Skip to main content

Boletim ABCOC 2024_2

Page 1


Boletim Informativo

Órgão de divulgação da Associação Brasileira dos Criadores de Ovinos Crioulos | ABCOC

Presidente:GilsonR P Moreira

Vice:RafaelG.Paim

Secretário:AntônioC.Trierweiler

Tesoureiro:JoemirG Gonçalves

ConselhoTécnico:AmílcarJ Matose

JoãoPauloN Cruz

ConselhoFiscal:AlexandreP.Nessye

LucianoR.Souza

BoletimInformativoABCOC

Comcirculaçãonasmídiassociais

Publicainformaçõespertinentesàraça ovinaCrioula.Artigosassinadospelos autoreséumacontribuiçãovoluntáriae deresponsabilidadedestes

Editoração,diagramaçãoefinalização porGisleneL.Gonçalves,emcortesiaà ABCOC.

Periodicidade:quadrimestral

DisponívelOnline(digital)

Site:wwwovelhacrioulacom

Instragram:@abcoc crioula

Email:ovelhacrioula@gmailcom

WhatsApp:(51)98169-5914

Editorial

Caros amigos,

Nos últimos meses, o Rio Grande do Sul foi profundamente afetado por condições climáticas adversas, com chuvas intensas no final de abril e início de maio. Esses eventos impactaram a vida no Estado como um todo, incluindo a ovinocultura. No entanto, de forma solidária, estamos reconstruindo e voltando as atividades. Nesta edição, retornamos com informações de grande valor histórico e afetivo para a Raça Na seção Pesquisa, Carlos J. H. Souza, Magda Benavides e José C. F. Moraes, pesquisadores da Embrapa Pecuária Sul (Bagé),

FOTO: ELIANA STEIN TRIERWEILER

compartilham dados inéditos sobre variabilidade e seleção de carneiros no Núcleo de Conservação da Ovelha Crioula da Embrapa Pecuária Sul.

Em Eventos, Carlos A. S. Trierweiler apresenta fotos das participações, e os campeões da Fenovinos (RS), ExpoGaspar (SC) e Expotílias (SC). Já na seção Criadores & Criatórios, Clarissa P. Gonçalves nos traz a incrível história da Estância Velha (Lavras do Sul, RS), contada por Arthur Fernandes Além disso, celebramos as artes relacionadas à raça com uma ilustração em aquarela de Manuela P Lorenzi

E para aguçar os sentidos, e inspirar os apaixonados por produtos coloniais, na seção de Culinária, Cláudio Guerra nos presenteia com uma receita detalhada de presunto cru ovino.

Desfrutem desta edição!

Diretoria Biênio 2024/25

Lembrete: de 24 de agosto a 01 de setembro, durante a Expointer em Esteio (RS), a Casa ABCOC fica aberta a visitação.

Pesquisa

POR CARLOS JOSÉ HOFF DE SOUZA, MAGDA

BENAVIDES

& JOSÉ CARLOS FERRUGEM MORAES

PESQUISADORES EMBRAPA PECUÁRIA

SUL

Variabilidade

fenotípica

a seleção de carneiros no Núcleo de Conservação da Ovelha Crioula da Embrapa Pecuária Sul

A definição pela criação de uma raça de ovinos depende de diversos fatores. Entre os quais o mais importante e definitivo é a preferência do criador, que pode ser influenciada por aspectos de tradição familiar, cultura regional, moda, qualidade dos campos, mercado de produtos e objetivo de produção.

O rumo que a seleção determina em cada rebanho também é influenciado pelos mesmos fatores. Neste contexto, é importante que grupos de criadores organizados nas associações de raças venham a “zelar” pelas características mais comuns e desejáveis dos animais dentro de cada grupamento racial.

Especificamente a raça Crioula é descrita no regulamento do Serviço de Registro Genealógico

e

de Ovinos (SRGO) da Associação Brasileira de Criadores de Ovinos (ARCO) como uma raça local originária da península ibérica, introduzida durante a colonização da América e que ainda poderia ser encontrada desde o Peru até o Uruguai, segundo o Dr. Geraldo Velloso Nunes Vieira (1967).

A partir de 1982 a raça Crioula começou a ser preservada na Unidade da Embrapa em Bagé

Fonte: Moraes et al (2015)

com o objetivo de contribuir para a manutenção e caracterização desse grupamento genético. Nos dias de hoje, os criadores contam com um padrão racial definido (http://www.arcoovinos.com.br/P adraoRacial/Details/21) e a disponibilidade de animais registrados PO (Puros de origem), PS (Puros sintéticos), PC (Puros controlados), PA (Puros por avaliação) e animais produtos de cruzamento sob controle de Genealogia (CCG).

A finalidade dessa nota é de apresentar alguns dados de características medidas num grupo contemporâneo de carneiros do Núcleo de Conservação da Embrapa Pecuária Sul, visando subsidiar futuras reflexões sobre o direcionamento do padrão racial e produtivo dos ovinos Crioulos. Os animais foram criados numa lotação de 5 ovinos/ha/ano em campo natural invadido por capim annoni-2 (Eragrostis plana), que forma o extrato superior da pastagem e não foi considerado na dieta dos ovinos. O extrato inferior é composto principalmente por Axonopus affinis, Paspalum notatum e P. pumilum, espécies de porte baixo e de excelente qualidade forrageira.

Para o controle da altura, da estrutura da pastagem e para o consumo do capim annoni-2 foram utilizados bovinos adultos (vacas prenhes e em lactação) em pastejo rotacionado, recebendo a suplementação recomendada de sal proteinado.

Com a finalidade de ilustrar a variabilidade fenotípica, no Núcleo são apresentados dados de 45 machos nascidos na primavera de 2022 e selecionados como reprodutores potenciais no outono de 2024.

Os futuros carneiros são avaliados inicialmente pelo fenótipo para confirmação do registro genealógico quanto ao padrão racial e sequencialmente selecionados objetivamente, através de um índice de seleção que contempla o peso corporal, o perímetro escrotal e a susceptibilidade à verminose.

O procedimento é sequencial, ou seja, entre os animais com registro confirmado, que estão de acordo com o padrão definido para a raça, são identificados aqueles que podem ser eleitos como reprodutores. O critério é bem flexível pois deve permitir a manutenção de animais oriundos das cinco famílias que integram o Núcleo

e a diversidade genética da raça, uma vez que se trata de um rebanho de conservação. Os animais acima da média no índice de seleção são mantidos para uma avaliação prévia ao acasalamento quando é definido seu emprego na monta natural, reserva tática por grupo familiar e ainda novo descarte, considerando o fato que anualmente são utilizados 10 carneiros nas cinco famílias. Os carneiros classificados no terço superior são oferecidos para venda em leilão na próxima oportunidade após o encerramento da temporada reprodutiva que geralmente se encerra até o final do mês de maio.

Na Tabela 1 é apresentado o número de carneiros confirmados

pela seleção fenotípica e o de animais selecionados objetivamente, bem como os refugados e os descartados, respectivamente, por cada critério. No grupo contemporâneo em questão 18% dos animais foram considerados fora do padrão racial e nenhum deles foi identificado como reprodutor potencial pelos seus dados de produção. Os dados produtivos foram avaliados em todos os animais independentemente de sua confirmação. O critério objetivo busca identificar animais acima da média do ranking dos animais quanto ao peso ao desmame, perímetro escrotal e OPG (ovos por grama de fezes).

Esse último dado vem sendo utilizado no Núcleo para identificar os animais mais sensíveis a verminose e promover seu descarte do rebanho como uma forma de reduzir a contaminação das pastagens e o número de vermifugações ou tratamentos anti-helmínticos ao longo do ano. O emprego do critério objetivo indicou 47% dos animais a serem descartados dentro do grupo contemporâneo.

É interessante notar que as médias de peso ao nascer e ao desmame dos descartados em ambos os critérios foram semelhantes. O peso ao ano e o perímetro escrotal foram superiores nos carneiros selecionados pelos dois critérios.

Já a característica que identifica os animais mais sensíveis à verminose (OPGMédio) apresentou uma média significativamente menor e desejável no grupo dos carneiros selecionados

Um aspecto que deve ser destacado é que tanto no critério de seleção fenotípica quanto na objetiva foi verificado efeito da idade da mãe sobre o peso ao nascer e ao desmame. No entanto, o perímetro escrotal foi afetado pela idade da mãe quando os

Figura 1 Distribuição do peso ao ano dos carneiros, em “ a ” quando selecionados pelo fenótipo, e em “b” quando por medidas objetivas

carneiros foram selecionados apenas pelo fenótipo. O efeito da idade materna é esperado do nascimento até o desmame pela maior dependência de cuidado e alimentação das progênies. No entanto, quando os animais foram selecionados apenas pelo fenótipo, foi observado 20% mais carneiros refugados entre os filhos de ovelhas mais jovens

Na Figura 1 está apresentada a variabilidade das pesagens dos animais com um ano de idade. As médias dos animais selecionados foram superiores nos dois critérios utilizados, entretanto é visível que a seleção pelo

fenótipo identificou os animais menores e com menos peso. Já os animais selecionados objetivamente apresentaram uma distribuição de pesos mais homogênea.

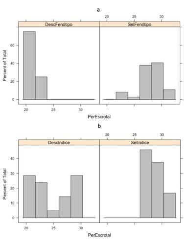
Na Figura 2 é evidente, também, que a seleção dos animais mais leves, quando selecionados pelo fenótipo, por resposta correlacionada, indicou para descarte os carneiros com menor perímetro escrotal Em contraste como o perímetro escrotal faz parte do índice de seleção objetiva foram selecionados pelos dados de produção os reprodutores com maior perímetro escrotal.

Na Figura 3a observa-se que a

distribuição das contagens de ovos por grama de fezes foi similar nos animais descartados e selecionados pelo fenótipo, revelando que essa característica realmente deve ter uma distribuição ao acaso, o que é indicado pela tendência central dos nos animais descartados

Já na Figura 3b observa-se que os descartados pelo índice apresentavam os maiores valores de OPGMédio A Figura 3 mostra o efeito da seleção fenotípica no OPG médio dos animais a permanecerem no rebanho, ou seja, a seleção subjetiva não leva em conta (e nem tem como) o OPG dos animais.

Figura 3 Distribuição dda contagem de ovos por grama de fezes dos carneiros em “ a ’ quando selecionados pelo fenótipo, e em”b” quando por medidas objetivas

Figura 2 Distribuição do perímetro escrotal dos carneiros, em “ a ’ quando selecionados pelo fenótipo e em”b” quando por medidas objetivas

No que diz respeito a presença de chifres nos machos do Núcleo, antes dos procedimentos de seleção não havia animais mochos. No total, 25 (56%) tinham dois e 20 (44%) quatro chifres. Nas duas apresentações o tamanho e a morfologia dos chifres se mostraram variáveis, e características da raça

De forma geral, não há nenhuma relação quanto o número de chifres e os critérios de seleção utilizados, uma vez que na seleção pelo fenótipo foram descartados 5 (20%) de dois chifres e 3 (15%) de quatro chifres, enquanto que a seleção objetiva levou ao descarte respectivamente de 12 (48%) e 9 (45%) animais quanto ao número de chifres.

Quanto a variabilidade da cor da pelagem neste grupo contemporâneo de carneiros, esta foi similar a verificada em outras

oportunidades com a predominância de brancos e pretos conforme apresentado na Figura 4.

A descrição da variabilidade dessas medidas de um grupo contemporâneo de carneiros do Núcleo de Conservação da ovelha Crioula e do sistema de seleção de reprodutores é uma informação simples, que no entanto, pode contribuir para o direcionamento futuro da raça nos rebanhos comerciais, ou, alternativamente apenas servir de modelo para outros criatórios, principalmente pelo fato que o Núcleo é geneticamente fechado, não tendo sido incluídos animais de outras origens pelo menos nos últimos 15 anos. O entendimento é que o projeto de conservação foi financiado pela EMBRAPA para a manutenção da variabilidade do repositório de

Figura 4. Distribuição dos fenótipos quanto a cor da pelagem dos carneiros

animais desse grupamento genético para o setor produtivo sempre que houver oportunidade e/ou interesse.

Bibliografia complementar

MORAES, J. C. F.; SOUZA, C. J. H. Descrição da cor da pelagem em um rebanho de ovelhas Crioulas. Bagé: Embrapa Pecuária Sul, 2011. 27 p. (Embrapa Pecuária Sul. Documentos, 114).

MORAES, J. C. F.; SOUZA, C. J. H ; PAIVA, S R Uma reavaliação dos ovinos Crioulos Lanados sob a ótica de sua conservação. Bagé: Embrapa Pecuária Sul, 2015. 27 p. (Embrapa Pecuária Sul. Documentos, 141).

MORAES, J. C. F.; SOUZA, C. J. H. A Evolução das Relações de Parentesco no Núcleo de Conservação de Ovinos Crioulos na Embrapa. Bagé: Embrapa Pecuária Sul, 2017. 10 p. (Embrapa Pecuária Sul. Boletim de Pesquisa e Desenvolvimento, 39).

SOUZA, C. J. H.; BENAVIDES, M.V.; MORAES, J. C. F. A utilização da estrutura em famílias de fêmeas para garantir a manutenção da variabilidade

em pequenas populações ovinas. Bagé: Embrapa Pecuária Sul, 2022. 16 p. (Embrapa Pecuária Sul. Boletim de Pesquisa e Desenvolvimento, 52).

SRGO – ARCO. Regulamento do Serviço de Registro Genealógico de Ovinos. www.arcovinos.com.br/sitenew/f erramenta/imagens/documentos/ 12.pdf

VAZ, C. M. S. L. Morfologia e aptidão da ovelha Crioula Lanada. Bagé: Embrapa Pecuária Sul, 2000. 16 p. (Embrapa Pecuária Sul. Documentos, 22).

VIEIRA, G.V.N. Criação de ovinos. Edições Melhoramentos, 3a edição, São Paulo, 480 p , 1967.

Eventos

POR CARLOS AUGUSTO STEIN TRIERWEILER

19ª EXPOFEIRA

GRANDE CAMPEÃO PO

Sanga do Areal Espinilho 21

Gaspar, SC

Cabanha La Guerrera Galvão SC

36ª FENOVINOS

Santa Margarida do Sul, RS

GRANDE CAMPEÃ PO

Sobrado Branco 397

Cabanha La Guerrera Galvão SC

GRANDE CAMPEÃO PO

Dom Levino

28

GRANDE CAMPEÃ PO

Dom Levino 330

Negro da Gaita
Cabanha Dom Levino Bagé, RS
Cabanha Dom Levino Bagé,, RS

36ª FENOVINOS

Santa Margarida do Sul, RS

GRANDE CAMPEÃO RGB

Dom Levino 30

Cabanha Dom Levino

Bagé RS

GRANDE CAMPEÃ PA

Horizonte da Antonella 01

Cabanha Horizonte

Cachoeira do Sul, RS

GRANDE CAMPEÃ PO

Dom Levino Katarina 17

Cabanha Dom Levino

Bagé,, RS

TRIO DE FÊMEAS GRANDE CAMPEÃS PA

Cabanha Dom Levino

Bagé,, RS

9ª EXPOTÍLIAS

Treze Tílias, SC

Estância da Serra

Água Doce, SC

9ª EXPOSALTO

Salto Veloso, SC

Sítio Igrejinha

Salto Veloso, SC

RANKING DA RAÇA

Controle de pontuação

(definido em Outubro de 2022)

Através de deliberação da atual diretoria da ABCOC, restou estabelecido o controle de pontuação dos julgamentos da Raça Ovina Crioula nos principais eventos em que a mesma venha a participar, visando à publicação do Ranking, em duas tabelas distintas, cuja soma do total de pontos dos animais premiados deverá ser considerada por criador e por expositor, respectivamente.

Como requisitos básicos, a fim de permitir a contagem da pontuação para cada uma das tabelas acima mencionadas, deverão ser considerados os seguintes critérios:

A soma de pontos nos eventos de maior importância em que a raça se fizer presente e pré determinados neste oficio; 1.

A pontuação deverá seguir os modelos de ranking da ARCO. Categoria individual classe A (PO Galpão), B (RGB Galpão) e C (PA Galpão), Categoria Progênie classe A e B, Categoria Família classe A e B e as categorias conjunto Classe D (PO rústicos), E (RGB rústicos) e F (PA rústicos). O início da contagem das pontuações deverá ser imediatamente após cada Expointer e, em consequência, seu término será sempre no final da Expointer do próximo ano.

Dessa forma, em 2022 o primeiro evento a ser considerado será a 2ª

EXPOSIÇÃO SUL BRASILEIRA

3.

A participação de no mínimo três criadores em cada um dos eventos; 2. O controle em separado dos pontos como expositor e como criador (o expositor que obtiver a pontuação no julgamento com animal de sua criação automaticamente terá aquela pontuação considerada para concorrer como criador).

DE OVINOS, a realizar-se em Lages, SC, no mês de Outubro. A publicação oficial dos quatro primeiros classificados, para cada uma das categorias (criador/expositor), deverá ser por ocasião do último boletim de cada ano. Para efeitos de pontuação, deverão ser consideradas as seguintes exposições,:

1) EXPOSIÇÃO SUL BRASILEIRA DE OVINOS (Lages/SC)

2) AGROVINO (Bagé/RS)

3) FEOVELHA (Pinheiro Machado/RS)

4) FENOVINOS (RS)

5) EXPOINTER (Esteio/RS)

Criadores & Criatórios

TEXTO E FOTOGRAFIAS: ARTHUR FERNANDES

Estância Velha

João Brasil Gonçalves

Fernandes & Regina Carvalho Fernandes

A história da família

Fernandes em Lavras do Sul (Rio Grande do Sul), a qual teve início em meados de 1880 com a chegada do recém formado artista pela Universidade de Coimbra, Manoel Fernandes, traça um paralelo à sua criação de ovinos crioulos.

O recém chegado teve como sua primeira empreitada a

reforma da já intitulada Estância Velha, a qual se desconhece a data de construção, porém, imagina-se que tenha sido erguida no início do século XIX. Ao longo das atividades, Manoel conheceu Joaquina, filha do casal Joaquim Silva e Deolinda Souza, proprietários da Estância Velha. Em outubro de 1888, Manoel e Joaquina casaram-se, recebendo de presente de casamento, dos pais de Joaquina, um rebanho de 40 ovelhas Crioulas e uma fração de terras, onde

posteriormente Manoel construiria sua própria sede, e criaria seus filhos.

Breno da Silva Fernandes, o filho primogênito do casal, assumiu em 1915 as atividades da propriedade dos pais. Logo em seguida, ao início da década de 1920, começou a selecionar apenas reprodutores mochos, devido a dificuldade de manejo dos capões aspados. Estes ficavam em uma invernada distante da sede e só eram emangueirados uma vez ao ano, para esquila, ocasião em que sempre haviam incidentes, com esquiladores e até mesmo com o pessoal da casa, devido a reatividade do rebanho visto a falta de manejo frequente.

Nesta ocasião, eram apartados cerca de 25 animais para consumo e o rebanho retornava a sua invernada, onde permanecia até a próxima esquila.

Ao longo de três décadas, o rebanho foi perdendo o caráter aspado, passando a ser um rebanho totalmente mocho a partir da década de 1950, período em que João Brasil Fernandes, nascido em 1942, já

acompanhava seu pai Breno nas lidas, e recorda que animais aspados só nasciam de “cria roubada” e eram automaticamente destinados ao consumo. Comenta também, que os reprodutores permaneciam o ano inteiro com as matrizes e o rebanho totalizava ao redor de 120 animais, nessa época.

PRODUÇÃO

Em 1973, com o falecimento de seu pai, João Brasil assume o negócio da família, dividindo seu tempo entre a atividade bancária e atividade pecuária, a qual

consistia na produção de bovinos de corte com sistema de ciclo completo e a criação de ovinos de lã fina e, obviamente, dando continuidade ao rebanho e seleção de ovinos crioulos mochos, conta que devido a dificuldade em encontrar reprodutores mochos, sempre selecionou os melhores cordeiros de cada geração para reprodutores, sendo que, o principal quesito para a escolha, era que o candidato não apresentasse sequer “botões” de aspa, e também apresentasse um velo totalmente solto, livre de lã ou capacho, obtendo assim

longas mechas, sempre buscando animais com expressão e características de macho.

Em 1986, João Brasil e a esposa Regina tiveram a oportunidade de adquirir a Estância Velha, sede que deu origem a Família Fernandes, mas que havia sido herdada por outros descendentes. João Brasil passa então a produzir terneiros e comercializa-los nas feiras da ANPTC, onde sagrou-se inúmeras vezes premiado devido a qualidade dos animais produzidos, sendo um dos pioneiros na criação da raça

Angus no município. João integrou o CITE 27 e diversas diretorias do Sindicato Rural de Lavras do Sul, onde pode difundir a raça ovina Crioula em reuniões e remates, comercializando animais para inúmeros produtores do Estado, e até mesmo, fora dele.

ABCOC E EVENTOS

No início da década de 1990, Maria Helena, irmã de João Brasil, conhece Dra. Clara Vaz, e em conversa comentam sobre o rebanho Crioulo, pois a Embrapa, através da Dra. Clara, vinha buscando resgatar a raça, porém, desconhecia um rebanho mocho, afinal, até então não se tinha notícias de

rebanhos livres do caráter aspado.

Após tratativas, em fevereiro de 1995 a Dra. Clara e sua equipe visitaram o rebanho da família, pertencente, nesta época a Maria Olema Gonçalves Fernandes, mãe de João Brasil e Maria Helena, com o intuito de analisar características e dados morfometricos, afim de

comprovar a pureza do rebanho.

João Brasil recorda que foi um dia inteiro de avaliação, onde foram levantadas 63 diferentes medidas individuais em mais de 60 animais de todas as categorias, comprovando assim a pureza do rebanho, pois nenhum animal apresentou características distintas as já conhecidas, apesar, de não haverem animais aspados.

A partir daí, passou a ser reconhecida, uma nova variedade dentro da raça, além das já existentes (Fronteira e Serrana), intitulada, variedade Lavras, a qual, posteriormente, passou a ser chamada de subvariedade da variedade Fronteira, afinal, não apresentava características da variedade Serrana. Ao longo dos 5 anos subsequentes, foram eitas inúmeras reuniões e dias de campo na Estancia Velha para difundir a raça e seus subprodutos, onde surgiu a iniciativa de criar a ABCOCAssociação Brasileira dos Criadores de Ovinos Crioulos, tendo uma Ata de reunião assinada no galpão da Estância Velha, onde eram realizados os

encontros, em 26 de março de 1998 por criadores e pesquisadores, em que cito, Dra Clara Vaz e Prof. Gilson Moreira. Sendo assim, foi fundada a ABCOC, em 20 de novembro de 1999, em Bagé, tendo a Associação como sede o município de Canguçu. Tudo isso sendo documentado e arquivado manualmente por Regina Carvalho Fernandes, esposa de João Brasil, e exímia cozinheira e doceira, a qual recebeu milhares de estudantes para apreciarem seu café campeiro.

A seguir, a Estância Velha foi sede para inúmeras reuniões, dias de campo, visitas técnicas de universidades como UFRGS e UFSM, além de escolas técnicas, e colégios, sempre salientando a importância da preservação da raça, dos costumes e culinária gaúcha, foi também palco para

gravações de programas de culinária, mostrando a típica comida e hábitos do gaúcho, foi locação para filmes, documentários e clipes de alguns artistas da nossa cultura. Citamos a gravação de um programa do Chef francês Olivier Anquier, a gravação de um curta metragem que retrata a obra “Bochincho” de Jayme Caetano Braun. Ainda, o clipe da obra “Cinco e Meia da Manhã”, de Edilberto Teixeira e André Teixeira, e recentemente a visita de pesquisadores argentinos que buscam o resgate da raça Crioula em seu País.

PRODUÇÃO E MANEJO ATUAIS

Atualmente a Estância Velha tem foco na produção e terminação de gado Brangus, sob regime de campo nativo com suplementação estratégica durante o verão, e a intensificação sobre pastagens arrendadas durante o período de inverno, momento em que os campos nativos são roçados diferidos e recebem semeadura

de azevém, em partes, para que suportem maior carga durante o verão. Em 2019, Arthur Fernandes, o neto de João Brasil e Regina, ao assumir a gestão da propriedade, recebeu um rebanho de 25 ovelhas Crioulas com cria ao pé. A partir daí, intensificou a produção das Crioulas e foi gradativamente reduzindo o rebanho de lã fina.

Hoje, cria exclusivamente a raça Crioula, tendo um rebanho de aproximadamente 250 ovinos, que são divididos em dois rebanhos

distintos; um que mantém o caráter mocho tradicional da família, apenas nas colorações escuras, ou seja, pretas, mouras e marrons; e outro, nas colorações claras, que são, brancas e ocres, que vão do mocho até animais policerianos. No intuito de aumentar o rebanho, passou a adquirir ventres puros e de colorações claras de outros criatórios, já que estas colorações estavam praticamente extintas no rebanho da família. Arthur, que é a sexta geração da família, divide o tempo entre a

Estância Velha e outra propriedade em Dom Pedrito, onde já não há mais produção de ovinos. Defende que a ovinocultura mudou, devido a desvalorização da lã, ao aumento de predadores como javali e sorro, e a valorização do cordeiro. Vê na ovelha Crioula a melhor alternativa, levando em consideração sua rusticidade, o que acarreta em um menor custo de produção e menor necessidade de manejo. Salienta que a prolificidade da ovelha crioula é incomparável às outras raças, pois com alimentação e manejos adequados é capaz de ter duas produções ao ano, e a habilidade materna é algo surpreendente. Arthur expõe as fêmeas a reprodução duas vezes ao ano. Conta que no último ano obteve

uma taxa de desmame de 170% levando em consideração as duas produções.

Uma prática adotada desde 2019 tem sido a esquila pré parto, manejo que ajudou muito a obter os resultados citados, afinal, devido a esquila pré parto, os ventres acabam se alimentando mais ao terço final da gestação, proporcionando maior peso ao nascer e maior taxa de sobrevivência dos cordeiros.

O rebanho é utilizado em alguns momentos como

ferramenta no combate a espécies indesejadas após as roçadas e também no controle da infestação de carrapato através da rotação nos potreiros diferidos, rodando sempre na frente dos bovinos e atrasando em parte o ciclo do parasita. O rebanho permanece exclusivamente sobre campo nativo beneficiando-se sempre da suplementação fornecida aos bovinos, com exceção dos reprodutores e animais pra consumo que passam pelas pastagens de inverno.

Artes

POR MANOELA PIETTA LORENZI @MANOARTELIE

Ilustração

Aquarela sobre papel

HoneyBee A6 148x105mm

M. P. Lorenzi. Carlos Barbosa. 2024.

POR CLÁUDIO GUERRA

PAELLA DE CORDEIRO

Presunto Cru Ovino

A ovelha Crioula oferece diversos produtos, como lã, couro, carne e artesanato, todos já com mercado estabelecido.

Acredito que o ovinocultor deve buscar um diferencial em sua produção. Desde que adquiri as matrizes crioulas com o Sr. Luciano Ramos de Souza (Cabanha Provinciano, Viamão, RS), sempre tive o desejo de explorar todos os benefícios que esse animal pode oferecer.

Em uma oportunidade na Expointer, conheci o Sr. Gilson

Moreira (Cabanha Sobrado Branco, Canguçu, RS), e ao conversarmos sobre as ovelhas

Crioulas, me convidou para participar do grupo ‘Família ABCOC’ no WhatsApp. A partir daquele momento comecei a aprender a lidar com ovelhas, pois nunca havia criado antes. Já tínhamos alguma experiência com a produção de copa, uma receita dos " nonos " , mas a carne usada era suína.

A história do presunto cru ovino (artesanal) é simplesmente a união da vontade com a persistência.

Esse foi o principal motivo para tentar fazer copa, ou presunto cru, de ovinos. Fiz diversas tentativas de produzir essa iguaria, inicialmente, sem sucesso. Em uma ocasião, o Sr. Gilson também estava se dedicando à árdua tarefa de produção, mas sem êxito.

O tempo passou e, em 2023, após muita persistência e pesquisa, consegui obter o primeiro sucesso na produção de presunto ovino, apesar da escassez de material disponível sobre o assunto.

Por maior que seja a dificuldade de perseguir um sonho, a alegria de vê-lo realizado é muito maior.

Tempo e paciência são fundamentais, pois a fabricação do presunto envolve várias etapas. Sem mais delongas, vamos à receita do presunto cru ovino. Lembro que, nesta última produção bemsucedida, a carne veio de um ovino com mais de 3 anos. Acredito que a carne deve ser mais "madura" (anteriormente, sempre utilizei carne de borrego de um ano) para aumentar as chances de sucesso.

Boa Sorte!

Parte 1

1 kg de carne (parte do pernil) sem osso

1 grama de salitre (nitrito de sódio)

4 kg de sal grosso

Após abater a ovelha (preferencialmente no inverno), retire uma porção de carne e faça uma limpeza, removendo nervos e o excesso de gordura, tomando cuidado para não perfurar a peça.

Ingredientes e modo de preparo:

Em seguida, faça a cura da carne. Aplique o salitre (nitrito de sódio) e deixe descansar na geladeira por 5 horas. Depois, faça a imersão total da carne no sal grosso, em um recipiente com estrado no fundo para reter os líquidos. Massageie a carne a cada 12 horas, drene os líquidos e volte a imergi-la no sal. Repita esse processo por 2 dias.

Parte 2

1 grama de pimenta preta

1 grama de pimenta branca

1 grama de páprica picante

1 grama de Nós moscada

2 gramas de açúcar

2 folhas de louro (picado)

Canela, cravo (picado) à gosto

1 pitada de sal fino

Retire a peça da geladeira e lave com água fria (preferencialmente fervida). Em seguida, lave-a com vinho tinto seco e seque com papel toalha.

Misture os ingredientes e tempere a carne, massageando bem toda a peça. Coloque-a em uma sacola plástica e armazene na geladeira, massageando a peça duas vezes ao dia por dois dias.

Parte 3

1 rolo de barbante

Folha de colágeno, ou tripa bovina ou similar

Deixe a folha de colágeno na água morna com um pouquinho de vinho para se hidratar ( uma hora). Após, enrole, ensaque a carne completamente e amarre com barbante, dando voltas ao redor, bem apertado, deixando um laço para

Pesar a peça e pendurar em local fresco (entre 10 a 20 graus) e úmido ( 75 a 90% de umidade ) e protegido contra insetos . dependurar posteriormente; certifique-se de que não fique bolhas de ar, fure com espinho de limoeiro muitas vezes para garantir a saída do ar. Coloque na geladeira, pendurado, por 3 dias para secar.

Parte 4

Deixe maturar até que perca 40% do peso inicial (entre 2 e 4 meses). Finalmente, é só saborear!

COLABORARAM

NA EDIÇÃO:

Jose Carlos Ferrugem Moraes

Embrapa Pecuária Sul jose.ferrugem-moraes@embrapa.br

Carlos Augusto Stein Trierweiler

Cabanha Sanga do Areal @sangadoareal

Clarissa Pereira Gonçalves

Estância São Luiz @estancia.saoluiz

Amilcar Jardim Matos

Cabanha Dom Levino @cabanha dom levino

Arthur Fernandes

Estância Velha @arthurfprimo

Manoela Pietta Lorenzi

Manô Arteliê @manoartelie

Claudio Guerra

Estância Dom Cláudio (54) 8403-0578

Gislene Lopes Gonçalves

Cabanha Sobrado Branco sobrado.books@gmail.com

Anuidade (2024): 250,00 PIX: 04689820/0001-93

Enviar comprovante para: Joemir Gonçalves WhatsApp (51) 99802-1216

Turn static files into dynamic content formats.

Create a flipbook
Boletim ABCOC 2024_2 by SobradoBranco - Issuu