Towards Potential Beach Nourishment in Rincón: Seamless RTK Surveying and Sediment Compatibility Analysis
Final Report
Period of Performance: February 1 2015 – January 31 2018
R-77-1-14
Prepared by:
Principal Investigator: Miguel Canals, Ph.D. Department of Engineering Science and Materials Email: miguelf.canals@upr.edu
Co-Principal Investigator: Sylvia Rodriguez, Ph.D. Department of Engineering Science and Materials Email: rodriguez.abudo@upr.edu
Lead Graduate Students: Gabriela Salgado, Adail Rivera, Christian Rojas
1 EXECUTIVE SUMMARY
Project title: Towards Potential Beach Nourishment in Rincón: Seamless RTK Surveying and Sediment Compatibility Analysis
Date: March 19, 2018
Project Number: R/77-1-14
Investigators and affiliation: Miguel Canals, Department of Engineering Science and Materials
Sylvia Rodriguez, Department of Engineering Science and Materials
Dates Covered: February 1 2015 – January 31 2018
A. Objectives: All proposed objectives of the present project were accomplished successfully
• Development of seamless topo/bathy RTK surveying capabilities for sub-aerial beach mapping – This objective was accomplished by developing an RTK-capable beach rover system. A detailed dataset of beach morphology evolution was collected during one year, including the effects of events such as Hurricane Matthew.
• Analyzing sediment properties and compatibility in Rincón beaches – This was accomplished through the collection of an important data set of sediment dynamics at very high temporal frequency. This dataset will be crucial for the design of a beach nourishment project for Rincón.
• Development of a coastal sediments and topo/bathy surveys online viewer: A Mapbox-based online interface was developed to share all relevant sand grain size data that has been collected for the area of Rincón. The interface may be accessed at: https://www.canalsresearch.com/rincon-sediments/ As more data is collected by different researchers this data can be uploaded and the interface optimized for easy use by stakeholders.
B. Advancement of the Field: This study focused on developing local capabilities that would allow us (UPRM) to analyze morphological changes due to the effects of seasonal atmospheric and hydrodynamic phenomena on the coast of Rincón, Puerto Rico. This objective was successfully accomplished and weekly beach profiles were conducted at three beaches (Rincón Balneario, Cooperativa and Villa Cofresí) since September 2015 until November 2016 using a Real Time Kinematic (RTK) GPS System. In addition to that, sediment samples at key morphological features (berm, beach face, swash zone and nearshore) were also collected at the study sites. The frequency of the profiles and samples was increased during October 2016 to focus on the short-term effects caused by Hurricane Matthew. This project has made Rincón perhaps the most studied stretch of coast in Puerto Rico, making it an ideal candidate for the first-ever large-scale beach nourishment project in Puerto Rico.
C. Problems encountered: No major problems encountered.
D. PI’s supported: The following table provides a breakdown of time & effort from February 2015 to January 2017 (original project duration)
E. Students supported: (Include contact information, email, degree working toward, time and effort expressed in amounts paid from SG and Match during the reporting period, then provide information for the following metrics table)
o Gabriela Salgado (gabriela.salgado@upr.edu), MS Student, Department of Civil Engineering
o Amount paid: $15,649
o Funding source: SG
o Duties: Bathymetric and beach face surveying, sediment analysis and numerical modeling
o Adail Rivera (adail.rivera@upr.edu), MS Student in Physical Oceanography
o Amount paid: $5,750
o Funding source: SG
o Duties: Bathymetric and beach face surveying
o Miguel Loubriel (miguel.loubriel1@upr.edu), BS Student, Department of Geology
o Amount paid: $6,500
o Funding source: SG
F. Thesis and dissertations from students supported by the project.
• Ongoing:
o Gabriela Salgado. Beach morphodynamics at Rincón, Puerto Rico during Hurricane Matthew. Master Research Thesis University of Puerto Rico at Mayaguez (thesis defense expected summer 2018)
o Adail Rivera. Implementation of an operational FVCOM based circulation model for PR/USVI. Master Research Thesis University of Puerto Rico at Mayaguez (thesis defense expected summer 2018)
• Completed:
o Christian Rojas (2016) Evaluation of the Bajo Blanco Sand Shoal as a Beach Nourishment Borrow Site for Eroding Beaches at Rincón, Puerto Rico. Master Research Thesis University of Puerto Rico at Mayaguez
G. Presentations, technical reports and special awards:
• Salgado, G., Rivera, A., Canals, M., Rodríguez, S., Loubriel, M. (2016). Observations of Seasonal Morphological Evolution at Moderately Energetic Beaches in Rincón, Puerto Rico. Poster presentation at 2016 Ocean Sciences Meeting.
• Salgado, G., Canals, M., (2017). Numerical modeling of beach nourishment and shoreline protection performance during Hurricane Matthew. Poster presentation at 2017 CARICOOS General Assembly.
H. Books, chapters, and peer reviewed publications: N/A
I. Sources of matching funds: UPRM: $21,569 (faculty salary associated with academic release time + fringe benefits)
J. New extramural funds in addition to match: This project has partially led to three additional grants as a follow up to the work conducted herein:
• Puerto Rico Beach Recovery Post-María 2017: Phase 1 - Erosion Assessment, Control and Management
o Funding: $78k, April 2018 - July 2018, FEMA
o Investigators: PI Luis Aponte, Co-PIs: Miguel Canals, Jonathan Muñoz, Patricia Chardón
o Description: This rapid response project will evaluate the status of several beaches in Puerto Rico after Hurricane María using field observations and numerical modeling
• NSF RAPID: Hurricane Maria Rapid Response: Field Observations of Post-storm Beach Recovery Dynamics in Rincón, Puerto Rico
o Funding: $94k, November 2017 - October 2018, NSF
o Investigators: PI Patricia Chardon, Co-PIs Miguel Canals, Sylvia Rodriguez
o Description: This rapid response project will analyze in detail the beach recovery and sediment transport mechanisms in Rincón, Puerto Rico after Hurricane María
• Recycled glass as beach nourishment material to mitigate Puerto Rico erosion problems:An integrated effortbetween scientists,engineers and citizens
o Funding: $150k, July 2016 - June 2018, Puerto Rico Science Trust
o Investigators: PI Sylvia Rodriguez, Co-PIs: Marcelo Suarez
o Description: This project sought to evaluate the technical, economic, and social feasibility of using recycled glass as beach nourishment material.
K. Research Impacts/Accomplishments:
After several decades of severe long-term erosion, many Rincón beaches are no longer able to serve as energy buffers during storms or to provide an adequate resource for tourism and recreation. This situation was severely aggravated by the effects of Hurricane María in September 2017. At themoment theonly potentialsolutionstosaveRincónbeaches areretreat anddemolition of coastal infrastructure, or a major beach nourishment project that adds significant beach width. Both projects would cost several tens of millions of dollars.
This project has made small but important steps towards analyzing the feasibility of a major beach nourishment project by analyzing the morphodynamic and grain size variability of Rincon’s most erodedbeachesatsmalltimescales.Themostimportantimpacts ofthepresentstudyareas follows:
o The generation of local capabilities to conduct survey grade beach face mapping at UPRM.
o The acquisition of an important data set of topographic beach face variability and sediment dynamics at high temporal frequency. This dataset will be crucial for the design of a beach nourishment project.
o The development of an online interface to exchange information with stakeholders and state and federal agencies regarding erosion and sediment properties in Rincón.
Besides the technical advances mentioned above, the capabilities generated by this project along with another Sea Grant-funded project led by Dr. Luis Aponte from UPRM have partially resulted in the following grants to examine beach nourishment as well as the severe erosion left behind by Hurricane María:
• Puerto Rico Beach Recovery Post-María 2017: Phase 1 - Erosion Assessment, Control and Management
o Funding: $78k, April 2018 - July 2018, FEMA
o Investigators: PI Luis Aponte, Co-PIs: Miguel Canals, Jonathan Muñoz, Patricia Chardón
o Description: This rapid response project will evaluate the status of several beaches in Puerto Rico after Hurricane María using field observations and numerical modeling
• NSF RAPID: Hurricane Maria Rapid Response: Field Observations of Post-storm Beach Recovery Dynamics in Rincón, Puerto Rico
o Funding: $94k, November 2017 - October 2018, NSF
o Investigators: PI Patricia Chardon, Co-PIs Miguel Canals, Sylvia Rodriguez
o Description: This rapid response project will analyze in detail the beach recovery and sediment transport mechanisms in Rincón, Puerto Rico after Hurricane María
• Recycled glass as beach nourishment material to mitigate Puerto Rico erosion problems:An integrated effortbetween scientists,engineers and citizens
o Funding: $150k, July 2016 - June 2018, Puerto Rico Science Trust
o Investigators: PI Sylvia Rodriguez, Co-PIs: Marcelo Suarez
o Description: This project sought to evaluate the technical, economic, and social feasibility of using recycled glass as beach nourishment material.
Table 1: Profile acquisition dates
Ramos Villa Cofresí
In the Fall of 2016 (hurricane season), the sampling frequency was increased significantly to capture erosion and accretion events at short time scales. For example, sampling frequency was increased in response to the wave event associated with Hurricane Matthew (see Results section below). During this event, beach profiles were conducted approximately every two days.
Beach Rincón Bal. Coop Quebrada los Ramos Villa Cofresí
2.2.2 Sediment compatibility analysis
Sediment samples were collected at four specific native beach shore-parallel features (i.e. berm, beach face, swash and nearshore, see Figure 6) for three beach sites (Rincón Balneario, Cooperativa, and Villa Cofresí); plus a single sample at three potential borrowing sites (Arenero de Aguada, Arenero Cordeco, and a sand deposit near the Rincón wave buoy just West of the Rincón lighthouse). The median grain diameter (D50) was computed from a sieve analysis following ASTM Method D422. Most of the analyses were performed at UPRM’s Ocean Engineering Laboratory with the exception of some of the sediment drying, which took place at the facilities of the Geology Department.
Figure 6. Approximate location of beach features. Please note that not all of these are present at every beach and their location may change as a function of water levels.
In addition to the sediment sampling, this project also allowed us to analyze in detail many sediment samples collected by CAOSE graduate student Christian Rojas at the Bajo Blanco sand deposit in late 2014.
2.3 Results and Findings
It should be noted that the main goal of the present project was to develop local capabilities in survey-grade subaerial beach face mapping in order to respond to specific erosion events and to build a database to document beach face evolution for several Rincón beaches. A detailed analysis of beach face response to varying hydrodynamic forcing was out of the scope of the project, however, significant progress was made towards understanding beach face evolution at small time scales. A case study regarding the evolution of beach face dynamics (beach profile and sand characteristics) for Hurricane Matthew is presented.
2.3.1
Beach morphology evolution
The figures below shows a comparison of all the beach profiles surveyed between September 30, 2015 and November 18, 2016 at the Rincón Balneario (Figure 7), Cooperativa (Figure 8) and Villa Cofresí (Figure 9) using the backpack RTK GPS system. The earlier dates are defined by blue, changing to dark red as time progresses.
Figure 7. Seasonal profile evolution and average (black line) for Rincón Balneario. The earlier dates are defined by blue, changing to dark red as time progresses.
Figure 8. Seasonal profile evolution and profile average (thick black line) for Cooperativa. The earlier dates are defined by blue, changing to dark red as time progresses.
Figure 9. Seasonal profile evolution and profile average (thick black line) for Villa Cofresí (bottom). The earlier dates are defined by blue, changing to dark red as time progresses.
As expected, significant variability in beach face morphology was observed during the year-long study. Several cycles of erosion – accretion were observed during the study period, with the most pronounced erosion occurring as a result of Hurricane Matthew. Here we focus on the Rincón Balneario and Villa Cofresí sites in order to analyze the short-time scale variability associated with Hurricane Matthew.
Figure 10 shows the trajectory of Hurricane Matthew with respect to Puerto Rico. As it moved south of the island it generated two major wave events; the first being a southwesterly swell with short to moderate wave periods (T~10s) due to the Hurricane being located southwest of Puerto Rico; and the second a very long period (T~14s) northwesterly swell due to the Hurricane being off the US East Coast. Figure 11 shows the beach erosion and subsequent accretion caused by the varying wave conditions at Villa Cofresí Beach. It is precisely that variability of wave direction within a relatively short time period that makes the case of Hurricane Matthew unique. It is common in Rincón for the waves to reach the coast from a northeasterly direction. However, due to HurricaneMatthew,waves also camefrom thesouthwest andnorthwest (Figure12) Theabrupt change in direction created the necessary conditions for serious erosion and subsequent accretion in a span of just a few weeks. This event allowed us the opportunity of studying how Rincón beaches respond and recover at short time scales.

Figure 10 Hurricane Matthew’s trajectory with respect to Puerto Rico
Figure 11. Beach evolution at Villa Cofresí during Hurricane Mathew event.
Figure 12 Hurricane Matthew’s wave events as observed by the CARICOOS Rincón wave buoy
13. Short timescale variability of beach face morphology at Rincon Balneario (top) and Villa
(bottom) before and after the wave events associated with Hurricane Matthew.
Figure
Cofresí
Figure 13 shows the short timescale variability of beach face morphology at Rincón Balneario (top) and Villa Cofresí (bottom) before and after the wave events associated with Hurricane Matthew. Both locations exhibited a very different morphological response due to the strong westsouthwest wave event caused by Hurricane Matthew. As has been the case during previous events, the beach at Villa Cofresí was severely eroded. No significant erosion was observed at the Rincon Balneario however, in fact, significant accretion was reported. Given the southwesterly direction of the wave event it is very likely that a northward longshore sediment transport due to the shoreparallel component of the wave energy flux is responsible for this difference.
Despite the severe erosion observed at Villa Cofresí (and other locations south of Quebrada Los Ramos), a moderate to large northwesterly wave event caused by Matthew (see Figure 12) generated significant accretion and a very large percentage of the beach sand volume was recovered within three weeks of the erosion event.
2.3.2 Sediment dynamics and compatibility analysis
The objectives of the sediment compatibility analysis were as follows:
o Acquire a detailed data set of sand grain size distribution for use in the design of a future beach nourishment project in Rincón.
o Understand the spatial and temporal distribution of sand characteristics at Balneario de Rincón and Villa Cofresí.
o Determine grain size distribution of potential sand borrow sites: the Bajo Blanco sand deposit, a sandy area near the Rincón wave buoy (105’ depth), and two land-based sources: the Arenero de Aguada and Arenero Cordeco.
A year-long data set of sediment grain size distribution was collected for the Villa Cofresí and Balneario de Rincón sites, except for the summer months of 2016 when significant changes in beach morphology were not observed (see Section 2.3.1). Samples were collected at least three times a month at the four major morphological features described above (berm, beach face, swash, and nearshore, Table 2). The high temporal frequency allowed assessment of median grain sizes (D50) as a function of morphological feature, and in response to the dominant hydrodynamics forced by the swells described in Section 2.3.1. This data is of upmost importance for potential beach nourishment projects, as their success is strongly dependent on the compatibility of the borrowing and native materials.
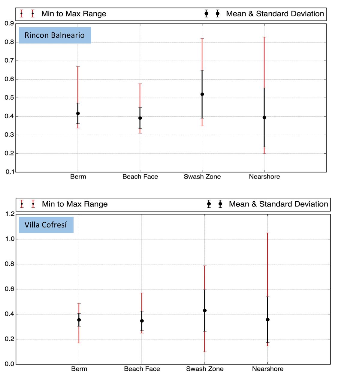
In general, the grain size at the Rincón Balneario is slightly larger than at Villa Cofresí for all morphological features. Although well within the range of values of the other morphological features, the mean D50 at the swash zone is consistently higher than those of the berm, beach face, andnearshore(Figure14).Thisisnotuncommonfortheswashzone,asfinergrainscangeteroded more easily in this highly energetic area. Figure 15 shows a fairly uniform cross-shore distribution of D50s at Villa Cofresí (0.2 to 0.4 mm), as opposed to Rincón Balneario; at least for the October 2015-March 2016 period A potential reason for this is the somewhat underdeveloped beach at the Balneario site relative to Villa Cofresí. Coincidentally, the period in which the D50s were at a maximum in both beaches was during the Hurricane Mathew event (October 2016).
Our frequent assessment of D50s also suggests that significant turnaround of sediments occurs in the swash zone, especially at the Balneario site (Figure 15). Consider the time period between 1/21/2016 and 3/11/2016: swash sediments go from D50~0.6mm (yellow) to ~0.4mm (light blue) to ~0.65mm (orange) in less than two months. Moreover, during the high swells associated with Hurricane Matthew the D50 values of the swash fluctuated between 0.7mm and 0.4mm a few times. This variability may have implications for the design of beach nourishment projects.
Table 2: D50 values for Rincón Balneario and Villa Cofresí. (NaN = no data collected/available)
Table 2 (continued): D50 values for Rincón Balneario and Villa Cofresí. (NaN = no data collected/available)
Balneario D50 (mm) Villa Cofresí D50 (mm)
Rincón
Figure 14 Mean, standard deviation, minimum and maximum values of D50 (mm) for all sand samples (from Oct 2015 to Oct 2016) corresponding to the berm, beach face, swash zone and nearshore of Rincón Balneario (top) and Villa Cofresí (bottom).
Figure 15. Time series (from Oct 2015 to Oct 2016) of median grain diameter (D50, colorbar in mm) at the Rincón Balneario (top) and Villa Cofresí (bottom). The shaded areas are the erosion (left) and accretion (right) events discussed in the previous section.
Sand grain size for potential sand borrow sites
To properly determine the suitability of using potential borrow sites for eroded beaches it is important to understand the sediment composition and grain size characteristics of the study site. The quality and quantity of sand represents an important factor for evaluating the performance of a potential beach nourishment project. The quantity depends on the quality of the sand, which is related to the grain size parameter that determines the compatibility of the source.
Besides analyzing the grain size distribution at high temporal frequency for the two sites discussed intheprevioussectionwealsoobtainedsedimentsamplesfrompotentialsandnourishment borrow sites. The results are summarized in the following table:
Borrow site
D50 (mm)
Bajo Blanco Sand Bank 0.23 mm
Rincon Wave Buoy Mooring Site (105’ depth) 0.70 mm
Arenero de Aguada, Barrio Rio Grande 0.34 mm
Arenero CORDECO, Barrio Espinal 0.47 mm
The most similar grain size to the average median grain size of Rincón beaches (0.35-0.40 mm) is the sand from the Arenero de Aguada. However, more information needs to be gathered in terms of its specific gravity and composition
As mentioned earlier, in addition to the sediment sampling, this project allowed us to analyze in detail many sediment samples collected at Bajo Blanco in late 2014. Sieve analysis of these samples show that the D50s found at the Bajo Blanco sand shoal are finer than those collected at eroded beaches. For Bajo Blanco, the spatially averaged median grain size is about 0.23 mm. This sediment is considerably finer than the median grain sizes of 0.35-0.40 mm at Villa Cofresí, Rincon Public Beach and La Cooperativa. However, this does not mean that sand from Bajo Blanco is not suitable for use in a beach nourishment project for Rincón. It is possible to borrow material with finer sand than the eroded beaches as long as the grain size distribution allows for a significant amount of the sand from the borrow site to remain in place after sorting and loss of fines due to hydrodynamic forcing.
An overfill factor (or overfill ratio) can be used to describe the volume of sediment needed from the borrow site area including natural losses of borrow site sediments finer than the native beach sand (Dean, 1974). For instance, an overfill ratio, K, of 1.07 between the borrow area and the native sediment means that 93% of the dredge volume will remain in place after sediment sorting losses. However, Dean’s overfill factor method tends to be conservative resulting in small values of K (Bodge, 2006). Hence, the methodology used herein for the computation of the overfill factor is an alternative computation of Dean’s overfill ratio derived by Bodge (2006). This method yields the same numeric results as the original Dean curves, but uses a single curve for multiple sediment size cases. Dean’s overfill factor can be calculated by an iterative solution of two coupled equations, or it can be obtained graphically using the overfill ratio curves shown in Figure 16. The graphical method relies on dimensionless parameter M′ defined by Dean (1974),
using the equation below for the respective grain size data of the native sand, Mn′, and borrow sand, Mb′:
The parameter M is the mean grain size obtained using the following equation:
The standard deviation, or sorting parameter σ, for the borrow site (σb) is calculated as follows:
The grain size data can also be given in phi units to simplify statistical computations and graphical representations (Dean, 1974). The φy refers to the grain size in the negative base-2 logarithmic form, for which y percent of the sediments is coarser. The equation below is used to change from millimeters to phi units, where m is the sediment grain size in millimeters (Bodge, 2006).

Figure 17 shows the sieve analysis results for the 18 samples collected at the Bajo Blanco shoal by graduate student Christian Rojas, including standard deviation and mean grain size in millimeters and phi units. Using this data in combination with the sieve analysis of the data in Table 2 yields values for the Dean overfill factor between 1.5 and 1.7 when analyzing the suitability of Bajo Blanco sand for use in nourishing Rincon beaches. Assuming that this sediment size is homogenous throughout the vertical extent of the sand shoal, this means that 50 - 70 percent of additional sand volume would be needed to account for the differences in grain sizes between the native and borrow area sand. The reader is referred to the Rojas (2016) for the details of the Bajo Blanco sediment compatibility analysis.
Figure 16. Alternative computation of Dean’s overfill factor as a single curve using dimensionless parameters Mb′ and Mn′ (Bodge, 2006).
Figure 17. Sieve analysis results for the 18 samples collected at the Bajo Blanco shoal by graduate student Christian Rojas, including standard deviation and mean grain size in millimeters and phi units. Note that the diameter data for each percent passing grade are in phi units.
2.4 Objectives Accomplished
As stated in the original proposal, the objectives of the present project are as follows:
Development of seamless topo/bathy RTK surveying capabilities for sub-aerial beach mapping: This objective was accomplished by developing an RTK-capable beach rover system. A detailed dataset of beach morphology evolution was collected during one year, including the effects of events such as Hurricane Matthew.
Analyzing sediment compatibility: Median grain diameters were computed for four sites beaches in the Rincón area (Rincón Balneario, Cooperativa, Villa Cofresí and Quebrada Los Ramos). In fact, two specific sites were sampled at high frequency (at least three times a month) along with the beach surveying efforts. Additionally, two land sediment sources (Arenero de Aguada and CORDECO) were characterized for sediment size, as well as two subaqueous deposits (Bajo Blanco and Rincón Wave Buoy site) While sand from terrigenous sources seems to be the most compatible in terms of size, more information needs to be gathered regarding sediment composition in order to conclude if this is in fact a viable source. Analysis of the Bajo Blanco deposit shows D50s that are slightly smaller than the beaches in Rincón, which will require an overfill factor of 50-70% in a beach nourishment project. Another potential alternative is the Rincón Wave Buoy site (D50=0.70mm). Although significantly coarser, we recommend this site to be further investigated, including cores if possible.
Development of a coastal sediments and topo/bathy surveys online viewer: A Mapbox-based online interface was developed to share all relevant sand grain size data that has been collected for the area of Rincón. The interface may be accessed at:
o https://www.canalsresearch.com/rincon-sediments/
As more data is collected by different researchers this data can be uploaded and the interface optimized for easy use by stakeholders.
2.5 Discussion of project impacts and products
After several decades of severe long-term erosion, many Rincón beaches are no longer able to serve as energy buffers during storms or to provide an adequate resource for tourism and recreation. This situation was severely aggravated by the effects of Hurricane María in September 2017, and at the moment the only potential solutions to save Rincón beaches are retreat and demolition of coastal infrastructure, or a major beach nourishment project that adds significant beach width. Both projects would cost several tens of millions of dollars.
This project has made small but important steps towards analyzing the feasibility of a major beach nourishment project by analyzing the morphodynamic and grain size variability of Rincon’s most erodedbeachesatsmalltimescales.Themostimportantimpacts ofthepresentstudyareas follows:
o The generation of local capabilities to conduct survey grade beach face mapping at UPRM.
o The acquisition of an important data set of topographic beach face variability and sediment dynamics at high temporal frequency. This dataset will be crucial for the design of a beach nourishment project.
o The development of an online interface to exchange information with stakeholders and state and federal agencies regarding erosion and sediment properties in Rincón.
Besides the technical advances mentioned above, the capabilities generated by this project along with another Sea Grant-funded project led by Dr. Luis Aponte from UPRM have partially resulted in the following grants to examine beach nourishment as well as the severe erosion left behind by Hurricane María:
• Puerto Rico Beach Recovery Post-María 2017: Phase 1 - Erosion Assessment, Control and Management
o Funding: $78k, April 2018 - July 2018, FEMA
o Investigators: PI Luis Aponte, Co-PIs: Miguel Canals, Jonathan Muñoz, Patricia Chardón
o Description: This rapid response project will evaluate the status of several beaches in Puerto Rico after Hurricane María using field observations and numerical modeling
• NSF RAPID: Hurricane Maria Rapid Response: Field Observations of Post-storm Beach Recovery Dynamics in Rincón, Puerto Rico
o Funding: $94k, November 2017 - October 2018, NSF
o Investigators: PI Patricia Chardon, Co-PIs Miguel Canals, Sylvia Rodriguez
o Description: This rapid response project will analyze in detail the beach recovery and sediment transport mechanisms in Rincón, Puerto Rico after Hurricane María
• Recycled glass as beach nourishment material to mitigate Puerto Rico erosion problems:An integrated effortbetween scientists,engineers and citizens
o Funding: $150k, July 2016 - June 2018, Puerto Rico Science Trust
o Investigators: PI Sylvia Rodriguez, Co-PIs: Marcelo Suarez
o Description: This project sought to evaluate the technical, economic, and social feasibility of using recycled glass as beach nourishment material.
2.6 Recommendations
This study focused on developing local capabilities that would allow us (UPRM) to analyze morphological changes due to the effects of seasonal atmospheric and hydrodynamic phenomena on the coast of Rincón, Puerto Rico. Weekly beach profiles were conducted at three beaches (Rincón Balneario, Cooperativa and Villa Cofresí) since September 2015 until November 2016 using a Real Time Kinematic (RTK) GPS System. In addition to that, sediment samples at key morphological features (berm, beach face, swash zone and nearshore) were also collected at the study sites. The frequency of the profiles and samples was increased during October 2016 to focus on the short-term effects caused by Hurricane Matthew.
Based on the results of the present project, we provide several recommendations below in order to advance our knowledge of the dynamics of Rincón beaches and bring a pilot beach nourishment project to Puerto Rico. Such a project would be the first large-scale beach nourishment project to be executed in Puerto Rico.
• Seismic profiling of Bajo Blanco should be conducted to obtain a realistic estimate of the amount of sand available for dredging at Bajo Blanco.
• Other nearby sand banks should be identified / explored as a backup option given the fact that the dredging of the Bajo Blanco may cause unwanted effects on the nearshore wave climate of Rincón beaches (see Rojas, 2016)
• Sediment composition was not analyzed as part of the present project. However, we have kept a large inventory of sand samples that can be used to examine sediment composition and further refine the sediment compatibility analysis.
2.7 References
Bodge, K. R. (2006). "Alternative computation of Dean’s overfill factor". Journal of Waterway, Port, Coastal and Ocean Engineering, 132:133–138.
Chardón, P. (2013). Field Observations and Numerical Simulations of Storm-induced Nearshore Morphology Change in Rincón, Puerto Rico. Master Research Thesis University of Puerto Rico at Mayaguez
Dean, R., Dalrymple, R. (2004). Coastal Processes with Engineering Applications. Cambridge: University of Cambridge
Dean, R. G. (1974). "Compatibility of borrow material texture for beach fill". In 14th International Conference on Coastal Engineering, ASCE, pages 1319–1333, Copenhagen, Denmark.
Jonathan, I., Lott, R. (2008). Datums and Map Projections for Remote Sensing, GIS and Surveying. Dunbeath: Whittles Publishing
Komar, P. (1976). Beach Processes and Sedimentation. New Jersey: Prentice-Hall Lin, L. Demirbilek, Z. (2012). Modeling Combined Diffraction-Refraction in a Coastal Spectral Wave Model. In Proceedings of the Twenty-second International Offshore and Polar Engineering Conference, Rhodes, Greece.
Rojas, C. (2016) Evaluation of the Bajo Blanco Sand Shoal as a Beach Nourishment Borrow Site for Eroding Beaches at Rincón, Puerto Rico. Master Research Thesis University of Puerto Rico at Mayaguez
Salgado, G., Rivera, A., Canals, M., Rodríguez, S., Loubriel, M. (2016). Observations of Seasonal Morphological Evolution at Moderately Energetic Beaches in Rincón, Puerto Rico. Poster presentation at 2016 Ocean Sciences Meeting
Sánchez, A., Lin, L., Demirbilek, Z., Beck, T., Brown, M., Li, H., et al. (2012). Coastal Modeling System Draft User Manual. USACE: ERDC
Smith, J. M. and Smith, J. (2002). Grid nesting with STWAVE. Technical report, Coastal and Hydraulics Laboratory Technical report, Vicksburg, MS.
Thieler, R., Rodríguez, R. W., & Himmelstoss, E. A. (2007). Historical Shoreline Changes at Rincón, Puerto Rico 1936-2006. Technical Report, U.S. Geological Surveyand U.S. Department of the Interior, VA
U.S.A.C.E. (1998). Coastal Engineering Manual. U.S. Army Corps of Engineers.