









![]()













INTERNSHIPS





NEW PRESIDENT AT THE TU/E PARTEE WITH ME

ExxonMobil, one of the largest publicly traded international oil and gas companies, uses technology and innovation to help meet the world's growing energy needs. We hold an industry-leading inventory of resources and are one of the world's largest integrated refiners, marketers of petroleum products and chemical manufacturers.
ExxonMobil, een van de grootste beursgenoteerde internationale olie- en gasbedrijven, gebruikt technologie en innovatie om te voldoen aan de stijgende wereldvraag naar energie. We hebben een toonaangevende voorraad van energiebronnen en zijn een van de grootste geïntegreerde raffinadeurs, verkopers van petroleumproducten en fabrikanten van chemische producten ter wereld.
Visit our website and get inspired about how you can contribute to the energy transition ! Bezoek onze website en ontdek hoe jij kan bijdragen aan de energietransitie !



Dear Reader,
Now that we are at the ending of the acadamic year, it is time for one more openME. We are happy to look back on another acadamic year with a lor of stories, lectures, studying, and memories
In this issue, we explore a variety of topics, including two internships, some information about the University council and the Department council. And some more information about the brand new department instagram.
Beyond education-focused content, we also have more topics, such as an article about a GPS works or the hubble space telescope.
In this edition we also look back on some activities like the Brascursion and the first edition PartEE with ME. If you do not know what to do this summer you can also read the summer guide for fun things to do in Eindhoven


So there are a lot of different topics and I wich you a lot of fun reading all the articles!
With kind regards,

Rixt Hofman Editor-in-Chief
June 2025, volume 56, issue 3
The ‘openME’ is a publication by the study Association for Mechanical Engineering Simon Stevin of the Eindhoven University of Technology
Editor-in-Chief
Rixt Hofman
Design
Maartje Borst, Rik Lubbers, Roelof Mestriner, Joel Peeters, Lex Verberne
Layout
Jens van Bavel, Stefan Geerts, Ben Gortemaker, Rixt Hofman, Vera Riemersma, Luca Prundus
Editorial committee
Max Dumoulin, Stefan Geerts, Anastasia Ghlighvashvili, Ben Gortemaker, Rixt Hofman, Luuk Jentink, Luca Prundus, Vera Riemersma, Carlijn Roggen, Aditya Shekhar
Illustrations and Pictures
Editorial committee, Photo committee, source stated otherwise
Printing office Drukkerij Snep
Circulation
600 pieces
Contact Eindhoven University of Technology Gemini-North -1.830
Den Dolech 2 5612AZ Eindhoven Post office box 513
E-mail: redactie@simonstevin.tue.nl
Homepage: simonstev.in





On April 24, 1990, the STS-31 mission launched from Kennedy Space Center in Florida aboard the space shuttle Discovery, carrying five astronauts and a piece of engineering that would change history: the Hubble Space Telescope.
In November 2024, I traded the cold and wet weather of the Netherlands for the beautiful sunny Auckland, New Zealand. Although it is quite the trip to get there, clocking in at 25 travel hours, this would be the start of the greatest adventure I’ve ever taken on.
The Wervingsdagen has a longstanding tradition of connecting students and companies at TU/e. From the very beginning, its mission has been clear: lowering the barrier between the








WRITTEN BY ROEL HAZELHOF
Molo! Unjani? At the end of August last year I left the onsetting autumn of the Netherlands for the onsetting spring of South Africa, 10.000 km away. I stayed at Stellenbosch, in the heart of the winelands, near Cape Town, for four months to do my internship at the Solar Thermal Energy Research Group (STERG) in at Stellenbosch University. Here are my experiences, split into two parts: the project, on flow behavior inside a rock bed, and the country.
During my internship at STERG I worked on a project that combined experimental measurement techniques with research on heat storage.
The concept is straightforward. In the SUNSPOT cycle, solar energy heats up air during the day. This hot air is stored by passing it through a packed bed of rocks, where the rocks absorb the heat. Later, when needed, the heat can be extracted to generate electricity. While previous research mainly focused on the heat transfer properties, less was known about how the flow behaves inside the rock bed — especially around the transition between laminar and turbulent flow.


The professor wanted me to create a Proof of concept on the experimental technique described later, so that students in the future can work on refining the proof of concept as part of their education.
To study the flow behavior, we used Particle Image Velocimetry (PIV). This method involves adding tracer particles to the flow, illuminating them with a laser sheet, and recording their motion using a high-speed camera. By analyzing the displacement of the particles between images, the velocity field can be reconstructed.
The experimental setup consisted of a transparent PMMA flow column filled with ellipsoidal epoxy rocks. These rocks were handmade using molds. A liquid would be used as fluid in which the tracer particles would be injected. The trick with PIV is to ensure that the laser light is not refracted, so that the information that the camera receives in the form of light reflecting off of
particles is not corrupted. This can be achieved by matching the refractive index of all three components to another. While we aimed for optical clarity, achieving full refractive index matching with the fluid was not possible within the project budget. Because of this some concessions had to be made and as a result only limited clarity was possible on measurements. Across a range of flow rates, corresponding to porous Reynolds numbers from approximately 68 to 305, we observed different flow regimes. At lower flow rates the flow remained largely laminar, with smooth velocity fields. As the flow rate increased into the transitional range instabilities and localized highvelocity streams started to appear. At higher Reynolds numbers the flow within and around the rock bed showed clear signs of turbulence, with less predictable patterns and higher velocity fluctuations. However, the lack of optical clarity with the pictures meant that all conclusions had to be drawn tentatively.

Figure 2: demonstration of refractive index matching. In the left figure a beaker is filled with water and placed on top of a pattern. In the middle figure, a epoxy rock is placed in the water, leading to visible distortions of the pattern. In the right figure, an agent is added to the water that matches the refractive index of the liquid to the epoxy, restoring the pattern underneath.



4:
Despite the optical challenges and the lack of full refractive index matching, the experiments clearly showed the transition from laminar to turbulent flow within the porous medium. With better material preparation and refractive index matching, future experiments could provide even more detailed insights into the complex flow behavior inside packed rock beds. With that, the proof of concept was successful as I was able to show that actual flow behavior aligns well with theory and that an experimental setup is feasible and can be easily improved upon,

Figure 5: The actual setup, including some black sheeting to help against stray light. The laser was a class 4 Nd:YAG laser, which would instantly cause permanent eye damage when in contact, fun stuff to work with
even though the the level of detail on my resulting contour plots was rough to say the least.
For me the main challenge of this internship project was to be completely in control of my own project. The professor barely gave any guidance, only a ‘yeah that’s nice’ during meetings. This, combined with only having 14 weeks to research, design, order, construct, use and postprocess the setup meant that I was constantly challenged to manage the project well.
Figure 6: Velocity contour field of the PIV measurement at a porous Reynolds number of 305, equating to about 15 L/min of flow.

Although the project turned out be quite a lot of fun to do because of the variety of the work, my main reason for going to Stellenbosch University was the country. I saw the internship as the perfect excuse to live for a long time in a completely different culture and to stripe off some bucket-list items and boy did it deliver.
Let me start off with the surroundings. South Africa is in the top 10 most biodiverse countries in the world, and it shows. Stellenbosch is located in the wine region, which it has become thanks to it soft-flowing hills, sunny days and not-too-irregular rainfall. Cape Town is just a 30 minute Uber drive away, along with the beautiful beaches and coastal roads off the greater Cape Town area on which the sun sets every evening. For some explicable reason that I do not know, the sunsets in South-Africa are incomparably beautiful compared to the our washed out sunsets – I enjoyed them every single night. About a three hour drive north of Cape Town you enter the Northern Cape, a more arid area comparable to the US Midwest and Arches National Park. With a three hour drive east of Cape Town you will run into the world famous Garden Route, with lush forests because of it more frequent rain and rough coastal rock formations. While driving there along the coastal roads, there is a seriously big chance of spotting whales along the coastline. Travelling in South-Africa is as if you are traveling through multiple biomes in a such a short amount of time, that it almost feels fake.
History-wise, South Africa is at least as interesting. The Netherlands has a very controversial and downright evil role in the conquering of land, enslavement of people and from our descendants the Apartheid was instituted. It was surreal to visit museums where prominent historical pieces displayed items in Dutch with the Dutch flag on it. The university I went to is the very founding place of Apartheid and to this day remains an elitist university. The scars of segregation can be found on every corner through the beggars and homeless. When you look at Cape Town on a map, it seems an absolutely gigantic city, but more than 90% of its area are in actuality townships, where houses are little more than a few corrugated sheets – these were areas we could never wish to enter unguided. Seeing this everyday and also having to adjust my way of living to take into account the lack of safety at night made me realize that the street safety we have here really should not be taken for granted.
In terms of modern culture, most of South Africa is considerably more conservative than we are in the Netherlands. This is especially the case for the predominantly white communities in the wine region. Cape Town however, is the absolute exception to the rule. It is a bustling city full of nationalities and cultures clashing in a fantastic way. What stood out to me the most is that because so many people have international backgrounds, they are more open to start conversations with strangers and invite them for get-togethers. Simply talking to some people at a party could mean that you were going to go for a weekend away with them the next week.
I cannot possibly explain all that there was to do and experience, so I hope that you get the impression. To give you an idea of what I was able to do aside from internship, I’m just going to list them: surfing, whale watching, running my first half-marathon, weekly beachvolleybal at sunset, hiking, hiking, lots of hiking, BMX tours, dirt-cheap but amazing wine tastings, safari’s, a trip to Namibia, house parties, afrohouse concerts, parties in artgalleries, etc. etc. If you are considering to go to South-Africa, feel free to hit me up for connections and some advice. Its worth it.






A technological marvel that we interact with on an almost daily basis, yet seldom recognize, is the subtle art of how text is arranged on a page. The perfection of typography, especially micro-typography, is an overlooked discipline in today’s digital world. Yet, in the early days of digital typesetting, achieving this perfection was a major technical and aesthetic challenge, one that involved years of development, intense research, and even doctoral theses.Let’s take a closer look at the small details that make our digital text look clean, consistent, and effortlessly readable.
The primary goal of micro-typography is to ensure that the spacing between letters appears visually consistent, even if it isn’t mathematically so. A first key detail is the fact that some letter combinations fit nicely next to each other, and others do not. To make them fit together well, kerning is used to place these specific combinations closer together.



No kerning Kerning applied
Example of kerning


WRITTEN BY BEN GORTEMAKER

Once individual letters are spaced correctly, the focus shifts to paragraph-level aesthetics. Here, there are two basic alignment styles: justified and ragged-right text.

• Justified text aligns both the left and right edges of a paragraph. While it creates a clean block, it can suffer from poor spacing—such as the formation of “rivers” (vertical white gaps) or overuse of hyphenation to make lines fit.




Another technique that uses letters that fit nicely together is ligatures. They combine certain characters like fi, fl, or ff into a single glyph that connects naturally, often merging parts of their serifs. This avoids unnatural collisions and enhances legibility, especially in serif typefaces.


• Ragged-right text, by contrast, avoids these issues by keeping the right margin uneven. However, it brings its own challenges: primarily, the need to balance line breaks so that short and long lines don’t alternate too dramatically.





Ex E ample e of o trackking

To achieve a visually balanced paragraph, systems subtly adjust the following:
• Tracking (letter-spacing): stretches or compresses space between letters.
For instance, a space following the letter r may appear tighter than one after an m, simply because the open shape of r “leaks” into the space visually.
• Inter-word spacing: Varies the space between words within a controlled range.
• Font expansion: Slightly scales individual glyphs (horizontally) without distorting them.

Example of ligatures





These changes are often imperceptible to the reader, but collectively, they create smooth, rhythmical text. Lastly, with justification of text, one runs into the issue that some characters do not take up that much space. This causes the text to visually not look justified, even though it technically is perfectly so. To fix this, one uses optical margin alignment, rather than absolute. This uses character protrusions to make the text visually look straight.




The history of the development of the digital micro typography and its algorithms started in the 1970 with large contributions from Donald Knuth, who developed the TeX typesetting system in the late 1970s. Annoyed with the poor quality of mathematical typesetting for his own mathematical research papers, Knuth created a system that could automatically optimize line breaks and spacing using mathematical models. TeX is the groundwork for the program we all use called LaTeX, which is an extension of the basis of TeX.
Building on this, Hermann Zapf, a renowned typographer and type designer, collaborated with researchers to improve digital typesetting algorithms. His work with Adobe and URW in the 1980s influenced early implementations of optical kerning and font hinting. Around the same time, Peter Karow, founder of URW, developed early algorithms for automatic kerning and font interpolation.


In the late 1990s and early 2000s, Adobe InDesign integrated the microtypography engine from pdfTeX, itself an extension of TeX created by Hàn Thế Thành as part of his doctoral dissertation. PdfTeX introduced sophisticated features like font expansion and advanced justification techniques, allowing text to maintain visual harmony even in narrow columns or complex layouts. PdfTex is also the default program used by our favorite LaTeX program Overleaf.













Today, these micro-typographic refinements are largely hidden under the hood of modern layout engines and word processors, but they owe their precision to decades of typographic theory, programming ingenuity, and a deep appreciation for the subtle physics of reading.
So when writing your next paper you will know more about what’s happening to make it look good.




























































3, 2, 1 … Lift off ! On April 24, 1990, the STS-31 mission launched from Kennedy Space Center in Florida aboard the space shuttle Discovery, carrying five astronauts and a piece of engineering that would change history: the Hubble Space Telescope. Designed to operate beyond the distortion of the Earth’s atmosphere, this telescope would revolutionize astronomy by expanding the boundaries of the visible universe and laying the foundation for all future space telescopes.
WRITTEN BY VERA RIEMERSMA
The idea for space-based astronomy dates back to as early as 1923, when German rocket scientist Herman Oberth suggested a space-bound telescope in his book Die Rakete zu den Planeträumen, but at the time nothing was done with the idea. That is until 1946, when Lyman Spitzer Jr., an American astrophysicist, published a paper called Astronomical advantages of an extra-terrestrial observatory wherein he described the advantages of performing astronomy from space. Spitzer argued that placing a telescope above the Earth’s atmosphere would eliminate atmospheric distortion, allowing for significantly sharper and more accurate images. At the time technology was not advanced enough, but it laid the groundwork for what would become the Large Space Telescope. In 1983, the project was renamed the Hubble Space Telescope in honour of the astronomer Edwin Hubble, who proved that there were galaxies beyond the Milky Way and that the galaxies were moving away from us at increasing speeds. Thus revealing the expansion of the universe.
Astonishingly, Hubble’s success was almost derailed by a tiny but critical engineering flaw. After deployment, Hubble’s first images were unexpectedly blurry. Shortly after in June 1990, NASA revealed that there was a spherical aberration in the primary mirror, that resulted in the mirror having more than one focal point and blurry images. The aberration was just a deviation of 2 micromillimeters, about the equivalence of the thickness of a spiderweb. The mirror was too flat away from its centre


creating a wrong curve. The error stemmed from a misalignment of only 1.3 millimetres in the null corrector, the device that was used to test the mirror. This served as a sobering reminder of how important precision manufacturing is, especially in aerospace engineering.
Instead of scrapping the billion-dollar project NASA decided on sending a servicing mission to correct the flaw. This mission called SM1 launched in December 1993 aboard Endeavour and during a total of five spacewalks the astronauts counteracted the abrasion by installing the Wide Field and Planetary Camera 2 to correct the primary mirror and the Corrective Optics Space Telescope Axial Replacement (COSTAR) to correct the flaw in the other instruments. The mission was a success as the images were no longer blurry, and the Hubble could continue its observations. After the initial mission, four more missions were conducted to either update or repair the telescope. This of course has proven to be successful as the Hubble is still in rotation.

In its 35 years in orbit, Hubble has made numerous discoveries and has taken over 1.6 million observations of some of the farthest places that we have seen. The most notable have been included here:
• 1994: Confirmed the presence of supermassive black holes in galaxies, starting with M87.
• 1996: Released the Hubble Deep Field, revealing thousands of previously unseen galaxies in a tiny patch of sky.
• 1999–2005: Measured the expansion rate of the universe with high precision, leading to insights into dark energy.
• 2009: Captured the first visible-light spectrum of an exoplanet’s atmosphere.
These findings have not only been very important and changed the way we think about the universe, but they have also produced some of the most beautiful images of space. The difference between the quality of the images 35 years ago and now shows a remarkable transformation thanks to the evolution of space imaging and modern technology overall. The images are far sharper, deeper and more colour-accurate than what was captured in 1990.

From the blurry first “first light” image to the breathtaking “Pillars of Creation” or the ultra-detailed galaxy clusters from recent years some of the most impactful pictures have been taken over this journey of 35 years and the Hubble will continue to amaze since it is expected to not re-enter the Earth atmosphere until at least the mid-2030s. By then a new generation of telescopes inspired by Hubble Space Telescope will have been launched into space to continue its legacy. Considering that, let us toast to this celebration of the 35th anniversary of the one and only Hubble Space Telescope!




Comparison of the Pillars of Creation in 1995 (left) and 2014 (right) for its 25th anniversary.

S
t: Language? Not right now!
You might’ve noticed that your group chats — whether with classmates, project teams, or so-called “friends from back in the day” — aren’t exactly textbook examples of proper grammar. Gems like “They partied yesterday” or “Me roommate says me gotta do the dishes” are becoming the norm. Language decay? Or just evolution?
WRITTEN BY LOEK ZOONTJES

These days, kids aren’t being read to. They’re handed English-speaking tablets from a young age. And among teenagers, watching a show or playing a game in Dutch is basically grounds for public shaming. Columnist Elma Drayer warns that poor language skills are one of the biggest problems in Dutch education. “It’s great they want to read books in the original language,” she says, “but not if it comes at the cost of Dutch.”
In the Netherlands, level 1F is the basic reading level, and 2F is needed to function independently in society or succeed in higher education. According to the Education Inspectorate, two-thirds of vocational students in their second year are still below 1F. That means they struggle to understand basic sentences like: “The store is closed on Mondays. On Tuesday we’re open from 9:00 to 6:00,” or “I’d like to make an appointment with the doctor. I’ve had a cold for three days.”
On the flip side, there’s TikTok (yes, we’re really going there)where creative (read: incorrect) language is practically a badge of honor. “Me go shopping,” says one popular creator with 140,000 followers. No one corrects her, because it sounds cool. And if it keeps someone’s attention for a few seconds longer, who cares about an -ed or a missing -s?
“Spelling mistakes are cool. You’re only cringe if you speak ‘proper.’” `~ TikTok comment
Language always changes
Linguist and professor Marc van Oostendorp gets it: parents often grumble about the decay of Dutch. But it’s nothing new. As far back as history goes, people have complained about how language changes. The same happened when Latin split into French and Italian, living languages evolve. It makes sense that the older generation sees this as language decay. Language is one of the first things
you master in school. They put in blood, sweat, and tears, without digital tools. When suddenly those rules don’t seem to matter anymore, it feels like being left out.
“Hun have feelings too”
Linguist Jan Stroop (almost 80) tries to convince people that language decay doesn’t exist. “’Them people,’ ‘me mother,’ or ‘bigger as’ are all perfectly normal grammar phenomena,” he says. Another take: “If it’s truly ungrammatical, no native Dutch speaker would actually say it.”
“You know what I mean!” teens will often argue. Do speakers decide what’s correct? Is clarity all that matters? Should we stop nitpicking and just accept that language constantly changes — and that what’s ‘wrong’ today may be ‘right’ tomorrow? But imagine applying that logic to traffic rules. Chaos, right? Language is similar: when everyone follows the rules, communication runs smoothly. But then again, can you take a job applicant seriously when they show up for their interview with one hand out the window, a phone in the other, and parked across two spaces?
Is Dutch dead? No. But it might be in a light coma. Change has long been written in the stars for the Dutch language. But if we want the next generation to hold a proper conversation or write a decent motivation letter, we’ll need to keep trying to bring it back to life. We must acknowledge that language changes, but also that a strong foundation in grammar, spelling, and structure is still priceless.
Who knows, maybe soon they’ll write: “I learned how to express myself better.”
Or at the very least: “Them are doing good.”, and honestly? That’s almost right.

You might’ve heard the name already: Koen Janssen is the new president of the TU/e, he is the new head of the Executive Board of the university. He took over our previous president Rober-Jan Smits who was president since 2019. But what does it actually mean to be a president of a university ? What does a university president do, and what can be expected from Koen Janssen in this role?
WRITTEN BY LUCAS HASELHOFF
What does a university president actually do?
Let’s first start with what the tasks of the president are, and what the difference is between the Executive Board and Education and Student Affairs (ESA). The president of the university, which is officially called the Chair of the Executive Board, is kind of like the CEO of TU/e. The Executive Board doesn’t decide what time your lecture starts or whether you passed your calculus exam, they’re responsible for the bigger picture: strategy, partnerships, finances, and making sure the university is ready for the future. While the rector magnificus, which is Silvia Lenaerts, focuses more on education and research, the president is the one that seeks connection with industry, government, and society.
At TU/e, that’s a big deal. With the Beethoven project, the Brainport region’s growth, and the restructuring of departments (which both can be read in the openME of April), the president plays a key role in making sure everything stays on track, and that students, staff, and partners are all moving in the same direction.
ESA is the team that makes sure your education actually happens. They handle everything from enrolment to graduation, and from course planning to student support. If the Executive Board is the compass, ESA is the engine room, keeping everything running smoothly, day in and day out.

Meet Koen Janssen
Having that out of the way, let’s take a look at the new captain of the ship: Koen Janssen. Koen Janssen officially took over as president in March 2025. He studied Chemistry at the KU in Leuven with a specialisation in polymer chemistry. Janssen spent over 30 years in the chemical industry, mostly at DSM (a former Dutch chemical company), where he worked on everything from polymer research to global sustainability strategies. Most recently, he was managing director at the Brightlands Materials Center powered by TNO, a research institute focused on circular materials and innovation.
So why TU/e? For Janssen, it’s a return to the core: “Everything starts with education and research,” he says in an interview for the TU/e. He sees the university as a place where real change begins, and he wants to be part of shaping that change.
Koen Janssen describes himself as a connecting leader. He’s all about collaboration, listening, and building a shared vision. He’s not the kind of leader who walks in with a fixed plan. Instead, he wants to work with students, staff, and partners to define a common goal and move toward it together. Janssen’s vision for TU/e is built around three key pillars:
Sustainability
With decades of experience in the chemical industry and a strong background in circular plastics and green innovation, he understands the urgency of transitioning to a more sustainable future. At TU/e, this means more than just installing solar panels or reducing waste. It’s about embedding sustainability into research, education, and campus operations. Janssen wants TU/e to be a leader in developing technologies that not only push boundaries but also protect the planet. Whether it’s through sustainable materials, energy systems, or smarter design, he sees the university as a key player in solving global challenges.
Janssen believes that a university should be a place where everyone feels safe, respected, and heard, no exceptions. That’s why social safety and inclusive participation are at the top of his agenda. He’s committed to creating an environment where students and staff from all backgrounds can thrive, speak up, and contribute without fear of exclusion or discrimination. This includes supporting initiatives like social safety training, mental health services, and inclusive leadership programs. For Janssen, it’s simple: if people don’t feel safe or valued, they can’t do their best work, and that holds back the entire university.
TU/e is growing fast, new students, new buildings, new partnerships. But with growth comes complexity. Janssen’s goal is to make sure that all parts of the university are aligned and working toward the same vision. This is what he means by strategic alignment. Whether it’s education, research, operations, or external partnerships, he wants to ensure that everyone is pulling in the same direction. That means clearer communication, better collaboration between departments, and a shared understanding of TU/e’s long-term goals. In a time of big changes, like the shift to four departments and the demands of the Beethoven project, this kind of alignment is more important than ever.
And yes, he knows that not every decision will be popular. But as he puts it: “Even if we make decisions that not everyone agrees with, you have to be able to justify them, especially in a scientific environment.”
You might not see the president walking around Atlas every day, but his decisions affect your experience more than you think. From how the university grows, to how it partners with companies, to how it supports students. The president helps shape the environment you study in. With Janssen’s focus on sustainability, inclusivity, and collaboration, there’s a good chance we’ll see more initiatives that support student wellbeing, interdisciplinary learning, and real-world impact.


W
RITTEN B Y JENS VAN BAVE L
How does a GPS work? And why do you need to be connected to multiple satellites to know your location? In this article the mathematics behind the GPS system will be described. The mathematics is called trilateration and works with the distance the GPS is from a satellite.
The communication between a satellite and a GPS receiver is based on trilateration, a measurement method using known distances between objects. For trilateration, it is assumed that the specific positions of located objects are known, and the distance between the known object and the unlocated object is known. In the case of the GPS the satellites are the located objects, and the GPS receiver is the unlocated object. This means the position of a satellite is known, while the position of the GPS receiver is unknown. However, the distance between them is known. This creates a sphere around a satellite of the potential position of the GPS receiver. This sphere can be described by
GPS receiver, since the receiver could be on the entire sphere. When a second satellite is used and a sphere is drawn around it, the intersection between the two spheres of the satellites will create a circle1. This is visualized in figure 1.

Figure 1: The intersection of 2 spheres (red and green) creates a circle (dotted line), image created with Geogebra 3D.
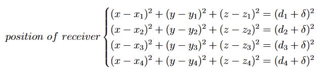
where the xi, yi, and zi are the coordinates of the i-th satellite in a Cartesian basis and di is the distance of the GPS receiver to the i-th satellite. The x, y, and z-coordinates represent the position of the receiver, which is in this case the GPS itself.[1] Using only one satellite is not sufficient to determine the position of the
Two satellites are still not enough to determine the exact position. When using a third satellitev, the satellites create 3 spheres which all intersect, thus creating 3 circles of the intersections between the spheres. When the intersection points of the circles are taken, there are 2 points in which all the circles intersect. One of these points is the point at which the receiver is standing. The other point is most of the time not a realistic point since it is most of the time not on the surface of the earth. But either somewhere inside the earth or floating somewhere in the sky. [1] 101 Computing.net. Cell Phone Trilateration Algorithm. Mar. 2019. url: https: //www.101computing.net/cell-phone-trilateration-algorithm/. [2] Jan Van Sickle and John A. The Receiver Clock Bias, dT. url: https://www.e-education.psu.edu/geog862/node/1716. 1 The intersection can also create a point in a special case, when 2 satellites are on a direct line through the point in which the GPS receiver. However, the

An image of 3 spheres intersecting can be seen below.

Figure 2: The intersection of 3 spheres (red, green, and blue) creates 2 circles (the 2 dotted line). These 2 circles intersect in 2 points, image created with Geogebra 3D.
Using three satellites and thus three spheres creates a different

system of the following three equations
in which the x, y, and z-coordinates represent the position of the receiver. These three variables are also the only unknowns in this system of equations. This means the number of equations is equal to the number of variables, meaning the system is solvable and will give two points.
Trilateration in a GPS GPS receivers normally have a drift of 0.1 nanoseconds
in 1 second.[2] This means that the time of the satellites and the GPS are not the necessarily the same. To counter the effects of a not entirely correct time system, a fourth satellite is used and an extra variable, ѓ, is added to the system of equations. Due to this delta, the described paths of the satellites are described to find the moment which describes the position of the GPS receiver. Changing the previously mentioned system of equations to

and increasing the number of equations and variables both with one. With these four equations and a connection to four satellites of which the location is known, the exact location of the GPS can be determined.
To conclude the location of a satellite can be determined if the it is connected to four different satellites, to not only know it exact location in Cartesian coordinates, but also to account for the time drift which could occur



Are you planning to stay in Eindhoven this summer or do you have to come back early to take some resits? No worries, this guide will give you some suggestions of fun things to do in Eindhoven this summer!
WRITTEN BY CARLIJN ROGGEN
Cool activities to do
The summer is of with a good start if you come beer biking with Simon Stevin. It is the perfect way to release stress from the exams. The activity takes place on the last Friday of the school year.
Are you bored with biking and want to discover Eindhoven in a different way, then supping (or paddleboarding) is the ideal activity. In the beautiful Genepper Parken you can find the Genepper Watermolen where you can rent a supboard. The almost 8 km long route takes you over the Dommel through the south of Eindhoven, all the way to the High Tech Campus.
There are also a lot of festivals happening in the Eindhoven area. Close to the TU/e campus you’ll find the IJzeren Man, where festivals are organized every year. For example Hidden Garden festival. Another popular location for festivals is Aquabest, where Lakedance will be taking place this summer. If you’re not into partying, Foodstock is the festival for you, where you can enjoy lots of good food, from cuisines all over the world.


The summer is also for relaxing, and going to the movies might be the ideal way to do that. For the blockbusters (and the best air conditioning) Pathé and VUE in downtown Eindhoven are the best cinemas. If you’re more into indie movies or want to see a film that is not in English or Dutch, Lab1 and Natlab are nice cinemas to go to. And on a perfect summer evening, when it is not to warm and not to cold, Natlab has a outdoor cinema. Here you can watch a movie under the night sky in the garden of the cinema.

But there are also some other fun places to eat and enjoy the sun. Like the Proeftuin at Philips Fruittuin, in the north of Eindhoven, where you can eat traditional Dutch pancakes. And for the coffee lovers, Koffiehuisje is a cozy café with a great terrace. It is located between the Philips Stadium and Strijp S.




The perfect way to spend a summer afternoon in Eindhoven is on a terrace, with some good food and a nice cold beer or glass of wine. Some popular favourites are located on the Markt, Kleine Berg or Wilhelmina plein. A little outside of the city centre you can find Café 100 Watt from the Stadsbrouwerij, a ‘gezellig’ terrace where you can drink localy brewed beers.

And lastly, some recommendations for the one summer food we cannot forget to mention... ice cream! In Eindhoven there are multiple places to get ice cream, but KEES at Downtown Gourmet Market is a nice spot in the city centre. For ice cream in some funky flavours Intelligentia ICE on Strijp-S is the place to be…









What began as a collaboration between four Swedish musicians quickly grew into one of the most beloved and successful pop acts of all time. ABBA marked a shift in pop music that left a lasting mark on the industry, with the catchy melodies and sparkling outfits.
Even if you’ve only heard “Dancing Queen” once, it’s still worthwhile to learn about ABBA’s history. Their influence on music is undeniable, but it’s also a great reminder that something truly amazing can come from the most unexpected places. Pop music wasn’t particularly well-known in Sweden at the time, but ABBA significantly changed that.
The Beginning
ABBA’s story starts in early 1970s Stockholm, where four talented musicians were already making names for themselves. Agnetha Fältskog and Anni-Frid “Frida” Lyngstad were both successful solo singers, while Björn Ulvaeus and Benny Andersson had found popularity in Swedish bands and had begun writing songs together. It wasn’t long before their paths crossed, and when they did, music history was written.
The four first performed together under the name “Festfolk” in 1970, a playful nod to both “party people” and “engaged couples” in Swedish, this wasn’t a great success at first. In 1972, they released “People Need Love” as “Björn & Benny, Agnetha & Anni-Frid,” which became a modest hit in Sweden. The following year, their song “Ring, Ring” came close to being Sweden’s pick for the Eurovision Song Contest, they were not chosen, but it was a clear sign that the group was on to something special...
By 1973, their manager Stig Anderson suggested to form a group. The group officially adopted the name ABBA, an acronym formed from the first letters of their names. Little did they know that the name ABBA would go on to be known around the world for decades to come.
ABBA’s big breakthrough came in 1974 at the Eurovision Song Contest in Brighton, England. Their performance of “Waterloo” instantly stood out thanks to its catchy melody and eye-catching outfits. From the start, they led the voting and ended up winning by a wide margin, bringing Sweden its first-ever Eurovision victory. This win launched them onto the global stage. “Waterloo” became a huge hit across Europe and even entered the the Top 10 in the United States. Eurovision, according to Björn Ulvaeus, was the turning point in history.. He described it as the turning point that took ABBA beyond the Scandinavian music scene and becoming known in the rest of the world.

The golden Era: Hit Chart
Following their victory in Eurovision, ABBA entered a golden age and became well-known throughout the world. Their 1975 selftitled album ABBA delivered hits like “Mamma Mia” and “S.O.S.,” songs that climbed the charts across Europe and Australia and helped the band gain attention in North America. Around this time, they also began embracing music videos, this was a relative new concept in that time. This gave the fans a better look at the group’s charm and visual style, and played a big role in expanding their international fan base.
In 1976, they released the album Arrival, this included the song “Dancing Queen” which is arguably their most iconic and popular song. It shot to number one in the U.S., and remains one of the most well-known and popular pop songs of all time. The album also featured major hits like “Money, Money, Money” and “Knowing Me, Knowing You”.
By 1978, ABBA was starting to push their sound in new directions. With The Album, they experimented with bigger ideas, including a short concept piece called “The Girl with the Golden Hair”, this also shows their theatrical side. One of the standout tracks was “Take a Chance on Me,” which also became a massive hit around the world.

By the end of the 1970s, the popularity of ABBA was sky high, they had become a global phenomenon. They were filling stadiums, topping charts, and selling records by the millions. Their bold, glittery stage outfits became part of their signature look and even left a mark on fashion world at that time. They also put Sweden on the map as a serious player in the world of pop.
ABBA’s music was closely aligned with their personal lives. The group was made up of two real-life couples: Agnetha Fältskog and Björn Ulvaeus, and Benny Andersson and Anni-Frid Lyngstad. Both couples got married during the band’s early days, Ulvaeus and Fältskog in 1971, and Andersson and Lyngstad a few years later in 1978.
But the hectic world of fame and constant touring started to have a huge impact on the two couples. By the late 1970s, both marriages began to fall apart. Those personal struggles found their way into ABBA’s later songs, the songs became a reflexing of their personal issues and struggles. Songs like “The Winner Takes It All” and “One of Us” revealed the true feelings and heartache that lay beneath the “polished image” that everyone was familiar with.

The band remained professional and continued to create amazing music despite all of the personal ups and downs. The reason ABBA’s music still connects with so many people is because their songs are real and shows honesty and personal feelings.
However in December 1982, ABBA had quietly gone their separate ways, a breakup. Benny Andersson and Björn Ulvaeus shifted their attention to writing music for theatre and film. Agnetha Fältskog and Anni-Frid Lyngstad each launched solo careers, releasing albums that did well across Europe. Despite it immense popularity at that time the singers of ABBA were not planning on reuniting. In 2000, an American-British consortium offered the group $1 billion to reunite for 100 shows, but they declined the offer.
After decades of speculation, the impossible finally happened. In 2021, ABBA stunned the world by announcing their return with Voyage, their first album of new material in forty years. With ten fresh tracks, ABBA quickly topped charts around the world again and even earned them their very first Grammy nominations. New songs like “I Still Have Faith in You” and “Don’t Shut Me Down” showed that ABBA still had that magic touch on the world of music.

What’s made ABBA so special over the years isn’t just the unforgettable songs, it lies also in the unique magic that each member brought to the group. Agnetha Fältskog’s clear, emotional voice added a soft vulnerability to their music. Björn Ulvaeus, who handled the lyrics and rhythm guitar, gave the songs feeling and a meaning. Benny Andersson was the musical heart of the band. And Anni-Frid “Frida” Lyngstad brought warmth with her soulful voice.
Together, they had a rare kind of chemistry, that turned the group into a Swedish hit-making machine.
But ABBA didn’t just write hits, they wrote music to dance to, cry to, and remember and that’s what makes them timeless. They truly are pop legends, and their songs will be around for generations to come.









22%


Feedback:




Mechanics (4RA00)
5 ECTS 5 ECTS

6.7
Dynamics and Control of and Control of Mechanical Systems Mechanical Systems (4DB00)
5 ECTS 5 ECTS
8.4
11%
92.4 (out of 140)
*1*2*3

• The Marc Mentat lectures were liked by the students.
• The students comment that the explanation felt complex.
• The students mention that the level of the guided self-study exercises were on a higher level than the exam.


89.6 (out of 140)
Feedback:


• The students liked the clear, comprehensive and visual lectures with solved examples and demonstrations.
• The well-designed challenge and deliverables that helped apply learned knowledge were liked by the students.
Improvements by the teacher (Monica Zakhari):
• The course is currently working on digitalizing the lecture notes and quizzes and so the quizzes will not be a prerequisite to open the study material for the week after.













*1 = % of student who


Improvements by the teacher (Matt James):








• However, the students do comments that the deliverables were too time-consuming, leaving little time for other practice exercises.
• The Canvas page will be improved. Matt James mentions that he thinks that the module tab is a mess.
• Maybe add simulations at the end of the deliverable so students see visually how closed loop works (with their specific designed C(s)).
• Since the deliverable is quite some work, the weighting will be changed. The exam will account for 60% of the final grade (instead of 70%) and the challenge will account for 40% (instead of 30%).
• The exam’s difficulty will be increased to better distinguish exceptional students from average ones.to open the study material for the week after.


*2 = Average grade for the course given by students

*3 = Average spent time on the course in hours



















Note that all the response rates are insu lled in the course survey. In case the response is too low, the representativeness of the results should be questioned. So please ll in these Course Surveys! This is a easy way of improving the quality of education.




WRITTEN BY LUCAS HASELHOFF
19%
Advanced computational Advanced continuum mechanics (4MM10)
5 ECTS 5 ECTS
7.1
86.8 (out of 140) 14%
Feedback:
• The students like the structure of the course, they mention it fits the course well.
• There was little time to prepare for the exam according to the students.
• The students comment that the workload of the course is quite high.
Improvements by the teacher (Varvara Kouznetsova):
• The exam will be moved from week 9 to week 10. This is because of the annual Momentum event, one of the teaching sessions had to be scheduled in week 8. This gave the students only limited time to complete all the exercises and the project and prepare for the exam.
Best Teacher Score Bachelor Best Score

University Lecturer Matt James Dynamics and Control of Mechanical Systems (4DB00)
9.6


19%
41%
Feedback:
*New course since 2024-2025
*New course since 2024-2025
5 ECTS 5 ECTS
8.2
92.4 (out of 140)
89.8 (out of 140)
• The students mention that the professor (Ömür Arslan) and TAs provided enthusiasm, great support and feedback.
• The hands-on approach made the course engaging and practical according to the students.
• The students would have liked to see the assignments reduced or merged to allow more time for learning foundational concepts.
Improvements by the teacher (Ömür Arslan):
• He agrees that the number of assignments and their schedule should be adjusted in the future editions of the course.
• He is working on developing additional lecture materials, such as lecture notes with extra coding examples. Which is part of his long-term goal to prepare a comprehensive new book on robot motion planning and control, which will serve as the main textbook for this course.




Best Teacher Score Master Best Score Master

Full professor Jaap den Toonder of Microfabrication methods (4UM00)


9.6




















The Wervingsdagen has a long-standing tradition of connecting students and companies at TU/e. From the very beginning, its mission has been clear: lowering the barrier between the academic world and the professional field. In the early 1980s, students rarely saw career conversations as part of their study experience. Talking to employers wasn’t common, let alone attending structured career events . That changed in 1982, when Hitjo Homan, chairman of study association Japie, returned from a student meeting elsewhere in the Netherlands with an idea: organizing a ‘wervingsdag’ in Eindhoven.
Together with study associations Simon Stevin, Thor, and Van der Waals, the first Wervingsdagen was born. The formula was simple but effective: presentations in the morning and one-onone or group conversations in the afternoon. The turnout was so large it even surprised the organizers. Over the following years, the event evolved rapidly. By 1986, presentations and interviews were split into two separate events, and in 1988, stands were added to the Auditorium, creating what would become the Career Expo. More study associations joined, and by 1990, the initiative had become so successful that the Stichting Wervingsdagen was officially founded to provide structure and continuity.
While the events brought companies and students together, there was still something missing: guidance on how to actually
apply for a job. That’s why in 1990, the ‘Sollicitatiecyclus’ was introduced. Lectures focused on job application skills. This quickly became a popular addition, and by 1997, workshops were added in collaboration with the Loopbaan Advies Centrum, an early version of what is now the TU/e Career Academy. Over time, these workshops grew into what is now known as the Skill Sessions, offering students valuable training in both career and personal development.



As the nineties drew to a close, the Wervingsdagen became more professional. Themes, logos, and improved promotion helped shape the recognizable identity the event still has today. Yet despite its growth, the organization faced a recurring challenge: students weren’t always proactive about career preparation. To tackle this, the structure of the events was

reshaped in the 2000s. The multiple presentation days were merged into a single ‘Bedrijvendag’ (now the Career Expo), keynote speakers opened the event, and creative stunts and giveaways drew attention. In 2007, the first ‘Activists’ helped with logistics and organized a pre-event stunt, in this case, a paintball session on campus. This new strategy proved successful, with student interest on the rise again.
Throughout the 2010s, the Wervingsdagen kept innovating. The Interviewing Days introduced lunches and dinners to make the setting more informal. The Skill Sessions expanded beyond just CV writing and interviews, adding workshops on communication, leadership, and other soft skills. Business cases were briefly introduced in 2010 and reintroduced in 2018. Meanwhile, as TU/e launched the Bachelor College and emphasized career orientation as part of education, the Wervingsdagen became closely involved in university-wide initiatives like MyFuture. Even with the Expo split over two days again in 2015 due to the renovation of Atlas, the event continued to grow.


In 2020, the Wervingsdagen suddenly faced an entirely different challenge. Just as the Career Expo was about to begin, it became the first Dutch event to be cancelled due to the COVID-19 pandemic. In the months and years that followed, all events were organized digitally, showing the flexibility and resilience of the team. Despite the sudden shift, the organization managed to keep its core goal intact: connecting students with the working world.
Today, the Wervingsdagen continues to evolve while staying true to its mission. With a dedicated team of students, strong collaborations with study associations, and a constantly changing but engaged audience, it remains one of the most important career events at TU/e. What started as one idea in 1982 has become a yearly tradition – helping students take the first step towards their future.






Schlieren photography is a fascinating optical technique that allows us to visualize changes in air density, it effectively lets us “see” the invisible. Named after the German word Schliere, meaning “streaks,” this method captures disturbances in transparent media, such as the flow of air, heat, or shockwaves. Originally developed in the 19th century for studying optical imperfections in glass, it’s now used in fluid dynamics, aerodynamics, and combustion research.
At its core, Schlieren photography works by detecting slight variations in the refractive index of air. When light passes through air of differing densities. For example, heated air rising from a flame or compressed air around a speeding bullet. These tiny deflections are normally unnoticeable to the naked eye, but Schlieren systems make them visible by using a highly sensitive setup involving collimated (parallel) light, mirrors or lenses, and a knife-edge or filter.



A bright light source is directed through a lens or mirror system to produce a uniform beam. As this light passes through the air around an object (like a jet nozzle or a heat source), any density gradients in the air slightly bend the light’s path. At the focal point, a knife-edge or colored filter blocks or alters the refracted light, while allowing the unbent light to pass through. The result is a high-contrast image where airflow, shockwaves, or thermal plumes appear as ghostly wisps or stark lines.
One of the most famous uses of Schlieren photography is in aerospace research. It has been used to capture the shockwaves around supersonic aircraft and bullet, revealing cone-shaped wavefronts that look like ripples frozen in time. Engineers also use it to study airflow over wings, engine exhaust patterns, and even the breath of astronauts during testing.
What makes Schlieren photography so compelling is its blend of science and visual art. It reveals the hidden movements of air with stunning clarity, turning the invisible into something almost alive. For mechanical engineers, it offers not just data, but insight. It is a literal way to see how heat, pressure, and flow interact in complex systems.
In the age of simulation and digital sensors, Schlieren reminds us that sometimes, the most powerful tools are the ones that simply let us see.

In a diverse, multicultural environment such as the community of students present at the TU/e, it is difficult to find a common ground between values and interests, the university facing numerous challenges in creating a safe space to accommodate everybody. Fortunately, there are certain universal values which create a bond between people and make us human, such as love, kindness, empathy, happiness and, of course, food. Let us dive deeper into what food means for society and, more importantly, for the Mechanical Engineering students.
Significance of food
It is difficult to ignore the importance of water in our world. The reason why Earth is such a special planet which became our home is mainly due to the fact that it has a large amount of liquid water, a key in creating and perpetuating life. However, another aspect of life which might not be as essential, yet has fundamentally influenced the human species, is the presence of food. While for all animals food represents just a substance consumed in order to obtain nutritional support, for humans it has transformed into something much more complex over the span of our species’ evolution.
Starting with the control of fire, around 1 million years ago, our lineage (the Homo genus) has uniquely adapted to a cooked food diet made up of mostly plants and some meat, having shorter guts alongside distinct changes in dentition, which reflect the new diet. Next, newer techniques of cooking were developed, such as stewing, boiling and braising, enabling humans to experiment with more aromas and tastes. Thus, slowly throughout the years, as the human society became more advanced and, as a
consequence, safety became a constant, food transformed from something consumed simply for survival reasons into a cultural impact essential for bringing identity and satisfaction to a community of people.
As the process of cooking developed at different rates and in different manners throughout the world, certain stereotypes have appeared, which can be classified in different categories. Firstly, there are numerous sayings and beliefs around which foods play an essential role in your health. For example, eating an apple a day might actually keep the doctor away and eating fish weekly did improve the sleep and intelligence of children when compared to those who rarely ever consume any fish. Thus, it might be a good idea to eat some salmon or tuna when the exam weeks are approaching. However, there are also false myths related to food, such as the idea that eggs are bad for your health due to the high level of cholesterol that they contain, although research has shown that the cholesterol from eggs does not have a significant effect on blood cholesterol.

Secondly, there are numerous stereotypes and prejudice related to foreign food. More often than not when people go on vacation to a different country, they find no interest in the local cuisine and try to find food that is similar, if not the same, as the cuisine they are so used to at home. This can be caused either by a sense of disgust or discomfort related to the local food (for example various small insects, chicken feet or even crab meat) or by an unfortunate lack of interest in trying anything new. While you can not do much in the case of the former, it is truly a shame to visit a different culture and potentially avoid something delicious purely because it is different.

For many of us, The Netherlands is exactly that new culture in which we will find ourselves for the next years. For this reason, many international students may want to open up to local traditions and experience as much as they can from what this country has to offer. Of course, some things are easier said than done. Besides the rather interesting language which poses a challenge to most internationals, another big step to overcome is the local food. Or at least this is what many people claim: that Dutch food is very lackluster when compared to other cuisines, being bland and lacking in diversity.
In order to find out how true this statement is, I have sent in a poll in one of the Mechanical Engineering group chats to see what students really think. Unfortunately for the Dutch pride, it seems like this time the word of mouth was right: 66% of international students do not find Dutch food interesting, blaming its lack of flavour and ingredients. While some claim that there are certain good dishes and it is fantastic when hungover, overall local, traditional food from their own country is preferred. Some have even stated that there are similar dishes in their own countries (for example, it seems like there is a very similar dish to stamppot present in Lebanon cuisine), which taste much better due to a different cooking process
and seasoning. Funny enough, one respondent claims to have tried eating in the “Dutch way”, having a diet with sandwiches, soups and sprinkle butter toast among other things, and when they went back home and visited their doctor, they were put on supplements and given vitamin shots.
It is important to note that many of the respondents prefer traditional food from their country also due to a nostalgic bias, such that they associate the food with their childhood. Thus, these results may simply state that everybody has a natural tendency to enjoy more the food with which they grew up with. Therefore, it might be a good idea to also check the responses from people who grew up in the Netherlands. Unfortunately once again for the Dutch pride, while 69% of respondents claim to like their own local food, with some very passionate comments about dishes like kroket, andijviestamppot, worstenbroodjes and, of course, kapsalon (although one Dutch person named it a foreign food, who knows if they are right or wrong), an impressive 76% prefer foreign food, claiming that local Dutch food is not varied enough, while foreign food is much tastier. Thus, Italian food was named by far the favourite foreign cuisine, but Mexican, Asian and Middle Eastern dishes were also much appreciated, including honorary mentions for Spanish, French and even British cuisines. A final remark is that one Dutch person has mentioned “Luca’s juicy plums” as their favourite foreign food, yet I have never offered anyone any plums. Thus, the results of this survey may be taken with a grain of salt as not all results seem fully reliable.

Food has been essential in the development of our species, being a key factor in our health, wellbeing and cultural identity. It is something that has been continuously developed over time, with new techniques like molecular gastronomy appearing even today. In this diverse and expanding world of tastes, it is important to keep an open mind and experience as many aromas as you can. You never know whether you will like them or not until you try them! And even if you don’t like it in the end, there will always be someone who will love it, and that is just fine.

LADIES AND GENTLEMEN, READING THIS OPENME, WEAR SUNSCREEN.
WRITTEN BY THIJS HAARTMANS
In November 2024, I traded the cold and wet weather of the Netherlands for the beautiful sunny Auckland, New Zealand. Although it is quite the trip to get there, clocking in at 25 travel hours, this would be the start of the greatest adventure I’ve ever taken on. I stayed in Auckland for approximately four months to do my internship at the Geothermal Institute of the University of Auckland, after which I went on a solo trip to the gorgeous and sparsely inhabited South Island of New Zealand.
On paper, my reason for going to New Zealand is to do my Master’s internship at the Geothermal Institute. New Zealand is located within the globally known ‘Ring of Fire’, which is a zone around the Pacific Ocean known for its high geological activity, caused by the movement and collision of tectonic plates below. Although it is mostly known for earthquakes, landslides, and other problems, this activity also yields some merit. This activity heats steam at some locations, which can get as hot as 190 °C (I’ll explain later how exactly). This steam can be used for renewable green power production, which is very welcome in the currently warming global environment.
In geothermically active areas, hot fluids (water mostly) rise up from deep within the earth, and react with the rock interface while rising. This reaction produces clay minerals which are later deposited higher up in the geothermal stream, forming a aquifer cap over the convective flow. As this clay is not very permeable, the stream is redirected outward and back down, heating it up more and more. This plume recirculates and becomes hotter and hotter, to a point where exploitation becomes feasible.

Conceptual model of a geothermal system, adapted from Pellegrin et al. (1996)

To explain it as concise as possible, this institute researches numerical early resource assessment of geothermal fields for geothermal power production. It sounds like a lot, but it boils down to simulating a vast amount of possible field configurations, containing different upflow regions and reservoir dimensions, and determining statistically which field dimensions are the most probable for the given data. This information is then used by companies that develop, exploit, and operate these feasible fields. These model configurations use one clay cap approximation, and then generate thousands of possible underlying reservoirs.
My job is to extend this process, making the clay cap also of a variable geometry, allowing more possibilities to be assessed. I made a tool in Python that uses two manual approximations of the clay cap, one conservative and one optimistic, and then interpolates linearly to generate a preferred amount of clay caps in between these boundary objects. I started my work on ‘small’ training models, which were synthetically made to purely teach model calibration to students. After making the tool robust on this, I moved on to a real-world field that is currently
in development; Kotamobagu in Indonesia. Scaling up the model to incorporate approximately 100.000 modelling blocks drastically increased the model run-time, but with some head scratching and a lot of bug fixing, it started working very well and the resulting caps seemed viable and realistic.
After developing this tool we validated it in their High Performance Computer (HPC) with their in-house developed Waiwera solver. We tried three of my generated caps with a thousand varieties underneath each, and the results were interesting, as although previously the clay cap was kind of ignored during model calibration, it showed that these different geometries made quite a large impact on where exploitation may become feasible. While writing this article for the OpenME, my supervisor in New Zealand reached out to me to let me know that on the 47th New Zealand Geothermal Workshop, a conference discussing both the newest industry and research developments, my findings will be presented and a conference paper is currently being drafted!

Apart from doing an internship in Auckland, being on the other side of the world was such an amazing experience. I have grown quite accustomed to being surrounded by friends in Eindhoven or family back at my parents’ home, so the moment I got to my accommodation, it was such a weird experience. My supervisor is Dutch and he offered a place to stay so that was very nice, but apart from him, my closest friend would be 2 hours away in another city in New Zealand and public transport would be horrible, so I’d have to go out, make friends and build a bit of a life out there in Auckland. Calling home also wasn’t really much of an option as the time zones are 12 hours apart, so only in the morning or at night this was a possibility. Although this might sound like a bit of a bummer, it definitely was not. Having a clear agenda, no expectations, beautiful summer weather, and such an amazing country to explore made me very excited for the months to come.
This feeling of being there without much Dutch interaction wouldn’t last long, as on my first day at my internship, I met my new colleagues, including 2 interns from the Netherlands, or more specifically, from the TU/e: Kelvin and Milan! We had an office with the three of us, so during my internship I’ve mostly spent time with them.
During the weekends, Katty, who was also doing her internship in New Zealand, would often come up to Auckland or we’d pick her up at her place to go on hikes or different adventures throughout the North Island. I also experienced a Christmas summer festival, Christmas barbecue, the famous New Zealand Crate Day (google it and be amazed), and we were the first to be in 2025 as New Year’s Eve passed first there!

After finishing my internship in March 2025, I had four more weeks left in New Zealand during which I would take my minivan, in which I had built a little mattress to sleep and live pretty much, to travel down to the South Island. I had heard for months how incredible this would be and I must say they were absolutely right. The North Island is beautiful, don’t get me wrong, but the South is just something else. There are mountains, beaches, crazy waterfalls, glaciers, the bluest lakes ever, and much more. Being solo is a scary experience at first, but you meet so many lovely travelling people that loneliness does not become much of a problem at all! I can of course not show every picture I’ve taken during my trip (although I’d wish!), but I have included my favorite one. I took it on the waterfront edge of Lake Pukaki, with a beautiful view of Mount Cook, the highest peak of New Zealand.


If I had to make the decision again a year ago of whether to go and do this, I would have done it again every single time. To anyone reading this who still has not made up their mind, just do it. Go somewhere away from your current social bubble, go somewhere where you don’t have to check the Appie Bonus Box weekly and where you don’t find your assignments on Canvas, go somewhere you have never gone before and maybe won’t even go back ever again and just trust me that it will all work out beautifully! That’d be my advice. …and don’t forget about the sunscreen!









Bam, bam, bam. The light flashes on and off, in rhythm. For less than a second, the room ignites, revealing the figures beside you. The light isn’t bright enough to show their faces. In a way, it feels like you’re alone in the room. Bam, bam, bam, bam. It is you and the groove, as it pulls and pushes, as it swells and grows, as it shrinks to nothing. Nothing but you and the unrecognizable faces besides you, you and the music.






The techno genre likely started in Detroit in the early 1980s and stemmed from electronic dance music as a mix of German synth-pop, like Kraftwerk, and American house. It rapidly spread across the globe, with cities like Berlin becoming vast techno capitals. As it spread, subgenres started to form. Subgenres include acid techno, hardcore techno, ambient techno, and so on. Industrial techno is one of those, emerging in the late 1980s to early 1990s, blending the repetitive rhythms of techno with the bleak, noisy aesthetics of early industrial music. It is known for its harsh, mechanical soundscapes, where the melody does not get priority, but the textures do. Industrial techno is purely about the flow, the groove, and the textures. It goes beyond a melody, which is unusual and therefore hard to get used to. It might take a while before you like it, before you see the beauty in the noise, before you feel the textures you hear. But the music will make you move, whether you like it or not.

than a 15-second loop. I made tons of those loops, some of which were very nice, and some would go straight to the trash bin.












Techno taught me to break the rules, to listen instead of think. I have been making music since I was 12, probably even before that. For at least five years, I was not able to finish music longer





The reason I was not able to make songs, start a larger project, or finish one was that I was thinking too much. I was thinking about music theory, how to make chords, chord progression, scales, melodies, and counter melodies. About EQ-ing, making room for the low end, and preventing distortion. About mixing and mastering, adjusting levels so it sounds right, making it sound good on all sound systems, and preventing phasing issues with stereo frequencies. It all stopped when I started listening to what I was making, instead of looking at meters and gauges. In the end, the music needs to sound good, and as long as it does, it doesn’t matter if the song is in scale, if it clips or distorts. In the beginning, it is hard to know what you are looking for when listening to your changes. But as you make more and more music, you start to train your ears and start to hear differences that you couldn’t hear before. A slight warning, this is also where you might start to ruin listening to music. You probably start to hear flaws in others’ music or hear “artistic choices” that don’t necessarily sound good.















The pulse, usually a four on the floor pattern that goes: bam bam bam bam, is the fundamental of techno. It’s usually a starting point and serves as the spine of a techno track. Most of the time, the pulse is a kick, but it could be anything else as long as it makes your head bounce. The pulse should be danceable, meaning the tempo can’t be too high or too low. A BPM of 120 to 130 is the sweet spot; from 150 onwards, it starts to be a bit fast. A 909 drum machine is a fundamental instrument of techno, therefore, a 909 kick is a good starting point.
Syncopation is where we start to dance, it is the interruption in the rhythm that makes you move. Where the kicks hit on the one, the syncopated sound can hit on the second, third, or fourth (sub)-beat, or a combination. It is a pattern that pulls away from the main pulse. It changes the head nodding into dancing. The syncopated rhythm usually consists of higher frequency elements like snares, cymbals, high hats, and claps.







As I already mentioned, the 909 drum machine is a staple for techno, and its kick is a good starting point. You can also synthesise your own kicks. This is an art in itself however, since small changes make large differences in the sound. To start, I recommend using a pre-synthesized kick that is as clean as possible. This means that there are no effects applied yet. This is your job, shaping the sound, which is hard if the sound is already heavily altered. Now you can add a bit of compression, saturation, or distortion. The kick should have a little edge, a nice punch in the mid frequencies, and a little clicking. The deepest part of the kick will be emphasized by the rumble, so do not overdo the effects yet.



I most commonly use. To start, you will have to route the audio of the kick into two extra audio channels. Now you will have three channels for your kick. The first channel is the normal kick with the above-mentioned effects applied to it. The second channel will be your rumble. On this channel, you should first add a large reverb at 100% that smears out the audio. Take your time in selecting the right settings for your reverb since this largely determines the sound of your rumble. You can introduce a delay, which adds a bit of rhythm to the rumble and makes it wider. Now we will add additional audio effects, which is uncommon in other genres. Typically, reverb is used to emulate the room environment and is applied at the end of the effect chain. Applying further effects after the reverb, in essence altering the ‘room’ itself, is generally considered unconventional. But for this purpose, it is accepted. After you added your reverb, you should add some compression, saturation, distortion, or any combination of. You should aim for a deep and harsh rumble, a literal wall of sound. After you have applied all the audio effects you wanted and shaped the sound, it is time to add a low-pass filter. The rumble will now be deep and loud. To make room for the kick, you should sidechain the rumble. Add a compressor with sidechain enabled and use the signal of the kick. This will duck the volume of the rumble when the kick gets played and turns it back up when the kick is silent. This will change the wall of sound in an actual rumble. The final and most important step is turning the rumble into mono, or at least turning the low frequencies mono. Low frequencies commonly have phasing issues, especially with large sound systems. Therefore, the low end of all your music should be mono.








For making the rumble, there are a lot of ways to go about it, and it can make or break your track. The rumble usually occupies the low-frequency range. I recommend googling and trying all of the methods of producing a rumble sound. I will explain the method



















Now do the exact same for the third audio channel, but this time aim for a high-frequency sound with a repetitive element to it. This step is optional; it is not necessary for a good rumble but can be nice as a percussive element. The key here is to replace the low-pass filter with a high-pass filter.
If the rumble does not sound right, change the timings of your















reverb. The pre-delay greatly changes the rumble’s timing, and so do other time-related settings. The rumble usually sounds off because it does not reflect at the right time. If you have phasing issues, try shifting the pitch and playing with the EQ and sidechain.
Now, group all outputs of the three channels and listen. Change the individual volumes of all three tracks until it sounds nice and the audio does not distort or clip unintentionally. Then add an EQ and solo the high frequencies. Now change the volumes again. Do the same for the mid and low frequencies. After you have tuned the volumes at each frequency band, listen to the unfiltered sounds again and make some minor adjustments in the volumes. The kick and the rumble should now sound nice and in context with each other. You can optionally add a light audio effect on the three channels to combine them, a compressor would do the trick.

If an industrial rumble does not suit your song, you can fill up the lows with a bass instead. You can choose a plucky bass or a long, melodic bass. In this case, you would re-shift the focus away from the textures and back onto the melodic part. Another alternative is using the toms from your drum machine.
The highs

Don’t overdo the high ends for now. Stick to the classic drum samples like high hats and cymbals. The harsh industrial sounds will also introduce a lot of high frequencies, so you want to keep some room for that. With these elements, you can introduce some syncopation. Create a pattern that sounds good and pulls away from the main pulse, It should make you move. You can add some effects like redux, overdrive, or distortion. These effects will create a harsh edge. I do recommend introducing these effects later on, so there is more context to compare against. After all, the effect should sound good compared to all elements in the song.


Now it is time to make it industrial. The simplest way is by using samples. Industrial samples of, for example, an engine running or metal plates clashing. If the sample has a rhythm or a repeating element in it, it’s even better. It doesn’t matter if this sample is too long or too short compared to your time signature; it is actually good, it is called a polymeter. The rest of the track loops every four or eight bars, and the polymeter loops every five, for example. It creates a feeling of tension and uneasiness, it creates a hypnotic movement in the song.

The highs, or the high end, are the elements that are located in the high-frequency range. A common mistake is neglecting the high end. Beginners usually only focus on the low end, the kick, and the rumble, in the hopes of making a louder song. This is not the right approach, however, the high end is counterintuitively where the song gets loud. Over-amplifying the low frequencies can make your song sound quieter overall, since low frequencies consume significantly more headroom and energy than high frequencies.
















After you have gathered your samples, it is time to process them. Now you should add the sound effects. Add compression, saturation, overdrive, distortion, name it, as long as the sound becomes harsh and high in frequency. Don’t be afraid to overdo it, just compare it to the rest of the song. It should not, however, completely dominate the track. Find a balance where it adds rhythm and texture but leaves room for the groove.

























Almost all music features a form of tension, and so does techno. You can use tension to build a plot, or cruise on it. A good way of creating tension in techno is by polymeters or by slightly detuning instruments. When something sounds off, even if it is just a little off, it creates tension. A nice harsh lead, with somewhat detuned oscillators, would do the trick. A repetitive sample that functions as a polymeter would also work just fine. Use this tension to tell a story or build up to one.

Lastly, I want to give a word of advice when beginning your music production journey, or any other form of art.

Your techno song should tell a story, not necessarily a story you can tell, but a story you can feel. As mentioned above, you can add elements that evoke a feeling of tension or uneasiness. You can also add more euphoric elements to your song, or make an alternation between them.
A common way of telling a story is by changing the ‘thickness’ of the song. Throughout the song, elements are left out or reintroduced. In some parts, you can hear everything together, and in other parts, you only hear the pulse. This is the road your


story is traveling, and there is no right or wrong way of doing it. There are some common practices however. For example, solely playing the kick might evoke a feeling of isolation, of focus, or tunnel vision. Reintroducing the highs leads to an explosive and expressive feeling. Adding a detuned lead will cause a feeling of tension. Experimenting with timing when reintroducing or removing elements can completely change the feel of a track. Whether it’s dropping a kick back in half a bar early, muting the highs for an extra beat, or staggering the return of other layers. Those subtle timing shifts can create tension or a feeling of surprise that really grabs the listener.


When you are just starting out, it feels like drowning. You have tons of creative ideas, but you lack the skills to express them, which is extremely frustrating. Start simple, by searching tutorials on the internet or asking others who are more skilled for help. Recreate what they are making, and follow their explanation step by step. I know this does not satisfy your creative side, since it is not original. To solve that, you should write down all the ideas that come to you during your learning phase. Write them down in great detail. I would recommend going as far as humming a melody in your recorder app. When recreating a song, start slowly tweaking and adding elements to your own liking. After you’ve made a couple of remakes, start making your own songs. The first few will probably sound awful, but I need you to never get discouraged and keep on trying. No matter how good you become, there will always be an occasional song that you don’t like. Finally, when you feel ready, show your creations to your friends and family. You will get mixed responses, but accept all feedback as friendly and remember that music is subjective. It is very important to realise that music is art, and art is never wrong or right. Art is what you make of it, as an artist or as a listener. It’s your freedom to go against the rules and against the grain. If it sounds good to you, and you made deliberate choices in your sound design, it cannot be wrong.










































































WRITTEN BY JOOST VAN DER KRAAN
I’m Joost van der Kraan, a 5th year mechanical engineering student and currently finishing my bachelors. During these five years, I have undertaken many extracurricular activities besides my studies. I have been both team manager and technical engineer at student team SOLID, am a member of Rhetoricadispuut Tau and have written multiple articles for the OpenME. Since this year, I’ve been active in another organization of which you might not have heard before: the Department Council of Mechanical Engineering (DCME), otherwise known as the ‘Faculteitsraad’. Although the DCME is a very important aspect of the organization of our study, it’s not very well known. In this article I am going to explain what the DCME does and how it can help you, so you know who to go to in the future!
The DCME is made up of both students and sta ff from the faculty. Each month, five students and five staff members come together to discuss a range of topics related to our department. The student representatives are elected annually by the students of the faculty—meaning you get to choose who speaks on your behalf. Staff members go through a similar election process to select their own representatives, ensuring everyone has a voice. A representative from the faculty board is also present at every meeting, allowing us to ask questions or raise concerns directly when needed.
A grasp of the things that are addressed during the meetings of the DCME are the PER/OER, containing information on
the content of our study program and assessment within the program and the yearly budget of our department. On top of this, topics that are addressed by students, staff or other people are discussed during the meetings, to make sure they are heard by the board. Two examples of such topics are the student consequences of the Beethoven funding and the implications of the recent cyberattack.
Finally, one of the facets that is a constant topic of discussion during our meetings is the ongoing renovations of both Gemini North and South, but also the moving of facilities regarding mechanical engineering between multiple buildings, ensuring that we’re always up to speed with the who, what, and where!
In addition to the topics mentioned above, we are also responsible for gathering student opinions. One current topic under discussion is the potential change to the selection procedure for the bachelor program. The discussed idea is to transform it into a full-day program, giving prospective students the opportunity to meet each other and start building an on-campus community early on. Our role is to gauge how students feel about this proposal and to communicate their feedback clearly to the faculty and board.
I, as part of the DCME, hope to have given you some insight into what we do. We want you to always feel free to contact us in case of any type of complaint or compliment. We can forward it to the board and make sure they will hear it!

The Netherlands, a country with more than a quarter of its land below sea level, has long faced the challenge of living with water. Throughout history, the Dutch have built dikes, levees, and canals to hold back the sea and reclaim land. However, the devastating flood of 1953, marked a turning point in the nation’s approach to water management. In the aftermath the Delta Works where initiated, at the heart of this the Oosterscheldekering was build.
WRITTEN BY RIXT HOFMAN
The flood of 1953 exposed the vulnerability of the Dutch dike systems, particularly in Zeeland, South Holland, and North Brabant. Storm surges breached multiple dikes, causing extensive loss of life, property damage, and displacement. In response, the Dutch government formed the Delta Commission to propose new water protection strategies.
The commission recommended a series of dams, sluices, locks, dikes, and storm surge barriers, this became known as the Delta Works. Construction began in 1954, and the plan initially aimed to shorten the Dutch coastline by damming several sea inlets, thereby reducing the number of vulnerable points exposed to the sea.
The Oosterschelde estuary, originally slated to be completely dammed off, posed a significant challenge. While closing it would improve flood safety, it would also destroy the saltwater ecosystem vital to local fisheries, especially oyster and mussel farming. This led to public protests and scientific debates, prompting a major redesign.
The final solution was unprecedented: a storm surge barrier that would remain open under normal conditions to preserve the estuary’s natural tidal flow but could be closed during storm surges to protect inland areas. This compromise aimed to balance safety with environmental sustainability and economic viability.
The Oosterscheldekering was constructed between 1976 and 1986, and it remains one of the most complex and ambitious hydraulic engineering projects in the world.
The Oosterscheldekering stretches 9 kilometers across the mouth of the Oosterschelde estuary, connecting the islands of Schouwen-Duiveland and Noord-Beveland in Zeeland. It consists of a combination of artificial islands, dams, and 62 enormous sluice gates that can be closed during storm conditions.
Each gate is suspended between two massive piers and can be lowered to block the incoming sea during storms. Under normal conditions, the gates are raised to allow tidal flow and marine life to pass freely.
Building the Oosterscheldekering required overcoming extraordinary technical and environmental challenges. One of the key hurdles was the construction of the artificial seabed foundation capable of supporting the massive piers. Engineers developed a new method using a specialized vessel called the “Mytilus”, which laid enormous mats made of polyester fabric filled with sand and gravel onto the seabed to stabilize the ground.

Another innovation was the use of prefabricated concrete piers, constructed on land and then floated to the site, where they were carefully positioned and sunk onto the prepared foundation. Each pier had to be placed with millimeter precision under tough marine conditions.
To install the sluice gates, engineers employed a custombuilt floating crane, the Ostrea, one of the most powerful in the world at the time. The project involved more than 30,000 workers and was carried out in phases, ensuring that parts of the estuary remained functional throughout the decade-long construction.
The Oosterscheldekering is managed by the R ijkswaterstaat, the Dutch Ministry of Infrastructure and Water Management. The barrier operates according to strict protocols. The gates are only closed during extreme weather events when sea levels are predicted to rise more than 3 meters above normal levels.
Since its completion, the barrier has been closed more than 30 times, including during major storms like Kyrill in 2007. Its effectiveness has been demonstrated repeatedly, successfully preventing coastal inundation and protecting over a million people.
By maintaining tidal flow, the Oosterscheldekering preserved the unique saltwater habitat of the Oosterschelde estuary, which is now a protected national park and a haven for marine life, birds, and aquatic plants. The design saved the local shellfish industry and allowed for continued ecological research and tourism development.
However, the project still altered some aspects of the natural system. Tidal currents and sediment transport patterns changed, and long-term maintenance is necessary to manage sandbanks and dike reinforcements.
The Oosterscheldekering is frequently referred to as one of the Seven Wonders of the Modern World by the American Society of Civil Engineers. It has become a symbol of Dutch resilience and expertise in water management.
Visitors from around the world come to see the barrier, especially to Neeltje Jans, an artificial island built as part of the project, which now houses a public exhibition center. The Delta Park Neeltje Jans features multimedia displays, a storm simulator, and guided tours explaining how the barrier works and why it was built.
The Oosterscheldekering also influenced global flood defense strategies. Countries such as the United Kingdom, the United States, Japan, and South Korea have studied the project while designing their own storm surge protections. With the rise of sea levels due to climate change, the Dutch model of adaptive, dynamic flood defense is gaining increasing relevance.
As climate change accelerates and sea levels rise, the longterm viability of existing flood defenses is under review. Although the Oosterscheldekering was designed for storms with a statistical frequency of once every 4,000 years, new climate models suggest that extreme events may become more frequent and intense.
The Dutch government is already exploring options to upgrade and reinforce existing Delta Works structures, including the Oosterscheldekering. Measures under consideration include raising dikes, enhancing barrier automation, and integrating more flexible, nature-based solutions like wetlands and floodplains.
In this context, the Oosterscheldekering is not just a symbol of past achievement, but also a focal point in ongoing innovation in climate adaptation.


Every year in December, the campus turns pink, blue and yellow for the University Council and Department Council elections. For a few days, co-determination is visible everywhere, but afterwards the subject often fades into the background again. Yet participation plays a crucial role in the TU/e decision-making process and has a direct impact on important choices that will affect you. You probably don’t know exactly how this process works - and this is also (too) little talked about during elections. In this article, ONS would like to give you a behind-the-scenes look at the co-determination process at TU/e!
WRITTEN BY ELISE VAN LIESHOUT
To understand how decisions are made and where codetermination plays a role, it is important to know the TU/e’s governance structure.
• Supervisory Board (SB): This is the university’s highest supervisory body and is appointed by the Minister of Education, Culture and Science. The Supervisory Board checks whether the Executive Board (EB) is functioning properly, whether the university is financially healthy and whether strategic choices are in line with the law and social interest.
• Executive Board (EB): This is the day-to-day management of the TU/e and takes strategic decisions on a universitywide level. The EB sets the university’s long-term course and has a lot of influence on education, research and operations.
• Departments: TU/e has nine departments, which operate independently by law. Each department has its own administration. Faculties conduct their own strategy, policies and operations within the set frameworks from the EB.
• Services: In addition to the faculties, there are ten services that facilitate research and education by managing e.g. digital systems, the campus, educational affairs, etc. These services are . The focus in services is often more on operations.
The above structure is visualised in the organisation chart, which can be seen in the Figure below. Alongside these bodies codetermination takes place, which consists of:

Communication Expertise Center ( C)
Education and Student Affairs (ESA)


General Affairs (GA)






EAISI (Eindhoven Arti cial Intelligence Systems Institute)
EHCI (Eindhoven Hendrik Casimir Institute)

EIRES (Eindhoven Institute for Renewable Energy Systems)

ICMS (Institute for Complex Molecular Systems)


Equipment and Prototype Center (EPC)

Facility Management Center (FMC)

Finance and Control (F C)

Applied Physics and Science Education

Biomedical Engineering

Built Environment

Chemical Engineering and Chemistry

Electrical Engineering


Human Resources Management (HRM)
Library & Information Services (LIS)

Real Estate (RE)

Research Support and Valorisation (RSV)


Industrial Design

Industrial Engineering & Innovation Sciences

Mathematics and Computer Science

Mechanical Engineering


• University Council: Consults with the Executive Board on university-wide policy and strategy.
• Department councils: Consults with department boards and influences department policy.
• Service Council: Represents the interests of employees within the service departments.
• Program committees: Monitor the quality of program and advise on curriculum changes. According to the Higher Education and Scientific Research Act (WHW) the committee’s role is to advise on promoting and ensuring the quality of the program.
Vision, strategy and policy
Within this governance structure, discussions are often held at a high level of aggregation. This means that mainly outlines are discussed. Terms will come across are for instance, vision, strategy and policy. What do these terms actually mean?
What is a vision?
A vision describes the university’s long-term goals: where do we want to go and what do we want to achieve? What kind of institution do you want to be? What does TU/e contribute to society? Where does TU/e distinguish itself from other universities?
What is a strategy?
A strategy is the plan to realise the vision. This means setting out over several years the direction in which the university is heading, the resources needed to achieve this and the spearheads that are important.
What is policy?
Policy is the concrete implementation of the strategy. It includes practical measures, budgets and structures to achieve the set goals.
Codetermination bodies influence all three of these levels, from long-term strategy to concrete policies. Different councils sometimes deal more or less with certain topics or levels of aggregation. For example, the UR talks most about universitywide strategy, but a program committee does not have as much to do with it. It is important to know when you are discussing at which level, so that you always strike the right chord. The vision and strategy we currently follow as TU/e is described in ‘Strategy 2030’, which you can find on the TU/e intranet, should you be interested.
Rights and duties
As a member of a participation council, you have both rights and duties. These are set out in the Higher Education and Scientific Research Act (WHW).
Right of consent:
On certain decisions, the participation council must give approval, such as on major changes in education policy. It is important to note that without the consent of the council, the board is not allowed to effect the decision or policy. However, the council needs to have a good motivation for this, a personal
opinion is not enough. An example of what the university council has a right to consent to is the board and management regulations of the TU/e.
Advisory right:
The council may advise the Executive Board and department boards on major issues. The board must send a written reaction to motivate whether the advice will be followed or not as soon as possible. An example to which the university has a right of advice is the appointment or dismissal of members of the executive board.
:
The board must inform the council in time about plans and policy changes. The Board is responsible for providing all information that may be reasonably and fairly required by the council for the performance of its duties. Additionally, if the council requests information that it believes is reasonably and fairly necessary for the fulfilment of its duties it should be provided as well.
Duties:
• Active involvement in meetings and consultations.
• Being well informed about dossiers and policies.
• Communication with students and staff on current issues.
The WHW describes these duties as: the council shall, to the best of its ability, promote openness, publicity and mutual consultation in the university. The council shall further guard against discrimination on any grounds in the university in general and, in particular, promote the equal treatment of man and women as well as the inclusion of persons with disabilities or chronic illness and ethic minorities.
Many decisions within TU/e are not made overnight - an extensive preliminary process precedes them. In these processes, the co-determination has different roles. It follows a structured approach involving board members, policy staff, and codetermination.
Initially, board members assign the task of researching a specific topic, while policy staff conduct the research and prepare a draft proposal, often consulting external advisors, committees, and other relevant bodies such as the MDC (Managing Director Council) and UCC (council of Deans and the Executive Board). Co-determination plays an active role by providing input into the process, either upon request or proactively, usually through committees.
During the feedback phase, board members review and provide feedback on the draft proposal, while policy staff incorporate this feedback and, at times, collaborate with the UCC/MDC. Codetermination also contributes by giving their feedback on the proposal.
When it comes to decision-making, board members take the official decision at the board level, and policy staff ensure the necessary documents are submitted. Co-determination, in turn,

offers feedback and advice in official plenary meeting, with an emphasis on ensuring the process is conducted correctly and that all relevant stakeholders have been included, recognizing that perfect agreement is unlikely.
Finally, in the implementation phase, board members and policy staff monitor the decision’s execution, adding nuances as necessary. Co-determination continues to monitor, focusing on whether the desired effects are achieved and whether stakeholders are effectively engaged, ensuring the process transitions smoothly from decision to action.
It is important to note that many decisions may only be taken after the codetermination body had a chance to the influence them. However, there are some topics in which the body does not have a say. The codetermination bodies are not involved in a decision on implementation or a decision on an individual situation. An example of the latter is that the University Council has an influence on the budget of the TU/e but not on specific investments.
A councillor represents students or staff and is tasked with representing the interests of the constituency. This includes:
• Assessing and adjusting policy: Taking a critical look at plans of the board and suggesting improvements.
• Consulting with the board members: Meeting regularly with the Executive Board, deans or policymakers.
• Consult constituencies: Picking up input from students or staff and feeding it into meetings.
• Propose own initiatives: Not only responding to proposals, but also suggesting improvements yourself.
Co-determination at TU/e is important because it ensures that students and staff have a voice in the university’s decisionmaking processes. Your involvement as a council member can directly impact and shape policies and strategies regarding education, research and the operational environment. This impact might not be visible tomorrow, but over the course of multiple years the impact you can have is significant. Did you know that the TU/e focus on career with e.g. MyFuture, sustainability as a strategic priority, and the focus in student well-being are all initiatives of co-determination among many more? By providing a structured channel for feedback and input, co-determination ensures that decisions are made with broader perspectives and the whole community in mind, fostering a more inclusive, transparent, and democratic TU/e. If you are interested or if you want to know more about co-determination, feel free to ask ONS or other council members!
Contributing does not immediately mean you have to put yourself forward to become a member of the university council. There are a lot of different places in which you can help, starting of by filling in the evaluations set within the TU/e and from the outside.
If you have any more questions feel free to contact ONS at ONS@ tue.nl.




The Department of Mechanical Engineering is now on Instagram. With this new step, the department aims to strengthen its digital presence and reach a wider international audience. The launch is part of the Beethoven project, a region-wide initiative to significantly grow the local high-tech industry, including several master’s programs like Mechanical Engineering.
WRITTEN BY STEFAN GEERTS
To support that ambition, the Instagram page will give prospective students a clear and engaging look into what the department has to offer. It will showcase the different aspects and studies that fall under the ME department, from smart mobility and robotics to energy systems and advanced manufacturing. Through short videos, photos, and reels, the page will highlight the various research directions and specializations available within the department.
But it’s not just about academics. In the coming months, the page will also feature lab tours that give a behind-the-scenes view of where students and researchers bring theory into practice. We’ll also be filming with several student teams, offering a glimpse into the hands-on projects, teamwork, and creativity that define Mechanical Engineering at TU/e. On top of that, the account will highlight life on campus and in Eindhoven, helping international students get a feel for the environment they’d be joining.
The goal is simple: to present a full and honest picture of the department, from research and education to community and student life.
Do you have suggestions for what we should feature? A cool project, a lab we should visit, or something unique about student life here? Let us know, or reach out via Instagram. We’re building this platform together.
Follow along @tuemechanicalengineering.



WRITTEN BY DANNY LIU
Our Association has a collection of traditions. It’s what makes Simon Simon. What would we be without our fleet of Land yachts or the colourful vests that serve you beer every Thursday? One of these traditions is something that we look forward to every year. Of course, I am talking about the Brascursion! When you join the Brascursion, you sign up for an entire day away from Eindhoven.
It’s the last activity that the previous Board organizes for the Association, as a last thank you to the active members of their year. In the past, the Brascursie would be paid for with all the profit that the Board had accumulated in their year, hence the name Brascursion (verbras + excursie). Nowadays, we budget money to make it a stable yearly thing. This year’s Brascursie was organized by two Boards (the 66th and 67th), which means that we could have double the fun! In this short article, I will take you with me on a throwback to the Brascursie of the 66th and 67th Board.


We started the day at 6 a.m. in front of Traverse, where we would step into the bus, which would take us on our mighty adventure. I think that everyone was still a bit sleepy because of the early wakeup. Luckily, we could sleep some extra hours in the bus, since we had to travel all the way to Ijmuiden as our first stop. And of course, everyone knows Ijmuiden for one thing, Tata Steel! We got a tour around their blast furnaces, and they explained their process of turning raw iron ore into refined steel. We saw heaps of iron and coal ore, massive blast ovens, and trains filled with kilotons of molten iron. Regardless of your opinion of the company, you cannot deny that they do some cool stuff over there.
After getting melted by just looking at the massive slabs of 1000-degree steel, we had to find some place to cool down. What better place to go than the beautiful Ijmuiden beach! Here we played some games and had some (not Beerens) lunch. But the main attraction was the didgeridoo workshop! We hired a didgeridoo instructor who managed to teach the entire group to play the instrument (some better than others). As a sie-quest we also managed to create and play on the biggest didgeridoo known to man. We probably should have called the Guinness Book of Records for our attempt.



At Simon Stevin, we value our member's health. Because of that, we needed to compensate for all the beers that we would be drinking in the evening (or late afternoon). That’s why we took everyone to the nearest jump hall in Haarlem. Here, the people could jump and sweat all their future calories away. Luckily, nobody managed to break anything, and we could go to our next stop: Restaurant Lundi Jin Lai Restaurant!
At the Jin Lai, we could eat and drink whatever we wanted until our stomachs were full (or until our livers failed). It was all that you could hope for in a student diner. Waterfalls were initiated, knock off Sangria was made, and speeches were given. Our last stop was in Leiden. Here we did a pub crawl, which started in a karaoke bar which we rented. The day ended at 5 o’clock after driving back to Eindhoven for two hours. All in all, a fantastic day filled with numerous activities. Truly a wonderful tradition of our Association and may the next Brascursie be even better!












































In the middle of TU/e’s busy campus, filled with labs and lectures, an unlikely celebrity swam into the hearts of our students and staff. His name? Egbert! A friendly, overweight koi carp whose quiet life in a small pond turned into a campuswide story of care, community, and a bit of internet fame [1].
For many years, Egbert lived alone in the pond outside the Atlas building. His days were quite simple: swimming loops, eating what was given, and watching students rush by. But there was something more about him, maybe his size or his lonely existence, that caught people’s attention. He was jokingly referred to as a “friendly, horny, overweight koi” living a “celibate life” [2], which caused a stir.
Students started sharing his story online, using the hashtag #FreeEgbert. Memes popped up everywhere. People felt sorry for him, stuck in that small enclosure with no other
fish around. The internet sympathized with him, turning him into a (maybe) relatable symbol of boredom and isolation [2]. Suddenly, this simple koi fish wasn’t so quiet anymore, he was a campus legend!
All the attention wasn’t just for jokes and memes. It sparked a real conversation: Was Egbert okay? Experts checked him out and said he was healthy. But, they also agreed something was missing. His pond wasn’t terrible, but it wasn’t great either. He needed more space, more stimulation, maybe even some friends [3].
So, on May 7, 2025, the university gave Egbert a major upgrade. A fish expert named Marco Zegers was called in to handle the move carefully. Marco used a soft net to gently guide Egbert into a corner of the pond before lifting him out [1]. He gave Egbert a quick health check (clean bill of health, and no parasites, great!) and then took him across campus to his new home: a bigger, greener pond near the student dorms of Haven[1].

This wasn’t just a bigger tank for him. The new pond gives Egbert more space and a natural habitat. It is longer, has real plants along the edges, and is packed with insects and worms for him to hunt [1]. That’s a really big deal! Instead of just waiting for food, he gets to forage for food, something he couldn’t really do before.
Most importantly, he’s not lonely anymore! The university introduced him to three common carp, one mirror carp, and dozens of younger carp [1]. Suddenly, Egbert has gone from a solo swimmer to part of a little underwater community. Students walking by the dorms can still spot him, but now he’s exploring, interacting, and simply living a more interesting life [1].
On the surface, this is a fun fish tale (pun totally intended!) about a chubby koi getting an upgrade. But looking deeper, Egbert’s story says something real about TU/e. The #FreeEgbert campaign wasn’t ignored. The university paid attention to what students cared about, showing that they value more than just grades and research [1]. Moving Egbert wasn’t about necessity, it was about making his life better. It shows empathy, even for the smallest campus resident [1]. In a place focused on tech and innovation, Egbert became a shared passion. He reminded everyone that connection, even with a fish, matters [2].

Egbert is still out there in his new pond, probably oblivious to his own fame. But his journey from a lonely koi to a symbol of campus spirit is a reminder that sometimes, the most unexpected things bring people together. He is living proof that at TU/e, even the well being of a fish is worth caring about. Also, for students stressed about exams or projects, I’d recommend maybe a quick visit to see Egbert, happily swimming with his new crew. This could be just the reminder they need: that growth, change, and a little more space can make all the difference [3].


Baffi, bigato, mustață and Schnurrbart. All words describe one of the most incredible things a man can have, the moustache. Showing prominence or just trying out a new style. As great men wore it, the moustache has had varying popularity over the years. One could say these men became so great due to their lovely moustaches. But how can such a simple item significantly impact the world as we know it today?
WRITTEN BY STIJN DE JONG
The word moustache literally describes the hair growing between your mouth and nose. However, only having a few hairs in this region doesn’t automatically qualify as a moustache. What, then, does qualify as a moustache? The answer to that question has become harder over the last few years. As the moustache has become popular, old styles resurface, and new styles are invented. We could call it a moustache renaissance.
Where previously, time periods could be described only by one style, modern moustache culture likes to pick styles like Pokémon cards to collect. With all the different styles, it might be helpful to list them all. Luckily, my friends at Beardbrand have made a nice list of 17 styles, which can be seen in the picture.
Since 17 styles are a lot, I will only cover the ones I like the most. The first style is, of course, the handlebar. What started
as a challenge for a month became my whole identity as a Board member. For one year, this style helped me persuade many companies. As the name describes, the hairs are styled in the shape of 2 opposing handlebars, with a great curl on the ends. The style takes some getting used to as an owner, as the long hairs on the corners of your mouth can sometimes be inconvenient.
The second one is a combination of the Hungarian and the Beardstache. The Hungarian style describes a bigger and fuller handlebar moustache. The ends are less curled, but the tips are still pointing upwards. Then there is the Beardstache, which is a short beard with a full-style moustache. I am still maintaining my moustache but am not bothered by keeping my cheeks and jaw clean-shaven, so I have slowly transitioned into the Beardstache.

Before discussing the current moustache culture further, let’s look beyond modern humans. Despite all the creative styles, the question remains: Why do we have hair on our upper lips? Let’s see if human evolution can answer this.
In prehistory, the closest thing to a human you could find was the hominins. This has a close relationship with the common ancestor of bonobos and chimpanzees. Due to some significant evolutionary change, the paths of these two ancestors branched. So, let’s start by looking at the present-day bonobos and chimpanzees. When closely studying the apes, one crucial detail emerges: the bonobo and the chimpanzee do not have any hair on their upper lips.
A study found that an early species of hominins also did not have upper lip hair. Since hair doesn’t fossilise, it is hard to know when humans started having prominent facial hair features. It is speculated that changes in climate and a reduction in general body hair started shifting the places that were covered by hair. In particular, the hair seen at the sides of the cheeks started moving closer to the nose and upper lip as the jaw structure started changing.
This only partially answers why humans have kept facial hair, particularly the moustache hairs, as it has no evolutionary advantage. The only link that can be made is tiny and vague. We could link it to sex appeal, similar to why male birds have different and more vibrant colours. But there is no fundamental reason why we can still grow moustaches.

Ever wonder why your moustache is so different from that of your friends? This interesting question can be answered relatively easily. In short, it’s based on genetics and the life cycle of your hair. The maximum length of a single hair differs per person.
Now, let’s dive a little deeper. What is the hair’s life cycle, and how does it affect moustache growth? The hair life cycle has three stages. The anagen, catagen and telogen phase. Each phase takes a different amount of time and a different amount of length growth.
1. The anagen phase
This is the first and longest phase of the hair growth. In this phase, the hair starts growing a lot. The follicle (the base of the hair under your skin) starts growing in size as well, anchoring the hair within the skin. This phase can take as long as 2 to 6 years, depending on your genetics. During most of this phase, the hair will just casually grow.
2. Catagen phase
During this phase, the hair stops growing, and the follicle shrinks slightly. Even though this phase takes only 2 to 3 weeks, it is of great importance to your hair as it prepares the hair for the final stage of its life.
3. Telogen phase
As said, this is the final stage of the life cycle. Since the hair follicle has been shrinking over the past weeks, the hair starts
to loosen and ultimately fall out of your skin. After a few weeks, new hair will grow back in its original place, and the cycle will restart at the anagen phase again. Based on your genetic makeup, your moustache hair can grow for a more extended period. When the hair has reached its maximum length, we speak of the terminal length of the hair. So, having a shorter terminal length impacts the overall look of your moustache. However, this is not the complete answer. The look of the moustache is also affected by the placement of your hair follicles and the density of the hairs on your upper lip. Some men hit their maximum hair density earlier, or the maximum is higher than others.
This all impacts the quality of your stache. If your stache is not showing as prominent, there might be hope for you. Only time will tell…
But what is the real reason for the significant impact of the small patch of hair? It ultimately comes down to the person wearing it. If you wear it in style and groom it to perfection, then there usually is a great human being underneath it. It shows your eye for detail and the ability to take your time. You appreciate the minor things and don’t back down from a challenge.
But most importantly, you want to impress the boys.

Nuclear fusion, an ever-promising pathway to clean energy forever, which is somehow always 30 years away. If you have been living under a rock and have never heard of nuclear fusion before, here is a brief explanation from the International Atomic Energy Agency:
‘‘Nuclear fusion is the process by which two light atomic nuclei combine to form a single heavier one while releasing massive amounts of energy. Fusion reactions take place in a state of matter called plasma — a hot, charged gas made of positive ions and free-moving electrons with unique properties distinct from solids, liquids or gases.
So, to recap, nuclear fusion promises to deliver enough energy to power the planet, it does not produce radiation, does not emit carbon dioxide, and we have enough resources to make it possible. Then the question becomes, why has it not yet been achieved? First of all, creating and sustaining a plasma at over 100 million °C, which is required to sustain the reaction, is like trying to bottle lightning in a bowl of Jell-O. We need powerful magnets, vacuum chambers, and ultra-precise control, and even then, the plasma acts like a toddler on espresso: chaotic and unpredictable. This leads to the predicament of the reactors requiring more energy to power than they output, the billions of dollars that must be spent in development, and the fact that it isn’t completely radiation free. Unlike fission, fusion doesn’t produce long-lived radioactive waste, however, the reactor components, such as the inner wall can become radioactive from neutron exposure, needing special handling and eventual disposal.
This leads us to the question, is nuclear fusion a viable part of the energy transition? And if so, what part do mechanical engineers have to play in it? I interviewed Dr. Niek Lopes Cardozo, an established former professor of the TU/e Fusion Master program, about these exact topics and his views on the past, present, and future of nuclear fusion.
Dr. Lopes Cardozo is the former leader of the Dutch fusion research programme, and a renowned physicist and researcher. He has spent 44 years in the field of nuclear fusion before his retirement. Many people question decisions which involve staying in fields that seem to be perpetually “in development”. His motivation? Diversity in jobs. The professor first mentioned the fact that the energy transition, and nuclear fusion specifically, was one of the big outstanding issues that should be solvable, but have not yet been solved, and certainly not at

that time. Spending so much time in the same industry that he was and is so passionate about gave him the opportunity to explore multiple facets of his career. He started off with getting his PhD in nuclear fusion, researching detection technologies on x-rays. Then he moved into the transport physics of plasma, then to how the magnetic field is organized and so on and so forth. When he came to the university at the National Institute for Nuclear Fusion, which after branching out, is now known as DIFFER. He became the director of the fusion program in the Netherlands for a decade.
This does not mean that he did not lose sight of the end goal, however. He mentioned that at a workshop he participated in 2017 he had a pivotal moment that led him to stay in the field. “I had been struggling because I saw that the mainstream fusion path was not going to deliver”, says the professor, “I made realistic timelines for when fusion would hit the market, which would be about a hundred years from now. I thought, who is interested in an energy source a hundred years from now? So it’s pure research. Pure research is fine, but then let’s drop the pretense that we are solving anything”.
Dennis White, a professor at MIT, had come to exactly the same conclusion. He put some students together and decided to design a reactor. This, against all odds, led to billions of dollars being invested into the development of fusion reactors, one of which should be ready for demonstration by 2026. Seeing things finally move along and progress be made not only on paper, inspired Dr. Lopes Cardozo to stay in the industry and see things along.
Of course, the fusion field has undergone significant shifts over time. As mentioned previously, research has consolidated into a single massive project like ITER, as pooling resources was necessary due to the high costs and complexity of fusion technology. However, these large-scale projects revealed limitations, reactors became so enormous and intricate that practical construction seemed nearly impossible.
The landscape changed with the rise of private companies, which brought a new dynamic to the field. These startups embrace risk and experimentation. While most private ventures may fail, the speed at which they operate, around 10 times faster than traditional programs, means that even one or two successes could revolutionize fusion energy. The investors in fusion also differ from traditional backers. They are not looking for quick returns but are motivated by the long-term potential of fusion to capture a massive share of the global energy market.
But how many concepts should be explored at once to maximize efficiency? Dr. Lopes Cardozo has an answer for that too. The optimal number of fusion concepts to develop simultaneously balances cost with probability of success. Research suggests exploring 5-10 different approaches maximizes efficiency.
While developing multiple concepts is expensive upfront, it dramatically increases the chances of at least one succeeding and accelerates the timeline for commercialization. This portfolio strategy accounts for financial factors like discount rates, future earnings being worth less than present ones, and opportunity costs. Since fusion requires scaling to thousands of plants globally, early parallel development of several promising technologies ultimately proves more cost-effective than betting everything on a single approach. This model explains why private fusion companies are pursuing diverse methods rather than converging on one design.
While most concepts will fail, having multiple shots on goal increases the odds that at least one will achieve commercial viability within our lifetimes. The approach mirrors successful venture capital strategies where many high-risk bets are made knowing that a single breakthrough can justify all previous investments. For fusion to succeed at scale, this calculated diversification of effort appears to be the most pragmatic path forward.
While this sounds very straightforward, there is still one glaring issue: lithium supply. While lithium is abundant, scaling up extraction for fusion, as well as batteries poses environmental and geopolitical challenges. In principle, there’s enough lithium to power fusion for hundreds of thousands of years, “by then we might have small ears and bigger hands, or maybe we’ll fly or swim,” says the professor. While current mining primarily serves the electric vehicle market, fusion could “easily ride on the back of that” needing just 1% of production. This, however, has two different obstacles. Firstly, it requires a thousand-fold scale-up with significant environmental impact. Secondly, the automotive industry has a relentless drive for cheaper batteries that paradoxically benefits fusion by maintaining abundant, affordable lithium supplies.
However, the scenario flips dramatically if battery technology shifts to sodium: “Then certainly nobody wants lithium anymore,” forcing fusion to build its own mining infrastructure from scratch. The deeper challenge lies in enrichment, which is a dirty, expensive process relying on materials like mercury, which is “all mined in China.” This creates another paradox: while fusion promises energy independence, its supply chain remains geopolitically vulnerable. “We said we’d be independent of other countries... except you have to buy one component from China,” Dr. Lopes Cardozo notes, concluding that despite lithium’s cosmic abundance, “a lot more critical thinking is required” about the practical path to making it fusion-ready.
All of this to say, there is still much work that needs to be done to deliver on the promise of fusion’s clean, abundant energy while addressing global equity and security concerns. The professor leaves us with this final message: Fusion development has been dominated by physicists who thought that it was all a physics problem. We have passed that stage now. We need engineers more than ever to solve our unanswered problems!


Students are funny creatures. We can be messy, lazy and crazy fun alcoholics, while studying some quite difficult subject at our beloved universities. How did these mischievous students that have their bathrooms full of playboy posters and their rooms filled with “borrowed” traffic signs, incorporate themselves into “fully” organised associations? In other words, how did Dutch students go from just studying, to wearing rugby jerseys, organising themselves in committees and caring so much about “anciënniteit”?
WRITTEN BY NATAN BLANKERT

What did we have before associations?
For a very long period of time during history, studying was only reserved for the very privileged upper class. If people from lower classes were even able to study, it would often be theology, since this was paid for by the church. Additionally, university students and professors were exempt from excise taxes on alcohol. As a result of these privileges like these, student life was always a very elitist culture, separated from normal civilian society. Partially due to this culture students would form clubs, for example with people that originated from the same city as themselves. Freshmen would often be forced join these clubs and go through initiations organised by the older years. Logically, because of the brutality of these initiations, it was extremely against the will of the universities and professors. So, the clubs got banned by universities. However, initiations still kept being organised by so called “groensenaten”. These comittees of older years picked out first years and initiated them, quite violently. Now, this was not done to be part of a club anymore, but just for being a freshman. So, I guess that we are lucky Simon Stevin that doesn’t do this, except for maybe the “dommeldoop”. This culture continued, until the first associations started to be formed.
What were the first associations?
While the oldest university in our country, University of Leiden, has existed since 1575, the Netherlands only got introduced to having official associations much later. Only in 1815 the first student association was established: traditional student association Vindicat in Groningen (while this is the oldest official association, the oldest
clubhouse is the one from Minerva in Leiden). The new associations were a result of several groensenates uniting, to go against the ban around the initiations. Because the combined groensenates
acted like these new associations were made to foster and improve student life throughout a student’s study, the universities actually started to support these associations. Also, at this point in time, the associations only accepted men. Women were not allowed in.
How did the associations develop over time?
After the first associations, many predecessors of the ones that we know today followed, based around religion, study, leisure or sports. How did these start out?
At the end of the 19th century, universities got more accessible to people from lower classes. Since they were not financially able to join the traditional associations, these students started to form new associations. These also sometimes did not include initiations and offered activities that were more affordable for the middle-class students.
Finally, due to the massive increase in students attending university after the second world war. The associations greatly increased in size, resulting in the necessity for the formations of year-clubs and fraternities, giving us the association structure that we know today.



How about Eindhoven?
Eindhoven only has had to endure our student shenanigans since 1956, when the Technische Hogeschool Eindhoven got established. Shortly after in 1957, the E.S.C. was founded. At first, the plan was for E.S.C to be exclusive to male students. However, Eindhoven’s mayor who attended E.S.C.’s founding meeting, suggested the association to also accept female students (of which TU/e only had a single one in this year, so we have come a long way!). In the same year, S.S.R.E and Simon Stevin were founded, later followed by many others, such as Hajraa. So, as you likely have heard our board boast about: we have the oldest study association in Eindhoven! Another fun fact: E.S.C was founded by mechanical engineers, together with electrical and chemical engineers, the representations of which can still be seen in their current logo.
Finally, all this interesting student history shaped the association structures and cultures that we know today, letting our oldest Simon Stevin members just refer to their “ancienniteit” when they are gravely losing an argument. It is just ingrained into our community.



Kakuro is a type of crossword puzzle with numbers. Each “word” must add up to the number given in the clue above or to the left of it.’ Words’ can only contain the numbers 1 through 9, and a specific number may be used only once in a word.





Renban Sudoku follows all the standard sudoku rules but adds an extra constraint involving Renban groups, which are marked with lines. Each Renban group must contain a set of consecutive digits, in any order. For example, a group with three cells could contain the digits 4, 5, and 6 (but in any sequence, like 6-4-5 or 4-6-5), as long as they form a consecutive run. Importantly, no digits may repeat within a Renban group, and the sequence must be unbroken (e.g., 4-3-6 is invalid, because 5 is missing). This additional rule encourages a unique and challenging kind of logical deduction. Have fun!
MADE BY LUCAS VAN HEST


Sandwich Sudoku is a variation of classic sudoku where, in addition to the standard rules of Sudoku, certain rows and columns have clues on the outside indicating a “sandwich sum.” This sum represents the total of the digits that appear *between* the numbers 1 and 9 in that row or column (not including the 1 and 9 themselves). The 1 and 9 can appear in any order, and players must deduce both the position of these boundary numbers and the correct digits between them so that their sum matches the given clue. Good luck!
MADE BY LUCAS VAN HEST


your answer and win a LEGO® Notre-Dame set!
To solve the riddle, you have to move backwards with the hints, so you know that when the last is asked, the ProBoKoCo has already narrowed down their options to only 2 numbers. One where the second digit is 1 and one where the second digit is not 1.
So the goal is to find answers to the previous questions that lead to only two options. The question that narrows the options the most is the question of whether the number is a perfect cube. That question has only 8 answers that are between 13 and 1300. You know that his answer was yes and that it was truthful.
If the answer to the question ‘Is the number a perfect square?’ was yes, then it would have narrowed the ProBoKoCo to only 2 possible answers. However, none of these options have a 1 in them, so the answer to the question ‘Is the number a perfect square?’ must have been no. And that the numbers 64 and 729 can be eliminated, and then there are only 6 options left.
Then you have to go back to the first question. If the answer was yes, then there were 4 options left, which is too many. But a no leaves 2 numbers, and one of which does have a 1 as its second digit. You do not know which answer the ProBoKoCo thinks is the correct answer, because you know the answer is based on lies.
So if you reconstruct the truth, you know that the chef said that it was greater than 500, but lied. Meaning it is less than 500.
For the second question, the chef said it was not a perfect square, but again lied, so the number is indeed a square.
Finally, he truthfully confirmed that the number was a perfect square, which leaves you with the answer of 64.
So the correct answer was 64
You are the king. The undisputed champion of Shut-the-Box. Your name is whispered in taverns and game rooms, passed from lips sticky with awe and disbelief.
The rush? Unmatched. The thrill? Addictive. The applause, the gasps, the stunned silence, it all became your anthem. You were unstoppable. Until today.
It began like any other game night. But amidst the crowd of eager challengers, one man stepped forward.
“I wager one million beers,” he said.
You laughed. Not because it was funny, but because it was absurd. One million? No one can chug that many beers. No one can survive.
But then... the silence hit you. The crowd wasn’t laughing. They were waiting for your answer.
You pause, just a flicker of doubt. You’ve never lost. You probably won’t lose now. Still, this wager feels different. Off. But pride is louder than caution. “I accept.
”
The man nods once. Then, instead of reaching for the dice, he begins to mutter. Low at first. Then louder. The words are jagged, unnatural. Your skin prickles.
You watch in disbelief as the dots on the dice begin to shimmer, then change. Red. Yellow. Orange. Green. Grey. Black.
And then… they fall off. Not roll away. Not fade. Fall off. Two blank cubes remain, like the bones of something ancient.
He turns to you. His eyes, black as pitch, deep as the void, lock onto yours.
“They’re yours now,” he says. “You must place the dots.”
You try to speak, but your voice is gone.

Sponsored by:


“The first die may only have values up to four per face,” he continues. “The second? As high as you wish. But listen closely, there exists one way to number these dice such that their combined sum probabilities match that of two standard six-sided dice.”
Your hands tremble as you pick up the blank dice. They are warm. This is no longer just a game.
This is a riddle of fate. A puzzle of probability. And the stakes are no longer bragging rights, they are everything.
And so, the king of Shut-the-Box, undefeated, unshaken… begins his greatest challenge yet, not in folding boxes, but in forging dice worthy of destiny.
Side: 1 2 3 4 5 6 Dice one: Dice two:
Submit your answer via an e-mail to redactie@simonstevin. tue.nl with your name and the solution. The prize will be raffled from the correct submissions and the correct answer will be published in the next winning contest.
Make sure to submit your answer before the 31st of July 2025! The winner will be notified and announced via the social media channels of Simon Stevin.








VDL Enabling Technologies Group specialises in the design, development and manufacture of high-tech components, modules and systems. From mechatronics to optics, our multidisciplinary teams create customised, integrated solutions that meet tailored customer needs.
From state-of-the-art facilities where critical ultra precision parts are manufactured to the cleanrooms that ensure ultra-clean assembly, and measuring rooms that enable precise quality control. Our dedication extends across the entire product lifecycle. Covering Europe, Asia, and the United States, we help customers turn their visions into reality. This unique blend of technical knowledge and craftsmanship under one roof emphasises our belief in the power of cooperation: thinking, daring, and doing together! By embracing new technologies, we see opportunities where others see challenges.
+5.000 employees
12 locations worldwide

Operating in 4 key industries
+250.000 m² production area









