

![]()


Questa Assemblea generale dei soci del CSI si celebra nell'anno del Grande Giubileo. Come associazione di ispirazione cristiana, all'evento giubilare dobbiamo guardare per trarne ispirazione. Nella Tertio Millennio Adveniente il Santo Padre ha invitato ciascuno a fare "quanto in suo potere perché non venga trascurata la grande sfida dell'Anno 2000", e contemporaneamente a fare della ricorrenza l'occasione per un sereno esame di coscienza sulle responsabilità che si hanno nei confronti dei mali del nostro tempo e per una valorizzazione dei segni di speranza presenti in questo passaggio di millennio.
stici del nostro modo di pensare e di vivere. Sono venuti meno i punti tradizionali di ancoraggio e di riferimento a livello di princìpi e di valori, e i nuovi che ci sembra di trovare non durano più d'un giorno. Tutto è perennemente in sviluppo e in crisi nello stesso momento.

All'appello del Pontefice l'Assemblea può rispondere chiamandosi a riflettere da un lato sulle inadeguatezze e le responsabilità dell'Associazione nei confronti dei mali dello sport, e dall'altro cercando di individuare il modo per essere sempre più un segno di speranza nella società italiana. Il 29 ottobre è in calendario il Giubileo degli sportivi, occasione in cui Giovanni Paolo II riceverà i rappresentanti del mondo dello sport. Nella circostanza sarà presentato il nuovo "Manifesto per lo sport del 2000". L'Assemblea è invitata a dare il proprio apporto al documento, fornendo riflessioni e proposte. L'esame della situazione associativa non può prescindere da qualche rapida annotazione sullo scenario entro il quale si colloca questa assemblea.
Il segno generale della nostra epoca è quello di un cambiamento generalizzato e accelerato a livello mondiale, e non solo locale o regionale. Novità, molteplicità, instabilità sono i tratti caratteri-
Queste considerazioni di ordinaria sociologia fanno ormai parte dell'evidenza, sono quasi un luogo comune. E proprio di fronte a questa situazione la vocazione del CSI è messa a dura prova: l'antagonista non è un'ideologia ma un sistema sportivo superato per certi versi ed esasperato per altri, che comunque sembra non lasciare molto posto ai valori.
Le incertezze e le tentazioni non mancano neanche nel CSI. L'Associazione ha mostrato di avere anticorpi forti, ma questo non ci esime dal dovere di essere vigili. In sintonia con il Giubileo, che invita la comunità cristiana all'esame di coscienza, in questa assemblea siamo un'associazione tenuta ad individuare se e come sia necessario correggere la propria rotta.
Ostinatamente dobbiamo mantenere alto il livello di attenzione, dritto il timone.
In ogni caso va salvaguardata l'anima del CSI che guarda ai poveri dello sport. Il Centro Sportivo Italiano - ci ha ricordato di recente il cardinale Etchegarayè l'associazione dello sport povero: dobbiamo preservare "l'anima da povero" del CSI per farci portavoce di tutti quanti sono "poveri nello sport".
Donato Renato Mosella


MENSILE DEL CENTRO SPORTIVO ITALIANO
DIRETTORE RESPONSABILE
Edio Costantini
EDITORE ARANBLU s.r.l.
Società unipersonale del Centro Sportivo Italiano Via della Conciliazione, 1 - 00193 Roma
PRESIDENTE del Consiglio di Amministrazione Donato Renato Mosella
DIREZIONE, REDAZIONE E AMMINISTRAZIONE
Via della Conciliazione, 1 - 00193 Roma Tel. 066867941 - Fax 0668802940
http://www.csi-net.it E-mail: aranblu@csi-net.it
Partecipano:
On. Giampaolo D’Andrea
Sottosegretario di Stato Beni Culturali e Ambientali; On. Giuseppe Gambale
Sottosegretario di Stato Pubblica Istruzione; Gianni Petrucci
Presidente CONI; interverranno presidenti Federali e di Enti di Promozione sportiva.
Moderatore: Stefano Ziantoni giornalista RAI Tg1.
PUBBLICAZIONE ISCRITTA al n°4987 del Reg.Stampa del Tribunale di Roma del 4/1/1956
PROGETTO GRAFICO
ARANBLU s.r.l.
REDAZIONE
Alessandro Cappelli, Marco Croci, Andrea De Pascalis.
IMPAGINAZIONE
Marco Croci, Alberto Greganti, Marco Vincitorio.
STAMPA
SO.GRA.RO. Società Grafica Romana S.p.A. Via Ignazio Pettinengo, 39 - 00159 Roma.
Spedizione in abbonamento postale Art.2 Comma 20/B Legge 662/96 Filiale di Roma Abbonamento annuale Lire 35.000 Una copia Lire 3.500

Periodico associato all’USPI (Unione Stampa Periodica Italiana)
I dati forniti dai sottoscrittori degli abbonamenti vengono utilizzati esclusivamente per l´invio della pubblicazione e non vengono ceduti a terzi per alcun motivo.

Supplemento al Numero 4 aprile 2000

Centro Sportivo Italiano: Il Volto e l’Anima Mantenere viva la speranza e continuare a lavorare per la costruzione di un nuovo sistema sportivo 4 12

04Relazione del Consiglio nazionale
• La stagione sofferta dello sport
• Essere CSI oggi
• Da un secolo all’altro



48Candidati agli organi nazionali
• Consiglio nazionale
• Collegio nazionale dei revisori dei conti
• Collegio dei probiviri
dossier
36Ritratto di un quadriennio
vitacsi
54Tutte le strade che portano a Roma



lo sport, al pari della società civile, vive un tempo di transizione: sono morte molte esperienze, speranze, utopie del passato, molti modelli sono scomparsi e ancora non sorgono alternative per il futuro. Basta guardarsi attorno per cogliere i segni più evidenti di quanto non funziona: dal doping alle violenze, dalle spettacolarizzazioni alle grandi operazioni commerciali, dai vincoli a vita allo sfruttamento dei baby calciatori… Siamo ben lontani dai sogni decoubertiani e da una cultura dello sport fondata sul primato della persona umana. In questo tempo di transizione ci sono due atteggiamenti possibili. Uno negativo: lasciarsi prendere dalla confusione e dalla sfiducia. Continuare a piangere e rimpiangere un passato che non tornerà o vivere sognando un modello sportivo ideale con un futuro impossibile. L'altro positivo: mantenere viva la speranza e continuare a lavorare per la costruzione di un nuovo sistema sportivo. La strategia nella costruzione di questo nuovo sistema non è lo scontro ma è lavorare dall'interno attraverso un confronto profondo con il sistema attuale. Ciò significa affrontare le esasperazioni, il doping, la violenza, la crisi di democrazia e di partecipazione. Il sistema attuale è l'unico possibile, anche se ama rappresentarsi come un sistema senza alternative. La logica che sempre più lo invade e lo pervade è quella del mercato, del massimo guadagno. Il modello sportivo che vogliamo costruire non può ignorare questo contesto storico ma non può nemmeno limitarsi ad apportare correzioni marginali ed evitare gli abusi più evidenti. Non si tratta solamente di sviluppare un'etica interna al sistema che cerchi di generare nuovi programmi e nuovi modelli sportivi.
Infatti le 12.186 società sportive, con gli oltre 150.000 operatori, i 144 Comitati territoriali e i 20 Comitati regionali, dimostrano quotidianamente fino a che punto il CSI svolga nel mondo sportivo italiano un ruolo di partecipazione attiva, attenta, fatta di comportamenti e di assunzione di responsabilità. Un'azione che costa uno sforzo immane, perché si attua in assenza di condizioni operative adeguate (mancanza di strutture per lo sport di base) e di riconoscimenti formali (dello sport per tutti, degli enti di promozione sportiva, delle società sportive dilettantistiche). Un quadro che potrebbe rimanere confuso e incerto chissà per quanto, tra le lentezze e resistenze al cambiamento da parte del sistema.

La fase di transizione economica e sociale iniziata negli anni '90 a livello italiano, europeo e mondiale è ben lontana dall'essersi conclusa. Il divario tra nord e sud del mondo resta drammatico, chiamando ad una solidarietà che solo in pochi sembrano voler affermare con i fatti, mentre si sviluppano fenomeni come l'emigrazione dai paesi poveri, il ritorno dei nazionalismi, il susseguirsi di conflitti locali, il diffondersi di un'economia globale che, in assenza di regole nuove ispirate ad un'etica dell'economia, sembra non riuscire a sanare la dicotomia tra profitto e occupazione.
A sua volta il nostro paese stenta ad uscire dalla crisi politica, economica e sociale che lo ha avvolto nei primi anni Novanta. La precarietà degli esecutivi si è evidenziata una volta di più nella recente crisi di governo. In questa situazione le riforme istituzionali e strutturali tardano ad arrivare.
Le dinamiche in atto, coniugate con il ritrarsi del Welfare State, hanno aumentato le aree di disagio sociale. Le famiglie in condizioni di disagio sono più di 3 milioni. È elevato il numero di giovani che abbandona prematuramente il circuito scolastico per dedicarsi a lavori irregolari e talvolta illegali. La responsabilità è anche di una Scuola che non riesce a proporsi come investimento educativo efficace. Il tasso di disoccupazione è molto più elevato di quanto avviene in altri contesti occidentali. Diventiamo una società vecchia: la percentuale di giovani è scesa al 21% ed è destinata a scendere ancora.
Cambiano gli stili di vita, per scelta o per necessità, sconvolgendo schemi sociali collaudati. Basti pensare che oggi il 58.8% dei giovani tra i 18 e i 34 anni vive nella famiglia di origine. La famiglia stessa è un'istituzione che tiene con difficoltà, ma è sottoposta a notevoli pressioni e in mancanza di una qualunque politica di sostegno è difficile prevedere quale possa essere il suo futuro.
Quali i segni di speranza? La riposta ci viene dalle parole di Giovanni Paolo II: "È motivo di conforto constatare come nella società civile sia presente un profondo fermento, che nasce dall'azione di molte associazioni familiari…A tale fermento contribuisce anche l'impegno di una moltitudine di gruppi e movimenti che variamente si dedicano alla promozione dei diritti e dei doveri della cittadinanza…Sono fenomeni, questi, che ben possono qualificarsi come una sorta di tesoro della società civile, perché costituiscono il luogo privilegiato per l'elaborazione e la riattualizzazione dei valori".
missione del CSI
La missione del CSI è fare in modo che il mondo esterno tenga in conto il CSI, e che il CSI tenga in conto il mondo esterno: in questo duplice obbligo si disegnano le priorità operative e strategiche dell'Associazione: motivarsi sulle scelte ideali di fondo, legittimare la propria presenza con progetti di alto profilo coerenti con quelle scelte, saper rappresentare il territorio (ed i suoi bisogni) all'Associazione e l'Associazione (ed i suoi bisogni) al territorio.
Più che in generiche affermazioni di principio, le scelte ideali di fondo sono quelle che si possono "leggere" (dall'esterno e dall'interno dell'Associazione) nei programmi e nelle azioni concrete. Più che trovare una nuova identità che si adatti al contesto che cambia, bisogna trovare modi nuovi di fare emergere ciò che c'è di più "vivo" nel CSI (e nella sua progettualità) per incarnarlo nei metodi e nei linguaggi più adatti al tempo e alle circostanze.
L'identità nuova da ricercare non è quella dei princìpi - che ritroviamo intatti e attuali nell'affermazione del primato della persona umana anche nello sport - ma quella che si configura nel modo di porci nei confronti delle persone, dei gruppi, delle istituzioni, insomma nella correlazione continua interno-esterno. Non basta mettersi davanti ad uno specchio e dire di sé: siamo belli, bravi e buoni.
Territorio ed integrazione
"Territorio" ed "integrazione" sono le parole magiche per risolvere gran parte delle problematiche per la promozione dello sport per tutti. Da qui la scelta di "puntare" su una rete territoriale integrata capace, da una parte di rispondere in maniera più efficace ai bisogni sportivi e di socializzazione della popolazione e, dall'altra, di accentuare il processo di partecipazione del CSI alle vicende "pubbliche" della politica sportiva sia locale sia nazionale. Da ciò, tra l'altro, deriverebbe all'Associazione una migliore capacità di reclamare e ottenere i giusti riconoscimenti e di contribuire alla crescita di una diversa cultura sportiva.
Se oggi le istituzioni centrali ed i media guardano con più attenzione al CSI è perché le strutture dell'Associazione, con la Presidenza nazionale in prima fila, hanno combattuto negli ultimi anni battaglie faticose a difesa di tutto lo sport di base, e non solo dei propri interessi immediati.
Mai accontentarsi
Quelli odierni del CSI sono certamente obiettivi autoriferiti, in quanto tendenti allo sviluppo della presenza associativa, ma con un forte contenuto "pubblico" perché rivolti all'interesse collettivo della popolazione, che ormai reclama la pratica sportiva come un diritto della persona. Si tratta di obiettivi vitali per il CSI, che si spenderà per conseguirli con un'azione forte e visibile. Mai accontentarsi delle mète già raggiunte o peggio ancora cavalcare la paura di non farcela,
di essere inadeguati e di rinchiudersi nel proprio orticello.
È tempo di invertire il corso della storia dello sport italiano.
È tempo di risvegliare la speranza del popolo sportivo non per opportunismo ma per appianare le disuguaglianze, per far valere i diritti e le opportunità.
Veniamo da un'eredità di elemosine, di campagne di emergenza, di carità dei soggetti più forti nei confronti dei soggetti più deboli. C'è molta resistenza, tanto sospetto, tanta incomprensione da parte di diversi settori del mondo federale. C'è divisione.
È giunto il tempo delle convergenze fra "poveri" e fra "ricchi e poveri".
Il sogno in cui speriamo è che un'autentica rivoluzione di valori, relazioni e strutture renda possibile una sorta di conversione del sistema sportivo italiano. Evidentemente sappiamo, per esperienza, che i tempi sono ancora lunghi e la speranza ancora vive.
Diventa sempre più evidente, ed è riconosciuto dalle istituzioni nazionali ed europee, che esistono due forme di sport completamente diverse, se non antitetiche: lo sport di alto profilo agonistico e lo sport per tutti, il primo elitario e spesso ricco, il secondo "povero" e diffuso.
Nonostante allo sport per tutti si attribuisca una rilevante funzione sociale di interesse generale, il nostro sistema sportivo continua ad essere tarato sui bisogni del business dello spettacolo sportivo.
Dopo decenni di immobilismo, il CONI si è avviato al cambiamento, in realtà subendolo, più che scegliendolo. È difficile capire, tuttavia, dove il cambiamento porterà lo sport italiano, poiché i lavori sono ancora in corso e procedono a strappi. Su di essi pesa, in particolare, l'incognita dell'instabilità dei Governi, che impedisce di dare continuità all'azione riformatrice. Ne è un esempio la sorte tormentata del Disegno di Legge 2761 sulle società sportive dilettantistiche e gli enti di promozione, che ha cambiato contenuti più volte ed è oggi bloccato in Parlamento.


È questo uno scenario che prende sempre più consistenza. L'entrata in vigore della moneta unica ha consumato l'ultimo atto di un processo di unificazione che comporterà sempre più lo spostamento delle decisioni di indirizzo e di politica generale dalle istituzioni nazionali a quelle comunitarie. E ciò anche nello sport.
La "Dichiarazione 29 sullo sport", allegata nel 1996 al Trattato di Amsterdam, sottolinea "la rilevanza sociale dello sport, in particolare il ruolo che esso assume nel forgiare l'identità e nel ravvicinare le persone".
Ulteriori documenti della Comunità Europea dimostrano l'attenzione con cui essa segue le sorti dello sport educativo.
Va menzionata la cosiddetta "Relazione di Helsinki sullo sport" del 1° dicembre 1999, uno studio richiesto dallo stesso Consiglio Europeo, preoccupato di trovare i modi per salvaguardare la funzione sociale dello sport nel quadro comunitario.
La relazione annota che l'evoluzione dello sport in Europa, con la forte spinta alla commercializzazione e alla spettacolarizzazione, "rischia di condurre ad un indebolimento della sua funzione educativa e sociale". L'azione comunitaria tenderà perciò a riaffermare e rafforzare tale funzione.
Già da qualche tempo sono state lanciate iniziative europee che incoraggiano e sostengono programmi dell'associazionismo sportivo a favore di particolari gruppi sociali come immigrati, minoranze nazionali, donne, disabili. Tutto lascia prevedere che tali iniziative si intensificheranno negli anni a venire, anche perché gli studi di settore indicano che in Europa il numero dei posti di lavoro generati, in modo diretto o indiretto, dallo sport è aumentato del 60% negli ultimi 10 anni, per arrivare a circa 2 milioni, e che può ulteriormente lievitare con una politica di sostegno.
Le responsabilità dell'apparato istituzionale passano comunque in secondo piano rispetto all'incapacità dello sport italiano di capire e governare il cambiamento prima di esserne trascinato e travolto.
Non si è voluto prendere atto che stanno cambiando il concetto di sport e il modo di usufruirne (motivazioni, bisogni, attese, approcci, forme), la proposta e l'offerta di sport, i modi di organizzarlo e di gestirlo.
Lo sport è figlio della società e se cambia la società - princìpi, valori, atteggiamenti, comportamenti, abitudini di vitaanche lo sport cambia, ed infatti è già cambiato e cambia in continuazione. E questo riguarda tutti, non solo il CONI e le Federazioni.
L'Istat conferma che le forme tradizionali di pratica sportiva sono in crisi, che la disponibilità potenziale dei giovani poco si concilia con forme di impegno troppo fisse e pressanti. Sarebbe l'epoca dello sport per tutti, ma resistenze ed incomprensioni hanno fatto sì che lo sport per tutti sia ancora lontano dall'essere un fatto compiuto: continuano ad esserci troppe sacche di immobilismo, di povertà e di bisogno, che per essere colmate esigerebbero, da parte di tutti, un approccio ed un entusiasmo nuovi.
L'ASSOCIAZIONISMO SPORTIVO
Da più parti si individua nell'associazionismo la grande risorsa che può permettere di superare i rischi e i paradossi della società complessa, facendo lievitare i valori della responsabilità, della solidarietà e della sussidiarietà quali pilastri del vivere sociale.
Le analisi di settore indicano tuttavia che lo slancio che ha caratterizzato la crescita dell'associazionismo nell'Italia degli ultimi anni '80 si è arrestato. Sono entrate in crisi le forme tradizionali di associazionismo: politico, sindacale, di categoria. Se l'associazionismo sportivo continua ad essere quello numericamente prevalente, è pur vero che anch'esso è in flessione. La realtà è che nessun associazionismo, e nemmeno quello sportivo, può pensare di sopravvivere immutato ai cambiamenti della società. In gioco ci sono da un lato la necessità di trovare modi nuovi di organizzarsi e presentarsi alla gente, dall'altro c'è l'urgenza di ripensare le ragioni profonde per le quali si propone alla gente di aggregarsi e di agire in comune.
Il crescere di forme di associazionismo sociale fa ritenere che oggi susciti interesse, e sia in grado di "fidelizzare" i soci, soprattutto un associazionismo che si proponga di dare soluzione concreta a problemi urgenti della collettività. È sul fare, piuttosto che sulle enunciazioni astratte, che si concentrano i consensi e le adesioni. L'associazionismo giovanile non fa eccezione, e lo abbiamo visto anche al nostro interno con la ricerca "I giovani e il CSI", che ha evidenziato come i giovani tendano a calarsi nella vita associativa solo se vi ravvisano forme di impegno "forte".

Nell'atto di ripensare l'azione associativa, è bene ricordare che oggi i filoni più vivi dell'associazionismo sociale riguardano i settori: sportivo, ambientalista, solidaristico e difesa dei diritti individuali.
Ne emerge la "profezia" con cui il CSI, o almeno una parte di esso, ha avviato progetti di attività al cui interno sbiadiscono i confini tra i summenzionati quattro campi di azione e l'attività confluisce in un unico alveo. Proposte che si fanno ancor più ricche di senso quando vanno ad esplorare le nicchie del disagio sociale, per radicarvi valori forti ed attuali. In tutto ciò siamo aiutati dal trovarci a camminare dentro e insieme alla Chiesa che si fa sempre più attenta a questa fase di cambiamento epocale. Non per niente la Chiesa italiana - e in essa parrocchie, movimenti, associazioni…- è impegnata nella realizzazione del "Progetto culturale" dove pressante si fa l'esigenza di una inculturazione della fede nei diversi ambienti e settori del mondo.
Vivere pienamente inseriti nella storia, partecipi delle difficoltà e delle fatiche, ma anche degli obiettivi alti di qualità della vita nelle sue diverse espressioni, trova particolarmente sensibili e impegnati i credenti; e la nostra Associazione non può sottrarsi a questo vasto ed esaltante disegno, attraverso il quale crescono l'esigenza e l'esperienza di una "nuova evangelizzazione".

L'azione pastorale della Chiesa nell'epoca della globalizzazione non può che scegliere la strada di uno stile evangelico di vita, sia a livello individuale che a livello sociale, e i "luoghi" da privilegiare per questa azione missionaria: la famiglia, il mondo del lavoro, la scuola, i tanti mondi del sociale, i vasti orizzonti internazionali.
Nel ricercare i motivi di crisi del modello sportivo italiano, sarebbe riduttivo concentrare ogni attenzione e ogni risorsa sugli aspetti istituzionali ed organizzativi.
C'è da prendere atto, trovando soluzioni, che la crisi tocca fronti diversi, ma collegati.
• Crisi normativa: dopo oltre mezzo secolo in cui il sistema ha avuto come riferimento normativo la legge 1942 istitutiva del CONI, senza che vi fosse un legiferare che assecondasse l'evolversi dello sport, incominciano ad arrivare nuove norme. Ma altre questioni devono essere del tutto affrontate - ad esempio la tutela sanitaria - e possibilmente tutto deve rientrare in un quadro organico. La domanda è: come garantire un fiorire di leggi armoniche che completi la riforma del sistema in tempi ragionevoli?
• Crisi di risorse finanziarie: per mezzo secolo tutto il sistema si è alimentato con i concorsi pronostici. Oggi questa fonte si sta inaridendo. Si punta sulle scommesse e sulla riorganizzazione dei concorsi. La lezione dovrebbe servirci però a riflettere se sia il caso che tutto il sistema, anche quello non agonistico dello sport per tutti, con le sue valenze


educative e sociali, debba restare interamente affidato alle sorti di lotterie e scommesse. Certamente anche lo sport per tutti deve imparare a trovare altre strade. La domanda è: come garantire la sopravvivenza del "piccolo" sport?
• Crisi di risorse umane: tutto il sistema si basa sul volontariato degli operatori. Trovare gente motivata diventa sempre più difficile. C'è da conciliare gratuità e competenze, non profit e professionalità. È sempre più irragionevole, nel contesto attuale, pretendere che alcuni facciano dono di sé per impegni così gravosi rimettendoci sul piano economico, a scapito del loro lavoro ordinario. La domanda è: cosa fare per dare nuova spinta al volontariato sportivo?
• Crisi motivazionale: lo sport di oggi non è quello di ieri, perché sono cambiati anche i bisogni e le aspirazioni che le persone esprimono attraverso lo sport. Oggi il desiderio di diventare campioni è minoritario rispetto al bisogno di socializzazione, di ludicità, di salute, di contatto con la natura. La domanda è: come garantire un modello che soddisfi i nuovi bisogni senza tuttavia sfociare in uno sport "usa e getta" o "mordi e fuggi"?
• Crisi del modello associativo: si è sempre detto, in tutte le sedi, che il fulcro e la ricchezza del sistema sportivo sono le società sportive. Anche la società sportiva, e il modello di vita sportivo-associativa che ne deriva, è in crisi di fronte al sistema delle palestre, o delle stesse società che nascono e muoiono solo per consentire la partecipazione ad un torneo. Il CSI sostiene che senza società sportiva, e di conseguenza senza vita associativa, la pratica sportiva perde molto del suo potenziale di apporto allo sviluppo della persona umana e della società civile. La domanda è: come aiutare la società sportiva?
• Crisi etica: il doping dello sport di alta competizione è solo uno degli aspetti di una rilevante crisi etica che tocca, in varie espressioni, tutto lo sport. La domanda è: come incoraggiare e garantire uno sport ancorato a forti valori di fondo, sia nell'alta prestazione sia nella pratica di base?
• Crisi tecnologica: molti investimenti si fanno nella ricerca scientifica legata alla medicina e allo sviluppo di nuovi materiali (attrezzi, impianti…). In forte ritardo sono i tentativi di dare alle società sportive e alle strutture locali delle organizzazioni sportive quel tanto di tecnologia che possa aiutare ad organizzare e gestire meglio l'attività. La domanda è: come spingere alla modernizzazione anche le reti più periferiche del sistema?




PERCORSI POSSIBILI
Achinon verrebbe in mente, iniziando un nuovo quadriennio, di farsi prendere la mano dai sogni e riempire le pagine vuote dello sport italiano con la storia quotidiana, fatta di attività sportiva, di solidarietà, di impegno sociale che il CSI promuove in ogni angolo del Paese?
Senza paura di fare dello sciovinismo, con umile e al tempo stesso ferma convinzione, si può dire che il progetto educativo del CSI sia ormai un monumento originale nel mondo sportivo italiano, con ottime fondamenta sia sociologiche sia pedagogiche che motivazionali. Eppure non si può non prendere atto della fatica che fanno le società sportive per l'assimilazione dell'enorme patrimonio culturale che è venuto accumulandosi in questi anni. Ci lasciamo alle spalle un quadriennio che non esitiamo a definire "epocale", anche per la vastità impressionante della "produzione" di progetti sportivi, formativi, editoriali, di comunicazione, di innovazione e di grandi eventi. A guardare le tante novità succedutesi, sembra quasi che la storia associativa si sia messa a correre per recuperare i ritardi che il movimento sportivo italiano ha accumulato in questi anni.
Così come abbiamo avvertito la sensazione di una voglia di un'Associazione unita che non tollera più divisione, mugugni o altro ma chiede con forza che davvero il CSI diventi "una casa comune", dove tutti, dirigenti e quadri tecnici, con il rispetto delle diversità, possano contribuire alla sua costruzione. Nello stesso tempo, e lo diciamo con grande preoccupazione, si è fatta forte la voce dei Comitati territoriali più strutturati, che fanno fatica a farsi lievito di speranza nei confronti delle realtà associative più piccole e più deboli.
Oggi è davvero il tempo della testimonianza. È bene allora interrogarsi su quale spazio, problemi e prospettive ci siano oggi per un'associazione come la nostra, a impronta culturale e con finalità educative, nel contesto di una società dell'interesse, dell'utile, del pragmatismo, del risultato, del tecnicismo.

Oggi l'offerta sportiva è così vasta e differenziata da poter sembrare perfino eccessiva in rapporto alla domanda. Con questo supermarket dello sport il CSI è costretto a fare i conti, dal momento che ha un suo "prodotto" da proporre e da mettere in concorrenza con l'altro, anche se la sua logica è quella dell'impresa non profit, di un'azione che si motiva nel dono e non nel guadagno.
Da un lato, dunque, siamo nel mercato, e dobbiamo rispondere alle sue logiche e alle sue leggi: sotto il profilo dell'organizzazione, dell'efficienza, della competitività, dell'occhio attento all'andamento della domanda. Dall'altro lo scavalchiamo, perché riteniamo che il nostro prodotto - lo sport educativo - sia un diritto inalienabile di tutti, anche e soprattutto di chi non può passare alla cassa.
Il trend dei numeri associativi dice che siamo un'impresa non profit di successo. Le imprese di successo, profit o non profit che siano, hanno l'obbligo di pianificare il domani, di interrogare la domanda, di affinare le strategie per evitare flessioni. Abbiamo l'obbligo di chiederci: "Perché finora si è scelto il CSI? Cosa fare perché si continui a scegliere il CSI?".
La risposta è chiara: chi sceglie CSI, sceglie la sua storia, le sue regole, la sua vocazione a rendere un servizio alla persona e alla comunità attraverso proposte sportive di senso. Proprio per questo è da valutare con attenzione il rischio che, a fronte della difficoltà di mettere in atto un associazionismo di senso, ci si lasci andare alla tentazione di seguire il mercato, di soddisfare una domanda, di trasformarsi in semplice organizzazione di servizio.
Nel momento in cui l'associazione, costrettavi anche dai cambiamenti in atto nel finanziamento del sistema sportivo, si incammina sui percorsi dell'autofinanziamento, è realistico pensare che possa nascere la tentazione di reperire denaro per fini anche nobili in linea di principio, ma con mezzi che vengono a snaturare di fatto il volto e l'anima dell'associazione.
Proprio per questo insistiamo fortemente nel dire che la società sportiva è il soggetto attivo della missione, è la realtà storica, concreta che promuove sul territorio l'attività sportiva e che agisce in comunione con i Comitati territoriali. Scopo della missione è la sfida nel realizzare il progetto educativo del CSI.
La società sportiva è la "casa comune" dove si


aggregano le persone che fanno sport. Essa è chiamata a testimoniare il senso, il valore e il ruolo sociale di fare sport, aiutando suoi atleti nell'attualizzare questi valori nella loro vita.
Con il nuovo statuto la Società sportiva ha un ruolo non più schiacciato dalla piramide associativa e non può limitarsi a pensare l'associazione in termini di servizio da ricevere. Essa stessa deve mettersi in condizione di assicurarsi sempre più forza e continuità.
Sussiste un po' ovunque il gap tra le società sportive stagionali e quelle consolidate. Il primo obbligo è di lavorare per ridurlo. In questo senso è importante che sia curata in maniera più puntuale e specifica la formazione dei dirigenti e dei quadri tecnici delle società.
Dovremo arrivare a chiederci se ogni dirigente o tecnico di società sportiva è passato dalle maglie del sistema formativo, lavorando affinché tale passaggio diventi un requisito indispensabile per far parte dei quadri associativi.
Oggi l'autonomia che lo statuto concede alle società sportive è grande; bisogna che esse ne prendano consapevolezza, anche come capacità di rappresentarsi nelle sedi assembleari. È una cultura che deve maturare: non possiamo fare del CSI un'associazione di raccoglitori di deleghe.
Una società sportiva che delega le scelte politiche in bianco non potrà mai avere una vera appartenenza associativa. Solo una società sportiva "viva" sarà in grado di fornire domani ossigeno ai comitati territoriali e alle strutture regionali, assicurando ricambi di uomini e di idee.
L'attività sportiva è lo strumento principale attraverso il quale l'Associazione si aggrega.
Molto si è fatto negli anni recenti per ampliare e completare il sistema sportivo CSI, ma è necessario compiere uno sforzo ulteriore per allargare l'offerta sportiva in riferimento sia alla rosa di fasce di età, sia alla differenziazione delle esperienze sportive e motorie, sia infine ai bisogni di tanti "territori" (categorie) inesplorati.
Il sistema CSI funziona e può continuare a funzionare se conserva una sua originalità ed autonomia rispetto a quanto producono altri.
Per fortuna gran parte dell'attività non è da reinventare, ma da portare a pieno regime. Le attività vanno incentivate collegandole tra loro in modo che formino un sistema complesso che risponda all'insieme dei bisogni. Il traguardo è arrivare a realizzare un sistema integrato tra i vari livelli associativi.
Un sistema che, mentre si sviluppa e si afferma, sappia tenere conto delle realtà più deboli. La ricchezza di chi ha un grande patrimonio di capacità ed esperienze va esportata verso le "sacche di bisogno" dell'Associazione, anche attraverso un'attività di mutuo soccorso.


Certamente c'è anche da ripensare qualcosa. Ad esempio, nell'offerta di attività per i più piccoli (bambini e preadolescenti), rilanciando la migliore tradizione CSI in questo campo, rinforzando i programmi già esistenti o elaborando nuove proposte capaci di incontrare l'adesione di queste fasce di età.
Occorre reinventare una vera e propria attività, articolata in tornei "polisportivi" continuativi, ricchi di accorgimenti tecnici, capaci di invogliare i ragazzi al gioco e all'attività pluridisciplinare. Bisogna dare maggiore respiro al circuito sportivo locale, allargando le attività verso le fasce e le categorie più deboli, rafforzando la logica del progetto, osando investire ancora una volta nelle attività rivolte a particolari fasce di età, quali l'infanzia e la preadolescenza.
È lavorando con i piccoli dell'Associazione e lavorando bene, con continuità, che noi possiamo contribuire a costruire una gioventù solida, socievole, disinibita, matura, coraggiosa, capace di superare le insidie della vita di relazione.
Sono oggi i più piccoli quelli che mancano all'appello associativo e questo non ci deve lasciare indifferenti.
È sotto gli occhi di tutti il generale lavoro che i Comitati territoriali hanno svolto in questi anni, basta guardare i numeri dei campionati, dei tornei, delle manifestazioni. Ma se allargamento ci deve essere, dobbiamo guardare verso le attività che meglio esprimono il nostro carisma educativo e sociale, allargando la capacità di progetto che pure abbiamo acquisito.
Va rivolta un'attenzione particolare all'attività giovanile. Per rimotivare i giovani è necessario attuare progetti articolati nel tempo, sorretti da un'adeguata azione formativa, in grado di dare nuovo senso al valore dell'agonismo. Fornendo, in questo modo, ai giovani un'opportunità di confronto e di partecipazione, al di fuori delle mode imperanti e distorte proposte dallo sport professionistico.
Si è lavorato per restituire rigore e serietà a molte attività. Bisogna fare ancora di più, perché rigore, serietà e continuità sono indispensabili per dare efficacia ad un'azione educativa.

Il CSI assegna alla Joy Cup la funzione di consolidamento del circuito sportivo nazionale. Per questo essa è articolata nelle fasi provinciali, regionali e nazionali e mira a favorire uno sbocco sempre più qualificato alla mole di attività che i Comitati territoriali realizzano fornendo altresì un circuito sportivo unitario e coerente con la tradizione associativa e culturale del CSI.
La filosofia della Nuova Progettualità è passata a sprazzi. Ci sono pochi che progettano cose bellissime, ma in linea generale possiamo riconoscere che la logica del progettare e programmare è ancora insufficiente. È una lacuna da colmare in fretta, perché la prospettiva che abbiamo di fronte è quella di istituzioni - dall'Europa ai Ministeri, al Comitato
sport per tutti e alle Regioni - che concedono contributi solo a fronte di progetti. Solo la progettazione può consentirci l'inserimento nei varchi di accesso che l'autonomia sta aprendo nella Scuola.
Progettare di volta in volta consente di ampliare la gamma delle proposte a tutti i segmenti della popolazione, e dunque anche di essere più presenti e di contare di più.
L'attività formativa assume senso e significato in quanto sostegno diretto alla promozione dell'attività sportiva. La riorganizzazione del sistema formativo e il percorso finora compiuto richiedono un ulteriore sforzo proprio per far sì che anche la formazione del CSI goda di una propria specificità e sia incisiva nella qualificazione dei dirigenti e degli educatori sportivi.
Innanzitutto, occorre riqualificare il ruolo delle scuole di formazione, sia a livello regionale sia a livello nazionale. Le scuole devono dare una risposta organizzativa ai bisogni formativi dell'associazione, avvalendosi del contributo e delle competenze dei comitati tecnico-didattici, che dovranno essere ulteriormente valorizzati. Tra i compiti prioritari a livello nazionale vanno segnalati l'aggiornamento del curricolo per educatori sportivi, anche su supporto elettronico; la stesura del curricolo per i dirigenti; la formalizzazione di ulteriori percorsi formativi (progettisti, operatori della comunicazione…).
Altro importante compito dei comitati tecnico-didattici sarà quello di uniformare i criteri valutativi dei corsi periferici. È fondamentale che, in base alle aree formative e per ogni singolo percorso, esistano degli standard minimi di valutazione a cui tutti i comitati possano attenersi. Si tratta di realizzare dei supporti (schede, test, ecc.) che possano essere di riferimento nella valutazione.
Nello stesso tempo, sfruttando le moderne tecnologie di cui l'associazione si è dotata, è necessario che anche la formazione CSI navighi via Internet. Occorre che in breve tempo siano elaborati percorsi formativi on line, in versione soft, la cui versione integrale sarà disponibile su CD.
Altra priorità formativa riguarda l'analisi e eventualmente la consulenza nella proposta dell'attività formativa nelle regioni in cui non sono ancora state istituite le sedi regionali della SNAD e della SNES. In questi casi, l'obiettivo deve essere la creazione della rispettiva sede periferica nell'immediato futuro o, in alternativa, la realizzazione di un "consorzio" di regioni per l'istituzione di una sede interregionale. Quest'ultima soluzione deve essere obbligata qualora non sussistano le condizioni per l'attivazione di una sede autonoma. Ragionamento analogo, vale per quelle regioni e comitati in cui la realtà associativa risulta in difficoltà. Appare necessario progettare interventi molto mirati. I piani annuali della formazione di tali regioni andranno pre-


disposti in stretta collaborazione con la Presidenza nazionale e le scuole attiveranno immediatamente uno specifico progetto formativo. Vanno anche perseguite forme di tutoraggio e di gemellaggio, con il sostegno della Presidenza nazionale: dirigenti, tecnici, formatori…di comitati organizzati e strutturati dovranno mettersi a disposizione dei comitati meno strutturati e viceversa, in una prospettiva di reciproco scambio di esperienze, consentendo una reale formazione on the job.
Il grande problema della formazione CSI resta, però, quello della formazione dei dirigenti. Il serbatoio di un tempo, l'Azione Cattolica, ormai, non produce più nuovi dirigenti. La figura del dirigente sportivo, soprattutto ai livelli territoriali "più alti", sembra attraversare una seria crisi. Occorre rilanciarne la formazione a tutti i livelli. Si deve pensare, proprio per rafforzare l'identità associativa, a uno specifico percorso formativo per dirigenti CSI, anche perché nel futuro l'associazione dovrà "cercarsi" e "crescersi" i dirigenti al proprio interno, offrendo esperienze forti e motivanti.
Una riflessione a parte meritano le esigenze formative dei giovani che incontrano in CSI per la prima volta, ai quali nessuno ha il tempo di spiegare cosa sia il CSI e che cosa faccia. Il rischio è che si impieghino i giovani nuovi arrivati in servizi ripetitivi, noiosi…. di cui non si riesce a cogliere l'importanza. La proposta del CSI è una proposta di medio profilo che se non è riempita di senso può apparire perfino inutile. Probabilmente, occorre recuperare il modello dei campus fatti per conoscere ed emozionarsi, per aprire gli orizzonti. Va recuperato il senso dei tanti gesti che si compiono nel CSI per realizzare progetti sportivi davvero unici, di cui bisogna portare a conoscenza con presenze, esempi, testimonianze.
Il gran parlare che si fa in questi tempi di Terzo Settore, Non Profit, new economy…, al di là del clamore che ogni novità suscita nella nostra civiltà dell'immagine, interroga la nostra Associazione sulle modalità innovative che stanno investendo anche il terreno che ci è proprio.
Cosa può significare sul piano operativo per il CSI, per le società sportive e per gli operatori che operano al loro interno e per i quali abbiamo affinato percorsi formativi e programmi di attività?
• Spendersi con maggiore efficacia, recuperare risorse e procurare anche occasioni di lavoro nel settore dei servizi (assistenza in genere, infanzia, terza età, handicap, carceri, minori a rischio, centri estivi... sia per interventi tramite progetti sportivi, ricreativi che per progetti di formazione).
• Realizzare convenzioni o protocolli d'intesa con scuole, enti locali, comunità montane, comuni, province, regioni, strutture sanitarie… (l'attuale Convenzione con il Ministero di Grazia e Giustizia ne rappresenta un modello).


• Partecipare ad appalti per progetti d'intervento ai diversi livelli istituzionali: locale, regionale, nazionale, europeo.
• Inserirsi organicamente nelle politiche territoriali riguardanti l'infanzia o rivolte alla prevenzione del rischio e della devianza dei giovani. In tal senso la L. 285/97 rappresenta un'opportunità che dovrebbe suscitare maggiore attenzione da parte delle nostre realtà periferiche
• Istituire un'agenzia di formazione nazionale, con diffusione sul territorio, per interventi concertati con gli enti locali, per azioni mirate e mediante il ricorso a tecniche avanzate anche per progetti di formazione a distanza. Sotto questo aspetto abbiamo raggiunto traguardi interessanti attraverso la costituzione degli albi nei diversi settori della formazione che possono rappresentare un'opportunità per accedere negli spazi che le leggi regionali hanno già aperto e che, con l'accresciuta autonomia, si amplieranno ulteriormente.
La nota pastorale "Sport e vita cristiana", se da un lato ha colmato un vuoto sullo sport come strumento di nuova evangelizzazione, dall'altro ha dato a molti l'impressione che lo sport di ispirazione cristiana, avendo trovato un approdo nella parola dei vescovi, fosse ormai cosa facile da compiersi. Invece tutto o quasi resta da costruire.
Lo sport proposto in molte comunità ecclesiali non lascia traccia, è solo un modo di passare il tempo libero che non incide sul piano educativo, che nulla conferisce quanto a consuetudine alla partecipazione, integrazione, sacrificio, generosità, fair-play, ricerca di esperienza personale profonda.
È amaro ammettere che all'interno di tante parrocchie ed istituti la pratica sportiva incarnava maggiormente i valori cristiani quando viveva nella semplicità e nella spontaneità dei cortili sterrati e degli operatori improvvisati. Oggi che i mezzi consentirebbero di fare molto di più, ben poco si fa per sottrarre la pratica sportiva all'aleatorietà da fenomeno di consumo.
Rimane sempre attuale, allora, il problema del riuscire a rilanciare la tradizione del CSI nelle parrocchie. Poco si può fare più di quanto si è fatto se la parrocchia non si apre al CSI. Non è più un problema di pastorale o di sussidi. Anche per noi del CSI resta ben poco da teorizzare. C'è soprattutto da concretizzare, da progettare, adoperando gli stessi occhi della modernità che si usano per gli altri progetti sportivo-educativi. E il CSI possiede gli strumenti e ha tutte le carte in regola: Fantathlon, Giocasport, le attività ludico-motorie e di disciplina sportiva possono integrarsi nel progetto educativo e pastorale delle parrocchie. Riconquistare parrocchie e oratori è un obiettivo prioritario: per rendere un servizio alla comunità cristiana, per non perdere la nostra identità associativa, per rendere nuovamente fertile il terreno da cui sono nate generazioni di diri-

genti CSI, per rendere possibile quel traguardo del milione di tesserati che vive nelle nostre ambizioni. La strategia da usare è chiara ed è quella del fare, del rimboccarsi le maniche e gettarsi sul campo.
Rivitalizzare il rapporto con la comunità cristiana è una questione che si incrocia con il problema della mancanza di sacerdoti che ricoprano il ruolo di consulente ecclesiastico. Forse è giunto il momento di arrendersi all'idea che avere l'assistente ecclesiastico in ogni Società è un'utopia, e che occorre individuare il volto del consulente ecclesiastico in modo nuovo, guardando anche al diaconato.
Dopo il rinnovamento dello Statuto associativo è logico chiedersi: come immaginiamo il CSI di domani, il suo "volto e la sua anima"? Quali percorsi possibili, quali sogni? Sogniamo un'Associazione capace di rinnovarsi continuamente; che sappia rischiare su percorsi inediti; che sappia valorizzare i suoi animatori, i suoi dirigenti e i suoi tecnici; che sappia promuovere la democrazia, la collegialità e la condivisione; che sappia essere dono, seme e lievito; che sappia interpretare la strategia "dell'umile missione del granello di senapa". Come dire che il prossimo quadriennio sia la stagione della semina di terreni nuovi.
È come se ognuno di noi dovesse diventare germe o cellula di umanità nuova. Occorre, per questo rinvigorire le ragioni del servizio e dell'essere dono, dono agli altri e cioè non ridurre il nostro ruolo solo a animatori culturali e organizzatori sportivi.
Occorre riscoprire quel terreno comune, il Vangelo, attraverso i segni della testimonianza, umanizzando ogni tipo di servizio e di attività recuperando il linguaggio del cuore, del confronto e della riconciliazione a partire dall'ambito nazionale che per primo dovrà recuperare il segreto e il fascino del "donarsi senza mezze misure".
Ambito nazionale - I segni concreti di questo cambiamento avvengono attraverso due binari:
• migliorando i servizi ai Comitati territoriali, alle società sportive e ai singoli tesserati.
Il centro nazionale si deve far carico di assistere società sportive e strutture territoriali in tutti quegli ambiti in cui sarebbe uno spreco che ognuno facesse per conto proprio: ambito giuridico-fiscale, tecnico, procedure di finanziamento, fondi europei, aggiornamento sulla legislazione… Tale funzione va assolta con il ricorso ai mezzi tecnici più adeguati, a cominciare dall'informatica e dalla telematica; • garantendo lo sbocco nazionale alle attività (sportive, formative, di comunicazione...) e svolgendo opera di progettazione e programmazione annuale, scandendo i ritmi e i tempi di ogni stagione sportiva e associativa.
All'ambito nazionale appartiene anche il ruolo politico centrale. Negli ultimi anni il CSI ha tessuto una rete di rapporti


istituzionali che vanno sempre più mantenuti e affinati all'interno dell'associazionismo sportivo e generale, degli apparati politici, delle strutture ecclesiali e delle aggregazioni laicali.
Ambito regionale - Nel momento in cui lo sport italiano cammina verso il decentramento, ed enti locali e scuola ricercano partner capaci e credibili, si evidenzia la necessità di una presenza costante e attenta del CSI lì dove si disegnano i progetti e si assegnano le risorse.
Purtroppo a livello regionale c'è ancora molto da fare. Le regioni CSI non sono cresciute come avrebbero dovuto. Nei prossimi anni occorrerà sostenere l'impegno a favore delle strutture regionali, affinché possano adempiere pienamente ai compiti e alle funzioni attribuite dallo statuto.
Per attrezzarsi non servono ulteriori strutture o mezzi finanziari. Servono piuttosto uomini e donne, competenti e motivati, in grado di dare un'anima e un volto alle realtà regionali, per trasformarle in organismi capaci di sostenere lo sviluppo dei Comitati territoriali in difficoltà; e nello stesso tempo concretizzare una vita sportiva e associativa che risponda ai bisogni delle realtà di base, e che sia effettivamente continuità e sbocco per le attività sportive, formative e culturali realizzate localmente.
Ambito territoriale - L'idea che il CSI ha di se stesso è quella di essere un'Associazione realmente locale e popolare. Cioè incarnata nel territorio. Un'associazione capace di guardare alla periferia: periferia del territorio, periferia dello sport (nuove discipline sportive), periferie delle fasce di età (bambini, giovani, anziani), periferie delle categorie più deboli… (disabili, carcerati, terzomondiali).
E per questo occorre che i Comitati territoriali sappiano osare su percorsi inediti, bussare alle porte delle carceri, delle comunità di recupero, delle parrocchie di frontiera, degli oratori e offrire a tutti la possibilità di fare sport e inoltre devono guardare con attenzione alla scuola che cambia, alla sua autonomia che prende forma, proponendosi con i propri programmi e con le proprie specificità.
Tutto ciò comporta la ricerca continua di nuovi operatori a servizio delle società sportive e dei Comitati, e sostenerli con un'adeguata formazione ma soprattutto accogliendoli.
Abbiamo bisogno di nuove energie che arrivano e non di operatori che se ne vanno. Il futuro del CSI si gioca sui suoi dirigenti e tecnici.
Per questo occorre abbassare la conflittualità che si avverte in alcune strutture territoriali dell'Associazione che, se si giustifica durante la stagione congressuale, non è tollerabile durante la stagione associativa.
I Comitati territoriali devono affinare la capacità di trattenere le società sportive, e aprirsi alle nuove istituzioni collegiali che stanno nascendo negli enti locali.
Resta ancora da definire quali ricadute avrà nell'ambito locale il Comitato nazionale sport per tutti, ma è innegabile

che il successo del progetto che è alla base del Comitato può avvenire solo se sul territorio ci sarà chi sia in grado di trasformare i progetti nazionali in iniziative concrete.
Perciò avremo bisogno di realtà CSI che non si chiudano in se stesse, e anzi si aprano alla collegialità con le altre forze del territorio.
Più volte in passato ci siamo trovati ad affrontare il problema del rapporto tra volontariato e lavoro all'interno della nostra associazione. Nel momento in cui il servizio della promozione della pratica sportiva sta subendo non poche modifiche, e talvolta non poche complicazioni, sul piano dell'inquadramento normativo e fiscale, diventa urgente incominciare a fare chiarezza. Sicuramente, la legge 133/99 ha iniziato a stabilire dei principi e mettere punti fermi importanti, consentendo di erogare compensi agli operatori che concorrono a realizzare l'attività sportiva prevedendo una precisa normativa fiscale.
Nell'Associazione coincidono due necessità:
a) prestare un servizio, anche ben organizzato e in forma continuativa, al quale non si può sfuggire senza tradire chi ha bisogno di pratica sportiva - si pensi alla gestione di piscine e altri impianti;
b) prestare un servizio di volontariato puro, il che significa dare "una prestazione gratuita - dunque non retribuitaderivante dal desiderio di servire e condividere la situazione di chi si trova in condizioni di bisogno".
Va posta attenzione al rischio che si corre nel mondo dello sport di svilire il senso del volontariato, camuffandolo con forme di lavoro nascosto. È un rischio che trova terreno fertile nell'attuale contesto economico-sociale, in cui il tasso di disoccupazione giovanile è altissimo e dove oltre due milioni di anziani vivono sotto la soglia di povertà. È anche vero che, in talune circostanze, le organizzazioni di volontariato funzionano da trampolino di lancio per l'inserimento nel mondo del lavoro di fasce deboli e marginali. Intanto il CSI è tenuto almeno a fare chiarezza al suo interno, utilizzando fin da ora gli strumenti legislativi disponibili e creando le condizioni per cui il lavoro sia chiamato lavoro, ed emerga alla luce del sole, e il volontariato sia chiamato volontariato.
In nessun caso è pensabile di chiedere un impegno eccessivo a quei soggetti che non hanno una fonte di reddito, per i quali il volontariato non può tradursi in surroga al diritto al lavoro.
Sono tutti elementi da considerare anche alla luce dell'incerto futuro che attende l'obiezione di coscienza. L'apporto degli obiettori, oggi rilevante, è messo in forse dalla prossima riforma del servizio di leva, anche se si può ritenere che il servizio civile rimarrà in vita in qualche modo come preziosa esperienza formativa per i giovani.

Ed è questo un altro fronte di impegno: battersi perché quello che rimane dell'obiezione di coscienza abbia diritto di cittadinanza anche nel CSI.
In molte realtà CSI si avvertono forti ritardi nella costituzione delle scuole di formazione. I cambiamenti che il CSI ha avviato, sul piano organizzativo e delle attività, si basano sulla formazione programmata dei dirigenti e non sull'improvvisazione.
Se il CSI pretende di avere un sistema sportivo proprio ed originale, non può pensare di prescindere da operatori specificatamente preparati.
Il modello formativo appena introdotto richiede una maggiore consapevolezza delle competenze e dei rapporti che devono esistere tra la sede nazionale e le sedi periferiche delle scuole di formazione.
Le scuole non devono basarsi su proprie analisi dei bisogni formativi. Questo è compito dei comitati territoriali. Le scuole devono dare risposte concrete, organizzative, alle scelte dei comitati territoriali.
I comitati faticano tuttavia a fare progettazione, sia per le proprie necessità, che nell'individuare proposte da sottoporre agli enti locali e alle istituzioni, anche europee. Deve pertanto maturare la capacità di progettazione, nodo indispensabile per oltrepassare gli attuali confini associativi e agire in partnership con Europa, scuola, enti locali.
A supporto dell'azione formativa sono stati realizzati sussidi e testi. Certamente vanno aggiornati ed ampliati, ma resta per ora un inadeguato utilizzo dei testi base del CSI, che invece offrono le conoscenze per fare operatori a misura di CSI.
La formazione dei dirigenti non può essere generalizzata, ma va indirizzata in moduli formativi che sviluppino le competenze specifiche per i ruoli previsti dallo Statuto.
Un'associazione movimento, stimata, credibile, che fa opinione, ha necessità di incidere nel pensiero e nella cultura attuale. Lo può fare comunicando bene.
Come in altre associazioni di volontariato, nel CSI si avverte la necessità di una formazione intesa ad insegnare agli operatori volontari a conoscere almeno le regole fondamentali del comunicare. Senza pretendere di trasformare chiunque in uno specialista dell'ufficio stampa attraverso un corso di qualche giorno, si può ricercare almeno che nell'associazione si consolidi la consapevolezza del comunicare verso l'interno, e verso l'esterno con le istituzioni, i media, la comunità locale, le altre associazioni.
Molto può aiutarci la tecnologia. Dobbiamo far nostro quell'obiettivo di una più diffusa alfabetizzazione informatica che è ormai elemento costante nei documenti programmatici
Intervenendo al Consiglio Nazionale del CONI il 28 giugno 1996, l'allora ministro vigilante sullo sport, on. Veltroni, fece un'importante ammissione: "Si guarda allo sport per tutti, con speranza, anche da mondi lontanissimi: dal disagio giovanile, dall'emarginazione, dal carcere".
È un'autorevole conferma che lo sport per tutti si incrocia - e si incrocerà sempre di più - con le politiche sociali. Spiragli importanti sono ravvisabili:
• nel Piano sanitario Nazionale 19982000, che pone la promozione dell'attività fisica tra i suoi obiettivi prioritari, da conseguire con il coinvolgimento delle organizzazioni di settore.
• nel "Piano nazionale di azione e di interventi per la tutela dei diritti e lo sviluppo dei soggetti in età evolutiva 2000-2001" presentato dal Dipartimento Affari sociali, che prevede l'impegno pubblico a sostegno di iniziative educative e culturali che favoriscano l'aggregazione, la socializzazione, la prevenzione del disagio, la tutela della salute.
Quello delle politiche sociali è un ambito nel quale il CSI deve riuscire ad esprimere tutte le sue potenzialità, al centro e in periferia, attingendo alle risorse che ormai ci sono per queste attività in campo nazionale ed internazionale.


delle istituzioni nazionali ed europee. Il futuro appartiene ad una formazione di base improntata sull'informatica che permetterà di ampliare il riverbero della comunicazione, favorendo i rapporti all'interno del CSI: tra arbitri, tra dirigenti, tra operatori, tra struttura centrale e strutture periferiche. E non dimentichiamo le opportunità di comunicazione che si possono aprire fra le società sportive e il comitato territoriale.
I cambiamenti di Stadium vanno in questa direzione, ma ci sono altri passi da fare. I notiziari passerella non servono più, meglio investire energie finanziarie e intellettuali in forme più efficaci.
Nella comunicazione associativa oggi abbiamo una buona sintesi nazionale, ma anche una grande frammentazione sul territorio. Serve un progetto unitario che dia coralità, che fornisca l'immagine di tutto il CSI. Ci si può lavorare anche uniformando la comunicazione territoriale per renderla più efficace e riconoscibile: uniformare i segni della comunicazione attraverso colori, temi, interpretazioni.
La comunicazione consente ad un'associazione così composita come il CSI di avere un volto unico. È una risorsa da valorizzare ulteriormente con un grande progetto editoriale moderno ed efficace che miri ad informare sulle cose fondamentali, e ci presenti e imponga come associazione unitaria.
Senza perdere di vista il fine: modernità e tecnologia sono il volto che deve difendere l'anima del CSI, e che non faccia fermare solo sulla contemplazione delle cose già fatte.
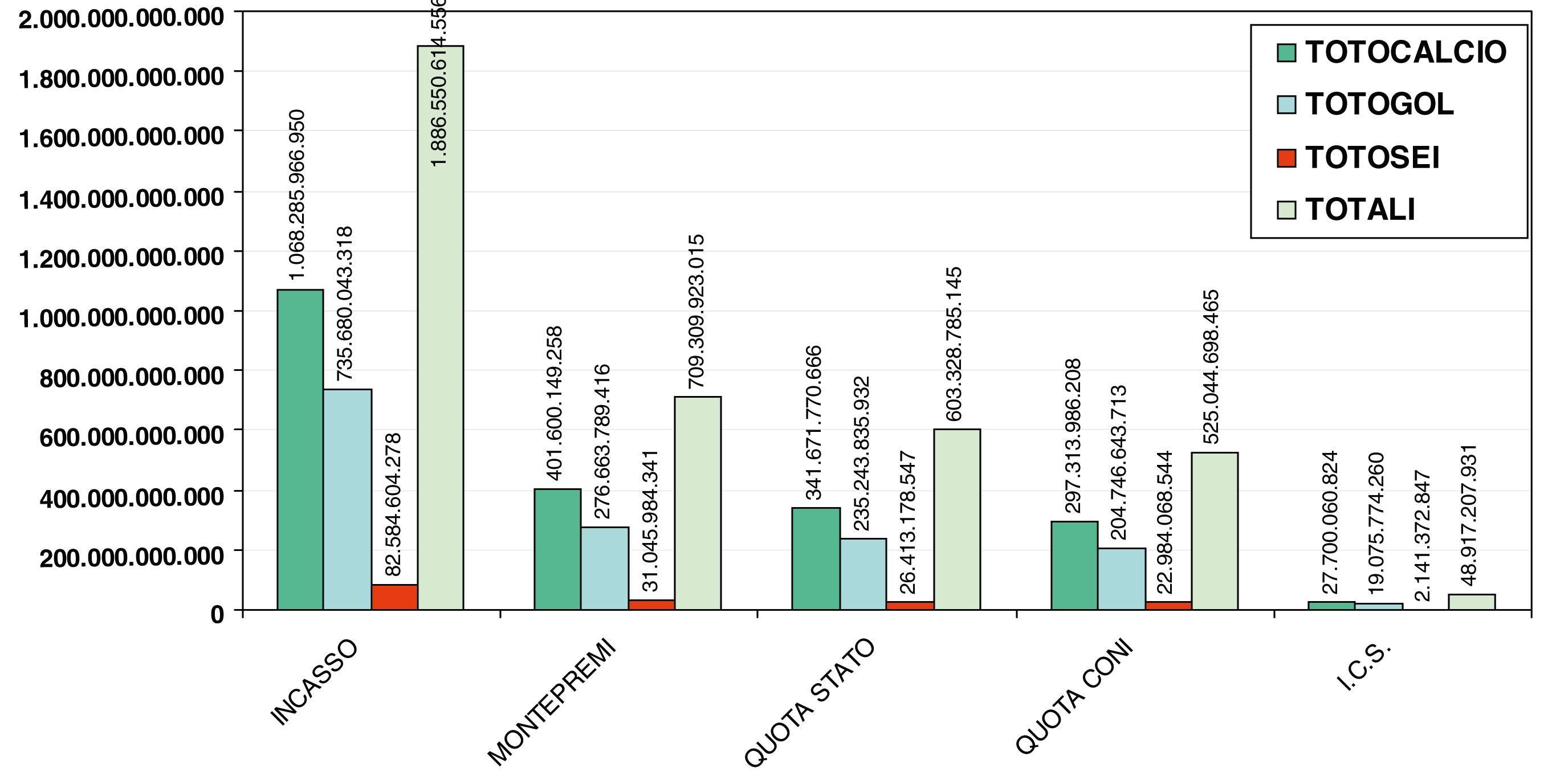
Nonostante le ottimistiche previsioni che vengono fatte sul futuro delle scommesse sportive, che dovrebbero restituire alla pratica sportiva quelle risorse cancellate dal declino del totocalcio, nel breve e medio periodo la capacità operativa delle organizzazioni sportive sarà sempre più vincolata alla capacità di autofinanziarsi.

Già oggi il bilancio nazionale del CSI è formato dai contributi CONI solo per il 41.08%, a fronte dell'87.90% del 1989. Autofinanziarsi significa avere un'immagine forte, dotarsi di capacità e metodi manageriali: cioè, riuscire a confrontarsi in termini di modalità organizzative, capacità di fare marketing e di utilizzare le risorse.


SPORTin NATURA
Mercoledì 7 giugno
• ore 14.00: Accoglienza - Dimaro - Teatro Comunale
• ore 15.00: Convegno: “Quando il fischietto mette a rischio la partita”
Dimaro - Teatro Comunale
• ore 21.00: Cerimonia inaugurale - Messaggio di benvenuto e presentazione delle squadre - Malè - Piazza Regina Elena
• ore 21.00: Incontro responsabili delle società sportiveMalè- Teatro Smeraldo
Giovedì 8 giugno
• ore 09.00: Gare sportive
• ore 21.00: Orienteering in notturna - Dimaro Venerdì 9 giugno
• ore 09.00: Gare sportive
• ore 14.00: Arrivo dei ciclisti - Dimaro - Teatro comunale
• ore 21.00: Convegno: “Le droghe nello sport: si può fare a meno?" Dimaro- Teatro comunale
Sabato 10 giugno
• ore 09.00: Semifinali
• ore 15.30: Semifinale Campionato Wheelchair Hokey
• ore 18.00: Santa Messa delle chiese parrochiali di: Mezzana Dimaro - Malè
• ore 21.00: Festa della Gioia: stand con prodotti tipici regionali - Dimaro - Piazza Madonna della Pace
Domenica 11 giugno
• ore 09.00: Finali - Premiazioni - Saluti e partenze
· Atletica leggera
· Nuoto
· Ciclismo
· Tennistavolo
· Karate
· Judo
· Ginnastica generale
· Ginnastica artistica
· Ginnastica aerobica
· Ginnastica ritmica
· Calcio
· Calcio a 5
· Pallavolo
· Pallacanestro



Inogni campionato ci sono partite facili e altre più difficili. Partite che si vincono, si pareggiano e che, qualche volta, si perdono.
Così è la vita di una squadra e così è la storia del CSI che vuole giocare fino in fondo la sua partita nella società civile di oggi.
Le partite da giocare sono tante, più di un normale campionato di serie A. E c'è qualche partita che il CSI non può assolutamente perdere, altrimenti verrebbe meno il suo ruolo e verrebbero meno le motivazioni originarie.
Esse restano le stesse di sempre: appassionare i giovani allo sport; diffondere una nuova cultura sportiva che metta sempre al primo posto la persona umana; promuovere lo "sport per tutti", soprattutto per quelli che non lo praticano; realizzare modelli di attività sportiva per tutte le età e le categorie e fortemente validi sotto il profilo culturale ed educativo: combattere il doping ed ogni forma di violenza.
Di organizzazioni - associazioni dedite allo sport oggi ve ne sono molte ed alcune realizzano attività di buon livello tecnico. Per giustificare la sua presenza il CSI:
o deve individuare obiettivi coerenti con quelle motivazioni e perseguirli con un impegno rigoroso;
o deve dare a tutte le sue attività un'impronta qualitativa alta sia sul piano morale che culturale e sociale.
Si potrebbe anche dire che il CSI, per giustificare la sua presenza, non basta che ci sia e che promuova ed organizzi bene ogni tipo di attività sportiva come poteva bastare qualche anno fa, ma:
• deve promuovere le attività che gli altri non fanno;
• deve promuoverle per quelle persone che gli altri trascurano;
• deve organizzarle meglio degli altri.
Altrimenti non si farebbe altro che ripetere ciò che già c'è, • mettersi in concorrenza con quanto già viene fatto.
È importante capire questo affinchè la nuova stagione congressuale non si riduca ad una voluminosa raccolta di atti ma possa trasformarsi in un'occasione capace di rilanciare queste sfide sapendo che esse non possono essere delle "pie illusioni" o dei semplici slogan ma azioni concrete da realizzare.


La prima partita vinta, in questi cinquant'anni di storia, è stata quella della tenuta dell'unità associativa. E questo grazie al grande senso di appartenenza e di responsabilità individuale dei suoi dirigenti.
La seconda è stata quella della qualità della progettualità sportiva. Anche se l'espressione è nuova, antica è la sua cittadinanza nell'Associazione. La progettazione nello sport è stata lanciata in tempi non sospetti dal CSI quando nessuno del mondo sportivo italiano ne parlava.
La terza è stata quella dell'innovazione e della modernizzazione. Una partita difficilissima, vinta ai rigori, ma che ha dato uno slancio enorme verso i grandi traguardi raggiunti in questi ultimi anni. Dal tesseramento informatizzato all'adeguamento delle norme statutarie.
La quarta è stata quella della comunicazione. Una bellissima ed affascinante gara stravinta. Riguarda la grande produzione editoriale, il miglior utilizzo della rivista Stadium e la collaborazione con Avvenire.
L'assetto organizzativo dello sport olimpico è già cambiato ed è destinato a cambiare ulteriormente, con atleti e tecnici al governo, Federazioni private e autonome, gestione delegata dei servizi.
Il CSI e gli altri enti di promozione sono anch'essi cambiati negli ultimi anni, sforzandosi di raggiungere assetti organizzativi diversi, ed è plausibile che un completamento del quadro legislativo di riforma dello sport richiederà altri cambiamenti.
Nel contesto attuale e sulla base di quanto è possibile prevedere a breve termine, ci sono per il CSI alcune piste di lavoro obbligate.
Tra provvedimenti approvati ed altri presentati ma ancora all'esame del Parlamento, il quadro normativo dello sport sta mutando profondamente. Purtroppo si tratta di una riforma che procede a pezzi, con interventi scollegati e non risolutivi. Ne nasce l'opportunità che il CSI abbia chiaro il quadro delle cose da proporre ai vari livelli, ed i modi di rapportarsi agli organismi dove si concretizza la politica sportiva.
• Il CONI riformato
Dobbiamo abituarci a pensare ad un CONI completamente diverso da quello che ha preso vita nel 1942 e che ha governato lo sport italiano per oltre mezzo secolo.
Due sono gli elementi che lasciano prevedere un cambiamento così radicale: da un lato c'è la riforma, che ne fa il punto di riferimento e non più il gestore del sistema sportivo italiano; dall'altra c'è il sisma provocato dal declino dei concorsi pronostici. Il calcio dei club miliardari marcia per
proprio conto, rompendo quel fronte unitario delle federazioni che dava forza al CONI "Federazione delle Federazioni".
Sul futuro immediato del CONI e delle federazioni pesa anche l'incognita del rinnovamento dei vertici, che dovrà avvenire entro i termini previsti dalla riforma imposta dal decreto 242/1999.
Il sistema delle scommesse, che nelle previsioni doveva sostituire le risorse precedentemente assicurate dal totocalcio, per ora mantiene meno di quanto prometteva sulla carta, e nell'attuale mancanza di forza economica è plausibile che tutte le componenti percorrano la strada dell'autofinanziamento.
Se la tendenza si assesta, calerà di fatto il potere decisionale e di intervento del CONI. Paradossalmente sarà più facile per il Comitato Olimpico Nazionale assumere le nuove vesti che la riforma gli assegna: quella di luogo di riferimento e di coordinamento delle varie componenti, oltre che di organizzatore delle partecipazioni olimpiche.
• Comitato Nazionale Sport per tutti
Il nuovo Statuto del CONI inserisce tra i compiti specifici dell'Ente olimpico la promozione della pratica sportiva finalizzata a garantire l'integrazione sociale e culturale degli individui e delle comunità residenti del territorio, e inquadra il Comitato Nazionale Sport per Tutti tra gli organi del CONI.
Non è molto chiaro, oggi, quale seguito concreto avrà la scelta di attribuire al CONI anche la cura dello sport sociale, oltre che dello sport olimpico. Molto dipenderà da come sarà riorganizzato il Comitato Nazionale Sport per Tutti. Sarà decisiva, in tale senso, l'azione di politica sportiva svolta dalle varie componenti dello sport per tutti - in rapporto al Governo, al CONI, alle Regioni e agli Enti localiin sede di Conferenza Nazionale dello Sport. Sarà necessario verificare l'effettiva volontà del CONI di accollarsi l'onere attribuitogli dal Governo. Dubbi ce ne sono, e se ne sono fatti portavoce le Regioni e gli Enti Locali, restii ad entrare nel Comitato e pronti ad uscirne se ad esso non si consentirà di fare sul serio.
Nel qual caso si riaprirebbe la prospettiva, già rappresentata al Governo dal CSI e dagli altri enti di promozione, nella prima fase del "dopo Pescante", di staccare lo sport per tutti dal CONI.
In una linea di continuità con il decentramento in atto nel sistema di governo del paese, l'orientamento predominante della politica sportiva sembra essere quello di uno Stato centrale che affida sempre più alle regioni e alle autonomie locali la realizzazione delle condizioni sociali e materiali dello sviluppo dello sport.
In questa prospettiva, fondamentale risulterà il ruolo dei



Comitati regionali CSI. Se riusciranno a stabilire la collaborazione tra pubblici servizi ed associazione e in particolare con l'Ente Regione, potranno usufruire di una serie di risorse economiche utili alla promozione di progetti sportivi.
Si passerà così da una forma di politica assistenzialistica e passiva ad una forma di politica promozionale e attiva.
Se i Comitati regionali non funzioneranno, si assisterà alla frammentazione della politica sportiva regionale e al loro continuo impoverimento.
Dopo decenni di immobilismo, due avvenimenti importanti hanno rinnovato le prospettive dello sport scolastico:
• nel luglio 1997 l'attuazione dell'intesa tra CONI e Ministero della Pubblica Istruzione su "sport a scuola" ha aperto gli istituti scolastici alla collaborazione con Federazioni ed Associazioni di promozione sportiva per il rilancio dello sport scolastico,
• nel giugno 1998 il Decreto Legge 178 ha trasformato gli ISEF istituendo facoltà e corsi di laurea e di diploma in scienze motorie.
Da un lato, dunque, lo sport rientra a scuola anche interpellando le associazioni; dall'altro lo sport scolastico diventa, grazie ad una nuova classe di insegnanti, una cosa seria, che non consente improvvisazioni.
In questo cambiamento dobbiamo esserci, attrezzandoci per esserci, anche perché è un cambiamento che abbiamo chiesto fortemente.
Presto potrà accedere nella Scuola solo chi ne ha il titolosolo gli abilitati e non gli operatori improvvisati. Dobbiamo prepararci ad impostare una politica formativa di assistenza per gli insegnanti di educazione fisica, facendo del CSI un'associazione che li tutela e li aggiorna, e che diventi la loro associazione culturale di riferimento.
Dobbiamo prevedere anche la possibilità di instaurare rapporti di collaborazione con i nuovi ISEF, sia per organizzare i nostri corsi formativi sia per ottenere che gli studenti ISEF possano prestare forme di "praticantato" presso le strutture e le Società del CSI.
La conferma di Giovanna Melandri all'incarico di Ministro dei Beni Culturali, vigilante sullo sport, fa ritenere che la Conferenza Nazionale dello Sport finirà con lo svolgersi come previsto.
Sarà quella la sede decisiva per ricondurre i vari provvedimenti legislativi, già varati o in corso di approvazione, ad un insieme unitario, definendo le linee di quella legge-quadro che attendiamo da oltre trent'anni.
All'appuntamento dobbiamo presentarci preparati e con le idee chiare, con proposte forti che definiscano lo sport come
lo sogniamo noi: un'attività che non esclude alcuno, che avvicina tutti, che rispetta la persona, che fa convivere tecnica e valori, che gode di sicurezza giuridica ed economica. Lo sport sociale è stato per decenni il "clandestino di bordo" del sistema sportivo italiano. I nuovi scenari indicano che ora è possibile sdoganarlo. Per riuscirci c'è bisogno di sforzi convergenti: del Governo, del Parlamento, dei Ministeri, del CONI, delle Federazioni e degli Enti di promozione, delle Regioni e degli Enti locali.
Tutti insieme dobbiamo cercare di guardare allo sport del nuovo secolo in modo globale e coerente, con un approccio che si fondi su una serena e leale concertazione, nel rispetto dei principi di sussidiarietà e di autonomia di ogni componente. Solo così facendo renderemo la Conferenza dello Sport un nuovo e decisivo capitolo della storia dello sport italiano.
DI PROMOZIONE SPORTIVA
Il nuovo statuto del CONI fissa in modo chiaro le norme per il riconoscimento degli Enti di promozione sportiva, chiudendo l'epoca dei dibattiti e delle contrapposizioni su chi abbia le carte in regole per far parte di questa famiglia di associazioni.
Chi ha i requisiti si faccia avanti: il CSI non ha preclusioni di sorta. Nella chiarezza e nella trasparenza sarà più facile collaborare ai vari livelli. La nuova organizzazione periferica del CONI incrocia, a livello sia regionale che provinciale, il Comitato Sport per Tutti. È auspicabile che gli Enti operino congiuntamente in tali sedi, anche per rappresentare unitariamente le istanze fondamentali dello sport per tutti. È innegabile che gli Enti di promozione siano stati rappresentati dai media prevalentemente come organizzazioni ibride, talvolta equivoche, che ogni tanto si presentano al Foro Italico per battere cassa. Forti del rinnovato riconoscimento del CONI e della nascita del Comitato Sport per Tutti, abbiamo modo tutti insieme di farci conoscere dall'opinione pubblica per la qualità del lavoro che svolgiamo, per il valore del nostro volontariato, per l'utilità che dalle nostre proposte deriva alla società italiana.
Abbiamo più volte ribadito che Federazioni ed Enti di promozione hanno finalità differenti. Le prime trovano le loro motivazioni nell'alta prestazione, compito diventato oggi più difficile, come dimostra la carenza di risultati a livello internazionale. I secondi hanno il loro riferimento nello sport sociale. Sono percorsi


diversi che tuttavia si incrociano alla base.
Al di là delle convenzioni tecniche, Federazioni ed Enti possono trovare il modo di superare ogni malinteso e di collaborare lealmente nella consapevolezza che è nel comune interesse fare incontrare ai giovani la strada della pratica sportiva. Quando i campioni nascono nell'orto degli Enti di promozione, nessuno li trattiene e il loro sbocco naturale sono le Federazioni.
A monte delle convenzioni occorre un "patto forte" tra Enti e Federazioni, che diffonda i suoi effetti nella periferia del sistema sportivo perché non si perda tempo a rubarci l'un l'altro gli sportivi che ci sono, ma si investano ulteriori energie per conquistare gli sportivi che non ci sono.
Se i numeri dei tesserati CSI nel loro complesso "tengono", la disamina sulle varie componenti palesa alcune aree "a rischio" per le quali è giusto nutrire preoccupazione.
• Le donne. Lo svolgimento dei congressi territoriali ha confermato la difficoltà di inserimento delle donne in ruoli operativi. Il problema è comune a tutto il sistema sportivo, ma questo non può bastarci.
Se ci rapportiamo al mondo del volontariato sociale, scopriamo che le donne ne costituiscono una parte rilevante, il 50.3%, e sono ben presenti negli organismi direttivi anche se faticano ad assumere ruoli di responsabilità.
Sarebbe ora di porsi qualche domanda: perché nel volontariato sportivo la presenza femminile è inferiore rispetto alle altre forme di volontariato? Le ragioni di questa latenza sono strutturali, culturali o sono ancora altre?
Il fatto certo è il CSI si è impoverito della sensibilità femminile, dell'apporto specifico delle donne. La tenacia con cui un ministro donna si sta adoperando per un vasto disegno di riforma dello sport deve aiutarci a capire quali preziose energie perdiamo lasciando le donne nell'anticamera dell'associazione.
• I bambini. La diminuzione del numero dei bambini e dei preadolescenti che si avviano alla pratica motorio-sportiva è un fenomeno che tocca il CSI come tutto il mondo dello sport. Tra le cause c'è certamente il decremento del tasso di natalità, che oggi ha raggiunto il valore di 1,2 nati per ogni donna. Ma è altrettanto vero che ci sono delle concause, tra cui la carenza di proposte nuove e valide.
• I giovani. Bisogna investire sui giovani. La nuova classe dirigente e i nuovi operatori non possono nascere dal deserto o dal nulla. Occorre una forte opera di formazione e un lungo accompagnamento. Chi si sente tradito, sfiduciato, incompreso, sfruttato, confuso… va aiutato a recuperare la fiducia. I giovani cercano interlocutori credibili e la loro ricerca deve trovare spazi concreti di accoglienza e di preci-


se capacità di ascolto, di comprensione e di integrazione. L'apprendimento dei giovani dagli anziani è sempre avvenuto in contesti di azioni pratiche. L'apprendistato delle arti e dei mestieri è sempre avvenuto attraverso la partecipazione diretta ai lavori e la subalternità ad un maestro. È stato per secoli il modello fondamentale di trasmissione culturale e deve continuarlo ad essere nell'Associazione.
• Gli anziani. Per quanto da tempo previsto, il trend dell'invecchiamento della popolazione continua a trovare il CSI poco preparato. I numeri della presenza e delle attività degli anziani sono poca cosa in rapporto alla consistenza attuale della popolazione anziana. Si tratta di fare progetti nuovi, che facciano dello sport e della vita nella società sportiva gli strumenti per un recupero degli anziani alla vita attiva e la valorizzazione della loro esperienza, oltre che per la prevenzione del declino fisico.
• I Disabili. Orami da qualche anno, lo sport per disabili ha trovato cittadinanza nel CSI. Lo dimostra l'organizzazione del Campionato nazionale di Weelchair Hockey, ma esistono ancora ampi spazi su cui agire. Da una parte, è necessario estendere l'ambito delle attività praticate (torball, basket in carrozzina, calcio a 5 per down), dall'altra, il CSI deve investire affinché lo sport per persone disabili sia considerato un'attività normale, tutt'al più una sorta di variante tecnica della disciplina sportiva riservata a soggetti normodotati.
• I terzomondiali. La demografia ci informa che ben presto una percentuale consistente della popolazione residente in Italia sarà composta da uomini e donne extraeuropei. Ciò significa incontro tra culture, religioni, tradizioni differenti che dovranno imparare a convivere e a coesistere. Si tratta di una sfida culturale ed educativa, che il CSI deve assolutamente accettare. Sicuramente, lo sport rappresenta uno strumento privilegiato per far incontrare le persone e permettere loro di confrontarsi, all'interno di un quadro di regole conosciuto e condiviso. Aprire e allargare le attività sportive, favorendo l'integrazione dei soggetti terzomondiali, significa lavorare per una società tollerante e accogliente anche in un'Italia in cui serpeggiano istanze xenofobe.
Essa non è un optional o una questione per filantropi. Non è un'attività tecnico-sanitaria. Deve essere un'attività decisa, costante, sistematica, differenziata, efficace, finalizzata a dare competenze tecniche ma soprattutto a far crescere la vocazione ad essere "volontario", educatore, capace di rigenerare una persona, un gruppo, una comunità… Di operatori genericamente buoni e validi oggi lo sport ne ha molti e ormai tutte le organizzazioni sportive sono attrezzate per formarli in maniera sempre più qualificata. Se l'operatore CSI non è diverso dagli altri non lo sarà nemmeno l'Associazione. E le caratteristiche dell'operatore CSI

sono strettamente correlate ai punti precedentemente trattati:
• l'operatore dev'essere fortemente e profondamente motivato, sul piano umano e anche della fede, a svolgere attraverso lo sport un servizio educativo e di impegno civile. Vi possono essere altre motivazioni, ma questa dev'essere prioritaria e preminente;

• la "promozione sportiva" dev'essere la sua scelta prioritaria e cioè non deve sentirsi un operatore qualsiasi di sport, ma un "promotore" di "sport per tutti", nel senso che deve conoscere bene il suo "mestiere".
La diversità è una ricchezza e non può essere confusa con la cultura del sospetto e del mugugno. Occorre ripartire dal concetto paolino dell'unità nella diversità. La diversità, all'interno dell'unità associativa, è lo strumento che dà rigore, originalità e creatività alla progettualità e quindi alla vita delle strutture.
Pensare oggi una società sportiva come a un ambiente in cui il ragazzo e il giovane passano tutto o gran parte del loro tempo libero sarebbe un'evidente illusione.
Bisogna che la società sportiva, se vuole incidere sulla vita e sulla formazione dei soci, proponga loro:
• dei segnali chiari attraverso quello che fa e che dice;
• delle esperienze sportive ricche di valori e di forte impatto morale e culturale, per come vengono proposte e realizzate;
• delle esperienze associative chiaramente ispirate alla democrazia, alla partecipazione, all'amicizia, alla comunione, all'impegno civile, alla socialità, alla solidarietà. In sintesi, una società sportiva concepita come un servizio sociale, educativo, sportivo; ma anche una società sportiva che fornisce ai propri soci servizi sportivi e associativi che rappresentino chiari e forti segnali educativi.
Il Centro Sportivo Italiano varca il secolo ricco di quella grande utopia che ha caratterizzato tutti i suoi cent'anni di storia: fare della pratica sportiva un'attività di senso, un dono, un servizio alla persona e alla comunità.

Da S.E, il cardinale Roger Etchegaray viene a questa assemblea un richiamo: "Grande è la vostra responsabilità al servizio dello sport, la vostra responsabilità di cristiani, portatori di una Buona Novella al variegato mondo dello sport. Un'associazione ha bisogno di fiato, esattamente come lo sportivo di cui essa è il supporto. Non è facile per voi esserne l'allenatore tenace, vigilante come un portiere, lungimirante come il primo di un gruppo. Non è facile per voi svegliare, risvegliare la partecipazione di tutti gli aderenti, renderli attenti soprattutto ai bisogni dei giovani sportivi. Non è facile per voi - come per ogni responsabile nella Chiesa, sia vescovo o prete - tenere il più alto possibile il vessillo di un Vangelo esigente".
Nel nuovo secolo dobbiamo portare intatto il nostro sogno di umanizzare il fenomeno sportivo, per rispondere a quel dovere di giustizia, di civiltà, di carità che ci deriva dalla nostra natura di cristiani esigenti.
Il Grande Giubileo dell'Anno 2000, che è in pieno svolgimento, rappresenta per noi un forte stimolo ad avviare qui ed ora una grande riflessione per individuare le vie percorribili attraverso le quali lo sport possa contribuire a contrastare la crisi di civiltà che si va manifestando "soprattutto nell'Occidente tecnologicamente più sviluppato, ma interiormente impoverito dalla dimenticanza o dall'emarginazione di Dio. Alla crisi di civiltà occorre rispondere con la civiltà dell'amore, fondata sui valori universali di pace, solidarietà, giustizia e libertà, che trovano in Cristo la loro piena attuazione" (T M A, 52).
In realtà, se ci è permesso di leggere la nostra storia associativa con l'ottica del Vangelo , non possiamo non rallegrarci della promessa con cui si conclude la parabola di Matteo: "... gli ultimi saranno i primi e i primi saranno gli ultimi..." Siamo infatti tutti "ultimi": per le nostre titubanze a scelte radicali, per la nostra accidia di fronte ai drammi che sconquassano il mondo dello sport, per gli accomodamenti che accettiamo o promuoviamo, nella speranza che sia possibile servire due padroni... Ultimi ma chiamati, nonostante i nostri egoismi e le nostre paure: sta a noi la scelta di rispondere di sì. La strada da percorrere è ancora molta.


Ritratto di un quadriennio
Il Centro Sportivo Italiano è cresciuto in età (l'associazione si avvia verso il traguardo dei cento anni di vita), è cresciuto nelle attività sportive ed è cresciuto anche nei numeri. I numeri di oggi sono la testimonianza, la prova inconfutabile dell'impegno, la soddisfazione di migliaia tra dirigenti e tecnici che impiegano il loro tempo libero con passione in un'avventura importante di cui essere fieri: l'"avventura CSI". I numeri sono il volto di un'associazione no profit e quindi viene spontaneo gridarli con orgoglio!
Abbiamo toccato quota 12.200!
No, non sono i metri di altezza della vetta più alta del mondo, sono invece le società sportive affiliate, la base della nostra solida "montagna".
E non ci fermiamo, non soffriamo di vertigini, puntiamo sempre più in alto.
di ogni manifestazione, con queste modalità, non è esente da rischi. E come tutte le scelte, anche la "nuova progettualità" ha avuto ed ha i suoi rischi, i suoi successi ma anche i suoi equivoci e fraintendimenti.
Essa è nata da una necessità di chiarezza soprattutto perché la mole di attività sportiva del CSI non si confondesse con l'attività federale. È, se mai, un impegno più rigoroso a ritrovare le radici del fare sport e di vivere l'attività sportiva con più coerenza e far ritrovare allo sport quei punti di riferimento così radicalmente contrastanti con i criteri commerciali dello sport professionistico.
La fine di un quadriennio è anche il momento per verificare se l'organizzazione e la gestione dell'attività sportiva abbiano prevalso, o insidiato, o appiattito la
Nel 1991 ne contavamo 9.937, nel 1996 11.600, dopo otto anni di grande impegno possiamo considerare un trionfo l'incremento di quasi 23 punti percentuali. Soprattutto se pensiamo che la maggior parte di queste nuove società si è unita a noi proprio in quest'ultimo anno, un 1999 pieno di entusiasmo e novità che la gente ha capito ed apprezzato.
Oltre al valore proprio dei risultati ottenuti, questo sviluppo è servito anche a mettere in luce nuove strategie necessarie per raggiungere, nei prossimi anni, risultati significativi nella promozione dello sport di base. In altre parole, ci troviamo di fronte ad una nuova fase che è rappresentata proprio dalla costruzione di collaborazioni efficaci tra il CSI e il mondo parrocchiale ed altri settori della società civile. La chiave di svolta di questa nuova fase, partita da Assisi nel 1996, è stata dettata dalla "Nuova progettualità" che non voleva e non vuole dire un risotto di risposte tecniche ed efficaci ad ogni domanda di sport ma vuol dire che non basta "fare, organizzare" è necessario che il "fare" sia la risposta efficace, pertinente alla domanda e che, ogni azione articolata, venga guidata da un progetto, finalizzata ad uno scopo da raggiungere gradualmente. Cioè la capacità di calare nella realtà, sempre problematica, a mò di fermento e di lievito, i valori, i princìpi, la fatica del progetto educativo del CSI. Infatti ogni progettazione richiede la competenza tecnica qualificata, aggiornata e la capacità di invenzione continua.
Indubbiamente la costruzione di ogni attività sportiva,
forza delle idee, delle proposte, della creatività, dell'impegno sociale attraverso lo sport.
Se questo rischio c'è stato bisogna impegnarsi per fare un'operazione di ricentraggio perché lo sport, prima di essere un risultato tecnico, prima di essere un esercizio fisico, è un'esperienza umana. Purtroppo, molte volte, l'organizzazione, l'efficienza, l'immagine affievoliscono la tensione educativa e si diventa solo bravi organizzatori… Allora il ritorno alle radici (non alle origini…), non significa solo riaffermare i valori forti che nel CSI, tutto sommato non sono venuti mai meno, ma significa essere determinati ad incarnare quei valori con slancio più generoso, con voce più fresca, con animo più risoluto. Significa rimettere al centro delle attività sportive, l'atleta con i suoi problemi, i suoi limiti e le sue ansie ma anche con le sue ricchezze. Significa investire in un'attività sportiva che diventi opera di prevenzione.
Significa promuovere tanta attività sportiva. Meglio mille tornei che niente. Nel niente c'è la noia, lo sballo, il disagio.
Significa capacità di lavorare in rete con le altre agenzie educative a partire dalle parrocchie, alla scuola e alle istituzioni. Significa osare e investire in progetti sportivi nuovi e non lasciarsi omologare dalle solite attività. Significa metterci l'anima e recuperare l'entusiasmo perché quando si spegne l'entusiasmo, l'impegno nella società sportiva si fa noioso e ripetitivo e allora il tutto si trasforma in un fardello pesante da portare sulle spalle.

Quanto e come questa nuova cultura della progettazione abbia influito sulla mole di attività che l'Associazione ha prodotto in questi anni, è difficile valutare. D'altra parte la ritrovata dignità della pratica sportiva troppe volte sacrificata (nel decennio 80-90) nel nome della "festa" è stata un grandissimo risultato.
A dispetto di tanti rischi, comunque, le ragioni della "nuova progettualità" sono state molto più convincenti. In effetti la sfida di questo quadriennio trascorso è stata quella di sviluppare quella cultura della "progettualità" capace di dare più forza alla:
• CREDIBILITÀ.Gli Enti di promozione sportiva spesso non godono di un alto livello di credibilità per quanto riguarda la parte tecnica ed organizzativa. Vengono riconosciuti come organizzatori di serie B. Invece il CSI ha dimostrato in questi anni di saper mantenere alta la qualità e la quantità delle attività sportive, sia a livello nazionale che a livello territoriale.
• CAPACITÀDIRISPOSTA.L'Associazione è stata in grado di identificare le priorità nei servizi sportivi al territorio, nonché di elaborare delle strategie di risposta specifica: bambini, carceri, strada, handicap, anziani…
• C APACITÀDIINNOVAZIONE .Grazie alle dimensioni organizzative dei Comitati territoriali ed alla specializzazione nelle proprie attività, sono state realizzate attività con
Assisi - Giugno 1996
Firma del Patto associativo Il Congresso nazionale sottoscrive il Patto associativo che è la carta di rifermimento culturale ed educativo di tutti gli operatori del Centro Sportivo Italiano. Con la sua accettazione viene sancita l’appartenenza associativa da parte degli operatori e delle strutture viene e delineato il modello dell’organizzazione, della vita e delle attività dell’Associazione. Gli operatori e le strutture si impegnano per la sua fedele attuazione.
Nuova Progettualità
Viene presentata la Guida per la nuova progettualità quale nuova

formule fortemente flessibili ed innovative come Sport in piazza, Joy Cup... Inoltre, hanno agito come forze per il cambiamento, sfidando i modelli di attività tradizionali e portando nuovo entusiasmo sul tavolo dello sport per tutti.
• CAPACITÀDIMOBILITAZIONE.Il processo di partecipazione e di mobilitazione delle risorse umane del CSI ha contribuito alla promozione e allo sviluppo di nuove attività…
• V ISIBILITÀ .Alcune attività tipo Sport in piazza ed altri eventi hanno migliorato l'immagine pubblica e la popolarità del CSI stimolando il miglioramento qualitativo delle attività.
Le statistiche sono dalla nostra parte!
Ci dicono che sono cresciuti i tes-
metodologia per la promozione dello sport di base. Il metodo della progettazione diventa la sfida per i Comitati territoriali e le Società sportive.
Sportilia - Luglio 1996
Educatori di terzo livello Nel luogo simbolo per i ritiri delle più blasonate formazioni calcistiche italiane ed europee, viene lanciato il percorso di terzo livello per gli educatori sportivi durante le iniziative nazionali di formazione.
Lanciano - Agosto 1996 Progetto Àncora Rappresenta certamente una novità assoluta nel panorama for-
Sopra: il grafico mette in risalto la crescita delle Società sportive CSI. A lato: una pagina del CSI sul quotidiano Avvenire.
mativo del CSI per il rilancio dell’attività motoria per gli anziani. Il corso viene coordinato dal prof. Carmelo Bazzano dell’Università del Massachusset di Boston.
Trapani - Ottobre 1996
Campionati FICEP di Ginnastica Artistica Entusiasmo a Trapani per l’arrivo dei ginnasti di tutta Europa in occasione dei Campionati FICEP di ginnastica artistica.
Dicembre 1996
90º di Stadium
La storica testata del CSI, nata nel 1906 come organo ufficiale della FASCI, compie 90 anni. Il suo compito è di rappresentare le
Società ginniche e sportive che si vanno formando negli Oratori e nelle Parrocchie. Dalle sue pagine traspare il coraggio di chi ha scelto di “fare notizia” scommettendo sull’uomo e sui valori dello sport.
Febbraio 1997
CSI su Avvenire
Inizia la feconda collaborazione con il quotidiano Avvenire che dedicherà una pagina ogni 15 giorni alle attività locali e nazionali del CSI. Un’occasione preziosa per avviare una campagna di sensibilizzazione sui temi dello sport per tutti e promuovere la progettualità del CSI.

Marzo 1997
Convenzione CSI-FIPAV
Viene stipulata la convenzione CSI-FIPAV. Il Centro Sportivo Italiano si impegna nell’attività preagonistica della pallavolo mentre la Federazione Italiana Pallavolo riconosce l’attività giovanile organizzata dal CSI.
Consulta nazionale dei giovani
Riparte l’esperienza della consulta nazionale dei giovani, l’organo istituito dal Consiglio nazionale del CSI per acquisire una più puntuale conoscenza dei problemi della gioventù e per coordinare gli interventi a favore dei giovani.
Aprile 1997
Politiche sociali
Al via 75 iniziative locali avviate dall’Ufficio nazionale per le politiche sociali e i progetti. Queste sono indirizzate ad una pluralità di spazi per una nuova socialità e vanno dall’area dell’handicap ai giovani a rischio, dagli anziani all’integrazione razziale, dai nomadi alla tossicodipendenza.
Aprile - Giugno 1997
Primo campionato nazionale di Wheelchair Hockey
Il Centro Sportivo Italiano in collaborazione con l’Associazione Italiana Lotta alla distrofia muscolare organizza il primo campionato di Hockey su carroz-
serati, da 510.000 nel 1991, a 650.000 del '96, ai 750.000 del '99! Ci sottolineano come siano aumentate le donne nel CSI! Nel '96 erano poco più di 166.000, oggi se ne contano quasi 200.000!!! È un segnale importante, è la conferma che anche loro sono sempre più coinvolte all'interno della vita associativa. Anche gli sport aumentano, le discipline più moderne entrano a far parte del mondo CSI, e le "veterane" - quelle con cui siamo cresciuti - sono sempre seguite e praticate con grande entusiasmo.
Il protagonista indiscusso, nemmeno a dirlo, è il calcio, con ormai oltre 1.850 manifestazioni organizzate a livello provinciale con 226.934 tesserati. Ma nel Bel Paese, che mangia e respira football, c'è tanta gente che ama cimentarsi in altre discipline.
La pallavolo nel CSI significa 1.700 manifestazioni provinciali con 116.598 tesserati.
La palla a spicchi passa fra le braccia e i polpastrelli di oltre 19.000 cestisti che nel '99 si sono confrontati in quasi 300 manifestazioni. L'atletica leggera, regina delle discipline sportive, coinvolge oggi oltre 58.000 atleti CSI. E a chi prevedeva un futuro grigio per la corsa campestre, la nostra Associazione ha risposto con 1.400 atleti giunti alle finali nazionali di Fiuggi, dopo lunghe selezioni invernali che hanno coinvolto oltre 35.000 appassionati.
zina a cui partecipano 13 squadre suddivise in due gironi.
Aprile - Giugno 1997
Stadium: lo sport incontra la piazza
Parte la lunga carovana di “Stadium: lo sport incontra la piazza”. Fino alla finale di Perugia si snoderà per tutta l’Italia toccando 10 tra le sue più belle piazze coinvolgendo 80.000 persone.
Padova - Maggio 1997
Campionati FICEP di Volley
Grande successo a Padova per il Campionato Europeo di Pallavolo a cui hanno partecipato 20 squadre in rappresentanza di 9 nazioni.

Perugia - Giugno 1997
Fase nazionale “Stadium”
La città del grifone ha messo a disposizione piazze e strutture sportive ai 3.000 atleti del CSI per le finali nazionali di calcio, calcio a 5, atletica leggera, judo, karate, nuoto, pallacanestro e pallavolo.
Convegno pastorale “Sport e Chiesa” Un forte appello alle Chiese locali. “Rivolgo un appello ai pastori delle Chiese perché si rendano conto dell’importanza della pastorale sportiva, perché comprendano che la realtà dello sport può diventare uno degli aeropaghi moderni per la nuova evangeliz-


Non è abbastanza?
Giusto. Ed allora abbiamo organizzato l'attività ciclistica ed abbiamo fatto gareggiare quasi 9.000 ciclisti (4.000 in più rispetto al '97), abbiamo portato 822 società in spiaggia per praticare il beach-volley (contro le sole 184 del '97), abbiamo inventato il Fantathlon e il Giocasport ed ora 50.000 bambini non possono più farne a meno!!!
E poi c'è lo sport per i disabili perché il CSI non dimentica mai chi è meno fortunato, anzi cerca di integrarlo nella società. Dal '97 ad oggi siamo passati da 24 atleti, poco
zazione”. Queste coraggiose parole rivolte da mons. Salvatore Boccaccio direttamente ai suoi fratelli vescovi come pure agli altri sacerdoti, costituiscono un momento significativo del Convegno perugino.
“Il piacere di arbitrare” Il seminario di studio rivolto agli arbitri e ai giudici di gara ha messo in evidenza il loro ruolo educativo. Non basta conoscere le regole a fondo e applicarle ma è necessario coglierne il senso e il fine educativo.
“I giovani, lo sport, la pace...” Tavola rotonda con don Albino Bizzotto di “Beati i Costruttori di
più di un pugno, a quasi 1.000!! Mille sorrisi in più, mille persone che, grazie allo sport, ora affrontano la vita con più serenità!
Stadium: sport in tour
L'orgoglio del CSI, il fiore all'occhiello, il primogenito. Come volete chiamarlo? Facciamolo con il suo vero nome: "Stadium: lo sport incontra la piazza". È il 1997, fine mese di giugno, e Perugia si accinge ad ospitare nel migliore dei modi le prime finali nazionali dello sport in piazza. Non è un'esagerazione dire che mai, in precedenza,
Pace”, Mario Marazziti della Comunità di Sant’Egidio, Ernesto Caffo di Telefono Azzurro, mons. Angelo Comastri, Arcivescovo di Loreto, Gianfranco Maddoli, Sindaco di Perugia.
“Sport e musica contro la droga”
Con la partecipazione del Ministro per la solidarietà sociale, on.
Livia Turco, don Antonio Mazzi, del Gruppo Exodus, Biagio Antonacci, suor Paola. La strada maestra per combattere la droga è insegnare ai giovani ad amare la vita, a scoprirne il senso, ad acquisirne il valore. Lo sport può aiutare i giovani a sconfiggere le inquietudini, imparare
Sopra: un momento del concerto di “Stadium: lo sport incontra la piazza” a Perugia. Corso Vannucci stentava a contenere il fiume di gente accorsa.
il valore della solidarietà e il rispetto degli altri.
Luglio - Agosto 1997
Baech volley cup ’97 Tirreno-Adriatico sulla spiaggia in collaborazione con la Lancia. Si svolge su 11 tappe lungo il litorale adriatico e tirrenico.
Agosto 1997
Campionati FICEP di atletica leggera
Un successo per la rappresentativa del CSI. 19 le medaglie conquistate.
Settembre 1997
Progetto Colfiorito Il sisma che ha colpito l’Umbria e
le Marche non ha distrutto solo case e monumenti. Anche la vita sportiva ne è uscita segnata. I Comitati territoriali di tutte le regioni italiane vengono sollecitati ad aderire ad un programma di solidarietà denominato “Progetto Colfiorito”.
Terni - Ottobre 1997 “L’Italia nella racchetta” Circa 600 atleti provenienti da tutte le province italiane hanno decretato il successo della manifestazione finale de “L’Italia nella racchetta”, la campagna nazionale per la promozione del tennistavolo che ha coinvolto circa 10.000 atleti in due anni.
il CSI aveva organizzato una manifestazione che unisse numeri tanto rilevanti - sotto il profilo della partecipazione - ad un programma tanto articolato e ambizioso. Sembra ieri che si concludeva quella prima annata, che sentivamo - felici - le urla di gioia dei bambini, sinonimo del trionfo dello sport che porta la "fantasia al potere". Ed invece sono passati quattro anni, dopo Perugia è stata la volta di Salsomaggiore - ennesimo successo - e poi il cambiamento: dal palcoscenico finale a livello nazionale alle tante tappe in giro per l'Italia senza "l'ultimo raduno". Risultato: un crescendo costante di partecipazione a tutti i livelli.
Ed eccoci ai giorni nostri
Nel corso dell'anno 2000, bisestile e giubilare, figlio del millenium bug e delle piattaforme digitali, il CSI sta portando l'ex carovana di Stadium - oggi da tutti definita "TIR" per via della nuova dimensione della manifestazione e per la notorietà acquisita - per 22 tappe in altrettante piazze italiane, dove chiunque - all'interno del proprio centro abitativo - potrà dimostrare a se stesso che essere sportivo non significa soltanto schiacciare un pulsante del telecomando del proprio decoder.
Per quattro lunghi mesi il tir di Stadium porterà con sé allegria e spettacolo, trasformando le strade e le piazze delle prime quattordici città italiane in luoghi dove lo sport
Novembre 1997
Accordo UCGM - CSI Viene siglato il protocollo d’intesa tra il Ministero di Grazia e Giustizia - Ufficio centrale per la giustizia minorile e il CSI. Il programma, in via sperimentale, inizierà con l’attivazione di iniziative sportive, culturali e ricreative con il coinvolgimento dei ragazzi sottoposti a misure cautelari non detentive
Gennaio 1998
Formare
È uscita “Formare” guida per gli itinerari formativi del CSI. Essa fornisce la traccia e i percorsi didattici in base ai quali ciascun

Comitato territoriale potrà programmare i propri corsi di formazione modellandoli sulle specifiche esigenze.
Nuovo sistema formativo Finalmente, dopo anni di lavoro, viene presentato il nuovo sistema formativo dell’Associazione che risponde alle seguenti esigenze: - ricondurre a sistematicità ed organicità le molteplici esperienze formative, evitando la frammentazione; - assicurare la qualità dei percorsi didattici e dei programmi.
Sport a Scuola
Il CSI presenta al Ministero della
Pubblica Istruzione il progetto Sport a scuola. L’impegno del CSI si concretizza nell’organizzazione di 2 corsi per operatori sportivi scolastici nel 1998 e nel 1999.
Progetto Albania L’attività internazionale del CSI ha portato alla nascita del QSS (Centro Sportivo Albanese), con il sostegno della Conferenza episcopale albanese. A Durazzo è stato approvato lo statuto dell’associazione e il CSI si è incaricato di patrocinare l’ingresso del QSS all’interno della FICEP. Purtroppo, i noti eventi legati alla crisi albanese hanno ostacolato il lavo-

ro del nascente Centro Sportivo Albanese.
Febbraio 1998 “Giovani, sport e Associazione”
Con il supporto della Consulta nazionale dei giovani, un pool di esperti, coordinato dal Prof. Mario Pollo, ha avviato una ircerca sulla presenza giovanile nel CSI. Ben 4.000 questionari sono stati analizzati per leggere e conoscere le attese dei giovani CSI.
Convenzione CSI - FITRI
Il CSI si apre a nuove discipline sportive tra cui il triathlon (nuoto, ciclismo e corsa). Con la

corre incontro alla gente. Nelle passate edizioni il CSI è riuscito nel non facile intento di far divertire oltre 200.000 persone, coordinando un esercito di volontari che hanno dato tutto per l'ottima riuscita della manifestazione. Con la stessa forza e con tanti accorgimenti organizzativi oggi il CSI è nuovamente partito con un'edizione ricca di novità. Quest'anno, infatti, la piazza di Stadium offre sport di giorno e musica, tantissima musica, la sera. In ogni tappa, il sabato sera, si esibiranno sul palco di Stadium cantanti, "nuove proposte" che nel corso di quest'anno hanno riscosso un vasto consenso della critica e del grande pubblico, accompagnati da un vero "big", un cantante famoso particolarmente legato, per nascita o tradizione, alla città ove transiterà la manifestazione. Grignani, Moltheni, Subsonica sono alcuni dei nomi che saliranno sul palco di Stadium. L'estate italiana ha trovato il suo Festivalbar senza dover nemmeno accendere la televisione!
Joy Cup
Joy Cup: coppa della gioia. Una semplice ed elementare traduzione ci svela in tre parole il segreto del successo. È una manifestazione dalle caratteristiche uniche, in cui la coppa, simbolo della vittoria, è alzata al cielo in nome della più profonda delle emozioni. Quella gioia che libera l'atleta dallo sforzo compiuto, dal ricordo del duro
firma della convenzione si è stabilita una collaborazione per sensibilizzare sui problemi delle “discipline minori”.
Alberobello - Marzo 1998
Gran Premio nazionale di Corsa Campestre
Nel paese dei trulli, 1.000 atleti del CSI hanno disputato il Primo Gran Premio nazionale di Corsa Campestre, anticipato da oltre 300 manifestazioni territoriali che hanno impegnato circa 40.000 atleti.
Aprile 1998
Coppa Fair Play Snickers
Inizia la collaborazione, unitamente alla UISP e all’U.S. ACLI, con la Snickers per l’organizza-

allenamento, dalla rabbia della sconfitta, per culminare in un grido sincero e spontaneo, che solo lo sport genuino può regalare. Ogni anno - dalla prima edizione del 97 - oltre 3.000 persone si sfidano nell'evento di sport dilettantistico più importante del nostro Paese.
Gli obiettivi che si celano dietro la manifestazione rappresentano la forma più alta della proposta sportivo-educativa che il CSI sa offrire.
A partire dalla classifica finale, che è il risultato della somma della classifica tecnica e di quella cosiddetta "associativa". Una classifica che tiene conto delle presenze delle società, delle squadre, dei
zione di un torneo di calcio riservato a ragazzi di 11 e 12 anni. La squadra vincente, la S.S. Poggese, affiliata al CSI, ha rappresentato l’Italia alla finale europea svoltasi a Parigi in occasione dei campionati mondiali di calcio, classificandosi al 3º posto.
Maggio 1998
Convenzione CSI - A.Ge. Nell’ambito del progetto “Sport a Scuola”, il CSI ha siglato una convenzione con l’Associazione Genitori finalizzata a costituire centri sperimentali per la promozione e il lancio dei progetti sportivi.
Il CSI in Europa
Sotto: il Trofeo Joy Cup con la mascotte della prima edizione in Val di Sole

La Commissione Europea approva il progetto presentato dal CSI nell’ambito del programma Eurathlon denominato “Insieme per una nuova cultura dello sport”. Partner del progetto gli inglesi del Rounders, gli olandesi del Korfball oltre i greci e i cechi.
Salsomaggiore
Giugno 1998
Stadium - Fase nazionale
Una grande kermesse dal 23 al 28 giugno animata da oltre 3.000 atleti e dirigenti. La fase nazionale di Stadium ha visto un susseguirsi di gare di atletica leggera, tennistavolo, arti marziali oltre che pallavolo, pallacanestro, calcio e calcio a 5. All’interno della
manifestazione si sono disputate le finali del Secondo campionato nazionale di Wheelchair Hockey.
Lo sport nella scuola dell’autonomia
Alla presenza del capo dell’Ispettorato di educazione fisica e sportiva del Ministero della Pubblica Istruzione, Luigi Calcerano, il CSI ha aperto la strada ai protocolli d’intesa tra l’ispettorato e gli Enti di promozione sportiva.
Capracotta - Luglio 1998 Animatori sportivi in parrocchia
Al fine di mettere in evidenza proposte relative agli spazi educativi e sportivi nella parrocchia il
dirigenti nella vita del Comitato e nel nuovo mondo della Joy Cup!
Ma perché la Joy Cup?
Perché è un progetto capace di coniugare la partecipazione con la serietà necessaria per una pratica sportiva in grado di fare educazione. Perché fare educazione attraverso lo sport esige intenzionalità, progettualità e soprattutto continuità. La Joy Cup 2000 rappresenta la sintesi di questi intenti, la sfida per far camminare tutta l'Associazione su questi binari. Sono 97 i Comitati, in rappresentanza di 18 Regioni, che si sono impegnati in questo progetto.
Il nuovo regolamento prevede l'ampliamento delle fasce di età di ogni categoria degli sport di squadra e l'introduzione degli sport individuali quali le arti marziali, il nuoto, il tennistavolo, il ciclismo, e la ginnastica.
La novità più rilevante è, senza dubbio, la diretta responsabilità delle Presidenze regionali e dei Comitati territoriali nella stesura delle norme, che stabiliscono - sul piano associativo - i criteri di partecipazione delle squadre e degli atleti alle fasi regionali.
Gli atleti che dal 7 all'11 giugno in Val di Sole si contenderanno i titoli in palio potranno finalmente racco-
gliere i frutti di un'intensa preparazione durata tutto l'anno.
L’attività dei Comitati
Sostenuta dai progetti nazionali anche l’attività locale ha conosciuto uno sviluppo senza precedenti. Nel 1997, le manifestazioni a carattere provinciale (per le discipline sportive principali) sono state 6.070; sono state 7.105 nel 1998 e sono arrivate ad essere 8.178 nel 1999. Non è un caso, probabilmente, che soprattutto le discipline inserite nel circuito della Joy Cup abbiano registrato gli incrementi di maggior rilievo: dalle 1.198 manifestazioni provinciali di pallavolo del 1997, si

CSI ha promosso il primo corso per quanti intendono inquadrare un’attività di animazione in un programma di pastorale giovanile.
Romagna - Agosto 1998 Beach Sport
Nella palestra più grande del mondo, la Riviera Romagnola, centinaia di squadre e oltre 3.000 giovani hanno trascorso l’estate partecipando a tornei di calcio, beach volley, beach soccer e bocce sulle spiagge di Ferrara, Ravenna, Cesena e Rimini.
Roccaporena - Agosto 1998
Corso per progettisti
Dal 19 al 22 si è svolto il primo corso per progettisti organizzato dall’ufficio politiche sociali e pro-
getti del CSI. Un referente per ogni regione è stato così avviato alla progettazione sociale attraverso lo sport.
Settembre 1998
Joy Cup
Nasce la prima edizione di Joy Cup, la Coppa della Gioia, con lo scopo di unificare le attività di base in un modello tecnico organizzativo e regolamentare nazionale.
Nuove regioni CSI
Dal 18 al 20 settembre la Presidenza nazionale ha incontrato le presidenze regionali del CSI per confrontarsi sui problemi politici ed organizzativi che mettono in difficoltà il nuovo modello della
struttura regionale. Si è condivisa la necessità di perseguire comuni obiettivi nel rispetto delle competenze.
Ottobre 1998
www.csi-net.it
È il sito della Presidenza nazionale. Si è così dato nuovo impulso alla comunicazione telematica all’interno dell’Associazione.
Novembre 1998
Nasce ARANBLU
Su sollecitazione di una mozione congressuale presentata ad Assisi nel 1996 e voluta dal Consiglio nazionale, ha visto la luce Aranblu, la Società di servizi del CSI. Aranblu ha fornito assistenza e servizi a tutta l’Associazione

dando particolare impulso all’editoria e ai grandi eventi.
Roma - Dicembre 1998
Assemblea naz. di verifica
In un sistema sportivo in forte crisi, l’Assemblea nazionale di verifica mette in evidenza come il CSI riesca a mantenere alta la qualità della propria offerta sportiva. L’Assemblea è stata l’occasione per delineare il progetto culturale del CSI come Associazione sportiva nella realtà italiana.
Convocazione del Congresso straordinario Al termine dell’Assemblea di

è arrivati alle 1.691 manifestazioni del 1999; per il calcio a 5 si è passati dalle 882 manifestazioni del 1997 alle 1.420 del 1999.
Un particolare accento va posto sulle iniziative di Giocasport, alle quali ha dato nuovo impulso il circuito del trofeo polisportivo: 172 nel 1997, 366 nel 1999.
Il nuovo sistema formativo
Anche l'impegno sul versante della formazione ha prodotto importanti novità. Il lancio del sistema formativo si è imperniato sulla costituzione di due scuole: la SNES (Scuola Nazionale Educatori Sportivi) e la SNAD (Scuola Nazionale Dirigenti).
La conseguenza diretta è stata la riorganizzazione di tutto il settore, sancita dalla pubblicazione di "Formare", la guida ai percorsi formativi del CSI. Tutta l'Associazione ora possiede un unico curricolo formativo per gli allenatori, gli arbitri, gli operatori Fantathlon e Giocasport. In questo modo si è potuti finalmente giungere alla creazione degli albi nazionali che rappresentano una fondamentale risorsa per lo sviluppo dell'Associazione, così come la collana dedicata agli educatori sportivi, completata nel corso del quadriennio.
L'innovazione tecnologica
Il CSI non guarda al futuro, lo vive! In un'era - la nostra - in cui chi si ferma è perduto, in cui la tecnologia avanza alla velocità della luce ed avvicinarla domani è già troppo
verifica, vista la necessità di modificare lo Statuto secondo quanto stabilito dal D.Lg. 460/97, l’Associazione ha deliberato l’indizione di un Congresso straordinario.
Lavarone - Febbraio 1999
Gran Premio nazionale di Sci 500 atleti nei Trofei Runners, Sleepers, Skating individuale e a squadre e il Superteam si sono ritrovati sulle nevi di Lavarone dal 26 al 28 febbraio. A contorno della manifestazione si sono svolte anche due prove nordiche e una gara di slittino a coppie.
Darfo Boario Terme

tardi, il CSI ha scelto tempi e strumenti giusti. Ha capito che investire oggi significa essere i primi domani! Ha intuito che la comunicazione via Internet viene prima di tutto! Ha creato una rete interna all'Associazione - che permette di coordinare sempre più esigenze economiche, di tempo e di spazio - ed al contempo è nuovo stru-
Marzo 1999
2º Gran Premio nazionale di Corsa Campestre
Il secondo gran premio nazionale ha sancito il definitivo rilancio della Corsa campestre nel CSI. Si è trattato di una conferma importante per una manifestazione che ha visto la presenza di 900 atleti in rappresentanza di 50 comitati e 127 società sportive.
Assegnato al CSI il premio “Artigiano della Pace” La cerimonia di consegna è avvenuta a Firenze, a Palazzo Vecchio. Il premio è attribuito annualmente dal Sermig - Arsenale della pace, a chi si è segnalato per l’impegno a favore della pace.
Aprile 1999
Sport in piazza. Si riparte Da Napoli, è partita la terza edizione di Stadium: lo sport incontra la piazza. Venti le città toccate dal tour in tutte le regioni.
Maggio 1999
Coppa Fair Play
Bis di successi per la seconda edizione della coppa promossa da CSI, UISP e US ACLI e sponsorizzata dalla Snickers.
Giugno 1999
Trofeo naz. Giocasport
Sport e famiglia
È stato il tema dominante del trofeo polisportivo di Giocasport,
A lato: alcuni esempi del sito Internet del CSI www.csi-net.it
organizzato a San Benedetto del Tronto. I partecipanti all’iniziativa sono stati accolti nelle famiglie sambenedettesi e hanno dato vita ad un programma intenso e avvincente. I ragazzi hanno potuto sperimentare anche l’emozione della canoa, guidati dal campione olimpionico Daniele Scarpa.
Val di Sole - Finale nazionale Joy Cup
Dopo 310 campionati in cui si sono incontrate 8.900 squadre e oltre 150.000 atleti, si sono svolte le finali nazionali della prima edizione della Joy Cup. La Val di Sole, dal 16 al 20 giugno ha ospitato le 114 società sportive finali-


ste. In contemporanea, si è anche celebrata la “final four” del terzo campionato nazionale di Wheelchair Hockey.
Torino - Luglio 1999
Campionati FIcep di Judo
Con gli italiani in grande evidenza, i campionati europei di Judo, svoltisi a Torino dal 9 all’11 luglio, si sono celebrati sotto la bandiera della pace del Sermig, che è diventato per tre giorni il punto di incontro fra diverse culture europee.
Giocasport for Africa
Con l’aiuto e il sostegno del Centro Sportivo Italiano, è nato il Centro Sportivo Camerunense. Una grande festa di Giocasport è

stata una tra le prime manifestazioni promosse dalla neonata associazione.
Agosto 1999
Arrivano i formatori
A completamento del percorso formativo, per la prima volta il CSI si è occupato della formazione dei formatori. I nuovi “docenti” targati CSI rappresentano un’importante risorsa per l’Associazione.
Settembre 1999
Riparte la Joy Cup
Dopo il successo della prima e sperimentale edizione dell’anno precedente, riparte con ulteriore entusiasmo la coppa della gioia,
mento di visibilità, ieri possibilità oggi must della comunicazione. Ma Internet è solo la novità, la penultima arrivata, perché di recente il CSI ha anche stretto un accordo con Freedomland, la web TV che farà impazzire il mondo. La rivoluzione nella comunicazione del CSI ha radici più profonde ed attraversa tutte le strade percorribili. I veicoli cartacei "made in CSI", come Stadium, divenuto oggi un vero e proprio magazine dello sport per tutti - prossimo alle 100.000 copie di tiratura - e le pagine dei quotidiani, come l'appuntamento del sabato su Avvenire La televisione con le trasmissioni "Sportivamente" - in onda su SAT 2000 - e "Stadium lo sport per tutti"- in onda su Team TV, canale di informazione di Stream. Per non contare le sempre più frequenti "dirette" sul piccolo schermo di mamma Rai!! Insomma non ci nascondiamo più, non siamo solo "quelli dello sport per tutti", siamo stimati e cercati, chiamati per nome ed apprezzati!

che ha ottenuto un alto indice di gradimento. Ampliata negli sport e corretta nelle formule, la seconda edizione intende rilanciare alcune attività del progetto CSI.
Ottobre 1999
Il CSI verso il Giubileo
In preparazione al Grande Giubileo del 2000, il CSI ha promosso tre pellegrinaggi ai Santuari mariani di Caravaggio, Loreto e Pompei. Nei giorni precedenti i pellegrinaggi, giovani del CSI delle regioni coinvolte si sono incontrati per analizzare la situazione giovanile all'interno dell'Associazione.

Correggio - Novembre 1999
Obiettori nel CSI
Dopo l’approvazione del disegno di legge da parte del consiglio dei ministri, il CSI ha ritenuto opportuno mettere il punto sul futuro e sul ruolo degli obiettori di coscienza all’interno dell’associazione.
Dicembre 1999
CD Lo sport in parrocchia
Il primo prodotto di editoria elettronica targato CSI è una vera e propria guida per realizzare esperienze educative di sport nelle parrocchie e negli oratori.
Maratona
Gerusalemme-Roma


Sulle orme di San Paolo Roma, 31 dicembre 1999. Il 2000 non poteva cominciare meglio per i colori del CSI. Alle 23.12 la fiaccola, partita 15 giorni prima da Betlemme e accesa presso la grotta della natività, che ha ripercorso il tragitto compiuto dall'apostolo Paolo per giungere a Roma, per-
La fiaccola accesa presso la grotta della Natività giunge a San Pietro nella notte del 31 dicembre, accompagnata dagli atleti del CSI. Febbraio 2000
Bosco Chiesanuova
Gran Premio naz. di Sci Anche il secondo Gran Premio nazionale di sci ha raggiunto il suo obiettivo: grande partecipazione e soddisfazione da parte dei 500 atleti.
Fiuggi - Marzo 2000
Gran Premio naizionale di Corsa Campestre
corre Piazza San Pietro, tra le grida di saluto di 200.000 persone. La fatica degli atleti, i quali hanno toccato tutti i luoghi in cui l'apostolo sostò nel suo viaggio di predicazione, aveva fine. L'evento ha suscitato l'interesse dei mass media, che hanno seguito tutta l'avventura della carovana.
1.006 gli atleti in gara nella terza edizione del Gran Premio nazionale, a definitiva conferma della bontà della proposta. A dare ulteriore prestigio all'iniziativa, va ricordato lo svolgimento del convegno “Va come ti porta il cuore”, con la presenza del Prof. Dal Monte e del campione italiano di cross Rashid Berradi.
Aprile 2000
Verifica con il Ministero di Grazia e Giustizia
A Messina, l'8 e 9 aprile, il Centro Sportivo Italiano ha verificato,
L’arrivo della Maratona Gerusalemme-Roma la notte del 31 dicembre 1999 in piazza San Pietro.
in collaborazione con l'Ufficio Centrale per la Giustizia Minorile, l'andamento dei progetti avviati a favore dei minori della cosiddetta area penale esterna.
L’Europa in Italia
La 63ª assemblea della FICEP (Fédération Internationale Catholique d’Education Physique et Sportive) si è svolta a Roma dal 26 al 30 aprile 2000. “Lo sport per la riconciliazione e la pace” è stato il tema della sessione, che ha ricevuto i contributi di S.E. Mons. Salvatore occaccio, del
pluricampione mondiale di Sci orientamento Nicolò Corradini, di Daniele Scarpa e Sandra Truccolo e di Mario Pescante in rappresentanza del Comitato Olimpico Internazionale.
Trofeo Giocasport a Brescia
L'intenso quadriennio di rilancio dell'attività sportiva rivolta ai ragazzi è segnato dal successo dell'iniziativa che dal 28 aprile al 1 maggio 2000 ha visto protagonisti 900 mini atleti di tutta Italia divisi in Giovanissimi e Ragazzi.


ACHINI MASSIMO
Nato il 18/12/1966
Comitato di appartenenza: MILANO
Qualifica professionale: Dirigente sportivo
Ruolo CSI: Presidente provinciale

BERGONZINI GINO
Nato il 25/05/1946
Comitato di appartenenza: MODENA
Qualifica professionale: Notaio
Ruolo CSI: Presidente regionale uscente

BOSIO VITTORIO
Nato il 26/12/1951
Comitato di appartenenza: BERGAMO
Qualifica professionale: Impiegato
Ruolo CSI: Vice presidente vicario provinciale

CAGLIARI GINO
Nato il 03/09/1937
Comitato di appartenenza: BOLOGNA
Qualifica professionale: Tecnico elettronico
Ruolo CSI: Consigliere provinciale

CASTELLARO LUCA
Nato il 17/06/1938
Comitato di appartenenza: SAVONA
Qualifica professionale:
Docente
Ruolo CSI: Presidente provinciale

FARABOLI ANTONIO
Nato il 13/12/1955
Comitato di appartenenza: PARMA
Qualifica professionale: Impiegato CSI Parma
Ruolo CSI: Presidente provinciale uscente

FILIPPIN MARIA CRISTINA
Nata il 18/04/1964
Comitato di appartenenza: VERONA
Qualifica professionale: Insegnante elementare
Ruolo CSI: Resp. naz.le Commissione Fantathlon

GAIANI ROBERTO
Nato il 09/04/1955
Comitato di appartenenza: BOLOGNA
Qualifica professionale: Analista, Programmatore CED
Ruolo CSI: Presidente provinciale uscente

GRAVINA VITANGELO
Nato il 27/07/1943
Comitato di appartenenza: RIMINI
Qualifica professionale: Architetto
Ruolo CSI: Consigliere nazionale uscente

LONGO DORNI MARCO
Nato il 28/11/1963
Comitato di appartenenza: VERBANIA
Qualifica professionale: Insegnante Educazione Fisica
Ruolo CSI: Consigliere regionale


SARTORI RENZO
Nato il 18/08/1938

MANARA ANNA MARIA
Nata il 20/09/1963
Comitato di appartenenza: CREMONA
Qualifica professionale:
Insegnante scuola superiore
Ruolo CSI: Presidente provinciale

RIMOLDI FERDINANDO
Nato il 17/12/1953
Comitato di appartenenza: VARESE
Qualifica professionale:
Impiegato Direttivo (Funzionario)
Ruolo CSI: Vice presidente provinciale

SACCO MASSIMO
Nato il 29/01/1961
Comitato di appartenenza: TORINO
Qualifica professionale: Impiegato
Ruolo CSI: Presidente provinciale

SAGGIN PAOLO
Nato il 15/11/1959
Comitato di appartenenza: VICENZA
Qualifica professionale: Insegnante
Ruolo CSI: Consigliere provinciale

SALVIATI GIUSEPPE
Nato il 21/08/1951
Comitato di appartenenza: VENEZIA
Qualifica professionale: Docente di Educazione Fisica
Ruolo CSI: Consigliere nazionale uscente
Comitato di appartenenza: TRENTO
Qualifica professionale: Pensionato
Ruolo CSI: Vicepresidente provinciale

SPADONI MAURO
Nato il 11/01/1952
Comitato di appartenenza: REGGIO EMILIA
Qualifica professionale: Direttore prov.le E.N.A.P.A.
Ruolo CSI: Vice presidente provinciale

TAGLIABUE GIOVANNA
Nata il 28/07/1957
Comitato di appartenenza: COMO
Qualifica professionale: Insegnante
Ruolo CSI: Vice presidente regionale

TAGLIETTI EUGENIO
Nato il 09/04/1937
Comitato di appartenenza: BRESCIA
Qualifica professionale: Dirigente
Ruolo CSI: Consigliere provinciale

TOSCA ALBERTO
Nato il 23/05/1928
Comitato di appartenenza: PIACENZA
Qualifica professionale: Pensionato Regione E.R.
Ruolo CSI: Consigliere Provinciale

ZELANDA PAOLA
Nata il 05/03/1945
Comitato di appartenenza: PORDENONE
Qualifica professionale: Dirigente
Ruolo CSI: Presidente regionale F.V.G. uscente



COSTANTINI EDIO
Nato il 23/02/1952
Comitato di appartenenza:
ASCOLI PICENO
Qualifica professionale: Dirigente
Ruolo CSI: Vice presidente nazionale uscente

COTRONEO TERESA
Nata il 14/12/1962
Comitato di appartenenza: L’AQUILA
Qualifica professionale: Interprete/Traduttrice
Ruolo CSI: Segretaria regionale

FARACI CARLO
Nato il 17/01/1948
Comitato di appartenenza: PISA
Qualifica professionale: Impiegato
Ruolo CSI: Consigliere provinciale

FEDERICO MAURIZIO
Nato il 01/03/1963
Comitato di appartenenza: FROSINONE
Qualifica professionale: Avvocato
Ruolo CSI: Presidente provinciale

LANDUCCI GIULIO
Nato il 05/07/1949
Comitato di appartenenza: LUCCA
Qualifica professionale: Funzionario
Ruolo CSI: Vicepresidente regionale

MARCHESINI NEMESIO
Nato il 20/10/1945
Comitato di appartenenza: FIRENZE
Qualifica professionale: Quadro Direttivo
Ruolo CSI: Consigliere nazionale uscente

NOLI GIOVANNI
Nato il 27/10/1963
Comitato di appartenenza: FOLIGNO
Qualifica professionale: Impiegato Poste Italiane
Ruolo CSI: Consigliere regionale

PAGELLA GIUSEPPE
Nato il 20/04/1943
Comitato di appartenenza: ROMA
Qualifica professionale: Consulente del lavoro
Ruolo CSI: Presidente provinciale

ROMEO VIVIANA
Nata il 05/04/1954
Comitato di appartenenza: ROMA
Qualifica professionale: Insegnante
Ruolo CSI: Membro commissione naz.giudicante


D’ARCANGELO P.GERARDO
Nato il 28/04/1967
Comitato di appartenenza: TARANTO
Qualifica professionale: Avvocato
Ruolo CSI: Vice presidente provinciale

DI LORENZO VITO CORRADO
Nato il 01/04/1950
Comitato di appartenenza: NOTO
Qualifica professionale:
Insegnante scuola media
Ruolo CSI:
Vice presidente vicario provinciale

DISO LEONARDO
Nato il 01/07/1946
Comitato di appartenenza: TERRA D’OTRANTO
Qualifica professionale:
Docente scuola media
Ruolo CSI: Presidente circoscrizionale

MATURO SALVATORE
Nato il 19/02/1944
Comitato di appartenenza: NAPOLI
Qualifica professionale:
Pensionato
Ruolo CSI: Presidente provinciale

MERCADANTE GIOVANNA
Nata il 08/06/1964
Comitato di appartenenza: BARI
Qualifica professionale:
Educatore professionale
Ruolo CSI: Consigliere di società

MOSELLA DONATO RENATO
Nato il 13/02/1957
Comitato di appartenenza: NAPOLI
Qualifica professionale: Dirigente d’azienda
Ruolo CSI: Presidente nazionale uscente

PERRIA PORFIRIO
Nato il 20/01/1952
Comitato di appartenenza: ORISTANO
Qualifica professionale: Vice Capo Uff. B.ca Comm.le Italiana
Ruolo CSI: Vice presidente regionale

RUSSO SALVATORE MARIA
Nato il 13/02/1956
Comitato di appartenenza: CALTAGIRONE
Qualifica professionale: Bancario
Ruolo CSI: Amministratore CSI Sicilia

SATTA ROBERTO
Nato il 02/10/1964
Comitato di appartenenza: GALLURA ANGLONA
Qualifica professionale: Commerciante
Ruolo CSI: Consigliere nazionale uscente

SCARLINO PASQUALE
Nato il 23/09/1955
Comitato di appartenenza: CAVA DE’ TIRRENI
Qualifica professionale: Insegnante scuola media
Ruolo CSI: Vicepresidente regionale
BELLEI PAOLO Nato il 15/03/1951
Comitato di appartenenza: REGGIO EMILIA
Ruolo CSI:
Amministratore regionale uscente

DAIDONE ETTORE Nato il 21/05/1932
Comitato di appartenenza: TRAPANI
Ruolo CSI: Revisore dei conti nazionale uscente
GAGLIANI SILVIO Nato il 03/07/1968
Comitato di appartenenza: FIRENZE
Ruolo CSI: Revisore dei conti nazionale uscente
PETRELLA ANGELO Nato il 16/11/1945
Comitato di appartenenza: SESSA AURUNCA
Ruolo CSI: Consigliere nazionale uscente
PURACCHIO DOMENICO Nato il 07/06/1953
Comitato di appartenenza: CHIETI
Ruolo CSI: Vicepresidente provinciale
VAILATI RENATO Nato il 03/12/1951
Comitato di appartenenza: CREMA
Ruolo CSI: Vicepresidente nazionale uscente
FAGGIANI ROBERTO Nato il 25/12/1949
Comitato di appartenenza: PADOVA
Ruolo CSI: Consigliere nazionale uscente
FONTANA MAURO Nato il 10/04/1955
Comitato di appartenenza: ALBA
Ruolo CSI: Presidente provinciale
MANCINI OTELLO Nato il 26/03/1957
Comitato di appartenenza: SIENA
Ruolo CSI: Vicepresidente di società
RICCHINI ROBERTO Nato il 28/08/1934
Comitato di appartenenza: CHIAVARI
Ruolo CSI: Vicepresidente circoscrizionale
RUSSO GIOVANNI Nato il 06/10/1959
Comitato di appartenenza: CALTAGIRONE
Ruolo CSI: Presidente circoscrizionale

Duemila è sempre più sinonimo di Giubileo e pur non essendo esattamente duemila, moltissime sono le manifestazioni organizzate in occasione dell'Anno Santo. Il CSI, come ricorderete, aveva portato la fiaccola dello sport sul sagrato in Piazza San Pietro nella notte di Capodanno. L'avevamo ribattezzata "Correre sulle orme di San Paolo", la maratona che univa con un filo chilometrico e spirituale due città sacre per la cristianità come Gerusalemme e Roma. Ed oggi quel sacro fuoco acceso in Vaticano si alimenta, trovando nuova energia, nuova luce, nuovo calore: le fiammelle di tanti nostri comitati pulsano e sono pronte infatti a divenire fiamma viva, torcia ed ancora fiaccola per nuove maratone, nuove staffette giubilari. Giubileo ci parla dunque di giubilo, di gioia, vent'anni dopo la nascita di Gesù ed è bello ritrovarla oggi in questo grande fermento di partecipazione: da più parti si vanno organizzando pellegrinaggi di vario tipo: c'è chi come don Giuseppe Barbizzi
è partito dalla sua parrocchia di Montalto Marche, diretto a Roma "in solitaria", altre decine di persone nella vicina S.Benedetto del Tronto che vogliono imitarlo e vanno raccogliendo adesioni per partire a piedi dalla Cattedrale Madonna della Marina il 22 ottobre ed arrivare a Roma in tempo per il Giubileo degli Sportivi del 29. C'è anche chi monterà in bicicletta dal 22 giugno al 2 luglio per correre la "Staffetta della speranza n°2" da Formigine (MO) a Czestochova in Polonia.Ci sono poi i tanti pellegrini "di corsa", quelli che, stretti i lacci delle proprie scarpe, si daranno il cambio per giungere alla mèta. Tutte iniziative di scarso valore sportivo, viceversa altamente simbolico. Correre metro dopo metro, fiato su fiato, col cuore verso Roma, uniti insieme dal solido principio dell'uno per tutti e tutti per uno, passandosi di mano in mano il testimone della fede. Sulla strada della riconciliazione. Abbiamo corso e correremo dunque assieme a loro; vediamo dove e quando:
Jubilaeum 2000
Maratona per non dimenticare
Acqui Terme-Assisi 13-16 Aprile 2000
Si è conclusa la domenica delle Palme nel Piazzale superiore della Basilica di S. Francesco ad Assisi la staffetta podistica che ha attraversato quattro regioni: Piemonte, Liguria, Toscana ed Umbria. Nata con la finalità di portare un aiuto concreto alle popolazioni colpite dal terribile sisma del 1997, la maratona è partita contemporaneamente da due località, ovvero Acqui Terme ed Alessandria alle ore 18 del 13 aprile e si è congiunta ad Ovada il giorno stesso alle ore 22. Sul sagrato della Basilica francescana ad attendere l'arrivo della maratona c'era il Padre Guardiano del Sacro Convento di Assisi, e le autorità locali che hanno voluto ringraziare tutti i partecipanti ed i benefattori che avevano partecipato alla raccolta dei fondi, distribuiti in seguito a due dei comuni fortemente colpiti dal terremoto: quello di Serravalle del Chienti e quello di Casenove di Foligno.
Fiaccola del Giubileo Loreto-Roma 11-17 Giugno 2000
Solitamente era il Santo Padre che benediceva la fiaccola che veniva poi portata in pellegrinaggio da Macerata a Loreto. Quest'anno, in occasione del Giubileo s'è pensato di fare il percorso inverso e così, al termine del tragitto a piedi MacerataLoreto, la fiaccola verrà benedetta da Mons. Comastri, da dove poi verrà portata al Papa di mano in mano, attraverso la maratona a tappe di 316 km da Loreto a S. Pietro denominata "Fiaccola del Giubileo", con il CSI in campo nello sforzo organizzativo al fianco di altre associazioni sportive d'area cattolica.
Staffetta Praga-Roma-Orvieto 16-24 giugno 2000
L'Associazione culturale ricreativa "Liber-
tas" Orvieto in collaborazione con il CSI, in occasione della solennità del Corpus Domini sta organizzando una corsa a staffetta di ben 1.611 chilometri da Praga ad Orvieto con tappa a Bolsena, città del miracolo eucaristico. Il tragitto rievoca l'itinerario percorso nel 1263 da un sacerdote boemo, Pietro di Praga, che, in preda a ricorrenti dubbi sulla reale presenza di Cristo nell'Eucaristia, venuto a Roma come messo del re si fermò a pregare sulla tomba di Pietro e Paolo, e visto che il Papa Urbano VIII risiedeva in quei giorni ad Orvieto attraversando la Via Cassia, una delle arterie stradali più sviluppate attorno all'Urbe, si fermò a Bolsena nella chiesa di S. Cristina laddove avvenne il miracolo del sangue dall'ostia spezzata. L'ideale ricostruzione del cammino di Pietro possiede dunque valore storico e la corsa non riveste dunque carattere agonistico. Assieme ai 35 atleti di Orvieto e comprensorio che prenderanno parte alla rievocazione, ci saranno tantissimi altri sportivi italiani, austriaci e della Repubblica Ceca in strada per coprire il lungo e faticoso percorso. Sono previsti 723 km dalla capitale ceca a Tarvisio, passando per l'Austria e 888 km sul resto del nostro territorio nazionale. Le frazioni, ciascuna di 5 km, dovranno essere percorse in un tempo margine di 25 minuti, affinchè i tempi stimati per la lunga maratona siano rispettati. Si dovrà raggiungere il Duomo d'Orvieto il 24 giugno 2000, otto giorni dopo la partenza fissata per il giorno 16 nella città del Santo Bambino, un giorno prima della solenne processione che Orvieto dedica alla celebrazione del Corpus Domini.
Staffetta del Pellegrino il "Cammino lauretano" 2-3 settembre 2000
Come esiste il "Cammino" di Compostela, percorso nel Medioevo da innumerevoli pellegrini, esiste anche un "Cammino" di Loreto, battuto incessantemente dal seco-
lo XIV al XIX. Esso si articola su varie direttrici ed ha una genesi lenta che conduce, nel secolo XV-XVI, a un itinerario ben individuabile, soprattutto nel tratto Loreto-Roma. L'Associazione Sportiva Ferracuti Club Fermo - Atletica Porto S.Elpidio ha scelto proprio la via Lauretana come percorso della "staffetta del pellegrino" di circa 300 chilometri, in programma dal 2 al 3 settembre 2000, con partenza dal santuario mariano di Loreto ed arrivo a Castelgandolfo, in corrispondenza del tradizionale Angelus domenicale del Papa.
Staffetta del Giubileo Modena - Roma: dalla ghirlandina al cupolone 25-29 ottobre 2000
Si corre verso Roma anche da Modena! L'appuntamento del CSI è fissato davanti al Duomo modenese mercoledì 25/10 alle ore 12,00. Da lì, alternandosi al testimone, si arriverà a Roma il 29/10/2000 alle ore 10,00, in tempo per celebrare il Giubileo degli Sportivi in programma il giorno stesso. Stavolta saranno ben 450 i chilometri da suddividersi in 5 giornate scandite da 40 tappe complessive. L'organizzazione ha previsto, oltre le vetture accompagnatrici dei frazionisti, un camper che consenta di rifocillarsi a chi ha terminato la propria distanza, un medico al seguito durante l'intera durata della manifestazione, delle autovetture ed un monovolume per il trasporto ed il recupero dei vari corridori. La carovana sarà composta, oltre che dalle riserve pronte a subentrare in caso di necessità, da un cuoco. La maratona avrà luogo con qualsiasi condizione meteorologica; per motivi di sicurezza non si correrà nelle ore notturne. Nella giornata di domenica saranno solamente 3 gli staffettisti che però troveranno pronti per correre assieme l'ultimo chilometro tutti i compagni che li hanno preceduti nei 4 giorni addietro.

Ideato da Chiara Panciroli
Hanno collaborato: Alessandro Cappelli e Claudia Alessi
Illustrazioni di Claudia Alessi £. 25.000
Un gioco a carattere sportivo-educativo per bambini e ragazzi, da fare in squadra - anche coinvolgendo gli adulti - in famiglia, a scuola, in parrocchia.
Un modo diverso per scoprire il Giubileo del 2000, i suoi significati ed i suoi valori. Un incontro tra i "segni" del Giubileo e quelli dello sport, che prepara all'appuntamento del 29 ottobre 2000 con il Giubileo degli Sportivi.
Una proposta articolata, in cui confluiscono ludicità, movimento ed i più diversi linguaggi espressivi.
Affinché il Grande Giubileo, come auspica Giovanni Paolo II, parli a tutti di gioia e sia occasione "di un giubilo che si manifesta all'esterno".
IN CONTRASSEGNO n. ...............
Società unipersonale del Centro Sportivo Italiano Via della Conciliazione, 1 - 00193 Roma Tel. 06/6867941 Fax 06/68802940
Sito internet: http://www.csi-net.it Email: aranblu@csi-net.it


Connettersi ad Internet attraverso la propria televisione… oggi si può con Freedomland.

Si aprono nuove opportunità per i Comitati e le Società sportive del CSI:
•iscrizione on line a tornei, campionati…
•convocazione e-mail di presidenze, consigli, riunioni delle commissioni…
•designazioni arbitrali e relativa accettazione…
•consulenze e risposte alle società sportive in tempo reale…
•pubblicazione di classifiche, risultati...
•invio dei comunicati ufficiali...
•corsi di formazione a distanza…
•attivazione di un conto corrente elettronico, in conformità anche alle nuove disposizioni legislative...
Per informazioni: Centro Sportivo Italiano Presidenza nazionale tel. 06.6867941
