MANIFESTO STUDENT

































In May 2021 the Student Futures Commission was launched to address issues affecting future and current students arising from the covid pandemic.
The Student Manifesto’s commissioned report identified six key areas in which they recommended institutions engage with students to create a manifesto for change:
• An Introduction to University life each year of study
• A clear outline of teaching students will receive and the necessary tools to access it
• A clear pathway towards graduate outcomes
• Support for students before they reach University
• Activities inside and outside the curriculum that builds skills, networks, and communities
• Support for Mental Health and Wellbeing
Evaluation aims and objectives
This work builds on evidence of the importance of reversing declining student confidence, improving communication, changing modes of pedagogical delivery and a move away from a universal approach to student engagement to one that supports students as individuals.
Aim: To create concrete actions by exploring student attitudes towards the key themes as part of a wider project dedicated to shaping the student futures manifesto.
The study was done in two parts:
1. Focus groups intended to gain student’s shared understanding and opinions on key areas.
2. Survey intended to develop a more holistic view of current opinions of areas for further development.
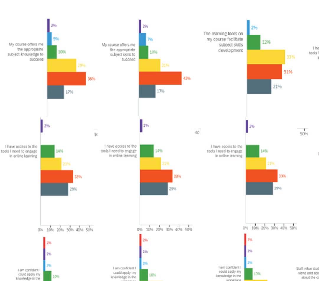
KEY FINDINGS
• Demographic data.
• Statistical analysis.
• 12 major thematic keynotes.
• Future student feedback.
• On-campus and Online Activities to introduce University Life.
• Scaffolded Transition and Micro-credentials.
• Pre-arrival Orientation and Transition.
• Creating peer Connections.
• Induction programme for each year of study.
• In and out of hours contact and services.
• Networking and skills development opportunities.
• Mapped career pathways.
• Consistent VLE, lecture capture, and communication platforms.
56 respondents were recruited in total.
Following the Jisc insights survey (Didymus, & Killen, 2022) it was found that university students wanted blended learning. Their 2021/22 digital experience insights survey of higher education students gathered responses from 33,726 students across 41 UK higher education universities and colleges and the numbers yielded surprising results. They identified that 42% of respondents preferred mainly on-site learning, 45% would like a mix of on-site and online, and 13% wanted to be taught mainly online. This suggests that student attitudes to university learning are changing and universities across the UK must adapt. Following the Jisc report, the student future commission (2022) announced six core themes to be addressed by universities across the UK to enable students to overcome the issues that the Covid-19 pandemic has brought forth. These include support for students before they reach university; an induction into university life for each year of study; support for mental health and wellbeing; a clear outline of the teaching students will receive and the necessary tools to access it; activities inside and outside the curriculum that builds skills, networks, and communities; and a clear pathway towards graduate outcomes. Incorporating the student voice in research projects is crucial for obtaining a comprehensive understanding of the existing framework and identifying specific needs within. Students are the primary stakeholders in the education system, and their thoughts and opinions are vital in shaping the development and improvement of educational programs. By obtaining student feedback, researchers can gain valuable insights into the relevance of the existing framework and identify areas that require improvement. This approach ensures that the research project is student-centred and addresses the needs of the target audience. Ultimately, the inclusion of the student voice in research projects leads to more effective and sustainable educational programs.
Since the Covid-19 pandemic the time for all learning to be online has passed, however, as much of the available literature shows many university students have a preference for the online presence in learning (Didymus, & Killen, 2022). As reports begin to emerge emphasizing the significance of adopting technology enhanced learning (TEL) (Department for Education, 2019, April 3; Didymus, & Killen, 2022; )
and creditable virtual learning environments (VLEs) (Hamer, & Smith, 2021; Brown, Larionova, Stepanova, & Lally, 2019), the challenges educational institutes now face include engendering a sense of belonging (Blake, Capper, & Jackson, 2022), digital poverty (Seah, 2020), a lack of cross communicative assistive technologies (She, Sun, Gu, Li, Yang, Poor, & Vucetic, 2021), low digital competencies and industry-grade software availability (Adedoyin, & Soykan, 2020), student and staff engagement (Osama, Bahgat, & Safwat, 2022), flexibility and the cost of living crisis (Castro, & Tumibay, 2021). As traditional homogeneous frameworks have seemingly failed to deliver satisfying results much of the available literature focuses on the relevant and insightful considerations of the student voice as the catalyst for change in an ever-evolving learner environment.
The aim of this study was to capture the student voice towards the core themes identified in the student future report, as part of a wider project dedicated to shaping the student futures manifesto. It aimed to identify student’s thoughts and opinions of the existing framework, clarifying if these areas were relevant to them and identifying specific needs within. The findings of the study were used to develop a co-produced Student Futures Manifesto – a powerful statement of intent grounded on the identified themes, which reflect the individual mission of the university and its student cohorts.
Research projects can be complex and time-consuming, requiring a significant investment of resources and expertise. However, involving students in the research process can provide numerous benefits, including enhancing their learning experience, developing their research skills, and generating fresh perspectives and insights. This methodology section describes the partnership element of working with students to create a research project that was conducted in two parts: a series of focus groups and an online survey. The students were involved in various aspects of the research process, including developing the ethics form, recruitment strategy, analysis, itinerary, and survey questions.
The partnership element of this research project involved a collaborative approach between the students and the research team. The students were actively involved in the research process, from the initial planning stages to the final analysis and dissemination of results. The partnership element was crucial in ensuring that the research project was student-led, with the students taking ownership of the research process and outcomes.
The first part of the research project involved a series of focus groups, which were conducted by the students. The students were responsible for developing the ethics form, advertisements, and recruitment strategy for the focus groups. They also conducted the analysis using thematic analysis, which involved identifying key themes and patterns in the data collected. The students were supported by the research team, who provided guidance and feedback throughout the process.
The second part of the research project involved an online survey, which was developed by the students. The students were responsible for developing the item schedule for the survey questions, which involved identifying the key research questions and developing appropriate survey items. The students also developed the itinerary for the survey, which involved identifying
the target population, sample size, and data collection methods. Again, the research team provided guidance and feedback throughout the process.
The partnership element of this research project also involved significant training and development for the students. The students undertook 70 hours of training alongside the development of the project in a step-bystep approach. The training covered various aspects of the research process, including research design, data collection, analysis, and dissemination. The training was delivered through a combination of online workshops, online resources, and one-to-one support.
In conclusion, the partnership element of working with students to create a research project that was conducted in two parts was a collaborative approach between the students and the research team. The students were involved in various aspects of the research process, including developing the ethics form, recruitment strategy, analysis, itinerary, and survey questions. The partnership element was crucial in ensuring that the research project was student-led, with the students taking ownership of the research process and outcomes. The students also undertook significant training and development alongside the development of the project to enhance their research skills and knowledge.
Data was analysed using Braun & Clark ‘s (2022) six step thematic analysis.
Thematic analysis of the students’ responses revealed a number of interesting findings:
• Students perceive clubs and societies as unproductive and exclusive, particularly among mature students. This presents an opportunity for these groups to promote the benefits of affiliation to a wider range of age groups and encourage the development of social connections, personal and professional growth, a sense of belonging, and a platform to build their professional network.
• Students are deterred by unnecessary social interactions, which may lead to anxiety or undermine their academic identity. It underscores the need to address the tension between social and professional identity, and to promote collaboration and social skills training. Providing opportunities for students to develop communication, conflict resolution, and networking skills can help them initiate and maintain social interactions, and foster a sense of community.
• Students recognize the importance of a robust network and practical experience in achieving success in the job market. This presents an opportunity for educators to integrate more work-based skills training and industry advice into their curriculum and events to better prepare students for their careers.
• This study highlights the significance of effective communication and resource management in enhancing student experiences. The findings indicate that students face challenges in locating and interacting with available resources, leading to frustration and fatigue. The results suggest that students are keen on optimizing their resource management and time, and are open to new communication methods. These insights underscore the need to revamp support systems for students and mentors, and consolidate resources for a more robust infrastructure.
• The evident enthusiasm of students to participate in various campus events and activities, ranging from social gatherings to academic orientation sessions, underscores their desire for inclusion and familiarity. This presents a promising prospect for personalised event programming and digital communication and orientation technologies.
• The students’ desire for personalized knowledge highlights the importance of recognizing and understanding their graduate options. This presents an opportunity for a tailored approach to graduate outcomes and career advice, acknowledging each student’s unique journey.
• This study highlights the importance of producing reliable communication streams, as students heavily rely on lecturer contact for support. It also emphasizes the need for centralization of information and signposting to enhance effective communication systems.
• Students’ connection with their university experience influences their self-perception and future prospects underscores the importance of fostering positive mindsets and skill development. This presents an opportunity to provide targeted workshops that promote skills identification and wellbeing.
• The observation that students value both synchronous and asynchronous support, with a preference for online tutorials and live access to support, suggests a need for a comprehensive online support catalogue. This presents an opportunity for mentors to provide consistent support alongside in-person teaching, thereby enhancing students’ learning experiences.
• This study highlights the importance of providing students with access to learning materials through multiple mediums, including online resources. By utilizing blended learning, students are able to overcome challenges and achieve success. This presents an opportunity for the development of course and industry-specific online resource libraries.
• Student challenges vary greatly and can impact their academic performance on campus. As a result, it is essential to provide students with external support and round-the-clock assistance to address their needs effectively.
• Students place great importance on peer and course connections for enhancing their industry knowledge, skills, and networks. This indicates a need to incorporate more course connected tasks and opportunities for networking into the curriculum and assessments, to better meet students’ expectations and enhance their learning outcomes.
Twelve themes were identified. Below we present each theme in more detail.
In theme one we establish how students feel about clubs and societies.
In theme two we establish how students are lacking in confidence and social skills to approach peers and build new relationships without an obvious bonding experience.
In theme three we establish that networking and practical work-based skills are vital to our student cohorts who want opportunities to apply their knowledge both on their course and in the workplace. Students valued industry insight to navigate a competitive employment market.
In theme four we establish a need for centralisation of information and how current lack of reliable, concise signposting wastes time, makes accessing resources difficult, uninteresting, and confusing.
In theme five students identify with the pros and cons of their welcome week experiences with great positivity for those who engaged in the full experience.
In theme six we establish a strong preference for more than just personalisation of the learning experience but also for the career journey.
In theme seven we establish the difficulties observed by students on inconsistent communication systems. Students relayed how these inconsistent communication styles and miscommunications effected how they perceived learning and support.
In theme eight we establish the university experience through the student lens. When asked how the learning experience had added to a sense of identity and belonging at university students mostly felt that their experience did help shape identity.
Theme nine focuses on accessibility and consistency of support and training especially for VLEs, learning software, video tutorials and equipment. Students discussed feeling confused and frustrated.
In theme ten we establish the top two preferred teaching delivery methods were face-to-face and blending learning and this theme discusses student reasoning.
In theme eleven we establish student views on available provisions such as wellbeing and student services to acquire information and support. Students found these services useful for sending out information across campus.
In theme twelve we establish students views on collaboration between courses inside and outside the classroom. Students discussed how a lack of communication between courses creates dissociation from community, lack of peer perspective, and network restriction.
How can we use the data and recent experience to inform and shape the future of student belonging and engagement? The data collected in this report highlights the student voice.
On-campus and Online Activities to Introduce University Life
Academic life (to include academic skills), personal and social life (including being independent, managing money and making new friends), mental and emotional health and identity and careers with additional support for international students.
Scaffolded Transition and Micro-credentials
Support to all prospective and current students that can be completed as Staffordshire EDGE courses or as micro-credentials, including academic skills, digital skills, careers information, advice and guidance.
Pre-arrival Orientation and Transition
Support for underrepresented students to include (but not limited to) care-leavers, students with disabilities and additional needs, mature learners, LGBTQIA+ and ethnic minorities.
To provide opportunities to connect with like-minded people so students can start to make friends before arrival.
The university will deliver an induction programme for all students in each year of study that:
1. Has a consistent, clear, and well communicated programme of events that build communities at course, department, school, and university level.
2. That co-creates expectations with our students to enable their success.
3. That includes familiarisation and signposting to resources which support student success such as the library team, the careers team, the students union, and the student support teams.
4. Your University and Students’ Union will work together to induct you into your broader student experience, ensuring you understand how you can access a range of professional services, get involved in a range of activities and events and develop skills for your future.
The university will provide in and out of hours contact and services to enable students to pro-actively manage their wellbeing.
We will ensure this provision is driven by your needs and is:
• Easy to access,
• Attractive to you,
• Socially relevant,
• Available at a Time when you need it.
In everything we do we will communicate with compassion, foster an environment where you are able to be yourself and support you to be an active member of our community.
The university will ensure that:
• A single VLE is used as a platform for all our undergraduate and postgraduate provision.
• The University will implement an opt in lecture capture policy, is piloting software approaches and will provide an evaluation of this in August 2023.
The University will use these findings to continually enhance its provision of lecture capture.
• That course and module handbooks will adopt a standardised template and be easily identifiable in the VLE.
• That all learning resources are inclusively designed and delivered, in line with our inclusion framework.
• That there are clear modules to develop key academic skills available to enhance your learning.
• That communication is consistent from academics across courses, using clear protocols and policies which specify how, when, and via which channels.
• That all students have the opportunity to feedback to module and course leaders via both course representatives and via less formal channels.
• The university will work to ensure that course teams and curriculum are stable, adapting to feedback when required.
The university and students’ union will provide students with the opportunity to:
• Develop the skills and confidence to build effective relationships with peers, academics and professionals.
• Engage in inclusive events and communities, both online and in person.
• Network with sector relevant professionals in and outside of their courses at multiple points in their time at Staffordshire.
• Network with peers on different courses.
The university will ensure students have:
• A curriculum that offers mapped to career pathways and the careers support to understand alternatives.
• Work practice and employability skills development in the curriculum.
• An inclusive programme of online and in person activities, events and opportunities that will provide the knowledge, skills and networks to progress into the desired graduate outcomes.
This Student Voice research has been a collaborative effort between current Staffordshire University students with the aim of benefiting present and future cohorts by strengthening the culture of co-production among students and aligning it with the university’s mission and objectives. The listed key actions are a part of the student futures manifesto designed to promote holistic student engagement and boost their sense of belonging in line with the core themes outlined by the Jisc survey. These actions have been presented to prospective students and received positive feedback on how they are likely to impact their academic journey.
Adedoyin, O. B., & Soykan, E. (2020). Covid-19 pandemic and online learning: the challenges and opportunities. Interactive learning environments, 1-13. https://www.tandfonline.com/doi/full/10.1080 /10494820.2020.1813180
Ahern, K. F. (2022). Soundscaping Learning Spaces: Online Synchronicity and Composing Multiple Sonic Worlds. Postdigital Science and Education, 4(1), 160-176. https://scholar.google.com/ scholar?hl=en&as_sdt=0%2C5&q=Soundscaping+Learning+Spaces%3A+Online+Synchronicity+and+Composing+Multiple+Sonic+Worlds&btnG=
Blake, S., Capper, G., & Jackson, A. (2022). Building Belonging in Higher Education Recommendations for developing an integrated institutional approach. Retrieved November 4, 2022, from https:// wonkhe.com/wp-content/wonkhe-uploads/2022/10/Building-Belonging-October-2022.pdf
Brown, K., Larionova, V., Stepanova, N., & Lally, V. (2019). Re-imagining the Pedagogical Paradigm Within a Technology Mediated Learning Environment. Open Education Studies, 1(1), 138-145. https://scholar.google.com/scholar?hl=en&as_ sdt=0%2C5&q=Re-imagining+the+Pedagogical+Paradigm+Within+a+Technology+Mediated+Learning+Environment&btnG=
Castro, M. D. B., & Tumibay, G. M. (2021). A literature review: efficacy of online learning courses for higher education institution using meta-analysis. Education and Information Technologies, 26(2), 1367-1385. https://link.springer.com/article/10.1007/s10639-01910027-z
Chaka, C., Nkhobo, T., & Lephalala, M. (2020). Leveraging MoyaMA, WhatsApp and online discussion forum to support students at an open and distance e learning university. Electronic Journal of E-learning, 18(6), pp494-515. https:// scholar.google.com/scholar?hl=en&as_sdt=0%2C5&q=Leveraging+\\\\MoyaMA%2C+WhatsApp+and+Online+Discussion+Forum+to+Support+Students+at+an+Open+and+Distance+e%E2%80%91Learning+University&btnG=
Davison, E., Sanderson, R., Hobson, T., & Hopkins, J. (2022). Skills for Success? Supporting transition into higher education for students from diverse backgrounds. Widening Participation and Lifelong Learning, 24(1), 165-186. https://scholar.google.com/ scholar?hl=en&as_sdt=0%2C5&q=Skills+for+Success%3F+Supporting+transition+into+higher+education+for+students+from+diverse+backgrounds.&btnG=
Department for Education. (2019, April 3). Realising the potential of technology in education. https://www.gov.uk/government/publications/realising-the-potential-of-technology-in-education
Didymus, L., & Killen, C. (2022). Student digital experience insights survey 2021/22: higher education findings [Review of Student digital experience insights survey 2021/22: higher education findings]. Jisc. https://repository.jisc.ac.uk/8850/1/2022-07%20%28iDFltdP024.11%29%20DEI%20HE%20%26%20FE%20Reports%20 2022%20%28HE%29%20v1-05.pdf
Hamer, J., & Smith, J. (2021). Online and blended delivery in Further Education: A literature review into pedagogy, including digital forms of assessment: June 2021. https://scholar.google.com/scholar?hl=en&as_sdt=0%2C5&q=Online+and+blended+delivery+in+Further+Education+A+literature+review+into+pedagogy%2C+including+digital+forms+of+assessment&btnG=
Ibrahim, M. M., & Nat, M. (2019). Blended learning motivation model for instructors in higher education institutions. International Journal of Educational Technology in Higher Education, 16(1), 1-21. https://scholar.google.com/scholar?hl=en&as_sdt=0%2C5&q=Blended+learning+motivation+model+for+instructors+in+higher+education+institutions&btnG=
Jayalath, C., Wickramasinghe, U., Kottage, H., & Somaratna, G. (2020). Factors Influencing Orderly Transition to Online Deliveries during COVID19 Pandemic Impact. education, 17, 18. https://scholar.google.com/scholar?hl=en&as_sdt=0%2C5&q=Factors+Influencing+Orderly+Transition+to+Online+Deliveries+during+COVID19+Pandemic+Impact&btnG=
Jarvis, N., & Nordmann, E. (2022). Blended Learning Experiences of LGBTQ+ and Neurodivergent Students: A mixed-methods study. EdArXiv. May, 26. https://scholar.google.com/scholar?hl=en&as_ sdt=0%2C5&q=Blended+Learning+Experiences+of+LGBTQ%2B+and+Neurodivergent&btnG=
Jisc Building Digital Capability Services. (2020). Informing your strategic digital decisions. Jisc. https://repository.jisc.ac.uk/8673/1/ DEI-BDC-informing-your-strategic-digital-decisions.pdf
Kanetaki, Z., Stergiou, C., Bekas, G., Jacques, S., Troussas, C., Sgouropoulou, C., & Ouahabi, A. (2022). Grade Prediction Modeling in Hybrid Learning Environments for Sustainable Engineering Education. Sustainability, 14(9), 5205. https://scholar.google.com/ scholar?hl=en&as_sdt=0%2C5&q=Grade+Prediction+Modeling+in+Hybrid+Learning+Environments+for+Sustainable+Engineering+Education&btnG=
Lister, K., Coughlan, T., Kenny, I., Tudor, R., & Iniesto, F. (2021). Taylor, the Disability Disclosure Virtual Assistant: A Case Study of Participatory Research with Disabled Students. Education Sciences, 11(10), 587. https://scholar.google.com/scholar?hl=en&as_sdt=0%2C5&q=Taylor%2C+the+Disability+Disclosure+Virtual+Assistant%3A+A+Case+Study+of+Participatory+Research+with+Disabled+Students&btnG=
Li, N., Zhang, X., & Limniou, M. (2021). A country’s national culture affects virtual learning environment adoption in higher education: A systematic review (2001–2020). Interactive Learning Environments, 1-19. https:// scholar.google.com/scholar?hl=en&as_sdt=0%2C5&q=A+country%E2%80%99s+national+culture+affects+virtual+learning+environment+adoption+in+higher+education%3A+a+systematic+review+%282001%E2%80%932020%29&btnG=
Limniou, M., & Hands, C. (2019, November). A critique of blended learning: Examples from an undergraduate psychology program. In Proceeding of the 18th European Conference on e-Learning, Denmark (pp. 320-328). https://scholar.google.com/scholar?hl=en&as_ sdt=0%2C5&q=A+critique+of+blended+learning%3A+Examples+from+an+undergraduate+psychology+program+&btnG=
Mangahas, A., Tate, K. J., & Harris, K. (2022). Challenges and Digital Solutions with STEM Learning. Journal of Online Learning Research and Practice, 8(2), 34660. https://scholar.google.com/ scholar?hl=en&as_sdt=0%2C5&q=Challenges+and+Digital+Solutions+with+STEM+Learning+&btnG=
OSAMA, H., BAHGAT, A., & SAFWAT, S. (2022). SYNTHESIS OF STUDENT ENGAGEMENT ON ELEARNING: A SYSTEMATIC REVIEW OF THE LITERATURE. Journal of Theoretical and Applied Information Technology, 100(8). https://scholar.google.com/scholar?hl=en&as_sdt=0%2C5&q=SYNTHESIS+OF+STUDENT+ENGAGEMENT+ON+ELEARNING%3A+A+SYSTEMATIC+REVIEW+OF+THE+LITERATURE&btnG=
Otoo-Arthur, D., & van Zyl, T. L. (2020, August). A scalable heterogeneous big data framework for e-learning systems. In 2020 International Conference on Artificial Intelligence, Big Data, Computing and Data Communication Systems (icABCD) (pp. 1-15). IEEE. https://scholar.google.com/scholar?hl=en&as_ sdt=0%2C5&q=A+Scalable+Heterogeneous+Big+Data+Framework+for+e-Learning+Systems&btnG=
Raman, A., Thannimalai, R., Rathakrishnan, M., & Ismail, S. N. (2022). Investigating the Influence of Intrinsic Motivation on Behavioral Intention and Actual Use of Technology in Moodle Platforms. International Journal of Instruction, 15(1), 1003-1024. https:// scholar.google.com/scholar?hl=en&as_sdt=0%2C5&q=Investigating+the+Influence+of+Intrinsic+Motivation+on+Behavioral+Intention+and+Actual+Use+of+Technology+in+Moodle+Platforms&btnG=
Scavarelli, A., Arya, A., & Teather, R. J. (2021). Virtual reality and augmented reality in social learning spaces: a literature review. Virtual Reality, 25(1), 257-277. https://www.ncbi.nlm.nih.gov/pmc/articles/ PMC7245204/
https://scholar.google.com/scholar?hl=en&as_sdt=0%2C5&q=Virtual+reality+and+augmented+reality+in+social+learning+spaces%3A+a+literature+review&btnG=
Seah, K. M. (2020). COVID-19: Exposing digital poverty in a pandemic. International journal of surgery (London, England), 79, 127.
She, C., Sun, C., Gu, Z., Li, Y., Yang, C., Poor, H. V., & Vucetic, B. (2021). A tutorial on ultrareliable and low-latency communications in 6G: Integrating domain knowledge into deep learning. Proceedings of the IEEE, 109(3), 204-246. https://ieeexplore.ieee.org/ abstract/document/9369424?casa_token=JUYoc04tr0EAAAAA:5xf3OGlRd4Xe-wWFlF-irSCRK-MlHkCujz5awFanw_IwUEjNV2urp0WE3hF7Ogm4gjgJbWM
Student Future Commission. (2022). A Student Futures Manifesto. UPP Foundation. Available at: https://upp-foundation.org/wp-content/uploads/2022/02/A-Student-Futures-Manifesto-Final-Report-of-the-Student-Futures-Commission.pdf
Wood, J. (2021). A dialogic technology-mediated model of feedback uptake and literacy. Assessment & Evaluation in Higher Education, 46(8), 1173-1190. Available at: https://scholar.google.com/ scholar?hl=en&as_sdt=0%2C5&q=A+dialogic+technology-mediated+model+of+feedback+uptake+and+literacy&btnG=
StudentCrowd University
Awards 2022
StudentCrowd University Awards 2022
OF RESEARCH IMPACT IS “OUTSTANDING” OR “VERY CONSIDERABLE”
Research Excellence
Framework 2021