
VOLUME 126 NO. 2 FEBRUARY 2026

VOLUME 126 NO. 2 FEBRUARY 2026



![]()

VOLUME 126 NO. 2 FEBRUARY 2026

VOLUME 126 NO. 2 FEBRUARY 2026



Building on the success of previous events since its inception in 2004, the Platinum Conference Series continues to address the challenges and opportunities facing the global platinum group metals (PGMs) industry. As the sector faces increasing demands, from technological innovation and decarbonisation to cost management and market volatility, the 9th International PGM Conference held on the 27-28 October 2025 offered a critical platform for addressing these challenges head-on. The main theme for the conference was ‘PGMs – Enabling a Cleaner World’; the conference sought to drive competitiveness, relevance and self-determination of the PGM industry through strategic positioning. Guided by an expert Organising Committee and informed by insights from the industry, this year’s conference will delve into various topics designed to spark meaningful dialogue to drive innovation at every level of the PGM value chain and maintain competitiveness in a rapidly changing global landscape. Attendees can expect high-quality technical papers and presentations, robust networking opportunities, and strategic insights that help shape the future of the industry.


Now more than ever, the PGM industry needs fresh ideas, collaborative partnerships, and forward-thinking strategies to remain relevant. Whether you’re an academic, industry professional, sponsor, or policy leader, your participation will contribute to a dynamic exchange of expertise and solutions that can safeguard the sector’s longterm success. Join us as we explore cutting-edge developments, address the industry’s most pressing issues, and shape a sustainable, competitive future for the PGM industry. Be part of this dynamic event and help shape the future of the platinum and PGM sector. We look forward to your participation to ensure that this conference continues to be the premier platform for exchanging knowledge, ideas, and best practices in the PGMs space.
B.S. Xakalashe
Chairperson: Organising Committee
M.A. Mello
Co-Chairperson: Organising Committee
OFFICE BEARERS AND COUNCIL FOR THE 2025/2026 SESSION
President G.R. Lane
President Elect
T.M. Mmola
Senior Vice President
M.H. Solomon
Junior Vice President
S.J. Ntsoelengoe
Incoming Junior Vice President
M.C. Munroe
Immediate Past President
E. Matinde
Honorary Treasurer
W.C. Joughin
Ordinary Members on Council
W. Broodryk M.A. Mello
A.D. Coetzee K. Mosebi
Z. Fakhraei M.J. Mothomogolo
B. Genc S.M. Naik
F. Lake G. Njowa
K.M. Letsoalo S.M. Rupprecht
S.B. Madolo A.T. van Zyl
Co-opted Council Members
K.W. Banda
M.L. Wertz
Past Presidents Serving on Council
N.A. Barcza W.C. Joughin
R.D. Beck C. Musingwini
Z. Botha J.L. Porter
V.G. Duke M.H. Rogers
I.J. Geldenhuys G.L. Smith
R.T. Jones
M.L. Wertz – TP Mining Chairperson
W. Broodryk – TP Metallurgy Chairperson
C.T. Chijara – YPC Chairperson
T.S. Ndlela – YPC Vice Chairperson
Branch Chairpersons
Botswana K. Mosebi
DRC Vacant
Johannesburg A. Hefer
Limpopo M.S. Zulu
Namibia T. Aipanda
Northern Cape Vacant
North West T. Nsimbi
Pretoria P.G.H. Pistorius
Western Cape M.H. Solomon
Zambia N.M. Kazembe
Zimbabwe L. Shamu
Zululand Vacant
*Deceased
* W. Bettel (1894–1895)
* A.F. Crosse (1895–1896)
* W.R. Feldtmann (1896–1897)
* C. Butters (1897–1898)
* J. Loevy (1898–1899)
* J.R. Williams (1899–1903)
* S.H. Pearce (1903–1904)
* W.A. Caldecott (1904–1905)
* W. Cullen (1905–1906)
* E.H. Johnson (1906–1907)
* J. Yates (1907–1908)
* R.G. Bevington (1908–1909)
* A. McA. Johnston (1909–1910)
* J. Moir (1910–1911)
* C.B. Saner (1911–1912)
* W.R. Dowling (1912–1913)
* A. Richardson (1913–1914)
* G.H. Stanley (1914–1915)
* J.E. Thomas (1915–1916)
* J.A. Wilkinson (1916–1917)
* G. Hildick-Smith (1917–1918)
* H.S. Meyer (1918–1919)
* J. Gray (1919–1920)
* J. Chilton (1920–1921)
* F. Wartenweiler (1921–1922)
* G.A. Watermeyer (1922–1923)
* F.W. Watson (1923–1924)
* C.J. Gray (1924–1925)
* H.A. White (1925–1926)
* H.R. Adam (1926–1927)
* Sir Robert Kotze (1927–1928)
* J.A. Woodburn (1928–1929)
* H. Pirow (1929–1930)
* J. Henderson (1930–1931)
* A. King (1931–1932)
* V. Nimmo-Dewar (1932–1933)
* P.N. Lategan (1933–1934)
* E.C. Ranson (1934–1935)
* R.A. Flugge-De-Smidt (1935–1936)
* T.K. Prentice (1936–1937)
* R.S.G. Stokes (1937–1938)
* P.E. Hall (1938–1939)
* E.H.A. Joseph (1939–1940)
* J.H. Dobson (1940–1941)
* Theo Meyer (1941–1942)
* John V. Muller (1942–1943)
* C. Biccard Jeppe (1943–1944)
* P.J. Louis Bok (1944–1945)
* J.T. McIntyre (1945–1946)
* M. Falcon (1946–1947)
* A. Clemens (1947–1948)
* F.G. Hill (1948–1949)
* O.A.E. Jackson (1949–1950)
* W.E. Gooday (1950–1951)
* C.J. Irving (1951–1952)
* D.D. Stitt (1952–1953)
* M.C.G. Meyer (1953–1954)
* L.A. Bushell (1954–1955)
* H. Britten (1955–1956)
* Wm. Bleloch (1956–1957)
* H. Simon (1957–1958)
* M. Barcza (1958–1959)
* R.J. Adamson (1959–1960)
* W.S. Findlay (1960–1961)
* D.G. Maxwell (1961–1962)
* J. de V. Lambrechts (1962–1963)
* J.F. Reid (1963–1964)
* D.M. Jamieson (1964–1965)
* H.E. Cross (1965–1966)
* D. Gordon Jones (1966–1967)
* P. Lambooy (1967–1968)
* R.C.J. Goode (1968–1969)
* J.K.E. Douglas (1969–1970)
* V.C. Robinson (1970–1971)
* D.D. Howat (1971–1972)
* J.P. Hugo (1972–1973)
* P.W.J. van Rensburg (1973–1974)
* R.P. Plewman (1974–1975)
* R.E. Robinson (1975–1976)
* M.D.G. Salamon (1976–1977)
* P.A. Von Wielligh (1977–1978)
* M.G. Atmore (1978–1979)
* D.A. Viljoen (1979–1980)
* P.R. Jochens (1980–1981)
* G.Y. Nisbet (1981–1982)
A.N. Brown (1982–1983)
* R.P. King (1983–1984)
J.D. Austin (1984–1985)
* H.E. James (1985–1986)
H. Wagner (1986–1987)
* B.C. Alberts (1987–1988)
* C.E. Fivaz (1988–1989)
* O.K.H. Steffen (1989–1990)
* H.G. Mosenthal (1990–1991)
R.D. Beck (1991–1992)
* J.P. Hoffman (1992–1993)
* H. Scott-Russell (1993–1994)
J.A. Cruise (1994–1995)
D.A.J. Ross-Watt (1995–1996)
N.A. Barcza (1996–1997)
* R.P. Mohring (1997–1998)
J.R. Dixon (1998–1999)
M.H. Rogers (1999–2000)
L.A. Cramer (2000–2001)
* A.A.B. Douglas (2001–2002)
* S.J. Ramokgopa (2002-2003)
T.R. Stacey (2003–2004)
F.M.G. Egerton (2004–2005)
W.H. van Niekerk (2005–2006)
R.P.H. Willis (2006–2007)
R.G.B. Pickering (2007–2008)
A.M. Garbers-Craig (2008–2009)
J.C. Ngoma (2009–2010)
G.V.R. Landman (2010–2011)
J.N. van der Merwe (2011–2012)
G.L. Smith (2012–2013)
M. Dworzanowski (2013–2014)
J.L. Porter (2014–2015)
R.T. Jones (2015–2016)
C. Musingwini (2016–2017)
S. Ndlovu (2017–2018)
A.S. Macfarlane (2018–2019)
M.I. Mthenjane (2019–2020)
V.G. Duke (2020–2021)
I.J. Geldenhuys (2021–2022)
Z. Botha (2022-2023)
W.C. Joughin (2023-2024)
E. Matinde (2024-2025)
Editorial Board
S.O. Bada
P. den Hoed
I.M. Dikgwatlhe
M. Erwee
B. Genc
A.J. Kinghorn
D.E.P. Klenam
D.F. Malan
D. Morris
P.N. Neingo
S.S. Nyoni
M. Onifade
M. Phasha
P. Pistorius
P. Radcliffe
N. Rampersad
Q.G. Reynolds
I. Robinson
S.M. Rupprecht
Past President’s serving on the Editorial Board
R.D. Beck
R.T. Jones
W.C. Joughin
C. Musingwini
T.R. Stacey
S. Ndlovu*
*International Advisory Board member International Advisory Board members
R. Dimitrakopolous
R. Mitra
A.J.S. Spearing
E. Topal
D. Tudor
F. Uahengo
D. Vogt
Editor/Chairperson of the Editorial Board
R.M.S. Falcon
Typeset and Published by
The Southern African Institute of Mining and Metallurgy
PostNet Suite #212
Private Bag X31 Saxonwold, 2132
E-mail: journal@saimm.co.za
Printed by Camera Press, Johannesburg
Advertising Representative
Barbara Spence

VOLUME 126 NO. 2 FEBRUARY 2026
Journal Comment: 9th International PGM Conference by R.M.S. Falcon
President’s Corner: PGMs: Enabling a cleaner world, and sustaining industrial capability by G.R. Lane v
THE INSTITUTE, AS A BODY, IS NOT RESPONSIBLE FOR THE STATEMENTS AND OPINIONS ADVANCED IN ANY OF ITS PUBLICATIONS.
Copyright© 2026 by The Southern African Institute of Mining and Metallurgy. All rights reserved. Multiple copying of the contents of this publication or parts thereof without permission is in breach of copyright, but permission is hereby given for the copying of titles and abstracts of papers and names of authors. Permission to copy illustrations and short extracts from the text of individual contributions is usually given upon written application to the Institute, provided that the source (and where appropriate, the copyright) is acknowledged. Apart from any fair dealing for the purposes of review or criticism under The Copyright Act no. 98, 1978, Section 12, of the Republic of South Africa, a single copy of an article may be supplied by a library for the purposes of research or private study. No part of this publication may be reproduced, stored in a retrieval system, or transmitted in any form or by any means without the prior permission of the publishers. Multiple copying of the contents of the publication without permission is always illegal. U.S. Copyright Law applicable to users In the U.S.A. The appearance of the statement of copyright at the bottom of the first page of an article appearing in this journal indicates that the copyright holder consents to the making of copies of the article for personal or internal use. This consent is given on condition that the copier pays the stated fee for each copy of a paper beyond that permitted by Section 107 or 108 of the U.S. Copyright Law. The fee is to be paid through the Copyright Clearance Center, Inc., Operations Center, P.O. Box 765, Schenectady, New York 12301, U.S.A. This consent does not extend to other kinds of copying, such as copying for general distribution, for advertising or promotional purposes, for creating new collective works, or for resale.
Honorary Legal Advisers
M H Attorneys
Auditors
Genesis Chartered Accountants
Secretaries
The Southern African Institute of Mining and Metallurgy 7th Floor, Rosebank Towers, 19 Biermann Avenue, Rosebank, 2196
PostNet Suite #212, Private Bag X31, Saxonwold, 2132 E-mail: journal@saimm.co.za
Avenue Advertising Telephone (011) 463-7940 . E-mail: barbara@avenue.co.za ISSN 2225-6253 (print) . ISSN 2411-9717 (online)



Improving compressed air network efficiency in South African PGM mines through continual monitoring and reporting by C.M. van der Walt, H.J. Groenewald, J.F. van Rensburg ..............................................................
This study addresses the prevalent issues of mismanagement and inefficient use of compressed air on the demand side of the platinum group metals mining industry. The paper presents a practical solution developed and applied within a major South African platinum group metals mining group. The outcomes underscore the value of a systematic, data-driven approach to managing compressed air consumption.
Optimising blend ratios, grinds, and reagent schemes to recover platinum group metals from lower group reef spiral tailings by T.L. Moodley, I. Govender, S. Pikinini, J. Sehata, J. Tshilongo, M. Raedani
This paper proposes a practical route for mining houses to unlock additional platinum group metal value from lower group ore spiral tailings. By optimising blending ratios and reagent suites, it is possible to meet smelter chrome and platinum group metal grade thresholds, whilst still obtaining economically viable PGM recoveries.
Determination of rhodium from fire assay using lead collection with the addition of co-collector, followed by acid dissolution to enhance recovery and analytical accuracy by T. Rampfumedzi, A. Mkhohlakali, J. Sehat, H. Mabowa, R. Letsaole, N. Ntsasa, J. Tshilongo
This study explores the use of co-collectors to enhance the recovery and determination of rhodium during fire assay with lead collection. This work provides important insight into optimising fire assay procedures for reliable rhodium analysis, with potential benefits for platinum group metals recovery and economic evaluation.
101
Cooling innovation in practice: A case study on composite copper-graphite cooler performance before and after a PGM furnace partial sidewall rebuild by P. Bezuidenhout, G. de Villiers, H. Joubert, E. Mokgwamme, P. Nkosi, T. Goff, P. Spratt, M. Mvalelwa ...................... 105
The sidewall cooling system of the Sibanye-Stillwater Furnace 1 at its Marikana smelter complex was designed to improve corrosion resistance and stabilise freeze lining formation. This paper serves as a case study that compares and evaluates the operational performance of the composite coolers before and after the rebuild.
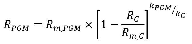
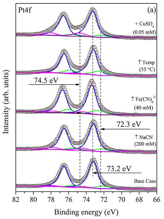
Fundamental characterisation of sperrylite leaching behaviour in cyanide systems using x-ray photoelectron spectroscopy by K. Shaik, H. Kolev, Z. Cherkezova-Zheleva, J. Petersen
This study explores the oxidative leaching of sperrylite using a cyanide–ferricyanide system, with a key focus on characterisation of the mineral and surface speciation under varied leaching conditions using x-ray photoelectron spectroscopy. This approach identified mineral oxidation states and shifts in binding energies, prior to and post leaching.
Understanding the nature of challenges posed in PGM recovery from secondary tailings resources by B. McFadzean, M. Becker, S. Geldenhuys, N. Patterson
This study compares the batch flotation performance across a range of platinum group metal tailings from the eastern and western limbs of the Bushveld Complex. The paper evaluates these findings to identify the key factors contributing to poor platinum group metal performance.
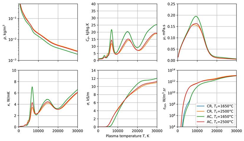
Plasma arc behaviour in direct current arc furnace smelting of platinum group metal-bearing materials: A modelling study on the effect of reductant choice by Q.G. Reynolds, B.S. Xakalashe, S.P. Tsebe, M.W. Erwee, I.J. Geldenhuys, R.T. Jones
This paper presents a study of plasma arc behaviour in the context of the ConRoast® reductive smelting process for Upper Group 2 ore as well as processes for recycling of automotive catalysts. It was found that the freeboard gas compositions, plasma properties and arc behaviour were all affected by the choice of reductant.
125
Elevating safety and efficiency in mining with Vision AI: From object detection to large language model-driven decision intelligence by Y. Zhang, M.A.H. Zahid, T. Moodley 135 Vision AI is emerging as a transformative solution to deliver real-time, actionable insights. This paper presents solution architectures, deployment results, and key insights across underground operations, demonstrating how Vision AI is reshaping mining operations to become safer, more efficient, and more intelligent.


rofessional bodies have long played a critical role in shaping the mining and minerals sector. They provide technical credibility, foster knowledge exchange, and create spaces where professionals can engage beyond their immediate operational roles. In an industry facing increasing complexity, this role is arguably more important than it has ever been.
At the same time, the context in which young professionals enter and experience the industry has shifted materially. If professional institutions are to remain relevant and impactful, it is worth reflecting on whether existing engagement models, programmes, and operating structures still align with the realities faced by the next generation of mining professionals.
Historically, professional engagement followed a relatively linear pathway. Students were introduced to the profession, graduates joined institutes, and involvement deepened over time through volunteering, committee work, and leadership roles. Today, this pathway is far less predictable. Young professionals are often geographically dispersed, working at remote operations, managing demanding roles, and balancing professional growth with personal and family responsibilities. In this environment, passive engagement models risk losing traction. The question is no longer whether young professionals should engage, but whether professional bodies are structured to engage them effectively.
Programme relevance is closely linked to this challenge. Technical excellence remains foundational to mining and metallurgy, and it always will. Yet, many young professionals are seeking more than technical depth. They are navigating complex career decisions, rapid technological change, evolving leadership expectations, and increasingly interdisciplinary roles. Professional development offerings that integrate technical capability with leadership, communication, systems thinking, and career navigation are becoming increasingly important in meeting the needs of the modern young professional.
A further consideration is the operating model of professional bodies themselves. Many institutes rely heavily on volunteerism and short leadership terms to function. While this model has served the profession well for decades, it also creates a participation paradox for young professionals. At the stage of their careers when work demands are highest and many are establishing families or relocating to remote sites, they are also being asked to contribute time, energy, and leadership capacity to professional institutions. This tension is not always a lack of commitment, but rather structural constraints that warrant careful reflection.
As the mining industry continues to change, so too must the ways in which professional communities engage, support, and develop their future leaders. Institutions that adapt thoughtfully to these realities will not only remain relevant but will strengthen their role as custodians of the profession for generations to come.
R.M.S. Falcon


his PGM-focused edition of the SAIMM Journal is particularly meaningful for me. From 27–29 October 2025, I had the privilege of opening the 9th International PGM Conference, hosted by the Southern African Institute of Mining and Metallurgy at Sun City. Having attended this conference for more than 14 years as both a delegate and speaker, and having previously served as Chairperson of the 8th International PGM Conference, returning last year as SAIMM President to open the event was both personally and professionally significant.
The conference theme, PGMs, Enabling a Cleaner World, was highly relevant. With more than 300 delegates, this was the largest PGM Conference to date, underscoring the continued global importance of PGMs in emissions reduction, clean energy technologies, and emerging industrial applications, even amid challenging market conditions.
As expected, the quality of keynote addresses and technical presentations was exceptionally high. The programme spanned the full PGM value chain, from geology, mining and processing through to market dynamics, technology evolution and emerging applications, while engaging candidly with structural pressures such as cost escalation, energy constraints, operational risk, and market volatility.
The conference coincided with an important inflection point in PGM markets. After an extended period of price pressure, platinum prices had already begun a meaningful recovery by late October 2025. These market dynamics were addressed in the opening presentation, PGM Supply and Demand Outlook, delivered by Henk de Hoop, Managing Director of SFA (Oxford), who highlighted tightening supply fundamentals, sensitivity to modest demand shifts, and the growing influence of China’s buying behaviour in supporting price momentum.
One keynote was particularly impactful from a South African perspective. “Two metals, one mine: Unpacking the market dynamics linking chromium and PGMs in a South African context,” delivered by T.G. Schultz and M. Mapiloko of Project Blue, highlighted how sustained electricity cost increases have fundamentally eroded the competitiveness of South Africa’s ferrochrome industry. Industry data presented showed that a combination of smelter and furnace closures and long-term suspensions, with over a dozen facilities having been closed or curtailed, has resulted in a substantial loss of ferrochrome capacity nationally and massive job losses, as chrome ore is increasingly exported without local beneficiation, particularly to China.
As part of SAIMM’s value strategy to develop young professionals and strengthen the pipeline, ten university students were sponsored to attend the conference. My engagement with these students during the conference reinforced the value of early exposure to industry, technology and leadership. Our strategy is to replicate this approach more deliberately, enabling sponsored students to attend SAIMM technical events as part of strengthening the future skills and leadership pipeline.
In support of this objective, four members of the management team from the Mining Qualifications Authority (MQA) attended the conference, providing an opportunity to demonstrate SAIMM’s value proposition in professional development and industry-aligned skills building.
What stood out throughout the conference was the resilience and depth of capability within the PGM sector. This is an industry accustomed to operating under constraints, yet it continues to innovate and adapt through cycles, underpinned by strong technical foundations and professional expertise.
For SAIMM, conferences such as the International PGM Conference reaffirm our role as a neutral professional platform that convenes expertise, enables rigorous technical debate, and supports continuing professional development across generations. I commend the organising committee, authors, presenters, and delegates on delivering an outstanding event. We are also grateful for the continued support of our sponsors and exhibitors.
PGMs will continue to play a critical role in enabling a cleaner and more sustainable world. Ensuring that South Africa remains a competitive and responsible participant in that future will depend on disciplined leadership, sound policy choices, and sustained investment in people and professional capacity and capability.
G.R. Lane President, SAIMM


SWAKOPMUND HOTEL AND ENTERTAINMENT CENTRE, SWAKOPMUND, NAMIBIA

0ne kilogram of uranium can produce as much energy as 160 tons of coal. As the world transitions to sustainable, low-carbon energy solutions, uranium will play an increasingly critical role by enabling the generation of large amounts of electricity with minimal greenhouse gas emissions. Uranium already forms part of a reliable and low-emission energy mix in many countries, contributing significantly to global decarbonisation efforts.
Uranium and nuclear energy has had its fair share of negative publicity, due to associations with nuclear weapons and the risk of wide-scale harm to humans and nature in the event of an accident. Despite these concerns, the benefits of nuclear energy makes uranium a compelling energy source.
Nuclear energy’s increasing momentum could be seen at COP28, where the first Global Stocktake under the Paris Agreement called for the acceleration of nuclear and other low-emission technologies to help achieve deep decarbonization.
This conference aims to bring together professionals from across the uranium value chain.
Topics will span the entire spectrum, from geology, mining, processing, application as nuclear fuel, application in the medical field, to post-mining closure – offering a holistic view of the uranium sector.
The conference will take place in the town of Swakopmund, Namibia – the heart of Namibia’s uranium mining industry. Swakopmund is a scenic coastal town, nestled between the Atlantic Ocean and the Namib Desert. It has much to offer the tourist, including great local cuisine, desert excursions, ocean activities and serene beach relaxation.
We invite students, lecturers, engineers, operators, economists, research and development professionals and policy makers to join in the conversations. Participants will gain a holistic view of the uranium industry and its multifaceted role in modern society and the future of mankind.
18 August 2026 – Workshop 19-20 August 2026 – Conference 21 August 2026 – Technical Visit
Papers are invited on the following topics:
• Uranium market trends
• Uranium resources, including exploration and new developments
• Mining
• Mineral and metallurgical processing
• Process control and optimization
• Analysis, including uranium and associated components
• Refining and value-added products
• Fuel cycle
• Recycling and reprocessing
• Nuclear/radioactive waste and site remediation
• Logistics of handling and transporting uranium in its various forms
• Medical applications
• Health and safety
• Environment, Social and Governance (ESG)
• Legislative and policy issues
• Economics
• 2 March 2026 - Submission of abstracts
• 13 April 2026 - Submission of papers
• 18 August 2026 – Technical workshop: Modelling with Cycad Process
• 19-20 August 2026 - Conference
• 21 August 2026 - Technical visit: Langer Heinrich Uranium FOR FURTHER INFORMATION, CONTACT:
Gugu Charlie, Conferences and Events Coordinator
E-mail: gugu@saimm.co.za
Tel: +27 11 530 0238
Web: www.saimm.co.za
Prospective authors are invited to submit titles and abstracts of their papers in English. The abstracts should be no longer than 500 words.
Acceptance of papers for publication in the SAIMM Journal will be subject to peer review by the Conference Committee and SAIMM Publications Committee pre-conference.

Affiliation:
1ETA Operations (Pty) Ltd, Pretoria, South Africa
2Faculty of Engineering, North-West University, South Africa
Correspondence to:
C.M. van der Walt
Email: cvderwalt@rems2.com
Dates:
Received: 7 Oct. 2025
Published: February 2026
How to cite:
van der Walt, C.M., Groenewald, H.J., van Rensburg, J.F. 2026. Improving compressed air network efficiency in South African PGM mines through continual monitoring and reporting. Journal of the Southern African Institute of Mining and Metallurgy, vol. 126, no. 2, pp. 87–94
DOI ID:
https://doi.org/10.17159/2411-9717/903/2026
ORCiD:
C.M. van der Walt
http://orcid.org/0000-0002-1675-8292
H.J. Groenewald
http://orcid.org/0000-0001-8610-043X
J.F. van Rensburg
http://orcid.org/0000-0002-8246-3396
This paper is based on a presentation given at the 9TH International PGM Conference 2025, 27-28 October 2025, Sun City, Rustenburg, South Africa
by C.M. van der Walt1,2, H.J. Groenewald1,2, J.F. van Rensburg1,2
Abstract
The South African platinum group metals mining industry faces considerable operational costs, with compressed air networks’ annual costs accounting for up to 35% of total electricity consumption. Amidst escalating electricity tariffs and volatile commodity prices, enhancing energy efficiency has become critical for economic sustainability. This study addresses the prevalent issues of mismanagement and inefficient use of compressed air on the demand side, such as leakages and unauthorised use for ventilation. While previous research has identified these inefficiencies, a gap exists in the continual monitoring and reporting of network performance to drive sustained improvements.
This paper presents a practical solution developed and applied within a major South African platinum group metals mining group. The methodology focuses on a continual monitoring and reporting framework to improve demand-side management. The implementation of this solution has demonstrated significant financial and energy-saving potential. Key findings from case studies include: 1) the mitigation of R150,000 in costs over five days by rectifying a single instrumentation fault, 2) a potential annual energy saving of up to 5.6 GWh (R10.6 million) by enforcing valve closures during non-productive periods, and 3) an annual reduction of 3.7 GWh (R7.2 million) through improved underground ventilation controls. These outcomes underscore the value of a systematic, data-driven approach to managing compressed air consumption, offering a viable strategy for cost reduction and enhanced efficiency across the platinum group metals industry.
Keywords
South African PGM mining industry, continual monitoring and reporting, energy management, compressed air management, energy savings, costs savings
Compressed air is an essential utility in the South African mining sector, often termed the fourth utility (Yuan et al., 2006). Its generation, however, is notoriously energy-intensive and inefficient. Within the South African industrial sector, compressed air generation accounts for approximately 13% of electricity usage, with the mining industry being the most significant consumer (Howells, 2006). As illustrated in Figure 1, the mining sector’s consumption dwarfs that of other industries. Within the energy-intensive environment, the platinum group metals (PGM) mining industry is a particularly high consumer, dedicating on average approximately 21% (in some cases up to 35%) of its electrical energy specifically to the generation of compressed air for use in mineshafts (Van der Walt, 2024). On an annual basis, this consumption translates to a staggering figure of over 12,000 GWh for the entire PGM mining industry. Such a high level of energy use results in a substantial operational expenditure, a financial burden that is magnified by the context of consistently rising electricity tariffs in South Africa (Eskom, 2025). The scale of this expenditure also represents a significant opportunity; it is estimated that a potential annual cost saving of R1.6 billion could be realised across the industry through targeted interventions. This immense financial prize underscores the critical and urgent need for developing and implementing effective efficiency improvements (Van der Walt, 2024; Zietsman, 2020).
The primary sources of inefficiency exist on the demand side of the compressed air networks. These sources include extensive leakages, the use of compressed air for cooling and ventilation in deep-level mines, and the supply of air to inactive mining sections (Du Plooy et al., 2019; Van der Walt, 2024; Van Gruting et al., 2022; Zietsman, 2020). While numerous studies have benchmarked and identified these inefficiencies (Cilliers, 2016; Du Plooy et al., 2019; Zietsman, 2020), a significant gap remains in the literature concerning sustainable, long-term management solutions driven by real-time data.


This study aims to bridge this gap by developing and implementing a solution for improving the demand-side efficiency of compressed air networks through a framework of continual monitoring and reporting. The aim is to create a systematic approach that identifies, validates, and analyses performance data, creates automated hierarchical reports for various stakeholders, and establishes a procedural workflow for acting on inefficiencies. This research presents a validated, practical methodology applied to a South African PGM mining group, demonstrating its effectiveness in achieving significant energy savings.
The research methodology followed a case study approach (Crowe et al., 2011), which allowed for an in-depth application and validation of a theoretical framework in a real-world industrial setting. The developed solution encompasses four key stages, as illustrated in Figure 2.
The first phase of the methodology entails the identification,
acquisition, and validation of the data that were later used in the reports developed in this study. The required data is summarised as:
➤ Process and electricity data
➤ Production data
➤ Organisational hierarchy
➤ Mineshaft layouts
The required process and electricity data were identified and sourced from Supervisory Control and Data Acquisition (SCADA) systems, and third-party data providers. This typically involves data related to volumetric compressed air consumption (both mineshaft total and sections within), electricity consumption data (of the compressors used to generate compressed air), and process variables related to a control valve typically used to reduce pressure during non-drilling periods (Van den Berg, 2022). The frequency required for this data was determined to be at least hourly to align with the Eskom time-of-use (TOU) tariffs.
Production data, typically tonnes of ore produced, were acquired from the mineral resources management (MRM) or survey department, with the most frequently available data being daily.
Production data can typically be used in conjunction with process and electricity data to conduct an intensity analysis. Intensity analyses are useful comparative indicators of performance.
The organisational hierarchy, obtained from the Human Resources (HR) Department in the form of an organogram is essential for identifying key stakeholders within the organisation. Changes in this data type occur infrequently and was updated as changes occurred during the study. In the same sense, mineshaft layouts were acquired from multiple different sources, with each being responsible for a specific type, whether it be physical or Piping and Instrumentation Diagrams (P&ID). The required data were identified from various sources within the mining operation, as summarised in Table 1.
All acquired process data underwent a rigorous validation procedure to ensure accuracy and completeness. The multi-step process included checks for constant values, correct measurement units, sensor range conformity, system boundary logic, redundancy, and correlation between related variables (Van der Walt, 2024). This procedure proved crucial for identifying instrumentation faults, which, as will be shown in Case Study A, can be a significant source of inefficiency.
To translate raw data into actionable insights, several analysis techniques were employed. Daily consumption profiles were compared against historical averages and theoretical zero-waste targets (Van Der Merwe et al., 2022) to quantify wastage and identify anomalous consumption patterns (Figure 3). Intensity analysis (consumption per tonne of ore produced) (Du Plooy et al., 2019) was used for benchmarking performance (Figure 4) between different mineshafts and sections. For detailed diagnostics, steptesting (Zietsman, 2020) was employed to localise wastage within specific underground areas.
Based on these analyses, three automated reports were developed to cater to different levels of the operational hierarchy: a daily Section Performance Report for mine overseers, a weekly Performance Overview Report for management (Table 2), and a daily Control Valve Performance Report (Table 3) for engineers and technicians.

actual use against historical and target baselines
Consumption vs tonnes

Production
inefficiencies
A structured procedure was established for the daily and weekly review of these reports. The workflow begins with a weekly overview to prioritise efforts, followed by daily monitoring to detect new inefficiencies or track progress on existing issues. When an inefficiency had been identified, a formal process was initiated to identify responsible personnel, develop a formal action plan with
Table 1
Required data for compressed air network performance analysis, and continual monitoring and reporting
Data and information
Frequency
Source
Organisation hierarchy As necessary HR Department/word-of-mouth
Mineshaft layouts (haulage and control and instrumentation) As necessary MRM, survey, electrical, or instrumentation departments
Production Daily
(Electricity data) energy consumed by compressed air generation
(Process data) mass flow rate of compressed air
(Process data) compressed air pressure
(Process data) valve position
Controller output
Remote or local control
Hourly
Hourly
Hourly
Hourly
Hourly
Hourly
MRM/survey department
Electrical department/third party
Instrumentation department/third party
Instrumentation department/third party
Instrumentation department/third party
Instrumentation department/third party
Instrumentation department/third party
Table 2
Table 3
commitment dates, and monitor the implementation of the plan, escalating when necessary to ensure accountability (Jordaan et al., 2024).
Results
The developed solution was implemented and validated through three distinct case studies at a large PGM mining group. Each case study was selected to test the solution’s effectiveness in addressing different types of common inefficiencies found in compressed air networks (Van der Walt, 2024). The studies focused on reactive problem solving for equipment malfunctions, proactive management of operational schedules to reduce costs, and systematic improvement of underground infrastructure to combat wastage.
The value of the monitoring system as a reactive tool was demonstrated in this case study. Daily reviewing of the Control Valve Performance Report revealed a critical anomaly at one mineshaft: The mass flowmeter registered a constant, non-zero flow rate even during periods when the control valve was fully closed (Figure 5 and Figure 6). This erroneous data prevented the PLC from executing its standard control logic, which relied on both flow and pressure inputs. As a result, the system defaulted to a fail-safe state that left the control valve fully open, thereby failing to reduce compressed air during non-drilling periods and wasting a significant amount of energy.
Upon identifying this discrepancy, the issue was immediately escalated to the mineshaft’s engineering and instrumentation departments. While awaiting the replacement of the faulty instrument, a temporary control philosophy was implemented that bypassed the faulty flowmeter data, allowing the system to operate using only downstream pressure readings. This swift intervention restored automated control and, by preventing five days of sustained energy waste, averted a potential cost increase of R150,000: an equivalent energy loss of 116 MWh.
This initiative focused on enforcing the closure of control valves during the evening blasting period, which coincides with Eskom’s peak electricity tariff (Eskom, 2025). The daily reports created visibility and accountability, which drove a coordinated effort between engineering and mining departments. Over an 18-month period, this initiative led to a 21% reduction in the average compressed air mass flow during the blasting period across nine mineshafts (Figure 7). This equates to a verified annual saving of 5.6 GWh in energy, which translates to R10.6 million in operational costs.
On Mineshaft D, this initiative was prohibited from being implemented due to pneumatic pumps being supplied from the main pipeline. At the time of evaluation, another initiative to replace the pneumatic pumps with electrical pumps was still underway. The significant improvement at Mineshaft E was due to



a project that allowed the underground loading box to be supplied from the surface. As a result, the total reduction in consumption did not include this improvement.
Case study C: Underground ventilation controls improvement
This case study targeted the common but inefficient practice of
using compressed air for ventilation (Van Gruting et al., 2022). The performance reports were used to identify and prioritise underground sections with high, non-productive baseload consumption (Table 4). Mineshaft B was selected instead of Mineshaft A and Mineshaft E for two reasons, namely, because halflevel flow meters were already installed, and that the initiative was approved by management.
Table 4
Compressed air intensity performance analysis extract from weekly Performance Overview Report

Summary of proactive case study results
Subsequent underground audits confirmed that this consumption was due to substandard ventilation controls, such as missing brattices and damaged ducting. A 15-month sustained focus on rectifying these issues at one mineshaft results in a significant reduction in baseload consumption (Figure 8) and an annual saving of 3.7 GWh, an equivalent cost reduction of R7.2 million.
The cumulative impact of these initiatives demonstrates the significant potential for cost savings across different operational scenarios. Table 5 provides a consolidated summary of the proactive case studies (B and C). The energy and cost saving of these initiatives totalled 9.3 GWh and R17.8
Discussion
The results from the three case studies validate the efficacy of a continual monitoring and reporting framework. The financialand energy savings achieved are substantial and demonstrate that such a system provides a clear return on investment. Case Study A highlights the importance of data validation and monitoring of control systems themselves. Without such monitoring, costly inefficiencies can go unnoticed. The reactive nature of this case study prevented significant losses, which underscores the system’s value as a defensive tool.
Case studies B and C demonstrate the proactive power of the solution. By providing clear, quantifiable data on wastage, the reports facilitate communication between different operational departments and motivate action. The developed reports served as a crucial tool for management to drive this change and hold teams accountable.
The findings align with the principles of the ISO 50001 energy management standard (ISO 50001: Energy Management Standard, 2018), particularly the ‘Plan-Do-Check-Act’ cycle. This solution provides a robust ‘Check’ and ‘Act’ mechanism that was previously lacking in a systematic form for compressed air management on the demand side. The ability to attribute costs to wastage at a sectional level empowers managers to make informed decisions and justifies expenditure on maintenance and upgrades.
Conclusion and recommendations
The PGM mining industry in South Africa faces immense pressure to reduce operational costs. This study has demonstrated that improving the efficiency of the compressed air networks through continual monitoring and reporting offers a significant and sustainable opportunity for cost savings. The developed solution, integrating data validation, targeted analysis, and a structured reporting and action workflow, has proven to be highly effective in a real-world mining environment.
The key contribution of this work is a practical, scalable framework that moves beyond ad hoc audits to a continuous improvement model. It empowers mine management with the visibility needed to manage compressed air with the same rigor as other major cost drivers. The substantial savings realised in the case studies confirm that a systematic, data-driven approach is critical to unlocking the full efficiency of these complex utility networks.
Based on the findings and limitations observed during this study, future work should focus on extending the methodology presented here, which could be adapted and applied to other energy-intensive systems within mining, such as ventilation, cooling and dewatering systems. Given the similar need for data-driven management, significant efficiency improvement could likely be realised.
References
Cilliers, C. 2016. Benchmarking electricity use of deep-level mines (PhD). North-West University, Potchefstroom, South Africa.
Crowe, S., Cresswell, K., Robertson, A., Huby, G., Avery, A., Sheikh, A. 2011. The case study approach. BMC Med. Res. Methodol, vol. 11, no. 100. https://doi.org/10.1186/1471-2288-11-100
Du Plooy, D., Maré, P., Marais, J., Mathews, M.J. 2019. Local benchmarking in mines to locate inefficient compressed air
usage. Sustain. Prod. Consum, vol. 17, pp. 126–135. https://doi.org/10.1016/j.spc.2018.09.010
Eskom, Tariff History: Historical Average Price Increase. Accessed: Jul. 23, 20205. [Online]. Available: https://www.eskom.co.za/ distribution/wp-content/uploads/2025/01/Historical-averageprices-and-increase_v20250114_no-links_External.xlsx
Howells, M.I. 2006. The targeting of industrial energy audits for DSM planning. Journal of Energy in Southern Africa, vol. 17, pp. 58–65. https://doi.org/10.17159/2413-3051/2006/v17i1a3313 Energy Management, ISO 50001:2018, International Organization for Standardization, 2018. Accessed: Jul. 23, 2025. [Online]. Available: https://www.iso.org/iso-50001-energy-management. html
Jordaan, E.G., Van Rensburg, J., Du Preez, J. 2024. New Accountability Approach: Utilising Dynamic Zero-Waste Baselines to Mitigate Water Wastage in Gold Mines. Mining 4, 943–965. https://doi.org/10.3390/mining4040053
Van den Berg, J.D. 2022. Expanding compressed air demand side management through selective level control (Master’s). NorthWest University, Potchefstroom, South Africa.
Van Der Merwe, A., Gous, A., Schutte, C. 2022. Using zero-wastage baselines to identify compressed air system inefficiencies in deep-level mines. The South African Journal of Industrial Engineering, vol. 32. https://doi.org/10.7166/33-3-2803
Van der Walt, C.M. 2024. Improving compressed air networks on PGM mines in South Africa through continual monitoring and reporting (Master’s). North-West University, Potchefstroom, South Africa.
Van Gruting, U., Schutte, C., Pelser, W., Van Laar, J. 2022. Investigating the link between compressed air wastage and ventilation shortfalls in deep-level mines. The South African Journal of Industrial Engineering, vol. 32. https://doi.org/10.7166/33-3-2786
Yuan, C.Y., Zhang, T., Rangarajan, A., Dornfeld, D., Ziemba, B., Whitbeck, R. 2006. A decision-based analysis of compressed air usage patterns in automotive manufacturing. Journal of Manufacturing Systems, vol. 25, pp. 293–300. https://doi. org/10.1016/s0278-6125(06)80241-4
Zietsman, L.N. 2020. Novel solutions for compressed air demand management on deep-level mines (PhD). North-West University, Potchefstroom, South Africa. u

Date: 17 April 2026
AVANI VICTORIA FALLS RESORT, LIVINGSTONE, ZAMBIA
ECSA and SACNASP Validated CPD ActivityCredits = 0.1 per hour attended

SAIMM Zambia Branch in conjunction with Engineering Institute of Zambia
The Southern African Institute of Mining and Metallurgy (SAIMM) is uniquely positioned to lead a specialised technical conference during the 2026 EIZ Symposium. This initiative aligns with the official theme: "Sustainable energy, smart mining, and regenerative agriculture for an innovative circular economy."
Key Strategic Drivers
l Technical Depth: While the AGM provides highlevel fiscal discussions, SAIMM provides the deepdive engineering expertise required to implement "Smart Mining" in Zambian operations.
l Regional Synergy: Leveraging SAIMM’s network allows for a cross-pollination of ideas between Zambian engineers and the broader Southern African mining community.
l Operational Safety: Smart mining technologies— such as autonomous hauling, remote sensing, and AI analytics—are essential for achieving "Zero Harm" targets.
The primary mission of the session is to provide an independent platform for knowledge-sharing that specifically addresses the needs of the Zambian and regional mining sectors.
l Knowledge Dissemination: To circulate first-class technical data and news regarding developing technology in the mining and metallurgical industries.
l Professional Development: To offer accredited Continuous Professional Development (CPD) hours, ensuring that engineers remain relevant and globally competitive.
l Collaborative Networking: To bring together the mining fraternity, research personnel, and students to foster cross-disciplinary innovation.
l Ethical Standard Setting: To reinforce a professional code of ethics and integrity within engineering work in the region.
These are suggested topics under theme other topics will be considered.
l The Digital Mine.
l Integration of IoT and AI in modernising mineral extraction.
l Sustainable metallurgical processes.
l Highlighting Zambia’s mining challenges.
l Transitioning to a Circular Economy through Smart Metallurgy.
ABSTRACT SUBMISSION DEADLINE: 16 March 2026
The SAIMM Zambia Branch is inviting influential industry and thought leaders to participate as speakers and share their innovative insights in reimagining the industry. Prospective presenters are invited to submit titles and abstracts of their presentations in English. The abstracts should be no longer than 500 words.
further information contact:

Affiliation:
1Minerals Processing and Characterisation
Cluster, Mintek, South Africa
2Discipline of Chemical Engineering, School of Engineering, University of KwaZulu-Natal South Africa
3Department of Chemical Engineering, Centre for Minerals Research, University of Cape Town, South Africa
4Dwarsrivier Chrome Mine, South Africa
Correspondence to:
T.L. Moodley
Email: taswaldmoodley1@gmail.com
Dates:
Received: 22 Oct. 2025
Published: February 2026
How to cite:
Moodley, T.L., Govender, I., Pikinini, S., Sehata, J., Tshilongo, J., Raedani, M. 2026.
Optimising blend ratios, grinds, and reagent schemes to recover platinum group metals from lower group reef spiral tailings. Journal of the Southern African Institute of Mining and Metallurgy, vol. 126, no. 2, pp. 95–100
DOI ID:
https://doi.org/10.17159/2411-9717/910/2026
ORCiD:
T.L. Moodley
http://orcid.org/0000-0001-9530-8718
I. Govender
http://orcid.org/0000-0003-3080-8505
This paper is based on a presentation given at the 9TH International PGM Conference 2025, 27-28 October 2025, Sun City, Rustenburg, South Africa
by T.L. Moodley1,2, I. Govender1,2,3, S. Pikinini1, J. Sehata1, J. Tshilongo1, M. Raedani4
Abstract
In the face of dwindling Merensky ore reserves in the early 1990s, Mintek developed the MF2 flotation circuit to economically recover platinum group metals from the shallow upper group-2 chromitite reef. By aligning the primary and secondary grind to the platinum group metal liberation kinetics, excessive fine chromite generation was avoided, and thus one could consistently produce high-grade concentrates (>200 g/t platinum group metals) with low chrome content (<3% Cr2O₃), well within smelter tolerances. This, coupled with upper group2's low-cost open-pit mining, made it particularly attractive to investors and mining houses alike. As a result, deeper lying reefs like middle group and lower group with lower platinum group metals grades and complex mineralogy, were primarily mined only for chromite using density-based separation processes (like spirals), of which the waste tailings are best classified as secondary platinum group metals resources.
Today, with global platinum group metal demand rising and high grade upper ground-2 reserves rapidly diminishing, the industry must revisit these middle group and lower group tailings. Mineralogical analysis reveals several challenges: Middle group tailings feature platinum group metals locked within silicate matrices, while lower group tailings contain fine chromitite fragments, and are hosted within non-floating laurite grains, each presenting liberation and gangue issues. Smelter constraints still demand concentrates below 3% Cr₂O₃, requiring solutions that consider both platinum group metals recovery and chrome entrainment.
To develop a solution, two lower group chrome spiral tailings samples were obtained from a large chrome mine: Sample A (+425 µm – 106 µm) and Sample B (−106 µm). Initial assays showed Sample B contained higher platinum group metal grades but also higher Cr₂O₃. As such, different blends of flotation feeds were evaluated using ratios of 90:10 (C1) and 80:20 (C2) of Sample A to Sample B, targeting the coarse fraction's lower chrome content while recovering valuable platinum group metals from the fines.
This work proposes a practical route for mining houses to unlock additional platinum group metal value from lower group ore spiral tailings. By optimising blending ratios and reagent suites, it is possible to meet smelter chrome and platinum group metal grade thresholds, whilst still obtaining economically viable PGM recoveries.
Keywords
PGM flotation, Fuerstenau selectivity curves, Kelsall kinetic modelling, LG (Lower Group) Chromitite
The Bushveld Igneous Complex (BIC) is home to the world’s largest vanadium, chrome, and platinum reserves. It is divided into five zones: marginal, lower, critical, main, and upper. The lower group (LG) reefs occur in the Critical Zone, which is known for its stratiform chromitite layers. These layers are laterally extensive, with the LG reefs stretching over tens of kilometres (Scoon, Teiger, 1994). LG reefs hold significant concentrations of platinum group metals (PGM) (Viljoen, 2016). Chromite serves as the primary host for PGMs, often containing microscopic inclusions of laurite [(Ru, Os, Ir)S₂] and Pt-Fe alloys, while base metal sulphides (BMS) such as pentlandite, pyrrhotite, and chalcopyrite act as secondary hosts for platinum group elements (PGE) (Kinloch, 1982). PGEs like Pt, Pd, and Rh are often associated with sulphide phases, while Ru, Os, and Ir are more commonly found in chromitehosted inclusions. The LG reefs, while less PGE-rich than the Merensky and UG2 reefs, are a significant untapped resource due to their wide spatial mapping and high chromite content (Cawthorn et al., 2002). South African mining houses have historically processed LG reefs for chrome and UG-2 and the Merensky reefs for PGMs.
Froth flotation is a critical process for the selective recovery of PGMs, relying on differences in surface chemistry to separate valuable minerals, that is, PGMs from gangue (Cr2O3 in this case). The process relies on the attachment of hydrophobic mineral particles to air bubbles, which rise to the froth phase for collection, while hydrophilic particles remain in the slurry. Corin et al. (2021) discussed why those PGMs respond effectively to the collector reagents used in froth flotation due to their association with sulphides, arsenides, and tellurides. Reagents play an important role in optimising flotation performance. Collectors, such as xanthates and dithiophosphates, enhance the hydrophobicity of PGM minerals, while depressants like carboxymethyl cellulose (CMC) selectively suppress gangue minerals, including naturally floatable silicates and talc (O’Connor et al., 2018). Frothers stabilise the froth phase, reducing bubble surface tension and improving froth recovery (Bradshaw et al., 2005). Kinetic models, such as the modified Kelsall model (Jovanovic, Miljanovic, 2015), are increasingly used to predict PGM recovery by accounting for fast, e.g., chalcopyrite and slow-floating, e.g., pentlandite PGM species. These models, when integrated with mineralogical data, embed mode-of-occurrence information to improve recovery and grade (Doubra et al., 2023).
There are several challenges with processing the LG reef. Their lower PGM grades require bulk mining methods, which increase operational costs. Additionally, the high chromite content complicates PGM recovery, as chromite-hosted PGMs like laurite resist flotation treatments. This differs from the Merensky and UG2 reefs, where sulphide-hosted PGMs are more amenable to conventional flotation methods (Barnes, Maier, 2002). Hence, the aim of this study is to evaluate flotation performance of LG spiral tailings and blends to balance PGM recovery with chrome rejection.
Materials and methods
Sample characterisation
The material used in this study was obtained from a large LG chrome operation. Two primary streams were sampled: a spiral tailings stream and a classification cyclone overflow stream. In this work, these are referred to as Sample A (size fraction +425–106 µm) and Sample B (size fraction −106 µm), respectively. In addition, two blended samples were prepared by mixing A and B at fixed A:B mass ratios: 90:10 (denoted Sample C1) and 80:20 (denoted Sample C2).
Because of confidentiality agreements, the feed grades cannot be disclosed directly. Instead, the results presented here are expressed relative to the undisclosed feed. To provide context, Sample A contained about one-third of the PGM content measured in Sample B, which is consistent with the tendency of PGMs to concentrate
1
Analytical methods for samples
ICP1: Ores and slags
Fusion followed by acid dissolution in aqua regia (HCl/HNO3)
in finer fractions. The Cr₂O₃ content showed an opposite trend: Sample A contained about two-thirds the Cr₂O₃ level found in Sample B. This is important because high chrome levels (above ~3% in concentrate) can result in downstream smelting penalties and negatively affect flotation performance.
Mineralogical analysis indicated that laurite was more abundant in Sample B than in Sample A. Laurite is commonly locked in chromite in the LG reef and is often lost to tailings during processing. This suggests that although Sample B appears to be richer in PGMs overall, its flotation response may not fully reflect this advantage.
Flotation tests were carried out in duplicate using 2 kg batches to provide sufficient mass for assay. As such, concentrates were composited prior to assay. Recovery variability was therefore estimated by propagating the standard deviation of duplicate mass pulls, assuming constant concentrate grade. This provides a conservative estimate of repeatability. Sample A was milled in a laboratory rod mill at 50% solids by mass. Milling times were selected from the milling curve to achieve target grind sizes of 90% and 80% passing 75 μm. Sample B, which was already fine, was floated without further milling.
The milled slurry was transferred to a 5 L flotation cell mounted on a Denver D12 flotation machine, operated at an impeller speed of 1200 rpm. Concentrates were collected by scraping the froth every 15 seconds. For the cleaner flotation stages, a 1 L cell was used at an impeller speed of 1000 rpm. All products were filtered, dried, weighed, and submitted for PGM and Cr₂O₃ assay. The assay methods used in this project are detailed in Table 1.
Standard UG2-type reagents were employed. These included:
➤ CuSO₄ activator, to enhance pentlandite and pyrrhotite recovery, but also to be a froth modifier (Bryson, 2004).
➤ SIBX xanthate, to promote sulphide hydrophobicity.
➤ Dow 200 polyglycol frother to reduce bubble surface tension and stabilise the froth.
➤ KU5 CMC depressant, to selectively depress talcaceous gangue and improve concentrate grade.
The rougher flotation flowsheets used in the kinetic tests are shown in Figure 1.
Recovery kinetics
The recovery kinetics of PGMs and Cr₂O₃ were determined by fitting flotation data to first-order Kelsall models. The recovery-time data are shown in Figure 2 and Figure 3.




Tests were performed on Sample A (two grind sizes), Sample B, and the blended composites (C1 and C2). Additional conditions were applied to Sample A, as indicated in the naming convention as per Table 2.
Rougher rate experimental conditions
Data normalisation for confidentiality
Due to confidentiality agreements, the reported recoveries are normalised. To protect client data, Kelsall model parameters (Rm and k) were perturbed within ±10%, while maintaining the physical trends in flotation kinetics. This adjustment prevents back-calculation of absolute grades or recoveries.
Kinetics interpretation
The PGM recovery curves exhibit the typical two-stage trend: a steep initial rise in the first three minutes, indicating recovery of readily floatable PGMs, followed by a plateau around 70% as slower-floating or poorly liberated particles dominate. In contrast, the Cr₂O₃ recovery curves are nearly linear with little curvature, consistent with recovery by entrainment rather than true flotation. We have attempted to quantify the PGM recovery dynamics of the recovery using the popular two-parameter Kelsall model (Kelsall, 1961), adjusted by pertubation variables to ensure the confidentiality given by Equation 1:
Where Rc normalised recovery of PGMs or Cr₂O₃ (%), Rm is the maximum recovery parameter (%), k is the first-order flotation rate constant (min-1), and Rp and kp are the perturbation constants introduced for confidentiality. The fitting was performed using nonlinear regression, where the parameters Rm and k are adjusted to minimise the error between experimental data and model predictions. In practice, this was achieved using a gradient-based optimisation routine, and iterative updates were performed until the change in error (between model predictions and measurements) falls below a 10-4 tolerance.
A summary of the fitted parameters is given in Table 3.
Discussion of fitted parameters
Model fit: For PGMs, most mean absolute percentage error (MAPE) values, representing the difference between the initial and fitted data, are below 10%, indicating that the Kelsall model sufficiently captures the kinetics. The exception is Sample B, which contains more fines, where entrainment is likely the dominant mechanism. For Cr₂O₃, many MAPE values are at, or above 10%, again pointing to entrainment rather than true flotation as the dominant recovery mechanism.
Rate constants: PGM rate constants (k) are much larger than those of Cr₂O₃, typically ranging from 0.6 min-¹ to 1.3 min-¹compared to 0.03 min¹ – 0.13 min¹. This confirms that PGMs are preferentially fast floating, while Cr₂O₃ reports slowly to concentrate. This behaviour is desirable and results in high PGM recovery with minimal chromite entrainment.
Maximum recovery: PGM Rm values are higher in blended samples (C1, C2), while Cr₂O₃ recoveries remain relatively low, indicating that blending may provide a practical means of enhancing PGM recovery without detriment to concentrate quality.
Fuerstenau selectivity curve
Selectivity between valuable PGMs and unwanted Cr₂O₃ can be quantified using the Fuerstenau curve proposed by Drzymala (2003). Rearrangement of Equation 1 for PGMs and Cr₂O₃ eliminates time as a variable, yielding Equation 2:

Where RPGM is the predicted PGM recovery, Rm,PGM and Rm,C are the maximum recoveries of PGMs, and Cr₂O₃ and kPGM and kC are

the flotation rate constants for PGMs and Cr₂O₃. The ratio kPGM⁄kC is the selectivity index: values close to 1 indicate poor selectivity, while values much greater than 1 indicate preferential PGM recovery (Drzymala, Ahmed, 2005). Using Equation 2, one can plot the expected PGM recovery against the actual Cr2O3 recovery to determine the selectivity of the process, as shown in Figure 4.
Interpretation of selectivity
Figure 4 compares the selectivity curves to the diagonal line representing no preferential selectivity. Curves lying above this line indicate preferential PGM flotation. The most selective conditions were: (i) Sample A – Condition B, (ii) Sample C1, and (iii) Sample C2. In contrast, Sample B exhibited the poorest selectivity, consistent with its fine particle size distribution and higher entrainment. These results suggest that blended feeds (C1, C2) and condition B merit further investigation in cleaning stages, where selectivity is key to producing concentrates that comply with smelter Cr₂O₃ limits (typically <3%).
Preliminary conclusions
➤ PGM recoveries follow first-order kinetics well, while Cr₂O₃ recovery is dominated by entrainment.
➤ Nonlinear regression of the Kelsall model, solved using gradient-based optimisation, provides a basis for quantifying flotation recovery kinetics.
➤ The Fuerstenau curve provides a clear metric for selectivity: higher kPGM⁄kC ratios imply better separation.
➤ Sample B showed poor selectivity compared to other tests.
➤ Sample A under Condition B (with increased SIBX xanthate) also exhibited improved selectivity.
➤ Blends (C1, C2) and Condition B offer the best balance between PGM recovery and gangue selectivity. Further work will investigate their behaviour.
➤ PGM Rm values are higher in blended samples (C1, C2), while Cr₂O₃ recoveries remain relatively low, indicating that blending may provide a practical means of enhancing PGM recovery without detriment to concentrate quality.
➤ These findings suggest that further investigation into the optimisation of both blend ratios and reagent conditions could be valuable for maximising PGM recovery while controlling Cr₂O₃ entrainment.
Acknowledgements
The authors acknowledge Mintek for financial support. We also acknowledge the client for granting permission to publish the results.
References
Barnes, S.J., Maier, W.D. 2002. Platinum-group elements and microstructures of normal Merensky reef from Impala Platinum Mines, Bushveld Complex. Journal of Petrology, vol. 43, no. 1, pp. 103–128.
Bradshaw, D.J., O'Connor, C.T., Harris, P.J. 2005. The effect of collectors and their interactions with depressants on the behaviour of the froth phase in flotation. Minerals Engineering, vol. 18, no. 2, pp. 189–197.
Bryson, M.A.W. 2004. Mineralogical control of minerals processing circuit design. Journal of the Southern African Institute of Mining and Metallurgy, vol. 104, no. 6, pp. 307–309.
Cawthorn, R.G., Lee, C.A., Schouwstra, R.P., Mellowship, P. 2002. Relationship between PGE and PGM in the Bushveld Complex. The Canadian Mineralogist, vol. 40, no. 2, pp. 311–328.
Corin, K.C., McFadzean, B.J., Shackleton, N.J., O’Connor, C.T. 2021. Challenges related to the processing of fines in the recovery of platinum group minerals (PGMs). Minerals, vol. 11 no 5, p. 533.
Doubra, P., Carelse, C., Chetty, D., Manuel, M. 2023. Experimental and modelling study of Pt, Pd, and 2E+ Au flotation kinetics
for Platreef ore by exploring the influence of reagent dosage variations. Minerals, vol. 13, no. 10, p. 1350.
Drzymala, J. 2001. Generating upgrading curves for characterizing separation processes. Journal of Polish Mineral Engineering Society-Inzynieria Mineralna, vol. 2, no. 4, pp. 35–40.
Drzymala, J., Ahmed, H.A. 2005. Mathematical equations for approximation of separation results using the Fuerstenau upgrading curves. International Journal of Mineral Processing, vol. 76, no. 1-2, pp. 55–65.
Godel, B., Barnes, S.J., Maier, W.D. 2007. Platinum-group elements in sulphide minerals, platinum-group minerals, and wholerocks of the Merensky Reef (Bushveld Complex, South Africa): implications for the formation of the reef. Journal of Petrology, vol. 48, no. 8, pp. 1569–1604.
Jovanovic, I., Miljanovic, I. 2015. Modelling of flotation processes by classical mathematical methods–a review. Archives of Mining Sciences, vol. 60, no. 4, pp. 905–919.
Kelsall, D.F. 1961. Application of probability in the assessment of flotation systems. Transactions of the Institution of Mining and Metallurgy, vol. 70, pp. 191–204.
Kinloch, E.D. 1982. Regional trends in the platinum-group mineralogy of the Critical Zone of the Bushveld Complex, South Africa. Economic Geology, vol. 77, no. 6, pp. 1328–1347.
O’Connor, C.T., Wiese, J., Corin, K., McFadzean, B. 2018. A review of investigations into the management of gangue in the flotation of platinum group minerals. Physicochemical Problems of Mineral Processing, vol. 54 no. 4, pp. 1107–1115.
Scoon, R.N., Teigler, B. 1994. Platinum-group element mineralization in the critical zone of the western Bushveld Complex; I, Sulfide poor-chromitites below the UG-2. Economic Geology, vol. 89, no. 5, pp. 1094–1121.
Viljoen, M.J. 2016. The Bushveld Complex-Host to the world’s largest platinum, chromium and vanadium resources. Episodes Journal of International Geoscience, vol. 39, no. 2, pp. 238–268. u


Optimising blend ratios, grinds, and reagent schemes to recover platinum group metals
13-14 APRIL 2026
SOUTHERN SUN ROSEBANK, JOHANNESBURG


With the continued pace of urbanisation, economic and population growth, the availability of space for necessary infrastructure in the urban environment is a major challenge. This, in conjunction with climate change and a focus on reducing impact on the environment, are the key factors driving the necessity and relevance of tunnelling. Tunnels are increasingly seen as a means to providing sustainable, safe and reliable transport, electricity, gas, water, sewage facilities and extraction of raw materials. Whilst the public and private sectors come to terms with the high capital expenditure required for tunnel construction, we live in an age of continued technological development and the application of these technologies presents an opportunity to better and more cost-effectively design, construct, and monitor tunnels. Furthermore, it is imperative that tunnelling consultants and contractors keep up to date with rapidly changing tunnelling technologies in order to remain viable in a competitive industry.
This conference concentrates on advances in the tunnelling industry, current best practice and how technology has improved tunnelling design, construction, supervision and monitoring.

Gugu Charlie Conferences and Events Coordinator

Affiliation:
1Analytical Chemistry Division, Mintek, South Africa
2School of Chemistry, University of the Witwatersrand, South Africa
Correspondence to: T. Rampfumedzi
Email: tshilidzir@mintek.co.za
Dates:
Received: 17 Oct. 2025
Published: February 2026
How to cite:
T. Rampfumedzi, Mkhohlakali, A., Sehat, J., Mabowa, H., Letsaole, R., Ntsasa, N., Tshilongo, J. 2026. Determination of rhodium from fire assay using lead collection with the addition of co-collector, followed by acid dissolution to enhance recovery and analytical accuracy. Journal of the Southern African Institute of Mining and Metallurgy, vol. 126, no. 2, pp. 101–104
DOI ID:
https://doi.org/10.17159/2411-9717/921/2026
ORCiD:
T. Rampfumedzi
http://orcid.org/0000-0002-1471-7243
A. Mkhohlakali
http://orcid.org/0000-0001-7971-875X
J. Sehat
http://orcid.org/0000-0001-7018-3082
R. Letsaole
http://orcid.org/0000-0002-4196-6480
H. Mabowa
http://orcid.org/0000-0002-8405-4297
J. Tshilongo
http://orcid.org/0000-0001-5661-4907
Determination of rhodium from fire assay using lead collection with the addition of co-collector, followed by acid dissolution to enhance recovery and analytical accuracy
by T. Rampfumedzi1,2, A. Mkhohlakali1, J. Sehat1, H. Mabowa1, R. Letsaole1, N. Ntsasa1,2, J. Tshilongo1,2
Abstract
This study explores the use of co-collectors to enhance the recovery and determination of rhodium during fire assay with lead collection, followed by acid dissolution using conventional hot plate methods. Rhodium, a critical platinum group metal, poses analytical challenges due to its low natural abundance and complex chemistry. Among the co-collectors tested, palladium and tellurium demonstrated significantly improved rhodium recoveries, ranging between 100% and 120%, whereas silver resulted in poor recovery and higher error margins. These findings highlight that co-collectors can enhance the efficiency and sensitivity of platinum group metal analysis, although their effectiveness is dependent on the chemical interaction with the target element. Acid dissolution was essential to ensure complete digestion of prills prior to analysis, enabling accurate quantification of rhodium. Overall, the findings suggest that palladium and tellurium are effective co-collectors for rhodium determination in fire assay, while silver and lead flux alone are unsuitable. This work provides important insight into optimising fire assay procedures for reliable rhodium analysis, with potential benefits for platinum group metals recovery and economic evaluation.
Keywords
Platinum group metals (PGM), rhodium, co-collector, fire assay, dissolution, recovery
This paper is based on a presentation given at the 9TH International PGM Conference 2025, 27-28 October 2025, Sun City, Rustenburg, South Africa
Rhodium is recognised as one of the most scarce and precious elements found in the Earth's crust, with an estimated average occurrence of merely 1 part per billion (ppb). Despite its rarity, rhodium has a wide range of high-value industrial uses due to its unique physicochemical characteristics, the most important of which is electroplating, where thin, uniform metallic coatings can be produced with rhodium salts. These rhodium layers are particularly prized for their superior reflectivity, outstanding resistance to corrosion and tarnishing, as well as their impressive hardness and durability. Consequently, rhodium plating is widely employed in the jewellery sector to improve the aesthetic appeal and longevity of white gold and silver pieces (Shyam, Dhruve, 2019). In addition to its decorative uses, rhodium electroplating is also vital in the electronics and aerospace sectors, where components frequently encounter severe conditions. With the help of rhodium coatings, components' contact efficiency is enhanced, their lifespan is prolonged, and they act as protective shields. Due to their ability to produce coatings that are strongly adherent and resistant to wear, immersion plating techniques using rhodium have attracted attention beyond conventional electroplating methods. These coatings not only enhance surface characteristics but also play a significant role in maintaining the functional integrity of mechanical and electronic components that endure continuous mechanical stress and oxidative environments (Kane et al., 2016). Compared to both platinum and palladium, the market price of rhodium is significantly higher, which makes it not only one of the rarest, but also one of the most expensive platinum group metals (PGM). Given its substantial economic significance and limited availability in nature, the extraction and recycling of rhodium from discarded materials have gained paramount importance. Rhodium recovery is crucial for reducing dependence on primary sources, reducing production costs, and minimising environmental impact. However, significant challenges remain in the process. Considering its application in a diverse range of uses—from catalytic converters and electroplating to electrical contacts and
chemical catalysts—recovery methods often require customisation to fit the specific material or product type. These approaches may involve intricate chemical processes, such as selective dissolution, precipitation, solvent extraction, and high-temperature refining techniques. In order to sustainably utilise rhodium, it is imperative to develop efficient, selective, and economically viable recovery methods (Mohammadi et al., 2013).
Because of their low concentrations in many natural ore bodies, determining PGMs and gold (Au) accurately remains a significant analytical challenge. Prior to quantification, preconcentration is necessary since trace levels often fall below the detection limits of direct instrumental analysis. In the mining and metallurgical industries, fire assay is the most commonly used technique for this purpose. To collect or concentrate target metals into smaller, easierto-analyse phases in fire assays, nickel or lead fluxes are typically used. Despite its widespread use, fire assay's efficiency varies according to matrix composition and the particular elements of interest, leading researchers to develop alternative flux compositions and co-collectors to enhance its efficiency (Masasire et al., 2022).
Several co-collectors have been used to separate and preconcentrate gold and PGMs, including palladium (Pd), tellurium (Te), silver (Ag), cobalt (Co), and copper (Cu). Adding these metals to the fire assay process can significantly increase analytical sensitivity, which is crucial given the growing market and industrial demand for these critical metals—among which rhodium is particularly important (Ndovorwi, 2016). Rhodium (Rh) is an uncommon metal belonging to the PGM with an exceedingly low natural occurrence, generally found as a minor component in platinum-containing ores. It displays several oxidation states, with Rh³+ being the most stable, and forms various complexes in both acidic and alkaline environments. Given its low levels and intricate chemistry, the trace analysis of Rh poses significant challenges. The distinctive chemical characteristics of rhodium require the use of specialised analytical methods that are specifically designed for its unique attributes (Ni et al., 2021).
An increasing demand in the automotive and industrial sectors, along with a limited global supply, has driven rhodium's price up recently. The rise in value of rhodium has attracted investors within the PGM industry, prompting them to devote more capital to rhodium-related projects and products. Consequently, rhodium has become a highly valuable investment asset not only as a critical industrial commodity, but also as a precious metal with significant industrial applications. Given its rarity, high economic value, and growing industrial demand, the recovery and recycling of rhodium from various waste and secondary resources have become increasingly important (Ivo Iavicoli, 2022).
Accurate determination of PGMs, including rhodium, as well as gold (Au), is often hindered by their low concentrations in ores and complex host matrices. Most metal preconcentration techniques for these metals employ fire assay methods using nickel or lead as collectors (Services, 2013). However, analytical sensitivity can be enhanced through the introduction of co-collectors such as palladium (Pd), tellurium (Te), silver (Ag), cobalt (Co), and copper (Cu). These co-collectors facilitate the separation and preconcentration of PGMs and Au, improving recovery efficiency (Masasire et al., 2022; Mogomots, 2017). In this study, we demonstrate the collection of rhodium using fire assay with lead as the primary collector, followed by acid dissolution via conventional hot plate methods. This approach enables effective isolation of Rh from complex matrices, addressing the analytical challenges associated with its determination and supporting efforts to meet the increasing industrial and market demands for this critical metal.
Two PGM certified reference materials (CRMs)—SARM 107 and AMIS 314—were used in this investigation. Sample preparation followed the traditional fire assay fusion process, 5 g – 30 g of sample were weighed and mixed with a lead-based flux as the

primary collector, with an additional 2 ml co-collectors (Ag, Pd, Te) added to enhance rhodium recovery. The fusion was carried out at 1100°C, after which the samples were dislodged and subjected to the cupellation process at 1000°C. The resulting prill was transferred to a beaker, heated on a hot plate at 200°C, and digested using aqua regia (Green et al., 2004). As a result of fire assay, the acid dissolution step was critical to determining rhodium. In the prills obtained with different co-collectors, rhodium was found in metallic or alloyed form with silver, palladium, or tellurium after cupellation. In order to accurately quantify rhodium using inductively coupled plasma–optical emission spectrometry ICP-OES, the prills needed to completely dissolve in solution.
In controlled conditions, both metallic alloys and silicate phases originating from the flux were broken down by a mixture of concentrated nitric acid and hydrochloric acid. A partial dissolution would have led to poor recovery, high variability, and bias in the results. Consequently, enhancing the acid dissolution process was crucial to confirm the fire assay technique and to showcase the efficacy of palladium and tellurium as appropriate co-collectors for the determination of rhodium. Final analysis of rhodium content was performed using ICP-OES, as illustrated in Figure 1.
All solutions were prepared using ultrapure water (resistivity: 18 MΩ·cm) obtained from a Milli-Q purification system provided by MilliporeSigma (Bedford, MA, USA). Digestion solvents included concentrated nitric acid (HNO₃, 65% w/w), hydrogen peroxide (H₂O₂, 50% w/w), hydrofluoric acid (HF, 48% w/w), and hydrochloric acid (HCl, 37% w/w), all supplied by Merck, SigmaAldrich (South Africa). A 100 ppm stock solution containing multiple platinum group elements (Ir, Os, Rh, Pd, Pt, Au) from VHG Labs (Manchester, NH, USA) was used for calibration. Calibration standards were prepared in the range 0.05 ppm –50 ppm for ICP-OES analysis by diluting the 100 ppm stock with 0.05% (w/w) HNO₃ to maintain stability and prevent precipitation of the analytes process.
To quantify rhodium concentration in the different collectors, ICP-OES (Agilent 5800) intensity was measured under optimum operating conditions. Based on calibration with rhodium standards
Agilent ICP-OES operation conditions

2—ICP OES calibration graph for Rh
Table 2
Summary of Rh results and statistical recovery calculations from the South African Reference Materials (SARM) 107 Sample
Replicate measurement 3
ranging in concentration from 0.05 ppm to 50 ppm, a linear correlation coefficient (R2 = 1) was calculated for the fire assay method. This excellent linearity confirms the reliability of the method for rhodium determination, as illustrated in Figure 2.
The analytical performance of the fire assay method for rhodium determination was further assessed using the SARM 107 Certified Reference Material (CRM) under different collector conditions (Table 2). When no co-collector was applied, the method produced a relative standard deviation (RSD) of 52.47 with a recovery of 265.01%, suggesting that the use of lead flux alone is insufficient for reliable rhodium recovery. This poor precision and inflated recovery are likely attributed to the limited affinity of rhodium for lead, leading to incomplete collection during cupellation.
The introduction of a silver spike was expected to improve rhodium collection due to the high affinity of silver for noble metals. However, the results showed an even greater variability, with an RSD of 106 and a recovery exceeding 4000%. Such anomalous recoveries suggest potential issues of matrix interference, over-collection, or contamination effects during the assay process. The excessive recovery values further indicate that silver may not provide selective enrichment of rhodium under the studied conditions and, instead, may cause co-precipitation of additional elements that artificially elevate the measured rhodium concentration (Asendorf, 2017).
In contrast, both palladium and tellurium spikes yielded improved analytical performance. For SARM 107, the RSD values were 3.94 and 10.78, with corresponding recoveries of 124.51% and 115.11%, respectively. These results demonstrate that palladium and tellurium serve as more effective co-collectors for rhodium, offering both higher precision and recoveries closer to expected values.
A similar trend was observed with the Amis 314 reference material (Table 3). When no spike was used, the recovery was 140.31%, while the silver spike led to a drastic overestimation, with a recovery of 9219.51%. In comparison, palladium and tellurium spikes again demonstrated more reliable performance, producing recoveries of 110.70% and 111.85%, respectively, with significantly improved RSD values. This improvement can be attributed to the strong chemical affinity of palladium and tellurium towards platinum-group metals, which promotes more efficient capture of rhodium during the fusion and cupellation stages. Their ability to stabilise rhodium under high-temperature fire assay conditions likely prevents losses that occur with silver or lead collectors, making them more reliable co-collectors for rhodium quantification.
Conclusion
Rhodium can be accurately determined by assay fire with the help of the right co-collector, according to this study. In addition to poor precision and excessively high recovery values, silver spikes and lead flux alone are not suitable for rhodium analysis. In contrast, palladium and tellurium spikes consistently produced recoveries close to 100% and low RSD values across both SARM 107 and Amis 314 certified reference materials. These findings confirm that palladium and tellurium are effective and reliable co-collectors for rhodium determination, offering greater accuracy and reproducibility compared to conventional collectors. In order to improve rhodium quantification in geological and metallurgical samples, fire assay combined with acid dissolution is recommended as a reliable approach for analytical determination.
References
Asendorf, S. 2017. Analysis of platinum group metals with the Thermo Scientific iCAP 7400 ICP-OES. 1–4.
Green, B.R., Smit, D.M.C., Maumela, H., Coetzer, G. 2004. Leaching and recovery of platinum group metals from UG-2 concentrates. July, 323–332.
Ivo Iavicoli, V.L. 2022. Chapter 28 - Rhodium (M. C. Gunnar F. Nordberg (ed.); Fifth Edit). Handbook on the Toxicology of Metals (Fifth Edition). https://doi.org/10.1016/B978-0-12822946-0.00025-8
Kane, S.N., Mishra, A., Dutta, A.K. 2016. Preface: International Conference on Recent Trends in Physics (ICRTP 2016). Journal of Physics: Conference Series, vol. 755, no. 1. https://doi.org/10.1088/1742-6596/755/1/011001
Table 3
Summary of Rh results and statistical recovery calculations from Amis 314
Sample
Masasire, A., Rwere, F., Dzomba, P., Mupa, M. 2022. A new preconcentration technique for the determination of PGMs and gold by fire assay and ICP-OES. Journal of the Southern African Institute of Mining and Metallurgy, vol. 122, no. 1, pp. 29–36. https://doi.org/10.17159/2411-9717/1638/2022
Mogomots, M. 2017. Atomic Spectroscopic Techniques for The Determination of Platinum Group Metals and Base Metals in Concentrate Samples.
Mohammadi, S.Z., Shamspur, T., Afzali, D., Taher, M.A., Karimzadeh, L. 2013. Atomic absorption spectrometric determination of trace amount of rhodium by using ligandless dispersive liquid-liquid microextraction based on solidification of floating organic droplet. Gazi University Journal of Science, vol. 26, no. 1, pp. 11–19.
Ndovorwi, F. 2016. Determination of platinum, palladium, rhodium and gold in ores and concentrates using iridium and ruthenium as co-collectors by fire assay. https://ir.uz.ac.zw/xmlui/ handle/10646/2568
Ni, W., Mao, X., Yao, M., Sun, Q., Guo, X., Zhang, H., Liu, L. 2021. Bismuth-Remaining Cupellation Fire Assay Preconcentration Combined with Inductively Coupled Plasma Mass Spectrometry for the Simultaneous Determination of Ultratrace Au, Pt, Pd, Ru, Rh, and Ir in Geologic Samples. International Journal of Analytical Chemistry, 2021. https://doi. org/10.1155/2021/9960673
Services, A. 2013. Fire Assay Gold. 9–10.
Shyam, T.S., Dhruve, H. 2019. Comparative Analysis of Methods Employed in Rhodium Recovery. Journal of Chemical Reviews, vol. 1, no. 4, pp. 282–286. https://doi.org/10.33945/SAMI/ jcr.2019.4.4 u

P. Bezuidenhout1, G. de Villiers1, H. Joubert1, E. Mokgwamme2, P. Nkosi2, T. Goff2, P. Spratt2, M. Mvalelwa2
Affiliation:
1Tenova Pyromet, South Africa
2Sibanye-Stillwater, South Africa
Correspondence to: P. Bezuidenhout
Email: driaan.bezuidenhout@tenova.com
Dates:
Received: 19 Oct. 2025
Published: February 2026
How to cite:
Bezuidenhout, P., de Villiers, G., Joubert, H., Mokgwamme, E., Nkosi, P., Goff, T., Spratt, P., Mvalelwa, M. 2026. Cooling innovation in practice: A case study on composite copper-graphite cooler performance before and after a PGM furnace partial sidewall rebuild. Journal of the Southern African Institute of Mining and Metallurgy, vol. 126, no. 2, pp. 105–112
DOI ID:
https://doi.org/10.17159/2411-9717/924/2026
ORCiD: P. Bezuidenhout http://orcid.org/0009-0005-2048-7770
This paper is based on a presentation given at the 9th International PGM Conference 2025, 27–28 October 2025, Sun City, Rustenburg, South Africa
Abstract
Sibanye-Stillwater recently completed a partial sidewall rebuild on Furnace 1 at its Marikana smelter complex. The project involved matte taphole maintenance, which required the removal and subsequent replacement of 18 composite copper-graphite coolers and a section of the lower refractory sidewall. These composite copper-graphite coolers are a newly developed cooling design by Tenova Pyromet, and this rebuild project provided valuable insight into the performance of the composite coolers. The novel composite cooler design was implemented to serve as a safeguard against localised wear and corrosion in the furnace sidewall, particularly at the slag-concentrate interface, where chloride-accelerated sulphidation has been identified as a dominant degradation mechanism affecting the copper cooling elements. The composite cooler design is unique in that all the exposed sides of the water-cooled copper elements are fully encapsulated in graphite, which protects the copper from corrosive sulphur- and chlorinebearing gases and condensates. This sidewall cooling system was designed to improve corrosion resistance, stabilise freeze lining formation, and extend the campaign life of the furnace sidewall. The partial sidewall rebuild was executed during a planned maintenance shutdown with the main objective of replacing the matte taphole lintel bricks. This paper serves as a case study that compares and evaluates the operational performance of the composite coolers before and after the rebuild. The installation method is discussed to highlight the approach taken to ensure a sound installation while minimising downtime, as well as to present some lessons learned in the process.
Keywords composite coolers, furnace rebuild, freeze lining, PGM smelting
Introduction
The smelting of platinum group metals (PGM) presents unique challenges in furnace containment and sidewall longevity due to the aggressive chemical and thermal environment within the furnace crucible. To withstand this aggressive environment and to extend the operational lifetime of the PGM furnace, an innovative crucible design was implemented in 2022 for Furnace 1 at Sibanye–Stillwater’s Marikana smelter complex. Sibanye–Stillwater’s Marikana smelter complex, operational since 1971, comprises of five circular electric smelting furnaces, with Furnaces 1 and 2 being the primary furnaces and Furnaces 3 to 5 being used on a standby basis. All of these furnaces are used to process a blend of Upper Group 2 (UG2) and Merensky PGM-based floatation concentrates, together with some internal recycle streams (Eksteen et al., 2011).
In March 2021, Tenova Pyromet was awarded the contract to upgrade Furnace 1, with the main objective being to improve the overall long-term availability of the furnace. The design intent was to increase the furnace sidewall campaign life from 30 months to 48 months and the hearth campaign life to 12 years. The main changes to the existing design included increasing the furnace diameter, raising the matte tapholes above the skew-back brick level, and introducing a novel sidewall cooling system. As part of the novel sidewall cooling system, water-cooled copper-graphite composite coolers were utilised in the new furnace sidewall design. These copper-graphite composite coolers are unique in that they address some of the most common sidewall wear mechanisms experienced at PGM furnaces. The furnace upgrade project execution started in May 2022, and the first matte was tapped from the furnace in September 2022. The design and changes implemented, as part of the furnace upgrade project, are discussed in detail by Joubert et al. (2024a, 2024b).
In January 2025, during a planned maintenance shutdown, Sibanye–Stillwater undertook a partial sidewall rebuild focused on matte taphole lintel replacement. This shutdown provided a unique opportunity to assess the performance of the composite copper–graphite coolers after 29 months of operation. The present paper builds on the foundational work presented by Joubert et al. (2024a) and aims to evaluate the operational effectiveness of the composite cooler system before and after the planned rebuild. It documents the installation methodology, observes wear profiles, and sets out the lessons learned to inform future furnace maintenance and design strategies.
The operational environment within platinum group metal (PGM) smelting furnaces is characterised by extreme thermal loads and chemically aggressive conditions, particularly at the slagconcentrate interface (Shaw et al., 2013). This zone is notorious for rapid degradation of furnace sidewall copper cooling elements, primarily through chloride-accelerated sulphidation. Chlorideaccelerated sulphidation is believed to be the prevalent copper corrosion mechanism at the slag-concentrate interface, due to the presence of labile sulphur and chlorine-bearing species in the uncalcined feed concentrates (Hoff, Rossouw, 2006; Marx et al., 2007; Shaw et al., 2013; Thethwayo, Garbers-Craig, 2010). This results in the localised attack of exposed copper surfaces, leading to thinning, pitting, and eventual failure of cooling elements, an example of which can be seen in Figure 1.
As mentioned in the introduction, one of the main design improvements during the Furnace 1 upgrade at Sibanye-Stillwater, was to implement a novel sidewall cooling design. This sidewall cooling design includes the use of innovative water-cooled coppergraphite composite coolers. This composite cooler design aims to extend the operational lifetime of the furnace sidewall by mitigating the impact of chloride-accelerated sulphidation and enabling sufficient heat to be extracted to ensure a stable slag freeze-lining formation. The graphite-copper composite cooler designed by Tenova Pyromet limits the opportunity for the mentioned chlorideaccelerated sulphidation to take place by encapsulating the watercooled copper elements in graphite. This design ensures that no part of the copper is directly exposed to furnace gases or condensates, thereby eliminating the primary pathway for sulphidation. Graphite has been shown to provide good protection against sulphidation corrosion (Joubert, 2008; Shaw et al., 2013), while providing the required thermal conductivity to maintain a freeze-lining (Mc Dougall, 2013). The high thermal conductivity of graphite ensures that cooling efficiency is maintained, while its chemical stability prevents degradation under prolonged exposure to the slag. This design combination, as shown in Figure 2, allows for a slag-zone cooler assembly with an operational lifetime estimated to exceed 4 years, governed by the operational stability of the furnace.



The Tenova Pyromet copper-graphite composite cooler solves the slag-zone chemical and thermal wear problem, but high wear rates are still estimated for the matte-slag tidal zone. At this interface, the working lining is subjected to chemical attack from both the matte and slag, and is exposed to superheated matte, which can be in excess of 600°C above the matte liquidus temperature. Having superheated matte present in this area increases the risk of boiling liquid expanding vapour explosions (BLEVEs) if it comes in contact with water-cooled copper components, which can cause catastrophic equipment damage and compromise the furnace lining integrity. Due to this safety risk, no water cooling is applied in this matte-slag tidal zone or in the matte zone.
To increase the operational lifetime of the lower sidewall in the matte-slag tidal zone, a lower sidewall design was developed that makes use of a graphite back lining, together with forced draft air cooling on the shell (Mc Dougall, 2013). This allows excess heat to be extracted from this critical zone, with the help of the highly conductive graphite back lining. Graphite is wear-resistant when exposed to matte and slag at elevated temperatures, making it suitable to be used in the refractory sidewall. A thermal finite element analysis (FEA) was used during the design phase to estimate the maximum wear profile before stabilisation, the results of which more details can be found in Joubert et al. (2024b). The FEA model was used to estimate that the working lining will wear back, leaving approximately 200 mm of working lining brick before stabilising. At this thickness, the graphite brick removes sufficient heat to slow down the wear rate, stabilising this critical zone. An example of the FEA-predicted wear profile is shown in Figure 3(a), in comparison to the actual wear profile, Figure 3 (b), observed during the sidewall rebuild project in January 2025. These figures highlight that the FEA accurately predicted the extent of the anticipated wear, and confirm that the graphite back lining brick provides sufficient cooling to stabilise the wear rate in this critical zone.
In Figure 3(a), the maximum matte and matte taphole levels are indicated, showing that the matte tapholes are positioned in this high-wear zone. Even though the sidewall wear stabilizes, as anticipated by the FEA modelling, the matte taphole areas (more specifically the matte taphole lintels) experience higher wear rates due to the increased activity in these areas during tapping operations. This was anticipated, and even though the rest of the furnace sidewall was designed for a 48-month campaign, the modular composite cooler design allows for a partial sidewall rebuild of the matte taphole areas, which was originally planned for every 24 months (Joubert et al., 2024b). Due to stable operation and good operating temperatures, this hot partial sidewall rebuild was executed in January 2025, 29 months after initial start-up. Even though the main intention of the partial sidewall rebuild was to replace the matte taphole lintels, it also afforded the opportunity to evaluate how well the copper-graphite composite coolers performed after 29 months in operation, as well as to inspect the matte-slag


tidal zone. In the next section, an overview of the process followed during the hot repair and the steps taken to get the furnace back into production following a month of idling will be discussed.
Hot partial sidewall rebuild methodology
The initial design of the furnace upgrade in 2022, was done with this hot partial sidewall rebuild in mind and done in such a way as to ensure efficient removal of the composite coolers to get to the lower refractory sidewall and matte taphole lintels (Joubert et al., 2024b). As discussed by Joubert et al. (2024b), the matte tapholes were raised above the skewbrick level, ensuring less thermal movement in this critical area. Not only was this one of the main benefits of this design decision, but it also resulted in some material lock-up below the matte taphole level, which ensured much more stable hearth temperatures during the hot partial sidewall rebuild process. The thermal mass below the matte taphole level ensured stable temperatures in the hearth during the power-down periods, limiting thermal ratcheting of the hearth. During the rebuild project, the power was cycled on and off to maintain a molten pool below the electrodes and to maintain the hearth temperatures. This not only ensured that start-up would be easier, due to the maintained electrode contact, but it also reduced the impact the partial sidewall rebuild would have on the hearth operational lifetime.
The partial rebuild project was started with a well-established project plan, as required for any well-executed project. Excellent work from the Sibanye-Stillwater Project Team ensured that all contractors were brought up to speed on the exact scope of work before any work on the furnace was started. The project and operational teams ensured that all required spare parts were on


site and accounted for before any demolition work started. A list of equipment to be reused was prepared to ensure special care was taken when removing and storing this equipment and parts for later use. A custom-designed, rail-mounted composite cooler installation device was tested and commissioned before the furnace was powered down to ensure this system was functioning as intended and that the refractory contractor was familiar with its operation. With all the preparation work completed and a finalised plan in place, the furnace was drained on 3 January 2025, and the 3-day cool-down period commenced.
On 7 January 2025, the furnace was handed over to the refractory contractor, and demolition started. For the partial rebuild, only 18 composite coolers needed to be removed to gain access to the three matte taphole lintels and lower sidewall refractory. The cooling water lines for the 18 composite coolers were isolated and flushed, after which all cooling water flexibles and instrumentation were removed, as shown in Figure 4(a). In parallel with this activity, two temporary cross-braces were installed on the furnace ladder columns, as shown in Figure 4(b), to provide the required lateral stabilisation to the rest of the furnace sidewall while the repair was underway. With the furnace sidewall stabilised, the Tenova Pyromet patented external containment system (De Villiers et al., 2020) could be disengaged to allow the required space to extract the composite coolers from the furnace sidewall. More details on the external containment system can be found in Joubert et al. (2024b).
The last step before the composite coolers could be removed was to open the space above the upper row of coolers. This was achieved by jacking up the freeboard assembly, using hydraulic jacks, and removing the two tapered brick rows in between the coolers and
the furnace freeboard structure. Finally, it was time to remove the first composite cooler. On 10 January 2025, the first cooler was successfully removed from the furnace sidewall using the custom hydraulic removal/installation device, developed specifically for this activity. Due to the design of the composite coolers and very tight joints between the coolers, which did not allow any slag penetration, the composite cooler came out easily with a simple tug by the installation device. The removed composite cooler can be seen in Figure 5(a), still mounted to the installation device. Interesting to note is the slag freeze-lining that remained intact as the composite cooler was removed, suggesting a strong freeze-lining, as shown in Figure 5(b). The groove pattern from the composite cooler's hot-face was visible on the back of the slag freeze-lining, indicating that the freeze-lining was securely keyed to the composite cooler hot-face. By observing this stable freeze-lining, it was evident that the Sibanye-Stillwater Operational Team performs an excellent job of maintaining the slag operational levels in the furnace as well as a stable process chemistry. More detail on the condition of the removed composite coolers to follow in the next section. The lower row of composite coolers required more pulling force to be removed due to a larger surface area being in contact with the slag freezelining, but the same procedure was followed.
With all 18 composite coolers removed, full access to the lower sidewall and matte taphole lintel areas was now possible. The initial procedure only required the matte taphole lintel bricks to be removed and replaced, but considering that this was the first time this partial sidewall rebuild was done, it was decided to go down to skewbrick level to inspect the condition of this area as well. Eight additional brick rows were removed to get to the skewback brick level, as shown in Figure 6, and were completed by 18 January 2025. At this level, it was clear that the skewback bricks and hearth working bricks were still in good condition. It was also found that the graphite backlining was in good condition, and that there was no reason for replacing these blocks; therefore, the existing bricks were reused. One observation made at this level was the radial crack through the skewback brick row. A similar crack was observed during Furnace 2 rebuilds at Sibanye-Stillwater, and it is believed to coincide with the matte solidus isotherm in this area. The FEA modelling predicts that the matte solidus isotherm passes through the skewback bricks at this position, likely resulting in a substantial thermal and mechanical stress in the bricks, which could have caused the crack-line. From past experiences, it has been found that this crack is not of concern and does not compromise the hearth integrity. The uniform position of the crack in the skewback brick indicates uniform heating and expansion in the hearth, which speaks to a uniform hearth temperature distribution. If the crack is kept clean, it is anticipated to close up once the hearth reaches operational temperatures.



Once all the demolition work had been done, the required refractory inspections were completed – all of which were satisfactory. The next phase was to reinstall the required refractory in the lower sidewall as well as the composite coolers on the slag sidewall. The reverse order of the demolition sequence was followed, starting by rebuilding the lower sidewall refractory and matte taphole lintels, followed by the composite coolers and the remainder of the sidewall equipment and instrumentation. By 27 January 2025, the lower sidewall refractory installation was completed, slowed by some delays experienced at the matte taphole lintel installation. All 18 new composite coolers were reinstalled, and by 29 January 2025, the slag sidewall was completed and furnace freeboard and roof lowered, as shown in Figure 7. On 31 January 2025, the furnace started heating up again, with all sidewall equipment and instrumentation reinstalled.
Considering that this was the first attempt at a hot partial sidewall rebuild at Sibanye-Stillwater’s Furnace 1, it was expected that there would be some lessons learned, and future improvements required. The first lesson learned, and improvement required was implemented during the project, which was to add hydraulic

tilting to the installation device. Initially, the tilting was done with a mechanical screw jack to avoid the need for a second hydraulic power pack, but the not-so-subtle handling by the installation team resulted in a breakage at the screw jack. It was decided to add a hydraulic jack to the installation device, which allowed for a more robust installation device, but it required a second power pack to be in operation. The second lesson learned was to be aware of the very tight clearances around the furnace on the matte floor side. Due to space constraints, the installation device had to operate within tight tolerances, which did cause some initial problems once the installation device was loaded with a composite cooler. This was also addressed during the project itself, and after all the pinch points were addressed, the installation device operated as intended. Due to the well-established freeze-lining and good adhesion to the composite coolers, more force had to be applied to the lower composite coolers to break them free from the freeze-lining, while avoiding damage to the cooler itself. Initially, it was attempted to be done with the installation device, but it was later found to be safer and easier to use the lifting lugs on the composite coolers to first break the cooler loose using rigging equipment, and then only use the installation device for removal and repositioning of the composite coolers.
Considering that this was the first attempt at a hot partial sidewall rebuild, it had been decided before the rebuild project was initiated to replace all 18 coolers with new composite coolers, rather than trying to reinstall the existing composite coolers. This was decided as it was not yet clear in what condition the composite coolers would be after being removed from the furnace. Pending inspections on the removed composite coolers, it appears likely that in the future the undamaged coolers will be reinstalled, further reducing the cost of the rebuild project. A future consideration is to establish a failure criterion for chips and wear to the graphite hot face, which will determine whether the composite cooler is to be reinstalled or replaced.
The furnace upgrade project was done with this hot partial sidewall rebuild project in mind, as mentioned before, which dictated and motivated some of the design choices. One that had already been mentioned was the material lock-up in the hearth, together with the furnace power-pulsing, which was aimed at keeping the hearth temperatures stable during the partial sidewall rebuild. By controlling the hearth temperature, less thermal movement is expected, which in turn reduces the risk of ratcheting of the hearth – all of which contribute to the health and operational
lifetime of the hearth. Figure 8 illustrates how stable the hearth temperatures were maintained during the hot partial sidewall rebuild. In this figure, it can be observed that during the January 2025 rebuild, the centre long thermocouple (at hearth permanent lining) only decreased by approximately 50°C from the operational temperatures, using December 2024 as a comparison. The centre short (at infill lining level) remained more stable and recorded a temperature decrease in the range of 20°C, which highlights the stability in temperature of the lower hearth refractory. Electrode 3 was positioned towards the matte taphole side, and for the duration of the rebuild, the electrode was raised, and no power input took place – this was done to ensure the safety of the rebuild team. As a result, it can be observed that the upper hearth temperatures in this area decreased more than at the centre of the furnace. In contrast to these results, Electrode 1 (positioned towards the slag tapholes) was powered during the rebuild project to limit the heat losses from the hearth. It is shown that the hearth was back at operational temperatures approximately 20 days after the furnace heat-up was started. These figures highlight the success of the design intent and will positively contribute to achieving the target hearth campaign life of 12 years.
As mentioned before, the partial sidewall rebuild project offered an opportunity to not only physically inspect the composite coolers after just over half of the required operational lifetime, but also allowed for an opportunity to compare the operational temperature data to a newly installed composite cooler. Having replaced the lower refractory sidewall below the new composite coolers is likely to influence the temperature data, but it will provide good insight into how well the composite coolers performed over the 29-month operational period.
In Figure 9(a) to (d), the physical appearance of a typical cooler before installation, and after 29 months of operation is compared. Based on initial visual inspections, the composite coolers seem to be in very good condition, with little to no wear of the graphite hot face. Even though the stable freeze-lining layer, as shown in Figure 5, remained intact when the composite cooler was removed, the visual inspection of the composite coolers indicated that the hot-face grooves in the graphite worked as intended. It provided sufficient surface contact to stabilise the freeze-lining interface and ensure good adhesion to the composite coolers. Some wear and rounding of the graphite at the lower composite cooler's bottom edges were noticed, as shown in Figure 10(b). This is the edge closest to the dynamic matte-slag tidal zone, and with no deep cooling below this point, it is to be expected. This area is exposed to larger temperature gradients, higher heat loads, and does not

experience the additional cooling from below, as is the case with the upper row of coolers. The likely reason for this wear profile on the lower composite coolers is demonstrated in Figure 3 and was expected based on the FEA work completed during the design phase of the upgrade project in 2021. Figure 10(a) shows that the side surface of the composite cooler appears to be untouched, with the surface still showing the shiny machining surface of the graphite. This observation speaks to good contact between the individual composite coolers, which ensured no penetration of any process material. It also speaks to the fabrication tolerances of these composite coolers, which allowed for the good interface contact to be maintained.
Preliminary visual inspections indicate that the removed composite coolers are still in perfect operating condition. The removed composite coolers have been sent for disassembly and internal inspections to confirm no internal or external defects. Pending these inspections, it appears likely that in the future the undamaged coolers will be reinstalled, further reducing the cost of the rebuild project. A future consideration is to establish a failure criterion for chips and wear to the graphite hot face, which will determine whether the composite cooler is to be reinstalled or replaced. The physical appearance of all the coolers seemed to be well within the expected condition after 29 months of operations, and in some instances, better than expected. When observing the temperature trends on the composite coolers from December 2022 to March 2025, a similar observation can be made regarding the thermal performance of the composite coolers. In Figure 11, the historic temperature trends of the bottom copper cooling element in the lower composite cooler are plotted. In Figure 11(a), the 50th percentile temperatures are plotted, and in Figure 11(b), the 99th percentile temperatures for the respective period are indicated. It is not a true representation to average the temperatures across all composite coolers, due to the dynamic nature inside the furnace as a result of tapping and electrode operations, but to generalise, an average temperature increase of 3.8°C/year is recorded across the bottom coolers. The top row of coolers records an average increase of around 1.2°C/year. The likely reason for the difference in temperature increase is the same as the proposed reason for the increased wear on the lower edge of the bottom composite cooler, that is, larger temperature gradients and heat load on the bottom composite cooler. The higher heat load and larger temperature gradient are a result of the wear profile in the matte-slag tidal zone and the cooling arrangement below the bottom composite cooler.



As shown in Figure 11, there is no significant temperature change from before the partial sidewall rebuild to after the rebuild, which highlights that the removed composite coolers were still well within the required operating conditions and could be reinstalled in the future. Note that only the composite coolers from 225° to 315° were replaced in January 2025, and a likely thermocouple installation error caused the low temperatures recorded at 270°. By observing the temperature trends for the lower sidewall refractory in Figure 12 (focusing on the 225° to 315° window replaced during the partial sidewall rebuild), a clear impact of the rebuild is noticeable. It can be seen that, for the section of lower



Figure 12—Historic temperature trends on the lower sidewall refractory with (a) showing the 50th percentile temperatures and (b) the 99th percentile temperatures, for the specified period
sidewall that was replaced, the average temperature is lower than that of the same area for the year before, and in some instances, close to the original installation trends from December 2022. An incremental increase in the lower sidewall temperatures, as illustrated in Figure 12(a), was expected due to the wear profile in the matte-slag tidal zone, and on average, increased 23.4°C/year. Interestingly, the mean temperature increase illustrated in Figure 12(a) speaks to incremental increase and wear expected in the lower sidewall. However, in Figure 12(b), a sharp increase for March 2025 is noticed when the 99th percentile temperatures are compared, likely as a result of a single upset event. Based on the site data, these high temperatures are restricted to a single day, after which the temperature returned to the expected range.
The implementation of Tenova Pyromet’s copper–graphite composite coolers in Furnace 1 at Sibanye–Stillwater’s Marikana smelter has demonstrated stable operational temperatures and good corrosion resistance, positively contributing to the overall furnace sidewall longevity. After 29 months of operation, the coppergraphite composite coolers displayed minimal wear, validating the design intent and confirming the effectiveness of graphite encapsulation in mitigating chloride-accelerated sulphidation of the copper cooling elements.
The successful execution of the hot partial sidewall rebuild highlighted the robustness of the furnace sidewall design and validated the initial design intent of the Furnace 1 upgrade in 2022. Temperature trends and wear profiles aligned closely with FEA predictions, reinforcing the reliability of the design methodology. The preliminary wear and temperature results, and the success of the hot partial sidewall rebuild, indicate that the design sidewall lifetime of 48 months is achievable.
Lessons learned during the rebuild, such as improvements to the installation device and composite cooler handling procedures, will inform future maintenance strategies and potentially reduce rebuild costs through the reuse of undamaged composite coolers. The findings of this case study support the continued use of the copper-graphite composite cooler technology in PGM furnace applications and provide a valuable reference for future furnace upgrade projects.
The authors wish to express sincere gratitude to Sibanye–Stillwater and Tenova Pyromet for their continued support and collaboration throughout the development and implementation of the copper–
graphite composite cooler system. The authors also wish to thank Tenova Pyromet and Sibanye-Stillwater for the permission and opportunity to publish this work.
The authors acknowledge the foundational work presented by Joubert et al. and colleagues, which laid the groundwork for this case study and continues to shape the future of furnace containment strategies in the PGM sector.
References
De Villiers, G., Joubert, H., Mc Dougall, I. 2020. Lining and Cooling Arrangement for a Metallurgical Furnace. From PGM furnace crucible upgrade and performance, The Southern African Institute of Mining and Metallurgy, Johannesburg, South Africa, WO/2020/109941.
Eksteen, J.J., Beek, B.V., Bezuidenhout, G.A. 2011. Cracking a hard nut: An overview of Lonmin’s operations directed at smelting of UG2rich concentrate blends, in: Southern African Pyrometallurgy 2011. Presented at the Southern African Pyrometallurgy 2011 International Conference. The Southern African Institute of Mining and Metallurgy, Johannesburg, South Africa, pp. 231–251.
Hoff, M., Rossouw, E. 2006. New opportunities - exhaustive monitored copper coolers for submerged arc furnaces, in: Southern African Pyrometallurgy. Presented at the Southern African Pyrometallurgy,The Southern African Institute of Mining and Metallurgy, Johannesburg, South Africa, pp. 89–100.
Joubert, H. 2008. A Furnace. ZA2007/05868. South African Patent Office, South Africa.
Joubert, H., De Villiers, G., Mbedzi, P., Davis, J. 2024a. Composite Copper-Graphite Cooler for PGM Furnace Sidewall, in: Advances in Pyrometallurgy. Springer Nature Switzerland.
Joubert, H., De Villiers, G., Nel, J., Senekal, D., Mbedzi, P., Davis, J. 2024b. PGM furnace crucible upgrade and performance, in: Southern Africa Pyrometallurgy 2024 Proceedings. The Southern African Institute of Mining and Metallurgy, Johannesburg, South Africa, pp. 221–233.
Marx, F., Shapiro, M., Mitchell, D., Delport, D. 2007. Developments in copper cooler design for pyrometallurgical applications., in: INFACON XI. Presented at the INFACON XI, The Indian Ferro Alloy Producers Association, New Delhi, India, pp. 677–684.
Mc Dougall, I. 2013. Sidewall design for improved lining life in a PGM smelting furnace The Journal of The South African Institute of Mining and Metallurgy, vol. 113, pp. 631–636.
Shaw, A., Nelson, L.R., Pieterse, B., Sullivan, R., Voermann, N., Walker, C., Stober, F., McKenzie, A.D. 2013. Challenges and solutions in PGM furnace operation: high matte temperature and copper cooler corrosion. The Journal of The Southern African Institute of Mining and Metallurgy, vol. 113, pp. 251–261.
Thethwayo, B.M., Garbers-Craig, A.M. 2010. Corrosion of copper coolers in PGM smelters. Presented at the 4th International Platinum Conference, The Southern African Institute of Mining and Metallurgy, Rustenburg, South Africa. u
COMPOSITE COPPER-GRAPHITE Coolers, innovative
design to reduce sulphidation corrosion.





by K. Shaik1, H. Kolev2, Z. Cherkezova-Zheleva2, J. Petersen1
Affiliation:
1Chemical Engineering, University of Cape Town, South Africa
2Institute of Catalysis, Bulgarian Academy of Sciences, Bulgaria
Correspondence to:
K. Shaik
Email: kathija.shaik@uct.ac.za
Dates:
Received: 17 Oct. 2025
Published: February 2026
How to cite: Shaik, K., Kolev, H., Cherkezova-Zheleva, Z., Petersen, J. 2026. Fundamental characterisation of sperrylite leaching behaviour in cyanide systems using x-ray photoelectron spectroscopy. Journal of the Southern African Institute of Mining and Metallurgy, vol. 126, no. 2, pp. 113–118
DOI ID:
https://doi.org/10.17159/2411-9717/930/2026
ORCiD:
K. Shaik
http://orcid.org/0000-0002-7862-2868
This paper is based on a presentation given at the 9TH International PGM Conference 2025, 27-28 October 2025, Sun City, Rustenburg, South Africa
Abstract
Sperrylite is one of the most abundant platinum minerals globally, valued for its economic importance but also known for its highly refractory nature, making it difficult to process via the conventional route. This study explores the oxidative leaching of sperrylite using a cyanide–ferricyanide system, with a key focus on characterisation of the mineral and surface speciation under varied leaching conditions using x-ray photoelectron spectroscopy. The parameters investigated include the effect of sodium cyanide concentration, the use of potassium ferricyanide as an oxidant, copper sulphate pentahydrate as a catalyst, as well as the effects of temperature and particle size. A limited set of leaching tests was carried out to study the surface chemistry rather than optimising dissolution conditions. This approach identified mineral oxidation states and shifts in binding energies, prior to and post leaching. XPS analysis of sperrylite’s surface chemistry identified key species, comprising the bulk Pt(II)–As (≈73 eV) and As(–I)–Pt (≈41.8 eV) states, together with surface oxidation products Pt(II)–O (≈72 eV), Pt(IV)–O (≈74.5 eV), As(III)–O (≈43 eV) and As(V)–O (44.5 eV). Leaching led to the removal of pre-existing oxides on the ultra-finely ground sample, exposing the underlying bulk species. In contrast, the crystalline sample with an initial low concentration of oxides, generated higher amounts of fully oxidised species after leaching, reflecting greater surface reactivity.
Keywords sperrylite, x-ray photoelectron spectroscopy, cyanide leaching
Introduction
Mining technologies are continuously advancing to reduce production costs in the competitive mining sector, while prioritising environmental sustainability (Hamrin, 2001). Mwase et al. (2012a, 2012b, 2014) developed a low-cost hydrometallurgical route using thermophilic bioleaching to extract base metals followed by cyanidation of platinum group metals (PGM). However, sperrylite (PtAs2) remained largely unreacted, demonstrating its resistance to cyanide leaching under the conditions studied (Mwase, Petersen, 2017). Sperrylite displayed low solubility and required stronger oxidising conditions to achieve significant platinum (Pt) in solution. As a result, ferricyanide was introduced as an oxidant in combination with cyanide and yielded notably improved recoveries of Pt (up to 16 times) compared to a system with passive aeration. The slow leaching kinetics of sperrylite were attributed to its inherent chemical stability and surface passivation. Understanding sperrylite’s dissolution required a detailed study of its surface chemistry, with the x-ray photoelectron spectroscopy (XPS) analytical technique offering a valuable means to accomplish this.
The application of XPS in studying the surface chemistry of sperrylite has been explored in a limited number of studies. Subsequent work by Mwase and Petersen (2017) demonstrated that arsenic is preferentially leached from sperrylite in a cyanide system resulting in surface enrichment of platinum and the formation of a platinum arsenide phase (Pt–Asx) where x<2. The authors went on to conclude that the formation of a passivation layer hindered further dissolution, accounting for the slow leaching kinetics observed. In contrast, Shackleton (2007) and Pikinini (2022) focused on the flotation behaviour of sperrylite, demonstrating that surface characteristics and the formation of metal oxides strongly influenced collector adsorption and recovery. Overall, these findings highlight that surface chemistry plays a key role in determining sperrylite’s reactivity in both hydrometallurgical and the beneficiation process.
The reaction mechanism for sperrylite leaching is not well understood, and the oxidation states of platinum (Pt) and arsenic (As) species prior to and post leaching remain under contention. Shaik (2022) demonstrated through XPS analysis that the sperrylite sample contains platinum(II)-arsenic (Pt(II)-As), confirming platinum is in the +2 oxidation state, inferring that arsenic is likely in the -1 state. Surface and bulk As were also detected, indicating differences in arsenic distribution between the surface and the bulk of the mineral. This study focused on the oxidative leaching of a single crystalline mineral electrode and XPS analysis revealed the presence of Pt(IV) oxide, likely PtO₂. Arsenic oxides, As(III)-O and As(V)-O, were also detected on the surface, with As(V)-O becoming dominant at higher applied potentials.
In contrast to previous studies on solid mineral electrodes, the present study focuses on ultra-finely ground samples of sperrylite to gain insight into dissolution behaviour at the particle level. The objectives are to determine the oxidation states of platinum and arsenic and monitor how they evolve during leaching under varied system conditions.
The natural sperrylite used in this study was sourced from the Sudbury Basin deposit through Wallbridge Mining Company (Canada), in collaboration with Lonmin Plc (now SibanyeStillwater). The mineral varied in size, with larger fragments measuring up to 3 mm and finer material extending down to -5 µm. Sub-samples of 3.5 g were micronised to achieve a particle size below 5 μm. Crystalline particle ranging from 3 mm to 4 mm in size were selected for the fabrication of electrodes. The electrode used for this specific study had a surface area of 0.0128 cm2. X-ray diffraction (XRD) confirmed that the material was composed entirely of sperrylite. Scanning electron microscopy with energydispersive x-ray spectroscopy (SEM-EDS) indicated a composition of 55.13% platinum (Pt) and 44.87% arsenic (As), consistent with literature values (Henke, Hutchison, 2009). Minor impurities of copper (Cu), silicon (Si), and sulphur (S) were also detected. All reagents used — sodium cyanide, (NaCN), potassium hexacyanoferrate(III) (K₃[Fe(CN)₆]), sodium carbonate (Na₂CO₃),

sodium bicarbonate (NaHCO₃), and copper(II) sulphate pentahydrate (CuSO₄.5H₂O) — were of analytical grade and procured from Merck. These were used as received without further purification. Stock solutions of NaCN and K₃[Fe(CN)₆] were prepared in an alkaline buffer. The standard buffer comprised 9.3 g/L Na₂CO₃ and 1 g/L NaHCO₃.
Leaching tests were conducted in a 500 mL reactor on a heated magnetic stirrer, ensuring continuous agitation of the solution. Approximately 0.75 g of the sperrylite mineral was used per test in 250 mL solution. For the base case, the finely ground sample was leached for 24 hours at 45°C and 500 rpm using 100 mM NaCN and 20 mM K₃[Fe(CN)₆]. The parameters investigated included the effect of NaCN concentration, the use of K₃[Fe(CN)₆] as an oxidant, CuSO₄.5H₂O as a catalyst, as well as the effects of temperature and particle size. Post leaching all samples were filtered, dried and transferred to the XPS for analysis. The ultrafinely ground sample was gently compressed into a sample stub to form a flat surface. It was handled with caution to minimise contamination and surface oxidation prior to analysis.
Ex situ x-ray photoelectron spectroscopy (XPS) measurements were performed using an ESCALAB MkII electron spectrometer (VG Scientific, now Thermo Scientific) at The Institute of Catalysis — Bulgarian Academy of Sciences (IC-BAS). The base pressure in the analysis chamber was maintained at 5 x 10-10 mbar, rising to 5 x 10-9 mbar during measurements. The system was equipped with a twin-anode, non-monochromated x-ray source (MgKα and AlKα), providing excitation energies of 1253.6 eV and 1486.6 eV, respectively. Measurements were conducted using both anodes. A pass energy of 20 eV was used for the hemispherical analyser, yielding an instrumental resolution (FWHM of the Ag 3d₅/₂ peak) of approximately 1 eV. Data acquired with the MgKα source were processed using SpecsLab2 and CasaXPS software (Casa Software Ltd). Spectral processing included subtraction of x-ray satellites and Shirley-type background (Shirley, 1972). Peak positions and areas were determined via symmetrical Gaussian-Lorentzian curve fitting. Relative concentrations of chemical species were calculated by normalising the peak areas to their respective photoionisation crosssections, based on Scofield’s theoretical values (Scofield, 1976).

Table 1
Results
Evaluation of untreated pristine crystal and ultra-finely ground sample
XPS probes only the top ~5 nm – 10 nm of the surface and this affects the species and amount detected (Briggs, Grant, 2003). For the pristine crystal sample, the surface was freshly prepared and polished to eliminate any surface products and limit exposure to air and oxidising agents. The surface remained largely unoxidised, with Pt and As retaining their original states, as reflected in the XPS spectra. As shown in Figure 1, a Pt4f peak detected at 73.3 eV was assigned to a Pt(II)-As bond, which accounted for 38.6% (Table1) of the total Pt signal. An additional peak was detected at a slightly lower binding energy of 72.3 eV assigned to Pt(II)-O and accounted for 6.47% of the relative intensity. Peaks corresponding to As3d appeared at 41.9 eV, representing 54.93% of the total signal. As the only As peak detected, it was attributed to the As (-I)-Pt. The peak assignments also took into consideration the relative proportion of the peak. In principle, oxidation of a species should lead to an increase in binding energy; this, however, was not observed for the Pt(II)–O peak. The binding energy shifts are not only dependent on oxidation state but can also be influenced by the electronegativity, bond covalency and the lattice strain, which may have contributed to the behaviour observed (Moulder et al., 1992).


The ultra-finely ground sample generated a greater surface area, which was significantly more reactive. The physical process of crushing introduces surface defects and disrupts the metal–metal or metal–ligand bonds, creating highly reactive surface sites. Prolonged exposure to air, and other potential oxidising agents are believed to have chemically altered the surface layer. Since XPS is mostly a surface technique, it detects the oxidised layer, rather than the underlying phases. This was apparent for the ultra-finely ground sample as a greater proportion of oxidised species was detected. The Pt4f spectrum revealed a dominant peak at 73.3 eV, representing 31.18% of the total signal assigned to Pt(II)-As. A second peak at 72.3 eV, was attributed to Pt(II)–O, which displayed a relatively low intensity of 4.38%. At a further increased binding energy of 74.9 eV, oxidised Pt(IV)–O species were detected, comprising 1.85% of the total signal. The underlying bulk species, As(–I)–Pt, were detected at 41.9 eV with an intensity of 41.58%. Surface-oxidised species were also observed, with As(III)–O at 43.3 eV (11.88%) and As(V)–O at 45.1 eV (5.13%), reflecting the presence oxidised species.
The XPS data (Figure 3) acquired for the ultra-finely ground sample under various system conditions was evaluated in relation to the untreated sample. The parameters investigated included the effect of NaCN concentration, the use of K₃[Fe(CN)₆] as an oxidant, CuSO₄.5H₂O as a catalyst, as well as the effects of temperature.

Leaching was shown to significantly modify the surface chemistry. The base case exhibited the highest relative proportion of Pt(II)As amongst the other tests obtaining 37.47% at 73.1 eV, while the oxidised platinum species showed a marked decline compared to the untreated sample, as shown in Table 2. Pt(II)–O dropped to 3.14% at 72 eV and Pt(V)–O to 1.96% at 74.5 eV. In a similar manner the underlying bulk, As(-I)-Pt fraction, remained dominant at 46.56% (41.8 eV) and a relative intensity of 10.87% was obtained for As(III)-O at 43.1 eV.
Increasing the NaCN concentration produced similar overall trends as the base case, obtaining comparable peaks and relative intensities for the various species. The findings suggest that higher cyanide concentrations promoted the stabilisation of Pt(IV)-O and As(III)-O, yielding intensities similar to the untreated sample. As(V) was not detected in both the base case or at 200mM NaCN concentration.
As the oxidant concentration was increased to 40 mM Fe(CN), the relative proportions of Pt and As oxides declined compared to the untreated samples. The relative intensity of Pt(II)-O decreased from 6.38% to 5.64% at 72 eV. An additional peak appeared at a higher binding energy of 74.4 eV, assigned to Pt(IV)-O, showing a moderate decrease in intensity to 2.60%. Concurrently, a high relative intensity of 50.25% was detected at 41.9 eV, consistent with the As(-I)-Pt species. Minor contributions from oxidised arsenic species were also detected, comprising 6.95% As(III)–O and 2.45% As(V).
At an elevated temperature of 55 °C, a greater relative proportion of oxidised Pt species was observed. In particular Pt(II)-O displayed the highest contribution, among the parameters studied, of 7.36% (72.3 eV) and Pt(IV)-O at 1.38% (75 eV). Under the same conditions, the As(-I)-Pt fraction displayed minimal variation obtaining 45.31% at 41.7 eV. The As(V)–O peak exhibited a considerable intensity of 7.56% (44.2 eV), while As(III)-O remained at 4.72% (42.8 eV). These findings confirm that heating promotes oxidation of both arsenic and platinum species, demonstrating a more oxidising environment, likely driven by enhanced reaction kinetics.
The introduction of the catalyst resulted in a marginal increase in the oxidised species, Pt(IV)-O by 1% at 74.7 eV. The other notable change was the catalyst-induced loss of Pt(II)–O and As(V)–O, which decreased by 3.51% and 1.73%, respectively, compared with the untreated sample. The relative intensities of the underlying bulk, As(–I)–Pt and Pt(II)-As, remained largely unchanged. Overall, these results suggest that the catalyst had a negligible effect on the system.

These results indicate that after a 24-hour leaching process, the mineral surface was not undergoing oxidation but instead dissolving the pre-existing oxidation products (Pt–O and As–O species). This allowed the exposure of the surface bulk, consistent with a process in which oxidative surface layers are stripped away rather than generated. Additionally, the surface species remained largely unchanged for the conditions studied, thus making it difficult to draw conclusive findings from the observed trends.
The effect of particle size was investigated in an ultra-finely ground (< -0.5µm), coarse ( >0.5 µm to 1000 µm), and a solid crystalline sample. For the ultra-finely ground sample, leaching increased the relative proportion of Pt(II)-As by 6.29% and As (-I)-Pt by 4.98% (Figure 5), while the proportion of oxidised species marginally decreased, indicating selective removal of the surface oxides and exposure of underlying bulk. For the coarse sample, a relative intensity of 4.21% for Pt(II)-O and 5.12% for As(III)-O were detected (Table 3), while the highest proportion of As(-I)-Pt was observed at 54.84% (41.9 eV). Furthermore, highly oxidised species, Pt(IV)-O and As(V)-O were not detected on the surface, indicating that the oxidised components had likely been removed or were absent. This suggests that the coarse surface is dominated by partially oxidised species. The crystalline sample initially showed limited oxide presence. After leaching, it gained an increased proportion of oxidised species, attaining relative intensities of 1.75% for Pt(IV)–O, 6.61% for As(III)–O, and 1.51% for As(V)–O. It is believed that leaching exposed its reactive sites, leading to formation of more oxidised species.

and As3d
Table 3

of ultra-finely ground, coarse, and crystalline leached samples
Relative proportions of platinum and arsenic species determined by XPS analysis across different particle sizes after leaching



Table 4
Relative proportions of platinum and arsenic species determined by XPS analysis after initial and re-leaching steps

The re-leach step predominantly exposed the underlying bulk state for As(-I)-Pt obtaining a relative intensity of 53.78% at 41.7 eV (Figure 7). The relative proportion data presented in Table 4 indicates that the surface was coated with Pt(II)-O species reaching an intensity of 13.82%, with no detectable Pt(IV)-O and As(III)-O present. Pt(II)-O concentrations were exceptionally high, and arsenic was mainly stabilised as As(V) at 4.76%. This observation suggests that the oxidative species generated during the initial leach were largely consumed, creating a redox environment that stabilised Pt(II)-O and As(V) in the re-leach. The re-leach likely removed surface layers and exposed fresh material, allowing Pt(II)-O to accumulate while more highly oxidised species remained undetectable.
XPS analysis of sperrylite’s surface chemistry identified key species, comprising the bulk Pt(II)–As (≈73 eV) and As(–I)–Pt (≈41.8 eV) states of the unoxidised sperrylite lattice, together with surface oxidation products Pt(II)–O (≈72 eV), Pt(IV)–O (≈74.5 eV), As(III)–O (≈43 eV), and As(V)–O (44.5 eV). Investigation of the various parameters after 24 hours on the ultra-finely ground sample indicated that leaching removed pre-existing Pt–O and As–O species without generating an additional oxide layer, exposing more of the underlying bulk species Pt(II)-As and As(-I)-Pt. Partially oxidised species Pt(II)-O and As(III)-O dominated amongst the oxide species found in the coarse sample, suggesting a stable surface environment favouring lower oxidation states. In contrast, the crystalline sample, with minimal oxides initially present, generated high relative proportions of the fully oxidised species (Pt(IV), As(III), and As(V)) after leaching, reflecting greater surface reactivity, leading to formation of more oxidised species. The releach effectively removed As(III)-O, however, the surface remained highly enriched in Pt(II)-O, suggesting incomplete removal of the oxide layer, in agreement with Mwase and Petersen (2017). This study demonstrates that the dominant oxide species and distribution depends largely on the mineral particle size and sample preparation rather than the leaching conditions itself. XPS provided valuable insights into the leaching chemistry, however, additional tests and repeated measurements are recommended to further validate the findings.
The authors also wish to acknowledge support from the European
Union’s Horizon 2020 Research and Innovation Programme under the MSC RISE Action ‘ChemPGM’ Grant Agreement No. 101007669.
References
Briggs, D., Grant, J.T. 2003. Surface Analysis by Auger and X-ray Photoelectron Spectroscopy. IM Publications.
Hamrin, H. 2001. Underground mining methods and applications, in W. A. Hustrulid and R. L. Bullock (eds), Underground Mining Methods: Engineering Fundamentals and International Case Studies. Littleton: Society for Mining, Metallurgy, and Exploration, pp. 3–14.
Henke, K.R., Hutchison, R.A. 2009. Surface oxidation of sperrylite and its impact on flotation. Minerals Engineering, vol. 22, pp. 1012–1018.
Mwase, J.M., Petersen, J., Eksteen, J.J. 2012. A conceptual flowsheet for heap leaching of platinum group metals (PGMs) from a lowgrade ore concentrate. Hydrometallurgy, vol. 1, pp. 111–112, 129–135.
Mwase, J.M., Petersen, J., Eksteen, J.J. 2012. Assessing a twostage heap leaching process for Platreef flotation concentrate. Hydrometallurgy, pp. 129–130, 74–81.
Mwase, J.M., Petersen, J., Eksteen, J.J. 2014. A novel sequential heap leach process for treating crushed Platreef ore. Hydrometallurgy, vol. 141, pp. 97–104.
Mwase, J. Petersen, J. 2017. Characterizing the leaching of sperrylite (PtAs₂) in cyanide-based solutions. Hydrometallurgy, vol. 172, pp. 1–10. doi:10.1016/j.hydromet.2017.06.019
Moulder, J.F., Stickle, W.F., Sobol, P.E., Bomben, K.D. 1992. Handbook of X-ray Photoelectron Spectroscopy. Eden Prairie, MN: Perkin-Elmer Corporation.
Pikinini, S. 2022. An investigation into the flotation response of sperrylite (PtAs₂) by comparative evaluation of crystal structure and bonding atoms. PhD thesis. University of Cape Town. Available at: http://hdl.handle.net/11427/37701
Scofield, J.H. 1976. Theoretical photoionization cross sections from 1 to 1500 keV. Journal of Electron Spectroscopy and Related Phenomena, vol. 8, p. 129. https://doi.org/10.2172/4545040
Shackleton, N.J., Malysiak, V., O’Connor, C.T. 2007. Surface characteristics and flotation behaviour of platinum and palladium arsenides. International Journal of Mineral Processing, vol. 85, pp. 1–3, pp. 25–40. doi:10.1016/j.minpro.2007.08.002
SAIMM
Shaik, K. 2022. Investigation of the electrochemical dissolution of sperrylite in cyanide-ferricyanide systems. PhD thesis. University of Cape Town.
Shirley, D.A. 1972. High-resolution X-ray photoemission spectrum of the valence bands of gold. Physical Review B, vol. 5, pp. 4709–4714. https://doi.org/10.1103/PhysRevB.5.4709 u

Affiliation:
1Centre for Minerals Research, University of Cape Town, South Africa
2Sylvania Platinum, South Africa
Correspondence to:
B. McFadzean
Email: belinda.mcfadzean@uct.ac.za
Dates:
Received: 20 Oct. 2025
Published: February 2026
How to cite:
McFadzean, B., Becker, M., Geldenhuys, S., Patterson, N. 2026. Understanding the nature of challenges posed in PGM recovery from secondary tailings resources. Journal of the Southern African Institute of Mining and Metallurgy, vol. 126, no. 2, pp. 119–124
DOI ID:
https://doi.org/10.17159/2411-9717/PGM29/2026
ORCiD:
B. McFadzean
http://orcid.org/0000-0002-5905-2273
M. Becker
http://orcid.org/0000-0002-7025-137X
S. Geldenhuys
http://orcid.org/0000-0001-9408-5989
N. Patterson
http://orcid.org/0009-0002-2724-9730
This paper is based on a presentation given at the 9TH International PGM Conference 2025, 27-28 October 2025, Sun City, Rustenburg, South Africa
by B. McFadzean1, M. Becker1, S. Geldenhuys1, N. Patterson2
Abstract
The retreatment of secondary tailings for platinum group metals recovery presents a range of potential challenges, which vary depending on the nature of the original ore and the type of pretreatment it was subjected to. These challenges include the prevalence of ultrafine particles, which promote slimes coatings on valuable minerals, hinder bubble-particle attachment, increase pulp viscosity, and lead to higher gangue entrainment; surface oxidation of minerals, which alters their floatability; and the presence of deleterious gangue minerals and residual platinum group metal species that are inherently difficult to recover by flotation. This study compares the batch flotation performance across a range of tailings samples from the eastern and western limbs of the Bushveld Complex. A complementary mineralogical analysis was conducted to gain deeper insights into mineral behaviour. The paper evaluates these findings to identify the key factors contributing to poor platinum group metal performance.
Keywords
Platinum group metals, tailings reprocessing, sodium metasilicate, ultrafine particles
The reprocessing of secondary tailings resources for platinum group metal (PGM) recovery has become an increasingly attractive option for both economic and environmental reasons. Large volumes of tailings from decades of chromite and PGM mining in the Bushveld Complex contain significant residual metal values, representing a secondary resource that can be exploited without the cost and environmental impact of new mining. Moreover, advances in mineral processing technology have created opportunities to recover PGMs from material once considered uneconomic (Ross et al., 2019).
The term tailings reprocessing can be misleading, as tailings may originate from a variety of sources, each with distinct mineralogical and metallurgical characteristics. Relevant resources for PGM recovery include legacy material stored in tailings storage facilities from PGM concentrators, which has already undergone primary PGM recovery, as well as from other plants, such as chromite operations, that have not been previously treated for PGMs. Current tailings streams from operating PGM concentrators and other processing plants can also be targeted, alongside smelter and converter slags generated during PGM smelting and refining. The origin of the material strongly influences its particle size distribution, mineralogy, degree of surface oxidation, and ultimately, its amenability to reprocessing.
These differences in origin and prior processing history may result in substantial variability in flotation behaviour but will almost invariably result in lower recovery potentials. Legacy tailings may contain partially liberated PGMs and relatively coarse particles but can also be highly oxidised or even contaminated with secondary minerals formed during long-term storage (Petrunic et al., 2009). In contrast, current tailings streams are typically finer and may contain a higher proportion of slimes (Baloyi et al., 2024). Smelter and converter slags present additional challenges related to their glassy, refractory nature and the encapsulation of PGMs within silicate matrices (Shen, Forssberg, 2003).
Understanding how these characteristics influence bubble–particle interactions, pulp rheology, and gangue entrainment is critical to identifying the key factors limiting recovery in tailings reprocessing. This study evaluates the laboratory batch flotation performance of four chromite tailings dams, comprising two from the eastern limb and two from the western limb of the Bushveld Complex. The flotation behaviour of these tailings is compared against that of run-of-mine (ROM) ores sourced from the corresponding eastern and western limb mining areas. Comprehensive mineralogical characterisation, including the bulk mineral identification and quantification, and PGM speciation, liberation and association for two selected samples, is employed to interpret differences in flotation
performance. The study examines how tailings origin, mineral composition, and particle size distribution influence recovery and concentrate grade, providing insights into operational strategies for the processing of these resources.
Experimental
Ore types and preparation
Two run-of-mine (ROM) ores were investigated, one sourced from the eastern limb (EL) and one from the western limb (WL) of the Bushveld Complex. In addition, four samples were collected from chromite tailings storage facilities, comprising two from the eastern limb (designated EL Dam 1 and EL Dam 2) and two from the western limb (designated WL Dam 1 and WL Dam 2). All the ores are of the middle group (MG) reef type, except for WL Dam 2, which is derived from the lower group (LG) reefs.
The head grades for the respective samples are summarised in Table 1. The ROM ores contained relatively low 4E (Pt + Pd + Rh + Au) grades of 1.22 g/t (EL) and 1.84 g/t (WL). By contrast, the tailings samples exhibited higher head grades, with EL Dam 1 reaching 3.5 g/t. The higher Cr₂O₃ head grades of the ROM samples compared to the tailings dams, are consistent with prior chromite recovery from the tailings dams.
Samples were crushed to < 2 mm, if necessary, split into the required sample masses and milled to a target grind of 80% < 75 µm. Particle size distribution of the flotation feed (Table 2) showed that, not surprisingly, the ROM samples contained less fines than the dams, even though they had the same P80.
Mineralogical characterisation
Each of the samples was prepared into polished 30 mm diameter blocks for determination of the bulk mineralogy using quantitative evaluation of scanning electron microscopy (QEMSCAN) on a QEMSCAN 650F instrument. The PGM mineralogy was also investigated through the analysis of multiple polished sections for the EL Dam 2 and WL Dam 2 samples. Confidence in the data was obtained by comparing the back calculated elemental assays with measured assays determined through x-ray fluorescence
spectroscopy (XRF) by an external service provider. Selected samples were also analysed on a Panalytical Aeris diffractometer, and the mineral grades quantified using the Rietveld method, before comparison with the QEMSCAN results. Good parity was obtained between these datasets.
Batch flotation was performed at 35% solids (by mass) in an 8 L Barker flotation cell. Base case reagent conditions were SIBX (collector) at 300 g/t, Senfroth 200 (frother) at 20 g/t and Sendep 30E (depressant) at 40 g/t. Depressant dosage was increased to 100 g/t to improve grade and 400 g/t to depress all naturally floating gangue and calculate the entrainment function. The final condition was the 100 g/t depressant condition, with the addition of 1500 g/t sodium metasilicate (Na2SiO3, abbreviated NaSi). Standard conditions were maintained for reagent conditioning, impellor speed (1200 rpm), froth depth (2 cm) and air flow rate (12 L/ min). Froth scraping occurred manually every 15 seconds, and concentrates were collected at cumulative times of 2, 6, 12, and 20 minutes. Concentrates and tailings were dried, delumped, and sent for 4E (Pt, Pd, Rh, Au) and Cr2O3 assay to an external, accredited laboratory.
Results and discussion
Sample characterisation
Assay-by-size showed that there were differences between deportment of value in the eastern and western limb ores (Figure 1). Eastern limb ores showed significant deportment of PGMs to the sub-10 µm size fraction, particularly for the tailings dams (57%–67%), whereas the western limb dams contained between 31%–56% of the 4E in the sub-10 µm fraction. WL Dam 1, in particular, showed a large amount of PGE in the + 75 µm size fraction, which may be locked and poorly floatable.
Mineralogy
The bulk mineralogy for each ore type is shown in Table 3. Base metal sulphide (BMS) grade ranges from very low for EL Dam 1
4E and Cr2O3 head grades for each ore type from the average assay of 3 independent representative feed samples and built-up head grade from 4 flotation tests
Particle size for flotation feed generated by Malvern Mastersizer. D10, D50 (10%/50% of particles less than specified diameter); D3,2 (Sauter mean diameter)




3
Bulk mineralogy for each ore type as determined by QEMSCAN (wt.%). BMS comprises pentlandite, pyrrhotite, and chalcopyrite.
Phyllosilicate alteration minerals are shown with a *
(< 0.1 wt.%) to a reasonably high grade of 0.6 wt.% for the EL Dam 2. For the rest of the gangue mineral types that could be considered problematic, such as the phyllosilicate alteration minerals, talc and serpentine, these are found in relatively low quantities. Serpentine, a mineral well known for generating slimes coatings and increasing pulp viscosity, is present in very low quantities and should not be considered problematic at these concentrations. There are reasonable amounts of talc, up to 3.4 wt.%, but this should be controllable using carboxymethyl cellulose depressant. There are no clearly identifiable differences between the eastern and western
limb ore samples, or between the LG and MG (WL Dam 2) samples (other than chromite content, already described, as per Table 1). PGM mineralogy was assessed for EL Dam 2 and WL Dam 2 (Figure 2), and the results indicate broadly similar assemblages across the eastern and western limb samples. Approximately 50% of the PGMs occur as PGE sulphide minerals, which are generally regarded as fast floating and readily recoverable. The remaining ~50% comprise minerals that are less amenable to flotation, notably the PGE arsenides (Wali et al., 2024). The flotation response of the PGE alloys is less known in comparison to the sulphides,

but available evidence suggests that they are more difficult to recover than the sulphides. Previous studies have proposed that the occurrence of alloys, such as ferroplatinum, reflects secondary processes, which may also produce associated alteration gangue minerals that can adversely affect flotation (McCall, 2016). In the present samples, chlorite appears to be the dominant alteration phase, with only minor talc and negligible serpentine, suggesting a comparatively less problematic alteration assemblage. False colour images of the PGM (see Figure 2) also show the presence of liberated PGM, PGM in base metal sulphides, PGM associated with BMS locked in silicates, and PGM associated with BMS locked in alteration silicates.
At the level of resolution available using the standard operating conditions of the QEMSCAN, no secondary minerals that had formed during the lifetime of the dam could be identified. These are minerals that may form due to the saturation state of the water being exceeded, or due to incongruent dissolution of primary minerals undergoing weathering reactions (Petrunic et al., 2009). Under alkaline conditions, a silicate-rich tailings deposit may be expected to form secondary silicates and clays from the alteration of feldspar and pyroxene, those being, carbonates such as dolomite or magnesite due to carbonation from atmospheric carbon dioxide reacting with Mg-rich silicates; sulphate minerals from oxidation of sulphide minerals; iron oxyhydroxides such as goethite, ferrihydrite, and hematite; and secondary PGM phases from micron-scale reprecipitation of Pt, Pd or Rh as secondary alloys, amongst others.
PGM performance
Figure 3 shows the flotation performance for all the individual samples. The base case recovery versus mass pull curves (Figure 3a) show that there are a range of floatabilities for the different samples, from the poorly floatable WL Dam 2, through to the better performing EL and WL ROM ores, with WL Dam 1 performing similarly to the ROM ores. The fact that these samples are positioned in a more favourable region of the recovery-mass pull domain does not necessarily translate to higher final recoveries under the conditions used. However, it implies that improved recoveries are possible at higher mass pulls, assuming this is operationally feasible. EL Dam 1 attains the highest final recoveries, but at extremely high mass pulls, which may be attributed to
its notably fine particle size distribution and relatively high talc content.
The addition of NaSi (Figure 3b) had a significant positive effect on the performance of most of the samples. In some cases, final recoveries were lower than those for the base case, but the recoverymass pull curve shifted to a more favourable operating domain. WL ROM was an example of a particularly good response to addition of NaSi, shifting from 57% recovery at 10.5% mass pull to 71% recovery at 5% mass pull. WL Dam 1, however, was an example of a negative response to NaSi addition, where final recovery decreased from 76.5% to 48.7%, with an associated decrease in mass pull from 15.5% to 11.6%.
The upgrade ratio (UGR) versus recovery for the samples is shown in Figures 3(c) and (d). Figure 3(c) gives the base case curves, whereas Figure 3(d) shows the comparison when NaSi is added. These show more clearly the dramatic improvement in grade for the two ROM samples.
Cr2O3 performance
An important performance indicator for these ore types is the extent of Cr2O3 recovery to the concentrate by entrainment. Entrainability, which is defined as the slope of the recovery by entrainment versus water recovery plot, was the highest for EL Dam 1 and WL Dam 2 (Table 4). This is correlated with the higher proportion of fines contained in these ores. By contrast, the ROM samples displayed entrainability values about an order of magnitude lower, consistent with their coarser PSDs. This is most clearly indicated by Figure 4 that shows the rapid increase in entrainability parameter with an increase in the ultrafines content in the feed. The exception is EL Dam 2, which lies off the trend.
A key performance metric for chromite-bearing PGM concentrator is the Cr2O3 to platinum ratio as smelters inflict penalties when this value is too high. Figure 5 shows the Cr2O3 to 4E ratio versus the 4E recovery for the (a) base case and (b) with the addition of NaSi. The objective is to reduce the Cr2O3:4E ratio, while maintaining, as far as possible, the overall recovery. A comparison of the two datasets shows that, for some ores, this was achieved with the added benefit of an increase in 4E recovery. For example, the addition of NaSi to the WL ROM reduced the Cr2O3:4E ratio from above 1 to an average of about 0.65, while increasing recovery from a final value of 57% to 70%. Similarly, the EL Dam 2 experienced a reduction in the Cr2O3:4E ratio from above 2 to below 1.5, while


Entrainment functions for total solids, as well as the R2 value

increasing recovery from 51% to 55%. The Cr2O3:4E ratio was significantly reduced for all other ores, with the exception of the WL Dam 2, which remained relatively unchanged, although showing some variability. In the latter cases, the decrease in Cr2O3:4E ratio was accompanied by a loss in recovery. Whether such a trade-off is acceptable depends on economic considerations, particularly the balance between reduced recovery and the avoidance of smelter penalties for high Cr2O3 to platinum ratios.
Conclusions
This study examined the flotation performance of run-of-mine


(ROM) samples and chromite tailings samples from the eastern and western limbs of the Bushveld Complex, with the aim of identifying the principal challenges encountered in PGM tailings reprocessing.
Mineralogical analysis revealed only minor amounts of problematic gangue minerals such as serpentine and talc, indicating that slimes coatings and pulp viscosity were unlikely to be major constraints on valuable mineral recovery. PGM speciation of a western and eastern limb dam, respectively, indicated that roughly half of the PGMs occur as readily floatable sulphide species, while the remainder are comprised of more refractory arsenides and alloys. While the ROM samples exhibited relatively low 4E grades (1.2-1.8 g/t), the tailings dam samples had significantly higher grades (up to 3.5 g/t), highlighting the potential of tailings as secondary PGM resources.
Assay-by-size data showed that the PGMs are heavily concentrated in the sub-10 µm size fraction, which suggests that there may be size-related constraints in the recovery of these minerals. While it is well known that fine particles have lower collision probabilities than coarser particles, the very high density of PGMs overcomes this problem, to some extent.
Fortunately, the Cr2O3 distribution by size was not as heavily concentrated in the ultrafine size fraction as the PGMs. However, the eastern limb ores showed higher concentrations of Cr2O3 in the < 10 µm fraction than the western limb. The ROM ores of both the eastern and western limbs showed an increasing concentration


towards the coarser end of the distribution. These are all positive properties with regards to limitation of recovery by entrainment of chromite.
Although the bulk mineralogical characteristics did not immediately suggest significant processing challenges, both recoveries and upgrade ratios were lower than might typically be expected for fresh UG2 ores. The ROM samples consistently outperformed the tailings materials, offering some insight into the underlying causes. Key differences between ROM and tailings samples include: (1) ROM ores have a coarser particle size distribution, and therefore contain fewer problematic ultrafine gangue particles; (2) ROM samples generally exhibit a lower proportion of PGMs in the ultrafine size fractions; (3) unlike tailings materials, ROMs have not been subjected to prolonged storage on a tailings dam, where surface oxidation and secondary alteration can adversely affect flotation behaviour.
Among the tailings dam samples, several achieved relatively good recoveries that approached, or exceeded 80%, but only, in some cases, at extremely high mass pulls under base case conditions. This is reflected in their low upgrade ratios, which range from about 2 to 3.6 for three of the four dam samples. Exploring the possibilities for these poor performances, the high deportment of PGMs to the ultrafine (< 10 µm) fraction appears to be a common trend amongst these ores. The only tailings dam sample that achieved close to 80% recovery at a reasonable mass pull of 16%, was the WL Dam 1, which was also the sample that had the lowest PGM distribution to the ultrafine fraction from both the ROM and tailings dam samples. Interestingly, this was also the only sample that responded poorly to the addition of NaSi to the reagent suite. There were no obvious constraints evident in the bulk mineralogy of any sample, while the PGM mineralogy of the two dam samples that were analysed (EL2 and WL2) indicated ~50% content of PGM species that may be considered difficult to recovery. It may, therefore, be concluded that the combination of ultrafine PGM particles made up of refractory species, are the dominant factors in hindering the performance of the dam samples.
Recovery of chromite to the concentrate is a serious concern for the profitability of all PGM operations and furthermore, is a significant problem for these very fine ores. The entrainability values indicated how very sensitive the flotation process is to the amount of fines present in the samples. The Cr2O3:4E ratio could be reduced in most of the ore samples by the addition of NaSi, an effect attributed primarily to enhanced froth drainage. This is noteworthy because these ores contain only minor serpentine and would not typically be regarded as ideal candidates for NaSi application (McFadzean et al., 2023). Sodium metasilicate is generally employed as a dispersant to
remove electrostatically attached ultrafine serpentine particles from valuable minerals, thereby improving PGM recovery. In the present study, NaSi appears to perform this conventional role for certain samples, most notably the WL ROM, but its dominant action is more likely through improved froth drainage and a consequent reduction in gangue entrainment.
These findings highlight the need for processing strategies that address ultrafine PGM deportment and refractory behaviour. Targeted measures, such as improved reagent and froth management schemes, can help limit chromite entrainment while maintaining PGM recovery. This could also include investigation of the effect of stirred milling. Incorporating these approaches provides a framework for more effective reprocessing of Bushveld tailings resources.
The authors gratefully acknowledge the funding of Sylvania Platinum and permission to publish this work, and extend thanks to various staff members of the Centre for Minerals Research for their expert assistance.
References
McCall, M.-J. 2016. Mineralogical and geochemical variations in the UG2 reef at Booysendal and Zondereinde mines, with implications for beneficiation of PGM. SUNscholar digital archive, Stellenbosch University. https://scholar.sun.ac.za
McFadzean, B., Domingues, T., Souza, D., Becker, M., Geldenhuys, S., Molifie, A., Nyaruwata, E., Tshinavhe, T., Souza, T. 2023. Analysis of dispersant efficacy in overcoming challenges posed by alteration minerals in flotation. Flotation 23.
Petrunic, B. M., Al, T.A., Weaver, L., Hall, D. 2009. Identification and characterization of secondary minerals formed in tungsten mine tailings using transmission electron microscopy. Applied Geochemistry, vol. 24, no. 12, pp. 2222–2233. https://doi.org/10.1016/j.apgeochem.2009.09.014
Ross, V., Singh, A., Pillay, K. 2019. Improved flotation of PGM tailings with a high-shear hydrodynamic cavitation device. Minerals Engineering, vol. 137, pp. 133–139. https://doi.org/10.1016/j.mineng.2019.04.005
Shen, H., Forssberg, E. 2003. An overview of recovery of metals from slags. Waste Management, vol. 23, no. 10, pp. 933–949. https://doi.org/10.1016/S0956-053X(02)00164-2
Wali, A., Filippov, L., Fekry, A. M., O’Connor, C. T., McFadzean, B. 2024. An investigation into the effect of Eh and pH on the adsorption of a xanthate collector on sperrylite (PtAs₂): A surface and solution characterization study. Minerals Engineering, 217. https://doi.org/10.1016/j.mineng.2024.108949

Affiliation:
1Mintek, South Africa
2Stellenbosch University, South Africa
3Samancor Chrome Ltd, South Africa
4Independent Consultant, South Africa
Correspondence to:
Q.G. Reynolds
Email: quinnr@mintek.co.za
Dates:
Received: 19 Oct. 2025
Published: February 2026
How to cite:
Reynolds, Q.G., Xakalashe, B.S., Tsebe, S.P., Erwee, M.W., Geldenhuys, I.J., Jones, R.T. 2026. Plasma arc behaviour in direct current arc furnace smelting of platinum group metal-bearing materials: A modelling study on the effect of reductant choice. Journal of the Southern African Institute of Mining and Metallurgy, vol. 126, no. 2, pp.125–134
DOI ID:
https://doi.org/10.17159/2411-9717/PGM30/2026
ORCiD:
Q.G. Reynolds
http://orcid.org/0000-0002-5196-8586
This paper is based on a presentation given at the 9TH International PGM Conference 2025, 27-28 October 2025, Sun City, Rustenburg, South Africa
by Q.G. Reynolds1,2, B.S. Xakalashe1, S.P. Tsebe1, M.W. Erwee3, I.J. Geldenhuys4, R.T. Jones4
Abstract
Aspects of the production of platinum group metals by reductive smelting in direct-current arc furnace processes are investigated using a computational modelling approach. The replacement of fossil carbon as a reductant by alternative reductants such as silicon carbide, ferrosilicon, and hydrogen is desirable for reducing direct greenhouse gas emissions from such processes, but the impact of these changes on the electrical operability of the process is poorly understood. This paper presents a study of plasma arc behaviour in the context of the ConRoast® reductive smelting process for Upper Group 2 ore as well as processes for recycling of automotive catalysts, using an integrated computational modelling workflow. It was found that the freeboard gas compositions, plasma properties, and arc behaviour were all affected by the choice of reductant, particularly in carbon-free smelting using ferrosilicon or hydrogen.
Keywords PGMs, Pyrometallurgy, DC furnace, Modelling
Introduction
Platinum group metals (PGM) production by alloy smelting in open-bath direct current (DC) electric arc furnaces offers an alternative to traditional matte smelting processes, and may be used for both primary and secondary raw materials (Jones, 2015). Such processes use a chemical reductant to transform metal oxides in the furnace feed into an alloy collector phase, into which the PGM content is preferentially concentrated prior to further refining.
For smelting of primary sulphide concentrates with high chromite content, such as those obtained from the mining of Upper Group 2 (UG2) reserves in South Africa, the ConRoast® process is an attractive option (Jones, 2002; Phillips et al., 2008). This is a multi-step flowsheet starting with oxidative dead-roasting of concentrate fines in a fluidised bed reactor to convert sulphides to oxides and capture the sulphur oxide emissions for sulphuric acid production, followed by reductive smelting of the oxides in a DC arc furnace (see Figure 1). This produces an iron-rich alloy containing the base metals (nickel, cobalt, and copper) and the PGMs. The molten alloy is atomised to render it amenable to downstream hydrometallurgical methods for base metals and PGM refining.
Another growing application of alloy smelting is the recycling of spent catalytic converters (autocats) from the automotive industry (Benson et al., 2000; Peng et al., 2017). These typically contain small quantities of PGMs, which are coated on the surfaces of a porous ceramic substrate typically made of cordierite (2MgO.2Al2O3.5SiO2). In some cases, particularly in autocats originating from the heavy-duty vehicle market, the substrate may also contain silicon carbide (SiC). The autocat material is fed to a DC arc furnace with an iron source such as hematite and a chemical reductant (only necessary if the autocat SiC content is insufficient to complete the reaction). This again produces an iron-rich alloy with the collected base metals (mainly nickel) and PGMs. The alloy generated in this process typically contains high levels of iron (85% – 90% Fe), which is not suitable for downstream refining. As such, the iron alloy is first oxygen refined in a converting process to remove most of the iron before sent to downstream refining for recovery of the base metals and PGMs. A typical flowsheet for processing of spent autocats is shown in Figure 2.
A challenge with many existing reductive smelting processes is their reliance on fossil carbon as a reductant, which can generate significant scope-1 greenhouse gas emissions. Although an increasing number of low-carbon alternative reductants such as silicon carbide (Malan et al., 2015), ferrosilicon alloys (Akhmetov et al., 2025), hydrogen (Dalaker, Hovig, 2023), and others, are currently available or


becoming so, the replacement of fossil carbon with these materials in PGM alloy smelting is still largely untested and may result in undesirable operational conditions for the smelting furnace. In particular, the process chemistry of using carbon-free reductants such as ferrosilicon and hydrogen is likely to cause significant differences in the chemical composition of the gas phase inside the furnace vessel. This, in turn, may alter the electrical and dynamic behaviour of the plasma arc in applications where a DC arc furnace is used for the reductive smelting step.
The literature on modelling the influence of alternative reductants and process chemistry on plasma arc behaviour is rather sparse. Recent computational multiphysics studies on arcs in hydrogen have however shown that the effect can be substantial, with the high resistivity and low density of plasmas generated from hydrogen and hydrogen/water mixtures resulting in unstable arc operation (Al Nasser et al., 2024). Numerical calculation of plasma properties for different metallurgical processes has also demonstrated that even relatively small differences in minor contaminants in the gas phase can have a disproportionately large effect on properties such as electrical conductivity and thermal radiation, to which arc behaviour is sensitive (Reynolds et al., 2025a). It would therefore seem prudent to apply arc modelling workflows to study the effect of alternative reductant choices in PGM alloy smelting, so that potential difficulties in moving to lowcarbon processes can be identified and mitigated well in advance of any real-world implementations.
Theory and model description
The plasma arc in a DC arc furnace is a very fast (km/s), very hot (> 10000 K) jet formed by electromagnetic forces acting on thermally ionised gases in the freeboard space above the molten bath of process material (Bowman, Krüger, 2009). Its ability to conduct electricity and transfer large amounts of mechanical and thermal energy to the bath makes it the engine room of the furnace. Understanding the behaviour of the arc and the region immediately
around it correctly, is therefore key to the effective operation of DC arc furnace processes (Geldenhuys, 2017).
Due to the extreme conditions under which they operate, the large-scale arcs used in metallurgical processing are challenging to study experimentally. Computational models based on mathematical descriptions of the physics describing plasma arcs have however advanced rapidly in recent years, and offer a useful alternative for investigating arc behaviour in response to changes in process conditions. Modern approaches to modelling plasma arcs make use of integrated workflows including the effect of metallurgical chemistry on the plasma gas composition and the influence of the gas composition on the resulting plasma’s thermophysical properties (Reynolds et al., 2025a). The modelling workflow used in the present study is shown in Figure 3.
The first step in the workflow uses tools such as FactSage (Bale et al., 2016) to perform thermodynamic equilibrium calculations for the metallurgical process in question. In the case of PGM, smelting calculations were performed using appropriate alloy and oxide databases for the slag and alloy phases, and ideal mixture data for the gas phase – further case-specific details are provided in the results section. Multiphase thermodynamic equilibria were obtained based on the feed material composition and process temperature in each case to yield the composition of species in the gas phase.
The gas compositions were passed into an open-source calculator for plasma properties, minplascalc (Reynolds et al., 2025a, 2025b). The equilibrium composition of molecules, atoms, ions, and electrons was first calculated for each case using Gibbs free energy minimisation based on quantum mechanics descriptions of the internal energy and partition functions for each species. The plasma compositions were then used to calculate thermodynamic (density, enthalpy, and heat capacity) and transport (viscosity, electrical conductivity, thermal conductivity, and radiation emission coefficient) properties of plasmas as a function of temperature at atmospheric pressure. The plasma property data was then tabulated in an efficient lookup-table format for further use.
The final step in the modelling workflow involves using a specialised open-source computational mechanics solver, plasmaArc (Reynolds, 2025), to calculate the spatial and temporal evolution of a simulated arc for each case. The solver is implemented using the OpenFOAM® open-source framework (OpenCFD Ltd, 2025). It calculates numerical solutions to the governing equations of magnetohydrodynamics (MHD) involving three pieces of physics: fluid flow, heat transfer, and electromagnetic fields. These are described by a set of coupled non-linear partial differential equations as shown in Equations 1, 2, and 3.



In Equations 1, 2, and 3, ρ is the plasma density, u is the velocity field, P is the pressure, τij is the viscous stress tensor, j is the current density, B is the magnetic field vector, h is the plasma enthalpy field, κ is the thermal conductivity, T is the temperature field, σ is the electrical conductivity, K = 1/2|u|2 is the kinetic energy of the fluid, QR is the thermal radiation loss term, ϕ is the electric potential, and A is the magnetic vector potential. Furthermore, Equations 1,2, and 3 are solved numerically subject to standard boundary conditions described in previous work on plasma arc models (Reynolds, 2020) with the exception of the temperature field. For this study, a new temperature boundary condition was developed based on physics-aware descriptions of near-electrode plasma sheath layers, following the unified cathode/ anode sub-model (CASM) approach (Sævarsdóttir et al., 2006). The heat flux from the plasma to the boundary is simplified as the sum of contributions from local conduction and convection, thermal radiation, and electric current transport:

In Equation 4, n is a unit vector normal to the boundary surface and facing out of the computational domain, qr is the net radiation flux into the surface from the thermal radiation sub-model in the MHD solver, Wf is the work function of the boundary material, Ui is the effective first ionisation potential of the plasma (taken as the minimum ionisation potential of all neutral species present), je is the electron current density at the boundary, and ji is the ion current density. In addition, je and ji are estimated at each boundary element using expressions modified from Lowke et al. (1997):



In expressions 5, 6, and 7, jB is the net current density vector field at the boundary, jR is the thermionic emission current density, ARD is the Richardson-Dushman thermionic emission coefficient, qe is the elementary charge, k is the Boltzmann constant, and TB is the temperature field at the boundary.
Once the total heat flux qB is calculated, it is then used in a simple lumped parameter energy balance on each surface element of the boundary mesh to obtain its temperature:

In Equation 8, δB is the thickness of the thermally active layer of boundary material, and hB is the thermal resistance between the boundary surface and its interior, which is assumed to be at temperature T∞. These are both empirical parameters, with Equation 8 approximating complex transient heat transfer effects within the electrode and molten bath boundaries. The maximum values of TB calculated from Equation 8 were also clamped at the vaporisation temperature Tv of the boundary material, providing a crude approximation of phase change behaviour.
To study the effect of using alternative reductants in PGM alloy smelting, a case matrix was identified using two raw materials, ConRoast® oxidised concentrate and recycled autocats, and four different reductants: metallurgical coke, silicon carbide (SiC), ferrosilicon (FeSi), and hydrogen (H2). Phase compositions for each combination of raw material and reductant were obtained from thermochemical modelling at a range of different slag bath temperatures extending from a representative bulk process temperature, 1650ºC, to the point at which the majority of the alloy reports to the gas phase, approximately 2500ºC. Such elevated slag temperatures are possible in the attachment zone where the arc connects to the slag bath surface (Barcza et al., 1990). The gas compositions for each combination of raw material, reductant, and slag temperature were then used to calculate the associated plasma properties as a function of plasma temperature, and the properties were passed into the MHD arc solver. For each set of process conditions, two model furnaces were simulated – one at 5 kA current scale representing a large pilot plant or small recycling facility, and one at 50 kA representing an industrial smelter. Transient arc voltages were extracted from the simulations and analysed further to identify trends and potential problems.
For each combination of raw material, reductant, and slag temperature, FactSage 8.3 was used to calculate the equilibrium phase compositions. The thermodynamic modeling employed multiple databases to ensure accurate representation of the different phases present in the system. For the slag and other oxide phases, solutions from the FTOxid database were used, while the SGTE database was employed for the alloy phase. Pure compound and gas data were sourced from the FactPS database, which included solid CeO2 for the autocats simulations. Where viscosity calculations were required, the integrated viscosity model in FactSage was applied. Equilibrium calculations were performed using the “Equilib” module with a temperature step size of 5 K. Normal equilibrium mode was selected when solid reductants (coke, FeSi, SiC) were employed. For reduction involving H2/Ar mixtures, the open option was used. In this configuration, equilibrium calculations are performed stepwise with small amounts of fresh reducing gas introduced to the system at each step, while the off-gas is discarded before the subsequent step. This approach effectively simulates continuous reducing gas flow into the reactor. The assumed compositions for the roasted concentrate from the ConRoast® process (Jones, 2002) and the feedstock for the autocats (Morcali, 2020) are shown in Table 1.
Table 1
Feed material compositions assumed
Cu (ConRoast®)
The platinum group metals (PGM) in the ConRoast® feed were assumed to be present as Pt (296 g/t), while values for Pt, Pd, and Rh were taken as 25, 54, and 8.5 g/t, respectively.
Several assumptions were made regarding the composition and properties of the reductants used in the simulations. Coke was assumed to have a dry fixed carbon content of 95%, with 5% volatiles and 0.5% moisture content, and no ash present. The volatiles were represented as CH4 in the simulations for thermodynamic consistency. FeSi was assumed to consist of 75% Si and 25% Fe, while SiC was considered to be pure. All gases, including H2 and inert gases (N2 and Ar), were assumed to be pure. The reducing gas mixture for H2/Ar reduction consisted of 30% H2 and 70% Ar by volume. For cases involving FeSi reduction, sufficient N2 was added to maintain a partial pressure of nitrogen (pN2) of 0.98 atm at the bulk process temperature.
ConRoast® process simulations
For the ConRoast® process simulations, specific conditions were established for reductant addition and fluxing operations. The amount of coke added was set at 5 mass% of the total feed, based on the recipe described in Jones (2002). The quantity of FeSi added was calculated stoichiometrically to achieve full reduction of FeO and Cr2O3. To counteract the formation of SiO2 as a reduction product, pure MgO was added to maintain an MgO/SiO2 ratio of 0.48 at the bulk process temperature. This ratio was selected based on the composition reported for slag produced in the ConRoast® process (Jones, 2002). The same methodology was applied for SiC reduction cases. For reduction using H2, eighteen steps of gas addition to the system were required to achieve a residual FeO content of 5% in the slag. This target was selected to match the level quoted in the ConRoast® process literature (Jones, 2002), ensuring comparable reduction levels between hydrogen and coke reduction scenarios.
The gas phase composition results from the equilibrium calculations are given in Figure 4. Only the total elemental composition is shown for easier comparison between cases. As a mined and processed ore, the ConRoast® raw material is metallurgically complex, and as a result the associated gas compositions are rich in trace metals such as copper, magnesium, nickel, and others. Sulphur is also a significant component in the ConRoast® gas compositions at higher temperatures. These are present in addition to the major species (carbon monoxide in the case of coke and SiC smelting, nitrogen in the case of FeSi, and unreacted hydrogen in the case of H2). In all cases it can be seen that the trace elements become increasingly volatile as slag temperatures rise.
Autocat process simulations
The autocat smelting process requires the addition of hematite (assumed to be pure Fe2O3), which is reduced to form an iron alloy that serves as a collector for precious metals. The quantities


of hematite and flux added were based on industrial process data reported in Benson et al. (2000). For every 100 grams of autocat material, 114.3 grams of hematite was required. Fluxing was accomplished using CaO in all cases, with additions of 6 to 7 grams per 100 grams of autocat material. This fluxing strategy was designed to ensure a slag viscosity of less than 3 Pa.s at the bulk process temperature. The amounts of coke, FeSi, and SiC were calculated stoichiometrically to achieve complete reduction of the added hematite. For hydrogen reduction, the same stepwise approach used in the ConRoast® case was employed. In cases involving FeSi reduction, an inert nitrogen atmosphere was maintained following the same protocol established for the ConRoast® process.
The equilibrium gas phase composition results for autocat processes are given in Figure 5. Autocat raw materials are much simpler than the complex natural ores used in ConRoast®, and this results in a correspondingly simpler gas phase composition. The elements present in any significant quantities are however very similar, especially at low temperatures where the slag species are less volatile.
The absence of any PGM elements in the gas phase of both processes may seem somewhat contradictory at first, however, it should be recalled that although they are the primary product they are present in only very small quantities (ppm) in the raw materials. In addition, PGMs are not particularly volatile in elemental form at the slag temperatures considered here.


The elemental gas compositions for each combination of raw material, reductant, and slag temperature were passed into a parallelised scripted calculation of the associated thermophysical properties of the plasma. The full set of plasma species included Al, Ar, C, Co, Cr, Cu, Fe, H, Mg, N, Ni, O, S, Si, Alz+, Arz+, Cz+, Coz+, Crz+, Cuz+, Fez+, H+, Mgz+, Nz+, Niz+, Oz+, Sz+, Siz+, CO, CO2, CrO, FeO, H2, H2O, H2S, MgO, N2, NO, NiO, OH, SO, SO2, SiO, and SiS (where z is the ion charge number ranging between 1 and 3). These calculations were performed with minplascalc 1.0.2, and the
necessary quantum mechanical data for each species were obtained from a variety of sources as documented elsewhere (Reynolds et al., 2025a). To improve calculation performance, species were omitted in cases where their constituent elements were not present in any significant amount in the original gas composition obtained from FactSage. The plasma composition and property calculations were then run between 300 K and 30000 K at a pressure of one atmosphere. At temperatures below 2000 K it was necessary to use reduced species sets to avoid numerical difficulties arising from charged particle concentrations dropping below machine precision. The full set of results, including gas compositions and plasma properties, is available online as an open dataset (https://zenodo. org/records/17063718, https://doi.org/10.5281/zenodo.17063718).
Plasma properties for process cases using metallurgical coke as a reductant are shown in Figure 6. In addition to the high degree of nonlinearity typical of plasma properties in general, it can be seen that there is almost no difference between the ConRoast® and autocat processes at lower slag temperatures. At high slag temperatures, the trace elements present begin to affect the properties more strongly, but even at Ts = 2500ºC there are only relatively small differences between the two raw materials.
Properties for cases using SiC as a reductant are shown in Figure 7. A comparison with Figure 6 shows that there is a great deal of similarity in the plasma properties between processes using coke and SiC as a reductant, because the equilibrium gas phase in both cases is dominated by carbon and oxygen. Even though substantially less total carbon is expected to be emitted when using SiC, there would be relatively little difference in the gas environment in the freeboard of the furnace.
Moving on to FeSi as a reductant, the results are shown in Figure 8. Due to the large change in the equilibrium gas compositions for FeSi processes in which N2 is used as a purge and dominates the gas atmosphere, the properties are quite different








to those of coke and SiC processes. In particular, at lower slag temperatures the plasma is less electrically conductive and emits more thermal radiation in the important 5000 K – 15000 K range in which the main column of a plasma arc generally operates. This can be expected to affect the thermal and electrical behaviour of the arc appreciably.
Finally, process cases using H2 as a reductant are compared in Figure 9. Because of the very low density and unusual quantum mechanical properties of hydrogen, this results in large differences
in the properties of the plasma that would be generated by the freeboard gas, particularly at lower slag temperatures. The presence of argon as a carrier gas helps to ameliorate this to some degree, but the plasma density is low, and the heat capacity and thermal conductivity are very high. The electrical conductivity and emission coefficient are also higher than the carbon-based processes in the 5000 K – 15000 K range. This particular combination of properties is likely to have a very significant impact on the dynamics, stability, and electrical behaviour of the plasma arc in these cases.
The plasma properties shown in the previous section were taken forward into computational MHD simulations with the plasmaArc 1.0.0 solver to study the effect of various reductant and process routes on the stability and electrical behaviour of the arc in a hypothetical DC furnace operation. The arc was simulated in a simplified furnace geometry configured with a vertically mounted graphite electrode acting as the cathode (electrical negative), a flat bath of process material below it acting as the anode (electrical positive, connected to ground), and a hemispherical region of the furnace freeboard gas space around the electrode tip. The unstructured polyhedral computational mesh was anisotropically refined in the volume between the electrode tip and the anode where the arc is usually located. This geometry is illustrated visually in Figure 10.
Parameters used in the MHD models are shown in Table 2, and were set to these values in all cases unless otherwise indicated. The new CASM-style temperature boundary conditions were implemented on the anode and cathode surface with parameters as shown in Table 3, where properties were selected based on the boundary materials (graphite for the cathode, and molten slag for the anode).
Numerical testing of the MHD model was performed in two steps. The first of these involved varying the spatial resolution of the elements in the computational mesh, represented by Δm. For these tests, the “50 kA scale” case parameters in Table 2 were used

together with the plasma properties calculated for the ConRoast® process using coke reductant and a slag bath temperature of 2500ºC. Instantaneous maximum values of the temperature and velocity fields were extracted from the simulation results as a function of time, along with total voltage drop across the arc (calculated as the difference between minimum and maximum values of the electric potential field). Average and standard deviation values were then calculated from this data and reported as a function of Δm. The results are shown in Figure 11.
Although it is clear that the MHD model is not fully meshindependent at the range of resolutions tested, the sensitivity of the results to mesh resolution is relatively low. This is particularly true for the calculated arc voltage, which is an important parameter in the electrical design of transformers and rectifiers for DC furnace power supplies. At mesh resolutions Δm < 10 mm the average and standard deviations of the arc voltage do not change significantly, and 7.5 mm was chosen as a suitable value for the remainder of this study.
electrode temperature, T∞



The second test of numerical performance involved comparing the model’s predictions of the voltage-current-arc-length relationship to those reported in literature. Empirical expressions for the shape of the arc column, and hence, the voltage as a function of arc length and current, have been developed for DC arcs by Bowman (Bowman, Krüger, 2009). Bowman’s formula conveniently characterises the arc’s electrical characteristics using a single parameter, that is, the arc resistivity. Based on extensive measurements from pilot-scale PGM alloy smelting tests Jones (2015) established a representative value of 0.0175 Wcm for the arc resistivity in such processes, with a likely range between 0.015 Wcm and 0.020 Wcm. These empirical calculations were compared to results from the MHD model at 50 kA scale, again using the ConRoast® and coke case. The arc length La (defined here as the distance between the tip of the electrode and the molten bath) was varied between 5 cm and 30 cm. Two sets of simulation results were obtained, one using plasma properties associated with a slag temperature of 1650ºC, and one at 2500ºC. The arc voltage behaviour is shown in Figure 12.
It is interesting to observe that, while the MHD model generally over-predicts the arc voltage compared to the Bowman equation, the results when using plasma properties associated with a slag temperature of 2500ºC are more realistic and stay mostly within one standard deviation of the Bowman results. This suggests that evaporation of process material from the superheated arc attachment zone and its subsequent interaction with the arc may be a significant effect in real furnaces.
Once testing was completed, the MHD model was applied to the problem of reductant choice in PGM alloy smelting and its impact on the electrical behaviour of the plasma arc in such processes. In order to do this, a comprehensive test matrix was developed covering four parameters: raw material (either autocats or ConRoast® oxidised concentrate), slag temperature used for gasphase composition calculations (1650ºC or 2500ºC), current scale (5 kA or 50 kA), and reductant material (metallurgical coke, SiC, FeSi, or H2). Accounting for all possible combinations results in 32 different simulation cases. For each case, all other model parameters were fixed at the values shown in Table 2 and Table 3. The arc


voltage data from each simulation was analysed as before to obtain averages and standard deviations.
Starting with processes using ConRoast® raw material, a summary of the arc voltage results from the simulation cases is shown in Figure 13. Several broad trends may be observed: Firstly, processes using Coke, SiC, and FeSi reductants all produce roughly the same voltages at equivalent currents. Arcs in a hydrogenreduction atmosphere exhibit somewhat higher voltages, especially at Ts = 1650 ºC, where the furnace atmosphere is close to being a pure mixture of H2 and Ar. Secondly, the slag temperature affects the arc behaviour significantly via its effect on the freeboard gas composition, and hence, the plasma properties. This is because higher slag temperatures produce a freeboard gas with more metallic contaminants, and hence, much higher electrical conductivity and radiation emission coefficients at typical arc plasma temperatures. Interestingly, the effect on the MHD model is reversed depending on scale – at 50 kA, the higher conductivity at lower temperatures means the conducting volume of the arc is increased, and the large diameter of the arc column means that most of the increased radiation emission is recaptured. This results in a more conductive arc, and a decrease in the arc voltage. At 5 kA scale, the higher radiation emission from the body of the arc causes the plasma to cool rapidly as it passes along the length of the arc jet, and this cooling effect dominates over any increase in plasma conductivity – this results in a more resistive arc, and a corresponding increase in the arc voltage.

A set of visualisations of the plasma temperature field from the ConRoast® simulation cases is shown in Figure 14 and Figure 15. These visualisations present the instantaneous state of the field at the end of the simulation, that is, 50 ms. The colours represent a temperature range of 1923 K (blue) to 6000 K (red), with the threedimensional 6000 K isotherm in grey to give an indication of the shape of the arc column. At 5 kA scale it can be seen that the arc is generally close to steady-state and axisymmetric when operating in gas generated by slag at 1650ºC (although the size and shape of the arc is affected by the choice of reductant), but the size of the column shrinks dramatically due to excessive radiative cooling when operating in gas from slag at 2500ºC. This also triggers some dynamic behaviour, with helical flow instabilities twisting the arc into an oscillating spiral shape. At 50 kA scale the arcs are all highly dynamic in their behaviour with a combination of turbulent and electromagnetic instabilities, and although the arc columns are more compact when operating in gas generated by slag at 2500ºC, the change is not as extreme as in the 5 kA case.
Moving on to the autocat recycling process, the arc voltage results obtained from this set of cases are given in Figure 16. Comparison with Figure 13 shows that there is a remarkable degree of similarity in both the absolute values and broader trends in the modelled voltages. This is perhaps unsurprising, given that the calculated plasma properties for a given combination of reductant and slag temperature were earlier seen to be very similar, regardless of the raw material being smelted.
Visualisations of the temperature field for the autocat process cases are shown in Figure 17 and Figure 18. Again, there is considerable similarity with the results obtained from the ConRoast® cases, with the arc’s dynamics and spatial structure following the same trends.
A computational modelling workflow to study the effect of metallurgical process changes on plasma arc behaviour was successfully developed for the case of PGM alloy smelting. This workflow was used to examine the impact of the use of alternative reductants in the ConRoast® and autocat smelting processes in order to reduce their carbon emissions.
In the first step of the workflow, the freeboard gas compositions were calculated using thermochemical models. This showed that gas





compositions associated with metallurgical coke and SiC reductants were predominantly carbon monoxide, while freeboard gas from FeSi reductants contained mostly nitrogen from the purge gas, and the use of hydrogen reductant resulted in a gas containing mostly hydrogen with small amounts of water vapour. When the slag temperature was increased as might be expected in the superheated arc attachment zone in a DC smelting furnace, the gases became increasingly contaminated with other elements such as metals, silicon, and sulphur. The gas-phase composition of minor elements
associated with autocat smelting was seen to be less complex than that from the ConRoast® process, owing to the relative purity of the different raw materials used.
The calculated gas compositions were taken into equilibrium plasma calculations to compute the thermophysical properties of plasmas obtained from heating the freeboard gas compositions to high temperatures. A high degree of similarity in the plasma properties was observed between autocat and ConRoast® processes when using the same reductant and slag temperature. The plasma properties were also broadly similar between metallurgical coke, SiC, and FeSi reductants, with more significant differences observed in the plasma density and heat capacity when H2 reductant was used. Large differences were seen when the slag temperature (and associated equilibrium gas composition) was changed from 1650ºC to 2500ºC, with higher slag temperatures producing plasmas with higher electrical conductivity and thermal radiation emission coefficients.
The plasma property data sets were then used in computational MHD models to simulate arc behaviour under different conditions of raw material, reductant choice, slag temperature, and furnace scale. In general, the arc voltages obtained from the simulations were similar between coke, SiC, and FeSi reductants, while using H2 resulted in more resistive arcs with higher voltages. At 5 kA current scale the arc voltages increased significantly when the slag temperature was increased from 1650ºC to 2500ºC due to excessive radiative cooling of the arc column, whereas at 50 kA scale this trend was reversed with arc voltages dropping as slag temperature increased due to increased plasma electrical conductivity. Between ConRoast® and autocat smelting, quantitative and qualitative differences in arc behaviour were seen to be negligible when the remaining parameters of current scale, reductant, and slag temperature were the same.
This work remains exploratory and theoretical in nature at present, and can certainly be improved on by future research in several ways. First and foremost, experimental testing of these processes at laboratory or pilot plant scale would provide invaluable data for better validation of the modelling results. Direct measurement of gas compositions in the general freeboard space and in the central arc region, although challenging, would also be of great use in refining the input data for the models. Improvements to the computationally expensive MHD modelling step would also be of great use, both in the area of refining existing models with improved and more accurate physics, and to develop new generations of reduced-order models, which require fewer computational resources.
This paper is published with the permission of Mintek, and was supported by funding from Mintek Science Vote project IntelliMetTwin MCR-62604. The authors acknowledge the Centre for High Performance Computing (CHPC) South Africa, for providing computational resources to this research project.
References
Akhmetov, A., Zulhan, Z., Sadyk, Z., Burumbayev, A., Zhakan, A., Kabylkanov, S., Toleukadyr, R., Saulebek, Z., Ayaganova, Z., Makhambetov, Y. 2025. Carbon-Free Smelting of Ferrochrome Using FeAlSiCa Alloy. Processes, vol. 13, p. 1745. https://doi. org/10.3390/pr13061745
Al Nasser, M., Alrasheedi, N., Karimi-Sibaki, E., Vakhrushev, A., Ahmadein, M., Ataya, S., Kharicha, A. 2024. Exploring Extreme Voltage Events in Hydrogen Arcs within Electric Arc Furnaces. Sustainability, vol. 16, p. 2831. https://doi.org/10.3390/ su16072831
Bale, C.W., Bélisle, E., Chartrand, P., Decterov, S.A., Eriksson, G., Gheribi, A.E., Hack, K., Jung, I.-H., Kang, Y.-B., Melançon, J., Pelton, A.D., Petersen, S., Robelin, C., Sangster, J., Spencer, P., Van Ende, M.-A. 2016. FactSage thermochemical software and databases, 2010–2016. Calphad, vol. 54, pp. 35–53. https://doi. org/10.1016/j.calphad.2016.05.002
Barcza, N.A., Curr, T.R., Jones, R.T. 1990. Metallurgy of open- bath plasma processes. Pure and Applied Chemistry, vol. 62, pp. 1761–1772. https://doi.org/10.1351/pac199062091761
Benson, M., Bennett, C.R., Harry, J.E., Patel, M.K., Cross, M. 2000. The recovery mechanism of platinum group metals from catalytic converters in spent automotive exhaust systems. Resources, Conservation and Recycling Journal, vol. 31, pp. 1–7. https://doi.org/10.1016/S0921-3449(00)00062-8
Bowman, B., Krüger, K. 2009. Arc Furnace Physics. Verlag Stahleisen GmbH, Düsseldorf, Germany.
Dalaker, H., Hovig, E.W. 2023. Hydrogen Plasma-Based Reduction of Metal Oxides, in: Fleuriault, C., Steenkamp, J.D., Gregurek, D., White, J.F., Reynolds, Q.G., Mackey, P.J., Hockaday, S.A.C. (Eds.), Advances in Pyrometallurgy, The Minerals, Metals & Materials Series. Springer Nature Switzerland, Cham, pp. 85–94. https://doi.org/10.1007/978-3-031-22634-2_8
Geldenhuys, I.J. 2017. The Exact Art and Subtle Science of DC Smelting: Practical Perspectives on the Hot Zone. The Journal of the Minerals, vol. 69, pp. 343–350. https://doi.org/10.1007/ s11837-016-2171-z
Jones, R.T. 2015. Fundamental aspects of alloy smelting in a DC arc furnace (Ph. D.). University of the Witwatersrand, Johannesburg.
Jones, R.T. 2002. ConRoast: DC arc smelting of dead-roasted sulphide concentrates, in: Sulfide Smelting ’02. Presented at the Third International Sulfide Smelting Symposium, TMS Annual Meeting, Seattle, Washington, USA, p. 22.
Lowke, J.J., Morrow, R., Haidar, J. 1997. A simplified unified theory of arcs and their electrodes. Journal of Physics, vol. 30, pp. 2033–2042. https://doi.org/10.1088/0022-3727/30/14/011
Malan, W., Akdogan, G., Bradshaw, S., Bezuidenhout, G. 2015. The recovery of platinum group metals from low-grade concentrates to an iron alloy using silicon carbide as reductant. The Journal of the Southern African Institure of Mining and Metallurgy, vol. 115, no. 5, pp. 375–383. https://doi.org/10.17159/2411- 9717/2015/v115n5a5
Morcali, M.H. 2020. A new approach to recover platinum-group metals from spent catalytic converters via iron matte. Resources, Conservation and Recycling Journal, vol. 159, 104891. https:// doi.org/10.1016/j.resconrec.2020.104891
OpenCFD Ltd. 2025. OpenFOAM v2506, https://www.openfoam. com/ [WWW Document]. https://www.openfoam.com/ (accessed 8.17.25).
Peng, Z., Li, Z., Lin, X., Tang, H., Ye, L., Ma, Y., Rao, M., Zhang, Y., Li, G., Jiang, T. 2017. Pyrometallurgical Recovery of Platinum Group Metals from Spent Catalysts. The Journal of the Metals, vol. 69, pp. 1553–1562. https://doi.org/10.1007/s11837-0172450-3
Phillips, R.E., Jones, R.T., Chennells, P. 2008. Braemore Platinum Smelters: Commercialization of the ConRoast process, in: Platinum in Transformation. Presented at the Third International Platinum Conference, The Southern African Institute of Mining and Metallurgy.
Reynolds, Q.G. 2025. plasmaArc, plasmaArc/releases/tag/v1.0.0-openfoam-v2412https://github.com/quinnreynolds/ Reynolds, Q.G. 2020. Toward computational models of arc dynamics in silicon smelters. 14th International Conference on CFD in the Oil & Gas, Metallurgical and Process Industries. Presented at the 14th International Conference on CFD in the Oil & Gas, Metallurgical and Process Industries, SINTEF Academic Press, Trondheim, Norway, pp. 99–106.
Reynolds, Q.G., Bowman, B., Erwee, M.W., Geldenhuys, I.J., Sandrock, C., Venter, G.A., Xakalashe, B.S., Zietsman, J. 2025a. Plasma soup for the pyrometallurgist’s soul. The Journal of the Southern African Institute of Mining and Metallurgy. vol. 125, pp. 129–144. https://doi.org/10.17159/2411-9717/758/2025
Reynolds, Q.G., Sandrock, C., Goutier, P.-A. 2025b. minplascalc, https://github.com/quinnreynolds/minplascalc/releases/tag/ v1.0.2
Sævarsdóttir, G.A., Pálsson, H., Jónsson, M.T., Bakken, J.A. 2006. Electrode Erosion due to High-Current Electric Arcs in Silicon and Ferrosilicon Furnaces. Steel Research International. vol. 77, pp. 385–391. https://doi.org/10.1002/srin.200606403 u

Affiliation:
1Hatch, Canada
2Hatch, South Africa
Correspondence to: Y. Zhang
Email: yale.zhang@hatch.com
Dates:
Received: 17 Oct. 2025
Published: February 2026
How to cite:
Zhang, Y., Zahid, M.A.H., Moodley, T. 2026. Elevating safety and efficiency in mining with Vision AI: From object detection to large language model-driven decision intelligence. Journal of the Southern African Institute of Mining and Metallurgy, vol. 126, no. 2, pp. 135–140
DOI ID: https://doi.org/10.17159/2411-9717/949/2026
ORCiD:
Y. Zhang
http://orcid.org/0009-0004-0735-3551
M.A.H. Zahid
http://orcid.org/0009-0003-3725-9825
T. Moodley
http://orcid.org/0009-0001-5908-7740
This paper is based on a presentation given at the 9TH International PGM Conference 2025, 27-28 October 2025, Sun City, Rustenburg, South Africa
by Y. Zhang1, M.A.H. Zahid1, T. Moodley2
Abstract
Mining operations are under growing pressure to improve safety and efficiency while dealing with aging infrastructure, complex processes, and workforce constraints. Although many sites are equipped with surveillance cameras and control systems, critical events often go unmonitored or under-analysed due to the lack of intelligent interpretation tools. Cameras typically act as passive recorders, requiring manual review by control room operators; a process that is labour-intensive, error-prone, and reactive. Vision AI is emerging as a transformative solution, combining computer vision and artificial intelligence to deliver real-time, actionable insights. This technology has evolved along two key phases: traditional object detection, and more recently, multimodal large language model integration. This paper presents solution architectures, deployment results, and key insights from real-world implementations across underground operations, open-pit truck-shovel operations, and smelter operations, demonstrating how Vision AI is reshaping mining operations to become safer, more efficient, and more intelligent.
Keywords
Vision AI, computer vision, large language models, mining safety, operational efficiency, object detection
Mining operations face intensifying pressure to improve safety and productivity under both structural and operational constraints due to aging assets and infrastructure, increasingly complex processes, tighter environmental and social expectations, and a shrinking pool of experienced operators. Safety remains a top priority, yet persistent risks continue to threaten people, assets, and the environment. This indicates that the industry remains short of its vision of zero harm. On the productivity side, efficiency is crucial to remaining profitable, but there are limited ways to track performance, particularly for certain mining events that slip past traditional sensors.
To address these challenges, modern mining sites are equipped with extensive surveillance infrastructure and cameras, however this wealth of visual data remain largely underutilised. These feeds are often monitored manually in control rooms, turning video into a reactive, labour-intensive record rather than a continuous source of actionable intelligence. The human-centric monitoring approach also introduces variability in detection accuracy and response times across different operators and shifts. The result is a gap between what is visible and what is acted upon.
Vision AI, that is, computer vision enhanced by modern machine learning and artificial intelligence, addresses this gap by placing a smart engine behind each camera video stream to convert pixels into real-time, explainable signals. By automatically detecting critical safety issues, identifying operational bottlenecks, and offering meaningful recommendations, often faster and more accurately than manual processes, Vision AI solutions deliver substantial value to mining operations and are applicable across the entire value chain. Representative applications include:
➤ Conveyor operations monitoring: Detect overloading, spillage, and early indicators of belt tears or fire and issue timely alerts so that operators can intervene before minor anomalies escalate into production losses or safety incidents.
➤ Primary and secondary crusher oversight: Quantify truck cycle times, characterise ore size distribution, and assess feed conditions and fuse visual cues with operational data to expose inefficiencies and early signs of jams or overloads, reducing unplanned downtime.
➤ Maintenance-bay safety and efficiency: Track service activities on heavy equipment by detecting the suspended-load hazards, confined-space entry, and procedural deviations to provide supervisors with real-time visibility to protect personnel and shorten turnaround.
➤ Rail and port operations: Monitor rail crossings, loading compliance, and unauthorised intrusions to prevent accidents, reduce dwell time, and improve throughput across the transport interface. During marine loading, detect spillage and indicators of potential water contamination to trigger rapid responses while preserving evidence for regulatory compliance.
➤ Dust monitoring and control: Continuously estimate dust intensity and dispersion patterns from video and recommend adjustments to water-spray systems or operating parameters to mitigate health, environmental, and compliance risks.
This paper examines how Vision AI transforms mining operations by improving operational safety and efficiency. The discussion begins with an overview of technology evolution, highlighting the shift from traditional object-detection approaches to sophisticated multimodal systems that can understand operational context and provide insights using natural language. A practical Vision AI solution architecture is then presented, followed by two industrial case studies on Vision AI applications for open-pit load-and-haul operations and metal smelting operations. The paper concludes with key findings and future directions for Vision AI deployment in industrial environments.
The first wave of industrial Vision AI was driven by fast, singlestage object detectors, most prominently the YOLO (“You Only Look Once”) family, which localise people, equipment, and vehicles in video streams at real-time frame rates (Redmon et al., 2016; Bochkovskiy et al., 2020). In structured environments with welllabelled data, these models offer a strong capability to make speed vs. accuracy trade-off and have been widely studied and deployed for industrial operations and safety monitoring (Pengfei, 2022; Jonas et al., 2025). Their outputs readily identify activity, enable basic understanding, and populate dashboards for situational awareness.
A successful implementation by Hatch illustrates the potential of this approach. In an underground mine, the cage, essentially an elevator running along a vertical shaft, is used to transport materials, mobile equipment, and personnel between surface and underground levels. It often becomes an operational bottleneck, where any delays in moving the right materials or teams to the right place at the right time can cause major disruptions. In fact, production setbacks and budget overruns can increase as high as 30%. For this reason, it is crucial to monitor cage utilisation in real time and quickly identify any inefficiencies or performance gaps. To achieve this, shaft stations were equipped with cameras, and YOLO-based object detection models were developed and used to timestamp various events such as material runs, gas checks, personnel movements, shaft inspections, etc. Detected events were aggregated into structured logs and aligned with planned schedules, then visualised to expose deviations and bottlenecks in near real time. By continuously tracking cage utilisation and comparing actuals against plan, the Vision AI system can spot deviations right away before they snowball into bigger problems and therefore improve decision making on shift coordination and sequencing. At one client site, adherence to the production plan for muck and personnel movement improved by approximately threefold after the deployment of the Vision AI solution, with additional benefits from auditable safety records and data-driven schedule optimisation. Given that cage availability is a recurring bottleneck, delays can propagate to materially significant production and cost impacts. Managing cage efficiency, in the short term, improves day-to-day efficiency and better productivity among the workforce, including contractors. And in the long run, it leads to improved asset utilisation, enhanced overall productivity, and significantly fewer cost overruns.
Despite wide application across various industries, traditional object detection systems have notable limitations. They require large, labelled datasets specific to each deployment environment, must be retrained when camera angles or lighting conditions change, and lack the ability to understand context or relate visual information to procedural knowledge. They also struggle to detect unfamiliar or evolving events that fall outside their training parameters. These factors limit scalability and constrain the ability to deliver procedure-aware decision support.

Recent advances in generative AI and multimodal large language models (LLM) change this trajectory (Vaswani et al., 2017; Brown et al., 2020; OpenAI, 2023). Pretrained on diverse visual–text corpora, multimodal LLMs jointly process images/video and language, enabling systems that interpret event sequences, retrieve and apply site knowledge (SOPs, OEM manuals, etc.), and produce concise, human-readable notifications or summaries that explain why an alert is raised and what action should be taken. LLMs’ instruction-following and few-shot conditioning ability reduces task-specific labelling demands of conventional computer vision and improves tolerance to camera drift and environmental variation. In effect, Vision AI evolves from frame-level detection to procedure-aware decision intelligence. It not only recognises events but also assesses their operational context and recommends next steps while preserving human oversight and traceability.
LLM-based Vision AI solution architecture
Figure 2 depicts the end-to-end Vision AI solution architecture (Zhang et al. 2025). A network of fixed or mobile cameras acquires continuous video in real-time across the industrial site. The video streams are time-synchronised and ingested at the edge, where lightweight vision modules perform denoising, exposure normalisation, stabilisation, and motion- or scene-change filtering to discard non-informative segments. This prescreening reduces bandwidth and computes while improving further analysis accuracy. For time- or mission-critical scenarios (e.g., restriction-zone breaches, conveyor fires), edge models execute real-time analyses and emit immediate alerts, even under intermittent connectivity. Store-and-forward buffers and watchdogs ensure continued operation during network outages.
Preprocessed clips, frames, and derived features are forwarded to a cloud reasoning layer that hosts multi-agent, multimodal large language models (LLM). In this layer, perception outputs (objects, trajectories, temporal segments) are fused with document database consisting of standard operating procedures (SOP), original equipment manuals (OEM), training materials, and with
relevant telemetry e.g., SCADA tags, and dispatch events. Retrievalaugmented prompting grounds the models in site documents so that analyses are explainable and procedurally aware. Agent roles can be added for robustness, for example, an event assembly agent converts frame-level cues into state sequences; a procedure inspector agent tests conformance and assigns risk; and a recommendation agent generates operator-readable actions and structured outputs in a preconfigured JSON format that downstream systems can consume.
All edge- and cloud-generated artifacts such as event logs, embeddings, alerts, short video snippets, and model rationales are stored in a central data repository, which consists of a timeseries/event store for analytics, object storage for media, and a vector index for fast document and scene retrieval. A role-based web user interface (UI) exposes real-time results, insights, and/ or recommendations. In addition, it may also capture operator feedback (accept/override/annotate), which is fed back into continuous improvement pipelines. Optional integration can also be added to publish notifications to other systems such as process control systems, computerised maintenance management systems (CMMS), fleet management systems, or incident-management systems. This integration keeps humans in the loop while ensuring auditable traceability from alert to evidence to procedure.
The architectural choices target four operational properties.
➤ Latency: edge inference and event assembly keep the perception-to-alert path short for time- or mission-critical tasks, while less urgent reasoning (e.g., shift summaries) is batched in the cloud.
➤ Reliability: edge autonomy, health checks, and store-andforward mitigate connectivity loss, models and configs are versioned and rolled out via a registry with canary/shadow modes.
➤ Security and privacy: video streams are redacted on edge (e.g., face/plate blurring) removing all PII from the streams, all data are encrypted in transit/at rest, and retention policies reflect regulatory and union requirements.

➤ Scalability: stateless microservices and per-stream autoscaling allow sites to add cameras without redesigning.
Embedding LLMs into Vision AI solution provides three practical advantages.
➤ First: Reduced annotation burden – instruction-tuned, multimodal models adapt to new scenes with minimal task-specific labels, accelerating progression from pilot to production.
➤ Second: Contextual reasoning – models consider temporal order and retrieve site documents, turning “what is happening” into “why it matters” and “what to do next.”
➤ Third: Robustness to variability – because reasoning is grounded in procedures rather than solely in pixel patterns, moderate changes in viewpoint, lighting, or equipment often require prompt updates rather than full retraining.
This architecture marries low-latency edge perception with document-grounded cloud reasoning. Cameras become intelligent sensors of which their outputs are not only visibility detections but contextualised reasoning and procedure-aware decisions.
Industrial case studies
Case Study 1: Open-pit mine operations
We applied multimodal large language models (LLM) to existing CCTV streams in an open-pit operation to derive actionable insight on productivity and safety without adding new instrumentation, as illustrated in Figure 3. The objective was twofold: (i) generate highfidelity cycle analytics for trucks and shovels to support throughput improvement, and (ii) detect unsafe or inefficient behaviours early enough to enable proactive intervention.
Video feeds are ingested at the edge for basic stabilisation and motion filtering, then summarised events are passed to an LLMenhanced reasoning layer. Perception outputs (e.g., equipment IDs, activity segments) are assembled into temporal sequences and
interpreted against operating policies and safety guidelines. This produces operator-readable notifications and structured records suitable for dispatch and reporting systems.
The system reveals three types of information:
➤ Cycle analytics. Automatic identification of truck and shovel IDs; detection and timestamping of arrivals, queue/spot time, loading start/stop, travel, and dump events; computation of cycle-time distributions and dwell-time outliers by unit, bench, and shift.
➤ Operator performance assessment. Differentiation of efficient vs. inefficient behaviours (e.g., excessive spot-time variance, premature bucket withdrawal, repeated re-positioning) with evidence clips to support targeted coaching.
➤ Safety surveillance. Detection of large rock falls, overload and spillage, unsafe proximity/encroachment, and collision/nearmiss precursors; graded alerts with concise rationales and links to the relevant procedure clauses when available.
Embedding LLMs in the pipeline reduces dependence on large, site-specific annotation campaigns. Instruction-tuned, multimodal models leverage few-shot exemplars and document grounding to adapt quickly to new pits, fleets, or revised safety protocols.
Standard multimodal large language models primarily trained on general online datasets often lack the capability to deliver precise domain-specific analytics, such as cycle time measurements. To address this limitation, we fine-tuned a commercial multimodal model using domain-specific videos and analytics data. This approach resulted in an accuracy rate of approximately 98%. As a result, the solution tolerates moderate camera pose and illumination changes, shortens time-to-value, and lowers maintenance overhead while providing explainable outputs that can be audited and refined with operator feedback.
In operational terms, the approach shifts monitoring from retrospective review to continuous decision support: supervisors receive real-time alerts for emerging risks, dispatchers gain cycle-


time and queue insights to smooth flow, and training teams obtain objective evidence of behaviours to address. The net effect is faster issue resolution, reduced idle time and operational risk, and a clearer path to sustained throughput improvements.
This case study focuses on reliable identification of operational and safety events from smelter converter-aisle video, transforming unstructured footage into a time-stamped, evidence-linked record that supports logistics, scheduling, and risk control. A multimodal LLM reasons over assembled video sequences, retrieves relevant clauses from standard operating procedures (SOP), and emits both operator-readable explanations and structured event records.
Figure 4 illustrates the resulting artifacts. The upper panel shows a representative aisle frame with a synchronised, natural-language narrative of the detected sequence (e.g., scrap boat marked with ID ‘18’ moves away, ladle marked with ID ‘M3’ is positioned below the converter). The lower panel presents a colour-coded Detected Events Timeline, where each bar denotes an event instance with its start and end timestamps (e.g., scrap boat in position, scrap metals charging to converter, ladle in position).
Applied to an industrial dataset spanning multiple shifts, the system can produce high-fidelity, time-stamped logs of key aisle activities and surface safety observations that may have been previously overlooked, for example, unauthorised intrusions or atypical charging behaviour. These outputs will be further analysed to improve operational safety and efficiency. Overall, the approach shifts smelter monitoring from retrospective review to continuous, procedure-aware decision support grounded in explicit event identification.
Traditional object detection systems excel in specific, well-defined detection tasks where environmental conditions are stable and labelled training data is abundant. They can achieve high frame rates with low computational requirements, making them suitable for applications requiring immediate response to detected events. Multimodal LLMs demonstrate superior contextual understanding and adaptation capabilities but require more computational resources for inference. They can interpret complex
visual scenes, understand relationships between objects, and relate observations to operational procedures without requiring extensive retraining for new scenarios.
Implementation considerations
Deploying Vision AI systems in mining environments requires careful consideration of hardware specifications and environmental protection. Cameras must withstand extreme temperatures, dust, moisture, and vibration while maintaining image quality sufficient for reliable analysis. Edge computing devices require industrialgrade specifications to operate reliably in harsh conditions.
Integration with existing mine management systems is crucial for maximising value. This includes data integration with historians, maintenance systems, and safety reporting platforms. Real-time processing requirements necessitate careful attention to system latency and reliability to ensure timely notifications while avoiding false positives.
The economic benefits of Vision AI implementation include direct cost savings from reduced labour requirements for monitoring, improved operational efficiency, and prevention of safety incidents. The case studies demonstrate measurable improvements: 23% increase in material movement and 31% reduction in scheduling deviations translate directly to increased capacity without additional capital investment.
Safety benefits, while more difficult to quantify directly, include reduced incident rates, improved compliance monitoring, and enhanced emergency response capabilities. The value of preventing a single serious safety incident often justifies the entire system investment.
Summary and conclusions
The evolution from traditional object detection to LLM-driven Vision AI represents a fundamental shift in monitoring capabilities for mining operations. While traditional approaches remain valuable for specific detection tasks, multimodal LLMs offer superior contextual understanding and adaptation capabilities that better match the complex, dynamic nature of mining operations.
The case studies demonstrate that Vision AI delivers significant improvements in both safety and operational efficiency across diverse mining applications. The shift from recognising what is happening to understanding why it matters represents the key advancement enabled by LLM integration, enabling more sophisticated operational insights and recommendations.
Future developments in multimodal AI technologies are expected to further enhance Vision AI capabilities, potentially enabling more autonomous operational monitoring and decisionmaking. Organisations that proactively develop Vision AI capabilities are likely to realise significant advantages in operational performance and safety outcomes.
References
Bochkovskiy, A., Wang, C.Y., Liao, H.Y.M. 2020. YOLOv4: Optimal speed and accuracy of object detection. arXiv preprint arXiv:2004. 10934.
Brown, T., Mann, B., Ryder, N., Subbiah, M., Kaplan, J.D., Dhariwal, P., Neelakantan, A., Shyam, P., Sastry, G., Askell, A., Agarwal, S. 2020. Language models are few-shot learners. Advances in Neural Information Processing Systems, vol. 33, pp. 1877–1901.
Jonas, W., Hannes, B., Jan-Henrik, W., Shengjie, H., Tobias, H., Anas, A., Robert, S. 2025. Machine vision in manufacturing SMEs: a review. Discover Applied Sciences, vol. 7, pp. 371.
OpenAI. 2023. GPT-4 technical report. arXiv preprint arXiv:2303.08774.
Redmon, J., Divvala, S., Girshick, R., Farhadi, A. 2016. You only look once: unified, real-time object detection. Proceedings of the IEEE Conference on Computer Vision and Pattern Recognition, pp. 779–788.
Ren, L., Wang H., Wang Y., Huang, K., Wang, L., Li, B. 2025. Foundation Models for the Process Industry: Challenges and Opportunities. Science Direct Engineering, vol. 52, pp. 53–59 https://www.sciencedirect.com/science/article/pii/ S2095809925001766?via%3Dihub
Vaswani, A., Shazeer, N., Parmar, N., Uszkoreit, J., Jones, L., Gomez, A.N., Kaiser, A., Polosukhin, I. 2017. Attention is all you need. arXiv:1706.03762.
Xu, P., Zhou, Z., Geng, Z. 2022. Safety monitoring method of moving target in underground coal mine based on computer vision processing. Nature Scientific Reports, vol. 12. https://doi.org/10.1038/s41598-022-22564-8
Zhang, Y., Mohammed, Z., Marfatia, Z., Shah, A. 2025. Leveraging AI-Powered Large Language Models to Improve Operational Safety and Efficiency in the metal and Steel Industry. AISTech 2025 , Nashville, Tennessee USA u
17-18 March 2026 — GMG-SAIMM Johannesburg Forum
54 on Bath, Rosebank, Johannesburg
Contact: Gugu Charlie
Tel: 011 538-0238
E-mail: gugu@saimm.co.za
Website: http://www.saimm.co.za
26-27 March 2026 — Uranium Conference – “Back to the Future”
Swakopmund Entertainment Centre, Swakopmund, Namibia
Website: https://geolsocnamibia.org/uraniumconference-2026/
13-14 April 2026 — SANCOT Symposium 2026
Unlocking Africa’s Potential: Advances in Tunnelling in Civil Engineering and Mining
Southern Sun Rosebank
Contact: Gugu Charlie Tel: 011 538-0238
E-mail: gugu@saimm.co.za
Website: http://www.saimm.co.za
5-7 May 2026 — ALTA 2026 Conference
Innovation in Mining and Metallurgical Processing
Perth Australia
Website: https://www.altamet.com.au/
26-28 May 2026 — SAIMM Pyrometallurgy International Conference 2026
Foundation of Competitiveness and Sustainability
CSIR International Convention Centre, South Africa
Contact: Gugu Charlie Tel: 011 538-0238
E-mail: gugu@saimm.co.za
Website: http://www.saimm.co.za
24-25 June 2026 — Global Best Practices in Thickener and Dewatering Operations for Low-Grade and Complex Deposits Conference 2026
Southern Sun Rosebank, Johannesburg
Contact: Gugu Charlie Tel: 011 538-0238
E-mail: gugu@saimm.co.za
Website: http://www.saimm.co.za
24-25 June 2026 — Mine-Impacted Water Conference 2026 Mintek, Randburg, Johannesburg
Contact: Gugu Charlie Tel: 011 538-0238
E-mail: gugu@saimm.co.za
Website: http://www.saimm.co.za
7-8 July 2026 — SANIRE Symposium 2026
Balancing Judgement, Technology, And Sustainability In Rock Engineering Practices
Emperors Palace Convention Centre, Kempton Park
Contact: Gugu Charlie Tel: 011 538-0238
E-mail: gugu@saimm.co.za
Website: http://www.saimm.co.za
30-31 July 2026 — Critical Minerals 2026 Conference Royal Majestic Hotel, Rosebank, Johannesburg
Contact: Gugu Charlie Tel: 011 538-0238
E-mail: gugu@saimm.co.za
Website: http://www.saimm.co.za
18-20 August 2026 — CAVING 2026
Ulaanbaatar, Mongolia
Website: https://www.acgcaving.com/
19-20 August 2026 — SAIMM Uranium Conference 2026
Swakopmund Hotel and Entertainment Centre, Swakopmund, Namibia
Contact: Gugu Charlie Tel: 011 538-0238
E-mail: gugu@saimm.co.za
Website: http://www.saimm.co.za
26-27 August 2026 — ESGS Climate Change in Mining Conference 2026
Glenburn Lodge, Muldersdrift
Contact: Gugu Charlie Tel: 011 538-0238
E-mail: gugu@saimm.co.za
Website: http://www.saimm.co.za
21-24 September 2026 — XIX International Society for Mine Surveying Congress 2026
Century City, Cape Town
Contact: Gugu Charlie Tel: 011 538-0238
E-mail: gugu@saimm.co.za
Website: http://www.saimm.co.za
29-30 September 2026 — 7TH Young Professionals Conference 2026
Mintek, Randburg, Johannesburg
Contact: Gugu Charlie Tel: 011 538-0238
E-mail: gugu@saimm.co.za
Website: http://www.saimm.co.za
12-16 October 2026 — 19TH South African Geophysical Association Conference 2026
Lagoon Beach Hotel & Spa, Cape Town
Website: https://sagaconference.co.za/
18-22 October 2026 — XXXII International Mineral Processing Congress 2026
Cape Town, South Africa
Contact: Camielah Jardine
Tel: 011 538-0237
E-mail: camielah@saimm.co.za
Website: http://www.saimm.co.za
4-6 November 2026 — Southern African Mine Water Conference 2026
Glenburn Lodge, Muldersdrift
Contact: Gugu Charlie Tel: 011 538-0238
E-mail: gugu@saimm.co.za
Website: http://www.saimm.co.za
The following organizations have been admitted to the Institute as Company Affiliates
acQuire Technology Solutions
AECI Mining Chemicals, a division of AECI Mining Ltd
African Pegmatite
Allied Furnace Consultants
AMIRA International Africa (Pty) Ltd
Anglo American Platinum Corporation
Anglogold Ashanti Ltd
Anton Paar Southern Africa
Arcus Gibb (Pty) Ltd
Becker Mining (Pty) Ltd
Bluhm Burton Engineering Pty Ltd
BSI Group South Africa
Buraaq mining Services (Pty) Ltd
Caledonia Mining South Africa
Carbocraft (Pty) Ltd
Castle Lead Works
CIGroup ACE Pty Ltd
DDP Specialty Products South Africa (Pty) Ltd
Digby Wells and Associates
DQS Pty Ltd
E2 Test
EHL Consulting Engineers (Pty) Ltd
Ekato South Africa
Elbroc Mining Products (Pty) Ltd
Elderberry Trading
Epiroc South Africa (Pty) Ltd
Ex Mente Technologies (Pty) Ltd
Exxaro Resources Limited
FLSmidth Minerals (Pty) Ltd
G H H Mining Machines (Pty) Ltd
Geobrugg Southern Africa (Pty) Ltd
Glencore
Gravitas Minerals (Pty) Ltd
Hatch (Pty) Ltd
Herrenknecht AG
Impala Platinum Holdings Limited
IMS Engineering (Pty) Ltd
Ingwenya Mineral Processing
Ivanhoe Mines SA
Kelnir Projects (Pty) Ltd
M84 Geotech Pty Ltd
Malvern Panalytical (Pty) Ltd
Maptek (Pty) Ltd
Mech-Industries (Pty) Ltd
Micromine Africa (Pty) Ltd
Minearc South Africa (Pty) Ltd
Minerals Council of South Africa
MineRP Holding (Pty) Ltd
Mining Projection Concepts (Pty) Ltd
Mintek
MLB Investments CC
Modular Mining Systems Africa (Pty) Ltd
Murray & Roberts Cementation (Pty) Ltd
Optron (Pty) Ltd
Paterson & Cooke Consulting Engineers (Pty) Ltd
Pump and Abrasion Technologies (Pty) Ltd
Redpath Mining (South Africa) (Pty) Ltd
Rosond (Pty) Ltd
Roytec Global (Pty) Ltd
Rustenburg Platinum Mines Limited - Union
Salene Mining (Pty) Ltd
Schauenburg (Pty) Ltd
Sebotka (Pty) Ltd
SENET (Pty) Ltd
Sibanye Gold Limited
Solenis
Sound Mining Solution (Pty) Ltd
SRK Consulting SA (Pty) Ltd
Sulzer Pumps (South Africa) (Pty) Ltd
Tomra (Pty) Ltd
Trans-Caledon Tunnel Authority
Ukwazi Mining Solutions (Pty) Ltd
VBKOM Consulting Engineers
Weir Minerals Africa
ZUTARI (Pty) Ltd

The global shift to a low-carbon economy has created unprecedented demand for critical minerals such as lithium, cobalt, copper, nickel, rare earths, manganese, and graphite. Southern Africa holds vast reserves, positioning the region as a strategic player in the green economy. Yet, challenges in policy alignment, infrastructure, beneficiation, and governance risk limiting value creation.
❚ Strengthen regional collaboration on policy, governance, and infrastructure.
❚ Showcase innovation and beneficiation strategies for local value creation.
❚ Explore infrastructure and corridor models enabling industrialisation.
❚ Promote ESG and inclusive development aligned with the energy transition.
❚ Bridge the gap between policy, investment, and implementation.
❚ Governments & Regional Bodies: Ministers, regulators, SADC, AU, AMDC.
❚ Industry & Private Sector: Mining houses, technology suppliers, financiers, logistics operators.
❚ Development Partners & DFIs: World Bank, AfDB, IFC, bilateral institutions.
❚ Research & Academia: Universities, CSIR, innovation hubs.
❚ Civil Society & NGOs: ESG specialists, community advocates.
❚ Investors & Trade Partners: OEMs, supply chain participants.
❚ Legal, Regulatory & Compliance Advisors.
❚ Infrastructure, Energy & Logistics Providers.
❚ Processing, Refining & Manufacturing Players.
❚ Standards Bodies & Certification Agencies.
The SAIMM Conference will convene governments, industry leaders, financiers, researchers, and civil society to chart pathways from extraction to value addition, ensuring Africa captures prosperity across the full critical minerals value chain.
❚ Governance, Policy & Regional Collaboration –Aligning frameworks, strengthening institutions, enabling cooperation.
❚ Infrastructure & Strategic Corridors – Unlocking logistics, energy, and industrial ecosystems.
❚ Innovation, Beneficiation & Value Addition –Advancing R&D, technology, and downstream industries.
❚ ESG, Energy Transition & Inclusive Development –Ensuring sustainability, resilience, and equitable growth.
❚ Clear policy recommendations and regional collaboration frameworks.
❚ Models for infrastructure financing and corridor integration.
❚ Roadmap for innovation ecosystems and beneficiation capacity.
❚ Practical pathways for ESG and just transition.
❚ SAIMM Position Paper on Critical Minerals consolidating key findings.
❚ Hybrid: In-person + live streaming
❚ Duration: 2 days
❚ Side Events: Ministerial Roundtable, CEO Dialogue, Innovation Showcase
CONTACT FOR FURTHER INFORMATION CONTACT:

Gugu Charlie, Conferences and Events Coordinator gugu@saimm.co.za
Tel: +27 11 530 0238

The South African National Institute of Rock Engineering Symposium is a forum for Rock Engineering Practitioners to showcase their technical abilities and skills to the industry over a period of two days. Participants and Presenters network, share ideas, knowledge and practices, whilst learning more about the most recent innovations, trends, experiences and concerns in Rock Engineering. In an effort to respond to ideas coming from SANIRE members the 2026 Symposium will feature an opportunity for expanded participation in the programme through presentations. The aim of the Symposium is to broaden participation and learning by opening an opportunity for innovative and challenging material that would not otherwise be available in other formats. The Symposium will be held from the 7-8 July 2026. Interested practitioners, researchers, managers and others in the field of Rock Engineering can create meaningful dialogues by sharing their knowledge through presentations during the Symposium.
Rock engineering is a unique blend of science, iterative processes, empirical wisdom, and professional judgment. In today’s rapidly changing environment, where global expectations demand higher standards and practices that prioritise human and environmental impact, the modern rock engineer must be equipped to navigate these dynamics.
This symposium will showcase the evolution of rock engineering practices in a VUCA (Volatile, Uncertain, Complex, Ambiguous) world—highlighting agile and flexible decision-making while upholding the highest engineering standards and a commitment to sustainability.
FOR FURTHER INFORMATION CONTACT:
Gugu Charlie, Conferences and Events Coordinator
gugu@saimm.co.za
Tel: +27 11 583 0238
We offer several kinds of sponsorship possibilities in SANIRE SYMPOSIUM 2026.This is a great opportunity to have visibility and showcase your company or organisation and your contribution to the rock mechanics industry.
