Revista Geotecnia - SMIG - 262

Page 1

USO Y ABUSO DE ANCLAS POSTENSADAS EN ZONAS URBANAS

ECUACIONES CONSTITUTIVAS EN MECÁNICA DE SUELOS

ISSN: 2594-1542
DICIEMBRE 2021FEBRERO 2022 262
ÓRGANO OFICIAL DE LA SOCIEDAD MEXICANA DE INGENIERÍA GEOTÉCNICA, A. C. WWW.SMIG.ORG.MX

Sociedad Mexicana de Ingeniería Geotécnica, A.C. Mesa Directiva 2021-2022

A mitad del camino

Mesa Directiva 2021-2022

Presidente

Roberto Avelar Cajiga

Vicepresidente

Ricardo Enrique Ortiz Hermosillo

Secretario

Raúl Fernando Verduzco Murillo

Tesorero

Francisco Alonso Flores López

Vocales

Miguel Castillo Cruz

Raúl Jiménez Olvera

Miguel Ángel Mánica Malcom

Daniel Martínez Oviedo

Blanca Esther Meza Vega

Gerente

Brenda Aguilar Silis

Delegaciones regionales

Michoacán

Occidente

Puebla

Querétaro

Tabasco

Veracruz

Representaciones

Chiapas

Ciudad Juárez

Irapuato

Mérida

Monterrey

Tijuana

Síguenos en @smiggeotecnia

Inicia el tramo final del ciclo de trabajo de la Mesa Directiva 2021-2022 de la Sociedad Mexicana de Ingeniería Geotécnica (SMIG) y, como siempre, es un honor colaborar con personas comprometidas con los objetivos que fueron planteados desde la fundación de nuestra querida Sociedad Mexicana de Mecánica de Suelos. Gracias al trabajo de sus asociados ha sido posible llevar a cabo diferentes actividades técnicas en el 2021; sin embargo, estamos a mitad del camino, por lo que se está trabajando en la organización de más eventos técnicos para el año 2022, que estoy seguro serán del agrado de muchos de nuestros asociados. En este sentido, también se empezó a trabajar ya en la organización de la XXXI Reunión Nacional de Ingeniería Geotécnica y en la XXI Reunión Nacional de Profesores de Ingeniería Geotécnica, donde se presentarán los temas técnicos y avances más importantes relativos a nuestra especialidad; también se presentarán la Vigesimosexta Conferencia Nabor Carrillo Flores, la Sexta Conferencia Leonardo Zeevaert Wiechers, la Décima Conferencia Raúl J. Marsal Córdoba y la Cuarta Conferencia Eulalio Juárez Badillo. De igual manera, se está preparando la V Olimpiada en Geotecnia, con la participación de equipos nacionales representativos de los centros de enseñanza de nivel superior que califiquen a la final. Es importante indicar que en esta ocasión la SMIG estará cumpliendo 65 años, que se festejarán mediante la publicación de tres libros conmemorativos: Ingeniería geotécnica forense. Casos historia, Temas selectos de análisis numéricos aplicados a la ingeniería geotécnica e Ingeniería geotécnica de túneles.

Debido a lo anterior, hago una extensa invitación a todos los asociados de la SMIG para que participen en las actividades técnicas que se están preparando para el año 2022 y los exhorto para que a su vez inviten a más ingenieros a que se integren a la sociedad o asistan a nuestros eventos con el fin de actualizar sus conocimientos en temas geotécnicos.

Por otro lado, los dos últimos años hemos vivido un periodo complicado en la actividad económica del país y, aun más, en el aspecto sanitario. Deseo que en el año 2022 se superen dichas dificultades, tengamos un progreso sostenido y continuemos extremando precauciones para evitar contagios.

Feliz y próspero año 2022.

Sociedad

Geotecnia, año 11, núm. 262, diciembre 2021 - febrero 2022, es una publicación trimestral editada por la Sociedad Mexicana de Ingeniería Geotécnica, A.C. Valle de Bravo 19, colonia Vergel de Coyoacán, alcaldía Tlalpan, CP 14340, teléfono (55) 5677 3730 · www.smig.org.mx. Editor responsable: Carlos Roberto Torres Álvarez. Reserva de Derechos al Uso Exclusivo núm. 04-2017-060819470900-102, otorgada por el Instituto Nacional del Derecho de Autor. ISSN en trámite. Responsable de la última actualización de este número: Ediciones de la Sierra Madre, S.A. de C.V., 8 de Septiembre 42-2, colonia Daniel Garza, alcaldía Miguel Hidalgo, CP 11830, Ciudad de México. Fecha de última modificación: 30 de noviembre de 2021.

Los artículos firmados son responsabilidad de los autores y no reflejan necesariamente la opinión de la SMIG. Los textos publicados, no así los materiales gráficos, pueden reproducirse total o parcialmente siempre y cuando se cite la revista Geotecnia como fuente. Para todo asunto relacionado con la revista Geotecnia, dirigirse a geotecnia@ heliosmx.org.

CONVOCATORIA

Además de comentarios y sugerencias de sus lectores sobre los contenidos, Geotecnia está abierta a las colaboraciones de los profesionales vinculados a la especialidad. De igual forma se invita a presentar artículos que permitan inaugurar una nueva sección en la que se haga prospectiva o se aborden casos insólitos en el ejercicio de la especialidad. Quien desee proponer trabajos debe comunicarse a través de geotecnia@heliosmx.org para ser informado de los requisitos para recibir materiales. Los textos serán puestos a consideración del Consejo Editorial para su eventual publicación.

Espacio del lector

Saludos a los editores.

Mis felicitaciones sinceras por el número de septiembre-noviembre 2021. En particular, por la entrevista de Daniel N. Moser “Larga y apasionante trayectoria”, con un conjunto de anécdotas del Ing. Manuel Salvoch cuyos detalles yo desconocía y que me resultaron interesantísimos y muy motivantes. Sólo sabía de él por la película que realizó el grupo ICA sobre la construcción de la presa del Alto Anchicayá y que tuve oportunidad de ver cuando era estudiante en la Facultad de Ingeniería. Mi agradecimiento por la revista, que es muy completa, y mis deseos de que siga cada vez más interesante.

Dirección general

Roberto Avelar Cajiga

Dirección ejecutiva

José Francisco González Valencia

Consejo Editorial

Juan de Dios Alemán Velásquez

Gabriel Yves Armand Auvinet Guichard

Jorge E. Castilla Camacho

Francisco Alonso Flores López

Moisés Juárez Camarena

Germán López Rincón

Raúl López Roldán

Héctor Moreno Alfaro

Rodrigo Murillo Fernández

Ricardo Enrique Ortiz Hermosillo

Walter Iván Paniagua Zavala

Natalia del Pilar Parra Piedrahita

40 Caracterización del

Margarita Puebla Cadena

y

numérica para el diseño optimizado de pilas

41 México a través de los sismos

41 Esquelas

42 Reunión de la Mesa Directiva con el Consejo de Honor y el Consejo Consultivo de la SMIG

Luis Bernardo Rodríguez González

Juan Jacobo Schmitter M. del C.

Guillermo Springall Cáram

Carlos Roberto Torres Álvarez

Ángel Trejo Moedano

Raúl Fernando Verduzco Murillo

Comercialización

Brenda Aguilar Silis

Realización

42 Conferencia “Determinación de la velocidad de onda cortante de suelos de la bahía de Campeche”

43 Curso-taller “Espectros de sitio”

HELIOS comunicación

+52 (55) 29 76 12 22

Dirección ejecutiva

Daniel N. Moser da Silva

Dirección editorial

Alicia Martínez Bravo

Coordinación de contenidos

Teresa Martínez Bravo

Contenidos

Ángeles González Guerra

44 Bienvenidos nuevos socios

45 Comportamiento mecánico de suelos no saturados

45 Premio José A. Cuevas a Juan Mayoral

46 Cultura

48 Cartelera

PORTADA: EXCAVACIÓN A 38 m ESTABILIZADA CON DIFERENTES MUROS Y ANCLAS HASTA DE 250 t

FOTO: INGENIEROS CUEVAS ASOCIADOS, S. C.

Diseño

Diego Meza Segura

Dirección comercial

Daniel N. Moser da Silva

Comercialización

Laura Torres Cobos

Victoria García Frade Martínez

Dirección operativa

Alicia Martínez Bravo

Administración y distribución

Nancy Díaz Rivera

Contenido
Conversando con…
dulce sabor de lo vivido
Lazcano Díaz del Castillo 8 Semblanza
Moreno Pecero: voluntad, pasión y disciplina
Sergio Haaz Mora 14 Tema de portada / Artículo técnico Uso y abuso de anclas postensadas en zonas urbanas Alberto Cuevas Rivas y Walter Paniagua Zavala 23 Artículo técnico Ecuaciones constitutivas en mecánica de suelos Agustín Demeneghi Colina 36 Anecdotario Mi encuentro con el Dr. Aleksandar S. Vesic´ Raúl F. Esquivel Díaz 22 Calendario Reseñas 38 Libros 38 Tesis 40 Curso-taller “Introducción al uso de FLAC 3D en problemas estáticos”
3
El
Salvador
Gabriel
Hugo
terreno
modelación
43 Formación para una actitud resiliente ante un mundo cambiante
Agustín Tristán López Instituto de Evaluación e Ingeniería Avanzada, S.C. Dé click al tema de su interés para ir directamente a él.

Salvador Lazcano Díaz del Castillo

Ingeniero civil con maestría en Ciencias, área Ingeniería geotécnica. Especialista en mecánica de suelos y cimentaciones. Ha participado en más de 4,300 proyectos en 26 diferentes estados de la República mexicana y en desarrollos hoteleros en América Latina y Gabón. Desde su fundación en 1985, es director de Suelo-Estructura, compañía de consultoría en el área de ingeniería geotécnica y sísmica.

El dulce sabor de lo vivido

Con 36 años como consultor geotécnico y 37 años de docente, Salvador Lazcano sigue activo. Guarda gratos recuerdos y se siente afortunado de haber elegido especializarse en el campo de la ingeniería geotécnica, que se ha convertido más en su pasión que en su profesión.

Salvador Lazcano comenzó sus estudios de Ingeniería civil en 1977, en el Instituto Tecnológico y de Estudios Superiores de Occidente (ITESO) en Guadalajara. “Tenía inicialmente la idea de irme por el campo de las estructuras, porque mi referente familiar más cercano era un tío político, el ingeniero Antonio Vizcaíno Moreno, que siempre me apoyó, desde secundaria y preparatoria; mi papá era médico”, nos dice nuestro entrevistado.

Su tío se dedicaba a las estructuras de concreto y eso motivó a Salvador Lazcano a decidirse por dicha especialidad. Conforme fue avanzando la carrera, perdió el entusiasmo por las estructuras. “Como mágicamente, conocí un campo del cual no tenía idea cuando empecé la carrera: el campo de la geotecnia. Mi gusto por la geología sin duda es un antecedente a considerar, se remonta a mi infancia; regresaba de los días de campo con las bolsas llenas de piedras raras”.

En la universidad llevó la materia de Geología “con un maestro muy bueno, el ingeniero geólogo Luis Nisino, a quien de hecho considero una de las personas que marcaron en mí la tendencia a la geotecnia; nos contagiaba con su pasión por la geología: nos llevó a la barranca del río Santiago, en donde vimos una falla geológica en

un corte; fuimos a la Sierra de la Primavera cerca de Guadalajara, e hicimos líneas geofísicas eléctricas; nos llevó a la construcción de la presa de Las Golondrinas, cerca de San Luis Potosí. Estando en San Luis visitamos el túnel de una mina ya abandonada, entramos un buen tramo; recuerdo que estábamos ya en lo profundo, íbamos con linternas, y nos pidió que las apagáramos, entonces nos tocó vivir la oscuridad absoluta de las cuevas, de los túneles mineros”.

3 ❘ Núm. 262 Diciembre 2021 - Febrero 2022 ❘
CONVERSANDO CON...
Con su tío, Antonio Vizcaíno Moreno, en 2002.

También recuerda “con mucho cariño al profesor del laboratorio, el ingeniero Miguel Ángel Schultz Márquez; él nos dio clase de Laboratorio de mecánica de suelos. En la teoría de mecánica de suelos –debo ser franco– salí con formación muy deficiente, era difícil en aquellos tiempos conseguir maestros de mecánica de suelos”.

Al hacer memoria de esos años, hubo un personaje del ámbito nacional que también lo marcó: en dos o tres ocasiones visitó a los estudiantes del ITESO el doctor Eulalio Juárez Badillo, “quien nos cautivaba con su personalidad. Sobre el final de la carrera, era yo el encargado del grupo que organizó la Semana de la Ingeniería y nos tocó tener contacto con el doctor Juárez Badillo; recuerdo las gratas pláticas, era un excelente conversador, con una cultura general muy amplia. Entonces yo dije: ‘¡Ya, por aquí me voy!’”

De la primera ocasión que los visitó Juárez Badillo recuerda: “Llegó, puso un vaso de vidrio sobre la mesa, lo llenó de algodón y luego le puso agua; en seguida le colocó una placa con un peso pequeño y vimos cómo se fue aplastando el algodón. Dijo: ‘Miren, muchachos, así es el fenómeno de consolidación en la Ciudad de México’… de una manera tan didáctica, que se quedaba uno impresionado; luego entraba a las ecuaciones matemáticas y se daba uno cuenta de que dominaba desde lo muy simple hasta lo extraordinariamente complejo”.

El cambio de preferencia de Salvador Lazcano por la geotecnia en lugar de las estructuras no debe haber sido un paso sencillo, considerando el aprecio y respeto que tenía por su tío. Lo consultamos al respecto y respondió: “Mi tío era una persona extremadamente respetuosa; nunca me preguntó siquiera si me gustaría estudiar ingeniería. Nunca lo intentó, no trató de persuadirme ni por la ingeniería civil ni por la especialidad de estructuras. Yo trabajaba con él en mis ratos libres de la universidad y le conté: ‘¡Fíjate, tío, que ya no me gustan las estructuras!’ Y él: ‘Mira, pues, ¿ahora qué?’ Y le dije que me interesaba la mecánica de suelos; él siempre, siempre me apoyó, y me respaldó también en esto”.

Varias son las opciones que se plantea un estudiante al salir de la universidad: dedicarse a la academia, al sector público, a la actividad empresarial o combinar algunas de esas actividades. ¿Cuál fue la preferencia de Salvador Lazcano?

Tenía la idea de combinar la docencia con la consultoría, así que empecé a investigar a dónde irme a hacer la maestría; tenía planeado inicialmente la UNAM y comencé a hacer mis trámites, llevé papeles y al tiempo que estaba solicitando beca en el Conacyt para estudiar la maestría en la UNAM salió una convocatoria para estudios en el extranjero. Me dije que no perdía nada metiendo papeles, y aproveché una vuelta a la Ciudad de México con la duda de a dónde ir.

Él nos cuenta: “Tenía la idea de combinar la docencia con la consultoría, así que empecé a investigar a dónde irme a hacer la maestría; tenía planeado inicialmente la UNAM y comencé a hacer mis trámites, llevé papeles y al tiempo que estaba solicitando beca en el Conacyt para estudiar la maestría en la UNAM salió una convocatoria para estudios en el extranjero. Me dije que no perdía nada metiendo papeles, y aproveché una vuelta a la Ciudad de México con la duda de a dónde ir. En la UNAM se me ocurrió tocar a la puerta del cubículo del doctor Alfonso Rico Rodríguez, y él tuvo la gentileza de recibir a aquel muchacho que ni conocía. Le dije: ‘Fíjese que tengo ganas de irme al extranjero, me gustaría irme al Imperial College’; él me respondió: ‘Mira, he sabido de gente que ha ido a estudiar allí, y no te recomendaría tanto el Imperial College para maestría, aunque sí para doctorado. Te sugiero que busques alguna universidad de Estados Unidos’, y me mencionó especialmente cuatro: el MIT en Boston, la Universidad de Illinois, la Universidad de California en Berkeley y la de Texas en Austin. Tuve la gran fortuna de que me aceptaran en Illinois. Fueron muy gratos años, estuve de 1982 a 1984; mi asesor era el profesor Golamreza Mesri. Ya Ralph B. Peck era profesor emérito, pero iba una vez al semestre a darnos un par de días de pláticas sobre proyectos en los que él había intervenido; ¡qué amenas!”

Salvador Lazcano regresó a México en 1984 y lo invitaron a colaborar en el ITESO, su alma

4 ❘ Núm. 262 Diciembre 2021 - Febrero 2022 ❘ CONVERSANDO CON... ❘ El dulce sabor de lo vivido
Con el profesor Ralph B. Peck aproximadamente en 1998.

máter de licenciatura, como profesor; tenía medio tiempo, pero prácticamente vivía ahí.

Cuando estaba terminando la maestría había decidido regresar a Guadalajara o a algún lugar de México, pues tenía muy claro que no quería quedarse en Estados Unidos: “Quería regresar a mi México lindo y querido; me veía dando clases y paralelamente dando consultoría, ésa era mi visión, pero la verdad me absorbió la docencia, me gusta mucho, y aunque estaba de medio tiempo en el ITESO, en realidad llegué a dar 12 horas de clases a la semana”.

Se enojaba Lazcano consigo mismo porque había términos de geotecnia en inglés pero no en español. “¡Qué coraje y qué vergüenza pasé más de una vez frente a mis alumnos porque no me acordaba… no sabía cómo traducirlos, porque, como comenté, en la licenciatura aprendí muy poco, y mucho de la geotecnia la aprendí en inglés, así que la traducción a veces me fallaba”.

Cuando sucedió el sismo de 1985, nuestro interlocutor estaba en el ITESO, en su cubículo. “Me quedé sentado. Mi cubículo estaba en una construcción de un solo nivel, con techumbre ligera de estructura de acero que parecía un poco como gallinero –de hecho les llamábamos “los gallineros”, ¡ya ve cómo es la muchachada!–. Así que empieza el temblor y me quedo sentado observando, tratando de agudizar mis sentidos para captar lo que estaba pasando. Me dije: ‘Si por mala suerte esto se cae, es muy probable que quede en algún hueco de las estructuras; si me toca una viga en la cabeza, pues hasta ahí llegué’. Me quedé sentado, no me levanté; de fondo musical, el griterío de las muchachas de administración –el edificio de administración estaba cerca de los gallineros–. Ese temblor, en mi práctica profesional, fue un muy importante parteaguas”.

Pregunta obligada: ¿Por qué? “De alguna manera en México se toma mucho más conciencia de la necesidad de una ingeniería del mayor nivel posible para resistir embates de los temblores. Nos invitaron a colaborar en el estudio de una ladera en Ciudad Guzmán, en el sur de Jalisco. Es la población más dañada por sismos a lo largo de su historia en el estado; Zapotlán el Grande se llamaba antes. Porcentualmente, en relación con la cantidad de habitantes, los daños tanto materiales como en pérdida de vidas humanas fueron superiores a los de la Ciudad de México”.

Lazcano afirma que lo había absorbido la docencia, pero que sentía la necesidad de ini-

Luego de un curso de tres meses en Madrid, en 1988, que le sirvió para afianzar conocimientos y de paso para familiarizarse con términos de la ingeniería geotécnica en español, se consolidó como consultor. A la fecha ha participado en alrededor de 4,300 proyectos, principalmente en México, pero no sólo en el país. “Fueron muchos, pero pequeños proyectos: estudios geotécnicos para casas de dos pisos y algunos grandes. Mi bebé consentido es el hotel Riu de Guadalajara”.

ciar con la consultoría, así que le preguntamos qué pasó con la práctica profesional fuera de la academia.

“Precisamente, la invitación a estudiar la estabilidad de la ladera de Cristo Rey en Ciudad Guzmán fue mi primer trabajo como consultor. Por otro lado, un ingeniero maestro del ITESO me había estado insistiendo en asociarnos para poner un laboratorio. Ya estaba por hacerlo cuando le comenté a mi tío Toño que el ingeniero me ofrecía crear una sociedad, y mi tío me libró de una sociedad que habría sido, casi seguro, muy conflictiva. Me preguntó mi tío por qué no empezaba yo solo, y claro que le contesté que no tenía dinero; acababa de comprar una camioneta pick up viejita y era lo único que tenía, no tenía ahorrado nada. ‘¿Como cuánto necesitarías de equipo básico para arrancar?’, me preguntó. Eso sí lo tenía bien claro, porque precisamente el ingeniero con el que me iba a asociar me pidió investigar cuánto costaría un laboratorio, y eran 186 mil pesos. Entonces mi tío sacó su chequera personal y me extendió un cheque por 186 mil pesos. Me dijo: ‘Págame como puedas, cuando puedas; no tengo prisa, lánzate’. ¡Híjole, fue mi ángel de la guarda!”

La reacción de su potencial socio le dejó claro lo valioso de no haberse asociado con él. “Me eché al agua, hablé con el posible socio y le conté que mi tío me ofreció financiarme. Era una persona muy temperamental, y me dijo

5 ❘ Núm. 262 Diciembre 2021 - Febrero 2022 ❘ El dulce sabor de lo vivido ❘ CONVERSANDO CON...
El hotel Riu recién terminado. En primer plano, la escultura llamada La estampida

CONVERSANDO CON... ❘ El dulce sabor de lo vivido

¡hasta de qué me iba a morir! Finalmente, él se asoció con alguien más y, por lo que me contaron, fue una sociedad que no llegó ni a los dos años. ¡Terminó en gritos y sombrerazos!”.

Con el préstamo de su tío compró los equipos necesarios para comenzar. A pocas semanas del temblor, le encargaron un estudio de mecánica de suelos en Bucerías, Nayarit, cerca de Puerto Vallarta; todavía estaba dando clases, pero ya tenía claro que al terminar ese semestre iba a renunciar a su medio tiempo: “había que quemar las naves y así lo hice: dejé la docencia, aunque volví eventualmente una que otra vez a dar el curso de Geología porque lo prefería al de Mecánica de suelos”.

Luego de un curso de tres meses en Madrid, en 1988, que le sirvió para afianzar conocimientos y de paso para familiarizarse con términos de la ingeniería geotécnica en español, se consolidó como consultor. A la fecha ha participado en alrededor de 4,300 proyectos, principalmente en México, pero no sólo en el país. Le pedimos comentarios de los que considera más relevantes.

“Fueron muchos, pero pequeños proyectos: estudios geotécnicos para casas de dos pisos y algunos grandes. Mi bebé consentido es el hotel Riu de Guadalajara; ya había sido consultor del Riu en algunos de los proyectos de Cancún y Playa del Carmen, en Cabo San Lucas, Mazatlán, Puerto Vallarta y en Huatulco; el que no se construyó fue el de Ixtapa, fue complicado; estábamos haciendo el estudio de mecánica de suelos y llegaron unos con machete y nos encerraron en el terreno. Nos dejaron salir, pero no nos dejaban sacar la perforadora hasta días después. Parece que no estaba muy clara la propiedad de ese terreno.

”El hotel Riu de Guadalajara es el edificio más alto en cuya construcción he participado; tiene 42 niveles y 210 metros de altura. Me encargaron el estudio geotécnico para cimentaciones y el espectro para diseño sísmico; para mí fue muy grato el desafío de ese edificio que se inauguró en 2011”.

Generalmente, cuando se abordan cuestiones vinculadas a lo sísmico en México, el epicentro de todos los estudios, análisis, investigaciones es el Valle de México. Consultamos a Salvador Lazcano sobre su experiencia en Guadalajara.

“Le comento que Guadalajara tiene cierto historial de daños sísmicos, aunque no tan importantes como la Ciudad de México. El sismo de mayor magnitud en el siglo XX en México

ocurrió en las costas de Jalisco en 1932; fue de magnitud 8.2, y le sigue en magnitud el del 17 de septiembre de 1985 en Lázaro Cárdenas, que fue de magnitud 8.1. Este terremoto en la costa de Jalisco causó pocos daños en una Guadalajara mucho menor que la actual, que contaba con alrededor de 300 mil habitantes, contra los cinco y medio millones actuales.

”Guadalajara está mayormente sobre ese depósito de suelos pumíticos, originados en erupciones explosivas de la caldera volcánica de la Sierra de la Primavera, cercana a Guadalajara. A las partículas del rango de las gravas les llamamos aquí jales; dicen que funcionan como un colchón ante sismos, pero no hay tal. De hecho, hay un solo antecedente, el temblor de octubre de 1995, cuando sí estaba funcionando una red acelerográfica, y fue evidente la amplificación del movimiento sísmico de la roca hacia la superficie; no es una amplificación tan espectacular y retadora como la de la Ciudad de México”.

Le pedimos a nuestro interlocutor que abunde en el caso de Jalisco, particularmente de Guadalajara, y nos dice que “lo más importante no es tanto la zona de subducción, sino las fallas cercanas a Guadalajara. Hay un sismo sobre el cual acaba de publicar un estudio muy interesante el doctor Max Suter, un suizo que fue profesor en la UNAM, ya jubilado. Se tenía ligera noción de que ese sismo de 1567 había sido muy importante en la región centro de Jalisco. Estima

6 ❘ Núm. 262 Diciembre 2021 - Febrero 2022 ❘
En Nyonié, Gabón, en 2011, haciendo trabajo de campo. Aficionado a la astronomía desde antes de ser ingeniero, aquí con su telescopio en 2020.

Max Suter que pudo haber sido un sismo con una magnitud de alrededor de 7.2, con epicentro a unos 40-45 kilómetros de Guadalajara. Hubo otro temblor en 1875, generado en una falla cercana a la ciudad, y los sismólogos estiman que fue magnitud de 7 o quizá menos, no se ha definido”.

Le preguntamos a Salvador Lazcano sobre la atención que se le da al tema del peligro sísmico en el reglamento de construcción.

“El reglamento de Guadalajara está vigente desde 1997 y la idea que teníamos (yo fui parte del equipo que participó en su elaboración) era revisarlo cada cuatro años, pero en 24 años no se ha completado revisión alguna. Contempla el panorama sísmico del temblor de 1875, que en 1997 se estimaba de una magnitud 7.5, con epicentro a unos 65 km al noroeste de Guadalajara”.

Nos comentó nuestro entrevistado sobre su experiencia como consultor en geotecnia en México, pero también estuvo en América Central, en el Caribe y en Gabón, África. Le pedimos que nos hable de las experiencias más relevantes.

“El caso de África me impresionó particularmente. El sitio donde estuvimos se llama Nyonié, en Gabón; es la selva llegando al mar, de una belleza indescriptible. Una experiencia que me impresionó, no de geotecnia, fue un día en la tarde que volvíamos de haber revisado varios cortes y de hacer algunos sondeos y líneas geofísicas sísmicas; nos topamos con una manada de mandriles que estaba cruzando la brecha por donde íbamos. ¡Impresionante!, ¡impresionante ver cómo se organizaban! Había uno que era como el jefe de la manada, dándoles paso con gritos; luego se perdieron en la selva y se seguían oyendo los gritos, la comunicación entre ellos… esa experiencia en África me cautivó”.

La consulta en Gabón fue para un desarrollo turístico. Salvador Lazcano nos cuenta: “Fue un estudio geotécnico preliminar en un terreno de unas 1,500 hectáreas; fue un reto, desde qué llevar, cómo hacer el estudio allá. Trabajamos con equipo geofísico sísmico y con pruebas de cono dinámico de la norma europea, que uso desde 1988, gracias al curso en Madrid.

”En Gabón, el presidente era una persona sumamente poderosa, más como un monarca, y tenía intereses en ese proyecto; nos prestó una retroexcavadora Caterpillar, un modelo que todavía no se tenía en México, y nos tocó estrenarla”.

“Guadalajara está mayormente sobre ese depósito de suelos pumíticos, originados en erupciones explosivas de la caldera volcánica de la Sierra de la Primavera, cercana a Guadalajara. A las partículas del rango de las gravas les llamamos aquí jales; dicen que funcionan como un colchón ante sismos, pero no hay tal.

El proyecto contemplaba la construcción de varios edificios en varios rumbos; edificios de hasta tres niveles, no se pretendía algo muy grande. Esta experiencia fue en 2011 y, curiosamente, el estar en Gabón le impidió a nuestro entrevistado participar de la inauguración del edificio más alto en el que ha intervenido, el hotel Riu de Guadalajara, donde hizo el estudio geotécnico y el espectro sísmico.

“A 36 años de haber iniciado mi actividad como consultor geotécnico y a 37 años de mi participación en la docencia, sigo activo en la consultoría, pero ya alejado de la docencia formal (cursos en la universidad) y sólo doy eventualmente pláticas o conferencias.

”Después de todos estos años me vienen cantidad de recuerdos, mayoritariamente gratos. Me siento muy afortunado de haber elegido –por qué no decirlo, más intuitivamente que por conocimientos– especializarme en el campo de la ingeniería geotécnica, que se ha convertido más en mi pasión que en mi profesión. Además, ella me ha permitido conocer a mucha gente, forjar amistades, visitar cantidad de lugares, muchos de gran belleza natural. Me queda el dulce sabor de lo vivido todos estos años y mi gratitud para tantos y tantos. Y con ello me viene a la memoria la canción de Violeta Parra que dice: “Gracias a la vida, que me ha dado tanto…”

Entrevista de Daniel N. Moser

Apreciamos su opinión e información sobre el tema de este artículo. Escríbanos a geotecnia@heliosmx.org

7 ❘ Núm. 262 Diciembre 2021 - Febrero 2022 ❘
Con su familia a la orilla del Lago de Chapala. De izquierda a derecha: Javier, su yerno; su hija Bere; su esposa Leti, su hija Moni, Salvador Lazcano y su hijo Salvador.
El dulce sabor de lo vivido ❘ CONVERSANDO CON...

SEMBLANZA

Ingeniero civil y maestro en Mecánica de suelos. Con amplia experiencia en los sectores público y privado, ha participado en proyectos para carreteras, aeropuertos, obras hidráulicas, edificios, entre otros. Es profesor en la FI-UNAM donde ha sido director de tesis de licenciatura; es conferencista y articulista nacional e internacional. Miembro de la SMIG, la AMITOS, la AMIVTAC y la ISSMGE.

Gabriel Moreno Pecero: voluntad, pasión y disciplina

Entre las ideas que siempre enarboló el ingeniero Moreno Pecero destaca que la ingeniería debía estar al servicio de la sociedad. El título de maestro se lo ganó a pulso durante 62 años como docente en diferentes instituciones nacionales e internacionales; supo combinar la enseñanza técnica con la práctica profesional y fue un gran impulsor de la investigación.

Gabriel Moreno Pecero nació el 17 de marzo de 1936 en el municipio de Pueblo Viejo, Veracruz, ubicado al norte del estado, en la zona metropolitana entre Tamaulipas y Veracruz, donde transcurrieron los primeros años de su infancia. Desde la secundaria comenzó a inclinarse por la ingeniería, gusto que reafirmó cuando, a su llegada a la Ciudad de México, ingresó a la preparatoria, la cual cursó en la Escuela Nacional Preparatoria núm. 1 de San Ildefonso, ubicada en el Centro Histórico de la Ciudad de México.

ESTUDIOS

Al culminar sus estudios de preparatoria, Moreno Pecero ingresó a la entonces Escuela Nacional de Ingenieros; formó parte de la primera generación de estudiantes de esa escuela que llegó a la Ciudad Universitaria, denominada GEINFUCUM, constituida por 900 jóvenes estudiantes y donde sólo había una mujer, la totalidad de la generación 1954, que tuvieron el privilegio de iniciar actividades académicas como alumnos el lunes 22 de marzo de 1954. Obtuvo el grado de ingeniero civil con mención honorífica, fue maestro en Ingeniería y completó créditos para el doctorado en la Universidad Nacional Autónoma de México.

En el transcurso de su interesante vida, él expresaba que entre las razones que lo impulsaron a cursar estudios de ingeniería civil se incluía que siempre pensaba en cómo podría

Incansable educador, el maestro Moreno Pecero impartía clases, cursos y participaba en charlas académicas y conferencias.

servir mejor, de forma más amplia y con mayor eficiencia y eficacia a la sociedad; por otra parte, buscaba una carrera que lo pusiera en contacto directo y cotidiano con la naturaleza. Gracias a ello, planeó un proyecto de vida en torno

8 ❘ Núm. 262 Diciembre 2021 - Febrero 2022 ❘

a la actividad profesional y la academia, lo que concretó de manera armoniosa.

DOCENCIA

Ejerció la docencia como profesor de asignatura en la Facultad de Ingeniería de la Universidad Nacional Autónoma de México, desde que era estudiante, como profesor-ayudante de Geotecnia; también como profesor en la División de Estudios de Posgrado, profesor fundador de la entonces Escuela Nacional de Estudios Profesionales de Acatlán; en la Universidad Iberoamericana durante 19 años, y en la Universidad Autónoma de Chiapas, donde impartió clases durante seis años los fines de semana. Fue profesor fundador de la Maestría en Ingeniería de Vías Terrestres en la Universidad Autónoma de Chihuahua.

Impartió cursos en la División de Educación Continua y conferencias en prácticamente todas las entidades de la República mexicana, así como en países de Centroamérica y Sudamérica, por ejemplo: Costa Rica, Guatemala, Honduras, Venezuela, Colombia, Perú, Ecuador, Bolivia, Chile y Brasil.

Contribuyó de manera destacada a la conformación del posgrado en Vías Terrestres en la Universidad del Cauca, Colombia, enalteciendo la labor de la UNAM y de instituciones mexicanas en el desarrollo e implementación del programa académico. La intervención del maestro Moreno en ese programa académico se remonta a los inicios del decenio de 1960. Como parte de una estrategia internacional para fomentar el desarrollo en América Latina, la Secretaría de Obras Públicas de México (hoy Secretaría de Comunicaciones y Transportes) y la UNAM, a través de su Facultad de Ingeniería, establecieron contacto con el Ministerio de Obras Públicas y la Universidad del Cauca en Colombia, para compartir tecnología y comenzar colaboraciones académicas.

Entre los logros más notables de esta vinculación destaca la creación de ese posgrado en Vías Terrestres en dicha institución, encabezado por el maestro Moreno, quien fue elegido gracias a su sólida y activa trayectoria en la industria y la academia, para instruir a los ingenieros que se convertirían en profesores de un programa tan notable por su intensa actividad en investigación, que llevó al Instituto de Vías Terrestres a establecerse como referente en el ámbito nacional.

Ese posgrado se basó en el que existía en la Facultad de Ingeniería de la UNAM, donde participaron Javier Barros Sierra, Rodolfo Félix Valdés y Alfonso Rico Rodríguez, entre otros ingenieros, pero con las adaptaciones necesarias para centrarse en la resolución de los problemas de Colombia, de menor extensión territorial, población e infraestructura.

Otra labor que desempeñó el maestro Moreno Pecero fue el de asesorar a profesores; en ella destacó por su entusiasmo y habilidad para transmitir el conocimiento, además de su actitud firme y resiliente en el ámbito de la geotecnia, la hidrología y en el laboratorio, asignaturas que impartió con enfoque en las vías terrestres. Entre sus mayores logros en

el posgrado se encuentra la preparación de generaciones de profesores, así como la mejora de la infraestructura urbana y rural colombiana.

A continuación se anotan algunas de las reglas que solía utilizar el maestro en la docencia:

• Despertar la curiosidad de los alumnos

• Enseñarles a aprender

• Acostumbrarlos a pensar

• Mostrarles el lado práctico del conocimiento

• Sorprenderlos con nuevas ideas

• Descubrirles nuevos libros

• Transmitirles valores

• Darles voz y escucharlos

• Mantener una actitud positiva

• Actuar con justicia

PRÁCTICA PROFESIONAL

El ejercicio profesional lo cumplió básicamente en la entonces Secretaría de Obras Públicas (SOP), posteriormente denominada Secretaría de Asentamientos Humanos y Obras Públicas (SAHOP), hoy Secretaría de Comunicaciones y Transportes, en diferentes áreas como la ingeniería de tránsito, geotecnia aplicada a las vías terrestres e ingeniería de proyectos, entre otras. Participó en innumerables proyectos de infraestructura.

Formó parte de un grupo selecto de destacados ingenieros que colaboraron en esa dependencia, como Javier Barros Sierra, Luis Enrique Bracamontes, Rodolfo Félix Valdés, Fernando Espinosa Gutiérrez, Gerardo Cruickshank García, Juan Puig de la Parra, Alfonso Rico Rodríguez y Eulalio Juárez Badillo entre otros.

En agosto de 2010, Gabriel Moreno comentaba que, antes de emprender una obra, es preciso estudiar el subsuelo para evitar inconvenientes; que la ingeniería mexicana es capaz

9 ❘ Núm. 262 Diciembre 2021 - Febrero 2022 ❘
SEMBLANZA
Gabriel Moreno Pecero: voluntad, pasión y disciplina ❘ El ingeniero Moreno presidió la mesa directiva de la Sociedad Mexicana de Mecánica de Suelos en el periodo 1983-1984.

Entre diversos cargos en la UNAM: el ingeniero Moreno fue jefe de la División de Educación Continua y de la División de Ingeniería Civil, Topográfica y Geodésica de la Facultad de Ingeniería, y de esta, profesor titular C de tiempo completo del Departamento de Geotecnia.

de construir autopistas, carreteras o viviendas en zonas de deslave sin que se produzcan problemas, lo que es factible siempre y cuando se practiquen los estudios correspondientes y éstos antecedan al inicio de cualquier obra.

En el caso de los deslaves, ya sean naturales o provocados por el ser humano y que a veces pueden llegar a ser críticos, se debe conocer su proceso de formación, ubicarlos y tratarlos con el fin de que no produzcan problemas; estudiar cómo se forman, y así determinar zonas no aptas para edificar viviendas; considerar las regiones donde las lluvias son más intensas y frecuentes, y después, mediante estudios geohidrológicos, determinar el agua que se filtra, escurre y se evapora, e informar a la población de los riesgos de vivir en zonas propensas a deslaves.

Por consiguiente, es importante que las universidades preparen ingenieros o especialistas en suelos que no sólo sepan teoría, sino que apliquen sus conocimientos en el trabajo de campo y en beneficio de la sociedad, y que colaboren con organismos públicos y privados para determinar con precisión aquellas áreas o zonas donde el riesgo está latente. De esta manera, la planeación del desarrollo urbano deberá estar enfocada en no continuar la invasión de esas zonas, y, si es así, observar que haya acciones destinadas a anular el riesgo de obras sin planeación.

A Gabriel Moreno Pecero se le debe la formación de varias generaciones de ingenieros civiles; supo combinar la enseñanza teórica con la práctica profesional, pero sobre todo fue un gran impulsor de la investigación.

INVESTIGACIÓN

En este campo, fue creador de varias tecnologías innovadoras: el inclinómetro hechizo, los drenes de arena de penetración transversal –cuya tecnología ha funcionado y permite dejar fluir toda el agua que entra al suelo–; colaboró asimismo en la recimentación del Palacio Nacional mediante inyección de agua al subsuelo de apoyo; coordinó también la investigación del comportamiento mecánico del suelo en dos terraplenes de prueba construidos en el Lago de Texcoco, y en la renivelación del antiguo edificio de la Secretaría de Relaciones Exteriores en Tlatelolco, por mencionar algunos proyectos.

El ingeniero Moreno mencionaba el gusto que tenía de colaborar en acciones de investigación y docencia con otras universidades. Al haber intervenido en la creación del posgrado en Vías Terrestres en la Universidad del Cauca, ese mismo ánimo lo condujo a llevar a la Universidad Autónoma de Chiapas los conocimientos de la especialidad, así como su aplicación en la práctica.

CARGOS EN ORGANIZACIONES EDUCATIVAS

Fue el primer presidente de su generación de licenciatura (1954-1958), primer consejero técnico alumno que tuvo la actual División de Estudios de Posgrado de la Facultad de Ingeniería (FI) de la UNAM (1960-1961); jefe de la División de Educación Continua de la FI durante 16 años; jefe de la entonces División de Ingenierías Civil, Topográfica y Geofísica de la FI. Consejero Universitario por la ENEP

10 ❘ Núm. 262 Diciembre 2021 - Febrero 2022 ❘
SEMBLANZA ❘ Gabriel Moreno Pecero: voluntad, pasión y disciplina

Acatlán (1980-1983), acreedor de diploma del CICM por su actividad en la SEFI y su labor docente; secretario de la Asociación Mexicana de Educación Continua (1994); miembro de la directiva del Proyecto Columbus en educación continua (de 1993 a 1995), nombrado por el consejo de rectores (70 universidades), y acreedor de reconocimientos de las universidades de Guayaquil, Ecuador, y Lima, Perú.

El ingeniero Moreno Pecero fue profesor titular C de tiempo completo del Departamento de Geotecnia de la División de Ingenierías Civil y Geomática de la Facultad de Ingeniería de la UNAM, académico por 62 años, fundador y coordinador del Grupo de Servicio Social con Aplicación Directa a la Sociedad desde 2002.

SOCIEDADES TÉCNICAS Y ACADÉMICAS

El ingeniero Moreno fue miembro del Colegio de Ingenieros Civiles de México, A. C. y de la Sociedad Mexicana de Ingeniería Geotécnica (SMIG), además de presidente de ésta en la gestión 1983-1984; fue parte de la Asociación Mexicana de Ingeniería de Vías Terrestres (AMIVTAC), y socio de honor (1992) de la International Society for Soil Mechanics and Geotechnical Engineering (ISSMGE).

Miembro de número de la Academia Mexicana de Ingeniería (1985) y miembro del Consejo Consultivo de la Federación de Colegios de Ingenieros Civiles de la República Mexicana.

RECONOCIMIENTOS

Recibió numerosos reconocimientos, entre los que destacan al Mérito Universitario por la UNAM; por su labor docente

Sobre

en la Universidad Iberoamericana; la medalla “Universidad del Cauca en Colombia”, máxima distinción en el rango de “profesor distinguido y eminente servidor”; primer socio de honor en el Colegio de Ingenieros Civiles del Ecuador; socio de honor de la Sociedad Colombiana de Geotecnia.

Reconocimiento honoris causa por la Universidad de Chiapas

Por su destacada trayectoria académica y su contribución a la formación y consolidación de la carrera de Ingeniería Civil en la Universidad Autónoma de Chiapas, Gabriel Moreno Pecero, profesor de la Facultad de Ingeniería, recibió el doctorado honoris causa por parte de esa institución educativa.

En ese entonces decía: “Creo que la razón de haberme dado esta distinción es la docencia, pero también el haber combinado la enseñanza teórica con la práctica profesional y el fomento a la investigación”.

Recordó que el contacto con la UACH se dio desde años atrás, “cuando era profesor de asignatura de la Universidad Nacional y laboraba en la entonces Secretaría de Obras Públicas. Entonces, en Chiapas nacía la ingeniería y la universidad de esa entidad federativa tenía poco de haberse constituido y, por lo tanto, requería apoyo de todo tipo. Siempre he tenido la inquietud de colaborar intensamente y apoyar a instituciones y personas que tienen deseos de superarse”, añadió.

En aquellos años, el ingeniero Carlos Serrato, entonces director de la Escuela de Ingeniería de la UACH, gestionó ante la Secretaría de Educación Pública para que varios ingenieros fueran a la entidad a impartir cursos, y todo se

la gran

calidad

humana de Gabriel Moreno Pecero

Su bonhomía y trato siempre amable lo caracterizaban, gustaba de hablar sin prisa, con calidez y claridad, tratando de crear empatía con sus interlocutores. Fue ejemplo de honestidad, mentor de muchos; fue considerado magnífico profesor, muy querido y admirado por la mayoría de sus alumnos. Cuando dejó la jefatura de la División de Ingeniería Civil y Topográfica de la Facultad de Ingeniería de la UNAM, en lugar de buscar otro puesto administrativo o disfrutar de una merecida jubilación se dedicó a organizar y realizar personalmente un servicio social comunitario sin precedentes, “al que se consagró con la energía de un joven de 80 años entusiasta y comprometido con su país, en toda la extensión de la palabra, canalizando así su pasión auténtica por las causas justas y generosas, siempre sonriente, siempre optimista”.

Atento a los avances, en el 2000 Moreno Pecero participó como organizador del I Congreso Panamericano de Mecánica de Suelos en Oaxaca.

11 ❘ Núm. 262 Diciembre 2021 - Febrero 2022 ❘
SEMBLANZA
Gabriel Moreno Pecero: voluntad, pasión y disciplina ❘

conjuntó para que la UNAM, a través de la Facultad de Ingeniería, y la entonces Secretaría de Obras Públicas colaboraran en esa tarea.

De esta manera, por seis años, durante los fines de semana ,se impartieron las clases en esa universidad. En ese entonces, Tuxtla Gutiérrez empezaba a desarrollarse desde el punto de vista urbano, y había muchos problemas en las estructuras por la presencia de suelos expansivos. Se les mencionaba a los jóvenes estudiantes que era necesario e interesante investigar cómo solucionar tales problemas.

El doctorado honoris causa le dio la satisfacción de haber realizado una labor que se había planteado hacía poco más de 30 años: colaborar intensamente para que la infraestructura del país se desarrollara con plenitud y tuviera repercusiones positivas para todos.

Reconocimiento por antigüedad académica

Hace dos años, la Facultad de Ingeniería convocó a una ceremonia de reconocimiento por antigüedad académica en el auditorio Javier Barros Sierra. Entonces recibieron medallas y diplomas aquellos profesores que cumplieron años por antigüedad docente, así como medallas al mérito universitario.

Esa ceremonia la presidió el director de la Facultad de Ingeniería, Carlos Agustín Escalante Sandoval, así como la secretaria general de la Asociación Autónoma del Personal Académico, Bertha Rodríguez Serrano, y otras personalidades del ámbito académico.

En el presídium estuvieron presentes los profesores a quienes se les festejó la mayor antigüedad académica en la facultad: Neftalí Rodríguez Cuevas, con 65 años de antigüedad, y los maestros Leda Speziale San Vicente y Gabriel Moreno Pecero, con 60 años de antigüedad académica, quienes fueron los primeros en recibir sus medallas, además de una mención especial del orgullo de la Facultad de Ingeniería por haber sido enriquecida con su experiencia y compromiso.

Carlos Agustín Escalante expresó su placer de acompañar a los maestros en el homenaje a su trayectoria: “Es un privilegio compartir efemérides que debemos festejar con todo orgullo, pues hoy premiamos una labor académica continua que en muchos casos representa la entrega de toda una vida a la docencia universitaria”. Mencionó en especial a los tres festejados que lo acompañaban en el presídium, refiriéndose a ellos como auténticos líderes en sus áreas de especialidad, y les reiteró sus felicitaciones por llenar de orgullo a la Facultad de Ingeniería y a la Universidad Nacional Autónoma de México.

Asimismo, recordó el papel fundamental de los docentes para que las universidades públicas se mantengan

como espacios de oportunidad de movilidad social proporcionando a los jóvenes los conocimientos y habilidades necesarios para incorporarse exitosamente al mundo laboral y para su desarrollo personal.

SERVICIO SOCIAL

Entre las ideas que siempre enarboló el ingeniero Moreno Pecero se incluía que la ingeniería debía estar al servicio de la sociedad y dar una nueva visión al servicio social. De esta forma surgió el llamado Grupo de Servicio Social con Aplicación Directa a la Sociedad, coordinado por él mismo.

Este grupo ofrece pláticas de motivación a los estudiantes para prepararlos de manera que propongan proyectos innovadores que solucionen los problemas de las comunidades que así lo requieran.

Al presente, se han acompañado trabajos en algunas alcaldías de la Ciudad de México (Milpa Alta y Tlalpan) y se ha apoyado a diversas comunidades de Guerrero y Puebla, donde se ha asesorado y profesionalizado a académicos de los Conalep para la construcción de sus obras civiles.

Además, con mucho orgullo se reconoce que por cinco años miembros del grupo han sido merecedores del premio al servicio social Doctor Gustavo Baz Prada.

Este grupo no está restringido a la Facultad de Ingeniería, sino que está abierto a todas las instancias de la UNAM y cuenta con la colaboración de algunas sociedades técnicas como la SMIG y el Inegi.

HOMENAJE

La División de Ingenierías Civil y Geomática (DICyG) de la FI organizó, en el mes de octubre de 2016, el XIV Ciclo de Conferencias en el auditorio Javier Barros Sierra, en el que se rindió homenaje al maestro Gabriel Moreno Pecero, reconocido profesor del Departamento de Geotecnia de la FI.

En su participación, la maestra Margarita Puebla expresó que Gabriel Moreno no sólo era un excelente ingeniero, querido y admirado por sus alumnos, sino una persona de calidad. “Permítanos premiarlo por su congruencia, por su actitud rebelde y antitradicional y, considerando su labor en el servicio social, por su pasión auténtica por las causas

12 ❘ Núm. 262 Diciembre 2021 - Febrero 2022 ❘
El interés del ingeniero Moreno por el conocimiento se mantuvo incluso después de su jubilación. VI Seminario de Ingeniería Vial, noviembre de 2007, Boca del Río, Veracruz. SEMBLANZA ❘ Gabriel Moreno Pecero: voluntad, pasión y disciplina

justas y generosas, ya que esto define a un gran ser humano”.

Así también, el entonces jefe de la División de Ingenierías Civil y Geomática, Germán López Rincón, agradeció las enseñanzas de su profesor: “He aprendido mucho de usted, y lo único que me resta es felicitarlo; me siento orgulloso de formar parte de la Facultad de Ingeniería y de tenerlo como compañero y amigo”.

Posteriormente, Carlos Escalante recordó una frase recurrente del homenajeado: “No me preocupo, me ocupo”, y dijo: “Cuando nos encontramos por los pasillos o estacionamientos, siempre me ofreció su ayuda para mejorar nuestra facultad. Esa mentalidad de ocuparse para resolver problemas es lo que le hace falta a la Facultad de Ingeniería, y me gustaría que se reflejara en los demás profesores”.

Para finalizar el acto, el maestro Gabriel Moreno Pecero agradeció al comité organizador, a las autoridades de la Facultad de Ingeniería, a los docentes y a los alumnos el homenaje recibido, y comentó. “Ser profesor es un privilegio que debemos valorar”. Compartió que uno de los momentos emblemáticos en su vida académica y profesional ocurrió cuando el director de la Facultad de Ingeniería, en ese entonces Javier Barros Sierra, lo mandó llamar para decirle que sería su tutor. Desde ese instante se convertiría en un amigo muy valioso, transmitiéndole los valores que conservó toda su vida.

A los alumnos los invitó a ser polémicos, a participar e inconformarse con la rutina. “Deben tener un poco de rebeldía diaria, con respeto, porque es de vital importancia en nuestro país”.

También reconoció la labor de sus compañeros de la Facultad de Ingeniería, de la División de Ingenierías Civil y Geomática, del Departamento de Geotecnia, de la División de Educación Continua y a Distancia que también presidió, así como al Grupo de Servicio Social con Aplicación Directa a la Sociedad, con el que convivió por más de una década.

MENSAJE A LOS JÓVENES GEOTECNISTAS

En el mensaje que el maestro Moreno siempre dirigía a los jóvenes geotecnistas mencionaba, entre otros aspectos, que para enfrentar a las necesidades de nuestro país se requieren mejores ingenieros, entre ellos civiles, en número suficiente y con calidad, ya que las características del mundo actual, así como las que se avizoran en el futuro, exigen que las condiciones de vida de los mexicanos sean cada día mejores, e impulsen a nuestros profesionales de la ingeniería mexicana a generar cambios en sus actitudes, en sus aptitudes, en sus habilidades y en sus conocimientos, de manera que estén

en armonía con el medio en que deban actuar en los años futuros.

Cuando caminaba por el salón entre sus alumnos dando clase y le tocaba el hombro a un estudiante distraído, desanimado o tal vez cansado, decía: “Jóvenes, quiero comentarles que soy yo quien va a aprender de ustedes”. Anotaba su número telefónico en el pizarrón para que los alumnos pudieran aclarar sus dudas y les daba confianza en sí mismos.

REFLEXIÓN FINAL

El título de maestro, el que no otorga ninguna institución o documento, Gabriel Moreno se lo ganó a pulso en 62 años como docente en las diferentes instituciones nacionales e internacionales; supo combinar la enseñanza técnica con la práctica profesional y fue un gran impulsor de la investigación. Sin temor a equivocarnos, impartió clases a más de 60 generaciones, que quizás sumen más de cinco mil alumnos.

La gran trayectoria reconocida de Moreno Pecero en todos los ámbitos académicos y profesionales se vio reflejada en la gran cantidad de expresiones de condolencias que se presentaron a raíz de su partida el 23 de agosto pasado, tanto por instituciones de educación y organizaciones gremiales como por ex alumnos, académicos y todos los que llegaron a conocerlo.

Formó una familia llena de amor y de valores con su esposa Anayansi y sus hijas Rebeca y Gabriela, una convivencia duradera en la que compartieron la alegría de vivir. Deja un legado memorable, tanto para su familia como para todos los que tuvimos la oportunidad de conocerlo.

Se le extrañará, pero todos guardamos un grato recuerdo del ser humano, del esposo, del padre, del amigo, del maestro y del ingeniero

13 ❘ Núm. 262 Diciembre 2021 - Febrero 2022 ❘
Debido a su gran trayectoria profesional y docente, Gabriel Moreno Pecero, profesor del Departamento de Geotecnia de la FI, fue homenajeado en el XIV Ciclo de la DICyG, 2016. Apreciamos su opinión e información sobre el tema de este artículo. Escríbanos a geotecnia@heliosmx.org Gabriel Moreno Pecero: voluntad, pasión y disciplina ❘
SEMBLANZA

Uso y abuso de anclas postensadas en zonas urbanas

El uso de sistemas de anclaje como procedimiento de estabilización temporal de excavaciones en zonas urbanas se ha incrementado notablemente en años recientes. En este trabajo se describen, en forma general, los criterios para el diseño e instalación de anclas postensadas, con algunos ejemplos de aplicación exitosa. Asimismo, se muestran diversos casos del uso de este sistema en zonas urbanas, donde se presentaron problemas debido a diversas causas: instalaciones municipales, colindancias conflictivas o condiciones geotécnicas e hidráulicas imprevistas; se comentan las soluciones adoptadas.

1. INTRODUCCIÓN

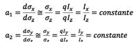
Las anclas postensadas son muy utilizadas para la estabilización de los cortes verticales que demandan las grandes excavaciones en todas las ciudades; conjuntamente con el concreto lanzado, muros diafragma, pilas-tangentes y secantes, tablestacas de acero y de concreto, etcétera, constituyen el sistema de contención que garantiza la estabilidad temporal de las edificaciones colindantes, de las instalaciones municipales y de la propia excavación. Su capacidad frente a la tensión se determina de acuerdo, fundamentalmente, estos criterios (1 y 2):

Fa= π D la (αc + σtgϕ) Fs

Fa= π D la pi tg ϕ Fs

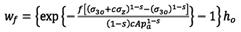
donde D es el diámetro de la perforación, la es la longitud del bulbo, αc y ϕ son los parámetros de resistencia al esfuerzo cortante que se desarrollan en la interfaz lechada suelo, σ es el esfuerzo vertical efectivo medio en la zona del bulbo, pi es la presión de inyección de la lechada y Fs es el factor de seguridad.

La diferencia entre estos dos criterios es, sobre todo, para los primeros niveles de anclaje; con el criterio que depende

14 ❘ Núm. 262 Diciembre 2021 - Febrero 2022 ❘
(1)
(2)
Unidad Descripción Profundidad (m) γ (kN/m3) c (kPa) ϕ (°) Relleno superficial Relleno (SM) 0.0 a 1.2 17.0 10 28 Suelos volcánicos Toba arcillosa (CL) 1.2 a 3.0 17.0 75 27 Toba arenosa y limosa (SM y ML) 3.0 a 20.3 17.7 45 37 Toba arenosa (SM) 20.3 a 48.0 19.2 168 34 Toba arcillosa (CL) 48.0 a 60.0 17.4 65 32 Nota: γ, peso volumétrico; c, cohesión; ϕ, ángulo de fricción interna.
Tabla 1. Modelo geomecánico caso 1 Figura 1 Excavación a 54.5 m. 54.5 m
TEMA DE PORTADA ❘ ARTÍCULO TÉCNICO
Estructura de dos niveles Claro de 30

Uso y abuso de anclas postensadas en zonas urbanas ❘ ARTÍCULO TÉCNICO ❘ TEMA DE PORTADA

Limo arenoso café amarillento; la arena es fina, poco media, andesítica, pumítica, poco cuarzosa; con grumos de caliche y tabique rojo

Tabla 2. Modelo geomecánico caso 2

de la presión de inyección, se obtienen capacidades mayores que con el correspondiente a los esfuerzos efectivos. A mayores profundidades, esta diferencia desaparece. Se hace notar que, para altas presiones de inyección, el segundo criterio (ec. 2) genera fracturamiento hidráulico en los suelos. Cuando se diseña el sistema de estabilización, es necesario determinar las técnicas de perforación y la instalación de los

tendones del ancla; para ello es indispensable caracterizar con detalle la masa de suelo de interés: existencia del nivel de aguas freáticas o presencia de manto colgado, granulometría, límites de plasticidad, resistencia al esfuerzo cortante, agresividad del medio que genera efectos de corrosión en los tendones, etcétera. Es preciso hacer hincapié en que las anclas se desarrollan hacia fuera del predio en estudio; adicionalmente, es importantísimo estar ciertos de las posibles variaciones estratigráficas, además de conocer la trayectoria de las instalaciones municipales, entre ellas, energía eléctrica, telefonía y, particularmente, tuberías de agua potable y de drenaje. Por fugas en estas conducciones de agua y drenajes trabajando a presión se han tenido problemas de

15 ❘ Núm. 262 Diciembre 2021 - Febrero 2022 ❘
inestabilidad en muchas excavaciones.
Nivel de anclaje Prof. (m) Fuerza de diseño (kN) Longitud perforación (m) Longitud efectiva (m) Postensado (kN) 1 –2.0 2500 16 torones de 0.6” 45.0 9.0 2500 2 –5.5 2500 16 torones de 0.6” 44.5 9.0 2500 3 –9.0 2500 16 torones de 0.6” 42.5 9.0 2500 4 –12.5 2500 16 torones de 0.6” 41.0 9.0 2500 5 –16.0 2500 16 torones de 0.6” 38.0 9.0 2500 6 –19.5 2500 16 torones de 0.6” 35.5 9.0 2500 7 –23.0 2500 16 torones de 0.6” 33.0 9.0 2500 8 –26.5 2500 16 torones de 0.6” 30.0 9.0 2500 9 –30.0 2500 16 torones de 0.6” 27.5 9.0 2500 10 –33.5 2500 16 torones de 0.6” 25.0 9.0 2500 11 –37.0 2500 16 torones de 0.6” 22.5 9.0 2500 12 –40.5 2500 16 torones de 0.6” 19.5 9.0 2500 13 –44.0 2500 16 torones de 0.6” 17.0 9.0 2500 14 –47.5 2500 16 torones de 0.6” 14.0 9.0 2500 15 –51.0 2500 16 torones de 0.6” 11.5 9.0 2500 Nivel SPT-1 0 5 10 15 20 25 30 35 40 45 50 55 60 65 70 75 80 0 50 Número de golpes Nivel de anclaje N-1 N-2 N-3 N-4 N-5 N-6 N-7 N-8 N-9 N-10 N-11 N-12 N-13 N-14 N-15 Df=54.10 m q=40 kPa 15º 5º 10º 8º
Figura 2. Anclas y estratigrafía del caso 1.
Rellenos superficiales Tobas pumíticas Flujo piroclásticoCuquita Tobas pumíticas
Unidad Descripción Profundidad (m) γ (kN/m3) c (kPa) ϕ (°) Suelo superficial Limo arenoso (ML) 1.0 a 2.5 17.0 35 30 Depósitos lacustres Arcilla con arena (CH) 2.5 a 7.0 17.0 35 30 Depósitos fluviolacustres Limo arenoso (ML) 7.0 a 10.0 17.0 120 30 Arena limosa (SM) 10.0 a 15.0 18.0 35 35 Tobas Arena limosa con gravas (SM) 15.0 a 18.0 17.0 60 35 Arena con limo y con gravas (SM) 18.0 a 32.5 18.0 60 37 Limo con arena (SM) 32.5 a 40.0 17.5 175 35 Arena limosa con gravas (SM) > 40.0 18.0 80 38 Nota: γ, peso volumétrico; c, cohesión; ϕ, ángulo de fricción interna.
45 cm Muro diafragma (28 m) 20 cm concreto lanzado 45 cm Muro diafragma 18 m 20 cm concreto lanzado
Figura 3. Excavación a 38 m en Zona de Transición.

TEMA DE PORTADA ❘ ARTÍCULO TÉCNICO ❘ Uso y abuso de anclas postensadas en zonas urbanas

Muro diafragma de 45.0 cm

N1 –2.5 m

N2 –8.0 m

N3 –12.5 m

N4 –17.0 m

N5 –20.5 m

N6 –24.0 m

N7 –27.5m

N8 31.0 m

N9 –34.25 m

Limo arenoso (ML)

Arcilla con arena (CH)

Limo arenoso (ML)

Arena limosa (SM)

Desplante de muro 18.0 m

Arena limosa con gravas

Arena con limo y con gravas

Suelo superficial Depósitos lacustres

Depósitos fluviolacustres

N10 –37.35 m

Lino con arena

Muro concreto lanzado de 20.0 cm

Tobas

Arena limosa con gravas

En lo que concierne al Reglamento para las Construcciones del Distrito Federal, en las normas Técnicas Complementarias para Diseño y Construcción de Cimentación (2017) se precisa, en el apartado 5.1.4, Estabilidad de estructuras vecinas, que, en caso de usar anclas temporales para el soporte de ademes, deberá demostrase que éstas no afectarán la

Muro diafragma prefabricado

Viga madrina

Espacio para las columnas de la estructura

estabilidad ni inducirán deformaciones significativas en las cimentaciones vecinas o los servicios públicos. El sistema estructural del ancla deberá analizarse para asegurar su debido funcionamiento. El análisis de las anclas tendrá que considerar la posibilidad de falla del elemento tensor, de la adherencia elemento tensorlechada, de la adherencia lechadaterreno y de la capacidad de carga del terreno en el brocal del ancla. La instalación de anclas deberá realizarse con un control de calidad estricto que incluya un número suficiente de pruebas de éstas, de acuerdo con las prácticas aceptadas al respecto. Los anclajes temporales instalados en terrenos agresivos podrán requerir una protección especial contra corrosión. La utilización de las anclas, puesto que se construyen en los predios colindantes, está supeditada a los permisos de los propietarios de los terrenos vecinos, por lo que previamente a su utilización es necesario organizar reuniones de conciliación y convencimiento con ellos.

16 ❘ Núm. 262 Diciembre 2021 - Febrero 2022 ❘
Nivel de anclaje Prof. (m) Fuerza de diseño (kN) Longitud perforación (m) Longitud efectiva (m) Postensado (kN) 1 –2.50 1450 10 torones de 0.6” 29.5 7.5 1450 2100 14 torones de 0.6” 37.0 15.0 2100 2450 16 torones de 0.6” 39.0 17.0 2450 2 –8.0 1700 11 torones de 0.6” 27.0 8.5 1700 2450 16 torones de 0.6” 35.5 17.0 2450 1900 12 torones de 0.6” 33.5 15.0 1900 3 –12.00 –12.50 1700 11 torones de 0.6” 24.5 8.5 1700 2450 16 torones de 0.6” 33.0 17.0 2450 1900 12 torones de 0.6” 31.0 15.0 1900 4 –17.00 1450 10 torones de 0.6” 20.5 7.5 1450 2100 14 torones de 0.6” 28.0 15.0 2100 2450 16 torones de 0.6” 30.0 17.0 2450 5 –20.50 2150 14 torones de 0.6” 25.5 13.0 2150 6 –24.00 2150 14 torones de 0.6” 23 13.0 2150 7 –27.50 2150 14 torones de 0.6” 20 13.0 2150 8 –30.65 y 31.00 2150 14 torones de 0.6” 18 13.0 2150 9 –33.75 –34.24 2150 14 torones de 0.6” 16 13.0 2150 10 –36.85 y –37.35 2150 14 torones de 0.6” 14 13.0 2150 Pi presión de diseño 1 MPa Nivel SPT-1 0 5 10 15 20 25 30 35 40 45 50 55 60 65 70 75 80 0
Figura 4. Anclas y estratigrafía del caso 2.
50 Número de golpes
Figura 5. Muro diafragma prefabricado con vigas madrinas y anclas.

Uso y abuso de anclas postensadas en zonas urbanas ❘ ARTÍCULO TÉCNICO ❘ TEMA DE PORTADA

Tabla 3. Modelo geomecánico caso 3

2. APLICACIONES EN ZONAS URBANAS

2.1. Casos de éxito

En lo que sigue se presentan dos casos construidos en la Ciudad de México.

Caso 1. Localizado en la zona geotécnica de Lomas, se trata de una excavación a 54.5 m de profundidad practicada en suelos volcánicos, estabilizada con 15 niveles de anclas, complementadas con un muro de concreto lanzado de 20 cm de espesor con una resistencia de 20 MPa y reforzado con dos mallas electrosoldadas 6 × 6–4/4; el progreso de la excavación se muestra en la figura 1. En la tabla 1 y en la figura 2 se precisan las características de las anclas y las condiciones estratigráficas de diseño.

Tabla 4. Modelo geomecánico caso 4

Caso 2. La excavación del segundo caso se ubica en la zona geotécnica denominada de Transición; se trata de una excavación a 38 m de profundidad que se muestra en la figura 3, en un sitio cuya estratigrafía se caracteriza por la presencia de depósitos fluviolacustres en los primeros 18 m, con la presencia de un manto colgado, subyacidos por un depósito de mayor compacidad, donde ocurre la transición entre los suelos fluviales hacia una formación volcánica. El sistema de estabilización fue de tipo mixto, integrado por un muro Milán en la parte superior y concreto lanzado en los suelos compactos, soportados lateralmente con anclas postensadas. En la figura 4 se presentan las anclas y la estratigrafía del sitio; en la tabla 2 se precisa el modelo geotécnico de diseño.

En ambos casos se advierte la bondad del sistema de contención, con base en anclas postensadas. En efecto, no se presentaron problemas en el comportamiento de la excavación, además de que durante la instalación de las anclas no hubo conflictos o interferencias con las colindancias. Se hace notar

17 ❘ Núm. 262 Diciembre 2021 - Febrero 2022 ❘
Nivel de anclaje Prof. (m) Fuerza de diseño (kN) Longitud perforación (m) Longitud efectiva (m) Postensado (kN) 1 –2.0 1200 8 torones de 1/2” 19.0 10.0 120 2 –5.0 1200 8 torones de 1/2” 17.0 10.0000 120 3 –8.0 1200 8 torones de 1/2” 15.0 10.0000 120 4 –11.0 1500 10 torones de 1/2” 12.5 10.0000 150 5 –14.0 1500 10 torones de 1/2” 10.0 5.0000 150 6 –17.0 1500 10 torones de 1/2” 10.0 7.0 150 7 –20.0 1500 10 torones de 1/2” 10.0 8.5 150 Pi, presión de inyección de diseño 0.2 MPa Profundidad, m SM-1 0 5 10 15 20 25 30 0 5 10 15 0 5 Resistencia de punta qc (MPa) 0 100 Número de golpes NME –21.3 m N1 –2.0 m N2 –4.83 m N3 –7.91 m N4 –10.81 m N5 –14.11 m N5 –17.18 m N7 –20.09 m 15% Anclas postensadas Limo arenoso Limo arcilloso, arenas limosas Limo arcilloso orgánico Limo arenoso, arenas limosas Toba arenolimosa Arena pumítica Muro diafragma prefabricado Toba limoarenosa Suelos volcánicos Suelos de pradera
Figura 6. Anclas y estratigrafía del caso 3.
Unidad Descripción Profundidad (m) γ (kN/m3) c (kPa) ϕ (°) Suelos de pradera Limo arenoso (ML) 0.0 a 4.0 16.5 55 18 Limos arcillosos y arenas limosas (ML y SM) 4.0 a 7.9 16.0 47 21 Limos arcillosos orgánicos (MH) 7.9 a 9.5 15.5 38 12 Limo arenoso y arena limosa (ML y SM) 9.5 a 13.5 16.5 33 25 Suelos volcánicos Toba areno limosa (SM) 13.5 a 20.5 17.5 65 34 Arena pumítica (SM) 20.5 a 21.2 15.5 30 31 Toba limo arenosa y arena limosa (ML y SM) 21.2 a 29.8 18.0 78 37 Nota: γ, peso volumétrico; c, cohesión; ϕ
ángulo de fricción interna.
,
Unidad Descripción Profundidad (m) γ (kN/m3) c (kPa) ϕ (°) Relleno Desperdicio de construcción empacada en arcilla 0.0 a 2.0 17.0 10 20 Suelos aluviales Arcillas y limos poco arenosos (CH y MH) 2.0 a 4.8 14.0 22.5 17.5 Suelos aluviolacustres Arcillas y limos con lentes de arena (CH y MH) 4.8 a 15.0 12.3 36 0 Suelos aluviales Arenas limosas con arcillas y gravas (SC) 15.0 a 29.6 18.0 100 39 Nota: γ, peso volumétrico; c, cohesión; ϕ, ángulo de fricción interna.

TEMA DE PORTADA ❘ ARTÍCULO TÉCNICO ❘ Uso y abuso de anclas postensadas en zonas urbanas

Colector trabajando a presión, que fugó, generando importantes presiones hidráulicas en el sistema de contención

Dos niveles de anclas de 120 t inclinadas 40º

De los análisis de estabilidad posteriores se determinó que con un incremento del 25% en las presiones del manto colgado se alcanza la condición de equilibrio límite

que, en ambos ejemplos, las anclas fueron un sistema de contención temporal, que fue sustituido posteriormente por los muros perimetrales y las losas de los edificios construidos.

2.2. Casos conflictivos

A continuación se presentan cuatro casos, localizados todos en la Zona de Transición de la Ciudad de México, en los que ocurrieron agrietamientos en las vialidades vecinas y fallas en el sistema de contención.

Caso 3. El primero es una excavación a 21.3 m de profundidad, medidos en relación con el nivel de banqueta; se tienen suelos aluviales desde la superficie hasta 13.5 m, subyacidos por suelos volcánicos. La estabilización consistió en muro diafragma prefabricado, vigas madrina y cinco niveles de anclas postensadas.

Tomando en cuenta el largo tiempo de construcción, provocado por un periodo de suspensión de tres años, los desplazamientos verticales en los edificios colindantes fueron de entre 2.0 y 3.5 cm, salvo en la calle colindante al oriente, donde alcanzaron los 5.0 cm, que produjeron agrietamientos paralelos a la excavación con aberturas hasta de 2.0 cm, y fue necesario rellenarlos con lechada varias veces, hasta poco después de construidos los sótanos.

En la figura 5 se muestra la excavación concluida; en la figura 6 se tienen las condiciones estratigráficas y las características de las anclas; en la tabla 3 se cita el modelo geomecánico.

Caso 4. El segundo caso es una excavación a 14.0 m de profundidad; la estratigrafía está integrada por rellenos y la Costra Superficial, que se extienden hasta 4.8 m, seguidos por suelos lacustres que se profundizan a 15.0 m, subyacidos por suelos aluviales de gran resistencia; existe en la zona un manto colgado de agua de entre 6.5 y 15.0 m. El sistema de contención consistió en un muro diafragma y dos niveles de anclaje inclinados con la horizontal 40 grados, con los bulbos en los suelos aluviales.

Tabla 5. Modelo geomecánico caso 5

Nota: γ, peso volumétrico; c, cohesión; ϕ, ángulo de fricción interna.

18 ❘ Núm. 262 Diciembre 2021 - Febrero 2022 ❘
Descripción Profundidad (m) γ (kN/m3) c (kPa) ϕ (°) Relleno Arcilla arenosa (CH) 0.0 a 0.6 17.0 30 25 Suelos lacustres Arcillas (CH) 0.6 a 5.0 16.0 70 10 Suelos aluviales Limos arenosos con gravas y gravillas (ML) 5.0 a 13.2 17.5 50
Suelos volcánicos Tobas limo arenosas
13.2 a 30.0 17.5 50
Unidad
28
(ML)
35
Muro diafragma
Figura 7. Falla de muro diafragma y anclas postensadas.
Nivel de anclaje Prof. (m) Fuerza de diseño (kN) Longitud perforación (m) Longitud efectiva (m) Postensado (kN) Muro diafragma 1 –5.0 1220 8 torones de 0.6” 31.0 15.0 1220 2 –10.0 1220 8 torones de 0.6” 24.0 16.0 1220 Pi, presión de inyección de diseño 0.3 MPa Profundidad, m 0 5 10 15 20 25 30 0 50 N2 –5.0 m N2 –10.0 m NME Desperdicio de construcción empacado con arcilla
limos poco arenosos (CH y MH) Arcillas y limos con lentes de arena (CH y MH) Manto colgado Presión máxima 30 kPa NAF –6.5 m Arenas limosas con arcillas y gravas (SC) Número de golpes Suelos aluviales Suelos aluviolacustres Suelos aluviales Relleno
diafragma de 60 cm desplantado a 23.5 m
Figura 8. Anclas y estratigrafía del caso 8.
Arcillas y
Moro

La excavación fue abandonada varios años; al poco tiempo de haber retomado los trabajos, sin haber probado el estado de las anclas y las cargas que actuaban en ellas, se presentó la falla del muro, como se observa en la figura 7, generada por fugas en el colector pluvial vecino que trabajó a presión; a partir de los comentarios de los ingenieros de la obra, primero las cuñas salieron disparadas y se soltaron los cables; finalmente falló el muro diafragma por flexión.

De los análisis realizados posteriormente, se determinó que un incremento en la presión del agua del 25% generaría en el sistema de retención el equilibrio límite.

Caso 5. El tercer proyecto consiste en una excavación a 28.7 m de profundidad. La estratigrafía se caracteriza por un relleno superficial de 40 cm, seguido por suelos aluviolacustres integrados fundamentalmente por arcillas y limos arenosos que se extienden hasta 12.8 m, subyacidos por suelos volcánicos; el nivel freático se localiza a una profundidad mayor a 50 m.

La estabilización consiste en un muro de concreto lanzado con el espesor y refuerzo del muro definitivo, soportado lateralmente por nueve niveles de anclas postensadas.

Durante los trabajos correspondientes al quinto nivel, se presentó un deslizamiento y giro del muro, generado por fu-

19 ❘ Núm. 262 Diciembre 2021 - Febrero 2022 ❘
Nivel de anclaje Prof. (m) Fuerza de diseño (kN) Longitud perforación (m) Longitud efectiva (m) Postensado (kN) 1 –2.00 1100 7 torones de 0.6” 24.5 9.5 1100 2 –4.20 1100 7 torones de 0.6” 23.0 9.5 1100 3 –6.94 1100 7 torones de 0.6” 21.0 9.5 1100 4 –10.73 1100 7 torones de 0.6” 19.5 9.5 1100 5 –13.98 1100 7 torones de 0.6” 18.0 9.5 1100 6 –17.23 1100 7 torones de 0.6” 16.0 9.5 1100 7 –20.48 1100 7 torones de 0.6” 14.5 9.5 1100 8 –23.73 1100 7 torones de 0.6” 13.0 9.5 1100 9 –26.98 1100 7 torones de 0.6” 11.5 9.5 1100
Profundidad, m SPT-1 0 5 10 15 20 25 30 0 50 Número de golpes N1 –2.0 m N2 –4.2 m N3 –6.94 m N4 –10.73 m N5 –13.98 m N6 –17.23 m N7 –20.48 m N8 –23.73 m N9 –26.98 m
Arcillas
Limos
Tobas limoarenosas (ML) NME –28.5 m
Figura 11. Anclas y estratigrafía del caso 5.
Pi, presión de inyección de diseño, 0.6 MPa.
Arcilla arenosa (CH)
(CH)
arenosos con gravas y gravillas (ML)
Figura 9. Giro del muro de concreto lanzado; se aprecia el arrope con material estabilizador.
Edificio PM Eje 4 1.55 m Eje 4 34 cm 50 cm 25 cm Rellenos Suelos lacustres Suelos aluviales Suelos volcánicos
TEMA
PORTADA
Figura 10. Detalle del agrietamiento en el muro de concreto lanzado por el deslizamiento y giro.
Uso y abuso de anclas postensadas en zonas urbanas ❘ ARTÍCULO TÉCNICO ❘
DE

TEMA DE PORTADA ❘ ARTÍCULO TÉCNICO ❘ Uso y abuso de anclas postensadas en zonas urbanas

gas en el colector paralelo a la colindancia sur; en las figuras 9 y 10 se muestra la falla.

Caso 6. El cuarto y último proyecto tiene en los primeros 14 m intercalaciones de suelos aluviales finos; el sistema de contención consistió en un muro diafragma colado en el lugar complementado con las anclas postensadas; pos -

Grieta corte/falla de muro

N1 –2.0 m

N2 –4.2 m

N3 –6.94 m

N4 –10.73 m

N5 –13.98 m

N6 –17.23 m

N7 –20.48 m

N8 –23.73 m

Sótano 01 (–4.70 m)

Sótano 02 (–9.035 m)

Sótano 03 (–13.50 m)

Sótano 04 (–16.50 m)

Sótano 05 (–19.50 m)

Sótano 06 (–22.50 m)

Sótano 07 (–25.50 m)

S12

teriormente, y hasta la profundidad máxima de excavación de 24.5 m, existen suelos volcánicos, que se estabilizaron con concreto lanzado que constituye el muro definitivo de contención y anclas.

Durante los trabajos de anclaje, la perforación se metió en los sótanos del edificio vecino. Debido a esta circunstancia,

0.39 2.20 2.0 4.2 6.94 10.73 14.0

Área de muro afectado

S11 S10 S9 S8 S7 S6 S5 S4 S3 S2 S1 Vista frontal talud

Anclas deslizadas

Posición original de anclas

Posición anclas nuevas (Cuevas Ingenieros)

Corte esquemático

Nivel de banqueta ± 0.0 m

Nivel de perforación –2.0 m

Edificio de 7 niveles

Edificio alto

Terreno natural GAMARQ

Calle 26.5 m 24.50 m

Sótano 1

Sótano 2

Sótano 3

Sótano 4

Proyección de perforación

20 ❘ Núm. 262 Diciembre 2021 - Febrero 2022 ❘
Figura 12. Área del muro afectada. Figura 13. Corte que muestra la problemática presentada; una vista general del sitio del proyecto.
N9 –26.98 m 5 4 3 2 1 Muro Grietas en muro Longitud de muro dañado 9.00 9.0 2.0 9.0 6.0 3.13 3.0 3.0 3.0 3.0 3.0 3.0 3.0 2.78 ± 0.00 m
Sótano 08 (–4.70 m)
sur Sobreposición de anclas

Uso y abuso de anclas postensadas en zonas urbanas ❘ ARTÍCULO TÉCNICO ❘ TEMA DE PORTADA

se construyeron las anclas con diferente inclinación (véase figura 13). El perfil estratigráfico y las características de las anclas se muestran en la figura 14; en la tabla 6 se precisa el modelo geomecánico.

CONCLUSIONES

Se presentan diversos casos relativos a la utilización de anclas en la zona urbana de la Ciudad de México; en los dos primeros, las anclas postensadas resolvieron el problema de contención temporal, durante el proceso de excavación, sin mayores contratiempos.

Asimismo, en los cuatro casos problemáticos se tuvieron situaciones que se consideran como un abuso de este sistema: a) en el primero, la excavación permaneció abierta más de tres años; b) en el segundo, la excavación se abandonó del orden de 10 años; además, después de haber reactivado la construcción, se presentó una presión de agua proveniente de una instalación municipal defectuosa, lo que provocó la falla del muro diafragma. El diseño omitió la comprobación del buen estado de las anclas, debiendo haber realizado, por el tiempo de suspensión y exposición al medio ambiente, pruebas de retensado, con el objetivo de estimar las condiciones del sistema de reacción, cuñas, tejos, torones; c) en el tercero, las condiciones geotécnicas del lugar exigían una solución de contención más rígida (muro diafragma, por ejemplo), con anclas en los estratos resistentes profundos; en el cuarto, las colindancias limitaron notablemente la instalación de las anclas.

Finalmente, se hace notar la importancia, en el momento de decidir un sistema de contención de excavaciones en zonas urbanas, de tomar en cuenta las circunstancias de cada pro-

Tabla 6. Modelo geomecánico caso 6

yecto. A través de los casos presentados, se muestran diversas condiciones que limitan en espacio, tiempo o geología el uso de sistemas de anclaje

Referencias

Ovando, E., y E. Holguín (2002). Manual de Construcción Geotécnica I. Capítulo 5, Sistema de Anclaje en Suelos. México: Sociedad de Mexicana de Mecánica de Suelos.

Tamez, E., y A. Cuevas (2007). Anclas postensadas definitivas inyectadas a 15 kg/cm2 Memorias Conmemorativas Aniversario 50 de la Sociedad Mexicana de Mecánica de Suelos. México.

Apreciamos su opinión e información sobre el tema de este artículo. Escríbanos a geotecnia@heliosmx.org

21 ❘ Núm. 262 Diciembre 2021 - Febrero 2022 ❘
Nivel de anclaje Prof. (m) Fuerza de diseño (kN) Longitud perforación (m) Longitud efectiva (m) Postensado (kN) 1 –2.00 650 y 800 4 y 5 torones de 0.6” 23.5 6.0 650 y 800 2 –6.00 650 y 800 4 y 5 torones de 0.6” 21.5 6.0000 650 y 800 3 –10.00 650 y 800 4 y 5 torones de 0.6” 20.0 6.0000 650 y 800 4 –13.00 1850 12 torones de 0.6” 21.0 9.0000 1850 5 –16.00 1850 12 torones de 0.6” 19.0 9.000 1850 6 –19.00 1850 12 torones de 0.6” 17.0 9.0 1850 7 –22.00 1850 12 torones de 0.6” 15.0 9.0 1850 8 –25.00 1850 12 torones de 0.6” 13.0 9.0 1850 9 –28.00 1850 12 torones de 0.6” 11.0 9.0 1850 Pi, presión de inyección de diseño de 0.8 MPa sobre el muro Milán y 1 MPa sobre el concreto lanzado. Profundidad, m SM-1 0 5 10 15 20 25 30 35 40 45 50 55 0 50 N1 –2.0 m N2 –6.0 m N3 –10.0 m N4 –13.0 m N5 –16.0 m N6 –19. 0 m N7 –22.0 m N8 –25.00 m N9 –28.0 m NME –30.5 m Muro Milán 40 cm
Figura 14. Anclas y estratigrafía del caso 6.
Unidad Descripción Profundidad γ (kN/m3) c (kPa) ϕ (°) Relleno Desperdicio de construcción empacado en limo y arcilla 0.0 a 1.2 17.5 15 25 Suelos aluviales Arcillas poco arenosas (CH) 1.2 a 8.0 17.0 57.5 6 Arena poco arcillosa (SC) 8.0 a 8.5 17.0 10 25 Suelos volcánicos Toba arenolimosa y limo arenoso (SM y ML) 8.5 a 20.5 17.8 65 37 Arena pumítica (SM) 17.5 a 19.3 15.0 34 29.5 Toba limoarenosa y arena limosa (ML y SM) 19.3 a 40.0 18.0 72 38 Nota:
peso volumétrico;
cohesión; ϕ
ángulo de fricción interna.
γ,
c,
,
Suelos aluviales Suelos volcánicos
Relleno
Número de golpes Tiempo requerido para avanzar 10 cm, en seg

2021

1-2 Diciembre Curso “Diseño y construcción de cimentaciones con pilotes de acero” En línea www.smig.org.mx

1-5 Mayo 20th International Conference on Soil Mechanics and Geotechnical Engineering

Sídney, Australia icsmge2022.org

6-7

Diciembre 3rd International Conference on Geotechnical Engineering Cinnamon Grand, Sri Lanka icgecolombo.org, www.issmge.org

17-19 Mayo 3rd International Conference on Geotechnical EngineeringIraq 2022 Bagdad, Iraq ocs.uobaghdad.edu.iq/index.php/ ICGEI/ticgei

22-24

16

Diciembre Conferencia “Una perspectiva renovada sobre las energías renovables: cimentaciones, instalación y tendencias futuras para la energía eólica marina en los EEUU”

En línea www.smig.org.mx

2022

3-4 Marzo 5º Simposio Internacional de Cimentaciones Profundas Ciudad de México www.smig.org.mx

29 y 31 Marzo 5 y 7 Abril

6º Simposio Internacional de Túneles y Lumbreras en Suelos y en Rocas Ciudad de México www.amitos.org, www.smig.org.mx

10-13 Abril 2nd International Conference on Energy Geotechnics

La Jolla, EUA icegt-2020.eng.ucsd.edu/home

29 Abril1

Mayo

7th International Young Geotechnical Engineers Conference

Sídney, Australia icsmge2022.org/7iygec

Junio 3rd International Symposium on Geotechnical Engineering for the Preservation of Monuments and Historic Sites Nápoles, Italia tc301-napoli.org

27-29

Junio 10th International Symposium on Geotechnical Aspects of Underground Construction in Soft Ground

Cambridge, Reino Unido www.is-cambridge2020.eng.cam.ac.uk

5-7 Septiembre 17th Danube - European Conference on Geotechnical Engineering

Bucarest, Rumania www.issmge.org

16-19 Octubre Latin American Rock Mechanics Symposium

Asunción, Paraguay larms2022.com/?lang=es

8-9

Diciembre 16th International Conference on Geotechnical Engineering

Lahore, Pakistán 16icge.uet.edu.pk

2023

25-28

Junio 9th International Congress on Environmental Geotechnics

Isla de Creta, Grecia www.iceg2022.org

22 ❘ Núm. 262 Diciembre 2021 - Febrero 2022 ❘
CALENDARIO Sociedad Mexicana de Ingeniería Geotécnica, A.C.

Ecuaciones constitutivas en mecánica de suelos

En este trabajo se presenta la génesis de ecuaciones constitutivas con sus respectivas aplicaciones para los siguientes materiales: suelos friccionantes, suelos cohesivos totalmente saturados y suelos cohesivos parcialmente saturados.

Los avances de la ingeniería van de la mano de los avances de la ciencia. El propósito de la ciencia es buscar las leyes que rigen los fenómenos de la naturaleza. Mientras mejor conozcamos las causas de los fenómenos, mejor podremos analizar, diseñar y construir obras de ingeniería.

Los principios de la naturaleza los podemos dividir en dos grupos: leyes generales y leyes particulares. Las primeras se cumplen para todos los materiales, de ahí su calificativo de generales. Ejemplos de ellas son la ley de conservación de energía, la de conservación de la cantidad de movimiento y la de conservación de masa, entre otras.

Las leyes particulares se aplican a materiales específicos y se conocen como leyes o ecuaciones constitutivas. Son expresiones que caracterizan a un material individual y su reacción ante cargas aplicadas sobre él; su nombre se debe a que describen el comportamiento macroscópico resultante de la constitución interna del material (Malvern, 1969).

La mecánica de suelos, como es natural, utiliza los principios generales, y emplea también ecuaciones constitutivas. Ejemplos de éstas son la ecuación de la consolidación primaria de Terzaghi (1943) y la expresión para el cálculo de la consolidación secundaria de Zeevaert (1986), entre otras. Dado que un suelo está formado por un conjunto de partículas sólidas rodeadas por agua y aire, estas leyes rigen el comportamiento de un medio granular.

Un aspecto importante en un medio granular es que su rigidez aumenta con la presión de confinamiento, y por lo tanto éste es un fenómeno importante a considerar. Otra situación que se presenta es que la presencia de una obra de

ingeniería produce un cambio en el confinamiento, lo que también hay que tomar en cuenta.

Juárez Badillo (2010) cita a George Birkoff, que define la belleza en las artes como

Belleza = Orden Complejidad

Este concepto lo podemos usar en la búsqueda de leyes constitutivas, procurando que éstas sean lo más sencillas posible.

SUELOS FRICCIONANTES

Consideremos que queremos calcular la deformación del estrato de suelo friccionante de la figura 1, ocasionado por la aplicación de la carga uniformemente repartida q

Sea un elemento de suelo a la mitad del estrato, como el mostrado en la figura 1. Antes de la aplicación de la carga q, el elemento se encuentra en una condición inicial, sometido a esfuerzos normales por peso propio (véase figura 2). La presión de confinamiento promedio es:

Pero

pho = Kopvo y

23 ❘ Núm. 262 Diciembre 2021 - Febrero 2022 ❘
(1) ARTÍCULO TÉCNICO

Suponemos entonces que el elemento está sometido a una presión de confinamiento inicial σ3o (véase figura 3).

La aplicación de la carga q ocasiona incrementos de esfuerzo σz, σy y σx (véase figura 3).

Demos ahora incrementos diferenciales de esfuerzo dσz, dσy y dσx, y obtengamos la deformación del elemento ocasionado por estos incrementos diferenciales de esfuerzo. La diferencial de la deformación unitaria vertical es (Demeneghi, 2019b):

(2)

confinamiento por la aplicación de la carga repartida q, que es lo que justamente ocurre en la naturaleza.

La diferencial de la deformación vertical dεz la definimos en mecánica de suelos de la siguiente forma (véase figura 4):

(3)

h = ho + w (w < 0)

dh = dho + dw, dh = dw

(4)

Reemplazamos en la ecuación 2 (5)

Pongamos los incrementos de esfuerzo anteriores en función del esfuerzo vertical σz.

Donde

(Los valores de influencia I x, I y e I z, para una relación de Poisson ν y una profundidad z dadas, son función de la

(pa = presión atmosférica = 101.3 kPa = 10.3 t/m2)

En la ecuación 2 vemos que la deformación es directamente proporcional a los incrementos de esfuerzo dσz, dσy y dσx e inversamente proporcional a la presión de confinamiento debida a peso propio y al incremento de presión de

24 ❘ Núm. 262 Diciembre 2021 - Febrero 2022 ❘
ARTÍCULO TÉCNICO ❘ Ecuaciones constitutivas en mecánica de suelos
Suelo
Figura 1. Estrato de suelo friccionante. Δδz ΔZο
q friccionante
z Pvo Pho Pho Pho Pho Pzo y x
Figura 2. Elemento de suelo sometido a peso propio.
z dσz σz σ3o dσx σx σ3o σ3o σy dσy y dσy σy σx σ3o σ3o dσz x dσx σ3o σz
Figura 3. Estado de esfuerzo en el elemento.

geometría de la cimentación; como todas estas cantidades no cambian, las magnitudes de Ix, Iy e Iz son constantes a la profundidad z del elemento.)

podemos hacer extensiva la fórmula 8 para todo el estrato, entonces:

El valor de Δwf dado por la ecuación 9 es siempre negativo, por lo que para obtener una magnitud positiva de la deformación hacemos Δwf = – Δδz. La ecuación 9 queda:

La ecuación 10 proporciona la deformación de un estrato de suelo friccionante de espesor Δzo, sometido a incrementos de esfuerzo σz, σy y σx (véase figura 1).

Cabe subrayar que en la ecuación 10 sólo intervienen dos propiedades del suelo: A y s; el parámetro s toma en cuenta la disminución de la deformación con el aumento de la presión de confinamiento; en suelos granulares la magnitud de s es del orden de 0.5, s ≈ 0.5.

El módulo A mide la rigidez de la masa de suelo, que depende de la compacidad relativa del depósito. Podemos entonces usar para fines prácticos el número de golpes de la prueba de penetración estándar (SPT) para estimar los valores de A. Tomando datos de más de 110 prototipos, en los cuales se ha medido el asentamiento de la cimentación, conociendo las características de la estructura (geometría y cargas) y la estratigrafía y

La ecuación 5 queda:

Integremos esta expresión

De acuerdo con la figura 4,

Utilicemos la ecuación 8 para el cálculo de la deformación del estrato de la figura 1; denominemos Δwf a la deformación del estrato y Δ z o a su espesor inicial. Consideremos que

25 ❘ Núm. 262 Diciembre 2021 - Febrero 2022 ❘ Ecuaciones constitutivas en mecánica de suelos ❘ ARTÍCULO TÉCNICO
(6) (7)
(8)
(9)
(10)
compacidad del terreno de ci-
d(σz) σz σco z, w wf ho hf w w<0 dw h x,u Número
3000 2500 2000 1500 1000 500 0 Módulo A 0 10 20 30 40 50 60 Alfa = 50%, valor medio Alfa = 20%
Figura 4. Deformación del elemento de suelo.
de golpes N, SPT
Figura 5. Valores del módulo de deformación A Arcillas sensitivas Figura 6. Estructura floculenta de una arcilla sensitiva.

ARTÍCULO TÉCNICO ❘ Ecuaciones constitutivas en mecánica de suelos

mentación, obtuvimos la curva de mínimos cuadrados de la figura 5 (valor medio; nivel de confianza α = 50%).

Para tomar en cuenta la dispersión de los datos de campo, se puede usar el concepto de predicción estadística, con el cual se obtiene un valor de la función (en este caso A) a partir de la variable independiente (en este caso N), estableciendo un cierto nivel de confianza α (Miller y Freund, 1965). En la figura 5 se exhibe la curva de predicción de A para un α = 20%.

Para estimar numéricamente el valor medio Am y el valor desfavorable A se procede como sigue:

Valor medio de A = Am = 26.25 N 1.125

El módulo desfavorable se calcula en función del nivel de confianza α con

A = Am C

donde

probabilidad α de que el módulo A del suelo sea menor que el valor dado por la ecuación 12.

Con el planteamiento anterior, la ingeniera o el ingeniero pueden elegir un nivel de confianza de acuerdo con su criterio. Para calcular el valor medio se usa la ecuación 11 (que corresponde a α = 50%); para calcular un valor desfavorable se elige un nivel de confianza α y se calcula A con las ecuaciones 12 y 13. Este criterio se puede interpretar así: si empleo Am obtengo el valor medio esperado del asentamiento: tengo una probabilidad de 50% de que en el campo se exceda el asentamiento estimado con A m; si empleo A con α = 20%, obtengo un asentamiento mayor y tengo una probabilidad de sólo 20% de que se exceda el hundimiento calculado.

Para verificar el grado de aplicación de las expresiones anteriores, tomamos tres casos de cimentaciones reales de Burland y Burbidge (1985). Aplicamos la ecuación 10 con α = 50% (valor medio; tα = 0), con los siguientes resultados:

t

α es una variable t de Student, cuyos valores en función de α se muestran en la tabla 1. Cabe aclarar que existe una

N = número de golpes de la prueba SPT, B = ancho del cimiento, L = largo del cimiento, D = profundidad de desplante, q = incremento neto de presión sobre el terreno de cimentación

Vemos que los asentamientos calculados son similares a los asentamientos medidos en campo.

El uso de la ecuación constitutiva presentada en párrafos anteriores se puede combinar con estudios que utilizan métodos numéricos para el cómputo de deformaciones en suelos granulares (Lee y Salgado, 2002; Lee et al., 2008; Yamamoto et al., 2008). Por ejemplo, si en un análisis numérico de interacción suelo-estructura se requiere la magnitud del módulo de deformación Es en el campo, éste lo despejamos de la ley de Hooke:

Sustituimos en esta expresión la deformación Δ δz determinada con la ecuación constitutiva. Por ejemplo, para el estrato 1:

En forma similar obtenemos

Es2 = 46272 kPa

Es3 = 36453 kPa Como lo señalamos antes, estas propiedades mecánicas son las que se deben utilizar para un análisis numérico de interacción suelo-estructura.

26 ❘ Núm. 262 Diciembre 2021 - Febrero 2022 ❘
(11)
(12)
(13)
Caso N B L D Q δ calculado δ medido m m m kPa mm mm 1 7 1.2 1.2 0.2 199 19 13 2 18 13 31.5 2.1 193 24 21 3 45 1 1 0.5 284 3.6 4.7
Nivel de Confianza α tα % 2.5 1.978 5 1.657 10 1.288 15 1.041 20 0.844 25 0.676 30 0.526 40 0.254 50 0
Tabla 1. Variable aleatoria t de Student
Relación de
Rama virgen Δpvb’ pvo ’ pvb ’ pvb’ =
pvo = presión debida a peso propio del suelo pvb’ > pvo ’ pvb’ / pvo’ ≈ 1.6 Presión vertical
Figura 7. Curva de compresibilidad. Arcilla sensitiva. Presión crítica pvb’.
vacíos
Rama cementada
presión crítica
efectiva pv’, log

SUELOS COHESIVOS TOTALMENTE SATURADOS

Arcillas sensitivas

Las arcillas sensitivas se forman en lagos de agua salada o en el fondo de los mares. Exhiben una estructura floculenta (figura 6). En estos suelos el cociente de pvb ’ entre pvo ’ (figura 7) es del orden de 1.6 (Bjerrum, 1967).

Arcillas no sensitivas

Las arcillas no sensitivas se forman en cuerpos de agua dulce (con poco contenido de sales) y presentan una estructura “dispersa” (véase figura 8).

En estas arcillas se puede emplear el principio de proporcionalidad natural de Juárez Badillo (2010), que establece que no vivimos en un mundo de cantidades sino más bien en un mundo de proporciones; así, la deformación volumétrica de un cuerpo sometido es esfuerzos isótropos vale

(14)

De acuerdo con la figura 11,

h = ho + w, dh = dho + dw, dh = dw

(17)

Reemplazamos en la ecuación 15

Integremos esta expresión

donde

dV = decremento del volumen del cuerpo

V = volumen del cuerpo

dσ = incremento del esfuerzo isótropo sobre el cuerpo

σ = esfuerzo isótropo sobre el cuerpo

Hagamos uso del concepto anterior para el cálculo de la deformación vertical a largo plazo de un estrato de arcilla como el mostrado en la figura 9.

El estado de esfuerzos efectivos sobre el elemento se muestra en la figura 16. Supongamos que la deformación ocurre únicamente en dirección vertical, y que las deformaciones laterales son nulas.

Demos ahora un incremento diferencial de esfuerzo vertical dσz. Haciendo uso del principio de proporcionalidad natural de Juárez Badillo (2010) podemos establecer que la diferencial de la deformación lineal unitaria es: (15)

En la ecuación 15 notamos que la deformación vertical es directamente proporcional al incremento de esfuerzo dσz e inversamente proporcional a la presión vertical efectiva debida a peso propio y al incremento de esfuerzo vertical por la aplicación de la carga repartida q

La deformación dεz la definimos en mecánica de suelos de la siguiente forma (figura 11):

Pero, figura 11,

hf = ho + wf, (wf < 0)

Utilicemos la ecuación 18 para el cálculo de la deformación del estrato de la figura 9; denominemos Δwf a la deformación del estrato y Δzo a su espesor inicial. Consideremos que podemos hacer extensiva la fórmula 18 para todo el estrato, entonces:

El valor de Δwf dado por la ecuación 19 es siempre negativo, por lo que para obtener una magnitud positiva de la deformación hacemos Δwf = – Δδz. La ecuación 19 queda:

27 ❘ Núm. 262 Diciembre 2021 - Febrero 2022 ❘
(16)
(18)
(19)
Figura 8. Arcillas no sensitivas. Arcillas no sensitivas. Estructura “dispersa”
q NAF
Δδz ΔZo
Figura 9. Estrato de arcilla totalmente saturada.
Arcilla no sensitiva
Ecuaciones constitutivas en mecánica de suelos ❘ ARTÍCULO TÉCNICO

ARTÍCULO TÉCNICO ❘ Ecuaciones constitutivas en mecánica de suelos

La ecuación 20 proporciona la deformación a largo plazo de un estrato de arcilla no sensitiva, totalmente saturada, de espesor Δzo, sometido a un incremento de esfuerzo vertical σz (figura 9). En arcillas no sensitivas la deformación se debe a consolidación primaria y a consolidación secundaria; además, podemos estar en la rama de recompresión (o rama de descarga) o en la rama virgen. Por lo tanto, para el cálculo de las deformaciones, las magnitudes de A que debemos emplear en la ecuación 20 son:

Rama de descarga

Consolidación primaria, A = Asp

Consolidación secundaria, A = Ascs

Rama virgen

Consolidación primaria, A = Ap

Consolidación secundaria, A = Acs

El módulo de rigidez A se puede obtener a partir de mediciones de deformación en ensayes de consolidación. Lo despejamos de la ecuación 20:

(21)

Consideremos que en una de las etapas de una prueba de consolidación, el espesor inicial de la probeta de suelos es Δzo = Δz1, y la presión inicial p’vo = p’v1; se da un incremento de presión σz = Δp’v. La presión al final de la etapa p’v2 = p’vi + Δp’v. El módulo Ap para consolidación primaria es entonces:

donde ΔδP es la deformación por consolidación primaria, al término de ésta.

El módulo Acs para la consolidación secundaria vale:

(23)

donde Ct es la deformación que ocurre en un ciclo de tiempo en escala logarítmica de base 10.

Para el cálculo de la deformación a largo plazo de un estrato de arcilla preconsolidada, totalmente saturada, es usual utilizar los resultados de pruebas de consolidación unidimensional, practicadas sobre muestras inalteradas extraídas del estrato de suelo. En ocasiones la estimación de la compresión se acerca en forma más o menos satisfactoria a la compresión que sufre el estrato en el campo.

Sin embargo, otras veces ocurre que la deformación de la arcilla en el campo es menor que la deformación estimada con los resultados del ensaye de consolidación unidimensional. La causa de esta diferencia es la siguiente: una arcilla preconsolidada tiene almacenada energía de deformación que acumuló debido a la mayor carga que tuvo que soportar durante su historia geológica. Cuando, debido a la presencia de una obra de ingeniería, ocurre en el suelo un incremento significativo de esfuerzo desviador, se perturba

28 ❘ Núm. 262 Diciembre 2021 - Febrero 2022 ❘
(20)
(22)
z dσz σz P´vo P´vo σz dσz y x
Figura 10. Estado de esfuerzos efectivos sobre el elemento.
z,w d(σz) σz P vo w w<0 dw h x, u wf ho hf
Figura 11. Deformación de un elemento. Arcilla no sensitiva.

Tipo de arcilla ASke

Arcilla blanda muy sensitiva > 1

Arcilla normalmente consolidada ½ a 1

Arcilla preconsolidada ¼ a ½

Arcilla arenosa fuertemente preconsolidada 0 a ¼

Skempton y Bjerrum, 1957.

la estructura del terreno y se libera parte de esta energía de deformación, lo que da lugar a que la arcilla tienda a sufrir cierta expansión. Como consecuencia de este fenómeno, se presenta una reducción en el incremento de presión de poro en el campo.

En una prueba de consolidación en el laboratorio, el incremento de esfuerzo desviador es relativamente pequeño, y usualmente es menor que el aumento del esfuerzo desviador en el campo, por lo que el incremento de presión de poro en el campo es menor que el aumento de presión de poro en el consolidómetro, lo que a su vez da lugar a que la compresión in situ sea menor que la compresión del suelo en el laboratorio. Por esta razón, Skempton y Bjerrum (1957) utilizan esta diferencia en el incremento de presión de poro para valuar la compresión de la arcilla en el campo, como veremos a continuación.

La deformación en consolidación unidimensional vale:

∆δPcon = mv (∆zo)σz

siendo mv el coeficiente de compresibilidad volumétrica del suelo. En el consolidómetro el incremento de presión de poro, en el momento de aplicar la carga, ΔuWcon = σz, por lo que

∆δPcon = mv (∆zo)(∆uWcon) (24)

Por otra parte, el incremento de presión de poro en el campo es función del incremento de esfuerzo desviador, es decir:

∆uWcpo = σ3 = ASke (σ1 – σ3) es decir: (25)

donde ASke es el coeficiente de presión de poro de Skempton (1953), cuyos valores, para condiciones de trabajo, se exhiben en la tabla 2.

Skempton y Bjerrum consideran que el asentamiento en el campo se puede calcular con la ecuación 24, sustituyendo el incremento de carga por el incremento de presión de poro en el sitio, es decir,

∆δPcpo= mv (∆zo)(∆uWcpo) (26)

Dividiendo miembro a miembro las ecuaciones 26 y 24, (27)

Es decir:

∆δPcpo = µ (∆δPcon) (28) donde (29)

Para el fenómeno de consolidación secundaria no es necesario hacer esta corrección.

Como mencionamos antes, como se manejan pocas propiedades mecánicas del suelo, y éstas son propiedades intrínsecas del mismo, se pueden hacer análisis estadísticos de ellas. Así, para fines preliminares de análisis podemos usar las siguientes magnitudes de Asp y Ap, obtenidas a partir de datos estadísticos

donde IP es el índice plástico, en porciento, y tα es una variable t de Student, cuyos valores en función del nivel de confianza α aparecen en la tabla 3. Para fines preliminares se puede usar 15% ≤ α ≤ 30%.

En forma aproximada, se pueden utilizar para el cómputo aproximado de la consolidación secundaria

Ascs ≈ 8 Asp

Acs ≈ 8 Ap

Con la ecuación constitutiva para arcillas no sensitivas se pueden tomar en cuenta tanto la consolidación primaria como la consolidación secundaria (ecuación 20). En este sentido, Potts (2012) comenta que para el cómputo de asentamientos en terraplenes sobre suelos blandos, es necesario tomar en cuenta el fenómeno de creep o de consolidación secundaria, con el propósito de que los asentamientos medidos en campo sean similares a los calculados con la teoría de la consolidación. Vemos entonces que aun en arcillas no sensitivas, la magnitud del asentamiento por consolidación secundaria a largo plazo puede ser significativo.

Para verificar las expresiones anteriores, podemos usar los datos de Lambe y Whitman (1969) de un terraplén en Lagunillas, Venezuela. De la curva de compresibilidad de la arcilla del lugar se obtiene un valor Ap = 5.65. (Cabe aclarar que

29 ❘ Núm. 262 Diciembre 2021 - Febrero 2022 ❘
(31)
(30)
Tabla 2. Valores del coeficiente ASke en condiciones de trabajo
Ecuaciones constitutivas en mecánica de suelos ❘ ARTÍCULO TÉCNICO

ARTÍCULO TÉCNICO ❘ Ecuaciones constitutivas en mecánica de suelos

en esta curva, además de la deformación por consolidación primaria, viene además implícita la compresión por consolidación secundaria). A continuación presentamos el cálculo de la deformación diferida del estrato compresible, que en ese sitio tiene un espesor de 4.27 m; usamos la ecuación 20:

Tabla 3. Magnitudes de la variable aleatoria tα

Nivel de confianza α Módulo Asp Módulo Ap

Lambe y Whitman reportan una deformación a largo plazo de 0.65 m. Vemos que los resultados son muy similares. Otra aplicación la tomamos de Mieussens (1973). Se trata de un terraplén de 6.5 m de altura, apoyado sobre un estrato de arcilla normalmente consolidada de 16.7 m de espesor. El índice plástico de la arcilla es IP = 34%; reemplazamos en la ecuación 31 con α = 50% (valor medio; tα = 0) y obtenemos Ap = 12.8; Acs ≈ 8(12.8) = 102.4. Con estas propiedades calculamos el asentamiento del terraplén para un tiempo de 800 días, y obtenemos un valor δz = 0.91 m. El asentamiento medido en el sitio para este lapso fue de 0.85 m. Vemos que el hundimiento calculado es parecido al que ocurrió en el campo.

SUELOS COHESIVOS PARCIALMENTE SATURADOS

En años recientes ha habido avances considerables en el estudio del comportamiento y de las propiedades de los suelos parcialmente saturados, así como aplicaciones al análisis y diseño de obras en estos materiales (López Acosta y Auvinet, 2017)

Iniciemos el tratamiento de estos terrenos permitiendo que un elemento de arcilla totalmente saturada pierda humedad; como el agua se retrae dentro de la matriz del suelo, los huecos de la arcilla hacen las veces de tubos capilares (de geometría irregular), dando lugar a la formación de meniscos y a que la presión del agua, dentro del suelo, sea negativa. Este esfuerzo negativo produce a su vez un aumento de la presión entre los granos del suelo, dando lugar a una reducción de la doble capa eléctrica que rodea a las partículas y a la compresión del elemento de arcilla. Por el contrario, si un suelo parcialmente saturado acrecienta su contenido de agua entonces se incremente la presión en el agua, se reduce la presión intergranular, aumenta el espesor de la doble capa eléctrica y ocurre una expansión del elemento.

La génesis de la presión negativa en el agua la podemos visualizar en el tubo capilar de la figura 12. Establezcamos el equilibrio de fuerzas verticales en el menisco de la figura 12:

ua = presión en el aire, kPa

uw = presión en el agua, kPa

Ts = tensión superficial, N/m

α = ángulo de contacto entre el agua y la pared del tubo capilar

D = diámetro del tubo, m

Si, como es usual en el campo, ua = 0, en la ecuación 32 vemos que uw < 0.

A la cantidad (ua – uw) se le denomina succión matricial.

En arcillas no saturadas se emplea la variable de estado (ua – uw) para la estimación de la deformación del suelos por cambios de humedad. Hagamos uso de este concepto para el cálculo de la deformación vertical por variación del grado de saturación de un estrato de arcilla como el mostrado en la figura 13.

Sea un elemento de suelo a la mitad del estrato, como el mostrado en la figura 13. Antes de la aplicación de la carga

30 ❘ Núm. 262 Diciembre 2021 - Febrero 2022 ❘
– ua (πD2/4) + uw (πD2/4) + Ts cos α (πD) = 0 (32)
% Variable aleatoria tα 2.5 1.982 1.975 5 1.659 1.654 10 1.289 1.287 15 1.041 1.040 20 0.845 0.844 25 0.677 0.676 30 0.526 0.526 40 0.254 0.254 50 0 0
Ts ua Alfa Ts Menisco uw D Ua = presión en el aire Uw = presión en el agua D = diámetro del tubo
Figura 12. Tensión superficial.

q el elemento se encuentra en una condición inicial, sometido a esfuerzos normales por peso propio y a una presión intergranular interna ocasionada por la succión dentro de la matriz de la arcilla (figura 14).

La presión de confinamiento vale, entonces,

σbo = σ3o + ∆σs (33) (34)

Consideremos que el incremento de confinamiento por la succión vale:

Si ≤ 1, entonces

σbo = σ3o + b5 σs (36)

a) Deformación por incrementos de esfuerzo ocasionados por la carga q

La aplicación de la carga q provoca incrementos de esfuerzo

σz, σy y σx (figura 14).

Demos ahora incrementos diferenciales de esfuerzo dσz, dσy y dσx, y obtengamos la deformación del elemento ocasionado por estos incrementos diferenciales de esfuerzo. La diferencial de la deformación unitaria es:

donde

σs = magnitud de la succión dentro del suelo

b5 ≈ 1

n ≈ 0.75

(pa = presión atmosférica = 101.3 kPa = 10.3 t/m2)

En arcillas s ≈ 1; la ecuación anterior queda: dεz =

En la ecuación 37 vemos que la deformación es directamente proporcional a los incrementos de esfuerzo dσz, dσy y dσx e inversamente proporcional a la presión de confinamiento debida a peso propio (σ3o), a la presión intergranular ocasionada por la succión (Δσs) y al incremento de presión de confinamiento por la aplicación de la carga repartida q. Además, (38) (ecuación 6) (ecuación 7) (ecuación 4)

Integremos esta expresión:

hf = ho + wf (figura 15)

31 ❘ Núm. 262 Diciembre 2021 - Febrero 2022 ❘
(35)
z – ν
x
) σbo + ⅓ (σz+σx+σy) (37)
1 A dσ
(dσ
+dσy
q Δδa Δδd Arcilla parcialmente saturada ΔZo
Figura 13. Estrato de arcilla parcialmente saturada.
z dσz σz σbo dσx σx σbo dσy σy σbo σbo σy dσy y σbo σx dσx x σbo σz dσz
Figura 14. Estado de esfuerzos en el elemento.
Ecuaciones constitutivas en mecánica de suelos ❘ ARTÍCULO TÉCNICO

ARTÍCULO TÉCNICO ❘ Ecuaciones constitutivas en mecánica de suelos

donde

V = volumen del elemento de suelo

σs = succión

b4 ≈ 1

(42)

(39)

Si hacemos la hipótesis de que lo que ocurre en el elemento a la mitad del estrato es representativo de lo que ocurre en todo el estrato de espesor Δzo, podemos escribir la ecuación 48 de la siguiente forma:

(40)

donde Δwf es la deformación del estrato de espesor Δzo. El valor de Δwf dado por la ecuación 40 es siempre negativo, por lo que para obtener una magnitud positiva de la deformación hacemos Δwf = - Δδd. La ecuación 40 queda:

(41)

b) Deformación por absorción de agua dentro del suelo

Por otra parte, la plasticidad de los suelos da lugar a que además de la deformación debida a un cambio en el esfuerzo desviador, se presente una deformación adicional producida por la absorción de moléculas de agua dentro de las partículas sólidas del suelo y por la variación del espesor de la doble capa eléctrica que rodea a las partículas. Dado que este fenómeno depende de la cantidad de agua del suelo, y ésta a su vez es función de la propia succión, la deformación volumétrica debida a absorción se puede calcular con la siguiente ecuación constitutiva:

σc = σ3o + (⅓) (σz + σx + σy) (43)

Al variar la succión de σso a σsf (σso < σsf) un elemento de suelo disminuye su volumen de Vo a Vf. Por lo tanto, debemos integrar la ecuación 42 de Vo a Vf el primer miembro y de σso a σsf el segundo miembro:

La deformación volumétrica unitaria εva se define:

La ecuación 46 proporciona la deformación volumétrica unitaria (contracción o expansión) de un elemento de suelo de volumen inicial Vo, al variar la succión de σso a σsf Si εva es positiva, el elemento se contrae, mientras que si σva es negativa, el elemento se hincha. En la práctica b4 = ~ 1.

La magnitud de la succión en el subsuelo se puede obtener mediante ensayes de campo o pruebas de laboratorio, practi-

32 ❘ Núm. 262 Diciembre 2021 - Febrero 2022 ❘
(44)
εva = - ΔV/Vo = - (Vf – Vo)/Vo = (Vo – Vf)/Vo = 1 – Vf /Vo (45) (46)
e eA A Incremento de humedad 1 2 Succión = (Sr =
eo O B
virgen
vp = presión vertical de preconsolidación
(Ar) σvo σvp σvB σv, log
Figura 16. Ensaye de saturación bajo carga.
Recompresión (Ar)
100%)
Tramo
(Av) σ
Descarga
d(σz) z, w σz σbo wf ho hf w w<0 dw h x, u
Figura 15. Estado de deformación de un elemento.

cadas éstas en muestras inalteradas extraídas del terreno. Las pruebas de laboratorio se llevan a cabo variando la succión y midiendo las deformaciones del suelo; con los resultados de estos ensayes sirven para determinar los parámetros b5 y n de la ecuación 35.

En forma aproximada, la succión de campo se puede estimar mediante una prueba de saturación y carga usando el consolidómetro. El ensaye consiste en colocar una muestra de suelo con su humedad natural en el odómetro. Se le aplica la presión total vertical inicial de campo σvo y se determina su relación de vacíos eo. Este punto lo anotamos en un diagrama e – σv, siendo σv la presión vertical sobre el espécimen de suelo (punto O, figura 16). Luego se acrecienta la humedad de la arcilla hasta que ésta se sature totalmente (punto A, figura 16); se obtiene la relación de vacíos del suelo saturado eA. A continuación se incrementa el esfuerzo vertical hasta que se alcance o supere la relación de vacíos eo (punto B, figura 16). Con esta prueba se pueden determinar los parámetros

σso, Ba, Ar y Av En efecto, la presión de confinamiento en el punto B es:

Pero en compresión unidimensional,

Entre los puntos A y O

Y la presión de confinamiento en el punto O vale:

Como en los puntos B y O el suelo tiene la misma relación de vacíos, podemos igualar estas presiones, es decir,

Por lo tanto,

El módulo A lo obtenemos despejándolo de la ecuación 41

Como el suelo está totalmente saturado en el tramo de recompresión (o de descarga) y en el tramo virgen, σs = 0

Despejamos σs = σso (47)

Ba lo despejamos de la ecuación 46, y sustituimos valores entre los puntos O y A

Si tomamos dos puntos de la curva de compresibilidad (figura 16): 1 (pv1, e1), 2 (pv2, e2), pv2 > pv1, entonces:

Para obtener Af se seleccionan dos puntos en la rama de recompresión (o de expansión) y para determinar Av se seleccionan dos puntos en la rama virgen (figura 16). En ambos casos se emplea la ecuación 52.

En ingeniería de cimentaciones interesa conocer la deformación unitaria lineal vertical εza, la cual la obtenemos de la siguiente forma:

33 ❘ Núm. 262 Diciembre 2021 - Febrero 2022 ❘
(48)
(49)
(50)
Pero
(51)
(52)
εva = εxa + εya + εza
Figura 17. Prueba de saturación bajo carga.
Presión aplicada, P, kg/cm2 LOG10 Relación de vacios, e Prueba de consolidación. PCA-5 0.850 0.800 0.750 0.700 0.650 0.600 0.550 0.500 0.100 1.000 10.000 Chihuahua, Chihuahua. Ecuaciones constitutivas en mecánica de suelos ❘ ARTÍCULO TÉCNICO

ARTÍCULO TÉCNICO ❘ Ecuaciones constitutivas en mecánica de suelos

Si no hay grietas en el subsuelo εxa = εya = 0 y εza = εva

Si hay grietas en una dirección εya = ~ 0, εxa = ~ εza y εza = ~ εva/2

Si hay grietas en dos direcciones εxa = ~ εya = ~ εza y εza = ~ εva/3

Como ya señalamos antes, la deformación de un suelo cohesivo parcialmente saturado es igual a la suma algebraica de las deformaciones por incrementos de esfuerzo externos y por absorción de moléculas de agua.

En la figura 17 se presenta el resultado de una prueba de saturación bajo cargo, para una arcilla de la ciudad de Chihuahua.

Cabe señalar que el no considerar la presencia de arcillas expansivas, o no estimar de forma adecuado sus movimientos por cambios del grado de saturación, puede conducir a daños de consideración en la obras que se construyan sobre ellas (Springall y Martínez, 2020).

Una medida que puede ayudar a reducir los daños en arcillas consiste en utilizar medidas de drenaje en viviendas, como la que se muestra en la figura 18.

CONCLUSIONES

La observación de los fenómenos de la naturaleza permite al ser humano descubrir las leyes que rigen dichos fenómenos, mismas que usa en muchas ocasiones para mejorar su bienestar, a través de las obras de ingeniería. Estas leyes se dividen en generales y particulares. Las primeras se aplican a todos los materiales, mientras que las segundas son leyes o ecuaciones constitutivas válidas para materiales específicos.

En este trabajo hemos presentado ecuaciones constitutivas para el cálculo de la deformación de los suelos, a saber: a) suelos friccionantes, b) suelos cohesivos totalmente saturados, y c) suelos cohesivos parcialmente saturados. Las expresiones obtenidas tienen la ventaja de que emplean pocas

propiedades mecánicas, lo que hace que su aplicación sea relativamente sencilla.

Así, en suelos friccionantes se emplea la ecuación 10

en la cual sólo se necesitan dos propiedades mecánicas: el módulo de rigidez A y el exponente de confinamiento s En arcillas no sensitivas, totalmente saturadas, la expresión a la que se llega es (ecuación 20):

Aquí únicamente se emplea el módulo de rigidez A, el cual se puede obtener para la consolidación primaria y para la consolidación secundaria, en la rama de recompresión (o de expansión) y en la rama virgen.

En arcillas parcialmente saturadas se obtuvieron las ecuaciones 41 y 46:

en las cuales las propiedades mecánicas son A y Ba, que se pueden determinar a partir de una prueba de saturación bajo carga.

Como los parámetros de cálculo son pocas propiedades mecánicas, se logra llevar a cabo correlaciones estadísticas, lo que hace viable emplearlas para fines preliminares de cálculo, y como complemento a las propiedades obtenidas en los necesarios estudios de mecánica de suelos.

34 ❘ Núm. 262 Diciembre 2021 - Febrero 2022 ❘
Patio trasero 16 Subdrén de material de filtro (grava con arena) 3% 80 min 3% Vivienda Banqueta impermeable Losa de cimentación Material de mejoramiento 18 min 12 100 min 100 min Terreno natural Distancias en centímetros Croquis
escala Pantalla impermeable Terreno natural
Figura 18. Pantalla vertical impermeable alrededor de la vivienda.
sin

Cabe señalar que se han comparado los cálculos de deformaciones con las ecuaciones constitutivas anteriores con mediciones de deformaciones de obras reales, y los resultados de cálculos y de mediciones son similares (Demeneghi, 2019a).

Las ecuaciones constitutivas se pueden combinar con otros procedimientos de cálculo de deformaciones de los suelos, obteniendo a partir de ellas propiedades mecánicas para usar en dichos procedimientos.

Desde luego, es necesario continuar midiendo las deformaciones en prototipos de cimentaciones, para calibrar los cálculos de deformaciones usando leyes constitutivas de los suelos

Agradecimientos

Agradezco al Departamento de Geotecnia, de la División de Ingenierías Civil y Geomática, de la Facultad de Ingeniería de la Universidad Nacional Autónoma de México, las facilidades y el apoyo brindados para la elaboración de este trabajo.

También expreso mi gratitud al Dr. Eulalio Juárez Badillo, por las excelentes clases de Mecánica de suelos que impartió durante muchos años en la División de Posgrado de la Facultad de Ingeniería de la UNAM, así como a la Sociedad Mexicana de Ingeniería Geotécnica por la invitación para impartir la Conferencia Eulalio Juárez Badillo.

Referencias

Bjerrum, L. (1967). Engineering geology of normally consolidated marine clays as related to the settlement of buildings. VII Rankine Lecture. Géotechnique (2)17: 83-117.

Burland, J. B., y M- C. Burbidge (1985). Settlement of foundations on sand and gravel. Proceedings of the Institution of Civil Engineers, parte I: 1325-1381.

Demeneghi, A. (2019a). Sobre el cálculo de deformaciones en mecánica de suelos. Geotecnia 251. SMIG.

Demeneghi, A. (2019b). Calculation of settlement in sands using a nonlinear constitutive equation. XVI Congreso Panamericano de Mecánica de Suelos e Ingeniería Geotécnica. Cancún.

Demeneghi, A. (2021). Empleo de ecuaciones constitutivas en mecánica de suelos. Tercera Conferencia Eulalio Juárez Badillo. México: SMIG.

Juárez Badillo, E. (2010). Geociencia teórica. México: SMIG.

Lambe, T. W., y R. V. Whitman (1969). Soil Mechanics. Nueva York: Wiley.

Lee, J., y R. Salgado (2002). Estimation of footing settlement in sand, International Journal of Geomechanics (1)2: 1-28.

Lee, J, J. Eun, M. Prezzi y R. Salgado (2008). Strain influence diagrams for settlement estimation of isolated and multiple footings in sand. Journal of Geotechnical & Geoenvironmental Engineering (4)134: 417-427.

López Acosta, N., y G. Auvinet (2017). Comportamiento de suelos parcialmente saturados y aplicaciones. Manual de Diseño de Obras Civiles, Cap B.2.4. México: Comisión Federal de Electricidad.

Malvern, L. (1969). Introduction to the mechanics of a continuous medium. Englewood Cliffs: Prentice-Hall.

Mieussens, C. (1973). Remblai de la plaine de l’Aude. Remblais sur sols compressibles. Bulletin de Liaison del Laboratoires des Ponts et Chaussées. Ministère de l’Amenagement du Territoire, de l’Équipement, du Logemenet et du Tourisme.

Miller, I. y J. E. Freund (1965). Probability and statistics for engineers Engelwood Cliffs: Prentice-Hall.

Potts, D. M. (2012). Using numerical analysis in geotechnical engineering practice. Primera Conferencia Leonardo Zeevaert. XXVI Reunión Nacional de Mecánica de Suelos e Ingeniería Geotécnica. Cancún.

Skempton, A. W. (1954). The pore pressure coefficients A and B. Géotechnique 4: 143-147.

Skempton, A. W., y L. Bjerrum (1957). A contribution to the settlement analysis of foundations in clay. Géotechnique 7(4): 168-178.

Springall, G. y J. Martínez (2020). Daños por arcillas expansivas en un conjunto habitacional en el Bajío. Geotecnia 255. SMIG

Terzaghi, K. (1943). Theoretical soil mechanics. Wiley.

Terzaghi, K., y R. B. Peck (1967). Soil mechanics in engineering practice, 2ª ed. Wiley.

Yamamoto, N., M. F. Randolph e I. Einav (2008). Simple formulas for the response of shallow foundations on compressible sands. International Journal of Geomechanics (4)8: 230-239.

Zeevaert, L. (1973). Foundation engineering for difficult subsoil conditions. Van Nostrand Reinhold.

Zeevaert, L. (1986). Consolidation in the intergranular viscosity of highly compressible soils. En: R. N. Yong y F. C. Townsend (Eds.). Consolidation of soils: Testing and evaluation. Filadelfia: ASTM, STP 892: 257-281.

Este artículo es una versión reducida de la Tercera Conferencia Eulalio Juárez Badillo, “Empleo de ecuaciones constitutivas en mecánica de suelos”.

Apreciamos su opinión e información sobre el tema de este artículo. Escríbanos a geotecnia@heliosmx.org

Ecuaciones constitutivas en mecánica de suelos ❘ ARTÍCULO TÉCNICO

Raúl F. Esquivel Díaz

Ingeniero civil con maestría en Mecánica de suelos. Pensionado de la CFE y el II UNAM. Actualmente es perito traductor inglés-español y corrector de estilo. Vocal, secretario y vicepresidente de la SMIG (antes SMMS) en diferentes bienios.

Mi encuentro con el Dr. Aleksandar S. Vesic´

Comparto aquí algunos recuerdos de este gran maestro e investigador, quien me honró con su amistad.

Empecé a trabajar como ingeniero en 1964 en el diseño de armaduras metálicas para bodegas de Almacenes Nacionales de Depósito (ANDSA), dirigido en ese entonces por Mariano López Mateos, quien había sido mi padrino de boda el año anterior. En diciembre de ese año tuve la oportunidad de acudir al 1er Congreso sobre Cimientos Profundos, organizado por la Sociedad Mexicana de Mecánica de Suelos en el auditorio del Centro Médico

Nacional Siglo XX de la Ciudad de México, al cual asistieron destacados expertos nacionales y extranjeros, como fue el caso del doctor Aleksandar S. Vesić, a quien saludé y le mostré mi tesis, ya que yo sabía que él estaba investigando experimentalmente el mismo tema.

Durante la plática le comenté mi deseo de cursar la maestría e inmediatamente me ofreció una beca de medio tiempo para ir a estudiarla a la Escuela de Ingeniería de la Universidad Duke, en Durham, Carolina del Norte, que tenía un gran prestigio académico.

El doctor Aleksandar Sedmac Vesić había nacido en la antigua Yugoslavia en 1924, y después de haber realizado sus estudios profesionales en Belgrado llegó a Estados Unidos

36 ❘ Núm. 262 Diciembre 2021 - Febrero 2022 ❘
ANECDOTARIO
Figura 1. Robert M. Koerner (segundo de izquierda a derecha), Aleksandar S. Vesic (al centro) y Raúl Esquivel (a la derecha). Universidad Duke, 1966.

junto con su esposa Milena para integrarse a la Universidad Duke. Sus investigaciones se enfocaban en la capacidad de carga de cimentaciones someras y profundas, cuyos resultados fueron una importante contribución a la ingeniería geotécnica, así como el uso del índice de rigidez de un suelo. Llegó a ser profesor emérito y director en 1974 de la Escuela de Ingeniería.

Ya con la beca de medio tiempo autorizada y con un apoyo complementario del Banco de México para cubrir gastos de viaje y la compra de libros, en septiembre de 1965 me lancé a la aventura de estudiar en el extranjero junto con mi esposa y mi primer hijo de un año, sin pensar en ese momento que teníamos que sobrevivir con la beca de sólo 325 dólares mensuales.

El pequeño grupo de alumnos de posgrado estaba integrado por un servidor, para la maestría, y por dos estadounidenses, un indio y un chino en busca del doctorado, todos bajo la tutoría del doctor Vesić. Quien más ha destacado es Robert M. Koerner en el campo de geosintéticos (véase figura 1).

En mi trabajo de medio tiempo destacó la investigación experimental en modelos a escala sobre la extensión y geometría de cráteres o cavidades formadas mediante explosiones nucleares subterráneas. Después de año y medio de estudios pude terminar la tesis experimental “Capacidad de carga a la tensión de placas de anclaje profundas en arena” para recibir

el grado de maestro en Ciencias en Ingeniería Geotécnica el 5 de junio de 1967.

Cabe mencionar que el doctor Vesić tuvo una participación muy cercana con la Sociedad Mexicana de Mecánica de Suelos, habiendo sido invitado por la SMMS a la 8ª Reunión Nacional de 1976 (Guanajuato) para colaborar en las sesiones, y a la Tercera Conferencia Nabor Carrillo dictada por Árpád Kézdi, donde presentó una contribución junto con otras tan importantes como las de Zeevaert, Kerisel, Reese, Reséndiz y Marsal.

El corolario triste de esta historia es haber recibido, el 3 de mayo de 1982, la noticia del fallecimiento inesperado del doctor Aleksandar S. Vesić a los 57 años en su casa de Durham, como resultado de la picadura de garrapatas infectadas que le provocó una rara enfermedad bacteriana llamada “fiebre manchada de las Montañas Rocallosas”, seguramente contraída en los bosques alrededor de su casa. Me llamó su viuda Milena y me pidió como algo especial que fuera uno de los portadores del féretro durante el funeral, lo cual fue una distinción para mí, y así fue como asistí a la despedida de este gran maestro e investigador, quien me honró con su amistad. Esa fue mi última visita a la Universidad Duke

Apreciamos su opinión e información sobre el tema de este artículo. Escríbanos a geotecnia@heliosmx.org

Cimentaciones y obra civil Estructuras subterráneas Obras hidráulicas e industriales Estructuras portuarias
Mi encuentro con el Dr. Aleksandar S. Vesic´ ❘ ANEDOCTARIO

LIBROS

GEOTECHNICAL ENGINEERING UNSATURATED AND SATURATED SOILS

El autor adopta un nuevo enfoque basado en los fundamentos de los suelos no saturados, y presenta al suelo trifásico como un caso general, mientras que trata el suelo saturado como un caso especial, y no al revés, como es tradicional.

Este volumen de mil páginas tiene más de 1,300 ilustraciones y 400 problemas didácticos con su solución; agrupa en 27 capítulos los fundamentos de geología, componentes y clasificación de los suelos y de las rocas, temas como muestreo, ensayes in situ, investigación de campo, modelos del suelo, ensayes en laboratorio, elemen-

TESIS

tos de geofísica, esfuerzos efectivos, deformaciones, flujo a través de suelos, etcétera. Los numerosos temas que presenta Briaud revelan el vas -

to campo cubierto por la ingeniería geotécnica y sus importantes contribuciones a muchos casos de infraestructura.

El libro incluye, además de los asuntos convencionales de la geotecnia, una serie de temas que normalmente se dejan fuera de los cursos de licenciatura, tales como: rocas, geofísica, ensayes in situ e investigación de campo, modelos del suelo, termodinámica para suelos, erosión, geoambiental, geosintéticos y mejoramiento de suelos.

El resultado es una obra muy completa y adecuada para abordar el estudio de la geotecnia, no sólo en el nivel de licenciatura sino también en el posgrado, y constituye una excelente obra de referencia y consulta para la práctica profesional.

Comportamiento de un suelo expansivo con diversas densidades

Tesis de Fernanda Nayeli Ortega Rojas

Para obtener el grado de maestra en Ciencias (Geotecnia)

Facultad de Ingeniería, Universidad Autónoma de Querétaro

Asesor: Eduardo Rojas González

En este trabajo se busca extender el marco elastoplástico para suelos expansocolapsables desarrollado por Rojas (2017) utilizando muestras de un suelo expansivo compactadas a dos densidades diferentes. Las muestras compactadas se cargan a diversos esfuerzos iniciales en el odómetro, y posteriormente se saturan utilizando para ello incrementos de humedad controlados. De acuerdo con el marco teórico, si una muestra de suelo expansivo fuertemente compactada se lleva a su carga de preconsolidación (máximo esfuerzo aplicado durante la compactación) y se satura, entonces prácticamente no mostrará deformaciones, dado que la expansión y el colapso se anulan mutuamente.

Durante la comparación de resultados teóricos y experimentales, se observó que la modelación del comportamiento volumétrico de las muestras sueltas corresponde con el modelo existente, el cual considera una superficie de forma curva debido al fenómeno de endurecimiento por succión. Este fenómeno implica que la rigidez de un suelo arcilloso

se incrementa al aumentar su secado. Sin embargo, para muestras fuertemente compactadas fue necesario modificar la geometría de la superficie de fluencia de colapso bajo carga para poder simular correctamente su comportamiento volumétrico. Dado que durante la compactación dinámica las muestras llegan a una succión cercana a cero sin haber sufrido secado, entonces la superficie de fluencia presenta una geometría vertical. Con esta consideración, los resultados numéricos fueron más aproximados a los experimentales. De acuerdo con lo observado, se encontró que las muestras sueltas se deben cargar a un esfuerzo efectivo ligeramente mayor a la presión de expansión, para que las deformaciones de expansión se compensen con las de colapso. Por otro lado, muestras fuertemente compactadas con humedad mayor a la microestructural (agua adsorbida) deben cargarse con un esfuerzo efectivo cercano al máximo aplicado durante la primera compactación para que la deformación sea casi nula. De tener una humedad menor, ésta deberá cargarse por encima del máximo esfuerzo aplicado para que las deformaciones de colapso y expansión sean equivalentes. Estos resultados comprueban que el marco teórico utilizado al combinar el comportamiento de suelos expansivos y suelos compactados es adecuado

38 ❘ Núm. 262 Diciembre 2021 - Febrero 2022 ❘
RESEÑAS

LA VERSATILIDAD Y FLEXIBILIDAD DEL ACERO NOS MUESTRAN DISTINTAS FORMAS Y APLICACIONES EN LA ARQUITECTURA, INGENIERÍA Y ARTE.

Conoce nuestro Programa de Conversión de Proyectos, el cual brinda una propuesta constructiva basada en acero sobre cualquier proyecto a evaluar.

VENTAJAS:

Asesoría en el anteproyecto* y proyecto ejecutivo para cimentación y estructura. Acompañamiento en la ejecución de la obra. Acompañamiento en la elección de proveedores durante todas las etapas del proyecto

*El costo de la evaluación y asesoría de cualquier anteproyecto de cimentación y/o estructura es cubierto en su totalidad por Gerdau Corsa..

CONTACTO

55.4601.4700

pilotes@gerdau.com

gerdaucorsa.com.mx
(1905) MUSEO DEL CHOPO (1946) EDIFICIO EL MORO (1982) TORRE DE PEMEX (2015) TORRE BBVA (2017) TORRE MANACAR (1956) TORRE LATINOAMERICANA

Curso-taller

Los días 25 y 26 de agosto se desarrolló un curso teórico-práctico para conocer el software FLAC 3D. El primer día se abordaron diferentes formas de generar mallas 3D en el software, como mallas primitas, geometrías que se pueden extrudir y un ejemplo en el que se aplica la función de importar mallas a FLAC 3D. Se realizaron ejercicios para visualizar la influencia del número y tamaño de los elementos, relación de aspecto y condiciones de frontera en modelos estáticos. El viernes 26 se hicieron varios ejercicios, entre ellos la estabilidad de un talud y el cálculo de factor de seguridad mediante el método de reducción de parámetros. Los asistentes participaron en algunos de los ejemplos, incluyendo una zapata desplantada en suelos cohesivos y friccionantes.

El curso-taller fue impartido en línea por Francisco Alonso Flores López, tesorero de la SMIG. Gracias al apoyo de la empresa Itasca Chile fue posible que quienes atendieron el curso contaran con una licencia demo full del software, que les permitió desarrollar los ejercicios durante los dos días. Hubo una activa participación de 53 personas de México, Bolivia, Chile, Colombia y Perú

Caracterización del terreno y modelación numérica para el diseño optimizado de pilas

El 7 de septiembre se llevó a cabo el seminario “Caracterización del terreno y modelación numérica para el diseño optimizado de pilas”, impartido por la doctora Lidija Zdravkovic, quien es profesora de Geomecánica Computacional y directora del área de Geotecnia en el Imperial College de Londres. El seminario se ofreció gratuitamente a través de la plataforma Zoom y tuvo gran repercusión en la comunidad geotécnica nacional e internacional. Se registraron 194 asistentes de México, Bolivia, Colombia, Costa Rica, Ecuador, España, Reino Unido, Panamá, Perú y Estados Unidos.

Zdravkovic se centró en el diseño eficiente de las cimentaciones tipo monopila para aerogeneradores costa fuera. Particularmente describió el método de diseño Pisa (por pile soil analysis), el cual se desarrolló mediante proyectos de colaboración recientes en los que se involucraron integrantes de la comunidad académica e industrial. Por medio de estos proyectos se demostró cómo la integración de una caracteri-

zación específica de las condiciones del sitio, de simulaciones numéricas avanzadas y de una serie de pruebas de carga lateral en monopilas condujo al desarrollo de un método de diseño robusto, capaz de reproducir, con una excelente aproximación, el comportamiento de tales cimentaciones

40 ❘ Núm. 262 Diciembre 2021 - Febrero 2022 ❘
“Introducción al uso de FLAC 3D en problemas estáticos”

México a través de los sismos

Los días 17 y 18 de septiembre de 2021 se celebró la tercera edición del encuentro relacionado con los sismos de septiembre de 1985 y 2017, esta vez con el lema “Desde el peligro sísmico hasta la resiliencia”.

El acto se llevó a cabo en línea y fue organizado por la Asociación Mexicana de Directores Responsables de Obra y Corresponsables, el Instituto de Geofísica de la UNAM, el Instituto de Ingeniería de la UNAM, el Servicio Sismológico Nacional, la Sociedad Mexicana de Ingeniería Estructural, nuestra Sociedad Mexicana de Ingeniería Geotécnica (SMIG) y la Sociedad Mexicana de Ingeniería Sísmica.

Los bloques desarrollados fueron: “Peligro sísmico”, “Necesidad de un código modelo de diseño sísmico nacional”, “Las futuras generaciones en ingeniería y la evolución de la seguridad estructural ante sismos” y “Practicando resiliencia diariamente”. En el bloque a cargo de la SMIG se abordó el tema del suelo ante la

acción sísmica. El coordinador fue Raúl Aguilar Becerril, quien impartió la conferencia “Efectos de la respuesta sísmica del terreno en la Ciudad de México”; Carlos Roberto Torres Álvarez dictó la conferencia “Efectos sísmicos en la capacidad de carga de las cimentaciones”, y Juan Manuel Mayoral Villa tuvo a su cargo la conferencia “Aspectos geosísmicos e interacción suelo-estructura durante los sismos del 19 de septiembre”. Este bloque cerró con preguntas, aclaraciones, discusiones y conclusiones.

Para el encuentro se registraron 209 asistentes, entre estudiantes, académicos, socios, público en general y directores responsables de obra, quienes tuvieron la oportunidad de presentar el examen para ser corresponsables en seguridad estructural, o bien validar horas de actualización. “México a través de los sismos” concluyó con mensajes de Roberto Avelar Cajiga en representación de la SMIG y de los presidentes de las sociedades técnicas mencionadas. La clausura se encuentra en la videoteca de la SMIG

lamenta profundamente el fallecimiento del ingeniero

Leonardo Reyes Santos

Miembro de la SMIG

y se une a la pena que embarga a sus familiares y amigos.

Descanse en paz Septiembre 2021

lamenta profundamente el fallecimiento del ingeniero

Federico Mooser Hawtree

Miembro de la SMIG

y se une a la pena que embarga a sus familiares y amigos.

Descanse en paz Octubre 2021

lamenta profundamente el fallecimiento del ingeniero

Daniel Reséndiz Núñez

Miembro honorario de la SMIG

y se une a la pena que embarga a sus familiares y amigos.

Descanse en paz Noviembre 2021

41 ❘ Núm. 262 Diciembre 2021 - Febrero 2022 ❘
La Sociedad Mexicana de Ingeniería Geotécnica, A. C. La Sociedad Mexicana de Ingeniería Geotécnica, A. C. La Sociedad Mexicana de Ingeniería Geotécnica, A. C.

Reunión de la Mesa Directiva con el Consejo de Honor y el Consejo Consultivo de la SMIG

El 22 de octubre pasado, la Mesa Directiva de la SMIG sostuvo una reunión con el Consejo de Honor y el Consejo Consultivo; el propósito fue informar de las actividades que se han llevado a cabo, del estado financiero, así como de las publicaciones y eventos que se están organizando en el marco del 65 aniversario de la SMIG, que se celebrará durante todo el año 2022.

La reunión, que se desarrolló en un ambiente de entusiasmo y afecto por el reencuentro presencial, inició con un minuto de silencio en memoria de los socios y amigos que lamentablemente fallecieron durante el año.

Con los comentarios, anécdotas, opiniones y sugerencias de los asistentes se obtuvieron conclusiones que contribuirán al buen desempeño de la SMIG

Con 211 asistentes (49 estudiantes, 65 asociados y 97 no asociados) de Bolivia, Brasil, Chile, Colombia, Costa Rica, Ecuador, España, Estados Unidos, Guatemala, Honduras, México y Perú, el viernes 22 de octubre se llevó a cabo de manera virtual la conferencia “Determinación

de la velocidad de onda cortante de suelos de la bahía de Campeche”.

El conferencista, Víctor Taboada Urtuzuástegui, explicó las herramientas costa fuera que se usaron para medir la velocidad de onda de cortante, presentó las correlaciones semiempíricas

42 ❘ Núm. 262 Diciembre 2021 - Febrero 2022 ❘
Conferencia “Determinación de la velocidad de onda cortante de suelos de la bahía de Campeche”

obtenidas para determinar la velocidad de la onda de cortante y su aplicación en casos reales en la respuesta sísmica en la bahía de Campeche. La conferencia concluyó con la entrega de un diploma de reconocimiento al doctor Taboada. La Mesa

Directiva de la SMIG agradece a Celestino Valle Molina por su participación como coordinador del acto. La conferencia se puede ver en la liga www.smig.org.mx/eventos-smig/video teca-smig.php

Curso-taller “Espectros de sitio”

Durante el curso-taller para la evaluación de efectos de sitio mediante análisis de respuesta unidimensionales y su incorporación en los espectros de diseño símico, se abordaron temas como la interpretación de registros sísmicos y la generación de espectros de respuesta; se mostraron dos metodologías para evaluar los efectos de sitio mediante análisis de propagación de ondas unidimensionales, en el dominio de la frecuencia con el método lineal equivalente y en el dominio del tiempo mediante análisis no lineales y otra metodología para generar sismos sintéticos en el dominio del tiempo ajustados a partir de espectros de peligro uniforme. Finalmente, se formularon consideraciones generales para incluir estos análisis en los espectros de diseño sísmico que registran el Manual de Diseño por Sismo de la Comisión Federal de Electricidad (2015) y las Normas Técnicas Comple-

mentarias para Diseño por Sismo de la Ciudad de México (2017). El curso fue impartido en línea por Francisco Alonso Flores López, tesorero

de la SMIG, el día 28 de octubre. Hubo una activa participación de los 92 asistentes, algunos de ellos de Guatemala y Perú

Formación para una actitud resiliente ante un mundo cambiante

El Coloquio de Jóvenes Geotecnistas es un foro para que los integrantes de la comunidad geotécnica menores de 35 años presenten y difundan sus trabajos, que pueden estar orientados a la docencia, la investigación o la práctica profesional. La séptima edi-

ción del coloquio se realizó en línea el 11 de noviembre y se dividió en tres bloques temáticos: “Ingeniería geotécnica sísmica y riesgos naturales”, “Modelación numérica y comportamiento de geomateriales” e “Ingeniería geotécnica práctica”. Durante todas ellas se abordaron temas

muy interesantes, incluyendo técnicas novedosas de experimentación en el laboratorio, análisis numéricos avanzados, casos históricos de colapso, riesgo sísmico, vulnerabilidad de cimentaciones y diseños geotécnicos innovadores, entre otros. El nivel técnico con que se

43 ❘ Núm. 262 Diciembre 2021 - Febrero 2022 ❘

abordaron los temas y las interesantes discusiones que se dieron demuestran el gran potencial de esta generación de geotecnistas, que serán capaces de hacer frente a los retos ingenieriles presentes y futuros.

También hubo una conferencia magistral, dictada por Eduardo Alonso, uno de los geotecnistas más destacados del mundo.

CONFERENCIA MAGISTRAL “LA TRANSICIÓN LENTA-RÁPIDA EN LA VELOCIDAD DE DESLIZAMIENTOS”

La conferencia magistral titulada “La transición lenta-rápida en la velocidad de deslizamientos” fue impartida, en el contexto del 7º Coloquio de Jóvenes Geotecnistas, por Eduardo Alonso, catedrático de la Universidad Politécnica de Cataluña y uno de los más destacados geotecnistas del mundo. La conferencia se dividió en dos partes; en la primera se habló de un caso histórico: un deslizamiento con una aceleración muy importante, que no se había podido explicar en términos de la resisten-

cia residual del material. Alonso demostró que, en estos casos, los efectos térmicos se vuelven particularmente relevantes, y resultan en el incremento de la presión de poro en la zona de rotura, con lo que se nulifican los esfuerzos efectivos y, por lo tanto, también la resistencia. Este es un fenómeno hasta cierto punto análogo al de la licuación, con la diferencia de que los excesos de presión de poro son resultado de la dilatación térmica diferencial entre las fases sólida y líquida del material.

En la segunda parte presentó casos de estudio de deslizamientos activos, pero que se mueven muy lentamente. En este

caso, el conferencista hizo evidente la importancia de los efectos viscosos por la manera en que éstos promueven la estabilidad y evitan la repentina aceleración de la masa de suelo.

En general, se introdujeron conceptos fundamentales de la termodinámica, los cuales permiten explicar el comportamiento de deslizamientos en los que la mecánica de suelos clásica resulta insuficiente. Esto lo hace a través de técnicas numéricas avanzadas, como el método del punto material, que involucran análisis termohidromecánicos acoplados y la posibilidad de representar grandes deformaciones

Bienvenidos nuevos socios

44 ❘ Núm. 262 Diciembre 2021 - Febrero 2022 ❘
• Iván Refugio Castañeda Campos • Mayra Nolasco Vasconcelos

Comportamiento mecánico de suelos no saturados

Durante la conferencia que impartió a distancia el 17 de noviembre, el doctor Hiram Arroyo Chávez explicó la importancia de utilizar las ecuaciones constitutivas adecuadas para conocer el comportamiento mecánico de los suelos no saturados; aclaró que la mayoría de las ecuaciones son las mismas que se utilizan en los suelos saturados, y puso énfasis en la importancia de la succión que se genera al mo-

dificarse el contenido de agua de los suelos no saturados, al comparar los resultados en diferentes gráficas obtenidas de las pruebas de laboratorio realizadas con ese objetivo.

Al terminar su exposición, lo asistentes hicieron comentarios y plantearon algunas preguntas, que fueron respondidas por el conferencista.

Se registraron 228 asistentes de Belice, Bolivia, Brasil, Colombia, Ecuador, España, Estados Unidos, Guatemala, México, Panamá y Perú.

El acto se realizó con la participación de la Mesa Directiva de la SMIG, la Delegación Regional de Occidente de la SMIG y el Colegio de Ingenieros Civiles del Estado de Jalisco. La conferencia está disponible para consulta en la videoteca de la SMIG

Premio José A. Cuevas

En el marco del 31 Congreso Nacional de Ingeniería Civil, que se llevó a cabo en las instalaciones del Colegio de Ingenieros Civiles de México (CICM), el pasado 25 de noviembre de 2021 se entregaron los premios bienales que este colegio otorga en diferentes categorías. En esta ocasión, nuestro asociado Juan Mayoral Villa fue acreedor del premio José A. Cuevas al mejor artículo técnico de 2020, con el trabajo “Seismic interaction of tunnel-building-systems on soft clays”. El premio fue entregado en emotiva ceremonia por el presidente de la Junta de Honor del CICM, Clemente Poon Hung, acompañado por Luis Rojas Nieto, presidente del Consejo Directivo del CICM, y Mauricio Jessurun Solomou, director del congreso. Como moderadores del evento participaron Roberto Duque

SMIG Noticias se elaboró con información

a Juan Mayoral

Ruiz y Jorge Serra Moreno, vicepresidentes del colegio. Enhorabuena y nuestras felicitaciones por el merecido reconocimiento al doctor Juan Mayoral

45 ❘ Núm. 262 Diciembre 2021 - Febrero 2022 ❘
de Francisco Alonso Flores López, Miguel Ángel Mánica Malcom, Roberto Avelar Cajiga, Ricardo E. Ortiz Hermosillo y Walter I. Paniagua.

Cultura A prueba de fuego

Javier Moro, Espasa, 2020

El libro narra la historia del arquitecto Rafael Guastavino, quien emigró a Estados Unidos procedente de España en 1881. El narrador es su hijo Rafael, quien rememora la vida de su padre tanto en lo profesional como en lo personal.

Como arquitecto, Rafael Guastavino trabajó las “bóvedas tabicadas” desde su natal Barcelona, y en la novela se narran sus peripecias para lograr introducirlas en Estados Unidos, donde se usaban las construcciones de madera, mientras que para los edificios altos, estructuras de acero. Junto con su hijo, su socio Blodgett y la ayuda económica de Stanford White, Rafael fundó la Guastavino Fireproof Construction Company (de ahí el nombre de la novela), y a lo largo de su vida diseñó

Ceguera moral

Zygmunt Bauman y Leonidas Donskis Paidós, 2015

Éste es un trabajo de corte sociológico y ético. Los autores plantean que en la actualidad todo es ambivalente, porque el mundo no puede responder a sus propios dilemas. Explican las formas elusivas del mal: la insensibilidad frente al sufrimiento del otro y la abolición de la privacidad, y aluden a la geografía simbólica del mal.

Se detienen a explicar que no se necesita un monstruo para generar un holocausto; un ser humano común y corriente puede crear un infierno para las otras personas. Tratan de las formas invisibles de la maldad, tanto en el plano individual como

y construyó gran cantidad de edificios, mansiones para los grandes millonarios, iglesias y hasta una casa para un elefante en el zoológico del Bronx. A lo largo de la novela se exponen aspectos diversos y problemas, tanto técnicos como económicos, de muchas de las estructuras en las que intervino la compañía.

En forma paralela a lo anterior, el autor narra la vida personal de su padre: hombre complejo y contradictorio, cuyas relaciones con las mujeres influyeron en su vida, para bien y para mal. Así, en forma amena y salpicada de anécdotas, el lector conoce el retrato de un hombre de carne y hueso, con claroscuros, realizado por su hijo con amor y un profundo respeto

Javier Moro (Madrid, 1965)

Colabora desde joven en medios de prensa españoles y de otros países. Coproductor y guionista de películas, desarrolló proyectos de cine y televisión en Estados Unidos, donde colaboró con directores como Ridley Scott. Autor de Senderos de libertad (1992), El pie de Jaipur (1995), Las montañas de Buda (1997), La mundialización de la pobreza (1999) y El sari rojo (2008). Su novela Pasión india (2005), la historia de la bailarina española que se casó con el maharajá de Kapurthala, ha sido uno de los grandes éxitos de crítica y ventas. Su obra El Imperio eres tú fue galardonada con el Premio Planeta 2011.

a nivel del Estado, para centrarse en lo que constituye el nuevo “Satanás” de la modernidad. Otro aspecto toral del libro es el análisis y la crítica del multiculturalismo y de la esclavitud moderna.

Desde el punto de vista teórico, los autores presentan el concepto de adiaforización, que consiste en la retirada temporal de la propia sensibilidad ante los problemas éticos, con lo que se genera una especie de incapacidad de reaccionar, o de hacerlo como si les ocurriera no a las personas, sino a los objetos.

En conclusión, Ceguera moral es una obra de las más importantes del gran sociólogo polaco y su coautor, que aportan mucho para la comprensión de la problemática humana actual

Margarita Puebla

Zygmunt Bauman (Poznan, 1925-Leeds, 2017)

Fue un sociólogo, filósofo y ensayista polaco-británico de origen judío. Estudió sociología en la Academia de Ciencias Sociales y Políticas de Varsovia y fue antisionista. Su obra se ocupa, entre otros temas, de cuestiones como las clases sociales, el socialismo, el Holocausto, la hermenéutica, la modernidad y la posmodernidad, el consumismo, la globalización y la nueva pobreza. Desarrolló el concepto de “modernidad líquida”.

Leonidas Donskis (Klaipeda, 1962-Vilna, 2016).

En 1985 se graduó en el Conservatorio de Lituania y dos años más tarde se graduó en Filosofía en la Universidad de Vilnius. Desde principios de los noventa se desempeñó como docente en la Universidad de Klaipeda. Autor de Buscando el optimismo en la era del pesimismo; Europa del Este: corazonadas y previsiones (con Tomas Venclova) y Poder, imaginación y memoria: bocetos sobre política y literatura

46 ❘ Núm. 262 Diciembre 2021 - Febrero 2022 ❘

Cartelera Glória

Serie, Netflix, 2021

Esta serie, la primera portuguesa en la plataforma Netflix, se desarrolla en Portugal, en 1968, durante la dictadura de Salazar en plena Guerra Fría.

Glória do Ribatejo es el pueblo donde tiene lugar esta historia; allí se ha instalado un centro de comunicación estadounidense, RARET, que transmite hacia los países soviéticos propaganda sobre los intereses occidentales.

Portugal, que sostiene batallas en diversos frentes intentando mantener su dominio en los países africanos sometidos durante su esplendor como imperio colonial, se convierte en un nido de espías y toma partido en la Guerra Fría entre Estados Unidos y la URSS al convertirse en peón de los intereses norteamericanos.

João Vidal es un ingeniero portugués hijo de un alto funcionario de la dictadura portuguesa que, después de haber conocido la realidad de la guerra colonialista, es coptado por la KGB y se encargará de recopilar información para la causa soviética.

La producción portuguesa de Netflix se ha inspirado en hechos reales sobre ese pulso de espionaje y contraespionaje en antiguas instalaciones estadounidenses de la OTAN

Turn static files into dynamic content formats.

Create a flipbook
Issuu converts static files into: digital portfolios, online yearbooks, online catalogs, digital photo albums and more. Sign up and create your flipbook.