Proyectos inmobiliarios

Page 1

PROYECTOS INMOBILIARIOS

INTRODUCCIÓN ANALISIS DE SITIO ÍNDICE NORMATIVIDAD COMPARACIÓN DE MERCADO 01 02 03 04

PROYECTOS INMOBILIARIOS

ENTREGA 1 | 2

INTRO

Desarrollo inmobiliario de usos mixtos donde se identifico una oportunidad de terreno y se analizó en términos de entorno, movilidad, uso de suelo, áreas verdes y alturas. Además se hizo una investigación de mercado para identificar la oferta y demanda, se definió el tipo de proyecto a ejecutar.

LOGROS

Se identificó una oportunidad en la ciudad de Querétaro, en un terreno en la zona céntrica, en calle Epigmenio González y se definió el tipo de proyecto, donde permite la convergencia de vivienda, comercio e industria ligera.

AREA TOTAL

ZONIFICACIÓN COMERCIO | VIVIENDA

AREA TERRENO

1.3 HA 1000 M2

NOTAS

Con esta entrega se definió el terreno a trabajar, orientandonos en cual pudiera ser la mejor inversión y oportunidades para la zona. Así mismo realizamos un análisis del entorno donde identificamos el uso de suelos,

los servicios próximos, y la conveniencia de construir ahí. Donde además analizamos la datos demográficos, respecto a la población y al crecimiento de la ciudad, por último identificamos inmobiliarios par a poder comparar

ANALISIS DE SITIO NORMATIVAS INVESTIG

ACIÓN DE MERCADO

INFORMACIÓN DEL TERRENO

UBICACIÓN Y ENTORNO

Terreno ubicado en el centro de la ciudad de Querétaro.

Es un terreno con que colinda con dos calles, con una ubicación privilegiada pues podría convertirse en un andador peatonal para conectar los servicios que se aíslan en la calle posterior.

El terreno se encuentra delimitado por la calle Epigmenio González, y detrás la calle secundaria Roberto Ruiz Obregón.

RESÚMEN

DIRECCIÓN Calle Epigmenio González ÁREA 13,567 M2 HECTAREAS 1.3 HA DIMENSIONES Frente A Frente B GENERALES PRECIO M2 $4629 mxn PRECIO LOTE $16 millones mxn

ZONIFICACIÓN COMERCIO Y SERVICIO INDUSTRIA LIGERA

ALTURA MAX 6 NIVELES

Conectándose con Avenida Bernardo Quintana, cerca se encuentra la colonia centro histórico y álamos.

El precio de venta del terreno ronda aproximadamente los $16,000,000.00 de pesos mexicanos, por un lote de 1000 m2.

Calle Epigmenio González PERIMETRALES Calle Epigmenio González EQUIPAMIENTO CERCANO Univ Tecnológico de Monterrey Univ. Tecnológico de Monterrey

VIAS

Hospital Star Médica Hospital EBOR Cotsco Sam´s Club Walmart Soriana Chedrahui Parque Querétaro 2000 Plaza del Parque

Vista aérea macro Fuente Google Maps Vista aérea micro Fuente Google Maps

ANALISIS DE SITIO

A 5 MINUTOS CAMINANDO

En un radio de 400 metros equivalente a una caminata de 5 minutos desde el terreno, tenemos el Tec de Monterrey, una diversos restaurantes, farmacias, y dos supermercados.

Es una zona donde encontramos lo necesario para no tener que trasladarnos fuera del perímetro, donde no suele haber tráfico pesado.

Además es una ubicación que conecta a uno de los bulevares principales de la ciudad Bernardo Quintana

HOSPITAL
PLAZA GASOLINERA
PARQUE 2000 5 MIN WALK TERRENO E P I G M E N I O G O N Z Á L E S LOTE DEL TERRENO EQUIPAMIENTO
SAMS TEC WALMART

ANÁLISIS MACRO

CENTRO COMERCIAL Plaza del parque PLAZA

Áreas verdes

Vialidad principal Vialidad secundaria

VIALIDAD METROPOLITANA BLVD. Bernardo Quintana UNIVERSIDAD Tec de Monterrey

Vialidad metropolitana

Zona industrial Paradas bus

H I T O S
Ciclovia

USO DE SUELO

Industria ligera

El uso de suelo del predio es de industria ligera y comercio y servicio, sin embargo la zona está optando por desplazar la industria para poder satisfacer las necesidades de vivienda y servicios. VIVIENDA 66.7%

Vivienda COMERCIO GASTRONÓMICO
Comercio y servicio
ZONA RESIDENCIAL DENSIDAD MEDIA
RESTAURANTES 16.7% COMERCIO 16.7%

ESTADO ACTUAL

USO DE SUELO

El comercio de la zona se basa en restaurantes, conglomeración de supermercados, y un poco de industria como corporativos, rodeado de vivienda.

Industria ligera Habitacional Comercio y servicio

Tiendas de cadena Restaurantes Escuelas

Corporativos | Industria Gasolinera Plaza comercial

Comercio general Salud

ANÁLISIS FODA

FORTALEZAS

FUbicación céntrica

Accesibilidad a transporte público en la zona (más de 15 paradas de autobús cercanas)

Conexión de ciclovías y banquetas peatonales

Variedad de usos de suelo dentro de la zona (habitacional, industria ligera y comercial/servicios)

Cercanía de negocios y servicios clave Escuelas (universidad)

Servicios básicos como gasolineras, supermercados, restaurantes, hospitales, hoteles, en un radio de 5 km. Áreas verdes y tiendas de conveniencia colindantes con el terreno Múltiples salidas a vialidades principales y secundarias de la zona

OPORTUNIDADES

OZona considerada como de oportunidad por el plan de desarrollo urbano de Querétaro

Potencial de zonas verdes si se rehabilitan Alta demanda de vivienda en la zona

Previsiones de crecimiento del sector inmobiliario en México

Regreso a la presencialidad tras la pandemia Variedad de población Crecimiento y demanda del sector inmobiliario en Querétaro

Auge de los proyectos de crecimiento vertical con uso de suelo mixto

TERRENO Y ENTORNO

DEBILIDADES

Inseguridad en la zona (asaltos y robos)

Cercanía con zona industrial Áreas verdes poco atendidas

Falta de zonas con accesibilidad para personas con capacidades diferentes Falta de escuelas de educación básica y media superior cercanas

Necesidad de fraccionar para realizar el proyecto

Zona con escasez de agua Posible creación de tráfico en vialidad frontal al tener acceso y salida de estacionamiento

Aumento de un 73% de vehículos en una década

ESTRATEGIAS

FODA

Creación de espacios de reunión y atractivos que se puedan sustentar por medio del comercio en planta baja, para atraer gente y lograr financiar el desarrollo.

AMENAZAS

Riesgo de inundaciones Riesgo de sismos

Aumento en la inflación Aumento en tasas de interés Riesgo de recesión

Aumento en los precios de los materiales de construcción

Potencializar que los accesos sean peatonales, para promover el caminar por la zona, así evitar el congestionamiento de trafico y espacios muy grandes de estacionamiento.

Encontrar los vacíos comerciales en la competencia y proponerlos para aprovechar el foco comercial de la zona.

D A

USO DE NORMATIVA

Articulo 14°, Seccion (D)

Ningún edificio podrá estar a mayor altura de 1 75 veces su distancia al paramento vertical correspondiente al alineamiento opuesto de la calle Máximo 6 niveles permitidos (21 metros) según la zona

ALTURAS ÁREAS VERDES

Articulo 14°, II

Residencial densidad alta 10% De areas verdes en viviendas 12.5% De areas verdes en comercios

ESTACIONAMIENTO

Articulo 355°, Seccion 2

Residencial densidad alta 1Vivienda : hasta 120 m2 - 1 cajon 120 - 250 m2 - 2 cajones Comercio : 40 m2 - 1 cajon Gimnasio : 20 m2 - 1 cajon

ASOLEAMIENTO

Articulo 64°

Los conjuntos habitacionales con más de 50 viviendas, deberán garantizar que cuando menos el 75% de los locales habitables reciban asoleamiento

PERMEABILIDAD

Articulo 81°

En estacionamientos descubiertos con área mayor a 200 m2, la superficie de pavimento en área de cajones deberá ser como mínimo de adopasto, adocreto o materiales similares y el pavimento del área de circulaciones deberá ser de cualquier material exceptuando concreto asfáltico Estos estacionamientos deberán contar con área verde y cuando menos un árbol por cada 3 automóviles. Para efectos de contabilizar el costo con respecto a la

NIVEL DE PISO

Articulo 14°, Seccion (F).

Los pisos de la planta baja de los edificios deberan construirse por lo menos diez centimetros más altos que los del patio, estos a su vez diez centimetros más altos que el nivel de la acera y banqueta de la via publica

BALCONES

Articulo 17°, Seccion 3, (B)

Los balcones abiertos podran sobresalir del alineamiento hasta un metro, siempre que ninguno de sus elementos esten a menos de dos metros de una linea de transmision electrica

COS - 0.6

CUS - 3.6

Alt Máx. - 6 niveles (21 m)

1
2
3
4
SAMS WALMART GASOLINERA TEC
PARQUE 200 5 MIN WALK TERRENO E P I G M E N I O G O N Z Á L E S LOTE DEL TERRENO EQUIPAMIENTO PLAZA OFFICE MAX
SORIANA HOSPITAL ESCUELA PRIMARIA

ESTUDIO DE

DEMANDA DEL

MERCADO

POBLACIÓN

3.4 Datos Observatorio Ciudades CRECIMIENTO POBLACIONAL DE 2010 A 2020 EN CIUDADES MEXICANAS DE TAMAÑO SIMILAR
ESTUDIO DE MERCADO
DEMANDA QUERÉTARO ZONA METROPOLITANA
2010 2020 304,700 Viviendas 498,035 Viviendas +193,335
DE 2010 A 2020 La población creció un 29.57% Datos INEGI DE 2010 A 2020 las viviendas aumentaron 63.4% Datos INEGI Ocupantes por vivienda Datos INEGI AUMENTO DE VIVIENDA EN QUERÉTARO
D E N S I D A D D E P O B L A C I O N A D O L E C E N T E 0-40 40-60 60-80 80-100 Población foránea D E N S I D A D D E P O B L A C I O N F O R Á N E A D E N S I D A D D E P O B L A C I Ó N

FICHAS COMPARATIVAS

DE ARRENDAMIENTO

DIRECCIÓN Villas del refugio

COSTO $5,500.00

ESPACIO 52 m2 construidos

Habitacional

AREAS

2 habitaciones, sala-comedor, cocina equipada, baño, área de lavado y secado, un estacionamiento

DIRECCIÓN Real solare

COSTO $5,500.00

ESPACIO 54 m2 construidos

AREAS

2 habitaciones, baño, sala, comedor, cocina y área de lavado, gas estacionario

DIRECCIÓN LAS HACIENDAS

COSTO $6000.00

ESPACIO 57 m2 construidos

AREAS

DIRECCIÓN

2 habitaciones, baño, sala, comedor, cocina, aire lavado, un estacionamiento, filtro de seguridad, área comercial y pareas comunes dentro de fraccionamiento

Pradera

COSTO $6000.00

ESPACIO 52 m2 construidos

AREAS

2 habitaciones, baño, sala, comedor, área de lavado, un estacionamiento, pareas comunes (juegos y palapas)

DIRECCIÓN El Roble

COSTO $7,500 00

ESPACIO 50 m2 construidos

AREAS

2 habitaciones, baño, cocina, sala, comedor, calentador solar

h
O P C I O N 1
h
O P C I O N 2
h
O P C I O N 3
O P C I O N 4 La
h h
O P
I
C
O N 5 h

DIRECCIÓN El Marques

COSTO $8,000 00

ESPACIO 68 m2 construidos

AREAS

2 habitaciones, 2 baños, cocina, closets, persianas, canceles, estacionamiento, amenidades (alberca, terraza, áreas verdes)

ARRENDAMIENTO c Comercio

DIRECCIÓN Los Candiles

COSTO $4,500.00

ESPACIO 34 m2 construidos

AREAS

Con baño, luz independiente, agua prorrateada, estacionamiento

DIRECCIÓN Niños Heroes

COSTO $6,000 00

ESPACIO 34 m2 construidos

AREAS

Medio baño, servicios independientes, sin problemas de estacionamiento

DIRECCIÓN Centro

COSTO $6,500 00

ESPACIO 35 m2 construidos

AREAS

Medio baño, sin problemas de estacionamiento

DIRECCIÓN Centro

COSTO $7,000.00

ESPACIO 36 m2 construidos

AREAS

Medio baño, estacionamiento amplio (sin problemas)

h c c c c
O P C I O N 6
O P
I O
C
N 1
O P C I O
N 2
O P C I O
N 3
O P C I O N 3
DE

COSTO $7,200 00

ESPACIO 635 m2 construidos

AREAS Medio baño, cortina metálica, en plaza comercial

COSTO $8,870 00

ESPACIO 30 m2 construidos

AREAS En plaza comercial, estacionamientos disponibles, con mantenimiento

COSTO $434,362 00

ESPACIO Terreno y construcción de 60m2 AREAS 2 habitaciones, baño, un estacionamiento

COSTO $620,000 00

ESPACIO Terreno y construcción 55m2

AREAS 2 habitaciones, baño, cocina, sala, comedor, cuarto de lavado techado, un estacionamiento, áreas verdes, áreas recreativas

COSTO $725,000.00

ESPACIO Terreno y construcción de 56m2

AREAS 2 habitaciones, 2 baños, un estacionamiento, sala, comedor, cocina (equipada), área de lavado, amenidades (juegos, albercas, asador)

c
DIRECCIÓN Pie de la Cuesta
O P C I O N 5 c
O P C I O N 6
h h h h
DIRECCIÓN El Marques
Habitacional
O P C I O N 1
DIRECCIÓN Real Solare
O P C I O N
2
DIRECCIÓN Los Héroes
O P C I O N 3
DE
DIRECCIÓN Altos del Marques
VENTA DE INMOBILIARIOS

ESPACIO Terreno y construcción de 57 m2 AREAS

habitaciones, baño, un estacionamiento, sala, comedor, cocina, área de lavado, patio trasero en planta baja, balcón trasero

ESPACIO Terreno y construcción 51 m2 AREAS 2 habitaciones, baño, un estacionamiento, amenidades (parque, juegos, gimnasio), seguridad

COSTO

ESPACIO 32 m2 AREAS Medio baño, no incluye mantenimiento, servicio de agua y luz, en plaza comercial con estacionamiento techado, terraza común

h h h c c c
Comercio
COSTO $830,000.00
O P C I O N 4 DIRECCIÓN Ciudad del Sol
O P C I O N 5
El
2
COSTO $920,000.00 ESPACIO Terreno y construcción 50m2 AREAS 2 habitaciones, baño, cocina, sala, comedor, cuarto de lavado techado, un estacionamiento, áreas verdes, áreas recreativas
DIRECCIÓN
Marques
COSTO $1,000,000 00
O P C I O N 6
O P C I O N 1
DIRECCIÓN Eduardo Lorca COSTO $810,000.00 ESPACIO 30 m2 AREAS Medio baño, en plaza comercial, 2 estacionamientos
DIRECCIÓN Juriquilla
O P C I O N 2
$830,000.00
DIRECCIÓN Plaza Mirador DE VENTA DE INMOBILIARIOS

COSTO $830,000.00

ESPACIO 40 m2

AREAS

Medio baño, un estacionamiento, dentro de un fraccionamiento

DIRECCIÓN Cumbres del Lago

COSTO $990,000 00

ESPACIO 34 m2

AREAS

Preparación para medio año, en plaza comercial (elevadores, vigilancia, estacionamientos, baños)

DIRECCIÓN Álamos 3ª Secc.

COSTO $1,300,000 00

ESPACIO 40 m2

AREAS

Recepción, oficina, privado, cocineta y medio baño

DIRECCIÓN San Angel

COSTO $1,325,000 00

ESPACIO 40 m2

AREAS 2 baños, dos estacionamientos, preparación para ser oficina, dentro de centro comercial

c c c c
O P C I O N 6
O P C I O N 3 DIRECCIÓN El Monte
O P C I O N 4
O P C I O
N 5

HABITACIONAL VENTA

OPCIÓN PRECIO M2 PRECIO / M2

HABITACIONAL ARRENDAMIENTO

$463,362.00 60 $7239.37 $620,000.00 55 $11,271.73

$725,000.00 56 $12,946.43 $830,000 00 57 $14,561 40 $920,000.00 50 $18,400.4300 $725,000.00 56 $19,230.77 PROM $754,893.00 54.93 $13,767.90

OPCIÓN

$820,000 00 30 $27,000 00 $830,000 00 32 $25,670 00 $831,600.00 40 $20,790.00 $990,000.00 34 $29,170.00 $1,300,000 00 40 $32,500 00 $1,325,000.00 40 $33,125.00 PROM $1,014,433.00 36 $28,167.90

1 2 3 4

ARRENDAMIENTO

$5,500.00 64 $85.95 $5,500.00 55 $101.85 $6,000 00 57 $105 25 $6,000.00 52 $115.00 $7,500.00 50 $150.00 $8,000.00 68 $117.65 PROM $6,416 67 54 93 $13,767 90 1 2 3 4

1 2 3 4

$4,500.00 34 $132.56 $6,000.00 34 $176.20 $6,500.00 35 $185.34 $7,000 00 36 $194 90 $7,200.00 35 $205.15 $8,870.00 30 $295.00 PROM $6,678.67 34 $196.00

TABLA COMPARATIVAS
Habitacional 1 2 3 4
5 6
5 6
OPCIÓN PRECIO M2 PRECIO / M2
COMERCIO VENTA 5 6
PRECIO M2 PRECIO / M2
COMERCIO
5 6
OPCIÓN PRECIO M2 PRECIO / M2
TABLA DE PROPUESTA PROPUESTA COMERCIAL OPCIÓN PRECIO VENTA M2 PRECIO RENTA $986,254.50 35 $6,874.70
HABITACIONAL OPCIÓN PRECIO VENTA M2 PRECIO RENTA $773,274.10 56 $6,268.01
PROPUESTA

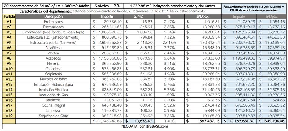
COSTOS DE CONSTRUCCIÒN

DEPARTAMENTOS

COMERCIO

Construcciones tipo a

Construcciones tipo a

TERRENO Y ENTORNO

Turn static files into dynamic content formats.

Create a flipbook
Issuu converts static files into: digital portfolios, online yearbooks, online catalogs, digital photo albums and more. Sign up and create your flipbook.