
MEJORAMIENTO DE LAS PROPIEDADES GEOTÉCNICAS DE JALES MINEROS MEDIANTE LA ADICIÓN DE ÓXIDO DE CALCIO
MÓDULOS DE RESILIENCIA DE SUELOS NATURALES Y ESTABILIZADOS CON CAL
![]()

MEJORAMIENTO DE LAS PROPIEDADES GEOTÉCNICAS DE JALES MINEROS MEDIANTE LA ADICIÓN DE ÓXIDO DE CALCIO
MÓDULOS DE RESILIENCIA DE SUELOS NATURALES Y ESTABILIZADOS CON CAL
flexibilidad y resistencia para tus proyectos hidráulicos.
Diseñadas para trabajar en condiciones extremas, las Geobags y Geobox de tecnología y eficiencia constructiva, la mejor opción para proteger márgenes de ríos, canales, taludes o zonas costeras.
Con un sistema liviano, adaptable y de alta durabilidad, obtendrás:


Alta resistencia mecánica y durabilidad.
Solución sostenible con materiales in situ.
Reducción de tiempos y costos de instalación.
Perfectas para obras en zonas de difícil acceso.
Escanea el QR para recibir asesoría personalizada.
Amanco Wavin Geosintéticos MX
Mesa directiva 2025-2026
Presidente
Miguel Ángel Mánica Malcom
Vicepresidente
Francisco Alonso Flores López
Secretaria
Yoleida del Valle Suárez Arellano
Tesorero
Daniel Martínez Oviedo
Vocales
Alonso Gabriel Lira Álvarez
Miguel Gallardo Contreras
Alexandra Ossa López
Eliza Alejandra Rios Villarreal
David Enrique Febres Sánchez
Gerente
Brenda Aguilar Silis
Delegaciones regionales
Baja California
Michoacán
Occidente
Puebla
Querétaro
Sureste
Tabasco
Veracruz
Representaciones
Ciudad Juárez
Síguenos en
@smiggeotecnia
Sociedad Mexicana de Ingeniería Geotécnica
inggeotec

esde hace varias décadas se ha impulsado a los jóvenes a incrementar su participación en la toma de decisiones, de manera formal o informal. Si bien la colaboración ha crecido, incluso en la misma Sociedad Mexicana de Ingeniería Geotécnica, persiste un estigma hacia el sector juvenil. Sin embargo, es fundamental involucrar a la siguiente generación de ingenieros geotécnicos. No es extraño que esta iniciativa haya sido replicada en otras sociedades internacionales a través de grupos de jóvenes o de reconocimientos a su labor. Aunque la denominación “joven” pueda ser ambigua y subjetiva, en nuestro contexto se refiere a profesionales, estudiantes e investigadores menores de cuarenta años.
En relación con este sector, me parece importante destacar el papel de los capítulos estudiantiles dentro de nuestra sociedad profesional. Estas agrupaciones han sido un canal fundamental para implementar una red de alianzas entre miembros y, a la vez, un espacio que permite el libre intercambio de ideas, además de facilitar la comunicación entre jóvenes e ingenieros más experimentados, que incluso fungen como mentores. Dentro de la SMIG los estudiantes deben decidir por sí mismos, desarrollar pensamiento crítico, tomar roles y responsabilidades. Asimismo, difundir el conocimiento y elegir cómo hacerlo, determinando objetivos, todo ello animados por la disciplina que nos une a todos: la geotecnia.
Los jóvenes difieren de los adultos en cómo resolver problemas, comportarse y tomar decisiones. Esta especificidad ha creado una sinergia que aporta perspectivas frescas, enriquece el discurso y, gracias a la retroalimentación continua, tanto ingenieros como estudiantes han adquirido habilidades complementarias. El voluntariado que realizan los estudiantes al formar parte de los capítulos ha propiciado la colectividad y organización en comunidad. Espacios como el Coloquio de Jóvenes Geotecnistas reflejan esto y generan una primera experiencia en la preparación de un texto técnico y la exposición oral ante sus iguales. Es una oportunidad que se debe aprovechar como plataforma con el fin de animar a los jóvenes profesionales para presentar sus trabajos en foros internacionales.
Eliza Alejandra Rios Villarreal
Vocal de la mesa directiva 2025-2026
Geotecnia, año 15, núm. 279, marzo - mayo 2026, es una publicación trimestral editada por la Sociedad Mexicana de Ingeniería Geotécnica, A. C. Valle de Bravo 19, colonia Vergel de Coyoacán, alcaldía Tlalpan, CP 14340, teléfono (55) 5677 3730 · www.smig.org.mx. Editor responsable: Carlos Roberto Torres Álvarez. Reserva de Derechos al Uso Exclusivo núm. 04-2017-060819470900-102. ISSN: 2594-1542, ambos otorgados por el Instituto Nacional de Derecho de Autor. Licitud de título y contenido 17156, otorgado por la Comisión Calificadora de Publicaciones y Revistas Ilustradas de la Secretaría de Gobernación. Impresa por Copiasgráficas S.A. de C.V, Tochtli 136, Pedregal de Santo Domingo, Coyoacán, CDMX, México. Este número se terminó de imprimir el 27 de febrero de 2026, con un tiraje de 120 ejemplares.
Geotecnia está abierta a las colaboraciones de los profesionales vinculados a la especialidad. De igual forma se invita a presentar artículos que permitan inaugurar una nueva sección en la que se haga prospectiva o se aborden casos insólitos en el ejercicio de la especialidad. Para proponer trabajos debe escribir a norma@xantus.com.mx y será informado de los requisitos para el envío de materiales. Los textos se pondrán a consideración del Consejo Editorial para su publicación.
CONVERSANDO CON…
«La universidad me ha dado todo. Realmente, no lo veo como un trabajo; es algo que me llena».
Rigoberto Rivera Constantino

SEMBLANZA
Un legado que trasciende generaciones en la geotecnia. Shamsher Prakash†
Ingeniero con vocación de servicio: Raúl López Bretón†
El profesor Kenji Ishihara y la Ingeniería Sísmica Geotécnica. Kenji Ishihara†
ARTÍCULO TÉCNICO
ARTÍCULO TÉCNICO
Módulos de resiliencia de suelos naturales y estabilizados con cal.
Natalia Pérez García
Carlos Daniel Martínez Martínez
Francisco Javier Castañeda 13
Portada
Mejoramiento de las propiedades geotécnicas de jales mineros mediante la adición de óxido de calcio.
Miriam Rodríguez Rodríguez
Mario Edgar Amaya Navarrete
Eduardo Botero Jaramillo
FOTOGRAFÍA: EDUARDO BOTERO JARAMILLO. DEPÓSITO DE JALES, SONORA, MÉXICO. 3
TECNOLOGÍA E INNOVACIÓN
La tecnología VSM en el hincado mecanizado con lumbreras para aplicaciones urbanas.
Stefan Frey
Julian Binder
ÁMBITO ACADÉMICO
Cómo se analiza un plan de estudios.
Margarita Puebla Cadena Agustín Demeneghi Colina
LA GEOTECNIA EN LA HISTORIA
La cimentación del Palacio de los Deportes en la CDMX.
Walter I. Paniagua Zavala
Dirección General
Miguel Ángel Mánica Malcom
Dirección Ejecutiva
Natalia del Pilar Parra Piedrahita
Consejo Editorial
Juan de Dios Alemán Velásquez
Gabriel Yves Armand Auvinet Guichard
Roberto Avelar Cajiga
Jorge E. Castilla Camacho
Yoleida del Valle Suárez Arellano
Francisco Alonso Flores López
Moisés Juárez Camarena
Germán López Rincón
Raúl López Roldán
Miguel Ángel Mánica Malcom
Daniel Martínez Oviedo
Héctor Moreno Alfaro
Rodrigo Murillo Fernández
Ricardo Enrique Ortiz Hermosillo
Alexandra Ossa López
Walter Iván Paniagua Zavala
Margarita Puebla Cadena
Luis Bernardo Rodríguez González
Juan Jacobo Schmitter M. del C.
Carlos Roberto Torres Álvarez
Carlos Omar Vargas Moreno
Comercialización
Brenda Aguilar Silis
comunicación y diseño www.xantus.com.mx Edición y Diseño

PORTADA: Mejoramiento de las propiedades geotécnicas de jales mineros mediante la adición de óxido de calcio.
Copygraphic www.copygraphic.com.mx

Rigoberto Rivera Constantino
Ingeniero Civil Universidad Nacional Autónoma de México
«La universidad me ha dado todo. Realmente, no lo veo como un trabajo; es algo que me llena».
El doctor Rigoberto Rivera es Ingeniero Civil por la UNAM (generación 19731977) con doctorado en Mecánica de Suelos por l’École Centrale de Arts et Manufactures, de París. Ha forjado una carrera que fusiona docencia, investigación y práctica profesional a gran escala, creando puentes efectivos entre la teoría y la aplicación en el mundo real. En él convergen las múltiples dimensiones de un ingeniero que ha sabido integrarlas con convicción y pasión. Su labor como formador de profesionales le valió el Premio Nacional Mariano Hernández Barrenechea a la Docencia, en 2015, labor educativa que ha impartido no solo en México, sino como profesor visitante en países de América, Europa y Asia. Desde 1979 es profesor de tiempo completo en la División de Ingenierías Civil y Geomática de la Facultad de Ingeniería de la UNAM, donde ha formado a generaciones enteras de ingenieros a través de cátedras clave como Mecánica de Suelos, Cimentaciones y Dinámica de Suelos, además de dirigir 71 tesis de licenciatura y posgrado. Su función académica se evidencia como relevante con una producción científica destacada: más de 70 artículos en revistas y eventos nacionales e internacionales de la especialidad.

En Ciudad Madero, Tamaulipas, junto a su hermano mayor, Quintín Rivera, ingeniero eléctrico egresado del Instituto Tecnológico de Ciudad Madero (quien falleció en 2023). En la imagen tenían aproximadamente ocho y siete años.
De Ozuluama a Ciudad de México para ser ingeniero
Entró al mundo de la ingeniería cuando vivía en Ciudad de México. Nació en Ozuluama de Mascareñas, un pueblo al norte de Veracruz. Cuando tenía 6 años su familia se mudó a Ciudad Madero, en el estado de Tamaulipas.
«Crecí con un hermano, mi hermano mayor, Quintín Rivera. Luego, nos vinimos a vivir a la Ciudad de México. Acá terminamos la primaria, la secundaria y siempre juntos, no en el mismo salón, pero sí en las mismas escuelas. Soy ya bastante chilango, porque desde que tenía los 11 años vivimos en la Ciudad de México y toda mi vida la he hecho acá».
«Tenía cierta facilidad por las matemáticas, y tuve un profesor de esa disciplina en la preparatoria, él era ingeniero civil y yo lo admiraba mucho».

Ozuluama de Mascareñas, al norte de Veracruz (Huasteca Veracruzana), en donde nació el 4 de enero de 1954.

Aparece junto a su hermano mayor, el Ing. Quintín Rivera, jubilado de PEMEX. La fotografía fue tomada en la casa de su madre, en Ciudad Madero, Tamaulipas.
Para ingresar a la prepa, los dos hermanos presentan el examen de admisión y él se encuentra con una enorme sorpresa: «Aunque todo lo hacíamos juntos, aceptan nada más a mi hermano y a mí no me aceptan. Eso fue algo que marcó mi vida en la visión sobre la sociedad. Surgían los movimientos sociales del 68. La preparatoria donde yo me metí para no perder el tiempo, fue una de las preparatorias populares que nacieron de los movimientos estudiantiles. Era mi época de joven revolucionario, así de plano».
Y sobre su vida personal, complementa: «Tengo tres hijos. La mayor es Mariana, luego sigue Melissa y el más joven es Israel. Enviudé hace más de 20 años y me volví a casar. Mi esposa Martha Argumedo tiene sus hijos (Antonio y Rodrigo), y yo tengo los míos, por lo que decidimos no tener más hijos y estamos contentos así».
La ingeniería y la geotecnia: decisiones de inspiración
Las razones por las cuales Rigoberto Rivera se decidió a estudiar ingeniería, las señala de modo muy sincero:
«Yo tenía cierta facilidad por las matemáticas, y tuve un profesor de esa disciplina en la preparatoria, él era ingeniero civil y yo lo admiraba mucho. Pensé: yo quiero ser como él. Y fue por eso que me metí a la ingeniería civil. Afortunadamente no me equivoqué. Fue casi por pura inspiración».
Llegó el momento en el cual, dentro de las diferentes áreas de la ingeniería civil, debía elegir: «Me gustaban las estructuras, pero tuve un profesor en Cimentaciones que, junto con su hermano, es conocido en nuestra sociedad: el ingeniero José Springall, hermano del ingeniero Guillermo Springall, quien fue presidente de la SMIG. José daba Cimentaciones en la Facultad de Ingeniería. Somos paisanos. Yo también soy de Veracruz, le comentaba, y eso le caía muy bien. Entonces hice cierta amistad con él. De hecho, la tesis de licenciatura fue sobre temas de geotecnia. Me empiezo a dedicar un poquito a la geotecnia, si bien cuando comienzo a trabajar —yo termino la carrera en el 78— tomé una materia de Estructuras de Concreto con el profesor Francisco Moreno, que después me invitó a irme con él a trabajar, lo que en esa época era Fertilizantes Mexicanos (Fertimex); y estuve como año y medio en esa empresa. Ahí empecé,
haciendo un poco de estructuras. Pero siempre tuve, al menos en mente, regresar a hacer estudios de maestría a la Facultad de Ingeniería. El ingeniero Francisco Zamora —quien fue mi director de tesis de licenciatura y que sabía de mis inquietudes de estudiar una maestría— era el jefe de departamento de Geotecnia de la Facultad de Ingeniería en esa época. Un día me habló y me dijo que ya tenía medio tiempo para mí, que con eso podía vivir. Le dije que sí, pues estaba soltero. Entonces, renuncié a Fertimex y regresé a la Facultad y, prácticamente, ya toda la vida fue Facultad de Ingeniería».
Doctorado en el extranjero: una capacitación con perspectiva comprometida
Consecuente con su vocación quiso seguir aprendiendo sobre mecánica de suelos. Se publica una convocatoria para un doctorado a la cual aplica con otros profesores del área de Estructuras, de la UNAM, aprobando una serie de exámenes, entre ellos el del Conacyt, y realizando cursos intensivos de francés en el IFAL. «Decidí ir a hacer estudios de doctorado a Francia, fue una gran experiencia. El tema de mi tesis doctoral fue el comportamiento dinámico de suelos. Mi trabajo doctoral fue experimental, empleando una columna resonante y una cámara triaxial cíclica, equipos con los cuales estudié el comportamiento dinámico de los suelos en pequeñas deformaciones. Estoy muy involucrado con laboratorio y siempre he considerado que el laboratorio es fundamental: da mucha sensibilidad a los ingenieros que nos dedicamos al diseño. Debemos estar conscientes de que toda esa información que se genera en un laboratorio y en campo, hay que saber interpretarla correctamente para poder decidir, pues es el sustento de los modelos de comportamiento y de diseño que tenemos».
El regreso de Francia: la UNAM como eje profesional
«Cuando regreso de Francia, a finales de 1988 —precisa con sentido histórico—, el país se encontraba en una enorme crisis económica. No había plazas en la UNAM para que me volvieran a contratar. Entonces, estuve desempleado como seis meses. Busqué en otras instituciones para poder laborar. Recuerdo que lo hice en el Instituto Mexicano del Transporte, también en el Instituto de Investigaciones Eléctricas».


El día de su examen para obtener el título de doctor en ingeniería, en la Escuela Central de París, el 22 de septiembre de 1988. De izquierda a derecha: Christopher, Khalil (alumno de doctorado), Rigoberto Rivera y su hija mayor, Mariana de 6 años.

Rigoberto Rivera impartiendo una clase en el laboratorio de Geotecnia de la Facultad de Ingeniería, con alumnos de licenciatura.
Y es concluyente sobre lo que ha significado la UNAM para él:
«La universidad me ha dado todo, ya tengo 45 años en ella. Son bastantes generaciones las que han pasado. Estoy en un lugar donde hago lo que me gusta, disfruto este trabajo con mis estudiantes. Realmente, no lo veo como un trabajo; es algo que me llena y que me da mucha satisfacción».
El estudio de suelos, un reto permanente en México
Su visión profesional, contextualizada en nuestro país, queda muy clara cuando señala:
«En México, hay muchas áreas que se están desarrollando ya desde algunos años, pero creo que en otras nos hemos tardado en formar
«Decidí ir a hacer estudios de doctorado a Francia, Fue una gran experiencia. El tema de mi tesis doctoral fue el Comportamiento Dinámico de Suelos. Mi trabajo doctoral fue experimental, empleando una columna resonante y una cámara triaxial cíclica, equipos con los cuales estudié el comportamiento dinámico de los suelos en pequeñas deformaciones».

Clases en el posgrado en Ingeniería con los alumnos de la maestría en Geotecnia y el Dr. Eulalio Juárez Badillo.

grupos de trabajo y líneas de investigación, por ejemplo, sobre la problemática que generan los depósitos mineros. Me tocó participar con el comité que organizó el Primer Congreso Internacional sobre Depósitos Mineros, en la ciudad de Chihuahua. Es un problema que ya se está investigando a nivel mundial y creo que en México tenemos ciertos atrasos.
Entender el comportamiento de los suelos parcialmente saturados es fundamental, si tomamos en cuenta que el 80 % de los suelos de nuestro país no están saturados. Considero que en el posgrado de Ingeniería es un tema que tenemos que abordar de manera formal, para no quedar rezagados».
Y analiza con objetividad lo que es un reto esencial: «Seguimos teniendo fallas de cimentaciones cuando hay sismos de magnitudes importantes, y nos damos cuenta de que todavía existen muchas cosas que necesitamos estudiar con mayor profundidad».
Una trayectoria con proyectos destacados, sin olvidar la esencia profesional
El Dr. Rivera mira más allá de sus proyectos emblemáticos, para destacar lo que considera esencial:
«He tratado de mantener un contacto estrecho con la práctica profesional, pues considero que esa actividad retroalimenta mi vida académica y me ayuda a identificar los verdaderos problemas que enfrenta un país como el nuestro. Estuve dos años de estancia sabática en la Comisión Federal de Electricidad, en la Coordinación de Proyectos Hidroeléctricos, bajo la dirección del Dr. Humberto Marengo, y me tocó vivir el proyecto de la Presa Hidroeléctrica la Yesca durante cinco años, prácticamente desde la construcción de los dos túneles de desvío hasta su puesta en marcha. Otro proyecto en el que también tuve oportunidad de ser asesor fue el AIFA (Aeropuerto Internacional Felipe Ángeles), una obra emblemática que sigue generando diversas opiniones. Igualmente, donde tuve participación —pero mínima, por los tiempos tan apretados del proyecto para su culminación— fue en el Tren Maya».
Investigar para la práctica profesional: pasión unida a la docencia
Entre las prioridades que el doctor Rivera asoma en el área de la investigación está la determinación
de propiedades dinámicas de suelos. Por ello destaca:
«Ahorita, estamos trabajando con el Instituto de Ingeniería en un proyecto conjunto donde se diseñaron dos cámaras traxiales cíclicas que tienen la finalidad de estudiar el comportamiento dinámico de los suelos, en particular las arcillas blandas de la CDMX. Vamos a estudiar también residuos mineros “jales” y las arenas, sobre todo en condiciones no saturadas. Para ello, se tiene previsto implementar un tensiómetro al centro de las probetas para poder medir la succión durante la aplicación del esfuerzo desviador cíclico vertical y horizontal.
Toda mi vida he estado ligado con lo que es la ingeniería de las cimentaciones. Nos dicen: Ustedes son de la línea de investigación del doctor Leonardo Zeevaert y del Dr. Eulalio Juárez. Ambos académicos fueron mis maestros en el posgrado de Ingeniería y han dejado una profunda huella en mi formación profesional y académica en el área de la geotecnia.
Cuando estuve en Comisión Federal me tocó ser parte del Comité Revisor de Manuales de Diseño de obras civiles, en el área de Geotecnia, algunos que necesitaban una actualización profunda y otros de nueva creación, pues la CFE es la que tiene la encomienda de generar, revisar y actualizar dichos manuales. Fui revisor de muchos de ellos, todos orientados a la práctica profesional. Entonces, creo que lo que hago está encaminado a eso. Es la parte que más me interesa, que realmente la gente pueda utilizar lo que los académicos desarrollamos en nuestras instituciones; que no sea algo que estamos guardando para beneficio personal…».
Trabajar para ser felices
Hacia quienes constituyen las generaciones de relevo tiene un mensaje concerniente a la elección de la carrera profesional, lo cual ha sido un motivo de plática con sus hijos: «¿Qué carrera quieres elegir? Antes había dos ingredientes a tomar en cuenta; pero creo que ahora hay un tercero y no hay que pasarlo por alto. Primero, debes tener vocación, vocación por lo que uno quiere hacer; segundo, cierta facilidad y destreza hacia ello: quiero ser ingeniero, pero no me gustan las matemáticas, la física. Bueno, por ahí no es lo tuyo. Y lo que yo le agregué fue: Recuerden que tienen que comer de eso, es la ley de la vida. Pero lo más importante: disfrutar a plenitud de lo que hagan».
«Estoy en un lugar donde hago lo que me gusta, disfruto este trabajo con mis estudiantes, me da mucha satisfacción».
A la par, comparte su actual filosofía sobre la vida: «Vivir el presente, que es lo único que tenemos y ahora sí, estoy convencido, en esta etapa, de que vinimos a esta vida a ser felices, y tenemos que trabajar para eso, para ser felices. Nada más».
Y como complemento, enfatiza en lo que significa la etapa de la infancia para la vida:
«Creo que la niñez marca bastante. Dicen los psicólogos que la infancia es destino, pero no sé hasta qué punto sea cierto. Tanto mi hermano Quintín como yo fuimos criados por mi bisabuela, Luisa Saldaña, mujer de rancho, sin estudios, que cuando se hizo cargo de nosotros tenía 70 años, y con ella vivimos 11 años, pues murió a los 81.

De izquierda a derecha: sus hijas Mariana (bióloga) y Melissa (psicóloga), su esposa Martha (empresaria), Rigoberto Rivera y su hijo Israel (ingeniero industrial y piloto comercial).

En Cuernavaca, durante la celebración del 92 aniversario del Dr. Eulalio Juárez Badillo, su maestro, colega y amigo.

Con el Dr. Leonardo Zeevaert, su maestro, en sus oficinas de Isabel la Católica, en la Ciudad de México, en 1999.
A ella le tocó vivir la Revolución mexicana y enviudar muy joven. Creo que todo eso fue algo muy complicado y seguramente dejó enormes huellas en su vida. Esas enseñanzas que recibimos de ella, a través de fabulas, marcaron mi vida». Es de necesaria justeza destacar que, a lo largo de su trayectoria, el doctor Rigoberto Rivera Constantino ha ocupado roles de liderazgo institucional en la UNAM y es una voz influyente en asociaciones geotécnicas de México y la región, así como en foros internacionales. Su enfoque integrador

50o aniversario de la SMIG, 2007. De izquierda a derecha: el presidente de la Sociedad Internacional de Mecanica de Suelos e Ingenieria Geotecnica (ISSMGE), Pedro Seco e Pinto, Rigoberto Rivera, presidente de la SMIG en esa época, y el vicepresidente por América del Norte, John Seychuck.
—enseñanza rigurosa, investigación aplicada y servicio a la industria— lo convierte en un referente para ingenieros que buscan comprender, desde la teoría hacia su práctica profesional, el impacto real de la geotecnia en infraestructuras complejas y seguras.
Sistema de anclaje autoperforante
– Sistema de una sola etapa donde se perfora e instala a la vez
– Se puede extender la longitud del anclaje mediante coples
– Su barra hueca permite la inyección de lechada o resina
Perno Omega Bolt®
– Rapidez en la instalación obteniendo ciclos de fortificación más cortos y condiciones de trabajo más seguras
– Se ajusta a perforaciones irregulares
Sistemas de tubos paraguas
– Avances en terreno blando o fracturado
– Instalación mecanizada y segura
– Tecnología eficiente de instalación autoperforante
Resinas inyectables
– Inyección de Anclajes
– Sellado de Flujos de Agua y Gases
– Consolidación de Terrenos
– Relleno de Cavidades
Marcos metálicos
– Marcos Viga (HEB, HN y TH)
– Marcos Reticulares
– Marcos tipo Pantex





La comunidad internacional de la ingeniería geotécnica perdió en diciembre a uno de sus grandes pilares: el profesor Shamsher Prakash, quien falleció en la India dejando tras de sí un legado que seguirá iluminando a generaciones de ingenieros y académicos.
Durante más de cuatro décadas, el profesor Prakash enseñó e investigó en la Universidad de Ciencia y Tecnología de Missouri, donde alcanzó el título de profesor emérito. Su influencia fue tal que la American Society of Civil Engineers lo nombró Miembro Distinguido en 2011 y estableció en su honor el Premio y Conferencia Shamsher Prakash, que cada año reconoce a jóvenes ingenieros geotécnicos con talento y visión.
Su trayectoria académica estuvo marcada por distinciones de gran prestigio: Alumno Distinguido de la Universidad de Illinois en Urbana-Champaign, donde obtuvo su doctorado, y del IIT Roorkee, donde inició su carrera; además de ser nombrado Miembro Honorario de la Sociedad India de Tecnología de Sismos.
Autor y coautor de cuatro libros fundamentales —Dinámica de suelos, Cimentaciones de maquinaria, Cimentaciones con pilotes en la ingeniería práctica (junto a H.D. Sharma) y Fundamentos de mecánica de suelos—, así como de más de 300 artículos técnicos, el profesor Prakash dejó una obra que constituye referencia obligada en la disciplina. Su visión trascendió las publicaciones: fue fundador de congresos internacionales que marcaron hitos, como el International Conference on Recent Advances in Geotechnical Earthquake Engineering and Soil Dynamics y el International Conference on Case Histories in Geotechnical Engineering. Consciente de la importancia de impulsar a las nuevas generaciones, estableció la Fundación Shamsher Prakash, que otorga premios a la excelencia en investigación y práctica profesional, siempre con el foco en ingenieros e investigadores jóvenes.

Pero más allá de los reconocimientos y logros, quienes lo conocieron destacan su vocación docente. Prakash no solo transmitía conocimiento: despertaba curiosidad, cultivaba pensamiento crítico y convertía sus clases en espacios de reflexión profunda. Sus estudiantes lo recuerdan como un mentor paciente y firme, capaz de ver el potencial en cada persona incluso antes de que esa persona lo reconociera en sí misma.
Entre colegas, su nombre fue sinónimo de integridad y generosidad intelectual. Participaba con entusiasmo en proyectos y debates, siempre con respeto y apertura, convencido de que la educación es una responsabilidad con el futuro.
Su vida también estuvo marcada por la búsqueda del equilibrio interior: fue practicante y maestro de yoga y pranayam, sobre los cuales escribió libros que promueven la salud y el bienestar.
El profesor Shamsher Prakash deja un legado que armoniza ciencia, ética y humanidad. Su ejemplo inspira a quienes hoy construyen el futuro de la geotecnia, recordándonos que la verdadera grandeza no está solo en los logros técnicos, sino en la capacidad de formar personas y comunidades.
Que descanse en paz, y que su obra siga guiando a quienes buscan excelencia con propósito.
Semblanza realizada por José Luis Chávez y Walter Paniagua Zavala
El ingeniero López Bretón fue un hombre que convirtió la mecánica de suelos en su lenguaje. Se distinguió por su compromiso con la excelencia profesional, la ética en la práctica y la formación de nuevas generaciones de ingenieros.
Nació en Puebla (Puebla) el 29 de julio de 1938. En la misma ciudad, luego de 87 años, falleció el 9 de septiembre de 2025. Raúl López Bretón fue ingeniero civil por la Universidad Autónoma de Puebla (generación 1958-1962) y maestro en ingeniería por la UNAM, donde se especializó en Mecánica de Suelos. Sus primeros pasos como investigador en el Instituto de Ingeniería de la UNAM marcaron el inicio de una trayectoria que nunca se detuvo: siempre con la curiosidad de quien busca entender lo invisible bajo nuestros pies.
Su vocación académica lo llevó a ser catedrático de tiempo completo en la Universidad Autónoma de Puebla, donde durante más de dos décadas enseñó Geología Aplicada y Mecánica de Suelos de 1964 a 1989. No solo impartió clases; también asumió responsabilidades como consejero universitario, coordinador académico, coordinador administrativo y, finalmente, director, todas ellas funciones en la Escuela de Ingeniería Civil. En cada cargo dejó huella, convencido de que la enseñanza es la mejor cimentación para cualquier obra. En el ámbito profesional, su legado es monumental. Participó en la planeación, diseño y supervisión de proyectos de infraestructura en distintas regiones del país, con más de 1.000 estudios de mecánica de suelos que dieron soporte a hoteles, edificios y obras emblemáticas de Puebla. Desde 1995, al frente de Rocca Consultores, impulsó proyectos de cimentaciones profundas, muros de contención, puentes, parques industriales y refinerías, siempre con un enfoque ético y sostenible. Junto con Gabriel Auvinet, realizó la primera caracterización geotécnica del Valle de Puebla, aportando más de 250 estudios que se convirtieron en referencia para futuras generaciones.
Su compromiso trascendió la obra construida: impartió cursos, conferencias y asesorías, convencido de que la ingeniería no solo transforma el entorno físico, sino también la vida de las personas. Fue miembro activo de sociedades técnicas y recibió reconocimientos como «Pionero de la Mecánica de Suelos en Puebla” (2004) y por su “Distinguida Trayectoria a favor de la Enseñanza de la Ingeniería Geotécnica” (2008),


De izquierda a derecha: Enrique Santoyo Villa, Raúl López Bretón y Juan Jacobo Schmitter Martín del Campo.

Raúl López Bretón (segundo de derecha a izquierda), con ingenieros geotécnicos colegas, durante un evento en la ciudad de Puebla.
durante la XXIV Reunión Nacional de Mecánica de Suelos, en la ciudad de Aguascalientes
Quienes lo conocieron destacan su trato amable, su sencillez y su liderazgo colaborativo. Fuera del trabajo, cultivaba la lectura, la fotografía de paisajes y las actividades al aire libre, recordándonos que el equilibrio personal también es parte de la ingeniería de la vida.
Por José Genaro Azomoza Ponce.
Conocí al ingeniero López Bretón siendo estudiante de ingeniería civil. Raulito, como cariñosamente le decía desde que me dio la confianza de tutearlo, fue mi maestro de mecánica de suelos.
Su mirada y permanente sonrisa me dejaron saber que era un hombre bueno y cabal. Me honra la distinción de hablar de Raulito porque se trata de él, y porque el oficio que ejerzo desde hace 40 años es el mismo que el ejerció. Su cátedra diaria, que nunca abandonó, lo encumbró en la escuela de ingeniería como director.
A los ocho años comenzó a trabajar con su papá en la plomería y a los 23 inició sus estudios en ingeniería civil, profesión que le resultaba muy atractiva. Consiguió empleo en el despacho del ingeniero Antonio Osorio García, quien era el director de la escuela de ingeniería civil y maestro de la materia de concreto. Alternó su carrera con el trabajo del
El legado del Ing. Raúl López Bretón no se mide solo en las estructuras que ayudó a levantar, sino en la inspiración que deja en colegas y estudiantes. Su vida demuestra que la ingeniería, más que una profesión, es un acto de servicio sustentado en integridad, conocimiento y pasión por construir un país más seguro y sostenible.
despacho, y al terminar la licenciatura, comenzó a cursar una maestría en el Instituto de Ingeniería de la UNAM. El objetivo era obtener una preparación superior para dar clases en la universidad.
Su paso en el Instituto de Ingeniería estuvo lleno de vicisitudes y le representaba una constante cuesta arriba, sin embargo, su constancia y perseverancia lo hicieron salir avante. En el Instituto compartió conocimientos con maestros en mecánica de suelos como Emilio Rosenblueth, Daniel Reséndiz, Alfonso Rico Rodríguez, Enrique Tamez y Juan Jacobo Schmitter, entre otros. También le permitió coincidir con compañeros como Enrique Santoyo y Gabriel Auvinet, con este último cultivó una gran amistad y juntos realizaron el primer “mapa geológico” de la ciudad de Puebla en 1976.
Raulito superó grandes adversidades y siempre admiré su entereza para enfrentarlas. Fue hombre de grandes aficiones, entre ellas, la de los aeroplanos a control remoto y la de hacer las reparaciones de sus equipos de perforación.
Los hombres sólo mueren cuando no dejan un legado y Raulito dejó uno muy grande que todos recordaremos.
Kenji Ishihara† IR A TEXTO CORRIDO
El 26 de diciembre de 2025, en Tokio, Japón, la ingeniería geotécnica perdió a uno de sus más grandes referentes: el profesor Kenji Ishihara, quien partió a los 91 años de edad. Paradójicamente, pocos días antes de su fallecimiento había recibido la Medalla Internacional a la Trayectoria (ILAM) 2025, de la Sociedad Internacional de Mecánica de Suelos e Ingeniería Geotécnica (ISSMGE), un reconocimiento que selló en vida la magnitud de su legado. Nacido en Chiba, en 1934, Ishihara se formó íntegramente en la Universidad de Tokio, donde obtuvo su licenciatura en
1957, su maestría en 1959 y su doctorado en 1963. Su carrera temprana lo llevó a la Universidad de Illinois, en Urbana-Champaign, bajo la tutela del legendario Ralph B. Peck, experiencia que marcaría su visión internacional. En 1977 regresó a la Universidad de Tokio como profesor de Ingeniería Geotécnica, cargo que ejerció hasta su jubilación en 1995. Posteriormente, continuó su labor académica en la Universidad de Ciencias de Tokio y en la Universidad de Chuo, demostrando que su vocación docente no conocía retiro.
La obra del profesor Ishihara transformó la Ingeniería Sísmica Geotécnica. Sus investigaciones sobre el comportamiento cíclico del suelo, la licuación de depósitos arenosos y la estabilidad sísmica de taludes y estructuras térreas se convirtieron en referencias obligadas. Más de 300 artículos científicos dan cuenta de su incansable producción intelectual. Sin embargo, Ishihara no se limitó a la teoría. Su presencia fue decisiva en el campo, estudiando los efectos de terremotos en lugares tan diversos como Rumania, Yugoslavia, Chile, México, Ecuador, Armenia, Tayikistán, Filipinas e Irán. Su asesoría alcanzó proyectos de la UNESCO y del PNUD, contribuyendo a que la ingeniería geotécnica se consolidara como disciplina esencial para la seguridad y el desarrollo global. Su liderazgo institucional fue igualmente notable. Presidió la Sociedad Internacional de Mecánica de Suelos e Ingeniería de Cimentaciones (ISSMFE, hoy ISSMGE) y la Sociedad Geotécnica Japonesa (JGS). Además, fundó el Comité Técnico TC4 (hoy TC203) sobre Ingeniería Geotécnica Sísmica, que en su honor instauró la Conferencia Kenji Ishihara. Estos espacios siguen siendo pilares para la comunidad internacional. Los reconocimientos que recibió—entre ellos el Premio de la Academia Japonesa y su elección como Miembro Extranjero de la Academia Nacional de Ciencias de Estados Unidos— son testimonio de una trayectoria que trascendió fronteras. El fallecimiento del profesor Ishihara marca el cierre de una era, pero sus aportaciones continúan vivas. Su obra es piedra angular sobre la que se edificarán las futuras
Por Efraín Ovando Shelley.
Al profesor Ishihara lo traté personalmente, por primera vez, en Estambul. Un golpe de estado en Turquía hizo que el Séptimo Congreso Mundial de Ingeniería Sísmica de 1980 se interrumpiera y suspendiera. Ante esta situación, todos los asistentes tuvimos que buscar la manera de salir de Turquía, pues se encontraba en estado de sitio y, con ello, se había generado una gran incertidumbre, incomodidad, inseguridad, temor. ¡Era salir a donde se pudiera! Y a mí me tocó salir de Estambul a Roma, después de haber permanecido inevitablemente varios días en la capital turca, maravillosa ciudad en aquellos tiempos y en la actualidad. En el avión coincidí con el profesor Ishihara quien, al igual que yo, tenía que quedarse varios días en Roma. Juntos visitamos algunos sitios de esa otra magnífica ciudad. Durante aquella estancia conocí al profesor Kenji Ishihara: era un gentil y sabio caballero, sencillo, modesto, la otra faceta del que ya, entonces, era mundialmente reconocido como un gran geotecnista, pionero en varios campos por sus contribuciones al estudio del comportamiento de los materiales granulares y sus implicaciones en el fenómeno de licuación de arenas. Se le valoraba,

El profesor Ishihara durante la ceremonia ISSMGE ILAM en la Sociedad Geotécnica Japonesa (JGS), en Tokio, el 15 de diciembre de 2025. Crédito de la foto: Profesor Ikuo Towhata.
generaciones de ingenieros geotecnistas, quienes encontrarán en él no solo un maestro, sino un ejemplo de rigor, visión y compromiso con la humanidad.
de modo especial, por sus investigaciones en el campo de la dinámica de suelos, vertidas en gran cantidad de artículos técnicos que publicó, e igualmente por sus otros escritos y conferencias en diversos foros académicos.
En otra ocasión visitó México, a finales de la década de los años noventa. Entonces, tuve la oportunidad de refrendar mi admiración por el profesor Ishihara, por su sencillez, su humildad intelectual y, también, por su muy fino sentido del humor. Mis encuentros posteriores con el profesor Ishihara se dieron en congresos y conferencias, en diversos escenarios. En una última ocasión coincidimos en un avión. Conversamos un buen rato. Me comentó que organizaba una conferencia sobre el comportamiento dinámico de presas, la cual se llevaría a cabo en algún país del Medio Oriente. Me invitó a participar, pero, después de algún tiempo aquella conferencia hubo de suspenderse por problemas políticos en el país seleccionado. Luego de eso, intercambiamos algunos correos electrónicos. Posteriormente, ya no tuve la oportunidad de saludar personalmente al profesor Ishihara. Hoy me queda la satisfacción de haberlo conocido. Siento un significativo agradecimiento por sus enseñanzas y lamento la muy triste noticia de su fallecimiento.
Miriam Rodríguez Rodríguez Instituto de Ingeniería
Coordinación de Geotecnia
UNAM
Mario Edgar Amaya Navarrete
Instituto de Ingeniería
Coordinación
de Geotecnia
UNAM
Eduardo
Botero Jaramillo
Instituto de Ingeniería
Coordinación de Geotecnia
UNAM
Los trabajos experimentales fueron realizados en el Instituto de Ingeniería de la UNAM. Las pruebas químicas y mineralógicas en el Instituto de Geología de la UNAM, y las pruebas de morfología en el Laboratorio de Petrología y en el Instituto de Materiales de la UNAM. Los autores agradecen las aportaciones invaluables a esta investigación de la Dra. Teresa Pi Puig y de la Dra. Olivia Zamora Martínez.
La gestión y disposición de jales mineros constituye un desafío relevante en el ámbito de la ingeniería geotécnica y ambiental, particularmente en México, donde la minería de hierro genera volúmenes significativos de residuos. En este contexto, la presente investigación se orienta a la estabilización mecánica de dichos jales mediante la adición de óxido de calcio. El objetivo central fue determinar la cantidad considerada óptima de este aditivo, bajo la hipótesis de que su incorporación previa al bombeo hacia el depósito final contribuye a mejorar las condiciones de estabilidad del material. Los resultados obtenidos demostraron un cierto incremento en la resistencia, medida a través de la prueba de compresión simple y distintos periodos de curado. Se concluyó en el resultado de la afinidad que tiene el óxido de calcio con los minerales de arcilla contenidos en los jales estudiados, formando matrices cementantes similares a las generadas durante la hidratación del cemento Portland. La presencia de dicha matriz cementante en las mezclas se identificó mediante diferentes técnicas de estudio, físicas y químicas.
INTRODUCCIÓN
La generación de residuos mineros es de proporciones gigantescas y la mayoría de ellos quedan almacenados de manera permanente en los depósitos de jales. Solo una mínima
cantidad es reutilizada como material para la construcción de infraestructura, principalmente en las unidades mineras.
En las últimas décadas se han registrado tanto accidentes súbitos en algunos depósitos alrededor del mundo —provocando pérdidas humanas—, como daños importantes e irreversibles a las infraestructuras y al medioambiente. El comportamiento geotécnico suele presentar complejidades debido a la forma de depositación con altos contenidos de agua, por lo que su compresibilidad es alta y, además, susceptibles a la erosión pluvial, la tubificación, así como también a la licuación provocada por sismos, explosiones o simplemente por la propia descarga del material en capas (Rodríguez, 2023).
Por lo anterior, surge la necesidad de investigar alternativas de solución para mejorar las propiedades mecánicas de estos materiales. Con esta finalidad se estudia el impacto de la adición de óxido de calcio como agente estabilizador de las propiedades mecánicas de los jales de hierro.
El estudio y la utilización del óxido de calcio ( CaO ) ha demostrado que este es un agente químico que mejora la resistencia de los suelos que contienen cierto porcentaje de arcilla. En este sentido, ciertos tipos de jales suelen contener un porcentaje reducido de arcilla, lo cual permite la acción del óxido de calcio.
Mejoramiento de las propiedades geotécnicas de jales mineros mediante la adición de óxido de calcio
Los jales mineros varían en su composición química y mineralógica dependiendo del mineral del que provengan. Por lo general, en ellos se pueden encontrar minerales filosilicatos, los que producirán las reacciones químicas necesarias para lograr la estabilización.
En los residuos mineros la cal ha sido utilizada como agente estabilizador (otros agentes estabilizadores que han sido utilizados son: el cemento, la ceniza volcánica y el polvo de cal), principalmente para minimizar o remediar la liberación de los contaminantes peligrosos, mediante procesos como la llamada estabilización/solidificación (S/S por sus siglas en inglés), debido a que la mayoría de los jales contienen sulfuros metálicos residuales, como la pirita y la pirrotita, que son relativamente estables en su forma cristalina natural, pero cuando se extraen y se muelen quedan expuestos al oxígeno y al agua, lo que provoca la oxidación del mineral. En ausencia de materiales calcáreos, la oxidación de estos minerales sulfurados produce ácido sulfúrico y libera metales pesados, provocando drenaje ácido (Manjunatha & Sunil, 2013). Sin embargo, no existen estudios previos de la adición del porcentaje óptimo de óxido de calcio a jales mineros con la finalidad de estabilizar sus propiedades mecánicas desde su estructura interna.
2.1 La química del tratamiento con cal
El óxido de calcio, o cal viva, se fabrica transformando químicamente el carbonato de calcio (roca caliza CaCO3) expuesto a altas temperaturas (880 a 1000 °C); el proceso permite la liberación de moléculas de dióxido de carbono (CO2) y la formación del óxido de calcio, de color blanco y muy cáustico. El proceso puede ser reversible si al enfriarse la cal se le permite la absorción del CO2 del aire nuevamente, que después de cierto tiempo vuelve a convertirse en CaCO3, o carbonato de calcio.
La cal utilizada para el desarrollo del proceso expuesto en este trabajo posee un alto contenido de calcio y hasta un 5 % de óxido o hidróxido de magnesio. Se utilizó CaO como agente estabilizador de las propiedades físicas y mecánicas de los suelos, que, si bien no proporciona una mayor resistencia a la que produciría el cemento, provee la resistencia necesaria para lograr el mejoramiento de estos materiales. Esto se suma a que el CaO resulta ser más amigable con el medio ambiente, debido a que puede recuperar hasta un 40 % de las emisiones de CO2 en su proceso de carbonatación, que lo convierte en un sumidero permanente de carbono. Los efectos que se producen cuando se realiza la mezcla de cal, agua y la arcilla presente en el suelo, provocan una interacción química inmediata debido, entre otros factores, al incremento del pH del agua contenida en el material. Dicho incremento, que se logra al adicionar CaO a los suelos, libera la sílice y la alúmina presentes en los minerales de arcilla, mediante reacciones de intercambio catiónico, para formar aluminatos cálcicos hidratados (C-A-H) y silicatos cálcicos
hidratados ( C - S - H ), similares a los producidos durante la hidratación del cemento Portland (Amaya, 2021).
De forma más específica, la adición del CaO provoca un ambiente alcalino que da paso a las siguientes transformaciones del suelo:
1. Secado: La cal viva se hidrata cuando se pone en contacto con el agua presente en el suelo, generando una reacción exotérmica que provoca una evaporación de la humedad del suelo.
CaO + H2 O → Ca(OH)2 + calor
2. Modificación: Ocurre después del primer mezclado. Los iones de calcio (Ca++) se trasladan a la superficie de los minerales de arcilla desplazando el agua y otros iones presentes provocando el proceso de floculación y aglomeración de las partículas.
3. Estabilización: Cuando se mezclan las cantidades adecuadas de cal ocurren dos reacciones: la hidratación y la reacción puzolánica. El hidróxido de calcio resultante de la hidratación de la cal se disocia en el agua; como resultado, aumenta la concentración de calcio y el pH del fluido de los poros. La alúmina y la sílice, presentes en la arcilla, hidratadas, reaccionarán gradualmente con los iones de calcio liberados de la hidrólisis, para formar compuestos aluminatos cálcicos hidratados (CAH) y los silicatos cálcicos hidratados (CSH) (productos cementosos secundarios) y la portlandita (Ca(OH)2). Este último da lugar a un ambiente de reacción fuertemente alcalino con un pH generalmente entre 12 y 13. Tal reacción secundaria se conoce como reacción puzolánica, que contribuirá al aumento de la resistencia.
Ca(OH)2→ Ca++ + 2(OH)-
Ca++ + OH - + SiO2→ CSH
Ca++ + OH - + Al2 O3→ CAH
Por otra parte, los jales, a diferencia de los suelos, son materiales con mineralogía compleja y la mayoría de ellos contendrá un alto contenido de sulfatos, debido a la oxidación de los sulfuros metálicos derivados de los procesos mineros. Por tal razón, la estabilización de estos materiales requiere un mayor estudio de las reacciones químicas que se producen en las mezclas.
2.2 Formación del mineral etringita en las mezclas
Jal-CaO
El mineral etringita es un hidrato de sulfoaluminato de calcio. Se forma cuando hay disponibilidad de aluminio, calcio y sulfato en un ambiente altamente alcalino. Los desechos mineros tratados con cal elevan y mantienen este ambiente alcalino. Además, el alto contenido
Mejoramiento de las propiedades geotécnicas de jales mineros mediante la adición de óxido de calcio
metálico en los jales provoca que el aluminio trivalente requerido para su formación sea reemplazado parcialmente. En conjunto con la presencia de calcio y sulfatos, estas condiciones favorecen la precipitación del mineral etringita ( Ca₆[Al(OH)₆]₂(SO₄)₃·26H₂O) (Mohamed, 1999).
La característica de expansividad de la etringita trae una destacada consecuencia: los materiales estabilizados con cal que presentan la formación de este mineral no son aptos para ser utilizados como agregados en materiales de construcción. Además, este mineral es el responsable de retardar la hidratación del cemento; su formación podría resultar como un beneficio en algunos casos, debido a que en un ambiente altamente alcalino también se produce la precipitación de metales pesados de la solución, por lo que tiene la capacidad de absorber algunos de estos en su estructura. En la literatura técnica, la formación de estringita como método de remediación mediante la técnica S/S ha reportado resultados positivos para eliminar el drenaje ácido y los metales pesados (Mohamed, 1999). Sin embargo, no es el objetivo de esta investigación analizar este tipo de remediación en los jales estudiados.
2.3 Porcentaje óptimo de CaO para la estabilización Con el fin de determinar las cantidades necesarias de adición de cal para la estabilización de suelos se han desarrollado métodos desde los años 60, como el de Hilt y Davison (1960), que a partir de pruebas sobre el comportamiento del límite plástico añadían diversos porcentajes de cal a los suelos, determinando que las cantidades mínimas de cal satisfacen las primeras reacciones correspondientes a la fijación de la cal, pero, adicionalmente, es necesario proporcionar cal en cantidades óptimas con el objetivo de garantizar las reacciones puzolánicas necesarias para la estabilización (Amaya, 2021). Con ello surge la necesidad de definir la cantidad óptima de cal para garantizar las reacciones químicas en un ambiente alcalino.
Posteriormente, Eades y Grim (1966) investigaron la naturaleza de las reacciones que tienen lugar en las mezclas de suelo, cal y agua. Las pruebas de laboratorio de esa investigación incluyeron la determinación de las características mineralógicas, físicas y químicas de suelos no tratados y tratados con cal. Demostraron que las pruebas de pH pueden utilizarse para determinar los requerimientos óptimos de cal de un suelo. Su procedimiento es la base de las normas ASTM D6276 y AASTHO T-220, las cuales establecen que para diferentes porcentajes de cal, el pH debe elevarse por lo menos a 12.4, lo cual garantiza que la mezcla alcanza y mantiene un pH elevado para lograr el desarrollo de la reacción química.
3. MINERALOGÍA, MORFOLOGÍA Y QUÍMICA DEL MATERIAL ESTUDIADO
Para determinar la mineralogía de las muestras (3) e identificar el porcentaje de minerales de arcilla que contienen los
jales provenientes de una mina de hierro, se llevaron a cabo estudios de difracción de rayos X (DRX) y de separación e identificación del tipo de arcilla, para obtener un semicuantitativo de la fracción de arcilla, el contenido de sulfatos y la composición mineralógica total de la muestra.
Una vez determinado el porcentaje de arcilla mediante la determinación de su mineralogía, se procedió a realizar la prueba Eades & Grim para establecer el porcentaje óptimo de adición de CaO y conformar las mezclas a ensayar. De la prueba se concluyó que el porcentaje óptimo de CaO que se debe adicionar al material para elevar su pH hasta 12.4 era el 3 % de la masa seca, por lo que se procedió a realizar las mezclas con 3 %; sin embargo, también se consideró un 6 % de CaO para generar mezclas con exceso de cal y ensayar en ambos casos su comportamiento en el tiempo. Las muestras se identificaron como, JalN (jal natural), Jal3 (con 3 % de cal) y Jal6 (con 6 % de cal).
Para conocer la morfología tanto de la muestra natural como de las mezclas, se recurrió a la técnica de SEM con EDS (microscopía electrónica de barrido con análisis de energía dispersiva). Esta técnica también permite determinar la presencia de la matriz o gel C-S-H.
Finalmente, se realizó una prueba química de intercambio catiónico (CEC), con la finalidad de medir la movilización del ion Ca+ bajo efectos de la interacción con otros elementos bajo cambios en el pH. Los resultados permitieron medir la capacidad de la mezcla (Jal-CaO) para retener a los iones de calcio intercambiados en su estructura y poder comprobar si la reacción química es reversible o no, debido a la interacción del material con el medio ambiente.
3.1 Resultados de las pruebas de mineralogía
Los resultados de la DRX de las muestras (1) JalN, (2) Jal3 y (3) Jal6 se presentan en la tabla 1, donde se puede observar (en la columna 1) la composición mineralógica de la muestra (1) JalN, la cual contiene altos porcentajes de óxidos de hierro, como la magnetita y hematita; también contiene altos porcentajes de sulfato en forma de yeso. El jal natural contiene 7.7 % de minerales de arcilla, por lo que cumple con el mínimo requerido por la NLA para su estabilización. Además, mediante la identificación de arcillas se determinó que el jal contiene caolinita.
Por otro lado, en las muestras adicionadas con CaO se obtuvo un semicuantitativo del mineral etringita en las mezclas (2) Jal3 y (3) Jal6 cuyo valor se presenta en las columnas 2 y 3 de la misma tabla, respectivamente; además del mineral taumasita, que pertenece al grupo de la etringita. Finalmente, se observa también la presencia de la portlandita en la muestra (2) Jal3 e incrementando su porcentaje en la muestra (3) Jal6, mientras que el yeso disminuye en la muestra (2) Jal3 y desaparece en la muestra (3) Jal6. Con estos resultados se hace evidente que las reacciones químicas ocurren en la fracción arcilla, ya que los demás minerales de la muestra permanecen intactos.
Mejoramiento de las propiedades geotécnicas de jales mineros mediante la adición de óxido de calcio
En la medición de SEM con EDS, además de observar la morfología de las muestras, se midió la presencia de la matriz o gel C-S-H. Esta matriz es el principal producto de la hidratación en la estabilidad con productos cementantes. Para comprobar la presencia de este gel se emplea la cuantificación de la relación Ca/Si con las técnicas EDS. La literatura técnica establece que para pastas de silicato de calcio o cemento sin adiciones minerales, la relación media Ca/Si es de aproximadamente 1.75 a edades de hasta unos pocos años de curado del cemento Portland, y el rango típico es 1.2 a 2.3 (Taylor, 1993; Amaya, 2023).
La prueba se realizó mediante la microsonda electrónica de barrido (MS) con EDS, donde se obtuvo el análisis químico en muestras sólidas. Los resultados obtenidos se ofrecen en la tabla 2, en donde se puede observar el valor cuantitativo de los elementos de interés, como la sílice, la alúmina y el calcio. Con estos valores se calcularon las relaciones Ca/Si de la muestra (1) JalN y de sus mezclas (2) Jal3 y (3) Jal6 obteniendo valores de 0.43, 1.0 y 1.49, respectivamente; por ello se puede concluir la presencia de la matriz o gel C-S-H en las muestras.
La morfología del jal natural y sus mezclas se muestra mediante imágenes del microscopio electrónico SEM, en la fig. 1, donde se puede observar la presencia del mineral caolinita en la muestra natural (1) JalN (fig. 1a). La portlandita se observa en la muestra (2) Jal3, así como trazas mínimas de etringita (fig. 1b) y es de forma más evidente en la muestra (3) Jal6 (fig. 1c).
3.3 Química de las muestras, resultados de la capacidad de intercambio catiónico (CEC) Para la determinación de la CEC se hicieron pruebas de determinación simultánea de cationes en muestras ambientales por medio de cromatografía iónica con detección conductimétrica, utilizando el ion Na+ capaz de reemplazar a cualquier elemento con
Tabla 1. Mineralogía e identificación de arcillas, muestras JalN, Jal3, y Jal6.
Fases identificadas Fórmula química
Piroxeno tipo aguita (Ca, Mg, Fe)2
Filosilicatos a~14A° pbb de tipo clinicloro
Filosilicatos a~7A° pbb de tipo caolinita
*Identificación de filosilicatos clorita
*Trazas mínimas de vermiculita caolinita
Tabla 2. Composición química con la técnica SEM/EDS y la relación Ca/Si.



Figura 1. SEM (Equipo electrónico de barrido por emisión de campo térmico de alta resolución, FE SEM JEOL JSM-7600F) imágenes, (a) muestra JalN, (b) muestra Jal3, (c) muestra Jal6.
Mejoramiento de las propiedades geotécnicas de jales mineros mediante la adición de óxido de calcio
mayor valor atómico como el K, Mg y Ca. Con esto se garantiza que ningún elemento que interactúe con el jal podrá desestabilizarlo (Rodríguez, 2023).
Para la medición de la CEC de las muestras se estudiaron dos condiciones: la primera, a pH controlado conservando el pH de 7.8 del jal natural (1) (JalN) y el pH de 12.4 del jal estabilizado (2 y 3) (Jal3 y Jal6). La segunda condición se hizo bajo la hipótesis de que el embalse del depósito de jales pudiera estar expuesto a una lluvia ácida en un momento dado, por lo que las muestras fueron sometidas a un pH ácido (4.0). La tabla 3 muestra la movilización de cationes potasio, calcio y magnesio, con diferentes concentraciones de sodio (10, 25 y 50 mg/l). Los resultados evidencian que la muestra (1) JalN lixivia iones de Ca a mayor volumen de concentración de Na+. Por otro lado, las muestras (2) Jal3 y (3) Jal6 no exhiben movilización de Ca a las mismas concentraciones de Na+, por lo que se considera que la estabilización con CaO permanecerá inalterable. Mientras que las muestras sometidas a pH ácidos sí movilizaron Ca debido a la disminución de su CEC.
4. PROPIEDADES GEOTÉCNICAS DE LAS MUESTRAS
Se analizó la variación de la resistencia en mezclas estabilizadas químicamente con CaO. Para ello se efectuaron pruebas de caracterización geotécnica, ensayos de compactación y pruebas mecánicas de compresión simple. Los procedimientos se aplicaron en diferentes periodos de curado con el fin
Tabla 4. Propiedades geotécnicas del Jal Natural (JalN).
Propiedad JalN
Granulometría
Grava, G (%) 0
Arena, S (%) 58.4
Finos, F (%) 41.6
Contenido natural de agua, w (%) 8.46
Límite líquido, wL (%) 20.7
Límite plástico, wP (%) 17.1
Plasticidad, IP (%) 3.6
Gravedad específica, Gs 3.09
de evaluar la evolución de la resistencia. Las mezclas fueron sometidas a ensayo a 7, 14, 28 y 90 días de curado.
4.1 Caracterización geotécnica
La caracterización geotécnica de jales se llevó a cabo mediante un análisis de tamaño de partículas, donde se midió el contenido de finos (que pasan la malla 0.075 mm) y que resultó de 41.6 %. Su clasificación, de acuerdo con el Sistema Unificado de Clasificación de Suelos (SUCS), corresponde a una arena limosa SM, mientras que la clasificación de la parte fina, de acuerdo a la carta de plasticidad corresponde a un limo de baja compresibilidad ML. En la tabla 4 se muestran las propiedades índice del JalN.
Tabla 3. Capacidad de itercambio catiónico (CEC) y lixiviación de cationes para diferentes concentraciones de Na+ de las muestras JalN, Jal3 y Jal6.
Descripción
Disolución buffer de pH 7.8 de concentración 0.25 M.
Disolución buffer de pH 12.3 de concentración 0.25 M.
Disolución buffer de pH 12.3 de concentración 0.25 M.
Disolución buffer de pH 4.0 de concentración 0.2 M.
JalN-10 -1 0.30 13.88 0.33 Jal3-10 0 0.32 33.94 0.37 Jal6-10 -4 0.33 51.04 0.44
4.2 Compactación de las muestras
El método de reconstitución de probetas se realizó mediante compactación estática. Para ello, se prepararon siete capas de material, cada una compactada con ocho apisonadas distribuidas uniformemente. El proceso se efectuó en un molde miniatura sin membrana, con un volumen de 89.08 cm³. Se utilizó un pistón de 2.8 cm de diámetro y una masa de 6.3 kg. Para construir la curva de compactación se tuvieron las siguientes consideraciones: el material fue tamizado a través de la malla 4 (0.75 mm). Se inició con la obtención de los puntos de la rama húmeda agregando diferentes contenidos de agua y dejando reposar 24 horas el material dentro del cuarto húmedo para permitir la correcta difusión de la humedad. Para los puntos de la rama seca los materiales fueron secados en condiciones de temperatura ambiente entre 20°C y
Mejoramiento de las propiedades geotécnicas de jales mineros mediante la adición de óxido de calcio
23°C. Con el fin de obtener la curva de compactación de las mezclas, estas se dejaron reposar por una hora antes de ser sometidas a la prueba, con la finalidad de garantizar la reacción química con el CaO (Amaya, 2023).
La fig. 2 muestra las curvas de compactación obtenidas para la muestra (1) JalN y para las mezclas (2) Jal3 y (3) Jal6, de las cuales se obtuvieron los parámetros que reflejaran condiciones similares de densidad seca y contenido de agua. Las características físicas de reconstitución de probetas se muestran en la tabla 5.
Una vez reconstituidas las probetas se resguardaron en el cuarto húmedo hasta que cumplieron su tiempo de curado para ser ensayadas. Cabe destacar que la probeta adicionada con 6 % de cal con 90 días de curado presentó una cierta expansión, debido a la formación del mineral etringita. La fig. 2 muestra la foto donde se señala la presencia de este mineral.

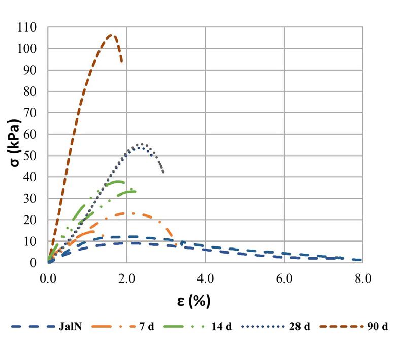
4.3 Resistencia a la compresión no confinada (UCS)
En la fig. 3 se muestran los resultados de la prueba UCS para diferentes periodos de curado. Allí se puede observar la curva esfuerzo-deformación de la muestra (1) JalN y sus mezclas. La curva de la (1) JalN exhibe una resistencia a la compresión simple de 9 kPa, mostrando una falla de tipo dúctil. La (2) Jal3 exhibe un incremento en la resistencia de 14 kPa a 7 días de curado hasta 106 kPa a 90 días de tal proceso. Estas probetas fallan de manera frágil a este comportamiento, común en materiales cementados.
La fig. 4 compara el comportamiento de la misma muestra natural (1) JalN con la muestra (3) Jal6, en las cuales el exceso de adición de CaO incrementa la resistencia desde 30 kPa a los 7 días, hasta 170 kPa a 90 días de curado.

4. Resultados de la prueba UCS de las muestras JalN y Jal3 a diferentes periodos de curado.


Figura 5. Resultados de la prueba UCS de las muestras JalN y Jal6 a diferentes periodos de curado.
De acuerdo con las curvas anteriores, todos los especímenes con 6 % de CaO exhiben una mayor resistencia, debido, posiblemente, a la alta adición de cal que interactúa con los sulfatos solubles y la alúmina presentes en el jal.
Mejoramiento de las propiedades geotécnicas de jales mineros mediante la adición de óxido de calcio
Los resultados de incremento de la resistencia obtenidos en esta investigación son interesantes, considerando que la adición de CaO para jales provenientes del mineral de hierro produce un incremento significativo con el tiempo de curado. Se convierten, así, en una alternativa de solución que podría ayudar a mitigar los problemas de inestabilidad debidos al fenómeno de licuación. Sin embargo, es aconsejable emprender más estudios que profundicen tanto en la caracterización como en la evaluación del comportamiento geotécnico de los jales estabilizados, y estudiar la posibilidad de agregar la cantidad óptima de CaO antes de ser bombeados al depósito y de que empiece el proceso de consolidación. Otro factor esencial para estudiar es, sin duda, la formación del mineral etringita en las mezclas de este tipo (Hossein et al., 1999), y verificar si el cambio en la resistencia es debido a la presencia de este mineral. Por otro lado, es preciso señalar la importancia de adicionar el porcentaje óptimo de cal debido a dos razones: la primera es que el exceso de cal no agrega mayor resistencia a las mezclas, y la segunda es que la cal libre provocada por el exceso de cal añadida, incrementa la formación del mineral etringita.
Además, es importante investigar también la resistencia al corte no drenado y su evolución con el tiempo, para diferentes densidades secas que representen las condiciones del sitio, ya que este parámetro depende fuertemente de las condiciones de depositación.
Esta investigación muestra que la estabilización química agregando óxido de calcio al jal proveniente del mineral de hierro podría ser una alternativa favorable para la modificación de sus propiedades geotécnicas. Esto, en el entendido de que los jales mineros deberían ser estudiados bajo el marco teórico de la geotecnia y la química —de una manera integral— para la mejor comprensión de su comportamiento a largo plazo.
6. REFERENCIAS
Amaya, M.E. (2017). “Estabilización de Suelos Superficiales del NAICM con Óxido de Calcio”. Tesis para obtener el grado de maestro en Ingeniería. UNAM.
Amaya M.E., Botero E., Ovando E. (2021). Lime stabilization of highly compressible surface from soils in ex-Lake Texcoco, Mexico. Environmental Geotechnics 2021, 8:6, 416-427.
Amaya M.E. (2023). Aprovechamiento y estudio de las propiedades geotécnicas de suelos naturales con fracciones de arcilla estabilizada químicamente con óxido de calcio. Tesis doctoral, UNAM, México.
Eades, J.L., Grim, R.E., (1966). “A Quick Test to Determine Lime Requirements for Lime Stabilization”. Paper sponsored by Committee on Lime and Lime-Fly Ash Stabilization and presented at the 45th Annual Meeting.
Hilt, G. H., & Davidson, D. T. (1960). "Lime Fixation in Clayey Soils". Highway Research Board Bulletin, No. 262, pp. 20–32
Hossein M., Mohamed, A.M.O., Hassani F.P., Elbadri H. (1999). Ettringite formation in lime-remediated mine tailings: II Experimental study. Rock Mechanics Technical Paper.
Hunter B.D (1988). Lime-induced heave in sulfate-bearing clay soils. J. Geotech. Engrg 114 (2), 150-167.
Manjunatha L.S. and Sunil B.M. (2013). Stabilization/Solidification of iron ore mine tailings using cement, lime, and fly ash. INJRET.
National Lime Association. (2004). Lime stabilization & lime modification. Lime-Treated Soil Construction Manual.
Reid D. Fanni R. (2020). A comparison of intact and reconstituted samples of silt tailings. Geotechnique 72, 2, 176-188.
Rodríguez M. (2023). Mejoramiento de las propiedades geotécnicas de jales mineros mediante la adición de óxido de calcio. Tesis de Maestría, UNAM, México.
Taylor H.F.W. (1993). Nanostructure of C-S-H: Current status. Elsevier.
Vick S.G. (1990). Planning, design, and analysis of tailings dams. BiTech. Vancouver, B.C. Canada.
José Roberto Noyola Benítez
Javier Pérez Martínez
Antonio Becerril Recillas

Apreciamos su opinión e información sobre el tema de este artículo. Escríbanos a norma@xantus.com.mx
Víctor Manuel Aquino Hidalgo
Andrés Juárez Sánchez
Natalia Pérez García Investigadora
Instituto Mexicano del Transporte
Carlos Daniel Martínez Martínez Investigador
Instituto Mexicano del Transporte
Francisco Javier Castañeda
Gerente de Infraestructura
Grupo CALIDRA
En la guía de diseño de pavimentos AASHTO de 1986 se introdujo por primera vez el parámetro módulo de resiliencia (en adelante, referido Mr), como la propiedad de diseño para el material de subrasante; para las capas de carpeta, base y subbase se utilizaron los coeficientes estructurales de capa (ai). La actual guía de diseño de pavimentos empírico-mecanicista de AASHTO (para el caso de pavimentos flexibles) emplea el Mr como parámetro de diseño de todos los materiales no ligados, y para la carpeta asfáltica utiliza el módulo complejo (E*).
Si se quiere implementar el módulo de resiliencia como propiedad de diseño de los materiales no ligados, es deseable que todos los laboratorios de materiales comerciales cuenten con el equipo para determinarlo. Sin embargo, hasta la fecha, en México son solo 3 o 4 laboratorios los que cuentan con un equipo triaxial cíclico y, en algunos casos, solo tienen la capacidad para determinar módulos de resiliencia en especímenes de 7 cm de diámetro por 14 cm de altura (tamaño de muestra para materiales tipo subrasante no granulares). Esto ha traído como consecuencia que, al llevar a cabo el diseño de pavimentos flexibles, los ingenieros se apoyen en valores de Mr de bases de datos generados en otros países o que se infieran a través de correlaciones que emplean propiedades índice o propiedades mecánicas como la resistencia en compresión simple.
Aunque las soluciones anteriores están al alcance de todos, una mejor opción es que en México generemos nuestras propias bases de datos y correlaciones con los suelos nacionales para dicho parámetro. Con el fin de contribuir con este objetivo, los autores de este artículo ponen a disposición los resultados de módulo de resiliencia en seis suelos que, bajo condiciones naturales, no cumplen con las especificaciones de la Secretaría de Infraestructura, Comunicaciones y Transportes para ser utilizados como materiales de subrasante.
Se ofrecen, también, los resultados de Mr y resistencia en compresión simple de los mismos suelos, pero estabilizados con cal.
2.
2.1 Los suelos en estudio y su preparación
Se obtuvieron muestras alteradas en algunos lugares de la República Mexicana, como Querétaro, Guadalajara, Estado de México y Chiapas. La fig. 1 muestra fotografías de algunos de los suelos recibidos en las instalaciones del Instituto Mexicano del Transporte; la tabla 1 resume los nombres de los lugares donde se realizaron los muestreos y las identificaciones utilizadas en este documento.

(a) Suelo de Guadalajara.

(c) Suelo 1 del Estado de México.

(b) Suelo de La Gasera, Querétaro.

(d) Suelos 2 y 3 del Estado de México.
1. Fotografías de 5 de los suelos en estudio.
1.
Nombre del suelo
Arcilla muestreada en una excavación para una gasera (Querétaro)
Suelo de Guadalajara, Jalisco
Suelo 1 de Zumpango, Estado de México
Suelo 2 de Zumpango, Estado de México
Suelo 3 de Zumpango, Estado de México
ID del suelo
S1
S2
S3
S4
S5
Suelo 2 de Chiapas (tramo 1 del Tren Maya) S6
Como primer paso, los suelos se secaron al ambiente durante una semana, se cribaron por la malla No. 4 y, posteriormente, se guardaron en costales.
2.2 La cal
La cal utilizada para los 5 suelos fue cal viva pulverizada. Solo en el suelo S1 se utilizó cal viva granulada. De acuerdo con el fabricante, la cal tiene de 80 a 95 % de óxido de calcio y una densidad en el rango de 700 a 1300 kg/m3.
2.3 El agua
Se utilizó agua de llave en los procesos de mezclado.
3. PROCEDIMIENTOS DE PRUEBA
3.1 Propiedades índice, de compactación y demanda de cal
La caracterización de los suelos naturales se ejecutó con los procedimientos ASTM C702, D1140, C136, D4348, D854 y D698. Para determinar la demanda de cal de los suelos, se utilizó el procedimiento ASTM D6276; de acuerdo con este último, las demandas fueron 4 % de cal para todos los suelos, excepto para el suelo 3, el cual requirió de 5 % para alcanzar un pH de 12.4.
Con respecto a la evaluación de las curvas de compactación de los suelos estabilizados con cal: estas se determinaron con mezclas donde trascurrió un tiempo de maduración de 16 a 24 horas, lapso de maduración que ocurre entre mezclado y compactación.
3.2 Preparación de los especímenes para prueba de resistencia en compresión simple y módulo de resiliencia
Para la preparación de los especímenes se siguió el procedimiento que se refiere:
• Se preparó la mezcla suelo-cal-agua (fig. 2) y se permitió de 16 a 24 horas de maduración.
• Las mezclas se guardaron en bolsas bien selladas para evitar evaporación de agua.
• Cuando la mezcla alcanzó el tiempo de maduración, los especímenes se compactaron en un molde de 7.1 cm de



Figura 2. Preparación de la mezcla suelo-cal-agua para alcanzar el contenido de agua óptimo.
diámetro y 14.4 cm de altura. Se compactaron en 8 capas con un pisón de 1 kg de masa y 30.5 cm de altura de caída (fig. 3). El número de impactos se ajustó de tal manera que se lograra reproducir el peso volumétrico objetivo para cada suelo, que en este caso correspondió al peso volumétrico seco máximo obtenido con la energía de compactación Proctor estándar.


3. Compactación de especímenes.
• Después de compactar la última capa, se enrasó la superficie del espécimen, se extrajo del molde y se tomaron sus dimensiones y peso (fig. 4).



Figura 4. (a) Espécimen extraído del molde; (b y c) determinación de dimensiones.
3.3 Acondicionamiento de especímenes
En este artículo se reportan solo los módulos de resiliencia y resistencia en compresión simple obtenidos con especímenes curados durante 7 días. Es decir, después de registrar sus características, se envolvieron en plástico autoadherible y se almacenaron en bolsas plásticas para evitar pérdida de agua.
3.4 Prueba de resistencia en compresión simple
Para determinar la resistencia en compresión simple se utilizó el procedimiento ASTM D2166, de acuerdo con el cual
el espécimen se coloca en el sistema de carga y se le aplica carga axialmente a una velocidad de deformación entre 0.5 y 2 %/minuto. En este caso, se utilizó una velocidad de 1.2 %/minuto. Luego de la falla del espécimen, se terminó la prueba, se desensambló la celda triaxial, se extrajo el espécimen y se disgregó para determinar su contenido final de agua.
3.5 Prueba de módulo de resiliencia
Para determinar el módulo de resiliencia se siguió el protocolo NCHRP 1-28A, de acuerdo con el cual al espécimen se le aplican 16 secuencias de carga cíclica con diferentes niveles de confinamiento y esfuerzo desviador (tabla 2). La carga cíclica se aplica con una señal tipo haversine con una duración de aplicación de carga de 0.2 s y un tiempo de reposo de 0.8 s para suelos tipo subrasante. En la secuencia cero se aplican 1000 ciclos de carga cíclica y no se registran datos; en las siguientes secuencias, se aplican 100 ciclos y se registran los datos de los últimos cinco ciclos, y con ellos se determina el módulo de resiliencia promedio. Al finalizar la prueba, el espécimen se disgrega para determinarle su contenido final de agua.
Tabla 2. Secuencias de prueba de módulo de resiliencia para suelos de subrasante de acuerdo con protocolo NCHRP 1-28A.
Tabla 3. Características de los suelos naturales.
S3 36 26 10 2.53 63.90 ML
S4 61 38 23 2.51 72.84 MH
S5 87 58 29
4. RESULTADOS
4.1 Propiedades de los suelos naturales
La tabla 3 lista las propiedades de los suelos naturales y su clasificación de acuerdo con el sistema de clasificación de suelos. Se observa que los suelos son limos, arenas y arcillas, lo cual permitió observar diferencias importantes en las propiedades evaluadas.
4.2 Curvas de compactación
La fig. 5 resume las curvas de compactación Proctor estándar tanto de los suelos naturales como de los estabilizados. Los óptimos de compactación fueron los valores objetivo para la fabricación de los especímenes de prueba. Como se mencionó anteriormente, las curvas de suelo con cal se realizaron con mezcla que tenía de 16 a 24 horas de maduración. Sin embargo, cabe señalar que en el caso del suelo S1 y S2 la curva de compactación con mezcla madurada ya no presentaba un óptimo de compactación, por lo que en ambos casos se decidió elegir como punto objetivo de fabricación de los especímenes el máximo de la curva obtenido con la mezcla sin tiempo de maduración, pero la mezcla para compactar los especímenes sí se dejó madurar (de 16 a 24 horas).
4.3 Resultados de resistencia en compresión simple
La resistencia en compresión simple es una de las propiedades que se especifica en algunos países para verificar la resistencia a largo plazo de las mezclas suelo-aditivo,







razón por la cual la mayor parte de este tipo de estudios presenta tal tipo de resultados.
Los resultados de resistencia para los suelos evaluados se muestran en la fig. 6. Al pie de la figura se indican algunas características de los suelos naturales. El propósito era determinar si el comportamiento de la resistencia estaba relacionado con alguna de esas propiedades.
Lo que se observa en la fig. 6 es que los suelos naturales no presentan resistencias superiores a 300 kPa (3.06 kg/ cm 2), pero que una vez estabilizados con cal, las resistencias pueden incrementar de 2 a 8 veces, aproximadamente. Sin embargo, dos suelos llaman la atención por los incrementos muy por encima de lo que muestran los otros cuatro. Estos suelos son el S2 y el S3. El primero, muestreado en Guadalajara, y el segundo, en Zumpango, Estado de México. Revisando los resultados, la tendencia muestra que a mayor cantidad de arena la resistencia se reduce, pero salen de la tendencia los suelos S2 y S3. Al realizar una prueba de lavado, se observó que el suelo de Guadalajara contiene arena pumítica (fig. 7a). De acuerdo con Orozco (2015), estas arenas tienen propiedades puzolánicas, es decir, la capacidad de generar compuestos cementantes cuando se mezclan con hidróxido de calcio. La hipótesis de los autores es que esta puede ser la razón del incremento superior de la resistencia. A la arena del suelo S3, obtenida de la prueba de lavado (fig. 7b), se le puso ácido clorhídrico y también efervesció, de lo cual se dedujo que este suelo tam-


7. (a) Fotografía del suelo de Guadalajara (S2). (b) Microfotografía de la arena retenida en la malla No. 200 después del lavado del suelo S3.

Figura 8. Correlación entre relación de resistencias y wPI.
bién contiene carbonato de calcio, razón por la cual podría haberse potenciado la resistencia. Esto aún se seguirá evaluando con otras pruebas para determinar la cantidad de carbonato de calcio presente en el suelo.
Los resultados de resistencia en compresión simple de los suelos S1, S4, S5 y S6 se graficaron con wPI (definido como pasa 200 en decimal multiplicado por el índice de plasticidad) y se observó que existe una buena correlación entre ellos. Al parecer, la resistencia de los especímenes
Figura 9. Módulos de resiliencia promedio e incrementos promedio para los suelos evaluados.
suelo-cal se puede estimar con adecuada precisión, conociendo la resistencia del suelo natural, el índice plástico y el porcentaje de material que pasa la malla No. 200 (fig. 8).
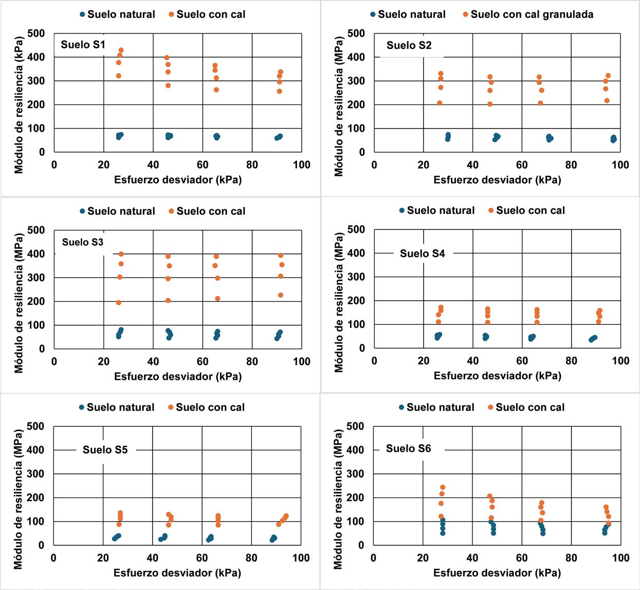
4.4 Resultados de módulo de resiliencia
Los resultados de Mr indican que, para los suelos evaluados, el incremento promedio en los valores de Mr va de 2 hasta aproximadamente 5 veces cuando a los suelos naturales se les adiciona cal. Los incrementos mayores fueron para los suelos S1, S2 y S3 (fig. 9 y fig. 10). Esto coincide con lo que se observó en los resultados de resistencia en compresión simple; la excepción es el suelo S1.
En los suelos S4 y S5 los incrementos en módulos son de 3 veces. Si se observan las gráficas en la fig. 10, el incremento no se ve tan importante. La hipótesis es que podría deberse a que estos suelos contenían 4.9 % de materia orgánica. En lo que respecta al suelo S6, el incremento en módulos fue aun menor (2 veces); en este caso el resultado podría explicarse porque el suelo tiene una cantidad importante de arena no reactiva (69.3 %) y, además, el índice de plasticidad es bajo (8 %).
CONCLUSIONES

5. La resistencia en compresión simple de los suelos estabilizados con cal puede incrementarse de 2 a 8 veces.
La literatura sobre el tema de estabilización es muy vasta y una de las propiedades quizá más estudiadas de las mezclas suelo-cal ha sido la resistencia en compresión simple. El módulo de resiliencia de suelos estabilizados con cal tiene menos estudios, sobre todo en México. En este artículo los autores resumen resultados de resistencia en compresión simple y módulo de resiliencia obtenidos en suelos naturales y estabilizados con cal. Las conclusiones más relevantes son las siguientes:
1. Los suelos evaluados fueron arcillas, limos y arenas. Por el tipo de suelo se obtuvo una visión amplia del comportamiento del suelo natural y del suelo con cal.
2. Por las áreas en las que fueron muestreados, los suelos tienen características diferentes. Por ejemplo, suelo con arena pumítica o suelos con arena de cuarzo. Esto también impactó los resultados.
3. El tiempo de maduración de la mezcla suelo-cal tiene un efecto importante en las curvas de compactación Proctor estándar de algunos suelos.
4. La resistencia en compresión simple de los suelos naturales no es mayor a 300 kPa (3.06 kg/cm2).
6. En los suelos S2 y S3 se observó mayor incremento en la resistencia. La hipótesis de los autores es que esto se debió a la presencia de arena pumítica para el suelo S2 y a la presencia de carbonato de calcio en el suelo S3.
7. Hay indicios de que la resistencia en compresión simple de suelo estabilizado con cal se puede estimar conociendo la resistencia del suelo natural, el índice de plasticidad y el porcentaje de material que pasa la malla 200. Esto, con excepción de los resultados en los suelos S2 y S3.
8. Los valores de Mr se incrementan de 2 a 5 veces cuando a los suelos se les adiciona cal. Esto es pertinente para los suelos evaluados.
9. Los valores de Mr aumentaron más en el suelo S2 y S3, coincidiendo con lo observado en la resistencia en compresión simple.
10. En los suelos con materia orgánica (S4 y S5) el incremento en los valores de Mr fue de 3 veces.
11. El menor incremento de valores de Mr se observó en el suelo S6, que contenía un 69.3 % de arena no reactiva y un índice plástico de 8 %.





9150-1209,9150-1210
www.pilotec.com.mx
Pruebas de carga estática
Pruebas de carga bidireccional Pilotes Anclas Pantallas flexoimpermeables
Sistemas de anclaje
Pruebas de integridad
Consultoría y diseño geotécnico
Stefan Frey
Product Management Business Unit Utility Tunnelling
Herrenknecht AG, Schwanau-Allmannsweier, Baden-Wuerttemberg, Alemania
Julian Binder
Product Management Business Unit Utility Tunnelling
Herrenknecht AG, Schwanau-Allmannsweier, Baden-Wuerttemberg, Alemania
Este artículo es una traducción al español del siguiente documento: Stefan Frey and Julian Binder (2025). The role of mechanized shaft sinking with VSM in inner-city applications.
Deep Foundations Institute 2025. DOI 10.37308/DFI50.161002
El espacio en la superficie es cada vez más escaso y caro. La construcción segura y económica de infraestructura subterránea a profundidades cada vez mayores requiere soluciones mecanizadas de excavación de túneles y de hincado de lumbreras. Estas son necesarias para operaciones de excavación de túneles, sistemas de alcantarillado, almacenamiento o para fines de ventilación y rescate en túneles vehiculares.
La tecnología Vertical Shaft Sinking o Hincado Vertical de Lumbreras (VSM, por sus siglas en inglés) es un enfoque de mecanización desarrollado para superar condiciones desafiantes de terrenos con estratigrafías mixtas, niveles freáticos altos y restricciones económicas o de seguridad en los métodos convencionales. Desde 2004 se han hincado más de 100 lumbreras circulares con el sistema VSM, a profundidades de hasta 115 metros y un rango de diámetro interior de lumbrera de 4.5 a 12 metros. El VSM se controla a distancia, desde la superficie, por lo que es un procedimiento de hincado completamente automatizado sin necesidad de personal dentro del pozo durante el proceso de hincado. Cumple con los requisitos clave para la construcción de lumbreras en zonas céntricas de las ciudades: sin abatimiento de agua subterránea, máxima precisión y seguridad de producción. Así mismo, disposición flexible del equipo en el lugar de trabajo. Debido al funcionamiento electrificado del equipo VSM, en general, con la posibilidad de ser alimentado por la red local, la huella de CO2 y las emisiones de ruido se pueden reducir considerablemente en comparación con los métodos de construcción convencionales. Cuando se utilizan dovelas prefabricadas de concreto, la excavación de la lumbrera con el método VSM requiere hasta 40 % menos de concreto para la estructura de la lumbrera, en comparación con las pantallas impermeables y los muros de pilotes perforados. En este artículo se describe la tecnología VSM, con referencias internacionales en proyectos de infraestructura urbana.
Palabras clave: hincado mecanizado de lumbreras, VSM, lumbreras de cimentación, lumbreras de túneles.
1. INTRODUCCIÓN
Casi todos los proyectos de excavación de túneles requieren lumbreras, ya sea como pozos de lanzamiento y recepción durante el proceso de construcción de túneles o para fines de inspección, ventilación y rescate. Además, se observa una tendencia actual hacia la instalación de obras de infraestructura en profundidades crecientes. Está impulsada, entre otras cosas, por proyectos de construcción de alcantarillado profundo que tienen como objetivo evitar las estaciones de
bombeo, así como por la necesidad de construir nuevas instalaciones debajo de la infraestructura existente.
El equipo Vertical Shaft Sinking (VSM), o máquina de hincado de lumbreras verticales, fue desarrollado por Herrenknecht AG. Su propósito original era la construcción mecanizada de lumbreras profundas de lanzamiento y recepción para proyectos de microtúneles y el de superar los desafíos existentes en la construcción de lumbreras verticales profundas,
al tiempo que mejoraba la seguridad y la confiabilidad del proyecto para todas las partes interesadas. El diseño y las pruebas comenzaron a principios de 2004, y el primer equipo VSM se implementó con éxito en Kuwait y Arabia Saudita en 2006.
A diferencia de las tecnologías convencionales o de la competencia — como la pantalla impermeable (muro Milán), los muros de pilotes perforados o los pozos de excavación abiertos—, que requieren abatir el nivel freático y pueden causar asentamientos o daños estructurales en las áreas circundantes, el VSM está diseñado para operar completamente bajo el agua. El sistema de extracción de lodos funciona exclusivamente dentro del agua, lo que garantiza la estabilidad y minimiza el impacto ambiental. Esto hace que el sistema VSM sea particularmente efectivo en entornos urbanos y en condiciones geológicas desafiantes, donde los métodos de construcción convencionales no son prácticos o presentan riesgos significativos. Otra ventaja clave en el diseño del VSM es su diámetro de trabajo de excavación ajustable a través del tambor de corte extensible: le permite abarcar una gran variedad de diámetros de lumbreras. Esta flexibilidad hace que la máquina sea más económica ya que disminuye la necesidad de equipos mecánicos adicionales. Además, la tecnología VSM ofrece una precisión excepcional en la construcción de la lumbrera, lo que garantiza una alineación precisa y una desviación mínima.

la estructura se distribuye uniformemente, asegurando una base estable. Además, la fricción entre las paredes del fuste y el suelo circundante proporciona soporte adicional, con lo que se reducen aún más los esfuerzos en el suelo y se mejora la estabilidad (fig. 1).
2. HINCADO MECANIZADO DE LUMBRERAS
2.1 Ventajas de la tecnología VSM
El concepto de diseño de la máquina —totalmente controlada a distancia desde la superficie—, así como su implementación in situ demostraron que es una solución eficiente desde el principio para la construcción segura y rápida de lumbreras, especialmente en entornos difíciles de zonas urbanas dentro de la ciudad, sin necesidad de abatir el nivel freático.
La aplicación más reciente ha sido la construcción de dos lumbreras para el primer sistema U-Park ® en Nanjing (China), con un diámetro exterior de 12.8 m y una profundidad de 65 m cada una. U-Park® es un sistema de estacionamiento subterráneo ideal para ciudades con alta densidad de población —como Londres o París—, donde la disponibilidad de lugares de aparcamiento es limitada y, por tanto, costosa. Una lumbrera tipo VSM podría incluso usarse como un espacio de estacionamiento subterráneo, así como una base estática permanente de manera simultánea, no solo para edificios sobre la superficie, sino también para puentes y otros cimientos de construcciones cercanas a la costa, que se basan en el principio de que las capas de suelo más profundas suelen ser más resistentes que los suelos superficiales. Al excavar la lumbrera en estas capas resistentes, el peso de
La tecnología VSM supera los principales desafíos asociados con el hincado de lumbreras: las estructuras de lumbreras en zonas urbanas de la ciudad demandan condiciones de trabajo seguras para los edificios circundantes y para el medio ambiente, de modo especial en lo que respecta a los posibles asentamientos del subsuelo. Existe una mayor necesidad de evitar el abatimiento de las aguas subterráneas durante la construcción de lumbreras para evitar el asentamiento posterior, que puede afectar amplias zonas urbanas de la ciudad y, particularmente, los edificios circundantes. Las empresas de construcción de lumbreras profundas a menudo se encuentran con difíciles condiciones geológicas, como alta presión de agua subterránea combinada con capas alternadas de material duro y blando. Además, las lumbreras profundas necesitan una atención especial enfocada en la seguridad del personal operativo.
2.1.1 Beneficios en costo y tiempo
La excavación y la construcción simultánea de dovelas facilitan altas tasas de avance y acortan la duración total en la construcción del proyecto. Al mismo tiempo, el avance continuo garantiza una alta fiabilidad general de la planificación para todas las partes interesadas.
El revestimiento de una lumbrera VSM consta de dovelas prefabricadas o de concreto colado en el lugar. A medida que se completa la instalación del revestimiento en la superficie, se puede lograr una instalación de alta calidad, lo que lleva a una mayor precisión de la estructura del fuste.
En la mayoría de los casos, no se requiere un revestimiento secundario que implique mucho tiempo, lo cual deriva en un espesor de pared reducido de la lumbrera y, por lo tanto, menor volumen de excavación del suelo.
La posibilidad de combinar los dos métodos de revestimiento proporciona la flexibilidad de tener la mejor configuración estructural y funcional a diferentes profundidades, característica que produce una mayor eficiencia, tanto desde el punto de vista técnico como del económico en los proyectos. Para el proyecto DTSS2, en Singapur, la parte inferior de la lumbrera se construyó con concreto colado in situ, mientras que en el resto se colocaron dovelas prefabricadas. Este enfoque permitió el lanzamiento seguro de una tuneladora desde la lumbrera, ya que el refuerzo integrado en la sección in situ consistía en fibra de vidrio en lugar de acero, lo cual evitaba posibles daños al escudo ocasionados por los componentes metálicos.

Además, cada tipo de VSM es muy flexible, ya que su diámetro de excavación se puede ajustar dentro de un rango específico. Un equipo VSM12000 (llamado así por el diámetro máximo del fuste de 12 metros), por ejemplo, puede cubrir un rango de diámetro interior del fuste de 7 metros a 12 metros y, por lo tanto, es una inversión única para múltiples casos de uso.
2.1.2 Beneficios de construcción y de seguridad ocupacional
Como el nivel del agua en el pozo se mantiene cerca del nivel del agua subterránea fuera de la lumbrera, se evita la entrada de agua, lo que de otro modo podría causar el movimiento del suelo y conducir a un alto riesgo de asentamiento. El equipo VSM se puede utilizar debajo del agua freática con una alta presión hidrostática y en suelos heterogéneos y rocas duras con una resistencia a la compresión de hasta 140 MPa en capas intermedias.
Todas las instalaciones, incluido el montaje del revestimiento, se controlan de forma remota desde la superficie. Ningún personal tiene que entrar en el pozo hasta que haya alcanzado la profundidad final y esté completamente asegurado. En general, la excavación mecanizada de lumbreras requiere menos personal y maquinaria en el sitio, lo cual reduce el riesgo.
2.1.3 Ventajas ambientales
No son necesarias medidas para el abatimiento de las aguas subterráneas, ya que el concepto de máquina VSM está
diseñado para funcionar bajo el nivel freático. La tecnología VSM permite una construcción de la lumbrera de alta precisión: toda la estructura del ademe está continuamente soportada por las unidades de descenso y guiada por un sistema de medición avanzado con una precisión del 0.2 % o superior. Este alto nivel de precisión permite minimizar el grosor del revestimiento de la lumbrera, reduciendo el volumen de suelo excavado y, en consecuencia, disminuyendo los costos de construcción.
2.2 Componentes de la máquina VSM
El equipo VSM consta de dos componentes principales (fig. 2): la unidad de excavación y la unidad de descenso. La unidad de excavación corta y excava sistemáticamente el suelo. Consiste en un tambor de corte unido a un brazo telescópico que realiza la excavación con un sobrecorte determinado. La unidad de descenso estabiliza en la superficie toda la construcción de la lumbrera contra el hundimiento incontrolado al sostener el peso total de la misma con cables de acero y gatos hidráulicos. Cuando se completa un ciclo de excavación, todo el revestimiento se puede bajar de manera uniforme y precisa.
Un sistema de descarga de lodos elimina el suelo excavado y una bomba de lodos sumergida se encuentra directamente en la carcasa del tambor de corte. Transporta la mezcla de agua y suelo a través de una tubería para lodos a una planta de separación, en la superficie. Toda la operación se realiza desde la superficie y es controlada allí, desde la caseta de control, por el operador. Las funciones de la máquina se controlan a distancia sin necesidad de ver el fondo de la lumbrera o la máquina. La fuente de alimentación para el
VSM sumergido está asegurada por la cadena de cables de energía. Después de alcanzar su profundidad final, el VSM es izado fuera de la lumbrera con los cabrestantes de recuperación y la grúa en el lugar de trabajo.
2.3 Disposición en el lugar de trabajo dentro de la ciudad
Dependiendo de las condiciones de espacio en el sitio, los componentes del VSM se pueden colocar de manera flexible para adaptarse a las circunstancias locales (fig. 3). Como la mayoría de los sitios están ubicados en áreas urbanas densamente pobladas, el acceso para la logística (por ejemplo, camiones, existencias de segmentos o dovelas o eliminación de lodos) es limitado. Con ese propósito, ya existen conceptos especiales para reubicar componentes como la planta de separación, que pueden ser discutidos, si es necesario. La ventaja de la disposición modular y flexible del sistema hace que el VSM sea perfecto para aplicaciones de lumbreras urbanas donde el espacio es limitado.
2.4 Instalación de equipos VSM

Caseta de control Alimentación eléctrica de la VSM Caseta de campo Planta de separación
La unidad de excavación llega al sitio en tres partes: el brazo telescópico con el tambor de corte, el cuerpo principal de la máquina y las piezas del adaptador al diámetro interno del fuste requerido. La unidad de descenso consta de los gatos de cable y los cables de acero enrollados en un tambor. El número de cables depende del peso total previsto del revestimiento de la lumbrera, incluido el peso de la máquina y las fuerzas de flotabilidad y fricción estimadas. Los gatos de cable se atornillan a la base del anillo mediante pernos de anclaje. A partir del carrete del cable, los cables se alimentan a través del gato de cable, se bajan a través del anillo exterior de la pared del ademe y se conectan al borde de corte. Cuando todos los gatos de cable están instalados y conectados al borde de corte, los cables se pueden tensa y transferir las cargas.
Ahora, la unidad de excavación preensamblada se puede bajar a la sección de inicio. El equipo VSM está asegurado mediante pernos de bloqueo activados hidráulicamente. Cuando el VSM está en su lugar, los cabrestantes de recuperación se instalan y conectan a los tres brazos de la máquina. Los cabrestantes de recuperación se utilizan con el fin de extraer el VSM para el mantenimiento requerido o para la recuperación final de la máquina.
A continuación, se instala el sistema de cadena portacables y la unidad de excavación se conecta al suministro hidráulico y eléctrico, así como a las líneas de alimentación y descarga.
La torre de cadena portacables, con su cabrestante, tiene conexiones atornilladas para facilitar el montaje. Como paso final, se realizan todas las conexiones eléctricas e hidráulicas, y el equipo ya está listo para funcionar. Antes de comenzar la excavación, se requiere una calibración del VSM en referencia a la alineación proyectada de la lumbrera para garantizar la operación precisa de la pluma de corte.
2.5 Operación de la VSM - Procedimiento de hincado de la lumbrera
La excavación se controla a distancia desde la cabina del operador en la superficie. Los datos almacenados, junto con la posición de la pluma de corte, se muestran en una pantalla gráfica, lo que proporciona al operador un control total del proceso de excavación e hincado. El brazo de corte se mueve radialmente desde el centro hacia el exterior del pozo con una extensión telescópica adicional. Con una rotación de +/-190°, la pluma de corte cubre toda la sección transversal del pozo. La velocidad de corte y el movimiento de la pluma se pueden variar para lograr la mayor rapidez de excavación. Durante el proceso de excavación e hincado, el pozo se mantiene lleno de agua para equilibrar el nivel freático en la geología circundante. El tambor de corte fracciona y tritura el material a un tamaño granular que puede ser manejado por las bombas de extracción. Un circuito de lodos transporta el material excavado desde el pozo hasta una planta de separación en la superficie.
La unidad de excavación es operable en tres opciones de sobrecorte diferentes. El anillo respectivo debe estabilizarse mediante una suspensión de bentonita-agua en condiciones de suelo blando. Además, cada segmento puede equi-
parse con boquillas de bentonita para la lubricación, las cuales son aptas para utilizar posteriormente e inyectar el anillo. Dentro de la instalación estándar para lumbreras de hasta 50 m de profundidad, la lubricación con bentonita solo se usa en la sección de inicio del pozo.

1. Disposición en el sitio de la obra.
A diferencia del procedimiento de construcción de túneles horizontales, la excavación y la construcción de anillos se llevan a cabo simultáneamente. Es decir, las unidades de descenso mantienen la estructura del pozo ya ensamblada en su lugar hasta que finaliza el ciclo de excavación posterior. Luego, la estructura del pozo se baja a la siguiente posición y la excavación puede comenzar de nuevo (fig. 4). La estabilización del anillo mediante el uso correcto de bentonita, junto con el hundimiento controlado de la lumbrera por medio de las unidades de descenso, minimiza los riesgos de asentamiento.
2.5.1 Revestimiento de la lumbrera
2. Excavación e hincado de la lumbrera en paralelo; la VSM opera bajo el nivel de agua freática.
3. Extracción de la VSM; instalación del tapón de fondo; inyección del anillo.
4. Bombeo del pozo; construcción de la losa de fondo.
Figura 4. Etapas de instalación del hincado mecanizado de lumbreras con el sistema VSM.
En la mayoría de los casos, el revestimiento de la lumbrera consiste en dovelas de concreto prefabricadas instaladas en la superficie. Este proceso —llamado "colocación de anillos"— es comparable al revestimiento segmentado que se utiliza en la construcción de túneles. El anillo se construye en la superficie mediante una grúa. El número de dovelas depende del diámetro del pozo. El trabajo de construcción de anillos incluye la conexión adecuada de los anillos mediante anclajes y pernos, que se pueden manejar desde el exterior de la lumbrera. El proceso de excavación con el equipo VSM no se ve afectado por el sistema constructivo del anillo, por lo que aumenta significativamente la eficiencia de hincado de la lumbrera.
Alternativamente, el vaciado del concreto in situ de las paredes de la lumbrera es otra solución, especialmente para diámetros del fuste más grandes, donde el manejo de dovelas se torna más difícil. En este caso, el avance de la construcción del pozo se ralentiza por el tiempo necesario para instalar el encofrado y el tiempo de fraguado de la estructura de concreto. La ventaja de colado en el lugar es la estructura "continua" sin juntas y la posibilidad de integrar estructuras completas de entrada y salida (por ejemplo, para actividades de construcción de microtúneles en las paredes de la lumbrera). Como se mencionó anteriormente, existe la posibilidad de combinar los dos métodos de revestimiento, con lo que se logra la mejor configuración estructural y funcional a diferentes profundidades dentro de una sola lumbrera.
2.6 Finalización de la lumbrera
Después de alcanzar la profundidad requerida de la lumbrera se debe instalar el tapón de fondo. Por lo general, el equipo
VSM se utiliza con el fin de realizar la sobreexcavación requerida para la losa inferior. Cuando se ejecuta esta excavación final, el VSM puede desconectarse, extraerse con los cabrestantes de recuperación, elevarlo a la superficie sacándolo del pozo con una grúa. El tapón inferior se cuela con concreto bajo el agua. Después de la excavación final, el anillo de la lumbrera se inyecta a través de las líneas de lubricación para estabilizar y anclar la lumbrera a las formaciones geológicas circundantes. Finalmente, el agua del pozo se puede bombear y la lumbrera queda terminada. Entonces, será posible el acceso del personal.
3. PROYECTOS URBANOS
3.1 Grand Paris Express (Francia)
El Grand Paris Express es actualmente el mayor proyecto de obras de infraestructura de Europa, con 200 kilómetros de vías en cuatro nuevas líneas de Metro totalmente automatizadas, con 68 estaciones y 7 centros técnicos. El área metropolitana de la capital francesa cuenta con una red adicional de rutas, diseñadas pensando en la sostenibilidad, cuya principal tarea es conectar los municipios que rodean la ciudad entre sí de manera más eficiente. Desde agosto de 2018, un equipo VSM ha estado en funcionamiento, por primera vez en Francia, en la Línea 15 Sud (T3C). Hasta finales de noviembre de 2019, el VSM12000 había excavado cuatro lumbreras de emergencia y de ventilación para los túneles de la Línea 15 Sur, excavados por una tuneladora. Los pozos tienen hasta 48 metros de profundidad con diámetros interiores de entre 8.3 y 11.9 metros. Hasta ahora, el diámetro exterior respectivo de 12.8 metros es el diámetro más grande jamás instalado por la tecnología VSM con dovelas prefabricadas de concreto.
3.1.1 Construcción de lumbreras de gran diámetro En la construcción mecanizada de lumbreras de gran diámetro, el empleo flexible y las opciones de configuración de todos los componentes VSM son una ventaja importante de la tecnología VSM. Dentro de una superficie determinada de obra, en condiciones extremadamente restringidas del centro
de la ciudad, todos los componentes se pueden organizar de acuerdo con las condiciones disponibles de espacio, lo que permite la construcción simultánea de una lumbrera de gran diámetro. Sin embargo, la planificación detallada de la logística del lugar de trabajo y la organización del proceso general es obligatoria antes de la llegada del equipo al sitio. A medida que aumenta el diámetro, la disposición de los anillos y el número relacionado de dovelas deben adaptarse. Para el gran diámetro interior de 11.9 metros, en París, se han utilizado seis segmentos para la construcción del revestimiento de la lumbrera. La entrega a tiempo de las dovelas prefabricadas grandes y pesadas requirió una planificación detallada y una adaptación al progreso del hundimiento durante la construcción. En la fig. 5 se muestra el diseño del sitio de trabajo para la primera lumbrera.
3.1.2 Emisiones de ruido
Además, el cliente y el contratista consideraron el nivel significativamente menor de emisiones de ruido como un beneficio decisivo adicional de la tecnología VSM en comparación con los métodos convencionales de construcción de lumbreras. Durante la construcción de la lumbrera, los componentes principales del equipo VSM trabajan bajo el agua y reciben energía eléctrica. En lugar de utilizar generadores diésel, la energía eléctrica para el sitio de trabajo de la VSM fue proporcionada por la red eléctrica municipal. Así, se logró una reducción considerable de las emisiones de ruido.

carbono en los proyectos de construcción. El sistema VSM permite una instalación mucho más rápida en las obras gracias a los componentes modulares del equipo de trabajo. Al acelerar el proceso, la máquina reduce el tiempo total de funcionamiento y, en consecuencia, el consumo de energía asociado a las actividades prolongadas de la obra. Esto no solo mejora la eficiencia de la construcción, sino que también reduce las emisiones de CO₂. En segundo lugar, el revestimiento de la lumbrera del VSM funciona como revestimiento permanente del pozo, lo que elimina la necesidad de trabajos adicionales a base de concreto. La producción y el transporte del concreto son las principales fuentes de emisiones de CO₂ en la construcción, por lo que reducir la cantidad de concreto necesaria tiene un impacto directo y significativo en la huella de carbono general del proyecto. Finalmente, la máquina VSM y los equipos afines (por ejemplo, paquetes de energía y planta de separación) funcionan completamente con la red eléctrica pública, lo que elimina la necesidad de que motores de combustión operen en el sitio y reduce las emisiones de efecto invernadero. En las regiones donde la red eléctrica depende cada vez más de las energías renovables, los beneficios medioambientales son aún más pronunciados. Al integrar procesos más rápidos, reducir el consumo de materiales y confiar en fuentes de energía más limpias, la máquina VSM proporciona una solución con visión de futuro para una construcción respetuosa con el medio ambiente, alineando la eficiencia con la sostenibilidad.
3.1.4 Movilidad
Debido a las ubicaciones en zonas céntricas de la ciudad de los diferentes sitios de construcción de lumbreras, se requirió una movilización y desmovilización rápida y sin problemas de todos los componentes del VSM y una planificación logística detallada, no solo antes del inicio de la construcción del primer pozo, sino también para el desmontaje, transporte e instalación del equipo VSM en ubicaciones posteriores. Después de completar la lumbrera, el desmontaje y el montaje del equipo en la siguiente ubicación se llevaron a cabo simultáneamente, debido a la flexibilidad y al diseño compacto del equipo VSM. Un tiempo de tres semanas desde la recuperación de la máquina en una lumbrera hasta la preparación para excavar en la siguiente ubicación fue un logro notable del equipo de trabajo y de logística.
3.1.5 Condiciones del subsuelo
3.1.3 Emisiones reducidas de CO2
La máquina VSM ofrece importantes ventajas medioambientales, especialmente en cuanto a la reducción de las emisiones de CO₂. Su diseño innovador y su eficiente proceso de construcción ayudan a minimizar la huella ambiental de
Las difíciles condiciones geológicas debidas a los estratos cambiantes, que van desde una arcilla muy cohesiva hasta piedra caliza con una resistencia a la compresión de hasta 100 MPa, requirieron en todo momento un monitoreo continuo, la adaptación de los parámetros de excavación y la corrección de la posición del pozo. Debido a la arcilla expansiva esperada, el sobrecorte alrededor del revestimiento de la lumbrera tuvo que adaptarse de manera flexible para evitar que la estructura de la lumbrera se atascara. Las herramientas de
corte se ajustaron regularmente, de acuerdo con las condiciones del suelo, para lograr tasas de rendimiento óptimas. Además, se ha utilizado un sistema de boquillas de alta presión para limpiar el tambor de corte durante la excavación en condiciones de suelo pegajoso con el fin de mantener las tasas de producción. El diseño modular del equipo de separación proporcionó la capacidad de adaptarse a las condiciones del suelo y al espacio en cada ubicación de la lumbrera, y para el uso flexible de cribas gruesas y finas, diferentes etapas con ciclones y una centrifugadora.
3.2 Otras lumbreras de túneles construidas con equipo VSM en Europa
3.2.1 Nápoles (Italia)
La construcción de túneles excavados bajo el centro histórico de la ciudad de Nápoles —declarado Patrimonio de la Humanidad por la UNESCO— exigió una planificación precisa y tecnología de vanguardia. Un elemento crucial en este proyecto fue el uso de la máquina de hincado de lumbreras verticales (VSM), que desempeñó un papel central para garantizar la finalización exitosa y eficiente de los componentes clave de la obra de infraestructura (fig. 6).
La máquina VSM se encargó de perforar lumbreras verticales desde la superficie hasta el nivel del túnel, para ventilación y para servir como salidas de emergencia. En el transcurso del proyecto, la máquina excavó diez pozos, cada uno con un diámetro de 4.5 metros y profundidades de hasta 45 metros. La tecnología y el diseño del VSM demostraron ser efectivos, particularmente dadas las calles estrechas y el espacio limitado, en Nápoles. Su tamaño compacto lo hizo ideal para entornos urbanos, y la reducción de las molestias acústicas aseguró que los residentes de los alrededores se vieran solo levemente afectados por el trabajo.

simultáneos del pozo, utilizando dovelas prefabricadas de concreto para garantizar la estabilidad del suelo a medida que avanzaba la máquina. Además, las estrictas condiciones del sitio de construcción requerían una solución eficiente en el espacio, convirtiendo el VSM en la opción preferida por sobre los métodos convencionales. A diferencia de estos — que demandan grandes áreas de trabajo y amplias medidas de preparación del terreno—, el diseño compacto y modular del VSM permitió un funcionamiento eficiente en un entorno urbano altamente restringido. Una vez que se completó una lumbrera, el diseño modular del VSM permitió un rápido desmontaje y transporte al siguiente sitio, optimizando aún más el flujo de trabajo.
Mientras que dos tuneladoras (TBM) de equilibrio de empujes de tierra (EPB) también operaban bajo tierra para perforar los túneles gemelos del Metro, el trabajo visible de la VSM en la superficie fue fundamental para la óptica general del proyecto con el público, mostrando un enfoque moderno y eficiente para la construcción subterránea en un área histórica y altamente sensible.
3.2.2 Barcelona (España)
Con velocidades de hasta 350 km/h, los trenes de alta velocidad de la línea AVE conectan las principales ciudades de España —Madrid y Barcelona— con la frontera francesa. Un trayecto importante de la ruta discurre bajo tierra, lo que requiere la instalación de vías de evacuación y de conductos de ventilación. Para ello, se desplegaron dos máquinas de hincado de lumbreras verticales (VSM) con el propósito de excavar un total de seis pozos a lo largo del tramo de la vía de Montcada a Trinitat, demostrando las capacidades de la tecnología VSM en entornos desafiantes (fig. 7).
El primer pozo fue particularmente exigente, pasando por diferentes condiciones geológicas —desde muy blandas hasta extremadamente duras—, para llegar a una profundidad de 56 metros. Los 15 metros superiores consistían en arena suelta y grava, mientras que los 42 metros restantes requerían penetrar roca de pizarra de cuarzo duro de 200 MPa. Esto se logró utilizando el VSM equipado con dos ruedas de corte especializadas, concebidas para la variación de las condiciones del suelo. El principal desafío en esta área densamente poblada fue evitar los asentamientos del suelo durante la construcción de las lumbreras, una tarea para la cual se diseñó expresamente el VSM.
Durante la construcción de la primera lumbrera se logró un avance diario de 3.5 metros, con una operación de 16 horas y 2 turnos. Al hincar y revestir simultáneamente el pozo con dovelas prefabricadas de concreto, el proyecto avanzó de manera rápida y segura. El primer pozo se completó el 2 de octubre de 2009. A mediados de 2012 se terminó una lumbrera de seguimiento.
El equipo VSM ofrecía más ventajas con sus tasas de producción diarias, avanzando casi cinco metros cada día. Esta rapidez fue posible gracias a la perforación y el revestimiento
En 2015, se desplegó un segundo VSM para construir una lumbrera adicional para la línea ferroviaria de alta velocidad. La máquina continuó su trabajo en 2019, perforando tres
lumbreras más para el proyecto, demostrando así la continua fiabilidad y eficiencia del VSM en la entrega de obras de infraestructura críticas para la red ferroviaria de alta velocidad de España.

La tecnología VSM se eligió específicamente debido a la densa red de obras de infraestructura subterránea existentes, que requería una instalación de lumbreras de alta precisión.
La proximidad de los edificios sobre el suelo también exigía una solución que pudiera minimizar el riesgo de asentamientos para evitar daños estructurales. A diferencia de los métodos convencionales, el VSM permitió una construcción de lumbreras precisa y sin asentamientos, lo que lo convierte en la opción lógica para este complejo proyecto urbano.
Mientras que las tuneladoras (TBM) se encargaron de la excavación de los tramos subterráneos, los equipos VSM instalaron la infraestructura de seguridad necesaria, demostrando la eficacia del método y el equipamiento en proyectos urbanos de gran envergadura.
La tendencia actual y mundial en los entornos urbanos es construir cada vez más obras de infraestructura subterránea, lo que ha generado una creciente demanda para la construcción de lumbreras. En condiciones de suelo desafiantes con altos niveles de agua subterránea y profundidades de pozo crecientes, los métodos convencionales afrontan límites técnicos y económicos. El enfoque de construcción mecanizada con equipo VSM tiene muchas ventajas en términos de presupuesto, tiempo de construcción y seguridad ocupacional, lo que ha sumado un total de más de 111 proyectos de VSM donde se han construido lumbreras con éxito en entornos urbanos densamente poblados. Estos avances tecnológicos continuos amplían significativamente las aplicaciones potenciales de las máquinas de excavación de lumbreras verticales, lo cual induce a que los proyectos alcancen profundidades crecientes y con dimensiones de lumbrera considerablemente mayores. Para el desarrollo urbano futuro, el almacenamiento subterráneo de bienes y los conceptos de generación sostenible de energía serán consideraciones importantes que requerirán enfoques seguros, económicos y ecológicos para la construcción de lumbreras. La tecnología VSM tiene el potencial de desempeñar un papel clave en la implementación de aplicaciones subterráneas verticales, como el almacenamiento de energía hidrotérmica, la producción subterránea de alimentos o los centros logísticos para las cadenas de suministro urbanas. Al proporcionar una construcción de lumbreras altamente precisa y eficiente en el espacio, el sistema VSM abre nuevas posibilidades para lograr infraestructuras sostenibles y preparadas para el futuro en áreas metropolitanas densamente pobladas.
Traducción realizada por Raúl Francisco Esquivel.
Apreciamos su opinión e información sobre el tema de este artículo. Escríbanos a norma@xantus.com.mx

RESEÑAS IR A TEXTO CORRIDO
New approaches in foundation engineering
Salih Yilmaz, Intech Open, London, UK. 2022.
Este libro ofrece una explicación de algunos temas selectos de ingeniería de cimentaciones. Los capítulos abordan los siguientes temas: las propiedades de los suelos tropicales en Brasil; interpretación de pruebas de carga en
cimentaciones profundas; suelos arcillosos reforzados con fibra de vidrio; reducción de emisiones de carbono para estructuras de gran altura, utilizando combinación de losas-pilotes; diseño eficiente de casas de máquinas subterráneas; diseño de protección contra roca kárstica.

11 - 13
Marzo 2° Simposio Internacional sobre Depósitos de Jales Hermosillo, Sonora https://2sisdj-hermosillo-2026.com.mx/
20 y 30
Abril 5° Simposio Internacional de Suelos no Saturados Universidad Autónoma de Querétaro Querétaro, México https://www.smig.org.mx/archivos/ eventos-smig-2026/5-simposio-suelos.png
6 - 10
Agosto 12º Simposio Internacional sobre Monitoreo de Campo en Geomecánica (ISFMG 2026) Indore, India https://isfmg2026.com
Septiembre
16 - 18
11
Junio 8th International Young Geotechnical Engineers Conference Graz, Austria https://www.issmge.org/events/8iygec
14 - 19
Junio 21st International Conference on Soil Mechanics and Geotechnical Engineering Viena, Austria https://www.icsmge2026.org/en/
Octubre
30 - 6
Noviembre
Noviembre
11
4º Simposio Internacional sobre Preservación de Monumentos y Sitios Históricos Atenas, Grecia https://tc301-athens.com/ .com
XV Congreso de la Asociación Internacional de Ingeniería Geológica y Medio Ambiente Delft, Países Bajos https://www.iaeg2026.org/150970/home
XXXIII Reunión Nacional de Ingeniería Geotécnica y XXIV Reunión Nacional de Profesores de Ingeniería Geotécnica Palacio Mundo Imperial Acapulco, Guerrero https://www.smig.org.mx/archivos/ eventos-smig-2026/ yer-promo-rnig-rnpig.pdf

Margarita Puebla Cadena
Profesora del departamento de Geotecnia
Facultad
de Ingeniería UNAM
Agustín Demeneghi Colina
Profesor
del departamento de Geotecnia
Facultad de
Ingeniería
UNAM
Ante los requerimientos de revisión, evaluación, modificación e, incluso, elaboración de planes de estudio en las distintas instituciones de enseñanza superior, surge la necesidad, por parte de la comunidad académica, de contar con criterios pedagógicos que la auxilien para dichas tareas, respondiendo a interrogantes como: ¿por dónde se empieza?, ¿qué aspectos se deben tomar en cuenta?
Un plan de estudios es, al mismo tiempo, un documento epistemológico y social. Es epistemológico porque articula el estudio de una o varias disciplinas desde una teoría del aprendizaje, reconoce el crecimiento constante del conocimiento y orienta la práctica docente. Es social porque define a qué sectores se dirige prioritariamente, qué formas de ejercicio profesional habilita y qué criterios de selección y secuencia de contenidos establece. Desde esta doble dimensión, presentamos una propuesta de análisis curricular orientada a revisar, actualizar, reformular o elaborar un plan de estudios.
Para abordar el eje EPISTEMOLÓGICO se sugiere iniciar indagando lo relativo al desarrollo del conocimiento. Para ello resulta conveniente realizar una investigación, consultando a los diversos sectores de la comunidad profesional respecto al estado del arte de cada una de las ramas de la carrera, averiguando cuáles son los conceptos novedosos, técnicas, enfoques, etc. que han surgido, tanto en los trabajos nacionales e internacionales de investigación, como en la práctica profesional, con el fin de incorporarlos donde corresponda.
LA IDEAS BÁSICAS, UN FUNDAMENTO ESENCIAL DE LO CURRICULAR
Ahora bien, antes de comenzar a agregar nociones indiscriminadamente, conviene discernir qué temas o contenidos deben quitarse, o bien ser tratados con menos énfasis —y, por lo tanto, menos tiempo— dentro de los programas. ¿Con qué criterio se decide lo anterior? Se sugiere que los programas de cada materia se formulen en función de las ideas básicas, que son los contenidos que estructuran, arman o sostienen una disciplina. Haciendo una analogía: las ideas básicas son las columnas y trabes —o los muros de carga— que sostienen el edificio (la materia o asignatura). Así pues, se deben priorizar los contenidos con los que se requiere operar, trabajar o ejecutar lo propio de la disciplina (que constituyen las ideas básicas) sobre aquellos contenidos más descriptivos y menos aptos para la ejecución. Un ejemplo de ello es, en el caso de los suelos, las propiedades mecánicas, que permiten operar y calcular diversos aspectos de los suelos, como su resistencia al cortante y su deformación, mientras que las propiedades índice funcionan de una forma más descriptiva que operativa.
El trabajo consiste en definir las ideas básicas de cada disciplina, de cada área de la misma y de cada una de las materias, con el fin de incluir los avances importantes y excluir o acortar los temas de menor peso conceptual u operativo. Es un trabajo arduo y complicado, que debe involucrar a todos los sectores: profesores, investigadores e ingenieros de la práctica, y lleva tiempo y esfuerzo. Sin embargo, es absolutamente indispensable en cualquier cambio o revisión curricular. A veces, debido a lo complejo de dicha labor por las presiones de tiempo, se opta por incorporar en automático todos los temas novedosos, con lo cual se saturan las materias, en detrimento del aprendizaje de los alumnos. Llega a suceder que, ante la necesidad de incorporar nuevos contenidos, se hacen “fusiones” de materias, logrando en muchos casos obstáculos epistemológicos que funcionan como “tapones” de selección de alumnos en las carreras profesionales.
Un plan de estudios con muchos obstáculos epistemológicos indica una deficiencia en su formulación, ya que revela que no se debatieron las ideas básicas, por ignorancia metodológica, flojera, prisas u otras razones de tipo político que contribuyen al inadecuado funcionamiento curricular.
Lo anterior suelen pagarlo los alumnos en forma de sobrecarga de trabajo escolar y reprobación, con la consecuente baja en la autoestima, ansiedad, depresión y demás problemas emocionales. Solo cuando se presentan crisis en forma de protestas y paros potenciales o reales, se toman medidas para paliar los errores o falencias en la estructuración curricular.
¿DURACIÓN DE LA CARRERA O DIVERSIFICACIÓN PROFESIONAL?
Un asunto de suma importancia que no conviene soslayar es el referente a la duración de la carrera. Si bien, en general, al revisar o actualizar un currículo se parte de un tiempo establecido para cursar una carrera, sucede que el conocimiento disciplinar está en constante crecimiento y puede ocurrir que, por más que se intente incorporar los conceptos novedosos en el plan de estudios de acuerdo con lo ya mencionado al respecto de las ideas básicas, los programas de las materias quedan sobresaturados de contenidos. En este caso resulta inevitable plantearse la necesidad de aumentar la duración de la carrera o bien dividirla en dos o más carreras profesionales con enfoques especializados. Tal es el caso de la carrera de “ingeniero mecánico–electricista” que se convirtió en dos: “ingeniero mecánico” e “ingeniero eléctrico–electrónico”.
Si bien una medida de esa envergadura tiene consecuencias en la práctica profesional de los egresados (se reduce el espectro), la insistencia en conservar el enfoque generalista de una carrera puede conducir a su empobrecimiento disciplinar y a una enseñanza superficial de la misma («El que mucho abarca, poco aprieta»).
De cualquier modo, lo que debe decidir la duración de la carrera es su integración y solidez conceptual (que se alcancen a tratar a profundidad los temas que constituyen su estructura disciplinar) y no criterios políticos o modas curriculares ocasionales.
RELACIÓN ENTRE LA TEORÍA Y LA PRÁCTICA
Otro aspecto EPISTEMOLÓGICO importante es el correspondiente a la relación entre teoría y práctica (entendiéndose por práctica un fenómeno físico o un problema concreto que se presenta en el ejercicio profesional). Sin entrar en el detalle, se debe decir que para la adecuada adquisición del conocimiento se requiere que exista una relación dialéctica entre la teoría (modelo matemático) y la práctica (la física del problema) en cada disciplina y en cada materia. Así pues, estudiar conceptos teóricos —sin vincularlos con el fenómeno físico al que aluden, ya sea porque se estudian en materias que están muy distantes en el mapa curricular, o porque hay materias en las cuales se ve pura teoría— sin relacionarlos con fenómeno físico alguno, conduce necesariamente a una merma en aprendizaje significativo por parte de los alumnos.
Una relación dialéctica entre teoría y práctica se da cuando la práctica interroga a la teoría: el hecho de que una estructura se ha hundido (problema práctico) lleva a la interrogante de cómo calcular el hundimiento (problema teórico, modelo
Cómo
matemático), y cuando es la teoría la que interroga a la práctica (el uso de metodología computacional (teoría), permite cambiar la forma de trabajo (práctica).
Lo anterior, a nivel curricular, plantea la necesidad de que la organización de las materias en el mapa curricular favorezca la relación teoría–práctica. Por ejemplo, si se coloca Geología en los primeros semestres y se ubican Comportamiento de Suelos y Mecánica de Suelos en semestres alejados de ella, sucede que el alumno pierde perspectiva y no relaciona fácilmente la geología con las materias posteriores. Esa pérdida de perspectiva es una merma en el aprendizaje significativo. Por otra parte, si estructuramos el plan de estudios de tal forma que vemos las materias de ciencias de la ingeniería sin aplicaciones y dejamos estas últimas al final de la carrera, estamos obstaculizando el aprendizaje, sin percatarnos, mínimamente, de ello. Lo más adecuado es, de ser posible, que en cada asignatura se trabaje el concepto teórico y su aplicación (aunque sea parcial).
CONCEPCIÓN DE APRENDIZAJE EN EL PLAN DE ESTUDIO
Otro elemento EPISTEMOLÓGICO —que no siempre resulta evidente— es la concepción de aprendizaje que sustenta un plan de estudios. Y no es evidente porque casi siempre está implícita y hay que “despejarla”. ¿Cómo hacerlo? Pues, si nuestra forma dominante (la más frecuente) de trabajo curricular consiste en dar el “formulazo” y pedir la realización de series de ejercicios en las que se trabaja sustituyendo valores numéricos en el modelo matemático, lo que estamos haciendo es promover en el alumno la aplicación mecánica de fórmulas (aunque en la justificación del plan de estudios se diga que se trabaja desde el constructivismo o desde cualquier otro enfoque). Así pues, la concepción de aprendizaje resulta de la forma dominante de trabajo de los profesores. Por ello, un plan de estudios debe acompañarse de la formación metodológica del personal docente que lo imparte.
CONTRATACIÓN DE PROFESORES Y FORMACIÓN PEDAGÓGICA PERMANENTE
Para incidir en ella se requiere empezar por los criterios de contratación de profesores. Si se va a emplear, siguiendo los criterios de contratación más frecuentes, para las materias de ciencias básicas a matemáticos o físicos que no tienen la más mínima idea de los problemas de ingeniería (ni les importan) o, para las materias de ciencias de la ingeniería e ingeniería aplicada a doctores muy jóvenes que no han tenido tiempo para adquirir experiencia práctica en la profesión y, además, en todos los casos, que carecen de formación pedagógica alguna… ¿cómo extrañarse de que la forma de trabajo dominante en las escuelas de ingeniería sea heterogénea, rústica e inconsciente y de que la teoría y la práctica estén distanciadas e incluso sean ajenas entre sí?
Toda propuesta curricular debe acompañarse de un programa congruente y explícito de trabajo docente (y de una
formación pedagógica permanente de los profesores) que se dirija más al fomento de las habilidades del pensamiento en los alumnos (porque son las que inciden en el pensamiento crítico), que al adiestramiento de los docentes en el uso de plataformas educativas.
UNA DIMENSIÓN INDISPENSABLE:
LA FORMACIÓN HUMANÍSTICA
Al hablar de pensamiento crítico (tener criterio propio o la habilidad para analizar y evaluar información cuestionando supuestos, identificando falacias y elaborando juicios fundamentados, así como resolver problemas complejos), se hace evidente la necesidad de una formación de tipo humanístico, que aumenta el vocabulario de los alumnos y permite la lectura a profundidad, disminuyendo el analfabetismo funcional (incapacidad de entender lo que se lee). En estrecha relación con ella está la formación de tipo social, que permite al estudiante conocer y evaluar el contexto en el que vive y trabajará, para que actúe en forma responsable y asertiva.
Los aspectos humanísticos y sociales combinados aumentan el capital cultural de los alumnos. Este es mucho más que un “barniz de cultura”, pues constituye la herencia de la experiencia de la humanidad (una especie de ADN cultural).
El eje SOCIAL de un plan de estudios se erige en función de cuál o cuáles de los distintos sectores que conforman la comunidad profesional (empleadores, profesores, investigadores e ingenieros de la práctica o políticos) se consulta en forma preferencial para la elaboración del diagnóstico de necesidades que da origen al plan de estudios.
El otro elemento constitutivo del eje SOCIAL del currículo es la investigación de los diferentes tipos de práctica profesional (decadente, dominante y emergente) que constituyen el plan de estudios a revisar, o que serán alrededor de las cuales se estructurará una nueva propuesta. Tanto para la indagación del diagnóstico de necesidades como para la de la práctica profesional se requiere hacer un trabajo amplio de consulta y tener mucho cuidado de no sesgarla, ya que ello desembocaría en un detrimento de la calidad, alcance e influencia de la vida profesional de los egresados y en el impacto del plan de estudios en la práctica de la profesión.
UN MAPA CURRICULAR CON CRITERIOS PERTINENTES
Otro asunto de mucha importancia es el relativo a la seriación o secuenciación de las materias en el mapa curricular. En este sentido conviene recordar que una seriación demasiado rígida y exagerada es contraproducente, tanto por el efecto que produce en los alumnos (frustración, ansiedad, desánimo y deserción escolar) como en el aspecto político (puede generar, riesgosamente, movimientos estudiantiles, paros, etc.)
Lo recomendable es que la secuenciación sea mínima y muy bien estudiada.
COLOFÓN PARA ACTUAR
A manera de conclusión podemos decir que el análisis de un plan de estudios debe considerar dos ejes: el EPISTEMOLÓGICO y el SOCIAL. Ambos están relacionados entre sí, pero para efecto de simplificación se plantean por separado.
El eje EPISTEMOLÓGICO implica precisar: el crecimiento disciplinar (considerando las ideas básicas para incorporarlo a las materias), la relación entre teoría y práctica (de manera que no se traten por separado y guarden una relación dialéctica entre sí) y la concepción de aprendizaje que sustenta la propuesta curricular en cuestión (la cual se conoce a través de detectar la forma más frecuente de trabajo en el aula)
El eje SOCIAL, por su parte, requiere realizar un diagnóstico de necesidades y una especificación de la práctica profesional con las cuales se construirá el plan de estudios.
En su conjunto, una modificación curricular —y no se diga una propuesta nueva de planes de estudios— es una labor ardua y compleja que exige amplias consultas a diferentes sectores, toma de decisiones consensuadas y equilibradas y, en paralelo, un cuidado mayúsculo en lo relativo a los contenidos y la metodología de trabajo en el aula. Todo esto debe ser continuo y permanente. Pese a lo difícil del proceso, la conveniencia de realizarlo del mejor modo posible radica en que un buen currículo beneficia al estudiante, a la institución educativo-escolar y a la sociedad.
ARNAZ, J.A. (1991): La planeación curricular, Ed. Trillas, México
DÍAZ BARRIGA, A. (1984): Ensayos sobre la problemática curricular, Ed. Trillas, México
DÍAZ BARRIGA ARCEO, F. et. al. (1992): Metodología del diseño curricular para educación superior, Ed. Trillas, México
FOLLARI, R. y BERRUEZO, J. (1979): Criterios e instrumentos para la revisión de planes de estudios, Ed. CADA, UAM Azcapotzalco.
GIL, D. (1993): Historia y epistemología de las ciencias, Col. Enseñanza de las ciencias, Universidad de Valencia, España.
GIMENO SACRISTÁN, J. (1996): El currículum: una reflexión sobre la práctica, Ed. Morata, Madrid.
GIRUOX, H. (1990): Curriculum and instruction. Alternatives in education, Ed. Mc. Cutchan, Berkeley.
PANZA, M: (1997): Pedagogía y currículo, Ed. Gernika, México.
PUEBLA, M. (2000): Análisis curricular de la carrera de Ingeniería Civil. Tesis de Maestría en Enseñanza Superior, México.
STENHOUSE, L. (1984): Investigación y desarrollo curricular, Ed, Morata, Madrid.
TABA, H. (1987): Elaboración del currículo. Teoría y práctica, Ed. Troquel, Buenos Aires.
TYLER, R. (1986): Principios básicos del currículo, Ed. Troquel, Buenos Aires.
Walter I. Paniagua Pilotec
En este trabajo se presenta una recopilación bibliográfica de las principales características de la cimentación del Palacio de los Deportes, una de las obras olímpicas emblemáticas de los juegos celebrados en 1968, en la Ciudad de México. Es importante señalar el comportamiento satisfactorio que ha presentado la estructura ante eventos sísmicos, así como el hundimiento regional, después de 60 años de su diseño y construcción.
(Candela et al., 1968)
El programa del Palacio de los Deportes se estableció con miras a satisfacer las necesidades de los eventos olímpicos bajo cubierta, así como las de espectáculos que le asignaban una utilidad permanente. Quedaron determinados, entre otros, el basquetbol, volibol, boxeo, gimnasia, lucha, judo, esgrima y algunos deportes de pista y campo.
La estructura, que en proyectos normales ejerce un papel auxiliar, se volvió aquí la característica dominante del proyecto, y se buscó lograr con ella una forma interesante desde cualquier punto de vista: exterior, interior, nivel de peatón y aéreo.
Se optó por una cúpula esférica con estructura metálica, tratando de evitar la monotonía de una solución con armaduras radiales y perímetro circular. La solución propuesta es extremadamente ligera (60 kg/m2 de acero), ya que las armaduras trabajan prácticamente a compresión axial, y eliminan los elementos secundarios, sustituyéndolos por estructuras laminares de aluminio y madera, que constituyen la cubierta propiamente dicha.
La estructura soportante es una retícula ortogonal de armaduras de acero de altura constante de 5 m, dispuestas según círculos máximos de una esfera y separadas angularmente 8º. La cubierta queda limitada por cuatro círculos máximos y dividida en 121 cuadros, cuyos lados varían de 13 a 10 m. Cada cuadro va cubierto por cuatro superficies en forma de paraboloide hiperbólico, con dos capas de triplay marino, sobre una retícula de aluminio; la superficie externa está forrada con lámina de cobre de 13.5 milésimos de pulgada.
2. PROYECTO ESTRUCTURAL (Guerrero, 1968)
El área que ocupa el Palacio es de 27,000 m2 en total: 5,000 m2 de pista y 22,000 m2 de tribunas, servicios y accesos. La techumbre cubre una superficie en planta de 13,700 m2 con claros libres de 135 m aproximadamente (fig. 1).
Existen varios puentes y una plataforma principal de acceso, desde el nivel del terreno a la losa de nivel de accesos, salvando la calle perimetral. Estas estructuras son de concreto y se encuentran desligadas de la estructura principal. El nivel de la pista y sótano respecto del terreno natural es de - 1.6 m y la cumbrera de la techumbre es + 47.00 m.

La estructura del nivel accesos, tribunas, servicios, etc. es de concreto, excepto la zona de gimnasia de calentamiento, en la que se cubren claros de aproximadamente 20 m con armaduras metálicas que reciben a las tribunas alta y baja de esa zona; los elementos estructurales de la techumbre los constituyen arcos de acero y tubo de aluminio, formando paraboloides hiperbólicos con claros de 12 x 12 m aproximadamente, que sostienen la madera y lámina de cobre, que, a su vez, constituyen propiamente la cubierta.
La cimentación está constituida por una losa maciza de 20 cm de peralte, que sirve como piso de sótano, y una retícula de contratrabes invertidas apoyadas en pilotes de fricción. El peso de la estructura, incluyendo la cimentación, es de 3.5 t/m2 en el área de la cimentación; la excavación es de 1.8 m, por lo que la descarga al suelo es 2.5 t/m2 y la presión neta al terreno es 1 t/m2. Dada la alta compresibilidad del suelo, se optó por tomar la totalidad de la carga con los pilotes, con capacidad teórica de 55 t cada uno, por lo que el número de pilotes es 1,407. Los pilotes tienen 37 m aproximadamente de largo, y se apoyan en la primera capa dura.
La retícula de contratrabes está orientada según los ejes radiales y circunferenciales, y está diseñada para tomar la reacción de los pilotes y, en su caso, la reacción de la losa de cimentación, con capacidad adicional para absorber hundimientos diferenciales, limitándose a un máximo de 15 cm aproximadamente, establecidos con base en consideraciones sobre comportamiento del suelo, y es también el límite para el que se diseñaron la cubierta metálica y los marcos de las tribunas.
Las tribunas están constituidas por un sistema de vigas apoyadas en una serie de marcos radiales y circunferenciales. El claro de las vigas llega a ser hasta 10.5 m y el de las trabes de los marcos hasta 11 m, aproximadamente.
La estructura de la techumbre se solucionó mediante una retícula de 22 arcos de 5 m de peralte formados por diagonales, montantes y cuerdas. Estas últimas son tubos de acero de 20 cm de diámetro, cédula 30. La retícula carga unos paraboloides hiperbólicos formados por otra retícula de tubos de aluminio, que soportan, a su vez, la cubierta de triplay marino revestido con lámina de cobre engargolada (fig. 2).

(Reséndiz, 1968)
3.1 Estratigrafía y propiedades
Los resultados típicos de un sondeo continuo en el área ocupada por la estructura se muestran en la fig. 3. A grandes rasgos, puede decirse que de 0 a 60 m se encuentran cuatro estratos principales:
a. Una capa limoarcillosa superficial, con contenido de agua de alrededor del 100 por ciento, de espesor variable entre 2 y 6 m.
b. Un gran estrato de arcilla muy compresible, con contenido de agua entre 400 y 500 por ciento, que termina a 40 m de profundidad, intercalado con pequeñas capas arenoarcillosas. Una de ellas, a profundidad media de 10 m, parece ser continua, y las otras, de forma lenticular.
c. Una capa limosa relativamente resistente (resistencia a la penetración estándar entre 20 y 200 golpes para 30 cm de avance) de espesor próximo a 5 m.
d. Un segundo estrato arcilloso de composición semejante al superior, pero con contenido de agua menor, entre 150 y 250 por ciento, intercalado también con lentes de material limoso o arenoso. La densidad de sólidos típica de los estratos arcillosos es 2.3 y la de los limosos 2.5.

Además de las variaciones de agua, la fig. 4 muestra los límites líquido y plástico, la resistencia a la compresión en prueba no consolidada-no drenada, la resistencia al corte con veleta in situ, el módulo de variación volumétrica, la resistencia a la penetración estándar y las cargas de preconsolidación.
De los valores de la carga de preconsolidación se desprende que los depósitos arcillosos son normalmente consolidados, pero han estado sujetos a desecación superficial y esta ha preconsolidado la costra superficial hasta una profundidad de aproximadamente 10 m.
3.2 Condiciones piezométricas
El nivel freático en el sitio de la obra se encuentra aproximadamente a 2.5 m de profundidad, con variaciones estacionales de ± 0.5 m. Los piezómetros instalados (a 20, 40, 45, 60 y 100 m de profundidad) permitieron determinar la distribución de presiones de poro con la profundidad en el sitio de la obra.
En los estratos comprendidos entre 60 y 100 m de profundidad (arenas y limos arenosos) el abatimiento piezométrico es hasta de 19 t/m 2 con respecto a la presión hidrostática. Esta deficiencia de presión provoca un flujo de agua descendente que consolida los estratos arcillosos y que produce hundimientos con velocidad próxima a 15 cm/año, la mayor parte de los cuales son atribuibles a consolidación de los dos estratos arcillosos.
3.3 Tipo de cimentación
Después de analizar diversas posibilidades, se optó por una cimentación piloteada, consistente en pilotes de sección variable, con una capacidad de carga por punta tal que para cualquier valor de la penetración en el estrato de apoyo, se cumpla la doble desigualdad: Q – Cf < C p < Q + Cf (1)
Cf capacidad de carga por fricción, a largo plazo C p capacidad de carga por punta Q carga aplicada a la cabeza de los pilotes
Con este criterio se usaron 1,407 pilotes cuyas características geométricas se muestran en la fig. 4. Así, el valor máximo de Q esperado es algo menor de 55 t.
Estimaciones analíticas verificadas mediante pruebas de carga en 35 pilotes en el sitio, permitieron dar los siguientes intervalos probables de las capacidades de carga: Cf entre 50 y 75 t, C p entre 5 y 10 t.
Con respecto al valor de C p, sin embargo, se temió inicialmente que en ciertos pilotes pudiera ser mucho mayor, en vista de que el estrato de apoyo mostraba, erráticamente, sitios con muy alta resistencia a la penetración estándar. Para evitar concentraciones de carga en la subestructura y para garantizar el cumplimiento de la segunda parte de la

4. Características generales de los pilotes.
desigualdad (1), la porción inferior de los pilotes, de 5.4 m de longitud, se fabricó con tubo metálico cédula 40, de 4” de diámetro, de modo que, en caso de no penetrar en el estrato de apoyo bajo 45 t de carga en la punta, la sección metálica fluyera plásticamente. Por otra parte, para garantizar el apoyo de los pilotes en el estrato limoso, antes de la hinca se obtuvo la configuración de ese estrato mediante un extenso programa de sondeos exploratorios.
La losa nervada de la cimentación se diseñó como una segunda línea de defensa. El comportamiento esperado del conjunto de pilotes permitía prever que la presión de contacto losa-suelo sería pequeña a corto plazo y disminuiría con el tiempo. Pero, durante las pruebas de carga de pilotes en el sitio, se encontró que algunos de ellos mostraban penetraciones relativamente grandes antes de tomar la fracción del peso de la estructura que les correspondería. Las deformaciones elásticas del suelo, bajo las cargas que la losa debía transmitir en el corto plazo, resultaban menores que la penetración de los pilotes sometidos a la carga de proyecto. En consecuencia, se recomendó revisar el diseño estructural de la losa, a fin de garantizar que pudiera absorber por contacto prácticamente toda la carga de la estructura, aun cuando ello implicara esfuerzos en el acero de refuerzo próximo al límite de fluencia. Además, previendo que uno de los efectos de la fricción negativa en la porción superior de los pilotes sería la eliminación eventual del contacto losa-suelo, la losa de cimentación se diseñó también para trabajar sin el soporte del terreno.
3.4 Comportamiento esperado
Durante la construcción, y hasta cierto tiempo después de terminada la estructura, la carga fue tomada por contacto losa-suelo y por fricción positiva en los pilotes, minimizándose,
de este modo, tanto los movimientos verticales elásticos durante la construcción, como la rapidez de consolidación del estrato compresible reforzado por los pilotes. Con el tiempo, la fricción negativa inducida por el hundimiento regional reducirá la carga tomada por fricción positiva en los pilotes y el peso de la estructura será transferido progresivamente hacia la punta de los pilotes. En todo este periodo inicial de la vida de la estructura, esta mostró tendencia a hundirse ligeramente más que el terreno circundante.
Cuando la carga transferida a la punta de los pilotes iguala su capacidad de carga por punta, estos comenzarán a penetrar en el estrato de apoyo, impidiendo todo aumento subsecuente de fricción negativa. Nótese que esto ocurrirá sin necesidad de que se desarrolle la máxima fricción negativa posible, y antes de que se anule la capacidad de carga de los pilotes por fricción positiva; por tanto, las puntas de los pilotes penetrarán antes de que la estructura emerja apreciablemente. Para que esta situación tenga el desarrollo necesario, se requiere una ligera tendencia de la estructura a emerger, a fin de que se genere fricción negativa: se estima que el valor medio del levantamiento de la cimentación en esta etapa con respecto al terreno circundante no será mayor de 3 cm; pero una vez que los pilotes inician su penetración en el estrato de apoyo se alcanza una condición estacionaria: toda tendencia de la fricción negativa a aumentar es automáticamente anulada por penetración de los pilotes, y cualquier tendencia al hundimiento es contrarrestada por el desarrollo de la fricción positiva.
4. PROCEDIMIENTO CONSTRUCTIVO DE LA CIMENTACIÓN (De Pablo, 1968)
La obra se inició el 12 de octubre de 1966 con el colado de los pilotes. Debido al número de elementos y el tiempo requerido para su hincado, se utilizaron seis piloteadoras de vapor, con martillo tipo Vulcan I (con energía máxima de 15,000 lb-ft, www.vulcanhammer.info), que realizaron el trabajo en 108 días. Los pilotes de concreto reforzado, precolados en tres tramos de 12.6 m, están unidos por medio de placas de acero de ½” de espesor, ahogadas en cada uno de los colados. Los pilotes están localizados por grupos, que varían de 2 a 6 piezas, bajo las trabes de cimentación en los cruces correspondientes a las columnas de la estructura. La liga del pilote con la cimentación se logró anclando el refuerzo del pilote en el concreto de la trabe.
El proceso se iniciaba con el hincado de la punta, que no requería de ninguna carga. Al contrario, había que detenerla, dadas las características del suelo. Una vez hincado el primer tramo, se soldaba el siguiente (fig. 5).
Se instrumentaron catorce pilotes en toda su longitud, para conocer su desplome, cuyo valor máximo fue de 5 por ciento. Durante la etapa de hincado se realizaron los siguientes controles:
• Nivelación del terreno. Las expansiones del suelo fueron de 5-9 cm.

vapor.
• Nivelación del extremo superior de los pilotes. El movimiento máximo fue de 3 cm y correspondió a la etapa de excavación.
• Lecturas piezométricas. Durante el hincado se observó que el nivel piezométrico permaneció prácticamente constante.
• Registros de hincado. Se dieron entre 250 y 450 golpes.
No se realizó perforación previa y el hincado terminaba una vez que el pilote llegaba a una de las capas resistentes, entre 40 y 42 m de profundidad. El criterio de suspensión de hincado fue de 10 golpes/cm.
Posteriormente, se realizaron pruebas de veleta, comparando las características del suelo cerca de un pilote con las del terreno virgen; se comprobó que no hubo alteración en las propiedades del suelo.
Se ejecutaron 35 pruebas de carga a los pilotes, obteniéndose un valor promedio de 80 t y máximo de 100 t. Resultó satisfactorio y se comprobaron las hipótesis adoptadas en el diseño (fig. 6).
Después del hincado de pilotes se efectuó la excavación para la losa de cimentación y las contratrabes, cuyo peralte varió entre 1.5 y 2.5 m. La excavación se llevó a cabo por medio de fajas radiales alternadas, cuyo ancho efectivo era de 10 m aproximadamente, a una separación entre ellas de


Esquema de una prueba Gráfica de carga-asentamiento
Figura 6. Ejemplo de una prueba de carga en pilote, Girón (1968).
10 m. En la orilla de la excavación se dejó el talud natural del suelo. Primero, la excavación se hizo hasta -1.87 m, para excavar posteriormente la caja de la trabe de 1.25 m de ancho en promedio. Estas zanjas eran excéntricas con respecto al eje, de tal manera que uno de sus lados se recubría de tabique para que sirviera como cimbra, mientras que del otro había un arrastre de madera en la parte superior, convenientemente troquelado, que impedía el movimiento o derrumbe de las paredes. Una vez colada la trabe, se rellenaba y completaba la zanja para proceder al colado de la losa. Cada sector se atacaba luego de que se habían terminado los adyacentes. Dado que el nivel freático se encuentra en esta zona a una profundidad de -2.5 m, hubo necesidad de bombear durante el proceso constructivo, abatiendo dicho nivel 50 cm bajo el lecho inferior de las trabes. Esto se hizo mediante un sistema de drenes que se ejecutaba en el momento de la excavación.
5. COMPORTAMIENTO INICIAL DE LA CIMENTACIÓN
5.1 Instrumentación
En vista de las peculiaridades del proyecto y la falta de antecedentes, se decidió emprender un amplio programa de observaciones de campo en el sitio —durante la construcción y después de ella—, a fin de complementar los estudios previos, evaluar la idoneidad del diseño y determinar cualquier condición no prevista que pudiera afectar el comportamiento de la obra. La instrumentación del subsuelo y de la estructura, y el programa de mediciones de campo estuvieron encaminadas a obtener la siguiente información:
a. Condiciones piezométricas iniciales y sus tendencias.
b. Evolución de las deformaciones de los diversos estratos del subsuelo.
c. Efectos de las operaciones de construcción en los movimientos verticales y horizontales y en las presiones de poro del subsuelo.
d. Movimientos verticales absolutos y diferenciales de la cimentación durante y después de la construcción.
e. Verticalidad y geometría del eje de los pilotes después de la hinca.
f. Características carga-deformación de los pilotes.
Para obtener los datos indicados en los tres primeros literales, se instalaron quince estaciones de observación. El comportamiento de la cimentación se registró mediante nivelaciones de precisión en 250 referencias permanentes alojadas en las columnas del sótano de la estructura. La geometría del eje de los pilotes después de la hinca se determinó mediante un inclinómetro, previa instalación en algunos de los pilotes de un tubo especial a lo largo del eje.
La determinación de las características carga-deformación se hizo mediante pruebas de carga de corta duración con ciclos de carga y descarga, además de estudiar, en dos pilotes instalados fuera del área ocupada por la estructura, el comportamiento bajo carga sostenida y bajo fricción negativa. Todos los datos obtenidos se han incluido en Reséndiz y Silva (1967), Auvinet y Reséndiz (1968) y Auvinet et al. (1968).
5.2 Presiones de poro inducidas por el hincado de pilotes
Los incrementos de presión de poro más significativos aparecieron a 20 m de profundidad. En los piezómetros instalados a 40 m, las variaciones de presión debidas al hincado de pilotes son tan pequeñas que se confunden con las oscilaciones naturales. La instalación de los piezómetros y su fase de estabilización se traslaparon parcialmente con el hincado de pilotes, y por eso son confiables solo las mediciones obtenidas después del 20 de diciembre de 1966.
En la tabla 1 se dan valores representativos de los incrementos de presión de poro a 20 m de profundidad debidos al hincado de pilotes, con respecto a la presión en el piezómetro a la misma profundidad instalado en la estación E-01. Las diferencias de presión de poro en dichos piezómetros son atribuibles a su diferente localización con respecto a la zona piloteada en el periodo. El máximo incremento de presión correspondió siempre al momento en que la zona de hincado incluyó el piezómetro, y fue del orden indicado en la tabla 1 para el piezómetro PA 041.
No fue posible observar aisladamente la disipación con el tiempo de la presión de poro inducida, debido a la superposición de otras operaciones de construcción. Solo puede decirse que —como se ha observado en otros sitios— la disipación parece ser muy lenta.
Tabla 1. Incrementos de presión de poro a 20 m de profundidad debido a hinca de pilotes.
Fechas Piezómetro Incremento t/m2
13-12-66 11-02-67 PA 041 1.90
17-01-67 15-02-67 PA 141 1.75
21-12-66 24-12-66 PA 021 1.05
5.3 Movimientos horizontales
La hinca de pilotes y las operaciones de excavación y colados dieron lugar a desplazamientos horizontales de importancia en los estratos blandos, según indican los registros en las estaciones que incluyeron tubos de inclinómetro.
En Auvinet y Reséndiz (1968) y Auvinet (1968) se hace la interpretación y el análisis del conjunto de datos recabados sobre desplazamientos horizontales. Ese análisis indica que la contribución de las cargas y descargas superficiales puede estimarse mediante la teoría de la elasticidad, si se usan los parámetros apropiados para el suelo y se proponen ciertas fórmulas empíricas para estimar los valores máximos de los desplazamientos debidos a la hinca de los pilotes.
Existen en la literatura datos sobre reducciones importantes de la relación de vacío de la arcilla alrededor de pilotes de concreto, por consolidación. Este hecho podría inducir a esperar que una parte de los desplazamientos horizontales por hinca de pilotes desapareciera al producirse dicha consolidación. Sin embargo, las observaciones en el sitio no mostraron ninguna recuperación de los desplazamientos inducidos por la hinca. Una interpretación de este hecho sería que aquella consolidación es un fenómeno muy local que nada más afecta a la inmediata vecindad del pilote, y que la
disminución de la relación de vacíos cerca del pilote se compensa por un incremento de la misma a una distancia algo mayor, lo que elimina todo efecto a mayores distancias. Para pilotes de concreto en el subsuelo de la Ciudad de México, se ha comprobado que, en efecto, ocurren esas deformaciones volumétricas de signo contrario.
5.4 Movimientos de la estructura
La evolución puede observarse en la fig. 7, que da los movimientos medios de los perímetros exterior e interior de la corona circular de la cimentación, desde el principio de las observaciones hasta julio de 1966.
Esta evolución indica que el comportamiento esperado de la cimentación se cumple aproximadamente en términos generales.
Auvinet, G. (1968). “Desplazamientos horizontales producidos en un subsuelo arcilloso por cargas superficiales y por hinca de pilotes”, Tesis para obtener el grado de Maestro en Ingeniería (Mecánica de Suelos), UNAM.
Auvinet, G. y Reséndiz, D. (1968). “Palacio de los deportes. Estudio del comportamiento de la cimentación. Segundo informe: Desplazamientos horizontales del subsuelo durante la construcción”, Instituto de Ingeniería, UNAM.
Auvinet, G., Rendón, F. y Reséndiz, D. (1968). “Palacio de los deportes. Estudio del comportamiento de la cimentación. Tercer informe: Movimientos verticales y presiones de poro”, Instituto de Ingeniería, UNAM.
Candela, F., Castañeda, E. y Peyri, A. (1968). “Proyecto arquitectónico del Palacio de los Deportes”, Revista Ingeniería enero-octubre 1968, Segunda Época, volumen XXXVIII, números 1 a 4.
De Pablo, F. (1968). “Palacio de los Deportes. Procedimientos de construcción”, Revista Ingeniería enero-octubre 1968, Segunda Época, volumen XXXVIII, números 1 a 4.

Figura 7. Historia de los movimientos verticales en el área ocupada por el Palacio de los Deportes, con respecto al banco superficial BN-011.
Girón, G. (1968). “Construcción de la cimentación del Palacio de los Deportes”, Tesis profesional, UNAM.
Guerrero, G. (1968). “Proyecto estructural del Palacio de los Deportes”, Revista Ingeniería enero-octubre 1968, Segunda Época, volumen XXXVIII, números 1 a 4.
Reséndiz, D. (1968) “Características, instrumentación y comportamiento inicial de la cimentación del Palacio de los Deportes”, Revista Ingeniería enero-octubre 1968, Segunda Época, volumen XXXVIII, números 1 a 4.
Reséndiz, D. y Silva, C. (1967) “Palacio de los deportes. Estudio del comportamiento de la cimentación. Primer informe: Mediciones de campo”, Instituto de Ingeniería, UNAM.
El pasado mes de octubre de 2025, específicamente en la sede del Colegio de Ingenieros Civiles del Estado de Puebla, A. C. (CICEPAC), se llevó a cabo el Primer Foro de Enseñanza, con apoyo de la Delegación Puebla y a cargo del Comité Técnico respectivo. Participaron los presidentes de la Sociedad Mexicana de Ingeniería Geotécnica, Dr. Miguel Angel Mánica Malcom, y el Dr. Miguel Alejandro Muñoz Muratalla, del CICEPAC; M. I. Tania Cruz González, del Comité Técnico, y el Ing. Alejandro Núñez Torres, vicepresidente de la Delegación. El Primer Foro de Enseñanza tuvo dos momentos principales: el primero, con la intervención de la Ing. Úrsula Hernández Paredes, al compartirnos su experiencia laboral a través de la exposición titulada «Solución geotécnica al proyecto de reconstrucción en bóveda ubicada en la carretera Chilpancingo-Acapulco». En ella presentó diversos aspectos técnicos y vivencias relacionadas con su participación en el mencionado proyecto.
Como segundo momento, con un panel que representaba a cada uno de los actores en la educación universitaria, se realizó el foro «Análisis crítico de los contenidos para la formación geotécnica». Estuvieron como protagonistas:
• Dr. Juan Francisco Capallera Cabada, del Comité Técnico de Enseñanza
• M.I. Alfredo López Hernández, docente universitario
• M.I. Jorge Vera Centeno, empresario en la disciplina
• Ing. Betsabé Montiel Castañeda, recién egresada de la licenciatura
• M. I. Miguel Ángel Figueras Corte, moderador
Se insistió en las prácticas de laboratorios y la interpretación de los resultados obtenidos; es indispensable evitar el abuso en el ensaye triaxial y enfatizar en la identificación de las condiciones de drenaje que prevalecen para cada caso. También, se considera importante insistir a los estudiantes sobre el método de observación e interpretación en campo, el cual se debe acompañar de una documentación previa respecto a la zona donde se ejecutará el análisis geotécnico. Todo acompañado del conocimiento y relación con la normativa vigente. Se acusa que, en general, en las Instituciones de Educación Superior (IES) es limitada la vinculación con el sector empresarial. Es relevante la aplicación de software durante la preparación de los futuros profesionales.
Otro aspecto que se ventiló en el debate fue la falta de interés de los estudiantes. Ciertamente, se generó un intercambio de opiniones muy interesante, siempre en el marco del respeto, y con la intención de sumar acciones que generen una mejor vinculación con las instituciones de enseñanza superior.
Un tema abordado se relaciona con la empatía, la afinidad y la motivación que los docentes de geotecnia imprimen en sus cátedras. En el foro se destacó que cada asistente tuvo la oportunidad de aprender con aquel profesor que lo inspiró a especializarse en la disciplina, pero también con quien lo hizo dudar de su elección. Este contraste evidencia que el camino de la enseñanza debe estar acompañado por un conjunto de competencias docentes indispensables: paciencia, capacidad para invitar a la reflexión, comunicación asertiva, pensamiento crítico y creativo, gestión adecuada del aula, ética profesional y solvencia técnica.
Por supuesto, no se podía obviar la oportunidad para conocer las opiniones en cuanto al papel de las herramientas digitales. Se coincidió, en relevancia y prioridad para incluirlas en los programas académicos; además, se denunció su abuso y se enfatizó en cómo se debe generar conciencia en el estudiantado para un mejor aprovechamiento en el proceso de aprendizaje.
Por último, respecto a algunas propuestas para mejorar los atributos de egreso, la necesidad de motivar la organización y asistencia a diversos foros, congresos, prácticas en campo, visitas a obra y otras IES. Así mismo, resaltaron que se requiere crear un ambiente de apoyo mutuo para acrecentar el conocimiento en la ingeniería geotécnica.

Para consultar las reseñas de todos los eventos y cursos realizados por la SMIG, favor de revisar el siguiente enlace: https://www.smig.org.mx/eventos/eventos_realizados_smig.php
Como parte de las actividades previas al 2º Simposio Internacional sobre Depósitos de Jales, la Sociedad Mexicana de Ingeniería Geotécnica (SMIG) llevó a cabo, el pasado 13 de enero de 2026, la segunda sesión del ciclo de seminarios virtuales precongreso «La Geotecnia en los Depósitos de Residuos Mineros». Este evento se realizó en colaboración con la Asociación Peruana de Ingeniería Geotécnica (APGEO) y reunió a tres destacados especialistas de Perú y México, quienes compartieron experiencias y metodologías de vanguardia para fortalecer la práctica geotécnica en minería.
Los ponentes y temas presentados fueron los siguientes:
• M.Sc. Dennys Parra: Evaluación del desempeño de depósitos de relaves (jales) filtrados.
• MBA. Olimpia Cabrera: Requerimientos del GISTM relacionados a los aspectos geotécnicos de los depósitos de relaves.
• M.Eng. Jorge Bricio Guillén: Análisis esfuerzo-deformación en depósitos de jales: un acercamiento al boletín 194 ICOLD.
Durante la presentación inicial, el Mtro. Denys Parra expuso significativos antecedentes sobre los depósitos de jales, enfatizando en los aspectos de diseño vinculados a los elementos clave de un proyecto de jales. Asimismo, compartió los principales tipos de análisis y ensayos geotécnicos utilizados para la evaluación del desempeño de depósitos de jales, con un enfoque particular en la tecnología de jales filtrados.
Posteriormente, la Mtra. Olimpia Cabrera presentó los principios y requerimientos del estándar global sobre gestión de relaves (GISTM, por sus siglas en inglés), centrándose principalmente en aquellos asociados a aspectos geotécnicos, tales como criterios de diseño, enfoques de diseño, gestión del riesgo, el enfoque ALARP (As Low As Reasonably Practicable), entre otros elementos fundamentales para la gestión segura de los depósitos de jales.
Para concluir, el Mtro. Jorge Guillén presentó las consideraciones establecidas en el Boletín 194 de ICOLD para la evaluación geotécnica de depósitos de jales, mostrando bajo qué condiciones se requiere realizar un análisis esfuerzo–deformación, además de detallar los principales aspectos y alcances de este tipo de análisis.
Al término de cada presentación, se contó con un espacio de interacción mediante rondas de preguntas por parte de los asistentes, en las cuales se destacaron consultas relacionadas con el estado crítico y los ensayos de laboratorio, la experiencia en auditorías del GISTM en Perú, así como temas asociados al comportamiento y la definición de la licuación de flujo en depósitos de jales.
La culminación de este evento estuvo marcado por una serie de reflexiones compartidas entre los ponentes y presidentes de las sociedades técnicas, quienes coincidieron en la importancia de continuar con la difusión de estos temas, así como de promover la investigación y la práctica en el diseño y la operación de depósitos de jales.
Se celebró en el Colegio de Ingenieros Civiles de México, Ciudad de México, del 5 al 7 de noviembre de 2025. Este evento reunió a 317 participantes provenientes de diversos países, incluidos Alemania, Chile, Perú, España, Argentina, Estados Unidos y México, representando un avance significativo en el desarrollo de soluciones de cimentaciones profundas y mejoramiento de suelos
El simposio ofreció un programa compuesto por 6 conferencias magistrales y la presentación de 25 artículos de investigación de alta calidad, los cuales fueron seleccionados para su publicación en las Memorias Técnicas del Simposio, disponibles en acceso libre a través de la biblioteca digital de la SMIG. El evento con el curso presimposio «Licuación de Suelos en México: Cómo Fortalecer Nuestras Estructuras (ante un
riesgo invisible)». Tal actividad académica, altamente especializada, impartida por los doctores Kord J. Wissmann y Raúl Aguilar, cubrió temas como la licuación de suelos a partir de eventos recientes, los movimientos sísmicos y la respuesta del sitio, la susceptibilidad y peligros sísmicos asociados, la mitigación de la licuación y el diseño basado en desempeño (fig. 2). Este curso atrajo a 67 asistentes y contó con la participación de dos ponentes invitados adscritos a empresas especializadas en licuación de suelos en México.
En la ceremonia de inauguración del 7° SICPyMS, el 6 de noviembre, participó el presidente de la Sociedad Mexicana de Ingeniería Geotécnica, Dr. Miguel Ángel Mánica Malcom; la presidenta del Comité Organizador del 7° SICPyMS, Ing. Mariana Gómez Pérez; el vicepresidente por Norteamérica de la ISSMGE, Dr. Walter Iván Paniagua Zavala, y el director técnico de actividades del DFI, Dr. Matthew Glisson.
La conferencia inaugural, a cargo de la M.I. Helen Robinson, trató sobre «Diseño e instalación de pilotes ACIP y columnas de suelo mezclado profundo (DSM) en suelos licuables».
Además de las sesiones técnicas, el simposio ofreció un espacio para 30 empresas expositoras que dieron a conocer sus

Conferencistas y Comité Organizador.
proyectos, productos, equipos y servicios, fomentando la interacción y el intercambio de conocimientos entre los asistentes. El éxito del evento fue posible gracias al esfuerzo y dedicación tanto del Comité Organizador como del Comité Editorial, quienes trabajaron con el fin de garantizar una experiencia enriquecedora a todos los asistentes.
La energía joven y el rigor académico se dieron cita en la ciudad de Tlaquepaque. Del 30 de octubre al 1 de noviembre, el ITESO, Universidad Jesuita de Guadalajara, fue escenario del «9º Coloquio de Jóvenes Geotecnistas» y el «2º Encuentro de Capítulos Estudiantiles», un espacio donde la innovación, el intercambio de ideas y el compromiso con la ingeniería geotécnica marcaron la pauta.
La jornada inició con la ponencia magistral titulada «Sistemas de anclaje en geotecnia: diseño, ejecución y aprendizajes para la ingeniería del mañana», a cargo de la Ing. Mariana Gómez Pérez, quien expuso, qué es un anclaje y su implementación como solución geotécnica.
Posteriormente, comenzaron las conferencias técnicas a cargo de estudiantes de licenciatura, posgrado y de jóvenes profesionales, donde se presentaron 17 artículos. Los temas expuestos trataron desde la implementación de diversas soluciones a problemas específicos en cortes carreteros, cimentaciones profundas, métodos de contención, hasta diversos
estudios de laboratorio y modelación numérica, en un amplio rango de suelos, desde arenas, jales, hasta suelos expansivos. En el segundo día se realizaron 6 talleres: «Demostración de presiómetro», «Correlación entre las propiedades mecánicas del suelo obtenidas mediante la prueba triaxial no consolidada no drenada (UU) y la resistencia por punta medida con el penetrómetro dinámico de energía variable (PANDA)», «Barreras dinámicas», «Procedimientos constructivos de cimentaciones profundas», «Instrumentación y monitoreo» y «Geología en infraestructura». En el taller —que tuvo como objeto central el presiómetro— se realizó en el auditorio una demostración del funcionamiento con el equipo. Así mismo, en el taller de geología, se mostró un equipo para prueba Lugeon con sensor de fondo.
Al concluir, se desarrolló una mesa redonda de jóvenes ingenieros, conformada por cuatro profesionales que dialogaron sobre sus mejores momentos como ingenieros, y brindaron consejos y experiencia a todos los presentes, enfatizan-
do en la importancia de habilidades blandas y la oportunidad que representa cada proyecto para aprender.
Para consultar las reseñas de todos los eventos y cursos realizados por la SMIG, favor de revisar el siguiente enlace: https://www.smig.org.mx/eventos/eventos_realizados_smig.php

9o Coloquio de Jóvenes Geotecnistas y Segundo Encuentro de Capítulos Estudiantiles
El 1 de noviembre, como actividad adicional, se hizo una visita geológica al Bosque de la Primavera, donde se generó gran entusiasmo entre todos los asistentes, al observar diversas formaciones rocosas, así como los vestigios de un antiguo río.
La jornada culminó con la intervención del M.I Pablo Enrique Zamudio Zavala, quien anunció los tres ganadores del concurso a mejor artículo en las categorías de menor de 25 años y de 26 a 36 años. En la primera obtuvo el galardón Andrea Teresa Ávila Domínguez, estudiante de la licenciatura en Ingeniería Civil de la Universidad de Guadalajara, con el artículo «Efecto estabilizante de la cáscara de huevo en el comportamiento volumétrico de un suelo arcilloso medido en el odómetro»; para la segunda categoría hubo un empate y los evaluadores decidieron premiar a Luis Armando Ramírez López, del posgrado en Geotecnia de la Facultad de Ingeniería de la UNAM, con el artículo «Inversión de campos de permeabilidad a partir de campos sintéticos de presión de poro mediante algoritmos de optimización» y a Dante Uriel Contreras Ferreyra, del posgrado en geotecnia de la Universidad Michoacana de San Nicolás de Hidalgo, con el artículo «Evaluación de la velocidad de compresión en suelos granulares bajo condiciones no saturadas».
El GeoRally fue una experiencia académica innovadora y altamente enriquecedora para la formación de estudiantes de Ingeniería Civil, al integrar el aprendizaje técnico con dinámicas lúdicas, colaborativas y de aplicación práctica en un entorno de campo abierto. El evento fue organizado por la Delegación Regional Occidente, con el objetivo de fortalecer el interés por la geotecnia y fomentar la interacción entre estudiantes de distintas instituciones de educación superior. La sede del evento fue el Instituto Tecnológico y de Estudios Superiores de Occidente (ITESO), cuyas instalaciones brindaron un entorno idóneo para el desarrollo de las actividades académicas y logísticas del GeoRally. La jornada reunió a equipos representativos de cinco universidades del occidente del país: el Tecnológico Superior de Jalisco (TSJ), el ITESO, el Centro Universitario de Ciencias Exactas e Ingenierías de la Universidad de Guadalajara (CUCEI), el Centro Universitario de Tlajomulco de la Universidad de Guadalajara (CUTlajo) y la Universidad Tecnológica de Guadalajara (UTEG). El GeoRally se desarrolló mediante un recorrido estructurado por diversas estaciones, en las cuales los equipos enfrentaron retos técnicos, preguntas conceptuales, ejercicios de análisis y pruebas de habilidad, diseñados para evaluar
conocimientos teóricos, capacidad de observación, razonamiento ingenieril, toma de decisiones y trabajo en equipo. Esta dinámica permitió que los participantes vivieran la ingeniería geotécnica desde una perspectiva práctica y aplicada, fortaleciendo su formación académica y profesional.
Uno de los aspectos más destacados del evento fue el ambiente de sana competencia, colaboración e intercambio académico que se generó entre los estudiantes, así como la interacción directa con profesores y profesionistas de la SMIG, quienes fungieron como jueces y acompañantes técnicos en cada estación, aportando retroalimentación y orientación especializada.
Tras la evaluación integral de los retos —considerando el desempeño técnico, el trabajo en equipo y el tiempo de ejecución—, se llevó a cabo la premiación, en la cual el primer lugar fue obtenido por el equipo del CUCEI, seguido del segundo lugar para el CUTlajo y el tercer lugar para el Tecnológico Superior de Jalisco (TSJ), reconociéndose el alto nivel mostrado por todos los equipos participantes.
Agradecimiento a Pablo Zamudio, Omar Vargas y Yoleida Suárez por su colaboración en la sección de noticias.
Del 11 al 13 de marzo de 2026 March 11–13, 2026
LA CASCADA | Centro de Convenciones | Hermosillo, Sonora LA CASCADA Convention Center | Hermosillo, Sonora

CURSOS PRECONGRESO
Análisis dinámico de Depósitos de Jales.
Dynamic behavior and stability analysis of Tailings Storage facilities.
Gestión de Presas de Jales basada en el riesgo mediante análisis de riesgo semicuantitativo: taller práctico.
Risk-based Tailings Dam management through semi-quantitative risk analysis (SQRA): practical workshop.
Caracterización geotécnica y estabilidad de Depósitos de Jales.
Geotechnical characterization and stability of Tailings Storage facilities.
Seguridad de Depósitos de Jales: análisis de estabilidad basado en los criterios del Boletín 194 del ICOLD.
Tailings Dam safety: stability analysis based on the criteria of ICOLD Bulletin 194.

CUOTAS
CURSOS ** SIMPOSIO*
SOCIOS NO SOCIOS
CURSOS ** SIMPOSIO*
COURSES ** SYMPOSIUM* COURSES ** SYMPOSIUM*
$3,250 MXN | $175 USD
$4,500 MXN | $275 USD
$3,500 MXN | $190 USD
$4,900 MXN | $290 USD
INSCRIPCIÓN TARDÍA LATE REGISTRATION
$3,500 MXN | $190 USD
$4,900 MXN | $290 USD
INSCRIPCIÓN TARDÍA LATE REGISTRATION
$3,900 MXN | $225 USD
$5,500 MXN | $325 USD
*Incluye acceso a conferencias, comidas y memorias técnicas.
*Includes access to lectures, meals, and technical proceedings.
**Incluye acceso a comidas y coffee breaks.
**Includes access to meals and coffee breaks.
Fecha límite de inscripción temprana: 30 de diciembre de 2025.
Todos los precios son más IVA. All prices are subject to VAT
STAND 3 m x 3 m
Booth 3 m x 3 m
$55,000 | $3,100 USD ***
Costo después de 30 de diciembre
Cost after December 30
$59,000 | $3,300 USD ***
***La cuota de stand incluye dos gafetes con acceso a la expo.
***Booth fee includes two badges with access to the expo.


