


![]()



DESTE TOTAL, R$ 52 BI SÃO PARA ENFRENTAMENTO
AOS EVENTOS CLIMÁTICOS EXTREMOS


NOVOS FASCÍCULOS:

NOVA NORMA DE ARCO ELÉTRICO - COMENTADA PELA COMISSÃO
DESEMPENHO DE LINHAS DE TRANSMISSÃO FRENTE A DESCARGAS ATMOSFÉRICAS
TRANSMISSÃO: CAMINHOS DA ENERGIA
INOVAÇÃO NA DISTRIBUIÇÃO E NOVAS TECNOLOGIAS DE SUPORTE
NOVA COLUNA: INOVAÇÃO E EQUIDADE NO SETOR ELÉTRICO - POR ALINE PAN ARTIGO TÉCNICO: INOVAÇÃO


PAINÉIS DE DISTRIBUIÇÃO DE BAIXA TENSÃO CLASSE 750/6.300A/1.000V
ATÉ ICC DE 80kA
LINHA NOTTABILE ®





























CLASSE 17,5kV/630A/16kA

LINHA NEW PICCOLO








COM ISOLAÇÃO INTEGRAL EM SF6 OU SF6 FREE 630A/21kA ATÉ 36kV

LINHA GB-RING RMU ® |









COM ISOLAÇÃO MISTA EM SF6 630A 16kA ATÉ 36kV ® ®
LINHA MICROCOMPACT ®
Sensor de monitoramento SMART GIMI; Instalação de barramentos blindados. Estudos de energia incidente; Comissionamento e startup de painéis em obra;
BARRAMENTO BLINDADO DE BAIXA E MÉDIA TENSÃO ATÉ 6.300A IP-55 - BARRA COLADA | LINHA BX - MT
LINHA BX - E
Retrofit; Parametrização e comissionamento de relés de proteção; Manutenção de cabines primárias, painéis de baixa tensão, barramentos blindados.
atitude@atitudeeditorial.com.br
Diretores
Diretores
Adolfo Vaiser - adolfo@atitudeeditorial.com.br Simone Vaiser - simone@atitudeeditorial.com.br
Adolfo Vaiser
Simone Vaiser
Editor - MTB - 0014038/DF
Edmilson Freitas - edmilson@atitudeeditorial.com.br
4 Editorial
Mulheres na energia: agora são duas na Revista OSE
6 Artigo Técnico
Inovação Tecnológica: como a IA+IoT estão moldando o futuro do setor elétrico
8 Desempenho de Linhas de Transmissão Frente a Descargas Atmosféricas
Coordenação de conteúdo e pauta Flávia Lima - flavia@atitudeeditorial.com.br
Assistente de circulação, pesquisa e eventos Henrique Vaiser – henrique@atitudeeditorial.com.br Victor Meyagusko – victor@atitudeeditorial.com.br
Administração
Reportagem
Matheus de Paula - matheus@atitudeeditorial.com.br
Roberta Nayumi administrativo@atitudeeditorial.com.br
Assistente de circulação, pesquisa e eventos administrativo@atitudeeditorial.com.br
Marketing e mídias digitais
Henrique Vaiser - henrique@atitudeeditorial.com.br
Editor
Letícia Benício - leticia@atitudeeditorial.com.br
Edmilson Freitas
edmilson@atitudeeditorial.com.br
Pesquisa e circulação
14 Nova Norma de Arco Elétrico - comentada pela comissão
18 Transmissão: Caminhos da energia
24 Inovação na distribuição e novas tecnologias de suporte: inteligência artificial, realidade virtual e blockchain
28 Por Dentro das Normas
Aguinaldo Bizzo – NR 10 / Paulo Barreto - NBR 5410 / Marcos Rogério - NBR 14039
Reportagem
Inês Gaeta - ines@atitudeeditorial.com.br (11) 93370-1740
Fernanda Pacheco - fernanda@atitudeeditorial.com.br
Assistente Administrativa
Maria Elisa Vaiser - mariaelisa@atitudeeditorial.com.br
Publicidade
Publicidade
Diretor comercial
Diretor comercial
Administração
Adolfo Vaiser
Roberta Mayumi - administrativo@atitudeeditorial.com.br
Comercial
Contato publicitário
32 Espaço Aterramento
Modelos de Solo Homogêneo
34 Espaço Cigre-Brasil
Desafios da transição energética: soluções e lições aprendidas em um mercado com energia intermitente
Willyan Santiago - willyan@atitudeeditorial.com.br
Adolfo Vaiser - adolfo@atitudeeditorial.com.br (11) 98188 – 7301
Direção de arte e produção
Willyan Santiago - willyan@atitudeeditorial.com.br (11) 98490 – 3718
36 Espaço Abradee
Leonardo Piva - atitude@leonardopiva.com.br
Leonardo Piva - atitude@leonardopiva.com.br
Diagramação
Colaboradores desta edição
Leonardo Piva - leopiva@gmail.com
Colaboradores da publicação:
Novo Relatório de Sustentabilidade ABRADEE aponta avanços nas iniciativas ASG
Huais, Luiz Carlos Catelani Junior, Daniel Bento, Danilo de Souza, Mello, Monica Saraiva Panik, Lílian Ferreira Queiroz, Lindemberg Nunes
Silva, Arnaldo José Pereira Rosentino Junior e Marcus Vinícius Borges
Aguinaldo Bizzo de Almeida, Paulo Roberto Borel Júnior, Renato Jardim Teixeira, Thiago Francisco Gomes, Henrique Fernandes Borges, Caio Huais, Luiz Carlos Catelani Junior, Daniel Bento, Danilo de Souza, Emmanuela de Almeida Jordão, Frederico Carbonera Boschin, Paulo Edmundo Freire, Jose Maurilio da Silva, Rinaldo Botelho, João Carlos Mello, Monica Saraiva Panik, Lílian Ferreira Queiroz, Lindemberg Nunes Reis, Luciano Rosito, Claudio Mardegan, Nunziante Graziano, Jose Starosta, Fabrício Augusto Matheus Moura, Ana Carolina Ferreira da Silva, Arnaldo José Pereira Rosentino Junior e Marcus Vinícius Borges Mendonça.
Carlos Eduardo Ribas, Rafael Alipio, Claudio Mardegan, Rogério Pereira de Camargo, Francisco Fambrini, Diogo Gará Caetano, Rafael Reis, José Angel Ivan R. S, Bismark Cotrim, Ana Marina Santos, Aguinaldo Bizzo, Paulo Barreto, Marcos Rogério, Paulo Edmundo Freire da Fonseca, Aline Cristiane Pan, Frederico Carbonera Boschin, Lilian Ferreira Queiroz, Luciano Rosito, Roberval Bulgarelli, Daniel Bento, José Barbosa, Nunziante Graziano, José Starosta, Danilo de Souza, Caio Huais e Bruno Oliveira.
Fortemente impactadas pelos eventos climáticos extremos, distribuidoras vão investir R$ 130 bilhões até 2027
46 Pesquisa Setorial
Acessórios para fios e cabos
Fale conosco contato@atitudeeditorial.com.br Tel.: (11) 98433-2788
A Revista O Setor Elétrico é uma publicação mensal da Atitude
Distribuída entre as empresas de engenharia, projetos e instalação, e especificadores destes segmentos.
A Revista O Setor Elétrico é uma publicação mensal da Atitude Editorial Ltda., voltada aos mercados de Instalações Elétricas, Energia e Iluminação, com tiragem de 13.000 exemplares. Distribuída entre as empresas de engenharia, projetos e instalação, manutenção, indústrias de diversos segmentos, concessionárias, prefeituras e revendas de material elétrico, é enviada aos executivos e especificadores destes segmentos.
48 Aline Cristiane Pan - Inovação e Equidade no Setor Elétrico
51 Frederico Boschin - Conexão Regulatória
52 Lilian Ferreira Queiroz – Gestão de Ativos
54 Cláudio Mardegan – Análise de Sistemas Elétricos
reprodução total ou parcial das matérias sem expressa autorização
Os artigos assinados são de responsabilidade de seus autores e não necessariamente refletem as opiniões da revista. Não é permitida a reprodução total ou parcial das matérias sem expressa autorização da Editora.
Capa: istockphoto.com | Chirapriya Thanakonwirakit
A Revista O Setor Elétrico é uma publicação mensal da Atitude Editorial Ltda., voltada aos mercados de Instalações Elétricas, Energia e Iluminação, com tiragem de 13.000 exemplares. Distribuída entre as empresas de engenharia, projetos e instalação, manutenção, indústrias de diversos segmentos, concessionárias, prefeituras e revendas de material elétrico, é enviada aos executivos e especificadores destes segmentos. Os artigos assinados são de responsabilidade de seus autores e não necessariamente refletem as opiniões da revista. Não é permitida a reprodução total ou parcial das matérias sem expressa autorização da Editora.
Impressão - Referência Editora e Gráfica
Capa: istockphoto.com | jose1983
Distribuição - Correios
Impressão - Gráfica Grafilar
Distribuição - Correios
56 Luciano Rosito – Iluminação Pública
58 Roberval Bulgarelli – Instalações EX
60 Aguinaldo Bizzo – Segurança do Trabalho
61 Daniel Bento – Redes Subterrâneas em Foco
62 José Barbosa – Proteção contra raios
Atitude Editorial Publicações Técnicas Ltda.
Atitude Editorial Publicações Técnicas Ltda. Rua Piracuama, 280, Sala 41
Fone - (11) 98433-2788 www.osetoreletrico.com.br
Atitude Editorial Publicações Técnicas Ltda. www.osetoreletrico.com.br atitude@atitudeeditorial.com.br Filiada à
Cep: 05017-040 – Perdizes – São Paulo (SP) Fone - (11) 98433-2788 www.osetoreletrico.com.br atitude@atitudeeditorial.com.br Filiada à

64 Nunziante Graziano – Quadros e painéis
65 José Starosta – Energia com Qualidade
66 Danilo de Souza – Energia, Ambiente & Sociedade


68 Caio Cezar Neiva Huais – Manutenção estratégica
Osetor elétrico, historicamente dominado por homens, está passando por uma transformação essencial para seu crescimento e inovação: a inclusão e valorização das mulheres. Em um mundo onde a diversificação de perspectivas se mostra cada vez mais crucial para o desenvolvimento de soluções eficientes e sustentáveis, garantir a equidade de gênero não é apenas uma questão de justiça social, mas também uma estratégia inteligente para avançar o setor.
A presença feminina nas engenharias, na gestão e em outras funções estratégicas do setor elétrico ainda é desafiadora. Segundo dados de diversas instituições, as mulheres representam uma parcela significativamente menor da força de trabalho no setor. As barreiras são diversas: estereótipos culturais, falta de representatividade e desafios para conciliar vida profissional e pessoal. No entanto, superar essas dificuldades é fundamental para criar um ambiente de trabalho mais inovador e produtivo.
Empresas que promovem a diversidade de gênero têm demonstrado melhor desempenho financeiro, maior capacidade de inovação e um ambiente de trabalho mais colaborativo. Além disso, iniciativas que incentivam a formação e o desenvolvimento profissional das mulheres no setor elétrico contribuem para reduzir desigualdades e garantir que talentos sejam aproveitados independentemente do gênero.
Para que essa transformação aconteça de maneira efetiva, é essencial que as empresas implementem políticas inclusivas, como programas de mentoria para mulheres, lideranças femininas, e medidas que favoreçam um ambiente de trabalho equitativo. É igualmente importante que as instituições educacionais estimulem a participação feminina nos cursos relacionados ao setor, garantindo que mais mulheres se sintam encorajadas a seguir carreiras na área.
A equidade de gênero no setor elétrico não é apenas uma questão de oportunidade, mas de necessidade para a construção de um setor mais forte e preparado para os desafios do futuro. Valorizar as mulheres e garantir que tenham as mesmas chances de crescimento e desenvolvimento é um caminho inevitável para o progresso e a sustentabilidade do setor.
Neste sentido, pensando, não apenas na ampliação da presença feminina no setor, mas principalmente na valorização de toda a contribuição e expertise que essas profissionais agregam nas diversas áreas de energia onde atuam, a partir desta edição, esta publicação passará a contar com duas colunas assinadas por mulheres, que são grandes referências nas suas respectivas áreas de atuação neste segmento.
Comandada pela Doutora em Energia Solar Fotovoltaica pela Universidade Politécnica de Madri, Aline Cristiane Pan, a coluna Inovação e Equidade no Setor Elétrico abordará questões estratégicas para o mercado de energia, sob a ótica e perspectiva de uma profissional com mais de 25 anos de experiência em energias renováveis, responsável pela publicação de mais de 60 artigos sobre temas como formação de profissionais no setor energético, bem como sobre o avanço da pesquisa e desenvolvimento do setor.
Além disso, está de volta a coluna Gestão de ativos, que é comandada pela engenheira eletricista Lílian Ferreira Queiroz. Referência nacional em manutenção, operação, confiabilidade e gestão de ativos, Lílian atualmente é Diretora de Gestão de Ativos de Geração da Eletrobras e também coordenadora de Comitê na ABDIB, membro da ABGEA e Cigre. Sua coluna, que estreou em 2024, tem abordado diversos temas do universo de gerenciamento e monitoramento de ativos das empresas de energia, nos segmentos de geração, transmissão e distribuição.
O futuro da energia passa pela equidade. Boa leitura!
Edmilson Freitas


Edmilson Freitas edmilson@atitudeeditorial.com.br
Acompanhe nossas novidades pelas redes sociais:






A integração da Inteligência Artificial (IA) e Internet das Coisas (IoT) tem revolucionado o setor elétrico, proporcionando soluções inovadoras que aumentam a eficiência, a segurança e a sustentabilidade dos sistemas energéticos. No Brasil, exemplo mundial em matriz energética limpa, a aplicação dessas tecnologias impulsiona avanços em áreas como monitoramento de recursos naturais, operações automatizadas, previsibilidade de geração centralizada e descentralizada de energia, considerando variáveis climáticas, além de diversas aplicações voltadas à eficiência operacional do setor.
Ou seja, as aplicações são diversas e seguem em velocidade semelhante aos níveis de digitalização do setor. No âmbito de eficiência energética, estudos demonstram uma economia de até 20% no consumo de energia de edifícios e centros comerciais aplicando IA e IoT por meio de algoritmos de aprendizado de máquina correlacionando dados como a temperatura interna e externa de ambientes, quantidade de pessoas por ambiente, equipamentos conectados (rede elétrica) e por fim, atuando no ajuste fino da climatização e iluminação destes centros de trabalho. O payback de alguns destes projetos é de menos de um ano. E o curioso é que as grandes integradoras destas soluções são, na maioria das vezes, startups que recebem pelo “custo evitado” somado a uma pequena parcela, a título de assinatura do serviço.

Agora, vamos pensar numa operação mais complexa, como a de uma subestação de energia. Neste caso, nem a automação tão pouco os sistemas de monitoramento são novidade. Mas, a IA tem revolucionado a maneira de “ver” os ativos e assim despachálos visando a sua melhor performance com a menor depreciação, em tempo real. Isto para todo o parque de equipamentos de forma simultânea. Em termos de gestão de ativos (ISO 55.000) falamos de uma precisão nunca imaginada, sabendo que o custo de manutenção de equipamentos, antes de um colapso severo, é muito menor, assim como o tempo de restabelecimento do mesmo no sistema.
Nesta linha, outras soluções baseadas em IA e IoT também vêm ganhando espaço neste mercado, pensando no despacho e operação ótima de sistemas. Por exemplo, o Lacbot, desenvolvido pelo Lactec, exemplifica como a automação baseada em IA está transformando a operação e manutenção de subestações de redes de
extra alta tensão. Esse robô realiza inspeções de forma autônoma ou teleoperada, capturando dados e identificando situações anormais que demandam intervenção. Equipado com sensores avançados, o Lacbot, melhora a segurança dos profissionais, minimiza riscos e aumenta a eficiência das operações, a partir do cruzamento de dados históricos e atuais dos ativos sob monitoramento. O projeto foi realizado no âmbito do Programa de Pesquisa e Desenvolvimento (P&D) da Agência Nacional de Energia Elétrica (Aneel) PD 081060002-2017, financiado, em cooperação, pelas empresas Matrinchã e Guaraciaba Transmissora de Energia – controladas pela State Grid Brazil e Copel – e pela Paranaíba Transmissora de Energia e LuziâniaNiquelândia Transmissora de Energia, nas quais Furnas também integra a sociedade junto das duas empresas já mencionadas.

Eventos climáticos extremos - No enfrentamento aos eventos climáticos extremos, a IA+IoT vem se mostrando uma ferramenta extremamente interessante, em especial nos grandes centros urbanos, que têm enfrentado grandes perturbações relacionadas às questões climáticas.
Nestes casos, a IA+IoT são extraordinárias para suporte à tomada de decisão dos centros de operação. Por meio destes algoritmos, é possível coletar dados meteorológicos em tempo real, acompanhar a evolução destes eventos e a partir disso, promover o deslocamento prévio de equipes de recomposição física de redes, conhecida a magnitude provável das precipitações e ventos, minimizando o impacto para todos os consumidores daquela determinada região. Se conhecida a situação da arborização desta região, a precisão sobe ainda mais e auxilia também na decisão sobre os possíveis insumos necessários para a recomposição das redes. Ou seja, quanto maior o número de variáveis e dados cruzados e processados, a precisão para a tomada de decisão fica majorada. Mas é lógico que, por melhor que seja o algoritmo, é preciso “testá-lo e treiná-lo” visando corrigir eventuais inconsistências.





A resiliência das Linhas de Transmissão (LTs) também é testada pelo seu desempenho frente às descargas atmosféricas. A partir desta edição, trataremos deste assunto sob a coordenação do Eng. Eletricista Rafael Alipio, que é doutor em Engenharia Elétrica pela UFMG e professor do CEFET-MG, onde coordena o Laboratório de Transitórios Eletromagnéticos (LabTEM). Possui ampla experiência em desempenho de linhas de transmissão e desenvolve pesquisas e consultorias técnicas na área.

Desempenho de linhas de transmissão frente a descargas atmosféricas: uma visão geral
A disponibilidade de energia elétrica é um dos pilares fundamentais do desenvolvimento socioeconômico de qualquer país. No Brasil, o setor energético desempenha um papel estratégico, especialmente diante do crescimento constante da demanda. Nos últimos anos, os leilões de transmissão têm acelerado a expansão do Sistema Interligado Nacional (SIN), promovendo a construção de novas linhas de transmissão (LTs) de 230 kV ou tensão superior. Além das LTs de alta tensão, os níveis de subtransmissão, como 138 kV e 69 kV, são utilizados para transportar energia a distâncias moderadas e desempenham uma função essencial no suporte a subestações industriais, grandes consumidores e na distribuição local de energia.
As vastas dimensões do território brasileiro, combinadas com fenômenos climáticos extremos, como a alta incidência de descargas atmosféricas, e a necessidade de construção de linhas de transmissão
em regiões de alta resistividade, como áreas de relevo acentuado e próximas à costa litorânea, tornam as LTs particularmente vulneráveis. A figura 1 apresenta a contribuição das principais causas de desligamentos registrados entre os anos de 2012 e 2024, de acordo com dados do Operador Nacional do Sistema Elétrico (ONS) [1]. Observa-se que, dentre as principais causas identificadas, as condições meteorológicas adversas – com destaque para o papel das descargas atmosféricas – são responsáveis pela maior parte das perturbações em LTs da rede básica. Os desligamentos de linhas de transmissão resultam em perdas econômicas, como a interrupção de processos produtivos industriais, e problemas sociais, incluindo o impacto no fornecimento de energia residencial e o comprometimento do funcionamento de sistemas de saúde e segurança nas grandes cidades.





Figura 1 – Contribuição das principais causas de desligamentos em linhas de transmissão da rede básica registrados entre 2012 e 2024. Para referência, o número total de perturbações em cada ano foi: 1848 (2012), 1760 (2013), 1976 (2014), 2355 (2015), 2237 (2016), 2407 (2017), 2105 (2018), 2272 (2019), 2381 (2020), 2358 (2021), 2122 (2022), 2573 (2023) e 2801 (2024)
O cálculo da taxa de desligamentos de uma LT por descargas atmosféricas é realizado antes de sua implantação para verificar se, considerando os valores de distância de segurança e a resistência de aterramento média propostos no estudo de coordenação de isolamento, essa taxa atende aos limites máximos permitidos pelos órgãos reguladores – vide Tabela 1 [2]. No caso dos níveis de subtransmissão, as taxas de desligamento são definidas pelo administrador da linha e dependem do nível de confiabilidade requerido. A taxa de desligamento de uma LT é monitorada durante a sua operação com o objetivo de implementar, quando superados os limites de qualidade, ações de melhoria de desempenho.
Tabela 1 – Desempenho de uma LT aérea frente a descargas atmosféricas
Tipo de LT
Classe de tensão (kV) ≥
Número máximo de desligamentos de um circuito por 100 km por ano
Todas Por falha de blindagem
Apesar da relevância do tema para os setores elétrico e industrial, o assunto ainda gera discussão entre profissionais da área, e alguns conceitos fundamentais para a solução de problemas relacionados à proteção contra descargas atmosféricas continuam não sendo plenamente compreendidos. A abordagem multidisciplinar exigida pelo tema, sua complexidade estatística e a evolução constante das práticas e tecnologias de proteção contribuem significativamente para esses desafios. Por essa razão, o presente conjunto de fascículos a ser publicado sobre o tema tem

como objetivo oferecer uma abordagem simultaneamente abrangente e prática. Serão explorados: os principais passos no cálculo de desempenho de LTs, os parâmetros críticos – incluindo aqueles obtidos por medições –, as ferramentas computacionais utilizadas e as melhores práticas para melhoria/adequação do desempenho das LTs, tanto convencionais quanto não convencionais.
As descargas atmosféricas que atingem as linhas de transmissão podem resultar na ruptura do isolamento dessas linhas, ocasionando interrupções no fornecimento de energia. Em condições mais severas, podem também causar danos permanentes aos seus componentes. No entanto, a maior preocupação para a operação das linhas está relacionada às interrupções no fornecimento de energia elétrica. Este tema será o foco principal da discussão, embora aspectos relacionados a possíveis danos também sejam considerados em contextos específicos. Cabe ainda mencionar que, embora as linhas de transmissão sejam geralmente restabelecidas quase imediatamente pelos religadores automáticos dos sistemas de proteção, os órgãos fiscalizadores monitoram os indicadores de qualidade. Dessa forma, um desempenho não satisfatório frente a descargas atmosféricas pode resultar em processos de fiscalização e até mesmo na aplicação de multas.
Para avaliar o desempenho das linhas de transmissão frente às descargas atmosféricas, é necessário analisar três principais tipos de interação [3]:
1 - Falha de blindagem. Esse fenômeno ocorre quando uma descarga atinge diretamente os condutores fase, seja porque a linha não está protegida por cabos de blindagem ou porque a descarga transpõe os cabos de blindagem instalados (em outras palavras, quando os cabos de blindagem falham em blindar os condutores fase). Caso a corrente da descarga que “vazou” a blindagem produza uma sobretensão suficiente para provocar a ruptura do isolamento, é estabelecido um arco elétrico conectando o condutor fase à estrutura aterrada. A taxa de falha de blindagem é determinada considerando a presença, posição e configuração dos cabos de blindagem em relação aos condutores fase. Para um arranjo específico, essa taxa corresponde ao número de descargas que atingem diretamente os condutores fase com corrente suficiente para provocar a ruptura do isolamento.
2 - Backflashover. Nesse caso, a descarga atinge os cabos de blindagem ou a torre de transmissão. A corrente é direcionada para o sistema de aterramento de pé de torre e dispersada para o solo, produzindo uma elevação de potencial que é transmitida para a torre e suas mísulas, resultando em sobretensões nas cadeias de isoladores. Se a sobretensão provocar a ruptura do isolamento, configura-se o fenômeno de backflashover, com o estabelecimento de um arco elétrico conectando a estrutura aterrada e o condutor fase. A taxa de backflashover é



influenciada, sobretudo, pela resistência de pé de torre e nível de isolamento das cadeias de isoladores, sendo calculada com base no número total de descargas que atingem os componentes aterrados da linha e que provocam sobretensões com amplitude e taxa de crescimento suficientes para romper o isolamento. O backflashover é o principal mecanismo de desligamento por descargas atmosféricas para LTs de até 500 kV.
3 - Tensão induzida. Descargas atmosféricas que atingem o solo ou objetos próximos à linha podem induzir sobretensões nos condutores fase devido ao acoplamento entre os campos eletromagnéticos gerados pela descarga e os condutores da linha. No entanto, essas sobretensões raramente excedem 250–300 kV e, por isso, geralmente não representam um risco significativo para linhas de transmissão, que possuem níveis de suportabilidade a impulso superiores a 350 kV. Esse tipo de sobretensão é mais relevante para sistemas de média e baixa tensões.
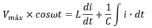
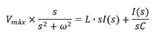
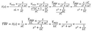
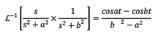
METODOLOGIA PARA CÁLCULO DA TAXA DE DESLIGAMENTOS DE LTS CAUSADOS POR DESCARGAS ATMOSFÉRICAS
Uma visão geral da metodologia para cálculo da taxa de desligamentos de uma linha de transmissão devido a descargas
• Mapas de densidade de descargas;
• Sistemas de localização de descargas (LLS);
• Dados históricos.

D. Densidade de descargas para terra na região da LT (Ng – descargas/km 2/ano).
E. Área de exposição da LT.

• Modelos de incidência;
• Modelo eletrogeométrico ;
• Modelo de progressão do líder.
• Distribuição cumulativa de corrente;
• Torres instrumentadas;
• Sistemas de localização de descargas (LLS).

F. Estatísticas das correntes de descarga atmosférica.
G. Corrente crítica.

• Corrente de descarga atmosférica;
• Modelagem eletromagnética dos componentes da LT;
• Aterramento de pé de torre;
• Suportabilidade das cadeias de isoladores;
• Plataformas computacionais (ATP & IEEE FLASH).

atmosféricas é apresentada na Figura 2. Esse processo é aplicado separadamente para as falhas de blindagem e para os desligamentos devido a backflashover. A soma dessas taxas resulta na taxa total de desligamentos por descargas atmosféricas da linha. De forma simplificada, a metodologia pode ser descrita conforme a seguir. A taxa de desligamentos da linha (representada pela Caixa A na Figura 2) corresponde, essencialmente, ao número de descargas atmosféricas que atingem a linha e que provocam a ruptura do isolamento. Para calcular essa taxa, o primeiro passo é determinar o número total de descargas atmosféricas que atingem a linha (Caixa B) e, em seguida, avaliar a porcentagem dessas descargas que resultariam na ruptura do isolamento da linha (Caixa C). O cálculo do número de descargas que atingem a linha é realizado pelo produto da área de atração ou exposição da linha (Caixa D) pela densidade de descargas da região (Caixa E). A probabilidade de ruptura do isolamento é determinada por dois fatores principais: a amplitude e a taxa de crescimento das sobretensões geradas pelas descargas atmosféricas, e a suportabilidade das cadeias de isoladores da linha. As sobretensões geradas pelas descargas dependem, fundamentalmente, das propriedades da corrente de descarga e das características da linha de transmissão. Considerando

B. Número anual de descargas para linha de transmissão, por 100 km.

A. Taxa de desligamento da linha de transmissão, por 100 km, por ano.

C. Probabilidade de a corrente crítica ser excedida.
Figura 2 – Visão geral da metodologia utilizada para calcular o desempenho de uma linha de transmissão aérea frente a descargas atmosféricas – Adaptado de [3]




essas características, simulações computacionais são realizadas para determinar a menor corrente capaz de causar a ruptura do isolamento. Essa corrente – ou sua amplitude – é conhecida como “corrente crítica” (Caixa G). Finalmente, a probabilidade de a corrente de uma descarga que atinge a LT exceder esse valor crítico é obtida por meio de funções de distribuição estatística (Caixa F).
OS DADOS DE ENTRADA E SUBPROCESSOS DESTA METODOLOGIA SÃO:
• Número de descargas incidentes na linha. Esse valor é determinado calculando a área de atração ou de exposição, dentro da qual as descargas atmosféricas podem atingir a linha. Essa área de atração é então multiplicada pela densidade de descargas para a terra na região para calcular o número total de descargas que atingem a linha. A densidade de descargas é expressa em descargas/km²/ano (Ng, em que N indica 'number' e o subscrito g indica 'ground'). Para determinar a área de atração da linha, tipicamente, o Modelo Eletrogeométrico (MEG) tem sido amplamente utilizado, pois oferece uma maneira simples de estimar o número de descargas que atingem os cabos de blindagem e os condutores fase. No entanto, métodos mais detalhados, como os Modelos de Progressão do Líder (LPM, do inglês Leader Progression Model), são capazes de simular o desenvolvimento do canal descendente por passos consecutivos e de determinar o ponto de impacto da descarga atmosférica. A frequência de ocorrência de descargas atmosféricas aplicável ao sistema de transmissão é obtida por meio dos chamados mapas de densidade de descargas. Fontes de dados sobre a densidade de descargas incluem Sistemas de Localização de Descargas Atmosféricas (LLS, do inglês Lightning Location System) e outras bases de dados históricas. A determinação da área de exposição de linhas de transmissão e uma discussão sobre mapas de densidade de descargas, incluindo exemplos, serão abordadas em um fascículo específico desta série.
• Corrente crítica. O cálculo da corrente crítica é realizado utilizando técnicas de modelagem de transitórios eletromagnéticos de alta frequência. A descarga atmosférica é modelada como uma fonte de corrente, cuja amplitude e forma de onda determinam as sobretensões resultantes, e os componentes da LT são representados por seus modelos de alta frequência. A ocorrência da ruptura do isolamento da LT depende de sua suportabilidade, que é determinada pelas características das cadeias de isoladores, como o número de discos, o diâmetro e o passo entre eles. O cálculo das sobretensões atmosféricas e posterior determinação da corrente crítica é realizado utilizando plataformas de simulação de transitórios, como o Alternative Transients Program (ATP), ou plataformas dedicadas ao cálculo do desempenho de LTs frente a descargas atmosféricas, como o IEEE FLASH. As discussões sobre o processo de cálculo da corrente crítica, os parâmetros das correntes de descarga importantes para a avaliação do desempenho de LTs, e as plataformas computacionais utilizadas serão abordadas em fascículos específicos desta série, incluindo exemplos práticos de cálculo.
– Sistema de aterramento de pé de torre. O cálculo da corrente crítica no fenômeno de backflashover – que constitui o principal mecanismo de desligamento por descargas atmosféricas para LTs

de até 500 kV – é fortemente influenciado pelo valor da resistência de pé de torre. Dada a importância do aterramento de pé de torre, fascículos específicos desta série serão dedicados à discussão do processo de medição de resistividade do solo ao longo do traçado da LT, do impacto da resistência de pé de torre nas sobretensões resultantes nas cadeias de isoladores, e dos desafios envolvidos na medição da resistência de aterramento de pé de torre. – A redução da resistência de pé de torre constitui a principal prática para melhorar o desempenho de LTs frente a descargas atmosféricas, considerando o mecanismo de backflashover. No entanto, no caso de linhas que atravessam regiões de solo de elevada resistividade, essa prática pode ser tecnicamente inviável. A discussão de técnicas convencionais para a melhoria do desempenho de LTs, como a otimização do sistema de aterramento, e de técnicas não convencionais e complementares – aplicáveis, por exemplo, a regiões de alta resistividade –, como o uso de para-raios de óxido de zinco e a instalação de cabos underbuilt, será abordada em fascículo específico desta série.
• Probabilidade de que a corrente associada à descarga atmosférica exceda a corrente crítica. Essa probabilidade é calculada com base em distribuições estatísticas de correntes de descargas atmosféricas e no valor da corrente crítica previamente determinado. A descrição das distribuições que definem a probabilidade de uma determinada amplitude de corrente ser excedida – incluindo referências internacionais e nacionais –, a origem dessas distribuições (torres instrumentadas para medição de corrente ou sistemas LLS) e exemplos de aplicação serão o foco de um fascículo específico desta série.
COMENTÁRIOS FINAIS
O cálculo de desempenho de linhas de transmissão frente a descargas atmosféricas é uma tarefa desafiadora, que exige uma abordagem multidisciplinar e rigor técnico. Esse processo envolve hipóteses e simplificações, além de lidar com incertezas associadas a alguns dados de entrada.
Os fascículos desta série têm como objetivo oferecer uma abordagem prática e acessível, adequada às demandas do setor, sem abrir mão do rigor científico essencial ao tema. Serão explorados, de maneira abrangente, os diversos aspectos do cálculo de desempenho de LTs, incluindo os dados necessários, o impacto das incertezas relacionadas a esses dados nas estimativas de desempenho, e as principais práticas – convencionais e não convencionais – para a melhoria do desempenho de linhas frente a descargas atmosféricas.
[1] Operador Nacional do Sistema (ONS), “https://www.ons.org.br/Paginas/ resultados-da-operacao/qualidade-do-suprimento-paineis.aspx,” Operador Nacional do Sistema (ONS).
[2] Operador Nacional do Sistema (ONS), “Procedimentos de Rede: Submódulo 2.7 - Requisitos mínimos para linhas de transmissão,” Rio de Janeiro, 2022.
[3] Working Group C4.23, “CIGRE TB 839: Procedures for Estimating the Lightning Performance of Transmission Lines – New Aspects,” Paris, 2021.









É composto por quadro de distribuição compacto (QDC) ou cabine de barramentos, caixas de leitura local e remota, e caixas tipo MEC.



Barramento Blindado de baixa tensão


Linhas elétricas pré-fabricadas com capacidade de 320A a 6.300A 3P+N+PE, em alumínio ou cobre, preparado para o monitoramento de temperatura e vibração. De acordo com a norma NBR-IEC-61.439.
É utilizado para o transporte de energia em 17,5kV, 24kV e 36kV, produzido de acordo com a norma NBR-IEC-62.271-200, grau de proteção IP 55, e fornecido nas correntes de 630A, 1250A e 2500A, para sistemas de fases segregadas e não segregadas.






















Um dos pioneiros no estudo do arco elétrico no Brasil, o engenheiro eletricista com mais de 44 anos de experiência em proteção e análise de sistemas, Claudio Mardegan, coordenará, ao longo de 2025, este fascículo, que tem como objetivo tratar da nova Norma de Arco Elétrico, que está em fase final de elaboração na ABNT. Autor do livro A Proteção e a Seletividade em Sistemas Elétricos Industriais, palestrante no CINASE e membro sênior do IEEE (M´2012, S’2013), Mardegan é, atualmente, CEO da Engepower.

INTRODUÇÃO
É com grande alegria que estamos iniciando estes fascículos colecionáveis, com um tema de tamanha importância. Agradeço à revista por me escolher coordenar este trabalho.
Fui um dos pioneiros no estudo do arco elétrico no Brasil. Meu primeiro artigo sobre o tema foi “Faltas através de arco em sistemas de baixa tensão”, publicado na revista Mundo Elétrico, em junho de 1986. Sou um estudioso de arco. Minha empresa EngePower foi também uma das empresas pioneiras em Estudos de Energia Incidente.
Mais tardar em março deste ano, lançaremos um livro pioneiro também sobre Energia Incidente, onde convidei como coautores do livro, dois grandes profissionais e amigos: Filipe Resende e
• Alberto Luis Krawczyk
• Adriano Colassante
• Aguinaldo Bizzo
• Celso Pereira Mendes
• César Viana Moreira
• Cristina Peres
• Cláudio S Mardegan
• Daniel Abreu
• Daniel de Almeida Maciel
• Diego Felipe Sales Ferreira
• Edson Martinho
• Eduardo Moreira
• Edmilson José de Castro
• Ewerton Aquino
Márcio Bottaro. Obviamente, também os convidei para fazer parte deste tema dos artigos colecionáveis para enriquecer ainda mais o conteúdo.
O objetivo desta obra, assim como deste fascículo, é atualizar os conhecimentos dos nossos leitores sobre o momento atual que estamos sobre o tema arco elétrico, bem como com a nova norma que será lançada.
A estrutura inicial desta nova norma (ABNT NBR 17227), que tive a honra de elaborar, juntamente com os demais Integrantes da Comissão de Trabalho designada para tal, foi resultado de ampla colaboração, competência, organização e dedicação de grandes nomes do setor elétrico brasileiro, que inclusive, faço questão de nominar. São eles:
• Filipe Barcelos Resende
• Giovani Zaparoli
• Glauco Vasconcelos
• Helbert Hudson Candeia Gonçalves
• Henrique Fantoni Primo
• João Cunha
• Jairo Crisóstomo Sobrinho
• Junio Viana
• Leandro Bonini Tonielo
• Luciano Dias
• Luiz Henrique Zaparoli
• Luiz Lima
• Marina Camponogara
• Márcio Bottaro
• Marcos Rogério
• Meliza Guimaraes
• Marlize Voigtlaender
• Pedro Rezende Coelho
• Paulo Henrique V. Soares
• Ronaldo Roncolatto
• Sérgio Santos
• Thiago Ferreira
• Uirê Ribeiro Ferreira
• Wanderson Rosa Oliveira
• Waterson dos Santos Soares
• Wladimir Rodrigues Ramos



Até 1950 todos os dispositivos de proteção de sobrecorrente eram instantâneos. Constituíam de fusíveis e disparadores magnéticos, eliminando a falta instantaneamente (sem retardamento intencional). Quando surgiu o relé eletromecânico de disco de indução, em meados dos anos 50, a eliminação da falta passou a ser temporizada (retardada intencionalmente). A seletividade passou a fazer parte do contexto dos engenheiros de proteção. Com o retardamento do tempo de eliminação de falta, as faltas começaram a aparecer como um grande problema, causando a destruição de muitos equipamentos tais como conjuntos de manobra, CCMs, quadros, painéis, etc.
Enquanto os dispositivos eram apenas instantâneos, pensava-se que os curto-circuitos eram francos (metálico, sem impedância). A partir da temporização das faltas, com o advento relé de disco de indução, percebeu-se que existia um outro tipo de falta, as faltas por arco. Kaufmann, R. H. e Page, J. C. publicaram um artigo explicando a natureza do arco no início da década de 60.
Entre 1960 e 1978, muitos painéis foram danificados levando as companhias seguradoras a pagarem prêmios elevadíssimos devido aos sinistros provocados pelos arcos. Um pouco antes de 1978, as companhias de seguro americanas pagaram os melhores engenheiros americanos para estudarem o problema e em 1978, foi acrescida a Seção 230-95 no NEC (National Electric Code, NFPA-70).
O objetivo desta seção foi tornar obrigatória a utilização de proteção específica de terra em sistemas com mais de 150V fase-terra e com mais de 1000 A.
No final da década de 80, Ralph Lee, o pai da energia incidente, publica um artigo mostrando que o risco de choque elétrico não é o único problema relacionado à proteção pessoal do profissional que lida com eletricidade, e que, as queimaduras por arco elétrico, poderiam causar ferimentos ou mesmo a morte do profissional. Ralph Lee demonstrou que, se uma pessoa fica sujeita a uma queimadura menor ou igual à de segundo grau, ele não morreria, e que, para nunca exceder a queimadura de segundo grau, a energia incidente no local onde o profissional atua não deve exceder a 1.2 cal/cm2. Atualmente, 1.2 cal/cm2 é considerado o nível básico de exposição tolerável sem a utilização de vestimentas com categorias específicas para resistir as energias resultantes de um arco elétrico. Para calcular os níveis de exposição, equações que serão descritas nestes fascículos são suportadas por modelos matemáticos que são baseados em modelos estatísticos derivados de exaustivos testes realizados usando várias amostras a partir dos quais se chega ao equacionamento destas equações obtidas através de ajuste de curvas (curve fit).
A análise contida nestes fascículos utiliza tais modelos para determinar a distância limítrofe do arco (distância de aproximação segura) na qual uma queimadura de segundo grau não é atingida, ou seja, quando se utiliza uma vestimenta sem classificação para arco

(apenas um uniforme de algodão padrão) ou quando usando um EPI limita a energia incidente adequadamente.
Para um melhor entendimento do surgimento da segurança devido às faltas por arco, foram selecionados alguns marcos julgados mais relevantes dentro deste contexto. Apresenta-se a linha do tempo (Figura 1) indicando algumas datas que irão auxiliar a compreensão do fenômeno.

1879
Até 1879, Thomas Alva Edson já tinha aperfeiçoado a lâmpada e inventado geradores, comutadores, soquetes e fusíveis, tudo em Corrente Contínua. Nesta data, Edson energizou a primeira Usina Geradora em corrente contínua em NY, abastecendo 59 consumidores com 3 geradores de 150 kW em 208 V.
Três anos mais tarde, George Westinghouse e Nicolau Tesla, impulsionam a corrente alternada. São os primórdios dos sistemas em corrente alternada que ainda eram monofásicos. Também, igualmente ao sistema em corrente contínua, eram não aterrados.
Com o aumento do interesse em se ter energia elétrica, principalmente para iluminação e aquecimento, o consumo de potência cresce e os sistemas passam a ser trifásicos por questões econômicas, visto que se consegue transportar mais corrente gastando-se menos cobre.
Como os sistemas eram não aterrados começaram a surgir as sobretensões transitórias as quais podem chegar de 5 a 8 x Vn, em um tempo muito pequeno (normalmente em até 1.5 ciclos), queimando equipamentos. Surgiu então uma nova corrente que defendeu a bandeira de que os sistemas solidamente aterrados eram melhores, por mitigar a questão da sobretensão transitória. O aterramento dos sistemas evolui para sistemas aterrados.
1950
Antes de 1950 o foco era apenas na proteção, até mesmo porque não havia relés temporizados. Os primeiros sistemas eram não aterrados e as cargas eram de baixa potência e assim, as tensões de transmissão e distribuição não eram elevadas. As proteções eram realizadas por dispositivos instantâneos (fusíveis e elementos magnéticos).
Com o aumento da potência das cargas foi necessário elevar a tensão para transmitir a energia elétrica (cada vez para lugares mais




distantes) e rebaixar nos pontos de consumo. Os transformadores de distribuição foram aumentando de tamanho.
Somente nos meados da década de 50 que surgiu o relé eletromecânico de disco de indução. A partir daí, é que se começou a pensar e realizar estudos de seletividade, ou seja, quando da ocorrência de um curto-circuito, procurar desligar-se apenas o dispositivo de proteção mais próximo da falta e imediatamente à montante da falta.
Com o aumento contínuo da potência dos transformadores e da tensão secundária dos transformadores, começaram a surgir as faltas por arco em baixa tensão, as quais mostraram-se altamente destrutivas. As faltas por arco começam a incomodar devido ao seu caráter altamente destrutivo, levando a um tempo médio de reparo (MTTR) muito elevado. Os profissionais de análise de sistema começam a perceber que os defeitos (faltas) não eram apenas faltas francas. Podem ocorrer faltas por arco, sendo a grande maioria por arco shunt, que é também a mais conhecida, mas existe também o defeito (falta) por arco série, menos comum, mas com probabilidade mais alta de ocorrência em locais com dispositivo de manobra extraíveis.
1960
Os primeiros artigos tentando entender a natureza do arco surgem apenas por volta de 1960. Kaufmann, R. H. e Page, J. C. escrevem o artigo “Arcing fault protection for low-voltage power distribution systems—nature of the problem,” AIEE Transactions Power Apparatus Systems, vol. 79, pp. 169–167, June 1960.
1961
Ocorre a primeira Edição da norma IEEE Std 80 “IEEE Guide for Safety in AC Substations Grounding”. Este Guia possui contribuições valiosas de Dalziel (corrente de choque) e Sverack (Tensões de passo e toque). Os danos devidos às faltas por arco vão se tornando mais frequentes.
Poucos anos mais tarde, o IEEE Std 141 (RED BOOK), publica fatores de multiplicação para cálculo do valor mínimo provável da falta por arco.
1977
Stanback, H. I. publica o artigo “Predicting damage from 277-V single phase to ground arcing faults,” IEEE Transactions on Industry
Applications, vol. IA-13, no. 4, July/Aug. 1977. As companhias de seguro americanas estavam pagando elevados valores para repor os painéis de baixa tensão.
Assim, em 1978, o NEC incluiu a Seção, 230-95, a qual falava de faltas através de arco em baixa tensão, inserindo a necessidade de proteções específicas de terra em todos os sistemas com mais de 1000 A e com tensão fase-terra acima de 150V. Adicionalmente, prescreveu o ajuste máximo a ser implementado nesta proteção, conforme Figura 2.

Figura 2 – Ponto NEC

Primeira edição da norma NFPA-70E (National Fire Protection Association) - “Standard for Electrical Safety Requirements for Employee Workplaces” – Normas e requisitos de segurança elétrica para os locais de trabalho.
Ralph Lee publica o artigo “The other electrical hazard: electrical arc blast burns,” IEEE Transactions on Industry Applications, vol 1A-18. no. 3, p. 246, May/June 1982, chamando a atenção da comunidade de eletricidade para outro risco de ferimento em eletricidade, o arco elétrico.

1986



Dunki-Jacobs, J. R. apresenta o artigo “The escalating arcing groundfault phenomenon,” IEEE Transactions on Industry Applications, vol. IA-22, no. 6, Nov./Dec. 1986. Neste documento, mostra-se que uma falta monofásica pode evoluir para trifásica em poucos ciclos (2 a 3 ciclos) devido a ionização promovida pelo arco, no ponto onde o mesmo ocorre.
1987
Ralph Lee and Dunki-Jacobs, J. R. apresentam o artigo “Pressures developed by arcs,” IEEE Transactions on Industry Applications, vol 1A-23, pp. 760–764, 1987. Neste artigo Ralph Lee junto com DunkJacobs, um dos maiores estudiosos de arco, revelam que a pressão sobe muito rapidamente dentro de invólucros fechados, ficando difícil de conter o arco.
1991
OSHA (Occupational Safety and Health Administration) inclui práticas seguras em eletricidade e além do choque elétrico, adiciona o risco do arco elétrico.
1995
Na quinta edição da norma NFPA-70E é incluída, pela primeira vez, o conceito de limites de aproximação e arco.
2000
Na sexta edição da norma NFPA-70E, inclui-se o conceito de zona limite para proteção de arco e os EPI´s (roupas e luvas).
Publicação da primeira edição da norma IEEE Std 1584 - IEEE Guide for Performing Arc-Flash Hazard Calculations. Este foi o grande marco. Esta norma foi de grande valor, pois os métodos de cálculo de energia incidente propostos por Ralph Lee, conduziam em valores de energia incidente muito alta e, consequentemente, vestimentas de proteção extremamente desconfortáveis que impõe grande limitação ao trabalhador. Utilizando-se de métodos estatísticos, devido à característica instável do arco, e após a definição das principais grandezas de influência na corrente de arco e na energia do arco, as equações para a determinação destas grandezas foram obtidas a partir dessas amostras, através de ajuste de curva (curve fit), com base em 300 ensaios.
Na sétima edição da norma NFPA-70E aceita e inclui-se o método de cálculo do IEEE Std 1584.
Publicação da segunda edição da norma IEEE Std 1584 em 30.11.2018.
Referências Normativas - NR-10 - NBR-61384 - NEC 2023 - NFPA 70E - IEEE Std 1584 – 2018 - NESC 2024 - IEC 60034-3 2007
ESCOPO DOS FASCÍCULOS COLECIONÁVEIS
Pois bem, a partir dessa contextualização, apresento a seguir a estrutura dos próximos capítulos deste fascículo, aos quais convido a todos os leitores da Revista OSE para acompanharem e prestigiarem este trabalho, que certamente trará grandes contribuições técnicas sobre o tema.
FASCÍCULO 2
• Termos e Definições
• Ponderações Anteriores ao Estudo de Energia Incidente
FASCÍCULO 3
• Processo para a realização da Análise de Energia Incidente – 1ª Parte
FASCÍCULO 4
• Processo para a realização da Análise de Energia Incidente – 2ª Parte

FASCÍCULO 5
• EPIs
FASCÍCULO 6
• Sinalização dos Níveis de Energia
• Técnicas para a Redução da Energia Incidente
FASCÍCULO 7
• Análise Estatística em Função da Probabilidade de Ocorrência
FASCÍCULO 8
• Recomendações para Operação e Manutenção
• Gestão do Estudo de EI



O segmento de transmissão é estratégico e condicionante para o desenvolvimento nacional. Neste fascículo, teremos como mentor o Eng. Eletricista Rogério Pereira de Camargo, que é atualmente uma referência nacional no tema. Com MBA em Gestão de Negócios pelo IBMEC, Pós-Graduação em Eng. de Manutenção pela UFRJ, Admin. pela FAAP, cursando Pós-graduação Master em ESG e Gestão Estratégica da Sustentabilidade pela FIA Business School, Rogério Camargo atua desde 1994 como Gestor e Diretor Técnico na implantação e operação e manutenção de projetos de transmissão para investidores nacionais e internacionais.
A evolução do sistema de transmissão no Brasil de 2000 a 2024
Quando fui convidado para escrever os capítulos do fascículo sobre Transmissão: Caminhos da Energia, me senti muito honrado e ao mesmo tempo com muita responsabilidade.
Atuo no setor de transmissão desde os primeiros leilões em 2000, após o RESE-B (modelo de reestruturação do setor elétrico brasileiro implantado no final da década de 90). Neste primeiro capítulo, além de mostrar os dados históricos e estatísticos da evolução e crescimento das linhas de transmissão, subestações e da capacidade de transformação que podemos encontrar nos relatórios da EPE (Empresa de Pesquisa Energética), irei registrar algo muito particular, uma visão de quem vivenciou diversos projetos neste período, tanto do ponto de vista de implantação como da operação, assim como, algumas propostas de aprimoramento e evolução na gestão destes projetos.
Para melhor ilustrar esses 24 anos de um segmento que vem passando por transformações, em vez de simplesmente juntar dados oficiais, irei fazer um registro mais autoral, mas antes disso, já adianto que o setor requer aprimoramento e evolução. Vivenciei diversos fatos interessantes durante minha trajetória profissional, adquirida através do trabalho em diversas empresas e investidores do setor, alguns dos quais, compartilharei neste artigo.
Os projetos de transmissão são projetos lineares, ou seja, atravessam, em alguns casos, diversos estados da federação, biomas, áreas sensíveis ambientalmente, realidades sociais distintas, entre outras externalidades positivas e negativas. Somente observando essas características, verificamos que a evolução


que o mundo passou nos últimos anos, do ponto de vista de ESG e da necessidade de adaptação às novas regras de compliance e governança, já demonstram uma grande necessidade de alteração no olhar para a gestão desses projetos, até mesmo a fim de preparar o empreendimento para a fase operacional, com uma melhor gestão de riscos do ponto de vista ambiental, social, governança e operacional. Obviamente, sem deixar de citar o cenário atual de exposição a eventos climáticos extremos, resiliência das redes, novas tecnologias de controle, novas cargas (data centers) e eletrificação da economia, integração regional (renováveis), novas plantas de hidrogênio de baixo carbono, uso da inteligência artificial para a gestão de ativos e uso de ferramentas computacionais para melhor controle da performance operacional.
Outro cenário interessante a se analisar é o crescimento da malha de transmissão de energia elétrica ao longo das décadas.
A evolução do segmento de transmissão é algo que sempre comento, acompanha o crescimento econômico e a evolução, não só do setor de energia, mas do país como um todo, isso fica claro, quando olhamos os mapas de evolução física do sistema interligado, ressaltando o desenvolvimento das fontes de geração hidráulica na região norte, o desenvolvimento industrial das regiões sul e sudeste, o desenvolvimento da região centro-oeste com o agronegócio, o aumento das fontes renováveis solar e eólica nas regiões nordeste, norte de Minas, Bahia e Goiás, e também no Piauí, o chamado corredor do sol.






No início dos anos 2000 (2001/2002), o Brasil passou por uma crise que levou ao racionamento de energia elétrica, e os principais fatores causadores foram a falta de infraestrutura de transmissão e a carência de interligações regionais para cumprirem a função de interligação/integração energética entre os subsistemas norte-nordeste e sul-sudeste.
Nesse período, foram ofertados, no segundo leilão de transmissão, dois projetos estruturantes: a interligação nortesul II e a interligação sudeste nordeste, um deles foi vencido por um investidor que não deu prosseguimento ao projeto e o vendeu/repassou no mercado secundário para outro investidor, este leilão, pela pouca concorrência, foi vencido com deságio próximo de zero, proporcionando assim, uma excelente taxa de retorno.
Os processos de leilão reverso que remuneram o investimento pela receita anual permitida (RAP), pago em parcelas mensais, sempre atraíram muitos investidores privados, pela previsibilidade e garantia do retorno do investimento em um contrato de concessão com a união, por um período médio de 30 anos.
Neste segundo leilão, conforme citei, foram colocados em disputa, dois grandes projetos estruturantes: a interligação norte-sul II - composta por 1.278 km de linhas em 500 kV com equipamentos FACTS (Flexible Alternating Current Transmission); 06 subestações, atravessando GO, TO, MA e DF e interligação sudeste-nordeste com aproximadamente 1.139 km de linhas em 230 e 500 kV, 04 subestações, atravessando os estados de GO e BA. Estes projetos, contribuíram naquele momento para melhorar o intercâmbio energético, mitigando o risco de racionamento de energia, por conta da complementaridade hidrológica entre as regiões norte-sul e sudeste do Brasil.
Um dos desafios dos reguladores que gostaria de registrar no segmento de transmissão são: os parâmetros/requisitos para
selecionar players e investidores qualificados com capacitação técnica e financeira para implantação dos projetos dentro dos prazos exigidos pelo planejamento do setor.
Foram diversos os casos de investidores aventureiros que venceram a disputa pelos lotes, mas não tiveram capacidade financeira para implantação, causando diversos problemas para o segmento de transmissão e para os órgãos de controle que tiveram, em alguns casos, relicitar os lotes, em outros casos, os mesmos foram negociados no mercado secundário para outros investidores, causando também um problema para a operação que precisou gerenciar o sistema de transmissão, muitas vezes com restrições, causados pelos atrasos na entrada em operação destes lotes.
Ainda como registro relevante para este período pioneiro, foram os problemas envolvendo o óleo isolante com excesso de enxofre corrosivo, somente nestes dois projetos citados acima, falharam mais de 18 reatores e transformadores em 230 e 500 kV, alguns deles com explosões. Nesta mesma época, houve falhas recorrentes em diversas outras concessões de transmissão, envolvendo praticamente todos os fabricantes de reatores e transformadores do mercado nacional.
Esse fato se tornou um case internacional, que levou a alterações nas normas e nos métodos de ensaios para verificação da presença e contaminação por excesso de enxofre corrosivo em óleos isolantes.
Outro ponto que merece destaque e que iremos discutir em outros capítulos é a questão do licenciamento ambiental, por ser um projeto linear, em alguns casos as linhas atravessam áreas de sensibilidade ambiental, comunidades indígenas e quilombolas, determinando um processo em alguns casos de licenciamento trifásico, com a necessidade de licença prévia, de instalação e operação, para o caso do traçado da linha ultrapassar mais de um estado da federação, o licenciamento deverá ser realizado



pelo IBAMA. Por isso, muito tem se discutido para que os projetos sejam leiloados já com a licença prévia, porém esse tema ainda é objeto de discussão entre os órgãos licenciadores e investidores.
Um ponto que acredito merece maior atenção dos órgãos reguladores e fiscalizadores, até mesmo para a fase de edital, é a gestão da implantação com a necessidade de um maior rigor, quanto ao acompanhamento, fiscalização e a penalização para projetos, onde ocorrem, durante a implantação, acidentes de trabalho com gravidade severa e/ou fatal.
Nestes 24 anos, durante a implantação, por conta da pressão pelo prazo de conclusão da obra em busca da antecipação da receita, já ocorreram diversos acidentes de trabalho em uma quantidade bastante elevada. Talvez a ideia de se estabelecer uma penalização para a concessionária, de não receber a receita antecipada em caso de acidentes fatais, traria um maior rigor para a prevenção dos acidentes de trabalho em toda a cadeia produtiva do setor de transmissão, outra sugestão, seria a proibição na participação nos próximos leilões de transmissão.
Sobre a cadeia produtiva, tanto a empresa contratada para construção e montagem, como a concessionária, que possui a responsabilidade frente à União, através do contrato de concessão, deverão responder solidariamente, em casos de acidentes do trabalho.
Quando falamos em Operação e Manutenção (O&M), o segmento de transmissão é remunerado pela disponibilidade das funções de transmissão, nos primeiros projetos implantados por investidores privados, havia uma dificuldade enorme para estruturar as equipes de O&M qualificadas para suportar os processos de execução, tanto de operação, manutenção e engenharia de operação e manutenção. Atualmente existem algumas prestadoras de serviços, mas devido ao crescimento exponencial do segmento, essa carência de mão de obra qualificada no setor ainda permanece, principalmente de profissionais com competências e capacitações em controle e sistemas proteção de equipamentos FACTS (Flexible Alternating Current Transmission).
Cenários de Referência: Investimentos

A partir do RESE-B, na década de 90, com a diminuição da integração entre as empresas, a formação de mão de obra técnica e qualificada ficou por conta dos novos controladores das empresas privatizadas, que na minha opinião, não investiram na formação dos profissionais de forma coordenada. Uma sugestão seria a formação de escolas específicas nos moldes do SENAI, que formam profissionais para a indústria, com a capacitação de técnicos especializados para a operação e manutenção, bem como o treinamento de engenheiros especializados, principalmente envolvendo as novas tecnologias FACTS, BESS, Plantas de Hidrogênio e Sistemas de Proteção, Controle e Supervisão, além, obviamente, dos equipamentos de conexão, máquinas e linhas de transmissão. O segmento de energias renováveis já deu alguns passos neste sentido, porém os segmentos de transmissão e geração hidráulica perderam muito da formação que era organizada e realizada de forma coordenada e setorial pelas empresas.
O setor elétrico como área que serve de insumo para quase todos os segmentos da economia, tem a necessidade de formação coordenada de mão de obra especializada, e deveria ter um olhar mais atento dos órgãos de estado, entendo que isso está acima dos interesses corporativos, indo ao encontro do desenvolvimento econômico do País.
Outro ponto que merece destaque é a gestão de riscos na elaboração dos planos de negócios dos investidores, que utilizam da antecipação da obra como elemento de ganho financeiro em seus cálculos de taxas de retorno, transferindo depois, o risco da não conclusão da obra para a União, e em última análise, com prejuízo aos consumidores finais. Como sugestão, também deveria haver, no meu ponto de vista, uma penalidade severa para os investidores que não conseguirem cumprir com os cronogramas contratados, e que não fizeram suas devidas análises de riscos, para, em caso de atrasos na obra, ou descumprimento do contrato, serem punidos também com a impossibilidade da participação em futuros leilões.











Cenário de Referência: Linhas de Transmissão

Cenário de referência: Subestações

Podemos observar um crescimento bastante expressivo do nível de investimento no segmento de transmissão, onde temos que considerar a necessidade de olhar para todos os aspectos do ecossistema que envolve esse segmento, são eles: investidores; empresas de engenharia consultiva; empresas de construção e montagem; fabricantes de equipamentos; e principalmente, como balancear os interesses econômicos com a segurança sistêmica o equilíbrio econômico dos contratos frente a modicidade tarifária.
As linhas de transmissão, como diz o título deste fascículo, são os caminhos da energia, por conta disso, possuem diversos aspectos como: a complexidade do sistema interligado e a
dificuldade da gestão de diversos contratos de concessão oriundos dos leilões de transmissão. Outro ponto que necessita de atenção é a ação dos lobbies com o objetivo de obter ganhos financeiros e muitas vezes, olhando em perspectiva, caminhando no sentido contrário à modicidade tarifária.
Há ainda a necessidade de aprimoramento da regulação, para que haja um sinal econômico com o objetivo de incentivar a inovação tecnológica, sendo que este sinal, venha para dentro dos projetos licitados, e não fiquem a nível das autorizações, com taxas de retorno mais elevadas, favorecendo somente algumas concessionárias específicas.
Teremos diversos temas para as edições futuras, onde iremos aprofundar em segmentos como O&M, Gestão de Ativos, ESG, Leilões, dentre outros assuntos de interesse, voltados para o segmento de transmissão. Até o próximo capítulo!








Inovação na distribuição e novas tecnologias de suporte: inteligência artificial, realidade virtual e blockchain
Ao longo do ano, este fascículo reunirá uma coletânea dos melhores artigos apresentados durante o Congresso de Inovação na Distribuição de Energia - CIDE, realizado pelo Grupo O Setor Elétrico, em Parceria com a Abradee, no Transamerica Expo Center, em São Paulo, entre os dais 5 e 6 de junho de 2024.
Sistema de Predição e Detecção de Falhas por Imagens nas Redes de Energia Elétrica, incorporando Termovisão, Análise de Iluminação Pública, Imagens UV, Redes Neurais e Inteligência Artificial, conectado em nuvem
Por Francisco Fambrini, Diogo Gará Caetano, Rafael Reis, José Angel Ivan R. S., Bismark Cotrim e Ana Marina Santos.
1 - INTRODUÇÃO
Este artigo descreve o desenvolvimento de uma ferramenta aplicada ao processo de inspeção de redes aéreas de distribuição de energia tendo como principal diferencial o uso de técnicas de inteligência artificial para o reconhecimento de padrões de elementos elétricos. A solução utiliza veículos terrestres e drones equipados com GPS, Pan-Tilts eletromecânicos e múltiplas câmeras ópticas e térmicas buscando o aumento de eficiência, padronização e redução de custos no processo de inspeção das redes de energia (Fambrini F, Iano Y. et al, 2017). O desenvolvimento da ferramenta incluiu as etapas de pesquisa, especificação de equipamentos, planejamento de processos, escolha e contratação de equipe, projetos elétricos e mecânicos, execução e montagem de estruturas metálicas, desenvolvimento de software e hardware, integração de peças, adaptação veicular e diversos testes de campo para validação e avaliação da metodologia proposta. Os métodos convencionais, por outro lado, utilizam um operador humano para as câmeras, o qual é acomodado dentro do veículo em uma posição em geral ergonomicamente incorreta e consegue manipular a câmera através de um joystick, ou apenas uma câmera nas mãos, obtendo fotos dos elementos e analisando-as uma a uma visualmente. Neste projeto é usada uma combinação dos seguintes subsistemas de controle: processamento e reconhecimento de padrões de imagens através da técnica de redes neurais e aprendizado profundo (Deep Learning), filtragem e descarte de imagens indesejadas, escolha das melhores imagens, matching de imagens ópticas e térmicas, extração de temperatura em imagens térmicas, cálculos de coordenadas de elementos observados, filtragem de medidas, controle de metadados de imagens e combinação com dados de GPS, compensação da posição do Pan-Tilt mediante a posição de postes, interfaces de controle,
interfaces de monitoramento, controle automático e manual, sistemas de conversão de tensão para alimentação elétrica dos circuitos e sistemas embarcados.
2 - OBJETIVO
Este projeto tem como objetivos a redução do tempo e do custo do processo de inspeção de linhas aéreas de distribuição de energia através da utilização das mais recentes técnicas de Inteligência Artificial e Visão Computacional. Desta forma, aumenta-se a capacidade das concessionárias em inspecionar a totalidade de suas redes em menor tempo, garantindo assim uma maior confiabilidade e qualidade na prestação dos serviços de distribuição de energia elétrica.
3 - DIAGNÓSTICO: PROBLEMA ENFRENTADO
Atualmente a exigência pelo fornecimento de energia elétrica contínua e de boa qualidade revela um mercado consumidor em crescimento e com cargas cada vez mais sofisticadas. O crescimento das cargas e evolução dos sistemas de distribuição, fez com que as concessionárias de energia elétrica adequassem suas estruturas para manter seu desempenho compatível com as necessidades crescentes dos consumidores, ultrapassando os padrões estabelecidos pelas portarias da Agência Nacional de Energia Elétrica (ANEEL), a qual regulamenta o fornecimento de energia elétrica (Fambrini, F.; Caetano, D.G. et al, 2018).
As exigências citadas refletem dessa forma na melhoria de técnicas que venham a detectar, com antecedência, um provável ponto de falha em redes de distribuição, evitando desligamentos no sistema.
A ANEEL normatiza índices mínimos de confiabilidade, baseados em valores individuais de cada consumidor. São eles: a DIC (Duração de Interrupção por unidade Consumidora), FIC (Frequência de Interrupção



por unidade Consumidora) e DMIC (Duração Máxima de Interrupção Contínua por unidade consumidora). Para atender estes requisitos, a inspeção automatizada das redes se torna prioritária. A inspeção é dividida em estrutural e termográfica, sendo a primeira destinada a todos os objetos técnicos da concessão e o segundo somente aos troncos de alimentadores. Neste espeque, o uso de tecnologias como a Termografia Infravermelha e a Detecção de Corona por Ultravioleta podem ampliar o espectro de visão, auxiliando na detecção de falhas invisíveis. A Detecção do Efeito Corona por UV foi implantada, até este momento, apenas nos veículos em uso no Equador e ainda não nos carros brasileiros. As demais tecnologias são abordadas no presente artigo.
4 - METODOLOGIA/MÉTODO PROPOSTO
Ao longo dos últimos anos a tecnologia termográfica vem ganhando escala industrial e consequentemente havendo redução do valor dos seus componentes (Fambrini F., Rangel A.et al, 2020). A visão termográfica bastante utilizada pelo setor militar, agora também está sendo adotada pelas áreas de segurança, indústria e energia. As câmeras térmicas conseguem captar imagens a longas distâncias e ainda apresentam imunidade a neblinas, nevoeiros, fumaça e falta de iluminação. A tecnologia de inspeção por imagens térmicas utiliza os raios infravermelhos para medir temperaturas ou observar padrões diferenciais de distribuição de temperatura, de forma a caracterizar a condição operacional de um equipamento. Algumas falhas que ocorrem nos circuitos aéreos de distribuição possuem características básicas de elevação anormal de temperatura de trabalho provocada pelo aumento da resistência de contato (Caetano, D.G, Fambrini, F.et al, 2020). Normalmente, o carregamento de pico causa o efeito de aquecimento e posterior resfriamento de pontos de conexão, estressando os elementos da rede. O estresse, causado pela variação das temperaturas ao longo do tempo, irá causar o aumentoda resistência de contato. Esse fenômeno possibilita a inspeção através de câmeras termográficas, que realizam com precisão o apontamento dos pontos sobreaquecidos, quantificando esse aumento irregular de temperatura. Esse mau contato elétrico produz um aquecimento através do efeito Joule, que pode ser rápido ou lento, mas sempre progressivo, até a degradação total do componente ou rompimento da conexão, ocasionando a interrupção de fornecimento. A manutenção preditiva é um dos métodos mais inovadores da gestão da manutenção, pois possibilita fazer o monitoramento e o acompanhamento de desempenho do equipamento através de instrumentos que fornecem dados quantitativos dos componentes. As inspeções para detecção de pontos quentes podem ter caráter tanto corretivo quanto à qualidade de energia fornecida, como preventivo quanto à continuidade de fornecimento, visto poderem acusar, antecipadamente, possíveis pontos de falhas do sistema. O método desenvolvido se refere ao processo de identificação dos tipos de elementos elétricos com e sem sobreaquecimento ao longo das linhas de distribuição de energia aérea. A identificação dos elementos é realizada durante o deslocamento de um veículo terrestre equipado com um arranjo GPS, estação meteorológica, câmeras ópticas e termográficas, as quais são controladas por um robô. O sistema possui uma série de algoritmos, entre eles: software de reconhecimento de padrões através de redes

neurais (Deep Learning), software de identificação de postes e elementos elétricos conectados a ele, software para combinação de imagens de elementos capturados por diferentes câmeras, software para controle de disparo e controle das câmeras por computador e software para controle de apontamento das câmeras (PanTilt). A solução conta ainda com um sistema de amortecimento específico para compensação das vibrações do veículo ao se mover pelas ruas e estradas. A Figura 1 a seguir mostra, à esquerda, os diversos componentes eletrônicos, de hardware e software, que compõe o veículo de inspeção. À direita, na mesma figura, estão ilustrados esquematicamente os servidores de Inteligência Artificial e os servidores que produzem os relatórios. Além dos sistemas mostrados, foi instalado também em alguns veículos um espectrofotômetro fornecido por OceanView (Caetano, D.G, Iano, Y.et al; 2021) que permite analisar as assinaturas dos espectros das lâmpadas da iluminação pública e também estimar a potência consumida pela lâmpada, através da intensidade da luz captada e do reconhecimento do modelo da lâmpada, que se dá pela IA embarcada no veículo.
5 - RESULTADOS/PRODUTOS OBTIDOS
Para a avaliação dos resultados, realizou-se testes comparativos entre o atual modo de inspeção de linhas de energia de distribuição aérea, o qual se refere ao uso de câmeras manuais termográficas e o método atualmente desenvolvido, o qual realiza a tomada de imagens e processamento de forma automatizada. Além do teste comparativo, as experiência de usabilidade foram avaliadas por 7 diferentes usuários, os quais percorreram diferentes trechos nas cidades de Campinas, Jaguariúna, Paulínia, Sorocaba, Indaiatuba, Jundiaí (todas no interior de São Paulo) e em toda área de concessão das 4 distribuidoras: RGE, CPFL Paulista, CPFL Piratininga, CPFL Santa Cruz e também na empresa Elétrica de Quito (CNEL- Companhia Nacional de Energia Elétrica do Equador).

Figura 1 – Representação dos elementos que compõe o sistema de inspeção veicular
A Figura 2 a seguir mostra um exemplo de relatório de inspeção termográfica, o qual foi gerado automaticamente pela Inteligência Artificial embarcada no computador do veículo de inspeção. Do lado esquerdo desta figura estão as fotos termográfica e óptica do elemento inspecionado, com os alarmes de temperatura para manutenção; do lado direito é mostrada uma relação dos elementos identificados na foto pela IA e também um QRCode, gerado pelo sistema, que ao ser lido, permite ver a localização do poste, ruas e casas no entorno, através do software Google StreetView. Com relação à inspeção do Sistema de Iluminação Pública, o sistema é capaz de identificar (por meio de um espectrofotômetro



instalado no veículo) através da análise da assinatura espectral da luz emitida pelo poste, qual é o tipo da lâmpada instalada (vapor de sódio, vapor de mercúrio, vapor metálico, mista ou LED) e estimar a potência da respectiva lâmpada instalada, em watts, com boa precisão (Fambrini F., Rodriguez Duenas A. et al, 2022). O aspecto do relatório gerado é mostrado na Figura 3. Estas informações são particularmente importantes porque a anutenção das lâmpadas corre por conta das Prefeituras e não das concessionárias, sendo que as primeiras pagam uma tarifa estimada para a concessionária. Desta forma, o conhecimento da carga de iluminação instalada, bem como seu tipo, é muito importante de modo a tornar justa esta tarifa pública.
6
Em relação ao sistema de inspeção termográfica, foram obtidos os seguintes resultados após 6067 quilômetros de linha inspecionada por dois veículos. Ao todo 605 anomalias foram identificadas, sendo 259 de manutenção imediata e 346 de manutenção programada. O tempo total de inspeção foi de 409 horas (durante 2 meses) com a inspeção automatizada, enquanto o tempo estimado seria de 11 meses com a inspeção manual convencional. A tabela 1 mostra os resultados comparativos entre o sistema de inspeção veicular manual e o automatizado, escopo deste artigo.

Figura 2 - Exemplo de relatório de termovisão com alarme para manutenção imediata.À esquerda, fotos termográfica e óptica; À direita, relação dos elementos detectados nas imagens, suas temperaturas e um QRcode que ao ser lido, permite localizar o endereço onde as imagens foram feitas, através do Google StreetView

Figura 3 - Exemplo de visão de relatório de Iluminação Pública: à esquerda localização do veiculo e posições dos postes, obtida pelo GPS; Á direita, espectro da luz do poste, analisada pela IA do veiculo
Com os resultados dos testes, conclui-se que houve ganho significativo no uso da nova solução, tanto financeiro quanto na redução do tempo. Além disso, outros ganhos secundários podem

ser citados como: maior segurança do operador, maior velocidade para inspecionar áreas de risco, padronização do processo, maior qualidade e menor tempo para a disponibilidade do relatório para as equipes de manutenção. A presente solução teve seu pedido de patente registrado no INPI. O número do Processo é BR 10 20018 0116614 (Termografia) e Número do Pedido: BR102023017379-9 (para o Projeto de Reconhecimento de Iluminação Pública).
Tabela 1 – Resultados comparativos entre a solução convencional e automatizada
Item
Quantidade de Mão de Obra
Tempo de Inspeção total de rede Tempo médio de Inspeção (min/Km)
Quantidade de Veículos Necessários Custo de Inspeção
Capacidade de Inspeção
Cenário Atual
2 pessoas
129 mil horas
19,5 22 R$ 37,01 /Km
25,7 Km/dia (8 horas)
REFERÊNCIAS BIBLIOGRÁFICAS
Projeto com veículos automatizados
Nenhum (se veículo autônomo), 1 ou 2 pessoas (se dirigível)
27 mil horas
4,7 4 a 6
R$ 9,98/Km
100 Km/dia (8 horas)
Fambrini, F.; Iano, Y. ; Silva, N.L.M. ; Caetano, D. G. ; Ferrarezi, R. ; Arthur, R. ; Cabello, f. ; Rodrigues, A. A. ; Leon, J. ; Mazoni, g (2018). Reconhecimento Automático de Elementos da Rede de Distribuição por Meio de Termografia. Revista Eletricidade Moderna, ano 46, N.527, Fevereiro 2018, pp. 22-29.
Fambrini, F.; Caetano, D. G, Iano, Y. ; Ferrarezi, R. ; Arthur, R. ; Cabello, F., Zuben V. J; Rodrigues, A. A. ; Mazoni, G. Carrara E.(2018).“Design and Implementation of I.A Vehicle for Thermographic Inspections in Electric Distribution Network Using Deep Learning Based Software”, Hong-Kong. Proceedings of the 3rd International Conference on Computational Intelligence and Applications ICCIA 2018, v. 1. p. 1-1, DOI:10.1109/ ICCIA.2018.00034.
Fambrini F., Iano Y., Rodriguez Duenas A., Ambrosio R. R. A., Caetano D.G., and Rangel A.(2020)"Deep learning based system to electric distribution network inspection", Proc. SPIE 11519, Twelfth International Conference on Digital Image Processing-ICDIP, Hong Kong, 1151914;https://doi.org/10.1117/12.2573984.
Caetano, D. G, Fambrini, F.; Iano, Y.; Duena, A; Moya,C; Arthur, R.; Zuben V J; Mazoni G., Carrara E. (2020). “An A.I Solution for Thermographic and Optical Inspections in Electric Distribution Network Using Deep Learning Based Software”.GTC Conference, USA.
Caetano, D. G, Fambrini, F.; Iano, Y.; Duenas A.; Moya,C; Arthur, R.; Zuben V. J; Mazoni, G.C. (2021). “An A.I Solution for Detecting Poles Coordinates and Thermographic and Optical Inspections in Electric Distribution Network Combining Deep Learning Based Software and Machine Learning”, CIRED Geneva, Switzerland.
Fambrini F., Iano Y., Rodriguez Duenas A., Caetano D.G., Rangel A. (2022).
“An Innovative Lighting Recognition System Based on Color Rendering Index and Computational Neural Networking”, ISIE Conference, Alaska, USA.DOI:10.3390/ engproc2022021056.
Constar no final - *Gostaríamos de expressar nossa sincera gratidão à CPFL (Companhia Paulista de Força e Luz), à ANEEL (Agência Nacional de Energia Elétrica), à Kasco Pesquisa e Desenvolvimento e à Unicamp (Universidade Estadual de Campinas) pelo apoio essencial na viabilização do projeto MVI (Multi Vision Inspection).


SEGURANÇA EM INSTALAÇÕES E SERVIÇOS EM ELETRICIDADE | Por Aguinaldo Bizzo

RISCOS ADICIONAIS NA NR10
Os profissionais que executam trabalhos nas atividades de operação e manutenção das instalações elétricas, de forma intrínseca, estão expostos a riscos adicionais, conforme NR10, ou perigos externos, conforme NR1-GR0. Vide definição: “Nos trabalhos e nas atividades referidas devem ser adotadas medidas preventivas destinadas ao controle dos riscos adicionais, especialmente quanto à altura, confinamento, explosividade, umidade, poeira, fauna e flora e outros agravantes, adotando-se a sinalização de segurança. Devem ser adotadas medidas preventivas destinadas ao controle dos riscos adicionais, especialmente quanto a altura, confinamento, explosividade, umidade, poeira, fauna e flora e outros agravantes, adotando-se a sinalização de segurança”.
Dessa forma, além dos riscos elétricos característicos dos serviços objeto da Norma, especialmente choque elétrico e arco elétrico, existem outros riscos, específicos de cada ambiente ou processo de trabalho que, direta ou indiretamente, podem expor a integridade física e a saúde dos trabalhadores no desenvolvimento de atividades com energia elétrica. No caso em comento, há a determinação de obrigatoriedade da adoção de medidas preventivas de controle para tais riscos “adicionais”, com especial atenção aos gerados pelo trabalho em alturas e em campos elétricos e magnéticos, normais às atividades, confinamento, explosividade, umidade, poeiras, fauna e flora, ruído e outros agravantes existentes nos processos ou ambientes onde são desenvolvidos os serviços com energia elétrica,
tornando obrigatória a adoção de medidas de controle, dirigida aos riscos adicionais verificados.
Ressalta-se que, riscos elétricos podem ser potencializados em função de ambientes específicos, como por exemplo arco elétrico em ambiente confinado ou choque elétrico em ambientes com presença de água.
A eletricidade estática é outra condição que deve ser considerada em locais onde, além de causar choque elétricos, pode provocar a ignição de materiais inflamáveis e explosões em locais com atmosfera explosiva etc.
Ainda, cenários como por exemplo trabalho em altura e espaço confinado, são situações agravantes na potencialização da “severidade do dano” descrita na NR1 – PGR, sendo obrigatório a identificação desses cenários elétricos e atendimento a NR10 , NR35, NR33, e outras aplicáveis quanto a situações de emergência.
Alguns segmentos, como por exemplo concessionárias de distribuição de energia elétrica, telefonia e TV a Cabo, manutenção de semáforos, e outros, tem como perigo externo intrínseco, além do trabalho em altura, o trânsito de veículos e pedestres, que pode resultar em batidas e atropelamentos, e, ainda como exemplo, agressões de clientes em atividades de corte por falta de pagamento.
Dessa forma, a identificação dos Riscos Adicionais e\ou Perigos Externos é obrigatória na estruturação do Documento Base do PIE – Prontuário das Instalações Elétricas e do PGR – Programa de Gerenciamento de Perigos e Riscos Elétricos da NR1\ GRO\PGR.
INSTALAÇÕES ELÉTRICAS DE BAIXA TENSÃO | Por Paulo Barreto
TEMPOS DE SECCIONAMENTO MÁXIMOS NO ESQUEMA TN
Foi proposto no projeto de revisão da norma ABNT NBR 5410 uma alteração na atual Tabela 25 (fig. 1), a qual indica os tempos máximos para o seccionamento automático da alimentação em esquema de aterramento TN, na proteção contra choques elétricos, particularmente para os de contato indireto.
Conforme pode-se notar pela tabela, aqui reproduzida (fig. 1), ela indica os tempos máximos considerando apenas a condição de corrente alternada e com valores definidos de tensão Uo.
A nova tabela, a qual passará a ser Tabela 1 (fig. 2), conforme projeto de revisão da NBR 5410, já prevê as condições de corrente alternada e corrente contínua, além de apresentar faixas de valores de tensão Uo.


Também foi suprimida a indicação das situações 1 e 2, pois chegou-se à conclusão que a condição de presença de água no corpo humano (influência externa BB) tem pouca influência nos tempos de seccionamento. Essas alterações constam da edição mais recente da norma IEC 60364 (utilizada como base para a NBR 5410) e foi adotada pela Comissão de Estudos revisora da NBR 5410.

Fig. 1 – Tabela 25 da norma ABNT NBR 5410:2004

Fig. 2 – Tabela 1 do projeto de revisão de set/2023 da norma ABNT NBR 5410:2004
INSTALAÇÕES
DE MÉDIA TENSÃO | Por Marcos Rogério
CORREDOR DE CONTROLE PARA CIRCULAÇÃO EM SUBESTAÇÃO MT ABRIGADA
Há algumas semanas, recebi um questionamento sobre a possibilidade de se instalar um cubículo em subestação de média tensão abrigada em uma sala cujo corredor de controle e manobra teria uma largura de 0,30 m, considerando as portas do cubículo fechadas. Obviamente, quando as portas estivessem abertas, não haveria qualquer “rota de fuga” para o operador. Como essa não foi a primeira vez que fui questionado e considerando esse assunto extremamente importante para a proteção das pessoas que trabalham em uma instalação em média tensão, resolvi trazer neste mês esse assunto para discussão.
A ABNT NBR 14039:2021 em 9.1.2.1 prescreve:
“Os corredores de controle e manobra e os locais de acesso devem ter dimensões suficientes para que haja espaço livre mínimo de circulação de 0,70 m, com todas as portas abertas, na pior condição ou equipamentos extraídos em manutenção.
Havendo equipamentos de manobra, deve ser mantido o espaço livre em frente aos volantes e alavancas. Em nenhuma hipótese esse espaço livre pode ser utilizado para outras finalidades.”
Em 5.8.1 a mesma norma prescreve:
“As instalações elétricas devem ser projetadas e instaladas de modo que o pessoal esteja protegido, tanto quanto possível, de faltas por arco durante a operação.”
E em 5.8.2 cita, entre outras ações, a adoção de:
“A lista a seguir de medidas de proteção contra os perigos resultantes de falta por arco deve servir como um guia no projeto e construção das instalações elétricas. [ ... ]
b) corredores operacionais tão curtos, altos e largos quanto possível;
No caso em análise, a prescrição da existência de um espaço mínimo em frente aos cubículos MT com as portas abertas, garantindo um corredor para eventual fuga, reflete a preocupação dos especialistas que redigiram a Norma, com problemas que os profissionais podem não ter em mente quando do projeto ou da utilização da instalação elétrica.
1 The Other Electrical Hazard Electric Arc blast burns. Ralph H. Lee - 1982 - IEEE

Já em 1982, Ralph Lee1 chamava a atenção para o fato de que podem ocorrer faltas elétricas por rompimento da isolação do ar entre fase e a terra que geram um arco elétrico que libera uma enorme energia. Os perigos de um arco elétrico são: O arco elétrico pode gerar temperaturas de até 35 000 °F (cerca de 19 427 °C), o que pode causar queimaduras graves e fatais; causar incêndios que podem ferir os trabalhadores e danificar a instalação; causar explosões com pressão de até 1 000 kg/m2, que podem expelir metal fundido e outros componentes em alta velocidade; causar explosões de som de até 140 dB, o que pode causar danos auditivos; causar luz ultravioleta, que pode danificar a visão; pode produzir vapores de gases tóxicos;
Para se proteger dos efeitos de um arco elétrico, é importante o profissional usar vestimentas de proteção ao arco elétrico e, uma vez que a energia incidente do arco elétrico é tipicamente baseada na energia que incide sobre o profissional a uma dada distância do ponto de arco elétrico, respeitar a distância de trabalho.
A zona de risco de arco elétrico é definida de acordo com o cálculo da energia incidente acima de 1,2 cal/cm2. A Figura 1 mostra essa zona de risco, e estabelece uma zona controlada e uma zona considerada livre2.

ZL = Zona livre
ZL = Zona livre
ZC = Zona controlada, restrita a trabalhadores autorizados
ZC = Zona controlada, restrita a trabalhadores autorizados
ZR = Zona de risco, restrita a trabalhadores autorizados e com equipamentos apropriados
ZR = Zona de risco, restrita a trabalhadores autorizados e com equipamentos apropriados
PE = Ponto da instalação energizado
PE = Ponto da instalação energizado
SI = Superfície isolante construída com material resistente
SI = Superfície isolante construída com material resistente
Figura 1 - Distâncias no ar que delimitam radialmente as zonas de risco, controlada e livre
2 Para entender melhor o perigo da energia incidente e a necessidade de manter uma distância de segurança nos trabalhos com eletricidade (com EPI adequado) recomendamos verificar a ABNT NBR 17227:2025 disponível no sitio da ABNT em Consulta pública
3 Arco elétrico: Gerenciamento de risco de energia incidente, precauções e métodos de cálculo
Da figura 1 fica evidente que existe um espaço a partir da superfície isolante onde existe o risco elétrico. Da ABNT NBR 16384:2020 Tabela A1 obtemos que para tensão nominal de 13,8 kV a zona de risco (Rr) abrange 0,38 m e o Raio de delimitação entre a zona controlada e a zona livre (Rc) vai até 1,38 m. Para tensão de 34,5 kV, estes valores são respectivamente 0,58 m e 1,58 m.
A ABNT publicou em Janeiro/25 em Consulta Nacional (até 17/02/25) o projeto de Norma NBR 172273 que é a primeira iniciativa brasileira no sentido de oferecer uma metodologia para a implementação de uma análise de risco de arco elétrico, com a execução de cálculos para a estimativa do valor da energia incidente, a adoção de métodos de proteção adequada e a recomendação de ações para a mitigação dos danos causados pela intensidade da energia incidente.
A Tabela 2, adaptada da IEEE 1584:2018 indica, na ausência de um valor calculado, que para um conjunto de manobra em 13,8 kV (classe 15 kV), a distância de trabalho típica é de 914,4 mm. Se o profissional que realizará o trabalho no cubículo deve estar a uma distância de 914 mm e se para esse trabalho a porta deve estar aberta, fica evidente a necessidade da existência de um espaço para eventual fuga em caso de incêndio ou arco elétrico.
Tabela 2 – Classes de equipamentos e Distâncias de trabalho

É então possível compreender que esse é um dos motivos que levaram os especialistas a definir na redação da ABNT NBR 14039:2021, o valor de 0,70 m como espaço necessário para o corredor em frente ao cubículo com a porta aberta e NÃO PODEMOS ACEITAR que esta prescrição seja negligenciada.


*Paulo Edmundo Freire da Fonseca é engenheiro eletricista e Mestre em Sistemas de Potência (PUC-RJ). Doutor em Geociências (Unicamp), membro do Cigre e do Cobei e também atua como diretor na Paiol Engenharia.

Solos homogêneos não existem na natureza. Este tipo de modelo de solo está associado a uma incerteza básica –não existe modelo de solo homogêneo que seja capaz de reproduzir a resistência de uma malha de aterramento e, simultaneamente, os gradientes de tensão na superfície do solo, o que significa tensões de passo e de toque. Qualquer método de redução de uma estrutura de subsuperfície multicamadas a um modelo homogêneo vai descaracterizar o modelo, resultando na impossibilidade de calcular de forma adequada os parâmetros desejados.
Porém, modelos de solo homogêneos podem ser úteis para cálculos rápidos, destinados a fornecer valores estimados de resistência de geometrias simples de aterramentos de pequenas dimensões. São úteis também como um índice que permita a comparação qualitativa de diferentes solos.
Este artigo baseia-se no paper HOMOGENEOUS GROUND MODELS, apresentado por Paulo Edmundo da Fonseca Freire e Wagner Costa, no evento GROUND2024 & 11th LPE - International Conference on Grounding & Lightning Physics and Effects, ocorrido em João Pessoa, Brazil, em novembro de 2024.
MODELOS DE SOLO HOMOGÊNEOS PELA IEEE-80
Metodologias de cálculo simplificado de malhas de aterramento requerem um valor único de resistividade do solo. Para o cálculo deste parâmetro, o Anexo E da IEEE-80/2013 propõe duas alternativas calculadas a partir dos valores de resistividade do solo obtidos da campanha de medições. Por ordem de simplicidade - média aritmética dos valores máximo e mínimo de resistividades aparentes ou média aritmética de todos os valores da curva média.
De acordo com a IEEE-80, estes critérios de cálculo foram obtidos com base em simulações de modelos de solo com duas camadas em que a diferença de resistividades é moderada. Pelo exemplo do
Anexo E da IEEE-80, as metodologias de cálculo de modelo de solo homogêneo têm as seguintes restrições:
– malha de pequeno porte (diagonal ≤ 70 m), em solo de baixa resistividade (≤ 250 Ωm); – diferença entre os valores máximo e mínimo de resistividades aparentes inferior a 4x; – curva média de resistividades aparentes característica de um solo de duas camadas (com apenas uma inflexão, para cima ou para baixo).
A 1ª opção pode ser assim equacionada:
ρ(méd.extremos)=(ρ(mín.)+ρ(máx.))/2.
Para esta alternativa, a IEEE-80 estabelece que a expressão é válida se a malha tiver hastes e se elas atingirem uma camada com a resistividade média calculada (exigência que limita drasticamente a aplicação desta alternativa). Ora, para se determinar se as hastes da malha atingem uma camada de solo com a mesma resistividade da média entre os extremos, há que se produzir um modelo de solo estratificado em camadas (1D) e depois verificar se a exigência é atendida. Ora, se já se tem a geometria da malha e o modelo de solo 1D, então é melhor usar um software adequado e concluir o projeto, sem as incertezas de uma modelagem extremamente simplificada e altamente questionável.
Aplicando o 2º método a uma curva média de resistividades aparentes que abranja o conjunto de espaçamentos do arranjo de Wenner até 32 m, tem-se:
Este método é enganoso, pois diferentes estruturas geoelétricas podem resultar em um mesmo modelo de solo, uma vez que para a média, a ordem dos fatores não altera o resultado; porém, sabe-se que a ordem das camadas geoelétricas vai ter impacto no desempenho da malha.

A norma NBR-15751 (Aterramento de Subestações) está sendo revisada, e faz-se necessário o estabelecimento de uma metodologia de cálculo de modelos de solo uniforme, naturalmente alertando para as restrições da sua aplicação.
A proposta mais simples é a adoção do 2º método da IEEE-80, porém, utilizando a média geométrica dos valores da curva média geométrica de resistividades aparentes, que abranja o conjunto de espaçamentos do arranjo de Wenner com uma abertura AB compatível com a diagonal do terreno a ser modelado. Estas premissas visam a coerência com os critérios da NBR-7117/2020, que estabelece que as resistividades do solo têm distribuição log-normal. Para um terreno com diagonal máxima de 70 m, por exemplo, tem-se:
Cabe observar que esta alternativa de cálculo está sujeita à mesma crítica já feita ao método proposto pela IEEE-80, uma vez que diferentes estruturas geoelétricas podem resultar em um mesmo modelo de solo, pois a ordem dos fatores continua não alterando a média; porém, a ordem das camadas geoelétricas certamente vai ter impacto no desempenho da malha de aterramento.
Para contornar esta restrição do método, estamos propondo o cálculo da resistividade aparente média por meio da média geométrica das resistividades de cada espaçamento, porém ponderadas por pesos que de certa forma reflitam a sequência das camadas. A resistividade média geométrica ponderada pode ser calculada em função dos valores de resistividade aparente para cada espaçamento AB (ρAB) e do peso atribuído à cada abertura AB (wAB):

Considerando que as malhas de aterramento estão sempre enterradas em profundidades rasas, é de se esperar que as camadas mais rasas do solo, onde é maior a densidade de corrente elétrica junto ao eletrodo, devem ter um peso maior do que as camadas mais profundas.
Pode-se então estabelecer duas alternativas de pesos: o inverso da abertura de sondagem AB, e o logaritmo deste parâmetro. Sugere-se o parâmetro AB pois assim o método pode ser aplicado a medições feitas tanto com o arranjo de Wenner como o de Schlumberger. A Tabela 1 revela que o logaritmo é um peso mais adequado, pois o parâmetro AB tem uma variação em progressão geométrica, e o seu uso tornaria irrelevantes as resistividades aparentes obtidas das aberturas maiores.
Tabela 1: espaçamentos AB e respectivos logaritmos
A resistividade média geométrica ponderada para uma dada curva de resistividades aparentes pode ser então assim calculada:

Para o terreno com diagonal máxima de 70 m, conforme o exemplo da IEEE-80, o valor a ser exponenciado para a obtenção da resistividade média geométrica ponderada pode ser assim calculado:

A aplicação a um caso real exemplifica bem a metodologia de cálculo do modelo de solo uniforme proposta. A Tabela 2 apresenta uma curva média geométrica de resistividades aparentes calculadas a partir de uma campanha de sondagens Wenner para o projeto de uma UFV GD. Esta curva média atende ao critério de diferença entre os valores máximo e mínimo de resistividades aparentes inferior a 4x; porém, não atende ao critério de solo de dupla camada e, portanto, pelo critério da IEEE-80, uma malha de aterramento neste solo não poderia ser dimensionada por meio do método simplificado.
A média geométrica das seis resistividades aparentes desta curva é 585 Ωm. Para exemplificar a aplicação do método alternativo de cálculo do modelo de solo uniforme a resistividade média ponderada, conforme proposto, resulta em um valor médio de 475 Ωm, um pouco inferior à média geométrica simples, porque leva em conta o peso das resistividades aparentes mais baixas das camadas superficiais do solo, onde a malha está enterrada.

Figura 1: curva média geométrica de resistividades aparentes calculadas a partir de uma campanha de sondagens Wenner para o projeto de uma UFV GD, e modelo geoelétrico de 3 camadas correspondente.
Por Diretoria Executiva do CIGRE-Brasil:
João Carlos de Oliveira Mello (diretor-presidente), Antonio Carlos Barbosa Martins (diretor técnico), Maria Alzira Noli Silveira (diretora de assuntos corporativos) e André Luiz Mustafá (diretor financeiro)
A transição energética é um dos maiores desafios globais da atualidade, e o Brasil desponta como um dos protagonistas neste cenário. O Sistema Interligado Nacional (SIN), que abrange mais de 99% da demanda de energia do país, é uma das maiores e mais complexas redes elétricas do mundo. Entretanto, a integração de fontes intermitentes, como solar e eólica, impõe desafios que exigem soluções inovadoras e colaboração multissetorial.
No último Seminário Iberoamericano do CIGRE (SIAC), abordamos o tema “Desafios e Soluções da Transição Energética: Soluções e Lições aprendidas na Operação e Mercado com Energia Intermitente”, destacando os avanços e desafios enfrentados no contexto da transição energética global, com foco nas particularidades do sistema elétrico brasileiro.
A exposição abordou a integração de fontes renováveis intermitentes, como eólica e solar, e seus impactos na operação e no mercado de energia. Entre os principais pontos discutidos, estavam a necessidade de flexibilização das redes, o desenvolvimento de tecnologias avançadas e a importância de estratégias coordenadas entre os operadores das redes de transmissão e da distribuição para garantir a estabilidade e a segurança do sistema. As lições aprendidas no Brasil foram apresentadas como exemplos relevantes para outros países em busca de soluções sustentáveis e eficientes na área energética.
Com uma matriz elétrica composta majoritariamente por fontes renováveis (89% em 2024), o Brasil lidera a descarbonização do setor elétrico. Contudo, a concentração de fontes eólicas e solares nas regiões Nordeste e Sudeste intensifica os desafios operacionais. A variabilidade da geração torna mais complexa a tarefa de manter o balanço entre oferta e demanda e consequentemente a estabilidade do sistema. Essa complexidade é ainda maior devido ao crescimento da geração distribuída e à introdução de recursos baseados em inversores (IBR), que demandam novas abordagens de planejamento e operação.
Entre os desafios identificados, destaca-se a redução da inércia, ocasionada pela menor participação de fontes síncronas, elevando a taxa de variação de frequência (RoCoF) impactando os limites de estabilidade. Ademais, a intermitência das fontes renováveis reforça a necessidade de previsões mais precisas e de maior flexibilidade no despacho da geração. Por fim, a integração de Operadores de Sistemas de Distribuição ao ONS é fundamental para gerir os recursos distribuídos de maneira coordenada. Para enfrentar esses desafios, o Brasil tem adotado soluções abrangentes. Investimentos em infraestrutura estão ampliando a rede de transmissão para atender às demandas futuras, enquanto atualizações regulatórias técnicas garantem maior segurança e confiabilidade na conexão de geradores
renováveis.
Além disso, é necessário expandir o mercado de capacidade. Assim, a previsão de um leilão de baterias para 2025 poderá oferecer suporte em condições críticas de ponta noturna.
Um outro ponto muito importante para a expansão do mercado de capacidade é a conscientização dos usos múltiplos de reservatórios de hidrelétricas. O SIN deve considerar a volta da construção de usinas hidrelétricas que, como outras infraestruturas hidráulicas que contêm reservatórios, podem proporcionar impactos ambientais positivos pelo atendimento de outros usos para as estruturas implantadas e para seus reservatórios. Assim, a um projeto de hidrelétrica, podem ser adicionadas outras finalidades com discretos investimentos adicionais, tais como controle de cheias, irrigação, abastecimento de água, navegação interior, piscicultura, paisagismo, recreação e controle de estabilidade do SIN frente à redução de inércia e aumento de fontes inversoras.
É também essencial expandir os serviços ancilares, como a resposta à demanda, e implementar a possibilidade de aquisição desses serviços por meio de mecanismo competitivo.
Foi apresentado que está em estudo no Brasil uma interface entre a operação do sistema (ONS) e a operação de distribuição, em um contexto de ampliação dos Recursos Distribuídos e levando em conta aspectos físicos, comerciais e institucionais. Foi destacado que é fundamental que as distribuidoras adquiram capacidade para controlar o despacho dos recursos de geração conectados às suas redes de forma coordenada com o operador da rede de transmissão para evitar a perda de controlabilidade. O Brasil ainda não regulamentou a criação dos DSOs – Centros de Operação da Distribuição. O fortalecimento da rede de transmissão agrega flexibilidade operacional, permitindo maior integração das fontes renováveis. Simultaneamente, avanços regulatórios e tecnológicos ajudam a construir um sistema mais resiliente. Um exemplo disso é a instalação de PMUs em plantas eólicas e solares, que vai melhorar a precisão dos modelos para as simulações dinâmicas da rede, tornando-as mais de acordo com o comportamento em campo.
Em um momento em que a transição energética global exige soluções colaborativas e inovação constante, o CIGRE segue como referência global no setor elétrico, desempenhando um papel crucial ao promover a troca de conhecimento e soluções inovadoras. Por meio do compartilhamento de experiências e da cooperação internacional, é possível superar os desafios e construir um futuro energético mais seguro e sustentável.









Segunda edição do documento apresenta os investimentos e a evolução das ações conduzidas pelas distribuidoras de energia elétrica no último ano
Seguindo a jornada para visibilização das iniciativas Ambientais, Sociais e de Governança (ASG) do segmento de distribuição de energia, iniciada em 2023, a mais recente edição do Relatório de Sustentabilidade da Associação Brasileira de Distribuidores de Energia Elétrica (Abradee) traz desdobramentos e atualizações dos temas abordados na primeira publicação. O documento evidencia investimentos da ordem de R$ 31 bilhões ao ano pelas distribuidoras em expansão e modernização de infraestrutura, listando também ações da associação e de suas associadas em prol de melhorias para o consumidor de energia.
Para a diretora de Comunicação e Sustentabilidade da Abradee, Cristina Garambone, o relatório representa a trajetória do segmento nas iniciativas ASG e apresenta os resultados positivos alcançados com esses esforços. “Temos um papel fundamental na comunicação da sustentabilidade, destacando a necessidade de uma visão setorial que reflita a diversidade e a complexidade das associadas”, observa.
A abordagem foi pensada com atenção ao cumprimento dos Objetivos de Desenvolvimento Sustentável da Organização das Nações Unidas (ONU). “Energia é um bem essencial para a vida humana, que garante dignidade e cidadania. A partir dela se efetivam direitos fundamentais à alimentação, à saúde e à educação, por exemplo, e, por isso, deve ser acessível a todos”, afirma o presidente da Abradee, Marcos Madureira, no relatório.
A melhoria contínua dos serviços prestados pelas distribuidoras de energia e o crescente investimento em âmbito social, ambiental, governança e infraestrutura são ilustrados pelas ações narradas no relatório de sustentabilidade e se materializam, também, na elevação do patamar de investimentos, que saiu de uma média anual de R$ 18 bilhões nos últimos dez anos para aproximadamente R$ 31 bilhões em 2023. Para o período de 2024-2027, estão previstos mais R$ 130 bilhões.
DEBATE SETORIAL
Além de iniciativas das distribuidoras, o documento reforça a defesa de um setor elétrico mais justo e sustentável.

Nesse sentido, lista e detalha temas como os investimentos em resiliência da rede para mitigar os efeitos dos eventos climáticos extremos, a precificação adequada da energia para o consumidor brasileiro, a universalização do serviço e o combate aos subsídios.
Com isso, o relatório se consolida como um passo importante na estratégia de divulgação do trabalho das distribuidoras de energia não só como prestadoras de um serviço público essencial, mas também como um segmento atuante no desenvolvimento sustentável do país.
Acesse o Relatório de Sustentabilidade do Segmento de Distribuição pelo QR Code:



Por Matheus de Paula
Deste total, 52 bilhões serão destinados à modernização e aumento da resiliência das redes de distribuição de todo o país

O Estudo da Confederação Nacional dos Municípios (CNM) revelou que, entre 2013 e 2023, 94% das cidades brasileiras registraram eventos climáticos extremos, resultando em prejuízos bilionários da ordem de R$ 639,4 bilhões. No período, foram registradas cerca de 64,7 mil decretações de emergência ou calamidade pública, evidenciando os impactos causados pelas questões climáticas à infraestrutura das cidades brasileiras.
Dentre os segmentos mais atingidos por essas ocorrências está o setor elétrico, em especial, o de distribuição de energia. Enchentes, ventanias, deslizamentos de terra, queda de árvores, pontes e de construções, afetaram diretamente os ativos dessas empresas, provocando danos e suspensão do fornecimento, em alguns casos, por vários dias, como ocorreu nos estados do Rio Grande do Sul e São Paulo, em 2024.
Com isso, o setor de distribuição de energia brasileiro, prevê investir aproximadamente 52 bilhões de reais, entre 2024 a 2027, para modernização das redes elétricas, com o objetivo de tornálas mais eficientes e resilientes frente aos desafios impostos pelos eventos climáticos, cada vez mais extremos. Esse montante equivale a cerca de 40% dos 130 bilhões de investimentos que o segmento pretende investir na distribuição de energia até 2027.
De acordo com o presidente da Abradee (Associação Brasileira de Distribuidores de Energia Elétrica), Marcos Madureira, os investimentos previstos representam uma resposta do segmento de distribuição à necessidade de adaptação às mudanças climáticas.
“Temos vivido ultimamente no Brasil um crescimento de eventos climáticos extremos. Em 2024, aconteceu uma tragédia no Rio Grande do Sul que foi totalmente diferente daquelas situações naturais, essa região do país tem passado com maior intensidade esses eventos. Da mesma maneira, o estado de São Paulo vivenciou nos últimos dois anos situações desafiadoras, isso exige uma abordagem mais ampla, desde aprimorar a previsibilidade desses eventos até equipar melhor o país para enfrentá-los", afirma Madureira.
Além dos investimentos, Madureira defende que haja uma força tarefa envolvendo todos os setores da sociedade para adotar medidas que contribuam mutuamente para o enfrentamento dessa nova realidade climática global. “Nossa infraestrutura urbana não acompanhou essas mudanças. Precisamos revisar protocolos e garantir maior integração entre os agentes envolvidos, como distribuidoras, empresas de gás, telecomunicações, saneamento e trânsito. É fundamental uma ação coordenada para mitigar os
impactos desses eventos", reforça Madureira.
Responsável pela distribuição de energia em 72 municípios do Rio Grande do Sul, incluindo a capital, Porto Alegre/RS, a CEEE Equatorial vivenciou, em 2024, uma das maiores catástrofes climáticas do país, que deixou mais de 440 mil pessoas sem energia elétrica. O enfrentamento à situação deixou um legado para a empresa, que hoje é uma referência nacional no tema.
Com o objetivo de modernizar a infraestrutura da sua rede elétrica no RS, a CEEE Equatorial investiu, somente em 2024, R$ 134 milhões em obras e manutenções. Entre as melhorias, a concessionária substituiu 123,5 km de rede de baixa tensão por condutores isolados, incorporou 209 novos religadores automáticos e modernizou 66,4 km de rede de média tensão compacta protegida.
Para 2025, o presidente da companhia, Riberto Barbanera, projeta novos investimentos, especialmente na concessão do Rio Grande do Sul. “Com um plano de robustecimento e ampliação da rede que ultrapassa R$ 760 milhões, reafirmamos nosso compromisso em oferecer um serviço de maior qualidade, com um sistema elétrico mais eficiente, sustentável e resiliente, contribuindo para o desenvolvimento das regiões atendidas”, destaca Barbanera.
AUMENTO DA TEMPERATURA GERA CRISE CLIMÁTICA GLOBAL
O relatório da Organização Meteorológica Mundial, agência especializada da ONU, mostra que o Brasil registrou 12 eventos climáticos extremos em 2023. Desses, nove foram considerados “incomuns” e dois como “sem precedentes”. Ondas de calor, de frio, chuvas torrenciais, enchentes e o ciclone no Vale do Taquari, região do Rio Grande do Sul.
Segundo especialistas, o agravamento das mudanças climáticas está diretamente ligado ao aquecimento global, impulsionado pela queima de combustíveis fósseis e a consequente emissão de gases de efeito estufa, como o dióxido de carbono (CO₂). Conforme listado pela ONU, em 2024, a temperatura média global da superfície foi 1,55°C acima do esperado. Além disso, a última década registrou uma sequência inédita de anos mais quentes já monitorados.
Marcely Sondermann, meteorologista da Climatempo e especialista em mudanças climáticas alerta para os impactos das mudanças climáticas na vida da população mundial. “Um planeta
mais quente significa mais energia na atmosfera, o que intensifica eventos climáticos extremos. E estou me referindo a secas mais severas, intensas e prolongadas, além de chuvas fortes com acúmulos de um determinado período de seca. Ondas de calor também se tornaram mais frequentes e intensas. E tudo isso tem ocorrido simultaneamente em diferentes regiões do Brasil", destaca.
Fortemente impactada pelos desastres ambientais extremos, a Enel São Paulo deu início ao “Projeto Resiliência de Rede”. A iniciativa foca na modernização e automação dos sistemas elétricos, com a instalação de religadores e telecontrole. Esses dispositivos permitem o gerenciamento remoto da rede a partir dos centros de operação, minimizando falhas e reduzindo o número de clientes impactados por interrupções. O programa tem investimento de R$ 36 milhões e está em fase de execução nos bairros Alto de Pinheiros (São Paulo), Parque dos Príncipes (Osasco) e Alvarenga (São Bernardo do Campo).
“As três regiões já contam com tecnologia de rede, mas a quantidade de dispositivos está sendo ampliada. Nesta primeira fase, o número de equipamentos de telecontrole disponíveis aumentará em 63%, passando dos atuais 81 para 132, por exemplo. A quantidade de clientes atendidos por equipamento também será alterada de 770 para 470. Ou seja, com mais religadores, cada dispositivo será responsável por um bloco menor de consumidores, o que vai garantir mais eficiência ao equipamento”, afirma a empresa em nota enviada à redação da Revista OSE.
O plano de resiliência também inclui novas interligações entre os circuitos e componentes de rede aérea protegida e isolada, com revestimento de condutores com camadas adicionais de proteção — serão substituídos 60,2 quilômetros de cabos desses modelos. Com isso, a empresa espera deixar essas redes mais resistentes ao impacto da vegetação e a outras interferências externas.
“Em função de todas as medidas já implementadas, após
os recentes eventos climáticos extremos, a Enel São Paulo tem conseguido restabelecer a energia para a maioria dos clientes afetados de forma mais rápida. Se compararmos os últimos eventos climáticos extremos (novembro/23 x outubro/24), podemos observar algumas melhoras”, diz a companhia.
A preocupação da empresa pode ser observada em números; em outubro de 2024, São Paulo registrou um volume de 176 mm de chuvas, 38% acima da média climatológica de 1991 a 2020, que é de 127,2 mm. Durante o mês, houve nove dias com precipitação igual ou superior a 1 mm, um a menos que os dez dias registrados na média histórica. Já em novembro de 2023, a cidade registrou 182,8 milímetros (mm) de chuva na estação meteorológica convencional do Instituto Nacional de Meteorologia (Inmet), localizada no Mirante de Santana. Esse volume foi 38,9 mm (27%) acima da Normal Climatológica de 1991/2020 (média histórica), que é de 143,9 mm.
Responsável por 28 municípios do estado de São Paulo (Guarulhos, Alto Tietê, Vale do Paraíba e Litoral Norte), a EDP também anunciou um pacote de investimentos de 10 bilhões em suas áreas de concessão em São Paulo e no Espírito Santo O montante deverá ser empenhado até 2030 no projeto “Plano de Verão” e também inclui a instalação de redes mais robustas e resilientes, modernização de equipamentos, e implantação de novas tecnologias e sistemas automatizados.
“O setor elétrico vem sendo fortemente impactado pelas alterações climáticas e os investimentos em modernização e resiliência das redes de distribuição de energia são fundamentais para garantir o atendimento da população com toda a qualidade e segurança. A EDP tem se comprometido e executado recordes de aportes fundamentados em planejamento estratégico, tornando suas redes mais robustas, inteligentes e automatizadas, o que contribui para uma gestão operacional mais efetiva, principalmente em situações críticas e com grande volume de ocorrências”, afirma Dyogenes Rosi, vice-presidente de distribuição da EDP.
Em 2024, a empresa ampliou sua infraestrutura no Vale do Paraíba, com a construção da Subestação Germana, em Caçapava,
























um investimento de R$ 34 milhões. Em Guarulhos, a Subestação Água Chata recebeu R$ 32 milhões para reforçar a infraestrutura elétrica do município, que agora conta com 16 subestações. Já na região do Alto Tietê, o Centro de Serviços de Distribuição de Suzano, inaugurado no início de 2023, fortaleceu as bases operacionais existentes em Mogi das Cruzes e Poá.
No Espírito Santo, a EDP também investiu na ampliação da rede elétrica, com a inauguração de quatro novas subestações: Caçaroca; Glória; Ibitirama; e o Posto de Transformação Menino Jesus. Localizadas nas regiões da Grande Vitória e do Caparaó, essas estruturas somam um investimento de R$ 206,5 milhões e beneficiam mais de 500 mil habitantes em municípios como Cariacica, Viana, Vila Velha, Ibitirama, Muniz Freire, Alegre e Divino São Lourenço.


Subestação de Germana, em Caçapava, interior de São Paulo | Foto: EDP
Um dos maiores gargalos das empresas de distribuição é a agilidade no restabelecimento do fornecimento de energia elétrica. Após as ocorrências registradas em São Paulo, a Enel anunciou a contratação de 1,2 mil eletricistas para atuar em diversas regiões da cidade. Além disso, para evitar os riscos de interrupções causadas pelo contato de galhos e árvores com a rede, a empresa intensificou

Eletricistas da Enel atuando na recuperação de dois postes derrubadas por conta das tempestades fortes de outubro de 2024 | Foto: Enel
os serviços de poda de árvores, fechando o ano de 2024 com mais de 638 mil podas realizadas. Desse total, mais de 217 mil foram realizadas apenas na capital.
Além do aumento das equipes nas ruas, a Enel mantém um canal virtual, via WhatsApp, exclusivo para períodos de contingência, com grupos individuais com cada Município, onde são enviados alertas e alinhamento rápido e preciso das prioridades.
Já a EDP, também preocupada com as interrupções causadas por eventos climáticos, mantém um plano contínuo de poda preventiva da vegetação que possa impactar a rede elétrica. “A sinergia com as prefeituras é fundamental para o mapeamento de pontos com necessidade de atuação emergencial, visando garantir a segurança da população e qualidade do fornecimento de energia na região”, declara o vice-presidente da EDP.
Seguindo a mesma perspectiva, a CEEE Equatorial promove ações preventivas para minimizar os impactos de eventos climáticos. Entre as iniciativas, estão a divulgação de alertas meteorológicos, orientações de segurança e a comunicação antecipada do plano operacional, garantindo transparência sobre as medidas adotadas.
Durante contingências, como a registrada no Rio Grande do Sul em 2024, "o foco da distribuidora está na comunicação em tempo real sobre sua atuação", afirma o presidente da CEEE Equatorial. Além disso, há o fortalecimento dos canais de atendimento para garantir respostas ágeis e eficientes diante do aumento da demanda.
“Também é essencial demonstrar como a distribuidora se preparou para enfrentar a situação, destacando seu plano de atendimento, que prioriza ocorrências de risco e a recomposição de cargas essenciais. Após o evento climático, comunicamos os clientes a respeito da normalização do fornecimento de energia e ampliamos a divulgação sobre os nossos canais oficiais de atendimento, para tratamento de casos pontuais”, conclui o presidente da empresa, Riberto Barbanera.
* A reportagem OSE convidou também a Neoenergia para participar da pauta, mas não recebemos resposta até o fechamento da matéria.


EMPRESA Cidade Telefone Site UF
BELGO ARAMES
CHARDON GROUP
CONIMEL
CONNECTWELL DO BRASIL
FASTWELD
FRONTEC
GRUPO INTELLI
HELLERMANNTYTON
INCESA
KANAFLEX
KRJ
LOJA ELÉTRICA
MEGATRON FIOS E CABOS
NEXANS
OBO BETTERMANN
ONIX DISTRIBUIDORA
PLP
PROAUTO ELECTRIC
PRYSMIAN
ROXTEC
TE CONNECTIVITY
TERMOTECNICA
WAGO BRASIL
WEIDMÜLLER CONEXEL
(80) 0727-2000 (11) 4603-1888 (16) 3951-9595 (11) 5844-2010 (11) 2423-2430 (51) 32012477 (16) 3820-1500 (11) 4815-9000 (17) 3279-2600 (11) 4785-2100 (11) 2971 2300 (31) 3218-8386 (11) 4636-1920 (11) 3559-6001 (15) 3335-1382 (44) 3233-8500 (11) 4448-8000 (15) 3031-7400 (15) 3500-0530 (21) 3282-5173 (11) 3404-6000 (31) 3308-7000 (11) 2923-7200 (11) 4366-9600
www.belgo.com.br www.chardongroup.com www.conimel.com.br www.connectwell.com.br www.fastweld.com.br www.frontec.com.br www.grupointelli.com.br www.hellermanntyton.com.br www.incesa.com.br www.kanaflex.com.br www.krj.com.br www.lojaeletrica.com.br www.megatron.com.br www.nexans.com.br www.obo.com.br www.onixcd.com.br www.plp.com.br www.proauto-electric.com https://br.prysmian.com/pt www.roxtec.com www.te.com www.tel.com.br www.wago.com www.weidmueller.com
Contagem
Bragança Paulista
Cravinhos
Taboão da Serra
Guarulhos
São Leopoldo
Orlândia
Jundiaí
Olímpia
Embu das Artes
São Paulo
Belo Horizonte
Cachoeira de Minas
Rio de janeiro
Sorocaba
Mandaguari
Cajamar
Sorocaba
Sorocaba
Rio de janeiro
Bragança Paulista
Belo Horizonte
Jundiaí
Diadema
Nesta edição, trazemos uma relação completa dos principais distribuidores e revendedores de acessórios para fios e cabos de todo o país. Este segmento é responsável por fazer o elo entre os fornecedores e os consumidores, dando vazão à produção de diferentes produtos de toda a cadeia da indústria de acessórios para cabos e fios.
9001 (qualidade)
14001 (ambiental)
Serviço de atendimento ao cliente por telefone e/ou internet x
Programas na área de responsabilidade social x
Exporta produtos acabados
Importa produtos acabados
Possui corpo técnico especializado para oferecer suporte aos clientes
Oferece treinamento técnico para os clientes
Conectores x
Ferramentas para aplicação de conectores
Fitas Isolantes (Plástica)
Fitas Isolantes (Autofusão)
Materiais para amarração de cabos x
Materiais para identificação de cabos x
Conectores x
Ferramentas para aplicação de conectores
Fitas Isolantes
Terminações
Emendas
Belgo Arames
Betim Coding
BoreAL Fios e Cabos
Cabelauto Cond. Elétricos
Chardon Group
Cobrecom
Condex Cabos
Condumax
Cordeiro Cabos Elétricos
Corfio
Dlight
Frontec
Furukawa
Giancarlo Tribuiani
Grupo Intelli
HellermannTyton
Induscabos
Lamesa Fios e Cabos
Loja Elétrica
Megatron Fios e Cabos
Neocable
Nexans
Onix Distribuidora
Prysmian Group
Sil Fios e Cabos
TE Connectivity
Termotécnica
Wireflex Fios e Cabos
Wirex Cable
Telefone
(80) 0727-2000
(31) 3358-8500
(12) 3959-7308 (35) 3629-2500
(11) 4603-1888
(11) 2118-3200 (15) 3228-9410
(17) 3279-3700 (11) 4674-7400 (49) 3561-3777
(11) 2937-4650 (51) 3201-2477
(80) 0041-2100 (15) 3031-7400 (16) 3820-1500 (11) 4815-9000 (11) 4634-9000 (19) 3623-1518 (31) 3218-8386 (11) 4636-1920 (11) 4891-1226 (11) 3559-6001 (44) 3233-8500 (15) 3500-0530 (11) 3377-3333 (11) 3404-6000 (31) 3308-7000
(12) 2139-4900 (12) 3972-6000
Site www.belgo.com.br www.betimcoding.com.br www.borealfiosecabos.com.br www.cabelauto.com.br www.chardongroup.com www.cobrecom.com.br www.condexcabos.com.br www.condumax.com.br www.cordeiro.com.br www.corfio.com.br www.dlight.com.br www.frontec.com.br www.furukawalatam.com www.proauto-electric.com www.grupointelli.com.br www.hellermanntyton.com.br www.induscabos.com.br www.lamesa.com.br www.lojaeletrica.com.br www.megatron.com.br www.neocable.com.br www.nexans.com.br www.onixcd.com.br https://br.prysmian.com/pt www.sil.com.br www.te.com
www.tel.com.br
www.caboswireflex.com.br www.wirex.com.br
Cidade
Contagem
Contagem
Jacareí
Itajubá
Bragança Paulista
Itu
Sorocaba
Olímpia
Ferraz de Vasconcelos
Caçador
Guarulhos
São Leopoldo
Curitiba
Sorocaba
Orlândia
Jundiaí
Poá
São João da Boa Vista
Belo Horizonte
Cachoeira de Minas
Bom Jesus dos Perdões
Rio de Janeiro
Mandaguari
Sorocaba
Guarulhos
Bragança Paulista
Belo Horizonte
São José dos Campos
Santa Branca
Fios e cabos isolados para baixa tensão (até 1000 V)
Cabos para comunicações e dados Cabos para média tensão
x x x x x x x x x x x x x x x x
x x x x x x x x x x x x x x Exporta produtos acabados
Importa produtos acabados
Possui corpo técnico especializado para oferecer suporte aos clientes x
Oferece treinamento técnico para os clientes x
Fios e cabos nus
Cabo com isolação termoplástica
Cabo com isolação termofixa x
x
Cabos flexíveis
Cabos multiplexados
Cabos concêntricos
Cabo com baixa emissão de fumaça, gases tóxicos e corrosivos
Cabo resistente ao fogo para circuitos de segurança x
x x x Cabo para ligação de equipamentos
Cabos para instalações fotovoltaicas
Cabos para instrumentação, sinalização, comando, controle
Fios e cabos telefônicos metálicos x x x x x Cabos coaxiais
x Cabos para cabeamento estruturado x x x x x x x x Cabos ópticos x x x x x Cabos isolados em média tensão (1 kV < U ≤ 6 kV) x x x x x x x x x x x x x x Cabos para instalações subterrâneas x
Cabos cobertos (revestidos, não isolados) x
Cabos para instalações fotovoltaicas
Cabos para energia eólica x
Cabos isolados AT (cima de 6 kV) x
Aline Cristiane Pan é Doutora em Energia Solar Fotovoltaica e Professora na UFRGS, onde coordena o Grupo de Pesquisa em Transição Energética. Co-fundadora da Rede Brasileira de Mulheres na Energia Solar, tem mais de 25 anos de experiência no setor.

O setor de energia no Brasil está passando por transformações profundas, impulsionadas pela transição energética. Este processo abrange não apenas a substituição de combustíveis fósseis por fontes renováveis, mas também a digitalização do setor elétrico, a descentralização da geração e a diversificação das fontes de energia e da força de trabalho. Nesse contexto, o Balanço Energético Nacional (BEN) 2024 , que apresenta dados relativos ao ano de 2023, destaca um crescimento impressionante da energia produzida pelas usinas solares fotovoltaicas: de 3.461 GWh em 2018 para 50.633 GWh em 2023, um aumento de 14,63 vezes em apenas cinco anos. As projeções para o futuro são igualmente promissoras. De acordo com o Plano Decenal de Expansão de Energia 20302 (PDE 2030) da EPE, a capacidade instalada de energia solar no Brasil deverá triplicar na próxima década, consolidando-se como um dos pilares estratégicos da matriz energética nacional.
Hoje, a energia solar já representa 96,3% da geração distribuída no país1, com impacto direto na criação de empregos e oportunidades. Contudo, há um ponto que precisa ser enfrentado com urgência: o papel das mulheres nesse setor, a participação feminina não acompanha esse ritmo. De fato, há uma tendência de queda na representatividade das mulheres no setor. Dados da Greener de 20243 mostram que 40% das empresas de energia solar não possuem sequer uma mulher em suas equipes, e apenas 7% das que contratam mulheres destinamnas a áreas técnicas, como engenharia e instalação de sistemas. Essa sub-representação não apenas reflete desigualdades estruturais, mas também impede que o setor aproveite todo o seu potencial de inovação.
O Instituto Global McKinsey reforça essa relação em estudos que revelam que a diversidade de gênero está diretamente associada à lucratividade e à eficiência. Empresas com maior equilíbrio de gênero têm 15%4 mais chances de alcançar retornos financeiros acima da média de suas respectivas indústrias. Além disso, a inclusão feminina pode contribuir para um “dividendo de inovação”, trazendo soluções mais criativas e ampliação dos pontos de vista estratégicos.
Apesar dessas evidências, as barreiras enfrentadas pelas mulheres no setor de energia solar no Brasil são desafiadoras. Um estudo recente do C40 Cities Finance Facility5, em parceria com a Rede Brasileira de Mulheres na Energia Solar e outras entidades, destacou que preconceito,
“A transição energética que o Brasil busca implementar não será plena sem integrar mulheres de forma efetiva, aproveitando sua capacidade de inovar e transformar o setor.”
falta de reconhecimento e machismo são os principais obstáculos enfrentados pelas mulheres. Isso reflete a necessidade de criar um ambiente mais inclusivo e respeitoso, não apenas para atrair mulheres para o setor, mas para garantir que elas permaneçam e prosperem nele. A importância da equidade de gênero na transição energética também é reforçada pelo projeto “Energizando a Equidade: Meninas e Mulheres na Transição Energética”, aprovado pelo CNPq, com um orçamento de R$ 933.480,00. Este projeto busca capacitar mulheres e meninas, principalmente em áreas de menor acesso a oportunidades, para que atuem de forma ativa no setor energético. Além disso, promove ações de mentorias, participação em eventos técnicos, como a Olimpíada Nacional de Eficiência Energética (ONEE) da ANEEL, e oficinas educativas que conectam equidade de gênero e transição energética.
Nesse contexto, o setor de energia solar, e o elétrico como um todo, não pode ignorar que a diversidade é um fator crítico de sucesso. Mais do que uma obrigação ética, é uma decisão estratégica que alavanca a eficiência, aumenta a lucratividade e possibilita o desenvolvimento de soluções mais sustentáveis. A transição energética que o Brasil busca implementar não será plena sem integrar mulheres de forma efetiva, aproveitando sua capacidade de inovar e transformar o setor.
Portanto, avançar nessa direção significa não apenas fomentar um ambiente de trabalho mais inclusivo e respeitoso, mas também pavimentar o caminho para uma transição energética que, de fato, reflita os valores de justiça social e sustentabilidade que o setor preconiza.
1 EPE. Empresa de Pesquisa Energética. Balanço Energético Nacional 2024: ano base 2023. Rio de Janeiro: EPE, 2024.
2 EPE. Empresa de Pesquisa Energética. Plano Decenal de Expansão de Energia 2030 (PDE 2030). Rio de Janeiro: EPE, 2021.
3 GREENER. Estudo Estratégico: Geração Distribuída – 1º Semestre de 2024. Agosto de 2024.
4 Woetzel, J. et al. How advancing women’s equality can add $12 trillion to global growth. McKinsey&Company , 2015.
5 C40 Cities Finance Facility. Energia Solar no Brasil: Quais são as Barreiras e Oportunidades para as Profissionais Mulheres no Setor?, 2021.

Frederico Boschin é Diretor Executivo da Noale Energia e Sócio da Ferrari Boschin Advogados. Conselheiro da ABGD; Conselheiro Fiscal do Sindienergia RS e Professor dos Cursos de MBA da PUC/RS e PUC/MG.

Normalmente, a coluna aborda os temas do setor de forma objetiva e sempre com o viés descritivo. No presente caso, o tema é conceitual e já abordado anteriormente: o desafio técnico da integração de fontes renováveis com elevada intermitência e sazonalidade.
Tecnicamente, o ano de 2025 nos apresenta um cenário cada vez mais problemático para essa dita integração das fontes renováveis (solar e eólica) em um sistema interligado que enfrenta problemas de gargalos em transmissão e distribuição, ainda presentes e persistentes.
Segundo o ONS, em 2029, teremos 250GW de capacidade instalada, sendo que serão 50GW em MMGD (Micro e Minigeração Distribuída); com um dado interessante, de 2024 até 2029, 80% da expansão da nossa capacidade instalada será por meio de MMGD.
De acordo com o arcabouço regulatório atual, os estudos de médio prazo do ONS 1 incluem todas as instalações classificadas como “DIT 2 de âmbito de distribuição”. No entanto, nos estudos de curto prazo e na operação em tempo real, apenas uma pequena parte dessas DIT, que pertencem à Rede de Operação, são consideradas. E é nesse nível de tensão (subtransmissão e distribuição) que a MMGD se conecta e interage no fluxo de potência.
A maior parte das DITs não atende aos critérios necessários para serem incluídas na Rede de Operação. A Rede de Operação é composta por toda a Rede Básica e pelas instalações da Rede Complementar, que são aquelas cujo desligamento afeta a otimização energética do SIN e/ou os parâmetros de avaliação
do desempenho elétrico das instalações e dos equipamentos da Rede Básica, podendo levar a condições operativas fora dos critérios estabelecidos nos Procedimentos de Rede.
Desta forma, podemos dizer que a velocidade dos estudos do ONS, considerando critérios de avaliação das instalações, não acompanha a evolução tecnológica e expansão da MMGD, e isso afeta diretamente a operação do SIN. Não sabemos onde, nem como a MMGD afeta (ou pode afetar) a segurança do suprimento, pois não existem dados apurados e tratados em granularidade suficiente para o devido tratamento: técnico e comercial.
Esse descompasso cria uma inevitável distorção nos estudos indicativos de diagnóstico e proposição de reforços.
Além da operação, o ONS tem uma participação ativa no planejamento do SIN, principalmente na fase de diagnóstico da maioria das análises para o aumento de demanda na rede DIT. Quando é identificada uma limitação na rede, o Operador não tem a prerrogativa de sugerir qualquer solução, seja ela conjuntural (considerando que poucas instalações DIT fazem parte da Rede Complementar) ou estrutural, posto que o ONS apenas avalia Rede Básica (>230kV) nas suas proposições. Em outros termos, há um defeito na repartição de responsabilidades entre agentes do setor elétrico e a governança do setor.
A divisão de responsabilidades entre as entidades setoriais e os agentes do setor é ineficiente para recomendar soluções conjunturais ou estruturais que resolvam os problemas de esgotamento dessa rede em compasso com a evolução tecnológica do setor.
Redefinindo essas responsabilidades, será possível minimizar
1 O PLANO DA OPERAÇÃO ELÉTRICA DE MÉDIO PRAZO tem como objetivo avaliar o desempenho do SIN, no horizonte de 5 anos, para que a operação futura seja realizada com níveis de segurança adequados, em consonância com os critérios de confiabilidade estabelecidos no Submódulo 3.1 dos Procedimentos de Rede. O Plano tem como base os enfoques conjuntural e estruturante. Portanto, deve conter as indicações de obras necessárias para o adequado atendimento à demanda, à integração das novas usinas geradoras e ao pleno funcionamento do mercado de energia elétrica no horizonte de médio prazo. https://www.ons.org.br/paginas/energia-no-futuro/suprimento-eletrico
2 Demais Instalações de Transmissão - DIT são instalações de transmissão que não integram a Rede Básica do Sistema Interligado Nacional (SIN).
3 O ERAC (Esquema Regional de Alívio de Carga) é um sistema especial de proteção utilizado pelo Operador Nacional do Sistema Elétrico (ONS) no Brasil. Ele tem como objetivo evitar desequilíbrios graves no Sistema Interligado Nacional (SIN) ao cortar automaticamente cargas pré-determinadas em caso de variações significativas na frequência do sistema. Quando há uma perda de grande quantidade de geração de energia, o ERAC desliga cargas de forma escalonada para estabilizar o sistema e permitir a recomposição das cargas. Isso ajuda a evitar um efeito cascata de desligamentos que poderia levar a um colapso do sistema de transmissão de energia.

os “gargalos” na rede que impedem o crescimento das cargas conectadas nas DIT. É essencial tratar o tema das responsabilidades sobre as DIT entre os agentes e a governança do setor elétrico, focando na simetria entre o diagnóstico da rede e a recomendação de soluções.
Por exemplo: a parte da rede DIT que recebe a maior parte das solicitações de aumento de carga está esgotada (sudeste), devido à vasta malha de transmissão conectada a muitas subestações de fronteira da Rede Básica no coração do país, com níveis de tensão em 230 kV, 440 kV e 500 kV, suportando grandes montantes de carga.
O menor carregamento do sistema de transmissão durante o período diurno, resultado da geração solar massiva (via MMGD) resulta no deslocamento da geração de usinas que fornecem controle de potência reativa, resultando em desafios operacionais e comerciais para o SIN. Esse fenômeno tem o nome de “curva do pato” e tem íntima relação com o controle de tensão e frequência.
O deslocamento da geração de usinas de grande porte, baseadas em máquinas síncronas, para recursos de pequeno porte (MMGD), requer uma maior flexibilidade operacional, que atualmente é fornecida pela geração hidráulica.
Porém, existe sempre a necessidade de gerenciar as restrições e gargalos na rede de transmissão durante essa modulação da geração centralizada que além disso deve ser ajustada em função da MMGD; e como já dito, nos faltam dados em granularidade suficiente para fazer isso de maneira segura. Quando todos os recursos de controle de tensão são esgotados, é necessário desligar linhas de transmissão para manter a estabilidade do sistema 3 .
Voltamos ao ponto inicial: problemas no planejamento da transmissão (curtailment) e distribuição se somam ao momento explosivo da MMGD (inversão de fluxo).
E nesse ponto, retomamos o tema da redefinição do papel das distribuidoras e aumentar a interação com o ONS. A introdução desse novo desafio para a operação em tempo real do SIN ressalta a necessidade de aprimorar o papel das distribuidoras para que atuem como Operadoras de Sistema de Distribuição (DSOs) e possam controlar o despacho da MMGD de forma coordenada com o ONS. Esse assunto já foi abordado aqui nessa coluna.
Desta forma, e por fim, com a expansão dos Recursos Energéticos Distribuídos (REDs) ou MMGD, é essencial preparar (técnica e comercialmente) as distribuidoras para assumirem seu papel futuro como Operadoras do Sistema de Distribuição (DSO). E para isso, é necessário estabelecer requisitos que garantam a controlabilidade adequada da MMGD, caso contrário, teremos mais cortes e desperdício de recursos e energia.


Proteção Completa para seus equipamentos com o DPS Compact 275 VCA
O DPS Compact 275 VCA 20 KA Classe II é a solução ideal para proteger circuitos de tensão de fase 220 Vca. Garantindo a segurança dos seus quadros de energia secundários, este dispositivo protege seus equipamentos eletroeletrônicos contra surtos elétricos e falhas no sistema. Aposte na máxima eficiência e tranquilidade com o DPS Compact 275 VCA, a escolha certa para proteger o que mais importa.



Alta capacidade de proteção contra escargas atmosféricas. Desligador termodinâmico, desconecta automaticamente o DPS em caso de descarga acima da capacidade.
Módulo eficiente e compacto Fácil aplicação.

Acesse o QR Code e conheça as linhas compl




Lílian Ferreira Queiroz é engenheira eletricista, Membro do Cigré e especialista em confiabilidade e gestão de ativos. Atualmente, é Diretora de Gestão de Ativos da Geração da Eletrobras
Ainteligência artificial (IA) está transformando diferentes níveis organizacionais, contribuindo para a estratégia, a eficiência, a tomada de decisão e a inovação. Ela impacta diferentes níveis organizacionais e possui um limite para cada um destes níveis.
No nível operacional, a IA é amplamente utilizada para automatizar tarefas rotineiras, liberando tempo e recursos para atividades de maior valor agregado. Por exemplo, empresas de energia, as equipes operacionais terão informações necessárias para tomadas de decisões operacionais, dados para avaliação da condição dos ativos, planejamento da manutenção e operação de forma eficiente, indicadores de desempenho, informações de dados de sistemas de proteção de ativos e operação em tempo real, fornecendo um suporte imediato para as equipes. No nível tático, a IA atua como suporte em processos gerenciais e administrativos, indicando e sugerindo aos gestores decisões mais direcionadas. No nível estratégico, a IA desempenha um papel crucial na tomada de decisão baseada em dados, inovações tecnológicas, oportunidades futuras e resultados financeiros das companhias. Porém, mesmo que o uso de IA nos processos facilite a assertividade nas decisões, fornece insights valiosos, as decisões críticas ainda dependem de habilidades humanas.
Neste sentido, a implantação de Centrais de Monitoramento de Ativos (CMA), que apresentam dados e informações históricas, preventivas e preditivas dos ativos, são um facilitador e tem como objetivo a velocidade, assertividade e agilidade na tomada de decisão. Ou seja, as CMAs permitem que as equipes visualizem os dados de tendências atuais e históricas de ativos por meio de um dashboard personalizável e widgets em um sistema de monitoramento de ativos padronizado. Além disto, as análises de dados avançadas e a inteligência artificial (IA) para detectar anomalias e uso de dados do histórico operacional e de manutenção de ativos minimizam o downtime e estende o ciclo de vida do ativo. A funcionalidade de detalhamento configurável dessas Centrais integra-se sem dificuldades aos fluxos de trabalho existentes no gerenciamento de ativos empresariais, permitindo intervenções mais inteligentes e direcionadas. Também são agregados dados de tecnologia da informação – TI, com dados operacionais e parâmetros de processos nos sistemas de controle existentes, historiadores, sensores de IoT e outros repositórios que fornecem uma visibilidade dos ativos monitorados sobre o desempenho e a condição do ativo. O uso de dashboard já é considerado uma grande evolução na visualização de dados, permitindo uma visão holística de uma área ou de uma empresa. Com o uso de IA, é possível agrupar e analisar um volume gigantesco de dados gerados continuamente. Um dos exemplos de IA no processo de Gestão de Ativos, são o uso de dados e informações para avaliar o ciclo de vida e saúde dos ativos operacionais. A quantidade de informações que são necessárias, desde a especificação técnica dos equipamentos, resultados de ensaios de inspeção em fábrica, comissionamento e durante a vida operacional, são significativos. Também é possível monitorar KPIs específicos, acompanhar o progresso de projetos, ou medir a eficiência operacional.
A tomada de decisão baseada em dados (Data-Driven Decision Making, DDDM)

é o processo de tomar decisões estratégicas fundamentadas em dados concretos e análises quantitativas, ao invés de se basear apenas em intuição, experiências passadas ou suposições. Esse método implica coletar, analisar e interpretar dados relevantes para guiar as escolhas e ações dentro de uma organização.
Para garantir que a tomada de decisão baseada em dados seja efetiva, é importante implementar uma cultura organizacional voltada para dados e promover a democratização dessas informações.
A transformação cultural quanto a implementação de tecnologias e processos específicos necessita da adoção das seguintes etapas: compromisso da liderança (business transformation) e governança; formulação de uma estratégia de dados; plataformas e sistemas que suportem o processo; possuir uma estrutura de coleta de dados, fazer a análise dos dados coletados (dashboards, monitoramento de performance, quick wins) e estrutura para testes; equipe qualificada (políticas de formação/capacitação - Cientistas de Dados e Machine Learning Engineers) e segurança de dados - CyberSecurity. Estabelecer esses recursos básicos é crucial para encorajar todos os níveis da organização a adotarem decisões impulsionadas por dados.
Os benefícios da IA para monitoramento de ativos podem ser quantificados financeiramente, desde os ativos retirados de operação, o custo do tempo de indisponibilidade do ativo medido com a inclusão de danos à reputação, imagem, perda de receita, aplicação de multas, suspensão de operação comercial e demais sanções regulatórias. Com isto, os ganhos com a implementação garantem um resultado financeiro significativo, uma vez que ativos são retirados de operação ou modernizados, evitando falhas catastróficas. O valor da solução é quantificado para que o investimento realizado seja reembolsado em melhor inteligência e melhor desempenho.
Neste sentido, os ganhos com a implantação de CMAs nos processos de gestão de ativos podem ser elencados:
• Integração de dados de múltiplas fontes sobre estado operacional dos ativos;
• Capacidade de dimensionar e visualizar os ativos empresariais através de um único painel; Detecção de anomalias alimentada por IA (em escala);
• Análise avançada e IA que podem detectar problemas rapidamente e aproveitar dados do histórico operacional;
• Análise de causa raiz de falhas e defeitos com notificações de alerta e recursos de detalhamento para equipes de manutenção;
• Portfólio de ativos a ser revitalizados e modernizados com dados concretos e agrupados;
• Uso de metodologias abrangentes de riscos, com abordagem probabilística, tecnicamente robusta, aplicável a situações reais e que supera as limitações de métodos determinísticos tradicionais.
Assim, a implementação de CMAs melhora significativamente a confiabilidade e eficiência operacional dos ativos, fornecendo uma base sólida para decisões estratégicas operacionais e de investimentos.





Cláudio Mardegan é CEO da EngePower Engenharia, Membro Sênior do IEEE, Membro do Cigrè | claudio.mardegan@engepower.com

OBJETIVO DO ARTIGO DESTE TEMA
Embora os disjuntores de média e alta tensão sejam muito utilizados, poucos os conhecem devidamente.
Não é objetivo desta coluna dar um curso sobre disjuntores, isto pode ser obtido no treinamento de subestações da EngePower.
Nesta e nas próximas colunas farei uma abordagem de forma a esclarecer esses principais pontos menos conhecidos.
VAMOS COMEÇAR COM O TEMA TRV
O que é a TRV?
A tensão de restabelecimento transitória (TRT, ou em inglês TRV – Transient Recovery Voltage) é definida como sendo a diferença da tensão entre os pólos de uma mesma fase de um disjuntor, medidas entre cada pólo (fase) e a terra, após a extinção do arco elétrico no interior de sua câmara.
Para que a interrupção da corrente da falta tenha sucesso, as suportabilidades térmica e dielétrica calculadas para o disjuntor não devem superar àquelas especificadas/normatizadas para o disjuntor, caso contrário a falta será restabelecida (restrike ou reacendimento).
Considere a Fig. 1 seguinte.

A TRV é a tensão U12.
PROCESSO DE INTERRUPÇÃO DA FALTA E APARECIMENTO DA TRV
No processo de interrupção da falta, após a extinção do arco, enquanto os contatos do disjuntor ainda estão próximos um do
outro, é necessário que o resfriamento do interior da câmara do disjuntor seja mais rápido que o crescimento da TRT enquanto que, quando os contatos do disjuntor já estão mais afastados um do outro, a suportabilidade dielétrica do meio de extinção deve ser superior aos valores instantâneos atingidos pela TRT.
Portanto, a taxa de crescimento e o pico são os parâmetros que caracterizam a severidade da TRT.

Fig.2 – Parâmetros que caracterizam a TRV: Amplitude e Taxa de Crescimento
DEDUÇÃO DO VALOR DA TRV PARA FREQUÊNCIA ÚNICA
Considere a Fig 3 seguinte.

Fig.3 – Circuito usado para determinar a magnitude da TRV
Com base no circuito da Fig 3, onde a tensão (e) da fonte é dada por Vmáx.cos(wt). Considere a falta franca (sem impedância) aplicada na saída do disjuntor, despreze a resistência da fonte e a fonte solidamente aterrada. Aplicando-se a Lei de Kirchoff das Tensões fica:

A tensão que aparece nos terminais do disjuntor é igual à tensão no capacitor.
Aplicando transformada de Laplace na equação acima, obtém-se:

Isolando-se I(s), chega-se a:

A frequência da fonte é w, porém como ω2 = 1/LC, a equação da
As tabelas de anti-transformada de Laplace indicam que:

Aplicando na equação da TRV, obtém-se:


Energia de qualidade começa com fios e cabos certificados.
Escolha o melhor para suas instalações.
Na ONIX, oferecemos soluções completas para suas instalações elétricas. Produtos de alta performance, resistência e segurança para garantir o sucesso do seu projeto.
Entre em contato e saiba mais.

Luciano Rosito é engenheiro eletricista, especialista em iluminação e iluminação pública. Professor de cursos de iluminação pública no Brasil e exterior
Antes de falar do tema da minha coluna, quero desejar a todos os leitores um feliz 2025. Dito isto, quero dizer que inicio o ano com uma perspectiva positiva em relação ao universo da iluminação, com indicativo da consolidação e difusão de boas práticas de iluminação, cada vez mais crescentes.
Assim como em 2024, neste ano teremos muitos eventos do setor, onde a iluminação estará em pauta. O primeiro deles, que abordará o tema iluminação e sistemas de automação de iluminação, é o Circuito Nacional do Setor Elétrico – CINASE, que ocorrerá entre os dias 11 e 12 de março, em Porto Alegre/RS.
Também estão previstos eventos já tradicionais promovidos pela ABILUX, ABCIP e ABRASI, como o Fórum de Iluminação Urbana, a LightFair, em Las Vegas (4 a 8 de maio), e o CEPIIC, em 10 de junho, na Unicamp – Campinas. Esses são alguns dos eventos do primeiro semestre do ano. No segundo semestre, o LED Fórum e o SIIPE Nordeste são outros destaques e ótimas oportunidades de troca de conhecimentos e de experiências para quem quer se atualizar no segmento de iluminação. Para 2026, teremos novamente a Light+ Building, em Frankfurt, e a EXPOLUX, no Brasil.
Enquanto isso, com muitas discussões, debates e controvérsias, temos também um grande volume

de normas recentemente atualizadas e publicadas. Por outro lado, impera ainda a necessidade de aplicabilidade da NBR 5101:2024 – Iluminação viária nos novos projetos. Utilizar os novos conceitos desta norma e as evoluções propostas por ela, deve ser uma consequência do período de adaptação do primeiro ano que se completa em março de 2025, que dará uma estabilidade para o uso da mesma.
Também deve ser iniciada este ano a revisão da NBR ISO CIE 8995 – Iluminação em ambientes de trabalho: Parte 1 interior, que precisa ser atualizada e rediscutida em vários pontos. Para o segmento de iluminação pública, temos o sempre difícil ano de primeiro mandato das administrações municipais, que normalmente não fazem grandes investimentos nas modernizações, concentrando nos anos seguintes.
Em 2025, com as PPPs, projetos em cidades onde a administração foi reeleita, este cenário pode ser um pouco melhor, pois já existe um planejamento médio a longo prazo com os marcos de investimentos, com projetos previamente aprovados a serem executados. A telegestão também deve ser mais utilizada, pois já há uma maior procura por parte dos municípios e evoluções técnicas, como a aprovação de modelo estabelecida pelo INMETRO, que viabiliza a aceitação da medição por parte das distribuidoras de energia, para fins de faturamento.
Para a iluminação interna, tanto corporativa, quanto industrial, já é uma realidade a substituição dos sistemas antigos com tecnologia LED por outros equipamentos LED mais modernos, mais eficientes e que incorporem os sistemas de controles e automação da iluminação.
Enfim, em 2025, o uso da tecnologia e controle da luz estará cada vez mais presente, sendo uma realidade já consolidada tanto na vida dos profissionais de iluminação, quanto dos usuários.

Este ano a FIEE é a ponte da indústria para um futuro mais tecnológico, conectado e sustentável!

Última edição com números recordes:
59% dos visitantes com poder de decisão !
Mais de 31 mil visitantes qualificados
+ 400 marcas participantes
+ 100 horas de conteúdo




Roberval Bulgarelli é engenheiro eletricista e consultor sobre equipamentos e instalações em atmosferas explosivas.
Foi publicada pela ABNT em 27/12/2024 a ABNT IEC TS 63444 - Redes industriais de comunicação – Especificação de portas com perfil Ethernet APL.
Esta ABNT IEC TS 63444, inédita na Normalização nacional, especifica perfis de porta com padrão Ethernet APL (Advanced Physical Layer) para instalação em áreas classificadas e não classificadas, com e sem alimentação elétrica.
O padrão Ethernet APL foi projetado especificamente para modernizar soluções de instrumentação digital utilizadas para controle de processos industriais, proporcionando recursos aprimorados de comunicação, alimentação e controle de dispositivos instalados em áreas classificadas: Zonas 0, 1 e 2 ou Zonas 20, 21 e 22.
Esta ABNT IEC TS 63444 é aplicável a equipamentos de automação de processos que utilizam uma camada física (PHYPHYSICAL) compatível com o padrão 10BASE-T1L, de acordo com a Norma IEEE Std 802.3 2022, Seção 146.
As seguintes características técnicas fazem parte desta ABNT IEC TS 63444: topologia com capacidade de instalação tronco/derivação (TRUNK/SPUR); tecnologia dois fios: taxa de comunicação de dados de 10 Mbit/s FULL-DUPLEX, longas distâncias de cabos, com comprimentos de cabos de várias centenas de metros, com trechos


até 1 000 m; segurança intrínseca para instalação de dispositivos de campo com capacidade Ethernet em áreas classificadas contendo gases inflamáveis ou poeiras combustíveis; e alimentação elétrica para dispositivos de campo através do mesmo cabo de dois fios utilizado para a comunicação de dados (Power over Ethernet - PoE)
Um segmento Ethernet APL compreende duas portas Ethernet APL conectadas a cada extremidade de um cabo tronco (Trunk) ou uma derivação (Spur), com dispositivos auxiliares e blocos terminais ou conectores entre eles.
Uma derivação (Spur) sempre termina em um dispositivo de campo Ethernet APL. Em instalações em áreas classificadas contendo gases inflamáveis ou poeiras combustíveis, os switches de campo e os dispositivos “Ex” de instrumentação atendem os requisitos da ABNT IEC TS 60079-47 – Ethernet APL intrinsecamente segura a dois fios (2-WISE).


Os dispositivos Ethernet APL de campo, que devem possuir certificação “Ex” como intrinsecamente seguros (2-WISE), podem estar localizados em qualquer Zona da área classificada, dependendo do Equipment Protection Level - EPL (Equipment Protection Level) proporcionado.
Perfis intrinsecamente seguros para portas Ethernet APL (2-WISE - Ethernet Intrinsecamente Segura a Dois fios) facilitam a verificação da interconexão de diferentes portas com padrão Ethernet APL. Perfis Ethernet APL intrinsecamente seguros com parâmetros de entidade ou parâmetros de limitação predefinidos (por exemplo, tensão, corrente, potência, capacitância, indutância e comprimento do cabo) simplificam a interoperabilidade e a verificação da interconexão de diferentes portas Ethernet APL intrinsecamente seguras.
De acordo com a topologia Ethernet APL utilizada, as portas no padrão Ethernet APL / 2-WISE dos switches de campo podem estar localizadas em áreas não classificadas ou em áreas classificadas Zonas 1, 2, 21 ou 22, dependendo dos respectivos EPL proporcionados: Gb, Gc, Db ou Dc. Os dispositivos de campo Ethernet APL / 2-WISE podem ser localizados nas Zonas 0, 1, 2, 20, 21 ou 22, dependendo dos respectivos EPL proporcionados: Ga, Gb, Gc, Da, Db, Dc.
Esta ABNT IEC TS 63444 apresenta especificações para os cabos, dispositivos auxiliares opcionais e terminais de conexão. São apresentados também a especificação dos conectores com classificação industrial mais comuns para utilização em indústrias de processo.
É também apresentado um sistema de categorias de cabos de vários comprimentos que são capazes de manter a integridade da comunicação, ao mesmo tempo em que permite fabricações otimizadas de cabos para aplicações ou de classificações ambientais específicas.
Os participantes da Comissão de Estudo CE 003.065.001 (Instrumentação e automação para a indústria de processo) da ABNT/CB-003 (Eletricidade) acompanharam todo o processo e etapas de elaboração, comentários, votação, aprovação e publicação
do Documento internacional IEC TS 63444, publicada pelo Technical Committee Industrial Process Measurement, Control and Automation (TC 65), Subcommittee Industrial networks (SC 65C) da IEC (International Electrotechnical Commission). Aquela Comissão de Estudo da ABNT executou todos os trabalhos de elaboração da respectiva ABNT IEC TS IEC 63444, tendo como base os requisitos da DIRETIVA 3 da ABNT: Adoção de documentos técnicos internacionais.
\Mais informações sobre Especificação de portas com perfil Ethernet APL, apresentados na ABNT IEC TS 63444, estão disponíveis no Catálogo da ABNT: https://www.abntcatalogo.com.br/pnm. aspx?Q=aUFPazJZWS 9tOGlnL1BldDZodHROdkxGNDhCMHQrMzlwQ09CQjFQNDFrdz0=

Aguinaldo Bizzo de Almeida é engenheiro eletricista e atua na área de Segurança do trabalho. É membro do GTT – NR10 e inspetor de conformidades e ensaios elétricos ABNT – NBR 5410 e NBR 14039, além de conselheiro do CREA-SP.

Ouso de redes compartilhadas de distribuição e transmissão de energia com empresas de telefonia e de TV a Cabo é um tema ‘polêmico’, devido a interpretações divergentes entre os diversos atores, quanto à correta interpretação do disposto na NR10 sobre o assunto.
Vários fatores devem ser considerados quando da tratativa deste tema, considerando os diversos interesses envolvidos. Dentre eles, destaque para a questão da segurança dos trabalhadores que realizam atividades de manutenção de telefonia e de TV a Cabo, instaladas em estruturas compartilhadas com redes de distribuição e/ou transmissão de energia elétrica.
Fatores como: saturação da ocupação dos espaços em função da demanda de interconexão de dados; precarização das condições de trabalho; histórico de acidentes; falta e/ou descumprimento das regulamentações técnicas e de SST; zeladoria de infraestrutura de posteamento; atuação de leigos e acidentes com leigos; falta de atendimento mínimo dos requisitos legais para atuação profissional; necessidade de preparação adequada dos profissionais, inclusive da engenharia; e, especialmente, a dificuldade de desligamento das redes elétricas, devem ser observados no detalhe.
A NR10 dispõe sobre as diretrizes básicas para a implementação de medidas de controle e sistemas preventivos, destinados a garantir a segurança e a saúde dos trabalhadores que, direta ou indiretamente, interagem em instalações elétricas, estabelecendo os requisitos e as condições mínimas para o total cumprimento destas recomendações e considerando que a segurança e a saúde são direitos de todos os trabalhadores envolvidos.
Esta NR se aplica às fases de geração, transmissão, distribuição e consumo, incluindo as etapas de projeto, construção, montagem, operação, manutenção das instalações elétricas e quaisquer trabalhos realizados nas suas proximidades, observando-se as normas técnicas oficiais estabelecidas pelos órgãos competentes e, na ausência ou omissão destas, as normas internacionais cabíveis. Sendo assim, a imposição da Norma sujeita todas as atividades realizadas nas proximidades das instalações elétricas e dos serviços com eletricidade.
A NR10 define, em seu glossário, o conceito de Trabalho em Proximidade: trabalho durante o qual o trabalhador pode entrar na zona controlada, ainda que seja com uma parte do seu corpo ou com extensões condutoras, representadas por materiais, ferramentas ou equipamentos que manipule.
Dessa forma, de maneira intrínseca, estão inseridos na abrangência da NR10 os trabalhadores em ambientes circunvizinhos sujeitos às influências das instalações ou da execução de serviços elétricos que lhes são próximos, tais como: trabalhadores nas instalações telefônicas; TV a Cabo; e iluminação pública instaladas em estruturas compartilhadas com redes de distribuição e/ou transmissão de energia elétrica. Ou seja, a norma inclui também manutenção de iluminação pública, manutenção de semáforos, ou trabalhadores em geral (construção, manutenção, operação não elétricas), que realizam suas atividades e serviços na zona controlada definida no anexo II da NR10.
DEFINIÇÕES DA NR10:
Zona de risco - Entorno de parte condutora energizada, não segregada, acessível inclusive acidentalmente, de dimensões estabelecidas de acordo com o nível de tensão, cuja aproximação só é permitida a profissionais autorizados e com a adoção de técnicas e instrumentos apropriados de trabalho.
Zona controlada - Entorno de parte condutora energizada, não segregada, acessível, de dimensões estabelecidas de acordo com o nível de tensão, cuja aproximação só é permitida a profissionais autorizados.
Considerando-se as condições laborais existentes para profissionais que realizam atividades em redes de telefonia e TV a Cabo em estruturas compartilhadas com redes aéreas de distribuição de energia elétrica, “de forma intrínseca” está caracterizado o “trabalho em proximidade”, conforme a NR10, uma vez que as atividades desenvolvidas são realizadas dentro dos limites estabelecidos pela NR10 como Zona Controlada para baixa tensão, ou seja, 0,7 m.

Daniel Bento, PMP®, é Eng. Eletricista e atua com redes isoladas de MT. Coordenou o Comitê de Estudos B1 do CIGRE, sendo coautor das Brochuras Técnicas 773 e 924. Foi responsável técnico da rede de distribuição subterrânea de SP. Atualmente, é CEO da BAUR do Brasil.
“O cientista não pretende alcançar um resultado imediato. Ele não espera que suas ideias avançadas sejam imediatamente aceitas. Seus trabalhos são como sementes para o futuro”. O que Nikola Tesla afirma sobre os cientistas, na minha opinião, também descreve o papel que o CIGRE desempenha desde 1921 para o desenvolvimento mundial de sistemas de energia - incluindo o setor elétrico.
Para quem não conhece, o CIGRE é uma comunidade global e colaborativa dedicada a disseminar conhecimento e boas práticas sobre sistemas de energia, por meio de diversas iniciativas. Parafraseando Tesla, “seus trabalhos são como sementes para o futuro”, e envolvem programas de conhecimento, publicações especializadas, promoção de eventos globais e regionais, como o Workshop de Cabos Isolados, que a BAUR do Brasil vem apoiando nos últimos anos, brochuras técnicas (que explicarei mais adiante), entre outros projetos que visam a promover o desenvolvimento de soluções que não apenas resolvem desafios atuais, mas também preparam o caminho para inovações.
Para fazer com que essa engrenagem funcione mundialmente, o CIGRE hoje conta com 61 comitês nacionais presentes em mais de 90 países, representados por milhares de profissionais e organizações. Juntos, eles formam mais de 250 grupos de trabalho organizados em torno de 16 comitês de estudo, abrangendo as seguintes áreas do conhecimento: equipamentos, sistemas, novos materiais e TI e tecnologias.
No comitê de estudos sobre tecnologias, destacarei alguns trabalhos realizados pelo Grupo de Trabalho B1, sobre cabos isolados, do qual tive a honra e a satisfação de fazer parte. O grupo aborda tópicos em todas as fases do ciclo de vida da gestão desses ativos: desde a concepção, passando pela pesquisa, desenvolvimento, projeto, produção, implantação, operação e fim de vida.
Enquanto representante no Brasil deste comitê, tive a oportunidade de contribuir diretamente para a construção de duas brochuras técnicas:
- 773 “Fault location on land and submarine links (AC & DC)”, que aborda as melhores práticas e técnicas para realizar a correta localização da falha em redes subterrâneas de energia.
- 924 “Condition Assessment and Diagnostic Methods to Support
Asset Management of MV Cable Networks”, que foca na avaliação da condição e nos métodos de diagnóstico aplicados a redes de cabos de média tensão, com o objetivo de apoiar a gestão de ativos.
MAS, AFINAL, O QUE SÃO ESSAS BROCHURAS TÉCNICAS?
Imaginem quanto conhecimento milhares de profissionais do mundo todo, juntos, podem consolidar e compartilhar? As brochuras técnicas desenvolvidas pelos grupos de trabalho do CIGRE são documentos que servem de referência para orientar decisões técnicas e estratégias sobre sistemas de energia. Elas carregam análises, estudos e recomendações com base em experiências do mundo real, sobre temas variados, mas sempre alinhados com o foco estratégico global do CIGRE.
DIAGNÓSTICO DE CABOS
Na mais recente brochura técnica publicada pelo Grupo de Trabalho B1 de Cabos Isolados do CIGRE, denominada “Condition Assessment and Diagnostic Methods to Support Asset Management of MV Cable Networks”, são abordados aspectos como técnicas para determinar o estado atual dos cabos e prever sua vida útil restante. Também aborda tecnologias e práticas avançadas para identificar falhas incipientes e outros problemas críticos, além de estratégias para otimizar investimentos em manutenção, reparos e substituições, garantindo maior eficiência operacional - aplicações práticas que demonstram o impacto positivo das técnicas de avaliação na redução de falhas e aumento da confiabilidade.
Essa brochura é um recurso essencial para empresas e profissionais que trabalham na operação e manutenção de redes de média tensão, ajudando a garantir a segurança, sustentabilidade e eficiência dessas infraestruturas. Fico extremamente feliz e honrado de representar o Brasil na elaboração desta publicação, ao lado de tantos outros colegas que, voluntariamente, dedicaram tempo e esforço para a consolidação de um guia extremamente relevante para o nosso setor.
E para ter acesso a esses documentos e a todas as iniciativas promovidas pelo CIGRE mundialmente, é preciso ser um associado. Se você ainda não conhece a entidade, recomendo fortemente conhecer. Custa menos do que uma assinatura de streaming por mês, e com um retorno garantido: conhecimento!
José Barbosa é engenheiro eletricista, relator do GT-3 da Comissão de Estudos CE: 03:064.010 - Proteção contra descargas atmosféricas da ABNT / Cobei responsável pela NBR5419. | www.eletrica.app.br
Para calcular os riscos associados a descargas diretas (S3) e indiretas (S4) em linhas elétricas, um parâmetro fundamental é o comprimento da linha. Esse comprimento determina a área de exposição da linha, sendo a largura padrão de 40 metros para S3 e 4000 metros para S4.
O comprimento da linha é bem definido quando ela tem seu início e fim bem definidos. O fim é tipicamente o ponto de fornecimento da energia e do sinal, como é o caso de um prédio residencial onde as linhas não seguem após ele. Entretanto, o início das linhas não é tão simples como o fim.
As linhas elétricas a serem consideradas devem ser exclusivamente metálicas; trechos de linhas de sinal em fibra ótica, por exemplo, não são incluídos na análise. Conforme ilustrado na Figura 1, em um cenário onde uma linha de sinal em fibra ótica (trecho amarelo) chega à estrutura A e, a partir daí, continua como uma linha de sinal metálica (trecho vermelho) até a estrutura B, o ponto final da linha é claramente definido como a estrutura B, enquanto o ponto inicial é a estrutura A. Nesse caso, o comprimento da linha corresponde à distância total entre as duas estruturas (A e B).


Os erros mais frequentes ocorrem nas análises de linhas elétricas de energia. Um exemplo típico é o fornecimento de energia por uma concessionária utilizando uma linha de média tensão (MT) até um transformador na rua e, a partir dele, um trecho em baixa tensão (BT) até a estrutura consumidora, conforme ilustrado na Figura 2.
Nesses casos, o erro comum é considerar apenas o trecho em baixa tensão, que muitas vezes possui apenas algumas dezenas de metros. No entanto, o correto é incluir tanto o trecho em baixa tensão quanto o de média tensão. Para atender a essa necessidade, podem ser criadas duas seções com características distintas: uma para o trecho em MT — considerada alta tensão pela NBR 5419:2015 —, tipicamente aérea, com seu respectivo comprimento; e outra para o trecho em BT, normalmente subterrâneo, com seu comprimento correspondente.
Como alternativa conservadora, é aceitável adotar a pior condição e tratar toda a extensão da linha como baixa tensão, aérea e considerando o comprimento total (MT + BT). Essa abordagem simplifica a análise e oferece maior segurança na estimativa de riscos.

Nesse exemplo, é difícil determinar com precisão o comprimento do trecho em média tensão (MT), devido à complexidade dos caminhos, derivações e da localização da subestação que origina a linha. Para lidar com essa situação, a NBR 5419:2015 oferece uma
solução prática, permitindo considerar um comprimento total padrão de 1000 metros, quando a medida exata não é conhecida.
Dessa forma, no contexto de um gerenciamento de risco conforme a NBR 5419:2015, é incomum adotar um comprimento de linha elétrica, especialmente de energia, inferior a 1000 metros, garantindo uma análise mais conservadora e abrangente.
Outro erro comum está na classificação das estruturas ao redor da estrutura em análise. A Tabela 1, uma reprodução da tabela A.1 da NBR 5419-2:2015, utiliza os termos “mais altos”, “mais baixos” e “isolada”, que podem gerar interpretações equivocadas. O objetivo desse fator de ponderação é ajustar o cálculo do risco, considerando a influência das estruturas vizinhas na probabilidade de a estrutura em estudo ser atingida por uma descarga atmosférica.
A opção “Estrutura cercada por objetos mais altos” não deve ser utilizada quando as estruturas vizinhas forem apenas ligeiramente mais altas, nesse caso, a escolha correta seria “Estrutura cercada por objetos da mesma altura”. Por outro lado, a opção “Estrutura isolada: nenhum outro objeto nas vizinhanças”, deve ser aplicada quando a estrutura em estudo, de fato, não tem concorrentes significativos em altura nas proximidades. Por exemplo, para um prédio de 20 andares, cercado por casas de até 2 pavimentos, essa seria a classificação mais apropriada, em vez de selecionar a opção que menciona “objetos mais baixos”.
Tabela 1 – Fator de localização da estrutura CD
Localização relativa
Estrutura cercada por objetos mais altos
Estrutura cercada por objetos da mesma altura ou mais baixos
Estrutura isolada: nenhum outro objeto nas vizinhanças
Estrutura isolada no topo de uma colina ou monte
FATOR AMBIENTAL DA LINHA
Erros também são comuns na classificação do ambiente em que as linhas elétricas estão ou serão instaladas. O fator ambiental é utilizado para avaliar a probabilidade de a linha estar sujeita aos efeitos de descargas atmosféricas. Quanto maior o número de estruturas ao redor da linha, menor será a sua exposição a esses efeitos.
É importante ressaltar que o foco deve estar nas estruturas ao longo do percurso da linha, e não naquelas ao redor da estrutura em análise. Conforme mencionado anteriormente, o comprimento típico considerado é de 1 km. Portanto, a abordagem correta é selecionar a condição de maior exposição da linha ao longo de todo o seu trajeto.














Outros erros são frequentemente cometidos, mas deixaremos para as próximas edições da revista.

Nunziante Graziano é engenheiro eletricista, mestre em redes e equipamentos, Ph.D. Em Business Administration e CEO do Grupo Gimi |nunziante@gimi.com.br
Aevolução das tecnologias de distribuição de energia em edifícios residenciais e comerciais têm acompanhado o aumento da demanda por energia elétrica nestas instalações.
Para essa missão de entregar energia em edifícios cada vez mais altos e com maior perfil de consumo, respeitando os limites de queda de tensão, é fundamental que se observe cuidadosamente as normas que tratam do assunto. De acordo com a NBR-5410, no item 6.2.7, a queda de tensão não pode ser superior aos seguintes valores, dados em relação ao valor da tensão nominal: 7% calculados a partir dos terminais secundários do transformador MT/BT, no caso de transformador de propriedade da(s) unidade(s) consumidora(s). Além deste requisito, temos também os máximos percentuais de queda de tensão estabelecidos pelas distribuidoras, geralmente limitados a 2% no barramento blindado, visto que esta perda é anterior ao medidor, representando perda para a distribuidora.
Estabelecido o barramento blindado como a tecnologia adequada à missão, vamos estudar uma característica importante de sua instalação, e que é muito negligenciada: a aplicação de barreira corta-fogo.
A norma técnica de construção de barramentos blindados é a NBR-IEC-61439, partes 1 e 6. Na cláusula 9.102, está referenciada a obrigatoriedade de utilização de dispositivo que impeça a propagação de fogo através do barramento blindado. Em toda esta parte, a abreviação SLP é utilizada para se referir a um sistema de linhas elétricas pré-fabricadas. Onde é feita referência à Parte 1, o termo CONJUNTO é lido como “SLP”.
Esta parte da NBR-IEC-61439 formula as definições e indica as condições de utilização, os requisitos de construção, as características técnicas e os requisitos de verificação para os SLP de baixa tensão (ver 3.101), como a seguir:
• SLP onde a tensão nominal não excede 1 000 V em corrente alternada ou 1 500 V em corrente contínua;
• SLP destinado a ser conectado com equipamentos para a geração, a transmissão, a distribuição, a conversão de energia elétrica e o comando dos equipamentos consumidores de energia elétrica;
Esta Norma é aplicável a todos os SLP projetados, fabricados e verificados, quer para uma unidade ou para um modelo padronizado a ser fabricado em série.
A NBR-IEC-61439, parte 6, cláusula 9.102 diz: “Resistência ao fogo atravessando os compartimentos das edificações. No caso onde o SLP

atravessa os compartimentos horizontais ou verticais das edificações (por exemplo, paredes ou pisos), um ELP (elemento de linha elétrica préfabricada) corta-fogo deve ser projetado para impedir a propagação do fogo, por um período específico de tempo, quando ele for exposto ao fogo. Quando aplicável, os seguintes tempos são preferidos: 60 min, 90 min, 120 min, 180 min ou 240 min”. Isto pode ser realizado por meio de partes adicionais.
A norma técnica de instalação de barramentos blindados é a ABNT NBR 16019:2011, Linhas elétricas pré-fabricadas (barramentos blindados) de baixa tensão – Requisitos para instalação.
Na cláusula 4.6.11, está referenciada a obrigatoriedade de utilização de barreira corta-fogo tanto interna como externamente ao barramento blindado.
No estado de São Paulo, as instruções técnicas do Corpo de Bombeiros, que versam sobre a Compartimentação horizontal e compartimentação vertical é a - IT-09 (INSTRUÇÃO TÉCNICA Nº 09/2019), na cláusula 6.3.4 Prumadas das instalações de serviço, está estabelecido que: “Quaisquer aberturas existentes nos entrepisos destinadas à passagem de instalação elétrica, hidrossanitárias, telefônicas e outras, que permitam a comunicação direta entre os pavimentos de um edifício, devem ser seladas de forma a promover a vedação total corta-fogo (EI)”. Já a Instrução Técnica Nº 08/2019, versa sobre segurança estrutural contra incêndio, e estabelece as condições a serem atendidas pelos elementos estruturais e de compartimentação que integram as edificações para que, em situação de incêndio, seja evitado o colapso estrutural por tempo suficiente para possibilitar o atendimento das prescrições normativas.
As normas técnicas das distribuidoras que estabelecem as regras de aplicação de barramentos blindados em instalações coletivas se referenciam a todas as normas técnicas e instruções acima descritas. Assim sendo, conclui-se pela obrigatoriedade da instalação de barreiras corta-fogo em todas as transições de andares prediais, sejam em instalações residenciais ou comerciais. Exceto quando o barramento blindado é construído e certificado como resistente à penetração horizontal ou vertical de fogo, todas as linhas elétricas devem ser providas desse elemento, essencial para a segurança de todos. Portanto, especificadores, projetistas, instaladores e gerenciadores, estejam atentos a esta questão!!!

Por: Eng José Starosta – Diretor da Ação Engenharia e Instalações Ltda jstarosta@acaoenge.com.br
Originariamente definida como a fronteira entre a eletrotécnica e a eletrônica, os plugues e suas tomadas passaram a ser apenas mais alguns componentes das questões que envolvem o suprimento de energia, desde as fontes, até as cargas. No entanto, sua utilização requer cuidados relacionados às especificidades de alimentação das cargas, sendo os plugues conectados diretamente em tomadas ou mesmo em conexões diretas de circuitos em pontos de acionamento como disjuntores e outros, em função dos valores das correntes elétricas e outras características previstas.
Difícil tratar desse assunto no Brasil sem considerar a normalização ABNT NBR 14136, com as correntes de 10 A e 20 A, de onde as Figuras 1 e 2 foram extraídas; note que os mesmos plugues e tomadas sem o polo de terra são normalizados em função da aplicação desejável. Diversas normas associadas estão nesse contexto como a ABNT NBR 16008 sobre extensões elétricas ou a ABNT NBR 14936 sobre adaptadores.


Figuras 1 e 2 (NBR 14136). Fonte: ABNT.
Os cuidados a serem tomados consideram entender os riscos que todos corremos, incluindo os usuários das instalações sem formação elétrica (NR 10 - códigos BA1, BA2 e BA3), riscos esses relacionados também ao patrimônio, mas fundamentalmente contra a segurança dos operadores e usuários.
Alguns pontos de atenção devem ser considerados na utilização combinada dos componentes listados: as tomadas disponíveis nas instalações, as extensões e os adaptadores.
Considerando a alimentação de cargas eletrônicas e de tecnologia da informação (TI) em especial, deve-se atentar que:
1) O ponto de conexão da carga, sendo tomada ou outro ponto de conexão, deve possuir características adequadas de tensão e corrente à da carga ou ao conjunto de cargas e com sistemas de aterramento adequado;
2) Que uma eventual extensão a ser utilizada mantenha as características do ponto original (tensão e corrente). Na prática, a corrente nominal da extensão (ou régua/trilho), seja caracterizada pelos dados de placa, dados do plugue ou de outra conexão que deva atender à demanda das cargas ligadas à extensão;
3) Que não se apliquem situações de extensões alimentadas por outras extensões, com grandes possibilidades de perda de aterramento, mudança de características de capacidade de corrente, e sobrecargas, comprometendo a confiabilidade de suprimento à carga;
4) Que determinadas cargas domésticas atingem correntes da ordem de 20 A e até merecem circuito independente.
5) Que o uso de adaptadores criminosos que “convertem” magicamente plugues de 10 A em 20 A sejam eliminados do mercado e naturalmente não sejam aplicados;
6) Que a prática “ancestral” efetuada por imbecis de plantão de cortar os polos dos plugues de aterramento seja eliminada;
7) Que as gôndolas dos comércios especializados (ou nem tanto) sejam fiscalizadas e proibidas de apresentar produtos sem a devida certificação. Esse assunto é de saúde púbica.
Se as medidas e as especificações técnicas adequadas de plugues, tomadas e outras montagens que os envolvam forem observadas, certamente serão reduzidos os riscos consideráveis tanto às instalações elétricas, quanto principalmente à segurança dos seus usuários.
Danilo de Souza é professor na Universidade Federal de Mato Grosso, sendo membro do Núcleo Interdisciplinar de Estudos em Planejamento Energético – NIEPE, e é Coordenador Técnico do CINASE – Circuito Nacional do Setor Elétrico. Danilo também é Pesquisador no Instituto de Energia e Ambiente da USP | www.profdanilo.com
Asubstituição dos combustíveis fósseis por fontes primárias de baixa emissão representa um dos maiores desafios do século XXI, principalmente sob perspectivas econômicas. No modo de produção capitalista, a reprodução do sistema econômico depende fundamentalmente da capacidade de reduzir os custos de produção, garantindo assim a ampliação da extração de trabalho excedente e a maximização do lucro. Essa dinâmica impulsiona a constante busca por inovações tecnológicas e pela exploração intensiva dos recursos naturais e da força de trabalho para aumentar os excedentes no final do circuito, em uma lógica que prioriza a eficiência produtiva acima de qualquer outro fator.
Nesse contexto, os recursos energéticos de baixo custo, como os combustíveis fósseis, ocupam um papel central, pois viabilizam uma produção em larga escala e preços competitivos, essenciais para a circulação ampliada de mercadorias no mercado global. Entretanto, essa estrutura, profundamente enraizada, enfrenta limites e contradições evidentes ao se deparar com a necessidade de uma transição energética que requer fontes de baixa emissão de carbono, hoje, significativamente mais caras, e um reajuste profundo das bases materiais sobre as quais o sistema opera. Essa situação demonstra as tensões intrínsecas entre a lógica da acumulação de riqueza e as demandas por sustentabilidade ambiental e social.
Uma das estratégias mais viáveis para reduzir emissões associadas ao uso de hidrocarbonetos líquidos, como o petróleo, é a substituição parcial ou total por biocombustíveis. Esses combustíveis renováveis apresentam a vantagem de requererem pouca adaptação nas tecnologias já existentes de queima (motores a combustão interna) e distribuição, uma vez que mantêm sua forma líquida e podem ser integrados de forma relativamente simples à infraestrutura atual. Essa característica minimiza os desafios logísticos e técnicos da transição, tornando os biocombustíveis candidatos preferenciais como substitutos dos combustíveis fósseis em curto prazo. Contudo, o fator econômico continua sendo um

obstáculo significativo: os biocombustíveis apresentam custos de produção mais elevados quando comparados aos combustíveis fósseis convencionais, especialmente devido à necessidade de insumos agrícolas, tecnologia específica e processos industriais de conversão. Além disso, questões como a competição pelo uso da terra e a volatilidade dos mercados de commodities agrícolas também afetam sua viabilidade econômica.
Conforme demonstrado na figura, os custos de produção de petróleo e combustíveis variam amplamente dependendo do tipo de recurso, localização e tecnologia empregada. As reservas de petróleo convencional no Oriente Médio e no Norte da África possuem os menores custos de produção, variando entre 5 e 30 dólares por barril, devido à alta eficiência de extração e às condições geológicas favoráveis, o que garante um excedente econômico significativo (oscilando entre 30 e 100 US$/barril), mesmo em cenários de preços baixos no mercado.
Esses custos de produção são significativamente inferiores a outras tecnologias de extração que exigem maior complexidade técnica, e maior necessidade de investimentos e desafios ambientais. É o caso das tecnologias que recuperam as fontes de petróleo não convencional, como as tecnologias “Sem-CO₂-EOR” (recuperação avançada sem injeção de CO₂), “CO₂-EOR” (com injeção de CO₂), petróleo extrapesado e betume, águas ultraprofundas, regiões árticas e petróleo de querogênio. Incluem-se, também, as tecnologias de extração do óleo leve de folhelho (LTO), encontrado em formações de xisto, que possui custos intermediários, mas é conhecido por sua rápida produção inicial, seguida de um declínio acentuado, o que contrasta com a vida útil mais longa e estável de poços convencionais. Essa característica dos poços de LTO reduz seu horizonte de rentabilidade, exigindo ciclos de perfuração contínuos para manter os níveis de produção, enquanto os poços convencionais, especialmente em regiões como o Oriente Médio, podem manter fluxos constantes e economicamente viáveis por décadas.
Além das fontes fósseis, os combustíveis sintéticos e biocombustíveis possuem papel relevante. Combustíveis sintéticos, como GTL (conversão de gás para líquido) e CTL (conversão de carvão para líquido), apresentam custos elevados, em função dos processos químicos complexos necessários para sua produção. Já os biocombustíveis, como biodiesel convencional, biodiesel avançado, etanol celulósico e etanol convencional, destacam-se por serem fontes consideradas de baixo carbono com menor impacto ambiental em termos de emissões de gases de efeito estufa. Contudo, apresentam custos mais elevados, que podem ultrapassar 120 dólares por barril equivalente. Por exemplo, no Brasil, o biodiesel é produzido com custos médios entre 90 e 135 dólares por barril equivalente, beneficiando-se de tecnologias avançadas a partir da cana-de-açúcar e soja. Nos Estados Unidos, esses custos podem exceder 140 dólares por barril, devido ao uso intensivo de insumos agrícolas e a uma infraestrutura menos otimizada. A figura sintetiza esses custos e as estimativas de recursos tecnicamente recuperáveis, apresentando no lado esquerdo os custos relacionados às fontes de petróleo convencional e não convencional, e no lado direito, os combustíveis sintéticos e biocombustíveis.
A diferença nos custos de produção de energia, como os demonstrados na figura, tende a desencadear um efeito cascata sobre outros setores da economia, se os biocombustíveis fossem colocados como solução de “descarbonização” em substituição aos fósseis. Isso ocorre porque a energia é um insumo de baixíssima elasticidade, ou seja, sua demanda não varia de forma significativa em resposta a mudanças no preço. Esse conceito de elasticidade reflete a sensibilidade do consumo de um bem ou serviço a alterações em seu custo; no caso da energia, mesmo aumentos expressivos nos preços dificilmente reduzem a demanda, devido à sua importância essencial para a produção, transporte e serviços básicos. Como resultado, custos mais elevados de fontes de energia renováveis ou não convencionais são inevitavelmente repassados
ao longo da cadeia produtiva, aumentando os preços de bens e serviços finais. Essa alta pode gerar impactos inflacionários e afetar a competitividade econômica, especialmente em setores intensivos em energia.
A produção de biocombustíveis apresenta custos elevados em comparação com os combustíveis fósseis convencionais devido a diversos fatores estruturais e tecnológicos. Primeiramente, o cultivo de matéria-prima agrícola, como milho, cana-de-açúcar ou soja, exige grandes áreas de terra, altos investimentos em insumos agrícolas (fertilizantes, defensivos, água) e força de trabalho, além de estar sujeito à sazonalidade e à volatilidade climática. Em seguida, os processos de conversão biológica ou química dessas matérias-primas em combustíveis, como a fermentação ou transesterificação, demandam tecnologias avançadas e complexas, muitas vezes com baixa eficiência energética. Ou seja, toda uma cadeia produtiva extensa e dependente de diversos fatores externos. Por outro lado, a produção de petróleo, especialmente em fontes convencionais, beneficia-se de uma infraestrutura amplamente consolidada, técnicas de extração altamente otimizadas e custos marginais baixos nas regiões de maior produtividade, como no Oriente Médio.
A transformação do sistema energético global é um grande desafio, que ainda está longe de se concretizar. Demandaria um compromisso robusto de governos e setores empresariais que teriam de operar uma lógica diferente da que até o momento construiu o sistema produtivo. Medidas políticas, como a introdução de subsídios para tecnologias de baixo carbono, desincentivos fiscais para fósseis e o fortalecimento de regulamentações ambientais, estão longe de serem o suficiente para incentivar a transição, e em alguns casos podem até mesmo gerar mais assimetrias. Além disso, investimentos massivos em pesquisa e desenvolvimento são necessários para continuar a reduzir os custos das tecnologias de baixo carbono e melhorar sua eficiência.
Caio Huais é engenheiro industrial, especialista em Engenharia Elétrica e Automação com MBA em engenharia de manutenção e gestão de negócios. Atualmente, ocupa posição de gerente corporativo de manutenção no Grupo Equatorial, respondendo pelo desempenho da Alta Tensão de 7 concessionárias do Brasil.
No contexto do setor elétrico, a gestão eficiente dos recursos financeiros destinados à manutenção e operação do sistema de distribuição de energia é essencial para garantir a continuidade do serviço e a satisfação dos consumidores. A divisão orçamentária, portanto, desempenha um papel estratégico, pois determina como os investimentos serão alocados para diferentes áreas e o custeio (despesas) direcionado a operação e manutenção.
A correta separação entre despesas e investimentos é um pilar essencial para a gestão eficiente e a sustentabilidade econômico-financeira das concessionárias de distribuição no setor elétrico brasileiro. Sob a ótica da Base de Remuneração Regulatória (BRR), esse tema ganha ainda mais relevância, pois a distinção precisa entre investimentos (CAPEX) e despesas operacionais (OPEX) é indispensável para assegurar que as tarifas de energia reflitam os investimentos realizados de forma justa. Essa classificação vai além de um requisito contábil, sendo uma exigência regulatória que impacta diretamente o equilíbrio financeiro das distribuidoras e a qualidade dos serviços oferecidos.
A Base de Remuneração Regulatória (BRR), por sua vez, é um valor determinado pela Agência Nacional de Energia Elétrica (ANEEL) que estabelece o montante que uma distribuidora pode receber como retorno financeiro pelos serviços prestados. A correlação entre a divisão orçamentária e a BRR é estreita, uma vez que a eficiência na alocação de recursos para a manutenção

elétrica impacta diretamente na qualidade do serviço e, consequentemente, na rentabilidade da distribuidora. Além disso, o orçamento de manutenção deve ser compatível com as exigências regulatórias, já que a ANEEL avalia, entre outros fatores, a adequação dos investimentos e os custos operacionais da empresa.
É fundamental para esta discussão apresentar o conceito contábil do que é OPEX e CAPEX segundo descrito em “Princípios de Contabilidade” de William R. Scott temos o que se segue:
OPEX (Operating Expenditures) refere-se às despesas correntes que uma empresa incorre para manter suas operações diárias. Essas despesas incluem custos como manutenção de equipamentos, salários de funcionários, despesas administrativas e custos de energia. Contabilmente, as despesas operacionais são registradas no período em que ocorrem e impactam diretamente o lucro operacional da empresa, refletindo-se nas demonstrações de resultados como gastos que reduzem o lucro do período.
CAPEX (Capital Expenditures), por outro lado, são os gastos realizados pela empresa para adquirir, atualizar ou manter ativos físicos de longa duração. CAPEX abrange investimentos em equipamentos, instalações e infraestrutura. Esses gastos são capitalizados, ou seja, registrados como ativos no balanço patrimonial da empresa e depreciados ou amortizados ao longo da vida útil dos ativos.
Assim podemos resumir o OPEX como os gastos diários que

uma empresa tem para manter suas operações funcionando, como pagamento de salários, aluguel e manutenção de equipamentos. CAPEX, por outro lado, são os investimentos feitos para comprar ou melhorar ativos de longo prazo, como comprar novas máquinas ou construir um novo escritório. Enquanto OPEX impacta diretamente os custos operacionais, CAPEX é registrado como um ativo e depreciado ao longo do tempo.
Segundo o Manual de Contabilidade do Setor Elétrico (MCSE), CAPEX refere-se aos investimentos em ativos de longa duração necessários para a prestação de serviços de energia elétrica. Esses investimentos incluem a aquisição, construção e melhoria de instalações e equipamentos, como linhas de transmissão, subestações, transformadores e outros ativos físicos. Esses gastos são capitalizados, ou seja, registrados como ativos no balanço patrimonial da empresa e depreciados ao longo da vida útil dos ativos
O OPEX é monitorado para garantir que os custos operacionais sejam eficientes e não comprometam a qualidade do serviço. O Submódulo 2.2A apresentado nos Procedimentos de Regulação Tarifária (PRORET), que se refere aos Custos Operacionais, estabelece a metodologia a ser utilizada para definição dos Custos Operacionais Regulatórios nos processos de revisão tarifária. Os custos operacionais, para fins de revisão tarifária, correspondem aos custos com pessoal, material, serviço de terceiros, outros, custos operacionais, tributos e seguros relativos à atividade de distribuição e comercialização de energia elétrica. Em paralelo, os Investimentos em CAPEX aumentam a o Ativo Imobilizado em Serviço, que é um componente crucial da BRR.
Dito isto, e para vincular estas informações à Base de Remuneração Regulatória (BRR), precisamos explorar como
o Ativo Imobilizado em Serviço (AIS) das concessionárias é formado por todos os bens físicos utilizados diretamente na prestação de serviços de distribuição de energia, incluindo linhas de transmissão, subestações, transformadores e outros equipamentos necessários para a operação contínua e eficiente do sistema elétrico. Este AIS é segregado em duas formas diretas para sua remuneração: Base de Anuidade Regulatória (BAR) e Base de Remuneração Regulatória (BRR).
Durante a revisão tarifária, a ANEEL realiza uma série de procedimentos de validação e saneamento. Este processo percorre as etapas do (i) Saneamento do VOC – processo onde a Aneel realiza diversos testes a fim de expurgar valores indevidamente alocados nas obras – e (ii) Validação documental (Contratos, Pastas de obras, medições de pagamento, notas fiscais) e (iii) Validação de Campo (Via BDGD e inventário amostral).
Portanto, a correta distinção e gestão das despesas de CAPEX e OPEX são cruciais para a sanidade econômico-financeira das concessionárias de distribuição de energia, influenciando diretamente a Base de Remuneração Regulatória (BRR) e, consequentemente, as tarifas aplicadas aos consumidores. Assim a BRR, ao refletir corretamente os investimentos realizados, incentiva a melhoria contínua da infraestrutura elétrica e a expansão necessária para atender às demandas de um setor em constante evolução.
*Bruno Oliveira é graduado em Administração, Processos Gerenciais e Contabilidade, além de possuir MBAs em Finanças Corporativas e Gestão de Pessoas. Atua como gestor de BRR há mais de uma década e, atualmente, ocupa o cargo de Executivo de Base de Remuneração Regulatória no Grupo Equatorial.
Treinamentos técnicos e encontros de negócios com conteúdo da mais alta qualidade apresentado por verdadeiros mestres em suas áreas de atuação.









