
VOLUME 126 NO. 1 JANUARY 2026

VOLUME 126 NO.1 JANUARY 2026
![]()

VOLUME 126 NO. 1 JANUARY 2026

VOLUME 126 NO.1 JANUARY 2026
The Southern African Institute of Mining and Metallurgy (SAIMM) aims to foster professional excellence, innovation, and sustainable development in the mining and metallurgical industries through a comprehensive suite of services and initiatives tailored for industry professionals and corporate partners.
By joining SAIMM, you position your company as an industry leader, gain visibility among key stakeholders, and benefit from exclusive networking opportunities. SAIMM’s commitment to professional excellence, ongoing development, and ethical standards ensures that your organisation remains compliant and future-ready.
SAIMM upholds the highest ethical and professional standards through its Code of Professional Conduct. By partnering with SAIMM, your organisation demonstrates a commitment to integrity, accountability, and industry best practices. SAIMM supports engineers in meeting legal requirements, particularly with the Identification of Engineering Work (IDoEW) recently promulgated by the Engineering Council of South Africa (ECSA). As a Voluntary Association (VA) of ECSA, SAIMM is uniquely positioned to guide engineers through the registration process.
SAIMM offers accredited continuing professional development (CPD) and education programmes targeted at members’ commodity and geographic contexts. These programmes help professionals stay updated on industry advancements while earning CPD points to maintain their ECSA and SACNASP registration.
SAIMM drives meaningful dialogue around important topics such as the Fourth Industrial Revolution (4IR), modernisation, globalisation, and a wide range of ESG issues. This ensures that members are equipped to deal with the fluctuating environment and remain relevant, productive, and competitive.
SAIMM broadens members’ horizons and networks through formal and informal engagement forums with technical peers. This helps members expand their professional networks and gain diverse perspectives.
SAIMM keeps its members informed on technological, social, and environmental issues and developments by making relevant information available. This ensures that members stay updated with the latest advancements and trends in the industry.
SAIMM provides a collaborative multistakeholder platform that connects minerals professionals throughout the region and across the globe. This facilitates access to world-class knowledge, innovative practices, and technical excellence for corporate and individual members.
In addition, SAIMM has participated in the updating of the SANS 10286, the South African National Standard for Mine Residue Deposits. This standard provides guidance on the safe and responsible management of tailings storage facilities (TSFs) in South Africa.
We are a co-patron, together with the Geological Society of South Africa (GSSA), of the SAMCODES, comprising of SAMREC, SAMVAL, SAMOG, and several guidelines.
SAIMM actively converses with the Minerals Council of South Africa on the many challenges facing the industry.

SAIMM provides a sound platform for collaborative networking through geographic clusters and special interest groups. This facilitates meaningful connections and discussions among industry professionals
SAIMM believes in the power of partnerships to strengthen collective impact on industry innovation. By collaborating with SAIMM, partners benefit from increased visibility, networking opportunities, and engagement with a dynamic community of industry leaders.
OFFICE BEARERS AND COUNCIL FOR THE 2025/2026 SESSION
President G.R. Lane
President Elect
T.M. Mmola
Senior Vice President
M.H. Solomon
Junior Vice President
S.J. Ntsoelengoe
Incoming Junior Vice President
M.C. Munroe
Immediate Past President
E. Matinde
Honorary Treasurer
W.C. Joughin
Ordinary Members on Council
W. Broodryk M.A. Mello
A.D. Coetzee K. Mosebi
Z. Fakhraei M.J. Mothomogolo
B. Genc S.M. Naik
F. Lake G. Njowa
K.M. Letsoalo S.M. Rupprecht
S.B. Madolo A.T. van Zyl
Co-opted Council Members
K.W. Banda
M.L. Wertz
Past Presidents Serving on Council
N.A. Barcza W.C. Joughin
R.D. Beck C. Musingwini
Z. Botha J.L. Porter
V.G. Duke M.H. Rogers
I.J. Geldenhuys G.L. Smith
R.T. Jones
M.L. Wertz – TP Mining Chairperson
W. Broodryk – TP Metallurgy Chairperson
C.T. Chijara – YPC Chairperson
T.S. Ndlela – YPC Vice Chairperson
Branch Chairpersons
Botswana K. Mosebi
DRC Vacant
Johannesburg A. Hefer
Limpopo M.S. Zulu
Namibia T. Aipanda
Northern Cape Vacant
North West T. Nsimbi
Pretoria P.G.H. Pistorius
Western Cape M.H. Solomon
Zambia N.M. Kazembe
Zimbabwe L. Shamu
Zululand Vacant
*Deceased
* W. Bettel (1894–1895)
* A.F. Crosse (1895–1896)
* W.R. Feldtmann (1896–1897)
* C. Butters (1897–1898)
* J. Loevy (1898–1899)
* J.R. Williams (1899–1903)
* S.H. Pearce (1903–1904)
* W.A. Caldecott (1904–1905)
* W. Cullen (1905–1906)
* E.H. Johnson (1906–1907)
* J. Yates (1907–1908)
* R.G. Bevington (1908–1909)
* A. McA. Johnston (1909–1910)
* J. Moir (1910–1911)
* C.B. Saner (1911–1912)
* W.R. Dowling (1912–1913)
* A. Richardson (1913–1914)
* G.H. Stanley (1914–1915)
* J.E. Thomas (1915–1916)
* J.A. Wilkinson (1916–1917)
* G. Hildick-Smith (1917–1918)
* H.S. Meyer (1918–1919)
* J. Gray (1919–1920)
* J. Chilton (1920–1921)
* F. Wartenweiler (1921–1922)
* G.A. Watermeyer (1922–1923)
* F.W. Watson (1923–1924)
* C.J. Gray (1924–1925)
* H.A. White (1925–1926)
* H.R. Adam (1926–1927)
* Sir Robert Kotze (1927–1928)
* J.A. Woodburn (1928–1929)
* H. Pirow (1929–1930)
* J. Henderson (1930–1931)
* A. King (1931–1932)
* V. Nimmo-Dewar (1932–1933)
* P.N. Lategan (1933–1934)
* E.C. Ranson (1934–1935)
* R.A. Flugge-De-Smidt (1935–1936)
* T.K. Prentice (1936–1937)
* R.S.G. Stokes (1937–1938)
* P.E. Hall (1938–1939)
* E.H.A. Joseph (1939–1940)
* J.H. Dobson (1940–1941)
* Theo Meyer (1941–1942)
* John V. Muller (1942–1943)
* C. Biccard Jeppe (1943–1944)
* P.J. Louis Bok (1944–1945)
* J.T. McIntyre (1945–1946)
* M. Falcon (1946–1947)
* A. Clemens (1947–1948)
* F.G. Hill (1948–1949)
* O.A.E. Jackson (1949–1950)
* W.E. Gooday (1950–1951)
* C.J. Irving (1951–1952)
* D.D. Stitt (1952–1953)
* M.C.G. Meyer (1953–1954)
* L.A. Bushell (1954–1955)
* H. Britten (1955–1956)
* Wm. Bleloch (1956–1957)
* H. Simon (1957–1958)
* M. Barcza (1958–1959)
* R.J. Adamson (1959–1960)
* W.S. Findlay (1960–1961)
* D.G. Maxwell (1961–1962)
* J. de V. Lambrechts (1962–1963)
* J.F. Reid (1963–1964)
* D.M. Jamieson (1964–1965)
* H.E. Cross (1965–1966)
* D. Gordon Jones (1966–1967)
* P. Lambooy (1967–1968)
* R.C.J. Goode (1968–1969)
* J.K.E. Douglas (1969–1970)
* V.C. Robinson (1970–1971)
* D.D. Howat (1971–1972)
* J.P. Hugo (1972–1973)
* P.W.J. van Rensburg (1973–1974)
* R.P. Plewman (1974–1975)
* R.E. Robinson (1975–1976)
* M.D.G. Salamon (1976–1977)
* P.A. Von Wielligh (1977–1978)
* M.G. Atmore (1978–1979)
* D.A. Viljoen (1979–1980)
* P.R. Jochens (1980–1981)
* G.Y. Nisbet (1981–1982)
A.N. Brown (1982–1983)
* R.P. King (1983–1984)
J.D. Austin (1984–1985)
* H.E. James (1985–1986)
H. Wagner (1986–1987)
* B.C. Alberts (1987–1988)
* C.E. Fivaz (1988–1989)
* O.K.H. Steffen (1989–1990)
* H.G. Mosenthal (1990–1991)
R.D. Beck (1991–1992)
* J.P. Hoffman (1992–1993)
* H. Scott-Russell (1993–1994)
J.A. Cruise (1994–1995)
D.A.J. Ross-Watt (1995–1996)
N.A. Barcza (1996–1997)
* R.P. Mohring (1997–1998)
J.R. Dixon (1998–1999)
M.H. Rogers (1999–2000)
L.A. Cramer (2000–2001)
* A.A.B. Douglas (2001–2002)
* S.J. Ramokgopa (2002-2003)
T.R. Stacey (2003–2004)
F.M.G. Egerton (2004–2005)
W.H. van Niekerk (2005–2006)
R.P.H. Willis (2006–2007)
R.G.B. Pickering (2007–2008)
A.M. Garbers-Craig (2008–2009)
J.C. Ngoma (2009–2010)
G.V.R. Landman (2010–2011)
J.N. van der Merwe (2011–2012)
G.L. Smith (2012–2013)
M. Dworzanowski (2013–2014)
J.L. Porter (2014–2015)
R.T. Jones (2015–2016)
C. Musingwini (2016–2017)
S. Ndlovu (2017–2018)
A.S. Macfarlane (2018–2019)
M.I. Mthenjane (2019–2020)
V.G. Duke (2020–2021)
I.J. Geldenhuys (2021–2022)
Z. Botha (2022-2023)
W.C. Joughin (2023-2024)
E. Matinde (2024-2025)
Editorial Board
S.O. Bada
P. den Hoed
I.M. Dikgwatlhe
M. Erwee
B. Genc
A.J. Kinghorn
D.E.P. Klenam
D.F. Malan
D. Morris
P.N. Neingo
S.S. Nyoni
M. Onifade
M. Phasha
P. Pistorius
P. Radcliffe
N. Rampersad
Q.G. Reynolds
I. Robinson
S.M. Rupprecht
Past President’s serving on the Editorial Board
R.D. Beck
R.T. Jones
W.C. Joughin
C. Musingwini
T.R. Stacey
S. Ndlovu*
*International Advisory Board member International Advisory Board members
R. Dimitrakopolous
R. Mitra
A.J.S. Spearing
E. Topal
D. Tudor
F. Uahengo
D. Vogt
Editor/Chairperson of the Editorial Board
R.M.S. Falcon
Typeset and Published by
The Southern African Institute of Mining and Metallurgy
PostNet Suite #212 Private Bag X31 Saxonwold, 2132
E-mail: journal@saimm.co.za
Printed by Camera Press, Johannesburg
Advertising Representative
Barbara Spence
Avenue Advertising

Journal Comment: Meeting Young Professionals Where They Are by
M.A. Mello
iv
President’s Corner: Building the future professional pipeline for the minerals industry by G.R. Lane v
THE INSTITUTE, AS A BODY, IS NOT RESPONSIBLE FOR THE STATEMENTS AND OPINIONS ADVANCED IN ANY OF ITS PUBLICATIONS.
Copyright© 2026 by The Southern African Institute of Mining and Metallurgy. All rights reserved. Multiple copying of the contents of this publication or parts thereof without permission is in breach of copyright, but permission is hereby given for the copying of titles and abstracts of papers and names of authors. Permission to copy illustrations and short extracts from the text of individual contributions is usually given upon written application to the Institute, provided that the source (and where appropriate, the copyright) is acknowledged. Apart from any fair dealing for the purposes of review or criticism under The Copyright Act no. 98, 1978, Section 12, of the Republic of South Africa, a single copy of an article may be supplied by a library for the purposes of research or private study. No part of this publication may be reproduced, stored in a retrieval system, or transmitted in any form or by any means without the prior permission of the publishers. Multiple copying of the contents of the publication without permission is always illegal. U.S. Copyright Law applicable to users In the U.S.A. The appearance of the statement of copyright at the bottom of the first page of an article appearing in this journal indicates that the copyright holder consents to the making of copies of the article for personal or internal use. This consent is given on condition that the copier pays the stated fee for each copy of a paper beyond that permitted by Section 107 or 108 of the U.S. Copyright Law. The fee is to be paid through the Copyright Clearance Center, Inc., Operations Center, P.O. Box 765, Schenectady, New York 12301, U.S.A. This consent does not extend to other kinds of copying, such as copying for general distribution, for advertising or promotional purposes, for creating new collective works, or for resale.
Honorary Legal Advisers
M H Attorneys
Auditors
Genesis Chartered Accountants
Secretaries
The Southern African Institute of Mining and Metallurgy 7th Floor, Rosebank Towers, 19 Biermann Avenue, Rosebank, 2196
PostNet Suite #212, Private Bag X31, Saxonwold, 2132 E-mail: journal@saimm.co.za
Telephone (011) 463-7940 . E-mail: barbara@avenue.co.za
ISSN 2225-6253 (print) . ISSN 2411-9717 (online)



Temperature-elevated hydration effect on stress behaviour of cemented paste backfill by W.K. Ting, A. Hasan 1
This paper presents results of the investigation on the effects of hydration to cemented paste backfill behaviour. Results show that uncemented paste backfill re-establishes arching effects more readily, with lower peak stresses and greater stress relaxation than cemented paste backfill. The main outcome of this work is that hydration critically controls the stresstemperature response of cemented paste backfill.
Flyrock in surface mining–part 4. Adaptation of Gurney model to predict burden velocity, flyrock velocity, and explosive energy partitioning in bench blasting by T. Szendrei, S. Tose
The Gurney approach to explosive/inert material interaction was adapted to analyse the face velocity in bench blasting. The energy efficiency of burden movement can be derived from the Gurney model. The model further indicates that the projection of high-velocity (say, 100 m/s) flyrock is possible. An equation is derived that identifies the combinations of burden and path density that may yield flyrock.
Challenges in the use of verbal probability expressions in communicating risk by J. Hadjigeorgiou, J. Wesseloo
This paper investigates the use of verbal probabilistic expressions in communicating geomechanical risk. Analysis of survey data identifies limitations of common probabilistic expressions. The paper concludes by making specific recommendations to avoid the use of certain expressions that may result in increased uncertainty, thus compromising the use of risk management tools.
A systematic review of hybrid quadrotor-track subsea robotic crawler for offshore mineral mining in the era of Industry 4.0 by M.O. Ojumu, A.K. Raji, E.F. Orumwense
This review examines the latest developments in electrically powered quadrotor-track subsea robotic crawlers. The findings of this review provide valuable insights into the role of 4IR in transforming subsea robotics for offshore mineral dredging. It contributes to the ongoing development of next-generation robotic systems capable of operating efficiently in extreme underwater conditions.
Determining the impact of haulage optimisation on addressing open pit mining economic and environmental challenges: A case study by P. Malepfane, B. Genc
This study proposes a new approach to reduce the environmental impact during surface mining by improving environmental factors through the incorporation of carbon footprint into strategic mine planning. Results show that at Mine A the projected net present value was 62% higher than when running a baseline model. The optimised method presents an opportunity to manage emissions during the high operational costs phases.
Investigating the impact of mineral royalty fiscal regime changes on the viability of Zambian copper mines by M.W. Songolo, E. Chisakulo, E.K. Chanda ................................................................... 75
Zambia’s mining industry has undergone various phases of mineral royalty changes since privatization. This study employs the cut-off grade and mineral royalty model relationship to investigate how changes in mineral royalties impacted the net present value and cut-off grades of Zambian copper mines between 2008 and 2022. The findings demonstrate that mineral royalty adjustments redistribute economic value between investors and the government, affecting both profit margins and operational decisions.


rofessional bodies have long played a critical role in shaping the mining and minerals sector. They provide technical credibility, foster knowledge exchange, and create spaces where professionals can engage beyond their immediate operational roles. In an industry facing increasing complexity, this role is arguably more important than it has ever been.
At the same time, the context in which young professionals enter and experience the industry has shifted materially. If professional institutions are to remain relevant and impactful, it is worth reflecting on whether existing engagement models, programmes, and operating structures still align with the realities faced by the next generation of mining professionals.
Historically, professional engagement followed a relatively linear pathway. Students were introduced to the profession, graduates joined institutes, and involvement deepened over time through volunteering, committee work, and leadership roles. Today, this pathway is far less predictable. Young professionals are often geographically dispersed, working at remote operations, managing demanding roles, and balancing professional growth with personal and family responsibilities. In this environment, passive engagement models risk losing traction. The question is no longer whether young professionals should engage, but whether professional bodies are structured to engage them effectively.
Programme relevance is closely linked to this challenge. Technical excellence remains foundational to mining and metallurgy, and it always will. Yet, many young professionals are seeking more than technical depth. They are navigating complex career decisions, rapid technological change, evolving leadership expectations, and increasingly interdisciplinary roles. Professional development offerings that integrate technical capability with leadership, communication, systems thinking, and career navigation are becoming increasingly important in meeting the needs of the modern young professional.
A further consideration is the operating model of professional bodies themselves. Many institutes rely heavily on volunteerism and short leadership terms to function. While this model has served the profession well for decades, it also creates a participation paradox for young professionals. At the stage of their careers when work demands are highest and many are establishing families or relocating to remote sites, they are also being asked to contribute time, energy, and leadership capacity to professional institutions. This tension is not always a lack of commitment, but rather structural constraints that warrant careful reflection.
As the mining industry continues to change, so too must the ways in which professional communities engage, support, and develop their future leaders. Institutions that adapt thoughtfully to these realities will not only remain relevant but will strengthen their role as custodians of the profession for generations to come.
M.A. Mello


s we enter 2026, I would like to extend my sincere best wishes to every SAIMM member, our corporate partners, council, secretariat, committee volunteers, conference organisers, and the many professionals who contribute their time and expertise to sustain the Institute. SAIMM exists because of this collective commitment, and I thank each of you for the role you play in strengthening our community and advancing our industry.
The year ahead will be both important and defining. SAIMM will be formulating and executing a focused strategy aimed at delivering measurable value to our members, corporate stakeholders, and the broader minerals sector. Central to this strategy is one overarching priority: securing the future skills and professional capability pipeline required for a modern, sustainable and globally competitive mining and metallurgy industry.
The future of mining depends not only on technical excellence but on the strength and continuity of professional development across the entire lifecycle of a professional career. This begins at undergraduate and postgraduate level, progresses through structured professional development and registration, and continues throughout our professional working life via meaningful continuing professional development (CPD). If any link in this chain weakens, the industry ultimately pays the price in the form of reduced capability, slower innovation, increased operational risk, and declining competitiveness.
Importantly, the future skills requirement is far broader than traditional mining, metallurgical engineering, and geology. Modern mining operations are complex socio-technical systems requiring integrated capability across multiple engineering disciplines including mechatronics, digital and data sciences, environmental stewardship, finance, human capital, governance, and leadership. The minerals industry will increasingly compete for talent against other sectors, and we must ensure that mining remains an attractive, credible, and high-impact professional career choice.
SAIMM has a critical and unique role in safeguarding the professional interests, standards, and development of those working across the minerals value chain. However, SAIMM cannot achieve this in isolation. Building a sustainable pipeline requires deliberate collaboration across all stakeholders in the professional ecosystem — universities, the Mining Qualifications Authority (MQA), ECSA, corporate partners, training and adult learning providers, regulators, and industry leaders.
Our collective challenge is clear:
• Attract the right calibre of students into minerals-related disciplines.
• Provide structured pathways from graduate to professionally registered status.
• Ensure ongoing CPD that is relevant to the rapidly evolving industry.
• Integrate technical, digital, managerial, and leadership capability.
• Align industry demand with academic and training supply.
Throughout 2026, SAIMM will actively engage these stakeholder groups to strengthen alignment across this system and position the Institute as a central integrator and enabler of professional development in the minerals industry.
SAIMM will also have a strong presence at this year’s Investing in African Mining Indaba. During the conference, I will be based in a dedicated lounge area in the reception of the Cullinan Hotel where members and stakeholders may schedule time in my diary to meet and discuss how SAIMM can support their professional, organisational, and industry needs. If you have not yet scheduled a time and would like to engage, please reach out directly to me or through the SAIMM Secretariat to arrange a meeting.
In addition, SAIMM will host a breakfast event on Tuesday morning at the Royal Cape Yacht Club where Dr Jeannette McGill will share her inspiring leadership journey titled: From 4km Underground to 8km Above: A Leadership Journey, following her successful summit of Mount Everest last year. I encourage you to register and join us for what promises to be a memorable and motivating session.
If we invest deliberately in people, skills, and professional capability today, we secure the long-term resilience, credibility, and performance of our industry tomorrow. This will be SAIMM’s primary focus for the year ahead.
I look forward to working with all members and partners as we shape and deliver this important agenda together.
G.R. Lane President, SAIMM
March 2025 marked the 25th anniversary of the SAMREC Code. Celebratory events were held during the year to celebrate this milestone. The events are highlighted on the SAMCODES, SAIMM and GSSA websites.
A SAMCODES page is available on LinkedIn to keep up to date with current developments. https://www.linkedin.com/company/samcodessa/
SAMCODES

• The App offers a useful platform to access current SAMCODES information.
• The new quiz has been uploaded. Test your proficiency and know-how on the SAMCODES by doing the effective and informative quiz. It will take only a few minutes to complete. Check out the SAMCODES App User Guide for step-by-step instructions: https://lnkd.in/emT8976z
Training programme
• SAMREC/SAMVAL Compliance and JSE Reporting course was presented on 29 & 30 September 2025.
• SAMVAL Mineral Asset Valuation Conference was held from 1-3 October 2025.
• A combined SAMREC and SAMVAL Workshop to deliberate on the impact of Inferred Resources in life of mine planning was held on 5 December 2025. Outcomes and proposals of this process will be shared in due course.





The process of integrating ESG factors into the SAMCODES is continuing for planning for imminent SAMREC Code updates.
The Committee hosted a Valuation Conference in South Africa in October 2025. AusIMM were joint organisers of the event and participation was good.
SAMOG Code updates were sent for public comments, and the launch event will be communicated in due course. Link to updates.
The SAMESG guidelines are currently being revised.
The Industrial Minerals Guidelines were completed and ratified by the SSC. Link to access the guidelines.
• JORC Code amendment feedback session was held on 10 September 2025. Proposals have been incorporated into the working draft and will be communicated in due course.
• SSC representatives attended the CRIRSCO AGM that was held in Perth from 1 – 5 September 2025.
• The SSC is pleased to announce China has joined CRIRSCO as a National Reporting Organisation.
• Mozambique is looking at developing a CRIRSCO-aligned mineral reporting code and there is therefore an opportunity to collaborate with the SAMREC Committee.
Joseph Mainama who has been deputy chairperson of the SSC will be taking over from Sifiso Siwela. The handover will occur at the February 2026 SSC Co-patrons oversight meeting. Jacques Nel will become deputy chairperson.

Affiliation:
1The Department of Civil Engineering, Universiti Malaysia Sarawak, Malaysia
Correspondence to:
A. Hasan
Email: halsidqi@unimas.my
Dates:
Received: 3 Sept. 2024
Revised: 12 Jan. 2025
Accepted: 31 Oct. 2025
Published: January 2026
How to cite:
Ting, W.K., Hasan, A. 2026. Guide memoire: Temperature-elevated hydration effect on stress behaviour of cemented paste backfill. Journal of the Southern African Institute of Mining and Metallurgy, vol. 126, no. 1, pp. 1–12
DOI ID:
https://doi.org/10.17159/2411-9717/3557/2026
ORCiD:
W.K. Ting:
https://orcid.org/0000-0001-5067-7659
A. Hasan: https://orcid.org/0000-0001-7543-096X
by W.K. Ting1, A. Hasan1
Abstract
Mine stope is typically backfilled with cemented paste backfill, which provides a regional underground stability and also a reduction of aboveground tailings accumulation. During backfilling, a phenomenon known as arching occurs and affects the stress distribution of the cemented paste backfill. The change in temperature due to uncontrolled heat transfer from the surrounding rock mass and/or generation from hydration process complicates the stress distribution development of cemented paste backfill. This paper presents results of the investigation on the effects of hydration to cemented paste backfill behaviour when backfilled into a narrow wall model using uncemented paste backfill as controlled sample. The parameters considered include backfill type (cemented paste backfill vs uncemented paste backfill), curing temperature (30°C–60°C), and stress evolution during pouring, consolidation, and curing stages. Results show that uncemented paste backfill re-establishes arching effects more readily, with lower peak stresses and greater stress relaxation than cemented paste backfill, of which its behaviour is significantly influenced by hydration under elevated temperatures. The main outcome of this work is that hydration critically controls the stress-temperature response of cemented paste backfill, and the balance between hydration-driven strength gain and stress relaxation can be leveraged to optimise backfill mix design for safer and more efficient stope filling.
Keywords narrow stopes backfill, arching effect, hydration, temperature, uncemented paste backfill
Introduction
The exhaustion of surface-level deposits due to the rising global demand for minerals necessitates deeper mining operations, which create narrow underground voids (mine stopes) (Asr et al., 2019; Cao et al., 2021). Such a condition presents significant challenges in maintaining underground stability, which directly affects both ore recovery rates and mine safety (Ngwenyama, De Graaf, 2021). Also, substantial volume of extracted earth becomes waste in the form of tailings (Rahmat et al., 2022).
Cemented paste backfill (CPB) was introduced as a technique to mitigate issues of underground instability and accumulation of mine waste by utilising dewatered tailings and cement as a binding agent to fill up the mined-out voids generated from mining activities, thereby facilitating further ore extraction (Fall et al., 2008). Despite its benefits, CPB is a complex material with properties influenced by various factors (Yan et al., 2021). Inadequate understanding of CPB behaviour can lead to issues such as structural failure, which indirectly increases safety risks and operational costs (Agboola et al., 2020).
One critical aspect of backfill design in narrow stopes is the phenomenon of arching, where the stress distribution of the backfill material along the stope walls is governed by the frictional properties of the fill (Fang, Fall, 2018). Unlike in fully confined conditions, the stress–strain behaviour in semi-confined stopes differs due to the allowance for vertical deformation (Li, 2024). Theoretical models have been developed to predict stress distribution based on stope geometry and material properties (Cui, Fall, 2017; Yilmaz, 2018; Pagé et al., 2021; Porathur et al., 2022; Fang et al., 2023; Vlachogiannis et al., 2024), while recent numerical studies have considered additional effects such as temperature influences on barricade stability (Wu et al., 2025) and the coupled hydro-mechanical response of CPB under varying loadbearing conditions (Yan et al., 2025). As the performance of the fill material and its interaction with stope boundaries are central to backfill stability, new approaches to material enhancement have also emerged. For instance, the incorporation of sustainable additives such as recycled microplastics has been shown to
improve the toughness and ductility of CPB (Samiratou Yaya et al., 2025). Nevertheless, experimental validation in realistic geometries remains scarce (Ile, Malan, 2023), with multiple studies reporting unexpected patterns of stress propagation, including stress increases during rest periods contrary to theoretical predictions (Doherty et al., 2015; Oke et al., 2021).
Full-scale study of mine backfill in the actual stope is challenging and costly. Some mechanical behaviour of mine backfill in actual mine stopes can be investigated using a laboratory scale model (Wu et al., 2016; Chen et al., 2022). In such a model, boundary conditions that replicate the full-scale backfill environment need to be comparable.
The effect of temperature changes on CPB backfilled into an experimental model has been discussed (Ting, Hasan, 2023) but the impacts of hydration on backfill stress propagation are yet to be understood. Temperature variations and the nature of the backfill are hypothesised to play a role in the overall behaviour. It is possible to redefine mine backfill material design by re-evaluating the targeted strength while controlling the stress generation of the backfill at different stages of curing (Jafari, Grabinsky, 2021). Such understanding will ultimately lead to safer designs and potentially reduce the overall cost of backfilling operations.
Materials and methods
Materials
Laboratory-made CPB and UCPB, which reflect the material properties and behaviour of actual backfill material were used in this research. Both mixes are primarily composed of silica flour and water, with CPB additionally containing cement as its binding agent. Local tap water used in mix design was tested with PCSTestr35 EUTECH Instruments, which showed a pH of 6.84, total dissolved solids at 74.3 ppm, and salinity at 0.0627 ppt. Ordinary Portland cement (OPC) from Cahya Mata Sarawak (CMS), meeting the Malaysian Standard MS EN 94 197-1 was used as binder for the CPB sample. Both water and binder were selected based on its local availability and its similarity to actual CPB practices, provided that the final mix design produced a paste with strength and flowability requirements comparable to those used in mine backfilling.
Silica flour is selected as the tailing replacement material due to its similarity in particle size distribution (PSD) towards the tailing average size (Nasir, Fall, 2008). Table 1 provides detailed findings on its PSD characteristics, while Figure 1 shows its distribution curve. According to a mine fill handbook (Potvin et al., 2005), the silica flour complies with a minimum of 15% passing of 20 μm particles
for paste fill. Silica flour is chemically inert and possesses resistance to strength retrogression at temperatures below 110°C, which makes it particularly suitable for this research. Its geotechnical properties were identified using respective standard testing methods, and it complies with the technical specifications provided by its manufacturer (Sibelco, SILVERBOND® PG20) and comparable related research utilising silica flour (Fall et al., 2010). This ensures good accuracy and reproducibility for all samples prepared in this research.
To ensure similar sample behaviour, a suitable mix design is needed along with using comparable materials to recreate the paste. The mechanical properties such as yield stress, compressive strength, and shear behaviour were assessed through slump tests, unconfined compressive strength (UCS) tests, and direct shear tests with temperature control. When the backfilling space is narrow in geometry, controlling the mix design is crucial, as it directly affects arching intensity and initial stress distribution. Table 2 provides a summary of the sample’s mix design and its corresponding mechanical behaviour. The selection of 5% binder content and 72% solids was based on preliminary UCS and slump tests, targeting 300 kPa UCS at 3 days of curing, in line with common mine practice (Sheshpari, 2015; Ghirian, Fall, 2016). At this solid content, the yield stress of 115 Pa satisfies the flowability criterion of less than 200 Pa for pipeline transport (Cooke, 2008). According to the mix design, all sample is mixed at the same speed until it is homogenous to control its rheological properties prior to immediate backfilling into the narrow wall model.



Figure 2 illustrates the narrow wall schematic that has been designed based on related literature (Goodey et al., 2006; Li, Aubertin, 2010; Widisinghe, Sivakugan, 2014; Yan et al., 2019) with a modification made to enable the capability required for this study. Most factors affecting this study, such as the curing temperature, aspect ratio of backfill, confining condition, and adjacent wall stiffness were considered in the narrow wall model design while others, such as filling rate of sample, interface shear between sample and wall, and drainage were controlled for consistent results (Helinski et al., 2011; Walkse, 2014; Cui et al., 2023). The narrow wall model functionality and the steps taken to ensure its accuracy were discussed (Ting et al., 2020).
Arching effects in a narrow wall occur when the height is more than twice its width (Fahey et al., 2009). In order to investigate
the arching effects over the temperature change, the narrow wall is designed to exclude overly stress induced by the djacent wall. The narrow wall model has dimensions of 0.8 metres in height, 0.15 metres in width, and 0.05 metres in depth. It was built using aluminium plates with an elastic modulus of 70 GPa that is similar to mining rock masses (Belem, Benzaazoua, 2008). Aluminium plate of sufficient thickness prevents deformation under stress, ensures efficient heat transfer, and is sufficient for multiple cleaning to control surface properties. To control water evaporation, an impermeable film is used to cover the top opening of the narrow wall after completion of backfilling. To maximise stress generation, a single pour with filling rate around 0.00015 m³/s is used. The same volume of sample is prepared for all tests to ensure consistent passive interface loading and stress generation (Cui et al., 2023).
The vertical stress (σv) was measured on the bottom plate using an OMEGA load cell (LCM101) while the unconfined sample’s expansion was measured from the top opening of the narrow wall via an OMEGA potentiometer (LP804). The test temperature was measured using an OMEGA Type J Thermocouple where it is also wired to an OMEGA data acquisition unit (DAQ-USB-2401) and to an OMEGA temperature controller (CN7233). The temperature controller regulated heating according to set temperatures and thermocouple measurements. The data acquisition unit is initiated before the commencement of backfilling for instruments checking and offsetting purposes. In addition, the monitoring of thermocouple allows proper preheating to be performed onto the narrow wall model.
The selected temperature range (30°C to 60°C) was chosen to simulate the diverse subsurface thermal regimes found in underground mines. These conditions are influenced by factors such as depth and the local geothermal gradient, with in situ rock mass temperatures often reaching or exceeding 50 °C (Thompson et al., 2012; Oke et al., 2021). Both CPB and UCPB samples were heated (ramp) at a constant rate, held at a fixed temperature (soak), and then cooled (dwell) according to the temperature pattern outlined in Table 3. Test 1 analysed the impact of temperature variations on the consolidated sample, as indicated by stable stress readings from the load cell. This demonstrates that any temperature change after this stage is purely due to temperature effects on the sample's behaviour. Meanwhile, Test 2 to Test 5 assess the impact
of immediate temperature changes immediately after backfilling. In practical mine backfilling contexts, the stope wall temperature is not controlled, which allows direct temperature shifts after pouring. While fixed temperature tests give better correlation to actual mine backfill behaviour, Test 1 data is essential for understanding the direct effects of temperature and serves as a fundamental reference to eliminate the effects of temperature from the fixed temperature tests.
The controlled temperature profile test was conducted in duplicate, and the results showed a high degree of consistency between runs. Due to the extensive duration of each experiment (2–3 weeks per test), a single representative test was performed for the uncontrolled (fixed temperature) profiles. The figures show the data from these representative tests.
Results and discussions
To understand the effect of hydration on the stress-straintemperature of backfill within narrow wall, UCPB sample is tested with the same temperature profile as CPB reported by Ting and Hasan (2023). The stress-time and strain-time evolution of UCPB is discussed and the effect of temperature change at all stages was analysed to be compared to the behaviour of CPB.
Post-consolidation tests
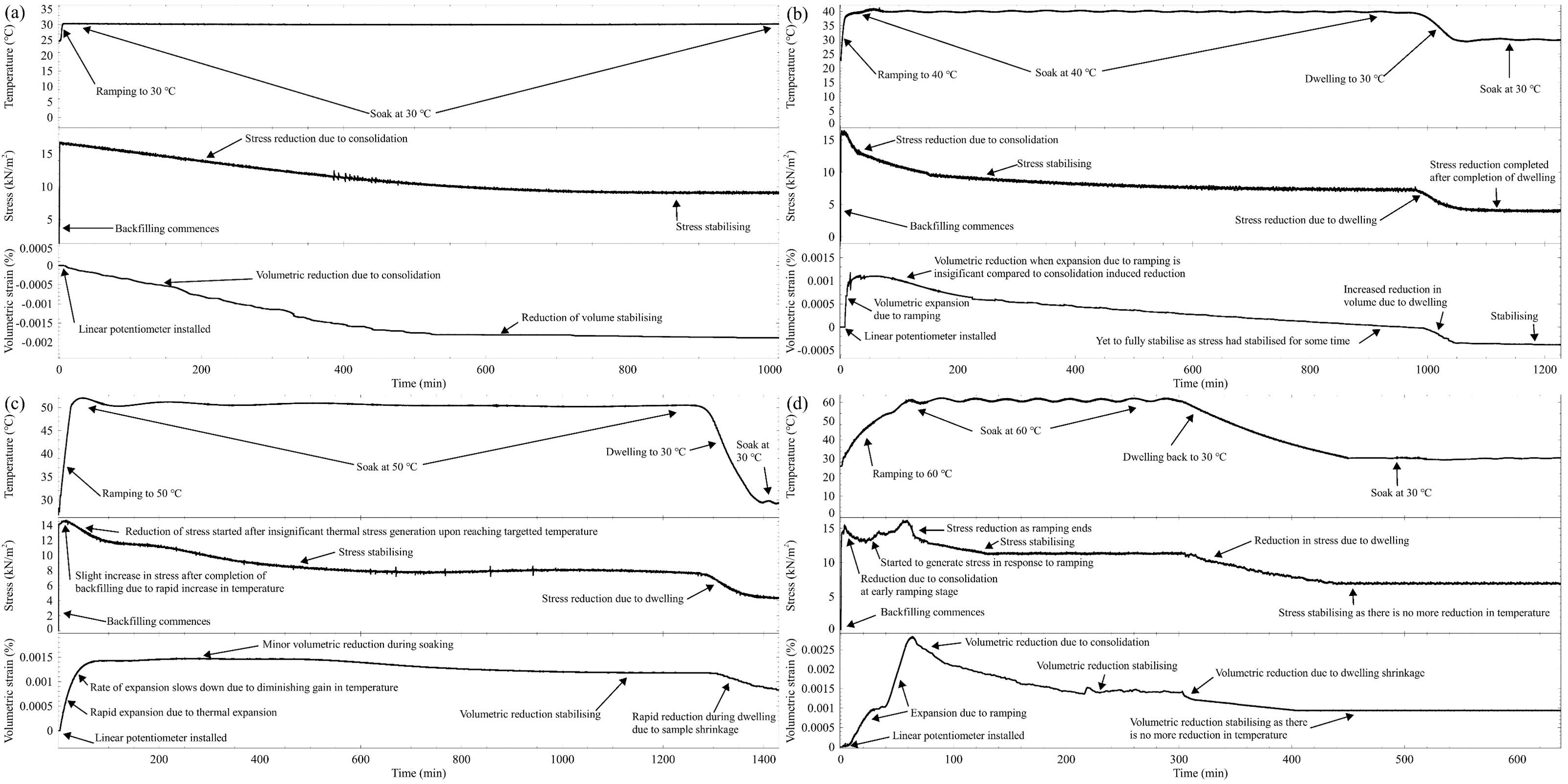
For post-consolidation tests, the UCPB sample follows the temperature pattern outlined in Test 1. Prepared sample was backfilled at a constant filling rate and allowed to consolidate at a controlled temperature of 30°C. Figure 3 shows the monitoring of stress-strain temperature behaviour of UCPB against the elapsed time from the initiation of backfilling until 54 hours after.
During consolidation, a significant reduction in σv from 15 kN/m² to 7.5 kN/m² was observed. This densification and frictional property development are evidenced by the reduction in volumetric strain (εv) during consolidation. As the sample consolidates, arching effects where σv is transferred horizontally to the adjacent wall developed progressively. This phenomenon was also observed in full-scale monitoring, which underscores the need to isolate stress-altering factors before studying the temperature response in a semi-confined narrow wall.
When σv readings plateau (t90), temperature change is introduced. Upon ramping by 10°C to 40°C, an increase in σv reading is observed. However, the σv dropped when the sample
was not gaining any heat during the soaking phase. This behaviour repeats itself over the subsequent ramping and soaking phase. Based on its εv behaviour, it behaves similarly to the stress behaviour over the applied temperature pattern. Such phenomenon did not occur in the CPB samples. Such behaviour is speculated to be due to a phenomenon, namely relaxation, which occurs due to the accumulation of thermal stress during the ramping phase. This reduces the potential and magnitude of effect from a phenomenon namely creep. It is undeniable that creep may occur with the presence of thermal stress as hydration commences, which damages the strength obtained from hydration and possibly resulting in lower ultimate strength. Such is proven by Xue et al. (2018) by keeping a constant application of stress onto a cohesive sample and relaxation is observed. As the narrow wall model is a semi-confined space, UCPB is free to relieve the thermal stress by allowing particles to rearrange and to relieve the stress generated over time. This relaxation phenomena are not instant and the net σv remains slightly higher than the initial σv before any ramping, indicating that thermal stress is not fully relieved due to the frictional properties of UCPB. If the backfill material is entirely frictionless and cohesionless, thermal stress concentration will not occur and thus, the material will be able to expand freely without generating any stress during the ramping stage.
When the sample is dwelled from 60°C to 30°C, both σv and εv show reduction in response to the temperature drop. During dwelling, the material shrinks in response to the temperature drop and thus relieving additional stress generated over the ramping period. However, the net σv after dwelling back to 30°C is slightly lower than the net σv recorded at 30°C prior to any ramping. Any relaxation that occurs during the ramping and soaking period reduces the total σv at that time. As the backfill stabilised during the soaking phase, any dwelling afterward is speculated to first reduce any remaining thermal stress within the backfill that is held by its frictional properties and then only reduction due to the contraction of particles due to temperature drop. Interestingly, the net volume of the backfill recorded at the open end of the narrow wall showed some increases if compared to the net volume prior to temperature change. This is likely due to the unconfined end of the narrow wall where the backfill is free to expand when ramped but could not fully consolidate during soaking and shrink during dwelling due to any forms of cohesion and concurrent re-establishment of arching effects towards narrow wall.


Upon stabilising, the backfill sample is ramped to 60°C, soaked at 60°C until the σv reading stabilised, and finally dwelled back to 30°C. This attempt shows that UCPB behaves similarly, even if the ramping steps are increased from 10°C to 30°C. As UCPB should remain in paste form after an extended period of study, the instability of εv observed, which became more significant after multiple temperature change cycles, may be due creep. Continuous ramping cycle leads to repeated drying of paste due to the hot adjacent wall and wetting of paste due to osmotic suction from dried-up paste across the perimeter (Gao et al., 2023). This leads to the growth of a weak, yet brittle shear strength, which hinders volumetric consolidation during soaking and dwelling.
Ting and Hasan (2023) conducted a similar test to Test 1, using the same samples following the same temperature profile. Both tests generally showed similar behaviour in response to variations in temperature, though there were minor differences in the σv and εv. These datasets were used in the analysis section; the cited data is labelled as UCPB1, while data from Test 1 is referred to as UCPB2 for clarity.
Figure 4 shows the behaviour of UCPB samples ramped to target temperature of 30°C, 40°C, 50°C, and 60°C right after backfilling until σv and εv stabilised, then the samples were dwelled back to 30°C. UCPB 30 behaved similarly to the consolidated test with a maximum σv of 16.8 kN/m², which reduces by 46% after 900 minutes, and εv reduces by 0.002%. UCPB 40 σv remained stable due to self-weight consolidation, with a 0.0011% volumetric expansion observed during ramping. As insignificant heat did not affect much of σv or εv, σv and εv reductions were noted right after reaching 40°C. Upon dwelling back to 30°C, σv reduces at a rate of 0.4 kN/m² per degrees celcius, and volume decreased by 0.0005%. For UCPB 50, ramping took 40 minutes due to a 25°C temperature difference. The sample expanded by 0.0014%, which is comparably higher, and σv reduced by 6.5 kN/m2, which is comparably lower than both UCPB 30 and UCPB 40 tests. The
smaller decrease in σv was due to thermal stress and arching effect development. When the influence of thermal expansion from ramping diminished, consolidation-induced reductions in both σv and εv were observed. Upon dwelling back to 30 °C, the σv reduces at a rate of 0.175 kN/m2/ °C while the volume further reduced by 0.00045%, indicating material contraction. For UCPB 60, a 35°C temperature increase led to notable σv and εv changes. During ramping, the initial volumetric gain is at a lower rate until 45 minutes where a sudden expansion was observed. This can be observed from the σv, where the σv started to increase as the volumetric expansion recorded slows down before the 45 minutes mark. Initial consolidation and thermal expansion resulted in rapid packing and thus densify the backfill, which intensifies arching effects. Beyond 45 minutes, εv became prominent while σv continues to increase until the target temperature is reached. During soaking, significant σv and εv reductions resembled Test 1 soaking behaviour. Dwelling to 30°C reduced σv from 11.5 kN/m² to 7 kN/m² and εv from 0.0012% to 0.0009%, respectively.
Based on the backfill test data, each phase (backfilling, consolidating, ramping, soaking, and dwelling) was thoroughly analysed to understand how temperature affects the stress-strain behaviour of hydrating and non-hydrating backfill. Over time, UCPB and CPB shall vary in material state and shear behaviour, differing their stress-strain-temperature behaviours. The impact of temperature changes, initial curing temperature, and the type of backfill sample were explored.
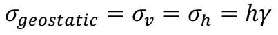
The σv equals to the horizontal stress (σh) when internal angle of friction, φ is near 0. Geostatic stress (σgeostatic), caused by the gravitational pull exerted on the backfill material, is represented by Equation 1.

where, h represents backfill height, and γ is its unit weight.
Pirapakaran and Sivakugan (2007) validated their findings on the stress distribution of UCPB using FLAC and then formulated a σv theorem that considers the friction angles of the backfill, as shown in Equation 2. [2]

where, h stands for the height of the backfill, γ denotes backfill unit weight, l represents narrow wall length, w signifies narrow wall width, ϕ denotes backfill friction angle, and K is the coefficient of lateral earth pressure at rest. Figure 5 shows the σv solved from Equation 2. Both the UCPB and CPB sample correspond similarly to the predicted σv, as the sample was still in slurry state where sufficient arching effect is yet to be established at the first 40 seconds of backfilling. Ultimately, the establishment of arching effects primarily depends on the rheological properties of the backfill sample and the cross-section of the narrow wall (Liu et al., 2020; Zhang et al., 2023). In this case, the effect of hydration is yet to be noticeable.
With precise specification of input parameters, the current equation reliably estimates the initial σv within a narrow wall. Generally, granular materials kept in any narrow space, such as a silo, usually do not experience substantial temperature changes or hydration. Though, in mine backfill, temperature changes and alterations in the state of the backfill material do occur. Consequently, it is essential to understand the behaviour of UCPB and CPB not only during the backfilling stage but also throughout the curing period. Analysing the non-hydrating UCPB sample helps clarify the impact of hydration in CPB, offering key insights into the isolating effects of temperature changes.
Backfill stress behaviour during consolidation
The observed decrease in σv after backfilling at a constant temperature can be due to the consolidation driven by the selfweight of the backfill material. This happens because the backfill is initially a slurry with minimal flow resistance. While cement hydration affects consolidation with duration, this analysis examines the immediate stage following backfilling, without temperature changes.
Figure 6 shows the σv behaviour of the UCPB30, UCPB 1, UCPB 2, CPB 30, CPB 1, and CPB 2 tests. The finding reveals consistent post-backfilling behaviour primarily due to self-weight consolidation, which is similarly reported by Zheng and Li (2019).

The key difference lies in the time required to balance σv transfer during consolidation, with UCPB taking a longer period to achieve the same σv reduction as CPB samples. As the frictional properties of CPB develop more rapidly than UCPB, optimal arching effects are established in a shorter timeframe. This consistency of consolidation data across all UCPB and CPB samples permits the application of Equation 3.

where, σv(peak) represents the peak vertical stress at the end of backfilling, A denotes the average factor of residual stress after consolidation relative to the peak stress, c denotes the coefficient describing the rate of stress reduction over time, and t denotes elapsed time. Figure 6 provides the best-fit representation of the empirical relationship between the change in vertical stress (∆σv) and the elapse of time (t). Table 4 presents the parameters corresponding to both backfill samples with respect to Equation 3.
The σv responses of UCPB and CPB were examined across different temperature phases, including ramping, soaking, and dwelling. This analysis considered the effects of temperature change in both controlled post-consolidation tests and uncontrolled fixedtemperature tests where the effect of consolidation is not omitted. An uncontrolled fixed-temperature test serves as a good reference for a more realistic behaviour of a sample towards the actual backfilling works. Relationships derived from the controlled test data can be applied to the uncontrolled tests to validate their adequacy.
Impact of temperature variations on the stress behaviour of stabilised backfill
Figure 7 shows the Δσv over the change in temperature (ΔT) at 10°C step for UCPB and CPB, respectively. The UCPB samples show a gradual increase in σv with rising temperature. However, the σv

Table 4
Corresponding parameter for Equation 5.3
increase is less prominent when compared to CPB. The smaller σv increment in UCPB is attributed to the absence of significant hydration, which means it lacks the additional binding and stiffness provided by the hydration process in CPB. This enhanced stiffness in CPB is a direct result of cement hydration, which is the chemical reaction between cement particles and water. This process forms a nano-structured gel known as calcium-silicate-hydrate (C-S-H), which acts as the primary binding agent. The C-S-H gel coats the tailings particles and progressively fills the pore spaces, creating a solid, cohesive matrix that offers far greater resistance to thermal expansion compared to the purely frictional particle-to-particle contact in UCPB. The σv increase for UCPB is primarily due to thermal expansion resisted by the arching effect in the semiconfined environment. In comparison to the predicted σv in fully confined conditions, part of the thermal stress is converted to slight material expansion towards the unconfined direction (top opening), which reduces the overall stress generated.
Figure 8 shows the Δσv over the ΔT at a 30 °C step. Generally, the rise in σv with temperature increase is more linear because of the extended duration of ramping. Though UCPB gives almost linear relationship between σv generation and temperature increase, the magnitude of σv generated is only half of CPB, which indicates simultaneous occurrence of a stress alleviating mechanism namely relaxation. Over time, as CPB continues to hydrate, its stiffness and cohesive properties will increase, leading to even higher σv


responses to temperature changes. The more pronounced stress response in CPB is attributed to thermally accelerated hydration kinetics. As temperature increases, the rate of C-S-H formation is significantly enhanced. This concept is well-established in cement chemistry, where elevated curing temperatures are known to accelerate early-age strength development (Sindhunata et al., 2006). As the data in Figures 7 and 8 only discuss the ramping stage, the relaxation phenomena and the differences across the UCPB and CPB sample became obvious when additional heat was not induced during the soaking phase.
The graphs in Figure 9 illustrate the stress behaviour at constant temperatures for both UCPB and CPB samples after experiencing temperature changes of 10°C and 30°C. The CPB samples experience a slight decrease in σv, as evidenced by dispersed data presenting an average reduction of 1.2kN/m2. As the backfill material had attained full consolidation at 30°C before any temperature variations took place, it could imply that the material was compactly packed. Upon ramping, the backfill experienced thermal expansion, yet arching limited this expansion to some extent, which generated additional internal pressure within the backfill. After ramping, soaking at a constant temperature led to a gradual decrease in excessive thermal stress because of limited relaxation or in another word, creep in the case of CPB. The distinct difference in relaxation behaviour during the soaking phase highlights the microstructural evolution of the CPB. In UCPB, stress dissipates primarily through particle rearrangement and sliding. In contrast, the CPB's behaviour is governed by its developing solid skeleton. The C-S-H bonds, as noted by Yilmaz et al. (2010), create a continuous, semi-rigid framework connecting the tailings particles. This framework resists particulate-level rearrangement, transforming the dominant stressrelief mechanism from simple relaxation to time-dependent creep of the solid matrix itself. Figure 9 shows the fitted data, which reflect relaxation as a time-dependent process where thermal stress is progressively reduced over time.
During the dwelling phase, the backfill material's volume decreased as the temperature dropped. The σv levels recorded were significantly lower than those at the end of the consolidation phase at 30°C for both UCPB and CPB due to the varying level of relaxation that occurred during the soaking period after ramping. Figure 10 illustrates the dwelling behaviour for both UCPB and CPB by a reduction of 30°C.
After the time spent to ramp and soak the sample at 10°C and 30°C increments, the CPB sample had undergone hydration for at least 1 day, which causes the material to behave elastically in


response to temperature change. Hence, the σv change recorded was almost linear with the temperature change. Meanwhile, UCPB exhibited inconsistent σv behaviour during dwelling, although a general reduction in σv was observed. This inconsistency might stem from the combined effects of particle strain caused by thermal shrinkage and irregular relaxation as equilibrium states are disturbed. In this scenario, the internal pressure acts as a normal force, enhancing shear behaviour between UCPB and the surrounding narrow wall, as demonstrated in the UCPB interface shearing study (Hasan, Ting, 2022).
The σv reduction in UCPB during dwelling was on average 3 times less than CPB, since much of the thermal stress had already dissipated through relaxation during soaking. Thus, only the residual thermal stress was reduced during dwelling. From Figure 3, it is evident that the final net σv after UCPB was dwelled back to 30°C was lower than the net σv after initial consolidation at 30°C. This pattern was consistent for both UCPB 1 and 2 Tests.
In summary, the divergent stress behaviours of UCPB and CPB under thermal loading are fundamentally governed by the presence and temperature-dependent evolution of the cementitious microstructure. The formation of a C-S-H network in CPB transforms the material from a frictional, granular assembly into a cohesive solid. The rate of this transformation is accelerated by temperature, leading to higher stress generation during heating and a more elastic, less plastic response during cooling. While not explicitly investigated in this study, the long-term performance and densification of such a matrix could be further enhanced by pozzolanic reactions, where materials like fly ash react to form additional C-S-H, further filling pores and strengthening the backfill (Alp et al., 2009; Bernal et al., 2016; Cavusoglu et al., 2021).

Figure 11 illustrates UCPB and CPB stress behaviour after directly backfilled at controlled target temperatures. This allows the backfill to be ramped right after backfilling, which could represent the actual mine backfill condition. Generally, the backfill material exhibited different σv changes depending on the target temperature. Though it is rather inconsistent for UCPB, higher curing temperatures generally resulted in greater final σv levels for both samples upon reaching the target temperature.
The σv generated from fixed temperature tests is very much lower than the σv generated from consolidated UCPB and CPB samples reported in Figure 7. During the early stage of deposition, proper arching effects had not been established in the UCPB tests. The time required for UCPB to fully consolidate was around 16 hours (as indicated in Figure 6), while ramping UCPB up to 60°C took at most 1 hour, showing insufficient time for proper arching development. Consequently, the slurry state of UCPB had less constraint from thermal expansion compared to fully consolidated UCPB, resulting in minimal σv generation at the early stage. This is especially true for UCPB 40 and UCPB 50 samples where no additional stress is generated from ramping. However, as the temperature approached 60°C for UCPB 60, there was some gain in σv, likely due to the rapid establishment of arching caused by the material's swift expansion at higher temperatures, which constricted smooth expansion within a narrow wall and generated thermal stress. As elevated temperature promotes hydration, the presence of binder in the hydrating sample establishes arching quicker than UCPB due to its rapid rheological development, which results in a clearer correlation between stress generation and rate of ramping.
Figure 12 illustrates the stress behaviour over time when soaked at a constant temperature. Since consolidation had not been allowed before the temperature change, all samples continued to establish an arching effect when soaked at the target temperature. For UCPB, the combined effects of self-weight consolidation, thermal


expansion, and relaxation occurred simultaneously, resulting in significant σv reduction for all UCPB samples. Stress reduction was less pronounced at higher temperatures, which complexly affects the development of arching, and thermal stress generation and relaxation mechanics of the backfill.
Both UCPB and CPB 30 experienced the largest σv reduction as they rapidly attained the target temperature while still in a slurry state, permitting consolidation and arching effects to take place. This finding reflects the observation reported in Figure 6 with a similar magnitude of σv reduction and similar consolidation time. Some gain in stress for CPB samples were noted as testing at higher temperatures can enhance mechanical properties due to accelerated hydration. Consequently, UCPB that is experiencing a drop in stress across all temperatures continues to reduce during the soaking phase. This highlights that backfilling samples with higher workability or inferior frictional properties are beneficial to backfill work conducted at a temperature elevated stope.
Figure 13 illustrates the change in stress in response to temperature drop for both UCPB and CPB. Generally, the σv readings for all samples decreased, with UCPB showing less reduction in σv over the temperature decrease in comparison to CPB. CPB 60 exhibited a significant drop in σv, likely because of thermal stress relieved over soaking phase. The stress reduction behaviour in the dwelling phase differed in magnitude when compared to post-consolidation tests shown in Figure 10. Despite UCPB 50 experiencing a doubled temperature reduction compared to UCPB 40, UCPB 40 showed similar σv reduction. This may be due to the higher heat applied to UCPB 50, which gives greater thermal stress but is alleviated as the CPB sample might still be in slurry state, which allows a certain degree of relaxation to occur. This resulted in lower final σv during soaking and thus, lower relievable σv during dwelling. This further highlights the importance of conducting a test after the sample had stabilised.
The unconsolidated tests conducted at fixed temperatures simulate real stope conditions, where heat exchange begins immediately after pouring. However, these tests introduce greater complexity in data analysis due to the simultaneous influence of multiple factors on the observed stress variations. While the tests conducted after consolidation allow the material to fully stabilise before any temperature change, they offer more consistent behaviour in response to temperature variations. The differences between backfill material’s behaviour affect the stress propagation over the evolution of backfill material across time, which, in this case, would be the hydrating effects. Hydration primarily affects the backfill material by altering the workability during the initial stage where arching develops, and stiffness at the later stage. Beyond hydration, uses of additive beyond typical CPB mix such as fibre-reinforced CPB, which affects stiffness and workability,
can be investigated to optimise backfill design by understanding its stress propagation (Cao et al., 2019). As noted in recent case studies of deep mining regions like the Zonguldak basin in Türkiye, understanding the in situ thermal environment is crucial, as it directly influences the mechanical and rheological behaviour of backfill materials (Bilen et al., 2025).
This study presents experimental findings on the impact of hydration on stress behaviour of backfill within a semi-confined narrow wall under varying temperature conditions from 30°C to 60°C. UCPB, serving as the controlled sample, was analysed alongside CPB, which yields the following conclusions:
➤ The novel narrow wall model can accurately capture stressstrain-temperature behaviour of both UCPB and CPB by reflecting the stress-strain behaviour throughout the pouring stage, self-weight consolidation stage, and curing stage with respect to temperature change.
➤ In the backfilling stage, hydration did not cause any difference to the gain of stress during pouring until the peak stress was attained at the end of pouring. Both samples behave like a flowable slurry, which did not generate any significant arching effects during the first 1 minute of testing.
➤ During the consolidation stage, CPB established stable stress transfer quicker than UCPB, though the magnitude of transferred stress did not differ much. Hydration does not affect the magnitude of stress transfer during consolidation without temperature alteration. However, the effect of hydration is significant if the sample is backfilled and cured at elevated temperature.
➤ An increase in temperature leads to linear increase in stress for both the CPB and UCPB samples. The magnitude of increase in stress for UCPB is lower than CPB due to the lack of hydration, which also allows UCPB to experience a greater relaxation effect during ramping. The relationship between temperature increases and stress generation is not linear for samples that were cured directly at a higher temperature.
➤ Stress reduction is observed for all samples during the soaking phase but reduces over time for CPB as it hydrates and becomes more resistant to thermal stress relaxation. UCPB experiences similar stress reduction during soaking, regardless of time, due to the lack of hydration. The presence of hydration in unconsolidated tests greatly affects the stress propagation during the soaking phase, which requires attention in optimising backfill mix design when backfilled to a temperature-elevated stope.
➤ The effect of hydration extends to the dwelling phase where UCPB experiences less reduction in stress from the effects of dwelling due to the thermal stress lost over relaxation during the ramping and soaking phases. CPB behaves more elastically due to hydration as the time elapses, leading to a stronger linear relationship between the change in stress towards the change in temperature. Effects of hydration on the unconsolidated tests show lower stress reduction during dwelling due to the possibility of relaxation of CPB at slurry state.
By understanding hydration as one of the contributing factors, this study improves knowledge of stress–temperature behaviour in narrow wall backfill systems. However, the present narrow wall apparatus is limited to capturing stress–strain–temperature responses in real time through the equipped sensors. Based on the UCPB finding, the difference in its behaviour due to speculated factors such as strength development, hydraulic conductivity evolution, progressive densification, localised stress concentrations, and relaxation zones could not be directly identified with the current setup. Future studies may therefore benefit from integrating non-invasive monitoring techniques, which can be correlated with mechanical measurements through extensive calibration. Such approaches would provide a more comprehensive picture of CPB behaviour and enable the development of safer and more efficient stope backfilling strategies.
Acknowledgements
The authors acknowledge the financial support from the Ministry of Higher Education Malaysia through Fundamental Research Grant Scheme (FRGS) No. FRGS/1/2023/TK06/UNIMAS/02/2, with a title: Behavior of thermal contraction on cemented paste backfill in mine stope. The authors also would like to thank the technical support and facilities provided by the Geotechnical Engineering Laboratory, The Department of Civil Engineering, University of Malaysia Sarawak.
Disclosure statement
The author(s) declare that no potential conflict of interest exists.
Credit author statement
W.K. Ting: Conceptualisation, methodology, software, investigation, validation, formal analysis, writing – original draft, project administration.
A. Hasan: Conceptualisation, methodology, software, validation, resources, writing – review and editing, supervision, project administration, funding acquisition.
Data availability statement
The data that support the findings of this study are available from the corresponding author, Alsidqi Hasan, upon reasonable request.
References
Agboola, O., Babatunde, D.E., Isaac Fayomi, O.S., Sadiku, E.R., Popoola, P., Moropeng, L., Yahaya, A., Mamudu, O.A. 2020. A review on the impact of mining operation: Monitoring, assessment and management. Results in Engineering, vol. 8, p. 100181. https://doi.org/10.1016/J.RINENG.2020.100181
Alp, I., Deveci, H.A., Sungun, Y.H., Yilmaz, A., Kesimal, A., Yilmaz, E. 2009. Pozzolanic characteristics of a natural raw material for use in blended cements. Iranian Journal of Science and
Technology Transactions of Civil Engineering, vol. 33, no. 4, pp. 291–300. https://doi.org/10.22099/ijstc.2009.707
Asr, E.T., Kakaie, R., Ataei, M., Tavakoli Mohammadi, M.R. 2019. A review of studies on sustainable development in mining life cycle. Journal of Cleaner Production, vol. 229, pp. 213–231. https://doi.org/10.1016/j.jclepro.2019.05.029
Belem, T., Benzaazoua, M. 2008. Design and application of underground mine paste backfill technology. Geotechnical and Geological Engineering, vol. 26, no. 1, pp. 147–174. https://doi.org/10.1007/s10706-007-9154-3
Bernal, S.A., Rodríguez, E.D., Kirchheim, A.P., Provis, J.L. 2016. Management and valorisation of wastes through use in producing alkali-activated cement materials. Journal of Chemical Technology and Biotechnology, vol. 91, no. 9, pp. 2365–2388. https://doi.org/10.1002/jctb.4927
Bilen, M., Toroglu, İ., Yilmaz, E. 2025. Power plant ash as a backfill material for subsidence mitigation and mining district recovery: A review and case study in Zonguldak, Türkiye. International Journal of Mining, Reclamation and Environment, vol. 1–19. https://doi.org/10.1080/17480930.2025.2565498
Cao, S., Yilmaz, E., Song, W. 2019. Fiber type effect on strength, toughness and microstructure of early age cemented tailings backfill. Construction and Building Materials, vol. 223, pp. 44–54. https://doi.org/10.1016/j.conbuildmat.2019.06.221
Cao, S., Xue, G., Yilmaz, E., Yin, Z. 2021. Assessment of rheological and sedimentation characteristics of fresh cemented tailings backfill slurry. International Journal of Mining, Reclamation and Environment, vol. 35, no. 3, pp. 319–335. https://doi.org/10.1080/17480930.2020.1826092
Cavusoglu, I., Yilmaz, E., Yilmaz, A.O. 2021. Sodium silicate effect on setting properties, strength behavior and microstructure of cemented coal fly ash backfill. Powder Technology, vol. 384, pp. 17–28. https://doi.org/10.1016/j.powtec.2021.02.013
Chen, S., Wang, W., Yan, R., Wu, A., Wang, Y., Yilmaz, E. 2022. A joint experiment and discussion for strength characteristics of cemented paste backfill considering curing conditions. Minerals, vol. 12, no. 2, p. 211. https://doi.org/10.3390/min12020211
Cooke, R. 2008. Pipeline design for paste and thickened tailings systems. 1st ed. USA, CRC Press.
Cui, L., Fall, M. 2017. Multiphysics modeling of arching effects in fill mass. Computers and Geotechnics, vol. 83, pp. 114–131. https://doi.org/10.1016/j.compgeo.2016.10.021
Cui, L., Singalreddy, S.P., Guo, G. 2023. Geomechanical behavior and properties of cemented paste backfill under passive interface loading and their influences on field-scale stability. Acta Geotechnica, vol. 18, no. 4, pp. 3927–3945. https://doi.org/10.1007/s11440-023-01798-4
Doherty, J.P., Hasan, A., Suazo, G.H., Fourie, A. 2015. Investigation of some controllable factors that impact the stress state in cemented paste backfill. Canadian Geotechnical Journal, vol. 52, no. 12, pp. 1901–1912. https://doi.org/10.1139/cgj-2014-0321
Fahey, M., Helinski, M., Fourie, A. 2009. Some aspects of the mechanics of arching in backfilled stopes. Canadian Geotechnical Journal, vol. 46, no. 11, pp. 1322–1336. https://doi.org/10.1139/T09-063
Fall, M., Benzaazoua, M., Saa, E.G. 2008. Mix proportioning of underground cemented tailings backfill. Tunnelling and Underground Space Technology, vol. 23, no. 1, pp. 80–90. https://doi.org/10.1016/j.tust.2006.08.005
Fall, M., Célestin, J.C., Pokharel, M., Touré, M. 2010. A contribution to understanding the effects of curing temperature on the mechanical properties of mine cemented tailings backfill. Engineering Geology, vol. 114, no. 4, pp. 397–413. https://doi.org/10.1016/j.enggeo.2010.05.016
Fang, K., Fall, M. 2018. Effects of curing temperature on shear behaviour of cemented paste backfill-rock interface.
International Journal of Rock Mechanics and Mining Sciences, vol. 112, pp. 184–192.
https://doi.org/10.1016/j.ijrmms.2018.10.024
Fang, K., Zhang, J., Cui, L., Ding, L., Xu, X., Timms, W. 2023. Mathematical modelling and simulation for hydrating backfill body under cemented paste backfill/rock interface loading. International Journal of Mining, Reclamation and Environment, vol. 37, no. 1, pp. 87–109.
https://doi.org/10.1080/17480930.2022.2142423
Gao, Y., Jiang, S., Xie, J., Wei, W., Jiang, Q. 2023. Experimental study on the shear creep characteristics of joints under wetting-drying cycles. International Journal of Rock Mechanics and Mining Sciences, vol. 169, p. 105458. https://doi.org/10.1016/j.ijrmms.2023.105458
Ghirian, A., Fall, M. 2016. Strength evolution and deformation behaviour of cemented paste backfill at early ages: Effect of curing stress, filling strategy and drainage. International Journal of Mining Science and Technology, vol. 26, no. 5, pp. 809–817.
Goodey, R.J., Brown, C.J., Rotter, J.M. 2006. Predicted patterns of filling pressures in thin-walled square silos. Engineering Structures, vol. 28, no. 1, pp. 109–119.
https://doi.org/10.1016/j.engstruct.2005.08.004
Hasan, A., Ting, W.K. 2022. Temperature effect on Mohr–Coulomb’s effective strength parameters of paste backfill. Frontiers in Materials, vol. 8, p. 794089.
https://doi.org/10.3389/fmats.2021.794089
Helinski, M., Fahey, M., Fourie, A. 2011. Behavior of cemented paste backfill in two mine stopes: Measurements and modeling. Journal of Geotechnical and Geoenvironmental Engineering, vol. 137, no. 2, pp. 171–182. https://doi.org/10.1061/(ASCE)GT.1943-5606.0000418
Ile, D., Malan, D.F. 2023. A study of backfill confinement to reinforce pillars in bord-and-pillar layouts. Journal of the Southern African Institute of Mining and Metallurgy, vol. 123, no. 5, pp. 223–234. http://dx.doi.org/10.17159/2411-9717/2452/2023
Jafari, M., Grabinsky, M. 2021. Effect of hydration on failure surface evolution of low sulfide content cemented paste backfill. International Journal of Rock Mechanics and Mining Sciences, vol. 144, p. 104749. https://doi.org/10.1016/j.ijrmms.2020.104749
Li, D. 2024. A new analytical model for stress distribution in the rock bolt under axial loading. International Journal of Rock Mechanics and Mining Sciences, vol. 176, p. 105690. https://doi.org/10.1016/j.ijrmms.2024.105690
Li, L., Aubertin, M. 2010. An analytical solution for the nonlinear distribution of effective and total stresses in vertical backfilled stopes. Geomechanics and Geoengineering, vol. 5, no. 3, pp. 237–245. https://doi.org/10.1080/17486025.2010.497871
Liu, N., Cui, L., Wang, Y. 2020. Analytical assessment of internal stress in cemented paste backfill. Advances in Materials Science and Engineering. Vol. 2020, 6666548. https://doi.org/10.1155/2020/6666548
Nasir, O., Fall, M. 2008. Shear behaviour of cemented pastefill-rock interfaces. Engineering Geology, vol. 101, no. 2, pp. 146–153. https://doi.org/10.1016/j.enggeo.2008.04.010
Ngwenyama, P.L., De Graaf, W.W. 2021. Risks and challenges affecting opencast pillar mining in previously mined underground bord and pillar workings. Journal of the Southern African Institute of Mining and Metallurgy, vol. 121, no. 12, pp. 623-633. http://dx.doi.org/10.17159/2411-9717/1675/2021
Oke, J., Hawley, K., Belem, T., Hashemi, A. 2021. Paste backfill continuous pour: Red Lake operations case study. Proceedings of the 24th International Conference on Paste, Thickened and Filtered Tailings, Australian Centre for Geomechanics, Western Australia. pp. 381–396. https://doi.org/10.36487/ACG_repo/2115_31
Pagé, P., Yang, P., Li, L., Simon, R. 2021. A semi-empirical solution for estimating the elastic stresses around inclined mine stopes for the Mathews-Potvin stability analysis. Journal of the Southern African Institute of Mining and Metallurgy, vol. 121, no. 8, pp. 405–414.
http://dx.doi.org/10.17159/2411-9717/690/2021
Pirapakaran, K., Sivakugan, N. 2007. Arching within hydraulic fill stopes. Geotechnical and Geological Engineering, vol. 25, no. 1, pp. 25–35. https://doi.org/10.1007/s10706-006-0003-6
Porathur, J.L., Sekhar, S., Godugu, A.K., Bhargava, S. 2022. Stability analysis of a free-standing backfill wall and a predictive equation for estimating the required strength of a backfill material – a numerical modelling approach. Journal of the Southern African Institute of Mining and Metallurgy, vol. 122, no. 5, pp. 227–234.
http://dx.doi.org/10.17159/2411-9717/1544/2022
Potvin, Y., Thomas, E., Fourie, A. 2005. Handbook on mine fill Perth, Australia: Australian Centre for Geomechanics.
Rahmat, M.A., Ismail, A.F., Aziman, E.S., Rodzi, N.D., Mohamed, F., Abdul Rahman, I. 2022. The impact of unregulated industrial tin-tailing processing in Malaysia: Past, present and way forward. Resources Policy, vol. 78, p. 102864. https://doi.org/10.1016/J.RESOURPOL.2022.102864
Samiratou Yaya, N., Cao, S., Yilmaz, E. 2025. Innovative reinforcement: Assessing strength features of waste microplastics reinforced backfills in sustainable mine waste management. Construction and Building Materials, vol. 460, p. 139744. https://doi.org/10.1016/j.conbuildmat.2024.139744
Sheshpari, M. 2015. A review of underground mine backfilling methods with emphasis on cemented paste backfill. Electronic Journal of Geotechnical Engineering, vol. 20, no. 13, pp. 5183–5208.
Sindhunata, Van Deventer, J.S.J., Lukey, G.C., Xu, H. 2006. Effect of curing temperature and silicate concentration on fly-ashbased geopolymerization. Industrial and Engineering Chemistry Research, vol. 45, no. 10, pp. 3559–3568. https://doi.org/10.1021/ie051251p
Thompson, B.D., Bawden, W.F., Grabinsky, M.W. 2012. In situ measurements of cemented paste backfill at the Cayeli Mine. Canadian Geotechnical Journal, vol. 49, no. 6, pp. 755–772. https://doi.org/10.1139/t2012-040
Ting, W.K., Hasan, A., Sahdi, F., Taib, S.N.L., Sutan, N.M., Aziz, B.A., Fourie, A. 2020. A narrow wall system to capture temperature stress–strain behavior in paste backfill. Geotechnical Testing Journal, vol. 43, no. 2, pp. 310–324. https://doi.org/10.1520/GTJ20170383
Ting, W.K., Hasan, A. 2023. Stress behaviour of cemented paste backfill within temperature controlled stope model. International Journal of Mining, Reclamation and Environment, vol. 37, no. 7, pp. 996–1015.
https://doi.org/10.1080/17480930.2022.2142423
Vlachogiannis, I., Benardos, A. 2024. Proposed formulas for pillar stress estimation in a regular room-and-pillar pattern. International Journal of Rock Mechanics and Mining Sciences, vol. 180, p. 105826.
https://doi.org/10.1016/j.ijrmms.2024.105826
Walske, M.L. 2014. An experimental study of cementing paste backfill. PhD thesis, The University of Western Australia, Australia.
Widisinghe, S., Sivakugan, N. 2014. Vertical stresses within granular materials in containments. International Journal of Geotechnical Engineering, vol. 8, no. 4, pp. 431–435.
https://doi.org/10.1179/1939787913Y.0000000031
Wu, A., Wang, Y., Zhou, B., Shen, J. 2016. Effect of initial backfill temperature on the deformation behavior of early age cemented paste backfill that contains sodium silicate. Advances in Materials Science and Engineering, vol. 2016, p. 8481090.
https://doi.org/10.1155/2016/8481090
Wu, D., Liu, L., Yilmaz, E., Zheng, S. 2025. Numerical prediction of strength and temperature changes within cemented paste backfill considering barricade stability. Engineering Science and Technology, an International Journal, vol. 62, p. 101966. https://doi.org/10.1016/j.jestch.2025.101966
Xue, Y., Mishra, B., Gao, D. 2018. Laboratory study on the time-dependent behavior of intact and failed sandstone specimens under an unconfined condition with the relaxation test. International Journal of Rock Mechanics and Mining Sciences, vol. 110, pp. 210–217. https://doi.org/10.1016/j. ijrmms.2018.08.011
Yan, B.X., Jia, H.W., Liu, Y.L., Liu, P.H., Yilmaz, E. 2025. Revealing cooperative load-bearing mechanisms between mine backfill and rock pillar using a bonded-block modeling approach. Minerals, vol. 15, no. 3, p. 210. https://doi.org/10.3390/min15030210
Yan, B., Lai, X., Jia, H., Yilmaz, E., Hou, C. 2021. A solution to the time-dependent stress distribution in suborbicular backfilled stope interaction with creeping rock. Advances in Civil Engineering, vol. 2021, p. 5533980. https://doi.org/10.1155/2021/5533980
Yan, B., Zhu, W., Hou, C., Guan, K. 2019. A three-dimensional analytical solution to the arching effect in inclined backfilled stopes. Geomechanics and Geoengineering, vol. 14, no. 2, pp. 136–147. https://doi.org/10.1080/17486025.2019.1574031
Yilmaz, E., Belem, T., Benzaazoua, M., Bussière, B. 2010. Assessment of the modified CUAPS apparatus to estimate in situ properties of cemented paste backfill. Geotechnical Testing Journal, vol. 33, no. 5, pp. 351–362. https://doi.org/10.1520/GTJ102689
Yilmaz, E. 2018. Stope depth effect on field behaviour and performance of cemented paste backfills. International Journal of Mining, Reclamation and Environment, vol. 32, no. 3, pp. 273–296. https://doi.org/10.1080/17480930.2017.1285858
Zhang, C., Liu, G., Tian, S., Cai, M. 2023. Passive soil arching effect in aeolian sand backfills for grillage foundation. Sensors, vol. 23, no. 19, 8098. https://doi.org/10.3390/s23198098
Zheng, J., Li, L. 2019. A solution to estimate stresses in backfilled stopes by considering self-weight consolidation and arching. Proceedings of the 8th International Congress on Environmental Geotechnics Volume 3, ICEG 2018. Environmental Science and Engineering. Springer, Singapore. https://doi.org/10.1007/978-981-13-2227-3_22 u


Affiliation:
1Dynamic Physics Consultants, South Africa
2AECI Mining Explosives, South Africa
Correspondence to:
T. Szendrei
Email: szendrei@icon.co.za
Dates:
Received: 12 Mar. 2025
Revised: 11 Nov. 2025
Accepted: 27 Nov. 2025
Published: January 2026
How to cite:
Szendrei, T., Tose, S. 2026. Flyrock in surface mining–part 4. Adaptation of Gurney model to predict burden velocity, flyrock velocity, and explosive energy partitioning in bench blasting. Journal of the Southern African Institute of Mining and Metallurgy, vol. 126, no. 1, pp. 13–22
DOI ID:
https://doi.org/10.17159/2411-9717/3690/2026
ORCiD:
T. Szendrei
http://orcid.org/0000-0002-5693-7850
S. Tose
http://orcid.org/0000-0002-2514-5308
by T. Szendrei1, S. Tose2
Abstract
The Gurney approach to explosive/inert material interaction was adapted to analyse the face velocity in bench blasting. The model is based on the blasthole diameter, rock and explosive density, burden, spacing, linear charge density, and the Gurney energy constant. It is validated by comparing its predictions with a set of 20 field measurements of face velocities reported by Chiappetta et al. (1983) in an iron ore mine. The Gurney model links the observed large scatter of measured face velocities to the variation of the Gurney energy constant. This in turn is linked to the variability of the gas pressure acting on the burden. These variable pressures are generated when detonation product gases migrate into the extensive and complex fracture network around and between in-row blastholes.
The energy efficiency of burden movement can be derived from the model. It is shown that ~7% of the explosive’s chemical energy is available for gas expansion work on the burden; of this quantity, 36% is actually converted to burden kinetic energy. That is, less than 3% of chemical energy is ultimately expended in burden displacement and throw. The model further indicates that the projection of high-velocity (say, 100 m/s) flyrock is possible only when the path of least resistance through the burden has an effective density far less than the host rock. An equation is derived that identifies the combinations of burden and path density that may yield flyrock. These values are specific to a particular baseline blast design.
Keywords gas expansion work, Gurney energy, burden velocity, flyrock, energy partitioning, rock fracture
Introduction
Szendrei and Tose (2022) demonstrated through aeroballistic calculations of trajectories with air drag resistance being included, that the throw of flyrock beyond the safety zone of a surface mine (500 m) would require high projection velocities that previously postulated sources of flyrock, such as shock and stress wave action and airblast, cannot provide. It is common practice to set mine safety zones at 500 m. This value is based on the South African Health and Safety Act (1996), which stipulates that various actions must be taken by the mine prior to blasting within 500 m of structures of concern. Thus, it is used as a reference when determining flyrock risk zones.
It was further pointed out that high velocities of 100 m/s and more can only be attained by gas piston action following the conversion by detonation of the charge load in the blasthole to a high-pressure gas. Gas expansion work transfers momentum (impulse) and kinetic energy to the fractured rock at three recognised sources of flyrock − movement of burden and possible faceburst, stemming ejection and rifling, and cratering of hole collar. The forward movement of the free face in bench blasting has been the subject of many studies because it provides important information about explosive performance and its interaction with the rock mass (Noren, 1956; Petkof et al., 1961; Lemesh, Pozdnyakov, 1972; Chiappetta et al., 1983; Segarra, 2003; Zhang et al., 2021). While it is well-established that under typical conditions, face velocities are in the range of 2 m/s to 30 m/s, the mechanism of face movement has not been established in quantitative terms that display the underlying physics.
Various attempts have been made to correlate face velocity with particular details of blast design, and explosive and rock properties. A prime example of this empirical approach is the work of Segarra (2004). This study derived correlations of 20 blasting parameters with face velocities measured opposite the blastholes in 8 production blasts. These parameters comprised the geometrical details of the blastholes and drilling patterns, charge load and powder factors, explosion detonation properties, chemical and
useful energies, and intra-hole timing. Three statistically significant correlations were identified. One was a positive correlation with stemming length (Pearson’s r=0.64); the other two correlations were based on in-row timing delays. Paradoxically, the strongest correlation (r=0.86) indicated that, as the cooperation between blastholes decreases with increasing delay times, the face velocity increases. The difficulty in explaining the influence of stemming length and delay timing on initial velocity led Segarra (2004) to conclude that the derivation of a formula for face velocity based on correlation with known and measurable blast details was not feasible.
A semi-quantitative physical model for face movement was described by Szendrei and Tose (2023). The large variation of the charge-to-rock mass ratio that may arise for various reasons in localised areas of the face was proposed as the underlying cause of high velocity rock ejection from the face. In this study, the details of the proposed burden movement model are mathematically elaborated within the conceptual framework of the Gurney approach. Although this model is primarily intended to provide an interpretation of the displacement and throw velocity of burden rock, it is general enough to allow predictions of flyrock under unusual, but nonetheless plausible, combinations of blasting parameters.
movement
Basic features – field observations
The advent of high speed photography has dispelled the long-held belief that the bench face is blown out immediately upon detonating the shotholes. In fact, there is a distinct time lag after detonation when nothing is visible on the face. Noren (1956) identified this time lag when blasting 15-tonne granite blocks with a single 1.8 m × 32 mm hole, bottom filled to a height of 1 m with cartridged dynamite. Noren (1956) detected face movement opposite the charge column with an electromechanical device that was capable of measuring the outwards movement of the face in increments of 3 mm at first, then in increments of 13 mm up to a maximum distance of approximately 1 m. The measurements revealed two important characteristics of burden movement: (i) the time required for the first movement was approximately seven times longer than the transit time of the shock and seismic waves through the burden; and (ii) the face acquired its final velocity within a displacement of 10 mm–20 mm, irrespective of the amount of burden tested (0.18 m–0.53 m).
Noren’s observations were confirmed by Petkof et al. (1961) in full-scale blasting at three quarries (granite, marble, and limestone). Using high-speed photography at 1000 frames per second (fps) in close-up mode on selected small areas of the face, they tracked the movement of the face to a maximum displacement of about 1 m. The results, as presented in the time-distance plots clearly display the two features noted by Noren (1956): First movement was detected at lag times of 12 ms to 41 ms, which are approximately ten times longer than the transit times of seismic waves; thereafter, the face continued to move at a constant velocity.
A comprehensive study of lag time was reported by Lemesh and Pozdnyakov (1972) by performing a kinematic analysis of the lateral displacement of the face based on 1000–2500 frames per seconds (fps) photography. This study was described in greater detail by Hustrulid (1999) after clarifying the terminology of the Russian source. Measurements were recorded in 14 blasts in an open pit nickel mine with 200 mm diameter holes at 5 m to 9.5 m
spacing and variable burdens of 4.9 m to 11.3 m. There was no visible change on the face for 15 ms to 40 ms after detonation and its surface remained at rest. In no instance was gas venting observed before the burden started to move ahead. Although the widening of existing cracks and the formation of new cracks were observed as the forward movement of the face continued, gas venting was only observed in the case of exceptionally small burdens. The tests were repeated in other areas of the pit in four rock formations with varying degrees of blast resistance. The burden was kept constant at 6.2 m ± 0.5m. The lag times averaged for 7 to 14 tests in each formation decreased with increasing rock resistance and varied from 3.3 ms to 5.3 ms per metre. Following the detection of initial movement, the face velocity remained essentially constant.
Lemesh and Pozdnyakov (1972) noted that the absence of acceleration of the rock mass after its initial movement indicates that there was a rapid drop of gas pressure acting on it. This line of interpretation can be extended to indicate that gas pressure forces were the most active in the quiescent period when the rock mass acquired its initial (and maximum) velocity. Based on this interpretation, the conversion of gas internal energy to burden kinetic energy commences during the quiescent period and goes to completion soon after first movement is detected due to the rapid increase of gas volume as the burden block is displaced ahead.
In a very detailed report, Chiappetta et al. (1983) described the use of motion picture photography at 250 to 500 frames per second as a dynamic tool in surface mines to evaluate, among other uses, explosive efficiencies in relation to burden velocity. Lightweight markers placed on the face were tracked to lateral distances of up to 15 m. From these measurements of displacements at known times the profile of the face could be reconstructed over a range of about 1000 ms. Two important features of burden motion were established:
➤ The time lags to the first motion were in the range 23 ms – 53 ms and the overall average time delay was 3.3 ms per metre of burden, which was essentially the same as that reported by Lemesh and Pozdnyakov (1972);
➤ Individual markers on the face remained at a constant velocity for up to 3 m over a time span of approximately 1000 ms.
A further conclusion that can be drawn from the report is that the face and burden blocks moved as a whole despite the often wide differences in the velocities over the face between the crest and grade. Despite the differential movements, wholesale venting of gas was only evident at late times, 700 ms – 1000 ms, when the whole face was obscured by dust, fumes, and broken rock as the burden block fragmented into various sizes.
As a prelude to the derivation of a predictive model, the process of burden movement can be conceptualised as follows. Following the detonation of the blasthole charge, no response is detected on the face for a period of 15 ms to 60 ms, depending mostly on the burden thickness and much less on the rock mechanical properties. Thereafter, and quite abruptly, the face moves ahead at some velocity, usually in the range of 3 m/s to 30 m/s, with the specific value depending mostly on the burden thickness. No gas venting has been observed at the onset of burden movement. The initial velocity of the face at first detection of movement does not undergo change (acceleration) and remains constant, at least over the first few metres of displacement where velocity is generally measured. The vertical profile of the face remains intact until it fragments into
various sizes. At this time, and depending on its initial velocity, the face and the whole rock mass may have advanced up to 10 m from their original location on the bench.
The importance of the burden for determining both the duration of the quiescent period and the initial velocity, which is also the maximum velocity, of the face can be understood on the basis that the burden defines the mass per unit area of the face. This mass is acted upon by the gas pressure resulting from the explosion of the charge load and acquires its initial velocity. The fact that it has been almost impossible to detect an acceleration phase–which, if it exists, must occur in the first 50 mm to 100 mm of burden movement as some measurements suggest−indicates that momentum transfer to the burden is accomplished mostly during the quiescent period. This mode of momentum transfer over an extended period of time does not depend on shock and stress wave action. The generation of these waves would occur concurrently with the radial expansion of blastholes, that is, within 1 ms as calculated by Szendrei and Tose (2024). The phase of stress wave action would dissipate long before the commencement of burden motion.
The central problem of any burden movement analysis is, first, to define the amount of explosion energy that is converted to the kinetic energy of the burden and, second, to determine how the details of blast design and rock mechanical properties influence the efficiency of this energy conversion process. A related problem –and the ultimate focus of the present study – is the understanding of how flyrocks with much higher velocities than the bench face may be generated during the forward displacement of the burden. This study shows that the mass movement of rock can be analysed in terms of the Gurney model of explosive interaction with inert materials when it is suitably adapted to the geometry of the bench. This model is also capable of identifying the combinations of rock and explosive charge that will allow the generation of flyrock from small, localised areas of the face.
Gurney model for bench blasting
A physical model for the interaction of a quantity of explosive with an inert body in contact with it that is widely utilised in various technological fields is the so-called Gurney concept. The core element of the Gurney approach is that only a certain fraction of the explosive energy that is liberated by detonation can be converted to mechanical work on the inert body. The second key element is that the terminal velocity of the explosive-driven mass can be derived, based on momentum and energy conservation, when the internal energy of the detonation gases is converted by expansion work to the kinetic energy of the driven mass (Jones et al., 1980). The calculated values are accepted as providing excellent engineering approximations within 10% (and often much better) of measurements of the impulse and velocity of projected materials (Kennedy,1970; Walters, 1986).
The Gurney approach has found widespread application in the explosives and rock mining industries as the cylinder test (Esen et al., 2005; Trzcinski, Cudzilo, 2001) This test measures the conversion of gas internal energy to cylinder wall kinetic energy, and is generally acknowledged as a more accurate measure of the potentially useful energy of explosive compositions than traditional techniques, such as the pond test or various measures of strength. The Gurney energy (EG) is a characteristic property of every explosive composition and is expressed as a specific energy, MJ/kg.


A related parameter is (2EG)1/2, which has units of velocity (m/s), and is directly related to the projection velocity imparted to inert bodies.
While the Gurney approach can be applied to a large variety of explosive-inert body combinations in planar, cylindrical, and spherical symmetry, the geometrical arrangement that is most relevant to bench blasting and the movement of the burden is the so-called flat asymmetric sandwich. A schematic illustration of such a combination is shown in Figure 1.
The designations C, M, and N as charge mass, plate mass, and tamper mass, respectively, are standard terminology. Conventionally, it is the velocity of the metal plate that is of importance. The tamper N is used for charge confinement in order to enhance momentum transfer to the plate M. It is important to note that in this configuration C, M, and N are defined as mass per unit area.
The Gurney method does not place any limits on the absolute values of M and N that may be associated with a given charge. This allows the re-interpretation of the parameters C, M, and N when applied to surface bench blasting, as illustrated in Figure 2.
The ‘plate’ M represents the bench of which the mass is effectively infinite and thus, immoveable. The forward velocity VN of the ‘tamper’ is now of interest; it is identified with the moveable burden mass, which is driven ahead by a row of blastholes containing the charge C.
In the following section we adopt the Gurney model as a working hypothesis, define the appropriate input values for M, C, and N, and examine the predictions of the model.
Gurney prediction of burden velocity
The general equation for ‘plate’ velocity moving to the left in Figure 1 (Kennedy, 1970; Walters, 1986) is:

This expression can be greatly simplified when M/C tends to infinity and N/C is much greater than 1, as illustrated in Figure 2 (Conner, Quong, 1993; Cooper, 2004):

[1]
[2]
When Equation 2 is applied to a bench, the tamper mass N can be replaced with the burden mass MB, and the velocity VN with the burden velocity VB. A further simplification is possible; the factor ⅓ can be dropped because the burden mass is much larger than the charge mass. Thus,

Cooper (2004) extensively used Equations 1 and 2 in a theoretical and experimental investigation of explosive-driven propulsion systems. In that study, very large ratios of MB/C and N/C up to 106 and beyond were considered. The mass ratios in conventional surface blasting are well within these limits.
Given the mass of the burden and its velocity, its momentum is simply MB x VB. A parameter of greater fundamental interest is the specific momentum, that is, momentum transferred per unit mass of explosive. It is also related to the Gurney energy EG in the following way:

[3]

observations of the forward movement of the whole burden as a coherent mass for times that are much longer (~1 second) than normal intra-hole delay times.
The issue of explosion energy and burden kinetic energy is considered in the following.
Rock mass MB
In the geometry of the flat sandwich shown in Figure 1, MB and C are mass values per unit area of the face. When applying the Gurney model equations to a bench blast, it is convenient to express M and C in terms of the blast design parameters. Figure 3 defines the volume of rock acted upon by a one-metre segment of a charged blasthole.
[4]
Equations 3 and 4 constitute the Gurney model for burden movement. A similar approach was described by Roth (1979) who noted the analogy between the projection of metal plates and fragments by explosives and the throw of burden rock. Roth (1979) was unable to fully develop a predictive model for two reasons. The first was the inability to reconcile the C/M ratio as required by the Gurney model with the more familiar blasting parameter of the powder factor. The issue of defining an appropriate value for the Gurney energy constant was also problematic.
The same problem of defining the appropriate energy value for burden movement was noted by Zhang et al. (2021). These authors based their model on the conversion of explosion energy (ΔHd) (often called chemical energy or heat of detonation) to burden kinetic energy (EKB). This model is summarised by the following equation:

[5]
The burden mass MB was calculated as the mass of a prismatic volume of rock displaced by the explosion of a single blasthole. The factor ∝B is an empirical coefficient lying between 0.02 and 0.12 and defines the fraction of explosion energy converted to rock kinetic energy. This model conceptualises burden movement as a succession of ‘facebursts’ from grade to stemming, as each blasthole detonates and displaces a prismatic volume of rock, each in isolation from any influence of stress waves and gas action from adjacent holes. This concept is difficult to reconcile with well-documented
The volume of rock ultimately moved by the 1 m segment of charge is represented by the parallelepiped of volume equal to (Sx1xBt) m3. Here S is the spacing, and Bt is the burden at a specific location on the face where a marker or target has been placed opposite a blasthole. This yields a definition of the ‘plate’ mass to be used in the Gurney model as:

ρr is the in situ rock density, which is assumed to be a known constant for the purposes of establishing a baseline Gurney model.
The charge mass associated with the movement of the burden mass is the linear charge density (kg/m). This value may be taken to be equal to the nominal linear charge as defined in the blast design. A more reliable value can be derived from the charge load in a given column height and the hole diameter. The latter is preferable as it is well known that the actual charge load in a hole may deviate significantly from the design value. The above definitions of burden and charge mass recognise the fact that flyrock is projected from specific, small areas of the face and the parameters MB and C that determine rock projection velocity may vary from place to place on the face on the scale of metres. Therefore, the powder factor, which is conventionally reported as a measure of the total mass of broken rock, is a coarse estimate of C/MB at any given location on the face and would be incapable of identifying the presence of exceptionally under-burdened areas. A more appropriate definition of the powder factor is to restrict the MB to the rock mass present between the grade and top of the charge column. This may be referred to as the adjusted powder factor.
The magnitude of the energy constant, EG, appearing in Equations 3 and 4 is not the same as the Gurney energy as defined in the section: Gurney model for bench blasting, where it was identified as a certain fraction of the chemical energy released by detonation of the charge. Approximately 50% of this energy is dissipated during the blasthole expansion in the immediate aftermath of detonation (Szendrei, Tose, 2024). At the conclusion of hole expansion (which occurs in less than 1 ms), the remaining fraction of the initial Gurney energy is present as the latent work capacity of the explosion gases that are still contained within the expanded holes. In ways that are not well understood, the trapped gases split the first row of blastholes from the bench as a block and impart sufficient impulse to this block to propel it forward at velocities that have been measured.
In the absence of any clear understanding of how burden movement is initiated, it is not possible to assign a credible value to the effective Gurney energy (denoted as EGB for clarity in the following analysis) responsible for its forward propulsion, except to note that it is expected to be substantially less than the explosive’s characteristic Gurney energy EG, which is approximately 2 MJ/kg across a wide range of blasting agents (Esen et al., 2005). A more accurate estimate of its value can be obtained using the Gurney model to examine the relationship between the face velocity and adjusted powder factor.
Such an analysis was conducted on the face velocity measurements reported by Chiappetta et al. (1983) in an iron ore mine. These authors used a photogrammetric method to determine the displacements of various targets placed on the bench face. An especially useful aspect of the reported results is the wide range of burdens considered (5 m to 26 m) while keeping the hole diameter (381 mm) and hole spacing (8.5 m) constant. The resulting scatter plot of Y = VB versus X = √ (adjusted powder factor) is shown in Figure 4, where the X-label refers to the adjusted √C/M calculated according to the definitions given in the above for the blastholes.
Despite the large scatter of velocity values, a distinct trend of increasing velocity with increasing values of √C/M is evident.
The Pearson’s r-correlation statistics are: N=20, r = 0.8535, t 0 .001, 20 = 0.679, p-value <0.001. If the uppermost point at 26.5 m/s is discarded as an outlier, r improves to 0.8803. The p-value indicates that the probability of obtaining the observed correlation coefficient of 0.8535 by chance is less than 0.1%.
Despite the highly significant value of the correlation coefficient, the value of r does not indicate the nature of the relationship between VB and √C/MB. Pearson’s coefficient of determination (r2) addresses this question by evaluating the correlation based


on a particular functional relationship. The least-squares linear regression line for the data points shown in Figure 4 is displayed in Figure 5. This line is defined by a 2 parameter linear equation based on the slope and the Y-intercept, that is:

The top-most point at 26.5 m/s in Figure 4 was removed as an outlier.
The regression statistics are:
N = 19
Regression slope = 740.75 m/s
Y-intercept = 7.17 m/s
Coefficient of determination r2 = 0.7749
Standard error of slope = 97.6 m/s.
Formally, r2 is the fraction of the variation of measured velocities that is removed by the regression model. Given the standard error of the slope, the t-statistic can be calculated by dividing the slope by its standard error. This yields t = 7.592. At N-2 = 17 degrees of freedom, standard statistical tables yield the following t-values at 95% and 99.1% levels of confidence:
t0.05, 17 = 2.110; t0.001,17 = 3.965. Hence, the probability of obtaining a value of t equal to 7.592 by chance is less than 0.001. By convention, probabilities ≤ 0.05 are deemed to be significant. Thus, we may conclude that there is statistically significant evidence that a linear correlation exists between VB and √C/MB. The plot of the residuals (differences between the measured and predicted velocity values) supports this conclusion. There is no systematic deviation from zero slope, that is, the variations in VB are evenly distributed above and below the expected values.
The slope of the regression line, 741 m/s, is as expected – it is about half or less of the explosive’s Gurney velocity constant, which ranges from 1600 m/s to 2200 m/s for a wide variety of commercial blasting agents (Esen et al., 2004). However, the strong correlation indicated by the r2- and t-values does not identify or explain the source of the large scatter of VB values, which is evident in Figure 5. Assuming that under normal blasting conditions the values of C and M do not vary by more than 10% from the nominal blast design values, the fractional error in VB is expected to be approximately 14%. This is far less than the dispersion observed in Figure 5. Deviations from expected velocity values are 20% to 40% (the deleted point at VB = 26.5 m/s showed a 53% deviation). To gain physical insight into such large deviations, it is necessary to examine the possible variability of the remaining factor of Equation
3, namely, the effective Gurney velocity constant √2EGB. Using Equation 3, the value of this constant determines the predicted value of VB at a given value of √C/M and any variation in its value would result in a proportionate change in VB. The value of √2EGB and its variability are considered in greater detail in the section Energetics of burden movement.
Gurney model interpretation of burden movement
Flyrock from the face
It will be noted from Figure 5 that all measured and predicted face velocities are below 20 m/s. When Equation 7 is applied for the prediction of flyrock velocities (greater than 100 m/s, say) with √2EGB = 741 m/s face velocity would be attained at a C/M ratio of 0.0209. This is 33-times higher than the average C/MB value (0.00063) reported by Chiappetta et al. (1983) when blasting iron ore. Substantial deviations of C/MB values that are known to occur in the field would, at worst, double burden velocities. For instance, when a blasthole intersects a cavity, the linear charge mass could possibly double locally, and the burden mass may halve in similarly localised areas due to the presence of a path of weakness through the burden or to overdigging of the face. Although major, these deviations would increase the face velocity only by a factor of 2, as shown in Equation 3.
It is evident that the blast design value of C/MB can be increased by a factor of 10 or more only through drastic, and unanticipated, reductions in the burden mass. However, the occurrence of farflung flyrock requiring a projection velocity of 100 m/s or more from the face, is well documented. This conundrum necessitates a closer examination of the blast parameters that determine the value of C/MB
Equation 3, for face velocity, can be expanded to explicitly show the contributions of charge load, blast pattern, and rock density in terms of the following blast parameters:
d blasthole diameter, m
Le charge column height (above grade), m
ρe explosive density, kg/m3
Bt burden, m
S spacing, m
ρr nominal rock density, kg/m3
√2EGB adjusted Gurney constant, m/s.
Based on these parameters, the charge-to-burden mass ratio can be defined as follows:

The face velocity associated with any combination of the above parameters is given by the following equation:

After cancelling out the parameter Le, the above equation can be rewritten in dimensionless form:

Equation 10 is derived in System Internationale Units (SI) and the use of customary units such as mm, cm3, litres, calories or pressures quoted as atmospheres, bars, kg/m2, MPa, etc., will yield incomprehensible results. Because it is dimensionless, Equation 10 is valid in any consistent set of units. The values of d, S, and ρe are more or less constant for a given blast design. In comparison, the parameters Bt and ρr are potentially far more variable over a much wider range of values when evaluated over relatively small areas on the face.
By squaring Equation 10 and extracting Bt ρr, the following expression is obtained:

Equation 11 defines the combinations of Bt and ρr required to attain a specific Gurney projection velocity, VB. The combination of Btρr has units of kg/m2. It can be interpreted as indicating the mass contained in a path of length Bt through the burden of 1m2 crosssectional area. This interpretation permits the generalisation of both Bt and ρr.
Burden is generally defined as the shortest horizontal distance from the face to the nearest part of the explosive column. However, in Equation 11, Bt can be considered as the path of least resistance from the blasthole to the face, which may not necessarily be horizontal, and along which the material density may be far less than the nominal rock density. An effective density may, for instance, arise due to the presence of soft strata, clay, mud, water, or fissures. This interpretation of Bt and ρeff is particularly useful when conceptualising a faceburst as a source of flyrock – an eruption of rock from a small, localised area of the face, which is particularly underburdened. It is not possible to state what the individual values of Bt and ρeff are at any particular location on the face, but it is possible to state what combinations of their values would potentially yield flyrock velocities.
Table 1
Maximum burden and effective density combinations to yield 100 m/s flyrock
Effective burden density kg/m3
√2EGB =741 m/s
Maximum burden (m)
*clay ** mud *** water **** fissure
As an illustrative example, Equation 11 is applied to the prediction of flyrock from blasting iron ore (Chiappetta et al., 1983). The required blast parameters are as follows: d = 0.381 m, S = 8.5 m, ρr = 3400 kg/m3, ρe = 1150 kg/m3, √2EGB = 741 m/s. Flyrock velocity to be generated is 100 m/s. The predictions of maximum allowable burden at various effective path densities are listed in Table 1. Table 1 indicates that the critical or maximum allowable burden increases rapidly when the effective density drops below approximately 1500 kg/m3. This suggests that when the open fissure condition is approached and the material in the path of gas expansion possesses low inertial resistance (mass), the resultant flyrock velocity may attain 100 m/s.
The slope of the regression line (Figure 5) is 740.75 m/s. According to Equation 7, the slope is equal to √2EGB. This equality yields a value of 0.274 MJ/kg for the modified Gurney energy, EGB As previously mentioned, following the radial expansion of the blasthole, the remaining mechanical energy of detonation product gases would be less than half of its original value (Szendrei, Tose, 20022). The fraction of the explosion chemical energy that is converted through gas expansion to burden kinetic energy has been the object of many studies (Spathis, 1999; Ouchterlony et al., 2003; Segarra, 2004; Zhang et al., 2021).The Gurney model permits the derivation of an explicit algebraic equation that defines the efficiency of this energy conversion. The efficiency may be defined as the ratio of the kinetic energy acquired by the burden to the energy released by the detonation of the column charge, that is: [12]

Here MB is the burden mass acted upon by an explosive charge C possessing a specific chemical energy of ΔHd (J/kg). As before, both MB and C are evaluated per unit length of the blasthole. By introducing the Gurney energy present in the expanded blasthole (EGB) as the internal energy of the detonation product gases, Equation 12 can be rearranged as follows:


The first term in square brackets is the fraction of the Gurney energy converted to the kinetic energy of the burden. The second term is the ratio of the Gurney to the chemical energy of the explosive. Thus, the efficiency of energy transfer to the burden is determined by two energy constants of the charge – specific chemical energy (ΔHd) and the specific gas internal energy (EGB), which is available for gas expansion work on the burden.
Based on Figure 5, the required parameters for the evaluation of Equation 13 can be defined as follows:
√2EGB is given by the slope of the regression line, 741 EGB can be derived by solving the equation √2EGB = 741. It is 0.2745 MJ/kg
The MB/C ratio can be identified by noting that a regression line with linear X- and Y-axes always passes through the coordinates (Xmean, Ymean). Using the data in Figure 5, with X = √(C/M) and Y = VB, the respective averages are 0.0251 and 11.45 m/s. By
manipulation of the Xmean value, the appropriate burden-to-charge mass ratio MB/C can be derived as 1587.
The predicted value of energy efficiency ε1 by Equation 13 is then 0.0258 or 2.6% of the explosive’s chemical energy (4 MJ/kg).
A similar value is obtained when energy transfer to the burden is calculated directly from field measurements by making use of Equation 12 to convert measured burden velocities to kinetic energy at each location of a target on the face. Using the velocity measurements of Chiappetta et al. (1983) in combination with blast pattern details, it is possible to define the burden mass (MBt) and charge mass at 20 target (t) locations. These empirical quantities permit another estimate of the efficiency factor (ε2) to be defined as: [14]

The summation is taken over 20 targets (t). Ct and MBt are particular values of charge and burden mass at each target calculated for 1 m of charge column and ε2 is the energy efficiency averaged over the bench face. Equation 14 yields an efficiency of ε2 = 0.0269 (2.7% ΔHd). The individual values of energy conversion ranged from 0.6% to 5.6% with a standard deviation of 1.8%.
The close correspondence between the Gurney model-based and empirical efficiencies indicates that they can provide a reliable estimate of the energy transfer to the burden. An advantage of the Gurney model, Equation 13, is that the parameters MB and C can be evaluated in terms of the blast design details (Equation 8). This permits the determination of the relative influence of d, ρe, ρr, S, and B upon energy utilisation in burden movement.
Discussion
Gurney model – mechanics of burden movement
The Gurney model yields a deceptively simple formula (Equation 3) for the velocity of rock thrown from the face, which comprises just 3 parameters, namely: a Gurney constant, √2EGB; charge mass, C, and burden mass, MB. This simplicity is deceptive because, although the mass ratio C/M can be defined in terms of field measurements of the charge load and bench geometry, defining the parameter √2EGB is more problematic. In the Gurney model,√2EGB arises as a measure of the explosion energy that can be converted to rock kinetic energy by gas expansion work. Measurements of the terminal effects of this expansion work – face velocity and burden kinetic energy – show that the energy conversion process is highly variable across the face in any given blast. The ability of the Gurney model to predict burden velocity, and hence momentum, based on the mass of the burden implies that it is predominantly inertia alone, without any other mechanical property, that determines the transmission of momentum and energy to the burden. As the relevant inertia corresponds to the full volume and mass of the rectangular block of burden rock, as illustrated in Figure 3, it may also be concluded that the burden moves as a whole.
The variability of √2EGB, which determines both the face velocity and burden momentum, will arise when the pressure forces driving the burden laterally are subject to large variations. In effect, each small area of the face, say, (S x 1) m2, as sketched in Figure 3, experiences a different pressure load. It is proposed here that the variable pressure forces are generated in the quiescent period after detonation and before the commencement of any measurable face displacement. In this period, which typically measures 3 ms to 4 ms per metre of burden, explosion product gases migrate from the enlarged blasthole into the extensive fracture network
that surrounds each blasthole. Following detonation, fracturing is caused by the interaction of reflected and multiply reflected stress waves from the face and from other possible free faces and material interfaces that may be present as geological anomalies in the burden. These stress waves overlap while propagating in different directions throughout the burden and create an unpredictable and complex pattern of fractures through tensile splitting. The propagation velocity of elastic stress waves in rocks is generally higher than typical detonation velocities of blasting charges, and fracture formation by reflected waves goes to completion before the burden mass starts to move.
The details of gas migration and its interaction with the complex network of tight fractures are not known, but in order to set the burden into motion, two processes must first occur. Firstly, the pre-fractured rock must undergo further crack extension and coalescence to ‘split’ the burden away from the bench. This process must clearly expend some energy. Secondly, there must be sufficient gas energy remaining, as measured by the factor √2EGB, to impart the velocities and kinetic energy to the burden such as are observed and measured. The transfer of momentum and energy to the burden is a process that ends more or less simultaneously with the onset of burden motion as no distinct period of acceleration has been observed. Thereafter the burden moves ahead at constant velocity, as field measurements have shown. A possible reason for the absence of a detectable period of acceleration is that a small displacement of the burden block, say 100 mm, is sufficient to drop the pressure to ineffective, low values. Such small displacements are at the limit of resolution of photogrammetric and high speed camera measurements.
Equation 10 defines a function linking the burden velocity to blast design parameters. On shifting the focus from an energy-based (√2EGB) interpretation of the Gurney model to a velocity-based interpretation, it is convenient to explicitly identify √2EGB as a characteristic velocity, VGB, associated with the expansion work imparted to the burden, i.e.,
√2EGB = VGB (m/s). Equation 10 can then be rewritten in dimensionless form as:

[15]
The trend of VB with particular elements on the right-hand side of Equation 15 can be deduced by inspection:
(i) The ratio of explosive-to-rock mass density is limited. Generally, ρe is in the range of 900 kg/m3 to 1250 kg/m3, and ρr in the range 2000 kg/m3–3400 kg/m3. After taking the square root, the range of the density ratio reduces to 0.5 to 0.8. Hence, the first two terms on the right-hand side can be treated as a constant. This is particularly true when blasting is carried out in the same geological formation with the same blasting agent. In this case, the reduced burden velocity is determined by the combination of d, B, and S, as in Equation 15. ii) This relationship can be expressed as a proportionality:

[16]
Replacing VGB with its definition, √(2EGB), the absolute value of burden velocity scales with the following expression:

Equation 17 encapsulates the sensitivity of VB to the blast pattern design. Four particular trends of VB with details of the blast design are readily apparent:
➤ For a given blast design, VB will always increase with increasing hole diameter.
➤ For a given hole diameter, rock type, and explosive, VB is inversely proportional to √(BS).
➤ For a given hole diameter and blast pattern (Bt x S), VB is directly proportional to the adjusted Gurney velocity, √2EGB, which varies with the type of blasting agent used.
➤ Blasthole spacing is generally related to the burden by a factor f such that 1< f < 1.25. Hence, √BtS = √f Bt2 ≈ Bt, that is, the burden velocity is inversely proportional to the burden (at a given hole diameter). The scaling relationship, Equation 15, then takes a particularly simple form:

where K is a constant for a given rock and explosive and for a constant burden-to-spacing ratio.
Considering Equation 17, the values of √(2EGB) across the face are far more variable than field values of burden and spacing, and would dominate the variability of VB. This is why it has not been possible to identify a simple equation linking burden velocity to usual blast and rock parameters. As Zhang et al. (2021) noted, burden velocities at more or less the same value of burden are highly variable. The difficulty is that the value of √(2EGB) is not directly related to the specific Gurney energy of the blasting explosive used. Its value at any particular location on the face is determined firstly by the energy loss experienced during blasthole expansion and secondly by a further loss when detonation gases migrate from the blasthole into the highly variable fracture network.
Based on the analysis of face velocities measured by Chiappetta et al. (1983), energy partitioning during the displacement of the burden can be summarised, as listed in Table 2.
The above energy partitioning is specific to iron ore blasting, but in broad details other rock types are expected to show similar behaviour. The most striking feature of energy partitioning is that a very small portion of the explosion energy is responsible for moving the burden block forward and casting it in a muckpile. The second striking feature is the large fraction (up to one-third) of the mechanical energy that is not accounted for. This large portion will obviously include the energy lost in ejecting the stemming and gas venting through the collar, bench top swelling, and cratering, as well as air and ground vibrations. Vibration energy losses are known to be relatively minor, not more than a few per cent of the chemical energy. It is unlikely that energy losses in the collar zone are more energy intensive than the kinetic energy of burden movement (ca. 0.1 MJ/kg). For the sake of definiteness, we estimated the consumption of gas internal energy in the quiescent period before burden movement to be ~0.5 MJ/kg-charge.
The Gurney model indicates that the projection of long-range flyrock, that is, rock missiles with velocities exceeding 100 m/s, is
Table 2
Partitioning of explosive energy in burden movement
Energy utilisation
Initial Gurney specific energy* 2.2
Blasthole expansion energy** 1.2
Gurney energy available for driving burden*** 0.275
Gas energy converted to burden kinetic energy*** 0.1
Residual Gurney energy at disintegration of burden*** 0.175
Mechanical energy unaccounted for**** 0.73
* 55% of 4.0 MJ/kg explosive chemical energy
** Calculated for iron ore by the cavity expansion model presented in Szendrei and Tose (2024)
*** As derived in this report
**** By difference from 2.2 MJ/kg.
possible only when the path of least resistance through the burden has an effective density far lower than the nominal density of the massrock. This implies that under normal blasting conditions, the throw of the fractured burden to form a muckpile would not yield flyrock. Such low effective densities may exist in weak strata or in the presence of open fissures. These geological anomalies are not predictable or easy to assess on the bench. The occasional ejection of high-velocity flyrock would carry away a miniscule quantity of the energy of explosion. Attempts to improve rock breakage by suppressing flyrocks, and thereby saving energy, are misplaced.
In summary, it is not overconfinement and excessive energy that leads to flyrock. Rather, it is underconfinement and lack of insufficient inertial resistance through the burden that allows the development of flyrock velocities from the burden.
The Gurney approach to burden movement yields reliable predictions of face velocities, provided the powder factor is suitably adapted to the geometry of the bench. When unplanned deviation of M and C from blast design values are exceptionally large or there are geological defects in the burden that present low inertial resistance to gas expansion, flyrock throw may occur. The model identifies the inertial mass per unit area, that is, Bρr, as the key parameter that determines the throw velocity of rocks from the burden.
In addition to the prediction of face velocity, the Gurney model yields physical insight into some of the lesser understood aspects of burden movement, such as:
➤ Conventional powder factor is not a measure of the propensity of a charge load to project flyrock from the bench face.
➤ The burden moves as a whole at some locally constant initial velocity.
➤ The initial velocity is acquired by an impulsive process, that is, without a significant, or even detectable period of acceleration.
➤ The post-detonation lag time to first movement is identified as the period when high pressure gases migrate out of the blastholes into the fractured burden. The Gurney model yields a rough estimate of gas internal energy expended during this process.
➤ The components of blast energy partitioning and their values relative to the chemical energy or the Gurney energy of the explosive are identified and evaluated.
➤ The observed large variability of face velocities is due to the random nature of the fracture network around and between the blastholes, which creates variable resistance to gas expansion into the fractured rock matrix and variable transfer of momentum.
Aside from the technical aspects of Gurney that provide a relatively simple and straightforward interpretation of burden movement, it can be used as a tool to manage flyrock risk. Flyrock is often a misunderstood area of blast management until an uncontrolled flyrock event occurs and creates a major impact. The objective of this series of papers has been firstly to focus the industry on the understanding of the root causes and sources of potential flyrock and enable daily management of blasting activities to minimise the potential for these events. The second is to provide a new focus on the risk assessment, providing alternative predictive models to those currently used to challenge the industry around the question: “Are we managing our risk in the best way?”
There are many new blast survey techniques, changes in explosives, and initiating systems that enable us to challenge the current risk assessments to manage the sources of flyrock and improved techniques in minimising the likelihood of such events. This is where the predictions of Gurney can be put into use, to provide better predictions in analysing the potential risk based on the individual mine sites and the conditions they face. Alternative ways of looking at the assessment of the risk have come into sharp focus with the publication of the recently Gazetted Explosives Regulations (Department of Employment and Labour, 2024). Following a potentially life-threatening incident, the risk assessment of the explosive process of concern must be revisited.
Chiappetta, R.F., Bauer A., Dailey, O.J., Burchell, S.J. 1983. The use of high speed motion picture photography in blast evaluation and design. Proceedings of 9th Annual Conference on Explosives and Blasting Technique, Dallas, TX, USA. International Society of Explosives Engineers, pp. 258–309.
Cooper, M.A. 2004. Impulse generation by detonation tubes. PhD Thesis. California Institute of Technology, Pasadena, CA, USA. Cooper, P.W. 1996. Acceleration, formation and flight of fragments. Explosives Engineering. Wiley-VCH, pp. 385–394.
Conner, M., Quong, A.A. 1993. Velocity of explosively driven liners. Tactical Missile Warheads, J. Carleone (ed.) Progress in Astronautics and Aeronautics, AIAA, Washington, DC. vol. 155, pp.199–222.
Department of Employment and Labour. 2024. Explosives Regulations, 2024. Government Gazette no. 50960, pp. 29–43, 23 July 2024, Republic of South Africa. https://www.gpwonline.co.za (accessed 16 September 2025).
Esen, S., Nyberg, U., Hiroyuiki, A., Ouchterlony, F. 2005. Determination of the energetic characteristics of commercial explosives using the cylinder expansion test. Swebrec Report No. 2005:1. Swedish Blasting Research Centre, Lulea University of Technology, Sweden.
Hustrilid, W. 1999. Principles for open pit mining, vol. 2. Theoretical Foundations. Balkema, Rotterdam, Chap.18, pp. 763–769.
Jones G.E., Kennedy J.E., Bertholf L.D. 1980. Ballistics Calculations of R.W. Gurney. American Journal of Physics, vol.48, no. 4, pp. 264–269.
Kennedy, E. 1970. Gurney energy of explosives: estimation of velocity and impulse imparted to driven metal. Report No. SC–RR–70–790. Sandia National Laboratories, Albuquerque, NM, USA.
Lemesh, N.I., Pozdnyakov, B.V. 1972. The kinematics of motion of ledge rocks in the zone of fracture during blasting. Soviet Mining Science, vol.8, no.4, pp. 388–391.
Noren, C.H. 1956. Blasting experiments in granite rock. Quarterly of the Colorado School of Mines. pp. 213–229.
Ouchterlony, F., Nyberg, U., Bergkvist, I., Lars G., Grind, H. 2004. Where does the explosive energy of rock blasting rounds go? Science and Technology of Energetic Materials, vol. 65, no. 2, pp. 54–63.
Petkof, B., Atchison, T.C., Duvall, W.I. 1961. Photographic observations of quarry blasting. Report of Investigations RI 5849, Bureau of Mines, U.S. Department of Interior.
Roth, J. 1979. A model for the determination of flyrock range as a function of shot conditions. Report No. NTIS PB81–222358, Management Science Associates (MSA), Los Altos, CA, USA.
Segarra, P. 2004. Experimental analysis of fragmentation, vibration and rock movement in open pit blasting. PhD Thesis, Universidad Politecnica de Madrid–E.T.S.I. Minas, Spain.
Spathis A.T. 1999. On the energy efficiency of blasting. Proceedings 6th International Symposium on Rock Fragmentation by Blasting. Symposium Series S21, South African Institute of Mining and Metallurgy, Johannesburg, pp. 81–90.
Szendrei, T., Tose, S. 2022. Flyrock in surface mining.–Limitations of current predictive models and a better alternative through modelling the aerodynamics of flyrock trajectory. Journal of the South African Institute of Mining and Metallurgy, vol.122, no. 12, pp.725–732. http://dx.doi.org/10.17159/2411–9717/1873//2022
Szendrei, T., Tose, S. 2023. Flyrock in surface mining–Part 2. Causes, sources and mechanisms of rock projection. Journal of the South African Institute of Mining and Metallurgy, vol. 123, no. 12, pp. 557–564. http://dx.doi.org/10.17159/2411–9717/2583/2023
Szendrei, T., Tose, S. 2024. Flyrock in surface mining – Part 3. Shock wave, stress wave, blasthole expansion. Journal of the South African Institute of Mining and Metallurgy, vol. 124, no. 9, pp. 491–500. http://dx.doi.org/10.17159/2411– 9717/3321/2024
Trzcinski, W.A., Cudzilo, S. 2001. The application of cylinder test to determine the energy characteristics of industrial explosives. Archives of Mining Science, Vol. 46, no. 3, pp. 291–307.
Walters, W.P. 1986. Explosive loading of metals and related topics. Special Publication BRL-SP-56. U.S. Army Ballistic Research Laboratories, Aberdeen Proving Ground, Maryland, USA.
Zhang, Zong-Xian, Chi, Li-Yuan, Yi, Changping. 2021. An empirical approach for predicting burden velocities in rock blasting. Journal of Rock Mechanics and Geotechnical Engineering, vol. 13, pp. 767–773. https://doi.org/10.1016/j.jrmge.2021.04.004 u


Affiliation:
1University of Toronto, Toronto, Canada
2University of Western Australia, Australia
Correspondence to: J. Hadjigeorgiou
Email: john.hadjigeorgiou@utoronto.ca
Dates:
Received: 24 May 2025
Revised: 3 Sept. 2025
Accepted: 14 Dec. 2025
Published: January 2026
How to cite: Hadjigeorgiou, J., Wesseloo, J. 2026. Challenges in the use of verbal probability expressions in communicating risk. Journal of the Southern African Institute of Mining and Metallurgy, vol. 126, no. 1, pp. 23–34
DOI ID:
https://doi.org/10.17159/2411-9717/3738/2026
ORCiD:
J. Hadjigeorgiou
http://orcid.org/0000-0002-6047-3964
J. Wesseloo
http://orcid.org/0000-0001-7124-2267
by J. Hadjigeorgiou1, J. Wesseloo2
Abstract
Mining companies employ a multitude of risk management tools. The effectiveness of these tools for decision-making and communicating risk has not been addressed. This paper investigates the use of verbal probabilistic expressions in communicating geomechanical risk. Analysing survey data obtained from a group of mining geomechanics professionals, it identifies limitations of common probabilistic expressions. The paper concludes by making specific recommendations to avoid the use of certain expressions that may result in increased uncertainty, thus compromising the use of risk management tools.
Keywords
mining geomechanical risk, verbal expression of probability, risk matrix
Introduction
A mining company is exposed to a multitude of risks, of which the financial risks include credit, liquidity, market, foreign exchange, interest, and commodity prices. In addition, it must address and mitigate operational, geomechanical, environmental, community, political, and reputation risks in an interconnected global economy. In a cultural shift change, since the 1990s, most mining companies now require some type of risk assessment for practically all mining activities. The International Organization for Standardization’s (ISO) guidelines on risk management (International Organization for Standardization, 2018) provides a template for a risk management process that can guide a mining company in developing fit for purpose guidelines, as illustrated by Figure 1.
The challenges associated with understanding, managing, and communicating geomechanical risk have been previously discussed by Hadjigeorgiou (2020). There are multiple tools that are used in all elements of risk management, including operational, ground control, and mine design. These include the use of risk registers and matrices. A risk register identifies the consequences of an event, ownership of risks, and how risks are to be allocated and controlled. In effect, they provide the basis for developing and implementing systems to manage and mitigate risks through contingency measures and controls. Risk matrices are also widely used at multiple levels within an organisation. This often includes a requirement that workers undertake a risk assessment prior to any activity. In addition, engineering is mandated to undertake a risk assessment of any critical design.

An integral part of any risk management process is an effective communication strategy. There are several challenges in using risk management tools, including the asymmetry of knowledge between the various stakeholders (Hadjigeorgiou, 2020). Another practical issue is the validity of the assumption that the risk management tools are well applied, interpreted, and communicated within an organisation.
The focus of this paper is the challenges in communicating levels of uncertainty between the various stakeholders of geomechanical risk. In particular, it investigates how mining risk professionals communicate quantitative and verbal probabilities. An experiment was conducted to address the consistency of and variations in how geotechnical professionals assigned a numerical value to verbal descriptors of uncertainty commonly used in mining engineering. The effectiveness of this process has significant influence on the quality of analyses and communication tools such as risk matrices. This has significant implications for all elements of mining beyond a geotechnical audience.
A common risk management tool is the use of a risk matrix, which is often recommended by both national, international, and corporate organisations. A risk matrix is a two-dimensional representation of the relationship between the likelihood and consequence or impact of an event. An example of a risk matrix is provided in Figure 2, where mining personnel are asked to assess the likelihood that an action or event, e.g., the installation of ground support under certain conditions, may result in an injury with different consequences, ranging from minimal to disability. The results are assigned to ranges of similar risk (e.g., high, medium, or low risk) and are often allocated colours (e.g., red for the highest risks to green for the lowest given risk); hence, the use of the term ‘heat map’. The implication is that high risk items will trigger a response that will require a specific mitigation action.
Appendix A provides ten more examples of risk matrices sourced from mining operations worldwide that are used to identify and communicate risk for geomechanical operational and design activities processes.
A risk matrix is perceived as an integral part of developing and implementing a risk‐management culture and people engagement. Risk matrices have become omnipresent and are used by workers to assess all activities, operations, engineering, consultants, and all levels of management. Risk matrices are sometimes used to provide guidance to employees on what is acceptable, and to guide the actions taken to manage the risk. Low-level risks are usually acceptable without any management involvement, while medium risk would require that management needs to be actively involved to ensure the risk is kept under control (Hadjigeorgiou, 2020).
According to Thomas et al. (2014), one of the perceived benefits of using risk matrices is its intuitive appeal and simplicity. They are supposedly easy to construct, easy to explain, and easy to

score. They might appear authoritative and intellectually rigorous. However, the development of risk matrices have taken place completely isolated from scientific research in decision-making and risk management (Thomas et al., 2014).
Risk matrices are often circulated widely across an organization, with guidance notes that explain the details of how the matrices were developed and how they were meant to be used for risk assessment, risk communication and risk management are often brief and cryptic (Porter et al., 2019).
They also highlight the lack of guidance on how they are to be applied at different project scales. “Was the matrix developed for the executive team to assess the summation of risks for entire projects and all associated infrastructure? Was it intended to be used by a mine manager to assess the summation of all risks associated with specific facilities? Was it intended to be used by the foreman for assessment of individual geohazard threats? Or was it intended to be used by work teams to help assess and manage their risks on a daily basis? Each scenario involves a different scale of assessment”. These different project scales may influence the interpretation of both the probability and consequence axes of the matrix.
A review of the reproduced matrices compiled in Appendix A reveals some common trends. The consequence items typically vary if they are health and safety risks as opposed to monetary or business risk. Most matrices use five classes on both the probability and consequence axes with one exception being a 4x3 matrix. All except one of the matrices use the vertical axis for probability and the horizontal for consequence. The use of colour coding consists of 3 to 6 colours with the general preference being the four-colour scale: green-yellow-orange-red. Five-colour scales typically include the blue before or after green and the six-colour scale uses two shades of green and ads two extra colours. The general trend, however, seems to be the mapping of the risk level to the “hotness” of the colour. The colour use in risk matrices seem to have some influence on the interpretation of risk gravity and decision-making, (Proto et al., 2023). This raises concerns about the potential biasing effect of colour, but this is outside the scope of this paper.
All risk matrices reproduced in Appendix A provide a twodimensional representation of the relationship between the likelihood and consequence or impact of an event. Although not always explicitly defined, the consequences can refer to a range of risks including:
➤ reputation
➤ business
➤ environment
➤ damage
➤ safety
It is not surprising that the consequences are defined differently by different organisations and often within stakeholders of the same operation. The severity of consequences is usually qualified based on company guidelines and is a function of tolerance to risk. This has been addressed in multiple publications, e.g., by Wesseloo and Read (2009), Joughin (2017), and Hadjigeorgiou (2020) and will not be discussed further in this paper where the focus is on the use of verbal expressions employed to capture different levels of probability expressions or the likelihood of an event. The challenges in the use of verbal expressions for these purposes have been discussed in the past by a number of researchers, including Reagan et al. (1989) and (Wintle et al., 2019), but not with respect to their use in risk matrices or in geomechanical applications.
A verbal probability is a way to qualify and communicate uncertainty and is widely used both in everyday interactions as well as in technical communication. An inherent assumption, that may not always be correct, is that both the sender and receiver have the same understanding of these expressions. This is further confounded as most people prefer expressing their uncertain beliefs with verbal probabilities, but the receiver of this information translates it to numerical values. A differential understanding and usage of verbal probabilities can result in disastrous decision errors (Karelitz, Budescu, 2004).
Hamm (1991) points out that poor verbal-probability mapping used by NASA contributed to the overconfidence in shuttle safety prior to the Challenger explosion. Engineers made verbal assessment of the reliability of the shuttle components but were not involved in the numeric interpretation of the verbal expressions. Vick (2002) concludes that with poor verbal-numeric probability mapping, NASA built an over-confidence bias into their system. There have been several studies aiming to determine if probability expressions are used consistently and thus, are an effective means of communication (Reagan et al., 1989; Mosteller, Youtz, 1990; Wintle et al., 2019) . These studies have been quite diverse in participants (students, doctors, science writers, etc.) and format (pencil and paper, online). The work presented in this paper is, to the author’s knowledge, the first that is specific to mining personnel with an interest or expertise in geomechanical risk management.
The seminal work of Reagan et al. (1989) provided one of the earlier experiment results to quantify the meanings of verbal probability expressions. A set of 18 expressions were selected, and 115 undergraduate psychology students were asked to assign a number from 0 to 100 to best represent the probability of that outcome occurring. The probability of expressions used was grouped under four stems, namely:
1. Possible (almost impossible, possible, very possible).
2. Probable (very improbable, improbable, probable, very probable).
3. Likely (very unlikely, unlikely, likely, very likely).
4. Chance (very low chance, low chance, medium chance, even chance, high chance, very high chance).
An interesting observation in Figure 3 is that verbal probability expressions were good at representing the lower and higher range, and at the middle. This was attributed to these areas of the scale as being the most natural places to anchor descriptive terms. The numbers were also confined within the limited range 2%–90% with limited representation in the extremes.
Since then, a number of researchers have identified similar trends with most studies relying on students or medical professionals or patients. The work of Wintle et al. (2019) reproduced in Figure 4 is of particular interest as it was based on an online survey completed by 924 members of the general public. Figure 4 charts the frequency with which given best estimate values
were assigned by participants to verbal probability expressions, namely: almost no chance, very unlikely, unlikely, roughly even chance, likely, very likely, and almost certainty. In this visualisation of the results the cut-off between two adjacent probability expressions (e.g., very unlikely and unlikely) is the point at which the frequency of people associating that number with the two adjacent expressions is the same. This is where two curves intersect in Figure 4. An interesting observation by Wintle et al. (2019) was that providing subgroups in-text numerical guidelines, as in Table 1, resulted in reduced variability in responses.
Data collection methodology
This study expanded the terminology used in previous studies to those words that are included in risk matrices employed in the mining industry (Appendix A). The questionnaire was developed with focus on likelihood probability expressions. The expressions were presented in random order on the questionnaires. The participants were provided with a list of verbal expressions and given the following instruction:
If someone told you an outcome was/had a [verbal expression], what number from 0 to 100 would best represent the probability of that outcome occurring?
The particularity of the present work was that the participants were all mining professionals with experience in geomechanical risk management or at least a strong interest in the field. The survey was undertaken in person prior to a Geomechanical Risk Workshop in 2019. Arguably this would suggest that these participants may have been better prepared than people at mine sites routinely required to undertake risk assessment. Table 1


Almost impossible
5—Box-and-whiskers plots listing the assigned value for a given probability expression
The participants were all industry professionals with both an interest and previous exposure to geomechanical risk management. To avoid influencing the results the test was issued prior to the workshop. A total of 46 questionnaires were used in the analysis.
The assigned probability for the verbal probability expressions is represented in Table 2 and in a box-and-whiskers plot in Figure 5. To facilitate the interpretation of Figure 5 a definition sketch is also provided in Figure 6. The results in both Table 2 and Figure 5 were sorted by the mean value to provide a monotonic progression from lower to higher probability expressions.
This allowed for an interpretation of how well the specific responses clustered around a value. The inter-quartile range is a good indicator of this. The use of the median over the mean has been favoured in other studies (Reagan et al., 1989) based on the assumption that means are more sensitive to extreme responses and because responses to probability expressions often yield asymmetric frequency distributions. In our investigation we chose to present both. Our results indicated that there was not much difference between the median and the mean.
Table 2 lists the several statistical metrics from the data displayed in Figure 5. An interpretation of the responses is provided in the subsequent sections with emphasis on the limitations of specific probability expressions.
In Figure 5 and Table 2, the results are sorted by mean values to show the systematic progression from lower to larger verbal probabilities with a line connecting the mean values. The graph

confirms the conclusion by Reagan et al. (1989) and Wintle et al. (2019) regarding the lack of vocabulary to describe the lower and upper mid-ranges and the extreme probabilities. It also highlights the fact that the lower and upper ranges are represented by several probabilistic synonyms with larger differences in the ranges than in the median values.
Across the full probability range, there is almost a symmetrical response in the box length with the low probability expressions mirroring the high-probability expressions (Figure 5). This is also reflected in the symmetrical distribution of the inter-quartile range (IQR) and standard deviation in Table 2, where dispersion is lower for both low and high probability expressions and higher towards the middle. There is no dispersion for ‘medium chance’ or ‘even chance’, indicating that there is a clear and very narrow understanding of these two expressions. These two expressions

are not used in the risk matrices included in Appendix A. The expression ‘medium probability’ is used in the matrix. It would be reasonable to expect that ‘medium chance’ and ‘medium probability’ would have similar interpretation. This cannot be confirmed with the current dataset as the latter was not included in the survey.
The IQR provides a metric to quantify the consistency of interpretation. Bars were added to the IQR column in Table 2 to visually display the IQR values with colours added to show different categories of similar IRQ value. Class boundaries were chosen to avoid coincidence with the round number bias in the data and define the categories as follows:
1. IQR < 12
2. 12 ≤ IQR < 18
3. 18 ≤ IQR
Terms in the first class provide the most consistent interpretation and should be preferably used for verbal expression of probability. In our opinion, terms falling in category 3 should be avoided. Terms in category 2 should be used to supplement that of category 1.
Another form of dispersion is observed by looking at the extreme lengths of the whiskers. This follows the same trends as the boxes with ‘unlikely’, ‘infrequent’, ‘occasional’, and ‘possible’ on the top part of Figure 5, and ‘probable’, ‘frequent’, and ‘likely at the bottom representing wider distribution, suggesting more scatter in the data.
Similarity in groups
There is a surprisingly large overlap in responses on both sides of
the spectrum. Consider, for example, the value of 10% probability, which falls within the IQR of nine verbal probability terms, from ‘very improbable’ to ‘infrequent’ in Figure 5.
Outliers
It is interesting to note that all expressions have some outliers, indicating the consistent wide range of interpretations for most of the expressions. Considering the cohort of the survey, some of the outlier values are quite surprising.
As shown in Figure 5, the majority of the distributions are skewed. In fact, only the following expressions, being ‘almost impossible’, ‘very unlikely’, ‘infrequent, and ‘occasional’ are symmetric. A positive (right) skew is observed for ‘very improbable’, ‘very unlikely’, ‘rare’, ‘very low chance’, ‘remote’, ‘improbable’, ‘low chance’, and ‘unlikely’. A negative (left) skew was observed for ‘very improbable’, ‘frequent’, ‘very possible’, and ‘very high chance’. The skewness of the distributions is attributed to the floor and ceiling values of 0% and 100%, leading the wide distributions being skewed to the ‘open’ end.
Rounding numbers
The human preference for rounding numbers is also evident in the data. This is illustrated in the responses to possible and probable in Figure 7. With the freedom to choose any numbers, almost all chosen numbers were limited to numeric decades or half decades with a clear preference for decades. This leads to




‘sawtooth’ histogram distributions with half decade frequencies being considerably less than the neighbouring decades (Figure 7). This may be attributed to the participants’ intuitive understanding of the inherent lack of resolution with verbal-numeric probability translation.
The technical meaning of the word ‘possible’ includes any probability between 0% and 100%. It is interesting to note that the wide distribution of assigned probabilities with a spike at 50% (Figure 7), the data appear to follow a uniform distribution between 0% and 80% overlain with a spike at 50%. This would be consistent with a cohort, which understands the technical meaning of the
term but is forced to choose a single number. The indication that ‘possible’ had a distinctly different meaning for different people was also the conclusion of Mosteller and Youtz (1990). The ambiguity of the interpretation of the word ‘possible’ should disqualify it from use in risk matrices. The word ‘probable’ also shows a wide range of interpretation with the bulk having similar representation of 50%, 60%, 70%, and 80%, as illustrated in Figure 7. The terminology ‘even chance’ and ‘medium chance’ appear to be interpreted as probabilistically equal with an almost exclusive meaning of 50% (Figure 8). As such, the use of ‘medium change’ as a descriptor in the risk matrix should be avoided.
The quartile values and the inter-quartile range (IQR) are also
provided in Table 2. The preference for round numbers mentioned earlier influences the calculation of quartile values from the data with most of these values limited to the decades and sometimes to the half-decade.
Also included in the last column of Table 2 is the number of times the term is used in the risk matrices included in Appendix A. There is no correlation between the IQR and the frequency of use, two of the most used terms falling into the highest IQR category. The terms ‘possible’ and ‘likely are very popular in risk matrices, but the data shows that people are inconsistent in their interpretation on what they mean.
The list of matrices in Appendix A is not exhaustive and may not be representative of all matrices in use. It does, however, raise the question whether due consideration is given to the choice of verbal probability terms in the development of risk matrices.
The concept of synonymity was previously discussed by Reagan et al. (1989), noting that certain expressions such as ‘probable’ were quantitatively synonymous with expressions incorporating ‘likely’. This was further explored in the database by plotting the assigned probability against the frequency and the cumulative percentage.
As illustrated in Figure 9, two groups of expressions (improbable, remote, very low chance, rare, and very unlikely) and (very likely, very probable, high chance, and very possible) can be considered to a degree as synonymous.
The difference between median values of different terms is smaller the closer it is to the floor and ceiling values of 0% and 100%. The difference between different classes in many of the risk matrices is therefore greater in the centre chosen classes and less in the outer classes. This is illustrated in Figure 10, showing the assigned probability distributions for the 5 classes: Very high-, high-, medium-, low-, and very low chance. Linguistically, these classes represent a natural and reasonable progression. The distributions for these classes, however, show little difference between the two lower and two upper classes with a wide gap left for the centre class.
This investigation was motivated to determine the effectiveness of verbal probability communication of a specialised group of geotechnical mining engineers. Of particular interest was the use of risk matrices that are often reported as communication tools. A



10—Distribution of assigned probabilities for terms ‘very low-‘, ‘low-‘, ‘medium-‘, ‘high-‘, and ‘very high chance’
review of the risk matrices in Appendix A identified a number of likelihood terms that were also part of this study, as per Table 2. Although the risk of matrices in Appendix A may not constitute a representative sample, it is informative to note the most popular terms:
➤ Rare, 8/12
➤ Possible, 8/12
➤ Unlikely, 8/12
➤ Likely, 7/12
➤ Almost certain, 7/12
The application of verbal probability terms in the risk matrices appear to have several unintended consequences resulting from the characteristics of the distributions of assigned probabilities discussed previously.
As shown in Figure 11, some of the matrices use probabilistic synonyms for two of the adjacent classes. The lack of representation in the middle low and middle high ranges and the effect of saturation lead to a lack of representation over large ranges and significant overlap and small separation between the remaining classes (Figure 12).
Figure 11 and Figure 12 brings into questions the contention that risk matrices aid clear communication and facilitate consistent assessment of risk. Coupled with the observation made by Wintle et al. (2019) that numerical guidelines coupled with the verbal expressions result in reduced variability in responses and the fact that receivers of verbal probabilities translate it into numeric equivalents, raise the question whether these purposes will not be better served using numeric ranges rather than verbal probability classes.
A risk assessment is an integral part of all critical mining operations and practice and there are multiple tools available for these purposes. In the opinion of the authors, the quality of these risk assessment tools, and by consequence, confidence in the results, has not received the requisite attention. This paper focused on
geomechanical mining risk, and in particular the challenges in the use of verbal probability expressions to effectively and consistently communicate geomechanical risk.
The participants in this study were mining professionals with experience in geomechanical risk management or at least a strong interest in the field. Arguably, this may have solicited more consistent results than the general mining force who is tasked to communicate and understand verbal probability risk as both input providers and receivers of information.
To fascilitate the discussion, all verbal probability expressions were presented from the less likely (starting from ‘almost impossible’ to ‘certain’). A series of statistical analyses identified several significant trends as well as inherent advantages and limitations of specific words commonly used in communicating risk:
➤ Verbal probability expressions were good at representing the lower and higher range, and middle ranges but underrepresented between about 25% – 40% and 60% – 75%.
The lower, higher, and middle ranges of the scale are the most natural places to anchor descriptive terms. Chosen numeric translations are largely between integer values from 0 to 100 (inclusive) with very few choosing fraction values between 0% and 1%.
➤ Responses for specific terms, using the IQR as guidance, revealed a lower dispersion on both sides of extreme probability expressions with an increase towards the middle. A greater scatter was observed for the following expressions: ‘unlikely’, ‘infrequent’, ‘occasional’, ‘possible’, and ‘probable’, ‘frequent’, and ‘likely’.
➤ An overlap in ranges for different terms was observed on both sides of the spectrum. The implication is that certain expressions are difficult to distinguish from each other and are assigned a similar probability rating.
➤ The majority of observed distributions are skewed with only the following: ‘almost impossible’, ‘very unlikely’, ‘infrequent’, and ‘occasional’ being symmetric and considered as normal distributions.





➤ There is a preference, when given a choice, to assign a round number when converting a verbal probability to a numerical value. This has an influence in the calculation of quartile values during the verbal-numerical translation.
➤ Words, such as ‘possible’ and ‘probable’ have a significant ambiguity of interpretation and a distinctly different meaning for different people. On the other hand, words like ‘even chance’ and ‘medium chance’ appear to be interpreted with the very clear and narrow meaning of 50%. Consequently, both sets of words should be avoided in communicating risk.
➤ Certain expressions (improbable, remote, very low chance, rare, very unlikely) and (very likely, very probable, high chance and very possible) are quantitatively synonymous. The implication is that only one word from each set should be used to differentiate degrees of probability.
The paper employed the results of the analysis to address their impact on the quality of risk matrices. It is important to identify concerns about some of the most common terms used in the presented matrices in Appendix A. As discussed, the most used terms are: rare, possible, unlikely, likely and almost certain. The present as well as other studies suggest that the ambiguity of interpretation of the word ‘possible’ should disqualify it from use in risk matrices. Similarly, the use of ‘likely’ is also problematic due to the scatter (IQR > 18) that implies a lack of consistency in interpretation between users.
Viewing these findings in light of the fact that Wintle et al., (2019) found a reduced variability in responses when verbal probability statements were accompanied by numerical range guidelines, begs the question whether better risk communication is not possible with risk matrices avoiding verbal probabilities and instead employing numeric ranges. This question cannot be answered by this study and is suggested for further work.
References
Carter, RG. 2014. Guidelines for use of the scaled span method for surface crown pillar stability assessment. Proc. 1st International Conference on Applied Empirical Design Methods in Mining, Lima-Perú, 9-11 June, p. 34.
Hadjigeorgiou, J. 2020. Understanding, managing and communicating geomechanical mining risk. Mining Technology, vol. 129, no. 3, pp. 159–173.
Hamm, R.M. 1991. Selection of verbal probabilities: A solution for some problems of verbal probability expression. Organizational Behavior and Human Decision Processes, vol. 48, no. 2, pp. 193-223.
International Organization for Standardization. 2018. Iso 31000:2018. Risk Management – Guidelines: International Organization for Standardization
Joughin, W.C. 2017. Dealing with uncertainty and risk in the design of deep and high stress mining excavations. Proceedings of the Eighth International Conference on Deep and High Stress Mining. Wesseloo, J., (ed.), Perth, Australian Centre for Geomechanics, pp. 489–507.
Karelitz, T.M., Budescu, D.V. 2004. You say "probable" and i say "likely": Improving interpersonal communication with verbal probability phrases. Journal of Experimental Psychology: Applied, vol. 10, no. 1, pp. 25–41.
Mosteller, F., Youtz, C. 1990. Quantifying probabilistic expressions. Statistical Science, vol. 5, no. 1, pp. 2–12.
Porter, M., Lato, M., Quinn, P., Whittall, J. 2019. Challenges with use of risk matrices for geohazard risk management for resource development projects. Proceedings of MGR 2019: Proceedings of the First International Conference on Mining Geomechanical Risk. Wesseloo, J., (ed.), Australian Centre for Geomechanics, pp. 71–84.
Proto, R., Recchia, G., Dryhurst, S., Freeman, A.L.J. 2023. Do colored cells in risk matrices affect decision-making and risk perception? Insights from randomized controlled studies. Risk Analysis, vol. 43, no. 10, pp. 2114–2128.
Reagan, R.T., Mosteller, F., Youtz, C. 1989. Quantitative meanings of verbal probability-expressions. Journal of Applied Psychology, vol. 74, no. 3, pp. 433–442.
Thomas, P., Bratvold, R.B., Bickel, J.E. 2014. The risk of using risk matrices. SPE Economics & Management, vol. 6 , no. 02, pp. 56–66.
Vick, S. 2002. Degrees of belief: Subjective probability and engineering judgement, New York, American Society of Civil Engineers. Wesseloo, J., Read, J. 2009. Acceptance criteria. Guidelines for open pit slope design. Stacey, P. and Read, J. (eds.), Australia, CSIRO Publishing, pp. 221–236.
Wintle, B.C., Fraser, H., Wills, B.C., Nicholson, A.E., Fidler, F. 2019. Verbal probabilities: Very likely to be somewhat more confusing than numbers. PLOS ONE, vol. 14, no. 4, e0213522. u













13-14 APRIL 2026
SOUTHERN SUN ROSEBANK, JOHANNESBURG

With the continued pace of urbanisation, economic and population growth, the availability of space for necessary infrastructure in the urban environment is a major challenge. This, in conjunction with climate change and a focus on reducing impact on the environment, are the key factors driving the necessity and relevance of tunnelling. Tunnels are increasingly seen as a means to providing sustainable, safe and reliable transport, electricity, gas, water, sewage facilities and extraction of raw materials. Whilst the public and private sectors come to terms with the high capital expenditure required for tunnel construction, we live in an age of continued technological development and the application of these technologies presents an opportunity to better and more cost-effectively design, construct, and monitor tunnels. Furthermore, it is imperative that tunnelling consultants and contractors keep up to date with rapidly changing tunnelling technologies in order to remain viable in a competitive industry.
This conference concentrates on advances in the tunnelling industry, current best practice and how technology has improved tunnelling design, construction, supervision and monitoring.


Affiliation:
1Department of Mechanical Engineering and Mechatronics Engineering, University of Technology, Bellville, South Africa
Correspondence to:
M.O. Ojumu
Email: mikeoluwaseunojumu@gmail.com
Dates:
Received: 5 Jun. 2025
Revised: 29 Jan. 2025
Accepted: 29 Sept. 2025
Published: January 2026
How to cite:
Ojumu, M.O., Raji, A K., Orumwense, E.F. 2026. A systematic review of hybrid quadrotor-track subsea robotic crawler for offshore mineral mining in the era of Industry 4.0. Journal of the Southern African Institute of Mining and Metallurgy, vol. 126, no. 1, pp. 35–62
DOI ID:
https://doi.org/10.17159/2411-9717/3747/2026
ORCiD:
M.O. Ojumu
http://orcid.org/0000-0003-4318-1115
by M.O. Ojumu1, A.K. Raji1, E.F. Orumwense1
Abstract
The Fourth Industrial Revolution has driven significant advancements in autonomous robotic systems, particularly in subsea exploration and offshore mineral dredging. This review examines the latest developments in electrically powered quadrotor-track subsea robotic crawlers, highlighting their potential to enhance efficiency, mobility, and adaptability in challenging underwater environments. The integration of advanced automation, artificial intelligence, and real-time control systems has paved the way for more effective robotic solutions in offshore mining.
This study explores the dynamic performance of hydraulic crawlers to quadrotortrack robotic dredgers, focusing on their propulsion, navigation, and stability under high hydrodynamic conditions. By leveraging state-of-the-art technologies such as lithium-ion battery power systems, intelligent microprocessors, and sensor-based control mechanisms, these robotic crawlers offer a promising alternative to conventional subsea excavation methods. Furthermore, the review analyses recent experimental and simulation-based studies that assess the feasibility and performance of these systems in real-world applications.
The findings of this review provide valuable insights into the role of 4IR in transforming subsea robotics for offshore mineral dredging. By addressing existing limitations and identifying key technological advancements, this study contributes to the ongoing development of nextgeneration robotic systems capable of operating efficiently in extreme underwater conditions.
Keywords
Fourth Industrial Revolution (4IR), electrically powered robotics system, quadrotor-track subsea crawler, offshore mineral dredging, autonomous robotic systems, artificial intelligence in robotics, battery-powered underwater vehicles, sensor-based control mechanisms
Introduction
Seabed mining has evolved significantly with the advent of advanced technologies like the Underwater Remote Mining (URM) system, which utilises specialised crawlers for efficient and environmentally conscious extraction of submerged diamond deposits (President, Greve, 2022). In 2018, Arctic Canadian Diamond Company and IHC Mining collaborated with Burgundy Diamond Mines. They have been developing an innovative URM system designed to extract diamond-bearing kimberlite ore from deep open pits at the Ekati Diamond Mine in Canada's Northwest Territories. This system employs a remotely operated underwater mining crawler equipped with advanced control and positioning technology. The crawler excavates ore using a drum cutter, eliminating the need for blasting, and pumps the material to the surface through a vertical pipeline connected to a launch and recovery platform. This method is capable of operating at depths up to 400 metres and aims to reduce environmental impact by minimising waste extraction and the mine's overall footprint. The URM system is projected to extend the mine's operational life by at least a decade. Following this technology (track subsea robotic crawlers) Debmarine Namibia’s offshore (2017) gave insights into their deployment of large, remotely operated crawlers that traverse the seabed at depths of around 150 metres to collect diamond-rich sediments, which are then processed onboard specialised vessels. The publication also highlights the effectiveness of this approach, noting that marine diamonds exhibit a higher percentage of gem-quality stones compared to landbased sources, which emphasised its significant contribution to advanced future crawler for ocean deep mining. Yeu et al. (2011) tested MineRo, a mining robot designed for shallow water mining with higher

performance for dredging. In June 2009, it was tested at a 100 m depth with current sensor, 5 km off Hupo-port (Korean East Sea) to evaluate its ability to collect and lift manganese nodules. MineRo was tested at a depth of 120 metres in August 2012 to evaluate the integration of advanced technology, including automatic pathtracking control. A critical component of this control system was the implementation of a precise localisation algorithm. The researchers explored advancements in underwater navigation algorithms by estimating MineRo’s kinematic parameters, including track slips and slip angles. These parameters were traditionally derived from Ultra-Short Baseline (USBL) position data and gyro sensor heading data, commonly integrated into state-of-the-art controllers, though its accuracy was affected by random noise. As of 2012, the study aimed to improve algorithm reliability by refining the measurement of these kinematic parameters.
The ocean floor is one of the most unexplored areas on Earth, and the increasing interest in underwater dredging has led to the development of various track robotic subsea exploration crawlers (TRSEC). Roland Holst (2024) investigated the ongoing debates surrounding seabed exploitation, highlighting the uncertainties regarding resource availability on land. This study critically examines the urgency and perceived inevitability of commercial deep-sea resource extraction, questioning whether it genuinely serves the common interest of humankind. Given that oceans cover 71% of the Earth's surface, they have been proposed as a significant source of essential minerals, bio-organisms, and energy. Authority (2006), provides an overview of polymetallic nodules, including their composition, formation, and potential for mineral extraction. The study examines the occurrence of these nodules in deep-sea environments and highlights the valuable metals they contain, such as manganese, nickel, copper, and cobalt. Additionally, it discusses deep-sea mining as an emerging method for mineral retrieval, conducted on the ocean floor in regions with extensive polymetallic nodule deposits or active and extinct hydrothermal vents located between 1,400 and 3,700 metres below the surface. These vents further established the importance of sulfide deposits that contain valuable metals, including diamond, gold, silver, copper, manganese, cobalt, and zinc.
Having established a standardised reference on Earth's subsea resources, the deep-sea mining process utilises electric pumps, hydraulic pumps, or bucket systems to transport minerals to the surface vessels or platforms for processing. However, like all mining operations, deep-sea mining presents significant challenges, including the impact of hydrodynamic forces on ocean-dredging machinery and potential environmental risks to surrounding
ecosystems as stated by Aung (2015). Zeng et al. (2022) presented the development of an advanced underwater robot that integrates quadrotor propulsion with bionic undulating fins to enhance manoeuvrability and operational efficiency in complex marine environments. It addresses the limitations of traditional subsea crawlers and introduces a hybrid propulsion system designed to improve mobility and adaptability.
As ocean mining continues to expand, subsea exploration crawlers play a crucial role in surveying and monitoring the ocean floor. These crawlers are typically equipped with sensors and cameras to collect environmental data and can be remotely operated or programmed for tasks such as crawling, sea dredging, and excavation. However, their movement is constrained due to direct contact with the seabed, limiting their manoeuvrability.
To mitigate this challenge, quadrotors can provide ocean robot support, complementing the capabilities of subsea crawlers. The MK3 ROST crawler used by the IMDH Group (2016), currently called Trans hex Group, while still effective in today’s ocean mining market, has limited applications due to its size, track monitorabilities, and weight, and it requires significant energy to counteract the harsh hydrodynamic forces in underwater environments. In contrast, quadrotors offer a more efficient solution, leveraging their four-rotor configuration to achieve superior mobility and adaptability in challenging underwater conditions.
Configuring and designing a TRSEC with the best quad integration is a challenging task that requires careful mathematical modelling analysis with simulations using MATLAB. The principles of propulsion in a subsea environment deal with the forward power of the propeller, which is the same as the reverse power. The propeller system of the vehicle provides enough thrust to overcome the resistance of the surrounding water, which moves the vehicle through the underwater environment. This is affected by a number of factors, such as the rigid multibody configuration of the TRSEC, the size and shape of the propellers, the number and orientation of the blade configuration, and the power output of the electric motors that drive the propellers. Multibody system dynamics analysis is subsequently used to employ dynamic model interaction between the subsea crawler and quadrotors. The analysis provided insight into moving forces, moments, and torques acting on the system, as well as the trajectories of the quadrotors and the subsea crawler. Yum, et al. (2016 a; 2016b; 2016c), presented a mathematical model equation for a quad-x ocean crawler design using a multibody analysis. The objective of this investigation was to show the impact of drive configuration and design parameters on ocean vehicles. Speed, manoeuvrability, and stability were considered with a view to creating an industrial-based solution that minimises seabed crawler track slippages and improves the efficiency of underwater robots used for the purposes of extraction and surveillance. In areas of quadrotor dynamics, its focuses are on the thrust generation by propeller systems and their impact on vehicle motion due to hydrodynamics. It provides insights into the factors affecting thrust and the subsequent movement of the vehicle in an underwater environment as stated by Idrissi and Annaz (2020). In further discussion by Bian and Xiang (2018), they investigated theories on stability of multibody systems, particularly focusing on the interaction between vehicle dynamics and internal fluid sloshing. While it does not specifically address subsea crawlers with quadrotor, the methodologies discussed are applicable to analysing dynamic interactions in similar systems using track robots. Delving into the dynamics of flexible multibody systems using spatial
operators, offering a framework that could be applied to the analysis of subsea crawlers and their interaction with other dynamic systems like quadrotors, Jain and Rodriguez (1992) explored spatial operator methods to develop a novel dynamics formulation for flexible multibody systems. This formulation is designed to model the dynamics of flexible systems in a manner structurally identical to rigid multibody systems, facilitating the efficient manoeuvrability of ocean intervention rovers.
Xia et al. (2023) investigated the sinking and slippage of deep-sea mining vehicles (DSMV) while traveling on extremely soft sea floor sediments using a quadrotor arrangement. The study highlighted the vulnerability of DSMVs to dangerous situations such as overturning due to non-homogeneous sea floor sediments, heavy payload, and complex sea floor topography affected by high hydrodynamics in the ocean. The researchers focused on four-tracked DSMVs, which were found to have better traveling abilities and safety performances on uneven terrain compared to conventional dual-tracked vehicles. To enhance adaptability to uneven terrain, the tracks of the DSMVs were designed to be rotatable. To study the DSMV's traveling performance, a multi-body dynamics model of a specially designed four-tracked DSMV prototype was built using Recurdyn software. The model was modified to reflect the actual conditions of sea floor travel, including a more accurate shear model and adjustments for internal resistance, water resistance, and external loads. The track-soil force to the rear track was also modified based on the multi-pass effect, and a velocity coefficient was introduced to the resistance estimation equation. The study performed simulations of straightline travel on soft ground with both fixed and rotatable tracks. By analysing the simulation results, the researchers studied the motion features and dynamic characteristics of the four-tracked DSMV with rotatable tracks when traveling on soft ground.
Hydraulic tractor ROST has been utilised successfully in dredging and mining operations for several years. It has several significant limitations, including low track driving abilities resulting from hydrodynamics, high hydraulic ocean pollution, and high energy consumption from the mechanical and electrical operating components. In a study to overcome these limitations, underwater crawlers powered by the most efficient thruster configuration method are being developed (Ojumu, 2022). These robotic crawlers are expected to provide better performance and improve subsea exploration. The outcomes of the study will serve as a basis for designing subsea exploration crawlers with quadrotors configuration, which can enhance the subsea environment dredging. Additionally, the findings will contribute to the advancement of robotics systems for subsea application. This proposal aims to investigate this approach in greater depth through a thorough literature review. Therefore, this research will suggest and recommend meaningful initiatives by government, policy makers, and researchers aimed at increasing the adoption of more ocean-friendly dredging robots for the extraction of the seabed floor resources.
A systematic literature review (SLR) is commonly employed in
disciplines such as social sciences, education, global economics, retail business, and medicine. However, Moher et al. (2009 a) examined its application in the engineering field, demonstrating its effectiveness as an evidence-based research approach. The core principles of SLRs include being restrictive, duplicative, algorithmic, and collective.
This study followed a structured methodology, as depicted in Figure 2, which outlines the key stages of the systematic review process.
Process flow 1
Identification, definition, and refinement of the research problem
Internationally, researchers have indicated that the application of quadrotors for subsea exploration has unveiled noteworthy shortcomings (Bian, Xiang, 2018 a). Moreover, they noted that while some researchers have explored the application of quadrotor UAVs in submersible environments, the predominant focus has been on aerial surveillance and not proving in ocean exploration (Bian, Xiang 2018 b). In a similar vein, Olsson (2021 a) delved into the use of quadrotor-inspired unmanned underwater vehicles for subsea exploration, introducing a quadrotor-like unmanned underwater vehicle (QUUV) featuring four fixed thrusters arranged in an X quadrotor configuration. Another study embarked on the design and analysis of an underwater quadrotor (AQUAD) intended for subsea exploration. These collective findings suggest the promising potential of quadrotor platforms in subsea exploration, underscoring the need for further research in this domain (Olsson, 2021 b). The role of unmanned systems with quadrotor configurations, including aerial and maritime platforms, in advancing cost-effective mineral extraction, homeland security, and operational efficiency has grown significantly in recent years. This report explores technological advancements, policy implications, and the rising adoption of unmanned system microcontrollers across various industries, as highlighted by Fleming et al. (2015). Chen et al. (2022) proposed a design and deployment of a quadrotor for underwater investigation, showcasing its ability to augment the manoeuvrability and stability of subaquatic apparatus. This addresses the existing gap for an aerial setup in a marine setting while Elkholy et al. (2022) emphasised the pivotal role of hydrodynamic coefficients in the development and navigation control of underwater robots and aerial systems. While conventional methods for acquiring these coefficients often rely on expensive experimental techniques, recent advancements have paved the way for computational approaches leveraging computational fluid dynamics (CFD) in conjunction with experiments. The planar motion mechanism (PMM) and circular water channel (CWC) are standard experimental infrastructures for acquiring hydrodynamic coefficients of remote operated vehicles (ROV); their costliness necessitates the development of cost-effective and straightforward experimental methods for obtaining these coefficients in underwater design models. Hence, comprehensive investigation into the integration of quadrotors with rigid multibody system dynamics analysis to enhance the operational efficiency of a tracked robotic subsea exploration crawler has commenced in 4IR. The study

aims to address existing challenges in incorporating quadrotor technology in subsea exploration, particularly in mitigating the effects of hydrodynamic forces.
Process Flow 2
Development of a strategic framework to address the identified problem
The initial phase of the literature review provides a comprehensive overview of the Fourth Industrial Revolution’s impact on subsea crawlers for offshore mineral mining. It then examines the maturity of these technologies and evaluates their suitability for various configurations, considering existing mining tool technology, vehicle types, and advancements in driving efficiency.
Process Flow 3
Establishment of a systematic data collection methodology
Keywords are used to search for data/information on databases using search engines such as IEEE Xplore, Microsoft Academic, Scopus, Science Direct, and Google Books. Research gate and Google Scholar was used primarily to search for specific information on journal papers and theses where the citation was done directly from the website using Endnote X7 and the referencing was exported to Mendeley. The keywords used to search for information on mining offshore crawlers are shown in Table 1.
Process Flow 4
Categorisation and organisation of the collected data
After the search for relevant literature on the topic, a Prisma 2009 Process Flow diagram was used to arrange the different crawlers according to the methods, advantages, disadvantages, and technology maturity in the following sequence (Moher et al. 2009 b):
a. Over 400 papers and theses were assembled from different databases using search engines such as Science Direct, Google Books, IEEE Xplore, Research gate, Microsoft Academic and Scopus by using the keywords shown in Table 1. The first column shows the different keywords used in the search for
Table 1
Keywords used to search for relevant data/information
Category
Keywords
track robotic mining crawler, and the second column contains the different parameters measured.
b. An additional 40 papers were added to the database by using the Google Scholar search engine.
c. Out of the 400 papers assembled, only 330 papers were kept for further screening after a proper check on duplicate papers, which was completed with similar referencing.
d. A further 70 papers were disqualified because the focus was not the core of the study, rather, it discussed other topics such as ROV inspection robot, sampling tools from surface vessels, hydraulic configurations, and CFD modelling of marine surface vehicles.
e. In this study, a comprehensive evaluation was conducted using a total of 286 papers for qualitative analysis and 44 papers for quantitative assessment of mining mineral subsea vehicles. The selection criteria were strictly defined to include only publications from the period 1983 to 2025.
The study employed a systematic inclusion and exclusion criterion to identify the most relevant research papers on Electrical Powered Quadrotor-Track Subsea Robotic Crawler (EPQRTSRC) for offshore mineral mining. The inclusion criteria were primarily based on the publication date to ensure the selection of contemporary studies reflecting technological advancements in the Fourth Industrial Revolution. However, the following were excluded from the search: (a) unpublished work, (b) webpages, and (c) papers discussing tracked robotic crawler techniques that are not applicable to conventional offshore mining tools. This review focused on published literature from 1983 to 2025, while older papers were excluded unless cited in more recent publications, acknowledging their relevance in shaping modern industrial and technological advancements.
Process Flow 6
The synthesis of insights was systematically documented to ensure a comprehensive and well-structured dataset
The keywords that were used to refine searches in academic
Fourth Industrial Revolution (4IR) 4IR, Industry 4.0, smart automation, digital transformation, advanced manufacturing (focused on smart offshore mining robot).
Electrically powered robotics
Quadrotor-track subsea crawler
Offshore mineral dredging
Autonomous robotic systems
Hydrodynamic stability
Artificial intelligence in robotics
Battery-powered underwater vehicles
Sensor-based control mechanisms
Electronics with powered system, electric propulsion in robotics, battery-powered automation, renewable energy in robotics for environmental sustainability.
Quadrotor propulsion, subsea robotic crawlers, amphibious mining robots, hybrid underwater vehicles.
Deep-sea mining technology, offshore mineral extraction, subsea dredging, ocean resource exploitation.
Autonomous mining robots, AI-driven robotics, unmanned subsea vehicles, intelligent automation in mining.
Underwater vehicle hydrodynamics, stability in subsea robotics, fluid dynamics of ocean robots, marine engineering stability.
AI in robotics, machine learning for autonomous systems, neural networks in robotics, AI-driven navigation.
Battery-powered AUVs, lithium-ion batteries in robotics, energy-efficient subsea vehicles, power management in underwater robots.
Sensor fusion in robotics, control systems for autonomous robots, underwater sensing technology, AI-based sensor integration.
databases, technical reports, and industry publications related to subsea mining, robotics, and Fourth Industrial Revolution technologies are presented in Table 1.
The Fourth Industrial Revolution of EPQRTSRC for offshore mineral mining:
The Fourth Industrial Revolution has significantly transformed various industries by integrating advanced digital, mechanical, and automation technologies (George, 2024). In a seminal study, Ummah (2019) examined the profound impact of digital connectivity and software technologies on societal evolution, highlighting their role in ushering in the 4IR within the subsea environment. This paper explores the diverse contributions of the 4IR to engineering, particularly in advancing design and manufacturing processes that enhance efficiency and innovation in robotics and automation. Building on this research, Gedigital (2019) underscores the role of automation within the industrial internet, demonstrating how the convergence of mechanical production and digital technologies is driving the progression of the 4IR in ocean integration.
In the field of offshore mineral mining, EPQRTSRC has emerged as a groundbreaking innovation. These hybrid robotic systems integrate the stability and mobility of tracked vehicles with the aerial manoeuvrability of quadrotors, enabling effective operation in challenging underwater environments. Ojumu (2022 b) and Cole (2012) explore advancements in robotic technologies for seafloor mining, particularly focusing on the development of deep-sea mining crawlers designed to operate at significant depths. The study highlights key engineering challenges and potential solutions associated with deploying robotic systems for ocean mineral extraction. Additionally, Nordin et al. (2022) examine the current capabilities of unmanned vehicles (UV) in offshore wind turbine operations, ocean floor surveys, and seabed sampling, emphasising their role in data collection for primary operations. Their research discusses collaborative strategies between different UV types, including aerial and underwater vehicles, to enhance operational efficiency in offshore environments. In a related study, Hu et al. (2024), address the motion control challenges of a fourdegree-of-freedom unmanned underwater vehicle (UUV) in the presence of nonlinear dynamics, parametric uncertainties, system constraints, and time-varying external disturbances. The proposed control strategy is validated through simulations, demonstrating its effectiveness in improving UUV control performance. Furthermore, 4IR has had a profound impact on mining productivity by integrating digital, mechanical, and automation technologies. Humphreys (2020) discussed how these advancements drive innovation in the mining sector, with a particular focus on the potential of subsea robotic systems to enhance efficiency and sustainability in mineral extraction.
Figure 3 illustrates the progression of technological advancements in subsea mining crawlers, with a particular focus on the development of electrically powered quadrotor-tracked subsea robotic rovers for offshore mineral mining. The graph provides a detailed analysis of the correlation between the increasing influence of the 4IR and its impact on subsea mining technology, highlighting key trends and innovations in the field.

Blue line with circular marks
This representation illustrates the steady annual technological advancements in subsea mining on an arbitrary scale. Sharma (2011) provides a comprehensive analysis of the current state of deep-sea mining, addressing the economic, technical, technological, and environmental challenges that must be overcome for sustainable development. The study examines advancements in deep-sea polymetallic nodule mining technology, highlighting key technological innovations, recent progress in prototype testing, and environmental impact assessments. Additionally, Sharma (2011) explores the opportunities and challenges associated with the growing demand for metals essential to emerging energy technologies.
Red square marks
This representation highlights the years when electronics were integrated into mining crawlers, showcasing key advancements in the automation and control of subsea robotic crawlers. The adoption of underwater vehicle systems has steadily increased for marine resource exploration, however, challenges related to control, navigation, and communication remain significant. These persistent challenges have driven continuous technological advancements, making the development of subsea crawlers an area of growing interest. Sun et al. (2024) provided a comprehensive review of the current status, limitations, and future directions of crawler manipulators. Their study examines dynamic and hydrodynamic modelling methods, analysing their underlying principles, strengths, and limitations. Additionally, the review explores critical operational control technologies, including underwater positioning, navigation, and coordinated vehicle-manipulator control. The article concludes with a forward-looking perspective on enhancing operational efficiency, offering insights into future developments in subsea crawler technology.
Connection to the Fourth Industrial Revolution (4IR) 4IR integrates artificial intelligence (AI), robotics, the Internet of Things (IoT), and automation, driving significant advancements in subsea mining technology. This technological revolution has played a crucial role in the development of electrically powered quadrotor-tracked subsea robotic crawlers for offshore applications. Yurish (2020) provides valuable insights into the integration of AI, robotics, IoT, and automation across various industries, including discussions on electrostatic inchworm motors for microrobots and adaptive trajectory tracking control for mobile manipulators— technologies with potential relevance to subsea robotic systems. Building on this foundation, Johansson et al. (2023) explore the
role of smart ports and remote technologies in the maritime industry, emphasising the transformative impact of AI, robotics, and digitalisation on shipping operations. Their work covers a range of topics, including autonomous port operations, cybersecurity, big data, blockchain, and regulatory challenges. Furthermore, the book examines advancements in vessel autonomy, remote inspection techniques, launch and recovery systems for subsea crawlers, and the evolving landscape of international governance. Key chapters delve into technological innovations, legal frameworks, and emerging industry trends. Authored by experts from institutions such as the World Maritime University and the University of Aberdeen, this publication serves as a valuable resource for scholars, policymakers, and maritime professionals. As illustrated in Figure 3, the progression of these technological advancements, highlighting their impact on subsea mining technology can be seen.
Early technological growth (1999-2005)
The technological advancement begins at a relatively low level (~1.2) and progressively improves over time.
i. The first major breakthrough in efficiency, occurring in 2005 and marked at approximately 8.9, indicates a significant improvement. This advancement is likely attributed to early developments in automation or enhancements in power systems, as documented by World Energy PerspectiveEnergy Efficiency Technologies (2013).
Introduction of advanced electronics (2010, 2015, 2020, 2025)
i. 2010 (red square, ~15.9): Marks the initial major implementation of advanced electronics in subsea crawlers. This milestone likely corresponds to the integration of autonomous navigation systems, advanced motor control mechanisms, and improvements in power efficiency.
ii. Subsequent advancements (2015, 2020, 2025): Represent the progressive evolution of automation, including AIpowered real-time seabed mapping and enhanced mobility systems, such as hybrid quadrotor-tracked locomotion. Xu et al. (2024a) provide further insights into the significance of marine environmental sustainability, emphasising the role of advanced underwater vehicles (UV) and supporting technologies in the development of a smart ocean. Their study classifies UVs into various categories, including remotely operated vehicles (ROV), autonomous underwater vehicles (AUV), hybrid underwater vehicles (HUV), unmanned surface vehicles (USV), and underwater biologically inspired vehicles (UBV). These vehicles are critical for a range of applications, such as marine monitoring, exploration, defence operations, and infrastructure inspection. Additionally, the paper examines advancements in underwater communication systems and supporting infrastructure, including submerged buoys and docking stations. The study envisions the long-term growth of a sustainable, interconnected smart ocean, driven by continuous technological innovations.
Rapid growth phase (2015-2025)
a. High-efficiency breakthroughs (2015 to 2020): The significant advancements observed in 2015 (~23.2) and 2020 (~30.0) indicate that AI-driven autonomy, sensor fusion, and enhanced power systems have substantially improved the efficiency of subsea mining operations.
b. Final Peak in 2025 (~36.6): This milestone aligns with the
full implementation of autonomous, electrically powered quadrotor-tracked crawlers, enabling high-precision seabed excavation and resource extraction. Xu et al. (2024b) provide an in-depth analysis of recent advancements in autonomous underwater vehicles (AUV) and their expanding role in underwater exploration. Their study reviews key technological progress in areas such as biomimicry-inspired designs, advanced control systems, adaptive navigation, and highresolution sensor arrays critical for ocean floor mapping. The research highlights the transformative impact of AUVs on underwater robotics and offers a comprehensive overview of the field’s current landscape. Additionally, it presents a comparative analysis of existing studies, identifying research gaps and guiding future investigations. This review serves as a valuable resource for researchers and industry professionals, offering insights into the evolving trajectory of subsea technology as it reaches its anticipated peak in 2025.
The advancements illustrated in the graph correspond to the transition from mechanically powered mining crawlers to fully autonomous, electrically powered robotic systems. This evolution highlights significant technological milestones and reflects key trends in subsea mining innovation, which includes:
Quadrotor-track hybrid systems integrate the aerial manoeuvrability of quadrotors with the terrain adaptability of tracked vehicles, enabling enhanced mobility and precision in subsea excavation. This hybrid design merges the capabilities of an aerial quadrotor and a land-based crawler, allowing for both flying and ground-based operations. In this configuration, the quadrotor executes flight tasks similarly to conventional aerial drones, while the addition of caterpillar tracks facilitates efficient movement across various types of terrain. The study by D’Souza et al. (2021) explores the practical design and implementation of a hybrid quadrotor system, supported by experimental evaluations. The research demonstrates the feasibility of dual-mode operation, with experimental results confirming the system’s structural resilience—surviving a drop from over two metres. Furthermore, the prototype underwent finite element analysis to validate its mechanical robustness, ensuring its capability to perform both aerial and terrestrial missions effectively.
Technological advancements in subsea robotics have led to significant improvements in battery technology, wireless power transfer, and energy harvesting from ocean currents. These innovations play a crucial role in enhancing the efficiency and operational endurance of unmanned aerial and subsea vehicles. Saravanakumar et al. (2023) examined various power supply configurations for unmanned aerial vehicles (UAV) designed for subsea applications, exploring hybrid power systems that integrate fuel cells, batteries, solar cells, and supercapacitors. Their study emphasises the importance of selecting optimal power arrangements and implementing efficient energy management strategies to improve UAV performance and endurance. Further investigations into the energy efficiency of quadrotor dynamic models have led to the development of optimised design methods for reducing energy consumption. Jacewicz et al. (2022) focused on creating a dynamic model that accurately represents energy usage, which is critical for enhancing UAV and hybrid system
performance. Additionally, their research explored advancements in energy storage technologies and power supply systems for electric UAVs, with the goal of extending flight times and evaluating the feasibility of wireless charging solutions, which are applicable to subsea vehicles. Addressing the energy consumption challenges of rotary-wing UAVs and subsea drones, ongoing research seeks to enhance endurance through improved energy management and power optimisation strategies, ensuring greater operational reliability in demanding marine environments. It highlights the challenges associated with energy consumption in rotary-wing UAVs and subsea drones, emphasising the need for advanced power supply systems to enhance endurance, as discussed by Pham et al. (2022). Their study explores the design and implementation of wireless power transfer (WPT) systems for UAVs, with a particular focus on optimising energy-efficient receiver designs. Building on this, Ojha et al. (2023) further examined the impact of improving WPT system efficiency on UAV operational endurance. Their findings underscore the critical role of enhanced wireless power transfer technologies in extending the flight time and overall performance of hybrid UAV systems, making them more viable for long-duration operations in subsea and aerial applications.
Autonomous and AI-powered
The increasing trend in the graph reflects the impact of deeplearning algorithms, AI-based real-time decision-making, and sensor integration for subsea mining. Controlling autonomous underwater vehicles (AUV) using machine learning techniques, specifically deep reinforcement learning. It focuses on waypoint tracking tasks and discusses the integration of AI for real-time decision-making in subsea environments. Quadrotor-track hybrid systems could interest the development of an AI-powered navigation crawler with a similar hybrid system such as the AUV, as published by Sola (2022).
Remote operation and IoT integration
Modern subsea robots are increasingly integrated into IoT networks, facilitating real-time data transmission and enabling remotecontrolled mining operations. This connectivity is a key driver of the Fourth Industrial Revolution (4IR) in subsea mining, as illustrated in the graph, which highlights the technological evolution leading to the development of electrically powered quadrotortracked robotic crawlers. Humphreys (2020b), emphasises that the significant advancements observed after 2010 mark a pivotal shift towards automation, AI-driven decision-making, and the deployment of energy-efficient mining robots. These innovations have enhanced operational precision and sustainability in offshore mineral extraction. By 2025, the full implementation of autonomous subsea crawlers is expected to revolutionise offshore mining, improving efficiency, reducing operational costs, and minimising environmental impact. This transition underscores the transformative influence of 4IR, positioning autonomous robotic systems as a cornerstone of the future subsea mining industry.
Key statistics derived from the trends observed in the technological advancement growth rate in 1999-2025: i. The annual growth rate during the early development phase (1999–2005) was initially slow, averaging 1.3 units per year due to manual operations and limited automation, until a major efficiency boost in 2005, which resulted in approximately 8.9 units (Bouabdallah, Siegwart, 2007).
ii. During the emerging robotics and AI implementation phase (2006–2015), growth accelerated to approximately 1.9–2.3 units per year, driven by early AI navigation, electronic sensors, and energy efficiency improvements, with a major milestone in 2010 when subsea crawlers saw their first significant electronics integration (~15.9 units), and by 2015, IoT-based monitoring and autonomous underwater robotics further advanced the technology (~23.2%). This includes a novel quadrotor design equipped with wheels, enabling both aerial and ground locomotion (Aizelman et al., 2024). Further major focus is current on the integration of inertial navigation systems and evaluates performance in terms of accuracy and battery consumption from 2005 – 2024. Technological improvement in 2005 – 2015 focused on the development of an IoT-based underwater robot designed for autonomous water quality monitoring. The robot integrates various sensors and utilises the ESP32 module for wireless communication, highlighting advancements in IoT-based monitoring systems in underwater robotics (Gupta et al., 2021). The evolution of underwater vehicle-manipulator systems (UVMS) has certain challenges in control, navigation, and communication within underwater environments. Sun et al. (2024) emphasises the continuous advancement of related technologies, including electronic integration and autonomous control systems, which are pertinent to the milestones mentioned within the 4IR period.
iii. The full automation and electrification phase (2016–2025) encountered growth, which reached its peak at approximately 2.5 – 3.2 units per year, driven by the widespread adoption of AI, renewable energy-powered robotics, and advanced tracking mechanisms, with full-scale adoption of electrically powered quadrotor-track subsea crawlers expected to hold stable interest by 2025 (~36.6 %). Li et al. (2024) introduced a hybrid control strategy for quadrotor UAVs inspired by neural dynamics. The approach addresses issues in traditional control methods, ensuring smooth trajectory tracking even under external disturbances such as future advancement development. Aizelman et al. (2024) presented a novel quadrotor design equipped with wheels, enabling both aerial and ground locomotion. The research focuses on the integration of inertial navigation systems and evaluates performance in terms of accuracy and battery consumption.
iv. The overall growth trend follows an exponential increase, with growth multiplying by 1.5 times from 1999 to 2010, accelerating to 1.9 times between 2010 and 2020, and further increasing by 1.22 times from 2020 to 2025.
Table 2
High-efficiency breakthroughs
Year Efficiency breakthrough in %
2005 8.9
Key technology advancement
Improved crawler mobility, basic automation.
2015 23.2 AI-driven navigation, real-time seabed mapping.
2020 30.0
Energy-efficient electric propulsion, deep learning.
2025 36.6 Full autonomy, AI swarm robotics, hybrid quadrotor-track systems.
The red "X" marks in Figure 3 indicate major technological breakthroughs in subsea mining innovation. These high-efficiency years represent moments where substantial improvements in robotic performance, autonomy, or energy efficiency occurred.
Efficiency growth rate
From 2005 to 2015, there was a 160% increase in efficiency, followed by a 58% increase from 2015 to 2025 as AI-powered robotics reached peak optimisation, indicating a shift from basic automation (2005–2015) to fully autonomous systems (2020–2025) as presented by Vision (2025).
The red square marks represent years when electronics were integrated into subsea mining crawlers, significantly impacting efficiency, precision, and automation.
Impact of electronics on efficiency
From 2010 to 2015, AI-driven monitoring increased efficiency by 45%, followed by a 30% reduction in energy consumption from 2015 to 2020 through IoT integration, leading to higher cost savings, and from 2020 to 2025, AI-powered subsea robotic swarms are expected to increase operational efficiency by 70%, minimising human intervention as analysed in a publication by Chandni (2024).
Global market and investment trends
The 4IR has driven massive investments into subsea mining robotics, particularly in the development of electrically powered, AI-driven crawlers. Humphreys, (2020a) examined the scope and feasibility of autonomous robotic subsea intervention systems for offshore inspection, maintenance, and repair. This study explores the potential of autonomous robotic systems in subsea environments, focusing on their application in offshore inspection and maintenance.
Corke et al., (2008) provides an overview of state of the art mining robotics, including subsea applications. This sector, which had a market value of approximately USD200 million in 2010, saw a 500% growth to around USD1.2 billion by 2020, and it is projected to triple to about USD3.5 billion by 2025, driven by advancements in AI and electrification.
Prior to 2010, less than USD50 million was invested in subsea robotic systems, with investment rising to approximately USD500 million by 2015 for AI-integrated subsea vehicle research, and reaching around USD1 billion by 2020 in AI, electric propulsion, and deep-sea robotics. Forni and CFTe (2016) evaluated whether robotics equities, traded on stock markets globally, represent a good investment opportunity in electronics and automation while Khalid
Table 3
Electronics implementation on mining crawlers
Year Implementation milestone
2010 First electronic control systems for navigation.
2015 AI-based monitoring and real-time remote control.
2020 Fully integrated IoT-based autonomous mining crawlers.
2025 AI-powered quadrotor-track hybrid crawlers with selflearning capabilities.
et al. (2022) highlight that the costs associated with electronics operations, including the transfer of technicians and equipment, make up a significant portion of the total expenses for offshore wind projects. The paper emphasises that as floating offshore wind farms (FOWF) are increasingly being located farther from shore and in harsher environments, these costs must be evaluated while considering the maintenance needs and limited weather windows. This underscores the importance of factoring in these challenges when assessing the overall financial viability of FOWFs being secured with cheaper electronics.
Mitchell et al. (2022) explored the global trend of increasing wind turbine size and the growing distances from shore in the offshore wind farm market. In the UK, offshore wind energy production saw a 19.6% increase in 2019, and the country is now targeting a further 74.7% increase in installed turbine capacity, as shown by recent Crown Estate leasing rounds. With such rapid growth, the sector is focusing on robotics and artificial intelligence (RAI) to address challenges in lifecycle service and support sustainable, profitable offshore wind production. While RAI is currently focused on short-term operation and maintenance goals, it holds the potential to play a pivotal role across the entire lifecycle of offshore wind infrastructure, including surveying, planning, design, logistics, operations, training, and decommissioning. The paper provides one of the first systematic reviews of RAI applications in the offshore renewable energy sector, analysing state-of-the-art RAI in relation to offshore energy needs, along with a detailed evaluation of the required investment, regulation, and skills development to facilitate RAI adoption. Investments are expected to exceed USD3 billion, driven by the development of full AI and IoT-based subsea mining operations, hybrid quadrotor-track propulsion systems, and autonomous, self-learning robotic swarms. Andreu-perez (2017) explored the comprehensive explanation of the evolution of AI, its current status, and future directions, including applications in subsea environments with rapid growth in micro controller and software enhancement. The trend of applied and approved patents in artificial intelligence and robotics, as well as an example of the use of AI in advanced robots to perform certain tasks are discussed by Keisner et al. (2016). A certain comprehensive overview was reported with diverse applications of AI across various industries, including subsea mining, which provides insights into market trends and projections (Rashid, Kausik, 2024). A state-of-the-art survey explores the role of autonomous underwater vehicles in the Internet of Underwater Things innovation, highlighting their potential in subsea mining operations, as addressed by Okereke et al.( 2021).
The graph in Figure 3 shows that technology growth is accelerating, suggesting that post-2025 advancements could include fully autonomous AI-driven robotic swarms optimising seabed mining in real-time, wireless energy transfer and battery-free operation using ocean thermal gradients, quadrotor-track hybrids replacing traditional mining crawlers to increase agility and reduce energy consumption by 40%, advanced sensor fusion for real-time 3D seabed mapping with sub-millimetre accuracy, and blockchain-based autonomous operation for resource tracking and smart contracts. Ramachandran, (2025) stated the rise of autonomous UAV swarms harnessing advanced AI for
breakthrough applications, challenges, and future directions. This article explores the transformative potential of autonomous UAV swarms across various industries, highlighting the role of advanced AI methodologies such as reinforcement learning and multi-agent systems. Munir et al. (2021) focused on data fusion and AI at the edge, proposing a framework for data fusion and AI processing at the current edge of technology, which is applicable to various domains, including subsea operations. Alnahdi (2024) conducted a research survey on integrating edge computing with AI and blockchain in maritime domain, aerial systems, IoT, and Industry 4.0. This survey addressed the integration of edge computing, AI, and blockchain across various domains, including maritime applications, highlighting the potential for autonomous operations and real-time data processing. This further introduced the convergence of AI and edge computing in IoT applications, emphasising the potential for intelligent and autonomous systems in various sectors, as discussed by Bourechak et al. (2023). Marshall et al. (2006) presented an overview of the state-of-the-art in mining robotics, from surface to underground applications, and beyond. It was reviewed and confirmed that the 4IR has significantly accelerated the development of electrically powered quadrotor-track subsea robotic crawlers for offshore mineral mining.
As previously shown, Figure 3 reflects steady technological advancement, particularly after 2010, driven by the integration of AI and IoT. Key breakthroughs in high-efficiency technology have significantly increased automation and efficiency. Additionally, major investment in robotic crawlers have contributed to the projected USD3.5 billion market by 2025. Looking ahead, there is potential for self-sustaining, fully autonomous robotic mining fleets.
The rapid advancement of robotics, artificial intelligence (AI), and automation has revolutionised offshore mineral exploration and extraction, as illustrated by Marshall et al. (2006) and Nakano (2025). Sea mining is becoming an essential solution to support industries like renewable energy, aerospace, and electric vehicle manufacturing (Larbey et al., 2021) and Whittle and Yellishetty (2023), stated that cutting-edge technological systems combined with mobility has been unlocking America’s critical minerals stability and efficiency in offshore tooling of mining systems, offering unparalleled precision and operational efficiency in

extreme extraction environments. Subsea engineering needs of deep-sea mineral mining and methane hydrate extraction highlight the synergies with the subsea oil and gas supply chain. It emphasises the technological challenges and environmental considerations associated with these activities showing the synthesis of the empirical evidence from experimental seabed mining and parallel industries to infer the effects of seabed mineral extraction on marine ecosystems, focusing on polymetallic nodules and ferromanganese concretions (Kaikkonen et al., 2018). Filho et al. (2021) reviewed the potential risks associated with deepseabed mining when utilising inappropriate tooling systems, with a particular focus on legal frameworks and environmental impacts. It presents case studies that illustrate environmental risks linked to seabed mineral extraction processes and offers strategic recommendations to mitigate these risks. Special consideration is given to preventing adverse physical and environmental effects in mining operations that lack sensor technologies. Additionally, the study examines advancements in polymetallic nodule mining technologies, highlighting emerging positive trends and future developments in deep-sea mining operations, as can be seen in Fgure 5.
Several companies are actively developing technologies for seabed material collection, focusing on innovative designs for harvesting polymetallic nodules and sulfide deposits. These systems often employ vacuum-based dredging techniques to systematically extract large sections of the seafloor, supported by hydraulic pumps and deep-sea riser systems that transport the collected materials to surface vessels or platforms. The extraction of sulfide deposits near hydrothermal vents or along the slopes of undersea ridges may involve advanced drilling and cutting mechanisms to fracture the seabed crust, followed by material transport using similar hydraulic lifting systems. This approach aligns with the methods discussed by Howard (2021 b). The International seabed authority (ISA), (2021) provided an overview of scientific and technological advancements in marine mineral resource exploration and extraction, including the use of subsea crawlers like the MK3 ROST. It is designed for deployment by remotely operated vehicles (ROV) or via deck launch and is rated for water depths up to 150 metres. The Mag Crawler captures high-quality, non-destructive testing data with fine motor controls and is equipped with onboard, backlit cameras that provide real-time visuals. Microchips and other microelectronic components in which a range of different substances are effectively fused together present a particular challenge. Because most electronic scrap cannot be recycled, many industrialised nations export it into developing and newly industrialising countries as


waste. In some cases, it is still being transported illegally overseas. Companies involved in such activity claim to recycle the scrap and are paid accordingly. But instead of recycling it in a technically complex manner, they save money by exporting it to reuse in mined metals and industrial minerals utilised for the manufacturing of consumer goods and machinery extracted from onshore resources (Lehmköster, 2022 a).
According to Lehmköster (2022 b), large-scale industrial mining of manganese nodules is currently unfeasible due to the absence of market-ready mining machines. While Japan and South Korea have developed and tested prototype systems in recent years, these technologies still require significant improvements. In response to this challenge, the German Federal Institute for Geosciences and Natural Resources – Bundesanstalt für Geowissenschaften und Rohstoffe (BGR) initiated a design study for deep-sea mining equipment to be deployed within Germany’s licensed area in the Clarion-Clipperton Zone (CCZ). Among the companies involved in this initiative was a firm with expertise in manufacturing machines for diamond mining in the Atlantic Ocean off the coast of Namibia. The development of advanced underwater vehicles capable of efficiently extracting minerals, while navigating complex seabed terrains, is critical to the economic viability of deep-sea mining operations. These vehicles must be engineered to operate at extreme depths of approximately 6,000 metres, where they endure pressures of up to 60 MPa (Stella, Little, 2024).
Using Figure 7 as an illustration, Weiser (2018) describes polymetallic sulfide deposits, which are primarily located in underwater volcanic regions and seafloor spreading zones, where hydrothermal vents release mineral-rich fluids that precipitate into sulfide towers. These deposits, found at depths ranging from 1,000 to 4,000 metres, present a valuable, yet moderate opportunity for mineral extraction. Various subsea technologies, including remotely operated vehicles (ROV), autonomous underwater vehicles (AUV), and mining crawlers, facilitate efficient resource collection while minimising environmental impact. Seafloor production tools (SPT) incorporate mining equipment designed for rock cutting or drilling, along with a collection vehicle that connects to a primary support vessel (PSV) via risers. These risers must be resistant to abrasive materials, as they transport a slurry of crushed rock and water. Onboard the PSV, processing infrastructure—such as dewatering plants and mineral extraction facilities—may be required, with a combination of onboard processing and storage, depending on logistical constraints and environmental regulations (Enterprise, 2018). A compact subsea mining vehicle has been proposed for cobalt-rich crust mining, integrating essential functionalities such as mobility, crushing, sample collection, cutter head adaptation,
positioning, and navigation. Prototype testing, conducted in both controlled tank environments and real subsea conditions, demonstrated effective track movement and successful crust collection. However, plume formation during operations affects camera visibility, highlighting the need for sonar-based navigation in certain scenarios for deep-sea mineral extraction (Xie et al. 2022 a). The exploration of subsea environments necessitates advanced sensing, imaging, and sample retrieval techniques. Still cameras and television systems extend human vision into deep waters, while sonar and seismic sounding provide high-resolution mapping of the underwater terrain. Side-scan sonar enables the surveying of vast oceanic areas as well as detailed site investigations, while seismic profiling provides insights into subsurface geological formations. Sample collection techniques, such as draglines, grabs, and corers, play a crucial role in biological and geological analysis. Furthermore, advancements in genetic testing have significantly improved species identification and comparative research (Seabed Technology, 2022). Diamond mining is conducted through four primary methods: open-pit mining, underground mining, alluvial mining, and marine mining. Open-pit mining involves the removal of overlying rock layers to access kimberlite deposits, whereas underground mining utilises a system of tunnels to extract ore from kimberlite pipes. Alluvial mining takes advantage of natural erosion processes, recovering diamonds from riverbeds and beaches. In contrast, marine mining utilises specialised vessels equipped with crawlers or drills to extract diamonds from the seabed. Namibia’s coastal waters constitute a major source of marine diamond deposits, contributing approximately 64% of the country's total diamond production (Oluleye, Gbemi, 2021). According to Analytics, International and Authority (2025), the highest growth in demand for minerals is anticipated within the current decade, followed by a slower increase post-2030. However, supply chain bottlenecks for key minerals are expected to arise before 2035 due to limitations in tooling technology. While deep-sea mining has been explored as a potential solution, large-scale commercial extraction remains in early developmental stages due to technological and regulatory hurdles. Many deep-sea mining companies, including The Metals Company, foresee commercial operations commencing only in the latter part of the decade, contingent upon the establishment of clear regulatory frameworks. Additionally, concerns persist regarding the cost-effectiveness of deep-sea mining compared to terrestrial alternatives, with estimates suggesting that seabed restoration expenses may exceed potential revenues.


Sensor-based control mechanism
As illustrated in Figure 8, Seascape developed a conceptual design for a seabed dredger excavator (SBDE), a multipurpose bottomtracking vehicle optimised for deep-water dredging. The SBDE is a modified 28-tonne excavator equipped with electric-hydraulic power packs that support a 275-kW dredge pump and a 130-kW jet pump. It operates remotely via a control container utilising joystick and touchscreen graphical user interface (GUI) controls, integrating sonar, GPS real-time kinematic (RTK) positioning, and 3D visualisation software. Designed to function at depths of up to 100 metres, the SBDE is connected through a 400-metre umbilical cable and employs a 12-inch floating deep sea riser for material transport seabed dredging excavator and seascape technology (BV, 2017). Other mining crawlers employ similar systems but utilise different control mechanisms, such as sensor positioning and safety parameters. As depicted in Figure 8, SBDE has designed and analysed a 100-metre depth crawler with the following functions:
Deep sea integrated floating riser for mining (1)
The deep-sea integrated floating riser (IFR) plays a critical role in subsea mining operations by enabling the transport of orerich slurry from the seabed to surface processing units. The IFR system incorporates advanced composite materials and reinforced polymers designed to withstand high hydrostatic pressures and dynamic oceanic forces. Key features of this system include highcapacity pumps, hydrodynamic dampers for motion stabilisation, and real-time monitoring systems for structural integrity and environmental safety. Furthermore, the IFR integrates sediment plume containment and automatic disconnection mechanisms to mitigate environmental impact in extreme deep-sea conditions (Wang et al., 2011; Liu et al., 2011; Lui et al., 2022; Ma et al., 2022; Wu et al., 2020; Ma et al., 2017; Wu et al., 2020; Zhu et al., 2021; Li,Lui, 2009; Xiao et al., 2020; Xiao et al., 2019).
Umbilical wire (2)
The subsea crawler umbilical wire is a critical component in deep-sea operations, providing power, data communication, and mechanical support to robotic crawlers used for seabed intervention, mining, and pipeline inspection. The umbilical must maintain a balance between strength and flexibility, incorporating abrasion-resistant sheathing, electromagnetic shielding, and buoyancy management to ensure reliable performance in extreme underwater environments. Some systems also integrate hydraulic or pneumatic lines for specialised tooling and buoyancy control, further enhancing operational capabilities (Chen et al., 2021). Fard et al. (2018) proposed a methodology for selecting appropriate
voltage levels and power cables in AC distribution systems for subsea vehicles, including remotely operated vehicles (ROV), seafloor trenchers, and subsea mining machines. Their design framework considers a wide range of cable lengths and power demands (up to 7 MW), integrating both electrical and mechanical factors to optimise cable performance. Key parameters in the selection process include voltage drop, power loss, reactive power exchange, conductor cost, and mechanical tension forces acting on the cable. A four-wire umbilical solution was proposed to enhance communication between subsea equipment and topside control systems. The study provides an overview of subsea oilfield systems and analyses key electrical parameters affecting subsea communication. A technical assessment of the four-wire approach demonstrates its potential to improve umbilical cable efficiency. Additionally, an alternative arrangement for implementing this technology is introduced, along with a discussion of its operational benefits and potential applications in subsea environments (Bessa, 2018; Saneian et al.,2019; Lu et al, 2019; Wang et al., 2018.
Subsea crawler electronic pod (3)
The E-pod is a critical component that houses and protects the electronic and control systems of a subsea crawler, enabling underwater exploration, inspection, and excavation. Designed to withstand extreme underwater conditions, this enclosed system ensures power distribution, control system management, and sensor applications, facilitating telemetry transmission to the control platform and real-time data communication via Ethernet, fibre optics, or acoustic modems. Key design considerations include pressure resistance, thermal management, and electromagnetic shielding to maintain operational reliability in deep-sea environments (Zhang et al., 2018). The implementation of allelectric subsea technology by Total E&P Netherlands BV in the K5F field of the North Sea has demonstrated significant improvements in reliability, cost efficiency, and safety by replacing traditional hydraulic systems with electric alternatives. Since 2008, the world’s first all-electric subsea production trees have been in operation, with subsequent advancements, including the development of a fully electric downhole safety valve in collaboration with Halliburton and Statoil for e-pods. Applying this all-electric approach to an e-pod-controlled subsea crawler could offer similar benefits, such as increased reliability, reduced infrastructure and maintenance costs, enhanced real-time monitoring, and improved safety by eliminating hydraulic system failures with advanced sensors ensconced in e-pods (Mackenzie et al., 2016)
The track system of a subsea mining crawler consists of several components responsible for autonomous movement. The undercarriage includes a sprocket, final drive unit, track shoe, carrier roller, track frame, track chains, and a front idler. Among these, the final drive unit plays a crucial role in transmitting power from the engine while increasing torque to enable efficient track automation. According to Fang et al. (2020), West-Trak (2019), and Engineering (2022), the transmission system for this arrangement operates at a low speed of 3.6 km/h, with a maximum speed of 5.5 km/h. This speed range is achieved through a motor-driven rotation of 2,000 rpm, ensuring stable and controlled movement in demanding operational environments.
The subsea mining crawler hydraulic knuckle boom is an advanced
robotic arm system designed for deep-sea excavation and material handling. It consists of multiple knuckle-like pivot points connected to the nozzle, enabling high flexibility and precise movement in harsh underwater environments during suction operations. The knuckle boom is powered by high-pressure hydraulic actuators, allowing it to lift, position, and manipulate heavy loads such as mineral-rich nodules, sediments, or excavation tools. Its design ensures stability and efficiency in subsea mining operations, even under strong currents and high-pressure conditions. Integrated sensors and control systems provide real-time feedback, enhancing precise manoeuvring and automation (Jensen et al., 2020). The knuckle boom is typically mounted on a tracked crawler platform, which traverses the seafloor to extract resources while minimising environmental disturbance. Unlike conventional actuator joint Cartesian systems, knuckle booms are controlled using algorithms that operate in actuator space. This approach ensures that most system parameters and constraints remain either linear or constant, significantly simplifying control algorithms and path generation. Consequently, it enhances precision, reduces computational complexity, and improves motion planning efficiency in dynamic subsea environments.
Subsea crawler suction nozzle (6)
The subsea crawler suction nozzle is a specialised intake system designed for efficient material extraction from the seafloor. It operates by generating a powerful vacuum to lift sediments, mineral-rich nodules, gold, diamonds or other targeted materials while minimising water turbulence. Engineered for deep-sea conditions, the nozzle features adjustable flow control mechanisms to optimise suction power based on varying seabed compositions. Integrated with the crawler’s hydraulic and filtration suction system, the suction nozzle ensures efficient material transport while preventing clogging and excessive sediment dispersal. Advanced designs may incorporate reinforced edges, rotating brushes, or water jets to enhance collection efficiency. This component plays a critical role in subsea mining and dredging operations, enabling precise and controlled excavation with minimal environmental impact (Tooling et al., 2018; Arcangeletti et al., 2021; Hunter, Joseph, 2007; Swire Seabed, 2008).
Subsea mining centrifugal jet pump for breaking the seabed (7)
The subsea mining centrifugal jet pump is a high-powered excavation system designed to efficiently dislodge and break up the seabed for resource extraction. Utilising a high-speed rotating impeller, it generates a strong jet of pressurised water to erode and fragment compacted sediments, mineral-rich nodules, or hard seabed materials. This process reduces reliance on mechanical cutting tools, thereby minimising wear and tear while ensuring continuous operation in deep-sea environments. The jet pump is integrated with a suction system that simultaneously lifts the loosened materials for processing. Engineered for high efficiency and minimal environmental disturbance, it enhances subsea mining operations by optimising sediment displacement, improving material recovery rates, and reducing operational downtime (Pump, 2022; Hu et al., 2022; Hu et al., 2022; Su et al., 2020; Wang et al., 2023; Hong, Hu 2022).
Subsea dredging pump driven by a 3.3 kW electric motor (8)
The subsea dredging pump, driven by a 3.3 kW electric motor, is
a compact and energy-efficient system designed for underwater excavation and sediment removal. The pump utilises an electricdriven impeller to generate high suction power, efficiently lifting and transporting seabed materials such as sand, silt, and mineralrich deposits. With a 3.3 kW motor, the system balances power consumption and operational efficiency, making it suitable for deployment on remote or autonomous underwater vehicles. Its corrosion-resistant design ensures durability in harsh subsea environments, maintaining performance under high-pressure and variable flow conditions. The pump is integrated with a variablespeed control system, allowing precise adjustments for different dredging applications. This technology enhances subsea mining, offshore maintenance, and environmental remediation by providing a reliable, low-maintenance alternative to traditional hydraulic dredging pumps (IMDH Group, 2016; Efficiency, 2023; Excav 8, 2024; Romero, Hupp, 2014; Martins et al., 2020).
Slurry hose for jet pump on crawler (9)
The slurry hose for the jet pump on a crawler arm is a flexible, high-durability conduit designed to transport seawater through the centrifugal pump during seabed excavation and dredging operations. Engineered to withstand high-pressure flow and abrasive slurry particles, the hose features reinforced internal wire construction, ensuring reliable operation in deep-sea environments while minimising wear and tear. Integrated with the crawler arm, the hose allows for dynamic movement and precise positioning, facilitating targeted seabed excavation. Additionally, it is designed for optimised flow dynamics, reducing clogging and energy losses while improving overall operational efficiency (Deepak et al., 2007; Kumar et al., 2020).
Hydraulic valve packs 1, 2, and 3 for crawler hydraulic control system (10)
Hydraulic valve pack 1, 2, and 3 forms the core of the crawler’s hydraulic control system, enabling precise regulation of fluid flow for various actuators and functions. Each valve pack is strategically designed to control specific hydraulic subsystems, including propulsion, arm movement, and jet pump operation. These highpressure, corrosion-resistant valve units ensure efficient energy distribution while maintaining system stability in harsh subsea environments. The system integrates electro-hydraulic proportional control, allowing real-time adjustments to optimise performance and response (Elsaed, Linjama, 2023). To enhance redundancy and reliability, the valve packs are designed to ensure fail-safe operation, preventing system failures in mission-critical subsea mining and dredging tasks. Their modular architecture facilitates maintenance, scalability, and adaptability for various crawler configurations and operational demands (Haga et al., 2019; Bohacz, 2019; Venter, Sabunet, 2017; Yoon et al., 2012; Hu, Meng, 2020).
Subsea dredging electrical motor (11):
The electrical motor used in deep-sea excavation is a high-efficiency, corrosion-resistant system designed to power dredging pumps in subsea mining operations. This system enhances performance by ensuring reliable power delivery in extreme underwater conditions, making it a critical component in subsea excavation technologies (Bosch Rexroth AG, 2014). Vercruijsse and Lotman, (2010), Shi et al., (2015), Tamunodukobipi, Nitonye and Adumene (2018), Wang et al. (2024), and Loginov et al. (2012) stated that deep-sea motors are engineered for optimal reliability, torque, and speed control,
ensuring efficient slurry transport and seabed material extraction. These motors feature sealed enclosures and specialised insulation to withstand high-pressure environments and prevent water ingress. Integrated with variable frequency drive (VFD) technology, the motor allows precise speed adjustments to adapt to different dredging conditions and sediment types. Its energy-efficient design reduces power consumption while maintaining high performance, making it a more environmentally friendly alternative to hydraulic systems. This motor technology enhances subsea mining, offshore maintenance, and environmental dredging by providing a durable, low-maintenance, and high-power solution.
Jet pump electrical motor (12)
Sazonov et al. (2020) stated that electric motors used in jet pump designs are engineered for high performance, generating highspeed water jets to dislodge compacted sediments, mineral-rich deposits, and hard seabed layers, thereby facilitating smoother material extraction. These motors are sealed and corrosionresistant, ensuring long-term operation in high-pressure underwater environments without performance degradation. Integrated with variable speed control, the motor allows precise jet flow adjustments to optimise dredging efficiency based on seabed conditions. Its energy-efficient design minimises power consumption while maximising water jet force, reducing mechanical wear on excavation equipment. This motor-driven jet pump system enhances subsea mining, offshore trenching, and environmental remediation by improving excavation speed and precision Toteff et al., 2022).
Ocean floor mining crawler boom cylinder (13)
The ocean floor mining crawler boom cylinder is a highpressure hydraulic actuator designed to control the movement and positioning of boom arms in subsea mining operations. Engineered for extreme underwater conditions, it ensures precise force application and stability when manipulating excavation tools, suction nozzles, or cutting heads, making it a crucial component in deep-sea resource extraction (Jovanovic et al., 2016; Sulaiman et al., 2016; Costa, Sepheri, 2020). This hydraulic cylinder is built to withstand high pressure, saltwater exposure, and abrasive sediments. Integrated real-time feedback sensors enable automated and remote-controlled adjustments, optimising efficiency during seabed excavation. Its heavy-duty sealing and optimised hydraulic flow ensure smooth operation with minimal maintenance, reducing downtime in deep-sea mining missions. This component plays a critical role in seabed resource extraction, subsea construction, and deep-sea excavation by enhancing crawler mobility (Sulaiman et al., 2015; Zhang et al., 2024; Lee et al., 2019; Sun et al., 2025).
Telemetry sensor position system with GPS RTK with antenna (14)
The crawler telemetry sensor positioning system, utilising GPS real-time kinematic (RTK) with an antenna, provides high-precision positioning for subsea applications. This system enhances realtime location tracking, ensuring accurate navigation and control in marine operations, particularly for autonomous and remotely operated subsea vehicles (Paull et al., 2013; Underwater, 2014; Olivart et al., 2020; Moreno-Salinas, Sánchez, 2020; Sakic, 2021; Building, Honcho, 2024).
Communication and data transmission:
Subsea crawlers utilise both tethered (fibre optic) and wireless
(acoustic, optical, RF) communication methods for data transmission. Fibre optics provide high-bandwidth, real-time control, whereas acoustic modems enable long-range, low-speed communication (Pallavi, Sreenivasulu, 2021; Tonge et al., 2023). Raj et al. (2019) proposed an improved method for transmitting data from sensor nodes to surface gateways in a hierarchical manner through multiple channels. Optical systems, such as laser and LED-based transmission, offer high-speed data transfer but require clear water and are effective only over short distances in underwater environments (Cohan, 2008). RF signals are suitable for shallow waters but experience significant signal attenuation in deep-sea environments. To enhance efficiency, onboard data processing optimises transmission, while relay stations extend the communication range. Future advancements in AI-driven data optimisation, hybrid communication networks, and satellite integration are expected to improve efficiency, autonomy, and global connectivity in subsea operations (Sulaiman et al., 2016; Intelligence, 2018; Sikdar et al., 2018; Stevens, Jolly, 2021; Wei et al, 2021; Saoud et al., 2024; Bello et al., 2024).
As illustrated, Wega (2013) and Choi (2023) stated that improvements in offshore mining using crawlers have focused on minimising ecological disruption while ensuring efficient resource extraction while MacDiarmid et al. (2014), Vogt (2022), Filho et al (2021b), and Ummah (2019b) have discussed advanced sediment control systems for integrated tooling, which help reduce turbidity and prevent excessive dispersion of seabed materials, thereby protecting marine habitats. Low-impact track designs distribute crawler weight evenly, minimising substrate disturbance and preserving benthic ecosystems. Real-time monitoring sensors track water quality, noise levels, and ecosystem impact, enabling adaptive operations to mitigate environmental risks. Additionally, the use of biodegradable hydraulic fluids and energy-efficient electric systems helps reduce pollution and carbon footprint. Strict adherence to regulatory frameworks and sustainable mining practices ensures that offshore mining operations remain environmentally responsible while maximising resource recovery, stated by Glaviano et al. (2022) and Yaroshenko et al. (2020).
Autonomy and AI integration in crawler microcontrollers
Christensen et al. (2022), Chi et al. (2024), and Naga et al. (2023) have conducted similar research on autonomy and AI integration in remotely operated vehicle (ROV) microcontrollers, emphasising their role in enhancing real-time decision-making, navigation, and operational efficiency for offshore mining. AI-driven algorithms process sensor data to optimise movement, adjust dredging parameters, and detect obstacles, thereby reducing human intervention. Their research further highlights that microcontrollers integrate machine learning models to predict seabed conditions and adapt excavation strategies for improved efficiency. Autonomous path planning enables the crawler to navigate complex underwater terrain while avoiding environmental hazards and optimising resource extraction. Additionally, edge computing capabilities allow for rapid onboard data processing, minimising communication delays in deep-sea operations. This AI-powered system significantly improves operational reliability, energy efficiency, and precision in subsea mining and dredging applications (Li et al., 2019; Huang, Savkin, 2017; Abdullah et al., 2024; Xie et al., 2023; Khan et al., 2022).

Energy efficiency and power management in mining crawlers
Mining crawlers optimise energy consumption to enhance operational longevity and reduce environmental impact, according to Ojumu (2022), Duraccio and Mussano (2015), Ukoba et al. (2024), Biswas et al. (2024), Li et al. (2023), Choi and Kim (2024), U.S. Department of Energy, (2019), and Thomas (2023). Furthermore, Geertsma et al. (2017), Stimmel (2016), Hirata et al. (2022), Jones et al. (2019), Muthugala et al. (2021), Geertsma et al. (2017), Piñeiro et al. (2004), Jones et al. (2019), and Hirata et al. (2022) described smart power distribution algorithms as a dynamic system, which allocate energy to critical control signals, ensuring efficient propulsion, dredging, and sensor operations. Regenerative power systems harness energy from braking and quadrotor rover movements, improving overall efficiency and reducing wastage. Advanced battery management and hybrid power sources integrate renewable energy options, such as fuel cells or subsea charging stations, to extend mission endurance. AI-driven monitoring systems continuously analyse power usage patterns, enabling realtime adjustments for optimal performance. This energy-efficiency approach enhancement for crawler sustainability, cost-effectiveness, and environmental compliance in deep-sea mining operations is mentioned by Mikołajczyk et al. (2023), Duraccio and Mussano, (2015), Bamisile et al., (2024), and (Bamisile et al., 2024).
The quadrotor crawler autonomous navigation structure, as seen in Figure 9, follows a systematic approach that integrates control, motion planning, and environmental perception to ensure efficient navigation, which appeared in similar research reported by Zheng et al. (2017), Alanezi et al. (2022), Kovryzhenko et al. (2024), and Saeedi et al. (2016). According to Gao and Shen (2016), Zheng et al. (2017), and Zhong et al. (2024), the control system for autonomous quadrotors are integrated in real-time re-planning capabilities, combining motion planning with environmental perception to enhance navigation efficiency. This process begins with trajectory tracking and control allocation, where the system manages movement through a control allocator. The microcontroller processes control signals and transmits them to execute the mission objectives. Motion planning and path search enable the crawler to navigate optimised routes while avoiding obstacles, further refined by model matching and obstacle avoidance mechanisms, which enhance environmental mapping and decision-making. Once motion planning is finalised, the system ensures environmental
readiness before initiating movement, ensuring smooth operation, as outlined by researchers such as, Pandey (2016; 2017), Bello and Baballe, (2023), and Anand et al. (2024).
According to Olusegun (2025) and Al-Jumaili and Özok (2024), navigation, trajectory generation, and process handling execute the planned motion while considering environmental factors, while real-time positional feedback from sensors, GPS, and location acquisition modules, enhance autonomous movement, as mentioned by Abdallaoui et al. (2023), as well as Zimmermann and Wotawa (2020). To maintain safety, the system incorporates emergency handling and auto-off mechanisms, which shift the GPS to auto-control mode in case of unforeseen conditions, as stated by Svensson (2018) and Abdallaoui et al. (2023). Additionally, Xu et al. (2021) stated that operators can override autonomy using joystickbased manual controls when necessary. The decision-making and adaptive control module continuously evaluates conditions, dynamically adjusting navigation for efficiency and safety in realtime operations (Katona et al., 2024; Safety D, 2020).
This paper highlighted the transformative role of the 4IR in advancing offshore mineral mining through the integration of electrically powered quadrotor-track subsea robotic crawlers. The rapid evolution of automation, artificial intelligence, sensorbased control mechanisms, and hybrid propulsion systems has significantly enhanced the efficiency, manoeuvrability, and adaptability of subsea crawlers in extreme underwater environments, as presented in the results.

Table 4
Benefits, methods, and challenges in offshore mineral mining with electrically powered quadrotor-track subsea crawlers in Industry 4.0
Application Area Methods Used
Path Planning, Obstacle avoidance, Adaptive mobility
A/D algorithm, D* Lite, reinforcement learning, Sensor fusion (IMU, LiDAR, depth cameras)
Marine environment assessment
Control and navigation
Eco-conscious path planning. Environmental sensing, redundant communication.
Real-time monitoring, restoration data analysis
MPC, RL-based control, PID, RRT/A planning, SLAM, Sensor fusion, Acoustic positioning, DTN, swarm routing, AI-based compression
Energy and fault management RL energy management, Faulttolerant control, Genetic algorithm, A search, Digital twins, Bayesian optimisation, Cloudbased AI
Data-driven decision making AI/ML decision support, RL, Fuzzy logic, Big data (Hadoop, Spark), MCDA, Blockchain compliance, Emission modelling
Condition monitoring and reliability
Safety and integration
Predictive maintenance and control
CBM, FDI, Selfhealing, RL, Explainable AI, Fuzzy logic, Bayesian networks
Hazard detection, RL safety mechanisms, Kalman and particle filters, Digital twin, IoT Edge processing, Blockchain integration
MPC, RL, SLAM, Kalman filters, Predictive maintenance (AI/ML)
References
Maus et al. (2022); Igogo et al. (2021); Christensen et al. (2022); Oluokun et al. (2025); Toledano et al. (2012); Song and Zhang (2023); Luo et al. (2020); Almazrou et al. (2023); Tiwar et al. (2025), Leong and Ahmad, (2024); Min et al. (2024); Mai et al. (2024); Ball and Lieberman (2024); Zhu, et al. (2024); (Liu, et al. (2022); Chen et al. (2022); Kulathunga, (2022); Mendez et al. (2021).
Moloney (2006); Farran (2022); Liu et al. (2023); Leal Filho et al. (2021a); Sharma (2011); Sharma (2015); Van Dover et al. (2017); Metaxas et al. (2024); Verma (2024); Sumaila et al. (2023); Sharma (2015); Hercus (2023); Murdock (2023); Sun et al. (2024); NOAA Office of Ocean and Coastal Resource Management (2010); Donaldson (2018); Amazon.Inc (2020); Canada (2018); Ocean Trustee Implementation Group, (2019); Sun et al. (2024); Ummah (2019b).
Yoo et al. (2025); Kong et al. (2022); Meftah et al. (2024); Wang et al. (2020); Eskandari et al. (2021); Sharmilan and Abeysekara (2024); Yang et al. (2020); Xiao et al. (2022); Hadi et al. (2021); Christensen et al. (2022); Wang et al. (2022).
Shields and Young (1989); Marijan and Sen (2018); Meszle et al. (2020); Lutsey et al. (2017); Emmanuel (2024); Bauer (2017); Haraburda and Zilafro (2012); A. and C. (2011); Marijan and Sen (2018); Puppet Labs (2015); Mathur and Chaudhary (2024); Fang et al. (2025); Ma et al. (2024); Parvin et al. (2021); Zhao et al. (2022); Zhong et al. (2023); Recalde et al. (2024); Alhamrouni et al. (2024); Dahiya et al. (2024);Kowalski (2023).
Ministry et al. (1996); Raji et al. (2024); Olanrewaju et al. (2024); Cantor et al., (2021), Broms and Olsson (2021); Robinson et al. (2014); Chinnaraju (2025); Ikegwu et al. (2022); Paramesha et al. (2024).
Ucar et al. (2024); Raza (2024); Emma (2025); Prabu et al. (2025); Mohapatra (2024); Potter and Doris (2024); Vassileva et al. (2014); Jang et al. (2023), Mansouri et al. (2020); Wang et al. (2022); Baballe et al. (2022); Shin and Jun (2015); Teixeira et al. (2014); Zhu et al. (2023).
Wang and Guo (2023); Aber et al. (2021); Aziz et al. (2020); Molaei et al. (2020); Yaqot and Menezes (2023); Saganiak and Buketov (2024); Toledano et al. (2022); Dudley and McAree (2013); DIS (2016); Soderbaum (2020); Biernacki (2025); Menges et al. (2024); Biswas and Wang (2023); Zhukabayeva et al. (2025); Ucar et al. (2024); Yu and He (2022).
Becker et al. (1997); Ross et al. (2000); Arts et al. (2007); Lau and Song (2008); Report (2015); Ferrer et al. (2016); Lau and Song (2008); Wang and Ahmad (2024); Oladele (2025); Ernst et al. (2009); Sun et al. (2024).
Main advantages
Enhanced accessibility to mineral-rich areas using advanced software.
Main disadvantage
Energy efficiency and power supply limitations.
Reduced environmental impact. Harsh deep-sea conditions.
Improved manoeuvrability and precision
Navigation and communication constraints
Continuous operation and increased efficiency
High development and deployment costs
Data-driven decision-making Environmental and regulatory concerns
Lower maintenance costs and longer lifespan
Autonomy and AI reliability
Safer mining operations Integration with existing mining infrastructure
Multi-modal deployment capabilities
Limited repair and maintenance options
Table 4 (continued)
Benefits, methods, and challenges in offshore mineral mining with electrically powered quadrotor-track subsea crawlers in Industry 4.0
Application Area Methods Used References Main advantage Main disadvantage
Swarm intelligence and ethics Swarm intelligence, Plug-and-play Middleware (ROS), Explainable and ethical AI, Distributed computing
Industrial IoT and smart automation
IIoT, Edge AI, Digital twins, Predictive maintenance, Modular software integration, Cloud/Edge for Infrastructure
Thomson and Abadi (2013); Islam et al. (2023); Sun (2019); Sugiura et al. (2017); Rao (2021); Vision (2025b); Martínez et al. (2024); Engineering (2020); Soldatos and Kyriazis (2021); Schmidt and Ahlström (2024); Digest (2017).
Özenir and İpek (2022); Al Mawali et al. (2021); Abdullah et al. (2022); Shadravan and Parsaei (2024); Sanghavi et al. (2019); Bakhtari et al. (2020); Broto Legowo and Indiarto (2021); et al. (2024), Asadollahi-Yazdi et al. (2020); Manufacturing (2024); Shanbhag et al. (2023); Abdul-Yekeen et al. (2024); Prozessindustrie (2025); Dervişoğlu et al. (2023); Shanbhag et al. (2023).
The integration of real-time AI-driven control mechanisms, and hybrid communication networks (fibre optics, acoustic, RF, and satellite integration) has enabled unprecedented advancements in deep-sea exploration and mining. The incorporation of quadrotorassisted mobility into traditional track-based crawlers has addressed key challenges related to hydrodynamic stability, seabed navigation, and excavation efficiency, as illustrated in Figure 10. These improvements not only optimise the performance of robotic mining crawlers but also ensure minimal environmental impact through precise excavation, real-time monitoring, and reduced turbidity.
A key finding of this study is the introduction of hydraulic crawlers, using its advancement in electrically powered systems, significantly for enhancing its energy efficiency, reducing operational costs, and improving long-term sustainability. The adoption of variable frequency drives (VFD), advanced telemetry systems (GPS RTK-based navigation), and AI-powered decisionmaking algorithms has further strengthened the autonomous capabilities of subsea crawlers, enabling real-time adaptation to complex underwater terrains.
Despite these advancements, challenges remain in power management, endurance, and real-time data transmission across large operational depths. Future research should focus on wireless energy transfer technologies, AI-optimised mission planning, and AI-powered underwater robotic swarms for collaborative deep-sea mining. Additionally, the implementation of blockchain-based autonomous operations could improve transparency, resource tracking, and efficiency in offshore mining as designed and introduced in Figure 10.
In conclusion, the findings of this systematic review established that electrically powered quadrotor-track subsea robotic crawlers represent a breakthrough in deep-sea mining technology. By leveraging AI, automation, and sustainable power solutions, these systems can drive the next generation of autonomous subsea excavation, environmental monitoring, and global offshore resource extraction, paving the way for a more efficient and sustainable approach to deep-sea dredging operations.
Acknowledgments
This study was funded by the Cape Peninsula University of Technology (CPUT), Cape Town, South Africa.
Scalability and modularity Public perception and ethical concerns
Alignment with Industry 4.0
High initial investment costs
The authors declare no conflict of interest.
References
Abdallaoui, S., Ikaouassen, H., Kribèche, A., Chaibet, A., Aglzim, E.H. 2023. ‘Advancing autonomous vehicle control systems: An in‐depth overview of decision‐making and manoeuvre execution state of the art’. The Journal of Engineering, vol. 11, pp. 1–16. Available at: https://doi.org/10.1049/tje2.12333
Abdul, Y., Abideen, M.R., Opeyemi, A., Maryam, A.S., Azeezat, K., Victoria, A., Tawakalit, O. 2024. ‘Utilizing the Internet of Things (IoT), Artificial Intelligence, Machine Learning, and Vehicle Telematics for Sustainable Growth in Small and Medium Firms (SMEs)’. Journal of Artificial Intelligence General Science, vol. 5, no. 1, pp. 237–374. Available at: https://doi.org/10.60087/jaigs.v5i1.197
Abdullah, A., Chen, R., Blow, D., Uthai, T., Du, E. J., Islam, M.J. 2024. ‘Human-Machine Interfaces for Subsea Telerobotics: From Soda-straw to Natural Language Interactions’, pp. 1–37. Available at: http://arxiv.org/abs/2412.01753
Abdullah, F.M., Saleh, M., Al-Ahmari, A.M., Anwar, S. 2022. ‘The Impact of Industry 4.0 Technologies on Manufacturing Strategies: Proposition of Technology-Integrated Selection’. IEEE Access, vol. 10, pp. 21574–21583. Available at: https://doi.org/10.1109/ACCESS.2022.3151898
Aizelman, I., Magazinnik, D., Feldman, D., Klein, I. 2024. ‘Quadrotor with wheels: design and experimental evaluation’ Scientific Reports, vol. 14, no. 1, pp. 1–13. Available at: https://www.nature.com/articles/s41598-024-66396-0
Ajay, A., Devika, S., Megha, A.J., Praseetha, S., Shyba, Z. 2024 ‘Implementation of Online Path Planning and Obstacle Avoidance Using Yolo for Autonomous Mobile Robots’ Journal of Mechanics Engineering and Automation, vol. 6, no. 4. Available at: https://doi.org/10.17265/2159-5275/2016.04.005
Alanezi, M.A., Haruna, Z., Sha’aban, Y.A., Bouchekara, H.R.E.H., Nahas, M., Shahriar, M.S. 2022. ‘Obstacle Avoidance-Based Autonomous Navigation of a Quadrotor System’. Drones, vol. 6, no. 10, pp. 1–19. Available at: https://doi.org/10.3390/ drones6100288
Alanhdi, A., Toka, L. 2024. ‘A Survey on Integrating Edge Computing With AI and Blockchain in Maritime Domain, Aerial Systems, IoT, and Industry 4.0’, IEEE Access, pp. 28684–28709. Available at: https://doi.org/10.1109/ ACCESS.2024.3367118
Alhamrouni, I., Abdul Kahar, N.H., Salem, M., Swadi, M., Zahroui, Y., Kadhim, D.J., Mohamed, F.A., Alhuyi, N.M. 2024. ‘A Comprehensive Review on the Role of Artificial Intelligence in Power System Stability, Control, and Protection: Insights and Future Directions’. Applied Sciences vol. 14, no. 14. Available at: https://doi.org/10.3390/app14146214
Al-Jumaili, M.H., Özok, Y.E. 2024. ‘New control model for autonomous vehicles using integration of Model Predictive and Stanley based controllers’. Scientific Reports, vol. 14, no. 1, pp. 1–15. Available at: https://doi.org/10.1038/s41598-02469858-7
Almazrouei, K., Kamel, I., Rabie, T. 2023. ‘Dynamic Obstacle Avoidance and Path Planning through Reinforcement Learning’. Applied Sciences, vol. 13, no. 14. Available at: https://doi.org/10.3390/app13148174
Amazon.Inc 2020. ‘Amazon Sustainability Report’, Amazon [Preprint]. Available at: https://sustainability.aboutamazon. com/2020-sustainability-report.pdf
Amon, D.J., Levin, L.A., Metaxas, A., Mudd, G.M. Smith, C. 2025. ‘Heading to the deep end without knowing how to swim: Do we need deep-seabed mining?’, (November 2023), pp. 1–9. Available at: https://doi.org/10.1016/j.oneear.2022.02.013
Donaldson, L. 2018. ‘Florida Adaptation Planning Guidebook’, p. 185. Available at: https://floridadep.gov/sites/default/files/ AdaptationPlanningGuidebook.pdf
Anand, A.S., Devika, A.J., Megha, P., Zaheer, S. 2024 ‘Implementation of Online Path Planning and Obstacle Avoidance Using Yolo for Autonomous Mobile Robots Implementation of Online Path planning and Obstacle Avoidance Using Yolo for Autonomous’. Available at: https://doi.org/10.20944/preprints202406.1382.v1
Andreu-Perez, J. 2017. ‘Artificial Intelligence and Robotics Javier Andreu Perez , Fani Deligianni , Daniele Ravi and GuangZhong Yang’. ResearchGate [Preprint], (June). Available at: https://doi.org/10.48550/arXiv.1803.10813
Aranda, J., Armada, M.A., de la Cruz, J.M. 2004. Automation for the Maritime Industries Automation for the Maritime Industries. Available at: https://www.researchgate.net/profile/ Joaquin-Almansa/publication/263580947_Automation_for_ the_Maritime_Industries/links/00b7d53b476087cc3b000000/ Automation-for-the-Maritime-Industries.pdf
Arcangeletti, G., Mattioli, M., Ausborn, M., Matskevitch, D., Marcotulli, A. 2021 ‘Autonomous Subsea Field Development - Value Proposition, Technology Needs and Gaps for Future Advancement’, pp. 1–1. Available at: https://doi. org/10.4043/31151-MS
Arts, T., Policy, C., Justice, C., Security, N., Safety, P., Security, H. 2007. Jump down to document 6 The RAND Corporation is a nonprofit research organization providing Support RAND Purchase this document Make a charitable contribution For More Information Visit RAND at www.rand.org, Early Education.
Asadollahi-Yazdi, E., Couzon, P., Nguyen, N., Ouazene,Y., Yalaoui, F. 2020. ‘Industry 4.0: Revolution or Evolution?’. American Journal of Operations Research, vol. 10, no. 6, pp. 241–268. Available at: https://doi.org/10.4236/ajor.2020.106014
Authority, I.S. 2006 ‘Polymetallic Nodules’, International seabed authority, pp. 1–8. Available at: http://www.isa.org.jm/files/ documents/EN/Brochures/ENG7.pdf
Aziz, A., Schelén, O., Bodin, U. 2020. ‘A Study on Industrial IoT for the Mining Industry: Synthesized Architecture and Open Research Directions’. Internet of Things, vol. 1, no. 2, pp. 529–550. Available at: https://doi.org/10.3390/iot1020029
Baballe, M., Bello, M., Rabiu, S., Atiku, S. 2022. ‘1st International Conference on Engineering and Applied Natural Sciences’, p. 2022. Available at: file:///C:/Users/mikeo/Downloads/Baballe%20 et%20al.%20-%202022%20-%201st%20International%20 Conference%20on%20Engineering%20and%20Applied%20 Natural%20Sciences.pdf
Bakhtari, A., Kumar, V., Waris, M., Sanin, C., Szczerbicki, E. 2020. ‘Industry 4.0 implementation challenges in manufacturing idustries: An interpretive structural modelling approach’. Procedia Computer Science, vol. 176, pp. 2384–2393. Available at: https://doi.org/10.1016/j.procs.2020.09.306
Ball, L., Lieberman, L.J. 2024. ‘Blind and Visually Impaired Sport’. Blind and Visually Impaired Sport [Preprint]. Available at: https://doi.org/10.4324/9780367766924-ress115-1
Bamisile, O., Cai Dadun, H., Dagbasi, M., Ukwuoma, C., Huang, Q., Johnson, N., Bamisile, O. 2024. ‘Towards Renewables Development: Review of Optimization Techniques for Energy Storage and Hybrid Renewable Energy Systems’. Heliyon, p. e37482. Available at: https://doi.org/10.1016/j.heliyon.2024. e37482
Bauer, E. 2017 ‘Economic Efficiency of Cloud-Based Application E conomic E fficiency of Cloud- Based Application Services Working Draft’. Available at: https://doi.org/10.13140/ RG.2.2.22188.56969
Bauer, E. 2024. ‘AI-driven predictive maintenance and optimization of renewable energy systems for enhanced operational efficiency and longevity’. Available at: https://www.researchgate.net/ publication/385382721_AI-driven_predictive_maintenance_ and_optimization_of_renewable_energy_systems_for_ enhanced_operational_efficiency_and_longevity
Becker, M., Smith, S.F. 1997. ‘An Ontology for Multi-Modal Transportation Planning and Scheduling for Multi-Modal Transportation Planning and Scheduling Marcel Becker, Stephen F. Smith CMU-RI-TR-98-15. The Robotics Institute ?’. Available at: https://www.researchgate.net/profile/MarcelBecker-6/publication/2417156_An_Ontology_for_MultiModal_Transportation_Planning_and_Scheduling/ links/540f31fb0cf2df04e75a2878/An-Ontology-for-MultiModal-Transportation-Planning-and-Scheduling.pdf
Bello, M.I., Baballe, M.A. 2023. ‘Simulation of Obstacle Avoidance Robots’. Journal of Material Sciences and Engineering Technology, vol. 1, no. 2, pp. 1–7. Available at: https://doi.org/10.61440/ jmset.2023.v1.16
Bessa, W. 2012. ‘Analysis of four-wire lines umbilicals on subsea applications for the oil and gas industry. Analysis of FourWire Lines Umbilicals On Subsea’. Available at: https://www. researchgate.net/publication/282856648_Analysis_of_fourwire_lines_umbilicals_on_subsea_applications_for_the_oil_ and_gas_industry
Bian, J., Xiang, J. 2018. ‘QUUV: A quadrotor-like unmanned underwater vehicle with thrusts configured as X shape’. Applied Ocean Research, vol. 78, pp. 201–211. Available at: https://doi.org/10.1016/j.apor.2018.06.017
Biernacki, P. 2025. ‘Artificial Intelligence for Electronic-based Systems in Safety Applications’. Available at: https://doi.org/10.13140/RG.2.2.16865.42086
Biswas, A., Wang, H.C. 2023. ‘Autonomous Vehicles Enabled by the Integration of IoT, Edge Intelligence, 5G, and Blockchain’. Sensors, vol. 23, no. 4, pp. 1–60. Available at: https://doi. org/10.3390/s23041963
Biswas, P., Rashid, A., Biswas, A., Nasim, M., Chakraborty, S., Gupta, K., George, R. 2024. ‘AI-Driven Approaches for Optimizing Power Consumption: A Comprehensive Survey’, pp. 1–32. Available at: http://arxiv.org/abs/2406.15732
Bohacz, R, and Successful Farming. 2019. Know the Difference Between Mechanical and Hydraulic Valve Lifters | Successful Farming. (Accessed: 12 September 2021). Available at: https:// www.agriculture.com/machinery/repair-maintenance/knowthe-difference-between-mechanical-and-hydraulic-valve-lifters
Bosch, R.A.G. 2014. ‘Drive and control solutions for marine engineering: Reliable, efficient, durable’, p. 24. Available at: file:///C:/Users/mikeo/Downloads/r999001175_2015-1.pdf
Bouabdallah, S., Siegwart, R. 2007. ‘Full control of a quadrotor’. IEEE International Conference on Intelligent Robots and Systems, (October 2007), pp. 153–158. Available at: https://doi.org/10.1109/IROS.2007.4399042
Bourechak, A., Zedadra, O., Kouahla, M., Guerrieri, A., Seridi, H., Fortino, G. 2023. ‘At the Confluence of Artificial Intelligence and Edge Computing in IoT-Based Applications: A Review and New Perspectives’. Sensors, vol. 23, no. 3, pp. 1–49. Available at: https://doi.org/10.3390/s23031639
Broms, A., Olsson, S.L. 2021. ‘Data-driven Decisionmaking for Efficient &Sustainable Production’. Available at: https://www.diva-portal.org/smash/record. jsf?pid=diva2%3A1567809&dswid=7419
Broto, L.M., Indiarto, B. 2021. ‘Issues and Challenges in Implementing Industry 4.0 for the Manufacturing Sector in Indonesia’. International Journal of Progressive Sciences and Technologies, vol. 25, no. 1, p. 650. Available at: file:///C:/Users/mikeo/Downloads/Issues_and_Challenges_in_ Implementing_Industry_40_.pdf
Building, T.N., Honcho, N. 2024. ‘Maritime RTK-GNSS Positioning System’, pp. 13–16. Available at: https://www.mar-gps.or.jp/ guide/file/pamphlet_e.pdf
Canada, I.A.A. of 2018. ‘Final Environmental Assessment Guidelines’. Available at: https://pressbooks. openeducationalberta.ca/mruenvregs/chapter/impactassessment-acts/
Cantor, A., Kiparsky, M., Hubbard, S., Kennedy, R., Pecharroman, L., Guivetchi, K., Darling, G., McCready,C. 2021. ‘Making a Water Data System Responsive to Information Needs of Decision Makers’. Frontiers in Climate, vol. 3. Available at: https://doi.org/10.3389/fclim.2021.761444
Chandni, S. 2024. ‘Digital Oversight : The Rise of Ai in Transforming Employee’. Available at: file:///C:/Users/mikeo/ Downloads/4Chandni.doc.pdf
Chen, G., Chen, W., Wang, Z., Guo, T., Xia, X., Xu, L. 2022. ‘Design and Dynamic Performance Research of Underwater Inspection Robots’ Wireless Communications and Mobile Computing. Available at: https://doi.org/10.1155/2022/3715514
Chen, L., Jiang, Z., Cheng, L., Knoll, A., Zhou, M. 2022. ‘Deep Reinforcement Learning Based Trajectory Planning Under Uncertain Constraints’. Frontiers in Neurorobotics, vol. 16, pp. 1–10. Available at: https://doi.org/10.3389/ fnbot.2022.883562
Chen, P., Liu, Y., Yang, S., Chen, J., Zhang, Q., Tang, Y. 2021. ‘Dynamic characteristics of deep-sea ROV umbilical cables under complex sea conditions’. Ocean Engineering, vol. 239, p. 109854. Available at: https://doi.org/10.1016/j. oceaneng.2021.109854
Chi, P., Wang, Z., Liao, H., Li, T., Wu, X., Zhang, Q. 2024. ‘Application of artificial intelligence in the new generation of underwater humanoid welding robots: a review’. Artificial Intelligence Review, vol. 57, no. 11. Available at: https://doi. org/10.1007/s10462-024-10940-x
Chinnaraju, A. 2025. ‘AI-driven strategic decision-making on innovation: Scalable, ethical approaches and ai agents for startups. World Journal of Advanced Research and Reviews, vol. 25, no. 2, pp. 2219–2248. Available at: https://doi. org/10.30574/wjarr.2025.25.2.0575
Choi, E., Kim, H. 2024. ‘Advanced Energy Management System for Generator–Battery Hybrid Power System in Ships: A Novel Approach with Optimal Control Algorithms’. Journal of Marine Science and Engineering, vol. 12, no. 10. Available at: https://doi.org/10.3390/jmse12101755
Choi, E.C. 2023. ‘Investigating the management of marine sand mining: A case of West Sea Exclusive Economic Zone in South Korea’. Regional Studies in Marine Science, vol. 66, p. 103109. Available at: https://doi.org/10.1016/j.rsma.2023.103109
Christensen. L., de Gea Fernández, J., Hildebrandt, M., Koch CWehbe, B. 2022. ‘Recent Advances in AI for Navigation and Control of Underwater Robots’. Current Robotics Reports, vol. 3, no. 4, pp. 165–175. Available at: https://doi.org/10.1007/s43154022-00088-3
Cohan, S. 2008. ‘Trends in ROV development’. Marine Technology Society Journal, vol. 42, no. 1, pp. 38–43. Available at: https://doi.org/10.4031/002533208786861335
Cole, E. 2012. ‘Mining the Seafloor with Robots’. Robotics Trends, pp. 1–4. Available at: https://www.iaarc.org/wp-content/ uploads/2020/01/a_news_2012_09_11-1.pdf
Corke, P., Roberts, J., Cunningham, J., Hainsworth, D. 2008. ‘Springer Handbook of Robotics’. Springer Handbook of Robotics [Preprint], (May 2014). Available at: https://doi. org/10.1007/978-3-540-30301-5
Costa, G.K., Sepehri, N. 2020. ‘A critical analysis of flowcompensated hydrostatic single rod actuators: Simulation study’. Actuators, vol. 9, no. 3. Available at: https://doi.org/10.3390/ ACT9030058
Cudney, E.A., Eldor, C.C. 2011. ‘Quality Function Deployment in Continuous Improvement’, Six Sigma Projects and Personal Experiences [Preprint], (June). Available at: https://doi. org/10.5772/16602
Dahiya, V., Swathi, P., Baskar, K., Akbar, M. 2024. ‘Integrating digital twin technology and artificial intelligence for tomorrow’s
businesses: Strategic imperatives’. Digital Twin Technology and AI Implementations in Future-Focused Businesses, pp. 162–175. Available at: https://doi.org/10.4018/979-8-3693-1818-8.ch011
‘Debmarine Namibia’s offshore’ 2017. Available at: https://www. debeersgroup.com/~/media/Files/D/De-Beers-Group/ documents/company-news/2017/media-release-worlds-mostadvanced-diamond-exploration-vessel-officially-reports-forduty-in-namibia.pdf
Delphin Raj, K.M., Sun-Ho, Y., Ko, E., Namgung, S., Park, S. 2019. ‘Multi-media and multi-band based adaptation layer techniques for underwater sensor networks’, Applied Sciences (Switzerland), 9(15). Available at: https://doi.org/10.3390/ app9153187
Dervişoğlu, H., Ülver, B., Yurtoğlu, R., Halepmollası, R., Haklıdır, M. 2023. ‘A Comparative Study on Cloud-based and Edge-Based Digital Twin Frameworks for Prediction of Cardiovascular Disease’. International Conference on Information and Communication Technologies for Ageing Well and e-Health, ICT4AWE - Proceedings, pp. 159–169. Available at: https://doi.org/10.5220/0011859400003476
Digest, A.A.I. 2017. ‘Applied AI Digest’, vol. 1. Available at: https:// bootstraplabs.com/2018/01/24/applied-artificial-intelligencedigest-2017-review/
DIS 2016. ‘Mine Rehabilitation: Leading Practice Sustainable Development Program for the Mining Industry’, pp. 1–76. Available at: file:///C:/Users/mikeo/Downloads/ London%20Convention%20et%20al.%20-%202013%20-%20 International%20Assessment%20of%20Marine%20and%20 Riverine%20Disposal%20of%20Mine%20Tailings%20Study%20 commissioned%20by%20the%20Of.pdf
Dudley, J.J., McAree, P.R. 2013. ‘Why the mining industry needs a reference architecture for automation initiatives’. IEEE/ASME International Conference on Advanced Intelligent Mechatronics: Mechatronics for Human Wellbeing, AIM 2013, pp. 1792–1797. Available at: https://doi.org/10.1109/AIM.2013.6584357
Duraccio, D., Mussano, F. 2015. ‘And Future Trends’. Journal of Materials Science, vol. 50, no. 14, pp. 4779–4812. Available at: file:///C:/Users/mikeo/Downloads/ Biomaterialsfordentalimplantscurrentandfuturetrends.pdf (Dental website?) Efficiency, dragflow ultimate. 2023. Dredging Pumps’. Available at: file:///C:/Users/mikeo/Downloads/ Biomaterialsfordentalimplantscurrentandfuturetrends.pdf Efficiency, dragflow ultimate. 2023. ‘Dredging Pumps’. Available at: https://ccelp.com/wp-content/uploads/2023/06/ Dragflowelectricpumps_english.pdf
Elkholy, M., Senjyu, T., Lotfy, M., Elgarhy, A., Ali, N., Gaafar, T. 2022. ‘Design and Implementation of a Real-Time Smart Home Management System Considering Energy Saving’. Available at: https://www.mdpi.com/2071-1050/14/21/13840
Elsaed, E., Linjama, M. 2023. ‘A Review of Pilot-operated Hydraulic Valves - Development, Challenges, and a Comparative Study’. International Journal of Fluid Power, vol. 24, no. 4), pp. 683–724. Available at: https://doi.org/10.13052/ijfp1439-9776.2443
Emma, L. 2025. ‘AI-Driven Predictive Maintenance for Smart Manufacturing’. Available at: file:///C:/Users/mikeo/Downloads/ AI.pdf
Emmanuel. 2024. ‘The Future of CI / CD : Leveraging AI for Seamless Deployments’.
Available at: file:///C:/Users/mikeo/Downloads/ TheFutureofCICDLeveragingAIforSeamlessDeployments.pdf
Engineering, A.I. 2020. ‘A n n u a l R e p o r t. Progressing towards Robust and Trustworthy AI Systems’. Available at: https://www.nitrd.gov/pubs/AI-Research-and-DevelopmentProgress-Report-2020-2024.pdf
Engineering, I. 2022. ‘Undercarriage Solutions and Components Engineered for Success .’ Available at: https://www.group-itm. com/en/.
Enterprise, S. 2018. ‘Seabed Mining , Mineral Extraction & Methane Hydrates’, (April). Available at: https://www.scottish-enterprise. com/media/e01pftb4/subsea-engineering-opportunityinternational-market-insights-report-series-seabed-miningmineral-ext.pdf
Ernst, D., Glavic, M., Capitanescu, F., Wehenkel, L. 2009. ‘Reinforcement learning versus model predictive control: A comparison on a power system problem’. IEEE Transactions on Systems, Man, and Cybernetics, Part B: Cybernetics, vol. 39, no. 2, pp. 517–529. Available at: https://doi.org/10.1109/ TSMCB.2008.2007630
Eskandari, M. 2021. ‘Navigation of a UAV Equipped with a Reconfigurable Intelligent Surface for LoS Wireless Communication with a Ground Vehicle’, pp. 1–10. Available at: http://arxiv.org/abs/2110.09012
Excav8. 2024. ‘6 ” ROV Dredge Pump’, 001, p. 202. Available at: https://www.excav8subsea.com/uploads/DREDGE-001-DataSheet-Rev3_2024-10-16-065454_fruj.pdf
Eyitayo, R., Tochukwu, I. I., Osemeike, G. E. 2024. ‘DataDriven decision making in agriculture and business: The role of advanced analytics’. Computer Science & IT Research Journal, vol. 5, no. 7, pp. 1565–1575. Available at: https://doi. org/10.51594/csitrj.v5i7.1275
Fang, Y., Zhang, Y., Li, N., Shang, Y. 2020. ‘Research on a mediumtracked omni-vehicle’, pp. 137–152. Available at: https:// ms.copernicus.org/articles/11/137/2020/
Fang, Z.M.T., Huang, J., Niu, Z., Yang, F. 2025. ‘Efficient Task Allocation in Multi-Agent Systems Using Reinforcement Learning and Genetic Algorithm’. Applied Sciences, vol. 15, no. 4. Available at: https://doi.org/10.3390/app15041905
Fard, R.N., Eidsvik, O.A., Tedeschi, E., Schølberg, I. 2018. ‘Cable selection considerations for subsea vehicles’, 2018 OCEANS - MTS/IEEE Kobe Techno-Oceans, OCEANSKobe 2018 [Preprint]. Available at: https://doi.org/10.1109/ OCEANSKOBE.2018.8559225
Farran, S. 2022. ‘Deep-sea mining and the potential environmental cost of “going green” in the Pacific’. Environmental Law Review, vol. 24, no. 3, pp. 173–190. Available at: https://doi. org/10.1177/14614529221114947
Ferrer, A.J., Pérez, D.G., González, R.S. 2016. ‘Multi-cloud Platformas-a-service Model, Functionalities and Approaches’, Procedia Computer Science, 97, pp. 63–72. Available at: https://doi. org/10.1016/j.procs.2016.08.281
Fleming, M., Brannen, S., Mosher, A., Altmire, B., Metrick, A., Boyle, M., Say, R. 2015. ‘Unmanned Systems in Homeland Security’. Homeland Security Studies and Analysis Institute [Preprint], (January). Available at: https://csis-websiteprod.s3.amazonaws.com/s3fs-public/legacy_files/files/ attachments/151216_Unmanned_Systems.pdf
Gaber, T., Jazouli, Y.E., Eldesouky, E., Ali, A. 2021. ‘Autonomous haulage systems in the mining industry: Cybersecurity, communication and safety issues and challenges’. Electronics, vol. 10, no. 11. Available at: https://doi.org/10.3390/ electronics10111357
Gao, F., Shen, S. 2016. ‘Online quadrotor trajectory generation and autonomous navigation on point clouds’. SSRR 2016 - International Symposium on Safety, Security and Rescue Robotics, pp. 139–146. Available at: https://doi.org/10.1109/ SSRR.2016.7784290
Gedigital 2019. Automation as the Edge Node of the Industrial Internet. Available at: https://www.novotek.com/wp-content/ uploads/sites/9/NovotekBenelux/SOLUTIONHMISCADA/ Automation-as-the-Edge-Node-of-the-Industrial-Internet-1.pdf
Geertsma, R.D. 2017. ‘Design and control of hybrid power and propulsion systems for smart ships: A review of developments’. Applied Energy, vol. 194, pp. 30–54. Available at: https://doi. org/10.1016/j.apenergy.2017.02.060
George, A.S. 2024 ‘The Fourth Industrial Revolution: A Primer on Industry 4. 0 and its Transformative Impact’. Available at: https://www.researchgate.net/publication/378261588_The_ Fourth_Industrial_Revolution_A_Primer_on_Industry_40_ and_its_Transformative_Impact
Glaviano, F., Esposito, R., Di Cosmo, A., Esposito, F., Gerevini, L., Ria, A., Molinara, M., Bruschi, P., Costantini, M., Zupo, V. 2021. ‘IoT Based Underwater Robot for Water Quality Monitoring’. IOP Conference Series: Materials Science and Engineering, vol. 1033, no. 1). Available at: https://doi.org/10.1088/1757899X/1033/1/012013
Glaviano, F., Esposito, R., Di Cosmo, A., Esposito, F., Gerevini, L., Ria, A., Molinara, M., Bruschi, P., Costantini, M., Zupo, V. 2022. ‘Management and Sustainable Exploitation of Marine Environments through Smart Monitoring and Automation’. Journal of Marine Science and Engineering, vol. 10, no. 2. Available at: https://doi.org/10.3390/jmse10020297
Hadi, B., Khosravi, A., Sarhadi, P. 2021. ‘A Review of the Path Planning and Formation Control for Multiple Autonomous Underwater Vehicles’. Journal of Intelligent and Robotic Systems: Theory and Applications, vol. 101, no. 4. Available at: https://doi.org/10.1007/s10846-021-01330-4
Haga, M., Hiroshi, W., Fujishima, K. 2001. ‘Digging control system for hydraulic excavator’. Mechatronics, vol. 11, no. 6, pp. 665–676. Available at: https://doi.org/10.1016/S09574158(00)00043-X
Haraburda, S.S., Zilafro, L.E. 2012. ‘Developing a Continuous Improvement System’, Defense AT&L, pp. 29–32. Available at: https://www.dau.edu/sites/default/files/Migrate/DATLFiles/ Jan_Feb_2012/Haraburda_Zilafro.pdf
Hein, H.A. 2015. ‘Deep sea mining – what makes it different to offshore oil and gas applications?’, (July 2014). Available at: file:///C:/Users/mikeo/Downloads/HTIKE%20Aung%20 Hein%20-%20Full%20Thesis%204th%20Cohort,%20Feb%20 2015%20%20(URO).pdf
Hercus, C. 2023. ‘Deep Sea Mining’, Canadian Mining Journal, vol. 144, no. 9, pp. 28–30. Available at: https://doi.org/10.1093/ oso/9780198841654.003.0005
Hirata, E., Watanabe, D., Lambrou, M. 2022. ‘Shipping Digitalization and Automation for the Smart Port’, Supply Chain
- Recent Advances and New Perspectives in the Industry 4.0 Era [Preprint], (January). Available at: https://doi.org/10.5772/ intechopen.102015
Hong, S., Hu, X. 2022. ‘Study on the Non-Steady-State Wear Characteristics and Test of the Flow Passage Components of Deep-Sea Mining Pumps’. Applied Sciences, vol. 12, no. 2. Available at: https://doi.org/10.3390/app12020782
Hu, Q., Zhai, X., Li, Z. 2022. ‘Multi-Objective Optimization of Deep-Sea Mining Pump Based on CFD, GABP Neural Network and NSGA-III Algorithm’. Journal of Marine Science and Engineering, vol. 10, no. 8. Available at: https://doi.org/10.3390/ jmse10081063
Hu, W., Meng, Z. 2020 ‘Study on Design of Working Device and Hydraulic System of Hydraulic Excavator Based on Computer Aided Technology’. Journal of Physics: Conference Series, vol. 1574, pp. 1–7. Available at: https://doi.org/10.1088/17426596/1574/1/012028
Humphreys, D. 2020. ‘Mining productivity and the fourth industrial revolution’. Mineral Economics, vol. 33, nos.1–2, pp. 115–125. Available at: https://doi.org/10.1007/s13563-019-00172-9
Humphreys, D. 2020. ‘Mining productivity and the fourth industrial revolution’, pp. 115–125. Available at: https://www.researchgate. net/publication/331191148_Mining_productivity_and_the_ fourth_industrial_revolution
Hung, H., Savkin, A.V. 2017. ‘Viable path planning for data collection robots in a sensing field with obstacles’. Computer Communications, vol. 111, pp. 84–96. Available at: https://doi. org/10.1016/j.comcom.2017.07.010
Hunter, R. J. 2007. ‘Investigation of the application of mechanical mining of ocean floor polymetallic sulphide deposits’, pp. 1–154. Available at: https://doi.org/10.14288/1.0067064
Idrissi, M., Annaz, F. 2020. ‘Dynamic modelling and analysis of a quadrotor based on selected physical parameters’. International Journal of Mechanical Engineering and Robotics Research, vol. 9, no. 6, pp. 784–790. Available at: https://doi.org/10.18178/ ijmerr.9.6.784-790
Igogo, T., Awuah-Offei, K., Newman, A., Lowder, T., Engel-Cox, J. 2021. ‘Integrating renewable energy into mining operations: Opportunities, challenges, and enabling approaches’. Applied Energy. Available at: https://doi.org/10.1016/j. apenergy.2021.117375
Ikegwu, A.C., Nweke, H.F., Anikwe, C.V., Alo, U.R., Okonkwo, O. R. 2022. ‘Big data analytics for data-driven industry: a review of data sources, tools, challenges, solutions, and research directions’. Cluster Computing, vol. 25, no. 5, pp. 3343–3387. Available at: https://doi.org/10.1007/s10586-022-03568-5
IMDH Group 2016. Team | IMDH Group International Mining & Dredging Holding Ltd. Accessed: 28 July 2021. Available at: https://www.imdhgroup.com/team.php
Intelligence, A. 2018. ‘The impact of Artificial Intelligence on communication networks’, vol. 1, no. 1. Available at: https://www.itu.int/pub/S-JOURNAL-ICTF.VOL1-2018-1 International seabed authority (ISA) 2021. Technical Study 30: Marine mineral resources: scientific and technological advances. Available at: https://www.isa.org.jm/wp-content/ uploads/2022/05/ISA_Technical_Study-30.pdf
Islam, M., Maxwell, D., Bunster, V., Couper, R. 2023. ‘Modularity as an enabler of scalability in industrialised building platforms’. Available at: https://doi.org/10.60558/eaea16-2023-230
Jacewicz, M., Żugaj, M., Głębocki, R., Bibik, P. 2022. ‘Quadrotor Model for Energy Consumption Analysis’. Energies, vol. 15, no. 19. Available at: https://doi.org/10.3390/en15197136
Jain, A., Rodriguez, G. 1992. ‘Recursive flexible multibody system dynamics using spatial operators’. Journal of Guidance, Control, and Dynamics, vol. 15, no. 6, pp. 1453–1466. Available at: https://doi.org/10.2514/3.11409
Jang, K., Pilario, K.E.S., Lee, N., Moon, I.I., Jonggeol, N. 2023. ‘Explainable Artificial Intelligence for Fault Diagnosis of Industrial Processes’. IEEE Transactions on Industrial Informatics [Preprint], (January). Available at: https://doi.org/10.1109/ TII.2023.3240601
Jensen, K.J., Ebbesen, M.K., Hansen, M.R. 2020. ‘Development of point-to-point path control in actuator space for hydraulic knuckle boom crane’. Actuators, vol. 9, no. 2, pp. 1–19. Available at: https://doi.org/10.3390/ACT9020027
Johansson, T., Lennan, M., Fernández, J., Echebarria, P., Aspasia, D.D. 2023. Introduction to Smart Ports and Robotic Systems: Navigating the Waves of Techno-Regulation and Governance. Available at: https://doi.org/10.1007/978-3-031-25296-9_1
Jones, D., Gates, A., Huvenne, V., Phillips, A., Bett, B. 2019. ‘Autonomous marine environmental monitoring: Application in decommissioned oil fields’. Science of the Total Environment, vol. 668, pp. 835–853. Available at: https://doi.org/10.1016/j. scitotenv.2019.02.310
Jovanovic, V., Djuric, A., Karanovic, V., Stevanov, B. 2016. ‘Applications of electro-hydraulics actuators’. Conference Proceedings - IEEE SOUTHEASTCON, 2016-July(March). Available at: https://doi.org/10.1109/SECON.2016.7506678
Kaikkonen, L., Venesjärvi, R., Nygård, H., Kuikka, S. 2018. ‘Assessing the impacts of seabed mineral extraction in the deep sea and coastal marine environments: Current methods and recommendations for environmental risk assessment’. Marine Pollution Bulletin, vol. 135, pp. 1183–1197. Available at: https://doi.org/10.1016/j.marpolbul.2018.08.055
Karen, L.H. 2021. ‘Deep-Sea Mining December’, (December), pp. 21–22. Available at: https://www.mdpi.com/20711050/17/14/6580
Karolius, K., Cichowicz, J., Løvoll, G., Jørgensen A. 2024 ‘Navigating the challenges of assuring safe autonomous navigation’ Available at: https://www.researchgate.net/publication/385011929_ Navigating_the_challenges_of_assuring_safe_autonomous_ navigation
Katona, K., Neamah, H.A., Korondi, P. 2024. ‘Obstacle Avoidance and Path Planning Methods for Autonomous Navigation of Mobile Robot’. Sensors, vol. 24, no. 11. Available at: https://doi.org/10.3390/s24113573
Keisner, A., Raffo, J., Wunsch-Vincent, S. 2016. ‘Robotics: Breakthrough technologies, innovation, intellectual property’. Foresight and STI Governance, vol. 10, no. 2, pp. 7–27. Available at: https://doi.org/10.17323/1995-459X.2016.2.7.27
Khalid, O., Hao, G., Desmond, C., Macdonald, H., McAuliffe, F.D., Dooly, G., Hu, W. 2022. ‘Applications of robotics in floating offshore wind farm operations and maintenance: Literature review and trends’. Wind Energy, vol. 25, no. 11, pp. 1880–1899. Available at: https://doi.org/10.1002/we.2773
Khan, W., Hua, W., Anwar, M., Shahid, A., Abdullah, I., Muhammad, K., Javed, A. 2022. ‘An Effective Data-Collection Scheme with AUV Path Planning in Underwater Wireless Sensor Networks’. Wireless Communications and Mobile Computing. Available at: https://doi.org/10.1155/2022/8154573
Kong, T., Ma, L., Ai, G. 2022. ‘Research on Improving Satellite Positioning Precision Based on Multi-Frequency Navigation Signals’. Sensors, vol. 22, no. 11. Available at: https://doi.org/10.3390/s22114210
Kovryzhenko, Y., Li, N., Taheri, E. 2024. ‘Quadrotors with RealTime Re-Planning Capability’, pp. 1–27. Available at: file:///C:/ Users/mikeo/Downloads/A_Control_System_Design_and_ Implementation_for_Aut.pdf
Kowalski, P. 2023. ‘Energy Sector’, The Contemporary Russian Economy: A Comprehensive Analysis, pp. 161–186. Available at: https://doi.org/10.1007/978-3-031-17382-0_9
Kulathunga, G. 2022. ‘A Reinforcement Learning based Path Planning Approach in 3D Environment’. Procedia Computer Science, vol. 212(C), pp. 152–160. Available at: https://doi.org/10.1016/j.procs.2022.10.217
Kumar, A., Patel, M., Pardhi, B., Pal, M. 2020. ‘Erosive and Corrosive Wear in Slurry Pumps-A Review Article’. International Research Journal of Engineering and Technology [Preprint], (April). Available at: https://www.researchgate.net/ publication/340535760
Larbey, R., Studley, M., Bird, E., Jenner, N., Fox-Skelly, J. 2021. ‘Ethics of marine robots: report for the Net Zero Oceanographic Capability Project (NZOC), June 2021’, Fmri.Ac.Uk [Preprint], (June). Available at: https://fmri.ac.uk/sites/fmri/files/ documents/NZOC_210623 -Ethics of marine robots.pdf
Lau, H.C., Song, H. 2008. ‘Multi-echelon repairable item inventory system with limited repair capacity under nonstationary demands’. International Journal of Inventory Research, vol. 1, no 1, p. 67. Available at: https://doi.org/10.1504/ijir.2008.019209
Leal Filho, W., Abubakar, I., Nunes, C., Platje, J., Ozuyar, P.G., Will, M., Nagy, G.J., Al-Amin, A.Q., Hunt, J.D., Li, C. 2021. ‘Deep seabed mining: A note on some potentials and risks to the sustainable mineral extraction from the oceans’. Journal of Marine Science and Engineering, vol. 9, no. 5. Available at: https://doi.org/10.3390/jmse9050521
Leal, F.W. 2021. ‘Deep seabed mining: A note on some potentials and risks to the sustainable mineral extraction from the oceans’, Journal of Marine Science and Engineering, vol. 9, no. 5, pp. 1–16. Available at: https://doi.org/10.3390/jmse9050521
Lee, J., Kim, B., Sun, D., Han, C., Ahn, Y. 2019. ‘Development of unmanned excavator vehicle system for performing dangerous construction work’. Sensors, vol. 19, no, 22. Available at: https://doi.org/10.3390/s19224853
Lehmköster, J. 2022. ‘Seafloor Mining’, maribus gGmbH, Pickhuben 2, D-20457 Hamburg, Germany, pp. 933–933. Available at: https://doi.org/10.1007/978-3-319-98536-7_300161
Leong, P.Y., Ahmad, N.S. 2024. ‘LiDar-based Obstacle Avoidance with Autonomous Vehicles: A Comprehensive Review’. IEEE Access, p. 1. Available at: https://doi.org/10.1109/ ACCESS.2024.3493238
Li, D., Wang, P., Du, L. 2019. ‘Path planning technologies for autonomous underwater vehicles-a review’. IEEE Access, vol. 7, pp. 9745–9768. Available at: https://doi.org/10.1109/ ACCESS.2018.2888617
Li, G. 2023. ‘Bioinspired soft robots for deep-sea exploration’. Nature Communications, vol. 14, no. 1, pp. 1–10. Available at: https://doi.org/10.1038/s41467-023-42882-3
Li, J., Li XLu, J., Cao, B., Sun, J. 2024. ‘A Novel Robust Hybrid Control Strategy for a Quadrotor Trajectory Tracking Aided with Bioinspired Neural Dynamics’. Applied Sciences, vol. 14, no. 20. Available at: https://doi.org/10.3390/app14209592
Li, U., Liu, S. 2009. ‘Modeling and simulation of active-controlled heave compensation system of deep-sea mining based on dynamic vibration absorber’. IEEE International Conference on Mechatronics and Automation, ICMA 2009, pp. 1337–1341. Available at: https://doi.org/10.1109/ICMA.2009.5246738
Liu, L., Gai, K., Yang, J., Guo, X. 2022. ‘Numerical Investigation on the Dynamics of Mixture Transport in Flexible Risers during Deep-Sea Mining’. Journal of Marine Science and Engineering, vol. 10, no, 12. Available at: https://doi.org/10.3390/ jmse10121842
Liu, Z., Liu, K., Chen, X., Ma, Z., Lv, R., Wei, C., Ma, K. 2023. ‘Deepsea rock mechanics and mining technology: State of the art and perspectives’. International Journal of Mining Science and Technology, vol. 33, no. 9, pp. 1083–1115. Available at: https://doi.org/10.1016/j.ijmst.2023.07.007
Liu, Z.X., Wang, Q., Yang, B. 2022. ‘Reinforcement LearningBased Path Planning Algorithm for Mobile Robots’. Wireless Communications and Mobile Computing, 2022. Available at: https://doi.org/10.1155/2022/1859020
Loginov, A., Proskurnikov, A., Ambrosovskaya, E., Romaev, D. 2012. ‘DP systems for track control of dredging vessels’. IFAC Proceedings Volumes (IFAC-PapersOnline), vol. 9(PART 1), pp. 453–458. Available at: https://doi.org/10.3182/20120919-3IT-2046.00077
Lu, Q., Yue, Q., Yang, Z., Wang, G., Yan, J., Qu, Y. 2012. ‘Crosssectional layout analysis of steel tube umbilical’. Proceedings of the International Conference on Offshore Mechanics and Arctic Engineering - OMAE, pp. 493–497. Available at: https://doi.org/10.1115/OMAE2012-83572
Luo, Z., Zhang, Y., Mu, L., Huang, J., Xin, J., Liu, H., Jiao, S., Xie GYi, Y. 2020. ‘A UAV Path Planning Algorithm Based on an Improved D* Lite Algorithm for Forest Firefighting’, Proceedings - 2020 Chinese Automation Congress, CAC 2020, (November), pp. 4233–4237. Available at: https://doi.org/10.1109/CAC51589.2020.9327111
Lutsey, N., Meszler. D., Isenstadt, A., German, J., Miller, J. 2017. ‘Efficiency Technology and Cost Assessment for U.S. 20252030 Light-Duty Vehicles’. The International Council on Clean Transportation, p. 11. Available at: https://doi.org/10.13140/ RG.2.2.13344.99841
Ma, S., Flanigan, K.A., Bergés, M. 2024. ‘State-of-the-Art Review: The Use of Digital Twins to Support Artificial IntelligenceGuided Predictive Maintenance’, (January). Available at: https://doi.org/10.48550/arXiv.2406.13117
Ma, W., Schott, D., Lodewijks, G. 2017. ‘A research procedure to obtain a green transport plan for deep sea mining systems’. Proceedings of the International Offshore and Polar Engineering Conference, pp. 22–29. Available at: https://www.researchgate. net/publication/359045924_A_Research_Procedure_to_ Obtain_A_Green_Transport_Plan_for_Deep_Sea_Mining_ Systems
MacDiarmid, A., Boschen, R., Bowden, D., Clark, M., Hadfield, M., Lamarche, G., Nodder, S., Pinkerton, M., Thompson, D. 2014. ‘Environmental risk assessment of discharges of sediment during prospecting and exploration for seabed minerals’. NIWA Client Report, (WLG2013-66), p. 53. Available at: https:// environment.govt.nz/assets/Publications/Files/environmentrisk-assessment-discharges-sediment-niwa-report-pdf.pdf
Mackenzie, R., Roux, C., Baume, A., Allstaff, E., Pimentel, J. 2016. ‘All Electric Subsea Production System – A World First’, MCE Deepwater Development 2016 [Preprint], (April 2016). Available at: https://deepwaterexecsummit.com/wp-content/ uploads/01_Rory%20MacKenzie%20-%20Total.pdf
Mai, C., Chen, H., Zeng, L., Li ZLiu, G., Qiao ZQu, Y., Li LLi, L. 2024. ‘A Smart Cane Based on 2D LiDAR and RGB-D Camera Sensor-Realizing Navigation and Obstacle Recognition’. Sensors, vol. 24, no. 3. Available at: https://doi.org/10.3390/s24030870
Mansouri, M., Harkat, M., Nounou, H., Nounou, M. 2020. ‘DataDriven and Model-Based Methods for Fault Detection and Diagnosis’, Data-Driven and Model-Based Methods for Fault Detection and Diagnosis, (July 2019), pp. 1–295. Available at: https://doi.org/10.1016/C2018-0-04213-9
Manufacturing, A.W.G. 2024. ‘Cloud-Edge-IoT Continuum : opportunities and challenges for the Manufacturing Industry’, (December), pp. 1–100. Available at: https://aioti.eu/ wp-content/uploads/CEI-Continuum-opportunities-andchallenges-for-Manufacturing-Final.pdf
Marijan, D., Sen, S. 2018. ‘Devops enhancement with continuous test optimization’. Proceedings of the International Conference on Software Engineering and Knowledge Engineering, SEKE, 2018-July(February), pp. 536–541. Available at: https://doi. org/10.18293/SEKE2018-168
Maus, V., Giljum, S., da Silva, D., Gutschlhofer, J., da Rosa, R.P., Luckeneder, S., Gass, S.L.B., Lieber, M., McCallum, I. 2022. An update on global mining land use’. Scientific Data, vol. 9, no. 1, pp. 1–11. Available at: https://doi.org/10.1038/s41597022-01547-4
Mawali, N.R, Lawati, A.M., Ananda, S. 2021. Fourth Industrial Revolution and Business Dynamics: Issues and Implications. Available at: https://doi.org/10.1007/978-981-16-3250-1
Meftah, L.H., Cherif, A., Braham, R. 2024. ‘Improving Autonomous Vehicles Maneuverability and Collision Avoidance in Adverse Weather Conditions Using Generative Adversarial Networks’. IEEE Access, vol. 12, pp. 89679–89690. Available at: https://doi.org/10.1109/ACCESS.2024.3419029
Mendez, J., Molina, M., Rodriguez, N., Cuellar, M., Morales, D. 2021. ‘Camera-lidar multi-level sensor fusion for target detection at the network edge’. Sensors, vol. 21, no. 12, pp. 1–14. Available at: https://doi.org/10.3390/s21123992
Menges, D., Von Brandis, A., Rasheed, A. 2024. ‘Digital Twin for Autonomous Surface Vessels for Safe Maritime Navigation’, pp. 1–10.
Meszler, D., Lutsey, N., Delgado, O. 2020. ‘Long-haul tractor-trailers in the 2020-2030 time frame’, April 2015.
Metaxas, A., Anglin, C., Cross, A., Drazen, J., Haeckel, M., Mudd, G., Smith, C., Smith, S., Weaver, P., Sonter, L., Amon, D., Erskine, P., Levin, L., Lily, H., Maest, A., Mestre, N., RamirezLlodra Esánchez, L., Sharma, R., Vanreusel, A., Wheston, S., Tunnicliffe. 2024.‘Comparing environmental impacts of
deep-seabed and land-based mining: A defensible framework’. Global Change Biology, vol. 30, no. 5. Available at: https://doi. org/10.1111/gcb.17334
Mikołajczyk, T., Mikołajewski, D., Kłodowski, A., Łukaszewicz, A., Mikołajewska, E., Paczkowski, T., Macko, M., Skornia, M. 2023. ‘Energy Sources of Mobile Robot Power Systems: A Systematic Review and Comparison of Efficiency’. Applied Sciences, vol. 13, no. 13. Available at: https://doi.org/10.3390/app13137547
Min, C., Si, S., Wang, X., Xue, H., Jiang, W., Liu, Y., Wang, J., Zhu, Q., Zhu, Q., Luo, L., Kong, F., Miao, J., Cai, X., An SLi, W., Mei, J., Sun, T., Zhai, H., Liu, Q., Zhao, F., Chen, L., Wang, S., Shang, E., Shang, L., Zhao, K., Li, F., Fu, H., Jin, L., Zhao, J., Mao, F., Ministry, D., Agency, E., Environmental, D., Agency, P., Epa, D. 1996 ‘Midas An example of an environmental data strategy’, February.
Mitchell, D., Blanche, J., Harper, S., Lim, T., Gupta, R., Zaki, O., Tang, W., Robu, V., Watson, S., Flynn D. 2022. ‘A review: Challenges and opportunities for artificial intelligence and robotics in the offshore wind sector’. Energy and AI, vol. 8, pp. 1–49. Available at: https://doi.org/10.1016/j.egyai.2022.100146
Mohapatra, A. 2024. ‘Generative AI for Predictive Maintenance: Predicting Equipment Failures and Optimizing Maintenance Schedules Using AI’, vol. 12, no. 11, pp. 1648–1672. Available at: https://doi.org/10.18535/ijsrm/v12i11.ec03
Moher, D., Liberati, A., Tetzlaff, J., Altman, D., 2009 ‘Preferred reporting items for systematic reviews and meta-analyses: The PRISMA statement’. BMJ (Online), 339(7716), pp. 332–336. Available at: https://doi.org/10.1136/bmj.b2535
Molaei, F., Rahimi, E., Siavoshi, H., Afrouz, S., Tenorio, V. 2020. ‘A Comprehensive Review on Internet of Things (IoT) and its Implications in the Mining Industry’. American Journal of Engineering and Applied Sciences, vol. 13, no.3, pp. 499–515. Available at: https://doi.org/10.3844/ajeassp.2020.499.515
Moloney, L. 2006. ‘The many challenges of parenting’. Journal of Family Studies, vol. 12, no. 2, pp. 161–164. Available at: https://doi.org/10.5172/jfs.327.12.2.161
Munir, A., Blasch, E., Kwon, J., Kong, J., Aved, A. 2021. ‘Artificial Intelligence and Data Fusion at the Edge’. IEEE Aerospace and Electronic Systems Magazine, vol. 36, no. 7, pp. 62–78. Available at: https://doi.org/10.1109/MAES.2020.3043072
Murdock, R. 2023 ‘Deep Sea Mining and the Green Transition’. Harvard International Review, vol. 7, no. 3, pp. 21–27. Available at: https://hir.harvard.edu/deep-sea-mining-and-the-greentransition/
Muthugala, M., Palanisamy, P., Samarakoon, S., Padmanabha, S., Elara Mterntzer, D. 2021. ‘Raptor: A design of a drain inspection robot’. Sensors, vol. 21, no. 17. Available at: https://doi.org/10.3390/s21175742
Naga, B., Vandavasi, J., Arunachalam, U., Vittal DRaju, R., Narayanaswamy, V., Arumugam, V., Sethuraman, R., Gidugu, A. 2023. AI - ML-Enabled Electromagnetic Homing. ‘vol. 57, no. 1, pp. 7–15.
Nakano, J. 2025. ‘Baskaran_Critical_Minerals.pdf’. Gracelin Baskaran. Available at: https://csis-website-prod.s3.amazonaws. com/s3fs-public/2025-02/250210_Baskaran_Critical_Minerals. pdf?VersionId=Tfu2TnNrQGlN7ol8HSCakMUT8HTwYukd
NOAA Office of Ocean and Coastal Resource Management 2010. ‘Adapting to Climate Change: A Planning Guide for State
Coastal Managers’. Management, p. 138. Available at: http://coastalmanagement.noaa.gov/climate/adaptation.html
Nordin, M., Sharma, S., Khan, A., Gianni, M., Rajendran, S., Sutton, R. 2022. ‘Collaborative Unmanned Vehicles for Inspection, Maintenance, and Repairs of Offshore Wind Turbines’. Drones, vol. 6, no. 6, pp. 1–26. Available at: https://doi.org/10.3390/ drones6060137
Ocean Trustee Implementation Group 2019. ‘Open Ocean TIG Restoration Plan 2 and Environmental Assessment: Fish, Sea Turtles, Marine Mammals, and Mesophotic and Deep Benthic Communities’, p. 493. Available at: https://www. gulfspillrestoration.noaa.gov/restoration-planning/gulf-
Ojha, T., Raptis, T., Passarella, A., Conti, M. 2023. ‘Wireless power transfer with unmanned aerial vehicles: State of the art and open challenges’. Pervasive and Mobile Computing, vol. 93, p. 101820. Available at: https://doi.org/10.1016/j.pmcj.2023.101820
Ojumu, M.O. 2022. The development of an electric-powered subsea robotic crawler for dredging. Available at: https://etd. cput.ac.za/bitstream/20.500.11838/3728/1/Ojumu_Mike_ Oluwaseun__217269680.pdf
Okereke, C., Wahab, N., Mohamad, M., Zaleha S. 2021. ‘Autonomous Underwater Vehicle in Internet of Underwater Things: A Survey’. Journal of Physics: Conference Series, vol. 2129, no. 1. Available at: https://doi.org/10.1088/17426596/2129/1/012080
Oladele, S. 2025. ‘The Rise of Autonomous Robots : AI-Driven Navigation and Control’, (January).
Olanrewaju, O.I.K., Daramola, G.O., Babayeju, O.A. 2024. ‘Harnessing big data analytics to revolutionize ESG reporting in clean energy initiatives’. World Journal of Advanced Research and Reviews, vol. 22, no. 3, pp. 574–585. Available at: https://doi.org/10.30574/wjarr.2024.22.3.1759
Olivart I Llop, J.M., Moreno-Salinas, D., Sánchez, J. 2020. ‘Full real-time positioning and attitude system based on gnss-rtk technology’. Sustainability, vol. 12, no. 23, pp. 1–21. Available at: https://doi.org/10.3390/su12239796
Olsson, A. 2021. ‘Design and development of a submersible UAV’, (2021:337).
Oluleye, G. 2021. ‘Environmental Impacts of Mined Diamonds’. Available at: https://www.imperial-consultants.co.uk/wpcontent/uploads/2021/02/Final-report-Environmental-Impactsof-Mined-Diamonds.pdf
Oluokun, O., Akinsooto, O., Ogundipe, O., Ikemba, S. 2025. ‘Energy Efficiency in Mining Operations: Policy and Technological Innovations Energy Efficiency in Mining Operations: Policy and Technological Innovations Received: 12-12-2023 Accepted 18-01-2024 Page No: 994-1008’, (January). Available at: https://doi.org/10.54660/.IJMRGE.2024.5.1.994-1008
Olusegun, J. 2025. ‘Adaptive Control Strategies in Autonomous Vehicles Using Reinforcement Learning’, (January).
Özenir, İpek, G.N. 2022. Industry 4 . 0 in Manufacturing.
Pallavi, C.H., Sreenivasulu, G. 2021. ‘A high speed underwater wireless communication through a novel hybrid opto-acoustic modem using MIMO-OFDM’. Instrumentation Mesure Metrologie, vol. 20, no. 5, pp. 279–287. Available at: https://doi.org/10.18280/i2m.200505
Pandey, A. 2016. ‘Multiple Mobile Robots Navigation and Obstacle Avoidance Using Minimum Rule Based ANFIS Network Controller in the Cluttered Environment’. International Journal of Advanced Robotics and Automation, vol. 1, no. 1, pp. 1–11. Available at: https://doi.org/10.15226/2473-3032/1/1/00102
Pandey, A. 2017. ‘Mobile Robot Navigation and Obstacle Avoidance Techniques: A Review’. International Robotics & Automation Journal, vol. 2, no. 3, pp. 96–105. Available at: https://doi. org/10.15406/iratj.2017.02.00023
Paramesha, M., Rane, N., Rane, J. 2024. ‘Big data analytics, artificial intelligence, machine learning, internet of things, and blockchain for enhanced business intelligence’. SSRN Electronic Journal, pp. 110–133. Available at: https://doi.org/10.2139/ ssrn.4855856
Parvin, K., Lipu, M., Hannan, M., Abdullah, M., Jern, K., Begum, R., Mansur, M., Muttaqi, K., Mahlia, T., Dong, Z. 2021 ‘Intelligent Controllers and Optimization Algorithms for Building Energy Management towards Achieving Sustainable Development: Challenges and Prospects’. IEEE Access, pp. 41577–41602. Available at: https://doi.org/10.1109/ACCESS.2021.3065087
Paull, L., Sajad, S., Mae Seto, H.L. 2013. ‘AUV Navigation and Localization Defence Research and Development Canada –Atlantic’, (January), p. 30. Available at: https://scispace.com/pdf/ auv-navigation-and-localization-a-review-2aaowbjv0i.pdf
Pham, K., Leuchter, J., Bystricky, R., Andrle, M., Pham, N., Pham, V. 2022. ‘The Study of Electrical Energy Power Supply System for UAVs Based on the Energy Storage Technology’. Aerospace, vol. 9, no. 9. Available at: https://doi.org/10.3390/aerospace9090500
Potter, K., Doris, L. 2024. ‘Predictive Maintenance for Electric Vehicles: Enhancing Reliability and Efficiency’, vol. 11, no. 12, pp. 25647–25661. Available at: https://doi.org/10.18535/ijecs/ v11i12.4713
Prabu, S., Senthilraja, R., Ali, A., Jayapoorani, S., Arun, M. 2025. ‘AI-Driven Predictive Maintenance for Smart Manufacturing Systems Using Digital Twin Technology’, vol. 11, no. 1, pp. 1350–1355. Available at: https://doi.org/10.22399/ijcesen.1099
President, T., Greve, H. 2022. ‘Press release Arctic Canadian Diamond Company and IHC Mining jointly developing innovative Underwater Remote Mining system Press release’, pp. 4–7
Prozessindustrie, V.K. Der. 2025. ‘Reference Architecture for AI solutions ’ application within process industry – the EU project s-X-AIPI experience’ Available at: https://www.cencenelec. eu/media/CEN-CENELEC/News/Workshops/2025/2025-0217-AIPI/cwa_referencearchitecture-ai_processondustry_s-xaipi_v2-0.pdf
Pump, H.S. 2022. ‘Hydril Subsea Pump’, p. 2022. Available at: https://hmhw.com/wp-content/uploads/2022/05/Rebrand-3GE-Subsea-Pump.pdf
Puppet Labs 2015. ‘2015 State of DevOps Report’, Puppetlabs, (877), p. 37. Available at: https://doi.org/10.13140/RG.2.1.3890.2645
Qiong, H., Zhenfu, L., Zhai, X., Zheng, Hao. 2022. ‘Development of Hydraulic Lifting System of Deep-Sea Mineral Resources’. Minerals, vol. 12, no. 10. Available at: https://doi.org/10.3390/ min12101319
Rajesh, S., Hanbhag, R., Dasi, U., Singla, N., Balasubramanian, R., Benadikar, S. 2023 ‘Intelligent Systems and Applications in Engineering Exploring the Use of Cloud-Based AI and ML for
Real-Time Anomaly Detection and Predictive Maintenance in Industrial IoT Systems’
Ramachandran, A. 2025. ‘The Rise of Autonomous UAV Swarms: Harnessing Advanced AI for Breakthrough Applications, Challenges, and Future Directions’. Available at: https:// www.researchgate.net/publication/388357951_The_Rise_ of_Autonomous_UAV_Swarms_Harnessing_Advanced_AI_ for_Breakthrough_Applications_Challenges_and_Future_ Directions
Rao, T. 2021. ‘of ASIC / FPGA Verification IP and Interoperability of ASIC / FPGA Verification IP’
Rashid, A.B., Kausik, M.A.K. 2024. ‘AI revolutionizing industries worldwide: A comprehensive overview of its diverse applications’. Hybrid Advances, vol. 7, p. 100277. Available at: https://doi.org/10.1016/j.hybadv.2024.100277
Raza, F. 2024. ‘AI for Predictive Maintenance in Industrial Systems’. Cosmic Bulletin of Business Management, 2 November, p. 1. Available at: https://doi.org/10.13140/RG.2.2.27313.35688
Recalde, A., Cajo, R., Velasquez, W. Alvarez-Alvarado, M. 2024. ‘Machine Learning and Optimization in Energy Management Systems for Plug-In Hybrid Electric Vehicles: A Comprehensive Review’. Energies, vol. 17, no. 13. Available at: https://doi.org/10.3390/en17133059
Report, F. 2015. ‘Multi-Modal Intelligent Traffic Signal Systems (MMITSS) Impacts Assessment’
Robinson, L., Hammitt, J., Zeckhauser, R. 2014 ‘The Role of Distribution in Regulatory Analysis and Decision Making’, pp. 1–30. Available at: www.hks.harvard.edu/mrcbg
Roland Holst, R.J. 2024 ‘Exploiting the deep seabed for the benefit of humankind: A universal ideology for sustainable resource development or a false necessity?’. Leiden Journal of International Law, vol. 37, no. 2, pp. 400–422. Available at: https://doi.org/10.1017/S092215652300064X
Romero, O.J., Hupp, A. 2014 ‘Subsea electrical submersible pump significance in petroleum offshore production’. Journal of Energy Resources Technology, Transactions of the ASME, vol. 136, no. 1. Available at: https://doi.org/10.1115/1.4025258
Ross, S., Hill, J., Chen. M, Joseph, A., Culler, D., Brewer, E. 2000. ‘A composable framework for secure multi-modal access to Internet services from post-PC devices’. Proceedings - 3rd IEEE Workshop on Mobile Computing Systems and Applications, WMCSA 2000, pp. 171–182. Available at: https://doi. org/10.1109/MCSA.2000.895392
Saeedi, S., Nagaty, A., Thibault, C., Trentini, M., Li, H. 2016 ‘Perception and navigation for an autonomous quadrotor in GPS-denied environments’. International Journal of Robotics and Automation, vol. 31, no. 6, pp. 453–463. Available at: https://doi.org/10.2316/Journal.206.2016.6.206-4434
Saganiak, K., Buketov, V. 2024 ‘Integrating mining software, CAD, and GIS technologies for enhanced 3D geological mapping and visualization’. E3S Web of Conferences, vol. 567. Available at: https://doi.org/10.1051/e3sconf/202456701021
Sah, B.P., Tanha, N.I., Sikder, M., Habibullah, S. 2024. The Integration of Industry 4.0 and Lean Technologies in Manufacturing Industries. A Systematic Literature Review, vol 1, no. 3, pp. 14–25. Available at: https://doi.org/10.62304/ijmisds. v1i3.164
Sakic, P., Chupin, C., Ballu, V., Coulombier, T., Morvan, P., Urvoas, P., Beauverger, M., Royer, J. 2021 ‘Geodetic Seafloor Positioning
Using an Unmanned Surface Vehicle—Contribution of Direction-of-Arrival Observations’. Frontiers in Earth Science, 9. Available at: https://doi.org/10.3389/feart.2021.636156
Saneian, M., Gao, Y., Bai, Y., Liu T. 2019 ‘Analysis of subsea umbilical mechanical behavior under simultaneous bending, tension and torsion’. Proceedings of the International Conference on Offshore Mechanics and Arctic Engineering - OMAE, 5A-2019 (June). Available at: https://doi.org/10.1115/OMAE2019-96596
Sanghavi, D., Parikh, S., Raj, S.A. 2019. ‘Industry 4.0: Tools and implementation’. Management and Production Engineering Review, vol. 10, no. 3, pp. 3–13. Available at: https://doi. org/10.24425/mper.2019.129593
Saoud, B., Shayea, I., Yahya AShamsan, Z., Alhammadi, A., Alawad, M, Alkhrijah, Y. 2024. ‘Artificial Intelligence, Internet of things and 6G methodologies in the context of Vehicular Ad-hoc Networks (VANETs). Survey’ ICT Express, vol. 10, no. 4, pp. 959–980. Available at: https://doi.org/10.1016/j.icte.2024.05.008
Saravanakumar, Y., Sultan, M., Shahar, F., Giernacki, W., Łukaszewicz, A., Nowakowski, M., Holovatyy, A., Stępień, S. 2023. ‘Power Sources for Unmanned Aerial Vehicles: A Stateof-the Art’. Applied Sciences, vol. 13, no. 21. Available at: https://doi.org/10.3390/app132111932
Sazonov, Y., Mokhov, M., Gryaznova, I., Tumanyan, K., Pyatibratov, P., Voronova, V. 2020 ‘Development and research of jet pumpcompressor unit with periodical connection of ejector’. Journal of Applied Engineering Science, vol. 18, no. 2, pp. 267–272. Available at: https://doi.org/10.5937/jaes18-25998
Schmidt, M., Ahlström, S. 2024. ‘Collaborative slam for ground robotics in search and rescue missions’.
Seabed Dredging Excavator and Seascape Technology BV. 2017. SBDE - Seabed dredger excavator. (Accessed: 26 August 2021) Available at: https://www.seascapesubsea.com/project-details/ seabed-dredger-excavator/
Seabed Technology 2022. ‘International Seabed Authority: Seabed Technology’, p. 4. Available at: https://www.proceedings.com/ content/049/049748webtoc.pdf\
Shadravan, A.R. Parsaei, H. 2024 ‘Industry 4.0 Readiness: From Concept to Implementation’, pp. 2210–2217. Available at: https://doi.org/10.46254/an14.20240588
Sharma, R. 2011. ‘Deep-sea mining: Economic, technical, technological, and environmental considerations for sustainable development’. Marine Technology Society Journal, vol. 45, no. 5, pp. 28–41. Available at: https://doi.org/10.4031/MTSJ.45.5.2
Sharma, R. 2015. ‘Environmental Issues of Deep-Sea Mining’. Procedia Earth and Planetary Science, vol. 11, pp. 204–211. Available at: https://doi.org/10.1016/j.proeps.2015.06.026
Sharmilan, T., Abeysekara, N. 2024. ‘Development and Enhancement of Autonomous Mobile Robots Using Reinforcement Learning : Improving Navigation and Obstacle Avoidance in Small-Scale Industrial Settings’, (August). Available at: https://doi.org/10.20944/preprints202408.1849.v1
Shi, W., Mestemaker, B., Den Boer, L., Contessi, C., Zotti, A. 2015. ‘Application of Lng Df Engines in Dredging Vessels’, (November 2015), pp. 1–12
Shields, M.D. , Young, S.M. 1989. ‘A behavioral model for implementing cost management systems’. Journal of Cost Management, (Winter), pp. 17–27
Shin, J.H., Jun, H.B. 2015. ‘On condition based maintenance policy’. Journal of Computational Design and Engineering,
vol. 2, no. 2, pp. 119–127. Available at: https://doi.org/10.1016/j. jcde.2014.12.006
Sikdar, B. 2018. Proceedings of the 3rd International Conference on Informatics and Computing, ICIC2018 Available at: https://www.proceedings.com/content/049/049748webtoc.pdf
Soderbaum, P. 2020. ‘Environmental and Other Problems’. Ecological Economics, (November), pp. 17–33. Available at: https://doi.org/10.4324/9781315071640-9
Sola, Y. 2022. ‘Contributions to the development of deep reinforcement learning-based controllers for AUV Yoann Sola To cite this version: HAL Id : tel-03901160 Yoann SOLA Contributions to the development of Deep Reinforcement’
Soldatos, J., Kyriazis, D. 2021. Trusted Artificial Intelligence in Manufacturing: A Review of the Emerging Wave of Ethical and Human Centric AI Technologies for Smart Production. Available at: https://www.researchgate.net/ publication/356788493_Trusted_Artificial_Intelligence_in_ Manufacturing_A_Review_of_the_Emerging_Wave_of_ Ethical_and_Human_Centric_AI_Technologies_for_Smart_ Production
Song, H., Zhang, D. 2023. ‘Frontiers in Computing and Intelligent Systems Robot Path Planning Algorithm based on Improved A* and DWA’, vol. 6, no. 1, pp. 3–7
Stella, C., Little, A.D. 2024. ‘Seabed Mining : A $20 TRILLION OPPORTUNIT Y The future of resource extraction ’ Available at: https://www.adlittle.com/en/insights/viewpoints/seabedmining-20-trillion-opportunity
Stevens, B., Jolly, C. 2021. ‘FOR OCEAN’, (September). Available at: https://doi.org/10.1787/a4734a65-en
Stimmel, C.L. 2016. Big Data Analytics Strategies for the Smart Grid. Available at: https://doi.org/10.1201/b17228
Su,. X., Tang, Z., Li, Y., Zhu, Z., Mianowicz, K., Balaz, P. 2020. ‘Research of particle motion in a two-stage slurry transport pump for deep-ocean mining by the CFD-DEM method’. Energies, vol. 13, no. 24. Available at: https://doi.org/10.3390/ en13246711
Sugiura, L., Wiles, R., Pope, C. 2017. ‘Ethical challenges in online research: Public/private perceptions’. Research Ethics, vol. 13, no. 3–4, pp. 184–199. Available at: https://doi. org/10.1177/1747016116650720
Sulaiman, H., Saadun, M.N.A., Yusof, A.A. 2015. ‘Modern Manned, Unmanned and Teleoperated Excavator System’. Journal of Mechanical Engineering and Technology, vol. 7, no. 1, pp. 57–68.
Sulaiman, H., Yusof, A.A., Noor, M., Saadun, A., Sabaruddin, S.A. 2016. ‘Simulation of Tele-Operated Electro-Hydraulic Actuator a nd Excavator ’ s Boom’, (January).
Sumaila, U.R., Alam, L., Pradhoshini, K., Onifade, T., Karuaihe, S.T., Singh, P., Levin, L.A., Flint, R. 2023. ‘To engage in deep-sea mining or not to engage: what do full net cost analyses tell us?’. npj Ocean Sustainability, vol. 2, no. 1. Available at: https://doi. org/10.1038/s44183-023-00030-w
Sun, D., Jamshidnejad, A., De Schutter, B. 2024. ‘Adaptive parameterized model predictive control based on reinforcement learning: A synthesis framework’. Engineering Applications of Artificial Intelligence, vol. 136(PB), p. 109009. Available at: https://doi.org/10.1016/j.engappai.2024.109009
Sun, J. 2019. Open Aircraft Performance Modeling Based on an Analysis of Aircraft Surveillance Data, TU Delft University. Available at: https://doi.org/10.4233/uuid
Sun, J., Zhang, Q., Lu, Y., Huang, B., Li, Q. 2025. ‘A Review of Touching-Based Underwater Robotic Perception and Manipulation’. Machines, vol. 13, no. 1, pp. 1–22. Available at: https://doi.org/10.3390/machines13010041
Sun, L., Wang, Y., Hui, X., Ma, X., Bai, X., Tan, M. 2024. ‘Underwater Robots and Key Technologies for Operation Control’. Cyborg and Bionic Systems, vol. 5. Available at: https://doi.org/10.34133/cbsystems.0089
Sun, X., Liu, F., Zhao, Y., Liu, F., Wang, J., Zhu, S., He, Q., Bai, Y., Zhang, J. 2024. ‘Research on Environmental Risk Monitoring and Advance Warning Technologies of Power Transmission and Distribution Projects Construction Phase’. Sensors, vol. 24, no. 23, pp. 1–32. Available at: https://doi.org/10.3390/s24237695
Svensson, L. 2018. ‘Trajectory generation for safe overtaking maneuver in autonomous vehicles Evaluated in lane merging scenario utilizing a trajectory planner’.
Swire Seabed. 2008. ‘Seabed Excavator’, pp. 1–2. (Accessed: 24 August 2021). Available at: www.swireseabed.com
Tamunodukobipi, D., Nitonye, S., Adumene, S. 2018. ‘Analysis of a Self-Propelled Dredger Capability in Shallow Waters Operation’. International Journal of Recent Engineering Science, vol. 5, no. 2, pp. 4–9. Available at: https://doi.org/10.14445/23497157/ijresv5i2p102
Teixeira, A., Shames, I., Sandberg, H., Johansson, K.H. 2014. ‘Distributed fault detection and isolation resilient to network model uncertainties’. IEEE Transactions on Cybernetics, vol. 44, no, 11, pp. 2024–2037. Available at: https://doi.org/10.1109/ TCYB.2014.2350335
Thomas, J.J., King, J. 2023. ‘Offshore Hybrid Energy Systems’. Available at: https://www.nrel.gov/docs/fy23osti/86200.pdf
Thomson, A., Abadi, D.J.s 2013. ‘Modularity and Scalability in Calvin’. Data Engineering, pp. 48–55. Available at: http://sites. computer.org/debull/A13june/A13JUN-CD.pdf#page=50
Tiwari, R., Srinivaas, A.,Velamati, R.K. 2025. ‘Adaptive Navigation in Collaborative Robots: A Reinforcement Learning and Sensor Fusion Approach’. Applied System Innovation, vol. 8, no, 1. Available at: https://doi.org/10.3390/asi8010009
Toledano, P., Points, K., Carreau, S., Kim, E. 2012. ‘CCSI Policy Paper Leveraging the Mining Industry’s Energy Demand to Improve Host Countries ’ Power Infrastructure Table of Contents’, (September).
Toledano, P., Ramdoo, I., Cosbey, A., Geipel, J. 2022. ‘New Tech, New Deal: Mining Policy Options in the Face of New Technology’. SSRN Electronic Journal [Preprint], (May). Available at: https://doi.org/10.2139/ssrn.4045058
Tong, F., Zhou, Y., Chen, D., Li, J., Zhang, X. 2023. ‘Advances and trends of underwater acoustic communication technology for heterogeneous unmanned underwater vehicles’. Harbin Gongcheng Daxue Xuebao/Journal of Harbin Engineering University, vol. 44, no. 11, pp. 1963–1976. Available at: https://doi.org/10.11990/jheu.202307040
Tooling, S., Uk, S., Services, S., Subsea, A., Services, T. 2018. ‘Subsea Tooling Services Range of Dredgers Subsea Tooling Services Dredger Configuration’.
Toteff, J., Asuaje, M., Noguera, R. 2022. ‘New Design and Optimization of a Jet Pump to Boost Heavy Oil Production’. Computation, vol. 10, no. 1. Available at: https://doi. org/10.3390/computation10010011
U.S. Department of Energy (2019) ‘Exploring Opportunities for Marine Renewable Energy in Maritime Markets’, (April), p. 170. Available at: https://www.ocean-energy-systems.org/about-oes/ what-is-ocean-energy/
Ucar, A., Karakose, M., Kırımça, N. 2024. Artificial Intelligence for Predictive Maintenance Applications: Key Components, Trustworthiness, and Future Trends. https://www.mdpi. com/2076-3417/14/2/898
Ukoba, K., Olatunji, K.O., Adeoye, E., Jen, T.-C., Madyira, D.M. 2024. ‘Optimizing renewable energy systems through artificial intelligence: Review and future prospects’. Energy and Environment [Preprint], (May). Available at: https://doi. org/10.1177/0958305X241256293
Ummah, M.S. 2019a. ‘SISTEM PEMBETUNGAN TERPUSAT: STRATEGI MELESTARIKAN PENGURUSAN KUMBAHAN Title, Sustainability (Switzerland). Available at: https://www.researchgate.net/publication/305320484_ SISTEM_PEMBETUNGAN_TERPUSAT_STRATEGI_ MELESTARIKAN_PENGURUSAN_KUMBAHAN
Ummah, M.S. 2019b. ‘SISTEM PEMBETUNGAN TERPUSAT: STRATEGI MELESTARIKAN PENGURUSAN KUMBAHAN’, Sustainability (Switzerland), 11(1), pp. 1–14. Available at: https://www.researchgate.net/publication/305320484_ SISTEM_PEMBETUNGAN_TERPUSAT_STRATEGI_ MELESTARIKAN_PENGURUSAN_KUMBAHAN
Underwater, Ix. 2014. ‘iXBlue Positioning Solutions your data deserves the best positioning’, (August). Available at: https:// scripps.ucsd.edu/system/files/2021-01/2015-04 - iXBlue underwater positioning solutions.pdf
Van Dover, C., Ardron, J., Escobar, E., Gianni, M., Gjerde, K., Jaeckel, A., Jones, D., Levin, L., Niner, H., Pendleton, L., Smith, C., Thiele, T., Turner, P., Watling, L., Weaver, P. 2017. ‘Biodiversity loss from deep-sea mining’. Nature Geoscience, vol. 10, no. 7, pp. 464–465. Available at: https://doi.org/10.1038/ ngeo2983
Vassileva, S., Doukovska, L., Sgurev, V. 2014. ‘AI-based diagnostics for fault detection and isolation in process equipment service’. Computing and Informatics, vol. 33, no. 2, pp. 387–409.
Venter, J., Sabunet. 2017. ‘Hydraulic valve lifters’, (January), p. 2017. Available at: https://journals.co.za/doi/abs/10.10520/EJC4d0eea0c7
Vercruijsse, P.M., Lotman, R. 2010. ‘An integral design approach for deep sea mining systems using dredging technology. Proceedings of the International Conference on Offshore Mechanics and Arctic Engineering - OMAE, 3 (November), pp. 23–28. Available at: https://doi.org/10.1115/OMAE2010-20238
Verma, M. 2024. ‘Deep Sea Mining : Balancing Opportunities and Challenges for Sustainable Deep Sea Mining: Balancing Opportunities and Challenges for Sustainable Resource Extraction’, (July).
Vision, T. 2025a. ‘AI : A Declaration of Autonomy’. Available at: https://www.accenture.com/content/dam/accenture/final/ accenture-com/document-3/Accenture-Tech-Vision-2025. pdf?utm_source=chatgpt.com
Vision, T. 2025b. ‘AI : A Declaration of Autonomy’.
Vogt, C. 2022. ‘Deep Seabed Mining : Environmental Assessment and Management Guidelines Step by Step Process to Evaluate Applications for Deep Seabed Mining’, (May).
Wang, C., Cheng, C., Yang, D., Pan, G., Zhang, F. 2022. ‘Path Planning in Localization Uncertaining Environment Based on Dijkstra Method’. Frontiers in Neurorobotics, vol. 16 (March), pp. 1–12. Available at: https://doi.org/10.3389/fnbot.2022.821991
Wang, J., Guo, J. 2023. ‘Risk pre-control mechanism of mines based on evidence-based safety management and safety big data’. Environmental Science and Pollution Research, vol. 30, no. 51, pp. 111165–111181. Available at: https://doi.org/10.1007/ s11356-023-30204-5
Wang, L., Kang, Y., Wang, Y., Zhao, Z., Shang, L., Song, X., Xu, D., Cheng, R. 2024. ‘Optimization Design of a Winch Suction Underwater Dredging Robot Using Orthogonal Experimental Design’. Journal of Marine Science and Engineering, vol. 12, no. 5. Available at: https://doi.org/10.3390/jmse12050741
Wang, S., Ahmad, N.S. 2024. ‘A Comprehensive Review on Sensor Fusion Techniques for Localization of a Dynamic Target in GPS-Denied Environments’. IEEE Access, p. 1. Available at: https://doi.org/10.1109/ACCESS.2024.3519874
Wang, X., Tu, R., Zhang, R., Han, J., Fan, L., Zhang, P. 2020. ‘A study of GPS PPP velocity estimation with the constraints of Doppler observation’. Advances in Space Research, vol. 66, no. 12, pp. 2900–2913. Available at: https://doi.org/10.1016/j. asr.2020.05.011
Wang, Y., Cai, B., Zhang, Y., Liu, J., Khan, J., Liu, Y., Li, R., Chu, Z., Liu, Z., Liu, Y. 2022. ‘Condition-based maintenance method for multicomponent system considering maintenance delay based on remaining useful life prediction: Subsea tree system as a case’. Ocean Engineering, vol. 266. Available at: https://doi. org/10.1016/j.oceaneng.2022.112616
Wang, Z., Lei, Y., Wu, Z., Wu, J., Zhang, M., Liao, R. 2023. ‘Structure Size Optimization and Internal Flow Field Analysis of a New Jet Pump Based on the Taguchi Method and Numerical Simulation’. Processes, vol. 11, no. 2. Available at: https://doi.org/10.3390/ pr11020341
Wang, Z., Rao, Q., Liu, S. 2011. ‘Dynamic analysis of seabed-mining machine-flexible hose coupling in deep sea mining’. Proceedings of the ISOPE Ocean Mining Symposium, pp. 143–148.
WEGA. 2013. ‘Environmental issues associated with cremation’, pp. 1–10. Available at: www.epa.gov
Wei, T., Feng, W., Chen, Y., Wang, C.-X, Ge, N., Lu, J. 2021. ‘Hybrid Satellite-Terrestrial Communication Net.works for the Maritime Internet of Things: Key Technologies , Opportunities, and Challenges’, pp. 1–27. Available at: https://arxiv.org/ pdf/1903.11814
Weiser, L. Officer, communications 2018. ‘Deep-sea Mining: The Basics Overview’, June. Available at: https://www.pewtrusts. org/-/media/assets/2018/07/deep-seabed-mining-basics_1806-v3.pdf
West-Trak 2019. ‘Undercarriage Helping You get the Most from Your Undercarriage Tips for new undercarriage installations’, http://www.west-trak.co.nz/ [Preprint]. Available at: https:// www.west-trak.co.nz/wp-content/uploads/2019/01/ Undercarriage-Handbook-low-res.pdf
Whittle, D., Yellishetty, M. 2023. ‘Critical minerals’, Critical Materials and Sustainability Transition, pp. 102–130. Available at: https://doi.org/10.1201/9781003218920-7
World Energy Perspective - Energy Efficiency Technologies (2013) ‘World Energy Perspective - Energy Efficiency Technologies’. World Energy Council, pp. 5–26. Available at: http://www. worldenergy.org/wp-content/uploads/2014/03/World-EnergyPerspectives-Energy-Efficiency-Technologies-Overview-report. pdf
Wu. H., Zeng, X, Xiao, J., Yu, Y., Dai, X., Yu. J. 2020. ‘Vector form intrinsic finite-element analysis of static and dynamic behavior of deep-sea flexible pipe’. International Journal of Naval Architecture and Ocean Engineering, vol. 12, pp. 376–386. Available at: https://doi.org/10.1016/j.ijnaoe.2020.04.003
Xia, M., Lu, H., Yang, J., Sun, P. 2023. ‘Multi-Body Dynamics Modeling and Straight-Line Travel Simulation of a FourTracked Deep-Sea Mining Vehicle on Flat Ground’. Journal of Marine Science and Engineering, vol. 11, no. 5, p. 36. Available at: https://doi.org/10.3390/jmse11051005
Xiao, Z., Li, C., Dai, B., Zhao, D., Xiao, L., Nie, Y., Hu, Y., Li, X. 2024. ‘Autonomous Driving in Unstructured Environments: How Far Have We Come?’, vol. 2, pp. 1–38. Available at: http://arxiv.org/abs/2410.07701
Xiao, J., Hong, S., Yang, N., Xiong, H., Liu, J., Ou, W., Parianos, J., Chen, Y. 2019. ‘Model test of skip lifting system for deep-sea mining’. Proceedings of the International Offshore and Polar Engineering Conference, 1 November, pp. 134–139.
Xiao, L.-j., Liu, Q., Lu, J.-m. 2020. ‘Analysis on longitudinal vibration law of deep sea stepped mining pipe’. AIP Advances, vol. 10, 12, pp. 1–15. Available at: https://doi.org/10.1063/5.0032731
Xiao, X., Liu, B, Warnell, G, Stone, P. 2022. Motion planning and control for mobile robot navigation using machine learning: a survey. Autonomous Robots. Available at: https://doi. org/10.1007/s10514-022-10039-8
Xie, C., Wang, L., Yang, N., Agee, C., Chen, M., Zheng, J., Liu, J., Chen, Y., Xu, L., Qu, Z., Yao, S., Wang. L, Chen. Z. 2022. ‘A Compact Design of Underwater Mining Vehicle for the CobaltRich Crust with General Support Vessel Part A: Prototype and Tests’. Journal of Marine Science and Engineering, vol. 10, no. 2. Available at: https://doi.org/10.3390/jmse10020135
Xie, Y., Liu, C., Chen, X., Liu, G., Leng, D., Pan, W., Shao, S. 2023. ‘Research on path planning of autonomous manganese nodule mining vehicle based on lifting mining system’. Frontiers in Robotics and AI, 10 July, pp. 1–12. Available at: https://doi. org/10.3389/frobt.2023.1224115
Xu, J., Irigoien, X., Alouini, M.-S. 2024. ‘State-of-the-Art Underwater Vehicles and Technologies Enabling Smart Ocean: Survey and Classifications’, pp. 1–35. Available at: http://arxiv. org/abs/2412.18667
Xu, W., Sainct, R., Gruyer, D., Orfila, O. 2021. ‘Safe vehicle trajectory planning in an autonomous decision support framework for emergency situations’. Applied Sciences, vol. 11, no. 14. Available at: https://doi.org/10.3390/app11146373
Yang, H., Boyang, L., Jiang, B., Han, J., Wen, C.Y. 2024. ‘Disturbance Observer-Based Model Predictive Control for an Unmanned Underwater Vehicle’. Journal of Marine Science and Engineering, vol. 12, no. 1. Available at: https://doi.org/10.3390/ jmse12010094
Yang, Y., Mao, Y., Sun, B. 2020. ‘Basic performance and future developments of BeiDou global navigation satellite system’. Satellite Navigation, vol. 1, no. 1, pp. 1–8. Available at: https:// doi.org/10.1186/s43020-019-0006-0
Yang, Z., Lu, Q., Yan, J., Chen, J., Yue, Q. 2018. ‘Multidisciplinary optimization design for the section layout of umbilicals based on intelligent algorithm’. Journal of Offshore Mechanics and Arctic Engineering, vol. 140, no. 3. Available at: https://doi. org/10.1115/1.4038580
Yaqot, M., Menezes, B.C. 2023. ‘Mining Process Systems in the Industry 4.0 Mandate Towards the Plant of Future’, (April), pp. 713–721. Available at: https://doi.org/10.46254/eu05.20220145
Yaroshenko, I., Kirsanov, D., Marjanovic, M., Lieberzeit, P., Korostynska, O., Mason, A., Frau, I., Legin, A. 2020. ‘Real-time water quality monitoring with chemical sensors’. Sensor, vol. 20, no. 12, pp. 1–22. Available at: https://doi.org/10.3390/s20123432
Yeu, T., Yoon, S., Park, S., Hong, S., Choi, J., Kim, H., Kim, D., Lee, C. 2011. ‘Estimation of MineRo’s kinematic parameters for underwater navigation algorithm’. Ocean and Polar Research, vol. 33, no. 1, pp. 69–76. Available at: https://www.researchgate. net/publication/339680113_Optimal_path_planning_based_ on_A_algorithm_for_submarine_mining_vehicle
Yoo, T.S., Kang, S.H., Lee, J., Ji, D., Kim, M.H. 2025. ‘Development and Evaluation of Enhanced Navigation Filters for Underwater Glider’. IEEE Access, p. 1. Available at: https://doi.org/10.1109/ ACCESS.2025.3539247
Yoon, S.M., Hong, S., Park, S.J., Choi, J.-S., Kim, H.-W., Yeu, T-K. 2012. ‘Track velocity control of crawler type underwater mining robot through shallow-water test’. Journal of Mechanical Science and Technology, vol. 26, no. 10, pp. 3291–3298. Available at: https://doi.org/10.1007/s12206-012-0810-2
Yu, D., He, Z. 2022. Digital twin-driven intelligence disaster prevention and mitigation for infrastructure: advances, challenges, and opportunities. Natural Hazards. Springer Netherlands. Available at: https://doi.org/10.1007/s11069-02105190-x
Yum, K.K., Skjong, S., Taskar, B., Pedersen, E., Steen, S. 2016. Simulation of a Hybrid Marine Propulsion System in Waves. Proceedings of 28th CIMAC World Congress. Available at: https:// www.researchgate.net/publication/303793681_Simulation_ of_a_Hybrid_Marine_Propulsion_System_in_Waves
Yurish, S.Y. 2020. Advances in Robotics and Automatic Control: Reviews, Advances in Robotics and Automatic Control: Reviews Book Series , vol. 1
Zeng, X., Xia, M., Luo, Z., Shang, J., Xu, Y., Yin, Q. 2022. ‘Design and Control of an Underwater Robot Based on Hybrid Propulsion of Quadrotor and Bionic Undulating Fin’. Journal of Marine Science and Engineering, vol. 10, 9. Available at: https://doi.org/10.3390/jmse10091327
Zhang, L., Li, Y., Meng, Y., Wang, L., Jia, P. 2018. ‘Installation and Docking Technology of Control Module for Subsea Production System’, (March). Available at: https://doi.org/10.2991/ mecae-18.2018.69
Zhang, X., Zuo, Y., Wei, J., Sha, F., Yuan, Z., Liu, X., Xi, M., Xu, J. 2024. ‘A Review on Underwater Collection and Transportation Equipment of Polymetallic Nodules in Deep-Sea Mining’. Journal of Marine Science and Engineering, vol. 12, no. 5. Available at: https://doi.org/10.3390/jmse12050788
Zhao, R., Zou, G., Su, Q., Zou, S., Deng, W., Yu, A., Zhang, H. 2022. ‘Digital Twins-Based Production Line Design and Simulation Optimization of Large-Scale Mobile Phone Assembly Workshop’. Machines, vol. 10, no. 5. Available at: https://doi. org/10.3390/machines10050367
Zheng, D., Wang, H., Xie, Z., Chen, W., Kong, X. 2017. ‘Autonomous navigation of a quadrotor in unknown environments’. 2017 IEEE International Conference on Robotics and Biomimetics, ROBIO 2017, 2018-Janua(November 2022), pp. 1930–1935. Available at: https://doi.org/10.1109/ROBIO.2017.8324701
Zhong, D., Xie, Z., Zhu, Y., Duan, J. 2023. ‘Overview of predictive maintenance based on digital twin technology’. Heliyon, vol. 9, no. 4, p. e14534. Available at: https://www.sciencedirect.com/ science/article/pii/S2405844023017413
Zhong, J., Li, M., Chen, Y., Wei, Z., Yang, F., Shen, H. 2024. ‘A Safer Vision-Based Autonomous Planning System for Quadrotor UAVs with Dynamic Obstacle Trajectory Prediction and Its Application with LLMs’. Proceedings - 2024 IEEE Winter Conference on Applications of Computer Vision Workshops, WACVW 2024, pp. 920–929. Available at: https://doi. org/10.1109/WACVW60836.2024.00131
Zhu, J., Li, H., Zhang, T. 2024. ‘Camera, LiDAR, and IMU Based Multi-Sensor Fusion SLAM: A Survey’. Tsinghua Science and Technology, vol. 29, no. 2, pp. 415–429. Available at: https://doi.org/10.26599/TST.2023.9010010
Zhu, Q., Yu, B., Wang, Z., Tang, J., Chen, Q., Li, Z., Liu, X., Luo, Y., Tu, L. 2023. Cloud and Edge Computing for Connected and Automated Vehicles. Available at: https://www.emerald.com/ fteda/article-abstract/14/1-2/1/1320869/Cloud-and-EdgeComputing-for-Connected-and?redirectedFrom=fulltext
Zhu, W., Shi, X., Huang, R., Huang, L., Ma, W. (2021. ‘Research on coupled thermo-hydro-mechanical dynamic response characteristics of saturated porous deep-sea sediments under vibration of mining vehicle’. Applied Mathematics and Mechanics (English Edition), vol. 42, no. 9, pp. 1349–1362. Available at: https://doi.org/10.1007/s10483-021-2768-5
Zhukabayeva, T., Zholshiyeva, L., Karabayev, N., Khan, S., Alnazzawi, N. 2025. ‘Cybersecurity Solutions for Industrial Internet of Things–Edge Computing Integration: Challenges, Threats, and Future Directions’. Sensors, vol. 25, no. 1. Available at: https://doi.org/10.3390/s25010213
Zimmermann, M., Wotawa, F. 2020. ‘An adaptive system for autonomous d https://doi.org/10.1007/s11219-020-09519-w riving’. Software Quality Journal, vol. 28, no. 3, pp. 1189–1212. Available at: u

Affiliation:
1School of Mining Engineering, University of the Witwatersrand, South Africa
Correspondence to:
B. Genc
Email: bekir.genc@wits.ac.za
Dates:
Received: 9 Sept. 2025
Revised: 13 Oct. 2025
Accepted: 4 Dec. 2025
Published: January 2026
How to cite:
Malepfane, P., Genc, B. 2026. Determining the impact of haulage optimisation on addressing open pit mining economic and enviromental challenges: A case study. Journal of the Southern African Institute of Mining and Metallurgy, vol. 126, no. 1, pp. 63–74
DOI ID: https://doi.org/10.17159/2411-9717/3805/2026
ORCiD: B. Genc
http://orcid.org/0000-0002-3943-5103
by P. Malepfane1, B. Genc1
Abstract
This study proposes a new approach to reduce the environmental impact during surface mining by improving environmental factors through the incorporation of carbon footprint into strategic mine planning. Two key variables were analysed by contrasting and comparing the baseline and optimised models generated. These variables include net present value, which helps determine the financial feasibility of the mining models and their carbon emissions. The variables were analysed by using linear regression, Spearman’s correlation, a P-value hypothesis, and an exponential decay test.
Results show that at Mine A the projected net present value was 62% higher than when running a baseline model. Furthermore, the net present value from the baseline model portrayed a high rate of decay at 0.667 versus 0.118 from the optimised model. This indicates the baseline model’s sensitivity to long-term project timelines and fluctuating markets. The optimised method presents an opportunity to manage emissions during the high operational costs phases. It is represented by a 31% improvement in carbon emissions during the periods of high operational costs, whilst maintaining a positive net present value when compared with the baseline model. It was shown that the optimised model presents a better chance of achieving financial feasibility and balancing environmental impact, thereby ensuring that Mine A can align with the environmental aspect of economic, social, and governance principles through lowering the carbon footprint resulting from its hauling operations.
Keywords haulage optimisation, environment, open pit mining, carbon footprint, mine planning, net present value
Introduction
Gold mining activities in the Asufiti North district of Ghana are known to cause environmental degradation. Such activities significantly impact farming within the region, and companies operating in this region have become increasingly susceptible to public scrutiny (Amankwa, 2023).
Mine A is one such mine, located in the gold mining region of Ghana, 300 km northwest of Accra (Sec, Edgar, 2021). The mine operates using both underground and open pit mining methods, with most of the gold being extracted through conventional open pit mining techniques, that is, truck and shovel. There are more than three active open-pit areas of varying size, but they can reach depths of 300 m (Sec, Edgar, 2021). These pits can be extensive, with robust infrastructure to support the mining and processing operations. Figure 1 shows the location of mine A within the Sunyani region of Ghana.
Mine A is characterised by rolling terrain, including valleys and ridges typical of the West African savannah. Forest reserves, farmlands, and rural communities define the region’s landscape. Access to the mine is facilitated by major roads connecting it to the regional capital, Sunyani, and to the capital city of Accra (Sec, Edgar, 2021). The proximity to key infrastructure such as highways, electricity, and water resources ensures that mining activities are well-supported logistically (Sec, Edgar, 2021). However, managing the mine's geographic impacts—particularly land use and the socio-economic effects on nearby communities—remains a critical concern for the operators and the government (Ghana Chamber of Mines, 2022). These concerns arise because Mine A uses surface mining methods, such as truck and shovel operations, to extract the ore. Accessing these ores for economic benefit involves the clearance of vast hectares of land, leading to environmental degradation and excavation, which causes landscape deterioration and a negative impact on air quality (Sasmito et al., 2016). Despite surface mining

operations contributing greatly to the global economy, they are not immune to the challenges faced by the mining industry today.
Surface mining impact on environment
Surface mining impact on the environment is well documented. A surface mining operation is more susceptible to the following factors (Phillips, 2016):
➤ Public scrutiny – ease of accessibility, operating close to local communities.
➤ Environmental conditions – wind can exacerbate dust conditions and an overall shift in climatic conditions.
➤ Operational costs – fuel increases, labour costs, maintenance costs.
All the above-listed challenges are related to the frameworks of economic, social, and governance (ESG), which have become a major role player in the investment sector. The South African Code for Reporting of Exploration Results, Mineral Resources and Mineral Reserves (SAMREC) has further highlighted the impact of global ESG shift by incorporating it into its reporting guidelines (SAMCODES, 2017). First released in 2016, the South African guideline for reporting of environmental, social, and governance parameters (SAMESG) provides guidance on, but is not limited to (SAMCODES, 2025):
➤ Key environmental parameters
➤ Risk analysis and materiality
➤ Audits on conformance and compliance.
Furthermore, a study conducted by Evans et al. (2023) suggests that the ESG-related challenges will continue to threaten the viability of companies, especially those that are resource intensive, such as mining in South Africa. Statistically, it is nearly impossible to achieve a high score on all three pillars of ESG and maintain profitability due to the complexity of the frameworks (Evans et al., 2023). Therefore, it is ideal to target each individual pillar. For this study, the pillar of relevance is the environment.
Amoako et al. (2018) studied the carbon footprint of Ghana’s gold mining industry. Their research discovered that 12 gold mines in the Birimian complex contributed significantly to the carbon emissions directly from the mining activities and indirectly from
processing and other third-party activities. Mine A, though fairly new, operates within this region, where there are growing concerns about the effects of mining on the environment and mounting pressure for mining operators to show accountability.
Greenhouse gases (GHG) are often categorised into primary and secondary, where primary emissions are necessary for maintaining atmospheric balance, and secondary emissions are a result of the gradual increase in industrialisation (Tuckett, 2019). These secondary GHGs include carbon dioxide (CO2), methane (CH4), chlorofluorocarbons (CFCs), tropospheric ozone (O3), and nitrous oxide (N2O) (Watson et al., 2018).
GHG emissions are classified into three categories (UNFCCC, 2020):
• Scope 1 emissions: Direct emissions resulting from an organisation's activities that the organisation can control, such as burning fuels by mobile or stationary vehicles.
• Scope 2 emissions: Indirect emissions resulting from activities that directly benefit an organisation, such as emissions from generating electricity used in the processing plant.
• Scope 3 emissions: Indirect emissions not included by Scope 1 or Scope 2, such as emissions due to employee travel or goods purchased by the organisation.
The Paris Agreement aims to reduce global GHG emissions to cap global warming to 1.5 degrees Celsius, influencing ESG frameworks to manage varying factors such as climate change and environmental degradation (UNFCCC, 2020). Sustainable mining has become a necessity, with multiple operations adopting ESG strategies to report on energy consumption, GHG emissions, air quality, water management, and land use (European Banking Authority, 2025). Energy production remains the primary source of GHG emissions in South Africa, contributing around 80% of the country’s total emissions (DEA, 2016). This is not unique to South Africa; a similar trend was observed in Ghana’s gold mining industry, where fuel and electricity use contributed significantly to GHG emissions (Amoako et al., 2018). This indicates that the trend between GHG emissions and the mining industry is prominent in South Africa and globally, necessitating an effective resolution through technology adoption and adaptation. Plenty of work has been done on ESG and its effects on profitability and its role in the
Table 1
Literature that influences and focuses on key areas
Author Research topic Area of influence in the current study
Feng et al. (2022)
Abolghasemian et al. (2022)
Alipour et al. (2019)
Amoako et al. (2018)
Energy efficiency and CO2 emission comparison of alternative powertrain solutions for mining haul trucks using integrated design and control optimisation. Fuel consumption
Simulation-based multi-objective optimisation of open-pit mine haulage system: A modified-NBI method and meta modelling approach. MILP optimisation method
Production scheduling of open-pit mines using a genetic algorithm: A case study. MILP optimisation methods
Carbon footprint of the large-scale gold mining industry of Ghana. Carbon footprint in surface mining
Barnewold, Lottermoser (2020) Identification of digital technologies and digitalisation trends in the mining industry. Application of digitisation in mining
Chang et al. (2024)
The Paris Agreement effect of consumer awareness and sustainable investing: Some international evidence.
ESG frameworks in mining
Davies (2024) The role of strategic mine planning in decarbonising the mining industry. Decarbonisation through mine planning
future of mining; however, not much has been done on the practical application of the principle in everyday mining activities (Nehring, Knights, 2024). That is the research gap that this research aims to fill.
Studies have shown that optimised haulage operations can reduce CO2 emissions by up to 20%, contributing to more sustainable mining practices (Feng et al., 2020). Surface mining truck fleets constitute the highest amount of operational costs owing to their quantity and ratio to loaders, but they also consume the highest amount of fuel (Dindarloo, Siami-Irdemoosa, 2016).
Several studies have proven that haulage optimisation software can substantially improve fuel efficiency by optimising truck routes and reducing idle times (Barnewold, Lottermoser, 2020).
The implications of ESG on mining are over-extensive, with mounting pressure from stakeholders to reduce environmental impact, improve social responsibility, and ensure transparent governance. However, reaching these goals without increasing costs poses a significant challenge. Hence, this study seeks to answer if mine planning software aids the industry in improving its current operations without increasing costs and maintaining alignment with the ESG frameworks by reducing the environmental impact and achieving sustainable mining.
This study integrated qualitative and quantitative research methods to determine the effectiveness of mine planning software in optimising the haulage plan of a gold mining company in West Africa. The qualitative research method entailed collecting and analysing information to help understand the status of optimiser applications in the mining industry. This was achieved through reviewing documentation in the form of reports, journal articles, book sections, and websites, as follow:
➤ Thematic literature review: This review involved reviewing reports (extending over a decade) with common themes such as the application of technology in mining, the adoption of technology in mining, the ideal solvers for effective optimisation of mining software NPV models, and insights into the environment vs technology, refer to Table 1
➤ It aided in the identification of common issues faced in the industry concerning technology as well as a constraint-based
analysis: Integrating the knowledge from the literature review with the constraints identified on-site to draw context to the conditions on-site, further aiding in developing a scope of work and research limits.
For the quantitative component, operational data was collected from Mine A. This included planned daily production volumes, ore grades, operational costs, maintenance schedules, and revenue projections. The data were collected and stored in the mine’s database over six months.
Secondary data, including market forecasts and commodity price predictions, were also integrated from publicly available reports by industry analysts (PWC, 2024). Other data, such as the equipment specifications, operating costs, mine layout, and ore reserves were shared via a .CSV file and other MS Excel file sheets. Furthermore, the data were verified against historical records and confirmed by mine engineers for accuracy. The data were cleaned to eliminate outliers, gaps, and errors. Spot checks ensured data consistency and removed any anomalies.
The quantitative process focused on two main areas, which are the NPV and the fuel consumption. To determine these key focus areas, the validated operational data from the mine was input into a financial optimisation solver in Hexagon’s MinePlan Schedule Optimiser, which was available for this study. The model was built using multiple simulations to test different operational scenarios. The model's primary objective was to maximise the NPV and generate the equivalent fuel consumption by adjusting key variables such as mining rate, operational cost, and production schedules and observing constraints such as equipment fleet and dump capacity.
A scenario analysis was derived using the information obtained from the engineers, such as the loading area, dump capacity, material type, the desired output NPV, and fuel burned to achieve the desired NPV. The second aspect of the quantitative method involved obtaining data on the fuel consumed by the baseline and optimised mining models. The carbon footprint was calculated under the same ideal conditions to assess its consistency with the optimised NPV.
Scenario analysis uses engineer-provided data—loading area, dump capacity, material type, desired NPV, and fuel consumption—to

assess outcomes. Figure 2 illustrates how material is mapped from each loading to dumping area using the shortest or optimal route. Mining cut C2 has material eligible for both D1 and D2 dumps, but to meet constraints and maximise NPV, no material goes to D1 due to longer travel times and higher cycles. Total travel distance (empty and full) is multiplied by each truck's fuel burn rate over a set period to determine total fuel consumption, which is essential for carbon footprint calculations.
The software repeats this methodology multiple times to produce the results in Appendix A and Appendix B. The fuel consumed by the baseline and optimised mining models, with loading and dumping per Appendices A and B, was computed as shown by the report in Table 2, which provides the amount of fuel consumed annually by the truck fleet in alignment with the financial performance in the tables in Appendix A and B. Furthermore, under the same ideal conditions, the calculation for carbon footprint was conducted to determine coherence between the optimised NPV and the resulting carbon footprint. The final output of the model was a set of recommendations for operational adjustments that would optimise the NPV (sustainably) of the
Total fuel consumed by trucks at Mine A annually
Fuel consumption by CAT777D Trucks in litres

mining site within the set constraints.
Carbon footprint estimation calculations can be complex and may differ from operation to operation; to simplify the approach, it is best to start by identifying the key sources of GHG emissions (IPCC, 2019). Mining operations necessitate extensive land use, followed by the implementation of processes to reduce extracted rock into smaller, mineable fragments. Substantial energy is required for both breaking the rock and transporting it from its original location to designated processing sites. Processing at the plant must be employed to obtain the mineral of interest. These are all categories of GHG emissions at Mine A elaborated in Figure 3.
This research only focused on Scope 1 emissions, that is, emissions resulting from Mine A’s direct activities. Based on the literature reviewed by Amoako et al. (2018) and the DEA (2016), energy-related activities account for the highest GHG emissions globally. Therefore, the category of interest for this research was Scope 1 emissions within the energy category. The energy category is divided into two subcategories: mobile combustion and electricity. The key focus of this research is on mobile combustion, which contains activities such as the transportation of personnel and the hauling of materials and goods (IPCC, 2019).
4
5
6
7
8
9
Tier 1 methods were applied for this calculation and used two key equations to estimate the carbon emissions, as indicated in the following Equations 1 and 2. It is important to note that, though the emitted gases do not only comprise CO2, they are also reported in CO2 equivalents for ease of comparison (IPCC, 2006). For example, a single kilogramme (kg) of CH4 equals 28 kg of CO2 (IPCC, 2019). Furthermore, under the guidelines of the United States Environmental Protection Agency (USEPA, 2020) and Amoako et al. (2018), the following assumptions are necessary for more accurate estimations:
➤ Regarding CO2 equivalents, CH4 and N2O account for 5% of diesel engine combustion emissions. All CO2 estimates will be multiplied by 1.05 to account for this.
➤ Any emission of CO is rendered negligible compared to CO2.
➤ Fuel is converted to CO2 during combustion.
Tier 1 method equations
Equation 1: Emissions calculation (USEPA, 2020)
Fuel emissions (GHG) = Fuel consumption*CO2 Emissions factor [1]
where:
Fuel consumption is the total fuel burned over a particular period by a source.
CO2 emissions factor is a given GHG's default emission factor by fuel type.
Equation 2: CO2 Emissions factor calculation (USEPA, 2020).
CO2 emissions factor=Mass of diesel*CO2 Oxidation factor*Molecular weight [2]
where:
Mass of diesel, in this instance, equates to 1 gallon of diesel, convert litres to gallons.
Oxidation factor for CO2 is usually 1; however, for this research, it was assumed to be 0.99 to account for residual fuel that may be left not combusted. Molecular weight is the ratio of the molecular weight of CO2 to carbon.
Taking fuel consumption generated from Mine Plan’s software, applying the assumptions and Equations 1 and 2, the carbon footprint is derived, as indicated in Table 3.
It must be noted that the total carbon footprint of the baseline model is 58 994 tCO2 higher than the optimised model. This difference is greater than the 10-year average of the baseline model.
Results and discussion
To analyse the relationship between the datasets generated from the software and calculations, four methods are applied:
i Simple linear regression. This method of analysis was chosen because it allows for the investigation of the relationship between two variables: time in years and NPV (Sykes, 1993).
ii Spearman’s correlation. The Spearman rank test uses data ranks to aid in deriving a linear relationship from data that would have been considered non-linear and not fit for parametric analysis (Al-Hameed, 2022).
iii P-value hypothesis test to test the validity of the results against a set hypothesis.
iv Exponential decay test for the sensitivity of the NPV from the derived models over a particular period because it is well known that discounted cash flows exhibit an exponential relationship with time (Campos et al., 2015).
The linear regression analysis revealed that the baseline model's NPV trend line produces a much sharper decline than the optimised model's NPV between year 1 and year 10, as indicated in Figures 4 and 5. The regression model for the baseline model gives y = 7530.4 when x = 6.5, while the regression model for the optimised model gives y = 12142.1. This indicates that the optimised model yields an NPV approximately 62% higher than the baseline model. The accuracy of this prediction is further substantiated by strong R2 values: R2 = 0.9162 for the baseline model and R2 = 0.8278 for the optimised model. The residual plots analysis further tested the accuracy of the linear models, confirming that there is neither an identifiable pattern in the data nor correlation with the predicted models.
By observation of the analysis on NPV and emissions in the aforementioned, it could be assumed that in both the baseline and optimised models, there is an inverse relationship between the NPV and the carbon emissions resulting from hauling material from one design point to another at Mine A. However, to test this assumption, a non-parametric test can be employed since the relationship between NPV vs carbon emissions results in a distribution that is not normal and cannot be explained directly by linear regression. To run this test, the following holds:


Table 4
➤ Each numerical variable is assigned a representative number by rank from smallest to largest.
➤ The ranks represent the data from which a relationship or correlation between the original data can be derived.
Table 4 indicates the original data and the assigned ranks per value for the baseline model, which is employed in performing the Spearman rank test. Equation 3 can be used together with Table 4 to determine Spearman’s correlation coefficient (rs). The sum of the squared differences is 190 and the number of years is 10. This gives an rs of –0.2, meaning that there is a negative relationship between the NPV and carbon emissions of the baseline model at Mine A.
Equation 3: Spearman's correlation equation (Al-Hameeda, 2022). [3]
where:
Spearman' s correlation (rs ) is between -1 and 1.

is the sum of the squared difference in ranks between the NPV and the carbon emissions.
n is the number of years.
A similar analysis is then applied to the optimised model using Table 5 and Equation 3. For the optimised model, the sum of squared differences is 274, and the number of years is 10. This yields an rs of –0.7, implying that the relationship between the NPV
Table 5
Optimised model original data vs Spearman ranks assigned
and the carbon emissions of the optimised model at Mine A is also negative.
The Spearman’s rank test has determined that from the data presented for both models, the relationship between the NPV and the carbon emissions is negative, meaning that an increase in one variable results in a decrease in the other. However, the true benefit of this analysis is in determining whether this finding holds true at any given point in time. In order to determine that, another test can be performed, the probability test, to determine the probability that the hypothesis above is true at any given time. The following assumptions hold:
➤ Null hypothesis (H0): There is no inverse relationship between NPV and carbon emissions at Mine A for both the baseline and optimised models.
➤ Alternative hypothesis: There is an inverse relationship between NPV and carbon emissions at Mine A for both the baseline and optimised models.
➤ The null hypothesis is rejected when the probability value is lower than the significance level; and accepted when the probability value is equal to or greater than the significance level.
The level of statistical significance is assumed to be 0.05 or 5%. This is an ideal assumption for statistical analysis, where the intention is to measure probability against a null hypothesis for time series data sets (Vaidyanathan, 2023). For this study,
Table 6
Regression statistics for the baseline and optimised models
probability value (p-value) refers to the strength of evidence against the null hypothesis, which states that there is no difference in the relationship identified between one or more variables in a sample and a population (Thiese et al., 2016). Table 6 indicates the output regression statistics generated from the carbon emissions and the NPV. It can be noted that for the baseline model, the NPV indicates a p-value of 0.68, which is greater than the threshold, thereby suggesting that the null hypothesis is true. This means that the inverse relationship between NPV and carbon emissions is always true for any given period in the baseline model.
In the optimised model, the NPV generated a p-value of 0.04, which is slightly lower than the threshold, implying a strong rejection of the null hypothesis regarding an inverse relationship between the NPV and carbon emissions. There is, therefore, not enough statistical evidence in the data collected at Mine A to conclusively state that the relationship between NPV is inversely proportional to carbon emissions at any given time. Though it may appear to be the case by visual inspection, it is not statistically significant. This means that attempting to generate a predictive model from this data set based on the assumption of inverse proportionality may significantly yield incorrect results in the optimised model.
The Spearman rank test determined that there is a negative relationship between NPV and carbon emissions for both the baseline and optimised models. The correlation coefficient for the baseline model is –0.2, and for the optimised model, it is –0.7. This means that an increase in one variable results in a decrease in the other. The p-value hypothesis test showed that the inverse relationship between NPV and carbon emissions is always true for any given period in the baseline model. However, for the optimised model, the relationship is not statistically significant. This means that attempting to generate a predictive model based on the assumption of inverse proportionality may yield incorrect results for the optimised model. Furthermore, this means that there is room for change or improvement with the optimised model, which is not possible with the baseline model during the periods of high operational costs.
Analysis of the relationship between discount rate and NPV at Mine A
The discount rate is a major factor in discounted cash flows as it provides a more realistic value of money over time. In this study’s data, the discount period is set to end of period, starting at 9% in year 1 and decreasing gradually. This makes it important to identify how it relates to the NPV over the specified period to understand the financial viability of the mine plan. Table 7 shows the regression statistics of the baseline model and the optimised model NPVs against the discount rate over 10 years. A multi-linear regression methodology is applied to explain this relationship because a simple linear regression method does not give a clear indication of the
Table 7
Discount rate vs NPV
impact of discount rate on NPV. For the NPV vs discount rate, the H0 states that, at any given time at Mine A, the discount rate has little to no effect on the NPV.
This data indicates a trend similar to NPV vs time. There is a strong correlation (93% for baseline and 86% for optimised model) of the NPV and the discount rate with the baseline model, indicating a stronger relationship at 93% due to a better dispersion of data about the mean. For both models, the p-value is well below the 5% level of significance, meaning that the H0 hypothesis is rejected. Though there is a high correlation in the data, it is clear that the discount rate does affect the NPV. This may imply that


7—Optimised model sensitivity analysis
the NPV is sensitive to the discount rate. To substantiate this, a sensitivity analysis is performed on the NPV by assuming a constant 10% decrease in discount rates from 1 to 10. The results, indicated by Figures 6 and 7, show an overall decrease in total NPV by 33 % in the baseline model and 30% for the optimised models.
It must be noted that though both models relate similarly to the discount rate, the optimised model outperforms (3% more) the baseline in its ability to cushion the NPV from fluctuating markets and volatile environments.
The discount rate is a crucial factor in discounted cash flows as it provides a more realistic value of money over time. The study sets the discount period to end of period, starting at 9% year 1 and decreasing gradually. A multi-linear regression methodology was applied to explain the relationship between the discount rate and NPV, showing a strong correlation between the discount rate and NPV, with R2 values of 93% for the baseline model and 86% for the optimised model indicated in Appendix B. The p-value was well below the 5% level of significance for both models, indicating that the NPV is sensitive to changes in the discount rate.
of the relationship between NPV and time at Mine A
It is well known that discounted cash flows exhibit an exponential relationship with time (Campos et al., 2015). Generally, in the NPV calculation, time is defined as the independent variable and is plotted on the x-axis, while NPV is the dependent variable plotted on the y-axis. These trends indicate exponential decay or negative growth, meaning that the present value contribution of each year’s cash flow decreases exponentially over time. To test the validity of this, an exponential analysis was applied.
An exponential line of best fit was derived from the NPV datasets of both models. This equation implies that a higher rate of decay (high discount rate) results in a faster exponential decay, impacting long-term investments negatively, and the converse is also true. Applying this to the case study models, the baseline model portrays a steeper decay (Figure 8 versus Figure 9) as opposed to the optimised model, though the same discount rates were applied for both models. In the baseline model, the rate of decay is equal to 0.667, whilst in the optimised model, it is only 0.118. It therefore means that the baseline model is susceptible to longer project periods, making it least ideal for a long-term 10-year project.
Increasing the discount rate can impact the models negatively, however, the most affected model is the baseline, indicated by the high rate of decay. Mining operations rely on long-term NPV to cushion against capital-intensive projects such as a processing plant enhancement. High rates of decay, such as that of the baseline model, provide an idea of the level of risk associated with a particular investment or, in this case, a particular model. Also, if Mine A continues to mine per the baseline model (to combat the effects of a lower NPV), they may need to opt for more intensive resource depletion in the earlier years of mining. This can result in high fuel consumption and, inadvertently, high carbon emissions.
A study by Amoako et al. (2018) on the carbon footprint of Ghana's large-scale gold mining industry aligns well with the scope of research for Mine A. This study provides a detailed approach to understanding the baseline carbon footprint for gold mines in the West African region, which is the location of Mine A. A similar approach was employed to determine the carbon footprint of haulage trucks at Mine A.


The NPV analysis indicates that the NPV has an exponential relationship with time. Over time, the baseline models’ NPV decays faster than the optimised, making the optimised model least ideal for a mining operation intending to operate profitably over the long term.
Based on the analysis, the optimised model proves to be a better schedule in comparison to the baseline model, which was one of the objectives of the study. It is indicated by the NPV analysis resulting in a linear predictive model that shows that the baseline model will always yield an NPV that is 62% lower than the optimised model at Mine A. A residual plot analysis was further employed to substantiate this statement. From these residual plots, the predictive linear model is true and presents an accurate representation of the data analysed. Furthermore, an outlier was identified in the baseline and optimised models’ residual plots. This outlier is a result of the first year of mining, where operations are slowly ramping up and operational costs are lower. It is a common phenomenon and is to be expected for new projects such as Mine A. Therefore, based on the NPV analysis, the Mine Plan software has been able to optimise the baseline to yield a better and positive projected NPV throughout the planned 10 years.
However, the objective of this study was not only to optimise NPV, but to determine if the optimised NPV would yield a sustainable mining plan. This was also tested by reviewing the carbon footprint resulting from these mining models. The total fuel consumption associated with each model’s NPV was collected and analysed. This fuel data was then converted to carbon emissions to improve comparability. By analysing the carbon emissions, the carbon footprint of each model was derived. At a glance, the carbon footprint of the baseline model and the optimised model may exude a similar trend. However, further analysis indicates that between year 1 to 5, the carbon emissions of the baseline model are 25% lower than that of the optimised model. This is because the baseline model operates on the shortest and easiest access routes
during this period, whereas the optimised model seeks to ensure that it mines in sequence. Between year 6 to 10, the baseline and optimised models both show an increase in carbon footprint owing to an increase in fuel consumption due to an increase in travelling distances, that is, pit expansion farther from the main surface infrastructure and stockpiles. During this period, the baseline model’s carbon footprint exceeds that of the optimised model by 31% owing to the fact that the model has exhausted the shorter hauls and often hauls from C5 to the stockpiles. This finding indicates that when operational costs increase, the optimised model is the ideal model in that it produces the highest NPV and lowest carbon footprint for the 10-year period at Mine A.
It would not do the research justice to only analyse NPV and carbon footprint independently, as it is not clear how the two variables relate. Therefore, another analysis was performed to determine if a relationship exists between the NPV and carbon footprint. By observation of the graphical representation of the data, one can assume that NPV is inversely proportional to carbon footprint for both the baseline and optimised models. Hence, the Spearman’s correlation test was conducted. The purpose of the test was to determine if a correlation (relationship) exists between the two variables. By applying Spearman’s equation to the baseline and optimised models’ data sets, a correlation coefficient of –0.2 and –0.7 were calculated for the baseline and optimised models, respectively. The negative sign indicates a negative relationship, meaning that it can be conclusively stated that for both the baseline and the optimised models, the NPV is inversely proportional to the carbon emissions. This means that an increase in one variable will result in a decrease in the other at Mine A. Do note that this remains true for the baseline model, especially when operational costs are high. However, the optimised model offers a chance to mitigate this by reviewing multiple scenarios and maintaining the sequence to achieve all set objectives.
The hypothesis test was conducted employing the p-value test to determine if this conclusion is true at any point in time at Mine A. Results show that the conclusion holds for the baseline model only. It appears that the optimised model’s inverse proportionality is only representative of this particular data set. This means that using a predictive model to determine carbon emissions outside this data range could provide incorrect data. Furthermore, this elaborates the need for concurrent incorporation of the carbon footprint calculations simultaneously with the cash flow projections during the planning phase to ensure that the correct values are obtained and the informed assumptions are made.
The final hypothesis test was employed to determine the relationship between NPV and discount rate. It can be said that NPV is indeed dependent on the discount rate. This can be observed by analysing the sensitivity of the NPV against a changing discount rate, showing direct proportionality to the discount rate for both models. However, the optimised model is less sensitive to the discount rate when compared with the baseline model.
This study has confirmed that primarily focusing on NPV as a success criterion can be short-sighted. This is because the mine planning optimisation engines do not have a carbon emissions estimator built into the mine planning software. Therefore, by default, the system always optimises for productivity and profitability instead of striking a balance.
To achieve sustainable mining, the relationship between NPV and carbon footprint should be investigated simultaneously and concurrently with long-term planning. This way, a more proactive
approach is adopted towards reducing carbon emissions from the initial stages, rather than only proactively in mine rehabilitation and mine closure. Mine planning software developers need to incorporate carbon footprint calculations into the long- to shortterm planning modules of the software. A proactive approach facilitates informed decision-making; for example, at Mine A, choosing the optimised model increases the probability by 62% and enables the strategy team to evaluate NPV relative to years associated with elevated carbon emissions. This short-term compromise, if efficiently reported in the now-mandatory annual ESG reports, could improve funding and investment opportunities by demonstrating proactive, sustainable mining practices. This also supports a more responsible mining industry.
It is recommended that the study is expanded to cover multiple commodities and industries. Mine A and other mining operations should consider incorporating carbon footprint estimations throughout the life of mine planning to improve environmental awareness and adopt a proactive approach to sustainable mining.
The work reported in this paper is part of an MSc research report in the School of Mining Engineering at the University of the Witwatersrand, Johannesburg, South Africa.
Abolghasemian, M., Kanafi, A.G., Daneshmand-Mehr, M. 2022. Simulation-Based Multiobjective Optimization of Open-Pit Mine Haulage System: A Modified-NBI Method and Meta Modeling Approach. Complexity, 3540736, doi: https://doi.org/10.1155/2022/3540736
Al-Hameeda, K. 2022. Spearman’s correlation coefficient in statistical. International Journal for Nonlinear Analytical Application, vol. 22, pp. 3249–3255. doi: https://doi.org/10.22075/ijnaa.2022.6079
Alipour, A., Khodaiari, A., Jafari, A., Tavakkoli-Moghaddam, R. 2019. Production scheduling of open-pit mines using genetic algorithm: a case study. International Journal of Management Science and Engineering Management, vol. 15, no. 3. doi: https://doi.org/10.1080/17509653.2019.1683090
Amankwa, E. 2023. Assessing The Impact of Gold Mining activities on the Land from 2010 to 2020, A case study od Asutifi North District of Ghana. Department of Geology and Resource Development. Accra: University of Ghana. Retrieved January 08, 2025.
Amoako, Y. K., Gordon, C., Sakyi, P. A., Gyimah, R. 2018. Carbon Footprint of the Large Scale Gold Mining Industry of Ghana. West African Journal of Applied Ecology, vol. 26, pp. 242–260. Retrieved from https://www.ajol.info/index.php/wajae/article/view/182523
Barnewold, L., Lottermoser, B. 2020. Identification of digital technologies and digitalisation trends in the mining industry. Institute of Mineral Resources Engineering. Aachen: International Journal of Mining Science and Technology. Retrieved July 18, 2024.
Campos, J., Serebrisky, T., Suárez-Alemán, A. 2015. Time goes by: recent developments on the theory and practice of the discount rate. Inter-American Development Bank. Inter-American Development Bank. doi:IDB-TN-861
Chang, Y., Cheung, W.M.Y., Chung, M, Tan, H. 2024. The Paris Agreement effect of consumer awareness and sustainable investing: Some international evidence, Pacific-Basin Finance Journal, vol. 85, p. 102394.
Davies, M. 2024. The Role of Strategic Mine Planning in Decarbonising the Mining Industry. Mining, Metallurgy & Exploration 41, pp. 2783–2785.
European Banking Authority. 2025. Guidelines on the management of environmental, social and governance (ESG) risks. European Banking Authority. Retrieved January 09, 2025, from https://www.eba.europa.eu/sites/default/files/2025-01/fb22982ad69d-42cc-9d62-1023497ad58a/Final%20Guidelines%20on%20 the%20management%20of%20ESG%20risks.pdf
Evans, D., Kramer, G.A., Lanfranchi, M., Brijlal, P. 2023. Environmental, social and corporate governance (ESG) on the financial performance of listed mining firms in South Africa. Cape Town: International Journal of Business and Economic Sciences Applied Research (IJBESAR). ISSN 2408-0101. Vol. 16. Issue 2. P42–52. doi:DOI: 10.25103/ijbesar.162.05
Feng, Y., Liu, Q., Yang, J., Dong, Z. 2022. Energy efficiency and CO2 emission comparison of alternative powertrain solutions for mining haul truck using integrated design and control optimization. Journal of Cleaner Production, vol. 370, no. 133568. doi: https://doi.org/10.1016/j.jclepro.2022.133568
Ghana Chamber of Mines. 2022. Our Publications. Retrieved October 18, 2024, from Ghana Chamber of Mines: https:// ghanachamberofmines.org/media-centre/our-publications/
IPCC. 2006. 2006 IPCC Guidelines for National Greenhouse Gas Inventories: Stationary Combustion. Intergovernmental Panel on Climate Change. Retrieved from https://www.ipcc-nggip.iges.or.jp/public/2006gl/pdf/2_ Volume2/V2_2_Ch2_Stationary_Combustion.pdf
IPCC. 2019. Revised 1996 IPCC Guidelines for National Greenhouse Gas Inventories: Workbook. Bangkok: Intergovenemntal Panel on Climate Change. Retrieved from https://www.ipcc.ch/report/2019-refinement-to-the-2006-ipccguidelines-for-national-greenhouse-gas-inventories/
Minerals Council of South Africa. 2023a. How mining contributes to South Africa. Retrieved October 18, 2024, from Minerals Council of South Africa: https://www.mineralscouncil.org.za/reports/2023/downloads/ mcsa-iar2023-our-context.pdf
Minerals Council South Africa. 2023b. Facts and Figures 2022. Retrieved from https://www.google.com/url?sa=t&rct=j&q= &esrc=s&source=web&cd=&ved=2ahUKEwiJ6ZnV0sGGAxX O8gIHHRzhANsQFnoECBUQAQ&url=https%3A%2F%2F www.mineralscouncil.org.za%2Findustry-news%2Fmediareleases%2F2023%3Ftask%3Ddownload.send%26id%3D1997% 26catid%3D89%26m%3D0&usg
Nehring, M., Knights, P. 2024. A Systems Engineering Approach to Incorporate ESG Risks and Opportunities in Early-Stage Mine Design and Planning. Queensland: The University of Queensland. Doi: https://doi.org/10.3390/mining4030031
Phillips, J. 2016. Climate change and surface mining: A review of environment-human interactions & their spatial dynamics. Applied Geography, vol. 74, pp. 95–108. doi: https://doi.org/10.1016/j.apgeog.2016.07.001
PWC. 2024. PWC. Retrieved September 25, 2024, from https://www.pwc.com/gx/en/industries/energy-utilitiesresources/publications/mine.html
Sasmito, A., Kumral, M., Peralta, S. 2016. Reliability effect on energy consumption and greenhouse gas emissions of mining hauling fleet towards sustainable mining. Journal of Sustainable Mining, vol. 15, no. 3, pp. 85–94. doi: https://doi.org/10.1016/j.jsm.2016.08.002
SAMCODES. 2017. SAMCODES. Retrieved December 2, 2025, from SAMCODES: https://www.samcode.co.za/samcode-ssc/samesg
SAMCODES. 2025. SAMCODES. Retrieved December 2, 2025, from SAMCODES: https://www.samcode.co.za/samcode-ssc/samesg
Sec, Edgar. 2021. United States Securities and Exchange Commission Retrieved September 25, 2024, from https://www.sec.gov/Archives/edgar/ data/1164727/000116472722000007/exhibit963ahafooperations.htm
Siami-Irdemoosa, E., Dindarloo, S. 2016. Determinants of fuel consumption in mining trucks. Energy, vol. 112, pp. 232–240. doi: https://doi.org/10.1016/j.energy.2016.06.085
Sykes, A. 1993. An Introduction to Regression Analysis. University of Chicago Law School, Institute for Law and Economics. Chicago: University of Chicago Law School. Retrieved February 18, 2025, from https://chicagounbound.uchicago.edu/cgi/ viewcontent.cgi?article=1050&context=law_and_economics
Thiese, M., Ronna, B., Ott, U. 2016. P value interpretations and considerations. Journal of Thoracic Disease, pp. 928–931. doi: PMCID: PMC5059270 PMID: 27747028
Tuckett, R. 2019. Greenhouse Gases. Encyclopedia of Analytical Science, pp. 362–372. Retrieved January 09, 2024, from https:// research.birmingham.ac.uk/en/publications/greenhouse-gases UNFCCC. 2020. United Nations Framework Convention on Climate Change. Retrieved January 09, 2025, from United Nations Framework Convention on Climate Change: https://unfccc.int/process-and-meetings/the-paris-agreement USEPA. 2020. Fuel oil combustion. United States Environmental Protection Agency (pp. 3–30). United States Environmental Protection Agency. Retrieved 02 14, 2025, from https://www.epa.gov/sites/default/files/2020-09/documents/1.3_ fuel_oil_combustion.pdf
Vaidyanathan, K. 2023. Significance of Hypothesis and P value. Indian Prosthodontric Society, vol. 23, no.2, pp. 103–104. Doi:10.4103/jips_131_23
Watson, R., Rhode, H., Oeschger, H., Siegenthaler, U. 2018. Greenhouse Gases and Aerosols. Intergovernmental Panel on Climate Change. Retrieved January 09, 2025, from https://www.ipcc.ch/site/assets/uploads/2018/03/ipcc_far_ wg_I_chapter_01.pdf u
Appendix A
Cash flow and production reporting for the baseline model over 10 years




Appendix B
Cash flow and production reporting for the optimised model over 10 years




The Southern African Institute of Mining and Metallurgy (SAIMM) provides a trusted platform for organisations looking to reach decision-makers, thought-leaders and industry influencers across the minerals sector. With a respected scientific Journal, a high-traffic website, targeted monthly mailers, and a robust calendar of technical events, the SAIMM offers unmatched opportunities to elevate your brand within the mining community.
Integrate SAIMM into your marketing strategy to grow awareness, strengthen authority, and demonstrate your commitment to supporting the industry’s technical excellence.
Our media ecosystem is intentionally differentiated from commercial mining publications. The SAIMM Journal is an accredited, peer-reviewed scientific publication — a source of credible, high-value content relied upon by professionals, researchers, and students across the region. Combined with our digital platforms and technical conferences, it offers a cohesive, omni-channel environment designed to maximise visibility and engagement. Whether your objective is broad brand awareness or targeted technical communication, SAIMM offers a suite of innovative advertising opportunities, company profiles, and sponsored content options that align your messaging with a respected industry voice.
Website viewing
- 24/7 access for readers and members
- Home page banner click-throughs average between 254 and 590 per month
- Four tailored digital advertising platforms (website, Journal, mailer, conferences and events)
Journal
- Highly regarded scientific publications
- Accredited, peer-reviewed papers
- Distributed monthly in print-quality digital and online formats




- Our digital distribution allows for extended circulation and pass-on of PDFs and links beyond geographical boundaries and member only reach
Digital editions and mailers
- 12 digital Journal editions per annum
- 12 targeted monthly mailers
Conferences and events
- 4–6 well-attended technical conferences and events annually
Social media
- Active engagement with members and followers
International alliances
Partnership with:
Australasian Institute of Mining & Metallurgy (AusIMM), Canadian Institute of Mining, Metallurgy & Petroleum (CIM), Institute of Materials, Minerals & Mining (IOM3), Instituto de Ingenieros de Minas del Perú (IIMP), Society for Mining, Metallurgy & Exploration Inc. (SME) West African Institute of Mining, Metallurgy and Petroleum (WAIMM)
Advertising packages
- Cost efficient advertising rate packages and unique cross media solutions are available
Contact
Advertising bookings
Barbara Spence – Avenue Advertising PO Box 71308, Bryanston, 2021
Tel: 011 463 7940 • Cell: 082 881 3454
Email: barbara@avenue.co.za • Website: http://www.avenue.co.za
General SAIMM enquiries
Sam Moolla • Email: sam@saimm.co.za





Affiliation:
1Mining Engineering Department, The Copperbelt University, Zambia
2Geology Department, The Copperbelt University, Zambia
3Mining Engineering Department, University of Zambia, Zambia
Correspondence to:
M.W. Songolo
Email: songolo@cbu.ac.zm
Dates:
Received: 8 Jun. 2025
Revised: 8 Sept. 2025
Accepted: 22 Sept. 2025
Published: January 2026
How to cite:
Songolo, M.W., Chisakulo, E., Chanda, E.K. 2026. Investigating the impact of mineral royalty regime changes on the viability of Zambian copper mines. Journal of the Southern African Institute of Mining and Metallurgy, vol. 126, no. 1, pp. 75–86
DOI ID: https://doi.org/10.17159/2411-9717/3769/2026
ORCiD:
M.W. Songolo http://orcid.org/0000-0003-0229-7568
by M.W. Songolo1, E. Chisakulo2, E.K. Chanda3
Abstract
Zambia’s mining industry has undergone various phases of mineral royalty changes since privatisation. Unlike many analyses that relied on subjective probability, this study employs the cut-off grade and mineral royalty model relationship to investigate how changes in mineral royalties impacted the net present value and cut-off grades of Zambian copper mines between 2008 and 2022. The results showed that net present value decreased by 10.39%, 6.13%, 9.69%, and 6.13% for Barrick Lumwana, Kansanshi, Nkana–Mopani Copper Mines, and Mufulira–Mopani Copper Mines, respectively, while First Quantum Minerals Trident’s net present value increased by 3.40%. Reductions in NPV correspond to higher government revenue, whereas the increase for FQM Trident reduced government revenue. For cut-off grades, returns increased by 0.42%, 1.20%, and 0.42% for Barrick Lumwana, First Quantum Minerals’ Trident, and Kansanshi, respectively, showing how portions of the Zambian copper orebodies accrued to investors, with a corresponding reduction in government revenue. Conversely, reductions of 0.24% and 0.38% for Nkana–Mopani Copper Mines and Mufulira–Mopani Copper Mines indicate that a share of the ore reserves accrued to the government, reducing investor returns. These findings demonstrate that mineral royalty adjustments redistribute economic value between investors and the government, affecting both profit margins and operational decisions. Despite these distributional effects, all projects remained economically viable. The findings underscore the need for an optimal mineral royalty framework that equitably balances the economic value of mineral resources between investors and the state.
Keywords
mineral royalty, cut-off grade, fiscal regime, impact, redistribution of economic value, Zambian copper orebodies
Zambia’s economy has long been anchored in copper mining (Sikamo, 2016; Unceta, 2021). Since independence, however, the country has struggled to establish a mineral royalty framework that supports both national development and a sustainable mining sector. Initially, mineral rights were held by two private conglomerates, Anglo-American Corporation (AAC) and Rhodesian Selection Trust (RST) Limited (Roan Consolidated Copper Mines Ltd, 1978). These companies controlled mining operations and brought in skilled labour from abroad. As a result, development was concentrated around the mines to sustain and retain the workforce, and the government had limited control over mineral benefits. In 1971, Zambia acquired a 51% stake in AAC and RST, reorganising them into Nchanga Consolidated Copper Mines (NCCM) and Roan Consolidated Mines (RCM) Limited (Roan Consolidated Copper Mines Ltd, 1978). Later, in 1982, Zambia Consolidated Copper Mines (ZCCM) Limited was established through a merger of NCCM and RCM. This consolidated state control over the mining sector and allowed the country to derive broader benefits from its mineral resources (ZCCM-IH, 2023). Although nationalisation initially accelerated development funded directly from copper revenues, ZCCM became unprofitable during periods of low copper prices and high oil costs, slowing economic growth. After recapitalisation efforts failed, the government commenced the privatisation of ZCCM in 1995. Mineral royalties then became the main source of government revenue from mining.
Driven by public expectations due to rising copper prices, the Zambian citizens demanded a fair share of the country’s mineral wealth. This led to multiple revisions of the mineral fiscal regime between 2008 and 2023 (Acheampong, 2019; The Editor, 2016, 2008). The government argued that the royalty adjustments balanced benefits between the state and investors. Investors, however, contended that high
royalties reduced returns, making Zambia less attractive compared to other mining countries. Some analysts described the frequent royalty increases as “the tyranny of indecision” (Siwale, Chibuye, 2019).
To keep mining operations afloat, some companies, such as First Quantum Minerals (FQM), threatened to lay off 2,500 employees following the 2019 Mineral Royalty Fiscal Regime change (Diggers Reporter, 2018). The company argued that mineral royalties were no longer deductible for corporate income tax purposes, a policy not applied in other copper mining jurisdictions (Sipindu, 2018). Because increases in royalties often reduce mineral exploration (Castillo, 2021), Glencore Plc, Mopani’s parent company, signalled its intention to divest from Zambia. Additionally, FQM’s Kansanshi delayed its USD1 billion Sulphide Expansion and Life of Mine Extension project. These events have raised concerns that Zambia’s mineral royalty policy changes negatively affect investment.
Beyond Zambia, global debates on mineral royalties have centred on whether regimes should be profit-based or revenuebased. Profit-based systems allow mineral royalties to fluctuate with profitability, which investors view as fairer (Banda, Besa, 2016a, 2016b; Otto et al., 2006), but governments criticise as being vulnerable to tax avoidance through transfer pricing. Moreover, profit-based systems do not necessarily guarantee an optimal balance between state revenue and investor returns, as outcomes depend heavily on cost structures and accounting practices. By contrast, revenue-based systems, like those in Botswana and Australia, guarantee governments an immediate income stream even though these frameworks can reduce investor margins during low-price periods (Calder, 2014). Zambia’s adoption of a revenuebased approach places it closer to the latter model, but questions remain on whether this framework achieves a sustainable balance between state revenue and investor viability.
Notwithstanding these debates, analyses of the Zambian case have often been grounded in assumptions without data-backed assessment. No empirical study has confirmed whether royalty revisions increased government revenue or reduced investor returns. This study, therefore, assesses the impact of mineral royalty fiscal regime changes on the viability of mining the Zambian copper orebodies. The results aim to show that changes in mineral royalty do not often guarantee a stable, optimal framework.
Figure 1 shows the mineral royalty policy revisions, highlighting changes perceived as a threat to the sustainability of the mining sector.
This study utilised secondary data from publicly available Competent Persons’ Reports and financial annual reports prepared by mining companies, as well as government statistical reports on copper production, to analyse the impact of mineral royalty on the viability of mining Zambian copper deposits. The collected data included details on ore reserves, annual copper production, overall recoveries, dilution rates, capital expenditures, discount rates, mine life, operating costs, copper prices, and input parameters for determining the cut-off grades for Barrick Lumwana (Barrick Gold Corporation, 2022, 2021, 2020, 2019, 2018, 2017, 2016, 2015, 2014, 2013, 2012, 2011, 2010, 2009; Londono, Sanfurgo, 2014; Mining Technology, 2021), Trident Minerals Limited (Gray et al., 2015a), Kansanshi Mining Plc (Gray et al., 2020, 2015b) and the Nkana and Mufulira orebodies of Mopani Copper Mines (Golder Associates Africa (Pty) Ltd, 2011; Goncalves et al., 2018). The collated data are presented in Table 1.

1995 Mineral Royalty Regime prior to privatisation of ZCCM
1997 Development Agreements Mineral Royalty for Chibuluma Mine and Chambishi Metals
1998 Development Agreement Mineral Royalty for NFCA

2000 Development Agreements Mineral Royalty for KCM and MCM
2005 Development Agreement Mineral Royalty for Kansanshi Mining Plc
2008 Mineral Royalty Regime annulled Development Agreements
2009 Development Agreement Mineral Royalty for Barrick Lumwana
2012 Mineral Royalty Regime (after change of governing party from MMD to PF)
2015 Mineral Royalty contested for open mines (was revised to 9%)
2015 Mineral Royalty Regime for open pit mines
2015 Mineral Royalty Regime for underground mines
2016 Sliding Scale Mineral Royalty Regime: 4% when P <US$4,500/t; 5% when US$4,500/t≤ P<US$6,000/t; 6% when P≥US$6,000/t
2019 Revised Sliding Scale Mineral Royalty Regime and made non-deductible: 5.5% when P<US$4,500/t; 6.5% when US$4,500/t≤ P<US$6,000/t; 7.5% when US$6,000/t≤ P<US$7,500/t; 8.5% when US$7,500/t≤ P<US$9,000/t; 10% when P≤ US$9,000/t
2022 Maintained Sliding Scale Mineral Royalty Regime and re-introduced its deductibility: 5.5% when P<US$94,500/t; 6.5% when US$4,500/t≤ P<US$6,000/t; 7.5% when US$6,000/t≤ P<US$7,500/t; 8.5% when US$7,500/t≤ P<US$9,000/t; 10% when P
2023 Incremental Value Mineral Royalty Regime in each adjusted Price Range (after change of governing party from PF to UPND): {t x 4%xUS$3.999; t x 6.5%xUS$1,000; t x 8.5% x US$2,000; t x 10% xUS$Balance}
COPPER PRICE, P (US$/t)
1—Fluctuating mineral royalty fiscal regime changes
Table 1
Cut-off grade and mining operating parameters
Input parameter
Mining cost per tonne of ore mined, Mo (USD/t)
& administrative costs per tonne of ore processed, G&Ao (USD/t)
cost per tonne of waste, Mw (US$/t)
Processing cost per tonne of waste as necessary to avoid potential water contamination and to satisfy the applicable environmental requirements, Pw (USD/t)
G&A costs per tonne of waste processed, G&Aw (USD/t)
price, PCu for cut-off grade calculation (USD/t)
It is important to note that the copper price used in the cut-off grade calculations was based on a fixed benchmark price derived from the reports. In contrast, the discounted cash flow (DCF) analysis included actual and projected copper prices that varied annually throughout the life of each mining project. Similarly, the operating costs (including mining, processing, and general and administrative (G&A) costs) presented in Table 1 were primarily gathered for the cut-off grade estimations as base-case unit costs. These may not reflect the actual annual operating costs, which varied throughout the project life in the cash flow models. Thus, the information presented in this study synthesises data from various reports, ensuring consistency while acknowledging variations in financial assumptions across reporting periods for each Zambian copper deposit studied.
The changes to copper royalties for each mining deposit under exploitation are compiled in Table 2 as the primary variable in the cash flow analysis (Clifford Chance, 1997, 1998a, 1998b, 2000a, 2000b; National Assembly of Zambia, 2022, 2018, 2016, 2015, 2008).
Methods
This study utilised the cut-off grade and mineral royalty model relationship (COGMRMR) (Songolo et al., 2025) to assess the impact of the mineral royalty fiscal regime changes (MRFRC) on the net present value (NPV) and the cut-off grades (COG). The model is an integration of the opportunity cost due to mineral royalty (OPPCOSTMR) into the cut-off grade model. OPPCOSTMR refers to the trade-off in which both the government and investors forego potential economic benefits to balance mineral royalty as compensation to the government with investor returns, thereby ensuring sustainable mining (Songolo et al., 2025). By allowing different MRFRCs to be applied in different years during the life of mine (LOM), the cash flow was discounted to determine the NPV (Equation 1).
Where, CF1 to CFt are the annual cash flows and CF0 is the capital expenditure at the start of the project; t is the time value of money
during the LOM; and i is the weighted average cost of capital (discount rate) applicable to specific Zambian copper orebodies being mined. In the cash flow, the depreciation was calculated using the unit of production method, while the depletion and amortisation were assumed to be zero. The unit-of-production method was preferred because the value of mining assets (such as the mine, processing plant, or equipment) is directly tied to the quantity of ore extracted rather than the passage of time alone. Unlike straight-line depreciation, which assumes assets lose value evenly each year, the unit-of-production method allocates depreciation in proportion to actual production, ensuring costs reflect resource extraction more accurately. Using Equation 1, the NPVs of all studied mines were simulated in Microsoft Excel under different mineral royalty regimes to evaluate the impact of fiscal changes on their financial viability. The simulations incorporated all relevant cash flow inputs, with key parameters including capital expenditures of USD833.8 million, USD1,900 million, USD1,754 million, USD1,246.9 million, and USD380 million; weighted average costs of capital of 12%, 8.5%, 10%, 10%, and 10%; and LOMs of 25, 20, 28, 21, and 21 years for Barrick Lumwana, FQM Trident, Kansanshi, Nkana–MCM, and Mufulira–MCM, respectively. Given the varying mineral royalty, the NPV changes from the initial value (NPV0) to the new value (NPVi). Consequently, the OPPCOSTMR was in turn simulated as the ore reserve was being depleted by the ore mined each year. The opportunity cost for each year was calculated using the difference between the original and new net present values, divided by the remaining ore reserves, as presented by Equation 2:

[2]
The integration of the OPPCOSTMR into the COG model (Equation 3) creates a relationship between the mineral royalty and the COG (Songolo et al., 2025). Thus, the cut-off grade resulting from the mineral royalty policy changes is given as,
[3]
Table 2
Changes in mineral royalty fiscal regime applied to Zambian copper orebodies since commissioning.
Where, COGMR is the cut-off grade resulting from the mineral royalty policy changes; Mo is the mining cost per tonne of ore mined; Po is the processing cost per of tonne of ore processed; and G&Ao is the general and administrative (overhead) costs per tonne of ore processed; Mw is the mining cost per tonne of waste; Pw is the processing cost per tonne of waste as necessary to avoid potential water contamination and acid generation and to satisfy the applicable environmental requirements; and G&Aw is the general and administrative costs per tonne of waste processed; Df is the dilution factor; r is the overall recovery from the ore mined; PCu is the price of copper per tonne sold; COSTSRF is the cost of smelting, refining, freight, and other costs incurred per tonne of copper produced. Based on the data in Table 2, the OPPCOSTMR for Barrick Lumwana in 2009 is calculated as:


Where OPPCOST2009 is the opportunity cost resulting from the 3% mineral royalty in 2009 when copper production was commissioned. The corresponding cut-off grade was calculated using Equation 3:

For 2012, when MR was adjusted to 6%:
And therefore,
For 2015, when MR was adjusted to 9%:
And therefore,
For 2016, when MR was adjusted to 5%:
And therefore,
For 2017, when MR was adjusted to 6%:
And therefore,
For 2019, when MR was adjusted to 9.5%:
And therefore,
For 2021, when MR was adjusted to 10%:
For 2021, when MR was adjusted to 10%:
And therefore,
For 2022, when MR was adjusted to 8.5%:
And therefore,
The calculated NPV, OPPCOSTMR, and COG for Barrick Lumwana are presented in Table 3.
Similar simulations were performed for the other four copper orebodies using Excel, and the resulting NPVs, OPPCOSTMR and corresponding COGs are tabulated in Tables 4 – 7.
The simulated NPV and COG data presented in Tables 3 to 7 were plotted to demonstrate their sensitivity to the changes in mineral royalty policies introduced by the Zambian government (see Figures 2 – 11).
The impact of mineral royalty fiscal regime changes on the NPV and COG was analysed by computing percentage changes in both NPV and COG, using Equations 4 and 5, respectively.
The corresponding percentage change in COG is:

Considering the data in Table 3, the percentage changes in NPV and COG, arising from adjustments in MR, are determined as follows:
3
At the commissioning of copper production in 2009, when MR was 3%,


For 2012, when MR was adjusted to 6%:

For 2015, when MR was adjusted to 9%:


For 2016, when MR was adjusted to 5%:


For 2017, when MR was adjusted to 6%:


For 2019, when MR was adjusted to 9.5%:

Simulated NPVs and cut-off grades resulting from MRFRCs for Lumwana copper orebodies
Table 4
Simulated NPVs and cut-off grades resulting from MRFRCs for FQM Trident copper orebodies
Table 5
Simulated NPVs and cut-off grades resulting from MRFRCs for Kansanshi copper orebodies
Table 6
Simulated NPVs and cut-off grades resulting from MRFRCs for Nkana copper orebodies, MCM
Simulated NPVs and cut-off grades resulting from MRFRCs for Mufulira copper orebodies, MCM
For 2021, when MR was adjusted to 10%:
For 2022, when MR was adjusted to 8.5%:

The calculated percentage changes in NPV and COG for Barrick Lumwana formed a third data set, which was used to generate graphs showing the extent of the impact of different mineral royalty
regimes on NPV and COG (Figures 12 and 18). The same procedure was applied to the remaining four mines, and the resulting percentage changes were used to generate graphs illustrating the impact of different mineral royalty regimes on their NPV (Figures 13 – 16) and COG (Figures 17 – 21). The overall impact of the mineral royalty on NPV and COG was evaluated by summing their percentage changes, as shown in Figures 22 and 23, respectively.
Results and discussion
Sensitivity of NPV to mineral royalty fiscal regime changes
Figures 2 – 6, based on data from Tables 3 – 8, illustrate the sensitivity of NPV to MR.
As shown in Figure 2, the net present value for Barrick Lumwana copper orebodies was affected by changes in the mineral



royalty rate. Initially set at 3.0% at the time of commissioning in 2009, the NPV decreased when the mineral royalty was increased to 6.0% in 2012. Three years later, in 2015, the NPV declined further as the copper mineral royalty was raised to 9.0%.
In 2016, the government introduced a sliding scale for the mineral royalty, which reduced the copper mineral royalty to 5.0% when the copper price was USD4,875 per tonne. This change led to an increase in the estimated NPV. However, as copper prices rose to USD6,206 per tonne in 2017, USD6,036 per tonne in 2019, and USD9,359 per tonne in 2021, the mineral royalty also increased to 6%, 7.5%, and 10% in 2021, respectively, reflecting copper prices on the sliding scale. Subsequently, the NPV declined again, as depicted in Figure 2.
In 2022, the NPV increased as the mineral royalty decreased to 8.5% on a sliding scale, corresponding to a copper price of USD8,822 per tonne. Figure 2 illustrates that as MR increases the NPV correspondingly decreases, and vice versa; thus, a negative linear relationship between mineral royalty and NPV is evident. The zig-zag trend in the graphs shown in Figure 2 highlights the



unpredictability of the mineral royalty fiscal policy, which poses a potential threat to the mining industry in Zambia.
Similar to the Barrick Lumwana copper orebodies, a negative linear relationship between mineral royalty and NPV has been demonstrated again for the open pit deposits in Figures 3 and 4 for the FQM Trident, and Kansanshi copper orebodies, respectively. This negative relationship between NPV and mineral royalty trends is further illustrated in Figures 5 and 6 for the Nkana and Mufulira underground copper orebodies. However, the slight variation in shape, compared to the open-pit deposits, may be attributed to the inherent ore deposit attributes and differing financial requirements associated with underground mining.
Sensitivity of COG to mineral royalty fiscal regime changes
To evaluate how the COG responds to the same changes in mineral royalty policy, the simulated COG data from Tables 3 to 7 were similarly graphed (Figures 7–11) using the same method applied for
the NPV. Figure 7 shows that there is a corresponding increase in COG for Barrick Lumwana copper orebodies as MR increased from 3% in 2009 to 6% in 2012, 5% in 2016 to 6% in 2017, and to 7.5% in 2019 and further to 10% in 2021.




The sensitivity of the COG to MR further shows a corresponding decrease in COG as MR reduced from 9% in 2015 to 5% in 2016, and from 10% in 2021 to 8.5% in 2022. This is despite the COG decreasing from 0.23% Cu to 0.22% Cu as the MR increased from 6% to 9% in 2012 and 2015, respectively, due to the price of copper that plummeted from USD7,943/t to USD5,502/t during the same period. The responsiveness of the COG to the MR for FQM Trident copper orebodies (Figure 8), depicted decreasing COG as MR decreased from 9% in 2015 to 5% in 2016, and 10% in 2021 to 8.5% in 2021. Similarly, there was an increase in COG as MR increased consecutively from 5% to 6%, 7.5%. and 10% on the sliding scale from 2016 to 2021.
A similar trend was observed in the FQM Trident copper orebodies (Figure 8), Kansanshi copper orebodies (Figure 9), Nkana copper orebodies (Figure 10), and Mufulira copper orebodies (Figure 11), as was the case with Barrick Lumwana copper orebodies (Figure 7). Interestingly, unlike the relationship between the MR and NPV, there is a positive linear relationship between the COG and the MR, as illustrated in Figures 7 through to 11.
Extent of the impact of mineral royalty fiscal regime changes on NPV
The extent of the impact of the mineral royalty rate on the net present value is reflected by the percentage change in NPV, as shown in Figure 12, for Barrick Lumwana copper orebodies. Following an increase in the mineral royalty rate to 6% in 2012, the NPV reduced significantly by 7.35%. Additionally, the figure indicates that a subsequent increase in the copper mineral royalty to 9% in 2015 resulted in an additional decrease in NPV of 5.56%.
Conversely, a reduction in the copper mineral royalty from 9% in 2015 to 5% in 2016 resulted in a −6.99% change in NPV. This occurred despite the copper price falling from USD5,502/t in 2015 to USD4,875/t in 2016. The positive and negative percentage changes in NPV have important implications for the investor. The positive percentage change indicates a loss to the investor, and a corresponding gain to the mineral resource owner. On the other hand, a negative percentage change in NPV represents a gain to the investor, and a corresponding loss to the mineral resource owner. This is because the sensitivity of the NPV to the mineral royalty reflects a negative linear relationship between the two components. In 2017, a 1.48% loss in NPV was the result of the mineral royalty, which automatically increased to 6% on the sliding scale in response to the copper price of USD6,206/t. Despite the commodity price declining from USD6,206/t in 2017 to USD6,036/t in 2019, a mineral royalty of 7.5% on the sliding scale, yielded a reduction of 1.81% in NPV. Note that the initial (old) sliding scale’s lower and

upper bounds were 4% and 6%, whereas the later (new) sliding scale’s lower and upper bounds were 5.5% and 10%, respectively. When the lower and upper mineral royalty bounds were adjusted upwards, the mineral royalty of 7.5% corresponding to the copper price of USD6,036/t further reduced the NPV by 1.81% in 2019. Commensurate with the increase in the price of copper to USD9,359/t, the mineral royalty on the sliding scale increased to 10%, recording a loss of 2.46% in NPV in 2021. The investor recorded a gain of −1.28% in NPV when the mineral royalty was by default reduced to 8.5%, being responsive to the commodity price of USD8,822/t in 2022. The net extent of the impact of the mineral royalty on the NPV was 10.39%. This reduction in NPV, however, did not drive the NPV below zero.
Figure 13 illustrates the degree of impact of the mineral royalty fiscal regime policy changes on the NPV generated from the exploitation of the FQM Trident copper orebodies. While mineral royalty changes of 6%, 7.5%, and 10% impacted the NPV by 2.38%, 3.14%, and 4.49% in 2017, 2019 and 2021, respectively, the mineral royalty changes of 5% and 8.5% in 2016 and 2022, respectively, offset the loss in NPV by −11.04% and −2.37% in 2022, respectively.




The net extent of the impact of the mineral royalty on the NPV was, thus, −3.4%. Unlike Barrick Lumwana, where there was a reduction in NPV, FQM Trident benefited from the mineral royalty fiscal regime changes imposed by the government.
Figure 14 depicts the impact of mineral royalty changes on the NPV generated from exploiting the Kansanshi copper orebodies. Like Figures 12 and 13, Figure 14 reflects an increase in NPV by −3.78% and −0.79% in 2016 and 2022, respectively. This pattern has further demonstrated that the mineral royalty policy reviews effected by the Zambian government in 2016 and 2022 benefited the mining sector. The trend across the years 2012, 2015, 2017, 2019, and 2021 was marked by a reduction in NPV by 4.32%, 3.09%, 0.84%, 1.02%, and 1.43%, respectively. The net impact of the mineral royalty was a decline in the project’s NPV by 6.13%. The study revealed that, despite the reduction in NPV, the net impact was not severe enough to render the project unviable, as the NPV remained positive.
Considering the individual trends depicted in Figures 12 to 16, the net changes in NPV for the five deposits have been summarised in Figure 17.
Extent of the impact of mineral royalty fiscal regime changes on COG
The analysis of the impact of the mineral royalty on the cut-off grade reveals a positive linear relationship between these two components. The results of this evaluation are illustrated in Figures 18, 19, 20, 21, and 22.
Figure 18 exhibits the COG trend change for Barrick Lumwana copper orebodies, from which a net change of 0.41% was derived. From the trend shown in Figure 19, FQM Trident copper orebodies record a net change of 1.2% in COG.
A net COG change of 0.42% is derived from the trend illustrated in Figure 20 for Kansanshi copper orebodies.
As depicted in Figure 21, Nkana copper orebodies show COG movements that result in a net change of −0.24%.
Similarly, Figure 22 for Mufulira copper orebodies indicate an overall net change of −0.38% in COG.
Figure 23 presents the cumulative net percentage COG changes for the five Zambian copper orebodies.
The positive and negative percentage changes in the cutoff grade have important economic implications for mineral investors and resource owners. A negative percentage change in COG indicates a loss for investors and a corresponding gain for the government. In traditional mining, such changes involve reclassifying materials as ore or waste, affecting reserve sizes. While the traditional perspective associates upward adjustment of mineral royalties with leaving a portion of the reserves unmined, the focus




should instead be on ensuring fair economic benefit distribution. Mine planners should view mineral royalties as tools for equitable value distribution between investors and the government. Thus, when the Zambian government increased royalties, the goal was



not to change physical reserves but to redistribute the economic value from investors to the government. During privatisation, the government prioritised attracting investment and job maintenance over equitable resource distribution. Lowering royalty rates shifts economic returns away from the government to investors. Thus, a positive change in COG suggests a policy favouring investors, while a negative change indicates the government is capturing more value for public development. This relationship highlights the importance of mineral royalties in balancing interests in the mining sector.
Conclusion
This study provides empirical evidence using the COGMRMR to clarify Zambia’s royalty policy, moving beyond assumption-driven narratives. The analysis revealed a 10.39% reduction in NPV for Barrick Lumwana, a 3.4% increase for FQM Trident, and reductions of 6.13%, 9.69%, and 6.13% for Kansanshi, Nkana, and Mufulira copper orebodies, respectively. For COG, Barrick Lumwana, FQM Trident, and Kansanshi recorded slight increases of 0.41%, 1.2%,
Investigating the impact of mineral royalty fiscal regime changes on the viability of Zambian copper mines
and 0.42%, while Nkana and Mufulira saw small decreases of 0.24% and 0.38%, reflecting the redistribution of investor gains and losses. The COGMRMR results demonstrate how mineral royalty adjustments redistribute economic value between investors and the government, affecting both profit margins and operational decisions. While investor returns reduced in most cases, all projects remain economically viable. This underscores the need for a royalty framework that is evidence-based, balanced, and aligned with the actual economic realities of the Zambian copper sector.
References
Acheampong, T. 2019. Zambian mineral royalties increase. S&P Global. URL https://www.spglobal.com/marketintelligence/en/ mi/research-analysis/zambian-mineral-royalties-increase.html (accessed 5.23.25).
Banda, W., Besa, B. 2016a. Modelling the Impact of Royalty Tax on the Mining Industry: A Case Study of Zambia. Journal of Natural and Applied Sciences, vol. 2, pp. 55–64.
Banda, W., Besa, B. 2016b. Economic Appraisal of Zambia’s Mineral Taxation Regimes. ASRJETS 18, 279–296.
Barrick Gold Corporation. 2022. Barrick Gold Annual Report-2022 (Financial Report). Barrick Gold Corporation, Toronto.
Barrick Gold Corporation. 2021. Barrick Gold Annual Report-2021 (Financial Report). Barrick Gold Corporation, Toronto.
Barrick Gold Corporation. 2020. Barrick Gold Annual Report-2020 (Financial Report). Barrick Gold Corporation, Toronto.
Barrick Gold Corporation. 2019. Barrick Gold Annual Report-2019 (Financial Report). Barrick Gold Corporation, 2019.
Barrick Gold Corporation. 2018. Barrick Gold Annual Report-2018 (Financial Report). Barrick Gold Corporation, Toronto.
Barrick Gold Corporation. 2017. Barrick Gold Annual Report-2017 (Financial Report). Barrick Gold Corporation, Toronto.
Barrick Gold Corporation. 2016. Barrick Gold Annual Report-2016 (Financial Report). Barrick Gold Corporation, Toronto.
Barrick Gold Corporation. 2015. Barrick Gold Annual Report-2015 (Financial Report). Barrick Gold Corporation, Toronto.
Barrick Gold Corporation. 2014. Barrick Gold Annual Report-2014 (Financial Report). Barrick Gold Corporation, Toronto.
Barrick Gold Corporation. 2013. Barrick Gold Annual Report-2013 (Financial Report). Barrick Gold Corporation, Toronto.
Barrick Gold Corporation. 2012. Barrick Gold Annual Report-2012 (Financial Report). Barrick Gold Corporation, Toronto.
Barrick Gold Corporation. 2011. Barrick Gold Annual Report-2011 (Financial Report). Barrick Gold Corporation, Toronto.
Barrick Gold Corporation. 2010. Barrick Gold Annual Report-2010 (Financial Report). Barrick Gold Corporation, Toronto.
Barrick Gold Corporation. 2009. Barrick Gold Annual Report-2009 (Financial Report). Barrick Gold Corporation, Toronto.
Castillo, E. 2021. The impacts of profit-based royalties on early-stage mineral exploration. Resources Policy 73, 102231. https://doi.org/10.1016/j.resourpol.2021.102231
Diggers Reporter. 2018. FQM explains job cuts [WWW Document]. News Diggers. URL https//diggers.news/business/2018/12/26/ fqm-explains-job-cuts/ (accessed 12.26.18).
Golder Associates Africa (Pty) Ltd. 2011. Mineral Expert’s Report, Mopani Copper Mines Plc (Technical Report No. 12971-10168–1). Glencore International AG, Switzerland.
Goncalves, C.S., Tukker, H., Lotheringen, J. 2018. Glencore Resources and Reserves Report - Mopani Copper Mines. Glencore International AG, London.
Gray, D., Lawlor, M., Briggs, A. 2020. Kansanshi Operations NI 43101 Technical Report, June 2020, North West Province, Zambia. First Quantum Minerals Ltd, Toronto.
Gray, D., Lawlor, M., Briggs, A. 2015a. Trident Project Technical Report, NI 43-101 Standards of Disclosure for Mineral Projects, North West Province, Zambia. First Quantum Minerals Ltd, Toronto.
Gray, D., Lawlor, M., Stone, R. 2015b. Kansanshi Operations Technical Report, North West Province, Zambia. NI 43-101 Standards of Disclosure for Mineral Projects. First Quantum Minerals Ltd, Toronto.
Londono, D., Sanfurgo, B. 2014. Technical Report on the Lumwana Mine, North-Western Province, Republic of Zambia (NI 43101). Barrick Gold Corporation, Toronto.
Mining Technology. 2021. Lumwana Copper Mine. Mining Technology. URL https://www.mining-technology.com/ projects/lumwana/?cf-view (accessed 1.17.22).
Otto, J., Andrews, C., Cawood, F., Doggett, M., Guj, P., Stermole, F., Stermole, J., Tilton, J. 2006. Mining royalties: a global study of their impact on investors, government, and civil society, Directions in development: energy and mining. World Bank, Washington, DC.
Roan Consolidated Copper Mines Ltd. 1978. Zambia’s Mining Industry: the First 50 Years, 1st ed. Public Relations Dept., Roan Consolidated Mines Ltd, Ndola.
Sikamo, J. 2016. Copper mining in Zambia - history and future. Journal of the Southern African Institute of Mining and Metallurgy. vol. 116, pp. 491–496. https://doi.org/10.17159/2411-9717/2016/v116n6a1
Sipindu, C. 2018. FQM Reluctantly Makes Lay-Offs amid Tax Hikes [WWW Document]. Zambia Chamber of Mines. URL http://mines.org.zm/tag/fqm-reluctantly-makes-lay-offs-amidtax-hikes/ (accessed 12.21.18).
Siwale, T., Chibuye, B. 2019. Mining taxation policy in Zambia: The tyranny of indecision. Iinternational Growth Centre. URL https://www.theigc.org/blogs/mining-taxation-policy-zambiatyranny-indecision (accessed 12.20.22).
Songolo, M.W., Chisakulo, E., Chanda, E.K. 2025. Development of a cutoff-grade model for determining the opportunity cost due to mineral royalty. CIM Journal, vol. 16, pp. 95–110. https://doi.org/10.1080/19236026.2024.2431469
The Editor. 2016. Proposed Mineral Royalty Tax is Retrogressive and will Compromise Revenue - a Collection of CSOs. Lusaka Times.
The Editor. 2008. Government to introduce a windfall tax on base metals. Lusaka Times.
Unceta, R.A. 2021. Mining revenue, fiscal space and social policies: the case of Zambia.
ZCCM-IH, 2023. ZCCM-IH History: Our Journey Thus Far [WWW Document]. ZCCM-IH. URL https://www.zccm-ih.com.zm (accessed 2.16.23). u
Investigating the impact of mineral royalty fiscal regime changes on the viability of Zambian copper mines
Introduce advanced solutions to improve thickener and filtration efficiencies amid changing ores
Date: 24-25 June 2026
Venue: Southern Sun Rosebank, Johannesburg




We are excited to invite you to an exclusive seminar collaboratively hosted by technical experts from Solenis, ENPROTEC and Mintek.. This seminar will focus on addressing key challenges in thickener and filtration operations operations, including optimising performance amid variable ore characteristics, enhancing water recovery through innovative dewatering techniques, implementing sustainable tailings management practices, and leveraging automation and advanced control systems to boost overall process efficiency.
As the mining industry embraces increasingly complex mineral deposits and adapts to evolving ore grades, there is a growing opportunity to leverage innovation and advanced technologies to boost efficiency and sustainability. Dewatering systems stand at the heart of this transformation, playing a crucial role in optimising dewatering processes and enabling responsible tailings management. By enhancing thickener and filtration performance, mining operations can achieve greater productivity while meeting their environmental stewardship commitments.
In recognition of these opportunities, this seminar will provide a comprehensive platform to explore cutting-edge technologies, share practical insights, and foster collaboration aimed at operational excellence and sustainability in mineral processing.
KEY TOPICS TO BE COVERED:
• Impact of ore variability on dewatering performance
• Innovative dewatering and water recovery technologies
• Sustainable tailings deposition practices
• Automation and advanced control systems to enhance thickener and filtration reliability and efficiency
Participants will gain valuable knowledge and actionable strategies to optimise thickener and filtration operations amid changing ore conditions.
Join us for an engaging, solutions-oriented workshop designed for professionals seeking to improve thickener and filtration reliability, maximize water reuse, and ensure responsible tailings management.
FOR FURTHER INFORMATION, CONTACT:
Gugu Charlie, Conferences and Events Coordinator
E-mail: gugu@saimm.co.za
Tel:011 538 0238
Web: www.saimm.co.za
3-4 March 2026 — Tailings 2026—Where to Now?
Indaba Hotel, Spa and Conference Centre, Fourways
Contact: Gugu Charlie Tel: 011 538-0238
E-mail: gugu@saimm.co.za
Website: http://www.saimm.co.za
17-18 March 2026 — GMG-SAIMM Johannesburg Forum 54 on Bath, Rosebank, Johannesburg
Contact: Gugu Charlie Tel: 011 538-0238
E-mail: gugu@saimm.co.za
Website: http://www.saimm.co.za
26-27 March 2026 — Uranium Conference – “Back to the Future”
Swakopmund Entertainment Centre, Swakopmund, Namibia
Website: https://geolsocnamibia.org/uraniumconference-2026/
13-14 April 2026 — SANCOT Symposium 2026
Unlocking Africa’s Potential: Advances in Tunnelling in Civil Engineering and Mining
Southern Sun Rosebank
Contact: Gugu Charlie Tel: 011 538-0238
E-mail: gugu@saimm.co.za
Website: http://www.saimm.co.za
12 May 2026 — Re-Imagining Diversity and Inclusion Showcase 2026
Southern Sun Rosebank
Contact: Gugu Charlie Tel: 011 538-0238
E-mail: gugu@saimm.co.za
Website: http://www.saimm.co.za
26-28 May 2026 — SAIMM Pyrometallurgy International Conference 2026
Foundation of Competitiveness and Sustainability
CSIR International Convention Centre, South Africa
Contact: Gugu Charlie Tel: 011 538-0238
E-mail: gugu@saimm.co.za
Website: http://www.saimm.co.za
24-25 June 2026 — Global Best Practices in Thickener and Dewatering Operations for Low-Grade and Complex Deposits Conference 2026
Southern Sun Rosebank, Johannesburg
Contact: Gugu Charlie Tel: 011 538-0238
E-mail: gugu@saimm.co.za
Website: http://www.saimm.co.za
24-25 June 2026 — Mine-Impacted Water Conference 2026
Mintek, Randburg, Johannesburg
Contact: Gugu Charlie Tel: 011 538-0238
E-mail: gugu@saimm.co.za
Website: http://www.saimm.co.za
18-20 August 2026 — CAVING 2026
Ulaanbaatar, Mongolia
Website: https://www.acgcaving.com/
19-20 August 2026 — SAIMM Uranium Conference 2026
Swakopmund Hotel and Entertainment Centre, Swakopmund, Namibia
Contact: Gugu Charlie Tel: 011 538-0238
E-mail: gugu@saimm.co.za
Website: http://www.saimm.co.za
26-27 August 2026 — ESGS Climate Change in Mining Conference 2026
Glenburn Lodge, Muldersdrift
Contact: Gugu Charlie
Tel: 011 538-0238
E-mail: gugu@saimm.co.za
Website: http://www.saimm.co.za
21-24 September 2026 — XIX International Society for Mine Surveying Congress 2026
Century City, Cape Town
Contact: Gugu Charlie
Tel: 011 538-0238
E-mail: gugu@saimm.co.za
Website: http://www.saimm.co.za
29-30 September 2026 — 7TH Young Professionals Conference 2026
Mintek, Randburg, Johannesburg
Contact: Gugu Charlie
Tel: 011 538-0238
E-mail: gugu@saimm.co.za
Website: http://www.saimm.co.za
12-16 October 2026 — 19TH South African Geophysical Association Conference 2026
Lagoon Beach Hotel & Spa, Cape Town
Website: https://sagaconference.co.za/
18-22 October 2026 — XXXII International Mineral Processing Congress 2026
Cape Town, South Africa
Contact: Camielah Jardine
Tel: 011 538-0237
E-mail: camielah@saimm.co.za
Website: http://www.saimm.co.za
4-6 November 2026 — Southern African Mine Water Conference 2026
Mintek, Randburg, Johannesburg
Contact: Gugu Charlie
Tel: 011 538-0238
E-mail: gugu@saimm.co.za
Website: http://www.saimm.co.za
The following organizations have been admitted to the Institute as Company Affiliates
acQuire Technology Solutions
AECI Mining Chemicals, a division of AECI Mining Ltd
African Pegmatite
Allied Furnace Consultants
AMIRA International Africa (Pty) Ltd
Anglo American Platinum Corporation
Anglogold Ashanti Ltd
Anton Paar Southern Africa
Arcus Gibb (Pty) Ltd
Becker Mining (Pty) Ltd
Bluhm Burton Engineering Pty Ltd
BSI Group South Africa
Buraaq mining Services (Pty) Ltd
Caledonia Mining South Africa
Carbocraft (Pty) Ltd
Castle Lead Works
CIGroup ACE Pty Ltd
DDP Specialty Products South Africa (Pty) Ltd
Digby Wells and Associates
E2 Test
EHL Consulting Engineers (Pty) Ltd
EKATO South Africa
Elbroc Mining Products (Pty) Ltd
Elderberry Trading
Epiroc South Africa (Pty) Ltd
Ex Mente Technologies (Pty) Ltd
Exxaro Resources Limited
FLSmidth Minerals (Pty) Ltd
G H H Mining Machines (Pty) Ltd
Geobrugg Southern Africa (Pty) Ltd
Glencore
Gravitas Minerals (Pty) Ltd
Hatch (Pty) Ltd
Herrenknecht AG
Impala Platinum Holdings Limited
IMS Engineering (Pty) Ltd
Ingwenya Mineral Processing
Ivanhoe Mines SA
M84 Geotech Pty Ltd
Malvern Panalytical (Pty) Ltd
Maptek (Pty) Ltd
Mech-Industries (Pty) Ltd
Micromine Africa (Pty) Ltd
Minearc South Africa (Pty) Ltd
Minerals Council of South Africa
MineRP Holding (Pty) Ltd
Mining Projection Concepts (Pty) Ltd
Mintek
MLB Investments CC
Modular Mining Systems Africa (Pty) Ltd
Murray & Roberts Cementation (Pty) Ltd
Optron (Pty) Ltd
Paterson & Cooke Consulting Engineers (Pty) Ltd
Pump and Abrasion Technologies (PTY) Ltd
Redpath Mining (South Africa) (Pty) Ltd
Rosond (Pty) Ltd
Roytec Global (Pty) Ltd
Rustenburg Platinum Mines Limited - Union
Salene Mining (Pty) Ltd
Schauenburg (Pty) Ltd
Sebotka (Pty) Ltd
SENET (Pty) Ltd
Sibanye Gold Limited
Solenis
Sound Mining Solution (Pty) Ltd
SRK Consulting SA (Pty) Ltd
Sulzer Pumps (South Africa) (Pty) Ltd
Tomra (Pty) Ltd
Trans-Caledon Tunnel Authority
Ukwazi Mining Solutions (Pty) Ltd
VBKOM Consulting Engineers
Weir Minerals Africa
Zutari (Pty) Ltd
VENUE: CENTURY CITY, CAPE TOWN
21 SEPTEMBER 2026 – TECHNICAL VISITS
22-24 SEPTEMBER 2026 – CONFERENCE
Hosted by Institute of Mine Surveyors of Southern Africa and the International Society of Mine Surveying.



The International Society of Mine Surveyors (ISM) holds its congress every three years, uniting global mine surveying professionals. South Africa will host the XIX ISM Congress in 2026 in Cape Town, focusing on all aspects of mine surveying.
A specialised field within mining science, mine surveying involves measurements, calculations, and mapping throughout the mining lifecycle, including:
• Planning and controlling mine operations for safety and efficiency.
• Evaluating mineral reserves and economic viability.
• Managing mineral rights and mining cartography.
• Assessing mining impacts on land and geology.
• Supporting environmental and rehabilitation efforts.
The 2026 Congress will showcase ISM’s six commissions and feature key topics such as:
• Mineral & Geology Studies – Understanding deposit structure and characteristics.
• Resource Assessment & Economics – Evaluating reserves and feasibility.
• Mineral Property Management – Handling acquisitions, sales, and leases.
• Mine Operations – Optimising planning and control.
• Rock & Ground Movements – Studying subsidence and mitigation.
• Environmental Rehabilitation – Ensuring responsible land restoration.
This global event will foster collaboration, innovation, and knowledge sharing, advancing the mine surveying profession.
ECSA Validated CPD Activity, Credits = 0.1 points per hour attended.SAGC Validated Activity.
FOR FURTHER INFORMATION, CONTACT: E-mail: gugu@saimm.co.za Tel: +27 11 538 0238, Web: www.saimm.co.za
Gugu Charlie, Conference coordinator


SWAKOPMUND HOTEL AND ENTERTAINMENT CENTRE, SWAKOPMUND, NAMIBIA

0ne kilogram of uranium can produce as much energy as 160 tons of coal. As the world transitions to sustainable, low-carbon energy solutions, uranium will play an increasingly critical role by enabling the generation of large amounts of electricity with minimal greenhouse gas emissions. Uranium already forms part of a reliable and low-emission energy mix in many countries, contributing significantly to global decarbonisation efforts.
Uranium and nuclear energy has had its fair share of negative publicity, due to associations with nuclear weapons and the risk of wide-scale harm to humans and nature in the event of an accident. Despite these concerns, the benefits of nuclear energy makes uranium a compelling energy source.
Nuclear energy’s increasing momentum could be seen at COP28, where the first Global Stocktake under the Paris Agreement called for the acceleration of nuclear and other low-emission technologies to help achieve deep decarbonization.
This conference aims to bring together professionals from across the uranium value chain.
Topics will span the entire spectrum, from geology, mining, processing, application as nuclear fuel, application in the medical field, to post-mining closure – offering a holistic view of the uranium sector.
The conference will take place in the town of Swakopmund, Namibia – the heart of Namibia’s uranium mining industry. Swakopmund is a scenic coastal town, nestled between the Atlantic Ocean and the Namib Desert. It has much to offer the tourist, including great local cuisine, desert excursions, ocean activities and serene beach relaxation.
We invite students, lecturers, engineers, operators, economists, research and development professionals and policy makers to join in the conversations. Participants will gain a holistic view of the uranium industry and its multifaceted role in modern society and the future of mankind.
18 August 2026 – Workshop 19-20 August 2026 – Conference 21 August 2026 – Technical Visit
Papers are invited on the following topics:
• Uranium market trends
• Uranium resources, including exploration and new developments
• Mining
• Mineral and metallurgical processing
• Process control and optimization
• Analysis, including uranium and associated components
• Refining and value-added products
• Fuel cycle
• Recycling and reprocessing
• Nuclear/radioactive waste and site remediation
• Logistics of handling and transporting uranium in its various forms
• Medical applications
• Health and safety
• Environment, Social and Governance (ESG)
• Legislative and policy issues
• Economics
• 2 March 2026 - Submission of abstracts
• 13 April 2026 - Submission of papers
• 18 August 2026 – Technical workshop: Modelling with Cycad Process
• 19-20 August 2026 - Conference
• 21 August 2026 - Technical visit: Langer Heinrich Uranium FOR FURTHER INFORMATION, CONTACT:
Gugu Charlie, Conferences and Events Coordinator
E-mail: gugu@saimm.co.za
Tel: +27 11 530 0238
Web: www.saimm.co.za
Prospective authors are invited to submit titles and abstracts of their papers in English. The abstracts should be no longer than 500 words.
Acceptance of papers for publication in the SAIMM Journal will be subject to peer review by the Conference Committee and SAIMM Publications Committee pre-conference.