Rochdale Village Bulletin Newspaper - November 2022 Edition

Page 1

Vol. 59 No. 11 November 2022 THE COOPERATORS’ NEWSPAPER SERVING OVER 25,000 COOPERATORS IN THE WORLD’S SECOND LARGEST HOUSING COOPERATIVE General Manager’s Report - Pg. 4 | NEW! Commercial Vacancies - Pg. 5 | NEW! Crossword - Pg. 12 | New Format! Projects Report - Pg. 26 - 28 Rochdale Village Turkey Giveaway Rochdale Village Salutes Our Veterans Thank you for your service! Pages 16 & 17
to r.)
(Photo Credit : Larry ‘Love’ Moore.). Story on page 3
(l. Board Director Gary Hawkins, Board Vice President Maryam Hub bard, Board Chair Althea Hicks, Andre Cole (owner Elmhurst Electric Co.), Board President Jean Hall, Board Treasurer Letisha Azizah, Shareholder, General Manager Jay Williams and Board Vice President Keysha Beasley.

ROCHDALE VILLAGE

BOARD OF DIRECTORS 2021-2022

OFFICERS OF THE BOARD

Chairwoman of the Board

Althea Hicks

President

Jean Hall

Vice Presidents

Maryam Hubbard

Kamal Saleem

Keysha Beasley

Khedda Hayden-Ryan

Treasurer

Letisha Azizah

Assistant Treasurer

Althea Hicks

Secretary

Stacey Francis

Assistant Secretary

Nadine Browne

MEMBERS OF THE BOARD

Letisha Azizah

Keysha Beasley

Nadine Browne

Clifton Stanley Diaz

Edward Douglass

Stacey Francis

Jean Hall

Gary Hawkins

Khedda Hayden-Ryan

Althea Hicks

Maryam Hubbard

Sheila McKenzie

Jean Randolph-Castro

Kamal Saleem

Derrick Shareef

George Simon (State Representative)

COMMITTEE CHAIRPERSONS

Budget & Finance

Althea Hicks

Commercial Services

Letisha Azizah

Community Center

Khedda Hayden-Ryan

Community Relations

Maryam Hubbard

Legal & Management

Jean Hall

Maintenance

Keysha Beasley

Orientation

Letisha Azizah

Public Safety

Khedda Hayden-Ryan

Senior Citizens

Jean Hall

Youth Planning

Nadine Browne

Environment, Parks, & Recreation

Kamal Saleem

Parking

Kamal Saleem

Media & IT

Stacey Francis

MANAGEMENT

Marion Scott Real Estate, Inc.

General Manager

Jay Williams

Assistant Managers

Herbert Freedman

Wilfred Rodriguez

Controller

William Young

Director of Maintenance

Kelvin Pantaleon

Public Safety Chief

Adolph Osback

Power Plant Director

Corey Jones

Human Resource Director

Dolores Benner

General Counsel

Robert Bernstein

Happy Thanksgiving

As we enter this season of thanks let us celebrate the spirit of community. We are a proud neighborhood embracing our diversity and continuing to work for the betterment of all shareholders.

What we found; shareholders were being charged fees to use the community center rooms for repast services. The board agreed with me while the building community rooms remain closed shareholders only will be able to use a room of comparable size in the community center for repast services free of charge. The specific requirements will be discussed upon contacting the community center directly at 718-276-5700 ext. 3390.

What we found; the Rochdale Village bulletin content had to go thru the management office for approval. The bulletin belongs to the shareholder’s therefore the approval process will no longer go thru the management office. That process will be placed back with the board. The value of freedom of the press cannot be understated.

The majority of our insurance coverages that expired on November 8, 2022, have been renewed. The current coverage takes us thru November 8, 2023. We are still in the process

of the insurance carrier securing coverage for our power plant. The coverage must be renewed by December 7, 2022. I will keep you posted. As stated last month, a business process will be in place by month’s end to make sure the process of insurance renewals is timely and efficient.

One of my top priorities is the proposed carrying charge increases. It is vital that shareholders are kept informed every step of the way regarding how their investment is being managed. The Board has the responsibility of ensuring timely budgets, appropriate spending and transparency is delivered by the management company. What we have found, there is much work to be done. Shareholders will be afforded a comment period and a hearing on the proposed increases. What I have been told is the previous board approved increases of 1.8% in year one, and 1.8% in year two have changed and management will propose higher increases. We will carefully evaluate the reason for the changes and look forward to robust discussions with shareholders.

My next priority will be the convector project. I will be proposing prior to any work beginning again that all the parties involved such as management, maintenance,

contractor, sub-contractor, maker of the convectors etc. meet and outlined detailed plans that will be shared with shareholders. The start, stop, convector noisy, convector cold, deadlines not met, project off schedule, who is next, who can I speak to and on and on must be handled in a more efficient and productive manner. This is a huge project that we inherited however we must get a handle on the roll out before one more convector is installed.

I am therefore, asking for your understanding and cooperation in allowing us time to get things back on track.

I want

wish every household a wonderful and blessed Thanksgiving filled with new memories of family and fellowship! Happy Thanksgiving!

Page 2 November 2022 The rochdale village bulleTiN
The Rochdale Village Board of Directors serves 5,860 middle income families and more than 25,000 people in the world’s second largest housing cooperative, located at 169-65 137th Avenue, Jamaica, NY 11434; Tel: 718276-5700 extension 3360..
to
The December meeting of the Rochdale Village Board of Directors is cancelled. Season’s Greetings to all!
President, Jean Hall - by Jean Hall
SAVE TIME PAY ONLINE WITH PAY LEASE 866-729-5327
President’s Message

T hanksgiving Turkey Giveaway

The arrival of fall means many things, from the crunch of fallen leaves under foot to the smell of pumpkin spice, and at the center of the seasonal change, we get Thanksgiving: a time to give thanks and en joy the company of family and friends. The meaning can easily be found in the name, “Thanks” and “Giving”. As the holiday sea son approached, the Rochdale Village Board of Directors did not hesitate to embrace Ro

chdale’s tradition of giving out turkeys on Monday, November 22, 2022, starting at 6:00 p.m. and running until 7:00 p.m. The event was hosted by the Board, in conjunction with Elmhurst Electric Co., Genesys, and Tyquana Henderson-Rivers (Royal Waste), all companies that work with Rochdale Village, now trying to show their appreciation with 400 turkeys that were ready to be given to the cooperators of Ro chdale Village. The event was spearheaded by Board Vice President Maryam Hubbard,

with the assistance of other members of the board. Even General Manager Jay Williams, and Assistant General Manager Will Rodri guez, got in on the action. Along with other volunteers, the turkey giveaway was execut ed without a hitch. With the Pandemic in the rear view but not completely gone, several free Covid test kits were also handed out to interested parties.

The event was fun-filled: Cooperators shared laughs as well as well-wishes as they came together to celebrate.

Page 3 November 2022 The rochdale village bulleTiN
Photo
Credit : Larry ‘Love’ Moore THE ROCHDALE VILLAGE BOARD

Monthly Report

Monthly Report

General Manager’s Monthly Report for November 2022

THE PROCESS TO REPORT MAINTENANCE ISSUES

I’ve noticed an uptick in the volume of calls to 311 in the past year for maintenance work. This may be because our newer sharehold ers did not go through the same orientation/ meet and greet process that existed prior to the Pandemic. Which means that they are not familiar with the multitude of ways in Rochdale to get apartment issues resolved. What is the process to get my apartment re paired if there is a problem?

1. Call your group manager’s office and make an appointment

a. Appointment is scheduled for an inspection b. Inspection occurs on sched uled date to identify issues c. Repair date is scheduled d. Repair occurs on scheduled date, follow ups are scheduled as necessary

Group Office contact information:

Group 1: TEMP Conrad Duverney (718) 276-5610 ex. 4020 - cduverney@rochdal evillage.com

Group 2: Denise Edwards (718) 276-5610 ex. 4050 - dedwards@rochdalevillage.com

Group 3: Anna George (718) 276-5610 ex. 4100 - ageorge@rochdalevillage.com

Group 4: Sydney Adams (718) 276-5610

ex. 4130 - sadams@rochdalevillage.com

Group 5: Dwayne Bell (718) 276-5610 ex. 4170 - dbell@rochdalevillage.com

While this process is in place sometimes things do not go as planned. If anything goes wrong with the steps above, you can then reach out to Ms. Sullivan at central mainte nance; (718) 276-5700 ex. 3530 fsullivan@ rochdalevillage.com

If things do not get resolved at this level then we have our Ombudsman, Mr. Glen Keller, who communicates directly with me. His contact information is 718-276-6700 ex. 3150 – gkeller@rochdalevillage.com.

With that being said, making sure new share holders know is process from the beginning is key. Virtual orientation meetings resumed earlier this year and the meet and greets with group managers has also resumed.

Calling 311 is more than a suitable in a rental where there is a landlord that does not care or is absent from the property. At Rochdale our staff and supervisory team are present daily. There are no landlords, only shareholders. We have a system of redundant contacts in line to solve maintenance issues. Please use our system. The process described above occurs whether 311 is called or not. Calling 311 only adds unnecessary steps to get the problem fixed. We’d much rather use that

time assisting your needs.

COOPERATIVE HOMEOWNERSHIP

Co-ops are often less expensive than apart ments because they operate on an at-cost ba sis, collecting money from residents to pay outstanding bills. In New York City where the cost of living is high Rochdale Village is a most attractive option from a financial point of view. Below is a comparison be tween Rochdale and the greater Queens area on rent prices:

It has become increasingly clear that some co-op owners themselves are sometimes un sure exactly what it means to own shares, and how those shares are allocated. Shares represent portions of stock in a corporation. With a co-op, the resident owns shares in the corporation that owns the buildings. There is a long-term proprietary lease that gives in dividual rights as a shareholder in the com pany and as a tenant in the apartment for as long as they wish. It’s a democratic commu nity and everyone owns an undivided share of the whole.

Maintenance Committee Spearheads Park Cleanup

Page 4 November 2022 The rochdale village bulleTiN
The Rochdale Village’s Maintenance Committee lead by Committee Chair Maryam Hubbard organized a Bridging the Gap Community Clean up at the Rochdale city park on Saturday Novemeber 26, 2022, from 10:00 a.m. to 2:00 p.m. volunteers of all ages joined in to help clear the area by the tennis court. Photo Credit : Larry ‘Love’ Moore

ROCHDALE VILLAGE COMMERCIAL SPACE VACANCIES

Approx. 3,160 sq. ft., dimension 40 x 79 White Box condition with some upgrades.

Approx. 2090 sq. t., dimension 40 x 52 Was previously used as a sit-down restaurant. All equipment is currently in good working condition.

Approx. 685 sq. ft. Was used as a barber shop. White box condition.

Approx. 1,250 sp. ft., dimension 20 x 62 Was previously used as a salon & barber shop.

Approx. 13,000 sq. ft. Raw Space will need com plete buildout.

Approx. 1,250 sq. ft dimension 12.4 x 100 White Box condition with some upgrades.

Approx. 1,250 sq. ft dimension 12.4 x 100 White Box condition with some upgrades.

Page 5 November 2022 The rochdale village bulleTiN
Rochdale Village has two shopping malls, Mall 1 and Mall 2. Both Shopping Centers have a variety of stores that cater to the needs of its more than 5,000 residents. Rochdale Village Malls also provides adequate parking for shoppers.

Public Safety Report

Public Safety Monthly Report October 2022

Enclosed is the statistical data relative to the performance of the Rochdale Village Public Safety Department during the month of October 2022 Public Safety maintains 24 hour / 7 days a week coverage.

COMPLAINTS:

1. During the month of October 2022, the Public Safety Department has continued to focus attention on loitering, trespassing, noise complaints and all other quality of life violations. As a result, Public Safety Department officers responded to a total of (83) loitering and (143) noise complaints from Cooperators which were resolved as follows:

a) Founded-Compliant- (50) Loiterers complied with officers’ directives to leave and (48) of the noise complaint sources corrected the volume of the noise.

b) Unfounded Calls- (23) unfounded loitering complaints and (84) unfounded noise complaints (officers responded but no loiterers were present or no noise could be heard).

c) Founded/Non-Compliant Calls- Loitering individuals & noise complaints - Non-compliant of directives – (10) received violations for loitering and (11) received a violation for noise complaints.

For the month of October 2022 there was a grand total of (6) arrest made on Rochdale Village Grounds.

The Public Safety Department will continue to organize in order to better serve the Rochdale Village community.

DVR UNIT ACTIVITY:

RISK MANAGEMENT INCIDENTS 08 INVESTIGATIVE INCIDENTS 16

VIOLATIONS ISSUED 01

RELATED ARREST INCIDENTS 06 FIRE INCIDENTS 01

TOTAL INCIDENTS 32

TASK FORCE UNIT ACTIVITIES:

• Conducted (207) Directed & Routine Verticals.

• Made (0) arrests, issued (0) Trespass Notifications, issued (0) C-Summonses, issued (25) violations to include (8) for loitering and encountered (169) Loiterers during routine & directed patrols.

• Responded to assigned calls from Central Dispatch (23).

• Conducted (1) Tenant Verification

TOWING ACTIVITY

The Public Safety Department towed (16) vehicles and issued (147) warning stickers for the violation of various parking rules throughout the complex.

Routine & *Directed Vertical Patrols by Rochdale Public Safety Officers and Supervisors:

Vertical patrols are conducted daily. Officers and Supervisors patrol the stairwells, hallways, rooftops, and parking lots at different hours in an effort to curtail unlawful activities.

*Directed verticals are additional post inspections performed in order to proactively reduce Quality of Life conditions in designated “Hot Spots” as determined by community complaints and the analysis of various patrol reports.

BUILDING VERTICALS, GROUND FLOOR INSPECTIONS AND PARKING LOT CHECKS: 4377

*DIRECTED VERTICALS: 286 TOTAL POST INSPECTIONS: 4663 PUBLIC SAFETY RESPONDED TO: CALLS FOR ASSISTANCE AND REFFERED 1124 CALLS TO THE MAINTENANCE DEPARTMENT. 683 TOTAL CALLS RECEIVED FOR ASSISTANCE: 1807

COOPERATOR ESCORTS: 172 AIDED SICK/ INJURY & ELEVATOR ENTRAPMENTS: 80

TOTAL INCIDENT REPORTS GENERATED: 148 MAIL VOLUME DELIVERED BY PUBLIC SAFETY OFFICERS: 991

ARREST(S): 6 IN HOUSE DETAINED: 0 GRAND TOTAL OF ARRESTS: 0 VIOLATIONS ISSUED: 62 CRIMINAL MISCHIEF/AUTO: 0 EVICTION(S): 1

VIOLATIONS

Listed are the classifications of Notice of Violations issued:

Page 6 November 2022 The rochdale village bulleTiN
Page 7 November 2022 The rochdale village bulleTiN
Provided by 113th Precinct Sergeant Kevin Watz, Crime Analysis Division to Public Safety Chief Adolph Osback, Public Safety Chair Khedda Hayden-Ryan

Controller’s Report

Profit

and Loss Financial Statement Narrative

For the Six (6) Months Ended September 30, 2022(FISCAL 2023)

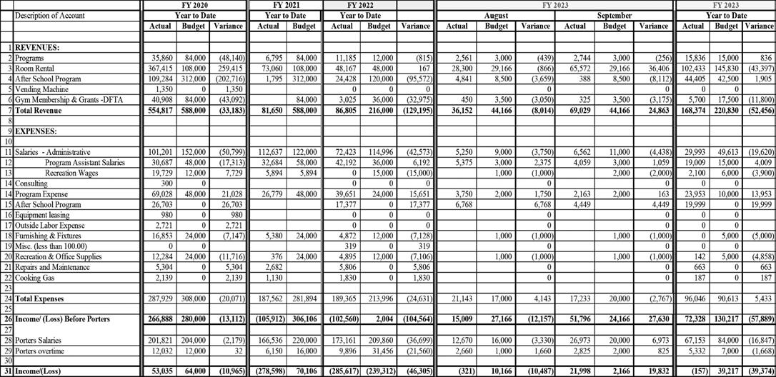
FoR the six (6) Months ended septeMBeR 30, 2022, contRol laBle incoMe BeFoRe inteRest, depReciation, aMoRtization, and incoMe taxes decReased $(611,000) to $3,468,000 as coMpaRed to $4,080,000 in the Budget Below you will Find an explanation oF the accounts with signiFicant changes vs the Budget:

Controllable Income is defined as income less variable expenses that can be managed by the Com pany (“A measure of Operation efficiency of the Company). It is commonly known as EBITDA (Earnings before Interest, Taxes and Depreciation and Amortiza tion).

Operating Revenue and Ex pense variances are explained below:

REVENUE

Total revenue For the Six (6) Months Ended September 30, 2022, Total revenue was rela tively in-line with the Budget $41,405,000 as compared to $41,482,000 in the Budget. Even though Total revenue was in-line with the Budget, there were vari ances within the Total Revenue category that are explained be low:

Apartment revenue - For the Six (6) Months Ended September 30, 2022, Apartment revenue was relatively in-line with the Budget at $36,472,000 as compared to $30,456,000 in the Budget.

Commercial rental revenue

- For the Six (6) Months Ended September 30, 2022, Commercial rental revenue decreased slightly to $2,710,000 as compared to $2,778,000 in the budget.

Other Rental Revenue - For the Six (6) Months Ended September 30, 2022, Other Rental Revenue increased $109,000 to $961,000 as compared to $852,000 in the

budget. This increase is principal ly due to the increase in monthly parking chargers in August 2021 from $39.50 to $45.00 and no such increases were anticipated in the Budget.

Community Center revenue

- For the Six (6) Months Ended September 30, 2022, Commu nity Center revenue decreased $(27,000) to $237,000 as com pared to $265,000 in the Budget. It should be noted that the Com munity Center has begun opening up operations and we anticipate that the revenue related to the Community Center will continue to increase over the remainder of FY 2023.

Other Income - For the Six (6) Months Ended September 30, 2022, Other income decreased $(166,000) to $742,000 as com pared to $909,000 in the Budget. This decrease is principally due to the Budget reflecting a National Grid rebate in FY 2023 and that rebate has not been determined as of September 2022.

EXPENSES

Total expenses - For the Six (6) Months Ended September 30, 2022, total expenses increased $534,000 to $37,936,000 as com pared to $37,401,000 in the Bud get. This decrease is explained in the following expense categories:

Administrative For the Six (6) Months Ended September 30, 2022, Administra tive expenses increased $384,000 to 3,108,000 as compared to $3,724,000 in the Budget. This increase is principally due to the calculation of the 6% Commer cial Leasing fees for lease renew als and new leases, an increase in collection costs related to the courts opening up and an increase in administrative office expenses and increase costs related to in flation impacting purchases of office expense and other related costs.

Janitorial & Grounds costs

For the Six (6) Months Ended September 30, 2022, Janitorial and Grounds expenses increased $246,000 to $4,136,000 as com pared to $3,890,000 in the Bud get. This slight decrease is due to the following:

Janitorial Expenses

For the Six (6) Months Ended September 30, 2022, Janitorial Expenses increased $102,000 to $2,619,000 as compared to $2,516,000 in the Budget. This slight increase is due to approxi mately $118,000 of expenses re lated to COVID.

Compactor expense

For the Six (6) Months Ended Sep tember 30, 2022, Compactor and Compactor & Garbage expenses increased $81,000 to $291,000 as compared to $210,000 in the Budget. This increase is due to the new equipment (auger) effi ciencies projected in the Budget were not as significant as was an ticipated.

Account 597.20 – For the Six (6) Months Ended September 30, 2022, Snow expense increased $63,000 to $63,000 as com pared to $0.0 in the Budget. The $63,000 is related to the purchase of salt in preparation for the win ter months of FY 2023.

Account 597.50 – For the Six (6) Months Ended September 30, 2022, landscape expense seasonal decreased $(72,000) to $0.0 as compared to $72,000 in the Budget. There was no ex pense for this account because the Maintenance Department has been unable to hire any seasonal Groundsmen.

Maintenance and operating costs For the Six (6) Months End ed September 30, 2022, Main tenance and Operating costs in creased $895,000 to $6,775,000 as compared to $5,880,000 in the Budget. This increase is due to

the following:

Maintenance

salaries

For the Six (6) Months Ended September 30, 2022, Mainte nance salaries decreased approxi mately $(66,000) to $2,013,000 as compared to $2,079,000 in the Budget. This decrease is princi pally due to the Budget reflect ing a full staff and we were not at Full staff in May.

Repair Material & Supplies

For the Six (6) Months Ended September 30, 2022, these ac counts $(35,000) to $750,000 as compared to $785,000 in the Budget. NOTE: In addition, the Budget is spread out evenly over the 12-month period and actual expenses vary based upon coop erators needs.

Contracted Services

For the Six (6) Months Ended September 30, 2022, these ac counts increased approximately $1,004,000 to $3,899,000 as compared to $2,895,000 in the Budget. This increase is princi pally due to the increase in Apart ment Repairs (account 620,50). This increase is related to: (1) a shortage of supplies (2) an in crease in requests for floor tile replacements in FY 2023 which is related to the impact of covid delaying work in the prior year due to COVID (3) Inflation has increased to 8.2% as of Septem ber 2022.

Public Safety

For the Six (6) Months Ended September 30, 2022, Public Safe ty costs decreased $(972,000) to $2,434,000 as compared to $3,406,000 in the Budget. This decrease is principally due to the Budget reflecting a full staff and Public Safety staff is not operat ing at full staff.

Power Plant

For the Six (6) Months End ed September 30, 2022, Total Power Plant expenses increased

Page 8 November 2022 The rochdale village bulleTiN

$715,000 to $9,357,000 as com pared to $8,641,000 in the Bud get. There were both positive and (negative) fluctuations in the ex pense categories below:

1. FUEL & UTILI TIES For the Six (6) Months Ended September 30, 2022, Fuel expenses increased $201,000 to $3,793,000 as compared to $3,592,000 in the Budget. Al though the total expenses were in-line with the Budget, there were fluctuations within these ac counts which were due to the fol lowing:

Fuel – Oil For the Six (6) Months Ended September 30, 2022, Fuel increased approximately $198,000 to $222,000 as com pared to $24,000 in the Budget. This increase is due to the addi tional fuel-oil costs related to the installation of a new aerator in FY 2023.

Fuel Heating and gas For the Six (6) Months Ended Septem ber 30, 2022, Fuel Heating and Gas decreased approximately $(57,000) to $3,403,000 as com pared to $3,460,000 in the Bud get. This decrease is due to lower costs related to National Grid and Engie (our Natural Gas supplier) as describe below:

(1) National Grid - The favor able impact of the Change in our Service Rate Classification from a SC4A - High Load Fac tor Service (($0.2640 per Therm) to a SC21 – Baseload Distributed Generation Sales Service clas sification ($0.0327 per Therm) from National Grid that manage ment was able to obtain through a 3rd party Energy broker. This rate classification has reduced our National Grid bills from over $300,000 a Month to ap proximately $120,000 a Month. Annualized, this equates to over $2,000,000 a year!!

(2) Natural Gas Prices (Engie)

– In September 2020, when the Natural Gas market was at a 25year low, Management executed a 5.5 year forward contract at $0.392 per Therm (a measure ment of natural gas purchases). This locked in the price of Gas prices for 5.5 years. This means that Rochdale Village Inc. is pro tected from Natural gas price fluctuations till March 2026.

(3) Seasonality in the Budget was based on prior % and the ac tual is trending in a slightly dif ferent volume.

2. Water & Sewer Water and Sewer

For the Six (6) Months Ended September 30, 2022, Water and Sewer expense increased approx imately $864,000 to $3,278,000 as compared to $2,414,000 in the Budget. This increase is due to the Budget projecting a savings from the water conservation proj ect being delayed due to COVID. In addition, more residents con tinue working from home which results in an increase in water us age.

3. Salaries & Other Power Plant Expenses

For the Six (6) Months Ended September 30, 2022, Oth er – Salaries & other expenses de creased $(350,000) to $2,284,000 as compared to $2,635,000 in the Budget. This decrease is princi pally related to the (1) The Budget reflects a full staff (2) seasonality of the Budget where the salaries are spread out based on a 4 week and 5-week month and (3) Ap proximately 31% less overtime.

Insurance Expense

For the Six (6) Months Ended September 30, 2022, In surance expenses increased $354,000 to $3,802,000 as com pared to $3,448,000 in the Bud get. The increase is due to the Ro chdale insurance policies renewal in November 2021. In the renew al, the most significant policy in crease was the General Liability including umbrella. During dis cussions with our insurance bro ker, he explained that there have been significant industrywide in creases in insurance costs related to COVID. In the November 2022, insurance renewal process, we will be looking at alternative strategies to save on these costs.

Real Estate Taxes (Shelter Rent)

For the Six (6) Months Ended September 30, 2022, Real estate tax (Shelter rent) ex penses decreased $(169,000) to $2,230,000 as compared to $2,400,000 in the Budget. This decrease is related to the impact of previous Article 78 settlement related to allocation of corporate expenses at 11.8% which saves Rochdale Village approximately

$400,000 to $500,000 per year. In December 2021, the NYS Su preme Court ruled in Rochdale’s favor which will increase the al location of corporate expenses from 11.8% to 16.5% and save the Company an additional ap proximately $200,000 per year. This will be retroactive to 2020. The total anticipated savings re sulting from the allocation of 16.5% of corporate expenses to the Power Plant will save Roch dale approximately $600,000 to $700,000 in Shelter Rent tax ev ery year!!!

Employee Benefits

For the Six (6) Months Ended September 30, 2022, Employ ee Benefits expense decreased $(948,000) to $3,931,000 as compared to $4,880,000 in the Budget. The decrease is related to the following: (1) A decrease $480,000 in Local 32 BJ benefits due to the contract reducing the 32BJ benefits to offset the onetime $3,000 bonus payment to 32BJ employees (2) payroll ex penses accrued at year end for payroll paid in April 2022 that re lated to the last week of FY 2022. When this was paid in April 2021, the accrual was adjusted, and the individual payroll accounts re flect the payroll expense in April. The net impact between employ ee benefits and payroll is $0.

Bad Debt Expense (NONCASH EXPENDITURE)

For the Six (6) Months Ended September 30, 2022, Bad debt expense (a non-cash expense) increased $198,000 to $450,000 as compared to $252,000 in the Budget. This increase is due to an increase in the estimate of uncollectible Tenant and Com mercial receivables due to the impact COVID on cooperators. The courts were closed for legal proceedings. In early 2022, the courts have opened and should have a favorable impact on col lections from delinquent coop erators.

NOTE: It should be noted that this increase is NOT a write-off of receivables. The bad debt ex pense is an addition to the al lowance for bad debt and the Company will continue to pursue collection of these receivables. All Other Expenses were rela tively in-line with the Budget.

1. Paperless Solution – This project is currently being evaluat ed. We are considering investing in certain software products that will allow Rochdale Village Inc. to work with our vendors to have invoices electronically transmit ted to Rochdale and uploaded to our software. This project was delayed due to COVID-19. We anticipate that this project will be brought to the Board in FY 2023

2. Computer Software solution – This project is cur rently being evaluated. We are also investigating certain soft ware products to replace our cur rent software. This will upgrade our current computer system to a windows-based system. We anticipate that this project will be brought to the Board in FY 2023.

3. Overall, Rochdale Vil lage Inc.’s Controllable Income results For the Six (6) Months Ended September 30, 2022, are trending $(611,000) below the FY 2023 Budget.

OTHER SIGNIFICANT IN FORMATION

1. PPP (Payroll Protec tion Program) – In April 2020, we received a $6,029,300 PPP loan that was be used to keep all employees employed. As required by the regulations, the funds were used to pay employ ees payroll, benefits and util ity expenses. This loan was re corded in a separate cash account and set up as a liability until the loan is forgiven. All required documents were submitted to Citibank for forgiveness and Ci tibank approved $6,005,000 of the loan for forgiveness. Subse quently, Citibank submitted the Loan Forgiveness application to the SBA for approval. The SBA has asked Citibank for additional financial information which was provided. We are still waiting to hear back from the SBA. In ad dition, in August 2022, there was additional information sent to the SBA and we anticipate a favor able response from the SBA. The SBA has denied the forgiveness of the PPP Loan and we are in the appeal process with the SBA & OHA.

2. Reserve Funds (Wells Fargo and HCR) - The re serve and escrow balance were $35,775,574 as of September 30, 2022.

Page 9 November 2022 The rochdale village bulleTiN
Looking forward
Page 10 November 2022 The rochdale village bulleTiN
Report
Village Inc. PROFIT & LOSS STATEMENT FY 2022 and FY 2023 vs. Budget Rochdale Village, Inc. ACCOUNTS PAYABLE AGING FY 2023 Rochdale Village, Inc. BALANCE SHEET FY 2020, 2021 FY 2022 and FY 2023
Controller’s
Rochdale

Controller’s Report

Page 11 November 2022 The rochdale village bulleTiN
Rochdale Village Inc. Summary of Accounts Receivable Activity FY 2020, FY 2021 FY 2022 and FY 2023 Rochdale Village Inc. Summary of Accounts Receivable Carrying Charges (ONLY) >$100 in Aging FY 2022 and FY 2023 Rochdale Village Inc. Community Center Profit & Loss Statement FY 2020, 2021 2022 and 2023 Actual vs. Budget

CROSSWORD

Page 12 November 2022 The rochdale village bulleTiN

~ Poetry Corner ~

NOVEMBER WINDS

I am thinking back when Autumn being the sign

The assortment of colored leaves Capturing moments to retrieve The Fall Winter Winds Moments to just observe and feel Winds blow with an although Are you prepared for what the winds will continue to blow? Windy advance with the feel here and there while holding on to your hat or cap

It’s plain facts Coldness that is brisk Individuals who can’t resist We are in the Fall Season It is within reason

The Good Lord is in control Adjust in clothing and take hold November winds will continue to blow November is preparing us all for what December will be Anticipation to see The winds always have their say It’s always been that way You probably don’t want to think ok Go with the flow November has us in the know December will be the final show.

Oh Lord How we thank thee For your divine order and Protection and love. Your favor from above.

Some many bountiful blessings Bestowed upon us we could never Take for granted, we would be remiss to overlook.

So during this Autumn season with so many wonderful colors on the grounds well maintained we give thanks Asking for

Your continued favor and with Grateful hearts looking unto the Hills from whence cometh our Strength and help. We feel

A renewed sense of peace and grace for the journey Peace and grace encouragement As we give Thanksgivings

So you once again Thank you Lord! Thankful hearts we say Happy Thanksgiving!

Page 13 November 2022 The rochdale village bulleTiN
By anthony chaRles Blake THANKSGIVING PRAYER & POEM By alanda i wasseRMan edwaRds

A ROUNDUP OF THE 2022 GENERAL ELECTIONS

Polls closed on Tuesday, November 8, 2022, and while the competition for the governor’s office and several Queens County, State Assembly, and Senate races were stiff, most Democrats in the borough held onto their seats. Thank you to all Rochdale Village voters who went out and did their civic duty -- you spoke and your voice was heard. In Queens, all incumbents appeared to cruise to victory with 17 of the borough’s 33 races featuring only one candidate. Across other parts of New York, Republican candidates flipped at least three of New York’s congressional seats, including the 3rd Congressional District, which covers parts of Eastern and Northern Queens.

SENATE MAJORITY LEADER CHARLES E. SCHUMER 56.4 percent (3,199,839 votes) Incumbent Chuck Schumer, seen be low with Senator James Sanders Jr. in Rochale’s Community Center, defeated Joe Pinion and Diane Sare in the general election for U.S. Senate New York.

52.9 percent (3,030,712 votes) Democratic Gov. Kathy Hochul, seen above campaigning at Rochale’s Big Mall, has defeated Republican challenger Congressman Lee Zeldin. A historic win for Hochul, who broke the glass ceiling by becoming the first woman ever elected gov ernor of New York. “I’m not here to make history – I’m here to make a difference,” Hochul said at her victory party.

Get Moving with NYRR Striders

The group gathered at the pre-marathon ceremony held on Friday, November 4, 2022, for the New York City Marathon. The striders were on hand again on Sunday, November 6, 2022, as volunteers to assist and cheer on Marathon run ners. The NYRR Striders is a free walking and fitness program for older adults looking to get active and stay fit. You can join the NYRR Striders every Mon day at 9:00 a.m. in the Rochdale Village Community Center. Email strider@ nyrr.org or call 718-525-2800 extension 1 to get moving.

Page 14 November 2022 The rochdale village bulleTiN
NEW YORK GOVERNOR KATHY HOCHUL ASSEMBLY MEMBER VIVIAN COOK 84.76 percent (15,762 votes) Incumbent Vivian Cook, seen above during the pandemic giving a speech in Rochdale’s Grand Ballroom, defeated Marilyn Miller and Anthony Andrews Jr. in the general election for New York State Assembly District 32. CONGRESSMEMBER GREGORY MEEKS 74.96 percent (97,132 votes) Incumbent Gregory W. Meeks, seen above giving a speech in Rochdale’s Grand Ballroom, defeated Paul King in the general election for U.S. House New York District 5 on November 8, 2022. (l. to r.) Rochdale Striders Cheryl Lee, NYRR Striders member and recruit er Earl Roberts, Pearl Bishop, Miss Macy, and Andrea Valentine with Coach Mitch Strong (rear standing) in Central Park. STATE SENATOR JAMES SANDERS JR. 56.4 percent (3,199,839 votes) Incumbent James Sanders Jr. ran unopposed and won in the general election for New York State Senate District 10.

Looking

Page 15 November 2022 The rochdale village bulleTiN
free to share with someone who may need assistance.
for community resources? Here’s a few. Feel

Our Rochdale Village

ROCHDALE VILLAGE VETERANS DAY CELEBRATION

Page 16 November 2022 The rochdale village bulleTiN
The Rochdale Village Community Center Committee hosted a Veterans Day celebration for Rochdale’s veterans in the Community Center on Thursday, November 10, 2022. (Center) Board Vice President and Community Center Committee Chair Khedda Hayden-Ryan addresses the audience. (Photo Credit: Larry ‘Love’ Moore). Rochdale Village Veterans, we thank you for your service! A good time was had with good eats by all who attended.

Village Community

ROCHDALE VILLAGE SENIOR CENTER VETERANS

DAY CELEBRATION

Page 17 November 2022 The rochdale village bulleTiN
(Photo Credit: Mikell Richards). 101-year old cooperator, Esther Lee Boyd Henegan, is appreci ated by the Senior Center. The line dancers stepped it out. The Rochdale Village Senior Center hosted a celebration to honor and celebrate Rochdale’s senior veterans on Thursday, November 10, 2022. A story told by three generations. Joyce Williams, Senior Center Coordinator Evelyn Wilson, Senior Center Director Sheree Shivers, Board Director Jean Randolph-Castro. We thank you all.
Page 18 November 2022 The rochdale village bulleTiN

Rochdale Village Board of Directors Calendar December 2022

See what’s going on in and around our community... There’s a little something for everyone!

Page 19 November 2022 The rochdale village bulleTiN

Meeting Minutes

November 14, 2022

budgeT & FiNaNce commiTTee

from developing a budget to assessing it.

Rochdale Village is required to prepare a budget for a 2-year cycle period. Note: Ro chdale Village budget year begins April 1 and ends March 31 of the following year. For example, current budget year began April 1, 2022 and ends March 31, 2023. The next budget cycle will be for FY 2024 and FY 2025. Year 1 of this budget cycle begins April 1, 2023, and ends March 31, 2024. Year 2 of this budget cycle begins April 1, 2024, and ends March 31, 2025.

Chair: Dr. Althea Hicks

Co-Chair: Jean Hall

Chair Dr. Althea Hicks called the meeting to order at approximately 7:10PM. CoChair Jean Hall and Controller Bill Young were in attendance. There were 25 persons in attendance.

Chair Dr. Hicks welcomed everyone to the meeting and stated she looked forward to having meetings on a regular basis going forward. During the winter months the meetings will probably be held via Zoom.

The first topic presented was an explana tion of the term budget cycle. A budget cy cle refers to the steps or phases that a com pany needs to go through to come up with a budget. It is the life of the budget, starting

The formation of the budget included meet ing with departments heads yearly in July; the department heads are responsible for reviewing their 5-year expense history and drafting figures for the budget. Normally another draft budget is created in August with a final review in November before presentation to the board. Board Member Derrick Shareef noted it would be help ful for the board to meet with department heads to discuss their recommendations and both the Chair and Co-Chair agreed this would be helpful.

Controller Bill Young provided an over view of how carrying charge increases are determined. In summary, if the corpora tion’s income cannot cover its expenses, then there is a shortage (deficit). That will likely result in a proposed carrying charge increase to the Board of Directors by Man

agement.

Concerns were raised regarding the pro cess of Management preparing the budget as opposed to the Board and the Budget Committee. Suggestions for reviewing the 2003 carrying charge increase and the im pact related to expenses.

Controller Young further explained that a resolution is needed from the Board of Directors to approve the budget and any proposed carrying charge increase. The budget is then submitted to the supervising agency, New York State Homes and Com munity Renewal (HCR). HCR will review our figures and at times there is a back and forth regarding the numbers. However, once both sides agree and if a carrying charge increase is required then sharehold ers will have an opportunity to submit writ ten comments and a rent conference will be held prior to the implementation of the carrying charge increase.

Shareholders then asked a number of ques tions, raised concerns and some even doubt that a carrying charge increase is necessary.

However, the audience was reminded that during the COVID crisis the Board voted to delay a previously approved carrying charge increase. Specifically, in August 2020, a 2.9% increase was deferred for 10 months until June 2021. The impact of the

delay meant the corporation lost revenue of approximately 1.8 million dollars.

The previous board majority voted for two carrying charge increases, 1.8% in FY-22 and another 1.8% increase in FY-23. How ever, these increases did not go into effect, HCR still has the budget under review and disputes the amount of the needed in crease. Controller, Bill Young stated that the new proposed increases are 3.1% in the first year and another 2.6% increase in the second year.

Needless to say, this information was not well received. Shareholders are very con cerned and wants assurances that both the board and management are really watching unnecessary spending. It was mentioned that perhaps serving food at meetings should be stopped.

Co-Chair JH, suggested that at the next meeting the full budget be presented to the committee and the committee make a rec ommendation based on the numbers if they would or would not recommend a carrying charge increase.

Chair Dr. Hicks stated that in order for a reasonable review to take place the detailed budget will be presented and discussed. She thanked everyone for coming out. The meeting adjourned at 9:10PM.

commercial ServiceS commiTTee

Meeting Minutes

November 8, 2022, at 7:00 pm

• Mr. Gordon conducted a presenta tion of each mall, the commercial tenants, and the square footage of each space.

○ Mall #1 has 30 occupied commercial spaces with seven on the market.

▪ Two spaces in Mall #1 are in arrears total ing $160K: Gemini and Crab Du Jour.

▪A beauty salon, a driving school, and a Caribbean snack shop expressed interest in 25A (f/k/a Lawson’s Barber).

▪ Chase, N.A. is in arrears with utilities

▪ U.S.P.S. is caught up with rent and utili ties.

○ Mall #2 has one vacant space.

Fusion and storage lockers. Commit tee members were against storage lockers.

○ Utilizing Loop.net and reaching out to franchisee looking to expand in the neighborhood.

Cooperator’s Comments

• Jean Hall asked if Gemini is go ing to pay their arrears. The lessee does not have an attorney. She also expressed concern with how commercial leases are executed on behalf of the corporation.

board was given information on commer cial tenants in arrears.

• Letisha Azizah asked for volun teers to go mystery shopping.

• It was also recommended we en courage commercial tenants to advertise, etc. during Small Business Week (May 7-13, 2023).

• Shareema Moore suggested a ghost kitchen to replace Bread & Butter.

ROLL CALL

•Attendance sheet was circulated

NEW BUSINESS

• The new Commercial Director, Leacroft Gordon circulated two drafts of potential surveys that will go out to the shareholders.

▪ 3P Café DBA Salis Café had issues ob taining permits back in August. Their new ETA for opening is fourth quarter 2022.

▪ Yummy Garden has promised to redesign the interior to allow indoor dining.

• Mr. Gordon has several options he is pursuing to rent the vacated spaces.

○ 52A (Defunct Hibachi Grill): Asian

• Michele Mangum-Hall men tioned that Ritzy Royal Salon was recom mended in the previous committee meet ing. Jean Hall clarified that the committee makes recommendations to the Board, but the Board has the final say on whether a tenant is viable. Khedda Hayden-Ryan also clarified that potential tenants go through background checks which is a part of the process.

• Shawn Chandler asked if the

• Keysha Beasley & Shawn Chan dler recommended Blue Dolphin to replace the vacant fish market in Mall #2.

• Stacey Francis recommended bringing a greengrocer back to replace Bread & Butter.

Future Action Steps

• Mr. Gordon will investigate pro spective tenants from loop and create pack ets to send to franchise owners.

• Mr. Gorden met Renee Giscombe, owner of Orchids Flowers and Gifts.

commuNiTy ceNTer commiTTee

Meeting opened with New Chairperson Khedda Hayden residing.

-26 Committee Members attended:

Upcoming Events

Veteran’s Day Celebration Tree-lighting Ceremony

New Year’s Eve Event Black History Event

Women’s Day / Men’s Day Event July 4th ???? – is this a Commu nity Center Event or Board Event? Music Festival Fall Festival

Veteran’s Day Celebration

This will be the 1st time the Community Center will honor the Veterans. The com mittee will not only honor the veterans, but we will also honor the active-duty people. This event will take place on November 10th from 6:00pm to 8:00 pm

Servers should arrive by 5:00pm: Carol Jackson, Mary Ingram, Celestine Williams, and Dorothy Jackson

Menu for event: Southern Girls Stewed Chicken and Fish; Mac & Cheese/peas & rice; and Salad

Page 20 November 2022 The rochdale village bulleTiN
Chairperson, Althea Hicks. Chairperson, Letisha Azizah.

Desert, Beverage, and possibly wine

Tree Lighting Ceremony

This event will be held on December 10th from 5:00pm to 8:00pm. (change to De cember 11th )

- Khedda Hayden will try to obtain an iceskating rink and trackless a train.

- The DJ will be TNT

- Mr. & Mrs. Clause

- Choir from local churches

- Invite Elective Officials

Menu for event: Hot Chocolate stand; Fin

ger Food: Meatball on a stick, cookies, pigs in a blanket, mini beef patties, Wingettes, stuffed cucumbers; sodas and spirits, etc.

The lighting will take place at 7:00pm

New Year’s Eve Event

This event will be simi-formal: No sneak ers and no Jeans

The cost will be $25 in advance and $30 at the door

This is a BYOBB

The age is 21 and over

Color Scheme: TBD

We will sell set-up for $8: 2 so das, bucket of ice, and 10 cups Unclear if contract was signed for Dr. Bob Lee if not a new DJ will be hire to start a new theme Khedda Hayden will get a DJ.

Khedda Hayden-Ryan - Chairperson Tina Young

- Secretary

commuNiTy relaTioNS commiTTee

Community Relations Committee mis sions statement is to bridge the gap by being the liaison between communities, or ganizations and shareholders. To establish the assurance that the needs of our share holders and businesses are met.

Community Relations Committee meet ing minutes for Wednesday, November 09, 2022, 7pm.

Agenda: 1. Children’s Christmas Party. 2. Proposed 2023 Calendar.

Meeting Started by Maryam Hubbard @ 7:10pm

1. Children’s Christmas party approx., 150-175 children.

• Decided date Sunday, 12/18/2022, 12:00pm- 4pm.

• Children of Rochdale Village Share holders only, ages 12 and under. Preregistration will be required and no exceptions will be made.

• Location: Rochdale Village Big Mall

2. Activities to be verified:

• Student DJ’s (No Cost)

• Face Painting/Balloon Art (Donation requested)

• Pasta Station (No Cost/Donation)

• Toys (Donations requested)

• Bouncy houses and toy horses (Dona tions requested)

3. Pre-registration:

• Friday Nov. 25th 7:00pm-9:00pm (Maryam H., Margo J., Keysha B. & Evelyn H.)

• Saturday Nov. 26th 3:00pm-5:00pm (Carolyn J., Yvette T., Margo J. & Maryam H.)

4. Discussions & Suggestions:

• Community Relation members were asked to donate a toy. No obligation.

• The community Relations committee will arrive @ 10am for setup.

• Toys are being requested from the various community organizations in a collaborative effort to keep cost to a minimum for the corporation.

• Briefly discussed collaboration with

maiNTeNaNce commiTTee

The monthly meeting took place on No vember 10, 2022, in person in Community room 16.

tenance organizational chart, that included telephone numbers and extensions. The committee discussed effective ways on how shareholders handle issues within their perspective units as well as around the campus.

To have social media in today’s world is a great tool, however we discussed the ad verse effect it can have on getting things done in a timely manner. Please note: maintenance issues and request should not be submitted on the Rochdale and Manage ment and Shareholder Connection page. Managers and staff are generally handling the day-to-day operations during normal business hours. Request placed on the RV MSC page could potentially sit for hours if the management staff is handling issues or in meetings.

The presentation of the flow chart showed the committee the proper steps on how/ who to contact to have your concern ad dressed.

When a shareholder needs to have any work done, the first call should always be to the spe cific group office and the request should be given to the mainte nance clerk.

We discussed one of the major issues that many of us have en countered and that is a No Call No Show ticket and we agreed that this scenario is one to priori tize to find a solution to this issue.

other Rochdale Village committees re garding future events.

Meeting adjourned @ 8:30pm, by Chair person, Maryam Hubbard

Agenda: How to affectively handle main tenance concerns in and around the village Meeting started at 7:45pm The committee was presented with a main

Zoom & Rochdale Village Community Center (Rooms 11/12)

OLD BUSINESS

• There was a discussion to revisit Edward McDougal’s Technical Computer Center Proposal in January. Copies of the proposal will be re-distributed to committee members to discuss hardware and software specifications and pricing.

• We discussed options for Hybrid

To continue to track issues accordingly please continue to contact your group of fices.

We are working together as a group to finds ways to keep share holders informed, we welcome

media & iT commiTTee

Board Meetings. The first option was for all Board Meetings to be Hybrid. The second was for meetings to be hybrid during the winter. The third was to make the meetings hybrid during inclement weather conditions (snow, thunderstorms, hurricanes, etc.).

• The ZegoPay application to is only available via the Internet. This requires shareholders to have access to a computer. Shareholders want to use Zego Pay from the Apple App Store or Google Play.

• The committee wants to meet with the Electronic Bulletin Boards administra tor to discuss boards’ capabilities. The com mittee wants to see what other content the boards can display. For example, can the electronic bulletin boards in the laundry rooms list which machines are out of order; can the ones by the elevator display video content with close captioning; can the an nouncements transition at a slower pace.

• We also discussed the need for a

NEW

BUSINESS

• Rochdale is a multigenerational com munity needing a broader social me dia platform. A corporate Instagram account with video content and an nouncements would reach GenY, GenZ and Instagram users in the community.

• The committee wants the weekly sales

Page 21 November 2022 The rochdale village bulleTiN
Co-Chair: Royal Hubbard positive solutions from all shareholders. Join on for our next meeting in December. Minutes submitted By Keysha Beasley and Royal Hubbard. Rochdale Village mobile app. The discus sion will commence January 2023. Chairperson, Keysha Beasley. Chairperson, Maryam Hubbard. Chairperson, Khedda Hayden-Ryan.

circulars stored in new racks in the lobby instead of being distributed door to door. Many are left on the hallway floors for the porters to pick up.

• The question was asked by a ‘voucher’ is required for the Community Center’s Wi-Fi.

• The Community Center needs a mobile charging lock box so visitors and resi dents can charge their phones or tablets.

FUTURE ACTION STEPS

The committee chair will present the fol lowing to the board and management at the

next Legal & Management Meeting:

• Hybrid Board Meetings.

• Zego Pay Mobile Application.

• Instagram Account.

• New racks for the weekly sales circu lars.

• Voucher for the Community Center WiFi.

ADJOURNMENT

• The meeting adjourned at 8:15pm

• The Committee will meet Friday, Janu ary 20th, 2023.

TBA

• Thorough walk-through in the current computer room to examine and make physical changes.

• Confirmation on projectors in one com munity room in each circle for hybrid meetings

• Increasing the visible presents via so cial media (IG, FB, YouTube)

• Sending invitations to current members in charge of the bulletin to attend one of our meetings to further discuss the possibility of the screens.

SeNior ciTizeNS commiTTee

November 8, 2022

New Chair Jean Hall (JH) welcomed every one to the meeting. The meeting was called to order at approximately 10:10 AM. There were approximately 85 people present.

Chair JH introduced our Chief of Public Safety, Adolph Osback. Chief Osback be gan his presentation by showing a short video depicting a training exercise for new public safety officers. He then shared a spe cial crime prevention and holiday safety tips power-point presentation. Some of the key highlights in the presentation included:

ID theft: If you are not planning on ap plying for a mortgage, credit card or auto loan in the near future you can place, free of charge, a freeze on your credit account. Doing this prevents thieves from stealing your identity. ◊ Common Phone Scams: ◊ Utility scam = Caller states your ser vice will be shut off ◊ IRS scam = Caller states you owe back taxes

◊ Medical scam = Caller stated you or your family is not covered and owe money

Hostage scam = Caller states we have your loved one or we will kill your loved one

◊ Bank scam = Caller states you have an alert on your account and need to make a payment

contacted, what was taken ◊ Report it to your local police depart ment ◊

Place a lock on your bank account, credit cards, and credit union ◊ Report the scam to the Federal Trade Commission (FTC)

A work about “Package Theft” – You can have the merchant require a signature for your deliveries, or you can ask your neigh bor to take your package if you will not be home, or you can arrange for pick-up at an other location. For amazon you can request that your packages must be left at your apartment door, not in the lobby.

NYPD 24/7 hotline is 646-610-SCAM (7226) for non-emergencies.

cort service is limited to within the confines of Rochdale Village grounds. There are foot and vehicle escorts available. Presently, the vehicles are not handicap accessible.

Chair JH asked committee members what they would like to see in the upcoming months. A few suggestions regarding trips and wellness activities were mentioned.

Upcoming Events:

Senior Committee Meeting - Wednesday, December 7, 2022, at 10:00AM

Senior Christmas Party - Wednesday, December 14, 2022, from 2PM to 6PM in the Grand Ballroom. Kindly submit your $10.00 to the board office.

Law Enforcement scam = Caller states your loved one is arrested and needs money ◊ Immigration scam = Caller states call US Immigration and Customs at (888) 347-2423

◊ Lottery scam = Hang Up! You did not win anything ◊ If you believe you have been the victim of a scam do the following: ◊ Gather your evidence – how were you

There was a brief Q&A with officers from the 113th precinct: Sgt. Gilot, PO Chavez and PO Mitchell and Crime Prevention PO Soto.

Public Safety Security Escort Service: Chief Osback reminded seniors that public safety escorts can be requested by contacting the officer present in your group or calling di aling public safety at 718-276-5000 exten sions 3670, 3680, or 3690. The security es

Seniors who wish to participate in the deco rating kindly let the Board Administrative Assistant know no later than 12/6/22.

A total of $81.00 was collected to be depos ited in the senior committee account.

Handouts: Identity Theft Flyer by NYPD and Hand Sanitizer Gel

The meeting adjourned at 12:10PM.

Page 22 November 2022 The rochdale village bulleTiN
Chair – Jean Hall
youTh PlaNNiNg
and
- Nadine Browne, Chair - Shawn Chandler, Co-Chair Introductions of members in attendance Mission - Proposed language reviewed Scope -Proposed populations to serve - 7 years - 12years - 13 years - 16 years - 17 years - 21 years - Structure - Chair/Co-Chair(s) - Subcommittees below discussed and member’s suggestions were made and add ed to the scope of each subcommittee - Public Relations - Youth Education - Group Mentoring - Events Committee Planning Meetings -Proposed dates and preferred day of the week discussed Meeting adjourned On November 5, 2022, the Youth Planning Committee took eight girls via van to see Camille A. Brown and Dancers at the Apollo’s
Camille A. Brown is an award winning choreographer, artistic director and dancer who has her own Dance company, Camille A. Brown
commiTTee Date: November 15, 2022 Location: RV Community Center Time: 7:00pm Introduction
Welcome
Historic Theater.
& Dancers. And she
lives in Rochdale
Vil lage. She donated the tickets for us to see her
show.
Three adults were chaperones on the trip: Nadine Browne, Chairperson Of YPC and Board member, Shawn ChandlerCo-Chair, and Cristina Twitty. The van was rented.
The trip was great for the girls to bond with each other, bond with Big sisters from the community, and witness a Big sis ter perform. The performance was electric with African sounds and award winning dance moves.
Chairperson, Stacey Francis. Chairperson, Nadine Browne. Camille A. Brown. Chairperson, Jean Hall.

SyNoPSiS oF cooPeraTor’S SeSSioN - FoR octoBeR 24, 2022 BoaRd Meeting

Owners both Rochdale residents and outsiders are allowing the dogs to walk on the grass. Is there some type of plan where can have more specific identify for the dogs who belong here?

Question: Over the weekend a mattress and box spring was left in the service hallway. It was not removed on the same day. In addition, the shareholder did not properly cover the mattress as is required. There is also an allegation that the mattress had bed bugs. Are there plans to increase the fines for people that disregard the rules regard ing disposal of items?

Response: The complaint was received by the public safety depart ment. The shareholder has been identified and was issued a $200.00 fine.

Question: I want the members of the budget and finance commit tee to be able to by-pass the board office and send emails directly to Controller, William Young.

Also, the year-end financial statements should be ready at least 2 weeks prior to the annual stockholder meeting.

Response: Management recommends that once a new Chair is ap pointed to the Budget & Finance Committee the question regarding emails should be referred to the to the Chair. Management 100% agrees that the financial report should be received earlier.

Question: How can I obtain a grab bar to place in my bathtub? Do I have to purchase them and then maintenance will put them in or do I have to outsource it?

Response: Management advises the proper procedure is to notify the management office of the proposed change (grab bars), in order to accommodate a disability.

The shareholder was asked if management has contacted? Share holder replied, no. Shareholders was directed t contact Mr. Keller.

Question: Parking Lots 9A & 9B and the back walk area of building 18; when it rains in the back of building 18 there is ponding water. And in the part lot entrance by building 18 on both sides ponding exists.

Response: Management advised that the contractor was sent over to the area after the last rainstorm. A comparison will be made with his findings and the issues raised today to make sure everything is addressed.

Question: Laundry room on the weekends – there is no one avail able to address emergency situations. There was situation with water coming out of a washer. I contacted the public safety dispatcher who stated they did not know who the group manager was on duty during this weekend; another contact and a dispatcher hung up the phone. There is issue here with customer service.

Response: Chair Clifton Diaz advised he will check into this. Gen eral Manager, Jay Williams indicated he would also investigate the customer service complaint and get back to the shareholder.

Question: Dogs continue to be a problem and it is getting worst.

Response: There have been an additional 40 signs ordered, no dogs on grass. Management will be relying on public safety to assist with enforcement. However, we need to fully staff up the public safety department and we are working on that.

Question: Closed caption is not being used during this meeting, de spite that this was brought to your attention before. This is needed for shareholders who may be hearing impaired. The finding of bed bugs, is the area going to be sprayed? Will the affected apartments above/below etc. be notified?

What is the update on the PPP loan? Background: The Paycheck Pro tection Program (PPP) is a $953-billion business loan program es tablished by the United States federal government during the Donald Trump administration in 2020 through the Coronavirus Aid, Relief, and Economic Security Act (CARES Act) to help certain businesses, self-employed workers, sole proprietors, certain nonprofit organiza tions, and tribal businesses continue paying their workers.

Rochdale Village received approximately 6 Million dollars. The loan may be forgivable; however, the final determination has not yet been made.

Also, the group manager who is on duty during the weekend’s name should go on the digital bulletin board.

Also, regarding Lot 9A, Tim Mercer brought that up at the last board meeting and told you it was not pitched correctly.

Response: Management, Lot 9A is being addressed. The response by the dispatched will be reviewed. There is no update on the PPP loan it is still under review.

The apartments will be identified and treated for bed bugs, the eleva tor and service hallway will also be treated. Note however, this is the first time the allegation of bed bugs has been brought to our attention.

Question: I have an issue with the new convectors, they are blowing cold air and are very noisy.

Response: Management will schedule with you a time tomorrow to have someone address the issues with your convectors.

Question from Chat: What is the procedure after a contractor has failed to show up several times?

Response: Management advised the following: First reach out to central maintenance at 718-276-5700 ext. 3530, if not resolved, then 2nd, reach out to Mr. Keller at 718-276-5700 ext. 3150.

Question from Chat: There is an issue with the “M” door, building 20.

Response: Management will address.

No further questions, the Cooperators Session ended at 7:30 p.m.

Page 23 November 2022 The rochdale village bulleTiN
Chair Clifton Stanley Diaz opened the cooperator’s session at 7:00 p.m.

R35-22:

rochdale village board oF direcTorS meeTiNg Resolutions

- noveMBeR 28, 2022

SPEAKER ADAMS IS RELOCATING HER OFFICE.

Moved by: Clifton Stanley Diaz

Seconded by: Kamal Saleem

WHEREAS, Speaker Adrienne Adams (“The Speaker”) is looking to relocate her office for additional staff space;

WHEREAS, three thousand two hundred thirty-one (3,231) square feet was identified on the second floor of Mall 1 that is cur rently known as the suites, 1, 2, 3 and 4 (“the suites”);

WHEREAS, the suites have been vacant for over twenty-five years and require extensive renovations in order to produce commer cial revenue including but not limited to asbestos abatement, new mechanical, new electrical and new wall/ceiling finishes;

WHEREAS, monies from the 2019 Wells Fargo refinance that were earmarked for Mall 1 renovations will be allocated to reno vating the suites;

WHEREAS, the Speaker has agreed to reimburse Rochdale for the buildout portion of the space in the amount of $83,500.00;

WHEREAS, bids were sought from thirteen contracting firms of which three responded with the following bid numbers below;

Contractor Base Bid

Genesys Construction Corp $641,855.00

Quadrant Development $1,055,263.00

Elmhurst Electrical Corp. $1,468,220.00

Electrical/Sprinkler Not to Exceed Bid

Contingency if Contingency needed

$160,000 $801,855.00 $160,000 $1,215,263.00 $160,000 $1,628,220.00

NOW THEREFORE BE IT RESOLVED, that the Roch dale Village Board of Directors approves the lowest responsible bid of Genesys Corporation, for a not to exceed amount of $801,855.00 to renovate suites 1, 2, 3 and 4.

FOR

Letisha Azizah

Keysha Beasley

Nadine Browne Clifton Stanley Diaz

Edward Douglass Stacey Francis

Jean Hall Gary Hawkins

Khedda Hayden-Ryan Althea Hicks

Maryam Hubbard Sheila McKenzie

Jean Randolph-Castro Kamal Saleem

Derrick Shareef

Fifteen for; motion passes.

R36-22: DECEMBER 2022 BOARD MEETING CANCELLED.

Moved by: Clifton Stanley Diaz

Seconded by: Jean Randolph-Castro

WHEREAS, the December 2022 Board Meeting at Rochdale Village is scheduled for December 26, 2022, when many of the co operators and their families are away for a winter vacation or busy getting ready before the holiday season; and

WHEREAS, this is a difficult time of the year for coopera tors and Board Members to attend the meeting and the December

meeting has been cancelled for many years at Rochdale Village.

NOW THEREFORE BE IT RESOLVED, that the Roch dale Village, Inc. Board of Directors cancels the December 2022 Board Meeting.

FOR

Letisha Azizah

Nadine Browne

Keysha Beasley

Clifton Stanley Diaz

Edward Douglass Stacey Francis

Jean Hall

Gary Hawkins

Althea Hicks Maryam Hubbard

Sheila McKenzie

Jean Randolph-Castro Kamal Saleem Derrick Shareef

AGAINST

Khedda Hayden-Ryan

Fourteen for, one against: Motion passes.

R37-22: BOARD RETAINS NORRIS, MCLAUGHLIN ATTORNEY AT LAW.

Moved by: Jean Hall Seconded by: Keysha Beasley

The Board of Directors shall retain the services of Norris, McLaughlin Attorney at Law to assist with the review of profession al contracts and agreements as well as other mattersas directed by the Board. This service shall assist the Board in the needed specialized services during this transition period.

The Board of Directors further authorizes the Board President to sign the engagement of services letter with Norris, McLaughlin Attorneys at Law.

MOTION TO TABLE

Moved by: Clifton Stanley Diaz Seconded by: Jean Randolph-Castro

FOR TABLING

Clifton Stanley Diaz Edward Douglass Gary Hawkins Sheila McKenzie Jean Randolph-Castro Derrick Shareef

AGAINST TABLING

Letisha Azizah Keysha Beasley

Nadine Browne Stacey Francis Jean Hall Khedda Hayden-Ryan

Althea Hicks Maryam Hubbard Kamal Saleem

Six for tabling, nine against tabling; motion to table defeated.

FOR THE MOTION

Letisha Azizah Keysha Beasley

Nadine Browne Stacey Francis Jean Hall Khedda Hayden-Ryan

Althea Hicks Maryam Hubbard Kamal Saleem

Page 24 November 2022 The rochdale village bulleTiN

rochdale village board oF direcTorS meeTiNg

Resolutions - noveMBeR 28, 2022

AGAINST THE MOTION

Clifton Stanley Diaz Sheila McKenzie

Jean Randolph-Castro

ABSTENTIONS

Edward Douglass Gary Hawkins

Derrick Shareef

Nine for, three against, three abstentions; motion passes.

R38-22: TELEPHONE VOTE H & N AGENCY TO SERVE AS ROCHDALE’S INSURANCE BROKER

WHEREAS, management has issued a broker of record letter to H & N Agency for them to serve as Rochdale’s broker to obtain all of the insurance Rochdale needs;

WHEREAS, one or more insurance carriers have requested the President of the Board of Directors of Rochdale Village, Inc. to countersign the broker of record letter; and

WHEREAS, H & N has until the close of business on Wednesday, November 2, 2022 at 5:00 P.M. to secure coverages for all policies expiring on Tuesday, November 8, 2022.

NOW THEREFORE BE IT RESOLVED, after due con sideration, the Board of Directors hereby authorizes the President to countersign the broker of record letter hiring H & N Agency as the insurance broker.

FOR

Letisha Azizah

Nadine Browne

Keysha Beasley

Clifton Stanley Diaz

Stacey Francis Gary Hawkins

Khedda Hayden-Ryan Althea Hicks

Maryam Hubbard Sheila McKenzie

Jean Randolph-Castro

ABSTAIN

Edward Douglass Jean Hall

Kamal Saleem Derrick Shareef

Eleven for, four abstentions: Telephone vote is ratified and passed.

R39-22: TELEPHONE VOTE

DIRECTORS APPROVES LOAN OF $30,000 RVSS FOR TUTORING PROGRAM.

WHEREAS, Rochdale Village Social Services (“RVSS”) has a tutoring program and related services;

WHEREAS, RVSS is currently short of funds and is request ing a $30,000 non-interest bearing loan to fund the aforementioned program and to keep the program in operation; and

WHEREAS, RVSS will pay back the full amount of $30,000 loan upon demand from RochdaleVillage, Inc.

THEREFORE BE IT RESOLVED, that the Rochdale Vil lage, Inc. Board of Directors approves a non-interest bearing loan in the amount of $30,000 to Rochdale Village Social Services for the tutoring program.

FOR

Letisha Azizah Keysha Beasley

Nadine Browne

Edward Douglass Stacey Francis Jean Hall Gary Hawkins Khedda Hayden-Ryan Althea Hicks Maryam Hubbard Kamal Saleem Derrick Shareef

ABSTAIN Jean Randolph-Castro

COULD NOT BE REACHED Clifton Stanley Diaz THREE CALLS, COULD NOT LEAVE MESSAGE Sheila McKenzie

Twelve for, one abstention, two non votes: Telephone vote is ratified and passed.

BOARD MEMBERS

Althea Hicks

Chairperson & Assistant Treasurer Jean Hall President

Maryam Hubbard

First Vice-President

Kamal Saleem

Second Vice-President Keysha Beasley

Third Vice-President Khedda Hayden-Ryan

Fourth Vice President Stacey Francis Secretary

Nadine Browne Assistant Secretary Letisha Azizah Treasurer

Clifton Stanley Diaz Edward Douglass Gary Hawkins Sheila McKenzie Jean Randolph-Castro Derrick Shareef

MSI REAL ESTATE

Jay Williams General Manager

Wilfred Rodriguez

Assistant General Manager Lance Williams Assistant General Manager

Robert Bernstein, Esq. Corporate Counsel William Young Controller Kelvin Pantaleon Director of Maintenance David George Assistant Director of Maintenance Ernest Gaither Captain Security

Page 25 November 2022 The rochdale village bulleTiN
Page 26 November 2022 The rochdale village bulleTiN
Page 27 November 2022 The rochdale village bulleTiN
Page 28 November 2022 The rochdale village bulleTiN

Rochdale Village NORC Calendar - December 2022

Page 29 November 2022 The rochdale village bulleTiN
Irvica Galla from Visiting Nurse Services (VNS) conducting blood pressure screening. Rochdale Seniors get into the Healthier Senior Class. It’s an exercise class that assist our Rochdale Village seniors with strengthening, fall prevention, and balance. It is held every Mondays and Wednesdays from 11:00 a.m. to 12:00 p.m. in the community center. Rochdale Village NORC office hosted a luncheon on Friday, November 18, 2022, to celebrate Thanksgiving and to give Seniors a chance to enjoy each other’s company.

Rochdale Village Senior Center -December 2022

Senior Center Turkey Giveaway

Page 30 November 2022 The rochdale village bulleTiN
(l. to r.) Board Director Clifton Stanley Diaz, Senior Center Director Sheree Shivers, Board Direc tor Jean Randolph-Castro, Ideal General Manager Jerry Diaz, Joyce Williams. (Photo Credit : Larry ‘Love’ Moore). Senior Center Coordinator Evelyn Wilson.

METROCARD BUS RETURNS TO ROCHDALE

Assemblywoman

Cook Sponsors Senior Center Thanksgiving Luncheon

Page 31 November 2022 The rochdale village bulleTiN
(Photo Credit : Mikell Richards). Rochdale Village Senior Center office hosted a luncheon on Thursday, November 17, 2022, sponsored by Assemblywoman Vivian E. Cook, to congregate, celebrate, and enjoy this time together. Assemblywoman Vivian E. Cook.
Page 32 November 2022 The rochdale village bulleTiN
(Paid Advertisement)

Turn static files into dynamic content formats.

Create a flipbook
Issuu converts static files into: digital portfolios, online yearbooks, online catalogs, digital photo albums and more. Sign up and create your flipbook.
Rochdale Village Bulletin Newspaper - November 2022 Edition by Rochdale Village, Inc. - Issuu