


september arrangerades då tillslut EMC Europe 2022 på Svenska Mässan i Göteborg. Efter tre års förberedelser och oerhört intensivt arbete i spurten står vi då med facit i hand, och vi kan åter konstatera att EMC-Sveri ge verkligen kan sluta upp när det gäller. EMC Europe 2022 lockade över totalt 600 deltagare vilket var rekord. Delta garna kom från ett 30-tal länder och det presenterades över 160 papers, plus en heldag med workshops i hela sju parallella lokaler. Varje tillgänglig kvadratmeter i utställningshallen var bokad och arrang örslandet Sverige tangerade sitt eget ut ställarrekord från 2014.
JAG TROR ATT EMC Europe 2022 är ett EMC-evenemang man kommer att prata
om. Inte bara för de angenäma deltagar siffrorna under de fyra intensiva dagarna, utan också för vi alla äntligen fick träffas fysiskt igen. Det var till stor glädje för många.
I september 2023 arrangeras EMC Eu rope i Krakow och Submission Deadline är den 15 mars. Så börja att planera ditt paper redan nu!
EN NYLIGEN SLÄPPT rapport visat att fler människor än någonsin använder sig av bärbara sensorer för att övervaka deras aktivitetsnivåer, exempelvis rörelsesenso rer, optiska sensorer, kemiska sensorer, trycksensorer, töjningssensorer, kontinu erlig hälsoövervakning och träningsspår ning. Trots sitt ursprung i enkel stegräk ning expanderar marknaden för bärbara
sensorer allt mer till det mer komplexa området för hälsoövervakning. Innova tioner inom bärbar sensorteknologi ut ökar omfattningen av biometri som blir tillgänglig via exempelvis klockor och hudplåster.
BÄRBARA SENSORER ÄR grundläggande för kontinuerlig övervakning av hälsa, kondition och välbefinnande och app likationerna för bärbar teknologi bara växer. Och sannolikt kommer efterfrå gan heller inte att avta. ”Messen is Wis sen”, och vårt behov att mäta vår puls och förbränning, vår sömn eller åter hämtning verkar aldrig mättas.
I DET HÄR numret fortsätter Miklos Ste iner och Ulf Nilsson med kapitel C, del
2 av självstudiekursen ”Stoppa Störning ar”. Missa inte att svara på frågorna. Pe ter Stenumgaard ger oss en sammanställ ning över EMC Europe 2022. Zackary Chiragwandi presenterar en artikel där ett storskaligt RLC-filter föreslås med syftet att undertrycka common mode (CM)-brus som sker inom parallella le dande plattor i högeffektsystem. Och mycket mer.
Electronic Environment Ges ut av Content Avenue AB Göteborgsvägen 88 433 63 Sävedalen info@contentavenue.se www.contentavenue.se
Adressändringar: info@electronic.se
Tekniska redaktörer: Peter Stenumgaard Miklos Steiner Ulf Nilsson Våra teknikredaktörer nås på redaktion@electronic.se
www.electronic.se
Ansvarig utgivare: Dan Wallander dan.wallander@electronic.se Annonser: 0733-282929 annons@contentavenue.se daveharvett@btconnect.com
Omslagsfoto: Istock
Tryck: Gothia Offset, 2022 Efterpublicering av redaktionellt mate rial medges endast efter godkännande från respektive författare.
Civilingenjör Teknisk Fysik och Elek troteknik (LiTH 1988) samt Tekn Dr. Radiosystemteknik (KTH 2001). Arbetade fram till 1995 som systemingenjör på SAAB Military Aircraft där han arbetade med elektromagnetiska störningars effekter på flygplanssystem. Detta inkluderade skydd mot exempelvis blixtträff, elektromagnetisk puls (EMP) samt High Power Microwaves (HPM). Han har varit adjungerad professor både på högskolan i Gävle och Linköpings universitet. Peter arbetar idag till vardags på FOI. Han var technical program chair för den internationella konferensen EMC Europe 2014 som då arrangerades av Just Event i Göteborg.
Miklos har elektromekaniker- högsko leutbildning för telekommunikation och elektronik i botten samt bred erfarenhet från bl a service och reparation av konsu mentelektronik, konstruktion och projek tledning av mikroprocessorstyrda printrar, prismärkningsautomater, industriella styrsystem och installationer.
Miklos har sedan 1995 utbildat ett stort antal ingenjörer och andra på sina kurser inom EMC och är också författare till den populära EMC-artikelserien ”ÖGAT PÅ”, i tidningen Electronic Environment.
Under många år var Miklos verksam som EMC-konsult, med rådg ivning och provning för många återkommande kunder. Mångårig erfarenhet från utveckling av EMC-riktiga lösningar i dessa uppdrag har gett Miklos underlag, som han med trovärdighet kunnat föra vidare i sina råd, kurser och artiklar.
Ulf har verkat som konsult och utbildare i EMC-frågor sedan 1968, vilket inkluderar provningsverksamhet, utveckling, kon struktion, rådgivning, utbildning samt dele gat och föredragshållare i flera EMC-sym posier. Hos Ericson Microwave var han ansvarig för deras EMC-verksamhet från 1968 till 1983 och därefter ansvarig hos Don White Consultants Incorporated i Vir ginia, USA (DWCI) för konsultverksamheten samt reste runt i USA, Europa och Israel, som en av DWCIs EMC-instruktörer.
Han återvände till Sverige 1884 och startade EMC Services Elmiljöteknik AB. 2000 sålde han detta bolag till Saab, men fort satte som anställd ett antal år fram till pension.
Efter DWCI:s konkurs investerade Ulf i egenutvecklat EMC-kurs material och kursverksamhet hos EMC Services. Han har utbildat hundratals ingenjörer i EMC-teknik och regler.
Ulf startade EMC Magazine, vilket sedermera omvandlades till Electronic Environment, där Ulf även tidigare har varit EMC-redak tör. Han har dessutom varit medförfattare till svenska EMC-hand böcker på uppdrag av bl a Ericsson och FMV.
Rewiev: "The logical layout of the book appears to be very readable and it is! This book would be an excellent addition to the library of a beginner technical person in the field of EMC Engineering."
Daniel D. Hoolihan / IEEE EMC Magazine"Everything you always wanted to know about EMC but were afraid to ask" är ett måste för alla som arbetar med EMC-frågor. Den presenterar alla grund principer och praxis för ett framgångsrikt EMC-arbete genom tydlig hand ledning med många exempel, illustrationer och guider. Varje kapitel avslutas med självstudiefrågor.
Nu är den här – den kompletta och uppdaterade versionen av
Environmental Engineering Handbook har genomgått en omfattande uppdatering och är den mest kompletta handboken inom miljöteknik. Handboken täcker hela arbetsområdet för miljöteknik och är ett ovärder ligt hjälpmedel för att fastställa miljötekniska specifikationer, både natio nella som internationella.
Ett heltäckande uppslagsverk som ger vägledning i rätt metodik för miljö teknikarbete, liksom grundläggande regler och råd om hur sådant arbete – korrekt specificerat och verifierat – leder till en säker och pålitlig produkt. Handboken ges ut av Swedish Environmental Engineering Society (SEES).
need
field in
of cables,
Compute the magnetic field in any number of points due to currents in a complex cable layout in just seconds. Computed field strengths are listed in a table where points with a too high amplitude, compared to a user-de fined limit, are highlighted. To get the complete picture, you can plot the field in various ways, e.g., as a color surface plot. Try different ways to reduce the field strength such as, e.g., rearranging cables or using a ground plane. Get the new results by a simple press on a button. The perfect tool for an EMC engineer!
Michel Mardiguian, The complete EMC Handbook: “Everything you always wanted to know about EMC but were afraid to ask”
Elsäkerhetsverket har beslutat om tre nya föreskrifter gällande stark strömsanläggningar (ELSÄK-FS 2022:1-3). De nya föreskrifterna träder i kraft den 1 december 2022 och fram tills dess gäller de nuvarande förskrifterna (ELSÄK-FS 2008:1-3). Redan nu har man dock möjlighet att ta del av det nya regelverket och göra de anpassningar som behövs i verksamheten.
Elsäkerhetsverket har ändrat i de nu gällande fö reskrifterna (ELSÄK-FS 2008:1-3) vid ett antal tillfällen, men har inte gjort någon större revision av föreskrifterna sedan de trädde i kraft 2008. Dessutom bygger ELSÄK-FS 2008:1-3 i sin tur på ramföreskrifterna som beslutades redan 2004. Vissa regler har därför blivit omoderna eller annars obehövliga. Den tekniska och språk liga utvecklingen i branschen har också skapat ett behov av översyn av föreskrifternas innehåll.
Syftet med de nya föreskrifterna (ELSÄK FS 2022:1-3) är att förenkla och förbättra befintligt regelverk så att vi får ändamålsenliga och be gripliga regler. Språkbruket har därför moder niserats och hänvisningar till annan lagstiftning har uppdaterats. Reglerna har också anpassats till den utveckling som skett i samhället och myndigheten har även haft avsikten att så långt det är möjligt framtidssäkra föreskrifterna.
Processen för att ta fram nya föreskrifter inleds alltid med en analys av om det finns behov av nya eller ändrade regler. I detta fall genomför des en förstudie under 2020 som sedan låg till grund för regelarbetet under 2021. Redan i för studiefasen har myndigheten bjudit in och sam verkat med en extern referensgrupp. Den externa referensgruppen har bestått av representanter från branschorganisationer för företag som ut för elinstallationer, stora anläggningsinnehavare (som både beställer och utför arbete nära el), arbetstagarorganisationer, företag som tillhan dahåller utbildningar och/eller konsulttjänster på området, andra myndigheter samt standar diseringsorgan. Denna referensgrupp har sedan på olika sätt deltagit under utformningen av reglerna.
Det har också genomförts en konsekvensut redning. Förslag till nya föreskrifter har se
dan remitterats externt för att fånga upp syn punkter och kommentarer från branschen och andra som påverkas av de nya föreskrifterna. Myndigheten har sedan bedömt de förslag på ändringar som inkommit och färdigställt det slutliga innehållet. Slutligen har generaldirek tören fattat beslut om föreskrifterna. I direkt anslutning till detta har föreskrifterna tryckts och publicerats på webbplatsen i god tid innan de träder ikraft.
ELSÄK-FS 2022:1 – Elsäkerhetsverkets föreskrif ter och allmänna råd (2022:1) om hur starkström sanläggningar ska vara utförda Föreskrifterna reglerar hur starkströmsanlägg ningar ska vara utförda och innehåller dels grundläggande regler för alla typer av stark strömsanläggningar och dels detaljregler som träffar specifika typer av starkströmsanlägg ningar.
• Elinstallationsföretag, elinstallatörer och andra elyrkespersoner.
• Innehavare av starkströmsanläggningar.
• Innehavare av kontaktledningsanläggningar för järnväg, spårväg, tunnelbana och elväg.
• Utbildare/skolor för elinstallatörer och elyrkespersoner.
• Andra aktörer såsom Installatörsföretagen IN, Elektrikerförbundet, Energiföretagen, Brandskyddsföreningen/Elektriska nämnden, Standard Solutions Group SSG, SEK Svensk elstandard, konsulter med flera.
ELSÄK-FS 2022:2 – Elsäkerhetsverkets föreskrif ter och allmänna råd (2022:2) om skyltning av starkströmsanläggningar Dessa föreskrifter innehåller bestämmelser om skyltning vid starkströmsanläggningar i syfte
att varna eller ge information om hur den som vistas vid anläggningen ska förhålla sig med hänsyn till risk för personskada eller sakskada på grund av el.
Vem påverkas?
• Elinstallationsföretag, elinstallatörer och andra elyrkespersoner.
• Innehavare av starkströmsanläggningar för produktion eller överföring av el.
• Innehavare av kontaktledningsanläggningar för järnväg, spårväg, tunnelbana och elväg.
• Andra aktörer såsom Installatörsföretagen, Elektrikerförbundet, Energiföretagen, Standard Solutions Group SSG, Trafikverket, SEK Svensk elstandard, konsulter med flera.
ELSÄK-FS 2022:3 – Elsäkerhetsverkets föreskrif ter och allmänna råd (2022:3) om innehavarens kontroll av starkströmsanläggningar och elektris ka utrustningar
Dessa föreskrifter innehåller bestämmelser om den kontroll och de åtgärder som innehavaren av en starkströmsanläggning ska utföra i syfte att anläggningen ska ge betryggande säkerhet mot personskada och sakskada på grund av el. Föreskrifterna omfattar även elektrisk ut rustning som är avsedd att anslutas till en stark strömsanläggning.
• Innehavare av alla typer av starkströmsanläggningar
• Innehavare av elektrisk utrustning som är avsedd att anslutas till en starkströmsanläggning.
• Elinstallationsföretag, elinstallatörer och andra elyrkespersoner.
• Utbildare/skolor för elinstallatörer och elyrkespersoner.
• Andra aktörer såsom Installatörsföretagen IN, Elektrikerförbundet, Energiföretagen, Brandskyddsföreningen/Elektriska nämnden, Standard Solutions Group SSG, konsulter med flera.
Källa: Elsäkerhetsverket
Global MilSatCom 2022
8-10 November 2022, London, UK
Future Armoured Vehicles Survivability 2022
15-16 November 2022, Arlington, USA
Electronica 2022
15-18 November 2022, München, Tyskland
APEMC 2022
29 Nov-2 Dec 2022, Yokohama, Japan
IEEE MAPCON 2022
Microwaves, Antennas and Propagation Conference
12-16 December 2022, Bangalore, Indien
Global EMC Conference (GEMCCon)
19-20 Januari 2023, Nusa Dua, Bali, Indonesia
Satellite 2023
13-16 Mars 2023, Washington DC, USA
CEM 2023
11th International Conference on Computation in Electromagnetics
11-14 April 2023, Pullman Cannes Mandelieu, France
SPI 2023
The 27th IEEE Signal and Power Integrity Workshop
7-10 Maj 2023, Aveiro, Portugal
APEMC + INCEMIC 2023
Joint Asia-Pacific Symposium on Electromag netic Compatibility (APEMC) and International Conference on Electromagnetic Interference and Compatibility (INCEMIC)
22-25 Maj 2023, Bengaluru, India
IEEE International Microwave Symposium (IMS2023)
11-16 Juni 2023, San Diego, California
IEEE International Symposium on Anten nas and Propagation & USNC-URSI Radio Science Meeting
23-28 Juli 2023, Oregon, USA
Evenemangen planeras att genomföras enligt ovan vid denna tidnings pressläggning. Aktuell information om eventuella förändringar finns på respektive evenemangs hemsida.
Se respektive förenings hemsida: IEEE www.ieee.se
Nordiska ESD-rådet www.esdnordic.com
SER www.ser.se
SNRV www.radiovetenskap.kva.se
SEES www.sees.se
EMC in military equipment and systems 8-10 November 2022, Möndal www.emcservices.se
IEC 61508 – Pålitliga elektroniksystem 15-16 November 2022, Borås www.ri.se
Grundkurs i EMC 23 November 2022, online www.intertek.se
CE-märkning – med inriktning på elektriska produkter 1 December 2022, online www.intertek.se
Elsäkerhetsdagarna 5-6 December 2022, Stockholm www.stf.se
ATEX direktiv 25-27 April 2023, Stockholm www.stf.se
Vi tar tacksamt emot tips på kurser, förening smöten och konferenser om elsäkerhet, EMC (i vid bemärkelse), ESD, Ex, mekanisk, termisk och kemisk miljö samt angränsande områden. Publiceringen är kostnadsfri.
Sänd upplysningar till: info@contentavenue.se
Tipsa oss gärna även om andras evenemang, såsom internationella konferenser!
Listan upptar ett urval av de standarder som fastställts under juni – september 2022. För varje standard anges svensk beteckning, internationell motsvarighet (om sådan finns) och europeisk motsvarighet (om sådan finns). Om den europeiska standarden innehåller ändringar i förhållande till den internationella anges detta. Dessutom anges svensk titel, engelsk titel, fastställelsedatum och teknisk kommitté inom SEK Svensk Elstandard. För tillägg framgår vilken standard det ska användas tillsammans med, men för nyutgåvor och standarder som på annat sätt ersätter en tidigare standard framgår normalt inte vilken denna är eller när den planeras sluta gälla.
SS-EN IEC 60749-28, utg 2:2022
IEC 60749-28:2022 • EN IEC 60749-28:2022
Halvledarkomponenter – Mekaniska och klimatiska provning smetoder – Del 28: Känslighet för elektrostatiska urladdningar (ESD) – ”Charged device model” (CDM) – Komponentnivå
Semiconductor devices – Mechanical and climatic test methods – Part 28: Electrostatic discharge (ESD) sensitivity testing – Charged device model (CDM) – device level
SEK Elektrotekniska rådet Fastställelsedatum 2022-05-18
SS-EN IEC 62228-7, utg 1:2022 IEC 62228-7:2022 • EN IEC 62228-7:2022
Integrerade kretsar – EMC-bedömning av sändar-mottagarkretsar – Del 7: CXPI tranceivers
Integrated circuits – EMC evaluation of transceivers – Part 7: CXPI transceivers
SEK Elektrotekniska rådet
Fastställelsedatum 2022-05-18
SS-EN 55016-1-6, utg 1:2015/A2:2022
CISPR 16-1-6:2014/A2:2022 • EN 55016-1-6:2015/A2:2022
EMC – Utrustning och metoder för mätning av radiostörningar och immunitet – Del 1-6: Kalibrering av antenner för EMC-mätning
Specification for radio disturbance and immunity measuring apparatus and methods – Part 1-6: Radio disturbance and immunity measuring apparatus – EMC antenna calibration
Används tillsammans med: SS-EN 55016-1-6, utg 1, 2015, som från och med 2025-04-07 inte gäller utan detta tillägg A2.
SEK TK EMC Elektromagnetisk kompatibilitet
Fastställelsedatum 2022-05-18
Tillägg om bl a kalibrering med tre antenner (TAM) och med strömprob.
SS-EN IEC 61000-4-20, utg 3:2022 IEC 61000-4-20:2022 • EN IEC 61000-4-20:2022
Elektromagnetisk kompatibilitet (EMC) – Del 4-20: Mät- och provningsmetoder – Mätning av emission och immunitet i TEMvågledare
Electromagnetic compatibility (EMC) – Part 4-20: Testing and meas urement techniques – Emission and immunity testing in transverse electromagnetic (TEM) waveguides
Ersätter: SS-EN 61000-4-20, utg 2, 2011, gäller ej från och med 2025-03-25.
SEK TK EMC Elektromagnetisk kompatibilitet Fastställelsedatum 2022-05-18
Innehåller nu bl a info om mätosäkerhet och om provning av stora objekt.
Sammanställningen är ett urval av nya svenska standarder på det elektrotekniska området fastställda av SEK Svensk Elstandard de senaste tre månaderna. För kompletterande information: www.elstandard.se
Det är dags att se över vägledningen för pla nering och bedömning av elektriska energi lager, IEC TS 62933-3-1. Den nuvarande ut gåvan kom 2018 och sedan dess har det ju hänt en del på området. Behovet av nya och uppdaterade standarder har därför ökat.
När man nu börjar revidera vägledningen, ska man framförallt lägga till avsnitt om dimensionering och beskrivning av system för energilag ring. Dessutom planerar man att specificera mer omfattande fordringar på planering av energilager och på hur man bedömer systemprestanda. Ökad omfattning och detaljeringsgrad alltså. Arbetet sker i IEC, den internationella standardiseringsorganisationen IEC – som arbetar med standarder inom el, elektronik, informationsteknologi och angränsan de områden. Svenska intressenter deltar genom SEK Svensk Elstandard, som är den svenska standardiseringsorganisation som är medlem i IEC.
IEC TS 62933-3-1 vänder sig till alla parter som är inblandade i plane ring, beställning osv av system för lagring av el, oberoende av den teknik som används. På det sättet kan den fungera som en gemensam referens eller stomme i besluts- och genomförandeprocessen. Den behandlar nöd vändiga funktioner och förmågor hos ett elektriskt energilagringssystem och metoder för att prova dess egenskaper. Den nuvarande utgåvan finns utgiven som SEK TS 62933-3-1. Och nu är det alltså dags att arbeta på en ny utgåva.
Dessutom ska man konvertera den till en ”riktig” internationell stan dard. Elektriska energilager är ett område i snabb utveckling. Därför ges flera av publikationerna från den tekniska kommittén IEC TC 120 ut som tekniska specifikationer, TS, som är en sorts förstandard som fungerar som utgångspunkt för arbete med en kommande ”riktig” internationell standard. I IEC TC 120 deltar representanter för svensk
Inom IEC skrivs internationella standarder i ett globalt samarbete. Den som använder en standard, vid konstruktion, tillverkning eller provning eller vid offert eller specifikation har därför goda möjligheter att vara med och förbättra den, när det är dags för en ny utgåva. Man är med för att driva förändring och bidra med kunskap och erfarenhet, eller bara för att hålla koll på vad som är på väg. De flesta IEC-standarder antas också även som europeisk standard, EN, med bland annat särskild ställning vid offentlig upphandling. Också den kommande IEC 62933-3-1 kom mer med all sannolikhet att bli europeisk standard.
Ingår i en serie standarder IEC TS 62933-3-1 ingår i en serie standarder för elektriska energilager och hänvisar till några av de övriga delarna, i första hand IEC 629331 (i Sverige SS-EN IEC 62933-1) för terminologi och IEC 62933-2-1 (i Sverige SS-EN IEC 62933-2-1) för egenskaper och provningsmetoder. Miljöfrågor omfattas av SEK TS 62933-4-1 och säkerhetsfrågor av SEK TS 62933-5-1. Även den är under omarbetning.
Andra projekt i IEC TC 120 behandlar bland annat användning av be gagnade batterier i energilager (IEC 62933-4-4 ED1) och vilka skydds krav som är aktuella för batteribaserade system vid olika tillämpningar och placeringar (IEC 62933-4-3) och en revision av IEC 629334-3 (SSEN IEC 62833-5-2) med säkerhetsfordringar på elektrokemiska system för anslutning till elnätet, alltså energilager som innehåller batterier.
Arbetet med standarder inom IEC och SEK spänner över ett stort områ de. Nära elektriska energilager ligger bland annat nya arbeten inom SEK TK 8, Elenergiförsörjningssystem, och SEK TK 69, Elbilsdrift. Den som inte deltar i arbetet, utan bara läser och använder standarderna, kan enkelt ha sitt standardbibliotek uppdaterat och lätt tillgängligt på SEK:s hemsida.
Källa: SEK ElstandardMålgrupp är ALLA som vill slippa störningar, dvs chefer (alla nivåer), kvalitetsansvariga, projektledare, marknadsförare, säljare, installatörer, el- och elektronikkonstruktörer, meka nikkonstruktörer, m fl. EMC! På vår hemsida www.electronic.se finns en kort repetition av elläran samt andra grunder att behärska för att lättare förstå våra texter.
Detta är andra delen av tredje kursen i vår EMC-kursserie och kursav snittet ger tips om hur man ”fixar” (dvs undviker eller åtgärdar) vanliga störningsproblem. Med ”vanliga” syftar vi på de vanligaste vardagliga or sakerna till störningsproblem. ”Fixarråden” avser antingen att förhindra eller reducera störningsalstring eller att skydda sig mot påverkan från olika icke-önskade elektromagnetiska fenomen (apparatalstrade eller naturliga).
Målgrupper är främst användare, såsom servicetekniker, installatörer, eloch elektronikkonstruktörer, mekaniker, vilka i sin dagliga verksamhet kommer i kontakt med el- och elektronik-komponenter eller dito appara ter, och som kan vara drabbade av EMI (Electro Magnetic Interference). Även andra, som på något sätt arbetar med produkter med el- eller elektro nik-komponenter, har god nytta av detta praktiskt inriktade kursavsnitt.
Vi går igenom typiska störningskällor, störningsoffer och ger avstör ningstipps för dessa. Även för vanliga hot såsom åska och ESD ger vi skyddstipps.
Kursen kan studeras utan att ha studerat de övriga EMC-kurserna i den na kursserie, men det är en klar fördel att ha studerat avsnitten EMC-in troduktion, Källor, offer och kopplingsvägar samt Elementär ellära och andra grundbultar för EMC-förståelse före detta kursavsnitt.
I förra avsnittet av denna kursdel behandlade vi olika former av spännings hackar (kraftenheter, frekvensomvandlare, växelriktare, motordrivenheter mm) och hur dessa bör ”avstöras”. Vi vi här poängtera att dessa enheter sprider sin störningsemission i huvudsak via anslutna ledningar och kablar. Detta antyds i figur C 10 och C 13 i förra avsnittet. Om intern uppbyggnad och filtrering är otillräcklig blir omgivningen störd. Störningsemissionen ger sig till känna i huvudsak som longitudinella (common mode) störnings spänningar och strömmar på anslutna kablar, se bild CX 1. Apparater ovh kablar som är förlagda nära blir påverkade via kapacitiv och induktiv över hörning. Radiomottagare känner av E- och H-fälten, vars styrka beror på apparatplacering och kabelförläggning samt kabellängder. I solcellssam manhang hamnar solcellspanerna relativt högt över mark och ”fältjord”,
hackare
t.ex.
trafo, nät, mm.
Figur CX 1. Longitudinell störingsström och spänning emitterar mer eller mindre på alla kablar anslutna till en potentiell störningskälla.
Figur CX 2. I en solcellsanläggning fungerar kablaget mellan solcel lerna och växelriktaren som en bredbandig vertikal E-fältsantenn.
med påföljd, att likspänningskablarna mellan solcellerna och växelrikta ren, bildar en E-fältsantenn med sk ”topp hat”, se figur CX 2. Solcellspane lerna så att säga förstärker E-fältsantennverkan och det är denna antenn verkan som förmodligen dominerar radiostörningsemissionen (RFI). Det gäller således att kraftigt begränsa spännings- och strömemissionen från växelriktaren för att inte störa radiotrafik.
Oönskade naturfenomen, såsom åska, ESD och geomagnetiska störning ar, hör definitivt hemma i kapitlet avstörning, men i bemärkelsen skydd.
Dessa fenomen, när de uppträder, är svåra att åtgärda vid källan. Här gäller det att skydda våra utrustningar och komponenter för deras ibland förödande effekter. ESD kan förhindras att uppkomma i behärs kade miljöer, såsom vid tillverkning, installation och underhåll, men sällan i det ”dagliga livet”.
Skydd mot geomagnetiska stormar behandlas inte i denna kurs.
Metoderna för att skydda system och apparater mot olika former av hot är att isolera skyddsobjektet från hotet, som ofta är i form av hög spänning, eller att leda den ström det hotande fenomenet kan driva, en annan, helst icke skadlig, väg förbi skyddsobjektet.
Vid isolation måste isolationsmetoden stå emot hög spänning, dvs isola tionshållfastheten ska vara tillräcklig eller så måste isolationsavståndet vara stort.
Om inte isolation kan åstadkommas (oftast den billigaste metoden) åter står att leda den störande strömmen en kontrollerad icke-skadlig väg. En metod kallas potentialutjämning och går ut på att parallellkoppla skydds objektet med en eller flera relativt lågimpediva och strömtåliga ledare. En sådan kan vara en kort grov ledning eller en bred plåt. I el- och teleanlägg ningar används ofta någon form av strömtåliga överspänningsskydd, vilka kopplas mellan kabelbranscher eller mellan dessa och utjämnings-ledare eller -plåtar. Notera att alla till ett objekt anslutna kablar och elektriskt ledande rör, vajrar etc bör anslutas till ”strömshunten”!
En blixt kan ses som en strömförande krets, som dels leder in strömmar och dels inducerar spänningar i all ledande materiel i sin omgivning inklu sive marken. Se Figur C 15.
Elnät, telenät och kabel-TV-nät är exempel på utbredda ledarstrukturer, som ofta är offer för åskrelaterade spänningar och strömmar. Mest utsatta är de typer av apparater som samtidigt är anslutna till två eller flera av dessa nät, såsom faxar, modem, datorer med inbyggt ledningsanslutet mo dem, TV-apparater, basstationer till trådlösa telefoner mm, se Figur C 16. Spänningen (gemensam mod-spänning), orsakad av blixturladdningen, mellan dessa nät kan momentant bli hög, flera tiotal kV. Apparater, som enbart är anslutna till ett av dessa nät, går inte sönder lika ofta emedan de ej utsätts för gemensam mod-spänningen mellan näten. Om de trotts allt går sönder, beror det på differentiell överspänning.
Åsköverspänningar skiljer sig i flera avseende från gängse elektromag netiska störningsfenomen. De är mycket energirikare än andra typer av störningar, men bandbredden är mycket mindre än för t ex ESD. Stigtiden för en blixtströmspuls är i storleksordningen 0,1 – 1 μs, vilket motsva
Figur C 15. Blixtinducerad spänning.
Figur C 16. Avlägset blixtnedslag orsakar ofta skadliga överspänningar mellan olika markförbundna nät.
Figur C 17. Blixtdata.
rar en bandbredd (andra brytfrekvensen i värsta-fallet-spektrum) på ca 3,2 – 0,32 MHz. Toppströmmen i en blixtpuls kan uppgå till 200 kA för sk positiv blixt och 100 kA för negativ blixt, men ”normalblixtens” toppvärde är i storleksordningen 70 kA. En blixt består av flera strömpul ser, upp till ett tjugotal, där den första pulsens toppvärde är större än de efterföljande (se Figur C 17).
Skyddsåtgärder bör sättas in på flera nivåer; skydd mot åska kräver oftast flera zoner.
Många förlitar sig på tillfälliga åtgärder, som att koppla bort kablar från apparater anslutna till elnät, telenät, kabel-TV-nät eller TV-antenn. Detta är inte fel, men otillräcklig. Jovisst, bortkopplade apparater (= isolerade) påverkas knappast av åskans effekter, men då apparaten är ansluten är risken stor att åskan oförutsett ”slår till”. Det räcker att det förekommer åskväder inom några km avstånd (vilket man kanske inte noterar) för att apparater ska förstöras eller åldras.
Risken är, såsom en egenföretagare med verksamhet på landet i en om byggd lada erfor, att man inte gör det i tid eller är ute med hunden när åskvädret plötsligt är nära. Då kanske man får byta datorer och annan utrustning flera gånger varje år. Ett hyggligt åskskydd kostar mindre än det första haveriet!
Åskledare bör installeras på byggnader och master. Framförallt bör an tennmaster ha särskild avledare. En åskledare har till uppgift att leda blixtström ner till marken förbi skyddsobjektet (utanför byggnaden).
Så kallade primärskydd bör installeras för att skydda till byggnaden in kommande kablar, dvs förhindra överspänningar mellan olika inkom mande kablar (CM) och mellan enskilda ledningar (DM). Det behövs rätt installerade skydd vid alla kabelintag: el, tele, kabel-TV och kabel från ev. takmonterad antenn. Det blir allt vanligare att montera solcellanlägg ningar på hustak och detta medför särskilda skyddsåtgärder. Skydden ska framförallt förhindra att överspänning uppstår mellan dessa olika kablar. Dessutom behövs oftast även differentiella skydd mellan kablarnas olika ledningar: t ex mellan alla faser och skyddsledaren (el). Ett överspännings skydd har till uppgift att begränsa överspänningen genom en tillfälligt ”kortslutning”. Primärskyddet ansluts mellan avsedd ledare och jord, dvs byggnadens metallstruktur eller intagsplåt (se Figur C 18) alternativt in kommande elkabels mantel, och bör begränsa CM-överspänningen till en eller ett par kV. Är kablarna metallmantlade ska dessa anslutas direkt till intagsplåten. Likaså ska alla metallrör anslutas till intagsplåten.
Varje apparat bör i sin tur förses med sekundärskydd som begränsar DM-överspänningen ytterligare, detta för att skydda apparaten lokalt ifall primärskydden inte ger tillräckligt skydd eller att överspänning upp står pga inducerad spänning. Rätt installerade skyddskomponenter för apparatskydd skall avleda överströmmen till apparatskärm eller lokalt jordplan. Minimum är att sekundärskydden ansluts mellan inkomman de fasledare och skyddsledare. Är även andra ledningar, såsom tele- eller andra stora näts kablar, anslutna till apparaten, ska skydden för dessa anslutas till apparatens skyddsledare, oftast via apparatens hölje eller via en lokal intagsplåt.
Figur C 19 visar åtgärder för en apparat anslutet till el- och telenät. För rätt utförd installation skall utjämningsledaren (ännu bättre: plåten) vara så kort som möjligt (helst kortare än 10 cm, absolut inte längre än 1 m).
En blixt kan ses som en strömförande krets som i sin tur inducerar spän ningar och strömmar i all ledande material i sin omgivning, inklusive marken. Se Figur C 16.
I ett kontorslandskap med flera arbetsstationer utspridda över hela vå ningsplanet eller i flera våningsplan, har kraftförsörjningen och nätverks kommunikationen ibland realiserats genom att dra allt kablage i taket för att sedan låta "grenar" hänga ner vid respektive arbetsstation. Nätverket
och elnätet dras vidare upp till nästa våning och det är inte säkert att dessa två kablage går i samma kabelränna. De kan dras med flera meters mellanrum, vilket skapar vertikala slingor. Ett blixtnedslag en bit ifrån byggnaden eller ännu värre, i byggnadens åskledarsystems nedledare, ger upphov till ett kraftigt magnetfält, som inducerar spänningar i de ver tikala slingorna. Dessa spänningar kan bli uppemot flera tusentals volt. Det är en uppenbar risk att någonting går sönder. Normala installatio ner klarar sig oftast, ty signal- och kraftkablage ligger i horisontalplanet och den vertikala blixtens magnetfältsvektor skär inte igenom detta plan. Således induceras liten spänning i installationskablaget. Om man däre mot råkar skapa vertikala slingor kommer man att få problem med åsk förstörd utrustning utan att byggnaden är "träffad". Skulle byggnadens åskledarsystem med vertikala nedledare utsättas för blixtström kommer vertikala slingor att medföra än värre problem. Genom att istället dra da tanätverkskablage och elnätskablage i närheten av varandra (inte för nära för vi vill inte ha störande överhörning från elnätet) reduceras slingytan och därmed också de inducerade spänningarna. Med metallkabelkanaler minskas fältinkopplingen ytterligare.
Ett aktuellt EMC-problem är blixtskydd av solcellsanläggningar. I figur C 20 visas en principiell bild av en solcellsanläggning på ett hustak med blixtskydd. Blixtinfångarna är anslutna till byggnadens ringledare eller motsvarande med nedledningar. Solcellspanelernas bärarmekanik är aven den ansluten till ringledaren med en egen nedledning. Detta om bärar mekniken skulle strömsättas av en blixt eller pga överslag från blixtfång arledningarna så ska denna ström till ringledaren. Risken för överslag ska minimeras med tillräckligt avstånd mellan mekaniken och blixtfångar systemet.
Isolationen mellan solcellerna samt dess ledningar och bärarmekaniken är ju ändlig, vilket medför att man måste ha överspänningsskydd mel lan likspänningsledningarna och växelriktarens skärmlåda. Denna ska i sin tur vara lågimpedivt ansluten till elcentranlens mekanik.Även på nätsidan ska det finnas överspänningskydd för att blixtskydeet ska vara fullständigt.
ESD (ElectroStatic Discharge = urladdning av elektrostatisk spänning) är ett annat naturfenomen och är ett uråldrigt och sedan länge känt stör ningsfenomen. En av de första internationella civila tålighetsstandarderna behandlade just ESD. Vintern är en särskild ESD-vänlig period, speciellt i inlandet där klimatet är torrare. Speciellt utsatta är områden med kall och torr utomhusluft (högtrycksväder) på vårvintern.
ESD-urladdning, ibland kallad inomhus-åska, kan orsaka förstörelse i elektronikkomponenter, eller, i värsta fall, latenta fel och åldring samt be tydande parameterförsämringar.
Vi måste konstruera våra apparater så att de vid hantering och användning tål både direkt ESD-urladdning mot åtkomliga delar och indirekta påver kan (fält) vid urladdning mot andra föremål.
Det uppmärksammades tidigt att vissa halvledare (transistorer, IC-kret sar) ofta gick sönder. Snart upptäckte man att de var känsliga för ESD-al strade överspänningar.
Vissa kretstyper förstörs vid så låga ESD-spänningar som några tiotals volt. Därför var halvledartillverkare tidigt ute och byggde in skydd i sina IC-kretsar.
ESD-skyddet är sen länge inbyggt i våra känsligaste IC-kretsar. Både inoch utgångar samt matning måste vara skyddade.
Statisk elektricitet uppkommer naturligt genom bl a friktion, gnidning samt separation mellan olika material. Detta kallas för triboelektrisk effekt. Olika material har olika triboelektriska egenskaper, se Tabell C 1. Alla har vi någon gång upplevt effekterna av statisk elektricitet när vi kammar oss, tar av oss ett klädesplagg, reser oss från en kontors stol eller stiger ur bilen. Statisk laddning kan även förekomma genom influens (utan beröring) från en annan laddad kropp eller påverkan av elektriskt fält.
Figur C 21. ESD-uppladdning av person.
Figur C 22. Simulerad ESD-puls.
Figur C 23. Värsta-fallet-spektrum för ESD-urladdning.
Figur C 25. Bilden illustrerar en apparat med bristande ESD-tålighet.
Figur C 24. ESD-uppladdning av och urladdning från rullande utrustning.
Det vanligaste fallet är, att en människokropp blir uppladdad, som i det illustrerade fallet i Figur C 21 (en person går över ett golv av t ex. syntetma terial). Vid varje separation, som sker mellan personens skosula och golvet, ökar kroppens laddningsskillnad relativt golvmaterialet och uppnår med tiden högre och högre spänning (= potentialskillnad, positiv eller negativ, beroende på material).
Spänningsuppbyggnaden tar en viss tid och möjlig uppladdningsspänning är beroende av bl. a den relativa luftfuktigheten och materialegenskaper na. Över tiotal kilovolt på några tiotal sekunder är inte ovanligt.
Alla föremål (inte minst människokroppen) kan bli uppladdade oavsett om de är ledande eller isolerande. En kropp kan bli uppladdad till tiotals kilovolts spänning med positiv eller negativ polaritet relativt omgivningen. Laddningen är koncentrerad på ytan. På ledande material är laddningen jämt fördelad över hela dess yta. På icke ledande material är laddningen fläckvis fördelad.
När ett laddat föremål eller kropp kommer nära ett annat med annorlunda laddning sker ett överslag (fältstyrkan blir för stor relativt luftens isoler förmåga) i form av en gnista. Detta medför en hastig laddningsutjämning mellan kropparna med tillhörande förskjutningsström. Inget av föremålen behöver alltså vara jordat (= anslutet till annat större föremål, t ex ett hus eller marken). Jämför med att man kan känna en stöt mot ett metallhand tag i en trädörr.
Figur C 26. ESD-koppling från isolerad lucka.
Gnisturladdningens egenskaper beskrivs i relevanta EMC-provnings standarder, t ex SS-EN 61000-4-2, i form av en strömpuls alstrad av en högspännings-generator (se Figur C 22 och Figur C 23). Pulsform och övriga egenskaper kan vara lite olika beroende på hur och mellan vilka slags föremål urladdning sker. Exempel på olika simuleringsmodeller är: Human Body Model (HBM), Machine Model (MM) och Charged Devi ce Model (CDM). Notera att inte enbart människor är ESD-generatorer: all rörlig, särskilt isolerande, materiel är potentiella ESD-generatorer! Se Figur C 24.
En ESD-uppladdning kan innebära spänningar på flera tiotals kV. Urladdningspulsen medför hög ström (flera tiotals ampere), som växer med mycket kort stigtid (< ns), och ett hastigt kollapsande elektriskt fält. Därmed orsakar urladdningen ett elektromagnetiskt fält i ett frekvens område som sträcker sig från 0 Hz till flera GHz. ESD-pulsens störnings effekt är dubbel: den fortplantar sig som ledningsbunden störning såväl som fältstörning. Energiinnehållet är begränsat (< 2 J). Energin utvecklas dock under mycket kort tid, vilket medför att toppeffekten är hög. Skadan i elektroniken kan ske explosionsartat i en oftast liten volym (på chipnivå). Uppstår inte katastroffel åldras utsatta komponenter med parameterför ändringar och ”för tidig död” som följder.
Exempel på apparater som har blivit störda av ESD:
- Droppregulator i sjukhusmiljö öppnar för fullt flöde pga indirekt ESD-påverkan vid 6 kV laddningsspänning.
- PC i kontorsmiljö låser sig pga ESD-urladdning mot skrivbordsram.
- Bankterminalutrustning på bankkontor går sönder pga ESD.
- Prismärkningsutrustning med etikettapplikator i industrimiljö blir utstörd av transportband, som genererar upprepade ESD-urladdningar pga bristfällig potentialutjämning av rörliga delar.
- Motionscykel i hemmiljö: elektroniskt räkneverk lägger av pga att cykeln blir uppladdad av friktionsbroms och urladdas i kontakt med andra föremål.
- Särskilt utsatta utrustningar eller delar: datorer, tangentbord, terminaler, kontrollpaneler, mobiltelefon, konsoler, mm.
Exempel på särskilt utsatta miljöer:
- Torrt inlandsklimat (generellt).
- Pappershantering: pappersbruk, tryckerier, skrivare (torr miljö samt separationsrörelse).
- Bageri (torrt pga mjölet och värmen som minskar den relativa luftfuktigheten).
- Transportband och andra rullande transporter. Materialhantering i allmänhet.
- Bilar, lastbilar.
- Hantering av torr tvätt.
- Skyddsrockar av nylon eller annat syntetmaterial.
- Förhindra uppladdning.
- Undvik nylon, fleece, plast, neopren och andra uppladdnings-benägna material.
- Öka luftfuktigheten.
- Potentialutjämna (avled laddningar) mellan golv, stolar, bänkar, rullande utrustning, personer.
- Använd ESD-tålig utrustning, som är byggd med ESD-skyddande komponenter på ett ESD-robust sätt. Utrustningens ESD-tålighetsegenskaper ska helst vara specificerade.
Som ESD-skydd på kretskorts- och apparatnivå används snabba överspän ningsskydd av halvledartyp, dioder, zenerdioder, snabba varistorer samt kondensatorer. Rätt layout och montering (kortast möjliga tilledare) av dessa skydd är också ytterst viktig, annars kan skyddskomponenterna bli verkningslösa.
En annan allmän åtgärd är att all hantering av oskyddad elektronik under t ex tillverkning, transport och service är reglerad i ESD-standarder för att förhindra komponentfel orsakad av felaktig hantering.
Exempel på ESD genererade störningar: Inre urladdning Rörliga delar i olika sammanhang kan agera som laddningsgeneratorer.
Exempel är: - transportband, kilremmar, - transportvagnar, rullstolar med gummi- eller neoprenhjul samt - bilar och andra fordon.
Gemensamt för dessa är att uppladdning sker via separationsrörelse. Om denna laddningsobalans inte utjämnas kontinuerligt kan höga spänningar byggas upp. Dessa kan leda till laddningsnivåer där laddningsspänning en lätt kan överstiga spänningshållfastheten med resulterande över- eller genomslag.
Ofta sker urladdning via hjulnav. Det har observerats att kontinuerliga gnisturladdningar sker i hjullager. Gnistan slår igenom det tunna isoleran de skiktet av smörjmedel inne i hjulets kullager och gnistorna gröper ur lagerbanorna. Detta förkortar hjullagrets livslängd.
ESD-urladdningar ger även störande ljud i t ex radio- eller audiosystem. Det finns exempel på radiostörning orsakad av ESD från fläktkilremmar i motorfordon.
En apparat består av metallåda innehållande ett tvålagers mikroproces sorkort med ett stort antal signal- och batterianslutningar. Överdelen av lådan är skruvad mot underdelen med fyra skruvar; en i varje hörn. Skar ven mellan lådhalvorna är miljötätad mot fukt. Se F igur C 25.
Redan vid 2 kV urladdningsspänning (ESD-provning) mot lådans överdel stannade processorn och enheten måste startas om. Minimikravet var 4 kV kontakturladdning. Flera svagheter i konstruktionen samverkar:
Överdelen visade sig vara helt isolerad från underdelen tack vare miljö packningen, både i skarven och under skruvskallarna.
Vi anslöt (snabbfix) en av skruvarna med ledande packning under skruv skallen och därmed skapade vi en, i detta fall, tillräckligt lågimpediv för bindelse mellan under- och överdel. Vi rekommenderade, naturligtvis, att anslutning av lådhalvorna helst skall ske i lådans hela periferi för ett mer EMC-riktigt utförande. Detta kan exempelvis ske med packning, som är både fukt- och EMI-tätande. Men glöm inte att ytbehandla spåret för packningen med en elektriskt ledande yta, t ex förtenning.
En lösning, som ger sämre marginal, är att på något mekaniskt sätt punkt vis (ju fler punkter desto bättre) säkerställa varaktig elektrisk kontakt mel lan lådhalvorna innanför miljöpackningen.
Här är en varning på sin plats: förlita er inte på skruvar och muttrar som
g
elektriska förband, även om de tillfälligt verkar bra. Med tiden försämras den elektriska kontakten pga oxider, smuts, olja mm! Fästelement är me kaniska komponenter, inte elektriska!
Förklaringen ligger i att ESD inte enbart är ett överspänningsproblem utan även ett högfrekvent fältproblem. ESD-urladdning mot den från underdelen isolerade överdelen orsakar en hastig potentialförändring mellan lådhalvorna och därmed ett kraftigt elektrisk fält med kort omslagstid inne i lådan. Emedan denna fältförändring sker på kortare tid än en ns kopplas relativt stora strömmar till olika komponenter på kretskortet.
Figur C 26 illustrerar förloppet: potentialen hos en isolerad eller icke till räckligt lågimpedivt ansluten lucka, ändras ju momentant till ESD-pul sens spänningstoppvärde; på baksidan av luckan genereras därför en kraf tigt E-fältpuls mot de oskyddade kretsarna.
Kopplingen är kapacitiv och kapacitansen mellan luckan och olika kom ponenter bestäms bl a av luckans och komponenternas fysiska dimensio ner samt avståndet dem emellan. Strömmen till en krets bestäms av
En mycket liten kapacitans (C) och en stor spänningsderivata (dU/dt) ger en relativt stor ström (IC), vilken oönskat styr aktiva kretsar. Exempel: C = 0,01 pF, U = 2 kV och t = 1 ns medför en 20 mA strömpuls med varak tighet lika med stigtiden, i detta fall en ns! Detta räcker mer än väl för att störa en krets!
ESD-urladdningsströmmen alstrar ett magnetfält vars frekvensspektra utbreder sig på alla frekvenser från 0 Hz till GHz-området. Magnetfält
från urladdningsströmmen, som, om den passerar från den ena lådhalv an till den andra via någon enstaka punktvis förbindelse, kopplar in i de oskyddade kretsarna. På grund av avsaknad av jordplan i kretskortet (två lagerskort) har kretsarna stora slingytor, som bildas mellan signalledare och återledare, vilket innebär relativt stora inducerade spänningar.
Ytterligare förbättring: inför jordplan på kretskortet.
ESD-fält från öppningar När en ESD-urladdning sker mot en metallåda, kommer laddningsspän ningen att driva en urladdningsström, som fördelar sig längst metallådans utsida. Strömmen sluts till ESD-spänningens referens (näraliggande jord, vid provning det jordplan som ingår i testuppställningen) via strökapaci tanser, detta oavsett om metallådan är galvaniskt förbunden med jord planet eller inte. Den eventuella galvaniska förbindelsen består ofta en relativt lång PE-ledare, som ses av ESD-strömmen som en hög impedans i jämförelse med strökapacitansernas låga reaktans.
Om lådan är elektriskt tätt så brukar det gå vägen utan att elektroniken blir påverkad inuti lådan. Finns det däremot öppningar och otäta skarvar i urladdningsströmmens väg, så måste strömmen avvika och flyta runt dessa öppningar. Detta genererar magnetfält på båda sidor av öppning arna och fältet inne i lådan kan påverka känsliga kretsar. Se Figur C 27.
ESD-inducerad störning Magnetfältet från en ström, t ex orsakad av en ESD-urladdning, induce rar spänning i slingor, se Figur C 28. Den inducerade spänningen (sling spänning) är proportionell mot fältförändrin gen:
Uslinga = dϕ / dt Detta går att utveckla till
Uslinga = 2 10 7 I topp A / (r t r) där
Itopp = toppströmsvärdet, A = slingytan, r = avståndet mellan strömbanan och slingan samt tr = omslagstiden eller stigtiden.
Vi ser att ju större yta (A) och kortare avstånd (r) det är mellan slinga och strömbana desto större blir den inducerade spänningen samt att kort omslagstid (t r) för strömmen ger högre spänning.
Detta var del två av det tredje EMC-kursavsnittet i vår kursserie med syfte, att ge olika yrkeskategorier inblick i och förståelse för vad EMC innebär och hur EMC uppnås. Syftet med detta kursavsnitt (del 1 + del 2) är, att ge tipps om hur man relativt enkelt kan förhindra att vanligt före kommande störningsfenomen uppstår samt vad som minst bör göras för att förbättra apparaters störningstålighet.
Fortsätt nu med självtest genom att välja svarsalternativ i Frågor och Svar. De rätta (eller mesta rätta) svaren hittar du längre fram i detta nummer av Electronic Environment.
Har du frågor eller synpunkter är du hjärtligt välkomna med dessa till info@breakastory.se. Vi utlovar inga personliga svar (även om det kan bli så), men vid behov publicerar vi tillrättalägganden. Vi uppskattar ditt engagemang!
Miklos Steiner redaktion@electronic.se Ulf Nilsson emculf@gmail.com1. Vilka är de naturliga störningskällor, som behand las i denna kurs??
A. Norrsken
B. Åska
ESD
EMC
Jordmagnetiska strömmar
2. Vilka är de generella skyddsmetoderna som används mot åska och ESD?
A. Åtgärda vid källan
Isolera
Leda förbi
3. Vilka är typer av apparater är mest utsatta för åsköverspänningar?
A. De som är anslutna till elnät, telenät eller kabel-TV-nät
B. De som samtidigt är anslutna till minst två av dessa nät: elnät, telenät eller kabel-TV-nät
C. Mobiltelefoner
D. Faxar
E. Datorer med inbyggt modem
F. Datorer och TV med bredbandsanslutning (fiber)
G. Trådlösa (fasta) telefoner
4. Hur skiljer sig åsköverspänningar från andra störningsfenomen?
A. De är mycket energirikare
B. Bandbredden är mycket mindre
C. Stigtiden
6. Vad är primärskydd?
A. Förhindrar överspänningar mellan olika till byggnaden inkommande kablar (CM) och mellan enskilda ledningar
B. Skyddar primärkretsen
C. Primärskyddet ansluts mellan avsedd kabelskärm eller ledare och jord, dvs byggnadens metallstruktur eller intagsplåt samt begränsar överspänningen till ett par kV, genom en tillfälligt ”kortslutning”
D. Varje apparat bör förses med primärskydd
7. Vad är sekundärskydd?
A. Skyddar apparaten lokalt ifall primärskydden inte ger tillräckligt skydd eller att överspänning uppstår pga inducerad spänning
B. Förhindrar överspänningar mellan faser och skyddsledare)
C. Skyddar sekundärkretsen för överspänningar
D. Varje apparat bör förses med sekundärskydd
8. Vad är ESD?
A. ESD står för Electro Static Discharge (urladdning av statisk elektricitet)
B. ESD-utladdning = inomhusåska
C. Störningar orsakade av dioder
D. Norrsken
9. Hur uppkommer statisk laddning?
A. Naturligt genom jonisering av luften
B. Naturligt genom bl a friktion, gnidning samt separation
C. Endast genom influens
D. Genom påverkan från en annan närbelägen laddad kropp eller genom influens av elektriskt fält
10. Vilka kroppar kan bli elektriskt uppladdade?
Människokroppen
Alla kroppar och föremål
Endast ledande föremål
Endast isolerande föremål
11. Vilka parametrar påverkar uppladdningsspänningen?
A. Människokroppen
B. Luftföroreningarna
C. Materialegenskaperna
D. Joner i luften
E. Den relativa luftfuktigheten F. Temperaturen
12. När kan en ESD-urladdning ske?
A. Om laddningsspänningen överskrider 10 000 volt
B. När ett laddat föremål kommer i kontakt med ett annat föremål med samma laddning
C. När ett laddat föremål kommer nära ett annat med annorlunda laddning
D. Inget av föremålen behöver vara jordat E. Minst det ena av föremålen behöver vara jordat
13. Vad kan bli effekten av ESD-urladdningar mot elektronik?
A. Värme.
B. Ljus
C. Känslig elektronik kan gå sönder pga överspänningar
D. Latenta fel, försvagning av kretsar eller parameterförändringar hos halvledare
E. Explosion
F. Dubbel elektromagnetisk störningseffekt: störningen fortplantar sig som ledningsbunden störning såväl som fältstörning
G. Störande ljud
14. Vilka är de vanligaste ESD-skyddsåtgärderna?
A. Förhindra uppladdning
B. Öka luftfuktigheten
C. Jorda: avled laddningar med gröngula ledare
D. Potentialutjämna genom att lågimpedivt foga ihop alla metalldelar samt undvik öppningar i skärmen
E. ESD-skydda på kretskorts- och apparatnivå
F. Förbjud nylon, fleece, plast, neopren och andra uppladdnings-benägna material
Rätta svar på sidan 30.
The conference had more than 600 participants from about 30 countries, over 160 papers plus workshops and a large exhibition. The overall im pression was that after having online conferences for two years due to the pandemic situation, EMC Europe 2022 was characterized by a large need of discussions in physical meetings.
This shows the need for physical meetings in technical and scientific discussions. On a conference, what is said between the sessions can be of at least the same importance than what is said in the presentations of scientific/technical contributions. The poster sessions were crowded the whole session times with a constant flow of questions and discussions.
Seven parallel workshop tracks were organised the first conference day. The workshops gained a large interest and in several of the rooms people were standing along the walls.
The workshop themes covered a large variety of areas. Examples of workshop themes were Automotive EMC, Reverberation chambers and test methodologies for wireless 5G Narrowband radio and mmWave app lications.
One of the workshops had the title “EMC on humans”. High exposure to electromagnetic fields is known to have adverse health effects on hu mans. Risk assessment in this area is based on two questions; “Which exposure will cause adverse effects in humans?” and “Which levels are we actually exposed to?”. The answers to these questions give guidelines on how to perform a sound risk management. The workshop dealt with these questions and gave an overview of the guidelines from the International commission on non-ionizing radiation protection (ICNIRP), as well as the European directive on the minimum health and safety requirements regarding the exposure of workers to the risks arising from electromag netic fields.
One workshop had the title “EMC Aspects of Electrification of the So ciety”. The background was the electromagnetic interference issues that are related to the increased electrification of the society. As an example, interference from solar-panels and charging of electrical vehicles might cause problems for wireless services. Results from interference measure ments from solar-panel installations were shown and the risks of interfe
rence from charging of electrical vehicles were discussed. How these risks are handled at Swedish airports were also presented.
The oral sessions gained large interest and were characterized by lots of questions and discussions. The largest area was Computational Electro magnetics and covered three sessions. The following areas covered two sessions each:
• Wireless technologies
• Shielding and filtering
• Reverberation chambers
• Measurements
Special sessions were organized for the themes “Risk-Based EMC” and “Stochastic Methods in EMC”.
A few examples of papers with innovative findings is given below.
Current Distribution in Flat Transparent Antennas Reuven Zemach1 , Zion Menachem2 , Jacob Assayag1 , Amir Gamliel3 , Motti Haridim4
1 Merchavim Institute of R&D in Negev; 2 Shamoon College of Engineering, Beer Sheva, Israel; 3 Investigations and Intelligence Dept., Israel Police, Jerusalem, Israel; 4 HIT- Holon institute of Technology, Israel
In this paper the properties of transparent antennas made of flat Indium Tin Oxide thin films is derived and their properties are analyzed.
One example of applications of such antennas might be for windows in cars. The methodology for finding the current distribution along such antennas for different values of the film conductivity is presented. It is shown that decreasing the conductivity of the radiating element leads to transition of the current distribution from cosine to exponential decay.
PCB without external measurement equipment. Additionally, we valida te the method in more practical situations, detecting the HT on popula ted PCBs. The method employs an on-chip touch sensor to measure the changes in electrical characteristics caused by HT insertion.
In this paper the possibility of using AI-based methods in PCB design is presented. A PCB design system enhanced with AI/ML moduules can support the optimal use of microelectronic components in the develop ment process. To do this, the PCB and circuit designer must be provided with AI-based suggestions for SI-compliant interconnection of compo nents in the early design phase. AI-based modules can also serve as a reference for engineers working in the selection of interconnect structu res in the pre-, concurrent-, and post-layout analysis phases but having little or no experience with signal integrity (SI). This paper shows from a practical point of view how to create ML modules for SI analysis. Selected ML modules (k-Nearest Neighbor (kNN) + Neural Network (NN – Keras) + Support Vector Regression (SVR)) for predicting design relevant SI parameters for PCB subnetworks are presented.
Best paper awards were given in the two categories “Regular paper” and “Student paper”. The winner in the category Regular was:
Accelerated Modal Network Synthesis for Arbitrary Interconnection Structures Through a Model-Order Reduction by a Static-Mode Extraction
Authored by
Hannes Schreiber and Marco Leone Otto-von-Guericke University, Magdeburg, Germany
The winner in the category Student was:
Switching Current Modeling Based on Register Transfer Level Logic Simulation for Power Side-channel Attack Prediction
Authored by
There have been reports of threats that cause electromagnetic informa tion leakage by inserting Hardware Trojans (HT) into the signal traces around components on the printed circuit board (PCB). In this threat, the HT insertion is assumed not only at the manufacturing stage but also during the in-transit or in the field after shipment, and the threat may extend to devices that are not considered to be threatened by HT insertion implemented inside conventional ICs. This paper discusses the detection method for the HT insertion, which is implementable on a
The Graduate School of Natural Science and Technology Okayama University, Okayama, Japan
Peter Stenumgaard EMC editor Electronic EnvironmentKnappa in din destination på ett elektroniskt tyg. Eller höj volymen med en 3D-printad sensor på ratten. Soplast från Portugal tar interiör en i din bil in i framtiden med hjälp av ultratunn och töjbar elektronik som kan integreras i de flesta material.
Säkerhetsensorer i bilbältet. Pekskärm i tyget. Eller volymkontroll i rundade sensorer på rat ten. UNIC2 från Soplast är precis vad det he ter – ett unikt koncept av ultratunn och töjbar elektronik som kan integreras i princip vilket material som helst.
– Konceptet bakom UNIC2 består av flera pa tent med extremt töjbar elektronik som för för sta gången nu kan användas för olika funktio ner i bilinteriörer. Den töjbara elektroniken ger obegränsade möjligheter att skapa elektroniska ytor på material som textil, läder, trä eller po lymerer, säger Henrique Rézio, vd för Soplast.
Sådant som tidigare har verkat omöjligt – som elektroniska textilier med roterande HMI-gräns snitt – är nu möjligt tack vare UNIC2. Oavsett
om det handlar om textil, plast eller någon form av specialmaterial kan den töjbara elektroniken integreras i materialet och på så sätt helt föränd ra utformningen av bilens interiör.
– UNIC2 är ett mässkoncept baserat på fram tidssäkrad teknologi, säger Henrique Rézio.
Soplast har över 30 års erfarenhet av att till verka innovativa och hållbara detaljer av poly mera material till fordonsindustrin och det är den kunskapen som har möjliggjort konceptet UNIC2. Och vem vet, kanske du själv inom en snar framtid sitter i en bil där GPS-kartan är snyggt integrerad rakt in i träpanelen?
– Konceptet gör det möjligt att tillverka sen sorer, användargränssnitt och pekskärmar för exempelvis rattar, mittkonsoler och reglage
i 3D-geometrier och med ultratunna töjbara kretsar som kan integrera LED eller mikro chips. Allt till en låg kostnad och utan behov av svetsning eller sintring, säger Henrique Rézio och fortsätter:
– Dessutom är den utskrivna elektroniken för första gången helt återvinningsbar vilket möjlig gör en ansvarsfull cirkulär ekonomi.
Det unika konceptet UNIC2 från Soplast –bland en mängd andra innovationer – finns att se på Subcontractor InnoDex under Elmia Sub contractor, 15–17 november.
Subcontractor InnoDex är en arena för indu strins alla produktutvecklare, konstruktörer och designer – en kunskaps- och inspirationsarena med utställningar och föreläsningar om nya ma terial, innovativa tekniker och kreativa processer.
I år har Subcontractor InnoDex fyra fokus områden: Materials for Green Energy, Circular Materials for Future Mobility and Design, Ad ditive High-Tech Applications samt Smart and Digital Materials
Källa: ElmiaVisökerständigtnya,duk�gamedarbetareochför�llfälletärdetEMC-ingenjörer ochprovningsingenjörerviletare�er.Låterdetlockande-kontaktaoss!
VisökerEMC-ingenjörersomharerfarenhetavelektronikutvecklingochgärnamedkunskap inomEMC-området,meningetkrav.Idi�arbetesåhjälperduvårakundergenomhela derasutvecklingsprocess,frånförstudie�llproduk�on.Arbetetärvarierandeochkanbestå avbl.a.rådgivningsuppdrag,simulering,utbildning,krav-ochlayoutgranskningarm.m.
Visökerprovningsingenjörmedintresseförteknikmedfördelinomelektronik/ mekanik.Arbetetskero�a�llsammansmedvårakunder.Meriterandeomduhar erfarenhetomprovning,meneje�krav.
Läsmeromtjänsternapå www.emcservices.se/jobba-hos-oss/
Abstract— In this paper, a large-scale RLC filter is proposed with the aim to suppress common mode (CM) noise that takes place within parallel conducting plates in high power systems. For this purpose, the filter model was created in COMSOL Multiphysics 6.0, run Maxwell’s equation for electric field in fre quency domain, and evaluated with good results in derived equations for CM transmission coefficients using CISPR 17 methods. The proposed structure with shielding enhanced the simulations CM noise (< - 25 dB) within the range of 1 MHz to 220 MHz. As an application, variations in phase (0°-180°) and amplitude device output obtained along frequency.
Index Terms – Electromagnetic Compatibility (EMC), Common Mode (CM), Power systems, Simulations, RLC Filters
Many research efforts have been indicated that the fast-switching behavior (high dv/dt and high di/dt) of semiconductor devices might cause electromagnetic noise radiated EMI and surge voltage [1]- [5]. Radiated EMI can be suppressed by reducing the common mode (CM) currents flowing from an excitation source [6]-[8]. In addition, the stray-induct ance and -capacitance are also one of most im portant factors for the surge voltage.
Several planar busbar designs have been pre sented in the literature for different applica tions [9]-[20]. For each bus bar type a suitable model to aid a designer was developed.
Inductors are important design considera tion when it comes to high power applications because they offer low losses, high frequency and provide a reduction of saturation magnet ic flux density due to temperature increase of their core [21]-[28]. This circuit component contributes weight, volume, and magnetic ma terials in core.
The attractiveness of using devices such as fast RF ferrite phase and amplitude modula tors that control the magnetic states of the fer rite is widely recognized [29]-[32].
Big rough objects physically spread out and it will affect how it behaves at high frequencies. Because there are large physical dimensions to the object here and it is insufficient to simulate in Spice (Simulation Program with Integrated Circuit Emphasis).
The article is organized in the following sec tions,
I. Introduction.
II. Design, build and optimize the device in COMSOL Multiphysics 6.0. Material se lection for components and structural op
timization. Electromagnetic shielding is es sential to the device. A current generating circuit is presented in LTspice.
III. Employing CISPR 17 methods to deter mine the CM transmission coefficients and thereafter estimate amplitude difference and phase difference at outputs. Maxwell’s equations for electric field are presented at the end of the section.
IV. The electric field distribution is determined to verify the effectiveness of the proposed model.
A 4-port simulation model including a RLC fil ter is created in COMSOL, as shown in Fig. 1. The filter consists of two busbars, a UU-shaped magnetic core, and two capacitors encased in a grounded shielding box such that the capac itors are coupled in series with their common connection connected via metallic sheets to the box forming a tailored capacitor-ground-ca pacitor (T-CGC with capacitors described in subsection E, see also Fig. 5). The capaci tors are connected to the busbars via metallic sheets. The T-CGC is placed in the grounded shielding box to offer protection from any EM interference. The UU-shaped magnetic core is joined by shielding A and shielding B (Fig. 1a(a) and 1(b), see also subsection B). The fil ter is placed in a 4-port simulation box model (section III, subsection A, a 4-port simulation model) to meet CISPR demands [15]. The bus bars are coupled by a parallel RLC circuit that has a characteristics RLC (Fig. 1(c), see also subsection F, 1 Ω, 14.61 uH, 85.15 pF). The UU-shaped magnetic core is positioned 400 mm from the shielding T-CGC box. The size of a busbar is 518.4 mm × 22.3 mm × 13 mm (subsection C). The shieldings are grounded condcutive.
(a)
Fig. 1 (a) A 4-port simulation model of the device. (b) A zoomed-in portion of the device displayes the shieldings A and B (violet color). (c) Rear portion: RLC circuit (square segment of size: ) connecting busbars (indicated by the arrow). The T-CGC is shown with capacitors in violet.
(a)
The effect of capacitive coupling from the elec tric filed of a busbar carrying CM noises onto a nearby busbar is an unwanted noise induced in the neiboring busbar. This electrical coupling of noise occurs is the capacitance between the bus bars. This capacitance limits the upper frequency band pass of the filter in the same manner as the mutual and self-inductances of the UU-shaped magnetic core determines its low frequency cut off. As the frequency of the exciting currents increase, the reactance caused by the capaci tance between the busbars tends to shunt these currents, therby limiting high frequency perfor mance. This capacitance is 20 pF (calculated by using equation (2)). To make this more efficient a shielding B is commonly interposed to cover the region where the core meets the busbars. The shielding B couples AC current from the one to other busbar. The compartment shielding B rep resents two capacitors that have the same size (15 mm x 20 mm) x .1 mm , the same dielectric X7R (εr = 2200) and the same capacitance 4.3 uF (equation (2)). The capacitors are attached at busbars in such a manner that the free surfaces on the capacitors are facing each other. The free surface of each capacitor is grounded. This im plies another T-CGC capacitor located between the busbars and surrounded by the core.
The basic bus bar structure used in this study is composed by two parallel Copper plates of resistivity 1.72 x 10 -8 [Ω.m], separated by a dielectric material with relative permittivity 1 [p.u.], relative permeability 1 [p.u.] and electri cal conductivity 5.998 x 107 [S.m -1].
the application is 1812CC224KAT2A (1812 X7R 10% 220nF 630V) that is recommended by the manufacturer. It can handle high volt age at high temperature in available space. It meets RoHS compliant and AEC-Q200 quali fications.
Fig. 3 shows the voltage-frequency, current-fre
Fig. 2. (a) Boost converter. T= 10 μs, L1 = 10 nH, C1 = 1 μF, R3 = 0.85 Ω R2= 1 Ω V3 = 400V, NOMS (Toshi ba, TK62N60X) and diode (ROHM, RFN30TS6D), switch model. The circuit is designed and simulated in LTspice. (b) current-time characteristics. (c) the real and imaginary parts of the complex current (Complex I)
Fig. 2 (a) shows a switch-controlled boost con verter designed to verify the performance of the device. It is shown that the circuit exhibits spike behavior (Fig. 2(b)). The NMOS turn-off volta ge spike is affected by not only the inductance L1 but also the diode forward recovery cha racteristics D2 under high voltage high current conditions. An oscillatory behavior of the per sistent avalanche current can be distinguished due to D2 (red arrow, Fig. 2 (b)). The NMOS has fall time 10 ns. Fourier transform is applied on the current-time curve to determine the real and imaginary parts of complex current using COMSOL. Fig. 2(c) shows the current with two stacked subplots, namely, a real part (current_ real) and an imaginary part (current_imag).
The T-CGC is placed in a shielding box to offer protection from any EM interference.
The shielding A is attached at the UU-shaped magnetic core is effective in reducing HF no ices passing through the UU-shaped magnetic core. The conformal shielding A is grounded conductive.
Standing wave at the resonant frequency of a transmission line produce unusual effect. When the signal frequency is such that exactly the wavelength λ /4 or some odd thereof match es the lines’ length [ref. 9 and references there in]. That’s a length for λ /4 = 500 mm for f = 150 MHz, where λ = c/f, c = 2.99792458 x 10 8 is speed of light, and f is frequency.
For a planar busbar with a length bigger than 1.5 times of the distance between the current sources on its long axis the effect of the busbar dimension is significant [10]-[13].
The UU-shaped magnetic core comprises two U-shaped magnetic cores that are combined as UU. The core is made of the iron powder de composition material -63 [27]. It is formed by spherical particles with onion skin structure.
The laminating effect of the onion skin pro duces resistivity of individual particles much higher than that of pure iron which on the other hand greatly enhances the high frequency per formance remaining extremely stable with fre quency, temperature, and applied signal level.
The -63 also have properties such as constant relative permeability of 35, high saturation magnetization of 14.1 kG and low core loss in high frequency range.
The capacitors Kyocera AVX offers small size of capacitors with X7R dielectric material that can handle high voltage at high temperature in available space. A component that suits for
quency, and Impedance-frequency characteristics for 1812CC224KAT2A (source: software SpiCalci10, Kyocera AVX).
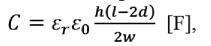
Consider the filter is connected across a load, i.e., a high-power battery pack. The load is modeled with a simple equivalent parallel cir cuit RLC that have the following characteris tics: 1) battery impedance (R) resembles a R = 1 Ω resistor at 400 V. The battery is not a resis tor so the analogy only applies to an eteremly small range around 400 V. 2) The inductance of battery cells can be determined by treating each row of cells like a busbar. Thus, the two rows of cells are equivalent to parallel busbars at a spacing d = 60.96 cm, the height of the busbar h = 20.193 cm, and the width of the busbar w = 17.272 cm. The expression for inductance of the busbars in this configuration is given as
(1)
This gives inductance in H per meter loop length. Substituting the values, for a l = 548.64 cm loop length, inductance 4.36 μ Η. the total inductance is, therefore, 14.61 μ Η. 3). The ca pacitance of a busbar is then ~138.45 pF, ob tained by,
(2)
where assuming ε r = 60 for an alkaline electro lyte cell (< ε r = 80 for water),
[As/Vm].
A.CISPR 17, S-parameters
CISPR 17 provides a method for estimating suppression characteristics of EMC filtering devices [15]. According to CISPR 17, charac g
teristics of a four ports filter can be evaluated in term of four-port S-parameters using the simulation model as shown in Fig. 4.
(11) (12) (13) and (14)
The frequency response to excitations comprises, 1. Amplitude difference, S 21 - S 41 (15)
Fig. 6. shows the results for S cc21 as a superposi tion of S 21 and S 41 for the busbars when subject ed to incident sinus waves (1 V) at port 1. It can be seen from Fig. 6 the lower the input frequen cy the higher will be the attenuations ( < - 25 dB) along frequency. The shielding B with 86% the area of the original configuration causes its capacitance to vary to a lower value further shifts the pick at 190 MHz towards 220 MHz and affects the quality of signal by -5 dB (< -20 dB, not shown here).
Fig. 4. A 4-port simulation model [15].
We consider that common mode signals are applied to port 1 and port 3. We drive two ex pressions for S1 and S3 parameters as the fol lowing,
1. The wave excitation is ON at port 1 and OFF at other ports (2,3,4), S1 = ½(S11+S21+S 31+S 41) (3)
2. The wave excitation is ON at port 3 and OFF at other ports (1,2,4), S 3 = ½(S13+S23+S 33+S 43) (4)
where, S 11 and S 22 are reflection coefficients, S ij are transmission coefficients (ports: i, j = 1, 2, 3, 4 and i ≠ j)
The common mode transmission coefficient Scc21 is defined as superposition of equations (3) and (4), S cc21 = ½(S21+S 41+S 23 +S 43) = S 21+S 41 (5)
The feed inputs and the load end of the busbars are connected to 25 Ω terminations as common mode port references.
B.Maxwell equations for the field
The electromagnetic wave equation for electric field E in frequency domain is expressed by, (6)
with boundary conditions, (7)
where, ε r is relative permittivity [p.u.], σ rela tive conductivity [1/(Ω.m)], ω angular velocity [rad.s -1], and µr is relative permeability in mag netic core is given in the following expression:
2. Phase difference: if(arg(S 21) - arg(S 41) < 0, arg(S 21)arg(S 41) + 360 [deg], arg(S 21)arg (S 41)) x 180°/π. (16)
The S parameters are obtained by solving equa tion (6) in COMSOL, imposing boundary con ditions at the walls of the filter (equations (7)) and parameters (equations (6)-(14)). In the re sults, the signal being applied is sinus with am plitude (1 V) onto either port 1 or 3. Other ports (2 and 4) are not excited. The parameters S are included into equations (15) and (16) to simu late Amplitude difference and Phase difference.
The structure is decomposed into small sub structures (Normal mode mesh, Normal mode: (1) Maximum element size: 54.1 mm, 2) Mini mum element size: 9.73 mm, (3) Maximum ele ment growth rate: 1.5, (4) Curvature factor: 0.5, (5) Resolution of narrow regions: 0.5.). SMA connectors are used as part of an external inter face (Fig. 5).
Fig. 7(a) and Fig. 7(b) show the current - fre quency and voltage - frequency characteristics respectively as the simulation results for the T-CGC capacitors. The voltage generated over a capacitor is equal to the integral of electric field induced between the plates of a capacitor.
(8)
where, index z is chosen to coincide with the direction of the permanent magnetic field Hz produced by an external source [33]-[35],
(9)
, the gyromagnetic ratio (10)
Fig. 7. (a) Voltage v.s. Frequency. (b) Current v.s. Frequency.
Impedance & ESR VS. Frequency characteris tics in Fig. 3 are used to determine the current.
As can clearly be seen from Fig. 7(a) and Fig. 7(b), the values of voltage and current are below those corresponding values in Fig. 3.
Fig. 8 displays the spatial distribution of the electric field for frequencies (25 MHz, 190MHz, 220 MHz), when subjected to incident signals defined in Fig. 2(c). A large area covers extreme ly low fields for almost all frequencies as can be easily seen in Fig. 8, in good agreement with Fig. 6. Electric fields tend to cover the whole region at frequency of around 190 MHz.
Fig. 9 displays the amplitude and phase imbal ance between S 21 and S 41 coefficients. As can be seen, S 41 becomes more significant as compared to S 21 at frequency 40 MHz. No shift in phase difference appears below frequency 40 MHz and so on until the shift increases linear up to
180 degrees, i.e., sin(Ө) = – sin(180 0 + Ө) at 210 MHz. It demonstrates a multi-purpose device operating in parallel as a RLC filter and a fast RF phase and amplitude modulator.
A multi-purpose large-scale device (-a RLC filter and a phase and amplitude modulator-) has been proposed comprising two busbars, a UU-shaped magnetic core, and a T-CGC. Fara day shielding is also used to provide protection against interfering signals. The advantages of the proposed design can be summarized as fol lows,
• The model has been implemented successfully in COMSOL.
• An equivalent parallel RLC circuit model to a battery pack to model and simulate, applied to load, and evaluate the performance of the device.
• CISPR 17 provided a method for estimating the S-parameters for CM.
• Inhanced suppression of CM using grounded shieldings. The shieldings offer con tin uous rejection of CM noise. Significant improvment of attinuations ( < -25 dB) achieved in long frequency range between 1 MHz – 220 MHz.
• Using magnetic iron material with properties remaining extremely stable with relative permeability, frequency, temperature, and applied signal level. Using low capacitance ceramic capacitors use X7R dielectric ma terial that can handle high voltage at high temperature in available space.
• An approach for design optimization of busbars, and spatial positioning of the core.
• The device acts both as a RLC filter and as a phase and amplitude modulator. The core shielding effect is approved to be the reason for phase shifts.
Some improvements are considered by the au thor,
• Implementing laminated busbars in the design…
• Replacing -63 material with other materials (Ferrites, Amorphous, Nanocrystalline).
• Using COMSOL optimization simulation tools to improve the structure of the device.
• The model can be used for further frequencies and different materials.
IGBT Based NPC Topologies and Two Level SiC MOSFET Based Topology for High Speed Drives,” Energies 2019, 12, 4571; doi:10.3390/ en12234571
4. J. Meng, W. Ma, Q. Pan, L. Zhang, and Z. Zhao “Multiple Slope Switching Waveform Approximation to Improve Conducted EMI Spectral Analysis of Power Converters,” IEEE Trans. on Eelectromagn. Compat. , VOL. 48, NO. 4, Nov. 2006
5. S. Park, and T. M. Jahns, “Flexible dv=dt and di=dt Control Method for Insulated Gate Power Switches,” IEEE Trans. on Industry Applications, vol. 39, no. 3, May/Juni. 2003
6. G. Giglia, G. Ala, M. C. Di Piazza, G. C. Giaconia, M. Luna, G. Vitale and P. Zanchet ta, “Automatic EMI Filter Design for Power Electronic Converters Oriented to High Power Density,”, Electronics 2018, 7, 9; doi:10.3390/ electronics7010009
7. E. Rondon-Pinilla, F. Morel, C. Vollaire, and J.-L. Schanen, “ Modeling of a Buck Convert er With a SiC JFET to Predict EMC Conucted Emissions,” IEEE Trans. on Power Electron ics , vol. 29, no. 5, May 2014
8. J. Yao, Y. Li, S. Wang, X. Huang, and X. Lyu, “Modeling and Reduction of Radiated EMI in a GaN IC-Based Active Clamp Flyback Adapter,” IEEE Trans. on Power Electronics, vol. 36, no. 5, May 2021,”
9. M. C. Caponet, F. Profumo, R. W. De Don cker, and A. Tenconi, “Low Stray Inductance Bus Bar Design and Construction for Good EMC Performance in Power Electronic Cir cuits,” IEEE Trance. on Power Eelectronics , vol. 17, no. 2, March 2002
10. J. Wang, B. Yang, J. Zhao, Y. Deng, X. He, and X. Zhixin, “Development of a compact 750KVA three-phase NPC three-level univer sal inverter module with specifically designed busbar” 2010 Twenty-Fifth Annual IEEE Applied Power Electronics Conference and Exposition (APEC), 18 March 2010, Palm Springs, CA, USA Charlotte, NC, USA
Fig. 8 E-filed distribution for frequencies (25 MHz, 190 MHz, 220 MHz). No SMR connectors shown here.
• Further works to make: understanding the accompanying differential mode effect and how to eliminate it, a bi-directional large scale RLC filter, following the lumped stray inductance model proposed by [9] where length of busbars and fall times of NMOS transistor revealed in the context.
1. [K. Drobnic, G. Grandi, M. Hammami, R. Mandrioli, M. Ricco, A. Viatkin, and M. Vu jacic, “An Output Ripple-Free Fast Charger for Electric Vehicles Based on Grid-Tied Modular Three-Phase Interleaved Converters,” IEEE Trans.on Industry Applications , vol. 55, no. 6, Nov./Dec.2019.
2. X. Hu, W. H. Siew, M. D. Judd, A. J. Reid, and B. Sheng “Modelling of High-Frequency Current Transformer Based Partial Discharge Detection in High-Voltage Cables,” IEEE Trans, on Power Delivery, vol. 34, no. 4, Aug. 2019
11. H. Yu, Z. Zhao, T. Lu, L. Yuan, and S. Ji, “Laminated Busbar Design and Stray Param eter Analysis of Three-level Converter Based on HVIGBT Series Connection,” 2015 IEEE Applied Power Electronics Conference and Exposition (APEC), 11 May 2015
12. F. Zare, and G. F. Ledwich, “Reduced Lay er Planar Busbar for Voltage Source Inverters,” IEEE Trans. on Power Eelectronics , vol.. 17, no. 4, July 2002
13. C. Chen, X. Pei, Y. Chen, Member, and Y. Kang, “Investigation, Evaluation, and Optimi zation of Stray Inductance in Laminated Bus bar,” IEEE Trans. on Power Electronics, vol. 29, no. 7, July 2014
14. Z. Wang and G. Chen, “Study on Planar Busbar Regarding Stray Inductance Minimiza tion and Oscillation Suppression for High Pow er Converter,” 2009 IEEE International Con ference on Sustainable Power Generation and Supply, 04 December 2009, Nanjing, China
15. CISPR 17:2011, international standard, Methods of measurements of the suppression characteristics of passive EMC filtering device
Fig. 9. Imbalance representing Amplitude diffe rence (blue line) and Phase difference (green line, degree).
3. J. Loncarski, V. G. Monopoli, R. Leuzzi, L. Ristic, and F. Cupertino, ” Analytical and Simulation Fair Comparison of Three Level Si
16. Z. Wang, Y. Wu, M. H. Mahmud, Z. Yuan, Y. Zhao, and H. A. Mantooth, “Busbar Design and Optimization for Voltage Overshoot Miti g
gation of a Silicon Carbide High-Power ThreePhase T-Type Inverter” IEEE Trans. on Power Electronics , vol. 36, no. 1, January 2021
17. H. Wen, and W. Xiao, “Design and opti mization of laminated busbar to reduce tran sient voltage spike,” 2012 IEEE International Symposium on Industrial Electronics , 12 July 2012, Hangzhou, China
18. Z. Y. Feng, Z. Zheng, and T. H. Jun,” Study on The Impact of LayerNumber on Stray Inductanceof Busbar,” Applied Mechan ics and Materials . Online: 2013-06-13 ISSN: 1662-7482, Vols. 321-324, pp 1439-1442 doi:10.4028/www.scientific.net/AMM.321324.1439 © 2013 Trans Tech Publications Ltd, Switzerland
19. C. Chen, X. Pei, Y. Shi, X. Lin, X. Liu, and Y. Kang, “Modeling and Optimization of High Power Inverter Three-layer Laminated Busbar,” 2012 IEEE Energy Conversion Con gress and Exposition (ECCE), 12 Nov. 2012 Raleigh, NC, USA
20. A. Hino, and K. Wada, “Resonance Anal ysis for DC-Side Laminated Bus-Bar of a High Speed Switching Circuit,”, Conference: Future Energy Electronics Conference (IFEEC), 2013 1st International Nov. 2013
21. W. Shen, F. (Fred) Wang, D. Boroyevich, and C. W. Tipton, “ Loss Characterization and Cal culation of Nanocrystalline Cores for High-Fre quency Magnetics Applications,” IEEE Transe. on Power Electronics, vol. 23, no. 1, January 2008
22. N. Igarashi, M. Uozumi, T. Kosuge, A. Sato, K. Kusawake and K. Yamaguchi, “Pure Iron Based Soft Magnetic Composite Core That Enables Downsizing Automotive Reactors,” SEI TECH NICAL REVIEW, no. 80 · April 2015 · 103
23. T. E. Salem, D. P. Urciuoli, V. Lubomir sky, and G. K. Ovrebo “Design Considerations for High Power Inductors in DC-DC Convert ers”APEC 07 - Twenty-Second Annual IEEE Applied Power Electronics Conference and Exposition , 07 May 2007 Anaheim, CA, USA
24. Y. Itoh, S. Kimura, J. Imaoka, and M. Yamamoto “Inductor loss analysis of various ma terials in interleaved boost converters” 2014 IEEE Energy Conversion and Exposition (ECCE), 13 November 2014 Pittsburgh, PA, USA
25. W. H. Martinez,and C. A. Cortes “High power density interleaved DC-DC converter for a high performance electric vehicle” 2013 Workshop on Power Electronics and Power Quality Applications (PEPQA), 30 Sep. 2013 Bogota, Colombia
26. Magnetics – Division of Spang & Compa ny. “Magnetic Cores for Switching Power Sup plies”, pp. 1-8. 2009.
27. https://www.micrometals.com/ 28. https://www.mag-inc.com/Products/TapeWound-Cores/Amorphous
29. A. Abuelm’atti, J. Zafar, I. Khairuddin, A. A. A. P. Gipson, A. Haigh, and I. Morgan “Variable toroidal ferrite phase shifter,” IET Microw. Antennas Propag., vol. 3, Iss. 2, pp. 242-249, 2009.
30. B. Lax, K. J. Button, and L. M. Ropth “Ferrite Phase Shifters in Rectangular Wave Guide,” Journal of Applied Physics, vol. 25, no. 11, Nov. 1954.
31. B. Foster, I. Gonin, T. Khabiboulline, and A. Makarov “High Power Phase Shifter,” Pro ceediongs of the 2005 Particle Accelerator Conference, 16-20 May 2005, Knoxville, TN, USA, DOI: 10.1109/PAC.2005.1591385
32. D. Valuch, H. Frischholz, and J. Tuck mantel “First results with a fast phase and amplitude modulator for high power RF appli cation,” Proceedings of EPAC 2004, Lucerne, Switzerland.
33. K. S. Elassy, M. A. Rahman, N. S. Yama, W. A. Shiroma, and A. T. Ohta, “Complex Permittivity of NaOH Solutions Used in Liq uid-Metal Circuits,” IEEE Access Oct. 2019; doi:10.1109/ACCESS.2019.2945773
34. C. Kittel “On the Theory of Ferromagnetic Resonans Absorption,” Physical Review, vol. 73, no. 2, Jan. 15 1948.
35. T. L. Gilbert, “A phenomenological Theory of Damping in Ferromagetic Materials ,” IEEE Trans. On Magnetics , vol. 40, no. 6, Nov. 2004.
36. P. S. Epstein, “Theory of Wave Propaga tion in a Gyromagnetic Medium,” Reviews of Modern Physics , vol. 28, no. 1, Jan. 1959.
Zackary Chiragwandi EMC Services Elmiljöteknik ABMedlemsmöte under konferensen EMC Europe. Denna höst hände det igen: en utomordentligt lyckad EMC-konferens i Göteborg! Denna tillställning beskrivs nog mer i detalj i resten av den här tidningen, så jag nämner inga mer detaljer här. Men eftersom många hade rest dit, så passade vi förstås på att ha ett eget kvällsmöte inom IEEE EMC Sweden.
Förutom att det var väldigt trevligt att träffa grupperingen vid sidan om allt vimmel denna vecka, så hade vi även en presentation om ett angeläget ämne som gärna sopas under mattan: vad händer om blixten slår ner i din solcellsan
läggning? Vår erfarne EMC-expert Ulf Nilsson har hållit i ett diskussionsforum om detta ämne under året, och han gjorde nu en förtjänstfull sammanställning av vad som hänt. Detta blev en väldigt bra grund för en aktiv diskussion under kvällen om hur man ska konstruera för att undvika att åskan skapar en oönskad kol bana genom din nyköpta utrustning. Hur gör man bäst, och hur ska användarna (= köparna = ägarna = anläggningsansvariga) som inte kan förväntas vara kunniga i ämnet, informeras? Kanske vi snarare ska se det som så, att när ni ändå håller på och lägger upp en metallstruk tur på taket – passa på att koppla ihop det till en effektiv nedledare för blixt och utnyttja sit uationen?
Framtida aktiviteter
Nästa gång kommer vi att träffas på vårt årsmöte 22 november via Teams. Vi kommer i samband med detta ha en presentation om vad man ska tänka på när man bygger EMC-labb.
Om ni är intresserade av exakt var, när och hur – lista er på utskicksmailet!
Dvs: ni som läser detta, men inte är med på våra utskick – maila till mig så lägger jag till er med en gång! Utskicken är gratis.
I SAMBAND MED att jag träffade på en erfaren EMC-expert nyligen så kom vi att diskutera att vi båda observerat hur olika marknadsförutsätt ningar kan ha direkt påverkan på hur EMC-ar betet genomförs vid produktutveckling. Två yt terlighetssituationer i marknadsförutsättningar kom upp som exempel på detta.
DEN ENA SITUATIONEN karakteriseras av att kost naden för EMC-åtgärder inte är kritisk för den färdiga produktens marknadsförutsättningar. Exempel kan vara produkter som upphandlas inom området försvar och säkerhet där höga krav på funktionalitet och säkerhet gör att sä kerhetsmarginaler i olika EMC-egenskaper är viktiga och som man då får betalt för. Detta kan även leda till att man inte lägger så stor kraft på att i grunden se till att EMC egenskaper opti meras i den grundläggande designen, utan man löser EMC-kraven genom att hantera symto men. Detta kan innebära att man använder ka belskärmar, filter och packningar istället för att i sin grunddesign från kretskortsnivå och uppåt bemödar sig om att minimera risker för stör ningsproblem. Även kvarstående EMC-problem som upptäcks när produkten kommit i använd ning löses med symtomeliminerande åtgärder i efterhand. Litet slarvigt skulle man kunna säga att EMC-frågor i sådana fall tillåts lösas med
plånboken, men det kan samtidigt ses som en metod som ligger inom ramen för produktens grundläggande marknadsförutsättningar.
DEN ANDRA YTTERLIGHETEN karakteriseras av att produkten finns på en hårt konkurrensutsatt marknad där man har mycket höga krav på funktionalitet och säkerhet samtidigt som varje extra komponent såsom kondensator, EMC-fil ter eller kabelskärm måste kunna motiveras ur kostnadssynpunkt. Detta innebär samtidigt att det inte ur kostnadssynpunkt är möjligt att hantera osäkerheter i EMC-egenskaper genom att bygga in stora marginaler i sin design. Ett typiskt område är här fordonsindustrin. For donsindustrin är en marknad där konkurrensen är mycket hård samtidigt som goda EMC-egen skaper är av yttersta vikt för att kunna sälja sin produkt. Ett stort antal system ska integreras på en plattform med begränsad yta. Samtidigt ska ett stort antal trådlösa system integreras utan att något av dessa störs av fordonets övriga elektroniksystem. I en sådan bransch kan man inte slentrianmässigt hantera EMC-problem ge nom att enbart ge sig på symtomen efterhand som de upptäcks under produktutvecklingen. Här måste man istället börja redan i arkitek turen och designen av de elektroniska systemen för att integrationen i ett fordon ska kunna ge
nomföras utan kvarstående EMC-problem. Hur man väljer att lägga jordplanen i kretskort och vilken förläggning av kablage som väljs kan ha avgörande betydelse för om man behöver an vända skärmad kabel och särskilda EMC-filter i slutändan. Just fordonsindustrin har kommit att bli ledande inom ett antal EMC-frågor de senas te decennierna. Detta torde vara en direkt effekt av den marknadssituation man befinner sig i. I motsats till den andra ytterligheten ovan så är metoden att lösa EMC-problem med plånboken inte en option i denna bransch.
MARKNADSFÖRUTSÄTTNINGARNA HAR SÅLEDES direkt påverkan för hur EMC-området utvecklas fram åt och är avgörande om drivkraften blir att i så stor utsträckning som möjligt att söka innovati va tekniker för att i grunden bygga bort orsaker till EMC-problem.
Peter Stenumgaard EMC-redaktörWELCOME TO the major European confe rence on Electromagnetic Compatibili ty, EMC Europe 2019, 2-6 September in Barcelona. An enchanting seaside city with boundless culture, extraordinary ar chitecture and a world-class gastronomic scene.
in the advances and applications in the field of Vehicle Technology and Intelligent Transport Systems.
conference focuses on innovative applications, tools and platforms in all technology areas such as signal processing, wireless communications, informatics and electronics, related to diffe rent kinds of vehicles, including cars, off-road vehicles, trains, ships, underwater vehicles, or flying machines, and the intelligent transportation systems that connect and manage large numbers of vehicles, not only in the context of smart cities but in many other application domains.
EMC Europe 2019 focuses on the high quality of scientific and technical contri butions providing a forum for the ex change of ideas and latest research results from academia, research laboratories and industry from all over the world.
The symposium gives the unique oppor tunity to present the progress and results of your work in any EMC topic, inclu ding emerging trends. Special sessions, workshops, tutorials and an exhibition will be organized along with regular ses sions.
22-25 MAY, 2023
THE JOINT APEMC and INCEMIC 2023 will be held as an on-site conference May 22-25, 2023 in Bengaluru, the Garden City of india. The venue will be Sheraton Grand, Bengaluru. This will mark the 14th edition of APEMC, and the 16th edition of INCEMIC. The event will be jointly organized by the IEEE EMC Chapter, Beng aluru, and the Society of EMC Engineers, India (SEMCEI). The symposium will continue the APEMC spirit to engage and address the worldwide EMC community with a primary focus on the Asia-Pacific region.
IT IS A GREAT pleasure and honor for us to invite you to the 12th IEEE International Workshop on the Electromagnetic Compatibility of Integrated Circuits (EMC COMPO) to be held in Hangzhou, China, Oct. 21-23, 2019.
The symposium will recognize innovations and technology leadership through Best Symposium Paper Award, Best Poster Award and Best Student Paper Award. The scope of the symposium will encompass the entire spectrum of electromagnetic com patibility, electromagnetic environment, and signal and power integrity.
The symposium Technical Program Committee invites you to submit your original and unpublished papers in all aspects of electromagnetic compatibility (EMC) as well as signal and power integrity (SI/PI), including but not limited to EMC/SI/PI design, modeling, management, measurements and education. All accepted papers will be published online att the IEEE Xplore. Plan ahead and join this unique sympo sium, meet international colleagues, present your latest research findings, share your insight and perspectives, ask questions, learn from experts and innovators, explore collaborations, visit exhibitors and see new products.
Since the first IC EMC Workshop is incepted in 1999 in Toulouse, France, it has been held 10 times in Europe and one in Japan, the 12th EMC COMPO is the first time held in China. It will continue the EMC COMPO spirit and address the world-wide EMC issues pri mary in IC EMC community, the 12th EMC COMPO will serve as a broad exchange platform for both
Contact: info.emceurope@upc.edu
mit your original and unpublished netic compatibility (EMC) as well as signal and power Integrity (SI/PI), SI/PI design, modeling, manage ment, measurements, and education.
Paper Submission Deadline: December 31, 2022
of Acceptance: February 15, 2023
Paper Submission Deadline: April 15, 2023 Website: apemc-incemic-2023.org Contact: Apemc.incemic.2023@gmail.com
Please plan ahead and join this unique symposium, meet interna tional colleagues, present your latest research findings, share your insight and perspectives, ask questions, learn from experts and innovators, explore collaborations, visit exhibi tions and see new products.
IT WAS WONDERFUL seeing so many of you in person (finally!) during the Spokane symposium. As we now move forward on the plans for next year’s event in Grand Rapids, Michigan, the IEEE EMC Society, is looking forward to having you join us from July 31 to August 4, 2023. The success of this year’s symposium events and activities demonstrated that even though it was a time period of 3 years from the last in-person event (2019) to this year’s, we were able to carry on with much of the things that our symposiums have been able to deliver and we were able to establish new initiatives that we believe can serve us in the future.
The 2023 symposium committee knows that you will be very pleased with the “Grand Rapids Experience”! The city is physically located in a beauti ful area of Michigan, and has a transportation infrastructure that makes it accessible from anywhere. Grand Rapids’ is now home to established com panies and many “startups” that are on the forefront of today’s technology. Its close proximity to Southeast Michigan allows significant interaction with the people, programs, and revolutionary developments that are taking place in the automotive industry.
The Symposium will feature technical sessions, interactive workshops/tuto rials, standards sessions, experiments and demonstrations, technical exhibi tion, as well as social events that provide valuable opportunities to network and continue on the successes from this year’s event.
ORGANIZERS OF LEADING International Symposium on electromag netic compatibility in Europe are very pleased to invite and encoura ge all those working in the field of electromagnetic compatibility to Krakow for the EMC Europe 2023 symposium. Conference covers the entire scope of electromagnetic compatibility including emerging technologies.
Prospective authors are invited to submit original papers on their latest research results focusing on all EMC aspects.
The intent of EMC Europe 2023 organizers is to create an excel lent forum for useful contacts and exchange of scientific and technical information between researchers and practicing engineers from aca demia, research laboratories, industry and government agencies. The symposium gives the unique opportunity to present the progress and results of their work and to exchange ideas, discuss different points of view and share experiences with colleagues involved in EMC.
EMC Europe 2023 will be held in Krakow in the Conference Center of the Qubus Hotel****, located next to city center (1,5 km to the Market Square), from September 4th till September 8th 2023. EMC Europe 2023 is composed of 5-day oral and poster presentations, workshops, tutorials, special sessions, short-courses, industrial forum and technical exhibition.
Paper submission extended deadline: February 13, 2023
Submission of proposals for workshops and tutorials: March 15, 2023
Notification of acceptance: April 30, 2023 Website: emceurope2023.org Contac: info@emceurope2023.org
1. Vilka är de naturliga störningskällor, som behandlas i denna kurs?
Svar:
B. Åska C. ESD
2. Vilka är de generella skyddsmetoderna som används mot åska och ESD?
Svar: B. Isolera C. Leda förbi
3. Vilka är typer av apparater är mest utsatta för åsköverspänningar?
Svar:
B. De som samtidigt är anslutna till minst två av dessa nät: elnät, telenät eller kabel-TV-nät
D. Faxar
E. Datorer med inbyggt modem G. Trådlösa (fasta) telefoner
4. Hur skiljer sig åsköverspänningar från andre störnings fenomen?
Svar:
A. De är mycket energirikare
B. Bandbredden är mycket mindre C. Stigtiden för en blixtströmspuls är ca 0,1 – 1 μs
5. Möjliga åtgärder mot åska?
Svar:
A. Koppla bort alla anslutna kablar från apparater C. Åskledare bör installeras på byggnader och master
D. Primärskydd på till byggnaden inkommande kablar
Metallmantlade kablar och metallrör ansluts till intagsplåten
6. Vad är primärskydd?
Svar:
A. Förhindrar överspänningar mellan olika till byggnaden
kablar (CM) och mellan enskilda ledningar (DM)
C. Primärskyddet ansluts mellan avsedd kabelskärm eller le dare och jord, dvs byggnadens metallstruktur eller intagsplåt samt begränsar överspänningen till ett par kV, genom en tillfälligt ”kortslutning”
7. Vad är sekundärskydd?
Svar:
A. Skyddar apparaten lokalt ifall primärskydden inte ger tillräckligt skydd eller att överspänning uppstår pga inducerad spänning
B. Förhindrar överspänningar mellan faser och skyddsledare
Varje apparat bör förses med sekundärskydd
8. Vad är ESD?
Svar:
A. ESD står för Electro Static Discharge (urladdning av statisk elektricitet)
B. ESD-utladdning = inomhusåska
9. Hur uppkommer statisk laddning?
Svar:
B. Naturligt genom bl a friktion, gnidning samt separation
D. Genom påverkan från en annan närbelägen laddad kropp eller
fält
Svar:
A. Människokroppen
C. Materialegenskaperna
D. Joner i luften
E. Den relativa luftfuktigheten
12. När kan en ESD-urladdning ske?
Svar:
C. När ett laddat föremål kommer nära ett annat med annorlunda laddning
D. Inget av föremålen behöver vara jordat
13. Vad kan bli effekten av ESD-urladdningar mot elektronik
Svar:
C. Känslig elektronik kan gå sönder pga överspänningar
D. Latenta fel, försvagning av kretsar eller parameterförändringar hos halvledare
F. Dubbel elektromagnetisk störningseffekt: störningen fortplantar sig som ledningsbunden störning såväl som fältstörning G. Störande ljud
14. Vilka är de vanligaste ESD-skyddsåtgärderna?
Svar:
A. Förhindra uppladdning
B. Öka luftfuktigheten
D. Potentialutjämna genom att lågimpedivt foga ihop alla metalldelar samt undvik öppningar i skärmen
E. ESD-skydda på kretskorts- och apparatnivå F. Förbjud nylon, fleece, plast, neopren och andra uppladd nings-benägna material
Electronic Environment överbygger kunskap inom specifika elektronikområden – mellan myndigheter, högskola och universitet samt näringslivets aktörer. Det kan vi göra tack vare ett stort intresse och engagemang från många duktiga skribenter och deras organisationer. Sedan tidningens första utgåva 1994 har ett stort antal skribenter bidragit med sin kunskap, till mångas glädje och nytta. Här presenterar vi våra skribenter de senaste åren, och i vilka nummer du kan läsa deras bidrag. Ett stort tack till er alla som bidragit genom åren till tidningens utveckling! Dan Wallander / ansvarig utgivare
Michel Mardiguian
Teknikredaktör EMC Consultant
1/2016, 2/2016, 3/2016, 4/2016, 1/2017, 2/2017, 3/2017, 4/2017, 2/2018, 3/2018
Miklos Steiner
Teknikredaktör Electronic Environment
1/2016, 2/2016, 3/2016, 4/2016, 1/2017, 2/2017, 3/2017, 4/2017, 1/2018, 2/2018, 3/2018, 4/2018, 1/2019, 2/2019, 3/2019, 4/2019, 1/2020, 2/2020, 3/2020, 4/2020, 1/2021, 2/2021, 3/2021, 4/2021, 1/2022, 2/2022, 3/2022
Teknikredaktör
FOI – Swedish Defence Reasearch Agency
1/2016, 2/2016, 3/2016, 4/2016, 1/2017, 2/2017, 3/2017, 4/2017, 1/2018, 2/2018, 3/2018, 4/2018, 1/2019, 2/2019, 3/2019, 4/2019, 1/2020, 2/2020, 3/2020, 4/2020, 1/2021, 2/2021, 3/2021, 4/2021, 1/2022, 2/2022, 3/2022
Ulf Nilsson Electronic Environment
2/2021, 3/2021, 4/2021, 1/2022 2/2022, 3/2022
Andreas Westlund Volvo Car Corporation 3/2017
Bengt Vallhagen
Saab Aeronautics, Saab AB 3/2016, 2/2019
Björn Bergqvist
Volvo Cars 4/2016, 3/2017
Christer Karlsson Ordf. Swedish Chapter IEEE EMC RISE
2/2016, 3/2016, 4/2016, 1/2017, 2/2017, 3/2017, 4/2017, 1/2018, 2/2018, 3/2018, 4/2018, 2/2019, 3/2019
Carl Samuelsson Saab Aeronautics, Saab AB 3/2016, 2/2019
Daniel Eidenskog FOI – Swedish Defence Reasearch Agency 1/2018
Erik Axell FOI – Swedish Defence Reasearch Agency 1/2018
Farzad Kamrani FOI – Swedish Defence Reasearch Agency 1/2018
Gary Bocock XP Power 4/2020
Giovanni Frezza Molex 2/2018
Gunnar Englund GKE Elektronik AB 2/2017, 4/2018
Hans Grönqvist RISE IVF AB 2/2020
Henrik Olsson Elsäkerhetsverket 1/2019
Henrik Toss RISE Safety and Transport 3/2017
Ingvar Karlsson Ericsson AB 1/2017, 4/2017
Jan Carlsson Provinn AB 3/2017, 3/2019
Jens Bryntesson Nemko Sweden AB 4/2020
Joeri Koepp Rohde&Schwarz 3/2016
Jussi Myllyluoma APR Technologies 1/2020, 2/2020, 4/2020, 1/2021, 2/2021
Kia Wiklundh FOI – Swedish Defence Reasearch Agency 3/2016, 4/2016, 1/2017, 3/2017, 3/2020, 2/2021
Kia Wiklundh QAMCOM 4/2018
Karina Fors FOI – Swedish Defence Reasearch Agency 2/2021, 3/2021
Lars Granbom RanLOS AB 3/2019
Leif Adelöw FOI – Swedish Defence Reasearch Agency
Lennart Hasselgren EMC Services
2/2018, 3/2018, 4/2018, 1/2019, 2/2019, 3/2019, 4/2019, 1/2020, 3/2020, 2/2022, 3/2022
Michel Mardiguian EMC Consultant
2/2016, 3/2016, 4/2016, 1/2017, 2/2017, 3/2017, 4/2017, 2/2018, 3/2018
Madeleine Schilliger Kildal RanLOS AB 3/2019
Marcus Eklund El/Tele Västfastigheter 2/2016
Mats Bäckström Saab Aeronautics, Saab AB 3/2016, 4/2017, 1/2018, 2/2019
Michael Pattinson NSL 1/2018
Mikael Alexandersson
FOI – Swedish Defence Reasearch Agency 1/2018, 2/2020, 3/2021
Miklos Steiner Electronic Environment
2/2016, 3/2016, 4/2016, 1/2017, 2/2017, 3/2017, 4/2017, 1/2018, 2/2018, 3/2018, 4/2018, 1/2019, 2/2019, 3/2019, 4/2019, 1/2020, 2/2020, 3/2020, 4/2020, 1/2021, 2/2021, 3/2021, 4/2021, 1/2022, 2/2022, 3/2022
Niklas Karpe Scania CV AB 3/2016
Patrik Eliardsson
FOI – Swedish Defence Reasearch Agency 2/2016, 1/2018, 2/2020
Per Ängskog Högskolan Gävle/KTH 3/2016, 1/2020
Peter Leisner Tekniska Högskolan, Jönköping 3/2020
Peter Stenumgaard
FOI – Swedish Defence Reasearch Agency
4/2016, 1/2017, 3/2017, 4/2018, 1/2019, 2/2019, 4/2019, 1/2020, 2/2020, 3/2020, 1/2021, 3/2021, 1/2022, 3/2022
Sara Linder
FOI – Swedish Defence Reasearch Agency
2/2019, 4/2019, 3/2020, 1/2021, 2/2021
Simon Loe Spirent Communications 2/2017
Sten E. Nyholm
FOI – Swedish Defence Reasearch Agency 3/2020
Tomas Bodenklint RISE 4/2020
Thomas Borglin
SEK – Svensk Elstandard 1/2018, 3/2021
Tomas Hurtig
FOI – Swedish Defence Reasearch Agency 3/2020
Torbjörn Nilsson SAAB Group 1/2022
Torbjörn Persson Provinn AB 4/2016, 3/2017
Ulf Nilsson Electronic Environment 2/2021, 3/2021, 4/2021, 1/2022, 2/2022, 3/2022
Zackary Chiragwandi EMC Services 3/2022
Acal AB Solna Strandväg 21 171 54 Solna
Tel: 08-546 565 00
Fax: 08-546 565 65 info@acal.se www.acal.se
Adopticum Gymnasievägen 34 Leveransadress: Anbudsgatan 5 931 57 Skellefteå Tel: 0910-288 260 info@adopticum.se www.adopticum.se
Alpharay Teknik AB Runnabyvägen 11 705 92 Örebro
Tel: 019-26 26 20 mail@alpharay.se www.alpharay.se
Aleba AB Västberga allé 1 126 30 Hägersten Tel: 08-19 03 20 Fax: 08-19 35 42 www.aleba.se
Alelion Batteries Flöjelbergsgatan 14c 431 37 Mölndal Tel: 031-86 62 00 info@alelion.com www.alelion.com/sv
AMB Industri AB 361 93 Broakulla Tel: 0471-485 18 Fax: 0471-485 99
Amska Amerikanska Teleprodukter AB Box 88 155 21 Nykvarn Tel: 08-554 909 50 Kontaktperson: Kees van Doorn www.amska.se
Amtele AB Jägerhorns väg 10 141 75 Kungens Kurva Tel 08-556 466 04 Stora Åvägen 21 436 34 Askim Tel: 08-556 466 10 amtele@amtele.se www.amtele.se
Anritsu AB Borgarfjordsgatan 13 A 164 26 Kista
Tel: 08-534 707 00 Fax: 08-534 707 30 www.eu.anritsu.com
ANSYS Sweden
Anders Personsgatan 14 416 64 Göteborg Kistagången 20 B 164 40 Kista
Tel: 010-516 49 00 info-se@ansys.com www.ansys.com
Armeka AB Box 32053 126 11 Stockholm
Tel: 08-645 10 75 Fax: 08-19 72 34 www.armeka.se
Axiom EduTech Gjuterivägen 6 311 32 Falkenberg Tel: 0346-71 30 30 Fax: 0346-71 33 33 www.axiom-edutech.com
Berako AB Regulatorv 21 14149 Huddinge Tel: 08-774 27 00 Fax: 08-779 85 00 www.berako.se
Cadputer AB Kanalvägen 12 194 61 Upplands Väsby Tel: 08-590 752 30 Fax: 08-590 752 40 www.cadputer.se
Caltech AB Krossgatan 30 162 50 Vällingby Tel: 08-534 703 40 info@caltech.se www.caltech.se
BK Services Westmansgatan 47 A 582 16 Linköping Tel: 013-21 26 50 Fax: 013-99 13 025 johan@bk-services.se www.bk-services.se
Kontaktperson: Johan Bergstrand
Produkter och Tjänster: BK Services erbjuder EMCprovning, elsäkerhetsgransk ningar (LVD), radioprovning enligt bl.a. ETSI-standarder, maskinsäkerhetsgransknin gar, hjälp med CE-märkning och Klimattester. Vi erbjuder högkvalitativa och priseffek tiva tjänster, problemlösning shjälp samt vänligt och professionellt bemötande.
Bodycote Ytbehandling AB Box 58 334 21 Anderstorp Tel: 0371-161 50 Fax: 0371-151 30 www.bodycote.se
Bofors Test Center AB Box 418 691 27 Karlskoga Tel: 0586-84000 www.testcenter.se
Bomberg EMC Products Aps Gydevang 2 F DK 3450 Alleröd Danmark Tel: 0045-48 14 01 55
Bonab Elektronik AB Box 8727 402 75 Göteborg Tel: 031-724 24 24 Fax: 031-724 24 31 www.bonab.se
BRADY AB Vallgatan 5 170 69 Solna Tel: 08-590 057 30 Fax: 08-590 818 68 cssweden@bradyeurope.com www.brady.se www.bradyeurope.com
Bromanco Björkgren AB Rallarvägen 37 184 40 Åkersberga Tel: 08-540 853 00 Fax: 08-540 870 06 info@bromancob.se www.bromancob.se
Båstad Industri AB Box 1094 269 21 Båstad Tel: 0431-732 00 Fax: 0431-730 95 www.bastadindustri.se
CA Mätsystem Sjöflygsvägen 35 183 62 Täby Tel: 08-505 268 00 Fax: 08-505 268 10 www.camatsystem.se
CE-BIT Elektronik AB Box 7055 187 11 Täby Tel: 08-735 75 50 Fax: 08-735 61 65 info@cebit.se www.cebit.se
CLC SYSTEMS AB Nygård Torstuna 740 83 Fjärdhundra Tel: 0171-41 10 30 Fax: 0171-41 10 90 info@clcsystems.se www.clcsystems.se
Combinova Marketing AB Box 200 50 161 02 Bromma Tel: 08-627 93 10 Fax: 08-29 59 85 sales@combinova.se www.combinova.se
Combitech AB Gelbgjutaregatan 2 581 88 Linköping Tel: 013-18 00 00 Fax: 013-18 51 11 emc@combitech.se www.combitech.se
Compomill AB Box 4 194 21 Upplands Väsby Tel: 08-594 111 50 Fax: 08-590 211 60 www.compomill.se
Dectron 2.0 AB Thörnbladsväg 6, 386 90 Färjestaden Tel: 0485-56 39 00 EMC@dectron.se www.dectron.se Kontaktperson: Tobias Harlén Len Croner Mikael Larsson Claes Nender
DELTA Development Technology AB Finnslätten, Elektronikgatan 47 721 36 Västerås Tel: 021-31 44 80 Fax. 021-31 44 81 info@delta-dt.se www.delta-dt.se
DeltaElectric AB Kraftvägen 32 Box 63 196 22 Kungsängen Tel: 08-581 610 10 www.deltanordicgroup.se/ deltaeltech
DeltaEltech AB Box 4024 891 04 Örnsköldsvik Tel: 0660-29 98 50 www.deltanordicgroup.se/ deltaeltech/
Detectus AB Hantverkargatan 38 B 782 34 Malung Tel: 0280-411 22 Fax: 0280-411 69 jan.eriksson@detectus.se www.detectus.se
Kontaktperson: Jan Eriksson
Produkter och Tjänster: Instrument, provning. Detectus AB utvecklar, pro ducerar och säljer EMC-test system på världsmarknaden. Företaget erbjuder också hyra och leasing av mätsystemet. Detectus har möjlighet att utföra konsult mätningar (emission) på konsultbasis i egna lokaler.
EG Electronics AB Grimstagatan 160 162 58 Vällingby Tel: 08-759 35 70 Fax: 08-739 35 90 www.egelectronics.com
Elastocon AB Göteborgsvägen 99 504 60 Borås Tel: 033-22 56 30 Fax: 033-13 88 71 www.elastocon.se
ELDON AB Transformatorgatan 1 721 37 Västerås Tel: 010-555 95 50 eldonindustrial.se@eldon.com www.eldon.com/sv-SE
Electronix NG AB Enhagsvägen 7 187 40 Täby Tel: 010-205 16 50
Elis Elektro AS Jerikoveien 16 N-1067 Oslo Tel: +47 22 90 56 70 Fax: + 47 22 90 56 71 www.eliselektro.no
EMC Services Box 30 431 21 Mölndal Besöksadress: Bergfotsgatan 4 Tel: 031-337 59 00 www.emcservices.se Kontaktperson: Tony Soukka tony@emcservices.se
Emicon AB Head office: Briggatan 21 234 42 Lomma Branch office: Luntmakargatan 95 113 51 Stockholm Tel: 040-41 02 25 or 073-530 71 02 sven@emicon.se www.emicon.se Contact: Sven Garmland
EMP-Tronic AB Box 130 60 250 13 Helsingborg Tel: 042-23 50 60 Fax: 042-23 51 82 www.emp-tronic.se
Kontakt person: Lars Günther
Emp-tronic AB är specialiser at på Elmiljö- och EMCteknik.
Produkter och Tjänster: Vi har levererat skärmade anläggningar i över 25 år till bl.a. försvaret och myn digheter som skydd för EMP, RÖS, HPM med kontorsmiljö. Vi levererar även utrustning och skärmrum för EMC-mät ning, elektronikkalibrering eller antennmätning, även med modväxelteknik. I vårt fullutrustade EMC-lab kan vi erbjuda verifierad provning för CE-märkning.
ELKUL Kärrskiftesvägen 10 291 94 Kristianstad Tel: 044-22 70 38 Fax: 044-22 73 38 www.elkul.se
Elrond Komponent AB Regulatorvägen 9A 141 49 Huddinge Tel: 08-449 80 80 www.elrond.se info@elrond.se
EMC Väst AB Bror Nilssons Gata 4 417 55 Göteborg Tel: 031-51 58 50 Fax: 031-51 58 50 info@emcvaest.se www.emcväst.se
Emka Scandinavia Box 3095 550 03 Jönköping Tel: 036-18 65 70
ESD-Center AB Ringugnsgatan 8 216 16 Malmö Tel: 040-36 32 40 Fax: 040-15 16 83 www.esd-center.se
Eurodis Electronics 194 93 Stockholm Tel: 08-505 549 00
Exapoint Svenska AB Box 195 24 104 32 Stockholm Tel: 08-501 64 680 www.exapoint.se
ExCal AB Bröksmyravägen 43 826 40 Söderhamn Tel: 0270-28 87 60 Fax: 0270-28 87 70 info@excal.se www.excal.se
Farnell Skeppsgatan 19 211 19 Malmö Tel: 08-730 50 00 www.farnell.se
Ferner Elektronik AB Fabriksvägen 2 746 35 Bålsta Tel: 08-760 83 60 www.ferner.se info@ferner.se
Flexitron AB Veddestavägen 17 175 62 Järfälla Tel: 08-732 85 60 sales@flexitron.se www.flexitron.se
FMV 115 88 Stockholm Tel: 08-782 40 00 Fax: 08-667 57 99 www.fmv.se
Frendus AB Strandgatan 2 582 26 Linköping Tel: 013-12 50 20 info@frendus.com www.frendus.com Kontaktperson: Stefan Stenmark
Garam Elektronik AB Box 5093 141 05 Huddinge Tel: 08-710 03 40 Fax: 08-710 42 27
Glenair Nordic AB Box 726 169 27 Solna Tel: 08-505 500 00 Fax: 08- 505 500 00 www.glenair.com
Gore & Associates Scand AB Box 268 431 23 Mölndal Tel: 031-706 78 00 www.gore.com
Helukabel AB Spjutvägen 1 175 61 Järfälla
Tel: 08-557 742 80 Fax: 08-621 00 59 www.helukabel.se
High Voltage AB Änggärdsgatan 12 721 30 Västerås
Tel: 021-12 04 05 Fax: 021-12 04 09 www.highvoltage.se
HP Etch AB 175 26 Järfälla Tel: 08-588 823 00 www.hpetch.se
Industrikomponenter AB Gårdsvägen 4 169 70 Solna Tel: 08-514 844 00 Fax: 08-514 844 01 www.inkom.se
Infineon Technologies Sweden AB Isafjordsgatan 16 164 81 Kista Tel: 08-757 50 00 www.infineon.com
Ing. Firman Göran Gustafsson Asphagsvägen 9 732 48 Arboga
Tel: 0589-141 15 Fax: 0589-141 85 www.igg.se
Ingenjörsfirman Gunnar Petterson AB Ekebyborna 254 591 95 Motala Tel: 08-93 02 80 Fax: 0141-711 51 hans.petterson@igpab.se www.igpab.se
Instrumentcenter Folkkungavägen 4 Box 233 611 25 Nyköping Tel: 0155-26 70 31 Fax: 0155-26 78 30 info@instrumentcenter.se www.instrumentcenter.se
Intertechna AB Kvarnvägen 15 663 40 Hammarö Tel: 054-52 10 00 Fax: 054-52 22 97 www.intertechna.se
Intertek
Torshamnsgatan 43 Box 1103 164 22 Kista Tel: 08-750 00 00 Fax: 08-750 60 30 Info-sweden@intertek.com www.intertek.se
INNVENTIA AB Torshamnsgatan 24 B 164 40 Kista Tel: 08-67 67 000 Fax: 08-751 38 89 www.innventia.com
Jontronic AB Centralgatan 44 795 30 Rättvik Tel: 0248-133 34 info@jontronic.se www.jontronic.se
Keysight Technologies Sweden AB Färögatan 33 164 51 Kista Tel: 0200-88 22 55 kundcenter@keysight.com www.keysight.com
Jolex AB Västerviksvägen 4 139 36 Värmdö Tel: 08-570 229 85 Fax: 08 570 229 81 mail@jolex.se www.jolex.se
Kontaktperson: Mikael Klasson
Produkter och Tjänster: EMC, termiska material och kylare Jolex AB har mångårig erfar enhet inom EMC och termi skt. Skärmningslister/kåpor, mikrovågsabsorbenter, icke ledande packningar, skär mande fönster/glas/rum/ dörrar, genomföringskon densatorer, kraftfilter, data-, telekom-, utrustnings- och luftfilter, ferriter, jordflätor, termiska material och kylare etc. Vi kundanpassar pro dukter och volymer.
Kitron AB 691 80 Karlskoga Tel: 0586-75 04 00 Fax: 0586-75 05 90 www.kitron.com
Kvalitest Sweden AB Flottiljgatan 61 721 31 Västerås Tel:076-525 50 00 sales@kvalitetstest.com www.kvalitetstest.com
LaboTest AB Datavägen 57 B 436 32 Askim Tel: 031-748 33 20 Fax: 031-748 33 21 info@labotest.se www.labotest.se
Produkter och Tjänster: LaboTest AB marknadsför och underhåller utrust ningar i Sverige till lab och produktionsavdelningar inom miljötålighet och test. Vårt huvudkontor finns i Askim och vårt filialkontor i Sollentuna. Våra huvudlever antörer är Vötsch och Herae us. Båda har en världsom spännande organisation och är marknadsledande inom sina respektive produktom råde. Vår verksamhet fokuseras främst kring följande pro duktområden: Värmeskåp, Torkugnar, Vakuumtorkskåp, Temperatur-, Klimattestkam mare, Chocktest- kammare, Sol/Vädertestkammare, Vibrationstestkammare, Klimatiserade rum, Salt spraytestkammare, HALT/ HASS-kammare.
Megacon AB Box 63 196 22 Kungsängen Tel: 08-581 610 10 Fax: 08-581 653 00 www.megacon.se
Propellervägen 6 B 183 62 Täby Tel: 08-446 77 30 sales@mttab.se www.mttab.se
Mentor Graphics Färögatan 33 164 51 Kista Tel: 08-632 95 00 www.mentor.com
Metric Teknik Box 1494 171 29 Solna Tel: 08-629 03 00 Fax: 08-594 772 01
Mikroponent AB Postgatan 5 331 30 Värnamo Tel: 0370-69 39 70 Fax: 0370-69 39 80 www.mikroponent.se
Miltronic AB Box 1022 611 29 Nyköping Tel: 0155-777 00
Jan Linders EMC-provning Bror Nilssons gata 4 417 55 Göteborg Tel: 031-744 38 80 Fax: 031-744 38 81 info@janlinders.com www.janlinders.com
Produkter och tjänster: EMC-provning, elektronik och EMC, utbildning, EMIanalys, allmän behörighet.
Jan Linders Ingenjörsfirma har mångårig erfarenhet inom EMC-området och har allmän behörighet upp till 1 000 V. Bland vårt utbud märks ce-märkning, proto typprovning samt mätning och provning hos kund. Vi ut för EMC-styling dvs förbättrar produkters EMC-egenskaper, ger råd och hjälp om stand arder m m. Med vår nya EMC-tjänst tar vi totalansvar för er EMC-certifiering.
KAMIC Components Körkarlsvägen 4 653 46 Karlstad Tel: 054-57 01 20 info@kamic.se www.kamicemc.se
Produkter och Tjänster: Med närmare 30 års erfar enhet och ett brett program av elmiljöprodukter erbjuder KAMIC Components allt från komponenter till färdiga sys tem. Lösningarna för skalsky dd omfattar lådor, skåp och rum för EMI-, EMP- och RÖS-skydd. Systemlösningar som uppfyller MIL-STD 285 och är godkända enligt skalskyddsklasserna SS1 och SS2. Komponenter, ledande packningar och lister. KAMIC Components är en del av KAMIC Installation AB. Kon taktperson: Jörgen Persson.
LAI Sense Electronics Rördromsvägen 12 590 31 Borensberg Tel: 0703-45 55 89 Fax: 0141-406 42 www.laisense.com
LeanNova Engineering AB Flygfältsvägen 7 461 38 Trollhättan Tel: 072-370 07 58 info@leannova.se www.leannova.se
LINDH Teknik Granhammar 144 744 97 Järlåsa Tel: 070-664 99 93 kenneth@lindhteknik.se www.lindhteknik.se
Lintron AB Box 1255 581 12 Linköping Tel: 013-24 29 90 Fax: 013-10 32 20 www.lintron.se
LTG Keifor AB (KAMIC) Box 8064 163 08 Spånga Tel: 08-564 708 60 Fax: 08-760 60 01 kamic.karlstad@kamic.se www.kamic.se
Lundinova AB Dalbyvägen 1 224 60 Lund Tel: 046-37 97 40 Fax: 046-15 14 40 www.lundinova.se
Magnab Eurostat AB Pontongatan 11 611 62 Nyköping Tel: 0155-20 26 80 www.magnab.se
MJS Electronics AB Box 11008 800 11 Gävle Tel: 026-18 12 00 Fax: 026-18 06 04 www.mjs-electronics.se
MPI Teknik AB Box 96 360 50 Lessebo Tel: 0478-481 00 Fax: 0478-481 10 www.mpi.se
NanoCal AB Lundbygatan 3 621 41 Visby Tel: 0498-21 20 05 www.nanocal.se
Nefab Packaging AB 822 81 Alfta Tel: 0771-59 00 00 Fax: 0271-590 10 www.nefab.se
Nelco Contact AB Box 7104 192 07 Sollentuna Tel: 08-754 70 40
Nemko Sweden AB Arenavägen 41, 121 77 Stockholm-Globen Tel: 08 473 00 30/31 www.nemko.com
Nohau Solutions AB Derbyvägen 4 212 35 Malmö Tel: 040-59 22 00 Fax: 040-59 22 29 www.nohau.se
Nolato Silikonteknik AB Bergmansvägen 4 694 35 Hallsberg Tel: 0582-889 00 silikonteknik@nolato.com www.nolato.com/emc
Nortelco AS Ryensvingen 3 N-0680 Oslo
Tel: +47 22576100
Fax: +47 22576130 elektronikk@nortelco.no www.nortelco.no
Nortronicom AS Ryensvingen 5 Postboks 33 Manglerud N-0612 Oslo
Tel: +47 23 24 29 70 Fax: +47 23 24 29 79 www.nortronicom.no
Nässjö Plåtprodukter AB Box 395 571 24 Nässjö Tel: 031-380 740 60 www.npp.se
OBO Bettermann AB Florettgatan 20 254 67 Helsingborg
Tel: 042-38 82 00 Fax: 042-38 82 01 www.obobettermann.se
OEM Electronics AB Box 1025 573 29 Tranås Tel: 075-242 45 00 www.oemelectronics.se
ONE Nordic AB Box 50529 202 50 Malmö Besöksadress: Arenagatan 35 215 32 Malmö Tel: 0771-33 00 33 Fax: 0771-33 00 34 info@one-nordic.se
Ornatus AB Stockholmsvägen 26 194 54 Upplands Väsby Tel: 08-444 39 70 Fax: 08-444 39 79 www.ornatus.se
PROXITRON AB Dynamovägen 5 591 61 Motala Tel: 0141-580 00 Fax: 0141-584 95 info@proxitron.se www.proxitron.se
Kontaktperson: Rickard Elf
Produkter och Tjänster: INSTRUMENT. Proxitron AB arbetar med försäljning och service inom elektronikbran schen. Vi samarbetar med en rad ledande internationel la tillverkare inom områdena; Klimat/Vibration, EMC, Givare, Komponenter, Hög spänning och Elsäkerhet. Våra kunder finns över hela Skandinavien och represen terar forskning/utveckling, produktion, universitet och högskolor.
Procurator AB Box 9504 200 39 Malmö Tel: 040-690 30 00 Fax: 040-21 12 09 www.procurator.se
Profcon Electronics AB Hjärpholn 18 780 53 Nås Tel: 0281-306 00 Fax: 0281-306 66 www.profcon.se
Proxy Electronics AB Box 855 391 28 Kalmar Tel: 0480-49 80 00 Fax: 0480 49 80 10 www.proxyelectronics.com
RF Partner AB Flöjelbergsgatan 1 C 431 35 Mölndal Tel: 031-47 51 00 Fax: 031-47 51 21 info@rfpartner.se www.rfpartner.se-
RISE Elektronik Box 857 501 15 Borås Tel: 010-516 50 00 info@ri.se www.ri.se
Provinn AB Kvarnbergsgatan 2 411 05 Göteborg Tel: 031 – 10 89 00 info@provinn.se www.provinn.se
Rittal Scandinavian AB Månskärsgatan 7 141 71 Huddinge Tel: 08-680 74 08 Fax: 08-680 74 06 www.rittal.se
Saab AB, Aeronautics, EMC laboratory Bröderna Ugglas Gata 582 54 Linköping Tel: 013-18 65 67 bengt.vallhagen@saabgroup.com
Saab AB, Aeronautics, Environmental laboratory Bröderna Ugglas Gata 582 54 Linköping Tel: 013–18 77 92 sofia.ring@saabgroup.com
Saab AB, Surveillance A15 – Compact Antenna Test Range Bergfotsgatan 4 431 35 Mölndal Tel: 031-794 81 78 christian.augustsson@saab group.com www.saabgroup.com
SEBAB AB Sporregatan 12 213 77 Malmö Tel: 040-601 05 00 Fax: 040-601 05 10 www.sebab.se
Prevas AB Hammarby Kaj 18 120 30 Stockholm Tel: 08-644 14 00 maria.mansson@prevas.se www.prevas.se
Kontaktperson: Maria Månsson
Produkter och Tjänster: Spetskompetens inom elektronikutveckling: Analog och digital elektronik, EMCteknik (rådgivning och eget pre-compliance EMC-lab), inbyggda system, samt programmering. Regulativa krav som EMC-, MD- RoHSoch WEE- EUP-direktiven. ”Lean Design” med fokus på kvalitet, effektivitet, tillförlit lighet, producerbarhet och säljbarhet.
Products and Services: Provinn offer EMC expertise covering all aspects from specification through con sultant services, education, numerical analyses all the way to final verification. We are sev eral dedicated EMC experts with documented expertise and experience. Provinn is proud represent ative for Oxford Technical Solutions (OxTS) navigational equipment, Moshon Data ADAS test equipment and Spirent GPS/GNSS instru ments for the Scandinavian market.
Para Tech Coating Scandinavia AB Box 567 175 26 Järfälla Besök: Elektronikhöjden 6 Tel: 08-588 823 50 info@paratech.nu www.paratech.nu
Phoenix Contact AB Linvägen 2 141 44 Huddinge Tel: 08-608 64 00 order@phoenixcontact.se www.phoenixcontact.se
Polystar Testsystems AB Mårbackagatan 19 123 43 Farsta Tel: 08-506 006 00 Fax: 08-506 006 01 www.polystartest.com
Processbefuktning AB Örkroken 11 138 40 Älta Tel: 08-659 01 55 Fax: 08-659 01 58 www.processbefuktning.se
Rohde & Schwarz Sverige AB Flygfältsgatan 15 128 30 Skarpnäck Tel: 08-605 19 00 Fax: 08-605 19 80 info.sweden@rohdeschwarz.com www.rohde-schwarz.se
Ronshield AB Tussmötevägen 120B 122 64 Enskede Mob: +46 70 674 93 94 info@ronshield.se www.ronshield.se
Roxtec International AB Box 540 371 23 Karlskrona Tel: 0455-36 67 23 www.roxtec.se
RS Components AB Box 21058 200 21 Malmö Tel: 08-445 89 00 Fax:08-687 11 52 www.rsonline.se
RTK AB Box 7391 187 15 Täby Tel: 08-510 255 10 Fax: 08-510 255 11 info@rtk.se www.rtk.se
RUTRONIK Nordic AB Kista Science Tower Färögatan 33 164 51 Kista Tel: 08-505 549 00 Fax: 08-505 549 50 www.rutronik.se
Saab AB, Support and Services, EMC-laboratory P.O Box 360 S-831 25 Östersund emc.osd@saabgroup.com www.saabgroup.com
Products & Services: We offer accredited EMC testing in accordance with most commercial and military standards and methods, including airborne equipment. We can also pro vide pre-compliance testing and qualified reviews and guidance regarding EMC during product design.
Saab EDS Nettovägen 6 175 88 Järfälla Tel: 08-580 850 00 www.saabgroup.com
Scanditest Sverige AB Box 182 184 22 Åkersberga Tel: 08-544 019 56 Fax: 08-540 212 65 www.scanditest.se info@scanditest.se
Scandos AB Varlabergsvägen 24 B 434 91 Kungsbacka Tel: 0300-56 45 30 Fax: 0300-56 45 31 www.scandos.se
Schaffner EMC AB Turebergstorg 1 191 86 Sollentuna Tel: 08-579 211 22 Fax: 08-92 96 90
Schroff Skandinavia AB Box 2003 128 21 Skarpnäck Tel: 08-683 61 00
Schurter Nordic AB Sandborgsvägen 50 122 33 Enskede Tel: 08-447 35 60 info.se@schurter.com www.schurter.se
SEK Svensk Elstandard Box 1284 164 29 KISTA Tel: 08-444 14 00 sek@elstandard.se www.elstandard.se Shop.elstandard.se
Produkter och Tjänster: Du kan genom deltagande i SEK Svensk Elstandard och den nationella och interna tionella standardiseringen vara med och påverka framtidens standarder sam tidigt som ditt företag får en ökad affärsnytta och ökad konkurrenskraft.
På SEK Shop, www.elstandard.se/shop, hittar du förutom svensk standard även europeisk och interna tionell standard inom elom rådet. SEK ger även ut SEK Handböcker som förklarar och fördjupar, vägleder och underlättar ditt användande av standarder. Läs mer på www.elstandard.se.
SGS Fimko AB Mörtnäsvägen 3 (PB 30) 00210 Helsingfors Finland www.sgs.fi
Shortlink AB Stortorget 2 661 42 Säffle Tel: 0533-468 30 Fax: 0533-468 49 info@shortlink.se www.shortlink.se
Sims Recycling Solutions AB Karosserigatan 6 641 51 Katrineholm Tel: 0150-36 80 30 www.simsrecycling.se
Skandinavia AB Box 2003 128 21 Skarpnäck Tel: 08-683 61 00 Turebergstorg 1 191 86 Sollentuna Tel: 08-579 211 22 Fax: 08-92 96 90
STF Ingenjörsutbildning AB Malmskillnadsgatan 48 Box 1419 111 84 Stockholm Tel: 08-613 82 00 Fax: 08-21 49 60 www.stf.se
Stigab
Fågelviksvägen 18 145 53 Norsborg Tel: 08-97 09 90 info@stigab.se www.stigab.se
Swentech Utbildning AB Box 180 161 26 Bromma Tel: 08-704 99 88 www.swentech.se
Swerea KIMAB AB Box 7047 Isafjordsgatan 28 164 40 Kista Tel: 08-440 48 00 elektronik@swerea.se www.swereakimab.se
TEBAB, Teknikföretagens Branschgrupper AB Storgatan 5, Box 5510, 114 85 Stockholm Tel +46 8 782 08 08 Tel vx +46 8 782 08 50 www.sees.se
Technology Marketing Möllersvärdsgatan 5 754 50 Uppsala
Tel: 018-18 28 90 Fax: 018-10 70 55 www.technologymarketing.se
Tesch System AB Märstavägen 20 193 40 Sigtuna Tel: 08-594 80 900 order@tufvassons.se www.tesch.se
Testhouse Nordic AB Österögatan 1 164 40 Kista Landskronavägen 25 A 252 32 Helsingborg Tel: 08-501 260 50 Fax: 08-501 260 54 info@testhouse.se www.testhouse.se
Tormatic AS Skreppestad Naringspark N-3261 Larvik Tel: +47 33 16 50 20 Fax: +47 33 16 50 45 www.tormatic.no
Trafomo AB Box 412 561 25 Huskvarna Tel: 036-38 95 70 Fax: 036-38 95 79 www.trafomo.se
Treotham AB Box 11024 100 61 Stockholm Tel: 08-555 960 00 Fax: 08- 644 22 65 www.treotham.se
TRESTON GROUP AB
Tumstocksvägen 9 A 187 66 Täby
Tel: 08-511 791 60 Fax: 08-511 797 60 Bultgatan 40 B 442 40 Kungälv Tel: 031-23 33 05 Fax: 031-23 33 65 info.se@trestoncom www.treston.com
Trinergi AB Halltorpsvägen 1 702 29 Örebro Tel: 019-18 86 60 Fax: 019-24 00 60
UL Kista Science Tower Fårögatan 33 161 51 Kista Tel: 08-795 43 70 info.se@ul.com www.sweden.ul.com
Vanpee AB Karlsbodavägen 39 168 67 Bromma Telefon: 08-445 28 00 www.vanpee.se order@vanpee.se
Weidmüller AB Box 31025 200 49 Malmö Tel: 0771-43 00 44 Fax: 040-37 48 60 www.weidmuller.se
Wretom Consilium AB Olof Dalins Väg 16 112 52 Stockholm Tel: 08-559 265 34 info@wretom.se www.wretom.se
Würth Elektronik Sweden AB
Annelundsgatan 17 C 749 40 Enköping Tel: 0171-41 00 81 eiSos-sweden@we-online.com www.we-online.se
Kontaktperson: Martin Danielsson
Yokogawa Measurement Technologies AB Finlandsgatan 52 164 74 Kista
Tel: 08-477 19 00 Fax: 08-477 19 99 www.yokogawa.se
Österlinds El-Agentur AB Box 96 183 21 Täby Tel: 08-587 088 00 Fax: 08-587 088 02 www.osterlinds.se
den här –
Environmental Engineering Handbook har genomgått en omfattande uppdatering och är den mest kompletta hand boken inom miljöteknik. Handboken täcker hela arbetsområdet för miljöteknik och är ett ovärderligt hjälpmedel för att fastställa miljötekniska specifikationer, både nationella som internationella.
Ett heltäckande uppslagsverk som ger vägledning i rätt me todik för miljöteknikarbete, liksom grundläggande regler och råd om hur sådant arbete – korrekt specificerat och verifierat – leder till en säker och pålitlig produkt. Handboken ges ut av Swedish Environmental Engineering Society (SEES).