùî ìîæíà ñêàçàòè

ïðî òî÷êó M і òî÷êó ïåðåòèíó öèõ ïðÿìèõ?

5. Òî÷êè A і B íàëåæàòü ïðÿìіé l. Ïðÿìà m âіäìіííà âіä

ïðÿìîї l і ïðîõîäèòü ÷åðåç òî÷êó A. ×è ìîæå òî÷êà B íàëåæàòè ïðÿìіé m? Âіäïîâіäü îáґðóíòóéòå.

§ 5

6. 1) Ïîçíà÷òå â çîøèòі òî÷êè A, B і C, ÿêі íå ëåæàòü íà îäíіé

ïðÿìіé, і çíàéäіòü âіäñòàíі ìіæ êîæíîþ ïàðîþ òî÷îê.

2) Ïîçíà÷òå â çîøèòі òî÷êè D, E і F, ÿêі ëåæàòü íà îäíіé

ïðÿìіé, і çíàéäіòü âіäñòàíі ìіæ êîæíîþ ïàðîþ òî÷îê.

7. Íàêðåñëіòü âіäðіçîê KL  6 ñì 8 ìì. Ïîçíà÷òå íà íüîìó

òî÷êó P òàê, ùî KP  43 ìì. Çíàéäіòü äîâæèíó âіäðіçêà LP

çà äîïîìîãîþ îá÷èñëåíü.

8. Ñóìîþ ÿêèõ äâîõ âіäðіçêіâ є âіäðіçîê MN (äèâ. ìàë.)? Ðîç-

ãëÿíüòå âñі ìîæëèâі âèïàäêè.

9. 1) Òðè ïðÿìі ïåðåòèíàþòü âіäðіçîê AB, ïðè÷îìó æîäíà ç òî÷îê ïåðåòèíó ïðÿìèõ і âіäðіçêà íå çáіãàєòüñÿ ç êіíöÿìè

âіäðіçêà. Íà ñêіëüêè ÷àñòèí öі òî÷êè ìîæóòü ïîäіëèòè âіäðіçîê?

2) Íà ñêіëüêè ÷àñòèí ïîäіëèòüñÿ âіäðіçîê, ÿêùî êіëüêіñòü ïðÿìèõ äîðіâíþє n?

10. Òî÷êà C – ñåðåäèíà âіäðіçêà AB, òî÷êà D – ñåðåäèíà âіäðіçêà AC. Çíàéäіòü:

1) AC, CB, AD і DB, ÿêùî A B  20 ñì;

2) A B, AC, AD і DB, ÿêùî BC  12 äì.

11. Òî÷êè M і N íàëåæàòü âіäðіçêó CD, CD  15 ñì, CM  12 ñì, DN  11 ñì. Çíàéäіòü äîâæèíó âіäðіçêà NM.

12. Òî÷êà P íàëåæèòü âіäðіçêó A B. Íà ïðÿìіé AB ïîçíà÷òå òàêó

òî÷êó C, ùîá . Ñêіëüêè ðîçâ’ÿçêіâ ìàє çàäà÷à?

13. Òî÷êà K íàëåæèòü âіäðіçêó CD, äîâæèíà ÿêîãî a ñì. Çíàéäіòü âіäñòàíü ìіæ ñåðåäèíàìè âіäðіçêіâ CK і KD.

ÒÅÌÀ 2 74
Äî

14. Çíàéäіòü ãðàäóñíі ìіðè êóòіâ, çîáðàæåíèõ íà ìàëþíêó.

15. Äâà ó÷íі íàêðåñëèëè êóòè ïî 70. Îäèí ç ó÷íіâ ñêàçàâ, ùî â íüîãî êóò áіëüøèé, îñêіëüêè ñòîðîíè éîãî êóòà ìàþòü áіëüøó äîâæèíó. ×è ïðàâèé öåé ó÷åíü?

16. Âèêîðèñòîâóþ÷è ìàëþíîê, óêàæіòü óñі ìîæëèâі íàçâè êóòà ç âåðøèíîþ A ç äàíèõ: KAC, BAM, CA M, KMA, BAC, A KM, A BC, MA K, KAM, CA K.

17. Íàêðåñëіòü îäèí ãîñòðèé êóò і îäèí òóïèé. Ïîáóäóéòå áіñåêòðèñè öèõ êóòіâ çà äîïîìîãîþ òðàíñïîðòèðà.

18. 1) Íà ÿêèé êóò ïîâåðòàєòüñÿ õâèëèííà ñòðіëêà ãîäèííèêà ïðîòÿãîì 15 õâ; 7 õâ; 23 õâ?

2) Íà ÿêèé êóò ïîâåðòàєòüñÿ ãîäèííà ñòðіëêà ãîäèííèêà ïðîòÿãîì 1 õâ; 6 õâ; 40 õâ?

19. OK – áіñåêòðèñà êóòà AOB, OL – áіñåêòðèñà êóòà KOB. Çíàéäіòü:

1)  LOK, ÿêùî  AOB  120; 2)  AOB, ÿêùî  LOB  37 .

20.  AOB   BOC,  COD   DOE (äèâ. ìàë.). Çíàéäіòü:

1)  BOD, ÿêùî  AOE  140; 2)  AOE, ÿêùî  BOD  73 .

21.  AOB  168, ïðîìіíü OM ïðîõîäèòü ìіæ éîãî ñòîðîíàìè.

 AOM :  MOB  3 : 4. Çíàéäіòü öі êóòè.

Åëåìåíòàðí³ ãåîìåòðè÷í³ ôiãóðè òà ¿õí³ âëàñòèâîñò³... 75 Äî
§ 6

22. Ñåðåä êóòіâ, ÿêі çîáðàæåíî íà ìàëþíêàõ 1–3, óêàæіòü òі, ùî є ñóìіæíèìè.

1)

2) 3)

23. 1) ×è ìîæíà, âèêîðèñòîâóþ÷è ëèøå îëіâåöü і ëіíіéêó, ïîáóäóâàòè êóò, ñóìіæíèé ç äàíèì?

2) Ñêіëüêè òàêèõ êóòіâ ìîæíà ïîáóäóâàòè?

24.  ABC ìåíøèé, íіæ  MNP. Ó ÿêîãî ç êóòіâ ñóìіæíèé êóò áіëüøèé? Âіäïîâіäü îáґðóíòóéòå.

25. Çíàéäіòü ñóìіæíі êóòè, ÿêùî їõíі ãðàäóñíі ìіðè âіäíîñÿòüñÿ ÿê 3 : 7.

26. Îäèí іç ñóìіæíèõ êóòіâ ñòàíîâèòü 20 % âіä іíøîãî. Çíàéäіòü öі êóòè.

27. Îäèí іç ñóìіæíèõ êóòіâ íà 20 % ìåíøèé âіä іíøîãî. Çíàéäіòü öі êóòè.

28. Áіñåêòðèñà êóòà A BC óòâîðþє çі ñòîðîíîþ êóò, óäâі÷і áіëüøèé çà êóò, ñóìіæíèé ç êóòîì A BC. Çíàéäіòü  A BC. Äî § 9

29. ßêèé ïðåäìåò äîìàøíüîãî âæèòêó äàє óÿâëåííÿ ïðî âåðòèêàëüíі êóòè?

30. ×è є êóòè 1 і 2 âåðòèêàëüíèìè? 1) 2) 3) 4) 5)

ÒÅÌÀ 2 76 Äî
§ 8

31. ×è є ïðàâèëüíèìè òâåðäæåííÿ:

1) ÿêùî äâà êóòè ðіâíі, òî âîíè âåðòèêàëüíі;

2) ÿêùî äâà êóòè çі ñïіëüíîþ âåðøèíîþ ðіâíі, òî âîíè âåðòèêàëüíі;

3) äëÿ êîæíîãî êóòà, ìåíøîãî âіä ðîçãîðíóòîãî, ìîæíà äîáóäóâàòè òіëüêè îäèí âåðòèêàëüíèé êóò;

4) äëÿ êîæíîãî êóòà, ìåíøîãî âіä ðîçãîðíóòîãî, ìîæíà äîáóäóâàòè òіëüêè îäèí ñóìіæíèé êóò?

32. Ïðè ïåðåòèíі äâîõ ïðÿìèõ óòâîðèëîñÿ ÷îòèðè êóòè. ×è

ìîæóòü äåÿêі äâà ç íèõ äîðіâíþâàòè: 1) 5 і 175; 2) 15 і 19; 3) 27 і 154; 4) 3 і 3?

33. Îäèí ç êóòіâ, ùî óòâîðèëèñÿ ïðè ïåðåòèíі äâîõ ïðÿìèõ, íà 48 áіëüøèé çà іíøèé. Çíàéäіòü êóò ìіæ ïðÿìèìè.

34. Îäèí ç êóòіâ, ùî óòâîðèëèñÿ ïðè ïåðåòèíі äâîõ ïðÿìèõ, äîðіâíþє ñóìі äâîõ ñóìіæíèõ ç íèì. Çíàéäіòü öåé êóò.

35. Çíàéäіòü ãðàäóñíó ìіðó êîæíîãî іç ÷îòèðüîõ êóòіâ, ùî óòâîðèëèñÿ ïðè ïåðåòèíі äâîõ ïðÿìèõ, ÿêùî ñóìà äâîõ іç öèõ êóòіâ: 1) ìåíøà âіä ñóìè äâîõ іíøèõ ó 4 ðàçè; 2) áіëüøà çà ñóìó äâîõ іíøèõ íà 160 .

36. Çíàéäіòü êóò ìіæ ïðÿìèìè, ÿêі ïåðåòèíàþòüñÿ, ÿêùî îäèí ç êóòіâ, ùî óòâîðèëèñÿ, ó 8 ðàçіâ ìåíøèé âіä ñóìè òðüîõ іíøèõ êóòіâ.

Ãîëî â íå â òåì i 2

Г ГЕ

ГЕОМЕТРИЧНІ ФІГУРИ. ТОЧКА, ПРЯМА, ПРОМІНЬ

 ßêà á íå áóëà ïðÿìà, іñíóþòü òî÷êè, ÿêі їé íàëåæàòü, і òî÷êè, ÿêі їé íå íàëåæàòü.

 ×åðåç áóäü-ÿêі äâі òî÷êè ìîæíà ïðîâåñòè ïðÿìó і äî òîãî æ òіëüêè îäíó.

 Ç òðüîõ òî÷îê íà ïðÿìіé îäíà і òіëüêè îäíà ëåæèòü ìіæ äâîìà іíøèìè.

  іäðіçîê – ÷àñòèíà ïðÿìîї, ÿêà ñêëàäàєòüñÿ ç óñіõ òî÷îê öієї ïðÿìîї, ùî ëåæàòü ìіæ äâîìà її òî÷êàìè, ðàçîì іç öèìè òî÷êàìè. Öі òî÷êè – êіíöі âіäðіçêà.

Åëåìåíòàðí³ ãåîìåòðè÷í³ ôiãóðè òà ¿õí³ âëàñòèâîñò³... 77

 Êîæíèé âіäðіçîê ìàє ïåâíó äîâæèíó, áіëüøó çà íóëü.

Äîâæèíà âіäðіçêà äîðіâíþє ñóìі äîâæèí ÷àñòèí, íà ÿêі âіí ðîçáèâàєòüñÿ áóäü-ÿêîþ éîãî âíóòðіøíüîþ òî÷êîþ.

 Äâà âіäðіçêè ðіâíі ìіæ ñîáîþ, ÿêùî ðіâíі їõíі äîâæèíè.

 Êóò – öå ãåîìåòðè÷íà ôіãóðà, ÿêà ñêëàäàєòüñÿ ç äâîõ ïðîìåíіâ, ùî âèõîäÿòü ç îäíієї òî÷êè.

 Êîæíèé êóò ìàє ïåâíó ãðàäóñíó ìіðó, áіëüøó çà íóëü. Ðîç-

ãîðíóòèé êóò äîðіâíþє 180 .

 Ãðàäóñíà ìіðà êóòà äîðіâíþє ñóìі ãðàäóñíèõ ìіð êóòіâ, íà

ÿêі âіí ðîçáèâàєòüñÿ áóäü-ÿêèì ïðîìåíåì, ùî ïðîõîäèòü ìіæ éîãî ñòîðîíàìè.

 Äâà êóòè ðіâíі ìіæ ñîáîþ, ÿêùî â íèõ îäíàêîâі ãðàäóñíі ìіðè.

 Á іñåêòðèñà êóòà – ïðîìіíü, ÿêèé âèõîäèòü ç éîãî âåðøèíè і äіëèòü êóò íàâïіë.

 Äâà êóòè ñóìіæíі, ÿêùî îäíà ñòîðîíà â íèõ є ñïіëüíîþ, à äâі іíøі ñòîðîíè öèõ êóòіâ є äîïîâíÿëüíèìè ïðîìåíÿìè.

ВЛАСТИВІСТЬ СУМІЖНИХ КУТІВ

Ñó ìà ñó ìіæíèõ êó òіâ äîðіâíþє 180 .

ВЕРТИКАЛЬНІ КУТИ

 Äâà êóòè âåðòèêàëüíі, ÿêùî ñòîðîíè îäíîãî ç íèõ є äîïîâ-

íÿëüíèìè ïðîìåíÿìè ñòîðіí іíøîãî.

ВЛАСТИВІСТЬ ВЕРТИКАЛЬНИХ КУТІВ

Âåðòèêàëüíі êó òè ðіâíі.

Êóò ìіæ ïðÿìèìè, ùî ïåðåòèíàþòüñÿ, – ìåíøèé ç êóòіâ, ùî

óòâîðèëèñÿ ïðè ïåðåòèíі öèõ ïðÿìèõ.

ÒÅÌÀ 2 78

СТЕПІНЬ

ВИРАЗИ ЗІ ЗМІННИМИ.

ОДНОЧЛЕ

Н

У

ЦІЙ ТЕМІ ВИ:

пригадаєте

ознайомитеся

, що таке числові та буквені вирази, їхні значення; степінь, основа та показник степеня; з поняттями одночлена, тотожності, тотожно рівних виразів; виконувати арифметичні дії з одночленами, тотожні перетворення виразів; застосовувати властивості степенів.

навчитеся § 10. Вирази зі змінними.

раціональні вирази. Числове значення виразу

Числові вирази та їхні значення

×èñëîâі âèðàçè óòâîðþþòü іç ÷èñåë çà äîïîìîãîþ çíàêіâ àðèôìåòè÷íèõ äіé і äóæîê.

Íàïðèêëàä, âèðàçè 12 · 3 – 9; 1,23; є ÷èñëîâèìè âèðàçàìè.

×èñëî, ùî є ðåçóëüòàòîì âèêîíàííÿ âñіõ äіé ó ÷èñëîâîìó âèðàçі, íàçèâàþòü çíà÷åííÿì âèðàçó.

Íàïðèêëàä, 12 · 3 – 9  27, òîìó 27 є çíà÷åííÿì ÷èñëîâîãî âèðàçó 12 · 3 – 9.

ßêùî ÷èñëîâèé âèðàç ìіñòèòü äіþ, ÿêó íåìîæëèâî âèêîíàòè, òî êàæóòü, ùî âèðàç íå ìàє çìіñòó (ñìèñëó). Íàïðèêëàä, âèðàç 5 : (8 : 2 – 4) íå ìàє çìіñòó, áî 8 : 2 – 4  0 і íàñòóïíó äіþ 5 : 0 âèêîíàòè íåìîæëèâî.

Вирази зі змінними Îêðіì ÷èñëîâèõ âèðàçіâ, ó ìàòåìàòèöі ðîçãëÿäàþòü âèðàçè, ùî ìіñòÿòü áóêâè. Òàêі âèðàçè ìè ðàíіøå íàçèâàëè áóêâåíèìè.

79
ТЕМА 3
З НАТУРАЛЬНИМ ПОКАЗНИКОМ. ОДНОЧЛЕН
Цілі

Приклад 1.

Íåõàé ïîòðіáíî çíàéòè ïëîùó ïðÿìîêóòíèêà, äîâæèíà ÿêîãî äîðіâíþє 10 ñì, à øèðèíà – b ñì.

Çà ôîðìóëîþ ïëîùі ïðÿìîêóòíèêà ìàєìî: S  10b. ßêùî, íà-

ïðèêëàä, b  3, òî S  10 · 3  30, à ÿêùî b  7, òî S  70. Ó âèðàçі 10b áóêâі b ìîæíà íàäàâàòè ðіçíèõ çíà÷åíü, òîáòî її çíà÷åííÿ ìîæíà çìіíþâàòè. Âіäïîâіäíî áóäå çìіíþâàòèñÿ

і çíà÷åííÿ âèðàçó 10b. Òîìó áóêâó b ó òàêîìó âèðàçі íàçèâàþòü çìіííîþ, à ñàì âèðàç 10b – âèðàçîì çі çìіííîþ.

Приклад 2.

Çíàéòè çíà÷åííÿ âèðàçó:

1) (5 + b) : 4, ÿêùî b  0; –2; 2) ÿêùî a  17, c  –5.

ßêùî çàìіñòü çìіííèõ ó âèðàç ïіäñòàâèòè ïåâíі ÷èñëà, òî îäåðæèìî ÷èñëîâèé âèðàç. Éîãî çíà÷åííÿ íàçèâàþòü ÷èñëîâèì çíà÷åííÿì âèðàçó äëÿ âèáðàíèõ çíà÷åíü çìіííèõ.

Ðîçâ’ÿçàííÿ. 1) ßêùî b  0, òî (5  b) : 4  (5  0) : 4  1,25; ÿêùî b  –2, òî (5  b) : 4  (5  (–2)) : 4  0,75.

2) ßêùî a  17, c  –5, òî

Âіäïîâіäü: 1) 1,25; 0,75; 2) . Раціональні вирази

Íàïðèêëàä, âèðàçè:

2a – m;

є ðàöіîíàëüíèìè âèðàçàìè.

ÒÅÌÀ 3 80

Âèðàçè ç³ çì³ííèìè. Ñòåï³íü ç íàòóðàëüíèì ïîêàçíèêîì. Îäíî÷ëåí

Ðàöіîíàëüíèé âèðàç, ÿêèé íå ìіñòèòü äіëåííÿ íà âèðàç çі çìіííîþ, íàçèâàþòü öіëèì ðàöіîíàëüíèì âèðàçîì.

ßêùî â ðàöіîíàëüíîìó âèðàçі є äіëåííÿ íà âèðàç çі çìіííîþ, éîãî íàçèâàþòü äðîáîâèì ðàöіîíàëüíèì âèðàçîì. Òðè ïåðøèõ ç âèùåíàâåäåíèõ ðàöіîíàëüíèõ âèðàçіâ – öіëі, à òðè îñòàííіõ –äðîáîâі.

Âèðàçè çі çìіííèìè âèêîðèñòîâóþòü äëÿ çàïèñó ôîðìóë. Íàïðèêëàä, s  vt – ôîðìóëà âіäñòàíі, P  2(a  b) – ôîðìóëà ïåðèìåòðà ïðÿìîêóòíèêà,

n  2k, äå k – íàòóðàëüíå ÷èñëî, – ôîðìóëà ïàðíîãî íàòóðàëüíîãî ÷èñëà,

n  2k  1, äå k – íàòóðàëüíå ÷èñëî àáî 0 (àáî n  2k – 1, äå k –íàòóðàëüíå ÷èñëî), – ôîðìóëà íåïàðíîãî íàòóðàëüíîãî ÷èñëà,

n  7k, äå k – íàòóðàëüíå ÷èñëî, – ôîðìóëà íàòóðàëüíîãî ÷èñëà, êðàòíîãî ÷èñëó 7. Âèðàçè, ùî íå є ðàöіîíàëüíèìè, ðîçãëÿäàòèìåìî â íàñòóïíèõ êëàñàõ.

81
арифметичних дій у матема-
невідоме число давні єгипетські вчені називали «хау» (у перекладі – «купа»), а знаки математичних дій взагалі не вживали, записуючи все переважно словами. І хоча
використанні знаків математичних дій виникла ще
з’явилися вони набагато пізніше. Замість знаків до-
використовували малюнки або слова, а це призводило до громіздких записів. Знаки
дій стали використовувати в наукових працях математиків, починаючи з XV ст. На сьогодні відомо, хто й коли запропонував деякі математичні знаки для записів. Так, знаки «+» і «–» трапляються вперше в 1489 році у праці «Арифметика» Йоганна Відмана, професора Лейпцизького університету. Знак «» для позначення дії множення ввів англійський математик Вільям Оутред у 1631 році. Для позначення дії ділення він використовував риску (« / »). Дробову риску в математичних записах (для відокремлення чисельника дробу від його знаменника) уже в 1202 році використовував Леонардо Пізанський, відомий математик середньовічної Європи. Німецький математик, фізик і філософ Готфрід Вільгельм Лейбніц (1646–1716) запропонував використовувати як знак множення крапку (« · »), а як знак ділення – двокрапку (« : ») Це відбулося в 1693 році та в 1684 році відповідно. Знак рівності («  ») увів у 1557 році Роберт Рекорд, математик, який народився в Уельсі й довгий час був особистим лікарем королівської сім’ї Великої Британії.
Поява букв і знаків
тичних записах є результатом розвитку математичної науки. У своїх працях шукане
потреба у
у Давньому Єгипті,
давання і віднімання давні математики
арифметичних

Величезний внесок у розвиток алгебраїчної символіки зробив у XVІ ст. видатний французький математик Франсуа Вієт, якого називають «батьком» алгебри. Саме він став позначати буквами не тільки змінні, а й будь-які числа, зокрема коефіцієнти при змінних. Проте

ся від сучасної. Замість x, x2 і x3 Вієт писав відповідно букви N (Numerus – число), Q (Quadratus –квадрат) і C (Cubus – куб). Наприклад, рівняння x3 + 7x2 – 8x  20 він записував так: 1C + 7Q – 8N aequ 20 (aequali – дорівнює).

чого утворюють числові вирази?

âï ð àâ è

10.1. (Óñíî.) ßêі ç äàíèõ âèðàçіâ є ÷èñëîâèìè, à ÿêі – âèðàçàìè çі çìіííèìè: 1) 5  m2 – a; 2) (12 – 3) : 4; 3) ; 4) (0 – 8) · 5 – 13?

10.2. (Óñíî.) ßêі ç ðàöіîíàëüíèõ âèðàçіâ є öіëèìè, à ÿêі – äðîáîâèìè: 1) ; 2) ; 3) ; 4) ?

10.3. Âèïèøіòü îêðåìî: ÷èñëîâі âèðàçè; âèðàçè çі çìіííèìè; öіëі ðàöіîíàëüíі âèðàçè; äðîáîâі ðàöіîíàëüíі âèðàçè: 1) 5  c; 2) (2 – 15) · 4; 3) 4) q2 – 19; 5) 6) 7) 8)

10.4. Ïðî÷èòàéòå ñëîâàìè âèðàçè çі çìіííèìè: 1) x  7; 2) m – a; 3) 5ab; 4) 5 : (c  9).

10.5. Ñêëàäіòü і çàïèøіòü ïî äâà âèðàçè: 1) çі çìіííîþ a; 2) çі çìіííèìè x і y.

10.6. Ñêëàäіòü і çàïèøіòü ïî òðè âèðàçè: 1) çі çìіííîþ x; 2) çі çìіííèìè a і b.

ÒÅÌÀ 3 82
відрізняла-
Із
Що називають значенням числового ви-
Що
зі змінними? Що називають числовим значенням виразу для вибраних значень змінних? Наведіть приклад числового виразу і виразу зі змінними. Який вираз називають
його символіка
Франсуа Вієт (1540–1603)
разу?
таке вираз
цілим раціональним виразом? Ðîçâ ' ÿæiòü çàäà÷i òà âèêîíàéòå

Âèðàçè ç³ çì³ííèìè. Ñòåï³íü ç íàòóðàëüíèì ïîêàçíèêîì. Îäíî÷ëåí

10.7. (Óñíî.) ßêі ç äàíèõ ÷èñëîâèõ âèðàçіâ íå ìàþòü çìіñòó: 1) (5 – 6) : 7; 2) (10 – 2 · 5) : 7; 3) 4 : (12 – 2 · 6); 4)

8. Çíàéäіòü çíà÷åííÿ âèðàçó:

1) 5x – 3, ÿêùî x  1,8; 2) a2  3a, ÿêùî a  –1; a  0,8.

10.9. Çíàéäіòü çíà÷åííÿ âèðàçó:

1) 5m  2n, ÿêùî m  –1,3, 2) a(2b – c), ÿêùî a  1,5, b  3,2, c  –1,4.

10.10. Çíàéäіòü çíà÷åííÿ âèðàçó:

1) b2 – 4b, ÿêùî b  –2; b  0,5; 2) x2 – y2, ÿêùî x  5, y  –3; x  0,1, y  0,2.

10.11. Çàïèøіòü ó âèãëÿäі âèðàçó:

1) ñóìó ÷èñåë b і c;

2) äîáóòîê ÷èñåë 5m і n3;

3) êâàäðàò ñóìè ÷èñåë a і 9p; 4) ðіçíèöþ êâàäðàòіâ ÷èñåë 3d і 7t.

10.12. Çàïèøіòü ó âèãëÿäі âèðàçó:

1) ðіçíèöþ ÷èñåë p і 7;

2) ÷àñòêó ÷èñåë a  c і d;

3) ñóìó ÷èñëà a і äîáóòêó ÷èñåë m і n.

10.13. Çàïîâíіòü ó çîøèòі òàêі òàáëèöі: m 2 3 –1 0 –2 x –1 0 1 2 n 1 2 0 –5 –3 x2 + 2 2m – 3n x2 + 2x

10.14. Äіçíàéòåñÿ ïðіçâèùå âèäàòíîãî óêðà їíñüêîãî êàðäіîõіðóðãà. Äëÿ öüîãî çíàéäіòü çíà÷åííÿ âèðàçó â ïåðøіé òàáëèöі é ïåðåíåñіòü áóêâè, ùî âіäïîâіäàþòü çíàéäåíèì çíà÷åííÿì, ó äðóãó òàáëèöþ. x –2 –1 0 1 2 5 –3

x2 – 4õ

Áó êâè O A B M C

83
12 –4 12 0

10.15. Ïîðіâíÿéòå ñóìó a  b ç äîáóòêîì ab, ÿêùî: 1) a  0, b  –2; 2) a  –3, b  2.

10.16. Ìàéñòðèíÿ çà îäíó ãîäèíó âèãîòîâëÿє x äåòàëåé, à її ó÷åíü – y äåòàëåé. Ñêіëüêè äåòàëåé âîíè âèãîòîâèëè ðàçîì, ÿêùî ìàéñòðèíÿ ïðàöþâàëà 8 ãîä, à ó÷åíü – 4 ãîä?

10.17. (Óñíî.) Íåõàé a äì – äîâæèíà ïðÿìîêóòíèêà, b äì – éîãî øèðèíà (a > b). Ùî ìîæóòü îçíà÷àòè âèðàçè: 1) ab; 2) 2(a  b); 3) 2a; 4)

10.18. Ðó÷êà êîøòóє x ãðí, îëіâåöü – y ãðí (x > y). Ùî ìîæóòü îçíà÷àòè âèðàçè: 1) x  y; 2) 3x  4y; 3) x – y; 4)

10.19. Çàïèøіòü ó âèãëÿäі âèðàçó ÷àñ, ÿêèé ó÷åíü ùîäåííî ïðîâîäèòü ó øêîëі, ÿêùî â íüîãî íà äåíü a óðîêіâ ïî 45 õâ, b ïåðåðâ ïî 15 õâ і c ïåðåðâ ïî 10 õâ. Îá÷èñëіòü çíà÷åííÿ öüîãî âèðàçó, ÿêùî a  6, b  2, c  3.

10.20. Êîëè Ìàðіéêà âèòÿãëà çі ñâîєї ñêàðáíè÷êè âñі ìîíåòè, òî âèÿâèëîñÿ, ùî òàì áóëî x ìîíåò íîìіíàëîì 50 êîï., y ìîíåò

íîìіíàëîì 1 ãðí і z ìîíåò íîìіíàëîì 2 ãðí. Îá÷èñëіòü, ÿêó ñóìó êîøòіâ íàçáèðàëà Ìàðіéêà, ÿêùî x  8, y  5, z  20.

10.21. Ñïðîñòіòü âèðàç + 3,5y – – 2,5y і çíàé-

äіòüéîãî çíà÷åííÿ, ÿêùî x  –330, y  6. Ñïðèéìàþ÷è çíà÷åííÿ âèðàçó ÿê ðіê, ïðèãàäàéòå, ÿêà âèçíà÷íà ïîäіÿ äëÿ Óêðà їíè âіäáóëàñÿ öüîãî ðîêó.

10.22. Ñïðîñòіòü âèðàç – 2,6b + + 1,6b, çíàéäіòü éîãî

çíà÷åííÿ, ÿêùî a  225, b  –40, òà äіçíàéòåñÿ ðіê çàñíóâàííÿ Íàöіîíàëüíîãî óíіâåðñèòåòó «Êèєâî-Ìîãèëÿíñüêà àêàäåìіÿ».

10.23. Ñêëàäіòü ôîðìóëó íàòóðàëüíîãî ÷èñëà, ÿêå: 1) êðàòíå ÷èñëó 9; 2) ïðè äіëåííі íà 5 äàє â îñòà÷і 1.

10.24. Äëÿ äåÿêèõ çíà÷åíü a і b çíà÷åííÿ âèðàçó a – b äîðіâíþє 2,25. ßêîãî çíà÷åííÿ äëÿ òèõ ñàìèõ çíà÷åíü a і b íàáóâàє âèðàç: 1) 4(a – b); 2) b – a; 3) ; 4) ?

ÒÅÌÀ 3 84

10.25. Äëÿ äåÿêèõ çíà÷åíü c і d çíà÷åííÿ âèðàçó c – d äîðіâíþє . ßêîãî çíà÷åííÿ äëÿ òèõ ñàìèõ çíà÷åíü c і d íàáóâàє âèðàç: 1) 7(c – d); 2) d – c; 3) ; 4) ?

10.26. Ñêëàäіòü âèðàçè äëÿ îá÷èñëåííÿ ïëîù ôіãóð (ìàë. 10.1–10.3). Ìàë. 10.1 Ìàë. 10.2 Ìàë. 10.3

10.27. Îá÷èñëіòü: 1) 132; 2) 73; 3) (–2,1)2; 4) (–1,1)3; 5) ; 6) ; 7) ; 8) 0,23.

10.28. ßêîþ öèôðîþ çàêіí÷óєòüñÿ çíà÷åííÿ âèðàçó: 1) 1322; 2) 2713; 3) 20172 7 ; 4) 13152 – 1153?

10.29. Âëàñíà øâèäêіñòü êàòåðà – 26 êì/ãîä, à øâèäêіñòü òå÷ії ðі÷êè – 2 êì/ãîä. Çíàéäіòü âіäñòàíü ìіæ äâîìà ïðèñòàíÿìè, ÿêùî â îäíîìó íàïðÿìêó êàòåð äîëàє її íà 30 õâ øâèäøå, íіæ ó çâîðîòíîìó.

Æè òò є â à ìàòåìàò è ê à 10.30. Âіéñüêîâèé çáіð ó 2022 ðîöі ñêëàäàâ 1,5 % âіä äîõîäіâ ãðîìàäÿí. Ïðîòÿãîì ðîêó çàðîáіòíà ïëàòà äèðåêòîðà ìàãàçèíó ìîáіëüíèõ àêñåñóàðіâ ñòàíîâèëà 14 000 ãðí, êîæíîї ç äâîõ éîãî ïðîäàâ÷èíü – ïî 8000 ãðí, à ïðîäàâöÿ-êîíñóëüòàíòà – 10 000 ãðí íà ìіñÿöü. Ùîìіñÿöÿ, êðіì âіéñüêîâîãî çáîðó, äèðåêòîð ïåðåêàçóâàâ 700 ãðí, êîæíà ç ïðî-

ç íàòóðàëüíèì
Îäíî÷ëåí 85
Âèðàçè ç³ çì³ííèìè. Ñòåï³íü
ïîêàçíèêîì.
Âï ð
à â è äëÿ ïî â òî ð åíí ÿ ðð

äàâ÷èíü – ïî 300 ãðí і êîíñóëüòàíò-ïðîäàâåöü – 400 ãðí ó áëàãîäіéíèé ôîíä íà ïіäòðèìêó óêðà їíñüêîї àðìії. Ñêіëüêè âñüîãî êîøòіâ ñïëàòèëè ðîáіòíèêè öüîãî ìàãàçèíó íà ïîòðåáè óêðà їíñüêîї àðìії â 2022 ðîöі?

10.31. Ñïðîñòіòü âèðàç: 1) 3à ∙ 7; 2) 2b ∙ (–0,1); 3) –6,2à ∙ 5b; 4) –0,2c ∙ (–0,5d).

10.32. Ðîçêðèéòå äóæêè: 1) 4(b + 1); 2) 3(m – 2); 3) –7(c – 5); 4) –10(7 + a); 5) 5(–1,4 + k); 6) (t – 2,5) ∙ (–8).

10.33. ×è іñíóє òàêå çíà÷åííÿ x, äëÿ ÿêîãî: 1) –õ I |x|; 2) õ > |x|?

перетворення виразу

вирази Çíàéäåìî çíà÷åííÿ âèðàçіâ 2(x – 1) і 2x

тотожностей

÷åíü çìіííîї x і ðåçóëüòàò çàïèøåìî â òàáëèöþ:

äåÿêèõ

–8 –6 –4–2

Ç òàáëèöі ìîæíà äіéòè âèñíîâêó, ùî çíà÷åííÿ âèðàçіâ 2(x – 1) і 2x – 2 äëÿ êîæíîãî ç äàíèõ çíà÷åíü çìіííîї x ìіæ ñîáîþ ðіâíі. ßê âіäîìî, çà ðîçïîäіëüíîþ

ÒÅÌÀ 3 86
Ï iäãîòóéòåñÿ äî â è â ÷åííÿ íî â îãî ìàòåðiàëó
ðó Ö
і –
і ð ê ó é î ä íà÷å äðóä
і êà â і çà ä à÷
ïîì
§ 11. Тотожні вирази. Тотожність. Тотожне
Доведення
– 2 äëÿ
x –4–3 –2 –1 0 1 2 3 4 2(x
1)
–8 –6 –4–2 0 2 4 6
0 2 4 6
.
Тотожні
çíà-
–10
2x – 2 –10
âëàñòèâіñòþ ìíîæåííÿ: 2(x – 1)  
äëÿ áóäü-ÿêîãî іíøîãî çíà÷åííÿ çìіííîї x çíà÷åííÿ
â 2(x – 1) і 2x – 2 òåæ áóäóòü ìіæ ñîáîþ ðіâíèìè.
і âèðàçè
ðіâíèìè.
2x – 2. Òîìó
âèðàçі
Òàê
íàçèâàþòü òîòîæíî

Íàïðèêëàä, òîòîæíèìè є âèðàçè 2x  3x і 5x, áî äëÿ êîæíîãî

çíà÷åííÿ çìіííîї x öі âèðàçè íàáóâàþòü îäíàêîâèõ çíà÷åíü (öå

çðîçóìіëî, àäæå 2x  3x  5x).

Ðîçãëÿíåìî òåïåð âèðàçè 3x  2y і 5xy. ßêùî x  1 і y  1, òî

âіäïîâіäíі çíà÷åííÿ öèõ âèðàçіâ ðіâíі ìіæ ñîáîþ: 3x  2y  3 · 1  2 · 1  5; 5xy  5 · 1 · 1  5.

Ïðîòå ìîæíà âêàçàòè òàêі çíà÷åííÿ x і y, äëÿ ÿêèõ çíà÷åííÿ öèõ âèðàçіâ ðіâíèìè ìіæ ñîáîþ íå áóäóòü. Íàïðèêëàä, ÿêùî x  2, y  0, òî 3x  2y  3 · 2  2 · 0  6, 5xy  5 · 2 · 0  0.

Îòæå, іñíóþòü òàêі çíà÷åííÿ çìіííèõ, äëÿ ÿêèõ âіäïîâіäíі çíà÷åííÿ âèðàçіâ 3x  2y і 5xy íå äîðіâíþþòü îäíå îäíîìó. Òîìó âèðàçè 3x  2y і 5xy íå є òîòîæíî ðіâíèìè.

Тотожність

Âèõîäÿ÷è ç âèùåâèêëàäåíîãî, òîòîæíîñòÿìè, çîêðåìà, є ðіâíîñòі: 2(x – 1)  2x – 2 òà 2x  3x  5x.

Òîòîæíіñòþ є êîæíà ðіâíіñòü, ÿêîþ çàïèñàíî âіäîìі âëàñòèâî-

ñòі äіé íàä ÷èñëàìè. Íàïðèêëàä, a  b  b  a; (a  b)  c  a  (b  c); a(b  c)  ab  ac; ab  ba; (ab)c  a(bc); a(b – c)  ab – ac.

Òîòîæíîñòÿìè є і òàêі ðіâíîñòі: a  0  a; a · 0  0; a · (–b)  –ab; a  (–a)  0; a · 1  a; –a · (–b)  ab.

Òîòîæíîñòÿìè òàêîæ ââàæàþòü ïðàâèëüíі ÷èñëîâі ðіâíîñòі, íàïðèêëàä: 1  2  3  6; 52  122  132; 12 · (7 – 6)  3 · 4.

ßêùî ó âèðàçі 5x  2x – 9 çâåñòè ïîäіáíі äîäàíêè, îäåðæèìî, ùî 5x  2x – 9  7x – 9. Ó òàêîìó âèïàäêó êàæóòü, ùî âèðàç 5x  2x – 9 çàìіíèëè òîòîæíèì éîìó âèðàçîì 7x7 – 9.

íàòóðàëüíèì
87
Âèðàçè ç³ çì³ííèìè. Ñòåï³íü ç
ïîêàçíèêîì. Îäíî÷ëåí
Тотожне перетворення виразу

Òîòîæíі ïåðåòâîðåííÿ âèðàçіâ âèêîíóþòü, çàñòîñîâóþ÷è âëàñòèâîñòі äіé íàä ÷èñëàìè. Çîêðåìà, òîòîæíèìè ïåðåòâîðåííÿìè є ðîçêðèòòÿ äóæîê, çâåäåííÿ ïîäіáíèõ äîäàíêіâ òîùî. À ùå òîòîæíі ïåðåòâîðåííÿ âèêîíóþòü ïіä ÷àñ ñïðîùåííÿ âèðàçó, òîáòî çàìіíè äåÿêîãî âèðàçó íà òîòîæíî ðіâíèé éîìó âèðàç, ÿêèé ìàє êîðîòøèé çàïèñ.

Ñïðîñòèòè âèðàç: 1) –0,3m  5n; 2) 2(3x – 4)  3(–4x  7); 3) 2  5a – (a – 2b)  (3b – a). Ðîçâ’ÿçàííÿ. 1) –0,3m  5n  –0,3  5mn  –1,5mn; 2) 13 – 6x; 3) Âіäïîâіäü: 1) –1,5mn; 2) 13 – 6x; 3) 3a + 5b + 2.

Доведення тотожностей Ùîá

2

– (x  5) – 11  x – 16; 2) 20b – 4a  5(2a – 3b) – 7(2a – 5b); 3) 2(3x – 8)  4(5x – 7)  13(2x – 5)  21. Äîâåäåííÿ. 1) Ïåðåòâîðèìî ëіâó ÷àñòèíó äàíî

ÒÅÌÀ 3 88
äîâåñòè,
ðіâíіñòü є òîòîæíі
òîòîæíі ïåðåòâîðåííÿ âèðàçіâ. Äîâåñòè òîòîæíі
ї ðіâíîñòі: Òîòîæíèìè ïåðåòâîðåííÿìè âèðàç ó ëіâіé ÷àñòèíі ðіâíîñòі çâåëè äî âèãëÿäó ïðàâîї ÷àñòèíè é òèì ñàìèì äîâåëè, ùî äàíà ð
ї ð
:
Приклад
ùî
ñòþ (іíàêøå êàæó÷è, ùîá äîâåñòè òîòîæíіñòü), âèêîðèñòîâóþòü
ñòü: 1)
x
іâíіñòü є òîòîæíіñòþ. 2) Ïåðåòâîðèìî ïðàâó ÷àñòèíó äàíî
іâíîñòі
Приклад 1.
2.

Âèðàçè ç³ çì³ííèìè. Ñòåï³íü ç íàòóðàëüíèì ïîêàçíèêîì. Îäíî÷ëåí

Òîòîæíèìè ïåðåòâîðåííÿìè ïðàâó ÷àñòèíó ðіâíîñòі çâåëè äî âèãëÿäó ëіâîї ÷àñòèíè é òèì ñàìèì äîâåëè, ùî äàíà ðіâíіñòü є òîòîæíіñòþ.

3) Ó öüîìó âèïàäêó çðó÷íî ñïðîñòèòè і ëіâó, і ïðàâó ÷àñòèíè ðіâíîñòі òà ïîðіâíÿòè ðåçóëüòàòè:

13(2x – 5)  21  26x – 65  21  26x – 44. Òîòîæíèìè ïåðåòâîðåííÿìè ëіâó і ïðàâó ÷àñòèíè ðіâíîñòі çâåëè äî îäíîãî é òîãî ñàìîãî âèãëÿäó: 26x – 44. Òîìó äàíà ðіâíіñòü є òîòîæíіñòþ.

Які вирази називають тотожними? Наведіть приклад тотожних виразів. Яку рівність називають тотожністю? Наведіть приклад тотожності. Що називають тотожним перетворенням виразу? Як довести тотожність?

Ðîçâ ' ÿæiòü

11.1. (Óñíî.) ×è є âèðàçè òîòîæíî ðіâíèìè: 1) 3x + x і 4x; 2) 2a + b і b + 2a; 3) a + a + a і a3; 4) 3(a – 2) і 3a – 6; 5) x – y і y – x; 6) 7m7 ∙ p і 7p ∙ m?

11.2. ×è є òîòîæíî ðіâíèìè âèðàçè (÷îìó?):

1) 5m – 2m і 3m; 2) 3a – 8 і 8 – 3a;

3) 5x + y і y + 5x; 4) b + b і b2; 5) 2(x – 3) і 2x – 6; 6) 2a ∙ b і 2a + b?

11.3. (Óñíî.) ×è є òîòîæíіñòþ ðіâíіñòü:

1) 2x + 3y  6xy; 2) 5a – 1  –1 + 5a; 3) 9(a – b)  9a – 5b?

11.4. Ðîçêðèéòå äóæêè: 1) 2(m – 1); 2) 9(3x + 2); 3) –(a – 5); 4) –(–7 + 2m).

11.5. Ðîçêðèéòå äóæêè: 1) –(m – 2); 2) 4(a + 1); 3) 7(1 – 3p3 ); 4) –(–3a + 5).

11.6. Çâåäіòü ïîäіáíі äîäàíêè: 1) 2a – a; 2) –5p5 + 7p; 3) –3b – 2b; 4) c – 8c.

11.7. Íàçâіòü êіëüêà âèðàçіâ, òîòîæíèõ âèðàçó 3x  4x.

11.8. Ñïðîñòіòü âèðàç, âèêîðèñòîâóþ÷è ïåðåñòàâíó òà ñïîëó÷íó âëàñòèâîñòі ìíîæåííÿ: 1) –2,5x · 4; 2) 4p4 · (–1,5); 3) 0,2x · (–0,3p3 ); 4)

89
âèêîíàéòå âï ð àâ è
çàäà÷i òà

11.9. Ñïðîñòіòü âèðàç: 1) –2p2 · 3,5; 2) 7a7 · (–1,2); 3) 0,2x · (–3y); 4)

11.10. (Óñíî.) Ñïðîñòіòü âèðàç: 1) 2x – 9  5x; 2) 7a7 – 3b  2a  3b; 3) –2x · 3; 4) –4a · (–2b).

11.11. Çâåäіòü ïîäіáíі äîäàíêè: 1) 5b – 8a  4b – a; 2) 17 – 2p2  3p  19; 3) 1,8a  1,9b  2,8a – 2,9b; 4) 5 – 7c7  1,9p9  6,9c

11.12. Ðîçêðèéòå äóæêè і çâåäіòü ïîäіáíі äîäàíêè: 1) 4(5x – 7)  3x  13; 2) 2(7 – 9a) – (4 – 18a); 3) 3(2p2 – 7) – 2( p – 3); 4) –(3m – 5)  2(3m – 7).

11.13. Ðîçêðèéòå äóæêè і çâåä

1) 3(8a – 4)  6a; 2) 7p7 – 2(3p3 – 1); 3) 2(3x – 8) – 5(2x  7); 4) 3(5m – 7) – (15m – 2).

11.14. Ñïðîñòіòü âèðàç і çíàéäіòü éîãî çíà÷åííÿ:

1) 0,6x  0,4(x – 20), ÿêùî x  2,4; 2) 1,3(2a – 1) – 16,4, ÿêùî a  10; 3) 1,2(m – 5) – 1,8(10 – m), ÿêùî m  –3,7; 4) 2x – 3(x  y)  4y, ÿêùî x  –1, y  1.

11.15. Ñïðîñòіòü âèðàç і çíàéäіòü éîãî çíà÷åííÿ:

1) 0,7x7  0,3(x – 4), ÿêùî x  –0,7; 2) 1,7(y – 11) – 16,3, ÿêùî y  20; 3) 0,6(2a – 14) – 0,4(5a – 1), ÿêùî a  –1; 4) 5(m – n) – 4m  7n, ÿêùî m  1,8, n  –0,9.

11.16. Äîâåäіòü òîòîæíіñòü: 1) –(2x – y)  y – 2x; 2) 2(x – 1) – 2x  –2; 3) 2(x – 3)  3(x  2)  5x; 4) c – 2  5(c  2) – 4(c  3).

.

11.17. Äîâåäіòü òîòîæíіñòü: 1) –(m – 3n)  3n – m; 2) 7(2 – p)  7p  14; 3) 5a  3(a – 4)  2(a  6); 4) 4(m – 3)  3(m  3)  7m – 3.

11.18. Äîâæèíà îäíієї çі ñòîðіí òðèêóòíèêà a ñì, à äîâæèíà êîæíîї ç äâîõ іíøèõ ñòîðіí íà 2 ñì áіëüøà çà íåї. Çàïèøіòü ó âèãëÿäі âèðàçó ïåðèìåòð òðèêóòíèêà òà ñïðîñòіòü öåé âèðàç.

11.19. Øèðèíà ïðÿìîêóòíèêà äîðіâíþє x ñì, à äîâæèíà íà 3 ñì áіëüøà çà øèðèíó. Çàïèøіòü ó âèãëÿäі âèðàçó ïåðèìåòð ïðÿìîêóòíèêà òà ñïðîñòіòü öåé âèðàç.

ÒÅÌÀ 3 90
– 1,7p7
òü ïîäіáí
і
і äîäàíêè:

11.20. Ðîçêðèéòå äóæêè òà ñïðîñòіòü âèðàç:

1) x – (x – (2x – 3)); 2) 5m – ((n – m)  3n);

3) 4p4 – (3p3 – (2p2 – ( p  1))); 4) 5x – (2x – ((y – x) – 2y));

5)

6)

11.21.

1) a – (a – (3a – 1));

2) 12m – ((a – m)  12a);

3) 5y – (6y – (7y7 – (8y –1)));

4)

11.22. Äîâåäіòü òîòîæíіñòü:

1) 10x – (–(5x  20))  5(3x  4);

2) –(–3p3 ) – (–(8 – 5p))  2(4 – p);

3) 3(a – b – c)  5(a – b)  3c  8(a – b).

11.23. Äîâåäіòü òîòîæíіñòü:

1) 12a – (–(8a – 16))  –4(4 – 5a);

2) 4(x  y – t)  5(x – t) – 4y  9(x – t).

11.24. Äîâåäіòü, ùî çíà÷åííÿ âèðàçó 1,8(m – 2)  1,4(2 – m)  0,2(1,7 – 2m)

íå çàëåæèòü âіä çíà÷åííÿ çìіííîї.

11.25. Äîâåäіòü, ùî äëÿ áóäü-ÿêîãî çíà÷åííÿ çìіííîї çíà÷åííÿ

âèðàçó a – (a – (5a  2)) – 5(a – 8) äîðіâíþє îäíîìó é òîìó ñàìîìó ÷èñëó.

11.26. Äîâåäіòü, ùî ñóìà òðüîõ ïîñëіäîâíèõ ïàðíèõ ÷èñåë äіëèòüñÿ íà 6.

11.27. Äîâåäіòü, ùî ÿêùî n – íàòóðà ëüíå ÷èñëî, òî çíà÷åííÿ âèðàçó –2(2,5n – 7) + (3n – 6) є ïàðíèì ÷èñëîì.

.

11.29. Ñêіëüêè âіäñîòêіâ ñêëà äàє ÷èñëî 20 âіä ñâîãî: 1) êâàäðàòà; 2) êóáà?

Âèðàçè
Ñòåï³íü ç íàòóðàëüíèì ïîêàçíèêîì. Îäíî÷ëåí 91
ç³ çì³ííèìè.
Âï ð à â è äëÿ ïî â òî ð åíí ÿ ðð
іäі ìіñòèòüñÿ â öüîìó ñïëàâ
11.28
Ñïëàâ ìàñîþ 1,6 êã ìіñòèòü 15 % ìіäі. Ñêіëüêè êіëîãðàìіâ ì
і?

11.30. Òóðèñò 2 ãîä éøîâ ïіøêè òà 3 ãîä їõàâ íà âåëîñèïåäі. Çàãàëîì âіí ïîäîëàâ 56 êì. Çíàéäіòü, ç ÿêîþ øâèäêіñòþ òóðèñò їõàâ íà âåëîñèïåäі, ÿêùî âîíà íà 12 êì/ãîä áіëüøà çà

øâèäêіñòü, ç ÿêîþ âіí іøîâ ïіøêè.

Æ èòò є â à ìàòåìàòèêà

11.31. Äðóçі Íàòàëÿ òà Àðòåì їçäèëè íà àâòîáóñíó åêñêóðñіþ â іíøå ìіñòî. Íà äîðîãó òóäè àâòîáóñ âèòðàòèâ 2 ãîä, à ïîâåðíóâñÿ íàçàä çà 1 ãîä 20 õâ, áî ïîїõàâ іíøîþ äîðîãîþ. Ñòåæà÷è çà ñïіäîìåòðîì àâòîáóñà, äðóçі ïîìіòèëè, ùî ïðîòÿãîì ïîїçäêè øâèäêіñòü àâòîáóñà áóëà ñòàëîþ, à ïðîáіã çáіëüøèâñÿ íà 200 êì. Âèçíà÷òå äîâæèíó äîðîãè òóäè і äîðîãè íàçàä. iä ãîòóéòåñÿ äî â è â ÷åííÿ íî â îãî ìàòåðiàëó

11.32. Îá÷èñëіòü çíà÷åííÿ êâàäðàòà àáî êóáà: 1) (3,1)2; 2) (–5)3; 3) ; 4) (0,1)3; 5) 6) ; 7) ; 8)

11.33. Îá÷èñëіòü: 1) (–1)2 + (–2)3 – 82; 2) (33 – (–4)2) ∙ 7.

Ö і êà â і çà ä à÷ і – ïîì і ð ê ó é î ä íà÷å äðóä

ðó

11.34. Ó ÷åìïіîíàòі ìіñòà ç ôóòáîëó áåðóòü ó÷àñòü 11 êîìàíä. Êîæíà êîìàíäà ãðàє ç іíøèìè ïî îäíîìó ìàò÷ó. Äîâåäіòü, ùî â áóäü-ÿêèé ìîìåíò çìàãàíü çíàéäåòüñÿ êîìàíäà, ÿêà äî öüîãî ìîìåíòó ïðîâåëà àáî ïàðíó êіëüêіñòü ìàò÷іâ, àáî ùå íå ïðîâåëà æîäíîãî.

§ 12. Степінь з натуральним

Äîáóòîê êіëüêîõ îäíàêîâèõ ìíîæíèêіâ ìîæíà çàïèñàòè ó âèãëÿäі âèðàçó, ÿêèé íàçèâàþòü ñòåïåíåì.

ÒÅÌÀ 3 92
Степінь
показником

Îñêіëüêè 4 · 4 · 4 · 4 · 4 · 4  4096, òî êàæóòü, ùî ÷èñëî 4096 є øîñòèì ñòåïåíåì ÷èñëà 4.

іíü

ó âèãëÿäі ñòåïåíÿ: 1) aa; 2) bbbb; 3) 17 · 17 · 17; 4)

Âіäïîâіäü: 1) a2; 2) b4; 3) 173; 4) 105.

Âіäïîâіäü: 1) 16; 2) 0; 3) 36; 4) . Приклад 1.

до степеня

·

Ðîçâ’ÿçàííÿ. 1) aa  a2; 2) bbbb  b4; 3) 17 · 17 · 17  173; 4)

Îá÷èñëåííÿ çíà÷åííÿ ñòåïåíÿ є àðèôìåòè÷íîþ äієþ, ÿêó íàçèâàþòü ïіäíåñåííÿì äî ñòåïåíÿ. Âèêîíàòè ïіäíåñåííÿ äî ñòåïåíÿ: 1) 24; 2) 03; 3) (–6)2; 4)

Ðîçâ’ÿçàííÿ. 1) 24  2 · 2 · 2 · 2  16; 2) 03  0 · 0 · 0  0; 3) (–6)2  –6 · (–6)  36; 4)

Âèðàçè
ç íàòóðàëüíèì
93
ç³ çì³ííèìè. Ñòåï³íü
ïîêàçíèêîì. Îäíî÷ëåí
Ïîäàòè
10
10
10
10
10
10
10
Ñòåï
ç îñíîâîþ a і ïîêàçíèêîì n çàïèñóþòü òàê: an, ÷èòàþòü: «a â ñòåïåíі n» àáî «n-é ñòåïіíü ÷èñëà a».
10 ·
·
·
10.
10 ·
·
·
·
 105.
Піднесення
Приклад
2.

Знак степеня з натуральним показником n

Ç’ÿñóєìî, ÿêèé çíàê ñòåïåíÿ ç íàòóðàëüíèì ïîêàçíèêîì n.

1) ßêùî a  0, òî 01  0; 02  0 · 0  0; … . Îòæå, 0n  0.

2) ßêùî a > 0, òî > 0 ÿê äîáóòîê äîäàòíèõ ÷èñåë. Îòæå, àï > 0 äëÿ áóäü-ÿêîãî à > 0.

3) ßêùî a < 0, òî

äëÿ íåïàðíîãî çíà÷åííÿ ï ìàєìî: aï < 0 (ÿê äîáóòîê

äëÿ ïàðíîãî çíà÷åííÿ ï ìàєìî: aï > 0 (ÿê äîáóòîê ïàðíî

Îòæå,

якщо n – натуральне число, то 0n = 0 для будь-якого n; an > 0 для будь-яких a > 0 та n; an < 0 для будь-якого a < 0 та

Çíàéòè çíà÷åííÿ âèðàçó: 1) 3 – 7 · 23; 2) (2  (–3)4)2; 3) ((–1)5  (–1) 6)8; 4) 43 : 27. Ðîçâ’ÿçàííÿ. 1) 3 – 7 · 23  3 – 7 · 8  3 – 56  –53; 2) (2  (–3)4)2  (2  81)2  832  6889; 3) ((–1)5  (–1) 6)8  (–1  1)8  08  0; 4) 43 : 27  64 : 128  0,5. Âіäïîâіäü: 1) –53; 2) 6889; 3) 0; 4) 0,5.

Çâåðíіòü óâàãó, ùî ïіä ÷àñ

ÒÅÌÀ 3 94
ї
іëüêîñò
íåïàðíî
ê
і âіä’єìíèõ ìíîæíèêіâ);
ї êіëüêîñòі âіä’є
ìíèõ ìíîæíèêіâ).
для
парного
Обчислення значень виразів на кілька дій
непарного n; an > 0
будь-якого a < 0 та
n.
îá÷èñëåíü ìîæíà òàêîæ çàïèñóâàòè êîæíó äіþ îêðåìî. Поняття степеня з натуральним показником сформувалося ще в давні часи. Квадрат числа використовували для обчислення площ, куб числа – для обчислення об’ємів. У Давньому Єгипті та Вавилоні степені деяких чисел використовували під час розв’язування окремих задач. Приклад 3.

12.1. Ïðî÷èòàéòå âèðàçè, íàçâіòü îñíîâó é ïîêàçíèê ñòåïåíÿ: 1) 0,75; 2) (–4)2; 3) (xy)3; 4) (a – b)5; 5) ; 6) (a2 – b2)7.

12.2. Çàïèøіòü äîáóòîê ó âèãëÿäі ñòåïåíÿ: 1) 0,5 ∙ 0,5; 2) (–7) ∙ (–7) ∙ (–7); 3) 4) ; 5) aaaa; 6) (xy) ∙ (xy); 7) ; 8) (m – p)(m – p)(m – p).

12.3. Ïîäàéòå äîáóòîê ó âèãëÿäі ñòåïåíÿ: 1) 0,8 ∙ 0,8 ∙ 0,8; 2) (–2) ∙ (–2) ∙ (–2) ∙ (–2); 3) mmmmm; 4) (c + 3)(c + 3); 5) ; 6) .

12.4. Çàïèøіòü ñòåïіíü ó âèãëÿäі äîáóòêó îäíàêîâèõ ìíîæíèêіâ: 1) 75; 2) b3; 3) (x – y)2; 4) .

Âèðàçè ç³ çì³ííèìè. Ñòåï³íü ç íàòóðàëüíèì ïîêàçíèêîì. Îäíî÷ëåí 95 Французький математик Франсуа Вієт використовував букви N, Q і C не лише для записів відповідно x, x2 і x3, а й для запису степенів, вищих за третій. Наприклад, четвертий степінь у його записі виглядав так: QQ Сучасний запис степенів запропонував ви-
математик, фізик, філософ
став записувати степені з натураль-
так, як ми це робимо зараз: ñ3 , ñ4 , ñ5 і т. д. Проте ñ2 він записував як добуток: ññ. Рене Декарт (1596–1650) Сформулюйте означення степеня з натуральним показником. Наведіть приклади степенів і назвіть їхні основу й показник. Як називають другий степінь числа; третій степінь числа? Яким числом (додатним чи від’ємним) є степінь додатного числа; степінь від’ємного числа з парним показником; степінь від’ємного числа з непарним показником?
çàäà÷i òà
âï ð àâ
датний французький
Рене Декарт. У своїй праці «Геометрія», датованій 1634 роком, він
ним показником
У якому порядку виконують арифметичні дії в числових виразах, що містять степені? Ðîçâ ' ÿæiòü
âèêîíàéòå
è

12.5. Ïîäàéòå ñòåïіíü ó âèãëÿäі äîáóòêó îäíàêîâèõ ìíîæíèêіâ: 1) 97; 2) c4; 3) (a + b)3; 4) .

12.6. (Óñíî.) Îá÷èñëіòü: 1) 13; 2) 05; 3) 52; 4) (–7)2; 5) (–2)3; 6) (–1)8.

12.7. Çíàéäіòü çíà÷åííÿ âèðàçó: 1) 32; 2) 23; 3) 02; 4) 17; 5) (–1)4; 6) (–1)3.

12.8. Âèêîíàéòå ïіäíåñåííÿ äî ñòåïåíÿ: 1) 35; 2) (0,7)2; 3) 4)

5) (–7)4; 6) (–0,3)3; 7) 8) (–0,1)4.

12.9. Âèêîíàéòå ïіäíåñåííÿ äî ñòåïåíÿ: 1) 54; 2) (1,5)2; 3) 4) 5) (–3)3; 6) (–1,7)2; 7) 8) (–0,2)4.

12.10. Çàïîâíіòü òàáëèöþ â çîøèòі:

12.11. Ðîçêëàäіòü íàòóðàëüíі ÷èñëà íà ïðîñòі ìíîæíèêè, âèêîðèñòàâøè â çàïèñó ñòåïіíü: 1) 16; 2) 27; 3) 50; 4) 1000; 5) 99; 6) 656.

12.12. Çíàéäіòü çíà÷åííÿ âèðàçó: 1) –52; 2) 3) –(–0,2)4; 4) –(–1)19.

12.13. Îá÷èñëіòü: 1) –73; 2) ; 3) 4) –(–1)16.

ÒÅÌÀ 3 96
n 1 2 3 4 5 6 7 8 9 10
2 n 3 n

Âèðàçè ç³ çì³ííèìè. Ñòåï³íü ç íàòóðàëüíèì ïîêàçíèêîì. Îäíî÷ëåí

12.14. Ïîðіâíÿéòå ç íóëåì çíà÷åííÿ âèðàçó (âіäïîâіäü çàïèøіòü ó âèãëÿäі íåðіâíîñòі):

1) (–5,7)2; 2) (–12,49)9; 3) –537; 4) –(–2)5.

12.15. Ïîðіâíÿéòå ç íóëåì çíà÷åííÿ âèðàçó (âіäïîâіäü çàïèøіòü

ó âèãëÿäі íåðіâíîñòі): 1) (–4,7)3; 2) (–2,31)4; 3) –(–2)8; 4) –(–3)7.

12.16. Çíàéäіòü çíà÷åííÿ âèðàçó:

1) 0,2 · 252; 2) 3)

4) 0,01 · (–5)3; 5) 6)

7) 52  (–5)4; 8) (3,4 – 3,6)2; 9) (–1,8 + 4,8)4.

12.17. Îá÷èñëіòü:

1) 0,5 · 402; 2) 3)

4) 5) 6)

7) 62 – (–6)3; 8) (1,7 – 1,9)4; 9) (–2,5 + 8,5)2.

12.18. ×è є ïðàâèëüíèìè ðіâíîñòі:

1) 32  42  52; 2) 42  52  62; 3) 23  33  53; 4) 26  62  102; 5) 13  23  33  62; 6) (–5)2  (–12)2  (–13)2?

12.19. Ïîäàéòå ÷èñëà:

1) 0; 4; 0,16; 169; ó âèãëÿäі êâàäðàòà; 2) 64; –27; 0; 1;

12.20. Ïîäàéòå ÷èñëà: 1) 5; 125; 625 ó âèãëÿäі ñòåïåíÿ ç îñíîâîþ 5; 2) 100; 10 000; 10 ó âèãëÿäі ñòåïåíÿ ç îñíîâîþ 10.

12.21. Ïîäàéòå: 1) 8; 81; –125; –64; 0,16; 0,001; ó âèãëÿäі êâàäðàòà àáî êóáà ÷èñëà; 2) 2; 4; 8; 256 ó âèãëÿäі ñòåïåíÿ ç îñíîâîþ 2; 3) 81; –27; –3 ó âèãëÿäі ñòåïåíÿ ç îñíîâîþ –3.

97

12.22. Îá÷èñëіòü:

1) ñóìó êâàäðàòіâ ÷èñåë 0,6 і –0,7; 2) êâàäðàò ñóìè ÷èñåë 5,7 і –6,3; 3) ðіçíèöþ êóáіâ ÷èñåë 2,3 і 2,2; 4) êóá ñóìè ÷èñåë 8,2 і 1,8.

12.23. Çíàéäіòü çíà÷åííÿ âèðàçó:

1) , ÿêùî x  0; –1; 1; –3; 3; 2) a  a2  a3, ÿêùî a  1; –1; –2;

3) (15x)4, ÿêùî x  ; 4) a2 – b2, ÿêùî a  –6, b  –8.

12.24. Çíàéäіòü çíà÷åííÿ âèðàçó:

1) 0,01a4, ÿêùî a  2; –5; 10; 2) 5c2 – 4, ÿêùî c  0,2; –0,1; 0; 3) (m  n)3, ÿêùî m  –4, n  –1; 4) 4x2 – x3, ÿêùî x  1; –2; –3.

12.25. Íå âèêîíóþ÷è îá÷èñëåíü, ïîðіâíÿéòå: 1) –24 і (–2)4; 2) (–7)3 і (–6)2; 3) (–12)8 і 128; 4) –53 і (–5)3.

12.26. Ïîðіâíÿéòå çíà÷åííÿ âèðàçіâ:

1) –x2 і (–x)2, ÿêùî x  5; –3; 0; 2) –x3 і (–x)3, ÿêùî x  –2; 0; 3.

12.27. Çàìіíіòü «çіðî÷êó» îäíèì çі çíàêіâ >, <, I, J òàê, ùîá îäåðæàíà íåðіâíіñòü áóëà ïðàâèëüíîþ äëÿ áóäü-ÿêèõ

çíà÷åíü çìіííèõ: 1) a2 * 0; 2) –b2 * 0; 3) m2  3 * 0; 4) –p–2 – 1 * 0; 5) (a – 3)2 * 0; 6) a2  b2 * 0; 7) x2  y2  5 * 0; 8) (m – n)2  1 * 0; 9) –( p  9)2 * 0.

12.28. ßêîãî íàéìåíøîãî çíà÷åííÿ ìîæå íàáóâàòè âèðàç: 1) a2  1; 2) 3  (m – 3)2; 3) (a  8)4 – 5?

12.29. ßêîãî íàéáіëüøîãî çíà÷åííÿ ìîæå íàáóâàòè âèðàç: 1) –x2  2; 2) –(m – 2)4  1; 3) 5 – (a  9)2?

12.30. Çàïèøіòü äðіá ó âèãëÿäі âіäñîòêіâ: 1) 0,8; 2) 1,13; 3) 8,3; 4) 0,007.

ÒÅÌÀ 3 98
 ï ð à â è äëÿ ïî â òî ð åííÿ ðð

12.31. Îá÷èñëіòü: 1)

2)

32. Äëÿ äåÿêèõ íàòóðàëüíèõ çíà÷åíü x і y çíà÷åííÿ âèðàçó x + 3y äіëèòüñÿ íà 5. ×è äіëèòüñÿ íà 5 çíà÷åííÿ âèðàçó 7x + 21y äëÿ òèõ ñàìèõ çíà÷åíü x і y?

Æ èòò є â à ìàòåìàòèê à

12.33. Ùîá áóòè çäîðîâîþ, ëþäèíà ìàє ùîäåííî âæèâàòè 3 ã áіëêіâ íà êîæíі 4 êã ñâîєї ìàñè. 1) Ñêіëüêè áіëêіâ ìàє ìіñòèòè

48 êã?

2) Ñêіëüêè áіëêіâ ìàє ìіñòèòè âàø ùîäåííèé ðàöіîí?

éîãî äâîìà îñòàííіìè öèôðàìè, äіëèòüñÿ íà 4.

§ 13. Властивості степеня з натуральним показником

Ðîçãëÿíåìî âëàñòèâîñòі ñòåïåíÿ ç íàòóðàëüíèì ïîêàçíèêîì.

Множення степенів з однаковими основами

Âèðàç a3 a2 є äîáóòêîì äâîõ ñòåïåíіâ ç îäíàêîâèìè îñíîâàìè. Çàñòîñóâàâøè îçíà÷åííÿ ñòåïåíÿ, öåé äîáóòîê ìîæíà ïåðåïèñàòè: a3a2  (aaa) · (aa)  aaaaa  a5 .

Îòæå, a3 a2  a5 , òîáòî a5  a32 . Ó òîé ñàìèé ñïîñіá íåâàæêî ïåðåâіðèòè, ùî õ5õ4õ2  õ5+4+2  õ11 . Òîìó äîáóòîê ñòåïåíіâ ç îäíàêîâèìè îñíîâàìè äîðіâíþє ñòåïåíþ ç òієþ ñàìîþ îñíîâîþ і ïîêàçíèêîì, ÿêèé äîðіâíþє ñóìі ïîêàçíèêіâ ìíîæíèêіâ. Öÿ âëàñòèâіñòü ñïðàâäæóєòüñÿ äëÿ êîæíîãî äîáóòêó ñòåïåíіâ ç îäíàêîâèìè îñíîâàìè.

ç íàòóðàëüíèì
Îäíî÷ëåí 99
Âèðàçè ç³ çì³ííèìè. Ñòåï³íü
ïîêàçíèêîì.
ùîäåííèé ðàöіîí ïіäëіòêà ìàñîþ
ðó Ö і êà â і çà ä à÷ і – ïîì і ð ê ó é î ä íà÷å äðóä 12.34. Äîâåäіòü îçíàêó ïîäіëüíîñòі íà 4: íàòóðàëüíå ÷èñëî äіëèòüñÿ íà 4 òîäі і òіëüêè òîäі, êîëè
÷èñëî, çàïèñàíå

Äîâåäåííÿ. Äëÿ m > 1, n > 1 ìàєìî

ßêùî, íàïðèêëàä, m  1, n > 1, òî .

Âèïàäêè m > 1, n  1 òà m  1, n  1 ðîçãëÿäàþòüñÿ àíàëîãі÷íî.

Ðіâíіñòü aman  amn íàçèâàþòü îñíîâíîþ âëàñòèâіñòþ ñòåïåíÿ. Âîíà ïîøèðþєòüñÿ íà äîáóòîê òðüîõ і áіëüøå ñòåïåíіâ. Íàïðèêëàä: amanak  amnk .

Ç îñíîâíîї âëàñòèâîñòі ñòåïåíÿ âèïëèâàє

іâ ç îäíàêîâèìè îñíîâàìè.

Ділення степенів з однаковими основами

Îñêіëüêè a3 a2  a5, òî çà îçíà÷åííÿì ÷àñòêè a5 : a3  a2 , òîáòî a2  a5 – 3. Ó òîé ñàìèé ñïîñіá íåâàæêî ïåðåñâіä÷èòèñÿ, ùî a15 : a4  a11. Òîìó ÷àñòêà ñòåïåíіâ ç îäíàêîâèìè îñíîâàìè äîðіâíþє ñòåïåíþ ç òієþ ñàìîþ îñíîâîþ і ïîêàçíèêîì, ÿêèé äîðіâíþє ðіçíèöі ïîêàçíèêіâ äіëåíîãî і äіëüíèêà. Öÿ âëàñòèâіñòü ñïðàâäæóєòüñÿ äëÿ êîæíîї ÷àñòêè ñòåïåíіâ ç îäíàêîâèìè, âіäìіííèìè âіä íóëÿ, îñíîâàìè çà óìîâè, ùî ïîêàçíèê ñòåïåíÿ äіëåíîãî áіëüøèé çà ïîêàçíèê ñòåïåíÿ äіëüíèêà.

Äîâåäåííÿ. Îñêіëüêè am – n · an  am – n  n  am, òîáòî am – nan  am, òî çà îçíà÷åííÿì ÷àñòêè ìàєìî am : an  am – n .

100

ÒÅÌÀ
3
3 ; 73 · 7  73 · 71  73  1  74;
ïðàâèëî ìíîæåííÿ ñòåïåí
Íàïðèêëàä, 3 3 3
a7a2a3  a7  2
3  a12 .

Äîâåäåííÿ. Ç äîâåäåíîї âëàñòèâîñòі âèïëèâàє ïðàâèëî ïіäíåñåííÿ ñòåïåíÿ äî ñòåïåí

Íàïðèêëàä, (45)4  45 4  420; (a8)11  a8·11  a88; ((p( 3)2)5  (p3·2)5  (p6)5  p6·5  p30 . Піднесення добутку до степеня Âèðàç (ab)3 є ñòåïåíåì äîáóòêó ìíîæíèêіâ a і b. Öåé âèðàç ìîæíà ïîäàòè ó âèãëÿäі äîáóòêó ñòåïåíіâ a і b: (ab)3  ab · ab · ab  (aaa) · (bbb)  a3b3 .

Îòæå, (ab)3  a3b3 .

Âèðàçè ç³ çì³ííèìè. Ñòåï³íü ç íàòóðàëüíèì ïîêàçíèêîì. Îäíî÷ëåí 101 Ç
Íàïðèêëàä, 318 : 35  318–5  313; m9 : m  m9 : m1  m9–1  m8 . Піднесення степеня до степеня Âèðàç
7)3 – ñòåïіíü, îñíîâà ÿêîãî є ñòåïåíåì. Öåé âèðàç ìîæíà ïîäàòè ó âèãëÿäі ñòåïåíÿ ç îñíîâîþ a: (a7)3  a7 · a7 · a7  a777  a7·3  a21 . Ó
іä÷èòèñÿ, ùî
7)3)2
42
ñòåïåíÿ
ç òієþ ñàìîþ îñíîâîþ і ïîêàçíèêîì, ùî äîðіâíþє äîáóòêó ïîêàç-
äîâåä ðàâèëî ä іâ.
(a
òîé ñàìèé ñïîñіá ìîæíà ïåðåñâ
((õ
 õ
. Òîáòî ñòåïіíü ïðè ïіäíåñåííі äî
äîðіâíþє ñòåïåíþ
íèêіâ äàíèõ ñòåïåíіâ.

Äîâåäåííÿ.

Öÿ âëàñòèâіñòü ñòåïåíÿ ïîøèðþєòüñÿ íà ñòåïіíü äîáóòêó

ç òðüîõ і áіëüøå ìíîæíèêіâ.

Íàïðèêëàä, (mpk)n  mnpnkn; (abcd)n  anbncndn òîùî.

Ìàєìî ïðàâèëî ïіäíåñåííÿ äîáóòêó äî ñòåïåíÿ.

Íàïðèêëàä, (7ab)2  72a2b2  49a2b2; (–2xy)3  (–2)3x3y3  –8x3y3 .

Застосування властивостей степеня до розв’язування вправ

Ìàєìî:

Ðîçãëÿíåìî, ÿê ìîæíà ñïðîùóâàòè òà ïåðåòâîðþâàòè

ÒÅÌÀ 3 102 Ò
âèðàçè, ùî ìіñòÿòü ñòåïåíі, îá÷èñëþâàòè їõíі çíà÷åííÿ òà ïîðіâíþâàòè. Ñïðîñòèòè âèðàç
a4a
. Ðîçâ’ÿçàííÿ
(a
· (a
 a
30
36 . Â
Îá÷èñëèòè:
92
7
27
0,58. Приклад 1. Приклад 2.
(a2)3 · (
)6
. (a2)3 ·
4a) 6
a6
5) 6
6 a
 a
іäïîâіäü: a36 .
1) 0,713 : 0,711; 2) 35 ·
: 272
; 3)
·

Ðîçâ’ÿçàííÿ. 1) 0,713 : 0,711  0,72 7  0,49.

2) Ïîäàìî 92 і 272 ó âèãëÿäі ñòåïåíÿ ç îñíîâîþ 3, ìàòèìåìî: 92  (32)2, 272  (33)2. Îòæå, 35 · 92 : 272  35 · (32)2 : (33)2  35 · 34 :

 39 :

3) Îñêіëüêè 0,58  0,57 · 0,5, ìàєìî: 27 · 0,58  27 · 0,57 · 0,5  (2 · 0,5)7 · 0,5  17 · 0,5  1 · 0,5  0,5.

Âіäïîâіäü: 1) 0,49; 2) 27; 3) 0,5.

Приклад 3.

ó âèãëÿäі ñòåïåíÿ âèðàç:

1) 25a2b4; 2) –64p4 6 .

Ðîçâ’ÿçàííÿ.

1) 25a2b4  52 a2(b2)2  (5ab2)2; 2) –64p4 6  (–4)3( p2)3  (–4p4 2)3.

Âіäïîâіäü: 1) (5ab2)2; 2) (–4p4 2)3.

Ïîðіâíÿéòå çíà÷åííÿ âèðàçіâ 740 і 4820.

Ðîçâ’ÿçàííÿ. Îñêіëüêè 740 7  (72)20  4920 і 4920 > 4820, òî 740 7 > 4820.

Âіäïîâіäü: 740 7 > 4820.

формули.

Ðîçâ ' ÿæiòü çàäà÷i

13.1. (Óñíî.) ßêі ç ðіâíîñòåé ïðàâèëüíі: 1) a3 a5  a15; 2) a2a8  a10; 3) b20 : b4  b5; 4) b6 : b2  b4; 5) (a5)7  a35; 6) (a3)4  a7?

13.2. (Óñíî.) Ïîäàéòå äîáóòîê ó âèãëÿäі ñòåïåíÿ: 1) a7a3; 2) b5 b; 3) 78 ∙ 713; 4) 5 ∙ 511.

13.3. Çàïèøіòü äîáóòîê ó âèãëÿäі ñòåïåíÿ: 1) x5x7; 2) a2a8; 3) m3m; 4) 29 ∙ 230.

13.4. Ïîäàéòå äîáóòîê ó âèãëÿäі ñòåïåíÿ: 1) p2p4; 2) c9 c3; 3) 4 ∙ 416; 4) c7c2 .

13.5. (Óñíî.) Ïîäàéòå ÷àñòêó ó âèãëÿäі ñòåïåíÿ: 1) a7 : a2; 2) 314 : 311; 3) c8 : c; 4) 1214 : 1213.

13.6. Çàïèøіòü ÷àñòêó ó âèãëÿäі ñòåïåíÿ: 1) b5 : b3; 2) m12 : m5; 3) t6 : t; 4) x10 : x9 .

13.7. Ïîäàéòå ÷àñòêó ó âèãëÿäі ñòåïåíÿ: 1) m9 : m5; 2) a10 : a5; 3) 97 : 9; 4) m14 : m13 .

Âèðàçè
Ñòåï³íü ç íàòóðàëüíèì ïîêàçíèêîì. Îäíî÷ëåí 103
ç³ çì³ííèìè.
36
36
33
27.
Ïîäàéòå
Сформулюйте основну властивість степеня. Сформулюйте правила множення
ділення степенів, піднесення степеня до степеня та піднесення добутку до степеня і запам’ятайте відповідні
степенів,
âèêîíàéòå âï
òà
ð àâ è
Приклад 4.

13.8. (Óñíî.) Ïîäàéòå ó âèãëÿäі ñòåïåíÿ: 1) (x3)7; 2) (310)4; 3) (c2)5; 4) (97)11.

13.9. Ïîäàéòå ó âèãëÿäі ñòåïåíÿ: 1) (m3)5; 2) (a5)7; 3) (93)8; 4) (104)2.

13.10. Ïîäàéòå ó âèãëÿäі ñòåïåíÿ: 1) (a4)5; 2) (c7)2; 3) (92)15; 4) (1814)2.

13.11. Çàïèøіòü âèðàç x12 ó âèãëÿäі äîáóòêó äâîõ ñòåïåíіâ, îäèí ç ÿêèõ äîðіâíþє: 1) x3; 2) x6; 3) x9; 4) x11 .

13.12. Çàïèøіòü ñòåïіíü ó âèãëÿäі äîáóòêó äâîõ ñòåïåíіâ ç îäíàêîâèìè îñíîâàìè: 1) m7; 2) c12; 3) 517; 4) p8 .

13.13. Ïîäàéòå äîáóòîê ó âèãëÿäі ñòåïåíÿ: 1) (–7)3 · (–7)4 · (–7); 2) aa5 a11; 3) bbbb9; 4) (x – y)3(x – y)12; 5) 147 · 145 · 149; 6)

13.14. Çàïèøіòü ó âèãëÿäі ñòåïåíÿ âèðàç:

1) 123 · 129 · 12; 2) ppp7p; 3) (a  b)3(a  b)5; 4)

13.15. Îá÷èñëіòü çíà÷åííÿ âèðàçó, âèêîðèñòîâóþ÷è âëàñòèâîñòі ñòåïåíÿ і òàáëèöþ ñòåïåíіâ ç îñíîâàìè 2 і 3 (äèâ. № 12.10 íà ñ. 96): 1) 23 · 24; 2) 36 : 3; 3) 3 · 33 · 34; 4) 29 : 23.

13.16. Âèêîíàéòå ïіäíåñåííÿ äî ñòåïåíÿ: 1) (xy)9; 2) (abc)7; 3) (0,1a)3; 4) (2xy)4; 5) (–2a)5; 6) (–0,3a)2; 7) (–4ab)3; 8)

13.17. Çàïèøіòü ñòåïіíü ó âèãëÿäі äîáóòêó ñòåïåíіâ àáî äîáóòêó ÷èñëà і ñòåïåíіâ: 1) (ab)5; 2) (2p2 )4; 3) (–5ax)3; 4) 5) (–0,1m)3; 6) (–0,07mx7 )2.

13.18. Çíàéäіòü çíà÷åííÿ âèðàçó:

1) 618 : 616; 2) 0,38 : 0,35; 3)

ÒÅÌÀ 3 104

13.19. Îá÷èñëіòü: 1) 910 : 98; 2) 3) 4)

13.20. Çíàéäіòü çíà÷åííÿ âèðàçó: 1) 2) 3) 4)

13.21. Îá÷èñëіòü: 1) 54 · 512 : 513; 2)

13.22. Ñïðîñòіòü âèðàç, âèêîðèñòîâóþ÷è ïðàâèëà ìíîæåííÿ і äі-

ëåííÿ ñòåïåíіâ: 1) a7 · a9 : a3; 2) b9 : b5 : b3; 3) m12 : m7 · m; 4) p10 : p9 · p3 .

13.23. Çàïèøіòü âèðàç ó âèãëÿäі ñòåïåíÿ: 1) (a3)4 · a8; 2) ((a7)2)3; 3) (b3)2 : b4; 4) (a4)5 · (a7)2.

13.24. Ïîäàéòå âèðàç ó âèãëÿäі ñòåïåíÿ: 1) (b3)4 · b7; 2) ((x4)5) 6; 3) (c3)8 : c10; 4) (m3)5 · (m2)7 .

13.25. Çàïèøіòü âèðàç ó âèãëÿäі ñòåïåíÿ ç îñíîâîþ mn: 1) m9n9; 2) m7n7; 3) m2n2; 4) m2015n2015 .

13.26. Ïîäàéòå âèðàç ó âèãëÿäі ñòåïåíÿ ç îñíîâîþ ab: 1) a5 b5; 2) a3b3; 3) a18 b18; 4) a2016 b2016 . 13.27. Çàïèøіòü äîáóòîê ó âèãëÿäі ñòåïåíÿ: 1) a4b4; 2) 49a2x2; 3) 0,001a3b3; 4) –8p8 3; 5) –32a5 b5; 6) –a7b7c7; 7) x3y3; 8) p3 q3 .

13.28. Çíàéäіòü çíà÷åííÿ x, äëÿ ÿêîãî ñïðàâäæóєòüñÿ ðіâíіñòü: 1) 35 · 32  35x; 2) 27 · 28  21x; 3) 4x · 45  48; 4) 98 : 9x  95.

13.29. Çíàéäіòü çíà÷åííÿ õ, äëÿ ÿêîãî ñïðàâäæóєòüñÿ ðіâíіñòü: 1) 1,89 : 1,8  1,89–x; 2) 19x : 197  199; 3) 412 : 4x  47.

Âèðàçè
çì³ííèìè. Ñòåï³íü ç íàòóðàëüíèì ïîêàçíèêîì. Îäíî÷ëåí 105
ç³
4) 5) 6)

13.30. Çàìіíіòü «çіðî÷êó» ñòåïåíåì ç îñíîâîþ p, äå p  0, òàêèì, ùîá ðіâíіñòü ñòàëà òîòîæíіñòþ: 1) p7 : *  p3; 2) * : p5  p9; 3) p9 : * · p3  p7; 4) * : p9 · p4  p10 .

13.31. Çàìіíіòü «çіðî÷êó» ñòåïåíåì ç îñíîâîþ a òàêèì, ùîá ðіâíіñòü ñòàëà òîòîæíіñòþ: 1) a2 · *  a7; 2) a8 · *  a9; 3) a4 · * · a7  a19 .

13.32. Ïîäàéòå âèðàç: 1) 87; (163)5 ó âèãëÿäі ñòåïåíÿ ç îñíîâîþ 2; 2) 253; 6257 ó âèãëÿäі ñòåïåíÿ ç îñíîâîþ 5.

13.33. Ïîäàéòå âèðàç: 1) 97; (813)5 ó âèãëÿäі ñòåïåíÿ ç îñíîâîþ 3; 2) 1004; 10009 ó âèãëÿäі ñòåïåíÿ ç îñíîâîþ 10.

13.34. Îá÷èñëіòü, âèêîðèñòîâóþ÷è âëàñòèâîñòі ñòåïåíіâ: 1) 256 : 25; 2) 243 : 34 · 9; 3) 4)

13.35. Ïîäàéòå ó âèãëÿäі ñòåïåíÿ (n – íàòóðàëüíå ÷èñëî): 1) x5xn; 2) x8 : xn, n < 8; 3) xn : (x8 · x9), n > 17; 4) x2n : xn · x3n1; 5) ((xn)3)5; 6) (–x4)2n .

13.36. Çíàéäіòü çíà÷åííÿ âèðàçó: 1) 53 · 23; 2) 3) 0,213 · 513; 4) 7 · 28; 6)

13.37. Îá÷èñëіòü: 1) 0,257 · 47; 2) 3) 4) 38. Çíàéäіòü çíà÷åííÿ âèðàçó, âèêîðèñòîâóþ÷è âëàñòèâîñòі ñòåïåíіâ: 1) 2) 3) 4) 13.39. Çíàéäіòü çíà÷åííÿ âèðàçó: 1) 2) 3) 4)

ÒÅÌÀ 3 106

13.40. Îá÷èñëіòü: 1) 2) 3) 4)

13.41. Ïîðіâíÿéòå âèðàçè: 1) 610 і 365; 2) 1020 і 2010; 3) 514 і 267; 4) 23000 і 32000.

Âï ð à â è äëÿ ïî â òî ð åíí ÿ ðð

13.42. Ñïðîñòіòü âèðàç: 1) 5,2 · 6a; 2) –4,5b · 8; 3) –5x · (–12); 4) 5) 6) –1,8a · (–b) · 5c.

13.43. Âàðòіñòü äåÿêîãî òîâàðó ñòàíîâèëà 80 ãðí. Ñïî÷àòêó її çíèçèëè íà 15 %, à ïîòіì ïіäâèùèëè íà 10 %. Çíàéäіòü: 1) âàðòіñòü òîâàðó ïіñëÿ çíèæåííÿ; 2) âàðòіñòü òîâàðó ïіñëÿ ïіäâèùåííÿ;

3) ÿê ñàìå і íà ñêіëüêè ãðèâåíü çìіíèëàñÿ âàðòіñòü òîâàðó; 4) ÿê ñàìå і íà ñêіëüêè âіäñîòêіâ çìіíèëàñÿ âàðòіñòü òîâàðó.

13.44. Íåõàé a + b  5 і c  –2. Çíàéäіòü çíà÷åííÿ âèðàçó: 1) a  b – c; 2) a – 2c  b; 3) 4) c(a  b – 4c).

13.45. Ñïðîñòіòü âèðàç і çíàéäіòü éîãî çíà÷åííÿ, ÿêùî a  5, b  –10.

Æ èòò є â à ìàòåìàòèê à

13.46. Ñòóäåíò-õóäîæíèê Ìàêñèì îòðèìàâ ñâіé ïåðøèé ãîíîðàð

ó ðîçìіðі 4000 ãðí çà íàïèñàíó êàðòèíó. Іç öüîãî ïðèâîäó âіí âèðіøèâ ïðèâіòàòè áóêåòîì òðîÿíä ñâîþ âèêëàäà÷êó ìèñòåöòâà Ëàðèñó Âàñèëіâíó. ßêó íàéáіëüøó êіëüêіñòü òðîÿíä çìîæå ïðèäáàòè Ìàêñèì, ÿêùî âèòðàòèòü íà áóêåò ïîëîâèíó òієї ñóìè, ÿêó îòðèìàє ïіñëÿ âèðàõóâàííÿ ç ãîíîðàðó ïðèáóòêîâîãî ïîäàòêó â ðîçìіðі 18 % òà 1,5 % âіéñüêîâîãî çáîðó, çà óìîâè, ùî îäíà òðîÿíäà êîøòóє 100 ãðí і áóêåò ìàє ìіñòèòè íåïàðíó êіëüêіñòü êâіòіâ?

Âèðàçè
ç íàòóðàëüíèì
Îäíî÷ëåí 107
ç³ çì³ííèìè. Ñòåï³íü
ïîêàçíèêîì.

Ï iäãîòóéòåñÿ äî â è â ÷åííÿ íî â îãî ìàòåðiàëó

13.47. Çàïèøіòü êîåôіöієíò áóêâåíîãî âèðàçó: 1) 5c; 2) –2a; 3) 0,17kb; 4) 5) acx; 6) –ad. ðó Ö і êà â і çà ä à÷ і – ïîì і ð ê ó é î ä íà÷å äðóä

13.48. Äàíî ï’ÿòü ðіçíèõ äîäàòíèõ ÷èñåë, ÿêі ìîæíà ðîçáèòè íà äâі ãðóïè òàê, ùîá ñóìè ÷èñåë ó êîæíіé ç ãðóï áóëè îäíàêîâі. Ñêіëüêîìà ñïîñîáàìè öå ìîæíà çðîáèòè?

§ 14. Одночлен. Стандартний вигляд одночлена

Ðîçãëÿíåìî âèðàçè: 7; a9; –b; 7b2m; 4a2 · (–5)ac.

Öå – ÷èñëà, çìіííі, їõíі ñòåïåíі é äîáóòêè. Òàêі âèðàçè íàçè-

âàþò

Âèðàçè a  b2; c3 – 5m; 0,9a2 : m íå є îäíî÷ëåíàìè, îñêіëüêè

ìіñòÿòü äії äîäàâàííÿ, âіäíіìàííÿ, äіëåííÿ.

Одночлен стандартного вигляду

Ñïðîñòèìî îäíî÷ëåí 4a2 · (–5)ac, âèêîðèñòàâøè ïåðåñòàâíó

òà ñïîëó÷íó âëàñòèâîñòі ìíîæåííÿ: 4a2 · (–5)ac  4 · (–5)a2ac  –20a3c.

Çâіâøè îäíî÷ëåí 4a2 · (–5)ac äî âèãëÿäó –20a3c, êàæóòü, ùî

çâåëè éîãî äää

Îäíî÷ëåíè 5; –9; b; –p3 – òåæ îäíî÷ëåíè ñòàíäàðòíîãî âèãëÿäó.

ÒÅÌÀ 3 108
Одночлен

Коефіцієнт і степінь одночлена

Î÷åâèäíî, ùî äî ñòàíäàðòíîãî âèãëÿäó ìîæíà çâåñòè áóäü-

ÿêèé îäíî÷ëåí. ×èñëîâèé ìíîæíèê îäíî÷ëåíà ñòàíäàðòíîãî âè-

ãëÿäó íàçèâàþòü êîåôіöіє íòîì öüîãî îäíî÷ëåíà.

Íàïðèêëàä, êîåôіöієíòîì îäíî÷ëåíà –20a3c є ÷èñëî –20, à êîåôіöієíòîì îäíî÷ëåíà – ÷èñëî .

кожного

Íàïðèêëàä, îäíî÷ëåí 4a2b7c3 – öå îäíî÷ëåí 12-ãî ñòåïåíÿ, à äæå 2 + 7 + 3  12; m7n – îäíî÷ëåí 8-ãî ñòåïåíÿ, àäæå 7 + 1  8; –5a4 – îäíî÷ëåí 4-ãî ñòåïåíÿ; 5m – îäíî÷ëåí 1-ãî ñòåïåíÿ.

ßêùî îäíî÷ëåí íå ìіñòèòü çìіííèõ, òî є îäíî÷ëåíîì íóëüîâîãî ñòåïåíÿ. Òàê, íàïðèêëàä, îäíî÷ëåí –7 є îäíî÷ëåíîì 0-ãî ñòåïåíÿ.

вираз

' ÿæiòü çàäà÷i òà âèêîíàéòå âï ð àâ è 14.1. (Óñíî.) ßêі ç âèðàçіâ є îäíî÷ëåíàìè: 1) 4,5a2b; 2) –0,45mpc; 3) a2 – 9; 4) p ∙ (–0,2); 5) a2 am; 6) ;

109
Âèðàçè ç³ çì³ííèìè. Ñòåï³íü ç íàòóðàëüíèì ïîêàçíèêîì. Îäíî÷ëåí
Для
одночлена можна вказати його
степінь
Який
стандартним виглядом? Наведіть приклад одночлена
вигляду та назвіть його коефіцієнт. Що називають степенем
Який
називають одночленом?
вигляд одночлена називають
стандартного
одночлена? Ðîçâ

7) x – y; 8) c12 : c3; 9) 5(m + p)7; 10) –m; 11) –4,9; 12) 0?

14.2. (Óñíî.) Íàçâіòü îäíî÷ëåíè ñòàíäàðòíîãî âèãëÿäó òà їõ êîåôіöієíòè: 1) 5xy; 2) –4ama; 3) 9a2ba3b; 4) –a7b3; 5) 0,2a ∙ 3b; 6) –2xyt; 7) x9 c7; 8) 17.

14.3. ßêі ç âèðàçіâ є îäíî÷ëåíàìè? Ñåðåä îäíî÷ëåíіâ óêàæіòü òі, ÿêі çàïèñàíî ó ñòàíäàðòíîìó âèãëÿäі: 1) 5a ∙ 3b; 2) –7x7 2y; 3) a2 – a + 1; 4) x ∙ xy ∙ 7; 5) ; 6) –m2; 7) 12 + m; 8) –145; 9) 4(x – y)2; 10) p18; 11) 1 : x; 12) –xytm.

14.4. Çâåäіòü îäíî÷ëåí äî ñòàíäàðòíîãî âèãëÿäó, óêàæіòü éîãî êîåôіöієíò і ñòåïіíü:

1) 7a7 2 a3 a; 2) 8 · a · 0,1m ·2p2 ;

3) 5t · (–4at); 4) m4 · 12m2p;

5) –5a2 · 0,2am7 · (–10m); 6) t3 · (–p– )7 · t.

14.5. Çâåäіòü îäíî÷ëåí äî ñòàíäàðòíîãî âèãëÿäó, óêàæіòü éîãî êîåôіöієíò і ñòåïіíü:

1) –7m7 2b · 8mb2; 2) 5m · 2a · (–3b);

3) –7a7 · (–5a2); 4) –2,2a2 · a3p;

5) –a · (–0,2a2p) · (–0,3p3 4); 6) c5 · (–a) · (–c4a) · a7 .

14.6. Çíàéäіòü çíà÷åííÿ îäíî÷ëåíà:

1) 3,5a2, ÿêùî a  4; 0,1; 2) –4m3 , ÿêùî m  0; –1; 3) 10xy, ÿêùî x  1,4, y  –5; 4) –0,01a2c, ÿêùî a  5, c  –2.

14.7. Îá÷èñëіòü çíà÷åííÿ îäíî÷ëåíà: 1) 1,6a2, ÿêùî a  –5; 0; –1; 2) 5b2c, ÿêùî b  0,2 і c  0,1; b  –0,4 і c  2.

14.8. Çàïîâíіòü òàáëèöþ â çîøèòі: a –2,5 –2 –1,5 –1

4a2

–2a2

ÒÅÌÀ 3 110
0 0,5 1 1,5 2 2,5
–0,5

Âèðàçè ç³ çì³ííèìè. Ñòåï³íü ç íàòóðàëüíèì ïîêàçíèêîì. Îäíî÷ëåí

14.9. Çíàéäіòü:

1) çíà÷åííÿ x, äëÿ ÿêîãî çíà÷åííÿ îäíî÷ëåíà –0,8x äîðіâíþє 0; 1; –1; 12; 2) çíà÷åííÿ a і b, äëÿ ÿêèõ çíà÷åííÿ îäíî÷ëåíà 15ab äîðіâíþє 10; –60; 0.

14.10. Çíàéäіòü:

1) çíà÷åííÿ a, äëÿ ÿêîãî çíà÷åííÿ îäíî÷ëåíà –0,6a äîðіâíþє 0; –3; 12; –300; 2) ïàðó çíà÷åíü x і y, äëÿ ÿêèõ çíà÷åííÿ îäíî÷ëåíà 12xy äîðіâíþє 15; –120; 0.

14.11. (Óñíî.) ×è є ïðàâèëüíèì òâåðäæåííÿ? Ó ðàçі ñòâåðäíîї

âіäïîâіäі îáґðóíòóéòå її; ÿêùî âіäïîâіäü çàïåðå÷íà – íàâåäіòü ïðèêëàä, ùî ñïðîñòîâóє òâåðäæåííÿ.

1) Îäíî÷ëåí 7m7 2 äëÿ áóäü-ÿêèõ çíà÷åíü m íàáóâàє äîäàòíèõ çíà÷åíü;

2) îäíî÷ëåí äëÿ áóäü-ÿêèõ çíà÷åíü p íàáóâàє íåâіä’єìíèõ çíà÷åíü; 3) îäíî÷ëåí –12a2 äëÿ áóäü-ÿêèõ çíà÷åíü a íàáóâàє âіä’єìíèõ çíà÷åíü; 4) îäíî÷ëåí 8b3 äëÿ áóäü-ÿêèõ çíà÷åíü b íàáóâàє äîäàòíèõ çíà÷åíü.

14.12. Çíàéäіòü îá’єì ïðÿìîêóòíîãî ïàðàëåëåïіïåäà, âèñîòà ÿêîãî äîðіâíþє x ñì, øèðèíà ó 3 ðàçè áіëüøà çà âèñîòó, à äîâæèíà ó 2 ðàçè áіëüøà çà øèðèíó.

14.13. Øèðèíà ïðÿìîêóòíèêà äîðіâíþє b äì, à äîâæèíà âòðè÷і áіëüøà çà øèðèíó. Çíàéäіòü ïëîùó ïðÿìîêóòíèêà. Âï ð à â è äëÿ ïî â òî ð åíí ÿ ðð

14.14. Ðîçêðèéòå äóæêè òà ñïðîñòіòü âèðàç: 1) 3(12x – 5)  4x; 2) 7(a – 1) – 7a7  13; 3) 4,2(x – y)  3,5(x  y); 4) 12 – 5(1 – x) – 5x. 14.15. Ñåðåä âèðàçіâ 3(y – x), –3(x – y), –3x – 3y, –3x + 3y çíàéäіòü òі, ùî òîòîæíî ðіâíі âèðàçó 3y – 3x.

є â à ìàòåìàòèê à 14.16. Ïîäðóææÿ, Ëåîíіä òà Îëåíà, âіäêðèëè äåïîçèòè ïî 100 000 ãðí êîæíèé і äîìîâèëèñÿ ÷åðåç ðіê ïîðіâíÿòè îòðèìàíі âіä öèõ äåïîçèòіâ ïðèáóòêè. Ëåîíіä âіäêðèâ äå-

111
Æ
èòò

ó áàíêó, ùî íàðàõîâó

14.17. Ñïðîñòіòü âèðàç: 1) –4a ∙ (–0,5b); 2) 10c ∙ 0,1

14.18. Çàäà÷à Ñòåíôîðäñüêîãî óíіâåðñèòåòó.

âàòè âñі ñòîðіíêè êíèæêè, äðóêàð âèêîðèñòàâ 1890 öèôð. Ñêіëüêè ñòîðіíîê ó öіé êíèæöі?

Ïіä ÷àñ ìíîæåííÿ îäíî÷ëåíіâ

–3x3y7 і 5x2y.

Ðîçâ’ÿçàííÿ. –3x3y7 · 5x2y  (–3 · 5)(x3x2)(y7y)  –15x5y8 .

Âіäïîâіäü: –15x5y8 .

Äîáóòêîì áóäü-ÿêèõ

ïîäàþòü ó ñòàíäàðòíîìó

ÒÅÌÀ 3 112
îãî ìàòåðiàëó
d; 3) 0,25y ∙ (–40x); 4) 4c ∙ (–2a) ∙ (–3b). ðó Ö і êà â і çà ä à÷ і – ïîì і ð ê ó é î ä íà÷å äðóä
§ 15. Множення одночленів. Піднесення одночлена до степеня
ïîçèò
є 4 % ùîêâàðòàëüíî, à Îëåíà –ó áàíêó, ùî ïðèéìàє êîøòè ïіä 17 % ðі÷íèõ. ×èé ïðèáóòîê ÷åðåç ðіê âèÿâèòüñÿ áіëüøèì і íà ñêіëüêè? Ïiäãîòóéòåñÿ äî â è â ÷åííÿ íî â
Ùîá ïðîíóìåðó-
Множення одночленів
âëàñòèâîñò
ñòåïåíіâ ç îäíàêîâèìè îñíîâàìè. Ïåðåìíîæèòè
âèêîðèñòîâóþòü
і ìíîæåííÿ òà ïðàâèëî ìíîæåííÿ
îäíî÷ëåíè
іâ є îäíî÷ëåí, ÿêèé
âèãëÿäі. Àíàëîãі÷íî äî ïðèêëàäó 1
òðè і áіëüøå îäíî÷ëåíіâ. Çíàéòè äîáóòîê îäíî÷ëåíіâ . Ðîçâ’ÿçàííÿ.  (a2aa7)(bb7b13)  2a10 b21 . Âіäïîâіäü: 2a10 b21 . Піднесення одночлена до степеня Ïіä ÷àñ ïіäíåñåííÿ îäíî÷ëåíà äî ñòåïåíÿ âèêîðèñòîâóþòü âëàñòèâîñòі ñòåïåíіâ. Приклад 1. Приклад 2.
îäíî÷ëåí
çàçâè÷àé
ìîæíà ìíîæèòè

Приклад 3.

Âèðàçè ç³ çì³ííèìè. Ñòåï³íü ç íàòóðàëüíèì ïîêàçíèêîì. Îäíî÷ëåí

Ïіäíåñòè îäíî÷ëåí:

1) –2x2y äî êóáà; 2) –p–7m2 äî ÷åòâåðòîãî ñòåïåíÿ.

Ðîçâ’ÿçàííÿ. 1) (–2x2y)3  (–2)3(x2)3y3  –8x6y3; 2) (–p–7m2)4  (–1)4( p7)4(m2)4  p28m8 .

Âіäïîâіäü: 1) –8x6y3; 2) p28m8 .

Ðåçóëüòàòîì ïіäíåñåííÿ îäíî÷ëåíà äî ñòåïåíÿ є îäíî÷ëåí, ÿêèé çàçâè÷àé çàïèñóþòü ó ñòàíäàðòíîìó âèãëÿäі.

Ðîçãëÿíåìî ùå êіëüêà ïðèêëàäіâ.

Приклад 4.

Ñïðîñòèòè âèðàç

Ðîçâ’ÿçàííÿ.

Âіäïîâіäü: x8y16 .

Приклад 5.

Ïîäàòè îäíî÷ëåí 16m8p10 ó âèãëÿäі êâàäðàòà îäíî÷ëåíà ñòàíäàðòíîãî âèãëÿäó.

Ðîçâ’ÿçàííÿ. Îñêіëüêè 16  42, m8  (m4)2, p10  ( p5)2, òî 16m8p10  42 · (m4)2 · ( p5)2  (4m4p5)2.

Âіäïîâіäü: (4m4p5)2.

Які правила та властивості використовують під час множення одночленів; піднесення одночлена до степеня?

Ðîçâ ' ÿæiòü çàäà÷i òà âèêîíàéòå âï ð àâ è

15.1. (Óñíî.) Ïåðåìíîæòå îäíî÷ëåíè: 1) 3x і 5y; 2) –a і 2b; 3) 4x2 і –2y; 4) –3m2 і –n2 .

15.2. Âèêîíàéòå ìíîæåííÿ îäíî÷ëåíіâ: 1) 1,5x · 12y; 2) –p–2 · 9p7; 3) 4) 5) 0,7mn7 2 · (–m7n3); 6) –0,2m7p9 · (–4m4p); 7) –0,6ab2c3 · 0,5a3bc7; 8) .

113

15.3. Çíàéäіòü äîáóòîê îäíî÷ëåíіâ:

1) 20a · (–0,5b); 2) –a2 · (–3a7b); 3) 4) 5) 6)

15.4. Ïåðåìíîæòå îäíî÷ëåíè:

1) –13x2y і 12xy3; 2) 0,8mn8 і 50m2n; 3) , 15a2p і 4) 20xy2, –0,1x2y і 0,2x2y2 .

15.5. Çíàéäіòü äâà ðіçíèõ çàïèñè îäíî÷ëåíà –12m2n5 ó âèãëÿäі äîáóòêó äâîõ îäíî÷ëåíіâ ñòàíäàðòíîãî âèãëÿäó.

15.6. Çíàéäіòü äâà ðіçíèõ çàïèñè îäíî÷ëåíà 18m2n7 ó âèãëÿäі äîáóòêó: 1) äâîõ îäíî÷ëåíіâ ñòàíäàðòíîãî âèãëÿäó; 2) òðüîõ îäíî÷ëåíіâ ñòàíäàðòíîãî âèãëÿäó.

15.7. (Óñíî.) Ïіäíåñіòü îäíî÷ëåí äî ñòåïåíÿ: 1) (–mn2)2; 2) (2a2b)3; 3) (–m3b2)4; 4) (–a3b5)7.

15.8. Ïіäíåñіòü äî êâàäðàòà îäíî÷ëåí: 1) 3a; 2) 2b2; 3) –4a3b7; 4) –0,1p1 9 a4; 5) 6)

15.9. Ïіäíåñіòü äî êóáà îäíî÷ëåí: 1) 2p2 ; 2) 7m7 5; 3) –3a3b2; 4) –0,1a7b2; 5) 6)

15.10. Âèêîíàéòå ïіäíåñåííÿ äî ñòåïåíÿ: 1) (–xy3)3; 2) (–7a7 2bc3)2; 3) ( p3m4q5)4; 4) (–2a2b)4; 5) c5m10 a3)5.

15.11. Ïîäàéòå ó âèãëÿäі îäíî÷ëåíà ñòàíäàðòíîãî âèãëÿäó: 1) (–5x)2; 2) 3) (–0,2a2b3)4; 4) (–ab7c5) 6; 5) (–10a11b)5; 6) (a8 c10)7.

ÒÅÌÀ 3 114

15.12. Ïîäàéòå âèðàç:

1) 0,25m6p10; 121a18 b2c4 ó âèãëÿäі êâàäðàòà îäíî÷ëåíà; 2) 0,001a9; –125p5 3b12; ó âèãëÿäі êóáà îäíî÷ëåíà.

15.13. ßêèé îäíî÷ëåí ñòàíäàðòíîãî âèãëÿäó ìàє áóòè â äóæêàõ

çàìіñòü ïðîïóñêіâ, ùîá ðіâíіñòü áóëà ïðàâèëüíîþ:

1) ( … )2  4m6; 2) ( … )2  0,36p6 8 q10; 3) ( … )3  –8c9; 4) ( … )3  1000c6m12; 5) ( … )4  16a4b8; 6) ( … )5  c15p5 45?

15.14. ßêèé îäíî÷ëåí ñòàíäàðòíîãî âèãëÿäó ïîòðіáíî çàïèñàòè

çàìіñòü «çіðî÷êè», ùîá îäåðæàòè ïðàâèëüíó ðіâíіñòü:

1) * · 4m2n  12m7n12; 2) 5a2b · *  a3b7; 3) * · (–2m2p)  24m3p2; 4) * · (–9a2b)  a3b; 5) 5m2 a3 · *  –5m2a3; 6) 4m2n · * 

15.15. ßêèé îäíî÷ëåí ñòàíäàðòíîãî âèãëÿäó òðåáà çàïèñàòè çàìіñòü «çіðî÷êè», ùîá îäåðæàòè ïðàâèëüíó ðіâíіñòü:

1) * · 3m2n3  15m3n8; 2) –7p7 2x3 · *  21p1 2x9; 3) * · (–3a3b9)  a6 b10; 4) 12p2 3m · *  p3m?

15.16. Ñïðîñòіòü âèðàç: 1) 15m2 · (4m3)2; 2) –0,5m5 · (2m3)4; 3) (–3a3b4)4 · 4)

15.17. Ïîäàéòå ó âèãëÿäі îäíî÷ëåíà ñòàíäàðòíîãî âèãëÿäó: 1) 6a3 · (2a5)2; 2) –0,8a4 · (5a7)3; 3) 4)

15.18. Ïîäàéòå âèðàç ó âèãëÿäі äîáóòêó ÷èñëà 5 і êâàäðàòà äåÿêîãî âèðàçó: 1) 5a4b2; 2) 20c4d2m8; 3)

15.19. Çàïèøіòü âèðàç ó âèãëÿäі îäíî÷ëåíà ñòàíäàðòíîãî âèãëÿäó:

1) (8ab3)2 · (0,5a3b)3; 2) 3) –(–m2n3)4 · (7m7 3n)2; 4) (–0,2x3c7)5 · (10xc3)5.

115
Âèðàçè ç³ çì³ííèìè. Ñòåï³íü ç íàòóðàëüíèì ïîêàçíèêîì. Îäíî÷ëåí

15.20. Ñïðîñòіòü âèðàç:

1) (10m2n)2 · (3mn2)3; 2)

3) –(3a6m2)3 ·(–a2m)4; 4) (–5xy6)4 · (0,2x6y)4.

15.21. Ïîäàéòå îäíî÷ëåí ó âèãëÿäі äîáóòêó äâîõ îäíî÷ëåíіâ, îäèí

ç ÿêèõ äîðіâíþє –4ab2:

1) 8a2b2; 2) 3) –7,8a3b5; 4)

15.22. ç ÿêèõ äîðіâíþє 3mn2:

1) 12m2n2; 2) 3) –6,9m7n8; 4)

15.23. Çàïèøіòü ó âèãëÿäі îäíî÷ëåíà ñòàíäàðòíîãî âèãëÿäó (n – íàòóðàëüíå ÷èñëî):

1) (–0,2an  5 bn  2) · (0,5an–2bn  3), n > 2; 2) (2a2nb5)3 · (–3a3b3n)2; 3) (a2b3)n · (a2nb)3 · (a2b3n)5; 4) (x2n–1y3n1)2 · (x3n–1y2n  1)3.

15.24. Âіäîìî, ùî 3ab2  7. Çíàéäіòü çíà÷åííÿ âèðàçó: 1) ab2; 2) 5ab2; 3) –9a2b4; 4) 27a7 3b6 .

15.25. Âіäîìî, ùî 5xy2  9. Çíàéäіòü çíà÷åííÿ âèðàçó: 1) xy2; 2) 7xy7 2; 3) –25x2y4; 4) 125x3y6 .

 ï ð à â è äëÿ ïî â òî ð åííÿ ðð

15.26. Äëÿ ïåðåâåçåííÿ øêîëÿðіâ äî ëіòíüîãî îçäîðîâ÷îãî òàáîðó âèêîðèñòàëè 3 ìіêðîàâòîáóñè ìàðêè «Ãàçåëü» і 2 ìіêðîàâòîáóñè ìàðêè «Áîãäàí». Ó êîæíіé «Ãàçåëі» ðîçìіñòèëîñÿ ïî x ó÷íіâ/ó÷åíèöü, à â êîæíîìó «Áîãäàíі» – ïî y ó÷íіâ/ ó÷åíèöü. Ñêіëüêè âñüîãî ó÷íіâ/ó÷åíèöü ïðèáóëî äî òàáîðó íà âіäïî÷èíîê óêàçàíèì òðàíñïîðòîì? Çàïèøіòü âіäïîâіäü ó âèãëÿäі âèðàçó і çíàéäіòü éîãî çíà÷åííÿ, ÿêùî x  20, y  22.

15.27. Çàìіíіòü «çіðî÷êó» òàêèì âèðàçîì, ùîá ðіâíіñòü áóëà òîòîæíіñòþ: 1) (b3)2 · *  b10; 2) (m2)3 · *  –m14; 3) (a · a4)2 : *  a3; 4) n6 · (n · n2)2  * · (–n4).

15.28. Îá÷èñëіòü çíà÷åííÿ âèðàçó äå n – íàòóðàëüíå ÷èñëî.

ÒÅÌÀ 3 116

Æè òò є â à ìàòåìàò è ê à 15.29. ×åðåç ñòèðàííÿ ãóìîâèõ ïîêðèøîê êîæíèé àâòîìîáіëü

ùîðîêó ðîçñіþє â ïîâіòðÿ 10 êã ãóìîâîãî ïèëó. Íåõàé ó íåâåëèêîìó ìіñòå÷êó íà 1000 ðîäèí êîæíà ÷åòâåðòà ðîäèíà ìàє àâòîìîáіëü, à 5 % óñіõ ðîäèí ìàþòü ïî äâà àâòîìîáіëі. Ñêіëüêè ãóìîâîãî ïèëó ðîçñіþòü ó ïîâіòðÿ çà ðіê àâòîìîáіëі æèòåëіâ öüîãî ìіñòå÷êà?

15.30. Íàêðåñëіòü ïðÿìîêóòíèê ABCD òà çàïèøіòü óñі ïàðè ïåðïåíäèêóëÿðíèõ ïðÿìèõ, ÿêі óòâîðèëèñÿ.

15.31. Âèäàòíі óêðàїíöі òà óêðàїíêè. Çàïèøіòü ïî ãîðèçîíòàëÿõ ïðіçâèùà âèäàòíèõ

(çà

âèêîðèñòàéòå äîäàòêîâó ëіòåðàòóðó ÷è іíòåðíåò) і ïðî÷èòàéòå ó âèäіëåíîìó ñòîâï÷èêó îäíå ç ôóíäàìåíòàëüíèõ ïîíÿòü ìàòåìàòèêè, ç ÿêèì âè îçíàéîìèòåñÿ â íàñòóïíіé òåìі. 1 2 3 4 5 6 7

1. Âèäàòíèé ïèñüìåííèê, ó÷åíèé, ïóáëіöèñò.

2. Ëåãåíäà îïåðíîї ñöåíè, ïðèìàäîííà ÕÕ ñòîëіòòÿ.

3. Âèäàòíèé ïîåò і õóäîæíèê, ëіòåðàòóðíà ñïàäùèíà ÿêîãî ââàæàєòüñÿ îñíîâîþ óêðàїíñüêîї ëіòåðàòóðè òà ñó÷àñíîї óêðàїíñüêîї ìîâè.

4. Ïåðøà ïåðåìîæíèöÿ âіä Óêðàїíè íà ìіæíàðîäíîìó ïіñåííîìó êîíêóðñі «Єâðîáà÷åííÿ».

5. Âèäàòíà àêòðèñà, ÿêà ïåðøà çäîáóëà çâàííÿ Íàðîäíîї àðòèñòêè Óêðàїíñüêîї ÐÑÐ.

Îäíî÷ëåí 117
Âèðàçè ç³ çì³ííèìè. Ñòåï³íü ç íàòóðàëüíèì ïîêàçíèêîì.
iä ãîòóéòåñÿ äî â è â ÷åííÿ íî â îãî ìàòåðiàëó
ðó Ö
ð ê ó é î ä íà÷å äðóä
і êà â і çà ä à÷ і – ïîì і
íö
óêðà ї
іâ
ïîòðåáè

6. Іì’ÿ ñó÷àñíîї óêðàїíñüêîї ïîåòåñè òà àêòèâíîї ãðîìàäñüêîї äіÿ÷êè ñó÷àñíîї Óêðàїíè (1930 ð.í.).

7. Àâòîð «Åíåїäè» – ïåðøîãî òâîðó íîâîї óêðàїíñüêîї ëіòåðàòóðè, íàïèñàíîãî íàðîäíîþ ìîâîþ, îäèí іç çàñíîâíèêіâ íîâîї óêðàїíñüêîї äðàìàòóðãії.

ДОМАШНЯ

№ 3 (§§ 10–15)

Çàâäàííÿ 1–12 ìàþòü ïî ÷îòèðè âàðіàíòè âіäïîâіäåé (À–Ã), ñåðåä ÿêèõ ëèøå îäèí є ïðàâèëüíèì. Îáåðіòü ïðàâèëüíèé âàðіàíò âіäïîâіäі.

1. ßêèé ç âèðàçіâ òîòîæíî ðіâíèé âèðàçó b + b + b + b?

À. b4 Á. 4  b Â. 4b Ã.

2. ßêèé ç âèðàçіâ є îäíî÷ëåíîì?

À. 7õ – ó Á. 7õ  ó Â. Ã. 7õó

3. à6 : à3  …

À. à3 Á. à2 Â. à Ã. 1

4. Óêàæіòü çíà÷åííÿ âèðàçó (–2)3.

À. 8 Á. –8 Â. –6 Ã. 6

5. Çàïèøіòü ó âèãëÿäі âèðàçó êâàäðàò ñóìè ÷èñåë m і 3à.

À. (m – 3a)2 Á. m2  (3a)2 Â. (m  3a)2 Ã. (m · 3a)2

6. Îá÷èñëіòü çíà÷åííÿ âèðàçó 2,5à2, ÿêùî à  –4. À. –40 Á. 40 Â. 100 Ã. –100

7. Çíàéäіòü çíà÷åííÿ âèðàçó , ÿêùî a  1,9, b  –3,5.

À. 22,5 Á. –15,5 Â. –22,5 Ã. 15,5

8. Îá÷èñëіòü

À. 3 Á. 9 Â. 27 Ã. 1

9. …

À. m23p3 9 Á. 2m8p4 Â. 2m23p3 9 Ã. 2m12p2

10. ßêîãî íàéáіëüøîãî çíà÷åííÿ ìîæå íàáóâàòè âèðàç 1 – (a – 3)2?

À. 1 Á. –1 Â. –3 Ã. –8

ÒÅÌÀ 3 118
САМОСТІЙНА РОБОТА

Âèðàçè ç³ çì³ííèìè. Ñòåï³íü ç íàòóðàëüíèì ïîêàçíèêîì. Îäíî÷ëåí

11. Óêàæіòü íàéáіëüøå іç ÷èñåë 2300, 3200, 7100, 2550. À. 2300 Á. 3200 Â. 7100 Ã. 2550

12. Çíàéäіòü çíà÷åííÿ âèðàçó 8x2y4 , ÿêùî 2xy2  –5. À. 25 Á. –50 Â. 50 Ã. 100 Ó çàâäàííі 13 ïîòðіáíî âñòàíîâèòè âіäïîâіäíіñòü ìіæ іíôîðìàöієþ, ïîçíà÷åíîþ öèôðàìè òà áóêâàìè. Îäíà âіäïîâіäü çàéâà.

13. Óñòàíîâіòü âіäïîâіäíіñòü ìіæ âèðàçàìè (1–3) òà їõíіìè

çíà÷åííÿìè (À–Ã).

Âèðàç Çíà÷åííÿ âèðàçó

1. 29 : 64 2. 1,54 ∙ 3. À. 2 Á. 4

. 8 Ã. 16

1. ×è є òîòîæíî ðіâíèìè âèðàçè:

10–15

1) 3b  4b і 7b; 2) a  a  a і a3; 3) m  2a і 2a  m; 4) 3(x – 2) і 3x – 2?

2. Ïîäàéòå ó âèãëÿäі ñòåïåíÿ äîáóòîê:

1) 4 · 4 · 4; 2) –3 · (–3) · (–3) · (–3) · (–3).

3. Âèêîíàéòå äії:

1) x5x4; 2) x7 : x2 . 4. Çíàéäіòü çíà÷åííÿ âèðàçó: 1) 0,4 · (–5)4; 2) 25 – 43  (–1)5.

5. Ïîäàéòå ó âèãëÿäі ñòåïåíÿ âèðàç: 1) (m3)4 · m7; 2) (a2)7 : (a3)2.

6. Çàïèøіòü âèðàç ó âèãëÿäі îäíî÷ëåíà ñòàíäàðòíîãî âèãëÿäó:

1) –0,3m2np3 · 4mn2p7; 2)

Ñïðîñòіòü âèðàç:

1) 0,2a2b · (–10ab3)2; 2)

119
ЗАВДАННЯ ДЛЯ ПЕРЕВІРКИ ЗНАНЬ ДО §§
Â

8. Äîâåäіòü òîòîæíіñòü 2(a  b – c)  3(a – c) – 2b  5(a – c).

9. Ïîðіâíÿéòå âèðàçè: 1) 512 і 256; 2) 230 і 320.

Äîäàòêîâі âïðàâè

10. Äîâåäіòü, ùî ñóìà òðüîõ ïîñëіäîâíèõ íåïàðíèõ íàòóðàëüíèõ ÷èñåë äіëèòüñÿ íà 3.

11. ßêîãî íàéìåíøîãî çíà÷åííÿ ìîæå íàáóâàòè âèðàç: 1) m4 – 12; 2) (a  2)8  7?

12. Âіäîìî, ùî 4m2n  9. Çíàéäіòü çíà÷åííÿ âèðàçó: 1) 12m2n; 2) 4m4n2 .

1. Âèïèøіòü âèðàçè, ÿêі є âèðàçàìè çі çìіííèìè, ó äâі ãðóïè: ó ïåðøó – öіëі ðàöіîíàëüíі âèðàçè, ó äðóãó – äðîáîâі ðàöіîíàëüíі âèðàçè: 1) m – 7; 2) 3) 4) (3 – 9) + 7  8; 5) 6) 7) 8) a3 – a2 + a.

2. Íà ñêëàä ïðèâåçëè à ìіøêіâ öóêðó, ïî 50 êã ó êîæíîìó. Çàïèøіòü âèðàçîì ìàñó âñüîãî çàâåçåíîãî öóêðó. Çíàéäіòü çíà÷åííÿ öüîãî âèðàçó, ÿêùî à  12.

3. Çàïèøіòü ó âèãëÿäі âèðàçó:

1) äâîöèôðîâå ÷èñëî, ó ÿêîìó õ äåñÿòêіâ і ó îäèíèöü; 2) äâîöèôðîâå ÷èñëî, ó ÿêîìó 5 äåñÿòêіâ і à îäèíèöü; 3) òðèöèôðîâå ÷èñëî, ó ÿêîìó à ñîòåíü, b äåñÿòêіâ і ñ îäèíèöü;

4) òðèöèôðîâå ÷èñëî, ó ÿêîìó ò ñîòåíü, ï äåñÿòêіâ і 6 îäèíèöü.

4. Âіäîìî, ùî x – y  2 і p  3. Çíàéäіòü çíà÷åííÿ âèðàçó: 1) x + p – y; 2) x – y + 5p; 3) (y – x)p;

4) 5) 7x7 – 7y – p; 6)

ÒÅÌÀ 3 120
ВПРАВИ ДЛЯ ПОВТОРЕННЯ
Äî §
ТЕМИ 3
10

5. Ñïðîñòіòü âèðàç:

Äî § 11

1) 2 + 3a – 5; 2) 0,4m + m; 3) 3p3 – 2p + 5; 4) –(m – 3).

6. Ðîçêðèéòå äóæêè òà çâåäіòü ïîäіáíі äîäàíêè:

1) 7(5x + 8) – 12x; 2) 9m + 3(15 – 4m); 3) 6(x + 1) – 6x – 9; 4) 12x – 2(3x – 5); 5) –(2x + 1) – 3(2x – 5); 6) 5(x – 2) – 4(2x – 3).

7. Äîâåäіòü òîòîæíіñòü:

1) 18(a – 2)  12a – (20 – (6a – 16));

2) 2(x – y + t) – 3(x + y – t) – 5(t – y)  –x.

8. Äîâåäіòü, ùî ñóìà áóäü-ÿêèõ òðüîõ ïîñëіäîâíèõ öіëèõ

÷èñåë äіëèòüñÿ íà 3.

9. ×è є òîòîæíіñòþ ðіâíіñòü:

1) |a + 5|  a + 5; 2) |m2 + 1|  m2 + 1;

3) |m – n|  |n – m|; 4) |a| + |b|  |a + b|?

Äî § 12

10. à) Ïîäàéòå äîáóòîê ó âèãëÿäі ñòåïåíÿ:

1) 0,3  0,3  0,3; 2) –2  (–2)  (–2)  (–2); 3) aa; 4)

á) Ïîäàéòå ñòåïіíü ó âèãëÿäі äîáóòêó îäíàêîâèõ ìíîæíèêіâ:

1) m3; 2) 174 7 ; 3) ( ð + 2)2; 4)

11. Îá÷èñëіòü:

1) 26; 2) (0,2)3; 3) 4) 5) –(–2)3; 6) 7) –(–0,1)2; 8) –(–1)27.

12. Íå âèêîíóþ÷è îá÷èñëåíü, ïîðіâíÿéòå ç íóëåì çíà÷åííÿ âèðàçó: 1) (–1,7)15  (–2,7)2; 2) (–2,3)3 : (–5,89); 3) –3,72  (–2,8)4; 4) –(–2,6)8  (–5,7)5.

13. Çíàéäіòü îñòàííþ öèôðó ÷èñëà: 1) 201513; 2) 50117; 3) 100617; 4) 159 + 168 + 10117.

Âèðàçè ç³ çì³ííèìè. Ñòåï³íü ç íàòóðàëüíèì ïîêàçíèêîì. Îäíî÷ëåí 121

14. ×è є ÷èñëî: 1) 1017 + 5 êðàòíèì ÷èñëó 3; 2) 1029 + 7 êðàòíèì ÷èñëó 9? Äî § 13

15. Ïîäàéòå ó âèãëÿäі ñòåïåíÿ: 1) b7b3; 2) a3 a; 3) 98  97; 4) p10 : p3; 5) 198 : 196; 6) 715 : 714; 7) (a3)4; 8) (25)3.

16. Îá÷èñëіòü: 1) 38 : 37; 2) 25  212 : 215; 3) 4)

17. Çíàéäіòü çíà÷åííÿ x, çà ÿêîãî ðіâíіñòü є òîòîæíіñòþ: 1) (47)x  421; 2) (32)6  33x; 3)

18. Çàïèøіòü âèðàç ó âèãëÿäі ñòåïåíÿ (ï – íàòóðàëüíå ÷èñëî):

1) (a18 : a2n)(a7 : an), äå n < 7; 2)

19. Çíàéäіòü îñòàííþ öèôðó ÷èñëà (ï – íàòóðàëüíå ÷èñëî): 1) 84n; 2) 74 7 n+1 . Äî § 14

20. ßêі ç âèðàçіâ є îäíî÷ëåíàìè? ßêі ç îäíî÷ëåíіâ ïîäàíî ó ñòàíäàðòíîìó âèãëÿäі: 1) –a2c; 2) 7a7  2b  4; 3) 17; 4) aaba; 5) 6) p + 1; 7) –p– 2; 8) c9 – c?

21. Çâåäіòü îäíî÷ëåí äî ñòàíäàðòíîãî âèãëÿäó, óêàæіòü éîãî

êîåôіöієíò і ñòåïіíü: 1) – a2b  2ab7; 2) 3m  (–2m2)  5m7; 3) –7ap7 2  0,1a2p9; 4) m2  mc2; 5) –a  (–b)  (–c)  (–5d); 6) p9  (–2a2)  (–5p5 7)  a8 .

22. Ñêëàäіòü äâà ðіçíèõ îäíî÷ëåíè ñòàíäàðòíîãî âèãëÿäó çі çìіííèìè a і b òàê, ùîá: 1) ñòåïіíü êîæíîãî ç íèõ äîðіâíþâàâ 7, à êîåôіöієíò äîðіâíþâàâ –8; 2) ñòåïіíü êîæíîãî ç íèõ

äîðіâíþâàâ 3, à êîåôіöієíò äîðіâíþâàâ 17.

ÒÅÌÀ 3 122

Äî § 15

23. Çíàéäіòü äîáóòîê îäíî÷ëåíіâ:

1) 3m  2n; 2) –4p4  2a; 3) 8m2  3n; 4) –2a3  (–b7).

24. Ïîäàéòå âèðàç ó âèãëÿäі îäíî÷ëåíà ñòàíäàðòíîãî âèãëÿäó:

1) –2,5m2  (–4m3p); 2) 12p2 2m  3) 0,6m7a9  10m2a7  m3; 4) (–mn7)3;

5) (–2a5 b7)2; 6) (m3p7a9)5.

25. Çíàéäіòü îäíî÷ëåí À, ÿêùî:

1) A  14m2n  42m4n2; 2) 3p3 2 q7  A  –21p1 3 q7 .

26. Âèêîíàéòå ìíîæåííÿ îäíî÷ëåíіâ 0,4m  10nm2 òà çíàéäіòü çíà÷åííÿ îäåðæàíîãî äîáóòêó, ÿêùî m  –2, n  0,5.

27. ×è ìîæíà ïîäàòè âèðàç ó âèãëÿäі êâàäðàòà îäíî÷ëåíà: 1) 49m8n12; 2) –25a4b8; 3) –0,2m4n2  (–5m2n4); 4) –(–3a4)3  3a12?

28. Çà ÿêîãî íàòóðàëüíîãî çíà÷åííÿ n ðіâíіñòü (2,5a8 c)n  0,16c5  2,5a24c8 є òîòîæíіñòþ?

îëî â í å â ò å ì i 3

Äâà âèðàçè, âіäïîâіäíі çíà÷åííÿ ÿêèõ ðіâíі ìіæ ñîáîþ çà áóäü-ÿêèõ çíà÷åíü çìіííèõ, íàçèâàþòü òîòîæíèìè, àáî òîòîæíî ðіâíèìè.

Ðіâíіñòü, ÿêà є ïðàâèëüíîþ çà áóäü-ÿêèõ çíà÷åíü çìіííèõ, íàçèâàþòü òîòîæíіñòþ.

Âèðàçè
Ñòåï³íü ç íàòóðàëüíèì ïîêàçíèêîì. Îäíî÷ëåí 123
ç³ çì³ííèìè.
ВИРАЗ И
Т ОТОЖНІ
Т ОТОЖНІСТЬ

Äîâåñòè òîòîæíіñòü ìîæíà îäíèì ç òàêèõ ñïîñîáіâ:

 âèêîíàòè òîòîæíі ïåðåòâîðåííÿ її ëіâîї ÷àñòèíè, òèì ñà-

ìèì çâіâøè äî âèãëÿäó ïðàâîї ÷àñòèíè;

 âèêîíàòè òîòîæíі ïåðåòâîðåííÿ її ïðàâîї ÷àñòèíè, òèì

ñàìèì çâіâøè äî âèãëÿäó ëіâîї ÷àñòèíè;

âèêîíàòè òîòîæíі ïåðåòâîðåííÿ îáîõ її ÷àñòèí, òèì ñà-

ìèì çâіâøè îáèäâі ÷àñòèíè äî îäíàêîâèõ âèðàçіâ.

СТЕПІНЬ З НАТУРАЛЬНИМ ПОКАЗНИКОМ

Ñòåïіíü ÷èñëà a ç íàòóðàëüíèì ïîêàçíèêîì n (n > 1) – öå äîáóòîê n ìíîæíèêіâ, êîæíèé ç ÿêèõ äîðіâíþє a: , n > 1.

Ñòåïіíü ÷èñëà a ç ïîêàçíèêîì 1 – öå ñàìå ÷èñëî a: a1  a.

ВЛАСТИВОСТІ СТЕПЕНЯ

Öіëі âèðàçè – ÷èñëà, çìіííі, їõ ñòåïåíі é äîáóòêè – íàçèâàþòü îäíî÷ëåíàìè. ßêùî îäíî÷ëåí є äîáóòêîì, ùî ìàє îäèí ÷èñëîâèé ìíîæíèê, ÿêèé çàïèñàíî íà ïåðøîìó ìіñöі, à іíøі ìíîæíèêè є ñòåïåíÿìè ðіçíèõ çìіííèõ, òî òàêèé îäíî÷ëåí íàçèâàþòü îäíî÷ëåíîì ñòàíäàðòíîãî âèãëÿäó. Ñòåïåíåì îäíî÷ëåíà íàçèâàþòü ñóìó ïîêàçíèêіâ ñòåïåíіâ óñіõ çìіííèõ, ÿêі âіí ìіñòèòü. ßêùî îäíî÷ëåí íå ìіñòèòü çìіííèõ (òîáòî є ÷èñëîì), òî ââàæàþòü, ùî éîãî ñòåïіíü äîðіâíþє íóëþ.

ÒÅÌÀ 3 124 ДОВЕДЕННЯ ТОТОЖНОСТЕЙ
З НАТУРАЛЬНИМ ПОКАЗНИКОМ
ОДНОЧЛЕН

У ЦІЙ ТЕМІ ВИ:

пригадаєте

дізнаєтеся

навчитеся

паралельні та перпендикулярні прямі; про кути, що утворилися при перетині двох прямих січною; зображувати паралельні та перпендикулярні прямі за допомогою косинця та лінійки; застосовувати властивості кутів, що утворилися при перетині паралельних прямих січною, до розв’язування задач; доводити теореми.

Перпендикулярні прямі

Íåõàé ïðèïåðåòèíі äâîõ ïðÿìèõ a і b îäèí ç êóòіâ, ùî óòâîðèëèñÿ, є ïðÿìèì, íàïðèêëàä 1 90 .

двох прямих, дорівнює 90°, то решта кутів також прямі. Про такі прямі кажуть, що вони перетинаються під прямим

125 ТЕМА 4 ВЗАЄМНЕ РОЗМІЩЕННЯ ПРЯМИХ НА
ПЛОЩИНІ
Відстань від
прямої
§ 16. Перпендикулярні прямі. Перпендикуляр.
точки до
Якщо один із
к утів, що утворилися при перетині
кутом, або
вони
ВЗАЄ МНЕ Р ОЗ МІ Щ ЕННЯ Н А ПЛО Щ ИНІ
чотирьох
що
перпендикулярні.

Îòæå,

Äëÿ ïîáóäîâè ïåðïåíäèêóëÿðíèõ ïðÿìèõ âèêîðèñòîâóþòü êðåñëÿðñüêèé êîñèíåöü. Íà ìàëþíêó 16.1 ÷åðåç òî÷êó B, ÿêà íå íàëåæèòü ïðÿìіé a, ïðîâåäåíî ïðÿìó b, ïåðïåíäèêóëÿðíó äî ïðÿìîї a. Íà ìàëþíêó 16.2 òî÷êà C íàëåæèòü ïðÿìіé a, і ÷åðåç íåї ïåðïåíäèêóëÿðíî äî ïðÿìîї a ïðîâåäåíî ïðÿìó c.  îáîõ âèïàäêàõ ïîáóäîâàíî єäèíó ïðÿìó, ÿêà ïðîõîäèòü ÷åðåç çàäàíó òî÷êó і є ïåðïåíäèêóëÿðíîþ äî ïðÿìîї a.

Ìàë. 16.1

Ìàë. 16.2

через будь-яку точку площини проходить лише одна пряма, перпендикулярна до даної прямої.

Приклад.

Ïðÿìі AB, CD і KL ïåðåòèíàþòüñÿ

â òî÷öі O, ïðè÷îìó AB  CD (ìàë. 16.3). Çíàéòè  AOK, ÿêùî  COL  160 .

Ðîçâ’ÿçàííÿ.

1) Îñêіëüêè AB  CD, òî  COB  90 .

2)  BOL   COL –  COB  160 – 90  70 .

3)  AOK   BOL (ÿê âåðòèêàëüíі), òîìó

 AOK  70 .

Âіäïîâіäü: 70 .

Ìàë. 16.3

ÒÅÌÀ 4 126
Перпендикулярні відрізки та промені

Íàïðèêëàä, íà ìà ëþíêó 16.4 âіäðіçîê AB ïåðïåíäèêóëÿðíèé

äî âіäðіçêà CD, íà ìàëþíêó 16.5 ïðîìіíü KL ïåðïåíäèêóëÿðíèé

äî âіäðіçêà MN, à íà ìàëþíêó 16.6 ïðîìіíü N PQ ïåðïåíäèêóëÿðíèé äî ïðîìåíÿ OS. Äëÿ çàïèñó ïåðïåíäèêóëÿðíîñòі âіäðіçêіâ і ïðîìåíіâ òàêîæ âèêîðèñòîâóþòü çíàê . Ìàë. 16.4 Ìàë. 16.5 Ìàë. 16.6

Перпендикуляр. Відстань

Íà ìàëþíêó 16.7 ç òî÷êè A ïðîâåäåíî ïåðïåíäèêóëÿð A B äî ïðÿìîї m. Òî÷êà B – îñíîâà ïåðïåíäèêóëÿðà, à äîâæèíà âіäðіçêà A B – âіäñòàíü âіä òî÷êè A äî ïðÿìîї m.

Які прямі називають перпендикулярними? Як побудувати

пряму, перпендикулярну до даної прямої? Що називають перпендикуляром до прямої, проведеним з даної точки?

Що називають відстанню від точки до прямої?

Ðîçâ'ÿæiòü çàäà÷i òà

Ìàë. 16.8 Ìàë. 16.9 Ìàë. 16.10 Ìàë. 16.11 Ìàë. 16.7

è 16.1.Íà ÿêèõ ç ìàëþíêіâ 16.8–16.11 çîáðàæåíî ïåðïåíäèêóëÿðíі ïðÿìі? Çà ïîòðåáè âèêîðèñòàéòå êîñèíåöü. Âèêîíàéòå âіäïîâіäíі çàïèñè.

Âçàºìíå
127
ðîçì³ùåííÿ ïðÿìèõ íà ïëîùèí³
прямої
від точки до
âï
âèêîíàéòå
ð àâ

16.2. Íàêðåñëіòü ïðÿìó c òà ïîçíà÷òå òî÷êó A, ùî їé íàëåæèòü, і òî÷êó B, ùî їé íå íàëåæèòü. Ïðîâåäіòü çà äîïîìîãîþ êîñèíöÿ ïðÿìі ÷åðåç òî÷êè A і B òàê, ùîá âîíè áóëè ïåðïåíäèêóëÿðíèìè äî ïðÿìîї c.

16.3. Ïåðåíåñіòü ìàëþíêè 16.12 і 16.13 ó çîøèò òà äëÿ êîæíîãî âèïàäêó çà äîïîìîãîþ êîñèíöÿ ïðîâåäіòü ïðÿìó b, ùî ïðîõîäèòü ÷åðåç òî÷êó B ïåðïåíäèêóëÿðíî äî ïðÿìîї a.

Ìàë. 16.12 Ìàë. 16.13

16.4. Íà ìàëþíêó 16.14 ïðÿìі a і b ïåðïåíäèêóëÿðíі. ×è ïåðïåíäèêóëÿðíі:

1) âіäðіçêè A B і MN;N

2) ïðîìіíü EA і âіäðіçîê CM; 3) âіäðіçêè A B і DE; 4) ïðîìåíі CN і CE?

16.5. Íà ìàëþíêó 16.14 ïðÿìі a і b ïåðïåíäèêóëÿðíі. ×è ïåðïåíäèêóëÿðíі:

Ìàë. 16.14

1) âіäðіçêè DE і CN; 2) ïðîìåíі N CM і CA; 3) ïðîìіíü CE і âіäðіçîê CA; 4) âіäðіçêè BD і MN?

16.6. Íàêðåñëіòü ïðÿìó a, ïîçíà÷òå òî÷êó A, ùî ðîçìіùåíà íà âіäñòàíі 2,5 ñì âіä ïðÿìîї a, і òî÷êó B, ùî ðîçìіùåíà íà

âіäñòàíі 4 ñì âіä ïðÿìîї a.

16.7. Ïðîâåäіòü ïðÿìó m, ïîçíà÷òå òî÷êó P, ùî ðîçìіùåíà íà

âіäñòàíі 3 ñì âіä ïðÿìîї m, і òî÷êó K, ùî ðîçìіùåíà íà

âіäñòàíі 1,5 ñì âіä ïðÿìîї m.

16.8. Íàêðåñëіòü âіäðіçêè AB і CD òàê, ùîá âîíè áóëè ïåðïåíäèêóëÿðíèìè òà íå ïåðåòèíà ëèñÿ.

16.9. Íàêðåñëіòü ïðîìåíі MN і KL òàê, ùîá âîíè áóëè ïåðïåíäèêóëÿðíèìè òà ïåðåòèíàëèñÿ.

16.10. Ïðÿìі AB, KL і MN ïåðåòèíàþòüñÿ â òî÷öі O (ìàë. 16.15). ×è є ïåðïåíäèêóëÿðíèìè ïðÿìі A B і MN, ÿêùî: N 1)  AOK  25 ,  KON  66; 2)  LON  118 ,  LOB  28?

Ìàë. 16.15

ÒÅÌÀ 4 128

16.11. Ïðÿìі A B, KL і MN ïåðåòèíàþòüñÿ â òî÷öі O (ìàë. 16.15). ×è є ïåðïåíäèêóëÿðíèìè ïðÿìі AB і MN, ÿêùî: N

1)  MOK  122 ,  ÀOK  31; 2)  MOL  59 ,  LOB  31?

16.12. (Óñíî.) ×è є ïðàâèëüíèì îçíà÷åííÿ: «Ïåðïåíäèêóëÿð äî ïðÿìîї – öå áóäü-ÿêèé âіäðіçîê, ïåðïåíäèêóëÿðíèé äî äàíîї ïðÿìîї»? ×îìó?

16.13. Ïðÿìі A B, CD і MN ïåðåòèíàþòüñÿ â òî÷öі O, ïðè÷îìó AB  CD (ìàë. 16.16). Çíàéäіòü: 1) MOD, ÿêùî NOB  25; 2) CON, ÿêùî N MOB  150 .

Ìàë. 16.16 Ìàë. 16.17

16.14. Ïðÿìі KL, MN і PF ïåðåòèíàþòüñÿ â òî÷öі O, ïðè÷îìó KL  MN (ìàë. 16.17). Çíàéäіòü: 1)  KOP, ÿêùî  NOF  140; 2) KOF, ÿêùî F PON  37 .

16.15. Êóòè A BC і CBM ïðÿìі. Äîâåäіòü, ùî òî÷êè A, B і M ëåæàòü íà îäíіé ïðÿìіé.

16.16. Äâà ñóìіæíèõ êóòè, ùî óòâîðèëèñÿ â ðåçóëüòàòі ïåðåòèíó äâîõ ïðÿìèõ, ðіâíі ìіæ ñîáîþ. Äîâåäіòü, ùî öå ïåðïåíäè-

êóëÿðíі ïðÿìі.

16.17. AB  CD (ìàë. 16.18),  EON  110 . Çíàéäіòü  CON, ÿêùî N  AOE  20 .

16.18. AB  CD (ìàë. 16.18),  CON  135 ,  AOE  25 . Çíàéäіòü  EON.N

16.19. Íà ìàëþíêó 16.19  AOB   COD,  BOC   DOE.

Äîâåäіòü, ùî OC  AE і BO  OD. Ìàë. 16.18 Ìàë. 16.19

Âçàºìíå
129
ðîçì³ùåííÿ ïðÿìèõ íà ïëîùèí³

16.20. Äîâåäіòü, ùî ïðîìіíü, ïðîâåäåíèé ÷åðåç âåðøèíó êóòà ïåðïåíäèêóëÿðíî äî éîãî áіñåêòðèñè, є áіñåêòðèñîþ êóòà, ñóìіæíîãî ç äàíèì.

16.21. Ïðîìåíі OK і OL є áіñåêòðèñàìè êóòіâ AOB і BOC âіäïîâіäíî, ïðè÷îìó OK  OL. Äîâåäіòü, ùî êóòè AOB і BOC –ñóìіæíі.

 ï ð à â è äëÿ ïî â òî ð åííÿ ðð

16.22. Íà ïðÿìіé ïîñëіäîâíî ïîçíà÷åíî òî÷êè M, N і K. Çíàéäіòü: 1) MK, ÿêùî MN  3 ñì 2 ìì, NK  4,1 ñì; 2) MN, ÿêùî N MK  7,8 ñì, NK  2 ñì 5 ìì.

16.23. Çíàéäіòü ñóìіæíі êóòè, ðіçíèöÿ ÿêèõ äîðіâíþє 36 .

Æè òò є â à ìàòåìàò è êà

16.24. Ðóëîí øïàëåð ìàє çàâøèðøêè 50 ñì і çàâäîâæêè 10 ì. Ïîòðіáíî îáêëåїòè ñòіíè â êіìíàòі, äîâæèíà ÿêîї 4,5 ì, øèðèíà – 3 ì, à âèñîòà – 2,5 ì. Çàãàëüíà ïëîùà âіêíà і äâåðåé ñòàíîâèòü 3,5 ì2.

1) Ñêіëüêè ðóëîíіâ ïîòðіáíî êóïèòè?

2) Ñêіëüêè êîðîáîê êëåþ çíàäîáèòüñÿ, ÿêùî äëÿ òîãî, ùîá ïîêëåїòè 4 ðóëîíè øïàëåð, âèòðà÷àєòüñÿ îäíà êîðîáêà?

3) Ñêіëüêè êîøòóâàòèìóòü ìàòåðіàëè, ÿêùî ðóëîí øïàëåð êîøòóє 240 ãðí, à êîðîáêà êëåþ – 85 ãðí?

iä ãîòóéòåñÿ äî â è â ÷åííÿ íî â îãî ìàòåðiàëó

16.25. Íàêðåñëіòü êâàäðàò A BCD òà çàïèøіòü óñі ïàðè ïàðàëåëüíèõ ïðÿìèõ, ÿêі óòâîðèëèñÿ.

Ö і êà â і çà ä à÷ і – ïîì і ð ê ó é î ä íà÷å äðóä

ðó

16.26. Ïåðèìåòð ïðÿìîêóòíèêà äîðіâíþє 32 ñì, à äîâæèíà êîæíîї ç éîãî ñòîðіí є öіëèì ÷èñëîì ñàíòèìåòðіâ. ×è ìîæå ïëîùà ïðÿìîêóòíèêà äîðіâíþâàòè: 1) 256 ñì2; 2) 220 ñì2; 3) 64 ñì2; 4) 60 ñì2; 5) 55 ñì2; 6) 54 ñì2?

ÒÅÌÀ 4 130

§ 17. Паралельні прямі

Паралельні прямі. Основна властивість

паралельних прямих

Äâі ïðÿìі íà ïëîùèíі ìîæóòü ìàòè ñïіëüíó òî÷êó (ïåðåòèíàòèñÿ) àáî íå ìàòè ñïіëüíèõ òî÷îê (íå ïåðåòèíàòèñÿ).

Íàâêîëî íàñ є áàãàòî ïðèêëàäіâ

ïàðàëåëüíèõ ïðÿìèõ: ïðÿìîëіíіéíі äіëÿíêè øëÿõó çàëіçíèöі, ãîðèçîíòàëüíі ÷è âåðòèêàëüíі ïðÿìі çîøèòà ó êëіòèíêó, ïðîòèëåæíі ñòîðîíè ðàìè òîùî.

Äëÿ ïîáóäîâè ïàðàëåëüíèõ ïðÿìèõ

âèêîðèñòîâóþòü êðåñëÿðñüêèé êîñèíåöü і ëіíіéêó. Íà ìàëþíêó 17.1 ïîêàçàíî, ÿê ÷åðåç òî÷êó B, ÿêà íå íàëåæèòü ïðÿìіé a, ïðîâåäåíî ïðÿìó b, ïàðàëåëüíó ïðÿìіé a. Çäàâíà іñòèííîþ ââàæàþòü òàêó àêñіîìó, ùî âèðàæàє îñíîâíó âëàñòèâіñòü ïàðàëåëüíèõ ïðÿìèõ.

Ìàë. 17.1

Öþ àêñіîìó íàçèâàþòü àêñіîìîþ ïàðàëåëüíîñòі ïðÿìèõ.

Âçàºìíå
ïðÿìèõ íà ïëîùèí³ 131
ðîçì³ùåííÿ
Паралельні відрізки
промені
та

Íà ìàëþíêó 17.2 âіäðіçîê AB ïàðàëåëüíèé âіäðіçêó MN,N íà ìàëþíêó 17.3 âіäðіçîê CD ïàðàëåëüíèé ïðîìåíþ PK, à íà ìàëþíêó 17.4 ïðîìіíü GN ïàðàëåëüíèé ïðîìåíþ FL. Äëÿ çàïèñó ïàðàëåëüíîñòі âіäðіçêіâ і ïðîìåíіâ òàêîæ âèêîðèñòîâóþòü çíàê | |.

Ìàë. 17.2

Ìàë. 17.3 Ìàë. 17.4 Доведення від супротивного

Ìè âæå äîâîäèëè äåÿêі òåîðåìè òà ðîçâ’ÿçóâàëè çàäà÷і íà äîâåäåííÿ. Ðîçãëÿíåìî çàäà÷ó, ó ÿêіé çàñòîñóєìî ùå îäèí âàæëèâèé ñïîñіá äîâåäåííÿ ãåîìåòðè÷íèõ òâåðäæåíü.

Приклад.

Äîâåñòè, ùî êîëè ïðÿìà ïåðåòèíàє îäíó ç äâîõ ïàðàëåëüíèõ ïðÿìèõ, òî âîíà ïåðåòèíàє і äðóãó ïðÿìó.

Äîâåäåííÿ. Íåõàé a і b – ïàðàëåëüíі ïðÿìі é ïðÿìà c ïåðåòèíàє ïðÿìó b â òî÷öі K (ìàë. 17.5).

1) Ïðèïóñòèìî, ùî ïðÿìà c íå ïåðåòèíàє ïðÿìó a, òîáòî c || a.

2) Îòæå, ÷åðåç òî÷êó K ïðîõîäÿòü äâі ïðÿìі c і b, ÿêі îáèäâі ïàðàëåëüíі ïðÿìіé a. Öå ñóïåðå÷èòü àêñіîìі ïàðàëåëüíîñòі ïðÿìèõ.

Ìàë. 17.5

3) Îòæå, íàøå ïðèïóùåííÿ є õèáíèì, çíà÷èòü, ïðàâèëüíèì є òå, ùî ïðÿìà c ïåðåòèíàє ïðÿìó a. Òâåðäæåííÿ äîâåäåíî. Çàóâàæèìî, ùî ñïîñіá ìіðêóâàííÿ, ÿêèì ìè äîâåëè òâåðäæåííÿ ïîïåðåäíüîї çàäà÷і, íàçèâàþòü äîâåäåííÿì âіä ñóïðîòèâíîãî. Ùîá äîâåñòè, ùî ïðÿìі a і c ïåðåòèíàþòüñÿ, ìè ïðèïóñòèëè ïðîòèëåæíå, òîáòî ùî a і c íå ïåðåòèíàþòüñÿ. Ó ïðîöåñі ìіðêóâàíü, ç îãëÿäó íà öå ïðèïóùåííÿ, ìè ïðèéøëè äî ïðîòèðі÷÷ÿ ç àêñіîìîþ ïàðàëåëüíîñòі ïðÿìèõ. Öå îçíà÷àє, ùî íàøå ïðèïóùåííÿ áóëî õèáíèì, îòæå, ïðàâèëüíèì є ïðîòèëåæíå äî íüîãî ïðèïóùåííÿ, òîáòî ùî ïðÿìà ñ ïåðåòèíàє ïðÿìó a. Ñóòü äîâåäåííÿ âіä ñóïðîòèâíîãî ïîëÿãàє â òîìó, ùî íà ïî÷àòêó äîâåäåííÿ ïðèïóñêàєòüñÿ іñòèííіñòü òâåðäæåííÿ, ïðîòèëåæíîãî òîìó, ùî ïîòðіáíî äîâåñòè. Äîâåäåííÿ (ìіðêóâàííÿ) íà îñíîâі öüîãî ïðèïóùåííÿ ïðèâîäèòü äî âèñíîâêó, ÿêèé ñóïåðå÷èòü àáî óìîâі òåîðåìè (çàäà÷і), àáî äåÿêîìó ç іñòèííèõ òâåðäæåíü (àêñіîìі, òåîðåìі òîùî), à öå îçíà÷àòèìå, ùî ïðèïóùåííÿ, ïðîòèëåæíå òîìó, ÿêå ïîòðіáíî áóëî äîâåñòè, є õèáíèì. Îòæå, іñòèííèì є òå, ùî âèìàãàëîñÿ äîâåñòè.

ÒÅÌÀ 4 132

бачевський (1792–1856), К. Ф. Гаусс (1777–1855) та

М.

Больяй (1802–1860) – незалежно один від одного дійшли висновку, що довести п’ятий постулат Евкліда неможливо, він є початковим положенням, а тому є аксіомою. М. І. Лобачевський пішов далі і, замінивши аксіому паралельності на таку: «через точку, що не лежить на даній прямій, проходять щонайменше дві прямі, що лежать з даною прямою в одній площині і не перетинають її», побудував нову

ського».

Які прямі називають паралельними? Які інструменти використовують для побудови паралельних прямих? Сформулюйте аксіому паралельності прямих. Поясніть, у чому полягає спосіб доведення від супротивного.

17.1. Çàïèøіòü ç âèêîðèñòàííÿì ñèìâîëіâ: 1) ïðÿìà a ïàðàëåëüíà ïðÿìіé m; 2) ïðÿìà CD ïàðàëåëüíà ïðÿìіé PK. 17.2. Íà ÿêèõ ç ìàëþíêіâ 17.6–17.9 çîáðàæåíî ïàðàëåëüíі ïðÿìі? Ìàë. 17.6

Âçàºìíå ðîçì³ùåííÿ ïðÿìèõ íà ïëîùèí³ 133 У «Началах» Евклід деякі з аксіом називав постулатами Так, зокрема, з п’ятого постулату Евкліда, який ще називають аксіомою паралельності Евкліда, фактично випливає, що через точку, яка не лежить на даній прямій, можна провести тільки одну пряму, паралельну даній. Протягом понад двох тисячоліть учені намагалися довести п’ятий постулат Евкліда. На початку XIX ст. три видатних учених
геометрію –неевклідову. Її стали називати «геометрією Лобачев-
І. Ло-
Я.
òà âèêîíàéòå âï ð àâ è
Ìàë.
Ìàë.
Ìàë. 17.9 К. Ф. Гаусс (1777–1855)
Ðîçâ ' ÿæiòü çàäà÷i
17.7
17.8

17.3. Óêàæіòü ïàðè ïàðàëåëüíèõ ïðÿìèõ íà ìàëþíêó 17.10.

17.4. 1) Äàíî ïðÿìó b і òî÷êó K, ùî їé íå íàëåæèòü (ìàë. 17.11). Ñêіëüêè ìîæíà ïðîâåñòè ÷åðåç òî÷êó K ïðÿìèõ, ïàðàëåëüíèõ ïðÿìіé b?

2) Ñêіëüêè âçàãàëі ìîæíà ïðîâåñòè ïðÿìèõ, ïàðàëåëüíèõ ïðÿìіé b?

Ìàë. 17.10 Ìàë. 17.11

17.5. Ïðîâåäіòü ïðÿìó l і ïîçíà÷òå òî÷êó A, ùî їé íå íàëåæèòü. Çà äîïîìîãîþ êîñèíöÿ і ëіíіéêè ÷åðåç òî÷êó A ïðîâåäіòü ïðÿìó, ïàðàëåëüíó ïðÿìіé l.

17.6. Ïîçíà÷òå òî÷êó P і ïðîâåäіòü ïðÿìó a, ùî íå ïðîõîäèòü ÷åðåç öþ òî÷êó. Çà äîïîìîãîþ êîñèíöÿ і ëіíіéêè ÷åðåç òî÷êó P ïðîâåäіòü ïðÿìó, ïàðàëåëüíó ïðÿìіé a.

17.7. Íàêðåñëіòü âіäðіçêè A B і CD òà ïðîìіíü KL òàê, ùîá âіäðіçîê AB áóâ ïàðàëåëüíèé ïðîìåíþ KL і ïåðïåíäèêóëÿðíèé

äî âіäðіçêà CD.

17.8. Íàêðåñëіòü ïðîìåíі MN і KL òà âіäðіçîê A B òàê, ùîá ïðîìіíü MN áóâ ïàðàëåëüíèé ïðîìåíþ KL і ïåðïåíäèêóëÿðíèé äî âіäðіçêà AB.

17.9. 1) Íàêðåñëіòü  A BC  120 òà ïîçíà÷òå òî÷êó K, ùî ëåæèòü ó âíóòðіøíіé îáëàñòі öüîãî êóòà.

2) ×åðåç òî÷êó K çà äîïîìîãîþ êîñèíöÿ і ëіíіéêè ïðîâåäіòü ïðÿìó m, ïàðàëåëüíó ïðîìåíþ BA, òà ïðÿìó n, ïàðàëåëüíó ïðîìåíþ BC.

3) Âèêîðèñòîâóþ÷è òðàíñïîðòèð, çíàéäіòü êóò ìіæ ïðÿìèìè m і n.

4) Çðîáіòü âèñíîâêè. 17.10. 1) Íàêðåñëіòü  MNL, ÿêèé äîðіâíþє 50 , і ïîçíà÷òå òî÷êó C, ùî íàëåæèòü âíóòðіøíіé îáëàñòі öüîãî êóòà.

2) ×åðåç òî÷êó C çà äîïîìîãîþ êîñèíöÿ і ëіíіéêè ïðîâåäіòü ïðÿìó a, ïàðàëåëüíó ïðîìåíþ NM, і ïðÿìó b, ïàðàëåëüíó

ïðîìåíþ NL.

ÒÅÌÀ 4 134

3) Âèêîðèñòîâóþ÷è òðàíñïîðòèð, çíàéäіòü êóò ìіæ ïðÿìèìè a і b.

4) Çðîáіòü âèñíîâêè.

17.11. Ïðÿìі a і b ïåðåòèíàþòüñÿ. Ïðÿìà m ïàðàëåëüíà ïðÿìіé a. Äîâåäіòü, ùî ïðÿìі m і b ïåðåòèíàþòüñÿ.

17.12. Ïðÿìі a і b ïàðàëåëüíі. Ïðÿìà l íå ïåðåòèíàє ïðÿìó a. Äîâåäіòü, ùî ïðÿìà l íå ïåðåòèíàє ïðÿìó b. 17.13. Ïðÿìі KM і KN (ìàë. 17.12) ïåðåòèíàþòüñÿ. ×åðåç òî÷êó M ïðîâåäåíî ïðÿìó m, ïàðàëåëüíó ïðÿìіé KN,N à ÷åðåç òî÷êó N ïðîâåäåíî ïðÿìó n, ïàðàëåëüíó ïðÿìіé KM. Äîâåäіòü, ùî ïðÿìі m і n ïåðåòèíàþòüñÿ.

17.14. Ïðÿìі a і b – ïàðàëåëüíі, ïðÿìі b і c òàêîæ ïàðàëåëüíі. Ïðÿìà l ïåðåòèíàє ïðÿìó a. Äîâåäіòü, ùî ïðÿìà l ïåðåòèíàє ïðÿìі b і c. Âï ð à â è äëÿ ïî â òî ð åíí ÿ ðð

17.15. 1) Ïîçíà÷òå íà ïðÿìіé m òî÷êè A і B òà òî÷êó C, ÿêà íå íàëåæèòü ïðÿìіé m. 2) Âèìіðÿéòå âіäñòàíі AB, AC і BC òà ïîðіâíÿéòå AB ç AC + BC. 3) Çðîáіòü âèñíîâêè.

17.16. Îäèí ç êóòіâ, ùî óòâîðèëèñÿ ïðè ïåðåòèíі äâîõ ïðÿìèõ, ñòàíîâèòü 25 % âіä іíøîãî. Çíàéäіòü êóò ìіæ ïðÿìèìè.

Æè òò є â à ìàòåìàò è ê à

17.17. Äèòÿ÷èé ìàéäàí÷èê, ùî ìàє ôîðìó ïðÿìîêóòíèêà 6,5 ì çàâäîâæêè і 3,5 ì çàâøèðøêè, ïîòðіáíî âêðèòè ïëèòêîþ, ùî ìàє ôîðìó êâàäðàòà, äîâæèíà ñòîðîíè ÿêîãî 50 ñì. Ñêіëüêè ãðîøåé áóäå âèòðà÷åíî íà öå, ÿêùî îäíà ïëèòêà êîøòóє 52 ãðí, à âàðòіñòü äîäàòêîâèõ ìàòåðіàëіâ òà óêëàäàííÿ ñòàíîâèòü 35 % âіä âàðòîñòі ïëèòêè?

Âçàºìíå
ïðÿìèõ íà ïëîùèí³ 135
ðîçì³ùåííÿ
ðó Ö
і ð ê ó é î ä íà÷å äðóä 17.18
2017
і
íà äâі ðіâíі ôі
ùîá ëіíії
і êà â і çà ä à÷ і – ïîì
. ×è ìîæíà êâàäðàò, äîâæèíà ñòîðîíè ÿêîãî äîðіâíþє
êëіòèíîê, ðîçð
çàòè
ãóðè òàê,
ðîçðіçіâ ïðîõîäèëè ïî ñòîðîíàõ êëіòèíîê? Ìàë. 17.12

Кути, утворені при перетині прямих січною

Ïðÿìó c íàçèâàþòü ñі÷íîþ äëÿ ïðÿìèõ a і b,

ÿêùî âîíà ïåðåòèíàє їõ ó äâîõ òî÷êàõ (ìàë. 18.1).

Ïðè ïåðåòèíі ïðÿìèõ a і b ñі÷íîþ c óòâîðè-

ëîñÿ âіñіì êóòіâ, ïîçíà÷åíèõ íà ìàëþíêó 18.1.

Äåÿêі ïàðè öèõ êóòіâ ìàþòü ñïåöіàëüíі íàçâè:

1) 4 +

Ìàë. 18.1

â çàäà÷і ïîòðіáíî ç’ÿñóâàòè, ÷è ïàðàëåëüíі ïðÿìі, òî, ç îãëÿäó íà îçíà÷åííÿ, öå çðîáèòè íåìîæëèâî, îñêіëüêè äëÿ öüîãî

ïðÿìі ïîòðіáíî ïðîäîâæèòè äî íåñêіí÷åííîñòі. Ïðîòå âñòàíîâèòè, ïðÿìі ïàðàëåëüíі ÷è íі, ìîæíà, âèêîðèñòàâøè ñïåöіàëüíі òåîðåìè, ÿêі íàçèâàþòü îçíàêàìè.

Îçíàêà (ó ãåîìåòðії) – öå òåîðåìà, ÿêà âêàçóє óìîâè, âèêîíàííÿ ÿêèõ äàє çìîãó ñòâåðäæóâàòè ïðî ïåâíі âëàñòèâîñòі ôіãóð, íàëåæíіñòü їõ äî ïåâíîãî êëàñó òîùî.

Ðîçãëÿíåìî

ÒÅÌÀ 4 136
двох
січною. Ознаки паралельності прямих
§ 18. Кути, утворені при перетині
прямих
Íà ìàëþíêó 18.1 2 + 6  190 . Çíàéòè:
8; 2) 1 + 7. Ðîçâ’ÿçàííÿ.
іëüêè  4   2 (ÿê âåðòèêàëüíі) і  8   6 (àíàëîãі÷íî), òî  4 +  8   2 +  6  190 . 2) Êóòè 1 і 2 – ñóìіæíі, òîìó 1  180 – 2. Àíàëîãі÷íî 7  180 – 6. Òîäі 1 + 7  (180 – 2) + (180 – 6)  360 –– (2 + 6)  360 – 190  170 . Âіäïîâ
1) 190; 2) 170 . Ознака в геометрії ßêùî
1) Îñê
іäü:
паралельності прямих
і
Ознака
Приклад 1.

Äîâåäåííÿ. Íåõàé ïðè ïåðåòèíі ïðÿìèõ

AB і CD ñі÷íîþ KL óòâîðèëèñÿ ðіâíі ìіæ

ñîáîþ âіäïîâіäíі êóòè  KMB   MND   (ìàë. 18.2).

Äîâåäåìî òåîðåìó ìåòîäîì âіä ñóïðîòèâíîãî.

Ïðèïóñòèìî, ùî äàíі ïðÿìі A B і CD

íå ïàðàëåëüíі, à ïåðåòèíàþòüñÿ â äåÿêіé òî÷öі F (ìàë. 18.3). Íå çìіíþþ÷è ìіðè

Ìàë. 18.2

êóòà KMB, ïåðåíåñåìî éîãî òàê, ùîá âåðøèíà êóòà – òî÷êà M –çáіãëàñÿ ç òî÷êîþ N, ïðîìіíü MK çáіãñÿ ç ïðîìåíåì NM, à ïðîìіíü MB çàéíÿâ ïîëîæåííÿ ïðîìåíÿ NF1 (ìàë. 18.4). Òîäі  MNF1   KMF  . Îñêіëüêè ïðîìіíü NF1 íå çáіãàєòüñÿ ç ïðîìåíåì NF, áî F F  NF1, òî  MNF1   MNF. Àëå æ áóëî âñòàíîâ- F ëåíî, ùî  MNF   і  MNF1 

. Ìàë. 18.3 Ìàë. 18.4

Ïðèéøëè äî ïðîòèðі÷÷ÿ, áî íàøå ïðèïóùåííÿ ïðî òå, ùî ïðÿìі AB і CD íå ïàðàëåëüíі, áóëî õèáíèì. À çíà÷èòü, ïðÿìі A B і CD ïàðàëåëüíі, ùî é òðåáà áóëî äîâåñòè.

Наслідки з ознаки паралельності прямих

Äîâåäåííÿ. Íåõàé ïðè ïåðåòèíі ïðÿìèõ a і b ñі÷íîþ c âíóòðіøíі ðіçíîñòîðîííі êóòè âèÿâèëèñÿ ðіâíèìè, íàïðèêëàä  1   2 (ìàë. 18.5). À ëå êóòè 1 і 3 – âåðòèêàëüíі, òîìó  1   3. Îòæå,  2   3. Êóòè 2 і 3 – âіäïîâіäíі, òîìó çà îçíàêîþ ïàðàëåëüíîñòі ïðÿìèõ ìàєìî a | | b.

Ìàë. 18.5

Âçàºìíå
ïðÿìèõ íà ïëîùèí³ 137
ðîçì³ùåííÿ

Äîâåäåííÿ. Íåõàé ïðè ïåðåòèíі ïðÿìèõ a і b

ñі÷íîþ c ñóìà âíóòðіøíіõ îäíîñòîðîííіõ êóòіâ äîðіâíþє 180, íàïðèêëàä  1 +  2  180 (ìàë. 18.6). Êóòè 2 і 3 – ñóìіæíі, òîìó  3 +  2  180 .

Іç öèõ äâîõ ðіâíîñòåé âèïëèâàє, ùî  1   3.

Öі êóòè є âіäïîâіäíèìè, à òîìó ïðÿìі a і b –ïàðàëåëüíі çà îçíàêîþ ïàðàëåëüíîñòі ïðÿìèõ.

Ìàë. 18.6

Äîâåäåííÿ. Íà ìàëþíêó 18.7: a  c і b  ñ. Âðàõîâóþ÷è íàñëіäîê 2, ìàєìî a | | b. Çàóâàæèìî, ùî íàñëіäêè 1–3 ìîæíà òàêîæ ðîçãëÿäàòè ÿê

îçíàêè ïàðàëåëüíîñòі ïðÿìèõ.

Ìàë. 18.7

Ìàë. 18.8 ×è ïàðàëåëüíі ïðÿìі AB і MN íà ìàëþíêó 18.8?

Ðîçâ’ÿçàííÿ.

1)  BCD   ACK (ÿê âåðòèêàëüíі). Îòæå,  BCD  27 . 2) Îñêіëüêè 27 + 153  180 , òî ñóìà âíóòðіøíіõ îäíîñòîðîííіõ êóòіâ BCD і CDN äîðіâíþє 180 . Òîìó çà íàñëіäêîì

ÒÅÌÀ 4 138
AB | |
Âі
Що таке січна? За малюнком 18.1 назвіть пари внутрішніх односторонніх кутів; внутрішніх різносторонніх кутів; відповідних кутів. Сформулюйте та доведіть ознаку паралельності прямих і наслідки з неї.
Приклад
2
MN.
äïîâіäü: òàê.
2.

Ðîçâ ' ÿæiòü çàäà÷i òà âèêîíàéòå âï ð àâ è

18.1. (Óñíî.) ßê íàçèâàþòü êóòè 1 і 2 íà ìàëþíêàõ 18.9–18.11?

Ìàë. 18.9 Ìàë. 18.10 Ìàë. 18.11

18.2. Çàïèøіòü, ÿê íàçèâàþòü êóòè 1 і 2 íà ìàëþíêàõ 18.12–18.14.

Ìàë. 18.12 Ìàë. 18.14 Ìàë. 18.13

18.3. Çàïèøіòü óñі ïàðè âíóòðіøíіõ îäíîñòîðîííіõ êóòіâ; âíóòðіøíіõ ðіçíîñòîðîííіõ êóòіâ; âіäïîâіäíèõ êóòіâ (ìàë. 18.15).

Ìàë. 18.15 Ìàë. 18.16 Ìàë. 18.17

18.4. Çàïèøіòü óñі ïàðè âíóòðіøíіõ îäíîñòîðîííіõ êóòіâ; âíóòðіøíіõ ðіçíîñòîðîííіõ êóòіâ; âіäïîâіäíèõ êóòіâ (ìàë. 18.16).

18.5. (Óñíî.) ×è ïàðàëåëüíі ïðÿìі A B і CD íà ìàëþíêó 18.17? ×îìó?

Âçàºìíå
ïðÿìèõ íà ïëîùèí³ 139
ðîçì³ùåííÿ

18.6. ßêèìè є ïðÿìі a і b (ïàðàëåëüíèìè ÷è òàêèìè, ùî ïåðåòèíàþòüñÿ) íà ìàëþíêàõ 18.18–18.23?

Ìàë. 18.18 Ìàë. 18.20 Ìàë. 18.19

Ìàë. 18.21 Ìàë. 18.23 Ìàë. 18.22

18.7. Íà ìàëþíêó 18.24 ïîçíà÷åíî ìіðè äâîõ êóòіâ, ùî óòâîðèëèñÿ ïðè ïåðåòèíі ïðÿìèõ m і n ñі÷íîþ p. Îá÷èñëіòü ìіðè âñіõ іíøèõ êóòіâ, ùî óòâîðèëèñÿ. ×è ïàðàëåëüíі ïðÿìі m і n?

18.8. Íà ìàëþíêó 18.25 ïîçíà÷åíî ìіðè äâîõ êóòіâ, ùî óòâîðèëèñÿ ïðè ïåðåòèíі ïðÿìèõ a і b ñі÷íîþ d. Îá÷èñëіòü ìіðè âñіõ іíøèõ êóòіâ, ùî óòâîðèëèñÿ. ×è ïàðàëåëüíі ïðÿìі a і b?

Ìàë. 18.24 Ìàë. 18.25 Ìàë. 18.26

18.9. Äîïîâíіòü ìàëþíîê 18.26: ïðîâåäіòü ïðÿìó CM òàê, ùîá êóòè A BC і BCM áóëè âíóòðіøíіìè ðіçíîñòîðîííіìè êóòàìè äëÿ ïðÿìèõ A B і CM òà ñі÷íîї BC. ßê ðîçìіñòÿòüñÿ òî÷êè A і M âіäíîñíî ïðÿìîї BC?

18.10. Äîïîâíіòü ìàëþíîê 18.27: ïðîâåäіòü

ïðÿìó KA òàê, ùîá êóòè A KN і KNP áóëè

âíóòðіøíіìè îäíîñòîðîííіìè êóòàìè äëÿ

ïðÿìèõ A K і PN òà ñі÷íîї KN. ßê ðîçìіñ- N

òÿòüñÿ òî÷êè A і P âіäíîñíî ïðÿìîї KN? Ìàë. 18.27

ÒÅÌÀ 4 140

18.11. Íà ìàëþíêó 18.28 óêàæіòü ïàðàëåëüíі ïðÿìі, ÿêùî  1  118 ,  2  62 ,  3  63 .

18.12. Íà ìàëþíêó 18.28 óêàæіòü ïàðàëåëüíі ïðÿìі, ÿêùî  1  121 ,  2  60 ,  3  60 . Ìàë. 18.28 Ìàë. 18.29

18.13. ×åðåç òî÷êó A çà äîïîìîãîþ äâîõ êðåñëÿðñüêèõ êîñèíöіâ ïðîâåëè ïðÿìó a (ìàë. 18.29). ×è ïàðàëåëüíі ïðÿìі a і b? Âіäïîâіäü îáґðóíòóéòå.

18.14. 1) Âèìіðÿéòå  A BC (ìàë. 18.30) і íàêðåñëіòü éîãî â çîøèòі.

2) Ïîáóäóéòå  PCK, ùî äîðіâíþє  A BC і є éîìó âіäïîâіäíèì.

3) Íàçâіòü ïàðàëåëüíі ïðÿìі, ÿêі óòâîðèëèñÿ. Îáґðóíòóéòå їõíþ ïàðàëåëüíіñòü.

18.15. 1) Âèìіðÿéòå  MNP (ìàë. 18.31) і íàêðåñëіòü éîãî â çîøèòі.

2) Ïîáóäóéòå  A PB, ùî äîðі âíþ є  MNP і є éîìó âіäïîâіäíèì.

3) Íàçâіòü ïàðàëåëüíі ïðÿìі, ÿêі óòâîðèëèñÿ. Îáґðóíòóéòå їõíþ ïàðàëåëüíіñòü.

18.16. Ïðÿìà AB ïåðåòèíàє ïðÿìó CD ó òî÷öі A, à ïðÿìó MN –ó òî÷öі B,  CAB  90 ,  A BN  90 . ×è ïàðàëåëüíі ïðÿìі CD і MN?

18.17. Íà ìàëþíêó 18.32  1 +  2  180 . Äîâåäіòü, ùî a | | b.

18.18. Íà ìàëþíêó 18.33  1   2. Äîâåäіòü, ùî m | | n.

Ìàë. 18.32 Ìàë. 18.33 Ìàë. 18.30 Ìàë. 18.31

Âçàºìíå
141
ðîçì³ùåííÿ ïðÿìèõ íà ïëîùèí³

18.19. Íà ìàëþíêó 18.34  4 +  5  190 . Çíàéäіòü: 1)  2 +  7; 2)  1 +  8; 3)  3 +  6.

18.20. Íà ìàëþíêó 18.34  3 +  6  160. Çíàéäіòü: 1)  2 +  7; 2)  1 +  8; 3)  4 +  5. Ìàë. 18.34 Ìàë. 18.35

.

18.22.  MNP  60 ,  NPK  120 . ×è ìîæóòü ïðÿìі MN і KP áóòè ïàðàëåëüíèìè? Âіäïîâіäü îáґðóíòóéòå.

18.23. Êóò ìіæ ïðÿìèìè a і b äîðіâíþє êóòó ìіæ ïðÿìèìè b і c. ×è ìîæíà ñòâåðäæóâàòè, ùî ïðÿìі a і c ïàðàëåëüíі?

18.24. Ïðÿìà c є ñі÷íîþ äëÿ ïðÿìèõ a і b. ×îòèðè ç âîñüìè êóòіâ, ùî óòâîðèëèñÿ, äîðіâíþþòü ïî 30, à ðåøòà ÷îòèðè – ïî 150 . ×è ìîæíà ñòâåðäæóâàòè, ùî ïðÿìі a і b ïàðàëåëüíі?

18.25. MF – áіñåêòðèñà êóòà KMN,N KF – áіñåêòðèñà êóòà MKP (ìàë. 18.35).  MKF +  FMK  90 . Äîâåäіòü, ùî MN | | KP.

18.26. Ïðÿìі a і b ïåðïåíäèêóëÿðíі äî ïðÿìîї m. Ïðÿìà c ïåðåòèíàє ïðÿìó a. ×è ïåðåòèíàþòüñÿ ïðÿìі b і c? Âіäïîâіäü îáґðóíòóéòå.

 ï ð à â è äëÿ ïî â òî ð åííÿ ðð

18.27. 1) Íàêðåñëіòü  A BC  70 і ïîçíà÷òå òî÷êó K, ùî íà ëåæèòü ïðîìåíþ BA.

2) ×åðåç òî÷êó K çà äîïîìîãîþ êîñèíöÿ ïðîâåäіòü ïðÿìó m, ïåðïåíäèêóëÿðíó äî ïðîìåíÿ BA, òà ïðÿìó n, ïåðïåíäèêóëÿðíó äî ïðîìåíÿ BC.

3) Êîðèñòóþ÷èñü òðàíñïîðòèðîì, çíàéäіòü êóò ìіæ ïðÿìèìè m і n.

18.28. Âіäîìî, ùî  AOB   BOC  130 . Çíàéäіòü  AOC.

ÒÅÌÀ 4 142
×è ìîæóòü
18.21
 A BC  70 ,  BCD  100 .
ïðÿìі A B і CD áóòè ïàðàëåëüíèìè? Âіäïîâіäü îáґðóíòóéòå.

Æè òò є â à ìàòåìàò è ê à

18.29. Çàäà÷à-æàðò. Çðіñò Ñåðãіÿ 1 ì 60 ñì. Íà ñêіëüêè êіëîìåòðіâ âåðõіâêà ãîëîâè Ñåðãіÿ ïðîéøëà á áіëüøå, íіæ êіíåöü éîãî íîãè, ÿêáè âіí ìàâ çìîãó ïðîéòè çåìíó êóëþ ïî її åêâàòîðó?

Ö і êà â і çà ä à÷ і – ïîì і ð ê ó é î ä íà÷å äðóä

18.30.×è ìîæíà òðèêóòíèê ðîçðіçàòè íà ÷àñòèíè òàê, ùîá óòâîðèëîñÿ òðè ÷îòèðèêóòíèêè? ßêùî òàê, òî âèêîíàéòå öå.

§ 19. Властивість паралельних прямих. Властивості кутів, утворених при перетині

паралельних прямих січною Властивості паралельних прямих

Ðîçãëÿíåìî âëàñòèâіñòü ïàðàëåëüíèõ ïðÿìèõ.

Äîâåäåííÿ. Íåõàé ïðÿìі a і b ïàðàëåëüíі

ïðÿìіé ñ. Äîâåäåìî, ùî a | | b.

Çàñòîñóєìî äîâåäåííÿ âіä ñóïðîòèâíîãî. Ïðèïóñòèìî, ùî ïðÿìі a і b íå ïàðàëåëüíі, à ïåðåòèíàþòüñÿ â äåÿêіé òî÷öі N (ìàë. 19.1). Îòæå, ÷åðåç òî÷êó N ïðîõîäÿòü äâі ïðÿìі a і b, ùî ïàðàëåëüíі ïðÿìіé c. Öå ñóïåðå÷èòü àêñіîìі ïàðàëåëüíîñòі ïðÿìèõ. Îòæå, íàøå ïðèïóùåííÿ є õèáíèì. Òîìó a || b. Òåîðåìó äîâåäåíî.

Ìàë. 19.1

Властивість відповідних кутів, що утворилися при перетині паралельних прямих січною

Ðîçãëÿíåìî âëàñòèâîñòі êóòіâ, ùî óòâîðèëèñÿ ïðè ïåðåòèíі ïàðàëåëüíèõ ïðÿìèõ ñі÷íîþ.

Âçàºìíå
ïðÿìèõ íà ïëîùèí³ 143
ðîçì³ùåííÿ
ðó

Äîâåäåííÿ. Íåõàé ïàðàëåëüíі ïðÿìі AB і CD ïåðåòèíàє ñі÷íà NK (ìàë. 19.2). Äîâåäåìî, ùî  NA B   ACD.

Ïðèïóñòèìî, ùî  NA B   ACD. Ïðîâåäåìî ïðÿìó AB1 òàê, ùîá âèêîíóâàëàñÿ ðіâíіñòü  NAB1   ACD. Çà îçíàêîþ ïàðàëåëüíîñòі ïðÿìèõ ïðÿìі AB1 і CD ïàðàëåëüíі. Àëå æ çà óìîâîþ і AB | | CD. Ïðèéøëè äî òîãî, ùî ÷åðåç òî÷êó A ïðîõîäÿòü äâі ïðÿìі AB і AB1, ïàðàëåëüíі ïðÿìіé CD, ùî ñóïåðå÷èòü àêñіîìі ïàðàëåëüíîñòі ïðÿìèõ. Îòæå, íàøå ïðèïóùåííÿ є õèáíèì і òîìó âіäïîâіäíі êóòè, óòâîðåíі ïðè ïåðåòèíі ïàðàëåëüíèõ ïðÿìèõ ñі÷íîþ, ìіæ ñîáîþ ðіâíі:  NAB   ACD.

Òåîðåìó äîâåäåíî.

Приклад 1.

Ìàë. 19.2

Ìàë. 19.3

Çíàéòè íåâіäîìèé êóò x çà ìàëþíêîì 19.3.

Ðîçâ’ÿçàííÿ. 1) Îñêіëüêè âíóòðіøíі ðіçíîñòîðîííі êóòè, óòâîðåíі ïðè ïåðåòèíі ñі÷íîþ c ïðÿìèõ a і b, ðіâíі ìіæ ñîáîþ (îáèäâà ïî 80), òî a | | b. 2) Âіäïîâіäíі êóòè, óòâîðåíі ïðè ïåðåòèíі ñі÷íîþ d ïàðàëåëüíèõ ïðÿìèõ a і b, ðіâíі ìіæ ñîáîþ. Òîìó x  70 . Âіäïîâіäü: 70 .

Пряма та обернена теорема в геометрії

Òåîðåìà ïðî âëàñòèâіñòü âіäïîâіäíèõ êóòіâ, óòâîðåíèõ ïðè ïåðåòèíі ïàðàëåëüíèõ ïðÿìèõ ñі÷íîþ, є îáåðíåíîþ äî îçíàêè ïàðàëåëüíîñòі ïðÿìèõ.

Ïîÿñíèìî, ÿê öå ñëіä ðîçóìіòè. Êîæíà òåîðåìà ìàє óìîâó і âèñíîâîê. ßêùî ïîìіíÿòè ìіñöÿìè óìîâó і âèñíîâîê òåîðåìè, òî îäåðæèìî íîâå òâåðäæåííÿ (ïðàâèëüíå àáî íåïðàâèëüíå), óìîâîþ ÿêîãî áóäå âèñíîâîê öієї òåîðåìè, à âèñíîâêîì – її óìîâà. ßêùî îäåðæàíå ïðè öüîìó òâåðäæåííÿ є іñòèííèì, éîãî íàçèâàþòü òåîðåìîþ, îáåðíåíîþ äî äàíîї, à öþ òåîðåìó – ïðÿìîþ. Ó òåîðåìі, ÿêà âèðàæàє îçíàêó ïàðàëåëüíîñòі ïðÿìèõ, óìîâîþ є ïåðøà ÷àñòèíà òâåðäæåííÿ: «ïðè ïåðåòèíі äâîõ ïðÿìèõ ñі÷íîþ âіäïîâіäíі êóòè ðіâíі» (öå äàíî), à âèñíîâêîì – äðóãà ÷àñòèíà:

ÒÅÌÀ 4 144

«ïðÿìі ïàðàëåëüíі» (öå ïîòðіáíî äîâåñòè). Áà÷èìî, ùî îñòàííÿ òåîðåìà, ÿêó ìè ðîçãëÿíóëè, і є îáåðíåíîþ äî îçíàêè ïàðàëåëüíîñòі ïðÿìèõ. Óìîâà öієї òåîðåìè: «ïðÿìі ïàðàëåëüíі» (öå äàíî), à âèñíîâîê – «âіäïîâіäíі êóòè, óòâîðåíі ïðè ïåðåòèíі ïðÿìèõ ñі÷íîþ, ðіâíі ìіæ ñîáîþ» (öå ïîòðіáíî äîâåñòè).

Íå äëÿ êîæíîї òåîðåìè áóäå ñïðàâäæóâàòèñÿ é îáåðíåíà òåîðåìà. Íàïðèêëàä, äëÿ òåîðåìè ïðî âëàñòèâіñòü âåðòèêàëüíèõ

êóòіâ íå іñíóє îáåðíåíîї, îñêіëüêè òâåðäæåííÿ: «ÿêùî äâà êóòè ìіæ ñîáîþ ðіâíі, òî âîíè âåðòèêàëüíі» – íåïðàâèëüíå.

Ñèñòåìàòèçóєìî âèêëàäåíå âèùå â òàáëèöі.

×àñòèíà

òâåðäæåííÿ (òåîðåìè)

Îçíàêà ïàðàëåëüíîñòі ïðÿìèõ (ïðÿìà òåîðåìà) Âëàñòèâіñòü âіäïîâіäíèõ êóòіâ, óòâîðåíèõ ïðè ïåðåòèíі

Óìîâà Âіäïîâіäíі êóòè, óòâîðåíі ïðè ïåðåòèíі ïðÿìèõ ñі÷íîþ, ðіâíі ìіæ ñîáîþ

ïàðàëåëüíèõ ïðÿìèõ ñі÷íîþ (îáåðíåíà òåîðåìà)

Ïðÿìі ïàðàëåëüíі

Âèñíîâîê Ïðÿìі ïàðàëåëüíі Âіäïîâіäíі êóòè, óòâîðåíі ïðè ïåðåòèíі ïðÿìèõ ñі÷íîþ, ðіâíі ìіæ ñîáîþ

Властивість внутрішніх різносторонніх кутів, утворених

при перетині паралельних прямих січною

Ðîçãëÿíåìî íàñëіäîê ç òåîðåìè 2.

Äîâåäåííÿ. Íåõàé ïàðàëåëüíі ïðÿìі a і b ïåðåòèíàє ñі÷íà c (ìàë. 19.4). Äîâåäåìî, ùî âíóòðіøíі ðіçíîñòîðîííі êóòè, íàïðèêëàä 1 і 2, ðіâíі ìіæ ñîáîþ.

Îñêіëüêè a | | b, òî âіäïîâіäíі êóòè 1 і 3 ðіâíі ìіæ ñîáîþ. Êóòè 2 і 3 ìіæ ñîáîþ ðіâíі, ÿê âåðòèêàëüíі. Ç ðіâíîñòåé  1   3 і  2   3 âèïëèâàє, ùî  1   2.

Ìàë. 19.4

ïðÿìèõ íà ïëîùèí³ 145
Âçàºìíå ðîçì³ùåííÿ

Ðîçãëÿíåìî ùå îäèí íàñëіäîê ç òåîðåìè 2.

Äîâåäåííÿ. Íåõàé ïàðàëåëüíі ïðÿìі a і b

ïåðåòèíàє ñі÷íà c (ìàë. 19.5). Äîâåäåìî, ùî ñóìà

âíóòðіøíіõ îäíîñòîðîííіõ êóòіâ, íàïðèêëàä 1 і 2, äîðіâíþє 180 . Îñêіëüêè a | | b, òî âіäïîâіäíі êóòè 1 і 3 ðіâíі ìіæ

ñîáîþ. Êóòè 2 і 3 – ñóìіæíі, òîìó  3 +  2  180 , àëå æ

Приклад 2.

Ìàë. 19.5

Çíàéòè ãðàäóñíó ìіðó êîæíîãî ç äâîõ âíóòðіøíіõ

îäíîñòîðîííіõ êóòіâ, ùî óòâîðèëèñÿ ïðè ïåðåòèíі äâîõ ïàðàëåëüíèõ ïðÿìèõ ñі÷íîþ, ÿêùî îäèí ç íèõ ñòàíîâèòü âіä іíøîãî.

Ðîçâ’ÿçàííÿ. Íåõàé êóòè 1 і 2 (ìàë. 19.5) – âíóòðіøíі îäíîñòîðîííі êóòè, ùî óòâîðèëèñÿ ïðè ïåðåòèíі ïàðàëåëüíèõ ïðÿìèõ a і b ñі÷íîþ c.

1) Çà âëàñòèâіñòþ öèõ êóòіâ ìàєìî, ùî  1 +  2  180 . 2) Íåõàé  1  x ,  2  x .

3) Ìàєìî ðіâíÿííÿ x + x  180 , çâіäêè x  108 . 4) Îòæå,  1  108 ;  2  ∙ 108  72 . Âіäïîâіäü: 108; 72 .

2 òà íàñëіäêè ç íåї òàêîæ ìîæíà ðîçãëÿäàòè ÿê âëàñòèâîñò

ÒÅÌÀ 4 146
односторонніх кутів
паралельних
Властивість внутрішніх
, утворених при перетині
прямих січною
1   3. Òîìó  1 +
2  180 .
Властивості паралельних прямих
ïðÿìèõ і âèêîðèñòîâóâàòè äëÿ ðîçâ’ÿçó-
Сформулюйте та доведіть властивість паралельних прямих. Сформулюйте та доведіть теорему про властивість відповідних кутів, що утворилися при перетині паралельних прямих січною, і наслідки з неї Поясніть, що таке теорема, обернена до даної.
Òåîðåìó
і ïàðàëåëüíèõ
âàííÿ çàäà÷.

Ðîçâ'ÿæiòü çàäà÷i òà âèêîíàéòå âï ð àâ è

19.1. (Óñíî.) Íà ìàëþíêó 19.6 a || b, c – ñі÷íà.

1) ×è ðіâíі ìіæ ñîáîþ êóòè 5 і 4; 2 і 7?

2) ×è ðіâíі ìіæ ñîáîþ êóòè 1 і 3?

3) Îá÷èñëіòü ñóìó êóòіâ 1 і 4.

19.2. Íà ìàëþíêó 19.6 ïðÿìі a і b ïàðàëåëüíі, c – ñі÷íà.

1) ×è ðіâíі ìіæ ñîáîþ êóòè 1 і 8; 6 і 3?

2) ×è ðіâíі ìіæ ñîáîþ êóòè 2 і 4?

3) Îá÷èñëіòü ñóìó êóòіâ 2 і 3.

Ìàë. 19.6

19.3. m || n, d – ñі÷íà (ìàë. 19.7). Çíàéäіòü  1,  2,  3.

19.4. m || n, d – ñі÷íà (ìàë. 19.8). Çíàéäіòü  1,  2,  3.

Ìàë. 19.7 Ìàë. 19.8

19.5. Ãðàäóñíà ìіðà îäíîãî ç êóòіâ, ùî óòâîðèëèñÿ ïðè

ïåðåòèíі äâîõ ïàðàëåëüíèõ ïðÿìèõ ñі÷íîþ, äîðіâíþє 140 .

Çíàéäіòü ãðàäóñíі ìіðè ðåøòè ñåìè êóòіâ.

19.6. Îäèí ç êóòіâ, ùî óòâîðèëèñÿ ïðè ïåðåòèíі äâîõ ïàðàëåëüíèõ

ïðÿìèõ ñі÷íîþ, äîðіâíþє 50 . Çíàéäіòü іíøі ñіì êóòіâ.

19.7. Îäèí ç êóòіâ, ùî óòâîðèëèñÿ ïðè ïåðåòèíі äâîõ ïàðàëåëüíèõ ïðÿìèõ ñі÷íîþ, äîðіâíþє 37 . ×è ìîæå îäèí ç ðåøòè ñåìè êóòіâ äîðіâíþâàòè: 1) 133; 2) 143; 3) 153?

19.8. Äàíî ïàðàëåëüíі ïðÿìі a і b òà òî÷êó M, ùî íå íà ëåæèòü æîäíіé ç ïðÿìèõ. ×åðåç òî÷êó M ïàðàëåëüíî ïðÿìіé a ïðîâåäåíî ïðÿìó m. ×è ïàðàëåëüíі ïðÿìі b і m?

19.9. Çíàéäіòü ãðàäóñíó ìіðó êîæíîãî ç äâîõ âíóòðіøíіõ ðіçíîñòîðîííіõ êóòіâ, ùî óòâîðèëèñÿ ïðè ïåðåòèíі äâîõ ïàðàëåëüíèõ ïðÿìèõ ñі÷íîþ, ÿêùî їõíÿ ñóìà äîðіâíþє 240 .

19.10. Ñóìà äâîõ âіäïîâіäíèõ êóòіâ, ùî óòâîðèëèñÿ ïðè ïåðåòèíі äâîõ ïàðàëåëüíèõ ïðÿìèõ ñі÷íîþ, äîðіâíþє 108 . Çíàéäіòü öі êóòè.

Âçàºìíå ðîçì³ùåííÿ ïðÿìèõ íà ïëîùèí³ 147

19.11. Íà ìàëþíêó 19.9  1   2. Äîâåäіòü, ùî  3 +  4  180 . 19.12. Íà ìàëþíêó 19.10  1 +  2  180 . Äîâåäіòü, ùî  3   4.

19.13. Íà ìàëþíêó 19.11  1   2, c  a. Äîâåäіòü, ùî c  b. 19.14. Íà ìàëþíêó 19.12 a  d, b  d. Äîâåäіòü, ùî  1   2.

Ìàë. 19.9 Ìàë. 19.10 Ìàë. 19.11 Ìàë. 19.12 19.15. Çíàéäіòü ãðàäóñíó ìіðó êîæíîãî ç äâîõ âíóòðіøíіõ îäíîñòîðîííіõ êóòіâ, ùî óòâîðèëèñÿ ïðè ïåðåòèíі äâîõ ïàðàëåëüíèõ ïðÿìèõ ñі÷íîþ, ÿêùî: 1) ïåðøèé ç íèõ íà 16 áіëüøèé çà äðóãèé; 2) ïåðøèé ç íèõ óòðè÷і ìåíøèé âіä äðóãîãî; 3) їõíі ãðàäóñíі ìіðè âіäíîñÿòüñÿ ÿê 5 : 7.

19.16. Çíàéäіòü ãðàäóñíó ìіðó êîæíîãî ç äâîõ âíóòðіøíіõ îäíîñòîðîííіõ êóòіâ, ùî óòâîðèëèñÿ ïðè ïåðåòèíі äâîõ ïàðàëåëüíèõ ïðÿìèõ ñі÷íîþ, ÿêùî:

1) ïåðøèé ç íèõ ó 4 ðàçè áіëüøèé çà äðóãèé; 2) ïåðøèé ç íèõ íà 8 ìåíøèé âіä äðóãîãî; 3) їõíі ãðàäóñíі ìіðè âіäíîñÿòüñÿ ÿê 5 : 4.

19.17. Çíàéäіòü ãðàäóñíó ìіðó êóòà x íà êîæíîìó ç ìà ëþíêіâ 19.13–19.15.

Ìàë. 19.13 Ìàë. 19.14 Ìàë. 19.15

19.18. Çíàéäіòü ãðàäóñíó ìіðó êóòà x íà ìà ëþíêàõ 19.16 і 19.17.

Ìàë. 19.16 Ìàë. 19.17

ÒÅÌÀ 4 148

19.19. Ïðÿìі a і b íå ïàðàëåëüíі ïðÿìіé m. ×è ìîæíà çðîáèòè âèñíîâîê, ùî ïðÿìі a і b íå ïàðàëåëüíі ìіæ ñîáîþ?

19.20. Ñóìà ãðàäóñíèõ ìіð òðüîõ ç âîñüìè êóòіâ, ùî óòâîðèëèñÿ ïðè ïåðåòèíі ïàðàëåëüíèõ ïðÿìèõ ñі÷íîþ, äîðіâíþє 120 . Çíàéäіòü ãðàäóñíі ìіðè êîæíîãî ç âîñüìè êóòіâ.

19.21. Ñóìà ãðàäóñíèõ ìіð ÷îòèðüîõ ç âîñüìè êóòіâ, ùî óòâîðèëèñÿ ïðè ïåðåòèíі ïàðàëåëüíèõ ïðÿìèõ ñі÷íîþ, äîðіâíþє 128. Çíàéäіòü ãðàäóñíі ìіðè êîæíîãî ç âîñüìè êóòіâ.

19.22. Íà ìàëþíêó 19.18 A B | | CD. Çíàéäіòü  CMA.

19.23. Íà ìàëþíêó 19.19 MN | | PL. Çíàéäіòü  MKP. Ìàë. 19.18 Ìàë. 19.19

19.24. Äîâåäіòü, ùî áіñåêòðèñè ïàðè âíóòðіøíіõ ðіçíîñòîðîííіõ êóòіâ, óòâîðåíèõ ïðè ïåðåòèíі äâîõ ïàðàëåëüíèõ ïðÿìèõ ñі÷íîþ, ïàðàëåëüíі.

19.25. Äîâåäіòü, ùî áіñåêòðèñè ïàðè âіäïîâіäíèõ êóòіâ, óòâîðåíèõ ïðè ïåðåòèíі äâîõ ïàðàëåëüíèõ ïðÿìèõ ñі÷íîþ, ïàðàëåëüíі.

Âï ð à â è äëÿ ïî â òî ð åíí ÿ ðð

19.26. Íàêðåñëіòü âіäðіçîê A B, ïðîìіíü CD òà ïðÿìó a òàê, ùîá âіäðіçîê AB áóâ ïåðïåíäèêóëÿðíèì äî ïðîìåíÿ CD, àëå íå ïåðåòèíàâ éîãî, à ïðîìіíü CD áóâ ïàðàëåëüíèé ïðÿìіé a.

19.27. Ðîçâ’ÿæіòü çàäà÷і, óìîâè ÿêèõ ïîäàíî â òàáëèöі, òà äіçíàéòåñÿ ïðіçâèùå âèäàòíîãî óêðà їíñüêîãî ïèñüìåííèêà. Òî÷êà C íàëåæèòü âіäðіçêó AB çàâäîâæêè 16 ñì. Çíàéäіòü âіäðіçêè AC і BC, ÿêùî: AC BC

AC áіëüøèé çà BC íà 2 ñì Í À

AC áіëüøèé çà BC óòðè÷і Î Ô

AC : BC  5 : 3 Ê Ð 4 ñì 6 ñì 7 ñì 9 ñì 10 ñì 12 ñì

Âçàºìíå
íà ïëîùèí³ 149
ðîçì³ùåííÿ ïðÿìèõ

Æè òò є â à ìàòåìàò è êà

19.28. Ùîá çàñіÿòè 1 ì2 çåìëі, ïîòðіáíî 40 ã íàñіííÿ ãàçîííîї òðàâè. Êіëîãðàì òàêîãî íàñіííÿ êîøòóє 90 ãðí. Ñêіëüêè êîøòіâ ïîòðіáíî, ùîá çàñіÿòè ãàçîííîþ òðàâîþ êëóìáó ó ôîðìі êâàäðàòà, ñòîðîíà ÿêîãî 20 ì?

iäãîòóéòåñÿ äî âèâ÷åííÿ íîâîãî ìàòåðiàëó

Çâåäіòü ïîäіáíі äîäàíêè:

Ö і êà â і çà ä à÷ і – ïîì і ð ê ó é î ä íà÷å äðóä

1) 7a7 – 6b – 2a + b; 2) –11x + 10y – 3x – 2y; 3) 10,3m – 12,9t + 6,7m7 ; 4) 3c + d + 3c – d. ðó

19.30. Íå âіäðèâàþ÷è îëіâöÿ âіä ïàïåðó, ïðîâåäіòü ó çîøèòі ÷åðåç äåâ’ÿòü òî÷îê (äèâ. ìàë.)

÷îòèðè âіäðіçêè.

ДОМАШНЯ

№ 4 (§§ 16–19)

Çàâäàííÿ 1–12 ìàþòü ïî ÷îòèðè âàðіàíòè âіäïîâіäåé (À–Ã), ñåðåä ÿêèõ ëèøå îäèí є ïðàâèëüíèì. Îáåðіòü ïðàâèëüíèé

âàðіàíò âіäïîâіäі.

1. Íà ÿêîìó ç ìàëþíêіâ 1–4 çîáðàæåíî ïåðïåíäèêóëÿðíі ïðÿìі?

À. Ìàë. 1 Á. Ìàë. 2 Â. Ìàë. 3 Ã. Ìàë. 4

Ìàë. 1 Ìàë. 2 Ìàë. 3 Ìàë. 4

2. Óêàæіòü, íà ÿêîìó ç ìàëþíêіâ 1–4 çîáðàæåíî ïàðàëåëüíі ïðÿìі.

À. Ìàë. 1 Á. Ìàë. 2 Â. Ìàë. 3 Ã. Ìàë. 4

ÒÅÌÀ 4 150
САМОСТІЙНА РОБОТА

3.

ßê

íàçèâàþòü êóòè 1 і 2 íà ìàëþíêó 5?

À. Âíóòðіøíі îäíîñòîðîííі

Á. Âіäïîâіäíі

Â. Âåðòèêàëüíі

Ã. Âíóòðіøíі ðіçíîñòîðîííі

Ìàë. 5

4. Óêàæіòü, ÿêå ç íàâåäåíèõ òâåðäæåíü є ïðàâèëüíèì.

À. Ïåðïåíäèêóëÿðíі âіäðіçêè çàâæäè ìàþòü ñïіëüíó òî÷êó

Á. Ïåðïåíäèêóëÿðíі ïðÿìі çàâæäè ìàþòü ñïіëüíó òî÷êó

Â. Ïåðïåíäèêóëÿðíі ïðîìåíі çàâæäè ìàþòü ñïіëüíó òî÷êó

Ã. Ïåðïåíäèêóëÿðíі ïðîìіíü і âіäðіçîê çàâæäè ìàþòü ñïіëüíó òî÷êó

5. Íà ÿêîìó ç ìàëþíêіâ 6–9 ïðÿìі a і b ïàðàëåëüíі?

À. Ìàë. 6 Á. Ìàë. 7 Â. Ìàë. 8 Ã. Ìàë. 9

Ìàë. 6 Ìàë. 7 Ìàë. 8 Ìàë. 9

6. Îäèí ç êóòіâ, ùî óòâîðèëèñÿ ïðè ïåðåòèíі äâîõ ïàðàëåëüíèõ

ïðÿìèõ ñі÷íîþ, äîðіâíþє 35 . ßêîþ ìîæå áóòè ãðàäóñíà ìіðà

îäíîãî ç іíøèõ ñåìè êóòіâ?

À. 50 Á. 105

Â. 145 Ã. 55

7. Ïðÿìі AB, CD і MN ïåðåòèíàþòüñÿ

â òî÷öі O, ïðè÷îìó A B  CD (ìàë. 10).

 MOD  20 . Çíàéäіòü ãðàäóñíó ìіðó

êóòà AON.N

À. 20 Á. 70

Â. 110 Ã. 160

8. Íà ìàëþíêó 11  2 +  3  175 . Çíàéäіòü

 1 +  4.

À. 195

Á. 185

Â. 175

Ã. 165

Ìàë. 10

Ìàë. 11

Âçàºìíå ðîçì³ùåííÿ ïðÿìèõ íà ïëîùèí³ 151

9. Çà ìàëþíêîì 12 çíàéäіòü ãðàäóñíó ìіðó êóòà x.

À. 80 Á. 70 Â. 100 Ã. 110

Ìàë. 12 Ìàë. 13

10. Íà ìàëþíêó 13 òî÷êè A, O і B ëåæàòü íà îäíіé ïðÿìіé,

 AOC   BOD,  COK   DOK. Çíàéäіòü, ÿêùî öå ìîæëèâî, ãðàäóñíó ìіðó êóòà AOK.

À. Çíàéòè íåìîæëèâî Á. 80

Â. 90 Ã. 100

11. Ïðÿìі A B і CD ïàðàëåëüíі (ìàë. 14). Òîäі

 BPD  ...

À. 100 Á. 110 Â. 130 Ã. 150

12. Ïðîìіíü OC ïðîõîäèòü ìіæ ñòîðîíàìè êóòà AOB.

OK – áіñåêòðèñà êóòà K AOC, OL – áіñåêòðèñà

êóòà COB, OK  OL. Âèçíà÷òå âèä  AOB.

À. Ãîñòðèé Á. Òóïèé

Â. Ïðÿìèé Ã. Ðîçãîðíóòèé

Ìàë. 14

Ó çàâ ä àíí і 13 ïîòð і áíî âñòàíîâèòè â і ä ïîâ і ä í і ñòü ì і æ іíôîðìàöієþ, ïîçíà÷åíîþ öèôðàìè òà áóêâàìè.

13. Íà êîæíîìó ìàëþíêó ïðÿìі a і b – ïàðàëåëüíі, c – ñі÷íà. Óñòàíîâіòü âіäïîâіäíіñòü ìіæ ìàëþíêàìè (1–3) òà ãðàäóñíîþ ìіðîþ êóòà ìіæ ïðÿìèìè a і c (À–Ã).

Ìàëþíîê Êóò ìіæ ïðÿìèìè a і c 1. 2. 3. À. 60 Á. 70 Â. 80 Ã. 100

ÒÅÌÀ 4 152

1. Íà ÿêîìó ç ìàëþíêіâ 1–3 çîáðàæåíî ïàðàëåëüíі ïðÿìі, à íà ÿêîìó – ïåðïåíäèêóëÿðíі? Âèêîíàéòå âіäïîâіäíі çàïèñè.

Ìàë. 1 Ìàë. 2 Ìàë. 3

2. Íàêðåñëіòü ïðÿìó a òà ïîçíà÷òå òî÷êó N, ÿêà їé íå íàëåæèòü. Çà äîïîìîãîþ êîñèíöÿ і ëіíіéêè ÷åðåç òî÷êó N ïðîâåäіòü: 1) ïðÿìó b, ïåðïåíäèêóëÿðíó äî ïðÿìîї a; 2) ïðÿìó c, ïåðïåíäèêóëÿðíó äî ïðÿìîї b.

3. Çà ìàëþíêîì 4 óêàæіòü, ÿê íàçèâàþòü ïàðó êóòіâ:

1) 1 і 2; 2) 1 і 3; 3) 1 і 4?

Ìàë. 5 Ìàë. 6

4. Ïðÿìі A B, KL і MN ïåðåòèíàþòüñÿ â òî÷öі O (ìàë. 5). ×è ïåðïåíäèêóëÿðíі ïðÿìі KL і MN, ÿêùî: N 1)  KOA  70 ,  AOM  19; 2)  NOB  21 ,  KOB  111?

5. Íàêðåñëіòü ïðîìåíі A B і CD òà âіäðіçîê MN òàê, ùîá ïðîìіíü A B áóâ ïàðàëåëüíèé âіäðіçêó MN і ïåðïåíäèêóëÿðíèé äî ïðîìåíÿ CD.

6. Îäèí ç êóòіâ, ùî óòâîðèëèñÿ ïðè ïåðåòèíі äâîõ ïàðàëåëüíèõ ïðÿìèõ ñі÷íîþ, äîðіâíþє 78 . Çíàéäіòü ãðàäóñíі ìіðè ðåøòè ñåìè êóòіâ.

7. Ïðÿìі A B, CD і KL ïåðåòèíàþòüñÿ â òî÷öі O, ïðè÷îìó A B  CD (ìàë. 6). Çíàéäіòü  AOK, ÿêùî  DOL  38 .

Âçàºìíå
ïðÿìèõ íà ïëîùèí³ 153
ПЕРЕВІРКИ ЗНАНЬ
ðîçì³ùåííÿ
ЗАВДАННЯ ДЛЯ
ДО §§ 16–19

Ìàë. 7 Ìàë. 8

8. Çà ìàëþíêîì 7 çíàéäіòü ãðàäóñíó ìіðó êóòà x.

9. Íà ìàëþíêó 8 A B | | CD. Çíàéäіòü  BKD.

і âïðàâè

10. Çíàéäіòü ãðàäóñíó ìіðó êîæíîãî ç äâîõ âíóòðіøíіõ îäíîñòîðîííіõ êóòіâ, ùî óòâîðèëèñÿ ïðè ïåðåòèíі äâîõ ïàðàëåëüíèõ ïðÿìèõ ñі÷íîþ, ÿêùî ïåðøèé ç íèõ ó 4 ðàçè áіëüøèé çà äðóãèé.

11. Ïðÿìà m є ñі÷íîþ äëÿ ïðÿìèõ c і d. ×îòèðè ç âîñüìè êóòіâ, ùî óòâîðèëèñÿ, äîðіâíþþòü ïî 50, à ðåøòà – ïî 130. ×è ìîæíà ñòâåðäæóâàòè, ùî ïðÿìі c і d ìіæ ñîáîþ ïàðàëåëüíі?

ВПРАВИ ДЛЯ ПОВТОРЕННЯ ТЕМИ 4

Äî § 16

1. Íàêðåñëіòü ïðÿìó a òà ïîçíà÷òå òî÷êó M, ùî їé íå íàëåæèòü. Çà äîïîìîãîþ êîñèíöÿ ïðîâåäіòü ç òî÷êè M ïåðïåíäèêóëÿð äî ïðÿìîї a. Âèìіðÿéòå âіäñòàíü âіä òî÷êè M äî ïðÿìîї a.

2. Íàêðåñëіòü ãîñòðèé  KAM, ïîçíà÷òå íà ñòîðîíі A K òî÷êó B. Ïîáóäóéòå çà äîïîìîãîþ êîñèíöÿ ïðÿìó, ùî ïðîõîäèòü ÷åðåç òî÷êó B ïåðïåíäèêóëÿðíî äî A K.

3. Íàêðåñëіòü ïðîìіíü A B і âіäðіçîê KP òàê, ùîá âîíè áóëè ïåðïåíäèêóëÿðíèìè і íå ïåðåòèíàëèñÿ.

4. Íàçâіòü óñі ïàðè ïåðïåíäèêóëÿðíèõ ìіæ ñîáîþ âіäðіçêіâ íà ìàëþíêó 1. Âèêîíàéòå âіäïîâіäíі çàïèñè.

5. Íà ìàëþíêó 2: A B  CD,  KOC   COL.

1) ×è ïðàâèëüíî, ùî  AOK   LOB,  AOL   KOB?

2) Ïîðіâíÿéòå  KOB і  AOK. Ìàë. 1

ÒÅÌÀ 4 154
Äîäàòêîâ

6. 1) ×è ìîæóòü äâà ãîñòðèõ êóòè áóòè

ìіæ ñîáîþ ðіâíèìè, ÿêùî â íèõ îäíà

ñòîðîíà ñïіëüíà, à äâі іíøі – ïåðïåíäèêóëÿðíі ìіæ ñîáîþ?

2) ×è ìîæóòü äâà òóïèõ êóòè áóòè ìіæ ñîáîþ ðіâíèìè, ÿêùî â íèõ îäíà ñòîðîíà

ñïіëüíà, à äâі іíøі – ïåðïåíäèêóëÿðíі ìіæ ñîáîþ?

Ìàë. 2

7. ßê, âèêîðèñòîâóþ÷è øàáëîí êóòà, ãðàäóñíà ìіðà ÿêîãî 6 , ïîáóäóâàòè âçàєìíî ïåðïåíäèêóëÿðíі ïðÿìі?

8. Äîâåäіòü, ùî êîëè áіñåêòðèñè êóòіâ A BC і CBD âçàєìíî ïåðïåíäèêóëÿðíі, òî òî÷êè A, B і D ëåæàòü íà îäíіé ïðÿìіé. Äî

9. Íàêðåñëіòü âіäðіçêè AB і CD òàê, ùîá âîíè áóëè ïàðàëåëüíèìè ìіæ ñîáîþ.

10. Íà ìàëþíêó 3 çîáðàæåíî äâі ïðÿìі a і b, ùî ïåðåòèíàþòüñÿ, òà òî÷êó K, ùî íå íàëåæèòü æîäíіé ç íèõ. Ïðîâåäіòü ÷åðåç òî÷êó K ïðÿìі, ïàðàëåëüíі ïðÿìèì a і b.

Ìàë. 3

11. 1) Ïðÿìі a і b íå ïåðåòèíàþòüñÿ. ×è ìîæíà ñòâåðäæóâàòè, ùî âîíè ìіæ ñîáîþ ïàðàëåëüíі?

2) Âіäðіçêè A B і CD íå ïåðåòèíàþòüñÿ. ×è ìîæíà ñòâåðäæóâàòè, ùî âîíè ïàðàëåëüíі?

3) Ïðîìåíі MN і KL íå ïåðåòèíàþòüñÿ. ×è ìîæíà ñòâåðäæóâàòè, ùî âîíè ïàðàëåëüíі?

12. Äàíî ïðÿìó a і òî÷êó K, ùî їé íå íàëåæèòü. ×åðåç òî÷êó K ïðîâåëè äâі ïðÿìі b і c. ßê ìîæóòü ðîçìіùóâàòèñÿ öі ïðÿìі âіäíîñíî ïðÿìîї a? Ðîçãëÿíüòå âñі âèïàäêè òà âèêîíàéòå äî íèõ ìàëþíêè.

13. Ïðÿìі a і b – ïàðàëåëüíі, à ïðÿìі b і n – ïåðåòèíàþòüñÿ. Ïðÿìà c ïàðàëåëüíà ïðÿìіé b. Äîâåäіòü, ùî ïðÿìà c ïåðåòèíàє ïðÿìó n і ïàðàëåëüíà ïðÿìіé a. Äî § 18

14. Íàêðåñëіòü äâі ïðÿìі òà їõíþ ñі÷íó. Ïðîíóìåðóéòå êóòè, ùî óòâîðèëèñÿ, ÷èñëàìè âіä 1 äî 8. ßêі іç öèõ êóòіâ áóäóòü âíóòðіøíіìè îäíîñòîðîííіìè, ÿêі – âíóòðіøíіìè ðіçíîñòîðîííіìè, à ÿêі – âіäïîâіäíèìè?

Âçàºìíå
ïðÿìèõ íà ïëîùèí³ 155
ðîçì³ùåííÿ
§ 17

15. ×è є ïðÿìі m і n ïàðàëåëüíèìè íà ìàëþíêàõ 4–7?

Ìàë. 4 Ìàë. 5 Ìàë. 6 Ìàë. 7

16. Ïðè ïåðåòèíі ïðÿìèõ a і b ñі÷íîþ c

óòâîðèëîñÿ äâà ìіæ ñîáîþ ðіâíèõ ãîñòðèõ êóòè. ×è ìîæíà ñòâåðäæóâàòè, ùî a | | b?

17. Íà ìàëþíêó 8:  1   2,  2 +  3  180 . ×è є ïðÿìі a і c ïàðàëåëüíèìè ìіæ ñîáîþ?

Äî § 19

18. Íà ìàëþíêó 9 ïðÿìі m і n – ïàðà-

ëåëüíі, c – ñі÷íà. Çíàéäіòü ãðàäóñíі ìіðè

êóòіâ 1, 2, 3, 4.

19. Äàíî: a | | b, b | | c, c | | d. Äîâåäіòü, ùî a | | d.

20. Çíàéäіòü ãðàäóñíó ìіðó êîæíîãî ç äâîõ

âíóòðіøíіõ îäíîñòîðîííіõ êóòіâ, ùî óòâîðèëèñÿ ïðè ïåðåòèíі äâîõ ïàðàëåëüíèõ ïðÿìèõ ñі÷íîþ, ÿêùî îäèí ç íèõ ñòàíîâèòü 80 % âіä іíøîãî.

21. a | | b, c | | d,  1  100 (ìàë. 10). Çíàéäіòü ãðàäóñíі ìіðè êóòіâ 2, 3, 4.

Ìàë. 10 Ìàë. 11

22. Îäèí ç âíóòðіøíіõ îäíîñòîðîííіõ êóòіâ, ùî óòâîðèëèñÿ ïðè ïåðåòèíі ïàðàëåëüíèõ ïðÿìèõ ñі÷íîþ, äîðіâíþє 72 . Çíàéäіòü êóò ìіæ áіñåêòðèñàìè âíóòðіøíіõ îäíîñòîðîííіõ êóòіâ.

23. Ïðÿìі AB і CD ïàðàëåëüíі (ìàë. 11). Çíàéäіòü  MNB. Ìàë. 8 Ìàë. 9

ÒÅÌÀ 4 156

 Äâі ïðÿìі ïåðïåíäèêóëÿðíі, ÿêùî âîíè ïåðåòèíàþòüñÿ ïіä ïðÿìèì êóòîì.

 ×åðåç áóäü-ÿêó òî÷êó ïëîùèíè ïðîõîäèòü ëèøå îäíà ïðÿìà, ïåðïåíäèêóëÿðíà äî äàíîї ïðÿìîї.

 Ïåðïåíäèêóëÿð äî ïðÿìîї, ïðîâåäåíèé ç äàíîї òî÷êè, – âіäðіçîê ïðÿìîї, ïåðïåíäèêóëÿðíîї äî äàíîї, îäèí ç êіíöіâ ÿêîãî – äàíà òî÷êà, à äðóãèé – òî÷êà ïåðåòèíó ïðÿìèõ. Äîâæèíà öüîãî âіäðіçêà – âі äñòàíü âі ä òî÷êè äî ïðÿìîї.

 Äâі ïðÿìі íà ïëîùèíі ïàðàëåëüíі, ÿêùî âîíè íå ïåðåòèíàþòüñÿ. АКСІОМА

×åðåç

іëüêè îäíà ïðÿìà, ïàðàëåëüíà äàíіé.

âíóòðіøíі îäíîñòîðîííі êóòè: 4 і 5; 3 і 6; âíóòðіøíі ðіçíîñòîðîííі êóòè: 4 і 6; 3 і 5; âіäïîâіäíі êóòè: 1 і 5; 2 і 6; 3 і 7; 4 і 8. ОЗНАКИ ПАРАЛЕЛЬНОСТІ ПРЯМИХ

 ßêùî ïðè ïåðåòèíі äâîõ ïðÿìèõ ñі÷íîþ âіäïîâіäíі êóòè ðіâíі ìіæ ñîáîþ, òî ïðÿìі ïàðàëåëüíі.

 ßêùî ïðè ïåðåòèíі äâîõ ïðÿìèõ ñі÷íîþ âíóòðіøíі ðіçíîñòîðîííі êóòè ðіâíі ìіæ ñîáîþ, òî ïðÿìі ïàðàëåëüíі.

 ßêùî ïðè ïåðåòèíі äâîõ ïðÿìèõ ñі÷íîþ ñóìà âíóòðіøíіõ îäíîñòîðîííіõ êóòіâ äîðіâíþє 180 , òî ïðÿìі ïàðàëåëüíі.

 Äâі ïðÿìі, ïåðïåíäèêóëÿðíі äî òðåòüîї ïðÿìîї, ïàðàëåëüíі.

Âçàºìíå ðîçì³ùåííÿ ïðÿìèõ íà ïëîùèí³ 157
ПАРАЛЕЛЬНОСТІ ПРЯМИХ
ëåæèòü íà äàí
é ïðÿì
ïðîõîäèòü
КУТИ, УТВОРЕНІ ПРИ ПЕРЕТИНІ ДВОХ ПРЯМИХ СІЧНОЮ:
òî÷êó, ùî íå
і
іé,
ò
Ãîëî
â íå â òåì і 4

 Âіäïîâіäíі êóòè, ùî óòâîðèëèñÿ ïðè ïåðåòèíі ïàðàëåëüíèõ ïðÿìèõ ñі÷íîþ, ìіæ ñîáîþ ðіâíі.

 Äâі ïðÿìі, ïàðàëåëüíі òðåòіé ïðÿìіé, ïàðàëåëüíі îäíà îäíіé. ВЛАСТИВОСТІ

 Âíóòðіøíі ðі

ÒÅÌÀ 4 158
ПРЯМИХ
ВЛАСТИВІСТЬ ПАРАЛЕЛЬНИХ
КУТІВ, УТВОРЕНИХ ПРИ ПЕРЕТИНІ ПАРАЛЕЛЬНИХ ПРЯМИХ СІЧНОЮ
óòâîðåíі ïðè ïåðåòèíі ïàðà-
ïðÿìèõ ñі÷íîþ, ìіæ ñîáîþ ðіâíі.  Ñóìà âíóòðіøíіõ îäíîñòîðîííіõ êóòіâ, óòâîðåíèõ ïðè ïåðåòèíі ïàðàëåëüíèõ ïðÿìèõ ñі÷íîþ, äîðіâíþє 180 . Михайло Кравчук – відомий у світі й незнаний в Україні Вислів «Рукописи не горять!», на щастя, іноді справджується… У селі Саварка, що на Богуславщині, на горищі хатини, у якій у 20-ті роки ХХ ст. мешкали вчителі, через 80 років випадково знайшли мішок, наповнений паперами й книжк ами… Пожовклі зшитки зошитів виявилися конспектами вчителів, які працювали в Саварській школі на початку минулого століття. І серед них –рукописний підручник Михайла Кравчука! 96 аркушів густо списаного зошита, на першій сторінці якого напис: «Геометрія для семирічних трудових шкіл, 1920 рік», виявилися сторінками неопублікованого підручника генія української математики! Михайло Пилипович Кравчук (1892–1942) – к найвизначніший український математик ХХ ст., всесвітньо відомий учений, педагог, громадський діяч, дійсний член Всеукраїнської академії наук, учений світової слави. Його ім’я знане у світовій математичній науці, але широкому загалу не було відомо, що він – українець. Його наукові праці з різних галузей математики увічнилися в безцінній скарбниці науки. Творець першого у світі електронного цифрового комп’ютера –американський фізик Джон Вінсент Атанасов під час Ì. Ï. Êðàâ÷óê
çíîñòîðîííі êóòè,
ëåëüíèõ

університет імені Тараса Шевченка). Викладачі одразу

Після отримання звання приват-доцента Михайло Кравчук

як математик-науковець і як педагог. Викладає

раїнських гімназіях та Українському

Âçàºìíå ðîçì³ùåííÿ ïðÿìèõ íà ïëîùèí³ 159 розробки свого творіння щедро користався теоретичними напрацюваннями Михайла Кравчука. Так він засвідчив, що наш співвітчизник заслужено
до співзасновників ЕОМ (електронно-обчислювальної
розробки М. Кравчука було використано й під час формування перших мереж телебачення у США та Японії. Народився Михайло Кравчук у селі Човниця на Волині в родині землеміра та вчительки. Після закінчення чоловічої гімназії з 1910 по 1914 рік навчався на математичному відділенні фізико-математичного факультету Університету Святого Володимира в Києві (нині – Київський національний
вирізнили його
Академік Д. Граве, який створив алгебраїчну школу, давав молодому вченому чудові рекомендації, вважав його одним з найталановитіших своїх учнів і просив залишити-
професорським стипендіатом для підготовки до наукової
викладацької роботи. Вільні від студіювання вечори Михайло проводив в Українському клубі, у Народному домі на Лук’янівці, де ставив
театр під керівництвом М. Старицького.
двох
народному університеті, з 1918-го –
академії наук. Кажуть, що у Кравчука була така красива й милозвучна українська мова, що на його математичні лекції із захопленням приходили й філологи – слухати неймовірну вимову викладача. Лекції відзначалися великим багатством і глибиною змісту, логікою і чіткістю викладу, широтою охоплення матеріалу, особливою красою та витонченістю. Водночас найскладніші математичні положення Михайло Пилипович подавав дохідливо й зрозуміло, але не в спрощеній формі. На лекціях Кравчука ніколи не було вільних місць: слухати його приходили ще й біологи, хіміки, філософи… Він перший в Україні почав писати математичні праці українською мовою. Підкомісія математичної секції природничого відділу Інституту української наукової мови під головуванням Кравчука створила й перший тритомний математичний словник. Михайло Пилипович підготував кілька підручників з математики українською мовою. У 1919 р. вийшов друком його курс лекцій з геометрії, який він прочитав в Українському народному університеті. У тому ж році опубліковано перший переклад українською мовою, який здійснив Кравчук, широковідомого підручника з геометрії Кисельова. Економічна руйнація початку 20-х років ХХ ст. примусила науковця виїхати в село Саварка Богуславського району на Київщині, де він став директором школи. Тут М. Кравчук мав можливість реально втілити свої педагогічні задуми. Крім безпосереднього навчання, Кравчук приділяв велику увагу виявленню та вихованню обдарованих учнів. Він навчав математики Архипа Люльку (автора-конструктора першого у світі
належить
машини). Теоретичні
з-поміж інших за парадоксальність мислення.
ся при університеті
та
свої вистави український
працює
у
новостворених ук-
співробітник Української

мічної та авіаційної техніки, розробника

гогічних наук (ВУАН), де він очолює комісію математичної статистики, обіймає

італійською, польською та російською), молодий учений листувався з колегами з різних країн. М. Кравчука було обрано членом математичних товариств Франції, Німеччини, Італії. Але в сумнозвісному 1937 р. в тодішній газеті «Комуніст» з’явилася наклепницька стаття «Академік

ворогів народу». Йому дорікали листуванням

обвинувачували в націоналізмі.

ÒÅÌÀ 4 160
двигуна, творця літаків з надзвуковою швидкістю), а пізніше – Сергія Корольова (ученого-конструктора, осно-
космонавтики), Володимира Челомея (провід-
радянського «ядерного щита», конструктора ракетно-кос-
перших
педа-
президії Академії, завідує відділом математичної статистики Інституту математики ВУАН. Водночас він –член управи Київського інституту народної освіти, декан факультету
активний громадський діяч – член секції наукових
міської Ради, організатор першої в Україні математичної олімпіади для обдарованих школярів (1935 р.) Добре володіючи п’ятьма мовами (французькою, німецькою,
з львівськими вченими,
У 1938 р. М. Кравчука заарештували,
йому «вбивчий» на той час набір контрреволюційних стереотипів: націоналіст, шпигун. Суд над Михайлом Кравчуком тривав усього 30 хвилин, але вирок – 20 років тюремного ув’язнення та 5 років заслання. В останньому слові на суді М. Кравчук просив дати йому можливість закінчити розпочату працю з математики. Незважаючи на хворе серце та повністю підірване у в’язниці здоров’я, М. Кравчук і вдень, і вночі невтомно займався наукою. Своєї реабілітації вчений не дочекався. Його було посмертно реабілітовано лише в 1956 р., а в 1992 р. поновлено у складі дійсних членів Академії наук України. Його спадок налічує понад 180 наукових праць. Його пам’ять вшановують і нині. У 1987 р. у с. Човниця, на батьківщині академіка, було встановлено його погруддя та відкрито музей М. Кравчука. У 2003 р. на території Політехнічного інституту в Києві, вперше в Україні, відкрито пам’ятник Михайлові Кравчуку. «Моя любов – Україна і математика» – викарбовано на постаменті пам’ятника. Щороку в цьому навчальному закладі проводяться конференції імені академіка Кравчука, засновано стипендію М. Кравчука для кращих студентів.
двоконтурного турбореактивного
воположника радянської
ного творця
супутників) М. Кравчука запрошують до роботи у Всеукраїнську академію
посаду вченого секретаря
професійної освіти;
працівників
Кравчук підтримує
інкримінувавши

Уже в ХХІ ст. ЮНЕСКО внесла ім’я М. П. Кравчука

чи зможете ви розв’язати геометричні задачі Київських

олімпіад з математики, що пропонувалися пів століття тому?

1. (1950 р.) Розділіть прямокутник розміром 18 × 8 на дві

2. (1975 р.) У країні 1000 доріг з’єднують 200 міст, причому з кожного

: 801.

3 (1978 р.)

A, B, C

4. (1979 р.)

рівнобедреного трикутника.

5. (1985 р.) Довільний трикутник розріжте

було скласти прямокутник.

6. (1987 р.) Чи можна квадрат розміром 6 × 6 розрізати на прямокутники розміром 1 × 4?

Âçàºìíå ðîçì³ùåííÿ ïðÿìèõ íà ïëîùèí³ 161 У 2009 р. в Києві, на Харківському житловому масиві, одну з нових вулиць було названо на честь Михайла Кравчука. Ім’я математика присвоєно Луцькій гімназії № 21, що міститься на
академіка Кравчука, де також, до 110-річчя від дня народження, було відкрито музей видатного вченого. У 2012 р. Національний банк України ввів в обіг пам’ятну монету номіналом
М. П. Кравчуку.
вулиці
2 гривні, присвячену
до переліку найвизначніших людей планети. А
міських
частини так, щоб з них можна було утворити квадрат.
міста виходить хоча б одна дорога. Яку найбільшу кількість доріг можна одночасно закрити на ремонт, не порушуючи при цьому зв’язок між містами? Відповідь
Точки
розміщені так, що незалежно від вибору точки M відрізок AM коротший від одного з відрізків M BM або CM Доведіть,
що точк а M належить відрізку BC
площині так, щоб кожні 3 з них були
Розмістіть 6 точок на
вершинами
на 3 частини так, щоб з них
можна

МНОГОЧЛЕН

У ЦІЙ ТЕМІ ВИ:

ознайомитеся

навчитеся

з поняттями многочлена; виконувати арифметичні дії над одночленами та многочленами, тотожні перетворення виразів; розкладати

многочлени на множники.

Âèðàç 7x7 2y3 – 5xy7  9x5 – 8 є ñóìîþ îäíî÷ëåíіâ 7x2y3 , –5xy7 , 9x5 і –8. Öåé âèðàç íàçèâàþòü ìíîãî÷ëåíîì.

Îäíî÷ëåíè, ç ÿêèõ ñêëàäàєòüñÿ ìíîãî÷ëåí, íàçèâàþòü ÷ëåíàìè ìíîãî÷ëåíà. Íàïðèêëàä, ìíîãî÷ëåí 7x7 2y3 – 5xy7  9x5 – 8

ñêëàäàєòüñÿ іç ÷îòèðüîõ ÷ëåíіâ: 7x2y3 , –5xy7 , 9x5 і –8.

Ìíîãî÷ëåí, ÿêèé ìіñòèòü äâà ÷ëåíè, íàçèâàþòü äâî÷ëåíîì, ìíîãî÷ëåí, ÿêèé ìіñòèòü òðè ÷ëåíè, – òðè÷ëåíîì. Íàïðèêëàä, a  b7 , 2xy – 3y7 – äâî÷ëåíè; x  xy  y3 , mn  m – n – òðè÷ëåíè.

Îäíî÷ëåí ââàæàþòü îêðåìèì âèäîì ìíîãî÷ëåíà.

Áóäü-ÿêèé ìíîãî÷ëåí є öіëèì âèðàçîì. Àëå íå êîæíèé öіëèé âèðàç є ìíîãî÷ëåíîì. Íàïðèêëàä, öіëі âèðàçè 3(x – 1); (a + b)2; (m – n)3 íå є ìíîãî÷ëåíàìè, áî âîíè íå є ñóìîþ îäíî÷ëåíіâ.

Подібні члени многочлена Ó ìíîãî÷ëåíі 7x2y  8  9xy – 5x2y – 9 ÷ëåíè 7x2y і –5x2y є ïîäіáíèìè äîäàíêàìè, îñêіëüêè âîíè ìàþòü îäíó é òó ñàìó áóêâåíó ÷àñòèíó x2y. Òàêîæ ïîäіáíèìè äîäàíêàìè є é ÷ëåíè 8 і –9, ÿêі íå ìàþòü áóêâåíîї

162 ТЕМА 5
їх зведення
Степінь
§ 20. Многочлен. Подібні члени многочлена та
.
многочлена Многочлен

Приклад 1.

Çâåñòè ïîäіáíі ÷ëåíè ó ìíîãî÷ëåíі 7x2y  8  9xy – 5x2y – 9.

Ðîçâ’ÿçàííÿ. 7x2y  8  9xy – 5x2y – 9  (7x7 2y – 5x2y) + (8 – 9)   9xy  2x2y – 1  9xy.

Âіäïîâіäü: 2x2y – 1 + 9xy.

Многочлен стандартного вигляду

Êîæíèé ÷ëåí ìíîãî÷ëåíà 2x2y – 1  9xy є îäíî÷ëåíîì ñòàíäàðòíîãî âèãëÿäó, ïðè÷îìó öåé ìíîãî÷ëåí óæå íå ìіñòèòü ïîäіá-

íèõ äîäàíêіâ. Òàêі ìíîãî÷ëåíè íàçèâàþòü ìíîãî÷ëåíàìè ñòàíäàðòíîãî âèãëÿäó. ×è çàïèñàíî â ñòàíäàðòíîìó âèãëÿäі ìíîãî÷ëåí:

Приклад 2.

1) xy2 – x2y3x  7; 2) m2  3mn – 3n2; 3) 9ab  7 – 5ab?

Ðîçâ’ÿçàííÿ. 1) Îñêіëüêè x2y3x íå є îäíî÷ëåíîì ñòàíäàðòíîãî

âèãëÿäó, òî ìíîãî÷ëåí x2y – x2y3x  7 íå є ìíîãî÷ëåíîì ñòàíäàðòíîãî âèãëÿäó.

2) m2  3mn – 3n2 – ìíîãî÷ëåí ñòàíäàðòíîãî âèãëÿäó.

3) Ìíîãî÷ëåí 9ab  7 – 5ab ìіñòèòü ïîäіáíі äîäàíêè, òîìó íå є ìíîãî÷ëåíîì ñòàíäàðòíîãî âèãëÿäó.

Âіäïîâіäü: 1), 3) íі; 2) òàê.

Приклад 3.

Çàïèñàòè ó ñòàíäàðòíîìó âèãëÿäі ìíîãî÷ëåí 3x2yx  5 – 4xy2y – 5x3y  7xy3 – 8.

Ðîçâ’ÿçàííÿ. Ñïî÷àòêó çâåäåìî äî ñòàíäàðòíîãî âèãëÿäó ÷ëåíè

ìíîãî÷ëåíà, ïîòіì çâåäåìî ïîäіáíі äîäàíêè: 3x2yx  5 – 4xy2y – 5x3y  7xy3 – 8    5 – –  – 8  –2x3y  3xy3 – 3.

Âіäïîâіäü: –2x3y + 3xy3 – 3. Степінь многочлена стандартного вигляду

×ëåíè ìíîãî÷ëåíà 7m4p – 9m2p4  3, ÿêèé ìàє ñòàíäàðòíèé âèãëÿä, – öå îäíî÷ëåíè âіäïîâіäíî ï’ÿòîãî, øîñòîãî òà íóëüîâîãî ñòåïåíіâ. Íàéáіëüøèé іç öèõ ñòåïåíіâ íàçèâàþòü ñòåïåíåì ìíîãî÷ëåíà. Îòæå, 7m7 4p – 9m2p4  3 – ìíîãî÷ëåí øîñòîãî ñòåïåíÿ.

Ìíîãî÷ëåí 163

Íàïðèêëàä, 5x 7 òà 2a 3b  7 – ìíîãî÷ëåíè ïåðøîãî ñòåïåíÿ; 2mn  n – äðóãîãî; 2x4  x5 – x2 – ï’ÿòîãî ñòåïåíÿ.

Ñòåïåíåì äîâіëüíîãî

ìíîãî÷ëåíà íàçèâàþòü ñòåïіíü òîòîæíî ðіâíîãî éîìó ìíîãî÷ëåíà ñòàíäàðòíîãî âèãëÿäó.

Приклад 4.

Âèçíà÷èòè ñòåïіíü ìíîãî÷ëåíà 2x2y  3xy – 6x2y  4x2y – 7. Ðîçâ’ÿçàííÿ. Ñïî÷àòêó çàïèøåìî ìíîãî÷ëåí ó ñòàíäàðòíîìó âèãëÿäі:  3xy –  – 7  3xy – 7. Ìíîãî÷ëåí 3xy – 7 є ìíîãî÷ëåíîì äðóãîãî ñòåïåíÿ, à òîìó і ìíîãî÷ëåí 2x2y  3xy –– 6x2y  4x2y – 7 є ìíîãî÷ëåíîì äðóãîãî ñòåïåíÿ.

іäïîâіäü: äðóãîãî ñòåïåíÿ. ×ëåíè ìíîãî÷ëåíà ìîæíà çàïèñóâàòè â ðіçíіé ïîñëіäîâíîñòі. Äëÿ ìíîãî÷ëåíіâ ñòàíäàðòíîãî âèãëÿäó, ÿêі ìіñòÿòü îäíó çìіííó, ÷ëåíè çàçâè÷àé óïîðÿäêîâóþòü çà çðîñòàííÿì àáî ñïàäàííÿì ïîêàçíèêіâ ñòåïåíіâ öієї çìіííîї. Íàïðèêëàä, 7a4  5a3 – 8a2 – 5 àáî –5 – 8a2  5a3  7a4 .

Що називають многочленом? Що називають членами многочлена? Який многочлен називають двочленом, а який – тричленом? Які члени многочлена називають подібними? Який многочлен називають многочленом стандартного вигляду? Що називають степенем многочлена?

Ðîçâ ' ÿæiòü çàäà÷i òà âèêîíàéòå âï ð àâ è

20.1. (Óñíî.) ßêі ç äàíèõ âèðàçіâ є ìíîãî÷ëåíàìè: 1) a(a2 – 3); 2) 4c2 – c2 + x6; 3) ; 4) y; 5) (c – 3)(c + 2); 6) t2 – ; 7) 4,9; 8) (m – 2c)2; 9) ?

20.2. Ñåðåä íàâåäåíèõ âèðàçіâ âèáåðіòü ìíîãî÷ëåíè: 1) c3 – c2 + c; 2) ; 3) d2; 4) x(x – y); 5) ; 6) (x + 5)(x – 5);

ÒÅÌÀ 5 164
Â

7) c7 – 1; 8) (a + b)2; 9) .

20.3. Íàçâіòü ÷ëåíè ìíîãî÷ëåíà: 1) 4x2y – 7xy2 + 5 + 3xy; 2) –a3 + 4a2 – 9a + 3.

20.4. Ñêëàäіòü ìíîãî÷ëåí ç îäíî÷ëåíіâ:

1) 5m2 , –2m і 3; 2) 7ab7 , –2a2 і b2; 3) 4p4 і 2q3; 4) –c2 , –3mc, m3 і 7.

20.5. Ñêëà äіòü ìíîãî÷ëåí ç îäíî÷ëåíіâ: 1) 5m і –5n; 2) m3 , –2m2 і mn; 3) –x3 , –2y2 , xy і 4.

20.6. (Óñíî.) ×è çàïèñàíî ìíîãî÷ëåí ó ñòàíäàðòíîìó âèãëÿäі? Äëÿ ìíîãî÷ëåíіâ ñòàíäàðòíîãî âèãëÿäó âèçíà÷òå їõíіé ñòåïіíü.

1) 5m2  m3  1; 2) 7x7 2  2x  3x2;

3) 2  a  a2b  3; 4) c2c  c5 – 8;

5) 3x2x  2xx2  x; 6) p2 – 19.

20.7. Çâåäіòü ïîäіáíі ÷ëåíè ìíîãî÷ëåíà:

1) 7x7 – 15xy – 8xy;

2) 8ab – 5ab  4b2;

3) 9a4 – 5a  7a2 – 5a4  5a;

4) 18a4b – 9a4b – 7ba4;

5) 4b3  b2 – 15 – 7b2  b3 – b  18;

6) 9xy2 – x3 – 5xy2  3x2y – 4xy2  2x3 .

20.8. Çâåäіòü ïîäіáíі ÷ëåíè ìíîãî÷ëåíà:

1) a3 – 2a3  3a3; 2) –x4  2x3 – 3x4  5x2 – 3x2; 3) 7  3m6 – 2m3 – 5m6  2m6 – m5 – 7; 4) 9xy3  6x2y2 – x3y  x2y2 – 9xy3 .

20.9. (Óñíî.) ßêі ç ìíîãî÷ëåíіâ – ìíîãî÷ëåíè ÷åòâåðòîãî ñòåïåíÿ: 1) a3  3a2  1; 2) a2 a2 – 8; 3) a4 – 4a3 – a4; 4) aa3  2?

20.10. ßêі ç ìíîãî÷ëåíіâ є ìíîãî÷ëåíàìè ï’ÿòîãî ñòåïåíÿ: 1) m3  m4 – m2; 2) 12  mm4; 3) mm  mm2  m2m2; 4) m5 – 3 – m5?

20.11. Çâåäіòü ìíîãî÷ëåí äî ñòàíäàðòíîãî âèãëÿäó òà âèçíà÷òå éîãî ñòåïіíü: 1) x2y  xyy; 2) 2a · a2 · 3b  a · 5c; 3) 7x7 · 5y2 – 4y · 7x2; 4) 3a · 4a · (–5a) – a3 · (–8b).

20.12. Ïîäàéòå ìíîãî÷ëåí ó ñòàíäàðòíîìó âèãëÿäі òà âèçíà÷òå éîãî ñòåïіíü: 1) 3x · x2  2x · 5y2; 2) 5a · b2a  3b · 2ab2; 3) –5mn3m  4mmm; 4) 5p5 · 3p · (–p– ) – p4qp.

Ìíîãî÷ëåí 165

20.13. Ïåðåïèøіòü ìíîãî÷ëåí ó ïîðÿäêó ñïàäàííÿ ñòåïåíіâ çìіííîї:

1) 7x7 – 5x3  x4 – 9x2  1; 2) 8y3 – 5  7y6 – 9y4  y2 .

20.14. Ïåðåïèøіòü ìíîãî÷ëåí ó ïîðÿäêó çðîñòàííÿ ñòåïåíіâ çìіííîї:

1) 3m2 – 3m  m3 – 8; 2) 7a7 2 – 9a5  4a3  5 – a4 .

20.15. Çíàéäіòü çíà÷åííÿ:

1) äâî÷ëåíà 3x2 – 1, ÿêùî x  –1; 2; 2) òðè÷ëåíà 5m  9n2 – 1, ÿêùî m  –2,

20.16. Îá÷èñëіòü çíà÷åííÿ ìíîãî÷ëåíà:

1) 64x3 – x2  1, ÿêùî

2) 4mn – 3m  2n – 4mn, ÿêùî m  4, n  –3.

20.17. Îá÷èñëіòü çíà÷åííÿ ìíîãî÷ëåíà:

1) 9p9 2 – p3 , ÿêùî

2) 2xy – 4x  3y  4x, ÿêùî x  –1, y  2.

20.18. ×è іñíóє òàêå çíà÷åííÿ x, äëÿ ÿêîãî çíà÷åííÿ ìíîãî÷ëåíà x2 + 5 äîðіâíþє íóëþ; є âіä’єìíèì?

20.19. Çâåäіòü ìíîãî÷ëåí äî ñòàíäàðòíîãî âèãëÿäó і âêàæіòü éîãî

ñòåïіíü:

1) 3a2ab – 5a2b2b2 – 6ab · 2a  5ab · 0,4ab – 1,5a · 2b · a2; 2) 3xy2 · 4x3y  5x3y · 2y · (–x) – 10x3y3 · x – 7xy · (–3xy3).

20.20. Çâåäіòü ìíîãî÷ëåí äî ñòàíäàðòíîãî âèãëÿäó і âêàæіòü éîãî

ñòåïіíü:

1) 3a2b3 – ab3 – a3 a – a2b2 · b  0,5ab · 2b2  4ab · 0,5ab2; 2) 7x7 · 2y3 – 5x · 3xy · (–x)  y · (–14xy) – 3yx · 4y2 .

20.21. Çâåäіòü ìíîãî÷ëåí 5xy3 + x2y2 + 748,75 – 2x3y – 3xy3 – x2y2 äî ñòàíäàðòíîãî âèãëÿäó, çíàéäіòü éîãî çíà÷åííÿ, ÿêùî , y  –1, òà äіçíàéòåñÿ â êіëîìåòðàõ âіäñòàíü âіä Êèєâà äî ñòîëèöі Ëèòâè – ìіñòà Âіëüíþñ.

20.22. Äîâåäіòü, ùî ìíîãî÷ëåí a2  b2  1 äëÿ áóäü-ÿêèõ çíà÷åíü çìіííèõ a і b íàáóâàє ëèøå äîäàòíèõ çíà÷åíü.

ÒÅÌÀ
166
5

20.23. Çàìіñòü «çіðî÷êè» çàïèøіòü òàêèé îäíî÷ëåí, ùîá óòâîðèâñÿ ìíîãî÷ëåí ÷åòâåðòîãî ñòåïåíÿ:

1) x3  3x2  * – 2; 2) m6 – 4m4  mn  *; 3) a3b – 3a4b3  3a2  *; 4) pq3 – p2 q2  p2q3  * – p3 q.

20.24. Çàìіñòü «çіðî÷êè» çàïèøіòü òàêèé îäíî÷ëåí, ùîá ïіñëÿ çâåäåííÿ ìíîãî÷ëåíà äî ñòàíäàðòíîãî âèãëÿäó îòðèìàòè ìíîãî÷ëåí, ùî íå ìіñòèòü çìіííîї x: 1) 3x – 12  5x  15 – 9x  * ; 2) 5xy2 – y3  7y2  7y2x – 5  * .

20.25. Äàíî ìíîãî÷ëåí 5x3 + 2x2 – x + 7. Óòâîðіòü ç íüîãî íîâèé ìíîãî÷ëåí, çàìіíèâøè çìіííó x íà îäíî÷ëåí:

1) m; 2) –x; 3) 2a; 4) 3b2 . Îòðèìàíі ìíîãî÷ëåíè çâåäіòü äî ñòàíäàðòíîãî âèãëÿäó.

20.26. Äàíî ìíîãî÷ëåí 3a3 – 5a2 + a – 8. Óòâîðіòü ç íüîãî íîâèé ìíîãî÷ëåí, çàìіíèâøè çìіííó a íà äàíèé îäíî÷ëåí, òà çâåäіòü äî ñòàíäàðòíîãî âèãëÿäó: 1) x; 2) –a; 3) 2b; 4) 3c2 .

20.27. Îáåðіòü òі ìíîãî÷ëåíè, çíà÷åííÿ ÿêèõ є äîäàòíèìè äëÿ áóäü-ÿêèõ çíà÷åíü çìіííèõ; є âіä’єìíèìè äëÿ áóäü-ÿêèõ

çíà÷åíü çìіííèõ:

1) a4 + 3a2 + 5; 2) c5 + c3 + c; 3) –p– 2 – 7; 4) –m2 – m2n2 – n2 – 9; 5) –a – b – 7; 6) x8 + y6 + c4 + 1.

20.28. Ðîçêðèéòå äóæêè òà ñïðîñòіòü âèðàç:

1) x  5  (2x – 7); 2) 2y – 7 – (3y – 8); 3) 7 – (2x  9)  (3x – 11).

20.29. Ñêëàäіòü ÷èñëîâèé âèðàç і çíàéäіòü éîãî çíà÷åííÿ: 1) ñóìà êâàäðàòіâ ÷èñåë 3,1 і –2,7; 2) êâàäðàò ðіçíèöі ÷èñåë –3,8 і –3,7; 3) êóá ñóìè ÷èñåë 1,52 і –1,5.

20.30. Çàìіíіòü ïðîïóñêè ñòåïåíåì ç îñíîâîþ x òàê, ùîá îäåðæàòè òîòîæíіñòü: 1) x3 ·( ... )2  x13; 2) ( ... )3 · x7  x19 .

Æè òò є â à ìàòåìàò è êà

20.31. 1) Ó çâ’ÿçêó çі çáіëüøåííÿì êіëüêîñòі çàìîâëåíü êîíâåєð íåâåëèêîãî ïіäïðèєìñòâà ç ïàêóâàííÿ ïðîäóêöії â ëèñòî-

Ìíîãî÷ëåí 167
 ï ð à â è äëÿ ïî â òî ð åíí ÿ ðð

ïàäі ñïîæèâ íà 20 % áіëüøå åëåêòðîåíåðãії, íіæ ó æîâòíі. Ñêіëüêè êÂò  ãîä ñïîæèâ êîíâåєð ó ëèñòîïàäі, ÿêùî

â æîâòíі éîãî ñïîæèâàííÿ ñòàíîâèëî 250 êÂò  ãîä?

2) Ïðàêòè÷íà äіÿëüíіñòü. Äіçíàéòåñÿ, ñêіëüêè êîøòóє 1 êÂò  ãîä åëåêòðîåíåðãії äëÿ ïіäïðèєìñòâ, òà âèçíà÷òå ñóìó, ÿêó ñïëàòèëî ïіäïðèєìñòâî çà âèêîðèñòàíó äëÿ ïàêóâàííÿ

ïðîäóêöії åëåêòðîåíåðãіþ â æîâòíі, à ÿêó – ó ëèñòîïàäі.

ó

20.32. Ðîçêðèéòå äóæêè òà ñïðîñòіòü âèðàç: 1) d – (d – 1); 2) –(a + 10) + a; 3) p + (–p– + à); 4) (t + 4) – (t – 5); 5) –(10 – x) + (–x + 7); 6) –(b – 5 + a) – (2 – b).

êà

20.33. Çíàéäіòü óñі íàòóðàëüíі çíà÷åííÿ n, äëÿ ÿêèõ ñïðàâäæóєòüñÿ íåðіâíіñòü

Додавання многочленів

Äîäàìî ìíîãî÷ëåíè 7x7 2 – 4x  9 і –3x2 

ïèøåìî їõíþ ñóìó, ïîòіì ðîçêðèєìî äóæêè òà çâåäåìî ïîäіáíі äîäàíêè: (7x2 – 4x  9) 

Ìè çàïèñàëè ñóìó ìíîãî÷ëåíіâ 7x2 – 4x  9 і –3x2  5x – 7 ó âèãëÿäі ìíîãî÷ëåíà

äîäàâàòè òðè é áіëüøå ìíîãî÷ëåíіâ. Ñóìîþ áóäü-ÿêèõ ìíîãî÷ëåíіâ є

ÒÅÌÀ 5 168
â îãî ìàòåðiàë
ãîò
éòåñÿ äî â è â ÷åííÿ íî
ó
ðó
і ð ê ó é î ä íà÷å äðóä
Ö і
â і çà ä à÷ і
ïîì
§ 21. Додавання i віднімання многочленів
5x – 7. Äëÿ öüîãî çà-
(–3x2  5x – 7)   7x2 – 4x  9 – 3x2  5x – 7  4x2  x  2.
x
 x  2. Òàê ñàìî
ìíîãî÷ëåí àáî
, ÿêі çàçâè÷àé çàïèñóþòü ó ñòàíäàðòíîìó
Віднімання многочленів Òåïåð
5x2 – 8x  7 âіäíіìåìî ìíîãî÷ëåí 2x2 – 6x – 5. Äëÿ öüîãî çàïèøåìî ðіçíèöþ öèõ ìíîãî÷ëåíіâ, äàëі ðîçêðèєìî äóæêè і çâåäåìî ïîäіáíі äîäàíêè: (5x2 – 8x  7) – (2x2 – 6x – 5)   5x2 – 8x  7 – 2x2  6x  5  3x2 – 2x  12.
4
2
ìîæíà
îäíî÷ëåí
âèãëÿäі.
âіä ìíîãî÷ëåíà

Ðіçíèöþ ìíîãî÷ëåíіâ 5x2 – 8x  7 і 2x2 – 6x – 5 ìè ïîäàëè ó âèãëÿäі ìíîãî÷ëåíà 3x2 – 2x  12. Ðіçíèöåþ áóäü-ÿêèõ ìíîãî÷ëåíіâ є ìíîãî÷ëåí àáî îäíî÷ëåí, ÿêі çàçâè÷àé çàïèñóþòü ó ñòàíäàðòíîìó âèãëÿäі.

Застосування додавання і віднімання многочленів

під час розв’язування вправ

Ðîçãëÿíåìî ïðèêëàäè çàñòîñóâàííÿ äîäàâàííÿ і âіäíіìàííÿ ìíîãî÷ëåíіâ ïіä ÷àñ ðîçâ’ÿçóâàííÿ âïðàâ.

Приклад 1.

Ðîçâ’ÿçàòè ðіâíÿííÿ (7x7 – 5) – (2x2  3x – 7)  (9 – 2x)  4 – 2x2 . Ðîçâ’ÿçàííÿ. Ðîçêðèєìî äóæêè â ëіâіé ÷àñòèíі ðіâíÿííÿ: 7x – 5 – 2x2 – 3x  7  9 – 2x  4 – 2x2 .

Ïåðåíåñåìî äîäàíêè, ùî ìіñòÿòü çìіííó, ó ëіâó ÷àñòèíó ðіâíÿííÿ, à òі, ùî íå ìіñòÿòü çìіííîї, – ó ïðàâó. Ìàòèìåìî: 4  5 – 7 – 9; 2x  –7; x  –3,5.

Âіäïîâіäü: – 3,5.

Приклад 2.

Äîâåñòè, ùî çíà÷åííÿ âèðàçó (7x2 – 4x + 5) – (x2 – 3) + (4 – 2x2 + 4x)

є äîäàòíèì ÷èñëîì äëÿ áóäü-ÿêîãî çíà÷åííÿ çìіííîї.

Äîâåäåííÿ. Ìàєìî (7x2 – 4x + 5) – (x2 – 3) + (4 – 2x2 + 4x) 

 7x2 – 4x + 5 – x2 + 3 + 4 – 2x2 + 4x  4x2 + 12.

Çíà÷åííÿ âèðàçó x2 є íåâіä’єìíèì ÷èñëîì äëÿ áóäü-ÿêîãî çíà÷åííÿ x. Òîìó é çíà÷åííÿ âèðàçó 4x2 òàêîæ є íåâіä’єìíèì ÷èñëîì äëÿ áóäü-ÿêîãî çíà÷åííÿ x. À îòæå, çíà÷åííÿ âèðàçó 4x2 + 12 є äîäàòíèì äëÿ áóäü-ÿêîãî çíà÷åííÿ çìіííîї x. Òâåðäæåííÿ çàäà÷і äîâåäåíî.

Запис многочлена у вигляді суми або різниці многочленів Іíîäі âèíèêàє ïîòðåáà ðîçâ’ÿçàòè îáåðíåíó çàäà÷ó – çàïèñàòè ìíîãî÷ëåí ó âèãëÿäі ñóìè àáî ðіçíèöі ìíîãî÷ëåíіâ. Ó òàêîìó âèïàäêó äîöіëüíî ñêîðèñòàòèñÿ ïðàâèëàìè âçÿòòÿ âèðàçó â äóæêè, ïåðåä ÿêèìè ñòîїòü çíàê «ïëþñ» àáî «ìіíóñ», ÿêі âèâ÷àëèñÿ â ïîïåðåäíіõ êëàñàõ.

Приклад 3.

Çàïèñàòè ìíîãî÷ëåí a2 – b3 – a  b7  5 ó âèãëÿäі: 1) ñóìè äâîõ ìíîãî÷ëåíіâ, îäèí ç ÿêèõ ìіñòèòü çìіííó à, à іíøèé її íå ìіñòèòü;

Ìíîãî÷ëåí 169

2) ðіçíèöі äâîõ ìíîãî÷ëåíіâ, ïåðøèé ç ÿêèõ ìіñòèòü çìіííó b, à äðóãèé її íå ìіñòèòü.

Ðîçâ’ÿçàííÿ. 1) a2 – b3 – a  b7  5  (a2 – a)  (–b3  b7  5); 2) a2 – b3 – a  b7  5  (–b3  b7) – (–a2  a – 5).

Âіäïîâіäü: 1) (a2 – a) + (–b3 + b7 + 5); 2) (–b3 + b7) – (–a2 + a – 5).

Як знайти суму многочленів?

Ðîçâ ' ÿæiòü çàäà÷i òà âèêîíàéòå âï ð àâ è

21.1. (Óñíî.) Ïðî÷èòàéòå ìíîãî÷ëåí, ÿêèé îäåðæèìî ïіñëÿ ðîçêðèòòÿ äóæîê: 1) a + (b – 5); 2) y + (3 – m + t); 3) x – ( p – 1); 4) c – (–b2 + 1).

21.2. Çíàéäіòü ñóìó ìíîãî÷ëåíіâ:

1) 2x2  3x3 – 1 òà 5x3  3x2  7; 2) a3  3a2  1, 2a2 – 5 òà 6 – 5a2 .

21.3. Çíàéäіòü ñóìó ìíîãî÷ëåíіâ:

1) 3m3  5m2 – 7 òà 2m3  6; 2) b2  3b – 1, 2b – 3b2 òà 2b2  7.

21.4. Çíàéäіòü ðіçíèöþ ìíîãî÷ëåíіâ:

1) 4p4 3  7p2 – p òà 2p2  p; 2) m2  2m – 1 òà m3  2m – 1.

21.5. Çíàéäіòü ðіçíèöþ ìíîãî÷ëåíіâ:

1) 2a3 – 3a2  7 òà a3 – 5a2 – 8; 2) c4  c3 – 2 òà c3  2c2 – 2.

21.6. Çíàéäіòü ñóìó òà ðіçíèöþ âèðàçіâ:

1) x  y і x – y; 2) x – y і –x  y; 3) –x – y і y – x; 4) x – y і y – x.

21.7. Çíàéäіòü ñóìó òà ðіçíèöþ âèðàçіâ: 1) 2a – b і 2a + b; 2) 2a – b і –2a  b; 3) –2a – b і 2a  b; 4) 2a – b і b – 2a.

21.8. Çíàéäіòü ñóìó òà ðіçíèöþ ìíîãî÷ëåíіâ і çâåäіòü їõ äî ìíîãî÷ëåíіâ ñòàíäàðòíîãî âèãëÿäó:

1) 3x2 – 2x  1 і 3x2 – 4; 2) 2x  1 і –3x2 – 2x – 1; 3) a  5b і 3a – 5b; 4) m2 – 2mn – n2 і m2  n2 .

ÒÅÌÀ 5 170
Як знайти
правила допоможуть записати многочлен у вигляді суми або різниці многочленів?
різницю многочленів? Які

21.9. Çàïèøіòü ñóìó òà ðіçíèöþ ïåðøîãî òà äðóãîãî ìíîãî÷ëåíіâ і çâåäіòü їõ äî ìíîãî÷ëåíіâ ñòàíäàðòíîãî âèãëÿäó:

1) 5y2  2y – 10 і 3y2 – y  7; 2) 5m3 – m  3 і 4m2  m – 4;

3) 5p5 2 – 2pq – 7q2 і 3p2  2pq  5q2 .

21.10. Ñïðîñòіòü âèðàç:

1) (1  2p)  ( p2 – p); 2) (5a2  a3) – (–a  5a2); 3) (x2 – 5x)  (5x – 13); 4) (3b3 – 5b2) – (5  3b3 – 2b2).

21.11. Ïåðåòâîðіòü íà ìíîãî÷ëåí ñòàíäàðòíîãî âèãëÿäó:

1) (5ab2 – 12ab – 7a2b) – (15ab  8a2b);

2)

3) (x  y – z) – (–2x  3y – z) –(–5y  4z  x); 4) (2m – 3n) – (4m – 3mn  3n2) – (5mn – 5n2 – 3n).

21.12. Ñïðîñòіòü âèðàç:

1) (15x2 – 3xy) – (12x2 – 5xy  y2);

2) (5a2b – 12ab  14ab2) – (–5ab  14ab2 – 7a2b);

3) (m  n – 2p) – (–2m  p – 3n) – (4n  3m – 4p).

21.13. Ðîçâ’ÿæіòü ðіâíÿííÿ:

1) 5x  2x2 – (2x2 – 10)  25; 2) 5 – x3 – (2x  7 – x3)  –8.

21.14. Ðîçâ’ÿæіòü ðіâíÿííÿ:

1) 5x2  7x – (2x  5x2 – 8)  8; 2) 2 – 3x3 – (5x – 3x3)  –13.

21.15. Ïîäàéòå ìíîãî÷ëåí ó âèãëÿäі ñóìè äâîõ ìíîãî÷ëåíіâ, îäèí

ç ÿêèõ ìіñòèòü çìіííó x, à іíøèé її íå ìіñòèòü: 1) xa  b – m – xb; 2) xa2 – 17a7  5x  10b.

21.16. Çàïèøіòü ìíîãî÷ëåí 5x2 – 9x3  7x – x4 – 1 ó âèãëÿäі ñóìè

äâî÷ëåíà і òðè÷ëåíà. Çíàéäіòü äâà ðîçâ’ÿçêè çàäà÷і.

21.17. Äëÿ ÿêîãî çíà÷åííÿ x: 1) çíà÷åííÿ ðіçíèöі îäíî÷ëåíà 5x і ìíîãî÷ëåíà 3x – 5x2  12 äîðіâíþє çíà÷åííþ ìíîãî÷ëåíà 7x  5x2 – 18; 2) çíà÷åííÿ ðіçíèöі ìíîãî÷ëåíіâ 5x3  3x2 – x і 2x3 – 2x2  x äîðіâíþє çíà÷åííþ ìíîãî÷ëåíà 5x2  3x3  14?

21.18. Äëÿ ÿêîãî çíà÷åííÿ çìіííîї y: 1) ñóìà ìíîãî÷ëåíіâ 2y3 – 3y  y2 òà 5y – 2y3 – y2  7 äîðіâíþє 19; 2) ðіçíèöÿ äâî÷ëåíà 5y2 – 7y і òðè÷ëåíà 2y2 – 8y  9 äîðіâíþє äâî÷ëåíó 3y2 – 3y?

Ìíîãî÷ëåí 171

21.19. Ïîäàéòå ìíîãî÷ëåí ó âèãëÿäі ðіçíèöі äâîõ ìíîãî÷ëåíіâ, ïåðøèé ç ÿêèõ ìіñòèòü çìіííó y, à äðóãèé її íå ìіñòèòü:

1) –ya  yx  x – y – a  1; 2) –p–2  y2  2p – 7y – 1.

21.20. ßêèé ìíîãî÷ëåí ñòàíäàðòíîãî âèãëÿäó ïîòðіáíî çàïèñàòè

çàìіñòü ïðîïóñêіâ, ùîá îäåðæàòè òîòîæíіñòü:

1) –( ... )  4p – q; 2) –( ... )  4m2 – p2  5; 3) ( ... )  2m2n – 5mn2  7m2 – 3mn2; 4) 7a7 2b  9a3  ( ... )  8a2b;

5) 3  2a2 – 5a  ( ... )  9a2 – 12;

6) ( ... ) – (4x2 – 2xy)  5  5x2 – 2xy?

21.21. Çíàéäіòü ìíîãî÷ëåí ñòàíäàðòíîãî âèãëÿäó, ïіäñòàâèâøè

ÿêèé çàìіñòü Ì ìàòèìåìî òîòîæíіñòü:

1) –M–  5a – b2  7; 2) M  (3a2 – 2ab)  5a2  3ab – b2;

3) M – (3mn – 4n2)  m2 – 4mn  n2;

4) (7a7 2 – b2 – 9ba) – M  0.

21.22. Âåëîñèïåäèñò áóâ ó äîðîçі 4 ãîä. Çà ïåðøó

ãîäèíó âіí ïðîїõàâ x êì, à çà êîæíó íàñòóïíó – íà 3 êì áіëüøå, íіæ çà ïîïåðåäíþ. ßêó âіäñòàíü ïðîїõàâ âåëîñèïåäèñò: 1) çà äðóãó ãîäèíó; 2) çà òðåòþ ãîäèíó; 3) çà ïåðøі òðè ãîäèíè; 4) çà âåñü ÷àñ ðóõó?

21.23. Áðèãàäà ðîáіòíèêіâ і ðîáіòíèöü âèêîïàëà êðèíèöþ çà 5 äíіâ. Çà ïåðøèé äåíü âîíè âèêîïàëè a ìåòðіâ, à çà êîæíèé íàñòóïíèé – íà 2 ìåòðè ìåíøå, íіæ çà ïîïåðåäíіé. Ñêіëüêè ìåòðіâ êðèíèöі âèêîïàëà áðèãàäà: 1) çà äðóãèé äåíü; 2) çà òðåòіé äåíü; 3) çà ïåðøèõ äâà äíі; 4) çà îñòàííіõ òðè äíі?

21.24. Äîâåäіòü òîòîæíіñòü: 1) (x – y)  (y – p) – (x – p)  0; 2) (a2  b2 – c2) – (b2 – a2 – c2) – (a2 – b2)  a2  b2 .

21.25. Äîâåäіòü òîòîæíіñòü: (a3  a2 – a)  (2a2 – 5a  3a3) – (4a3 – 6a  2a2)  a2 .

21.26. Äîâåäіòü, ùî äëÿ áóäü-ÿêèõ íàòóðàëüíèõ çíà÷åíü n çíà÷åííÿ âèðàçó (15 – 7n7 ) – (7 – 11n) є êðàòíèì ÷èñëó 4.

21.27. Äîâåäіòü, ùî äëÿ áóäü-ÿêèõ íàòóðàëüíèõ çíà÷åíü m çíà÷åííÿ âèðàçó (m2 – 4m + 1) – (m2 – 9m – 14) äіëèòüñÿ íà 5.

ÒÅÌÀ 5 172

21.28. Äîâåäіòü, ùî çíà÷åííÿ âèðàçó

íå çàëåæèòü âіä çíà÷åííÿ çìіííèõ.

21.29. Äîâåäіòü, ùî çíà÷åííÿ âèðàçó (7x7 5 – 4x4  x3 –8) – (3x5 – 4x4  4x3) – (4x5 – 3x3  7)

íå çàëåæèòü âіä çíà÷åííÿ çìіííîї.

21.30. Çíàéäіòü çíà÷åííÿ âèðàçó: 1) (b2  3b – 8) – (7b2 – 5b  7)  (5b2 – 8b  10), ÿêùî b  –2; 2) 17x7 2 – (3x2 – 2xy  3y2) – (14x2  3xy – 4y2), ÿêùî x  –0,1, y  10.

21.31. Çíàéäіòü çíà÷åííÿ âèðàçó: 1) (m2 – 2m – 8) – (0,1m2 – 5m  9)  (4m – 0,9m2  5), ÿêùî

2) 7a7 2 – (3ab – 2a2)  (4ab – 9a2), ÿêùî b  –32.

21.32. Ïîäàéòå ìíîãî÷ëåí 3m2n – 5mn + 4n2 – 9n – 7 ó âèãëÿäі ðіçíèöі äâîõ ìíîãî÷ëåíіâ òàê, ùîá óñі ÷ëåíè îáîõ ìíîãî÷ëåíіâ ìàëè äîäàòíі êîåôіöієíòè.

21.33. Íåõàé a  7m2 + 5mn – n2 , b  –6m2 + 2mn + 3n2 , c  m2 – 2n2. Ïіäñòàâòå öі ìíîãî÷ëåíè çàìіñòü a, b, c ó âèðàç і ñïðîñòіòü éîãî: 1) a  b  c; 2) a – b – c.

21.34. Äîâåäіòü, ùî äëÿ áóäü-ÿêîãî çíà÷åííÿ x ðіçíèöÿ ìíîãî÷ëåíіâ 0,5x4 + x3 – 0,2x2 – 5 і 0,3x4 + x3 – 0,7x7 2 – 9 íàáóâàє äîäàòíîãî çíà÷åííÿ. ßêîãî íàéìåíøîãî çíà÷åííÿ íàáóâàє öÿ ðіçíèöÿ і äëÿ ÿêîãî çíà÷åííÿ x?

21.35. Äîâåäіòü, ùî ñóìà: 1) òðüîõ ïîñëіäîâíèõ íàòóðàëüíèõ ÷èñåë äіëèòüñÿ íà 3; 2) ÷îòèðüîõ ïîñëіäîâíèõ íàòóðàëüíèõ ÷èñåë ïðè äіëåííі íà 4 äàє â îñòà÷і 2.

21.36. Çàïèñ îçíà÷àє íàòóðà ëüíå ÷èñëî, ó ÿêîìó x äåñÿòêіâ і y îäèíèöü. Äîâåäіòü, ùî: 1) ñóìà ÷èñåë і êðàòíà ÷èñëó 11; 2) ðіçíèöÿ ÷èñåë і , äå x > y, êðàòíà ÷èñëó 9.

Ìíîãî÷ëåí 173

21.37. Çàïèñ îçíà÷àє íàòóðà ëüíå ÷èñëî, ó ÿêîìó x ñîòåíü, y äåñÿòêіâ і z îäèíèöü. Ïîäàéòå ó âèãëÿäі ìíîãî÷ëåíà: 1) ; 2) ; 3) ; 4) .

 ï ð à â è äëÿ ïî â òî ð åííÿ ðð

21.38. Îá÷èñëіòü çíà÷åííÿ âèðàçó (0,018  0,982) : (4 · 0,5 – 0,2).

21.39. Ñïðîñòіòü âèðàç і çíàéäіòü éîãî çíà÷åííÿ: 1) –8x · 1,5y, ÿêùî 2) –2a · (–3,5b) · 5c, ÿêùî a  –1,

21.40. Ïîäàéòå âèðàç 260 ó âèãëÿäі ñòåïåíÿ ç îñíîâîþ: 1) 4; 2) 8; 3) 16; 4) 32.

Æè òò є â à ìàòåìàò è êà

21.41. 1) Äëÿ 13-ðі÷íîãî ïіäëіòêà ìіíіìàëüíà ïîòðåáà â ìîëî÷íèõ ïðîäóêòàõ (ìîëîêî, êåôіð, ðÿæàíêà) ñòàíîâèòü 15 % âіä íîðìè ðіäèíè íà äåíü. Ñêіëüêè ðіäêèõ ìîëî÷íèõ ïðîäóêòіâ ìàє âæèâàòè ïіäëіòîê çãàäàíîãî âіêó ùîäåííî, ÿêùî ïîòðåáà éîãî îðãàíіçìó â ðіäèíі ñòàíîâèòü 2 ëіòðè íà äåíü? 2) Ïðàêòè÷íà äі ÿëüíіñòü. Ïðîàíàëіçóéòå ñâіé ðàöіîí õàð÷óâàííÿ. ×è âèêîíóєòå âè çàçíà÷åíі ðåêîìåíäàöії?

Ïiäãîòóéòåñÿ äî â è â ÷åííÿ íî â îãî ìàòåðiàëó

21.42. Ðîçêðèéòå äóæêè: 1) –0,6d(–5b + 4p – 0,3x); 2) 10(0,9x – 2,3y + 0,1z); 3) (–0,3à + 5b – 2c) ∙ (–20); 4) ∙ 12.

êà

21.43. Çíàéäіòü öèôðè a і b, ÿêùî ÷èñëî 9a6 b2 êðàòíå ÷èñëó 36. Óêàæіòü óñі ìîæëèâі ðîçâ’ÿçêè.

ÒÅÌÀ 5 174
ðó
äðóä
Ö і
â і çà ä à÷ і – ïîì і ð ê ó é î ä íà÷å

Правило множення одночлена на многочлен

Ïîìíîæèìî îäíî÷ëåí 5x íà ìíîãî÷ëåí 3x – 7, âèêîðèñòîâóþ÷è ðîçïîäіëüíó âëàñòèâіñòü ìíîæåííÿ: 5x(3x – 7)  5x · 3x – 5x · 7  15x2 – 35x.

Îòæå, äîáóòêîì îäíî÷ëåíà 5x і ìíîãî÷ëåíà 3x – 7 є ìíîãî÷ëåí 15x2 – 35x, ÿêèé îäåðæàëè, ïîìíîæèâøè îäíî÷ëåí íà êîæíèé ÷ëåí ìíîãî÷ëåíà і äîäàâøè çíàéäåíі ðåçóëüòàòè. Ìàєìî ïðàâèëî ìíîæåííÿ îäíî÷ëåíà íà ìíîãî÷ëåí:

Äîáóòîê áóäü-ÿêîãî îäíî÷ëåíà íà áóäü-ÿêèé ìíîãî÷ëåí çàâæäè ìîæíà ïîäàòè ó âèãëÿäі ìíîãî÷ëåíà.

Застосування правила множення одночлена на многочлен до розв’язування вправ

Ðîçãëÿíåìî çàñòîñóâàííÿ ïðàâèëà ìíîæåííÿ îäíî÷ëåíà íà ìíîãî÷ëåí ïіä ÷àñ ðîçâ’ÿçóâàííÿ âïðàâ.

Âèêîíàòè ìíîæåííÿ –3ab(5a2 – 2ab  b2).

Ðîçâ’ÿçàííÿ. –3ab(5a2 – 2ab  b2)   –3ab · 5a2 – 3ab · (–2ab) – 3ab · b2  –15a3b  6a2b2 – 3ab3 .

Çàïèñàòè öå ìíîæåííÿ ìîæíà êîðîòøå, ïðîïóñòèâøè ïðîìіæíі ðåçóëüòàòè: –3ab(5a2 – 2ab  b2)  –15a3b  6a2b2 – 3ab3 .

Âіäïîâіäü: –15a3b + 6a2b2 – 3ab3 . Ñïðîñòèòè âèðàç 5m(m2 – 2) – 2(m3 – 5m).

2. Приклад 3.

Ðîçâ’ÿçàííÿ.

5m(m2 – 2) –2(m3 – 5m)   3m3 . Âіäïîâіäü: 3m3 . Ñïðîñòèòè âèðàç 4ab(2a2b – a) – 8a(a2b2 – ab) òà çíàéòè éîãî çíà÷åííÿ, ÿêùî , . Приклад 1.

Ìíîãî÷ëåí 175
многочлен
§ 22. Множення одночлена на
Приклад

Ðîçâ’ÿçàííÿ. Ñïî÷àòêó ñïðîñòèìî çàäàíèé âèðàç.

4ab(2a2b – a) – 8a(a2b2 – ab)  8a3b2 – 4a2b – 8a3b2 + 8a2b  4a2b.

ßêùî , , òî .

Âіäïîâіäü: 4a2b; –0,25.

Приклад 4.

Ðîçâ’ÿçàòè ðіâíÿííÿ

Ðîçâ’ÿçàííÿ. Ïîìíîæèìî îáèäâі ÷àñòèíè ðіâíÿííÿ íà íàéìåí-

øèé ñïіëüíèé çíàìåííèê äðîáіâ, òîáòî íà 12: .

Ìàєìî: 4(2x – 1) – 3(3x  2)  x – 14; 8x – 4 – 9x – 6  x – 14; 8x – 9x – x  –14  4  6; –2x  –4; x  2.

Âіäïîâіäü: 2.

Сформулюйте правило множення одночлена на многочлен.

Ðîçâ ' ÿæiòü çàäà÷i òà âèêîíàéòå âï ð àâ è

22.1. (Óñíî.) Âèêîíàéòå ìíîæåííÿ: 1) x(a – 3); 2) –p– (x + y); 3) m(a – b + 2); 4) –y(x – 3 + p).

22.2. Âèêîíàéòå ìíîæåííÿ: 1) a(b – 2); 2) m(a  c); 3) p(a – b – 3); 4) –b(a – c  3).

22.3. Âèêîíàéòå ìíîæåííÿ îäíî÷ëåíà íà ìíîãî÷ëåí: 1) 7a7 2(3 – a); 2) –5x2(x3  4x); 3) –3c3(c – 2c2); 4) 2a4(a5 – a3 – 1); 5) (3x2 – 5x –3) · 2x; 6) (c3  c – 4) · (–3c).

ÒÅÌÀ 5 176

22.4. Ïåðåòâîðіòü äîáóòîê íà ìíîãî÷ëåí:

1) 4xy(x2 – 2xy – y2); 2) –a2b(ab2 – b2  a2); 3) (2mn – 3m2 – 5n2) · (–4m2); 4) (–2x2y  3xy – x2) · xy2; 5) (2,8a2b – 3,7a7 3b – 0,8b) · 10ab2; 6) –1,8a2b6(5a2b – 1,5a – 2b3).

22.5. Ïîäàéòå äîáóòîê ó âèãëÿäі ìíîãî÷ëåíà:

1) 4a(a2 – 2a  3); 2) –3b2(4b3 – 2b2  3b – 8); 3) (3x2 – 4x  12) · (–0,1x3); 4) ( p2 – 9p3  7p – 1) · 3p3 4; 5) 7ab7 (2a2b – 3ab2 – 3a3); 6) –6m2n(m2n – 3mn2 – 4n3);

7) (9a2b – 8ab3 – a2b2) · (–3a2b3);

8) ( p2 q3 – 2pq4  3p3) · 5p5 3 q2 .

22.6. Âèêîíàéòå ìíîæåííÿ: 1) 2) 3) 4)

22.7. Âèêîíàéòå ìíîæåííÿ: 1) 2) 3) 4)

22.8. Ïîäàéòå ó âèãëÿäі ìíîãî÷ëåíà:

1) 5(x – 3) – 2(x – 3); 2) 5(7a7 – 1) – 7(5a  3); 3) 2b(b – 3) – 5b(b  7); 4) 7y7 2(3y – 2)  4y2(y  5).

22.9. Ñïðîñòіòü âèðàç:

1) 5(3 – 2a)  7(3a – 1); 2) 3(2x – 8) – 3(2x – 5); 3) 3m(m – 2) – 5m(7 – m); 4) 2a2(3a – 5)  4a2(a  3).

22.10. Ïåðåòâîðіòü âèðàç íà ìíîãî÷ëåí:

1) 5m(m – n)  3n(n – m); 2) 2a(2b – 3a) – 3a(5b –7a7 );

3) a(3a2 – 2b) – b(5a2 – 2a); 4) 0,2mn(m2 – n2  3) – 0,5m(nm2 – n3).

22.11. Âèêîíàéòå äії:

1) 3a(a – b)  5b(a  b); 2) 3y(x – y)  y(2y – 3x); 3) p( p2 – 2a) – a(a2 – 2p); 4) 3xy(x2 – y2  7) – 5xy(y2  x2).

22.12. Ðîçâ’ÿæіòü ðіâíÿííÿ:

1) 6  2(5x  4)  24; 2) 3(5x – 1)  4(4x – 8); 3) 7 – 4(y – 1)  (3y – 2) · (–2); 4) 3(y – 2) – 5(y  7)  –7(y – 1).

Ìíîãî÷ëåí 177

22.13. Ðîçâ’ÿæіòü ðіâíÿííÿ:

1) 5(2x – 1)  3(4x  5); 2) 9 – 5(y  2)  (7y7 – 5) · (–3).

22.14. Çíàéäіòü êîðіíü ðіâíÿííÿ: 1) x(x – 3) – 9  12  x2; 2) 3x – 2x2  2x(5 – x)  14.

22.15. Çíàéäіòü êîðіíü ðіâíÿííÿ:

1) 7 – x(x – 2)  5 – x2; 2) 3x(x – 5)  3x2 – 5x  20.

22.16. Çàïèøіòü çàìіñòü «çіðî÷êè» òàêèé îäíî÷ëåí, ùîá ñïðàâäæóâàëàñÿ ðіâíіñòü:

1) (a  b) · *  am  bm;

2) * · (x – y)  –nx  ny;

3) * · (a – b  c)  ax2 – bx2  cx2; 4) * · (c – n  p)  –abc  abn – abp; 5) * · (x2 – xy)  x2y2 – xy3;

6) ( p – 1) · *  p2 q2 – pq2 .

22.17. Äîâåäіòü, ùî äëÿ áóäü-ÿêîãî çíà÷åííÿ a âèðàç a(3a  1) – a2(a  2)  (a3 – a2) – (a  1) íàáóâàє îäíîãî é òîãî ñàìîãî çíà÷åííÿ.

22.18. Äîâåäіòü, ùî çíà÷åííÿ âèðàçó x(5x2 – x  2) – (5x – 2  4x3) – x(x2 – x – 3) íå çàëåæèòü âіä çíà÷åííÿ çìіííîї.

22.19. Äîâåäіòü, ùî âèðàç òîòîæíî äîðіâíþє íóëþ:

1) a(b – c)  b(c – a)  c(a – b); 2) a(b  c – bc) – b(c  a – ac)  c(b – a).

22.20. Ïåðåòâîðіòü âèðàç íà ìíîãî÷ëåí ñòàíäàðòíîãî âèãëÿäó:

1) –7a7 5 b(2b4  ab5 – 3a2b6  a3b7); 2) (3x3  5x2 – 2a – 3a2)xay; 3) –4pm4 3(m4 – 2p3m  7p6m7  11p1 7m3); 4)

21. Äîâåäіòü, ùî äëÿ áóäü-ÿêîãî çíà÷åííÿ çìіííîї a âèðàç 2a2(a – 5) – a(–6a + 2a2 + 3a3) – 4 íàáóâàє âіä’єìíèõ çíà÷åíü.

22.22. Äîâåäіòü, ùî äëÿ áóäü-ÿêîãî çíà÷åííÿ çìіííîї m âèðàç 5(m2 – 3m + 1) – 3m(m – 5) íàáóâàє ëèøå äîäàòíèõ çíà÷åíü.

22.23. Ïåðåòâîðіòü íà ìíîãî÷ëåí ñòàíäàðòíîãî âèãëÿäó: 1) 3a(5a2 – 3ab  ab3 – b2) · b; 2) –xy · (x2y – 2x2y2  3xy3  x3) · x2 .

ÒÅÌÀ 5 178

22.24. Ñïðîñòіòü âèðàç і çíàéäіòü éîãî çíà÷åííÿ. Çíàéäіòü ñóìó âñіõ îòðèìàíèõ çíà÷åíü і äіçíàéòåñÿ, ñêіëüêè ðàçіâ ïðåäñòàâíèêè Óêðà їíè âèãðàâàëè â ïіñåííîìó êîíêóðñі «Єâðîáà÷åííÿ».

1) 4a – 2(5a – 1)  (8a – 2), ÿêùî a  –3,5;

2) 10(2 – 3x)  12x – 9(x  1), ÿêùî

3) a(3a – 4b) – b(3b – 4a), ÿêùî a  –5, b  5; 4) 3xy(5x2 – y2) – 5xy(3x2 – y2), ÿêùî y  –2.

22.25. Ñïðîñòіòü âèðàç і çíàéäіòü éîãî çíà÷åííÿ:

1) 7a7 (2a – 0,1) – 0,1a(10a – 7), ÿêùî

2) 4x(2x – 5y) – 2y(4y – 10x), ÿêùî x  –15, y  15.

22.26. Ðîçâ’ÿæіòü ðіâíÿííÿ: 1) 2) 3) 6)

22.27. Ðîçâ’ÿæіòü ðіâíÿííÿ: 1) 3) 4) 5) 6)

22.28. Äëÿ ÿêîãî çíà÷åííÿ çìіííîї: 1) çíà÷åííÿ âèðàçó 2(3y  1) ó 4 ðàçè áіëüøå çà çíà÷åííÿ âèðàçó 3y – 2; 2) äîáóòîê âèðàçіâ 3x і 2x  1 äîðіâíþє ñóìі âèðàçіâ x(4x – 1) і 2(x2 – 3)?

22.29. Äëÿ âèãîòîâëåííÿ îäíîãî òіñòå÷êà ïîòðіáíî íà 4 ã öóêðó áіëüøå, íіæ äëÿ âèãîòîâëåííÿ îäíîãî ïèðіæêà àáî îäíîãî ïîí÷èêà. Çà äåíü ó êîíäèòåðñüêîìó öåõó áóëî âèãîòîâëåíî 80 òіñòå÷îê, 50 ïîí÷èêіâ і 50 ïèðіæêіâ. Ïðè öüîìó íà âñі

Ìíîãî÷ëåí 179

òіñòå÷êà ïіøëî íà 80 ã öóêðó áіëüøå, íіæ íà âñі ïîí÷èêè і ïèðіæêè ðàçîì. Ñêіëüêè ãðàìіâ öóêðó éäå íà âèãîòîâ-

ëåííÿ îäíîãî òіñòå÷êà?

22.30. Çà 8 îëіâöіâ, 4 ðó÷êè і áëîêíîò çàïëàòèëè 265 ãðí. Îëіâåöü íà 17 ãðí 50 êîï. äåøåâøèé çà ðó÷êó і íà 32 ãðí 50 êîï. äåøåâøèé çà áëîêíîò. Ñêіëüêè êîøòóþòü îêðåìî îëіâåöü, ðó÷êà і áëîêíîò?

22.31. Îäíà êîòóøêà áàâîâíÿíèõ íèòîê êîøòóє 5 ãðí 40 êîï., à ëüíÿíèõ –6 ãðí 50 êîï. Áàáóñÿ äëÿ ïëåòіííÿ ñåðâåòîê ïðèäáàëà áàâîâíÿíèõ íèòîê íà 6 êîòóøîê áіëüøå, íіæ ëüíÿíèõ, âèòðàòèâøè íà âñþ ïîêóïêó 175 ãðí 20 êîï. Ñêіëüêè êîòóøîê áàâîâíÿíèõ і ñêіëüêè êîòóøîê ëüíÿíèõ íèòîê ïðèäáàëà áàáóñÿ?

22.32. ×îâåí ïëèâ 3,5 ãîä çà òå÷ієþ ðі÷êè і 2,5 ãîä ïðîòè òå÷ії. Âіäñòàíü, ÿêó âіí ïðîïëèâ çà òå÷ієþ ðі÷êè, íà 30 êì áіëüøà çà âіäñòàíü, ÿêó âіí ïðîïëèâ ïðîòè òå÷ії. Çíàéäіòü âëàñíó øâèäêіñòü ÷îâíà, ÿêùî øâèäêіñòü òå÷ії 2 êì/ãîä.

22.33. ßêèìè îäíî÷ëåíàìè ïîòðіáíî çàìіíèòè «çіðî÷êè», ùîá îäåðæàòè òîòîæíіñòü:

1) 5ax2 · (*  *)  5ax3  35ax2; 2) (9a2  *) · 3a  *  18a5; 3) (* – 4mc2) · *  3m3c2 – 12m2c4; 4) (* – *) · x2y3  5x2y3 – 7x2y4?

22.34. ßêі îäíî÷ëåíè ïîòðіáíî âïèñàòè ó êëіòèíêè, ùîá îäåðæàòè òîòîæíіñòü:

1) 3a2(} – })  9a5 – 12a2; 2) (}  }) · 5ab2  5ab2  10a2b3; 3) (} – 2m2 a) · 7m  14m2 – }; 4) (7x7 2 a – 9xa2) · }  14x3 a5 – }?

22.35. Ñïðîñòіòü âèðàç (n – íàòóðàëüíå ÷èñëî):

1) xn3(xn4 – x) – x2n7; 2) yn(yn2 – yn – y2) – y2(y2n – yn); 3) zn(z2 – 1) – z2(zn  2) – 2(zn – z2).

 ï ð à â è äëÿ ïî â òî ð åííÿ ðð

22.36. Ó ÿêèõ êîîðäèíàòíèõ ÷âåðòÿõ ëåæàòü òî÷êè A(4; –8), B(–5; –7), C(1; 17), D(–9; 8)?

ÒÅÌÀ 5 180

22.37. Ñïðîñòіòü: 1) 2) (0,1mn7)2 · (–10m2n3)3.

22.38. Âèêîðèñòîâóþ÷è âëàñòèâîñòі ñòåïåíіâ, çíàéäіòü çíà÷åííÿ âèðàçó: 1) 2)

Æè òò є â à ìàòåìàò è ê à

22.39. Ó áàãàòüîõ êðà їíàõ ñâіòó, çîêðåìà і â Óêðà їíі, òåìïåðàòóðó âèìіðþþòü çà øêàëîþ Öåëüñіÿ. À â äåÿêèõ êðà їíàõ, íàïðèêëàä ó ÑØÀ, îñíîâíîþ øêàëîþ äëÿ âèìіðþâàííÿ òåìïåðàòóðè є øêàëà Ôàðåíãåéòà. Ùîá çíà÷åííÿ òåìïåðàòóðè çà Ôàðåíãåéòîì tF t ïåðåòâîðèòè ó ãðàäóñè Öåëüñіÿ tC, êîðèñòóþòüñÿ ôîðìóëîþ tC  1,8tF + 32.

1) Çàïèøіòü ôîðìóëó, çà ÿêîþ çíà÷åííÿ òåìïåðàòóðè ó ãðàäóñàõ Öåëüñіÿ tC ìîæíà ïåðåòâîðèòè ó çíà÷åííÿ òåìïåðàòóðè çà øêàëîþ Ôàðåíãåéòà tF.

2) Óÿâіòü, ùî âàø òåðìîìåòð âèìіðþє òåìïåðàòóðó òіëà çà Ôàðåíãåéòîì. Çàïîâíіòü òàáëèöþ, ïåðåòâîðèâøè çíà÷åííÿ òåìïåðàòóðè çà Ôàðåíãåéòîì ó çíà÷åííÿ òåìïåðàòóðè çà Öåëüñієì.

22.40. Âèíåñіòü çà äóæêè ñïіëüíèé ìíîæíèê: 1) 7à7 – 7b; 2) –2y – 2x; 3) 9n + 9m; 4) bx + by; 5) 3m – mx; 6) 7t + 7; 7) 5ap + 5pb; 8) 4ax – 4bx.

і êà â і çà ä à÷ і – ïîì і ð ê ó é î ä íà÷å äðóä 22.41. Âіäîìî, ùî äëÿ äåÿêèõ íàòóðàëüíèõ çíà÷åíü a і b çíà÷åííÿ âèðàçó 6a  b êðàòíå ÷èñëó 7. Äîâåäіòü, ùî äëÿ òèõ ñàìèõ çíà÷åíü a і b çíà÷åííÿ âèðàçó 6b  a òàêîæ êðàòíå ÷èñëó 7.

Ìíîãî÷ëåí 181
tF 95 95,9 96,8 97,7 98,6 99,5 100,4 101,3 102,2
iä ãîòóéòåñÿ
tC
äî â è â ÷åííÿ íî â îãî ìàòåðiàëó
ðó Ö

Ó 6 êëàñі ìè ðîçêëàäàëè ñêëàäåíі ÷èñëà íà ïðîñòі ìíîæíèêè, òîáòî ïîäàâàëè íàòóðàëüíі ÷èñëà ó âèãëÿäі äîáóòêó.

Íàïðèêëàä, 12  22 · 3; 105  3 · 5 · 7 òîùî.

Ïîäàòè ó âèãëÿäі äîáóòêó ìîæíà і äåÿêі ìíîãî÷ëåíè. Öå îçíà-

÷àє, ùî öі ìíîãî÷ëåíè ìîæíà ðîçêëàäàòè íà ìíîæíèêè.

Íàïðèêëàä, 5õ – 5ó  5(õ – ó); à3 + 3à2  à2(à + 3) òîùî.

Винесення спільного множника за дужки

Ðîçãëÿíåìî îäèí іç ñïîñîáіâ ðîçêëàäàííÿ ìíîãî÷ëåíà íà ìíîæ-

íèêè – âèíåñåííÿ ñïіëüíîãî ìíîæíèêà çà äóæêè. Îäíèì ç âіäîìèõ íàì ïðèêëàäіâ òàêîãî ðîçêëàäàííÿ є ðîçïîäіëüíà âëàñòèâіñòü ìíîæåííÿ a(b + c)  ab + ac, ÿêùî її çàïèñàòè ó çâîðîòíîìó ïîðÿäêó: ab + ac  a(b + c). Öåé çàïèñ îçíà÷àє, ùî ìíîãî÷ëåí ab + ac ðîçêëà ëè íà äâà ìíîæíèêè a òà b + c. Ïіä ÷àñ ðîçêëàäàííÿ íà ìíîæíèêè ìíîãî÷ëåíà іç öіëèìè êîåôіöієíòàìè ìíîæíèê, ÿêèé âèíîñÿòü çà äóæêè, îáèðàþòü òàê, ùîá ÷ëåíè ìíîãî÷ëåíà, ÿêèé çàëèøèòüñÿ â äóæêàõ, íå ìàëè ñïіëüíîãî áóêâåíîãî ìíîæíèêà, à ìîäóëі їõíіõ êîåôіöієíòіâ íå ìàëè ñïіëüíèõ äіëüíèêіâ.

Ðîçãëÿíåìî êіëüêà ïðèêëàäіâ.

Приклад 1.

Ðîçêëàñòè âèðàç íà ìíîæíèêè:

1) 8m + 4; 2) àt + 7ap; 3) 15a3b – 10a2b2 . Ðîçâ’ÿçàííÿ. 1) Ñïіëüíèì ìíîæíèêîì є ÷èñëî 4, òîìó 8m + 4  4 · 2m + 4 · 1  4(2m + 1).

2) Ñïіëüíèì ìíîæíèêîì є çìіííà a, òîìó àt + 7àp  à(t + 7p). 3) Ó öüîìó âèïàäêó ñïіëüíèì ÷èñëîâèì ìíîæíèêîì є íàéáіëüøèé ñïіëüíèé äіëüíèê ÷èñåë 10 і 15 – ÷èñëî 5, à ñïіëüíèì áóêâåíèì ìíîæíèêîì є îäíî÷ëåí a2b. Îòæå, 15a3b – 10a2b2  5a2b · 3a – 5a2b · 2b  5a2b(3a – 2b).

Âіäïîâіäü: 1) 4(2m + 1); 2) a(t + 7p); 3) 5a2b(3a – 2b).

ÒÅÌÀ 5 182
многочлена на множники способом винесення спільного множника за дужки Розкладання многочлена на множники
§ 23. Розкладання

Приклад 2.

Ðîçêëàñòè íà ìíîæíèêè:

1) 2m(b – c) + 3p(b – c); 2) x(y – t) + c(t – y).

Ðîçâ’ÿçàííÿ.

1) Ó öüîìó âèïàäêó ñïіëüíèì ìíîæíèêîì є äâî÷ëåí b – c. Îòæå, 2ò(b – c) + 3p(b – c)  (b – c)(2m + 3p).

2) Äîäàíêè ìàþòü ìíîæíèêè y – t i t – y, ÿêі є ïðîòèëåæíèìè

âèðàçàìè. Òîìó â äðóãîìó äîäàíêó âèíåñåìî çà äóæêè ìíîæíèê –1, îäåðæèìî: c(t – y)  –c(y – t). Îòæå, x(y – t) + c(t – y)  x(y – t) – c(y – t)  (y – t)(x – c).

Âіäïîâіäü: 1) (b – c)(2m + 3p); 2) (y – t)(x – c).

Äëÿ ïåðåâіðêè ïðàâèëüíîñòі ðîçêëàäàííÿ íà ìíîæíèêè ñëіä ïåðåìíîæèòè îòðèìàíі ìíîæíèêè. Ðåçóëüòàò ìàє äîðіâíþâàòè äàíîìó ìíîãî÷ëåíó.

Розв’язування рівнянь за допомогою розкладання многочлена на множники

Ðîçêëàäàííÿ ìíîãî÷ëåíіâ íà ìíîæíèêè ÷àñòî ñïðîùóє ïðîöåñ ðîçâ’ÿçóâàííÿ ðіâíÿííÿ.

Приклад 3.

Çíàéòè êîðåíі ðіâíÿííÿ 5x2 – 7x  0.

Ðîçâ’ÿçàííÿ. Ðîçêëàäåìî ëіâó ÷àñòèíó ðіâíÿííÿ íà ìíîæíèêè

âèíåñåííÿì ñïіëüíîãî ìíîæíèêà çà äóæêè: x(5x – 7)  0. Âðàõîâóþ÷è, ùî äîáóòîê äîðіâíþє íóëþ òîäі і òіëüêè òîäі, êîëè

õî÷à á îäèí іç ìíîæíèêіâ äîðіâíþє íóëþ, ìàòèìåìî: x  0 àáî 5x – 7  0, îòæå, x  0 àáî x  1,4.

Âіäïîâіäü: 0; 1,4.

Çàóâàæèìî, ùî òàêèé ñïîñіá ðîçâ’ÿçóâàííÿ ðіâíÿííÿ ìîæíà çàñòîñîâóâàòè, ëèøå êîëè ïðàâà ÷àñòèíà ðіâíÿííÿ äîðіâíþє 0. Ðіâíÿííÿ 5x2 – 7x = 12, 5x2 – 7x = 40 òîùî òàêèì ñïîñîáîì ðîçâ’ÿçóâàòè íå ìîæíà.

Яке перетворення називають розкладанням многочлена на множники? На прикладі многочлена ab + ac поясніть, як виконують розкладання на множники за допомогою винесення спільного множника за дужки.

Ðîçâ ' ÿæiòü çàäà÷i òà âèêîíàéòå âï ð àâ è

23.1. (Óñíî.) Çíàéäіòü ñïіëüíèé ìíîæíèê ó âèðàçі: 1) 5x + 5y; 2) 7a7 – 7; 3) ab + at; 4) ma – pm. 23.2. (Óñíî.) Ðîçêëàäіòü íà ìíîæíèêè: 1) am + an; 2) 12x – 12y; 3) tm – tc; 4) 2c + 2m.

Ìíîãî÷ëåí 183

23.3. Âèíåñіòü çà äóæêè ñïіëüíèé ìíîæíèê:

1) 5a + 5c; 2) 7x7 – 7u; 3) ap – ab; 4) mx + yx.

23.4. Âèíåñіòü çà äóæêè ñïіëüíèé ìíîæíèê:

1) 2u – 2p; 2) 7x7 + 7y; 3) at + bt; 4) ma – mc.

23.5. (Óñíî.) ×è ïðàâèëüíî âèêîíàíî ðîçêëàäàííÿ íà ìíîæ-

íèêè:

1) 7a7  7  7a; 2) 5m – 5  5(m – 5); 3) 2a – 2  2(a – 1); 4) 7xy7 – 14x  7x(y – 2); 5) 5mn  5n  5m(n  3); 6) 7ab7  8cb  15b(a  c)?

23.6. Çàïèøіòü ñóìó ó âèãëÿäі äîáóòêó:

1) 3a  12b; 2) –6a – 9x; 3) 17a7  17; 4) –ab – a; 5) 14a – 21x; 6) 8b – 8.

23.7. Ðîçêëàäіòü íà ìíîæíèêè:

1) 4m – 16a; 2) –12m  18a; 3) 14m – 14; 4) –xb – b; 5) 8p8  8; 6) 20b – 30c.

23.8. Ðîçêëàäіòü íà ìíîæíèêè:

1) 5ab  5xb; 2) 2xy – 8y; 3) –5ab  5a; 4) 7a7  21ay; 5) 9x2 – 27x7 ; 6) 3a – 9a2; 7) m2 – ma; 8) 12ax – 4a2; 9) –18xy  24y2; 10) a2b – ab2; 11) pm – p2m; 12) –x2y2 – xy.

23.9. Âèíåñіòü çà äóæêè ñïіëüíèé ìíîæíèê:

1) 7ax7 – 7bx; 2) 3ab  9a; 3) 6xm – 8xn; 4) 15xy  5x; 5) 9m2 – 18m; 6) 15m – 30m2; 7) 9xy  6x2; 8) a2b – ab; 9) –p–2 q – pq2 .

23.10. Ðîçêëàäіòü íà ìíîæíèêè:

1) x3 – x2; 2) a4  a2; 3) m3 – m5; 4) a3  a7; 5) 3b2 – 9b3; 6) 7a7 3  6a; 7) 4y2  12y4; 8) 5m5  15m2; 9) –16a4 – 20a.

23.11. Ðîçêëàäіòü íà ìíîæíèêè: 1) m4 – m2; 2) a4  a5; 3) 6a – 12a3; 4) 18p8 3 – 12p2 2; 5) 14b3  7b4; 6) –25m3 – 20m.

23.12. Çàïèøіòü ñóìó 6x2y + 15x ó âèãëÿäі äîáóòêó і çíàéäіòü éîãî çíà÷åííÿ, ÿêùî x  –0,5, y  5.

23.13. Çàïèøіòü âèðàç 12a2b – 8a ó âèãëÿäі äîáóòêó і çíàéäіòü éîãî çíà÷åííÿ, ÿêùî a  2,

23.14. Âèíåñіòü çà äóæêè ñïіëüíèé ìíîæíèê:

1) a4  a3 – a2; 2) m9 – m2  m7; 3) b6  b5 – b9; 4) –y7 – y12 – y3 .

ÒÅÌÀ 5 184

23.15. Ïîäàéòå ó âèãëÿäі äîáóòêó:

1) p7  p3 – p4; 2) a10 – a5  a8; 3) b7 – b5 – b2; 4) –m8 – m2 – m4 .

23.16. Îá÷èñëіòü çðó÷íèì ñïîñîáîì:

1) 132 · 27  132 · 73; 2) 119 · 37 – 19 · 37.

23.17. Ðîçâ’ÿæіòü ðіâíÿííÿ:

1) x2 – 2x  0; 2) x2  4x  0.

23.18. Çíàéäіòü êîðåíі ðіâíÿííÿ: 1) x2  3x  0; 2) x2 – 7x  0.

23.19. Ðîçêëàäіòü ìíîãî÷ëåí íà ìíîæíèêè:

1) 4a3  2a2 – 8a; 2) 9b3 – 3b2 – 27b5; 3) 16m2 – 24m6 – 32m3; 4) –5b3 – 20b2 – 25b5 .

23.20. Âèíåñіòü çà äóæêè ñïіëüíèé ìíîæíèê:

1) 5c8 – 5c7  10c4; 2) 9m4  27m7 3 – 81m; 3) 8p8 7 – 4p5  10p0 3; 4) 21b – 28b4 – 14b3 .

23.21. Âèíåñіòü çà äóæêè ñïіëüíèé ìíîæíèê:

1) 7m7 4 – 21m2n2  14m3; 2) 12a2b – 18ab2  30ab3; 3) 8x2y2 – 4x3y5  12x4y3; 4) –5p5 4q2 – 10p0 2 q4  15p5 3 q3 .

23.22. Ðîçêëàäіòü ìíîãî÷ëåí íà ìíîæíèêè:

1) 12a – 6a2x2 – 9a3; 2) 12b2y – 18b3 – 30b4y; 3) 16bx2 – 8b2x3  24b3x; 4) 60m4n3 – 45m2n4  30m3n5 .

23.23. Îá÷èñëіòü çðó÷íèì ñïîñîáîì:

1) 843 · 743 – 7432; 2) 11032 – 1103 · 100 – 1103 · 3.

23.24. Çíàéäіòü çíà÷åííÿ âèðàçó: 1) 4,23a – a2 , ÿêùî a  5,23; 2) x2y + x3, ÿêùî x  2,51, y  –2,51; 3) am5 – m6, ÿêùî m  –1, a  –5; 4) –xy – x2 , ÿêùî x  2,7, y  7,3.

23.25. Çíàéäіòü çíà÷åííÿ âèðàçó: 1) 9,11a + a2, ÿêùî a  –10,11; 2) 5ax2 + 5a2x, ÿêùî ,

23.26. Ðîçêëàäіòü ìíîãî÷ëåí íà ìíîæíèêè:

1) 2p2 (x – y) + q(x – y); 2) a(x + y) – (x + y); 3) (a – 7) – b(a – 7); 4) 5(a + 1) + (a + 1)2; 5) (x + 2)2 – x(x + 2); 6) –5m(m – 2) + 4(m – 2)2.

Ìíîãî÷ëåí 185

23.27. Ïîäàéòå âèðàç ó âèãëÿäі äîáóòêó:

1) a(x – y) + b(y – x); 2) p(b – 5) – n(5 – b); 3) 7x7 (2b – 3) + 5y(3 – 2b); 4) (x – y)2 – a(y – x); 5) 5(x – 3)2 – (3 – x);

6) (a + 1)(2b – 3) – (a + 3)(3 – 2b).

23.28. Ðîçêëàäіòü íà ìíîæíèêè:

1) 3x(b – 2) + y(b – 2); 2) (m2 – 3) – x(m2 – 3);

3) a(b – 9) + c(9 – b); 4) 7(a + 2) + (a + 2)2; 5) (c – m)2 – 5(m – c); 6) –(x + 2y) – 5(x + 2y)2.

23.29. Çíàéäіòü êîðåíі ðіâíÿííÿ:

1) 4x2 – x  0; 2) 7x7 2 + 28x  0; 3) x2 + x  0; 4)

23.30. Ðîçâ’ÿæіòü ðіâíÿííÿ: 1) 12x2 + x  0; 2) 0,2x2 – 2x  0; 3) x2 – x  0; 4)

23.31. Ðîçâ’ÿæіòü ðіâíÿííÿ: 1) x(3x + 2) – 5(3x + 2)  0; 2) 2x(x – 2) – 5(2 – x) 

23.32. Ðîçâ’ÿæіòü ðіâíÿííÿ: 1) x(4x + 5) – 7(4x + 5)  0; 2) 7(x – 3) – 2x(3 – x)  0.

23.33. Äîâåäіòü, ùî çíà÷åííÿ âèðàçó:

1) 173 + 172 êðàòíå ÷èñëó 18; 2) 914 – 816 êðàòíå ÷èñëó 80.

23.34. Äîâåäіòü, ùî çíà÷åííÿ âèðàçó: 1) 399 – 398 äіëèòüñÿ íà 38; 2) 495 – 78 äіëèòüñÿ íà 48.

23.35. Âèíåñіòü çà äóæêè ñïіëüíèé ìíîæíèê: 1) (5m – 10)2; 2) (18a + 27b)2.

23.36. Çíàéäіòü êîðåíі ðіâíÿííÿ: 1) x(x – 3)  7x – 21; 2) 2x(x – 5)  20 – 4x.

23.37. Ðîçâ’ÿæіòü ðіâíÿííÿ: 1) x(x – 2)  4x – 8; 2) 3x(x – 4)  28 – 7x.

23.38. Äîâåäіòü, ùî ÷èñëî:

1) 104 + 53 äіëèòüñÿ íà 9; 2) 415 – 414 + 413 äіëèòüñÿ íà 13; 3) 273 – 37 + 93 äіëèòüñÿ íà 25; 4) 213 + 143 – 73 äіëèòüñÿ íà 34.

ÒÅÌÀ 5 186
0.

23.39. Ñïðîñòіòü âèðàç і çíàéäіòü éîãî çíà÷åííÿ:

1) –3x2 + 7x2 – 4x2 + 3x2 , ÿêùî x  0,1; 2) 8m + 5n – 7m + 15n, ÿêùî m  7, n  –1.

23.40. Çàïèøіòü çàìіñòü «çіðî÷îê» òàêі êîåôіöієíòè îäíî÷ëåíіâ, ùîá ðіâíіñòü ïåðåòâîðèëàñÿ íà òîòîæíіñòü: 1) 2m2 – 4mn + n2 + (*m2 – *mn – *n2)  3m2 – 9mn – 5n2; 2) 7x7 2 – 10y2 – xy – (*x2 – *xy + *y2)  –x2 + 3y2 + xy.

23.41. Äîâæèíà ïðÿìîêóòíèêà âòðè÷і áіëüøà çà éîãî øèðèíó. ßêùî äîâæèíó ïðÿìîêóòíèêà çìåíøèòè íà 5 ñì, òî éîãî ïëîùà çìåíøèòüñÿ íà 40 ñì2. Çíàéäіòü äîâæèíó é øèðèíó ïðÿìîêóòíèêà.

Æèòò є â à ìàòåìàòèê à

23.42. Øèðèíà ïðîїçíîї ÷àñòèíè 16 ì. Øâèäêіñòü ðóõó Ìàðі÷êè 1,5 ì/ñ. ×è âñòèãíå âîíà ïåðåéòè ïіøîõіäíèé ïåðåõіä íà çåëåíèé ñèãíàë ñâіòëîôîðà, ÿêèé òðèâàє 25 ñ? ×è âñòèãíå Ìàðі÷êà ïåðåâåñòè ÷åðåç ïðîїçíó ÷àñòèíó áàáóñþ, øâèäêіñòü ÿêîї 0,8 ì/ñ?

Ö і êà â

23.43. Âіäîìî, ùî a < b < c. ×è ìîæóòü îäíî÷àñíî ñïðàâäæóâàòèñÿ íåðіâíîñòі |a| > |c| і |b| < |c|?

Правило множення многочлена на многочлен

Ïîìíîæèìî ìíîãî÷ëåí a + b íà ìíîãî÷ëåí x + y. Ïîçíà÷èìî

ìíîãî÷ëåí x + y áóêâîþ m. Ìàєìî: (a + b)(x + y)  (a + b)m  am + bm.

Ó âèðàçі am + bm ïіäñòàâèìî çàìіñòü m ìíîãî÷ëåí x + y і çíîâó ñêîðèñòàєìîñÿ ïðàâèëîì ìíîæåííÿ îäíî÷ëåíà íà ìíîãî÷ëåí: am + bm  a(x + y) + b(x + y)  ax + ay + bx + by.

Îòæå, (a + b)(x + y)  ax + ay + bx + by.

Ìíîãî÷ëåí ax + ay + bx + by є ñóìîþ âñіõ îäíî÷ëåíіâ, ÿêі îäåðæàíî ìíîæåííÿì êîæíîãî ÷ëåíà ìíîãî÷ëåíà a + b íà êîæíèé ÷ëåí ìíîãî÷ëåíà x + y.

Ìíîãî÷ëåí 187 Âï
ð à â è äëÿ ïî â òî ð åíí ÿ ðð
ðó
à÷
– ïîì і ð ê ó é î ä íà÷å äðóä
§
Множення многочлена
і çà ä
і
24.
на многочлен

Ïðîöåñ ìíîæåííÿ ìíîãî÷ëåíà íà ìíîãî÷ëåí ìîæíà ïîäàòè ñõåìàòè÷íî:

ìíîæåííÿ

ßêùî ïåðøèé іç ñïіâìíîæíèêіâ äîáóòêó ìіñòèòü m ÷ëåíіâ, à äðóãèé – n ÷ëåíіâ, òî, ïåðåìíîæèâøè їõ, îäåðæèìî ìíîãî÷ëåí, ùî ìіñòèòèìå mn ÷ëåíіâ, à ïіñëÿ çâåäåííÿ ïîäіáíèõ

8x2 – 6x2y + 3xy2 – 2y2 .

іäïîâіäü

ÒÅÌÀ 5 188 Ï åí.
. 1 2 3 4 1 2 3 4 Застосування правила множення
на
до розв’язування вправ
(a + b)(x + y)  ax + ay + bx + by
многочлена
многочлен
є ìíîãî÷ëåí.
äîäàíêіâ öÿ ê
Âèêîíàòè ìíîæåííÿ
x – y
y
y)   2x  4x – 2x  3xy + 2x  2y – y  4x + y  3xy – y  2y   8x
Â
: 8x2 – 6x2y + 3xy2 – 2y2 . Ñïðîñòèòè âèðàç (2x
7)(x – 3) –
x
Ðîçâ’ÿçàííÿ
Âіäïîâіäü: –21x + 21. Äîâåñòè, ùî çíà÷åííÿ âèðàçó n(n – 3) – (
є ïàðíèì ÷èñëîì äëÿ âñіõ íàòóðàëüíèõ çíà÷åíü n. Äîâåäåííÿ. Íà ïåðøîìó åòàïі âèêîíàєìî ìíîæåííÿ ìíîãî÷ëåíіâ (n – 2)(n – 3) і çàïèøåìî éîãî â äóæêàõ. Ìàєìî: n2 – 3n – (n2 – 2n – 3n + 6) + 8. Ðîçêðèєìî äóæêè, ïåðåä ÿêèìè ñòîїòü çíàê «ìіíóñ». Îòðèìàєìî: Приклад 1. Приклад 2. Приклад 3.
Ðåçóëüòàòîì
ìíîãî÷ëåíà íà ìíîãî÷ëåí
іëüêіñòü ìîæå çìåíøèòèñÿ.
(2
)(4x – 3xy + 2
). Ðîçâ’ÿçàííÿ. (2x – y)(4x – 3xy + 2
2 – 6x2y + 4xy – 4xy y + 3xy2 – 2y2 
2
(x + 4).
. (2x – 7)(x – 3) – 2x(x + 4) 
2x2 – 6x – 7x + 21 – 2x2 – 8x  –21x + 21.
n – 2)(n – 3) + 8

n2 – 3n – n2 + 2n + 3n – 6 + 8  2n + 2  2(n + 1).

ßêùî n – íàòóðàëüíå ÷èñëî, òî n + 1 – òàêîæ íàòóðàëüíå ÷èñëî. Òîìó çíà÷åííÿ âèðàçó 2(n + 1) є ïàðíèì ÷èñëîì äëÿ áóäü-ÿêîãî íàòóðàëüíîãî çíà÷åííÿ n. Òîìó і çíà÷åííÿ âèðàçó n(n – 3) –– (n – 2)(n – 3) + 8 є ïàðíèì ÷èñëîì äëÿ âñіõ íàòóðàëüíèõ çíà÷åíü n. Òâåðäæåííÿ çàäà÷і äîâåäåíî.

4.

Âèêîíàòè ìíîæåííÿ (x – 2)(x + 3)(x + 1).

Ðîçâ’ÿçàííÿ. Ñïî÷àòêó ïåðåìíîæèìî ïåðøèé і äðóãèé ìíîãî÷ëåíè òà îòðèìàíèé ðåçóëüòàò ïîìíîæèìî íà òðåòіé ìíîãî÷ëåí: (x – 2)(x + 3)(x + 1)  (x2 + 3x – 2x – 6)(x + 1) 

 (x2 + x – 6)(x + 1)  x3 + x2 + x2 + x – 6x – 6 

 x3 + 2x2 – 5x – 6.

Âіäïîâіäü: x3 + 2x2 – 5x – 6.

Сформулюйте правило множення многочлена на многочлен. Як перемножити більше ніж два многочлени?

Ðîçâ ' ÿæiòü çàäà÷i òà âèêîíàéòå âï ð àâ è

24.1. (Óñíî.) Çíàéäіòü äîáóòîê:

1) (x + y)(a + t); 2) (a – 2)(b + 1); 3) (7 – p)(b – c); 4) (1 – m)(2 – d).

24.2. Âèêîíàéòå ìíîæåííÿ: 1) (a – b)(x + m); 2) (c + n)(a + y); 3) ( p – t)(c – y); 4) (a + 3)(b – 2).

24.3. Ïåðåìíîæòå äâî÷ëåíè: 1) (c – 7)(x + 1); 2) (a + b)( p + y); 3) (b + 2)(y – 4); 4) (c – b)(a – x).

24.4. Ñïðîñòіòü âèðàç: 1) (a + 3)(a + 2); 2) (y – 2)(y + 4); 3) (2 – p)( p + 1); 4) (b – 5)(2b + 1); 5) (3a – 4)(2a + 1); 6) (5y – 3)(1 – 2y).

24.5. Ñïðîñòіòü âèðàç: 1) (y + 2)(y – 3); 2) (a – 3)(a – 2); 3) (4 – p)( p + 3); 4) (5a – 2)(a + 3); 5) (4b – 3)(2b – 1); 6) (7m7 – 2)(1 + 2m).

Ìíîãî÷ëåí 189
Приклад

24.6. Ïîäàéòå âèðàç ó âèãëÿäі ìíîãî÷ëåíà ñòàíäàðòíîãî âèãëÿäó:

1) (2 + 4x)(2y – 1); 2) (x2 + a)(x – a2); 3) (4p4 – 2m)(3p3 + 5m); 4) (2x2 – 1)(3x + 1); 5) (7x7 2 – 4x)(3x – 2); 6) (b – 2)(3b3 – 4b2); 7) (m2 – 2m)(3m – 7m2); 8) (n3 – 2n2)(n + 7).

24.7. Ñïðîñòіòü âèðàç:

1) (3m2 – p)(m2 + p); 2) (5a2 + b)(b2 – 4a2); 3) (12a2 – 3)(5a – 7a2); 4) (2a3 – 3a2)(a + 5).

24.8. Âèêîíàéòå ìíîæåííÿ:

1) (m – n)(a + b – 1); 2) (3 – a)( p + 5 – m);

3) (a + x – 3)(n + 2); 4) (c – d – 7)(x + y).

24.9. Ïåðåòâîðіòü âèðàç íà ìíîãî÷ëåí:

1) (a + b)(m – 2 + p); 2) (5 – x)(m – n – p);

3) (x + y – 2)(a – m); 4) ( p + q + 3)(–a – x).

24.10. Âèêîíàéòå äії:

1) (2x + 7)(2x – 4) + 28; 2) 5m2 + (3 – 5m)(m + 2); 3) (a + 7)(a – 2) – a(a + 5); 4) (2b + 1)(3b – 1) – (6b2 – 1).

24.11. Ñïðîñòіòü âèðàç:

1) (2p2 – 1)(3p3 + 5) – 6p6 2; 2) 12 + (3m – 2)(5m + 6); 3) (m + 3)(m – 5) – m(m – 2); 4) (3a – 2)(4a + 1) – (12a2 – 2).

24.12. Ïåðåòâîðіòü âèðàç íà ìíîãî÷ëåí ñòàíäàðòíîãî âèãëÿäó і çíàéäіòü éîãî çíà÷åííÿ:

1) (2a – 3)(3a + 5) – 6a2 , ÿêùî a  13,5; 2) (5x – 1)(1 – 2x) – 7x7 , ÿêùî x  –2.

24.13. Ñïðîñòіòü âèðàç і îá÷èñëіòü éîãî çíà÷åííÿ:

1) (7x7 + 3)(2x – 1) – 14x2 , ÿêùî x  –8; 2) (2a + 4)(1 – 3a) + 10a, ÿêùî a  –1.

24.14. Âèêîíàéòå äії:

1) x(x – 5) + (x + 4)(x + 2); 2) (m + 3)(m – 4) – m(m – 1) + 5; 3) (a + 3)a – (a + 1) + (4 – a)(4 + a); 4) (y + 2)(y – 3) – 2y(1 – y).

24.15. Ñïðîñòіòü âèðàç:

1) (5x – 1)(4x + 7) – 4x(5x – 8); 2) (a + 3)(a – 2) – a(a + 9) + 6; 3) 2x(3x – 1) + (x – 9)(5x – 6); 4) (2x + 3)(5x – 4) – 2x(x – 3) – 13(x – 1).

ÒÅÌÀ 5 190

24.16. Ðîçâ’ÿæіòü ðіâíÿííÿ:

1) (x – 1)(x + 2) – x2  –8; 2) (3x + 1)(5 – 2x) + 6x2  5.

24.17. Ðîçâ’ÿæіòü ðіâíÿííÿ:

1) (x + 3)(2x – 1) – 2x2  7; 2) 10x2 + (5x – 1)(4 – 2x)  –4.

24.18. Ïåðåòâîðіòü âèðàç íà ìíîãî÷ëåí ñòàíäàðòíîãî âè-

ãëÿäó:

1) (a2 + ab – b2)(a – b); 2) (x2 – xy – y2)(x + y); 3) (m – n)(–m2 – 3mn + n2); 4) ( p – 2)( p2 + 3p – 4); 5) (9 – 4m – m2)(m – 2); 6) (y2 – 3y – 7)(4y – 2).

24.19. Âèêîíàéòå ìíîæåííÿ òà ñïðîñòіòü îäåðæàíèé âèðàç:

1) (a + b)(–a2 + ab – b2); 2) (x – y)(–x2 – xy + y2);

3) (7a7 2 + a – 1)(a + 1); 4) (2m2 – 3m – 2)(m + 5).

24.20. Ïåðåòâîðіòü íà ìíîãî÷ëåí ñòàíäàðòíîãî âèãëÿäó:

1) (3m + 2n)(9m2 – 6mn + 4n2);

2) (4x2 + 10xy + 25y2)(2x – 5y);

3) (–x2 + 3xa – a2)(x + 2a);

4) (3m – x)(5mx – m2 + x2).

24.21. Ïîäàéòå äîáóòîê ó âèãëÿäі ìíîãî÷ëåíà:

1) (3x – y)(9x2 + 3xy + y2); 2) (9a2 – 2ab – b2)(3a + 2b).

24.22. Âèêîíàéòå äії:

1) 9m2 – (3m – 2)(3m + 7);

2) 18y – (3y + 1)(6y + 4);

3) (a + 4)a – (a + 2)(a – 2);

4) (b + 7)(b + 1) – (b + 8)(b – 1).

24.23. Ñïðîñòіòü âèðàç:

1) 8x – (x + 5)(x + 3);

2) a(a + 8) – (a + 2)(a – 5); 3) 12x2 + 5 – (4x + 7)(3x – 1); 4) (x + 1)(x – 5) – (x + 3)(x – 7).

24.24. Ïåðåòâîðіòü íà ìíîãî÷ëåí ñòàíäàðòíîãî âèãëÿäó:

1) a2(a – 2)(a + 5); 2) –5m2(m – 1)(2 – m); 3) –4x3(2x – 3)(x – x2); 4) 0,2b2(5b + 10)(b2 – 2).

24.25. Ðîçêðèéòå äóæêè і ñïðîñòіòü îäåðæàíèé âèðàç:

1) m2(m – 4)(m + 2); 2) –a2(2a – 3)(3a + 7); 3) –5b3(2b + b2)(b – 1); 4) 0,5x2(2x – 6)(x2 + x).

24.26. Äîâåäіòü òîòîæíіñòü:

1) (m – 3)(m + 7) – 10  (m + 8)(m – 4) + 1; 2) (2x – 1)(3x + 5) + 9x  (3x – 1)(2x + 5) + 3x.

Ìíîãî÷ëåí 191

24.27. Äîâåäіòü, ùî äëÿ êîæíîãî çíà÷åííÿ çìіííîї a: 1) çíà÷åííÿ âèðàçó (a – 8)(a + 3) – (a – 7)(a + 2) äîðіâíþє –10; 2) çíà÷åííÿ âèðàçó (a2 – 2)(a2 + 5) – (a2 – 4)(a2 + 4) – 3a2 äîðіâíþє 6.

24.28. Äîâåäіòü, ùî çíà÷åííÿ âèðàçó íå çàëåæèòü âіä çíà÷åííÿ çìіííîї:

1) (m – 7)(m + 1) – (m + 2)(m – 8); 2) a2(a2 – 1) – (a2 – 2)(a2 + 3) + 2a2 .

24.29. Äîâåäіòü, ùî äëÿ áóäü-ÿêîãî çíà÷åííÿ çìіííîї a çíà÷åííÿ

âèðàçó (a + 7)(a – 3) – 4(a – 8) є äîäàòíèì ÷èñëîì.

24.30. Çàïèøіòü âèðàç ó âèãëÿäі ìíîãî÷ëåíà: 1) (x – y)2; 2) ( p + 2a)2; 3) (4x – 3y)2; 4) (7a7 + 2b)2.

24.31. Ïåðåòâîðіòü âèðàç íà ìíîãî÷ëåí: 1) (2a – 3b)2; 2) (4x + 5y)2.

24.32. Ñïðîñòіòü âèðàç і îá÷èñëіòü éîãî çíà÷åííÿ: 1) (2x2 – x)(3x2 + x) – (x2 + x)(6x2 – 2x), ÿêùî x  –2; 2) (a + 2b)(a2 – 2ab + 4b2) – 8b3, ÿêùî a  3, b  –2015.

24.33. Ñïðîñòіòü âèðàç і çíàéäіòü éîãî çíà÷åííÿ:

1) (x – 9)(x + 9) – (x – 3)(x + 27), ÿêùî 2) 8a3 – (2a – 3b)(4a2 + 6ab + 9b2), ÿêùî

24.34. Çíàéäіòü êîðåíі ðіâíÿííÿ:

1) 4x – (x + 2)(x – 3)  (5 – x)(x + 3); 2) 2x(x + 1) – (x + 2)(x – 3)  x2 + 7.

24.35. Ðîçâ’ÿæіòü ðіâíÿííÿ:

1) x(2x – 5) – x2  2 – (x – 1)(2 – x); 2) 2x2 – (x + 1)(x + 19)  (x + 3)(x – 2) + 8.

24.36. Çàìіñòü «çіðî÷êè» çàïèøіòü òàêі îäíî÷ëåíè, ùîá ðіâíіñòü ñòàëà òîòîæíіñòþ: 1) (x – 1)(* + 3)  x2 + * – *; 2) (y + 2)(y – *)  * + y – *.

24.37. Äîâåäіòü, ùî äëÿ áóäü-ÿêîãî íàòóðàëüíîãî çíà÷åííÿ n çíà÷åííÿ âèðàçó: 1) (n + 2)(n + 3) – n(n – 1) є êðàòíèì ÷èñëó 6; 2) (n – 5)(n + 8) + (n + 1)(2n – 5) + 46 ïðè äіëåííі íà 3 äàє â îñòà÷і 1.

ÒÅÌÀ 5 192

24.38. Çíàéäіòü òðè ïîñëіäîâíèõ íàòóðàëüíèõ ÷èñëà, ÿêùî êâàäðàò ìåíøîãî ç íèõ íà 44 ìåíøèé âіä äîáóòêó äâîõ іíøèõ.

24.39. Äàíî äâà äîáóòêè 27 · 18 і 12 · 42. Íà ÿêå îäíå é òå ñàìå ÷èñëî ïîòðіáíî çìåíøèòè êîæåí іç ÷îòèðüîõ ìíîæíèêіâ, ùîá çíà÷åííÿ íîâèõ äîáóòêіâ ñòàëè ìіæ ñîáîþ ðіâíèìè?

24.40. Äàíî äâà äîáóòêè 22 · 15 і 27 · 12. Íà ÿêå îäíå é òå ñàìå

÷èñëî ïîòðіáíî çáіëüøèòè êîæåí іç ÷îòèðüîõ ìíîæíèêіâ, ùîá çíà÷åííÿ íîâèõ äîáóòêіâ ñòàëè ìіæ ñîáîþ ðіâíèìè?

24.41. Âèêîíàéòå ìíîæåííÿ:

1) (a2 – 2a + 1)(a2 + 3a – 7); 2) (7 – 2b + 3b2)(2b2 – 2b – 1).

24.42. Âèêîíàéòå ìíîæåííÿ: 1) (x2 – x – 1)(x2 + 3x + 5); 2) (7 – a – 2a2)(a2 + 3a – 1).

24.43. Çíàéäіòü ÷îòèðè ïîñëіäîâíèõ öіëèõ ÷èñëà, ÿêùî äîáóòîê äâîõ áіëüøèõ ç íèõ íà 78 áіëüøèé çà äîáóòîê äâîõ ìåíøèõ.

24.44. Çíàéäіòü ÷îòèðè ïîñëіäîâíèõ íàòóðàëüíèõ ÷èñëà, ÿêùî äîáóòîê äâîõ ìåíøèõ ç íèõ íà 102 ìåíøèé âіä äîáóòêó äâîõ áіëüøèõ.

24.45. Ïåðåòâîðіòü âèðàç íà ìíîãî÷ëåí ñòàíäàðòíîãî âèãëÿäó: 1) (a + 2)(a – 1)(a + 3); 2) (a – 4)(a – 7)(a + 1).

24.46. Âèêîíàéòå ìíîæåííÿ: 1) (x + 1)(x4 – x3 + x2 – x + 1); 2) (b – 1)(b4 + b3 + b2 + b + 1).

24.47. Ïåðèìåòð ïðÿìîêóòíèêà äîðіâíþє 60 ñì. ßêùî éîãî äîâæèíó çáіëüøèòè íà 1 ñì, à øèðèíó çìåíøèòè íà 3 ñì, òî éîãî ïëîùà çìåíøèòüñÿ íà 45 ñì2. Çíàéäіòü äîâæèíó é øèðèíó öüîãî ïðÿìîêóòíèêà.

Âï ð à â è äëÿ ïî â òî ð åíí ÿ ðð

24.48. Øâèäêіñòü àâòîìîáіëÿ – 70 êì/ãîä, à ìîòîöèêëà – 50 êì/ãîä. Øëÿõ âіä ñåëà äî ìіñòà ìîòîöèêë äîëàє íà 2 ãîä äîâøå, íіæ àâòîìîáіëü. Çíàéäіòü âіäñòàíü âіä ñåëà äî ìіñòà.

24.49. Çíàéäіòü äîäàòíå ÷èñëî, ÿêå ïіñëÿ ïіäíåñåííÿ äî êâàäðàòà: 1) çáіëüøóєòüñÿ â 4 ðàçè; 2) çìåíøóєòüñÿ â 5 ðàçіâ.

24.50. Ó ïåðøіé êàíіñòðі áóëî âòðè÷і áіëüøå áåíçèíó, íіæ ó äðóãіé. Êîëè ç ïåðøîї êàíіñòðè ïåðåëèëè 2 ë ó äðóãó, âèÿâèëîñÿ, ùî îá’єì áåíçèíó äðóãîї êàíіñòðè ñòàíîâèâ âіä îá’є-

Ìíîãî÷ëåí 193

ìó ïåðøîї. Ñêіëüêè áåíçèíó áóëî â êîæíіé êàíіñòðі ñïî÷àòêó?

24.51. Ïîäàéòå âèðàç ó âèãëÿäі ðіçíèöі äâîõ ìíîãî÷ëåíіâ, îäèí ç ÿêèõ ìіñòèòü çìіííó x, à äðóãèé її íå ìіñòèòü: 1) (5x2 – 8b + a) – (b2 – 5x + 1) – (2b – x2 + 7x); 2) (8mx2 + 7mn2 – p) – (x2 + mx2 + 2p) – 17x7 .

Æ èòò є â à ìàòåìàòèê à

24.52. Çàðîáіòíà ïëàòà Òåòÿíè ïðîïîðöіéíà êіëüêîñòі âіäïðàöüîâàíèõ ãîäèí. Çà ìіñÿöü âîíà âіäïðàöþâàëà 170 ãîä і îòðèìàëà 8500 ãðí. Ñêіëüêè ãîäèí ìàє âіäïðàöþâàòè Òåòÿíà â íàñòóïíîìó ìіñÿöі, ùîá îòðèìàòè 9250 ãðí?

Ö і êà â і çà ä à÷ і – ïîì і ð ê ó é î ä íà÷å

24.53. Îá÷èñëіòü . § 25. Розкладання многочлена на множники

Спосіб групування

Ó § 23 ìè îçíàéîìèëèñÿ ç ðîçêëàäàííÿì ìíîãî÷ëåíà íà ìíîæ-

íèêè ñïîñîáîì âèíåñåííÿ ñïіëüíîãî ìíîæíèêà çà äóæêè. Іñíóþòü é іíøі ñïîñîáè ðîçêëàäàííÿ ìíîãî÷ëåíіâ íà ìíîæíèêè, íàïðèêëà ä, ñïîñіá ãðóïóâàííÿ.

Приклад 1.

Ðîçêëàñòè íà ìíîæíèêè ìíîãî÷ëåí ab – 5a + 2b – 10.

Ðîçâ’ÿçàííÿ. Ó öüîìó âèïàäêó â óñіõ ÷ëåíіâ ïîäàíîãî ìíîãî÷ëåíà íåìàє ñïіëüíîãî ìíîæíèêà. Òîìó òóò äîöіëüíî çàñòîñóâàòè ñàìå ñïîñіá ãðóïóâàííÿ. Ðîçіá’єìî äîäàíêè íà äâі ãðóïè òàê, ùîá äîäàíêè â êîæíіé ãðóïі ìàëè ñïіëüíèé ìíîæíèê: ab – 5a + 2b – 10  (ab – 5a) + (2b – 10).

Ç êîæíîї ãðóïè âèíåñåìî ñïіëüíèé ìíîæíèê çà äóæêè: (ab – 5a) + (2b – 10)  a(b – 5) + 2(b – 5).

Òåïåð îäåðæàíèé äëÿ îáîõ ãðóï ñïіëüíèé ìíîæíèê b – 5 âèíåñåìî çà äóæêè: a(b – 5) + 2(b – 5)  (b – 5)(a + 2).

Îòæå, ab – 5a + 2b – 10  (b – 5)(a + 2).

ÒÅÌÀ 5 194
ðó
äðóä
способом групування

Çãðóïóâàòè äîäàíêè äàíîãî ìíîãî÷ëåíà ìîæíà áóëî é ó іíøèé

ñïîñіá.

À

ñàìå: ab – 5a + 2b – 10  (ab + 2b) + (–5a – 10)  b(a + 2) –– 5(a + 2)  (a + 2)(b – 5).

Âіäïîâіäü: (b – 5)(a + 2).

Äіéøëè âèñíîâêó, ùî äëÿ ðîçêëàäàííÿ ìíîãî÷ëåíà íà ìíîæíèêè ñïîñîáîì ãðóïóâàííÿ âàðòî âèêîíóâàòè äії â òàêіé ïîñëіäîâí

Äëÿ ïåðåâіðêè ïðàâèëüíîñòі ðîçêëàäàííÿ ñëіä ïåðåìíîæèòè îäåðæàíі ìíîæíèêè. Äîáóòîê öèõ ìíîæíèêіâ ìàє äîðіâíþâàòè äàíîìó ìíîãî÷ëåíó.

Застосування способу групування

для розкладання на множники многочленів, що містять шість або три доданки

Äåÿêі ìíîãî÷ëåíè, ùî ìіñòÿòü øіñòü àáî òðè äîäàíêè (÷ëåíè ìíîãî÷ëåíà), ìîæíà ðîçêëàñòè íà ìíîæíèêè çà äîïîìîãîþ ñïîñîáó ãðóïóâàííÿ.

Приклад 2.

Ðîçêëàñòè íà ìíîæíèêè ìíîãî÷ëåí 2a + 2b – m + am + bm – 2.

Ðîçâ’ÿçàííÿ. 1-é ñïîñіá. Çãðóïóєìî ÷ëåíè ìíîãî÷ëåíà ó òðè ãðóïè ïî äâà äîäàíêè òàê, ùîá äîäàíêè â êîæíіé ãðóïі ìàëè ñïіëüíèé ìíîæíèê. Ìàòèìåìî: 2a + 2b – m + am + bm – 2  (2a + am) + (2 m b + bm) + (– m m – 2) 

 a(2 + m) + b(2 + m) – 1(2 + m)  (2 + m)(a + b – 1).

2-é ñïîñіá. Çãðóïóєìî òåïåð ÷ëåíè ìíîãî÷ëåíà ó äâі ãðóïè ïî òðè äîäàíêè òàê, ùîá äîäàíêè â êîæíіé ãðóïі ìàëè ñïіëüíèé ìíîæíèê. Ìàòèìåìî:

2a + 2b – m + am + bm – 2  (2a + 2b – 2) + (am + bm – m)   2(a + b – 1) + m(a + b – 1)  (a + b – 1)(2 + m).

Âіäïîâіäü: (2 + m)(a + b – 1).

Ìíîãî÷ëåí 195

Ðîçêëàñòè íà ìíîæíèêè òðè÷ëåí x2 – 6x + 8.

Ðîçâ’ÿçàííÿ. Âðàõîâóþ÷è, ùî –6x  –2x + (–4x), ìîæåìî ïåðåïèñàòè ìíîãî÷ëåí ÿê ñóìó ÷îòèðüîõ äîäàíêіâ, çãðóïóâàòè їõ і äàëі ðîçêëàñòè íà ìíîæíèêè: x2 – 6x + 8  x2 – 2x – 4x + 8  (x2 – 2x) + (–4x + 8)   x(x – 2) – 4(x – 2)  (x – 2)(x – 4).

Âіäïîâіäü: (x – 2)(x – 4).

ßêáè ìè ïîäàëè äîäàíîê –6x ó âèãëÿäі ñóìè äâîõ ÿêèõîñü іíøèõ äîäàíêіâ, òî íå çìîãëè á çàñòîñóâàòè ãðóïóâàííÿ é ðîçêëàñòè íà ìíîæíèêè. Ïðîïîíóєìî ïåðåêîíàòèñÿ â öüîìó ñàìîñòіéíî. «Ñåêðåò» ó òîìó, ùî ñàìå äîäàíêè –2x і –4x ñïðèÿëè ïîÿâі ñïіëüíîãî ìíîæíèêà ïіñëÿ ðîçáèòòÿ ìíîãî÷ëåíà íà ãðóïè.

Яку послідовність дій застосовують для розкладання многочлена на множники способом групування?

Ðîçâ ' ÿæiòü çàäà÷i òà âèêîíàéòå âï ð àâ è

25.1. (Óñíî.) Ó ìíîãî÷ëåíі ca – 2c + 5a – 10 íàçâіòü ãðóïó çі ñïіëüíèì ìíîæíèêîì a і ãðóïó çі ñïіëüíèì ìíîæíèêîì 2.

25.2. Çàêіí÷іòü ðîçêëàäàííÿ ìíîãî÷ëåíà íà ìíîæíèêè: xy + yt – 2x – 2t  (xy – 2x) + (yt – 2t)  x(y – 2) + t(y – 2)  ...

25.3. Çàêіí÷іòü ðîçêëàäàííÿ ìíîãî÷ëåíà íà ìíîæíèêè: ab – cd – ad + cb  (ab – ad) + (cb – cd)  a(b – d) + c(b – d)  ...

25.4. Ïîäàéòå âèðàç ó âèãëÿäі äîáóòêó ìíîãî÷ëåíіâ:

1) a(b + c) + 3b + 3c; 2) p(x – y) + 7x7 – 7y; 3) m(t – 5) + t – 5; 4) b(m – c) + c – m.

25.5. Ðîçêëà äіòü íà ìíîæíèêè:

1) c(x – y) + 3x – 3y; 2) a(c + m) + 9c + 9m; 3) x(c + 5) + c + 5; 4) y( p – 3) + 3 – p.

25.6. Ðîçêëàäіòü ìíîãî÷ëåí íà ìíîæíèêè:

1) ax + ay + 6x + 6y; 2) 5m – 5n + pm – pn; 3) 9p9 + mn + 9n + mp; 4) ab + ac – b – c; 5) 1 – by – y + b; 6) ma + 2a – 2m – 4.

25.7. Ïîäàéòå ó âèãëÿäі äîáóòêó ìíîãî÷ëåíіâ:

1) ab + 5a + bm + 5m; 2) mp – b + bp – m; 3) am – b + m – ab; 4) cm – 3dm + cp – 3dp.

25.8. Çàïèøіòü âèðàç ab – ac + 2b – 2c ó âèãëÿäі äîáóòêó òà çíàéäіòü éîãî çíà÷åííÿ, ÿêùî a  –1, b  5,7, c  6,7.

ÒÅÌÀ 5 196
Приклад 3.

25.9. Çàïèøіòü âèðàç 5x – 5y + xt – yt ó âèãëÿäі äîáóòêó òà çíàéäіòü éîãî çíà÷åííÿ, ÿêùî x  7,2, y  6,2, t  –4,5.

25.10. Ïîäàéòå âèðàç ó âèãëÿäі äîáóòêó ìíîãî÷ëåíіâ:

1) a3 + a2 + a + 1; 2) b5 – b3 – b2 + 1; 3) c4 + 3c3 – c – 3; 4) a6 – 5a4 – 3a2 + 15; 5) m2 – mn – 8m + 8n; 6) ab – 9b + b2 – 9a; 7) 7t – ta + 7a – t2; 8) xy – ty – y2 + xt.

25.11. Ðîçêëàäіòü ìíîãî÷ëåí íà ìíîæíèêè:

1) x2 + bx – b2y – bxy; 2) a2b + c2 – abc – ac; 3) 7a7 3m + 14a2 – 6bm – 3am2b; 4) 21x + 8tm3 – 24m2 – 7xtm.

25.12. Ïîäàéòå ìíîãî÷ëåí ó âèãëÿäі äîáóòêó:

1) b2 + xb – x2y – xby; 2) m2 + 7m – bm – 7b; 3) 4a – ax + 4x – x2; 4) ma – mb – m2 + ab.

25.13. Îá÷èñëіòü çíà÷åííÿ âèðàçó íàéçðó÷íіøèì ñïîñîáîì:

1) 157  37 + 29  157 + 143  42 + 24  143; 2)

25.14. Çíàéäіòü çíà÷åííÿ âèðàçó, ïîïåðåäíüî ðîçêëàâøè âèðàç íà

ìíîæíèêè:

1) 5m2 – 5mn – 7m + 7n, ÿêùî m  1,4, n  –5,17;

2) 3a3 – 2b3 – 6a2b2 + ab, ÿêùî ,

25.15. Çíàéäіòü çíà÷åííÿ âèðàçó, ïîïåðåäíüî ðîçêëàâøè âèðàç íà ìíîæíèêè:

1) 27x7 3 + x2 + 27x7 + 1, ÿêùî

2) 5p5 + px2 – p2x – 5x, ÿêùî p  2,5, x  2,4.

25.16. Çàïèøіòü âèðàç ó âèãëÿäі äîáóòêó:

1) 45x3y4 – 9x5y3 – 15x2y2 + 3x4y; 2) 2,1mn2 – 2,8mp2 – 2,7n7 3 + 3,6np2 .

25.17. Ðîçêëà äіòü íà ìíîæíèêè:

1) 8m2c – 6m2x – 16cx3 + 12x4; 2) 1,2xy3 + 1,6x3y2 – 2x7y – 1,5x5y2 .

25.18. Ðîçâ’ÿæіòü ðіâíÿííÿ:

1) x2 – 5x + 40  8x; 2) 5y3 + 2y2 + 5y + 2  0.

Ìíîãî÷ëåí 197

25.19. Ðîçâ’ÿæіòü ðіâíÿííÿ:

1) x2 + 7x – 7  x; 2) 7y7 3 + y2 + 7y + 1  0.

25.20. Ðîçêëà äіòü íà ìíîæíèêè:

1) at2 – ap + t3 – tp – bt2 + bp; 2) ax2 + ay2 – mx2 – my2 + m – a; 3) mb – m + 7 – 7b – 7m2 + m3;

4) 6ax + 3ay – az – 6bx – 3by + bz.

25.21. Ðîçêëàäіòü íà ìíîæíèêè:

1) a2b + a + ab2 + b + 9ab + 9; 2) 8ax + 4bx – 4x + 10am + 5bm – 5m.

25.22. Ðîçêëàäіòü íà ìíîæíèêè òðè÷ëåí:

1) x2 + 5x + 4; 2) x2 – 5x + 4; 3) x2 + x – 6; 4) a2 + 4ab + 3b2 .

25.23. Ðîçêëà äіòü íà ìíîæíèêè:

1) x2 – 6x + 5; 2) x2 – x – 6; 3) x2 + 2x – 15; 4) a2 + 5ab + 6b2 .

25.24. Ñïðîñòіòü âèðàç і çíàéäіòü éîãî çíà÷åííÿ:

1) 0,8(a – 5) – 0,6(2 – a), ÿêùî a  –5; 2) (7x7 – 14y) – (18x – 27y7 ), ÿêùî x  2024,

25.25. Çíàéäіòü êîðіíü ðіâíÿííÿ: 1) 6x(x – 1) – 2x(3x – 5)  –8; 2) 5(2 – x2) – 4x(x – 1)  3x(1 – 3x). Æ èòò є â à ìàòåìàòèêà

25.26. Ãîëîâíà ðåäàêòîðêà âèäàâíèöòâà äàëà òåðìіíîâó ðîáîòó äâîì íàáіðíèêàì òåêñòó. Ïåðøèé íàáèðàє ñòîðіíêó çà 4 õâ, äðóãèé – çà 6 õâ. Ó ÿêîìó âіäíîøåííі âîíè ìàþòü ðîçïîäіëèòè ìіæ ñîáîþ ðîáîòó, ùîá âèêîíàòè її ÿêîìîãà øâèäøå? iä ãîò ó éòåñÿ äî â è â ÷åííÿ íî â îãî ìàòåðiàë ó

25.27. Íàêðåñëіòü { A BC, ó ÿêîãî A B  3 ñì, AC  4 ñì. Âèìіðÿéòå ñòîðîíó BC öüîãî òðèêóòíèêà òà çíàéäіòü éîãî ïåðèìåòð.

ÒÅÌÀ 5 198
Â
ðð
ï ð à â è äëÿ ïî â òî ð åííÿ

25.28. Îäíà ñòîðîíà òðèêóòíèêà äîðіâíþє 8 ñì, іíøà – 7 ñì. Çíàéäіòü äîâæèíó òðåòüîї ñòîðîíè òðèêóòíèêà, ÿêùî éîãî ïåðèìåòð äîðіâíþє 20 ñì. ðó

Ö і êà â і çà ä à÷ і – ïîì і ð ê ó é î ä íà÷å äðóä

25.29. ×è іñíóþòü òàêі íàòóðàëüíі çíà÷åííÿ çìіííèõ x і y, äëÿ

ÿêèõ x5 + y5  336?

Çàâäàííÿ 1–12 ìàþòü ïî ÷îòèðè âàðіàíòè âіäïîâіäåé (À–Ã), ñåðåä ÿêèõ ëèøå îäèí є ïðàâèëüíèì. Îáåðіòü ïðàâèëüíèé âàðіàíò

âіäïîâіäі.

1. Óêàæіòü âèðàç, ùî íå є ìíîãî÷ëåíîì.

À. Á. õ2 – 2õ + 7 Â. –b – 19 Ã. 6c2

2. k(n – m)  …

À. kn – m Á. n – km Â. kn + km Ã. kn – km

3. 4c + 8  …

À. 2(c + 4) Á. 4(c + 2) Â. 8(c + 1) Ã. 4(c – 2)

4. ßêîìó ç ìíîãî÷ëåíіâ äîðіâíþє âèðàç (õ – 5)(õ + 2)?

À. õ2 + 3õ – 10 Á. õ2 – 3õ – 10

Â. õ2 + 3õ + 10 Ã. õ2 – 3õ – 3

5. Ïîäàéòå âèðàç (3m2 – m) + (4m2 – 5) – (7m2 + 3) ó âèãëÿäі ìíîãî÷ëåíà ñòàíäàðòíîãî âèãëÿäó.

À. 14m2 – m – 2 Á. –m – 2 Â. –m – 8 Ã. 8 – m

6. Ðîçêëàäіòü âèðàç am – an – 2m + 2n íà ìíîæíèêè.

À. (m – n)(a – 2) Á. (m – n)(a + 2)

Â. (m + n)(a – 2) Ã. (m – a)(n – 2)

7. Äëÿ ÿêîãî çíà÷åííÿ õ çíà÷åííÿ ðіçíèöі îäíî÷ëåíà 8õ і ìíîãî÷ëåíà 3õ – 4õ2 + 2 äîðіâíþє çíà÷åííþ ìíîãî÷ëåíà 3õ + 4õ2 – 4?

À. 2 Á. 1 Â. –1 Ã. 0

8. Îá÷èñëіòü 297 · 397 – 3972 íàéçðó÷íіøèì ñïîñîáîì.

À. 39 700 Á. –39 700 Â. –29 700 Ã. 29 700

9. Çíàéäіòü çíà÷åííÿ âèðàçó (õ – 5)(õ + 2) – (õ – 7)(õ + 4), ÿêùî õ  10,2.

À. 18,2 Á. 18 Â. 28,2 Ã. 7,8

Ìíîãî÷ëåí 199
РОБОТА
ДОМАШНЯ САМОСТІЙНА
№ 5 (§§ 20–25)

10. Ðîçâ’ÿæіòü ðіâíÿííÿ x2 + 7x  2(x + 7).

À. –7; 2 Á. –7 Â. 2 Ã. –2; 7

11. Çíà÷åííÿ âèðàçó 274 – 39 є êðàòíèì ÷èñëó…

À. 7 Á. 11 Â. 13 Ã. 17

12. Çíàéäіòü íàéáіëüøå іç ÷îòèðüîõ ïîñëіäîâíèõ ïàðíèõ ÷èñåë, ÿêùî äîáóòîê ïåðøîãî і òðåòüîãî ÷èñåë íà 44 ìåíøèé âіä

äîáóòêó äâîõ іíøèõ.

À. 10 Á. 6 Â. 18 Ã. 14

Ó çàâäàííі 13 ïîòðіáíî âñòàíîâèòè âіäïîâіäíіñòü ìіæ іíôîðìàöієþ, ïîçíà÷åíîþ öèôðàìè òà áóêâàìè. Îäíà âіäïîâіäü çàéâà.

13. Óñòàíîâіòü âіäïîâіäíіñòü ìіæ âèðàçàìè (1–3) òà ìíîãî-

÷ëåíàìè, ÿêі їì òîòîæíî äîðіâíþþòü (À–Ã).

ÂèðàçÌíîãî÷ëåí

1. (3x3 + x2 – 2x) – (2x3 – 4x2 – 2x + 6)

2. 2x2(3x – 5) – 5x(x2 – 3x)

3. (x2 + 6x)(x – 1)

À. x3 + 5x2

Á. x3 + 5x2 – 6 Â. x3 + 5x2 – 6x Ã. x3 + 5x – 6 ЗАВДАННЯ

1. Âèêîíàéòå ìíîæåííÿ:

1) m(a – b + 3); 2) –p– (x + y – 4).

2. Âèíåñіòü çà äóæêè ñïіëüíèé ìíîæíèê:

1) 7a – 7b; 2) xm + ym.

3. Âèêîíàéòå ìíîæåííÿ:

1) (a + 2)(x – 3); 2) (b – 5)(c – m).

4. Ïåðåòâîðіòü âèðàç íà ìíîãî÷ëåí ñòàíäàðòíîãî âèãëÿäó:

1) (2x2 – x) + (3x – 5) – (x2 – 5); 2) –2xy(x2 – 3xy + y2).

5. Ðîçêëàäіòü ìíîãî÷ëåí íà ìíîæíèêè:

1) 9a2 – 12ab; 2) 7x – 7y + ax – ay.

6. Ñïðîñòіòü âèðàç (x + 5)(x – 2) – x(x + 3).

7. Ðîçâ’ÿæіòü ðіâíÿííÿ (2x + 3)(3x – 7)  x(6x – 3) – 17.

ÒÅÌÀ 5 200
ДЛЯ ПЕРЕВІРКИ ЗНАНЬ ДО §§ 20–25

8. Ðîçêëàäіòü ìíîãî÷ëåí íà ìíîæíèêè: 1) 9m3 – 3m4 – 27m8; 2) m2 + 2n – 2m – mn.

9. Çíàéäіòü ÷îòèðè ïîñëіäîâíèõ öіëèõ ÷èñëà, äîáóòîê äâîõ ìåíøèõ ç ÿêèõ íà 90 ìåíøèé âіä äîáóòêó äâîõ áіëüøèõ.

Äîäàòêîâ

і âïðàâè

10. Äîâåäіòü, ùî ñóìà ï’ÿòè ïîñëіäîâíèõ íàòóðàëüíèõ ÷èñåë äіëèòüñÿ íà 5.

11. Ðîçâ’ÿæіòü ðіâíÿííÿ x2 – 5x  4x – 20.

12. Ïåðåòâîðіòü âèðàç íà ìíîãî÷ëåí ñòàíäàðòíîãî âèãëÿäó: 1) (x2 – 2x + 5)(x2 + 3x – 1); 2) (a + 3)(a – 5)(a – 1).

1. Ç äàíèõ îäíî÷ëåíіâ ñêëàäіòü ìíîãî÷ëåí і âêàæіòü éîãî ñòåïіíü:

1) 5a2 і 4b; 2) –a2 , ab і m; 3) 5c3 і –8; 4) 3mn2 , 4mn, –5m2n і –7.

2. Çâåäіòü ïîäіáíі ÷ëåíè ìíîãî÷ëåíà:

1) 8a2b – 7ab2 + 5a2b + 4b2 a;

2) 5mn – 2mn – 8 – 3mn; 3) 7m7 3 + m2 – 8 – m3 + 3m2; 4) 2x2y – 7xy2 – 5xy + 3yx2 + 7y2x.

3. Çâåäіòü äî ñòàíäàðòíîãî âèãëÿäó ìíîãî÷ëåí – ab  (–8ab2) + 8a2  (–1,5ab) + 20ab  (–0,1ab2) + a2ab + 2a  6a2b

і çíàéäіòü éîãî çíà÷åííÿ, ÿêùî a  5, b  –.

4. ×è іñíóþòü òàêі íàòóðàëüíі çíà÷åííÿ çìіííîї à, çà ÿêèõ çíà÷åííÿ ìíîãî÷ëåíà 2a2 + 6a + 7 є ïàðíèì ÷èñëîì?

Äî § 21

5. Ñïðîñòіòü âèðàç:

1) (3m + 5n) + (9m – 7n) – (–2n + 5m);

2) (12ab – b2) – (5ab + b2) + (ab + 2b2);

3) (3x2 + 2x) + (2x2 – 3x – 4) – (17 – x2); 4) (m – n + p) + (m – p) – (m – n – p).

Ìíîãî÷ëåí 201
ВПРАВИ ДЛЯ ПОВТОРЕННЯ ТЕМИ
Äî § 20
5

6. 1) Ïîäàéòå ìíîãî÷ëåí 4x3 – 4x2 + 5x – 7 ó âèãëÿäі ñóìè äâî÷ëåíіâ.

2) Ïîäàéòå ìíîãî÷ëåí x3 – 5x + 7x2 – 9 ó âèãëÿäі ðіçíèöі îäíî÷ëåíà і òðè÷ëåíà.

7. ßêèé ìíîãî÷ëåí ó ñóìі ç ìíîãî÷ëåíîì 2x2 – 3x + 7 äàє: 1) 0; 2) 5; 3) –3x + 1; 4) x2 – 5x + 7?

8. Äîâåäіòü, ùî ñóìà äâîõ ïîñëіäîâíèõ íåïàðíèõ öіëèõ ÷èñåë äіëèòüñÿ íà 4.

9. Ñïðîñòіòü âèðàç 5xy – 8x2y – (3xy – – 2,75xy2)

і çíàéäіòü éîãî çíà÷åííÿ, ÿêùî x  –1, y  3.

10. Âèêîíàéòå ìíîæåííÿ:

1) a(b + 7); 2) c(2 – x); 3) –a(m – 3); 4) –b(a – x + y).

11. Ïåðåòâîðіòü äîáóòîê íà ìíîãî÷ëåí:

1) 2xa(a2 – 3ax); 2) –3mp(2m3 – 5mp); 3) 4ab2(a2 – 2ab – b2); 4) (4m3 – 2mn2 – n2)mn2; 5) (–0,1x3y + 0,2x2y – y3)(–5x2y); 6) –10n3x(5nx2 – 2n2x + x5).

12. Ñïðîñòіòü âèðàç і çíàéäіòü éîãî çíà÷åííÿ:

1) 2x(x + y) – y(2x – y) – y(y + 1), ÿêùî x  –5, y  –10; 2) m2(m2 – 5m + 1) – 2m(m3 – 4m2 + m) + m4 – 3m3 + 2, ÿêùî m  –3.

13. Çà ÿêîãî çíà÷åííÿ çìіííîї çíà÷åííÿ âèðàçó 2x(6x – 5) íà 5 ìåíøå çà âіäïîâіäíå çíà÷åííÿ âèðàçó 3(4x2 – 5)?

14. Ñïðîñòіòü âèðàç äå n > 3, n – íàòóðà ëüíå ÷èñëî.

15. Çà ïåðøèé äåíü ç îâî÷åñõîâèùà ïðîäàëè íà 3 ö áіëüøå îâî÷іâ, íіæ çà äðóãèé, à çà òðåòіé – âіä òîãî, ùî ïðîäàëè çà ïåðøі äâà äíі ðàçîì. Ïî ñêіëüêè öåíòíåðіâ îâî÷іâ ïðîäàâàëè êîæíîãî іç öèõ äíіâ, ÿêùî ðàçîì çà öі äíі ïðîäàëè 65 ö îâî÷іâ?

ÒÅÌÀ 5 202
Äî § 22

16. Ðîçâ’ÿæіòü ðіâíÿííÿ

Äî § 23

17. Âèíåñіòü çà äóæêè ñïіëüíèé ìíîæíèê:

1) 5x – 5y; 2) 7m7 + 7n; 3) ap + ac; 4) bm – bk.

18. Ðîçêëàäіòü íà ìíîæíèêè:

1) 7ax7 – 7bx; 2) 8a + 24ac; 3) 18p8 – 24p4 2; 4) 5m3 – 10m2; 5) –15a2 – 20a3; 6) a7 – a2 + a5 .

19. Ïîäàéòå âèðàç ó âèãëÿäі äîáóòêó:

1) 6xy – 12x2y + 15xy2; 2) 7mn7 5 + 28m2n3 – 7m3n2;

3) a(x – 2) + 3b(x – 2) – 2(2 – x); 4) 8(m – 1)2 – n(1 – m).

20. Ðîçâ’ÿæіòü ðіâíÿííÿ:

1) x|x – 3| – 5|x – 3|  0; 2) |x||x – 2| – 7|x – 2|  0.

21. Çà äåÿêîãî çíà÷åííÿ x çíà÷åííÿ âèðàçó x2 – 3x – 13

äîðіâíþє –1. Çíàéäіòü çà òîãî ñàìîãî çíà÷åííÿ õ çíà÷åííÿ

âèðàçó:

1) 2x2 – 6x – 26; 2) x2(x2 – 3x – 13) – 3x(x2 – 3x – 13);

3) 3x2 – 9x – 8; 4) x2 – x + 3.

Äî § 24

22. Âèêîíàéòå ìíîæåííÿ:

1) (m – p)(a + x); 2) (2 + t)(a – 3); 3) (a + b)(2 + c); 4) (a – 2)(b – 3).

23. Ïîäàéòå ó âèãëÿäі ìíîãî÷ëåíà:

1) (2m – 3p)(3m + 2p); 2) (2a2 + b)(3b – 5a2);

3) (7x7 2 – 2x)(3x + 1); 4) (5a3 – 4a2)(9a2 + 8a);

5) (3a2 + 5ba)(3b – 4a); 6) (mn – n2)(4n3 + 2n2m).

24. Ñïðîñòіòü âèðàç:

1) (a – 8)(2a – 2) – (a + 9)(a – 3);

2) (x – y)(x + 3) – (x + y)(x – 3);

3) (3a – 5b)(5a + 3b) – (5a – 3b)(3a + 5b);

4) (a3 + 4m)(a2 – 4m) – (a2 + 4m)(a3 – 4m).

Ìíîãî÷ëåí 203

25.Ðîçâ’ÿæіòü ðіâíÿííÿ: 1) (3x – 1)(2x + 6) – (2x – 2)(3x + 1)  –24; 2) (3x + 9)(x – 5) – (x – 7)(3x – 1)  12 + 8x.

26. Äîâåäіòü, ùî çíà÷åííÿ âèðàçó 2(10x – 5)(x + 0,6) + (4x2 – 1)(2x – 5) – (2x – 1)(4x2 + 2x + 1)

íå çàëåæèòü âіä çíà÷åííÿ çìіííîї.

27. Äîâåäіòü, ùî (x + 1)(y + 1) – (x – 1)(y – 1)  8, ÿêùî x + y  4.

28.Äâà àêâàðіóìè ìàþòü ôîðìó ïðÿìîêóòíîãî ïàðàëåëåïіïåäà. Äîâæèíà ïåðøîãî – íà 10 ñì áіëüøà çà éîãî øèðèíó. Äîâæèíà äðóãîãî àêâàðіóìà íà 20 ñì áіëüøà çà äîâæèíó ïåðøîãî, à øèðèíà – íà 10 ñì áіëüøà çà øèðèíó ïåðøîãî. ßêùî îáèäâà àêâàðіóìè çàïîâíèòè âîäîþ íà âèñîòó 25 ñì, òî âîäè ó äðóãîìó áóäå íà 37,5 ë áіëüøå, íіæ ó ïåðøîìó. Çíàéäіòü äîâæèíó òà øèðèíó ïåðøîãî àêâàðіóìà.

29. Çàêіí÷іòü ðîçêëàäàííÿ ìíîãî÷ëåíà íà ìíîæíèêè: ab – 7b + 3a – 21  (ab – 7b) + (3a – 21)  ...

30. Ðîçêëàäіòü íà ìíîæíèêè:

1) m(a – b) + 3a – 3b; 2) a(b + c) + b + c; 3) 3a – 3c + xa – xc; 4) ab – ac – 4b + 4c.

31. Ïîäàéòå ìíîãî÷ëåí ó âèãëÿäі äîáóòêó: 1) 12x2c – 8x2y – 9cy3 + 6y4; 2) 1,6mn2 – 2,4mp2 – n3 + 1,5np2 .

32. Ðîçâ’ÿæіòü ðіâíÿííÿ x2 + 5x – 6  0, çàñòîñóâàâøè ðîçêëà äàííÿ ìíîãî÷ëåíà íà ìíîæíèêè.

ÒÅÌÀ 5 204
Äî §
25

Ãîëî â íå â òåì i 5

Ìíîãî÷ëåíîì íàçèâàþòü ñóìó îäíî÷ëåíіâ.

Ïîäіáíі äîäàíêè ìíîãî÷ëåíà íàçèâàþòü ïîäіáíèìè ÷ëåíàìè ìíîãî÷ëåíà, à çâåäåííÿ ïîäіáíèõ äîäàíêіâ ó ìíîãî÷ëåíі – çâåäåííÿì ïîäіáíèõ ÷ëåíіâ ìíîãî÷ëåíà.

Ìíîãî÷ëåí, ùî є ñóìîþ îäíî÷ëåíіâ ñòàíäàðòíîãî âèãëÿäó, ñåðåä ÿêèõ íåìàє ïîäіáíèõ äîäàíêіâ, íàçèâàþòü ìíîãî÷ëåíîì ñòàíäàðòíîãî âèãëÿäó.

Äîäàâàííÿ і âіäíіìàííÿ ìíîãî÷ëåíіâ âèêîíóþòü, âèêîðèñòîâóþ÷è ïðàâèëà ðîçêðèòòÿ äóæîê і çâåäåííÿ ïîäіáíèõ äîäàíêіâ. М НОЖЕННЯ О Д НОЧЛЕНА

Ùîá ïîìíîæèòè îäíî÷ëåí íà ìíîãî÷ëåí, ïîòðіáíî ïîìíîæèòè öåé îäíî÷ëåí íà êîæíèé ÷ëåí ìíîãî÷ëåíà і çíàéäåíі äîáóòêè äîäàòè.

Р ОЗКЛА

Ðîçêëàñòè ìíîãî÷ëåí íà ìíîæíèêè îçíà÷àє ïîäàòè éîãî

ó âèãëÿäі äîáóòêó îäíî÷ëåíà íà ìíîãî÷ëåí àáî äîáóòêó êіëüêîõ ìíîãî÷ëåíіâ òàê, ùîá öåé äîáóòîê áóâ òîòîæíî ðіâíèì äàíîìó ìíîãî÷ëåíó. М НОЖЕННЯ МНОГОЧЛЕНА НА МНОГОЧЛЕ Н Ùîá ïîìíîæèòè ìíîãî÷ëåí íà ìíîãî÷ëåí, ïîòðіáíî êîæíèé ÷ëåí îäíîãî ìíîãî÷ëåíà ïîìíîæèòè íà êîæíèé ÷ëåí іíøîãî ìíîãî÷ëåíà òà îäåðæàíі äîáóòêè äîäàòè.

Ìíîãî÷ëåí 205
Н
М НОГОЧЛЕ
Д
І ВІ Д НІМАННЯ
О Д АВАННЯ
МНОГОЧЛЕНІВ
НА МНОГОЧЛЕ Н
Д АННЯ МНОГОЧЛЕНІВ НА МНОЖНИК И

ТРИКУТНИКИ. ОЗНАКИ РІВНОСТІ

У ЦІЙ ТЕМІ ВИ:

пригадаєте

дізнаєтеся

навчитеся

пригадаєте поняття трикутника і його основних елементів; види трикутників; про висоту, медіану та бісектрису трикутника; доводити рівність трикутників на основі ознак; застосовувати властивості рівнобедреного трикутника до розв’язування задач.

Ïîçíà÷èìî òðè òî÷êè A, B і C, ÿêі íå ëåæàòü íà îäíіé ïðÿìіé, і ñïîëó÷èìî їõ âіäðіçêàìè (äèâ. ìàë.).

206 ТЕМА
6
ТРИКУТНИКІВ
§
Трикутник
його
26.
і
елементи Трикутник
ТРИКУТНИКІ
В

Òðèêóòíèêè. Îçíàêè ð³âíîñò³ òðèêóòíèê³â

ßêùî ç âåðøèíè òðèêóòíèêà íå ïðîâåäåíî æîäíèõ іíøèõ ëіíіé, îêðіì éîãî ñòîðіí, òî êóòè òðèêóòíèêà ìîæíà íàçèâàòè îäíієþ áóêâîþ – їõíüîþ âåðøèíîþ:  A,  B і  C. Ñòîðîíè òðèêóòíèêà òàêîæ ìîæíà ïîçíà÷àòè ìàëèìè áóêâàìè ëàòèíñüêîãî àëôàâіòó a, b і c âіäïîâіäíî äî ïîçíà÷åííÿ ïðîòèëåæíèõ їì âåðøèí.

Кожний трикутник має три вершини, три сторони і три кути, які ще називають елементами трикутника

Периметр трикутника

Ñóìó äîâæèí óñіõ ñòîðіí òðèêóòíèêà íàçèâàþòü éîãî ïåðèìåòðîì. Ïåðèìåòð ïîçíà÷àþòü áóêâîþ P, íàïðèêëàä, P{ A BC –ïåðèìåòð òðèêóòíèêà ABC: P{ ABC  AB + BC + CA. Îäíà çі ñòîðіí òðèêóòíèêà íà 7 ñì ìåíøà âіä

і÷і ìåíøà âіä òðåòüîї. Çíàéòè ñòîðîíè òðèêóòíèêà, ÿêùî éîãî ïåðèìåòð äîðіâíþє 47 ñì.

Ðîçâ’ÿçàííÿ. 1) Íåõàé äîâæèíà íàéìåíøîї ñòîðîíè òðèêóòíèêà äîðіâíþє x ñì, òîäі äîâæèíà äðóãîї – (x + 7) ñì, à òðåòüîї –2x ñì.

2) Îñêіëüêè P{  47 ñì, ìàєìî ðіâíÿííÿ: x + (x + 7) + 2x  47. Ðîçâ’ÿçàâøè öå ðіâíÿííÿ, îòðèìàєìî x  10 (ñì).

3) Îòæå, äîâæèíà îäíієї ñòîðîíè òðèêóòíèêà äîðіâíþє 10 ñì, äðóãîї – 17 ñì, òðåòüîї – 20 ñì. Âіäïîâіäü: 10 ñì, 17 ñì, 20 ñì.

207
ї
äðóãî
òà âäâ
Класифікація трикутників за кутами Приклад.

манітних будівель, конструкцій тощо.

Зображення трикутників і задач, пов’язаних із трикутниками, дослідники знаходили в єгипетських папірусах, стародавніх індійських книгах, інших документах давнини.

У Давній Греції ще в VII ст. до н. е. були відомі деякі важливі факти, пов’язані з трикутником. Так, наприклад, Фалес довів, що трикутник можна однозначно задати

вода, вогонь і повітря. Трикутник вершиною догори

символ, знак вогню, духу, а вершиною донизу символізує жіноче начало, матерію. Трикутники, що торкаються вершинами один

«пісковий годинник», символізують Світ та Антисвіт. А місце їхнього дотику

ÒÅÌÀ 6 208 Трикутник уважався найпростішою замкненою прямолінійною фігурою. Властивості цієї фігури людство вивчало та використовувало у практич-
з давніх-давен. Так, наприклад, у будівництві здавна ви-
жорсткості
для укріплення різно-
ній діяльності
користовують властивість
трикутника
і двома прилеглими до неї кутами. Найповніше вчення про трикутники виклав Евклід у першій книжці «Начал». * * * В Україні трикутник – один з десяти головних символів, які наші предки споконвіку вишивали на своїх сорочках. У давніх віруваннях трикутник – це символ брами у вічне життя та єдності трьох світів: земного, підземного й небесного. Це й три рівні буття,
світу. А ще – це три стихії:
– це чоловічий
стороною
тривимірність
до одного,
може бути своєрідним місцем переходу з одного світу до іншого. Яку фігуру називають трикутником? Що називають вершинами трикутника,
кутами трикутника? Що називають периметром три-
залежно від кутів? Ðîçâ'ÿæiòü çàäà÷i òà âèêîíàéòå âï ð àâ è 26.1. (Óñíî.) Çà ìàëþíêîì 26.1 çíàéäіòü ïåðèìåòð òðèêóòíèêà KLM. 26.2.Íàêðåñëіòü { PKL. Çàïèøіòü âåðøèíè, ñòîðîíè
êóòè öüîãî òðèêóòíèêà.
ніби
сторонами трикутника,
кутника? Які види трикутників розрізняють
òà
Ìàë. 26.1

Òðèêóòíèêè. Îçíàêè ð³âíîñò³ òðèêóòíèê³â

26.3. Íàêðåñëіòü òðèêóòíèê і ïîçíà÷òå éîãî âåðøèíè áóêâàìè A, M і N. Íàçâіòü ñòîðîíè é êóòè öüîãî òðèêóòíèêà. Âèêîíàéòå âіäïîâіäíі çàïèñè.

26.4. (Óñíî.) Íà ÿêîìó ç ìàëþíêіâ 26.2–26.4 òðè òî÷êè ìîæóòü áóòè âåðøèíàìè òðèêóòíèêà, à íà ÿêîìó – íі?

Ìàë. 26.2 Ìàë. 26.3 Ìàë. 26.4

26.5. Çíàéäіòü ïåðèìåòð òðèêóòíèêà çі ñòîðîíàìè 25 ìì, 3,2 ñì, 0,4 äì.

26.6. Çíàéäіòü ïåðèìåòð òðèêóòíèêà, ñòîðîíè ÿêîãî äîðіâíþþòü 4,3 ñì, 29 ìì, 0,3 äì.

26.7. Íàêðåñëіòü ãîñòðîêóòíèé { A BC. Âèìіðÿéòå éîãî ñòîðîíè òà çíàéäіòü éîãî ïåðèìåòð.

26.8. Íàêðåñëіòü òóïîêóòíèé òðèêóòíèê, âåðøèíàìè ÿêîãî є òî÷êè P, L і K. Âèìіðÿéòå ñòîðîíè öüîãî òðèêóòíèêà òà çíàéäіòü éîãî ïåðèìåòð.

26.9. Îäíà ñòîðîíà òðèêóòíèêà âòðè÷і ìåíøà âіä äðóãîї òà íà 7 ñì ìåíøà âіä òðåòüîї. Çíàéäіòü ñòîðîíè òðèêóòíèêà, ÿêùî éîãî ïåðèìåòð äîðіâíþє 32 ñì.

26.10. Îäíà ñòîðîíà òðèêóòíèêà íà 2 äì áіëüøà çà äðóãó і â 1,5 ðàçà ìåíøà âіä òðåòüîї ñòîðîíè. Çíàéäіòü ñòîðîíè òðèêóòíèêà, ÿêùî éîãî ïåðèìåòð äîðіâíþє 40 äì.

26.11. Âèêîðèñòîâóþ÷è ëіíіéêó ç ïîäіëêàìè òà òðàíñïîðòèð, ïîáóäóéòå { A BC, ó ÿêîãî  A  60 , AB  3 ñì, AC  7 ñì.

26.12. Ïîáóäóéòå çà äîïîìîãîþ ëіíіéêè ç ïîäіëêàìè òà êîñèíöÿ { PKL, ó ÿêîãî  P  90 , PK  3 ñì, PL  4 ñì. ßê íàçèâàþòü òàêèé òðèêóòíèê? Âèìіðÿéòå äîâæèíó ñòîðîíè KL.

26.13. Çíàéäіòü ñòîðîíè òðèêóòíèêà, ÿêùî âîíè ïðîïîðöіéíі ÷èñëàì 3, 4 і 6, à ïåðèìåòð òðèêóòíèêà äîðіâíþє 52 äì.

26.14. Ïåðèìåòð òðèêóòíèêà äîðіâíþє 72 ñì. Çíàéäіòü ñòîðîíè öüîãî òðèêóòíèêà, ÿêùî âîíè ïðîïîðöіéíі ÷èñëàì 2, 3 і 4. 26.15. Óêàæіòü, ñêіëüêîìà ñïîñîáàìè ìîæíà íàçâàòè òðèêóòíèê ç âåðøèíàìè â òî÷êàõ M, N і K. Çàïèøіòü óñі öі íàçâè.

209

26.16. Ñóìà ïåðøîї òà äðóãîї ñòîðіí òðèêóòíèêà äîðіâíþє 11 ñì, äðóãîї òà òðåòüîї – 14 ñì, à ïåðøîї òà òðåòüîї – 13 ñì. Çíàéäіòü ïåðèìåòð òðèêóòíèêà.

 ï ð à â è äëÿ ïî â òî ð åííÿ ðð

26.17. Íàêðåñëіòü âіäðіçîê AB çàâäîâæêè 2 ñì 7 ìì. Íàêðåñëіòü âіäðіçîê PL, ùî äîðіâíþє âіäðіçêó AB.

26.18. ßêèé êóò óòâîðþє áіñåêòðèñà êóòà 78 ç ïðîìåíåì, ùî є äîïîâíÿëüíèì äî îäíієї ç éîãî ñòîðіí? Æè òò є â à ìàòåìàò è êà

26.19. Âіäîìî, ùî 1 ãà ëіñó î÷èùóє çà ðіê 18 ìëí ì3 ïîâіòðÿ. Ñêіëüêè ì3 ïîâіòðÿ î÷èñòèòü çà ðіê ëіñ ïëîùåþ: 1) 3 ãà; 2) 2 êì2?

Ö і êà â і çà ä à÷ і – ïîì і ð ê ó

26.20. Ñêіëüêè ÷îòèðèêóòíèêіâ ó ï’ÿòèêóòíіé çіðöі? § 27. Рівність геометричних фігур

Загальне означення рівних фігур

Äâà âіäðіçêè íàçèâàþòü ðіâíèìè ìіæ ñîáîþ,

ÿêùî âîíè ìàþòü îäíàêîâó äîâæèíó;

äâà êóòè íàçèâàþòü ðіâíèìè ìіæ ñîáîþ, ÿêùî

âîíè ìàþòü îäíàêîâó ãðàäóñíó ìіðó.

Ðîçãëÿíåìî äâà ðіâíèõ âіäðіçêè A B òà KL, äîâæèíà êîæíîãî ç ÿêèõ ïî 2 ñì (ìàë. 27.1).

Óÿâіìî, íàïðèêëàä, ùî âіäðіçîê A B íàêðåñëåíî íà ïðîçîðіé ïëіâöі. Ïåðåìіùóþ÷è ïëіâêó, âіäðіçîê A B ìîæíà ñóìіñòèòè ç âіäðіçêîì KL. Îòæå, ðіâíі âіäðіçêè AB і KL ìîæíà ñóìіñòèòè íàêëàäàííÿ ì.

Òàê ñàìî ìîæíà ñóìіñòèòè íàêëàäàííÿì äâà ðіâíèõ êóòè (ìàë. 27.2).

Ìàë. 27.2

ÒÅÌÀ 6 210
ðó
ä
äðóä
é î
íà÷å

Òðèêóòíèêè. Îçíàêè ð³âíîñò³ òðèêóòíèê³â

Òàêèì ÷èíîì, ïðèõîäèìî äî çàãàëüíîãî îçíà÷åííÿ ðіâíèõ ôіãóð:

Çàóâàæèìî, ùî öå îçíà÷åííÿ íå ñóïåðå÷èòü îçíà÷åííÿì ðіâíèõ âіäðіçêіâ і ðіâíèõ êóòіâ, ÿêі âè âæå çíàєòå. Рівність трикутників

Òåïåð ðîçãëÿíåìî ïèòàííÿ ðіâíîñòі òðèêóòíèêіâ.

Має значення порядок

Òі ñòîðîíè é òі êóòè, ÿêі ñóìіùàþòüñÿ ïðè íàêëàäàííі òðèêóòíèêіâ, áóäåìî íàçèâàòè âіäïîâіäíèìè ñòîðîíàìè і âіäïîâіäíèìè êóòàìè.

211
запису вершин рівних між собою трикутників,
установлюється рівністю відповідних кутів цих трикутників. Çàïèñ
ABC  { KLM îçíà÷àє, ùî M  A   K,  B   L,  C   M, à çàïèñ { ABC  { LKM – іíøå: M  A   L,  B   K,  C   M. Які геометричні фігури називають рівними? Рівність яких елементів трикутника можна встановити з огляду на те, що
ABC =
KLM?
який
{
{
{

'

27.1. 1) Âèìіðÿéòå äîâæèíè âіäðіçêіâ A B і CD íà ìàëþíêó 27.3 òà âñòàíîâіòü, ÷è ðіâíі âîíè.

2) Âèìіðÿéòå êóòè M і K íà ìàëþíêó 27.4 òà âñòàíîâіòü, ÷è ðіâíі âîíè.

Ìàë. 27.3 Ìàë. 27.4

27.2. 1) Âèìіðÿéòå äîâæèíè âіäðіçêіâ MN і PK íà ìàëþíêó 27.5 òà âñòàíîâіòü, ÷è ðіâíі âîíè.

2) Âèìіðÿéòå êóòè A і B íà ìàëþíêó 27.6 òà âñòàíîâіòü, ÷è

ðіâíі âîíè.

Ìàë. 27.5 Ìàë. 27.6

27.3. (Óñíî.) 1) ×è ìîæíà ñóìіñòèòè íàêëàäàííÿì âіäðіçêè AK і MF, ÿêùî F A K  1,7 ñì, à MF  17 ìì?

2) ×è ìîæíà ñóìіñòèòè íàêëàäàííÿì êóòè, ãðàäóñíі ìіðè ÿêèõ äîðіâíþþòü 27 і 31?

27.4. Äàíî: { A BC  { MPL. Äîïîâíіòü çàïèñè: 1)  A  … ; 2)  B  … ; 3)  C  … .

27.5. Äàíî: { MPT  { DCK. Äîïîâíіòü çàïèñè: 1) MP  … ; 2) PT  … ; 3) MT  … .

27.6. Íà ìàëþíêó 27.7 çîáðàæåíî ðіâíі òðèêóòíèêè. Äîïîâíіòü

çàïèñè ðіâíîñòі òðèêóòíèêіâ:

1) { AKM  … ; 2) { MAK  … .

Ìàë. 27.7

ÒÅÌÀ 6 212
Ðîçâ
ÿæiòü çàäà÷i òà âèêîíàéòå âï ð àâ è

Òðèêóòíèêè. Îçíàêè ð³âíîñò³ òðèêóòíèê³â

27.7. Íà ìàëþíêó 27.8 çîáðàæåíî

ðіâíі òðèêóòíèêè. Äîïîâíіòü

çàïèñè ðіâíîñòі òðèêóòíèêіâ:

1) { A BC  … ; 2) { CA B  … .

27.8. Âіäîìî, ùî { A BC  { KLP, A B  6 ñì, LP  8 ñì, AC  10 ñì. Çíàéäіòü íåâіäîìі

ñòîðîíè òðèêóòíèêіâ ABC і KLP.

Ìàë. 27.8

27.9. Âіäîìî, ùî { PMT  { DCF,F  P  41 ,  C  92 ,  T  47 .

Çíàéäіòü íåâіäîìі êóòè òðèêóòíèêіâ PMT і DCF.F

27.10. 1) Ïåðèìåòðè äâîõ òðèêóòíèêіâ ðіâíі. ×è ìîæíà

ñòâåðäæóâàòè, ùî öі òðèêóòíèêè ðіâíі? 2) Ïåðèìåòð îäíîãî òðèêóòíèêà áіëüøèé çà

іíøîãî. ×è ìîæóòü öі òðèêóòíèêè áóòè ðіâíèìè?

27.11. Âіäîìî, ùî { A BC  { CBA. ×è є ó òðèêóòíèêà A BC ðіâíі ñòîðîíè? ßêùî òàê, íàçâіòü їõ.

27.12. Âіäîìî, ùî { MNK  { MKN. ×è є ó òðèêóòíèêà N MNK ðіâíі êóòè? ßêùî òàê, íàçâіòü їõ.

27.13. Äàíî: { A BC  { BCA. Çíàéäіòü ïåðèìåòð òðèêóòíèêà A BC, ÿêùî A B  7 ñì.

27.14. Äàíî: { PKL  { KLP. Çíàéäіòü PK, ÿêùî ïåðèìåòð òðèêóòíèêà PKL äîðіâíþє 27 ñì.

Âï ð à â è äëÿ ïî â òî ð åíí ÿ ðð

27.15. Íà ïðÿìіé ïîçíà÷åíî âіñіì òî÷îê òàê, ùî âіäñòàíü ìіæ êîæíèìè äâîìà ñóñіäíіìè òî÷êàìè – îäíàêîâà. Âіäñòàíü ìіæ êðàéíіìè òî÷êàìè äîðіâíþє 112 ñì. Çíàéäіòü âіäñòàíü ìіæ äâîìà ñóñіäíіìè òî÷êàìè.

27.16. Ðîçãîðíóòèé êóò ïîäіëèëè ïðîìåíÿìè íà òðè êóòè, îäèí ç ÿêèõ óäâі÷і ìåíøèé çà äðóãèé і âòðè÷і ìåíøèé çà òðåòіé. Çíàéäіòü ãðàäóñíі ìіðè öèõ òðüîõ êóòіâ.

Æè òò є â à ìàòåìàò è ê à

27.17. 1) Ñêіëüêè öåãëè é ðîç÷èíó ïîòðіáíî äëÿ ñïîðóäæåííÿ ñòіíè çàâäîâæêè 20 ì, çàâòîâøêè 50 ñì і çàââèøêè 2,5 ì, ÿêùî íà 1 ì3 êëàäêè ïîòðіáíî 400 öåãëèí, à âèòðàòè ðîç÷èíó ñòàíîâëÿòü 20 % âіä îáñÿãó êëàäêè?

213
ïåðèìåòð

Ö і êà â і çà ä à÷ і – ïîì і ð ê ó é î ä íà÷å äðóä

2) Ñêіëüêè êîøòóâàòèìóòü ìàòåðіàëè, ÿêùî âàðòіñòü îäíієї öåãëèíè äîðіâíþє 4,2 ãðí, à 1 ì3 ðîç÷èíó – 1520 ãðí? ðó

27.18. Ðîçðіæòå ïðÿìîêóòíèê, îäíà ñòîðîíà ÿêîãî äîðіâíþє 3 êëіòèíêè, à äðóãà – 9 êëіòèíîê, íà âіñіì êâàäðàòіâ òàê, ùîá ðîçðіçè ïðîõîäèëè ïî ñòîðîíàõ êëіòèíîê.

Ðіâíіñòü äâîõ òðèêóòíèêіâ ìîæíà âñòàíîâèòè, íå íàêëàäàþ÷è

îäèí òðèêóòíèê íà іíøèé, à ïîðіâíþþ÷è ëèøå äåÿêі їõíі åëåìåíòè. Öå âàæëèâî äëÿ ïðàêòèêè, íàïðèêëàä, äëÿ âñòàíîâëåííÿ ðіâíîñòі äâîõ çåìåëüíèõ äіëÿíîê òðèêóòíîї ôîðìè, ÿêі íå ìîæíà

íàêëàñòè îäíà íà îäíó.

Ïіä ÷àñ ðîçâ’ÿçóâàííÿ áàãàòüîõ òåîðåòè÷íèõ і ïðàêòè÷íèõ

çàäà÷ çðó÷íî âèêîðèñòîâóâàòè îçíàêè ðіâíîñòі òðèêóòíèêіâ.

Перша ознака рівності трикутників

Ðîçãëÿíåìî ïåðøó îçíàêó ðіâíîñòі òðèêóòíèêіâ.

Äîâåäåííÿ. Ðîçãëÿíåìî òðèêóòíèêè ABC і A1B1C1, ó ÿêèõ A B  A1B1, AC  A1C1 і  A   A1 (ìàë. 28.1).

Îñêіëüêè  A   A1, òî òðèêóòíèê A BC ìîæíà íàêëàñòè íà òðèêóòíèê A1B1C1 òàê, ùî âåðøèíà A ñóìіñòèòüñÿ ç âåðøèíîþ A1, ñòîðîíà AB íàêëàäåòüñÿ íà ïðîìіíü A1B1, à ñòîðîíà AC – íà ïðîìіíü A1C1. Îñêіëüêè AB  A1B1 і AC  A1C1, òî ñóìіñòÿòüñÿ òî÷êè B і B1, C і C1. Ó ðåçóëüòàòі òðè âåðøèíè òðè- Ìàë. 28.1

ÒÅÌÀ 6 214
§ 28. Перша та друга ознаки рівності трикутників Ознаки
рівності трикутників

Òðèêóòíèêè. Îçíàêè ð³âíîñò³ òðèêóòíèê³â

êóòíèêà A BC ñóìіñòÿòüñÿ ç âіäïîâіäíèìè âåðøèíàìè òðèêóòíèêà A1B1C1. Îòæå, ïіñëÿ íàêëàäàííÿ òðèêóòíèêè A BC і A1B1C1 çáіãàòèìóòüñÿ. Òîìó { A BC  { A1B1C1. Òåîðåìó äîâåäåíî.

Öþ îçíàêó ðіâíîñòі òðèêóòíèêіâ ùå íàçèâàþòü îçíàêîþ ðіâíîñòі òðèêóòíèêіâ çà äâîìà ñòîðîíàìè і êóòîì ìіæ íèìè.

Âіäðіçêè AB і CD ïåðåòèíàþòüñÿ

â òî÷öі O òàê, ùî òî÷êà O є ñåðåäèíîþ êîæíîãî ç íèõ. Äîâåñòè, ùî { AOC  { BOD. Äîâåäåííÿ. Ðîçãëÿíåìî ìàëþíîê 28.2. Çà

óìîâîþ AO  OB і CO  OD. Îêðіì òîãî,  AOC   BOD (ÿê âåðòèêàëüíі). Òîìó çà

ïåðøîþ îçíàêîþ ðіâíîñòі òðèêóòíèêіâ { AOC  { BOD.

Ìàë. 28.2

Äîâåäåííÿ. Ðîçãëÿíåìî òðèêóòíèêè A BC

і A1B1C1, ó ÿêèõ AB  A1B1,  A   A1

і  B   B1 (ìàë. 28.3).

Îñêіëüêè AB  A1B1, òî { A BC ìîæíà

íàêëàñòè íà { A1B1C1 òàê, ùî âåðøèíà A çáіãàòèìåòüñÿ ç âåðøèíîþ A1, âåðøèíà B –ç âåðøèíîþ B1, à âåðøèíè C і C1 ëåæàòèìóòü

Приклад 1. Ìàë. 28.3

ïî îäèí áіê âіä ïðÿìîї A1B1. À ëå  A   A1 і  B   B1, òîìó ïðè íàêëàäàííі ïðîìіíü AC íàêëàäåòüñÿ íà ïðîìіíü A1C1, à ïðîìіíü BC –íà ïðîìіíü B1C1. Òîäі òî÷êà C – ñïіëüíà òî÷êà ïðîìåíіâ AC і BC – çáіãàòèìåòüñÿ ç òî÷êîþ C1 – ñïіëüíîþ òî÷êîþ ïðîìåíіâ A1C1 і B1C1. Îòæå, òðè âåðøèíè òðèêóòíèêà A BC ñóìіñòÿòüñÿ ç âіäïîâіäíèìè âåðøèíàìè òðèêóòíèêà A1B1C1; òðèêóòíèêè A BC і A1B1C1 ïîâíіñòþ ñóìіñòèëèñÿ. Òîìó { ABC  { A1B1C1. Òåîðåìó äîâåäåíî. Öþ îçíàêó ðіâíîñòі òðèêóòíèêіâ ùå íàçèâàþòü îçíàêîþ ðіâíîñòі òðèêóòíèêіâ çà ñòîðîíîþ і äâîìà ïðèëåãëèìè êóòàìè.

215
Друга ознака рівності трикутників

Äîâåñòè ðіâíіñòü êóòіâ A і C (ìàë. 28.4), ÿêùî  ADB   CDB

Приклад 2. Ìàë. 28.4

і  ABD   CBD. Äîâåäåííÿ. 1) Ñòîðîíà BD ñïіëüíà äëÿ

òðèêóòíèêіâ ABD і CBD. Çà óìîâîþ

 ADB   CDB і  ABD   CBD. Òîìó,

çà äðóãîþ îçíàêîþ ðіâíîñòі òðèêóòíèêіâ, { ABD  { CBD. 2) Ðіâíèìè є âñі âіäïîâіäíі åëåìåíòè öèõ

òðèêóòíèêіâ. Îòæå,  A   C.

Сформулюйте та доведіть першу ознаку рівності трикутників. Сформулюйте та доведіть другу ознаку рівності трикутників.

ÒÅÌÀ 6 216
ÿæiòü çàäà÷i òà âèêîíàéòå âï ð àâ è
ìàëþíêàõ
ðіâíі ìіæ ñîáîþ.
Ðîçâ '
28.1. (Óñíî.) Òðèêóòíèêè íà
28.5 і 28.6
Çà ÿêîþ îçíàêîþ? Ìàë. 28.5 Ìàë. 28.6 28.2. Òðèêóòíèêè íà ìàëþíêàõ 28.7 і 28.8 ðіâíі ìіæ ñîáîþ. Çà ÿêîþ îçíàêîþ? Ìàë. 28.7 Ìàë. 28.8

Òðèêóòíèêè. Îçíàêè ð³âíîñò³

28.3. Íàçâіòü ñïіëüíèé åëåìåíò òðèêóòíèêіâ A BC і CDA (ìàë. 28.9)

òà òðèêóòíèêіâ KML і KNP (ìàë. 28.10).

Ìàë. 28.9 Ìàë. 28.10 Ìàë. 28.11 Ìàë. 28.12

28.4. Äîâåäіòü, ùî { A BC  { ADC (ìàë. 28.11), ÿêùî

BC  CD і  ACB   ACD.

28.5. Äàíî: AB  BC, BK  AC (ìàë. 28.12).

Äîâåäіòü: { ABK  { CBK.

28.6. Äàíî: MK  KN,N  M   N, PL  MN (ìàë. 28.13).

Äîâåäіòü: { MKP  { NKL.

Ìàë. 28.13 Ìàë. 28.14

28.7. Äîâåäіòü, ùî { ABK  { DCK (ìàë. 28.14), ÿêùî KB  KC і  A BK   DCK.

28.8. Äîâåäіòü, ùî { A BC  { DCB (ìàë. 28.15), ÿêùî A B  CD і  A BC   BCD.

28.9. Ïðîìіíü OC є áіñåêòðèñîþ êóòà AOB (ìàë. 28.16),  OCM   OCN. Äîâåäіòü, ùî N { OMC  { ONC.

Ìàë. 28.15 Ìàë. 28.16

òðèêóòíèê³â 217

28.10. Ïðîìіíü BK є áіñåêòðèñîþ êóòà A BC (ìàë. 28.17), MN  BK. Äîâåäіòü, ùî MO  ON.N

Ìàë. 28.17

Ìàë. 28.18

28.11. Äàíî: AO  OC, BO  OD (ìàë. 28.18).

Äîâåäіòü: A B  CD, BC  AD.

28.12. Äàíî: A B  CD,  BAC   DCA (ìàë. 28.19).

Äîâåäіòü: { ABC  { CDA.

Ìàë. 28.19

Ìàë. 28.20

28.13. Äîâåäіòü ðіâíіñòü òðèêóòíèêіâ MKL і KMP, çîáðàæåíèõ íà ìàëþíêó 28.20, ÿêùî  LMK   PKM і  LKM   PMK.

28.14. { A BC  { A1B1C1. Íà ñòîðîíàõ BC і B1C1 ïîçíà÷åíî âіäïîâіäíî òî÷êè L і L1 òàêі, ùî  LAC   L1 A1C1 (ìàë. 28.21).

Äîâåäіòü, ùî { A LC  { A1L1C1.

Ìàë. 28.21 Ìàë. 28.22

28.15. { A BC  { A1B1C1. Íà ñòîðîíàõ AC і A1C1 ïîçíà÷åíî âіäïîâіäíî òî÷êè M і M1 òàêі, ùî AM  A1M1 (ìàë. 28.22).

Äîâåäіòü, ùî { ABM  { A1B1M1.

ÒÅÌÀ 6 218

Òðèêóòíèêè. Îçíàêè ð³âíîñò³ òðèêóòíèê³â

28.16. ×è ìîæíà ñòâåðäæóâàòè, ùî êîëè äâі ñòîðîíè і êóò îäíîãî òðèêóòíèêà äîðіâíþþòü äâîì ñòîðîíàì і êóòó іíøîãî òðèêóòíèêà, òî òàêі òðèêóòíèêè ðіâíі ìіæ ñîáîþ?

Îá´ðóíòóéòå, ïîäàâøè ñõåìàòè÷íі ìàëþíêè.

28.17. ×è ìîæíà ñòâåðäæóâàòè, ùî êîëè ñòîðîíà і äâà êóòè îäíîãî òðèêóòíèêà äîðіâíþþòü ñòîðîíі і äâîì êóòàì іíøîãî òðèêóòíèêà, òî òàêі òðèêóòíèêè ðіâíі ìіæ ñîáîþ? Îá´ðóíòóéòå, ïîäàâøè ñõåìàòè÷íі ìàëþíêè.

28.18. { A BK  { CBL (ìàë. 28.23). Äîâåäіòü, ùî { A BL  { CBK.

28.19. { AKC  { ALC (ìàë. 28.24). Äîâåäіòü, ùî { BKC  { BLC.

Ìàë. 28.23 Ìàë. 28.24

28.20. Íà áіñåêòðèñі êóòà A ïîçíà÷èëè òî÷êó B, à íà éîãî ñòîðîíàõ òàêі òî÷êè M і N, ùî  A BM   ABN. Äîâåäіòü, N ùî MN  A B. Âï ð à â

è äëÿ ïî â òî ð åíí ÿ ðð

28.21. Îäíà çі ñòîðіí òðèêóòíèêà äîðіâíþє 4 äì, ùî íà 12 ñì ìåíøå âіä äðóãîї ñòîðîíè òà âäâі÷і áіëüøå çà òðåòþ. Çíàéäіòü ïåðèìåòð òðèêóòíèêà.

28.22. Ñóìà òðüîõ ç âîñüìè êóòіâ, ùî óòâîðèëèñÿ ïðè ïåðåòèíі ïàðàëåëüíèõ ïðÿìèõ a і b ñі÷íîþ c, äîðіâíþє 270. ×è ïåðïåíäèêóëÿðíі ïðÿìі a і c; b і c?

Æ èòò є â à ìàòåìàòèê à

28.23. Ïіäëîãó êіìíàòè, ùî ìàє ôîðìó ïðÿìîêóòíèêà çі ñòîðîíàìè 3,5 ì і 6 ì, ïîòðіáíî âêðèòè ëàìіíàòîì ç ïðÿìîêóòíèõ äîùå÷îê çі ñòîðîíàìè 7 ñì і 40 ñì. Ñêіëüêè ïîòðіáíî òàêèõ äîùå÷îê?

iä ãîò ó éòåñÿ äî â è â ÷åííÿ íî â îãî ìàòåðiàë ó . Çíàéäіòü ïåðèìåòð òðèêóòíèêà, äâі ñòîðîíè ÿêîãî äîðіâíþþòü ïî 6 ñì, à òðåòÿ ñòîðîíà – 8 ñì.

219

ðó Ö і êà â і çà ä à÷ і – ïîì і ð ê ó é î ä íà÷å äðóä

28.25. ßê ç ïðÿìîêóòíèêіâ, ùî ìàþòü ðîçìіðè 1  1, 1  2, 1  3, 1  4, ..., 1  100, ñêëàñòè ïðÿìîêóòíèê, êîæíà ñòîðîíà ÿêîãî áіëüøà çà 1?

§ 29. Рівнобедрений трикутник

Класифікація трикутників за сторонами

Âè âæå âìієòå êëàñèôіêóâàòè òðèêóòíèêè çà êóòàìè. Ðîçãëÿ-

íåìî êëàñèôіêàöіþ òðèêóòíèêіâ çàëåæíî âіä їõíіõ ñòîðіí. Ó ðіâíîáåäðåíîìó òðèêóòíèêó A BC: A B – îñíîâà, AC і BC –áі÷íі ñòîðîíè.

Властивість рівнобедреного трикутника

Ðîçãëÿíåìî âàæëèâó âëàñòèâіñòü êóòіâ ðіâíîáåäðåíîãî òðèêóòíèêà.

Äîâåäåííÿ. Íåõàé A BC – ðіâíîáåäðåíèé òðèêóòíèê ç îñíîâîþ

AB (äèâ. ìàë. âèùå). Äîâåäåìî, ùî â íüîãî  A   B.

ÒÅÌÀ 6 220

Òðèêóòíèêè. Îçíàêè ð³âíîñò³ òðèêóòíèê³â

Îñêіëüêè AC  BÑ, ÑB  CA і  C – ñïіëüíèé äëÿ òðèêóòíèêіâ ACB і BCA, òî { ACB  { BCA (çà ïåðøîþ îçíàêîþ). Ç ðіâíîñòі òðèêóòíèêіââèïëèâàє,ùî  A   B. Òåîðåìó äîâåäåíî.

Äîâåäåííÿ. Ðîçãëÿíåìî ðіâíîñòîðîííіé { EFT (ìàë. 29.1), ó ÿêîãî EF  FT  ET. Îñêіëüêè T EF  FT, òî éîãî ìîæíà ââàæàòè T ðіâíîáåäðåíèì ç îñíîâîþ ET. Òîìó T  E   T. Àíàëîãі÷íî (ââà-

æàþ÷è îñíîâîþ FT) ìàєìî, ùî  F   T. Îòæå,  E   T   F.

Ìàë. 29.1 Ìàë. 29.2 Íà ìàëþíêó 29.2 AB  BC, AD  EC. Äîâåñòè, ùî

 BDE   BED.

Äîâåäåííÿ. 1) Îñêіëüêè AB  BC, òî { ABC – ðіâíîáåäðåíèé

ç îñíîâîþ AC. Òîìó  A   C.

2) { BAD  { BCE (çà ïåðøîþ îçíàêîþ). Òîìó BD  BE.

3) Îòæå, { BDE – ðіâíîáåäðåíèé ç îñíîâîþ DE. Òîìó  BDE   BED, ùî é ïîòðіáíî áóëî äîâåñòè.

Ознака рівнобедреного трикутника

Ðîçãëÿíåìî îçíàêó ð ðåíîãî òðèêóò

Äîâåäåííÿ. Íåõàé ABC – òðèêóòíèê, ó ÿêîãî  A   B (ìàë. 29.3). Äîâåäåìî, ùî âіí ðіâíîáåäðåíèé ç îñíîâîþ AB. Îñêіëüêè  A   B,  B   A і AB – ñïіëüíà ñòîðîíà äëÿ òðèêóòíèêіâ ACB і BCA, òî { ACB  { BCA (çà äðóãîþ îçíàêîþ). Ç ðіâíîñòі òðèêóòíèêіâ âèïëèâàє, ùî AC  BC. Òîìó { ABC – ðіâíîáåäðåíèé ç îñíîâîþ A B. Òåîðåìó äîâåäåíî.

Приклад 1. Ìàë. 29.3

221

Çàóâàæèìî, ùî ðîçãëÿíóòà òåîðåìà є îáåðíåíîþ äî òåîðåìè ïðî âëàñòèâіñòü êóòіâ ðіâíîáåäðåíîãî òðèêóòíèêà.

Äîâåäåííÿ. Íåõàé { A BC òàêèé, ùî  A   B   C. Îñêіëüêè  A   B, òî AC  BC. Îñêіëüêè  A   C, òî AB  BC. Îòæå, AC  BC  A B, òîáòî { A BC – ðіâíîñòîðîííіé.

Приклад 2.

Äàíî:  1   2 (ìàë. 29.4).

Ä îâåñòè: { KLM – ðіâíîáåäðåíèé.

Äîâåäåííÿ.

1)  KLM   1 (ÿê âåðòèêàëüíі),  KML   2 (ÿê âåðòèêàëüíі).

2)  1   2 (çà óìîâîþ). Òîìó  KLM   KML.

3) Îòæå, { KLM – ðіâíîáåäðåíèé (çà îçíàêîþ ðіâíîáåäðåíîãî òðèêóòíèêà).

Ìàë. 29.4

Який трикутник називають рівнобедреним; різностороннім; рівностороннім? Сформулюйте та доведіть теорему

Ðîçâ'ÿæiòü çàäà÷i òà âèêîíàéòå

29.1. (Óñíî.) ßêèé ç òðèêóòíèêіâ, çîáðàæåíèõ íà ìàëþíêó 29.5, є ðіâíîáåäðåíèì, ÿêèé – ðіâíîñòîðîííіì, à ÿêèé – ðіçíîñòîðîííіì? Çíàéäіòü ïåðèìåòð ðіâíîáåäðåíîãî òðèêóòíèêà, çîáðàæåíîãî íà öüîìó ìàëþíêó.

Ìàë. 29.5 Ìàë. 29.6

29.2. Óêàæіòü îñíîâó òà áі÷íі ñòîðîíè òðèêóòíèêà DTP (ìàë. 29.6). Ùî ìîæíà ñêàçàòè ïðî êóòè T і P öüîãî òðèêóòíèêà?

29.3. Îäèí ç êóòіâ ïðè îñíîâі ðіâíîáåäðåíîãî òðèêóòíèêà äîðіâíþє 70. Çíàéäіòü äðóãèé êóò ïðè îñíîâі öüîãî òðèêóòíèêà.

ÒÅÌÀ 6 222
про властивість
кутника та наслідок з неї. Сформулюйте та доведіть ознаку рівнобедреного трикутника та наслідок з неї
кутів рівнобедреного три-
âï ð àâ è

Òðèêóòíèêè. Îçíàêè ð³âíîñò³ òðèêóòíèê³â

29.4. Îñíîâà ðіâíîáåäðåíîãî òðèêóòíèêà äîðіâíþє 9 ñì, ùå îäíà ñòîðîíà – 6 ñì. ßêà äîâæèíà òðåòüîї ñòîðîíè?

29.5. { A BC – ðіâíîñòîðîííіé, A B  12 ñì. Çíàéäіòü éîãî ïåðèìåòð.

29.6. Ïåðèìåòð ðіâíîñòîðîííüîãî òðèêóòíèêà ABC äîðіâíþє 18 ñì. Çíàéäіòü äîâæèíó ñòîðîíè BC öüîãî òðèêóòíèêà.

29.7. Çíàéäіòü ïåðèìåòð ðіâíîáåäðåíîãî òðèêóòíèêà, áі÷íà ñòîðîíà ÿêîãî äîðіâíþє 7 ñì, à îñíîâà íà 2 ñì ìåíøà âіä áі÷íîї ñòîðîíè.

29.8. Çíàéäіòü ïåðèìåòð ðіâíîáåäðåíîãî òðèêóòíèêà, îñíîâà ÿêîãî äîðіâíþє 8 ñì, à áі÷íà ñòîðîíà íà 4 ñì áіëüøà çà îñíîâó.

29.9. (Óñíî.) ×è ìîæå áóòè ðіâíîáåäðåíèì òðèêóòíèê, óñі êóòè ÿêîãî ðіçíі? Âіäïîâіäü îáґðóíòóéòå.

29.10. Ïåðèìåòð ðіâíîáåäðåíîãî òðèêóòíèêà äîðіâíþє 20 ñì, à áі÷íà ñòîðîíà – 7 ñì. Çíàéäіòü îñíîâó òðèêóòíèêà.

29.11. Ïåðèìåòð ðіâíîáåäðåíîãî òðèêóòíèêà A MN ç îñíîâîþ MN äîðіâíþє 18 äì. Çíàéäіòü äîâæèíó îñíîâè MN, ÿêùî N A M  7 äì.

29.12. Ïåðèìåòð ðіâíîáåäðåíîãî òðèêóòíèêà ACD ç áі÷íèìè ñòîðîíàìè AC і A D äîðіâíþє 30 äì. Çíàéäіòü äîâæèíó áі÷íîї ñòîðîíè, ÿêùî CD  12 äì.

29.13. Çíàéäіòü áі÷íó ñòîðîíó ðіâíîáåäðåíîãî òðèêóòíèêà, ÿêùî éîãî ïåðèìåòð äîðіâíþє 17 ñì, à îñíîâà – 5 ñì.

29.14. { ABC – ðіâíîáåäðåíèé ç îñíîâîþ AB (ìàë. 29.7). Äîâåäіòü, ùî  KAC   MBC.

29.15. { KLM – ðіâíîáåäðåíèé ç îñíîâîþ KL (ìàë. 29.8). Äîâåäіòü, ùî  MKL   PLN.N

29.16. ×è ïðàâèëüíі òâåðäæåííÿ:

29.18.Çíàéäіòü ñòîðîíè ðіâíîáåäðåíîãî òðèêóòíèêà, ÿêùî éîãî ïåðèìåòð 44 ñì, à áі÷íà ñòîðîíà íà 4 ñì áіëüøà çà îñíîâó. Ìàë. 29.7 Ìàë. 29.8

1) áóäü-ÿêèé ðіâíîñòîðîííіé òðèêóòíèê є ðіâíîáåäðåíèì;

2) áóäü-ÿêèé ðіâíîáåäðåíèé òðèêóòíèê є ðіâíîñòîðîííіì?

29.17. Çíàéäіòü ñòîðîíè ðіâíîáåäðåíîãî òðèêóòíèêà, ÿêùî éîãî ïåðèìåòð äîðіâíþє 14 ñì і âіí áіëüøèé çà ñóìó äâîõ áі÷íèõ ñòîðіí íà 6 ñì.

223

29.19. Çíàéäіòü ñòîðîíè ðіâíîáåäðåíîãî òðèêóòíèêà, ÿêùî éîãî ïåðèìåòð äîðіâíþє 35 äì, à îñíîâà âäâі÷і ìåíøà âіä áі÷íîї ñòîðîíè.

29.20. Íà áі÷íèõ ñòîðîíàõ A B і BC ðіâíîáåäðåíîãî òðèêóòíèêà A BC ïîçíà÷åíî òî÷êè K і L òàê, ùî A K  LC (ìàë. 29.9). Äîâåäіòü, ùî A L  KC.

29.21. Íà áі÷íèõ ñòîðîíàõ AB і BC ðіâíîáåäðåíîãî òðèêóòíèêà ABC ïîçíà÷åíî òî÷êè K і L òàê, ùî  KCA   LAC (ìàë. 29.9). Äîâåäіòü, ùî âіäðіçêè AK і CL ðіâíі.

29.22. Ñòîðîíè ðіâíîñòîðîííüîãî òðèêóòíèêà A BC ïðîäîâæåíî íà ðіâíі âіäðіçêè A K, BL і CM (ìàë. 29.10). Äîâåäіòü, ùî { KLM – ðіâíîñòîðîííіé.

29.23. Íà ñòîðîíàõ ðіâíîñòîðîííüîãî òðèêóòíèêà ABC âіäêëàäåíî ðіâíі âіäðіçêè A P, BK і CL (ìàë. 29.11). Äîâåäіòü, ùî { PKL – ðіâíîñòîðîííіé.

 ï ð à â è äëÿ ïî â òî ð åííÿ ðð

29.24. Äîâåäіòü, ùî ç äâîõ ñóìіæíèõ êóòіâ õî÷à á îäèí íå áіëüøèé çà 90 .

29.25. Âіäðіçêè AC і BD ïåðåòèíàþòüñÿ â òî÷öі O òàê, ùî { AOB  { COD (ìàë. 29.12). Òî÷êà K íàëåæèòü âіäðіçêó AB, à òî÷êà L – âіäðіçêó DC, ïðè÷îìó KL ïðîõîäèòü ÷åðåç òî÷êó O. Äîâåäіòü, ùî KO  OL і KB  DL.

29.26. Íà âіäðіçêó AB  48 ñì ïîçíà÷åíî òî÷êó K òàê, ùî 5AK  7BK. Çíàéäіòü äîâæèíè âіäðіçêіâ AK і BK. Æ èòò є â à ìàòåìàòèêà

29.27. Îäíå äåðåâî î÷èùàє çà ðіê çîíó ó ôîðìі ïðÿìîêóòíîãî ïàðàëåëåïіïåäà 100 ì çàâäîâæêè, 12 ì çàâøèðøêè, 10 ì çàââèøêè. Îá÷èñëіòü, ñêіëüêè êóáі÷íèõ ìåòðіâ ïîâіòðÿ î÷èñòÿòü âіä àâòîìîáіëüíèõ âèõëîïíèõ ãàçіâ 200 êàøòàíіâ, ïîñà äæåíèõ óçäîâæ äîðîãè.

ÒÅÌÀ 6 224

Òðèêóòíèêè. Îçíàêè ð³âíîñò³ òðèêóòíèê³â

Ö і êà â і çà ä à÷ і – ïîì і ð ê ó é î ä íà÷å äðóä

ðó

29.28. Çíàéäіòü ïî äâà ðîçâ’ÿçêè êîæíîї ç àíàãðàì (îäíà ç àíàãðàì є ãåîìåòðè÷íèì òåðìіíîì, ÿêèé âè çíàєòå ç ïîïåðåäíіõ êëàñіâ): 1) ÍÎÑÓÊ; 2) ÒÑÎÐÅÊ.

§ 30. Медіана, бісектриса і висота трикутника. Властивість бісектриси рівнобедреного трикутника

Ó êîæíîìó òðèêóòíèêó ìîæíà ïðîâåñòè êіëüêà âіäðіçêіâ, ÿêі

ìàþòü ñïåöіàëüíі íàçâè.

Медіана трикутника

Íà ìàëþíêó 30.1 â äð M1 – ìåä àíà òðèêóòíèêà ABC. Òî÷êó M1 íàçèâàþòü îñíîâîþ ìåäіàíè AM1M . Áóäü-ÿêèé òðèêóòíèê ìàє òðè ìåäіàíè. Íà ìàëþíêó 30.2 âі

225
äðіçêè AM1M , BM2M , CM3M – ìåäіàíè òðèêóòíèêà ABC. Ìåäіàíè òðèêóòíèêà ìàþòü öіêàâó âëàñòèâіñòü. Ìàë. 30.1 Ìàë. 30.2 Íà ìàëþíêó 30.2 òî÷êà M – öåíòðîїä òðèêóòíèêà A BC. Öþ âëàñòèâіñòü áóäå äîâåäåíî ó ñòàðøèõ êëàñàõ. Бісектриса трикутника

Íà ìàëþíêó 30.3 âіäðіçîê AL1 – áіñåêòðèñà òðèêóòíèêà A BC. Òî÷êó L1 íàçèâàþòü îñíîâîþ áіñåêòðèñè AL1. Áóäü-ÿêèé òðèêóòíèê ìàє òðè áіñåêòðèñè. Íà ìàëþíêó 30.4 âіäðіçêè AL1, BL2, CL3 – áіñåêòðèñè òðèêóòíèêà A BC.

Ìàë. 30.3 Ìàë. 30.4

Ó § 47 äîâåäåìî, ùî â áóäü-ÿêîìó òðèêóòíèêó áіñåêòðèñè ïåðåòèíàþòüñÿ â îäíіé òî÷öі (її íàçèâàþòü іíöåíòðîì). Íà ìàëþíêó 30.4 òî÷êà I – іíöåíòð òðèêóòíèêà A BC.

Висота трикутника

Íà ìàëþíêó 30.5 âіäðіçîê AH1H – âèñîòà òðèêóòíèêà A BC. Òî÷êó H1 íàçèâàþòü îñíîâîþ âèñîòè AH1H . Áóäü-ÿêèé òðèêóòíèê ìàє òðè âèñîòè. Íà ìàëþíêó 30.6 âіäðіçêè AH1H , BH2H , CH3H – âèñîòè ãîñòðîêóòíîãî òðèêóòíèêà A BC, íà ìàëþíêó 30.7 öі âіäðіçêè –âèñîòè ïðÿìîêóòíîãî òðèêóòíèêà A BC ç ïðÿìèì êóòîì C, à íà ìàëþíêó 30.8 öі âіäðіçêè – âèñîòè òóïîêóòíîãî òðèêóòíèêà A BC ç òóïèì êóòîì A.

Ìàë. 30.5

30.6

30.7 Ìàë. 30.8

ÒÅÌÀ 6 226
Ìàë.
Ìàë.

Òðèêóòíèêè. Îçíàêè ð³âíîñò³ òðèêóòíèê³â

Ó ñòàðøèõ êëàñàõ áóäå äîâåäåíî, ùî â áóäü-ÿêîìó òðèêóòíèêó òðè

і

A BC, íà ìàëþíêó 30.7 îðòîöåíòð òðèêóòíèêà çáіãàєòüñÿ ç òî÷êîþ C – âåðøèíîþ ïðÿìîãî êóòà òðèêóòíèêà A BC.

Властивість бісектриси рівнобедреного трикутника Ðîçãëÿíåìî ùå îäíó âàæëèâó âëàñòèâіñòü ðіâíîáåäðåíîãî òðèêóòíèêà.

Äîâåäåííÿ. Íåõàé A BC – ð âíîáåäðåíèé òðèêóòíèê ç îñíîâîþ BC, A N – éîãî áіñåêòðèñà (ìàë. 30.9). Äîâåäåìî, ùî A N є òàêîæ ìåäіàíîþ і âèñîòîþ.

1) Îñêіëüêè A B  AC,  BA N   CAN (çà óìîâîþ), à âіäðіçîê AN є ñïіëüíîþ ñòîðîíîþ òðèêóòíèêіâ BAN

і CAN, òî N { BA N  { CA N (çà ïåðøîþ îçíàêîþ).

2) Òîìó BN  NC. Îòæå, AN – ìåäіàíà òðèêóòíèêà. N

3) Òàêîæ ìàєìî  BNA   CNA. Îñêіëüêè öі

êóòè ñóìіæíі é ðіâíі, òî  BNA   CNA  90 . Îòæå, AN є òàêîæ âèñîòîþ.

Òåîðåìó äîâåäåíî.

Îñêіëüêè áіñåêòðèñà, ìåäіàíà і âèñîòà ðіâíîáåäðåíîãî òðèêóòíèêà, ïðîâåäåíі äî îñíîâè, çáіãàþòüñÿ, òî ñïðàâäæóþòüñÿ òàêі íàñë äêè ç òåîðåìè.

Ó ðіâíîáåäðåíîìó òðèêóòíèêó íîâîþ BC ïðîâåäåíî áіñåêòðèñó AN (ìàë. 30.9); N AN  12 ñì. Çíàéòè ïåðèìåòð òðèêóòíèêà ANB, ÿêùî ïåðèìåòð òðèêóòíèêà ABC äîðіâíþє 36 ñì. Ðîçâ’ÿçàííÿ. 1) Îñêіëüêè òðèêóòíèê ABC ðіâíîáåäðåíèé, à AN – áіñåêòðèñà, ùî ïðîâåäåíà äî îñíîâè öüîãî òðèêóòíèêà, òî AN є òàêîæ і ìåäіàíîþ. Òîìó BN  NC. Ìàë. 30.9 Приклад.

227
30.6
âèñîòè àáî їõíі ïðîäîâæåííÿ ïåðåòèíàþòüñÿ â îäíіé òî÷öі (її íàçèâàþòü îðòîöåíòðîì òðèêóòíèêà). Íà ìàëþíêàõ
30.8 òî÷êà H – îðòîöåíòð òðèêóòíèêà

2) Ïîçíà÷èìî P{ABC – ïåðèìåòð òðèêóòíèêà ABC, P{ANB — ïåðèìåòð òðèêóòíèêà ANB, ÿêèé ïîòðіáíî çíàéòè.

P{ABC  AB + AC + BC  AB + AC + BN + NC. Çà óìîâîþ AB  AC, êðіì òîãî BN  NC. Òîìó P{ABC  AB + + AB + BN + BN  2(AB( + BN). Çà óìîâîþ P{ABC  36 (ñì).

Òîìó 2(AB( + BN)  36, AB + BN  18 (ñì).

3) P{ANB  AN + AB + BN  AN + (AB + BN)  12 + 18  30 (ñì).

Âіäïîâіäü: 30 ñì.

Я кий відрізок називають

30.1. (Óñíî.) ßê íàçèâàþòü âіäðіçîê A K ó òðèêóòíèêó A BC (ìàë. 30.10–30.12)?

Ìàë. 30.11 Ìàë. 30.12

30.2. 1) ßê ó òðèêóòíèêó A BC íàçèâàþòü

âіäðіçîê AT (ìàë. 30.13), ÿêùî âіí є ïåðïåíäèêóëÿðîì äî ïðÿìîї BC?

2) ßê ó òðèêóòíèêó ABC (ìàë. 30.13)

íàçèâàþòü âіäðіçîê AN, ÿêùî N BN  NC?

3) ßê ó òðèêóòíèêó A BC (ìàë. 30.13)

íàçèâàþòü â і ä ðі çîê A P, ÿê ùî  BA P   PAC?

30.3. Ó òðèêóòíèêó A BC âіäðіçîê AK – âèñîòà (ìàë. 30.10). Çíàéäіòü ãðàäóñíі ìіðè êóòіâ BKA і CKA.

30.4. Ó òðèêóòíèêó A BC âіäðіçîê A K – áіñåêòðèñà (ìàë. 30.11),  BAK  40 . Çíàéäіòü ãðàäóñíó ìіðó êóòà BAC.

30.5. Ó òðèêóòíèêó ABC âіäðіçîê A K – ìåäіàíà (ìàë. 30.12), BC  12 ñì. Çíàéäіòü äîâæèíè âіäðіçêіâ BK і KC.

ÒÅÌÀ 6 228
медіаною трик утника? С кіль ки медіан має трик у
Який відрізок називають бісектрисою трик у тника? С кільки біс ектрис має трик утник? Який відрізок називають висотою трик утника? С кільки висот має трик утник? С форм улюйте та доведіть теорем у про властивість бісектриси рівнобед реного трик у тника. Сформ улюйте наслідки із ціє ї теореми. Ðîçâ
çàäà÷i òà âèêîíàéòå âï ð àâ è
тник?
' ÿæiòü

Òðèêóòíèêè. Îçíàêè ð³âíîñò³ òðèêóòíèê³â

30.6. Íàêðåñëіòü òðèêóòíèê. Çà äîïîìîãîþ ëіíіéêè ç ïîäіëêàìè ïðîâåäіòü éîãî ìåäіàíè.

30.7. Íàêðåñëіòü òðèêóòíèê. Çà äîïîìîãîþ òðàíñïîðòèðà і ëіíіéêè ïðîâåäіòü éîãî áіñåêòðèñè.

30.8. Íàêðåñëіòü òóïîêóòíèé òðèêóòíèê. Çà äîïîìîãîþ êðåñëÿðñüêîãî êîñèíöÿ ïðîâåäіòü éîãî âèñîòè.

30.9. Íàêðåñëіòü ãîñòðîêóòíèé òðèêóòíèê. Çà äîïîìîãîþ êðåñëÿðñüêîãî êîñèíöÿ ïðîâåäіòü éîãî âèñîòè.

30.10.Íà ìàëþíêó 30.14 âіäðіçîê A K – âèñîòà ðіâíîáåäðåíîãî

òðèêóòíèêà A BC ç îñíîâîþ BC. Çàïèøіòü òðè ïàðè ðіâíèõ

êóòіâ і äâі ïàðè ðіâíèõ âіäðіçêіâ, ùî є íà öüîìó ìàëþíêó.

30.11. Íà ìàëþíêó 30.15 âіäðіçîê EP – áіñåêòðèñà ðіâíîáåäðåíîãî

òðèêóòíèêà DEF ç îñíîâîþ DF. Çàïèøіòü òðè ïàðè ðіâíèõ F

êóòіâ і äâі ïàðè ðіâíèõ âіäðіçêіâ, ùî є íà öüîìó ìàëþíêó.

Ìàë. 30.14

Ìàë. 30.15

30.12. (Óñíî.) ×îìó íå ìîæíà ñòâåðäæóâàòè, ùî òðè âèñîòè òðèêóòíèêà çàâæäè ïåðåòèíàþòüñÿ â îäíіé òî÷öі?

30.13. Ó òðèêóòíèêó A BC  B   C. Áіñåêòðèñà, ïðîâåäåíà äî ÿêîї çі ñòîðіí, є îäíî÷àñíî і ìåäіàíîþ, і âèñîòîþ?

30.14. (Óñíî.) ßêі åëåìåíòè òðèêóòíèêà àáî їõíі ÷àñòèíè ñóìіñòÿòüñÿ, ÿêùî éîãî çіãíóòè ïî: 1) áіñåêòðèñі; 2) âèñîòі?

30.15. Äîâåäіòü, ùî êîëè áіñåêòðèñà òðèêóòíèêà є éîãî âèñîòîþ, òî òðèêóòíèê – ðіâíîáåäðåíèé.

30.16. Äîâåäіòü, ùî êîëè ìåäіàíà òðèêóòíèêà є éîãî âèñîòîþ, òî òðèêóòíèê – ðіâíîáåäðåíèé. Ï ð èì і òêà. Òâåðäæåííÿ çàäà÷ 30.15 і 30.16 ìîæíà ââàæàòè îçíàêàìè ðіâíîáåäðåíîãî òðèêóòíèêà.

30.17. AD і A1D1 – âіäïîâіäíî áіñåêòðèñè ðіâíèõ òðèêóòíèêіâ A BC і A1B1C1. Äîâåäіòü, ùî { A DC  { A1D1C1.

229

30.18. Äîâåäіòü, ùî â ðіâíîáåäðåíîìó òðèêóòíèêó ìåäіàíè, ïðîâåäåíі äî áі÷íèõ ñòîðіí, – ðіâíі.

30.19. Äîâåäіòü, ùî â ðіâíîáåäðåíîìó òðèêóòíèêó áіñåêòðèñè, ïðîâåäåíі äî áі÷íèõ ñòîðіí, – ðіâíі.

30.20. Ó ðіâíîáåäðåíîìó òðèêóòíèêó ABC ç îñíîâîþ AC ïðîâåäåíî âèñîòó BD. Çíàéäіòü ïåðèìåòð òðèêóòíèêà ABC, ÿêùî BD  10 ñì, à ïåðèìåòð òðèêóòíèêà ABD äîðіâíþє 40 ñì.

30.21. Ó ðіâíîáåäðåíîìó òðèêóòíèêó ABC ç îñíîâîþ AB ïðîâåäåíî ìåäіàíó CK. Çíàéäіòü її äîâæèíó, ÿêùî ïåðèìåòð òðèêóòíèêà ACK äîðіâíþє 12 ñì, à ïåðèìåòð òðèêóòíèêà K ABC – 16 ñì.

30.22. Äîâåäіòü, ùî êîëè ìåäіàíà òðèêóòíèêà є éîãî áіñåêòðèñîþ, òî òðèêóòíèê – ðіâíîáåäðåíèé. Ïð èì і òêà. Òâåðäæåííÿ çàäà÷і 30.22 ìîæíà ââàæàòè îçíàêîþ ðіâíîáåäðåíîãî òðèêóòíèêà.

30.23. Äâà ç âîñüìè êóòіâ, ùî óòâîðèëèñÿ ïðè ïåðåòèíі ïðÿìèõ a і b ñі÷íîþ c, äîðіâíþþòü 30 і 140 . ×è ìîæóòü ïðÿìі a і b áóòè ïàðàëåëüíèìè?

30.24. Ïåðèìåòð ðіâíîñòîðîííüîãî òðèêóòíèêà äîðіâíþє 12 ñì. Íà éîãî ñòîðîíі ïîáóäóâàëè ðіâíîáåäðåíèé òðèêóòíèê òàê, ùî ñòîðîíà äàíîãî òðèêóòíèêà є îñíîâîþ ðіâíîáåäðåíîãî. Çíàéäіòü ñòîðîíè ðіâíîáåäðåíîãî òðèêóòíèêà, ÿêùî éîãî ïåðèìåòð – 18 ñì.

30.25. Çíàéäіòü ñòîðîíè ðіâíîáåäðåíîãî òðèêóòíèêà, ïåðèìåòð ÿêîãî – 69 ñì, à éîãî îñíîâà ñêëàäàє 30 % âіä áі÷íîї ñòîðîíè.

Æè òò є â à ìàòåìàò è êà

30.26. Âèçíà÷òå ñóìó ãðîøåé, ÿêó ïîòðіáíî ñïëàòèòè çà ôàðáóâàííÿ òðåíàæåðíîãî çàëó, øèðèíà, äîâæèíà і âèñîòà ÿêîãî – 9,4 ì, 6,5 ì, 3,2 ì. Ôàðáóâàííÿ îäíîãî êâàäðàòíîãî ìåòðà êîøòóє 25 ãðí. Âіêíà òà äâåðі ñêëàäàþòü 9 % âіä çàãàëüíîї ïëîùі ñòіí. Îêðóãëіòü äî äåñÿòêіâ ãðèâåíü.

Ö і êà â і çà ä à÷ і – ïîì і ð ê ó é î ä íà÷å äðóä 30.27. Îëåñü ïðèäáàâ àêâàðіóì ó ôîðìі êóáà, ùî âìіùóє 125 ë âîäè. Âіí íàïîâíèâ àêâàðіóì, íå äîëèâøè äî êðàþ 6 ñì. Ñêіëüêè ëіòðіâ âîäè Îëåñü íàëèâ ó àêâàðіóì?

ÒÅÌÀ 6 230
 ï ð à â è äëÿ ïî â òî ð åííÿ ðð
ðó

Òðèêóòíèêè. Îçíàêè ð³âíîñò³ òðèêóòíèê³â

§ 31. Третя ознака рівності

Âè âæå çíàєòå äâі îçíàêè ðіâíîñòі òðèêóòíèêіâ (çà äâîìà ñòîðîíàìè і êóòîì ìіæ íèìè òà çà ñòîðîíîþ і äâîìà ïðèëåãëèìè êóòàìè). Ðîçãëÿíåìî ùå îäíó îçíàêó ðіâíîñòі òðèêóòíèêіâ – çà òðüîìà ñòîðîíàìè.

Äîâåäåííÿ. Íåõàé ABC і A1B1C1 – äâà òðèêóòíèêè, ó ÿêèõ AB  A1B1, BC  B1C1, AC  A1C1 (ìàë. 31.1). Äîâåäåìî, ùî { ABC  { A1B1C1. Ïðèêëàäåìî òðèêóòíèê A1B1C1 äî òðèêóòíèêà A BC òàê, ùîá âåðøèíà A1 ñóìіñòèëàñÿ ç âåðøèíîþ A, âåðøèíà C1 – ç âåðøèíîþ C, à âåðøèíè B1 і B áóëè ïî ðіçíі áîêè âіä ïðÿìîї AC. Ìîæëèâі òðè âèïàäêè: ïðîìіíü BB1 ïðîõîäèòü óñåðåäèíі êóòà A BC (ìàë. 31.2), ïðîìіíü BB1 çáіãàєòüñÿ ç îäíієþ çі ñòîðіí öüîãî êóòà (ìàë. 31.3), ïðîìіíü BB1 ïðîõîäèòü ïîçà êóòîì A BC (ìàë. 31.4).

Ìàë. 31.1

Ìàë. 31.3 Ìàë. 31.4 Ìàë. 31.2

231
трикутників

Ðîçãëÿíåìî ïåðøèé âèïàäîê (іíøі âèïàäêè ðîçãëÿíüòå ñàìîñòіéíî). Îñêіëüêè çà óìîâîþ AB  A1B1 і BC  B1C1, òî òðèêóòíèêè

ABB1 і CBB1 – ðіâíîáåäðåíі ç îñíîâîþ BB1. Òîäі  ABB1   AB1B і  CBB1   CB1B. Òîìó  A BC   AB1C.

Îòæå, AB  A1B1, BC  B1C1,  A BC   A1B1C1. Òîìó { A BC 

 { A1B1C1 (çà ïåðøîþ îçíàêîþ ðіâíîñòі òðèêóòíèêіâ).

Òåîðåìó äîâåäåíî.

Приклад.

Ä à í î: AC  AD, BC  BD (ìàë. 31.5).

Ä î â å ñ ò è: CO  OD.

Äîâåäåííÿ. 1) Ðîçãëÿíåìî { ABC і { ABD. AC  AD, BC  BD (çà óìîâîþ), AB – ñïіëüíà

ñòîðîíà. Òîäі { ABC  { ABD (çà òðåòüîþ îçíàêîþ ðіâíîñòі òðèêóòíèêіâ).

2)  CAB   DAB (ÿê âіäïîâіäíі êóòè ðіâíèõ òðèêóòíèêіâ), à òîìó AB – áіñåêòðèñà êóòà CAD.

3) Òîäі AO – áіñåêòðèñà ðіâíîáåäðåíîãî òðèêóòíèêà ACD, ïðîâåäåíà äî îñíîâè, îòæå, çà âëàñòèâіñòþ ðіâíîáåäðåíîãî òðèêóòíèêà, AO є òàêîæ і ìåäіàíîþ. Îñêіëüêè AO – ìåäіàíà òðèêóòíèêà ACD, òî CO  OD, ùî é ïîòðіáíî áóëî äîâåñòè.

Сформулюйте та доведіть третю ознаку рівності трикутників.

Ìàë. 31.5

Ðîçâ ' ÿæiòü çàäà÷i òà âèêîíàéòå âï ð àâ è

31.1. (Óñíî.) ×è є òðèêóòíèêè, çîáðàæåíі íà ìàëþíêó 31.6, ðіâíèìè ìіæ ñîáîþ? Çà ÿêîþ îçíàêîþ?

31.2. Äîâåäіòü ðіâíіñòü òðèêóòíèêіâ A BC і CDA, çîáðàæåíèõ íà ìàëþíêó 31.7, ÿêùî A B  DC і BC  A D.

Ìàë. 31.6 Ìàë. 31.7

ÒÅÌÀ 6 232

Ìàë. 31.8 Ìàë. 31.9

31.3. Äîâåäіòü, ùî { ACD  { A BD (ìàë. 31.8), ÿêùî AC  A B і DC  DB.

31.4.Íà ìàëþíêó 31.9 MK  ML, KN  NL. Äîâåäіòü, ùî  K   L.

31.5. Íà ìàëþíêó 31.10 PK  ML, PM  KL. Äîâåäіòü, ùî

 PKM   LMK.

Ìàë. 31.10 Ìàë. 31.11

31.6. Íà ìàëþíêó 31.11 AB  BC, A K  KC. Äîâåäіòü, ùî BK – áіñåêòðèñà êóòà ABC.

31.7. Íà ìàëþíêó 31.12 MP  MK, PL  KL. Äîâåäіòü, ùî ML –áіñåêòðèñà êóòà PMK.

Ìàë. 31.12 Ìàë. 31.13 Ìàë. 31.14

31.8. Äàíî: AB  CD, AC  BD (ìàë. 31.13). Äîâåäіòü: { AOD –ðіâíîáåäðåíèé.

Òðèêóòíèêè.
ð³âíîñò³ òðèêóòíèê³â 233
Îçíàêè

31.9. Äàíî: AO  OB, CO  OD (ìàë. 31.14).

Äîâåäіòü: { A BC  { BAD.

31.10. Ïðî òðèêóòíèêè A BC і MNP âіäîìî, ùî AB  MN,N BC  NP, AC  MP. ×è ìîæóòü áóòè ðіâíèìè òàêі òðèêóòíèêè?

31.11. Òðèêóòíèêè ABC і MNP – ðіâíîáåäðåíі. Âіäîìî, ùî A B  MN  6 ñì, à BC  NP  8 ñì. ×è ìîæíà ñòâåðäæó-

âàòè, ùî öі òðèêóòíèêè ðіâíі?

31.12. Óñåðåäèíі ðіâíîáåäðåíîãî òðèêóòíèêà A BC (A B  AC)

âçÿòî òî÷êó K òàê, ùî BK  KC. Äîâåäіòü, ùî ïðÿìà A K

ïåðïåíäèêóëÿðíà äî BC.

31.13. Óñåðåäèíі ðіâíîáåäðåíîãî òðèêóòíèêà DMN (DM  DN)

âçÿòî òî÷êó P òàê, ùî MP  PN. Äîâåäіòü, ùî ïðÿìà N DP äіëèòü íàâïіë ñòîðîíó MN.N

31.14. ßê, âèêîðèñòîâóþ÷è øàáëîí êóòà, ãðàäóñíà ìіðà ÿêîãî

, ïîáóäóâàòè ïåðïåíäèêóëÿðíі ïðÿìі?

31.15. Ïðîìіíü AK ïðîõîäèòü ìіæ ñòîðîíàìè

. Çíàéäіòü ãðàäóñíі ìіðè êóòіâ BAK і KAC.

31.16. Ïðàêòè÷íå çàâäàííÿ. Іíæåíåðè ïîëþáëÿþòü òðèêóòíèê çà æîðñòêіñòü ôîðìè: ÿêùî ñòîðîíè, ùî óòâîðþþòü éîãî, ç’єäíàòè ó âåðøèíàõ, òî ôîðìó òðèêóòíèêà íåìîæëèâî çìіíèòè, íà âіäìіíó âіä іíøèõ ãåîìåòðè÷íèõ ôіãóð. Âëàñòèâіñòü æîðñòêîñòі òðèêóòíèêà øèðîêî âèêîðèñòîâóþòü íà ïðàêòèöі. Òàê, ùîá çàêðіïèòè ñòîâï ó âåðòèêàëüíîìó ïîëîæåííі, äî íüîãî ñòàâëÿòü ïіäïîðêó. Íàâåäіòü іíøі ïðèêëàäè âèêîðèñòàííÿ öієї âëàñòèâîñòі, ïіäãîòóéòå ïðåçåíòàöіþ (äîïîâіäü àáî ðåôåðàò) íà öþ òåìó òà ïðåçåíòóéòå її êëàñó.

iäãîòóéòåñÿ äî âèâ÷åííÿ íîâîãî ìàòåðiàëó

31.17. Ïîäàéòå âèðàç ó âèãëÿäі ìíîãî÷ëåíà: 1) (x + 3)(x + 3); 2) (y – 2)(y – 2); 3) (7 – m)(7 – m); 4) (5 + a)(5 + a).

ÒÅÌÀ 6 234
 ï ð à â è äëÿ ïî â òî ð åííÿ ðð
10
êóòà BAC,  BAC   126. Âіäîìî, ùî 4 BA K  5 KAC
Æè òò є â à ìàòåìàò è êà

Òðèêóòíèêè. Îçíàêè ð³âíîñò³ òðèêóòíèê³â

Ö і êà â і çà ä à÷ і – ïîì і ð ê ó é î ä íà÷å äðóä

ðó

31.18. Íàêðåñëіòü ïðÿìîêóòíèê ðîçìіðîì 4  6 êëіòèíîê. Ïîêàæіòü, ÿê «çàìîñòèòè» (ïîêðèòè áåç íàêëàäàíü і âіëüíèõ êëіòèíîê) éîãî êóòî÷êàìè, êîæíèé ç ÿêèõ ñêëàäàєòüñÿ ç òðüîõ êëіòèíîê, òàê, ùîá æîäíі äâà ç íèõ íå óòâîðþâàëè ïðÿìîêóòíèêà.

ДОМАШНЯ САМОСТІЙНА РОБОТА № 6 (§§ 26–31)

Çàâäàííÿ 1–12 ìàþòü ïî ÷îòèðè âàðіàíòè âіäïîâіäåé (À–Ã), ñåðåä ÿêèõ ëèøå îäèí є ïðàâèëüíèì. Îáåðіòü ïðàâèëüíèé âàðіàíò âіäïîâіäі.

1. Äàíî { KLM, ó ÿêîãî KM  4 ñì, ML  7 ñì, KL  10 ñì.

Çíàéäіòü éîãî ïåðèìåòð.

À. 20 ñì Á. 21 ñì Â. 22 ñì Ã. 23 ñì

2. { PTK – ðіçíîñòîðîííіé, { A BC  { PTK. Òîäі áóäå ïðà-

âèëüíîþ ðіâíіñòü  B  …

À.  Ð Á.  Ò

Â.  K Ã. Æîäíîìó ç êóòіâ òðèêóòíèêà ÐÒK

3. Äàíî { ÀÂÑ і { À1Â1Ñ1, äå A B  A1B1,  A   A1,  B   B1.

Òîäі…

À. { À ÂÑ  { À1Â1Ñ1 (çà ïåðøîþ îçíàêîþ)

Á. { À ÂÑ  { À1Â1Ñ1 (çà äðóãîþ îçíàêîþ)

Â. { À ÂÑ  { À1Â1Ñ1 (çà òðåòüîþ îçíàêîþ)

Ã. Íå ìîæíà âñòàíîâèòè ðіâíіñòü òðèêóòíèêіâ À ÂÑ і À1Â1Ñ1

4. Ïåðèìåòð ðіâíîáåäðåíîãî òðèêóòíèêà äîðіâíþє 17 ñì, à éîãî îñíîâà – 5 ñì. Çíàéäіòü áі÷íó ñòîðîíó òðèêóòíèêà.

À. 12 ñì Á. 10 ñì

Â. 8 ñì Ã. 6 ñì

5. Íà ìàëþíêó LO  ON,N KO  OM,  KOL A  LOM. Óêàæіòü ïðàâèëüíó ðіâíіñòü.

À. { KOL  { LOM Á. { KOL  { OMN

Â. { KOL  { MÎN Ã. { KOL  { NOM

6. A M, BN і CL – ìåäіàíè òðèêóòíèêà A BC. ßêà ç íèõ є ùå é áіñåêòðèñîþ, і âèñîòîþ òðèêóòíèêà, ÿêùî  A   B, à  B   C?

À. ÀÌ Á. ÂN Â. ÑL Ã. Æîäíà

235

7. Îäíà çі ñòîðіí òðèêóòíèêà âäâі÷і ìåíøà âіä äðóãîї і íà 2 ñì

ìåíøà âіä òðåòüîї. Çíàéäіòü íàéáіëüøó ñòîðîíó òðèêóòíèêà, ÿêùî éîãî ïåðèìåòð äîðіâíþє 22 ñì.

À. 5 ñì Á. 7 ñì Â. 9 ñì Ã. 10 ñì

8. Âіäîìî, ùî { KLM  { MLK. Çíàéäіòü ïåðèìåòð òðèêóòíèêà KLM, ÿêùî KL  6 ñì, KM  5 ñì.

À. 17 ñì Á. 16 ñì

Â. 18 ñì Ã. Çíàéòè íåìîæëèâî

9. BK – âèñîòà òðèêóòíèêà ÀÂÑ, A B  BC. Óêàæіòü íåïðàâèëüíå òâåðäæåííÿ.

À.  À ÂÑ   ÂKÀ Á.  ÂÀÑ   ÂÑÀ

Â. { ÂÀ K  { ÂÑK Ã.  À ÂK   ÑÂK

10. Äàíî: { A BC  { BCA, A B  5 ñì. Çíàéäіòü: BC, CA.

À. ÂÑ  6 ñì, ÑÀ  7 ñì Á. ÂÑ  4 ñì, ÑÀ  3 ñì Â. ÂÑ  4 ñì, ÑÀ  4 ñì Ã. ÂÑ  5 ñì, ÑÀ  5 ñì

11. AB – îñíîâà ðіâíîáåäðåíîãî òðèêóòíèêà A BC, CK – éîãî áіñåêòðèñà. Çíàéäіòü äîâæèíó öієї áіñåêòðèñè, ÿêùî ïåðèìåòð òðèêóòíèêà A BC äîðіâíþє 36 ñì, à ïåðèìåòð òðèêóòíèêà ACK

äîðіâíþє 30 ñì.

À. 6 ñì Á. 8 ñì Â. 10 ñì Ã. 12 ñì

12. Ó òðèêóòíèêó A BC A B  AC. Òî÷êà M òàêà, ùî BM  MC.

Óêàæіòü íåïðàâèëüíå òâåðäæåííÿ.

À.  ÌÂÑ   ÌÑÂ Á.  ÌÂÀ >  ÌÑÀ Â.  ÂÌÀ   ÑÌÀ Ã.  ÂÀÌ   ÑÀ Ì

Ó çàâ ä àíí і 13 ïîòð і áíî âñòàíîâèòè â і ä ïîâ і ä í і ñòü ì і æ іíôîðìàöієþ, ïîçíà÷åíîþ öèôðàìè òà áóêâàìè.

13. Ïåðèìåòð òðèêóòíèêà A BC äîðіâíþє 37 ñì, A B : BC  2 : 3,

AC – AB  2 ñì. Óñòàíîâіòü âіäïîâіäíіñòü ìіæ ñòîðîíàìè òðèêóòíèêà (1–3) òà їõíіìè äîâæèíàìè (À–Ã).

Ñòîðîíè òðèêóòíèêà Äîâæèíè ñòîðіí òðèêóòíèêà

1. AB

2. BC

3. CA

À. 10 ñì Á. 12 ñì Â. 15 ñì Ã. 16 ñì

1. Íàêðåñëіòü { MNK. Çàïèøіòü íàçâè éîãî âåðøèí, ñòîðіí і êóòіâ.

ÒÅÌÀ 6 236
ЗАВДАННЯ ДЛЯ ПЕРЕВІРКИ ЗНАНЬ ДО §§ 26–31

Òðèêóòíèêè. Îçíàêè ð³âíîñò³ òðèêóòíèê³â

2. ßêèé іç çîáðàæåíèõ íà ìàëþíêó 1 òðèêóòíèêіâ ãîñòðîêóòíèé, ÿêèé – ïðÿìîêóòíèé, à ÿêèé – òóïîêóòíèé?

Ìàë. 1

3. ßêèé іç çîáðàæåíèõ íà ìàëþíêó 2 òðèêóòíèêіâ ðіâíîáåäðåíèé, ÿêèé – ðіâíîñòîðîííіé, à ÿêèé – ðіçíîñòîðîííіé?

Ìàë. 2

4. { A BC  { KMF. Âіäîìî, ùî F A B  5 ñì, BC  4 ñì, KF  7 ñì. Çíàéäіòü íåâіäîìі ñòîðîíè òðèêóòíèêіâ A BC і KMF.F

5. Íà ìàëþíêó 3 MK  KN,N  LKM   LKN. Äîâåäіòü, ùî N { MKL   { NKL.

Ìàë. 3 Ìàë. 4

6. Çíàéäіòü ïåðèìåòð ðіâíîáåäðåíîãî òðèêóòíèêà ç îñíîâîþ 12 ñì çàâäîâæêè, áі÷íà ñòîðîíà ÿêîãî íà 3 ñì áіëüøà çà îñíîâó.

7. Íà ìàëþíêó 4 AC  BD, BC  AD. Äîâåäіòü, ùî  BCD   A DC.

8. Ïåðøà ñòîðîíà òðèêóòíèêà âäâі÷і ìåíøà âіä äðóãîї і íà 3 ñì ìåíøà âіä òðåòüîї. Çíàéäіòü ñòîðîíè òðèêóòíèêà, ÿêùî éîãî ïåðèìåòð äîðіâíþє 23 ñì.

9. Ó ðіâíîáåäðåíîìó òðèêóòíèêó KML ç îñíîâîþ KL ïðîâåäåíî ìåäіàíó MP. Çíàéäіòü ïåðèìåòð òðèêóòíèêà KML, ÿêùî MP  8 äì, à ïåðèìåòð òðèêóòíèêà MKP äîðіâíþє 24 äì.

237

Äîäàòêîâі âïðàâè

10. Íà ìàëþíêó 5 { A NB  { AMB. Äîâåäіòü, ùî NC  MC. Ìàë. 5

11. Âіäîìî, ùî { MKL  { KLM. Çíàéäіòü ïåðèìåòð òðèêóòíèêà MKL, ÿêùî âіí íà 10 ñì áіëüøèé çà ñòîðîíó MK. ВПРАВИ ДЛЯ ПОВТОРЕННЯ ТЕМИ 6 Äî § 26

1. Íàêðåñëіòü ïðÿìîêóòíèé { KLP. Çàïèøіòü íàçâè âåðøèí, ñòîðіí і êóòіâ öüîãî òðèêóòíèêà.

2. Ïåðøà ñòîðîíà òðèêóòíèêà äîðіâíþє 18 ñì, äðóãà ñòîðîíà íà 6 ñì áіëüøà çà ïåðøó, à òðåòÿ ñòîðîíà âäâі÷і ìåíøà âіä äðóãîї. Çíàéäіòü ïåðèìåòð òðèêóòíèêà.

3. Çà äîïîìîãîþ òðàíñïîðòèðà òà ëіíіéêè ç ïîäіëêàìè íàêðåñëіòü { MLP, ó ÿêîãî ML  5 ñì,  M  40 ,  L  80 .

4. Ïåðøà ñòîðîíà òðèêóòíèêà âäâі÷і ìåíøà âіä äðóãîї, à òðåòÿ ñòàíîâèòü 80 % âіä äðóãîї. Çíàéäіòü ñòîðîíè òðèêóòíèêà, ÿêùî éîãî ïåðèìåòð äîðіâíþє 46 ñì.

5. Çíàéäіòü ñòîðîíè òðèêóòíèêà A BC, ÿêùî A B + AC  12 ñì, AC + CB  15 ñì, AB + BC  13 ñì.

Äî § 27

6. 1) Ñòîðîíè òðèêóòíèêà äîðіâíþþòü 3 ñì, 7 ñì і 8 ñì. Çíàéäіòü ñòîðîíè ðіâíîãî éîìó òðèêóòíèêà.

2) Êóòè òðèêóòíèêà äîðіâíþþòü 40 , 60 і 80 . Çíàéäіòü êóòè ðіâíîãî éîìó òðèêóòíèêà.

7. ×è ìîæíà ñóìіñòèòè íàêëàäàííÿì âåðòèêàëüíі êóòè?

8. ×è ìîæóòü áóòè ðіâíèìè òðèêóòíèêè, íàéáіëüøі ñòîðîíè

ÿêèõ íå є ðіâíèìè?

9. Äàíî: { ABC  { ACB, AB  7 ñì, BC  4 ñì. Çíàéäіòü: PABC.

ÒÅÌÀ 6 238

Äî § 28

10. Íàçâіòü ñïіëüíèé åëåìåíò òðèêóòíèêіâ, çîáðàæåíèõ íà

ìàëþíêàõ 1 òà 2, і îçíàêó, çà ÿêîþ öі òðèêóòíèêè ðіâíі. Ìàë. 1 Ìàë. 2 Ìàë. 3 Ìàë. 4

11. Äîâåäіòü, ùî { AOD  { COB (ìàë. 3), ÿêùî AO  CO, DO  OB.

12. Äîâåäіòü, ùî { MKN  { MPN (ìàë. 4), ÿêùî  KMN    PMN і  KNM   PNM.

13. Íà ìàëþíêó 5  MAB   PDC, BA  CD, AK  KD. Äîâåäіòü, ùî BK  KC. 14. Ùîá çíàéòè âіäñòàíü âіä ïóíêòó A äî íåäîñÿæíîãî ïóíêòó X (ìàë. 6), íà áåðåçі ïîçíà÷àþòü òî÷êè B і C òàê, ùîá  XA B   CA B і  XBA   CBA. Òîäі AX  AC. ×îìó?

Ìàë. 5 Ìàë. 6

15. Íà ìàëþíêó 7 çîáðàæåíî ôіãóðó, ó ÿêîї BC  EF,F AD  CF,F  BCF   EFK. Äîâåäіòü, ùî { A BC  { DEF.F 16. Íà ñòîðîíàõ êóòà A ïîçíà÷åíî òî÷êè B і C òàê, ùî A B  AC. DC  A E, BE  AD (ìàë. 8). Äîâåäіòü, ùî: 1) BD  CE; 2) AO – áіñåêòðèñà êóòà A.

Ìàë. 7 Ìàë. 8

òðèêóòíèê³â 239
Òðèêóòíèêè. Îçíàêè ð³âíîñò³

Äî § 29

17. A K – îñíîâà ðіâíîáåäðåíîãî òðèêóòíèêà A KP.

1) A P  5 ñì. Çíàéäіòü PK.

2)  A  70 . Çíàéäіòü  K.

18. Îñíîâà ðіâíîáåäðåíîãî òðèêóòíèêà äîðіâíþє

5 ñì, à áі÷íà ñòîðîíà – 4 ñì. Çíàéäіòü ïåðè-

ìåòð òðèêóòíèêà.

19. Íà ìàëþíêó 9 AB  AD,  BAC   DAC.

Äîâåäіòü, ùî { BCD – ðіâíîáåäðåíèé.

20.Îñíîâà òà ïðèëåãëèé äî íåї êóò îäíîãî ðіâíîáåäðåíîãî òðèêóòíèêà âіäïîâіäíî äîðіâíþþòü îñíîâі òà ïðèëåãëîìó äî íåї êóòó іíøîãî ðіâíîáåäðåíîãî òðèêóòíèêà. ×è áóäóòü ðіâíèìè ìіæ ñîáîþ öі òðèêóòíèêè?

21. Îñíîâà òà áі÷íà ñòîðîíà ðіâíîáåäðåíîãî òðèêóòíèêà âіäíîñÿòüñÿ ÿê 3 : 4. Çíàéäіòü ñòîðîíè öüîãî òðèêóòíèêà, ÿêùî éîãî ïåðèìåòð äîðіâíþє 88 ñì.

22. { ABC і { ABD ðіâíîáåäðåíі çі ñïіëüíîþ îñíîâîþ A B. Òî÷êè C і D ëåæàòü ïî ðіçíі áîêè âіä ïðÿìîї A B. Äîâåäіòü, ùî { ACD  { BCD. Äî § 30

23. ßê íàçèâàþòü ó òðèêóòíèêó:

1) âіäðіçîê, ùî ñïîëó÷àє éîãî âåðøèíó іç ñåðåäèíîþ ïðîòèëåæíîї ñòîðîíè;

2) ïåðïåíäèêóëÿð, ïðîâåäåíèé ç éîãî âåðøèíè äî ïðÿìîї, ùî ìіñòèòü ïðîòèëåæíó ñòîðîíó;

3) âіäðіçîê áіñåêòðèñè êóòà òðèêóòíèêà, ùî ñïîëó÷àє âåðøèíó òðèêóòíèêà ç òî÷êîþ ïðîòèëåæíîї ñòîðîíè?

24. Áіñåêòðèñà ðіâíîáåäðåíîãî òðèêóòíèêà, ïðîâåäåíà äî îñíîâè, äîðіâíþє 5 ñì. Çíàéäіòü âèñîòó öüîãî òðèêóòíèêà, ïðîâåäåíó äî îñíîâè; ìåäіàíó öüîãî òðèêóòíèêà, ïðîâåäåíó äî îñíîâè.

25. Íà ìàëþíêó 10 âіäðіçîê NK – ìåäіàíà ðіâíîáåäðåíîãî òðèêóòíèêà MNL ç îñíîâîþ ML. Çàïèøіòü òðè ïàðè ðіâíèõ êóòіâ і äâі ïàðè ðіâíèõ âіäðіçêіâ, ùî є íà öüîìó ìàëþíêó.

26. A M і A1M1 – âіäïîâіäíî ìåäіàíè ðіâíèõ ìіæ ñîáîþ òðèêóòíèêіâ ABC і A1B1C1. Äîâåäіòü, ùî { ABM  { A1B1M1. Ìàë. 9 Ìàë. 10

ÒÅÌÀ 6 240

Òðèêóòíèêè. Îçíàêè ð³âíîñò³ òðèêóòíèê³â

27. Äîâåäіòü, ùî â ðіâíîáåäðåíîìó òðèêóòíèêó áóäü-ÿêà òî÷êà ïðîâåäåíîї äî îñíîâè âèñîòè ðіâíîâіääàëåíà âіä êіíöіâ îñíîâè òðèêóòíèêà.

28. Íà ìàëþíêó 11  ABD   A DB,  CBD   CDB. Äîâåäіòü, ùî BD  AC. Ìàë. 11 Ìàë. 12

29. Ó ðіâíîáåäðåíîìó òðèêóòíèêó ABC AB  BC  a ñì. Ç òî÷êè M –ñåðåäèíè A B – ïðîâåäåíî ïåðïåíäèêóëÿð äî A B, ÿêèé ïåðåòèíàє BC â òî÷öі K (ìàë. 12). Çíàéäіòü äîâæèíó ñòîðîíè AC òà ïåðèìåòð òðèêóòíèêà A BC, ÿêùî ïåðèìåòð òðèêóòíèêà A KC äîðіâíþє b ñì (b > a).

Äî § 31

30. Äîâåäіòü, ùî { A BC  { CDA (ìàë. 13), ÿêùî AB  CD, BC  AD.

31. Ñòîðîíà îäíîãî ðіâíîñòîðîííüîãî òðèêóòíèêà äîðіâíþє ñòîðîíі іíøîãî ðіâíîñòîðîííüîãî òðèêóòíèêà. ×è ìîæíà ñòâåðäæóâàòè, ùî òðèêóòíèêè ðіâíі ìіæ ñîáîþ?

32. Äîâåäіòü ðіâíіñòü òðèêóòíèêіâ çà äâîìà ñòîðîíàìè òà ìåäіàíîþ, ïðîâåäåíîþ äî îäíієї ç íèõ.

Ò Ìàë. 13

 Òðèêóòíèê – ôіãóðà, ÿêà ñêëàäàєòüñÿ ç òðüîõ òî÷îê, ùî íå ëåæàòü íà îäíіé ïðÿìіé, і òðüîõ âіäðіçêіâ, ÿêі ñïîëó÷àþòü öі òî÷êè.  Ãåîìåòðè÷íі ôіãóðè ðіâíі ìіæ ñîáîþ, ÿêùî їõ ìîæíà ñóìіñòèòè íàêëà äàííÿì. Ãîëî â íå â òåì і 6

241

Ïåðøà îçíàêà ðіâíîñòі òðèêóòíèêіâ. ßêùî äâі ñòîðîíè і êóò ìіæ íèìè îäíîãî òðèêóòíèêà äîðіâíþþòü âі äïîâі äíî äâîì ñòîðîíàì і êóòó ìіæ íèìè іíøîãî òðèêóòíèêà, òî òàêі òðèêóòíèêè ðіâíі ìіæ ñîáîþ.

Äðóãà îçíàêà ðіâíîñòі òðèêóòíèêіâ. ßêùî ñòîðîíà і äâà

ïðèëåãëèõ äî íåї êó òè îäíîãî òðèêó òíèêà äîðіâíþþòü âі äïîâі äíî ñòîðîíі і äâîì ïðèëåãëèì äî íåї êóòàì іíøîãî òðèêóòíèêà, òî òàêі òðèêóòíèêè ðіâíі ìіæ ñîáîþ.

Òðåòÿ îçíàêà ðіâíîñòі òðèêóòíèêіâ. ßêùî òðè ñòîðîíè îäíîãî òðèêóòíèêà âі äïîâі äíî äîðіâíþþòü òðüîì ñòîðîíàì іíøîãî òðèêóòíèêà, òî òàêі òðèêóòíèêè ðіâíі ìіæ ñîáîþ.

 Òðèêóòíèê ðіâíîáåäðåíèé, ÿêùî â íüîãî äâі ñòîðîíè ðіâíі.

 Òðèêóòíèê, óñі ñòîðîíè ÿêîãî ìàþòü ðіçíі äîâæèíè, – ðіçíîñòîðîííіé.  Òðèêóòíèê ðіâíîñòîðîííіé, ÿêùî â íüîãî âñі ñòîðîíè ðіâíі.

Ó ðіâíîáåäðåíîìó òðèêó òíèêó êó òè ïðè îñíîâі ðіâíі.

ТРИКУТНИКА

ßêùî ó òðèêó òíèêó äâà êó òè ìіæ ñîáîþ ðіâíі, òî âіí

ðіâíîáåäðåíèé.

 Ìåäіàíà òðèêóòíèêà – âіäðіçîê, ùî ñïîëó÷àє âåðøèíó òðèêóòíèêà іç ñåðåäèíîþ ïðîòèëåæíîї ñòîðîíè.

 Áіñåêòðèñà òðèêóòíèêà – âіäðіçîê áіñåêòðèñè êóòà òðèêóòíèêà, ùî ñïîëó÷àє âåðøèíó òðèêóòíèêà ç òî÷êîþ ïðîòèëåæíîї ñòîðîíè.

 Âèñîòà òðèêóòíèêà – ïåðïåíäèêóëÿð, ïðîâåäåíèé ç âåðøèíè òðèêóòíèêà äî ïðÿìîї, ùî ìіñòèòü éîãî ïðîòèëåæíó ñòîðîíó.

ВЛАСТИВІСТЬ БІСЕКТРИСИ

Ó ðіâíîáåäðåíîìó òðèêóòíèêó áіñåêòðèñà, ïðîâåäåíà äî îñíîâè, є ìåäіàíîþ і âèñîòîþ.

ÒÅÌÀ 6 242
ВЛАСТИВІСТЬ КУТІВ РІВНОБЕД РЕНОГО ТРИКУТ НИКА
ОЗНАКА РІВНОБЕД РЕНОГО
РЕНОГО ТРИКУТНИКА
РІВНОБЕД

Óçàãàëüíåííÿ òà ñèñòåìàòèçàöіÿ çíàíü çà êóðñ ìàòåìàòèêè 5–6 êëàñіâ

11. 1834 ð. 12. 1816 ð. 13. 1) 9; 2) 2; 3) 6. 14. 1) 9; 2) 2; 3) 2. 15. 10 086; 99 876. 16. 1014; 9984. 24. 1) 29,384; 2) 4,855. 25. 1) 3,026; 2) 0,6505. 41. 250 ãðí. 42. 50 êã. 43. Çáіëüøèëàñÿ íà 2 %. 44. Çìåíøèëàñÿ íà 8 %. 53. 1) 4,75; 2) 0,1. 54. 1) 0,75; 2) 0,8. 55. 1) Íà 25 %; 2) íà 20 %. 56. 1) Çìåíøèëàñÿ íà 10 %; 2) çáіëüøèëàñÿ íà 5 %. 57. 7,2 %. 58. 25 %. 71. 1) –0,5; 2) –2. 72. 1) –23; 2) 1,35. 73. VI ñò. 74. 1108 ð. 75. a + 22b; –36. 76. 30y – x; –35. 77. . 78. 28,09. 79. –0,512. 80. 20. 81. 12.

Òåìà 1

1

1.14. 1), 2), 4), 6), 7) Òàê; 3), 5), 8) íі. 1.17. ×åðåç 16 ìіñÿöіâ. 1.20. 999.

2

2.19. 1) –5; 2) –2; 3) –4,75; 4) –10. 2.20. 1) 1; 2) –3; 3) –2,5; 4) –5. 2.21. 1875 ð. 2.22. 1804 ð. 2.23. 1) 0; 2) ; 3) –2m; 4) b – 3a. 2.24. 1) 0; 2) ; 3) 2b; 4) 2a – p. 2.25. 1), 5), 6) Òàê; 2), 3), 4) íі. 2.26. 1) 4; 2) 1,6. 2.27. 1) 1,2; 2) –1,8. 2.29. 1) –4; 4; 2), 6) ðіâíÿííÿ íå ìàє ðîçâ’ÿçêіâ; 3) –3; 3; 4) –5; 5) 6; 8; 7) 3; –4; 8) –6; 6; 9) –3; 5. 2.30. 1) –9; 9; 2) ðіâíÿííÿ íå ìàє ðîçâ’ÿçêіâ; 3) –8; 8; 4) 0,5; 5) 2; 5; 6) –4; 4. 2.31. 1) 2; 2) ; 3) –9. 2.32. 1) 2; 2) 10. 2.33. 1) Íåìàє ðîçâ’ÿçêіâ; 2) x – áóäü-ÿêå ÷èñëî. 2.34. 1) x – áóäü-ÿêå ÷èñëî; 2) íåìàє ðîçâ’ÿçêіâ. 2.35. 1) 5; 2) 3; 3) –5; 4) –1; 5) íåìàє ðîçâ’ÿçêіâ; 6) x – áóäü-ÿêå ÷èñëî. 2.36. 1) 1; 2) 3; 3) 0,2; 4) x – áóäü-ÿêå ÷èñëî. 2.37. 1) b  11; 2) b  4,5. 2.38. 1) a  24; 2) a  3,5. 2.39. –4; –2; –1; 1; 2; 4. 2.40. –6, –3, –2, –1. 2.41. 1) 1; 2) –3; 3) íåìàє òàêèõ çíà÷åíü a. 2.42. 1) –1; 2) 3; 3) íåìàє òàêèõ çíà÷åíü b. 2.43. 1) 1; 2) –2; 3) íåìàє òàêèõ çíà÷åíü m. 2.44. 1) –2; 2) íåìàє òàêèõ çíà÷åíü a; 3) 4. 2.45. 1) ßêùî b  –1, òî ðіâíÿííÿ íå ìàє ðîçâ’ÿçêіâ; ÿêùî b  –1, òî ; 2) ÿêùî b  5, òî x – áóäü-ÿêå ÷èñëî;

243 ВІДПОВІДІ ТА ПОРАДИ ДО ВПРАВ
§
§

òà ïîðàäè

ÿêùî b  5, òî x  –1; 3) ÿêùî b  2, òî ðіâíÿííÿ íå ìàє ðîçâ’ÿçêіâ; ÿêùî b  –2, òî x – áóäü-ÿêå ÷èñëî; ÿêùî b  2, b  –2, òî . 2.46. 1) 3; 2) –3; 4. 2.51. 1) 250 ìã; 2) 5 äîáîâèõ äîç. 2.55. x  6, y  7 àáî x  7, y  6. § 3

3.10. 48. 3.20. 60 âàðåíèêіâ; 63 âàðåíèêè. 3.21. 11 200 ãðí. 3.22. 45 êì/ãîä; 18 êì/ãîä. 3.23. 15 êã; 12 êã. 3.24. 12 êì. 3.25. 7 ñì; 11 ñì; 77 ñì2. 3.26. 48 îïîâіä., 24 îïîâіä. 3.27. 27 ãðí; 9 ãðí. 3.28. 125, 137, 168 íàáîðіâ. 3.29. 24 ñì, 33 ñì, 48 ñì. 3.30. Íі. 3.31. Íі. 3.32. ×åðåç 4 ðîêè. 3.33. 36 êóùіâ; 12 êóùіâ. 3.34. Ïî 40 âіäïî÷èâàëüíèêіâ. 3.35. 24 êã. 3.36. 15 çîøèòіâ; 10 çîøèòіâ. 3.37. 7 êîðîáîê, 5 êîðîáîê. 3.38. 28 ó÷íіâ. 3.39. 50 êã. 3.40. 48 і 18. 3.41. 90 і 120. 3.42. 18 êì/ãîä. 3.43. 2 êì/ãîä. 3.44. 6,5 ãîä; 78 êì. 3.45. 2,5 ãîä. 3.46. 5 êã; 10 êã; 15 êã. 3.47. 7 çàäà÷; 10 çàäà÷; 14 çàäà÷. 3.51. 1) a < 0; 2) a > 0. 3.52. Íі. Âïðàâè äëÿ ïîâòîðåííÿ òåìè 1 4. Íі. 7. 1) x – áóäü-ÿêå ÷èñëî; 2) íåìàє ðîçâ’ÿçêіâ; 3) 2; 4) 0,4. 8. 1) 0; 2) –3. 9. ßêùî a  1, òî ðîçâ’ÿçêіâ íåìàє; ÿêùî a  1, òî . 12. 3 ãðí 60 êîï. 13. 6 êã; 24 êã. 14. 2 êì/ãîä.

15. 60 êì/ãîä. 16. 24 âàðåíèêè; 48 âàðåíèêіâ. 17. 8 ðîáіòíèêіâ; 90 000 ãðí. 18. 5 äíіâ. 19. 45 ã; 135 ã.

Òåìà 2

§ 4

4.9. 2) 6; 3) 16. 4.10. 2) 3; 3) 7. 4.15. 6069. § 5

5.14. 17 ñì. 5.15. 6 ñì. 5.16. Õàðêіâ. 5.17. Ñòóñ. 5.18. 10,1 ñì àáî 0,3 ñì; äâà ðîçâ’ÿçêè. 5.19. 9,7 ñì àáî 4,7 ñì; äâà ðîçâ’ÿçêè. § 6

6.17. 1) 180; 2) 90; 3) 30; 4) 120 . 6.18. 1) 90; 2) 180; 3) 150; 4) 60 . 6.19. 20 . 6.20. 112 . 6.21. 76 . 6.22. 131 . 6.23. Êðàâ÷óê. 6.24. Âàðøàâà. 6.25. 60 . 6.26. 60 .

³äïîâ³ä³
äî âïðàâ 244

§ 8

8.14. 1) 81 і 99; 2) 54 і 126 . 8.15. 1) 45 і 135; 2) 36 і 144 . 8.16. 40 і 100 . 8.17.  A  100;  B  75 . 8.18. 90 . 8.19. 40 і 80 . 8.20. 80 і 60 . 8.21. 72 і 108 àáî 60 і 120 . 8.25. 1) Êóò; 2) ïðÿìà; 3) Åâêëіä; 4) ãåîìåòðіÿ.

§ 9

9.9. 62 . 9.13. 1) Óñі ïî 90; 2) 89; 91; 89; 91 . 9.14. 1) 8; 172; 8; 172; 2) óñі ïî 90 . 9.15. 1) 81; 2) 67; 3) 80 . 9.16. 1) 60; 2) 30 . 9.17. 100 . 9.18. 50 . 9.19. 180 . 9.21. 18 ñì.

äëÿ ïîâòîðåííÿ òåìè 2 9. 1) Äâà, àáî òðè, àáî ÷îòèðè. 2) Âіä äâîõ äî n + 1 ÷àñòèí. 11. 8 ñì. 13. ñì. 18. 1) 90; 42;

 .

. Òåìà 3 § 10 10.21. 1996 ð. 10.22. 1615 ð. 10.24. 1) 9; 2) –2,25; 3) 4) 10.25. 1) 4; 2) 3) 4) 10.26. 1) x2 – y2; 2) ab – mn; 3) d2 – (d – a)(d – b), àáî ad + b(d – a), àáî bd + a(d – b). 10.29. 84 êì. 10.30. 27 600 ãðí. 10.33. 1) Òàê; 2) íі. § 11 11.20. 1) 2x – 3; 2) 6m – 4n; 3) 2p2 – 1; 4) 2x – y; 5) 6) 2n – m. 11.21. 1) 3a – 1; 2) 13m – 13a; 3) 1 – 2y; 4) –0,6b. 11.29. 1) 5 %; 2) 0,25 %. 11.30. 16 êì/ãîä. 11.31. 120 êì; 80 êì. § 12

12.28. 1) 1; 2) 3; 3) –5. 12.29. 1) 2; 2) 1; 3) 5. 12.31. 1) 2) 12.32. Òàê. 12.33. 1) 36 ã.

³äïîâ³ä³ òà ïîðàäè äî âïðàâ 245
Âïðàâè
20.
70
; 2) 146
21.  AOM  72;  MOB  96
25. 54
27
80
100
. 28
144
33
66
34
120
144
50
130
50
130
36
40
138; 2) 30; 3; 20 . 19. 1) 30; 2) 148 .
1)
.
.
і 126
26. 30 і 150 .
.
 і
.
 .
.
 .
.
 . 35. 1) 36; 144; 36;
; 2)
;
;
;
.
.

§ 13

13.36. 1) 1000; 2) 25; 3) 1; 4) 128; 5) 2; 6) 13.37. 1) 1; 2) 32; 3) 4) 13.38. 1) 27; 2) 32; 3) 243; 4) 25. 13.39. 1) 7; 2) 12; 3) 324; 4) 13.40. 1) 7; 2) 12; 3) 20; 4) 13.41. 1) 610  365; 2) 1020 > 2010; 3) 514 < 267; 4) 23000 < 32000. 13.43. 1) 68 ãðí; 2) 74,8 ãðí; 3) çìåíøèëàñÿ íà 5,2 ãðí; 4) çìåíøèëàñÿ íà 6,5 %. 13.44. 1) 7; 2) 9; 3) –1,5; 4) –26. 13.45. 3,54a – 8,6b; 103,7. 13.46. 15 òðîÿíä. 13.48. Ëèøå îäíèì ñïîñîáîì.

§ 14

14.11. 1), 3), 4) Íі; 2) òàê. 14.12. 18x3 ñì3. 14.13. 3b2 äì2. 14.16. Îëåíà îòðèìàëà ïðèáóòîê íà 14,14 ãðí áіëüøå, íіæ Ëåîíіä. 14.18. 666 ñòîðіíîê.

§ 15

15.13. 1) 2m3 àáî –2m3; 2) 0,6p6 4q5 àáî –0,6p6 4q5; 3) –2c3; 4) 10c2m4; 5) 2ab2 àáî –2ab2; 6) c3p9 . 15.14. 1) 3m5n11; 2) 3) –12mp; 4) 5) –1; 6) 15.15. 1) 5mn5; 2) –3x6; 3) 4) 15.16. 1) 240m8; 2) –8m17; 3) –a13b19; 4)

15.17. 1) 24a13; 2) –100a25; 3) –2a31b9; 4)

15.19. 1) 8a11b9; 2) 3) –49m14n14; 4) –32x20c50 .

15.20. 1) 2700m7n8; 2) –2a13b9; 3) –27a26m10;4) x28y28 . 15.23. 1) –0,1a2n+3b2n+5; 2) 72a6n+6b15+6n; 3) a8n+10b18n+3; 4) x13n–5y12n+5 . 15.24. 1) 2) 3) –49; 4) 343. 15.25. 1)

2) 3) –81; 4) 729. 15.27. 1) b4; 2) –m8; 3) a7; 4) –n8 . 15.28. 98. 15.29. 3500 êã.

Âïðàâè äëÿ ïîâòîðåííÿ òåìè 3

4. 1) 5; 2) 17; 3) –6; 4) –1,2; 5) 11; 6) 2,4. 9. 1), 4) Íі; 2), 3) òàê. 13. 1) 5; 2) 1; 3) 6; 4) 2. 14. 1) Òàê; 2) íі. 18. 1) a25–3n;

³äïîâ³ä³ òà ïîðàäè äî âïðàâ 246

2) a5n+3 . 19. 1) 6; 2) 7. 25. 1) 3m2n; 2) –7p7 . 27. 1), 3), 4) Òàê; 2) íі. 28. 3. Òåìà 4 § 16

16.13. 1) 65; 2) 60 . 16.14. 1) 50; 2) 127 . 16.17. 140 . 16.18. 110 . 16.23. 72 і 108 . § 17

17.9. 3) 60 . 17.10. 3) 50 . 17.16. 36 . 17.18. Íі. § 18

18.11. a || b. 18.12. b || c. 18.19. 1) 190; 2) 170; 3) 170 . 18.20. 1) 200; 2) 160; 3) 200 . 18.21. Íі. 18.22. Òàê. 18.23. Íі. 18.24. Íі. 18.28. 100 . 18.30. Òàê. § 19

19.15. 1) 82 і 98; 2) 45 і 135; 3) 75 і 105 . 19.16. 1) 36 і 144; 2) 86 і 94; 3) 100 і 80 . 19.17. x  70 (ìàë. 19.13); x  65 (ìàë. 19.14); x  129 (ìàë. 19.15). 19.18. x  50 (ìàë. 19.16); x  110 (ìàë. 19.17). 19.19. Íі. 19.20. ×îòèðè êóòè ïî 40 і ÷îòèðè êóòè ïî 140 . 19.21. ×îòèðè êóòè ïî 32 і ÷îòèðè êóòè ïî 148 . 19.22. 130 . 19.23. 100 . 19.27. Ôðàíêî.

Âïðàâè äëÿ ïîâòîðåííÿ òåìè 4

6. 1), 2) Òàê. 16. Íі. 17. Òàê. 20. 80 і

Òåìà 5 § 20

20.19. 1) –5a2b4 – 12a2b + 2a2b2, øîñòîãî ñòåïåíÿ; 2) 7x4y3 –– 10x4y2 + 21x2y4 , ñüîìîãî ñòåïåíÿ. 20.20. 1) 4a2b3 – a4, ï’ÿòîãî ñòåïåíÿ; 2) 2xy3 + 15x3y – 7xy2 , ÷åòâåðòîãî ñòåïåíÿ. 20.21. 2xy3 –– 2x3y + 748,75; 748 êì. 20.27. 1), 6) Äîäàòíі; 3), 4) âіä’єìíі. 20.31. 1) 300 êÂò. 20.33. 37; 38.

§ 21

21.13. 1) 3; 2) 3. 21.14. 1) 0; 2) 3. 21.17. 1) 1,2; 2) –7. 21.18. 1) 6; 2) 2,25. 21.30. 1) –9; 2) 101. 21.31. 1) –11; 2) 4. 21.33. 1) 2m2 + + 7mn; 2) 12m2 + 3mn – 2n2 . 21.34. Ïîðàäà. Ïіñëÿ ñïðîùåííÿ ðіçíèöі ìíîãî÷ëåíіâ îäåðæèìî âèðàç 0,2x4 + 0,5x2 + 4. Íàéìåíøå çíà÷åííÿ öüîãî âèðàçó äîðіâíþє 4, ÿêùî x  0. 21.37. 1) 100x +

³äïîâ³ä³
äî âïðàâ 247
òà ïîðàäè
100 . 22. 90 . 23. 70 .

³äïîâ³ä³ òà ïîðàäè äî âïðàâ

§ 22

22.24. 1) 2a; –7; 2) 11 – 27x; 12; 3) 3a2 – 3b2; 0; 4) 2xy3; –2. 22.25. 1) 13a2; 2) 8x2 – 8y2; 0. 22.26. 1) 2; 2) –27; 3) –1; 4) 0,25; 5) x – áóäü-ÿêå ÷èñëî; 6) íåìàє ðîçâ’ÿçêіâ. 22.27. 1) –0,75; 2) –32; 3) –0,25; 4) 0,75; 5) íåìàє ðîçâ’ÿçêіâ; x – áóäü-ÿêå ÷èñëî.

22.28. 1) ; 2) –1,5. 22.29. 16 ã. 22.30. 12 ãðí 50 êîï.; 30 ãðí; 45 ãðí. 22.31. 18 êîòóøîê; 12 êîòóøîê. 22.32. 18 êì/ãîä.

22.35. 1) –xn+4; 2) –y2n; 3) –3zn. 22.37. 1) 2) –10m8n23 .

22.38. 1) 8; 2) 87,5. 22.39. 1) . 22.41. Ïîðàäà. Ðîçãëÿíüòå ñóìó (6a + b) + (6b + a) òà äîâåäіòü, ùî ïðè íàòóðàëüíèõ a і b âîíà є êðàòíîþ ÷èñëó 7.

§ 23

23.23. 1) 74 300; 2) 1 103 000. 23.24. 1) –5,23; 2) 0; 3) 4; 4) –27. 23.25. 1) 10,11; 2) 23.29. 1) 0; 2) 0; –4; 3) 0; –9; 4) 0; 1,5. 23.30. 1) 0; 2) 0; 10; 3) 0; 14; 4) 0; 23.31. 1) 5; 2) –2,5; 2. 23.32. 1) –1,25; 7; 2) 3; –3,5. 23.35. 1) 25(m – 2)2; 2) 81(2a + 3b)2. 23.36. 1) 3; 7; 2) –2; 5. 23.37. 1) 2; 4; 2) 4. 23.41. 24 ñì і 8 ñì. 23.43. Òàê, íàïðèêëàä, a  –2; b  0; c  1. § 24

24.16. 1) –6; 2) 0. 24.17. 1) 2; 2) 0. 24.20. 1) 27m3 + 8n3; 2) 8x3 – 125y3; 3) –x3 + x2a + 5xa2 – 2a3; 4) –3m3 + 16m2x –– 2mx2 – x3 . 24.21. 1) 27x3 – y3; 2) 27a3 + 12a2b – 7ab2 –– 2b3 . 24.22. 1) 14 – 15m; 2) –18y2 – 4; 3) 4a + 4; 4) b + 15. 24.23. 1) –x2 – 15; 2) 11a + 10; 3) 12 – 17x; 4) 16. 24.32. 1) x2 –– 5x3; 44; 2) a3; 27. 24.33. 1) –24x; –27; 2) 27b3; 1. 24.34. 1) 3;

248 + 10y + z; 2) 100z + 10y + x; 3) 100x + 11y + 11z; 4) 90y + 9x + z. 21.40. 1) 430; 2) 820; 3) 1615; 4) 3212. 21.41. 1) 0,3 ë. 21.43. Ïîðàäà. Íàòóðàëüíå ÷èñëî є êðàòíèì ÷èñëó 36 òîäі і òіëüêè òîäі, êîëè âîíî є êðàòíèì ÷èñëàì 4 і 9. Äàëі âèêîðèñòàòè îçíàêè ïîäіëüíîñòі íà 4 (çàäà÷à № 12.34) òà íà 9.

2) 24.35. 1) –2;2) –1. 24.38. 14; 15; 16. 24.39. Íà 2. 24.40. Íà 3. 24.43. 18; 19; 20; 21. 24.44. 24; 25; 26; 27. 24.47. 18 ñì; 12 ñì. 24.48. 350 êì. 24.49. 1) 4; 2) 24.52. 185 ãîä. 24.53.

Ïîðàäà. Ïîçíà÷òå òîäі îäåðæèòå âèðàç (3 – a) 

 (4 + b) + (3 + a)(5 + b) – 6b, ÿêèé äàëі ïîòðіáíî ñïðîñòèòè. § 25

25.14. 1) 0; 2) 25.15. 1) 0; 2) –0,1. 25.16. 1) 3x2y(3xy2 – 1) 

 (5y – x2); 2) (0,7m – 0,9n)(3n2 – 4p2). 25.17. 1) 2(m2 – 2x3) 

 (4c – 3x); 2) xy(3y + 4x2)(0,4y – 0,5x4). 25.18. 1) 5; 8; 2) –0,4.

25.19. 1) –7; 1; 2) 25.20. 1) (t2 – p)(a + t – b); 2) (a – m) 

 (x2 + y2 – 1); 3) (m – 7)(b – 1 + m2); 4) (a – b)(6x + 3y – z).

25.21. 1) (ab + 1)(a + b + 9); 2) (4x + 5m)(2a + b – 1). 25.22. 1) (x + 1) 

 (x + 4); 2) (x – 1)(x – 4); 3) (x – 2)(x + 3); 4) (a + b)(a + 3b).

25.23. 1) (x – 1)(x – 5); 2) (x – 3)(x + 2); 3) (x – 3)(x + 5); 4) (a + 2b)(a + 3b). 25.25. 1) –2; 2) –10. 25.26. 3 : 2. 25.29. Òàê, íàïðèêëàä, x  66; y  33. Ïîðàäà. Ñëіä âðàõóâàòè, ùî 336  33 

 335  32 ∙ 335 + 1 ∙ 335  25 ∙ 335 + 335  665 + 335.

Âïðàâè äëÿ ïîâòîðåííÿ òåìè 5

3. a3b; –5. 4. Íі. 9. 2xy + 7xy2; –69. 13. x  2. 14.

15. 24 ö; 21 ö; 20 ö. 16. 2. 20. 1) 5; 3; 2) 2; 7; –7. 21. 1) –2; 2) –12; 3) 28; 4) 8. 25. 1) –1; 2) 8. 28. 50 ñì; 40 ñì. 31. 1) (3c – 2y) 

 (4x2 – 3y3); 2) (0,8m – 0,5n)(2n2 – 3p2). 32. 1; –6.

Òåìà 6 § 26

26.9. 5 ñì; 15 ñì; 12 ñì. 26.10. 12 äì; 10 äì; 18 äì. 26.13. 12 äì; 16 äì; 24 äì. 26.14. 16 ñì; 24 ñì; 32 ñì. 26.16. 19 ñì. 26.18. 141 . 26.20. 5 ÷îòèðèêóòíèêіâ. § 27

27.10. 1), 2) Íі. 27.11. Òàê, AB  BC. 27.12. Òàê,  N   K.

27.13. 21 ñì. 27.14. 9 ñì. 27.15. 16 ñì. 27.16. 30; 60; 90 .

³äïîâ³ä³
äî âïðàâ 249
òà ïîðàäè

òà ïîðàäè äî âïðàâ

§ 28

28.20. Ïîðàäà. Íåõàé òî÷êà O – òî÷êà ïåðåòèíó AB і MN. Äîâåäіòü, ùî { AOM  { AON.

§ 29

29.17. 4 ñì; 4 ñì; 6 ñì. 29.18. 12 ñì; 16 ñì; 16 ñì. 29.19. 7 äì; 14 äì; 14 äì. 29.26. AK  28 ñì; BK  20 ñì. 29.28. 1) Êîíóñ, ñóêíî; 2) ñåêòîð, êîðñåò.

§ 30

30.20. 60 ñì. 30.21. 4 ñì. 30.22. Ïîðàäà. Íåõàé

BK – áіñåêòðèñà і ìåäіàíà òðèêóòíèêà ABC (äèâ. ìàë.). Ïðîäîâæòå BK çà òî÷êó K íà äîâæèíó âіäðіçêà BK (BK  KM). Äîâåäіòü ðіâíіñòü òðèêóòíèêіâ ABK і CMK. 30.24. 4 ñì; 7 ñì; 7 ñì. 30.25. 9 ñì; 30 ñì; 30 ñì. 30.27. 110 ë. § 31

31.15.  KAC  56;  BAK  70 .

Âïðàâè äëÿ ïîâòîðåííÿ òåìè 6

4. 10 ñì; 20 ñì; 16 ñì. 5. AB  5 ñì; BC  8 ñì; AC  7 ñì. 8. Íі. 9. 18 ñì. 20. Òàê. 21. 24 ñì; 32 ñì; 32 ñì. 29. AC  b – a, P  a + b. Âі äïîâі äі äî çàâäàíü «Äîìàøíÿ ñàìîñòіéíà ðîáîòà»

№ çàâäàííÿ

№ ðîáîòè 1 2 3 4 5 6 7 8

250
³äïîâ³ä³
9 10 11 12 13
Á À Â Ã Â
1 Â Ã
Á Ã Â Á Ã 1–Ã; 2–Á; 3–À 2 Â ÀÁ Á Ã Ã À Â Ã Â À Ã 1–Ã; 2–À; 3–Á 3 Â ÃÀ Á Â Á Â Ã Â À Á Â1–Â; 2–Ã; 3–À 4 Ã Á Ã Á À Â Â Á À Â Á Ã 1–Â; 2–À; 3–Á 5 ÀÃÁ Á Â À Â Á Á À Â Ã 1–Á; 2–À; 3–Â 6 Á ÁÁ Ã Â Â Ã À À Ã Ã Á 1–À; 2–Â; 3–Á

Âèíåñåííÿ ñïіëüíîãî ìíîæíèêà

çà äóæêè 182

Âèðàçè çі çìіííèìè 80

Âëàñòèâîñòі ðіâíÿííÿ ç îäíієþ

çìіííîþ 15, 16

– ñòåïåíÿ ç íàòóðà ëüíèì ïîêàç-

íèêîì 99–102

Äâî÷ëåí 162

Äîâåäåííÿ òîòîæíîñòåé 88

Äðîáîâèé ðàöіîíàëüíèé âèðàç 81

Çâåäåííÿ ïîäіáíèõ ÷ëåíіâ ìíîãî-

÷ëåíà 162

Çíà÷åííÿ ÷èñëîâîãî âèðàçó 79

Êâàäðàò ÷èñëà 93

Êîåôіöієíò ëіíіéíîãî ðіâíÿííÿ 19

– îäíî÷ëåíà 109

Êîðіíü ðіâíÿííÿ 14

Êóá ÷èñëà 93

Ëіíіéíå ðіâíÿííÿ ç îäíієþ çìіí-

íîþ 19

Ìàòåìàòè÷íà ìîäåëü çà äà÷і 28

Ìíîãî÷ëåí 162

– ñòàíäàðòíîãî âèãëÿäó 163

Ìíîæåííÿ ìíîãî÷ëåíà íà ìíîãî÷ëåí 187

– îäíî÷ëåíà íà ìíîãî÷ëåí 175 – îäíî÷ëåíіâ 112

Îäíî÷ëåí 108

– ñòàíäàðòíîãî âèãëÿäó 108 Îñíîâà ñòåïåíÿ 92 Îñíîâíà âëàñòèâіñòü ñòåïåíÿ 100

Ïіäíåñåííÿ äî ñòåïåíÿ 93 – îäíî÷ëåíà äî ñòåïåíÿ 112

Ïîäіáíі ÷ëåíè ìíîãî÷ëåíà 162

Àêñіîìà ïàðàëåëüíîñòі ïðÿìèõ 131 Àêñіîìè ãåîìåòðії 61

Áіñåêòðèñà êóòà 57 – òðèêóòíèêà 225

Áі÷íі ñòîðîíè ðіâíîáåäðåíîãî òðèêóòíèêà 220

Ïîêàçíèê ñòåïåíÿ 92

Ïðàâèëî äіëåííÿ ñòåïåíіâ 101

– ìíîæåííÿ ñòåïåíіâ 100

– ïіäíåñåííÿ äî ñòåïåíÿ äîáóòêó 102

– – ñòåïåíÿ äî ñòåïåíÿ 101

Ðàöіîíàëüíèé âèðàç 80

Ðіâíîñèëüíі ðіâíÿííÿ ç îäíієþ

çìіííîþ 15

Ðіâíÿííÿ 14

ç îäíієþ çìіííîþ ïåðøîãî ñòåïåíÿ 20

Ðіçíèöÿ ìíîãî÷ëåíіâ 169

Ðîçâ’ÿçàííÿ ðіâíÿííÿ 15

Ðîçâ’ÿçîê ðіâíÿííÿ 14

Ðîçêëà äàííÿ ìíîãî÷ëåíà íà

ìíîæíèêè 182

Ñïîñіá ãðóïóâàííÿ 194

Ñïðîùåííÿ âèðàçó 88

Ñòàíäàðòíèé âèãëÿä ìíîãî÷ëå-

íà 163

– – îäíî÷ëåíà 108

Ñòåïіíü ç íàòóðàëüíèì ïîêàçíèêîì 92

– ìíîãî÷ëåíà 164

– îäíî÷ëåíà 109

Ñóìà ìíîãî÷ëåíіâ 168

Òîòîæíі âèðàçè 86

– ïåðåòâîðåííÿ âèðàçіâ 87

Òîòîæíіñòü 87

Òðè÷ëåí 162

Öіëèé ðàöіîíàëüíèé âèðàç 81

×èñëîâå çíà÷åííÿ âèðàçó 79

×èñëîâі âèðàçè 79

×ëåíè ìíîãî÷ëåíà 162

Âåðøèíà êóòà 54 – òðèêóòíèêà 206

Âèäè òðèêóòíèêіâ 207, 220

Âèñíîâîê òåîðåìè 62

Âèñîòà òðèêóòíèêà 230

Âіäïîâіäíі êóòè 140

Âіäðіçîê 48

251 ПРЕДМЕТНИЙ ПОКАЖЧИК (АЛГЕБРА)
ПРЕДМЕТНИЙ ПОКАЖЧИК
(ГЕОМЕТРІЯ)

Ïðåäìåòíèé ïîêàæ÷èê

Âіäñòàíü âіä òî÷êè äî ïðÿìîї 131

– ìіæ êіíöÿìè âіäðіçêà 49 Âëàñòèâіñòü ðіâíîáåäðåíîãî òðèêóòíèêà 227

– âåðòèêàëüíèõ êóòіâ 67 – âіäïîâіäíèõ êóòіâ, óòâîðåíèõ ïðè ïåðåòèíі ïàðàëåëüíèõ ïðÿìèõ ñі÷íîþ 143 – âíóòðіøíіõ îäíîñòîðîííіõ

êóòіâ, óòâîðåíèõ ïðè ïåðåòèíі

ïàðàëåëüíèõ ïðÿìèõ ñі÷íîþ 146

– âíóòðіøíіõ ðіçíîñòîðîííіõ

êóòіâ, óòâîðåíèõ ïðè ïåðåòèíі

ïàðàëåëüíèõ ïðÿìèõ ñі÷íîþ 145

– êóòіâ ðіâíîáåäðåíîãî òðèêóò-

íèêà 220

Âëàñòèâіñòü ïàðàëåëüíèõ ïðÿìèõ 143

– ñóìіæíèõ êóòіâ 64

Âíóòðіøíі îäíîñòîðîííі êóòè 136

– ðіçíîñòîðîííі êóòè 136

Âíóòðіøíÿ îáëàñòü êóòà 54

Ãåîìåòðè÷íà ôіãóðà 42

Ãåîìåòðіÿ 41, 42

Ãðàäóñ 55

Äîâåäåííÿ òåîðåìè 62

Çîâíіøíÿ îáëàñòü êóòà 54

Іíöåíòð òðèêóòíèêà 226

Êіíöі âіäðіçêà 48

Êóò 54

– ãîñòðèé 57

– ìіæ ïðÿìèìè 68

– ïðÿìèé 57

– ðîçãîðíóòèé 54 – òóïèé 57

Êóòè âåðòèêàëüíі 67

– ñóìіæíі 63

– òðèêóòíèêà 206

Ìåäіàíà òðèêóòíèêà 225

Ìåòîä äîâåäåííÿ âіä ñóïðîòèâíîãî 132

Ìіíóòà 55

Íàñëіäîê ç òåîðåìè 64

Îäèíè÷íèé âіäðіçîê 48 Îçíàêà 140

– ïàðàëåëüíîñòі ïðÿìèõ 136 – ðіâíîáåäðåíîãî òðèêóòíèêà 221 – ðіâíîñòі òðèêóòíèêіâ 214

– – – äðóãà 215

– – – ïåðøà 214

– – – òðåòÿ 231 Îçíà÷åííÿ 62

Îðòîöåíòð òðèêóòíèêà 227

Îñíîâà ïåðïåíäèêóëÿðà 127

– ðіâíîáåäðåíîãî òðèêóòíèêà 220 Îñíîâíà âëàñòèâіñòü ïàðàëåëüíèõ ïðÿìèõ 131

Ïàðàëåëüíі âіäðіçêè 131

ïðîìåíі 131

ïðÿìі 131

Ïåðèìåòð òðèêóòíèêà 207

Ïåðïåíäèêóëÿð 127

Ïåðïåíäèêóëÿðíі âіäðіçêè 126

– ïðîìåíі 126

– ïðÿìі 125

Ïëàíіìåòðіÿ 42

Ïëîùèíà 42

Ïî÷àòîê ïðîìåíÿ 44

Ïðîìåíі äîïîâíÿëüíі 44

Ïðîìіíü 44

Ïðÿìà 43

Ðіâíі âіäðіçêè 50

– êóòè 56

Ðіâíіñòü ãåîìåòðè÷íèõ ôіãóð 210

Ñåêóíäà 55

Ñåðåäèíà âіäðіçêà 50

Ñòîðîíè êóòà 54

– òðèêóòíèêà 206

Òåîðåìà 62

– îáåðíåíà 144

Òî÷êà 42

Òðàíñïîðòèð 55

Òðèêóòíèê 206

– ãîñòðîêóòíèé 207

– ïðÿìîêóòíèé 207

– ðіâíîáåäðåíèé 220

ðіâíîñòîðîííіé 220

– ðіçíîñòîðîííіé 220

– òóïîêóòíèé 207

Óìîâà òåîðåìè 62

Öåíòðîїä òðèêóòíèêà 225

252

§ 12. Ñòåïіíü ç íàòóðàëüíèì ïîêàçíèêîì

253 З М І С Т Øàíîâíі ñåìèêëàñíèöі òà ñåìèêëàñíèêè! ..................................... 3 Øàíîâíі â÷èòåëüêè òà â÷èòåëі! .................................................. 4 Øàíîâíі äîðîñëі! ........................................................................ 5 Óçàãàëüíåííÿ òà ñèñòåìàòèçàöіÿ çíàíü çà êó ðñ ìàòåìàòèêè 5–6 êëàñіâ ............................................................... 6 Òåìà 1. ËІÍІÉÍІ ÐІÂÍßÍÍß Ç ÎÄÍІЄÞ ÇÌІÍÍÎÞ § 1. Çàãàëüíі âіäîìîñòі ïðî ðіâíÿííÿ ........................................... 14 § 2. Ëіíіéíå ðіâíÿííÿ ç îäíієþ çìіííîþ ....................................... 19 § 3. Ðîçâ’ÿçóâàííÿ çàäà÷ çà äîïîìîãîþ ëіíіéíèõ ðіâíÿíü. Ðіâíÿííÿ ÿê ìàòåìàòè÷íà ìîäåëü çà äà÷і ............................... 28 Äîìàøíÿ ñàìîñòіéíà ðîáîòà № 1 ........................................35 Çàâäàííÿ äëÿ ïåðåâіðêè çíàíü äî §§ 1–3 ................................. 37 Âïðàâè äëÿ ïîâòîðåííÿ òåìè 1 ........................................... 38 Ãîëîâíå â òåìі 1 ....................................................................... 40 Òåìà 2. ÅËÅÌÅÍÒÀÐÍІ ÃÅÎÌÅÒÐÈ×ÍІ ÔІÃÓÐÈ ÒÀ ЇÕÍІ ÂËÀÑÒÈÂÎÑÒІ. ÑÓÌІÆÍІ ÒÀ ÂÅÐÒÈÊÀËÜÍІ ÊÓÒÈ § 4. Ãåîìåòðè÷íі ôіãóðè. Òî÷êà, ïðÿìà, ïðîìіíü .......................... 41 § 5. Âіäðіçîê. Âèìіðþâàííÿ âіäðіçêіâ. Âіäñòàíü ìіæ äâîìà òî÷êàìè ........................................................................... 48 §
Êóò. Âèìіðþâàííÿ êóòіâ. Áіñåêòðèñà êóòà ............................. 54 § 7. Àêñіîìè, òåîðåìè, îçíà÷åííÿ ............................................... 61 § 8. Ñóìіæíі êóòè .................................................................... 63 § 9. Âåðòèêàëüíі êóòè. Êóò ìіæ äâîìà ïðÿìèìè, ùî ïåðåòèíàþòüñÿ .............................................................. 67 Äîìàøíÿ ñàìîñòіéíà ðîáîòà № 2 ....................................... 71 Çàâäàííÿ äëÿ ïåðåâіðêè çíàíü äî §§ 4–9 ................................ 72 Âïðàâè äëÿ ïîâòîðåííÿ òåìè 2 ........................................... 73 Ãîëîâíå â òåìі 2 ....................................................................... 78 Òåìà 3. ÂÈÐÀÇÈ ÇІ ÇÌ
ÑÒÅÏІÍÜ Ç ÍÀÒÓÐÀËÜÍÈÌ ÏÎÊÀÇÍÈÊÎÌ. ÎÄÍÎ×ËÅÍ
.....................................................79
86
6.
ІÍÍÈÌÈ.
§ 10. Âèðàçè çі çìіííèìè. Öіëі ðàöіîíàëüíі âèðàçè. ×èñëîâå çíà÷åííÿ âèðàçó
§ 11. Òîòîæíі âèðàçè. Òîòîæíіñòü. Òîòîæíå ïåðåòâîðåííÿ âèðàçó. Äîâåäåííÿ òîòîæíîñòåé ...........................................
......................................92

§ 13. Âëàñòèâîñòі ñòåïåíÿ ç íàòóðàëüíèì ïîêàçíèêîì ...................

§ 14. Îäíî÷ëåí. Ñòàíäàðòíèé

§ 15. Ìíîæåííÿ îäíî÷ëåíіâ. Ïіäíåñåííÿ îäíî÷ëåíà

§ 16. Ïåðïåíäèêóëÿðíі ïðÿìі. Ïåðïåíäèêóëÿð.

äî ïðÿìîї ............................................

§ 17. Ïàðàëåëüíі ïðÿìі ............................................................

§ 18. Êóòè, óòâîðåíі ïðè ïåðåòèíі äâîõ ïðÿìèõ ñі÷íîþ. Îçíàêè ïàðàëåëüíîñòі ïðÿìèõ

§ 19. Âëàñòèâіñòü ïàðàëåëüíèõ ïðÿìèõ. Âëàñòèâîñòі êóòіâ, óòâîðåíèõ ïðè ïåðåòèíі ïàðàëåëüíèõ

§ 20. Ìíîãî÷ëåí. Ïîäіáíі ÷ëåíè ìíîãî÷ëåíà

§ 21. Äîäàâàííÿ

§ 22. Ìíîæåííÿ îäíî÷ëåíà

§ 23. Ðîçêëàäàííÿ ìíîãî÷ëåíà íà ìíîæíèêè ñïîñîáîì âèíåñåííÿ ñïіëüíîãî ìíîæíèêà

§ 24. Ìíîæåííÿ

§ 25. Ðîçêëàäàííÿ ìíîãî÷ëåíà

Çì³ñò 254
99
îäíî÷ëåíà ........................... 108
âèãëÿä
äî ñòåïåíÿ ...... 112 Äîìàøíÿ ñàìîñòіéíà ðîáîòà № 3 ..................................... 118 Çàâäàííÿ äëÿ ïåðåâіðêè çíàíü äî §§ 10–15 ........................... 119 Âïðàâè äëÿ ïîâòîðåííÿ òåìè 3 ........................................ 120 Ãîëîâíå â òåìі 3 ..................................................................... 123 Òåìà
ЄÌÍÅ ÐÎÇÌІÙÅÍÍß ÏÐßÌÈÕ ÍÀ ÏËÎÙÈÍІ
òî÷êè
125
131
4. ÂÇÀ
Âіäñòàíü âіä
.......................................... 136
ïðÿìèõ ñі÷íîþ .......... 143
іéíà ðîáîòà № 4 .................................... 150 Çàâäàííÿ äëÿ ïåðåâіðêè çíàíü äî §§ 16–19 .......................... 153 Âïðàâè äëÿ ïîâòîðåííÿ òåìè 4 ........................................ 154 Ãîëîâíå â òåìі 4 ..................................................................... 157 Ìèõàéëî Êðàâ÷óê – âіäîìèé ó ñâіòі é íåçíàíèé â Óêðàїíі ........... 158 Òåìà 5. ÌÍÎÃÎ×ËÅÍ
Äîìàøíÿ ñàìîñò
òà їõ çâåäåííÿ. Ñòåïіíü ìíîãî÷ëåíà .......................................................... 162
âіäíіìàííÿ ìíîãî÷ëåíіâ .................................. 168
і
íà ìíîãî÷ëåí .................................... 175
çà äóæêè ............................ 182
ìíîãî÷ëåíà íà ìíîãî÷ëåí .................................. 187
íà ìíîæíèêè ñïîñîáîì ãðóïóâàííÿ ........................................................ 194 Äîìàøíÿ ñàìîñòіéíà ðîáîòà № 5 ..................................... 199 Çàâäàííÿ äëÿ ïåðåâіðêè çíàíü äî §§ 20–25 ........................... 200 Âïðàâè äëÿ ïîâòîðåííÿ òåìè 5 ........................................ 201 Ãîëîâíå â òåìі 5 ..................................................................... 205 Òåìà 6. ÒÐÈÊÓÒÍÈÊÈ. ÎÇÍÀÊÈ ÐІÂÍÎÑÒІ ÒÐÈÊÓÒÍÈÊІÂ § 26. Òðèêóòíèê і éîãî åëåìåíòè ............................................... 206 § 27. Ðіâíіñòü ãåîìåòðè÷íèõ ôіãóð ............................................ 210 § 28. Ïåðøà òà äðóãà îçíàêè ðіâíîñòі òðèêóòíèêіâ ...................... 214

äïîâіäíî äî òåì öüîãî ïіäðó÷íèêà ìîæíà ïåðåãëÿíóòè çà ïîñèëàííÿì https://cutt.ly/0w8DhUM4 àáî QR-êîäîì.

Àâòîðñüêі âіäåîóðîêè ç ãåîìåòðії âіäïîâіäíî äî òåì öüîãî ïіäðó÷íèêà ìîæíà ïåðåãëÿíóòè çà ïîñèëàííÿì https://cutt.ly/jw8Dhib3 àáî QR-êîäîì.

1 2 3 4 5

Çì³ñò 255 § 29. Ðіâíîáåäðåíèé òðèêóòíèê ................................................ 220 § 30. Ìåäіàíà, áіñåêòðèñà і âèñîòà òðèêóòíèêà. Âëàñòèâіñòü áіñåêòðèñè ðіâíîáåäðåíîãî òðèêóòíèêà ............................... 225 § 31. Òðåòÿ îçíàêà ðіâíîñòі òðèêóòíèêіâ .................................... 231 Äîìàøíÿ ñàìîñòіéíà ðîáîòà № 6 .................................... 235 Çàâäàííÿ äëÿ ïåðåâіðêè çíàíü äî § 26–31 ........................... 236 Âïðàâè äëÿ ïîâòîðåííÿ òåìè 6 ........................................ 238 Ãîëîâíå â òåìі 6 ..................................................................... 241 Âіäïîâіäі òà ïîðàäè äî âïðàâ .................................................... 243 Ïðåäìåòíèé ïîêàæ÷èê ............................................................. 251 Àâòîðñüêі âіäåîóðîêè ç àëãåáðè âі
Âіäîìîñòі ïðî êîðèñòóâàííÿ ïіäðó÷íèêîì № ç/ï Ïðіçâèùå òà іì’ÿ ó÷íÿ / ó÷åíèöі Êëàñ Íàâ÷àëüíèé ðіê Îöіíêà íà ïî÷àòêó ðîêó â êіíöі ðîêó

МАТЕМАТИКА (інтегрований курс)

Підручник для 7 класу закладів

Рекомендовано Міністерством освіти і науки України

vecteezy.com, depositphotos.com

Редактор Наталія Дашко Обкладинка Олександра Павленка Макет, художнє оформлення Олександра Павленка Комп’ютерна верстка Юрія Лебедєва Коректори Інна Борік, Олена Симонова

Формат 70×100/16. Ум. друк. арк. 20,80. Обл.-вид. арк. 18,02. Тираж 14748 пр. Вид. № 0037. Зам. № 24-04-0805.

ТОВ «Генеза», вул. Генерала Алмазова, 18/7 (літ. В), офіс 404, м. Київ, 01133, Україна. Свідоцтво суб’єкта видавничої справи серія ДК № 7692 від 24.10.2022.

Віддруковано у ТОВ «ПЕТ», вул. Максиміліанівська, 17, м. Харків, 61024, Україна. Свідоцтво суб’єкта видавничої

ІСТЕР Олександр Семенович
Навчальне видання
освіти у 2-х частинах
загальної середньої
Частина 1
справи серія ДК № 6847 від 19.07.2019. Підручник відповідає Державним санітарним нормам і правилам «Гігієнічні вимоги до друкованої продукції для дітей» У підручнику використано ілюстративний матеріал з відкритих джерел інтернету, зокрема сайтів
. Усі матеріали в підручнику використано з навчальною метою відповідно до законодавства України про авторське право і суміжні права. Видано за рахунок державних коштів. Продаж заборонено

Turn static files into dynamic content formats.

Create a flipbook
Issuu converts static files into: digital portfolios, online yearbooks, online catalogs, digital photo albums and more. Sign up and create your flipbook.