Revista O Setor Elétrico (Edição 195 - mai/jun 2023)

Page 1

Armazenamento de energia na prática

OS IMPACTOS DO PROJETO DA ISA CTEEP PARA O SETOR ELÉTRICO BRASILEIRO

- Brasil é competitivo na produção de hidrogênio de baixo carbono

- MME anuncia Plano de Investimentos de R$ 56 bi em Transmissão de Energia

- Consumo do mercado livre de energia cresce no 1º trimestre de 2023

FASCÍCULOS DESTA EDIÇÃO:

- Regulação da cobrança de energia elétrica para recarga do veículo elétrico no Brasil

- Energia incidente: confira a 2ª parte da análise sobre o modelo IEEE 1584-2018

- O papel das distribuidoras de energia elétrica no contexto da transição energética no Brasil

- Hidrogênio verde na transição para a indústria de carbono-zero no Brasil

A no 18 - E diçã o 195 / Maio-Junho d e 2 0 2 3

Armazenamento de energia: chave para a transição energética

Com a necessidade cada vez mais urgente de fontes de energia limpa, o papel do armazenamento de energia torna-se vital, sendo a chave para enfrentar os desafios da transição energética e construir um futuro sustentável.

A partir da capacidade de capturar e armazenar a energia gerada a partir de fontes renováveis intermitentes, como solar e eólica, o armazenamento desempenha uma função crucial na estabilização das redes elétricas e no provimento de energia confiável.

Uma das principais vantagens de se armazenar energia, segundo vários especialistas, é a sua capacidade de suplantar a natureza instável das energias renováveis.

A energia solar, por exemplo, está disponível somente durante o dia, enquanto a energia eólica depende da presença do vento. Contudo, ao se contar com sistemas de armazenamento de energia eficientes, o excesso de energia gerada durante os períodos de pico pode ser guardado para uso posterior, suprindo a demanda quando a geração de energia ocorre em menor quantidade. Isso resulta no aumento da flexibilidade operacional, além de reduzir a dependência de fontes não renováveis de energia, como é o caso do uso dos combustíveis fósseis.

Ademais, o armazenamento de energia desempenha um papel decisivo na estabilização das redes elétricas. As flutuações na demanda de energia podem causar desequilíbrios e problemas de qualidade na rede, afetando a confiabilidade do fornecimento de energia. Quando se faz a integração dos sistemas de armazenamento de energia nas redes, torna-se possível nivelar a carga de energia e fornecer reserva durante falhas, bem como regular a voltagem e a frequência. Tal capacidade de estabilização melhora a resiliência do sistema elétrico como um todo.

Isso sem mencionar os benefícios econômicos significativos. Ao permitir o uso de energia armazenada durante os períodos de pico de demanda, os custos de eletricidade podem ser reduzidos, uma vez que a energia gerada nos momentos de baixa demanda pode ser armazenada e usada quando os preços estão mais elevados.

Contudo, embora iniciativas visando o armazenamento de energia tenham avançado expressivamente nos últimos anos, ainda há desafios a serem superados. A eficiência dos sistemas de armazenamento de energia precisa melhorar, no sentido de elevar ao máximo a quantidade de energia capturada e guardada. Além do mais, a redução dos custos é fundamental para tornar o armazenamento de energia economicamente viável em larga escala.

O investimento em pesquisa e desenvolvimento também se faz necessário, além de incentivos governamentais para impulsionar a inovação e acelerar a implantação desses sistemas. Parcerias entre governos, indústrias e instituições acadêmicas são essenciais para estimular o progresso nessa área.

À medida que se avança em direção a uma matriz energética mais sustentável, o armazenamento de energia torna-se uma peça vital do quebra-cabeça. Com o potencial de suportar o crescimento das energias renováveis, estabilizar redes elétricas e fornecer energia confiável, o armazenamento mostra-se uma solução para assegurar um futuro energético mais limpo e sustentável para as gerações futuras.

Com o objetivo de oferecer uma visão mais concreta sobre essa tendência, a repórter Fernanda Pacheco apresenta uma reportagem sobre o primeiro projeto de armazenamento em larga escala de energia por meio de baterias no sistema de transmissão brasileiro. Situada na subestação de Registro, no interior de São Paulo, a iniciativa pioneira desenvolvida pela ISA CTEEP, empresa brasileira de transmissão de energia elétrica, representa um marco importante para o setor elétrico do país.

Boa leitura!

Abraços,

Acompanhe nossoas lives e webinars com especialistas do setor em nosso canal no YouTube: https://www.youtube.com/osetoreletrico

Editorial 4 O Setor Elétrico / Maio-Junho de 2023
Edição 195
www.osetoreletrico.com.br Setor Elétrico Ano Edição 195 Maio-Junho 2023 Armazenamento de energia na prática OS IMPACTOS DO PROJETO DA ISA CTEEP PARA O SETOR ELÉTRICO BRASILEIRO - Brasil é competitivo na produção de hidrogênio de baixo carbono - MME anuncia Plano de Investimentos de R$ 56 bi em Transmissão de Energia - Consumo do mercado livre de energia cresce no 1º trimestre de 2023 FASCÍCULOS DESTA EDIÇÃO: - Regulação da cobrança de energia elétrica para recarga do veículo elétrico no Brasil - Energia incidente: confira a 2ª parte da análise sobre o modelo IEEE 1584-2018 - O papel das distribuidoras de energia elétrica no contexto da transição energética no Brasil - Hidrogênio verde na transição para a indústria de carbono-zero no Brasil

atitude@atitudeeditorial.com.br

Diretores

Adolfo Vaiser

Simone Vaiser

Assistente de circulação, pesquisa e eventos

Henrique Vaiser – henrique@atitudeeditorial.com.br

Victor Meyagusko – victor@atitudeeditorial.com.br

Administração

Roberta Nayumi administrativo@atitudeeditorial.com.br

Editora

Alessanda Leite – MTB - 171 AM alessandra@atitudeeditorial.com.br

Reportagem

Fernanda Pacheco - fernanda@atitudeeditorial.com.br

Publicidade

Diretor comercial

Adolfo Vaiser

Contato publicitário

Willyan Santiago - willyan@atitudeeditorial.com.br

Direção de arte e produção

Leonardo Piva - atitude@leonardopiva.com.br

Colaboradores técnicos da publicação

Daniel Bento, Jobson Modena, José Starosta, Luciano Rosito, Nunziante Graziano, Roberval Bulgarelli.

Colaboradores desta edição

Caio Huais, Claudio Mardegan, Daniel Bento, Danilo de Souza, Flávia Consoni, Ariane Wady, José Starosta, Jurandir Picanço Jr, Expedito Parente Jr, Lindemberg Reis, Luciano Rosito, Luiz Carlos Catelani Junior, Nunziante Graziano, Paulo Edmundo Freire, Roberval Bulgarelli, Wagner Costa, Vinicius Henrique Farias Brito, Márcio Arvelos Moraes, Barbara Morais Gianesini, José Carlos de Oliveira, Raquel Cristina Filiagi Gregory e Carla Damasceno Peixoto.

A Revista O Setor Elétrico é uma publicação mensal da Atitude Editorial Ltda., voltada aos mercados de Instalações Elétricas, Energia e Iluminação, com tiragem de 13.000 exemplares. Distribuída entre as empresas de engenharia, projetos e instalação, manutenção, indústrias de diversos segmentos, concessionárias, prefeituras e revendas de material elétrico, é enviada aos executivos e especificadores destes segmentos.

Os artigos assinados são de responsabilidade de seus autores e não necessariamente refletem as opiniões da revista. Não é permitida a reprodução total ou parcial das matérias sem expressa autorização da Editora.

Capa: istockphoto.com | Petmal

Impressão - Referência Editora e Gráfica

Distribuição - Correios

Atitude Editorial Publicações Técnicas Ltda.

Rua Piracuama, 280, Sala 41

Cep: 05017-040 – Perdizes – São Paulo (SP) Fone - (11) 98433-2788 www.osetoreletrico.com.br atitude@atitudeeditorial.com.br

Filiada à

31 Suplemento Renováveis

Com texto de autoria do mestre em engenharia química e atual diretor de Suporte à Infraestrutura e Patrimônio da Agência de Desenvolvimento do Estado do Ceará (ADECE), Expedito Parente Jr., o quarto capítulo desta série traz um artigo cheio de entusiasmo, intitulado “Hidrogênio Verde na Transição para a Indústria de Carbono-Zero no Brasil”, em que traz dados como o de 30 países que lançaram, nos últimos três anos, suas estratégias de produção e uso de hidrogênio verde.

4 Editorial

6 Painel de Notícias

Brasil é competitivo na produção de hidrogênio de baixo carbono; MME anuncia Plano de Investimentos de R$ 56 bi em Transmissão de Energia; Mercado livre de energia cresce 11% no 1° trimestre; Sendi 2023: Inscrições em lote promocional vão até 30 de junho; Energia solar fotovoltaica ultrapassa 30 GW de potência instalada no Brasil; Novo Caderno de Tecnologias da Geração apresenta a evolução dos projetos de geração centralizada para leilões de energia.

13 Fascículos

Mobilidade elétrica – desafios e oportunidades

Avaliação de energia incidente

Modernização do setor de distribuição

40 Reportagem

Por Fernanda Pacheco

Armazenamento de energia: impactos do projeto da ISA CTEEP para o setor elétrico brasileiro.

44 Guia Setorial

Os dispositivos elétricos de proteção desempenham funções importantes para garantir a segurança e a operação adequada desses sistemas. Escolhê-los e aplicá-los corretamente é fundamental para garantir a confiabilidade e a segurança do sistema elétrico. A pesquisa setorial desta edição é dedicada a este segmento, com o que há de mais inovador no mercado atualmente.

46 Espaço Aterramento

Aterramento de Blindagens de Cabos de Energia.

48 Espaço SBQEE

Análise de desempenho das técnicas para o compartilhamento de responsabilidade dos desequilíbrios de tensão.

52 Espaço Cigre-Brasil

A Mulher e a Conquista de Espaço no Brasil.

Colunas

54 Cláudio Mardegan – Análise de Sistemas Elétricos

55 Nunziante Graziano – Quadros e Painéis

56 Luciano Rosito – Iluminação Pública

57 Aguinaldo Bizzo – Segurança do Trabalho

58 Danilo de Souza – Energia e Sociedade

60 Caio Cezar Neiva Huais – Manutenção 4.0

64 Daniel Bento – Redes Subterrâneas em Foco

66 José Starosta – Energia com Qualidade

68 Roberval Bulgarelli – Instalações EX

Sumário 5

Brasil é competitivo na produção de hidrogênio de baixo carbono

O Brasil é competitivo na produção de hidrogênio. Esta é a conclusão de uma nota técnica elaborada pelo WWF-Brasil, que analisou da aptidão do Brasil para produzir hidrogênio a partir de energias renováveis abundantes no país: a solar, a eólica e o etanol, observando as mais conhecidas formas de produção: a eletrólise da água com energia solar e eólica e a reforma a vapor do etanol.

O hidrogênio é uma promissora alternativa para a matriz energética limpa que o mundo precisa alcançar até 2050 , a fim de manter a temperatura do planeta em níveis seguros, como determina o Acordo de Paris do qual o Brasil é signatário. Vários países estão investindo em seu uso, especialmente por sua versatilidade. Pode ser usado em setores diversos, da geração de energia e transportes até a produção de alimentos, contribuindo de forma expressiva para a redução de emissões de gases de efeito estufa (GEE).

A nota aponta que quando comparada a preços praticados no mercado internacional, observa-se que a produção brasileira pode competir em vários mercados, especialmente quando se considera a

baixa pegada de carbono do hidrogênio. “O Brasil tem uma grande oportunidade de aproveitar suas fontes renováveis e fornecer hidrogênio de baixo carbono, seja para o consumo interno ou externo, com preços competitivos”, afirma Ricardo Fujii, especialista de Conservação do WWF-Brasil.

A avaliação mostra que, do ponto de vista econômico, o hidrogênio com menor custo é o produzido por meio da eletrólise da energia eólica (5,93 US$/ kgH 2), seguido do obtido com a reforma de etanol (7,39 US$/ kgH 2) e da eletrólise da energia solar (9,52 US$/kgH 2). O cálculo do custo de produção de hidrogênio nas opções avaliadas considerou investimentos, custos fixos e variáveis, despesas com a aquisição de combustível (no caso da reforma do etanol) e a margem de lucro, para os quais foram utilizados valores típicos do mercado brasileiro.

Para avaliar o benefício de cada opção, os estudiosos utilizaram a Análise do ciclo de vida (ACV), considerando não apenas a sua operação, mas todo o seu ciclo, o que compreende processos desde a extração de recursos necessários para a produção do hidrogênio até a

Painel de notícias 6 O Setor Elétrico / Maio-Junho de 2023

sua entrega em postos de abastecimento. “A produção de hidrogênio deve considerar seus impactos socioambientais como por exemplo, no consumo da água, na demanda por materiais críticos e a competição pelo uso da área. Todas as formas avaliadas têm um impacto diferente, seja no uso do solo ou nos processos associados aos materiais que compõem o sistema de geração”, ressalta Fujii.

Foi avaliada também, a quantidade de emissões de cada uma das formas de produção. Pela primeira vez, sabe-se que as emissões de carbono do hidrogênio produzido no Brasil são de 1,8 kg CO2 por kg de hidrogênio produzido por meio de eletrólise com energia eólica, 2,3 kg CO2 por kg de hidrogênio produzido por meio da reforma a vapor do etanol e 3,3 kg CO2 por kg de hidrogênio produzido por meio da eletrólise com energia solar.

Por fim, o WWF-Brasil aponta algumas recomendações sobre a produção sustentável do hidrogênio, tais como:

- Fomentar a pesquisa e desenvolvimento das tecnologias para produção e uso de hidrogênio sustentável no Brasil, focando nas alternativas de baixo impacto socioambiental e baixa pegada de carbono;

- Estimular a oferta de hidrogênio produzido a partir de fontes renováveis, para uso no Brasil e para exportação, considerando as vocações nacionais e a necessidade de uma transição energética justa e inclusiva;

- Classificar o hidrogênio pela sua intensidade de carbono e não pelas cores, pois as rotas de produção indicadas por estas não indicam as emissões incorridas nelas;

- Incorporar os custos das emissões de gases de efeito estufa nos setores que utilizam hidrogênio, seja como combustível ou matériaprima;

- Implantar projetos piloto para utilização de veículos a hidrogênio no Brasil, notadamente no transporte público em grandes cidades.

O WWF-Brasil é uma ONG brasileira que desde 1996 atua coletivamente com parceiros da sociedade civil, academia, governos e empresas em todo país para combater a degradação socioambiental e defender a vida das pessoas e da natureza. Estamos conectados numa rede interdependente que busca soluções urgentes para a emergência climática.

7 O Setor Elétrico / Maio-Junho de 2023

MME anuncia Plano de Investimentos de R$ 56 bi em Transmissão de Energia

O Ministério de Minas e Energia (MME) lançou, no dia 5 de maio, o Plano de Outorgas de Transmissão de Energia Elétrica (POTEE), que vai determinar como serão investidos R$ 56 bilhões em linhas de transmissão para escoamento de renováveis na região Nordeste. O anúncio foi feito pelo ministro de Minas e Energia, Alexandre Silveira, durante encontro com governadores do Consórcio Nordeste, em Fortaleza (CE). Ao todo, serão três grandes leilões com 24 lotes que devem ser realizados até 2024 para ingresso de renováveis no Sistema Elétrico Brasileiro.

“Somente no primeiro semestre deste ano, serão R$ 16 bilhões a serem leiloados, depois mais R$ 20 bilhões até o final do ano, e outros R$ 20 bilhões em 2024. Um investimento que vai permitir o ingresso de energia renovável no sistema nacional, viabilizando novas usinas renováveis, com tarifa justa, segurança

energética e responsabilidade ambiental”, destacou Silveira.

O plano de investimento irá viabilizar a instalação de um potencial de 30 gigawatts de geração renovável e destravar mais de R$ 120 bilhões em investimentos privados na área de geração de energia renovável. “Estamos falando de um potencial de industrialização da região com energia limpa e barata, que possa também ser consumida aqui mesmo, na região Nordeste, trazendo industrialização, produzindo hidrogênio verde. Tudo isso, com foco no desenvolvimento social, econômico e ambiental, gerando mais emprego e renda para o povo nordestino”, concluiu o ministro.

De acordo com o MME, os novos sistemas de transmissão a serem leiloados serão capazes de aumentar a confiabilidade do atendimento à demanda local e de

atender à forte expansão de oferta de geração renovável, em especial das fontes solar e eólica, prevista para ocorrer nos próximos anos. A pasta afirma ainda que o plano também permitirá ampliar a capacidade de intercâmbio entre as regiões Norte/Nordeste e Sudeste/Centro-Oeste.

Durante o encontro, o secretário de Transição Energética e Planejamento do MME, Thiago Barral, apresentou o detalhamento do plano aos governadores do estado do Nordeste. Segundo ele, o primeiro leilão, que ocorrerá ainda no primeiro semestre de 2023, viabilizará linhas de transmissão e subestações ao longo de toda a região. Um outro leilão, previsto para o segundo semestre, irá contratar uma grande linha de transmissão do estado do Maranhão até o de Goiás.

As informações são do Ministério de Minas e Energia (MME).

Painel de notícias 8 O Setor Elétrico / Maio-Junho de 2023

Novo Caderno de Tecnologias da Geração apresenta a evolução dos projetos de geração centralizada para leilões de energia

A Empresa de Pesquisa Energética (EPE), vinculada ao Ministério de Minas e Energia (MME), publicou a primeira edição do Caderno de Tecnologias da Geração. O documento apresenta a evolução das características técnicas dos projetos de geração centralizada cadastrados na EPE para os leilões de energia, incluindo as fontes eólica, solar e fotovoltaica, hídrica (CGH e PCH) e termelétricas (biomassa, gás natural, carvão, etc.).

O estudo consolida dados de uma amostra de milhares de projetos. A publicação traz uma visão temporal dos empreendimentos de diferentes tecnologias ao longo dos últimos 14 anos, apresentando as particularidades e características de cada fonte, que contribuem para a matriz elétrica brasileira ser uma das mais renováveis do mundo e para uma transição energética cada vez mais veloz e diversificada.

“O Caderno de Tecnologias da Geração pretende dar transparência às informações úteis para a tomada de decisão dos agentes de mercado e para a elaboração de estudos de planejamento, além de refletir os constantes avanços tecnológicos que impactam a eficiência e competitividade das fontes”, destaca a EPE.

9 O Setor Elétrico / Maio-Junho de 2023

Energia solar fotovoltaica ultrapassa 30

GW de potência

instalada no Brasil

O Brasil alcançou, no final de maio, a marca de 30,4 gigawatts (GW) de capacidade instalada de energia solar fotovoltaica. São mais de 1,9 milhões de sistemas conectados à rede e as perspectivas são de mais crescimento, já que este é um dos países mais privilegiados do mundo quando o assunto é incidência de luz solar. Desde o ano passado, essa fonte de energia tem acumulado números significativos.

A atualização dos dados é da Associação Brasileira de Energia Solar Fotovoltaica (Absolar). De acordo com o mapeamento da associação, a tecnologia que transforma a luz solar em energia elétrica está presente em 5.527 municípios brasileiros, sendo que São Paulo, Minas Gerais, Rio Grande do Sul e Paraná lideram a lista de estados com mais capacidade de geração solar.

A geração distribuída continua sendo a

modalidade mais consumida e representa 21 GW do total da solar fotovoltaicatendo crescido 110% em um ano. O que significa que só as pequenas instalações em residências, comércios e propriedades rurais, por exemplo, já produzem, juntas, mais energia do que a famosa usina de Itaipu, que conta com capacidade de 14 GW, atualmente.

Thomas Knoch, CEO da Solar Vale - companhia especializada em soluções fotovoltaicas e parte do Grupo SVacompanhou de perto o boom da energia solar nos últimos anos. Para ele, é uma tendência que já vinha se desenhando há algum tempo, dada a iminência do maior incentivo às fontes limpas e renováveis, e que deve permanecer em expansão.

“A energia solar é a que mais cresce no mundo, impulsionada pela urgência

pela transição energética para as fontes renováveis e pelo seu potencial social que vai ser cada vez mais explorado pelos governos. Além, é claro, do impacto positivo que gera na economia de várias maneiras, seja na geração de empregos, na própria economia na conta de luz, e cada vez mais como um modelo de investimento um diferencial de mercado”, comenta o empresário.

Desde o início do ano, a energia solar fotovoltaica cresceu cerca de 20%, conforme os dados da associação que mapeia o setor no Brasil. Também em 2023, ultrapassou a fonte eólica e se tornou a segunda mais representativa da matriz elétrica brasileira. O governo brasileiro, a exemplo de outros países, têm investido cada vez mais nas fontes renováveis e na diversificação das fontes.

Painel de notícias 10 O Setor Elétrico / Maio-Junho de 2023

Setor Industrial utiliza mais de 30% da energia produzida no Brasil: inverno prevê aumento nas contas

A conta de energia elétrica sempre aumenta no inverno. E essa realidade vale tanto para as residências quanto para as indústrias. E o setor industrial é responsável, sozinho, por utilizar mais de 30% do total de energia produzida em todo o Brasil, de acordo com a Empresa de Pesquisa Energética (EPE). O resultado é o pagamento de taxas elevadas, o que reflete nos produtos comercializados.

Nas casas, o vilão é o chuveiro elétrico, já nas fábricas, o maquinário de peso, fundamental para a produção, modelagem, fundição de materiais, entre outras funções, está por trás do grande consumo de eletricidade. Mas não é só: outros fatores, como o uso inadequado de fontes de iluminação, mal planejamento no emprego de sistemas de refrigeração, equipamentos desatualizados e antiquados, além da falta de manutenção nas instalações, podem fazer com que a conta de energia, nas indústrias, vá parar nas alturas.

Para agravar ainda mais a situação, de acordo com o sistema de bandeiras tarifárias, criado em 2015, a falta de chuvas no período de seca, normalmente, representa custos maiores para a geração de energia. O sistema, inspirado no semáforo para incentivar o consumidor a gastar menos, envolvia, até 2021, quatro bandeiras: a verde, a amarela, a vermelha patamar 1 e a vermelha patamar 2. Agora, a Bandeira Escassez Hídrica soma-se a elas, aumentando assim, em cada fase, o valor do quilowatt-hora (kWh) consumido.

Economia

Analisando os gastos de energia elétrica nos parques fabris, o melhor a ser feito é pensar em economia, tanto para o bolso quanto para o meio ambiente, vez que o uso consciente de energia elétrica, um recurso

limitado, é indispensável para um planeta mais sustentável. Quem explica melhor é o engenheiro Luiz Gustavo Borges Mandt, especialista de produto da Reymaster Materiais Elétricos. “Neste sentido, algumas dicas para poupar energia são: manter os motores desligados quando estiverem fora de operação; substituir máquinas de baixo rendimento por modelos de alta eficiência; preservar a delimitação correta dos equipamentos industriais de acordo com a demanda; fazer manutenção contínua nas máquinas para preservar a sua vida útil e o bom rendimento da operação”.

Ademais, ele destaca a importância das soluções inteligentes de iluminação, mesclando o controle do fluxo luminoso conforme a entrada de luz natural no ambiente. “Trata-se de um tema que, infelizmente, é, muitas vezes, deixado de lado pelas indústrias de todos os portes e segmentos, mas que pode gerar uma boa economia no fim do mês, principalmente no setor logístico”, assegura o especialista.

Regras

de Normas Técnicas (ABNT) que regem a necessidade de iluminação adequada em parques industriais. Uma delas é a NR 17, a qual fixa as diretrizes para a melhor condição de trabalho às características psicofisiológicas dos trabalhadores, de modo a proporcionar o máximo de conforto e segurança às pessoas. Outra norma é a NBR ISO 8995-1, a qual detalha o que deve ser feito para aumentar a eficiência energética nas indústrias. Neste sentido, tal disposição menciona os encargos de iluminação para locais de trabalho internos e as condições para que os profissionais desempenhem tarefas visuais de maneira eficaz.

“Quem se adequa já pode sentir no bolso como as soluções inteligentes de iluminação não representam um gasto, mas sim um investimento. Na prática, elas contribuem para otimizar a entrada da luz solar e, claro, diminuem as faturas com energia elétrica”, diz o especialista, enfatizando o quanto a luz natural deve ser melhor aproveitada tanto para a melhor funcionalidade do sistema de iluminação, quanto para deixar o ambiente mais agradável, prevenindo o incômodo visual durante as atividades.

11 O Setor Elétrico / Maio-Junho de 2023
Existem regras da Associação Brasileira

Mercado livre de energia cresce 11% no 1° trimestre; regulado recua 1,3%

O mercado livre de energia elétrica, ambiente competitivo no qual os consumidores podem escolher o fornecedor em busca de preços mais baixos e outras condições mais vantajosas, voltou a registrar recorde de consumo em março deste ano, com 27.899 MW médios absorvidos por 32.627 unidades consumidoras.

O patamar de consumo de março deste ano é 13% maior do que o registrado no mesmo mês do ano passado. De outro lado, o consumo registrado no mercado regulado, atendido pelas distribuidoras de energia, recuou 0,5% no mesmo período. Analisando todo o primeiro trimestre de 2023, pode-se observar um crescimento de 11% no consumo de energia elétrica no mercado

livre em comparação com os três primeiros meses de 2022. Enquanto isso, o consumo no mercado regulado registrou uma redução de 1,3% no mesmo período.

Os dados fazem parte da mais recente edição do Boletim da Energia Livre, publicação da Associação Brasileira dos Comercializadores de Energia (Abraceel) que analisa o panorama mensal do mercado livre de energia no Brasil, atualizado com base nos indicadores mais recentes divulgados por diversas instituições e consultorias.

“Liberdade de escolha para todos”

O mercado livre de energia atraiu 4.752 novas unidades consumidoras no acumulado de 12 meses encerrados em março de 2023,

um crescimento de 17%, somando agora 32.627 unidades consumidoras agrupadas em 11.421 consumidores. Cada unidade consumidora equivale a um medidor de energia.

As unidades que fazem parte do mercado livre representam apenas 0,04% do total de 89 milhões de unidades consumidoras de energia no Brasil, sendo formadas por grandes consumidores industriais e do setor de serviços, que têm a liberdade de escolher seus fornecedores e buscar preços mais competitivos na compra de energia elétrica. A Abraceel defende que o direito de participar do mercado livre de energia seja estendido a todos os consumidores brasileiros em janeiro de 2026.

Painel de notícias 12 O Setor Elétrico / Maio-Junho de 2023

Sendi 2023: Inscrições em lote promocional vão

até 30 de junho

Estão abertas as inscrições para o XXIV Seminário Nacional de Distribuição de Energia Elétrica (Sendi) 2023, que será realizado entre os dias 7 e 10 de novembro, no Pavilhão de Carapina, no Espírito Santo. Os interessados devem se inscrever no site do evento, e o lote promocional vai até o próximo dia 30 de junho.

As inscrições plenas – para os quatro dias de evento e contemplando a abertura e o show nacional exclusivo de encerramento – custam R$ 1.500 no lote promocional (para compras até o dia 30 de junho); R$ 1.650 no segundo lote (para compras entre 01 de julho e 31 de agosto); e R$ 1.800 no terceiro lote (para compras de 01 de setembro até a data do evento).

Também há a opção de compra da inscrição plena por dia, sem acesso à abertura e ao show de encerramento. Os valores são de R$ 600 no lote promocional (para compras até o dia 30 de junho); R$ 650 no segundo lote (para compras entre 01 de julho e 31 de agosto) e R$ 700 no terceiro lote (para compras de 01 de setembro até a data do evento).

Trabalhos técnicos

Estudantes, professores universitários, empreendedores, empresas fabricantes ou prestadores de serviços, e representantes de

distribuidoras públicas e privadas do Brasil também já podem inscrever seus trabalhos técnicos no Sendi 2023. O prazo vai até o dia 31 de julho e as inscrições devem ser realizadas no site do evento.

Os trabalhos devem ser relacionados às tendências de transformação do setor de energia, os desenvolvimentos e inovações, as melhorias no modelo regulatório brasileiro e a transparência de conhecimento entre os participantes. No total, serão mais de 20 temas disponíveis dentro de quatro áreas distintas: técnico, comercial, institucional e inovação. Os trabalhos selecionados serão apresentados no Sendi 2023 e o primeiro colocado vai levar para casa um Notebook Latitude 3420, da Dell.

O evento

Com uma programação diversificada, com palestras nacionais e internacionais, exposição, apresentação de trabalhos técnicos e o Rodeio dos Eletricistas, o Sendi 2023 deve reunir 3,5 mil participantes e terá como temas centrais o ESG, sustentabilidade, inovação e o mercado de energia.

O evento é uma realização da Associação Brasileira dos Distribuidores de Energia Elétrica (Abradee) e a EDP no Espírito Santo é a empresa anfitriã.

Painel de notícias 14 O Setor Elétrico / Maio-Junho de 2023

16

Mobilidade Elétrica

É notável a necessidade de setores, como o Setor Elétrico, industrial e econômico de encontrarem soluções em desenvolvimento voltadas à tecnologia, ciência de dados e sustentabilidade, de modo que os próximos séculos sejam conduzidos em uma economia de baixas emissões de carbono. Parte fundamental deste novo planejamento, a mobilidade elétrica é também tema deste fascículo, coordenado pela professora dra. Flávia Consoni, do Laboratório de Estudos do Veículo Elétrico (LEVE/ Unicamp), que traz nesta edição:

Capítulo IV

Por Ariane Wady e Flávia L. Consoni

- Infraestrutura de recarga do veículo elétrico: atores e funções;

- Do conjunto normativo regulatório ora vigente para regulamentar a cobrança da recarga;

- Considerações finais: desenvolvimento da mobilidade urbana sustentável e inclusiva.

Cálculo de energia Incidente

O estudo de energia incidente tem sido cada vez mais necessário para as instalações elétricas, à medida em que se avançam as normas técnicas e de segurança. As medidas de controle começam na concepção do projeto de uma instalação, durante reformas ou atualizações, e, sobretudo, nas instalações já existentes. Para falar deste assunto com propriedade, o engenheiro eletricista Luiz Carlos Catelani, aborda o tema da Energia Incidente”, que traz nesta edição:

Capítulo IV

Por Luis Carlos Catelani Júnior, Unicamp

- Cálculo de energia incidente volume 3 – Modelo IEEE 1584 edição 2018 média tensão – Parte prática

- Correção do tamanho do compartimento

- Tempo de atuação da proteção

Modernização da distribuição

Neste fascículo, são discutidos os desafios que o setor elétrico tem enfrentado para modernizar, seus sistemas, em especial, o segmento da distribuição de energia. O contexto da modernização e as oportunidades desta transformação são pontos de reflexão desta série de oito artigos coordenada pela Associação Brasileira de Energia Elétrica (Abradee). Neste capítulo, o autor Lindemberg Reis, gerente de Planejamento e Inteligência e Mercado na Associação, discorre sobre o papel das distribuidoras de energia elétrica no contexto da transição energética no Brasil.

Capítulo IV

Por Lindemberg Reis

- Integração dos Recursos Energéticos Distribuídos (REDs)

- Ações de Resposta da Demanda

- Ações de Eficiência Energética

Fascículos

15
22 26

Mobilidade elétrica

Capítulo IV Regulação da cobrança de energia elétrica para recarga do veículo elétrico no Brasil

1 - Introdução

O avanço da eletrificação veicular não tem ocorrido em ritmo semelhante em todos os mercados internacionais. China, Estados Unidos e países da União Europeia, por exemplo, estão vivenciando uma incorporação bastante acelerada de veículos elétricos (VE), em um claro contraste com o ritmo verificado em países do Sul Global. Apesar do ritmo desigual de adoção dos VE, vemos em comum uma trajetória de crescimento ininterrupta da eletrificação dos meios de transporte. O último relatório EV Outlook 2023, da Agência Internacional de Energia, indica um estoque global de VE em 2022 superior a 26 milhões de unidades (IEA, 2023), o que representa 60% a mais em relação ao estoque de 2021; e mais de quatro vezes o volume em 2020, o qual registrou a venda de 6,75 milhões de veículos elétricos. Sem dúvida, estamos face a um movimento de crescimento da eletrificação veicular que tem sido constante e consistente ao longo do tempo. A título de comparação, em 2010 o estoque mundial era pouco superior a 10 mil unidades de VE1

A evolução da frota de VE no Brasil também tem sido constante, conforme acompanhamento realizado pela Associação Brasileira do Veículo Elétrico (ABVE, 2023), com um estoque de 133.305 unidades em 2023; 100 mil unidades a mais em relação ao estoque registrado em 20202

Diferentemente do que ocorre com os veículos a combustão interna, o VE (especificamente nas versões a bateria e plug in) depende do acesso à infraestrutura de recarga, conectada à rede de

energia elétrica, para obter e armazenar energia, em baterias, como condição para seu deslocamento. Como resultado, a viabilidade da eletrificação veicular passa a depender de articulações e interação com vários outros setores econômicos (Consoni et al, 2022), em que se destaca sobretudo o elétrico, por meio da comercialização da energia; e o de infraestrutura de recarga com eletropostos e atividades de carregamento.

É a partir da perspectiva destas novas funcionalidades que a eletrificação veicular deve ser compreendida. Neste artigo, a proposta é explorar uma das dimensões deste processo, que é a questão do carregamento do VE, essencial tanto para assegurar a prontidão do veículo (questão técnica), quanto para alicerçar o desenvolvimento do mercado da eletromobilidade. A proposta é refletir sobre o papel que o arcabouço legislativo possui para a construção desta nova rota tecnológica representada pela mobilidade elétrica. Especificamente, busca-se olhar para a cobrança da energia elétrica e das questões regulatórias que orientam esta atividade comercial no Brasil. Para tanto, o artigo apresenta o ecossistema de infraestrutura de recarga de um VE para na sequência refletir acerca do conjunto normativo regulatório vigente para regulamentar a cobrança da recarga.

2 - Infraestrutura de recarga do veículo elétrico: atores e funções

A inserção dos veículos elétricos no mercado brasileiro demanda uma série de ajustes do ecossistema nacional dos veículos

1 Os veículos elétricos assumem quatro configurações técnicas: (1) VE híbrido convencional (possui o motor a combustão e o motor elétrico, que operam conjuntamente, e não há conexão com a rede de energia); (2) VE híbrido plug in (possui dois tipos de motor: o elétrico e o a combustão, além de bateria, que pode ser recarregada por meio de plug conectado a uma rede de distribuição de energia, como nos eletropostos); (3) VE a bateria (utiliza somente energia de uma bateria para gerar energia para alimentar o motor elétrico); e o (4) VE a célula de combustível (utiliza o gás hidrogênio como principal fonte de energia, bem como o motor elétrico).

2 A estatística global considera no estoque de VE apenas as versões VE a bateia e VE híbrido plug-in; já no Brasil, o estoque abrange, além destas versões, também o VE híbrido, sem conexão à rede de energia, os quais têm respondido por praticamente 70% das vendas de VE.

16 FASCÍCULO

automotores, incluindo importantes adaptações regulatórias, tendo em vista que as normas vigentes foram projetadas sob o protagonismo dos veículos a combustão, que em muito se diferenciam dos elétricos.

A principal diferença é a respeito de como estruturar o próprio sistema de recarga dos VE, tendo em vista ser formado por uma rede de atores, o qual denominamos de “ecossistema da infraestrutura de recarga”. Na figura a seguir é possível visualizar esse ecossistema e a rede que o compõe.

denominadas “falhas de mercado”, próprias das tecnologias sustentáveis nascentes, que ainda não têm a incorporação dos altos custos da inovação em seu preço. Viabilizar a incorporação destas tecnologias implica a aplicação de formatos diversos de intervenções estatais tais como subsídios, incentivos e estímulos ao desenvolvimento nacional e a sua infraestrutura de recargar (Consoni et al, 2018).

Os fabricantes de VE, os fabricantes da estação de recarga, as empresas operadoras das estações de recarga, as concessionárias de energia elétrica, as distribuidoras, as empresas de meios de pagamento da energia, de aplicativos, os provedores de serviços de mobilidade elétrica, os usuários, além de instituições públicas, todos se conectam por meio de relações jurídicas.

Cada nova relação jurídica originária da inserção desta nova tecnologia demanda uma nova norma ou um novo regulamento, se acaso os já existentes não forem aptos à incorporação da nova estrutura apresentada.

Considerando a infraestrutura de recarga do VE, a regulação atua sob duas formas: (i) mais operacionalmente, estruturando normas de padronizações da própria tecnologia, como a questão técnica dos carregadores3 , do sistema operacional e de segurança veicular e (2) de forma mais ampla e indireta, na conformação institucional, como na criação e consolidação de normas e políticas públicas que atuem no mercado dos VE e na modelagem de negócios, incluindo a produção de diretrizes para comercialização da energia elétrica pelos eletropostos.

No que diz respeito à essa segunda atuação, a regulação age, principalmente, em uma questão econômica de fundo, na dinâmica entre as estruturas postas e a mudança técnica, no que diz respeito às

Por outro lado, ainda temos a continuidade de concessão de subsídios para os veículos a combustão, desconsiderando os custos negativos que essa tecnologia incumbente causa ao meio ambiente e saúde pública4, em oposição ao movimento que sinaliza para um cenário de Net Zero em 2050 (IEA, 2020).

Essas são as questões de fundo que permeiam a inserção da mobilidade elétrica no mercado nacional e que a regulação precisa solucionar para poder romper as barreiras políticas e mercadológicas que seriam necessárias para a consolidação do VE no Brasil.

Neste contexto, uma das questões regulatórias mais complexas que emerge deste ecossistema de recarga é a da cobrança da energia para o abastecimento dos elétricos, pois envolve uma questão conceitual da própria operação, que é definir se temos uma operação de fornecimento de um serviço de recarga, de uma venda de energia, ou de ambos (produto e serviço).

A depender da premissa adotada, teremos implicações políticas, jurídicas e tributárias diversas, que atuam diretamente na modelagem de negócios e na formulação do preço do abastecimento do veículo elétrico, afetando diretamente o usuário e, consequentemente, seu interesse por essa tecnologia.

3 - Do conjunto normativo regulatório ora vigente para regulamentar a cobrança da recarga

O grande impulso para o avanço da mobilidade elétrica no

3 A ABVE (Associação Brasileira de Veículos Elétricos) anunciou que profissionais estão estudando possíveis soluções de padronização de tomadas para recarga de VE no Brasil, sendo solicitado ao INMETRO uma alternativa única de conectores de energia (https://mundoconectado.com.br/noticias/v/24940/inmetro-e-abve-trabalham-para-padronizar-tomadas-para-recarga-de-carros-eletricos-no-brasil#:~:text=Produtos ,Inmetro%20e%20ABVE%20 trabalham%20para%20padronizar%20tomadas,de%20carros%20el%C3%A9tricos%20no%20Brasil). Um outro exemplo é do Projeto de Lei 1621/22, que determina que os VE novos contenham cabo de recarga, conforme configuração padronizada nacionalmente, na forma de um regulamento.

4 Exemplo de políticas públicas que incentivam a produção de combustíveis fósseis é o Programa para Uso Sustentável do Carvão Mineral Nacional (Portaria n° 540, MME), que busca estabelecer uma política para continuidade da atividade de mineração de carvão nos estados da Região Sul, por meio de termelétricas.

17
Figura 1: Modelo representativo do ecossistema de infraestrutura de recarga de um veículo elétrico a bateria e híbrido plug in. Fonte: Adaptado a partir de Capgemini Invent, 2019. Figura 2: Representação da regulação atuando sobre as falhas de mercado. Fonte: elaboração própria.

Brasil, em termos normativos, ocorreu com a Regulação Normativa 819/2018, por iniciativa da Agência Nacional de Energia (Aneel), ao estabelecer os procedimentos e as condições para a realização de atividades de recarga de veículos elétricos (Wady, 2021). Conforme seu artigo 9º: “é permitida a recarga de veículos elétricos de propriedade distinta do titular da unidade consumidora, inclusive para fins de exploração comercial a preços livremente negociados.” Como contribuição, tal regulação passa a considerar a recarga dos VE como um serviço, com potencial de ser desenvolvido por qualquer interessado. Em 2021, a resolução REN 1.000/202 substituiu a REN 819/2018. Isso ocorre somente sob o aspecto formal, já que esta nova regulação teve como motivação consolidar as regras da Aneel relativas à prestação do serviço público de distribuição de energia elétrica, utilizando-se do slogan: “Resolução 1000 da Aneel, seus direitos sobre energia elétrica, agora num só lugar!”. Abrange assim várias matérias atinente à prestação de serviço de energia elétrica, não alterando a permissão, a qualquer interessado, da exploração do serviço de recarga dos VE.

Porém, a despeito dessa regulação permissiva da Agência Reguladora, temos três normas federais, de hierarquia superior e anteriores à resolução da Aneel5 (as Leis 9.074/95, Lei 9.427/96 e Lei 10.848/2004), que dispõem que as operações de venda de energia elétrica só podem ser realizadas pelos agentes autorizados no regime de contratação regulada (ACR) e de contratação livre (ACL), sendo restritas aos geradores, distribuidores e comercializadores de energia. Essas normas não permitem, portanto, que particulares possam vender energia elétrica.

Consequentemente, o usuário do VE e o titular do eletroposto não podem participar da venda de energia, acabando por criar um conflito com o disposto na resolução REN 1.000/2021, Aneel e as leis ordinárias federais, hierarquicamente superiores e preexistentes à resolução.

Mais ainda, temos um outro ato normativo regulamentar, a resolução REN 581, Aneel, que também enquadra a atividade de recarga do veículo elétrico como atividade acessória dentro da distribuidora e, por isso, essa seria uma atividade típica de serviços, ora permitida somente às distribuidoras.

Tal classificação normativa aumenta ainda mais a confusão legislativa, interferindo na elaboração de um modelo de negócio apropriado para gerenciar a cobrança da recarga dos VE e imprimindo insegurança jurídica no mercado.

O imbróglio estabelecido é o seguinte: o carro elétrico abastece no eletroposto e deveria, logicamente, pagar pela energia que consumiu, mas como ele poderá pagar se quem está vendendo não pode, legitimamente, nem vender e nem cobrar por isso?

Na figura a seguir temos uma representação do que acontece com a cobrança de recarga na prática.

Na representação, temos uma relação jurídica privada (1), entre o usuário do VE e o titular do eletroposto6, aplicando-se a REN 1.000/2021, da ANEEL (o titular do eletroposto presta o serviço de recarga e vende energia elétrica). Essa operação de venda da energia pelo particular é vedada pelas Leis 9.074/95, |Lei 9.427/96 e Lei 10.848/2004.

Na relação jurídica (2), temos uma relação contratual pública, de concessão de serviço público de energia elétrica entre a distribuidora de energia e o titular do eletroposto, sujeita à fiscalização e normatização pela Agência Reguladora (Aneel).

A partir desta configuração, temos algumas possibilidades regulatórias para delinear e tentar equacionar essa controvérsia: (i) cobrar apenas o serviço de recarga, sem contabilizar a venda da energia como uma mercadoria ou (ii) cobrar pela venda da energia.

No caso (i), teríamos a recarga como um “serviço de mobilidade elétrica”, que poderia ser calculado considerando os fatores, “tempo” (de carregamento), “potência” (do carregador) e “ocupação” do eletroposto (disponibilização de outros serviços, se houver, como a localização dos eletropostos, venda de conveniências, dentre outros).

As implicações jurídico-tributárias na adoção deste modelo, focado em serviço, seriam a incidência de cobrança do ISS (Imposto sobre Serviço de Qualquer Natureza), de competência dos Municípios (artigo 156, da Constituição Federal), com alíquota variável sobre o preço do serviço ofertado, a depender da cidade.

Desta forma, a relação contratual ficaria estabelecida da seguinte forma: o titular do eletroposto celebraria um contrato de compra de energia com a distribuidora, pagando sobre ela o ICMS (Imposto de Circulação de Mercadorias e Serviços), de competência dos Estados (artigo 155, da Constituição Federal), mas venderia um serviço. Logicamente, no preço deste serviço de recarga, o titular do eletroposto teria que repassar os custos da compra desta energia do Poder Público e, nesta hipótese, o modelo de negócio seria o do protagonismo das distribuidoras, já que o ponto central da venda da energia ficaria nela concentrado (eletroposto compra energia e

18 FASCÍCULO
5
Nosso ordenamento jurídico possui uma hierarquia de normas, sendo que as leis ordinárias e complementares são hierarquicamente superiores às resoluções e regulamentos. Por isso, a
resolução
1.000/21,
da
ANEEL,
deve
respeito ao que se encontra disposto nas leis, sendo ela ato normativo inferior à uma lei ordinária.
6 Quando
feito o carregamento em casa, a cobrança é feita na conta de energia elétrica.
Figura 3: Modelo de infraestrutura de recarga de um veículo elétrico. Fonte: Rabelo, 2019 (https://ubrabio.com.br/wp-content/ uploads/2019/02/2019-02-25-Davi-Rabelo-ANEEL.pdf).

vende um serviço).

No caso (ii), para ser possível a venda da energia elétrica pelo eletroposto (energia elétrica aqui compreendida como um produto), teríamos, primeiramente, que ter as devidas alterações legislativas7, a fim de que seja possível ao titular do eletroposto vender a energia ao titular do veículo elétrico.

Após isso, seria possível considerar o titular do eletroposto como um agente “co – distribuidor” de energia à rede, já que ele poderia contratar a compra da energia pelos mercados livres ou regulados e vendê-la ao titular do veículo elétrico, além de também poder gerar sua própria energia, no caso de ser adepto ao sistema de geração distribuída.

Nesta opção, ainda poderia ser adicionado ao valor da venda da energia, os serviços de mobilidade elétrica disponibilizados pelo eletroposto. Esta operação teria, assim, incidência dos dois tributos, o ICMS (venda de energia) e do ISS (prestação do serviço), sendo mais complexa que a primeira, e que pode ser baseada na livre competição entre provedores.

4 - Considerações finais

A partir destas discussões, pode-se perceber o quão complexo e sensível é a construção de um arcabouço normativo regulatório para colmatar uma nova tecnologia. A regulação tem como um dos pressupostos o direcionamento de um objeto errático, ou seja, um objeto (a nova tecnologia) que ainda está sem um “rumo” e pode ou não obtê-lo, a depender do que a regulação definir e estruturar.

Não há ainda uma solução pronta para essa problemática da regulação da estrutura e cobrança da recarga dos VE. A Aneel, como agência reguladora do setor de energia, já exerceu sua função, que foi permitir a comercialização da energia como um serviço. As indefinições que se seguem, relativas à aplicação dos impostos (seja o ISS e/ou o ICMS), não está na pauta da Aneel por ser considerada uma regulamentação tributária dos Estados e Municípios, que por sua vez, não seguem nenhum normativo a este respeito.

O que se pode perceber, após essas breves considerações, é que a tendência parece ser a de que a recarga seja considerada um serviço e que, neste serviço, sejam incorporados os custos da compra da energia pelo titular do eletroposto, sem que ele se torne um revendedor.

Se assim for, o caminho poderá ser mais curto, tendo em vista que não serão necessárias alterações constitucionais, nem mesmo legais, bastando aplicar o que já temos como a Resolução 1.000/2021, da Aneel, com alguns aperfeiçoamentos regulatórios,

inclusive quanto aos tributos incidentes, como o ISS, que ainda alimentaria o orçamento municipal, auxiliando, em muito, o desenvolvimento da mobilidade urbana sustentável e inclusiva, que é de competência constitucional das Cidades8.

Referências Bibliográficas

CONSONI, F. L. (2022) et al. Introdução. In. 2º Anuário Brasileiro da Mobilidade Elétrica. Plataforma Nacional da Mobilidade Elétrica, Brasília. Disponível em: https://www.pnme.org.br/biblioteca/2oanuario-brasileiro-da-mobilidade-eletrica-pnme/

CONSONI, F. L. et al. (2018) Estudo de Governança e Políticas Públicas para Veículos Elétricos. Projeto Sistemas de Propulsão Eficiente – PROMOB-e (Projeto de Cooperação Técnica bilateral entre a Secretaria de Desenvolvimento e Competitividade Industrial – SDCI/ MDIC e a Cooperação Alemã para o Desenvolvimento Sustentável (GIZ). Disponível em: http://www.pnme.org.br/biblioteca/estudo-degovernanca-e-politicas-publicas-para-veiculos-eletricos/

IEA. International Energy Agency. (2022) Global EV Outlook 2023. Catching up with climate ambitions. IEA, Paris.

IEA. International Energy Agency (2020). Net Zero by 2050 A Roadmap for the Global Energy Sector. Special Report, IEA, Paris. Resolução 1000, ANEEL. https://www2.aneel.gov.br/cedoc/ ren20211000.pdf.

WADY. A. F. (2021) Os sinais regulatórios necessários para o desenvolvimento da mobilidade urbana na Cidade: uma abordagem com foco na infraestrutura de recarga.

*Ariane Wady é advogada, mestre em Política Científica e Tecnológica no IG/DPCT (Unicamp), com doutorado em curso na mesma instituição. É pesquisadora do LEVE - Laboratório de Estudos do Veículo Elétrico e do Projeto CPTen - Centro de Transição Energética (Fapesp e Unicamp). Estuda regulação voltada para o desenvolvimento da mobilidade elétrica no Brasil.

*Flávia Consoni é professora Livre Docente junto ao Programa de Pós Graduação em Política Científica e Tecnológica do Instituto de Geociências da Unicamp. É coordenadora do LEVE – Laboratório de Estudos do Veículo Elétrico, do curso de Extensão em Mobilidade Elétrica: Políticas, Planejamento e Oportunidades de Negócios oferecido pela Escola de Extensão da Unicamp, e coordenadora do eixo Política e Governança do Projeto CPTen -Centro de Transição Energética (Fapesp e Unicamp). Conduz e orienta pesquisas no tema da mobilidade de baixa emissão e coordena. fconsoni@unicamp.br

20 FASCÍCULO
7 Leis 9.074/95, Lei 9.427/96 e Lei 10.848/2004.
8 A Constituição Federal estabeleceu a definição da responsabilidade dos municípios na gestão do transporte coletivo, do sistema viário e de circulação. Cabe à União o poder de instituir as diretrizes da política de desenvolvimento urbano (Artigo 182, CF) e para os transportes urbanos (inciso XX do Artigo 21). A Lei 12.587/2012, Lei da Mobilidade Urbana, veio regulamentar estes artigos, dando as diretrizes gerais para os sistemas de mobilidade urbana.

Avaliação de energia incidente

Capítulo IV Cálculo de Energia

Incidente –

Modelo IEEE 1584 edição 2018 para média tensão

Parte

2

Parte prática :

Vamos ilustrar o procedimento usando o seguinte exemplo:

Painel de Média Tensão – VCB (eletrodos verticais enclausurados)

Tensão nominal – 13800 V

Corrente de curto-circuito – 31 kA

Tamanho do compartimento – 914,4 x 914,4 x 914,4 mm (36’ x 36’ x 36’)

Tempo de eliminação do arco – deverá ser confirmado após o cálculo da corrente de arco mínima

Gap – 153 mm

Distância de trabalho – 910 mm

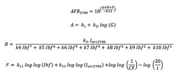
1) Cálculo da energia incidente passo a passo

Calcular a corrente de arco:

Na faixa de 600 V

I a2700 = 25,87 kA

Na faixa de 14300 V

I a14300 = 24,93 kA

2) Calcular a corrente de arco na tensão estipulada

22 FASCÍCULO
Valores utilizados da Tabela 2 (VCB 600V) Valores utilizados da Tabela 2 (VCB 2700V)
k1 −0.04287 k1 0.0065 k1 0.005795 k5 0 k5 4.556E-10 k5 4.556E-10 k3 −0.083 k3 −0.024 k3 −0.011 k9 0.003141 k9 −0.003191 k9 −0.003191 k7 1.962E-06 k7 8.346E-07 k7 8.346E-07 k2 1.035 k2 1.001 k2 1.015 k8 −0.000229 k8 5.482E-05 k8 5.482E-05 k6 −4.783E-09 k6 −4.186E-08 k6 −4.186E-08 k4 0 k4 −1.557E-12 k4 −1.557E-12 k10 1.092 k10 0.9729 k10 0.9729
21,35 kA Na faixa de 2700 V
Valores utilizados da Tabela 2 (VCB 14300V)
Ia600 =

Iarc1 = 49,78 kA

Iarc2 = 28,80 kA

Iarc3 = -82,09 kA

Quando a tensão for maior que 2700 V e menor que 15000 V:

Iarc = Iarc2 = 28,80

3) Estimar a variação de corrente

EES = 35,45 in

CF=b1.EES2+b2.EES + b3

Valores obtidos da Tabela 5 (VCB).

CF = 1,2728

5) Determinar o tempo de atuação da proteção

Para obtenção do tempo de eliminação do arco elétrico foi consultado o gráfico I x t Figura 1 fornecido pelo estudo de seletividade implantado.

Valores obtidos da Tabela 3 (VCB).

O tempo é definido pela corrente de arco mínima para garantir uma margem de segurança.

VarCf = 0,0239

Cf = 0,9888

Mínima corrente de arco elétrico

Iarc_min = 28,47 kA

4) Correção do tamanho do compartimento

Os valores da dimensão do invólucro:

Height = 914,4 mm

Width = 914,4 mm

Height1 = Height . 0,03937

Height1 = 36’

Width1 = 34,90’

Desta forma o tempo da proteção utilizado será de 280 ms.

O tempo de eliminação considerado é o tempo de ajuste da unidade ANSI-50 de 200 ms e acrescido o 80 ms de abertura do disjuntor por informação do fabricante.

23 k1 0 k5 0,022366 k3 0,000083137 b2 0,03441 k7 0,30226 k2 −0.0000014269 b1 −0.000302 k6 −0.12645 k4 −0.0019382 b3 0,4325
Figura 1 – Curva de Tempo X Corrente.

6) Cálculo da energia incidente

Valores das constantes obtidos na Tabela 6 (14300V - VCB).

Valores das constantes obtidos na Tabela 6 ( 600V - VCB).

E600 = 27,50 J/cm2

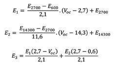
Cálculo da energia incidente na faixa de 2700 V.

Ei14300 = 38,39 J/cm2

Com o resultado da energia incidente por faixas deve -se calcular os valores interpolados.

das constantes obtidos na Tabela 6 ( 2700V - VCB).

E1 = 78,15 J/cm2

E2 = 40,21 J/cm2

E 3 = -160,38 J/cm2

Para tensões maiores que 2700 V e menores que 15000 V:

Ei = E2 = 40,21 J/cm2 ou 9,62 cal/cm2

7) Cálculo da distância de segurança para arco elétrico

Faixa de 600 V:

E2700 = 35,12 J/cm2

Cálculo da energia incidente na faixa de 14300 V.

Valores das constantes obtidos na Tabela 6 ( 600V - VCB).

24 FASCÍCULO
k1 0.753364 k5 0 k3 1.752636 k9 0.003141 k7 0.000001962 k2 0.566 k8 −0.000229 k6 −4.783E-09 k4 0 k10 1.092 k12 −1.598 k13 0.957 k11 0
Faixa de 600V
k1 2.40021 k5 4.556E-10 k3 0.354202 k9 −0.003191 k7 8.346E-07 k2 0.165 k8 5.482E-05 k6 −4.186E-08 k4 −1.557E-12 k10 0.9729 k12 −1.569 k13 0.9778 k11 0 k1 0,753364 k5 0 k3 1,752636 k9 0,003141 k7 0,000001962 k2 0,566 k8 −0.000229 k6 −4.783E-09 k4 0 k10 1,092 k12 −1.598 k13 0,957 k11 0 Valores
k1 0.753364 k5 0 k3 1.752636 k9 0.003141 k7 0.000001962 k2 0.566 k8 −0.000229 k6 −4.783E-09 k4 0 k10 1.092 k12 −1.598 k13 0,957 k11 0
AFB600 = 2698 mm

Faixa de 2700 V:

Com fins didático vamos estimar a energia incidente pelo método de 2002 e para a posição de eletrodo HCB versão 2018 nas mesmas condições.

No caso para a distância de segurança em relação ao arco elétrico:

Valores das constantes obtidos na Tabela 6 ( 2700V - VCB).

AFB2700 = 3217 mm

Faixa de 14300 V:

Valores das constantes obtidos na Tabela 6 (14300V - VCB).

Na metodologia da IEEE 1584 de 2002 os valores de energia incidente calculada são mais conservativos do que em 2018 na configuração VCB.

A mudança drástica se dá na posição dos eletrodos, na qual de VCB para HCB a energia é muito superior.

AFB 14300 = 3438 mm

Fazendo as interpolações:

AFB1 = 5959 mm

AFB2 = 3430 mm

AFB 3 = -9945 mm

Para tensões maiores que 2700 V e menores que 15000 V:

AFB = AFB2 = 3430 mm

Tomando como exemplo o caso calculado pode -se observar que os valores de energia incidente da versão de 2002; independente da configuração do sistema de aterramento; ficam entre os valores da versão de 2018 entre VCB como valor inferior e HCB como valor superior.

No próximo volume iremos abordar o cálculo da energia incidente para instalação de média tensão acima de 15 kV até 40,5 kV.

*Luiz Carlos Catelani Junior é engenheiro eletricista pela Unicamp, com ampla experiência em proteção de sistemas elétricos, subestações AT, linhas de transmissão elétrica e plantas industriais. Ao longo de sua carreira, tem desenvolvido atividades ligadas à geração de fontes renováveis, sendo, atualmente, um dos principais especialistas do país em análise de energia incidente de média e alta tensão – ATPV e Arc Flash.

25
k1 2.40021 k5 4.556E-10 k3 0.354202 k9 −0.003191 k7 8.346E-07 k2 0.165 k8 5.482E-05 k6 −4.186E-08 k4 −1.557E-12 k10 0.9729 k12 −1.569 k13 0.9778 k11 0 VCB 2018 9,62 cal/cm2 VCB 2002 unground 15,13 cal/cm2 HCB 2018 24,10 cal/cm2 VCB 2002 ground 11,66 cal/cm2 VCB 2018 3430 mm VCB 2002 unground 12306 mm HCB 2018 5561 mm VCB 2002 ground 9418 mm k1 0,753364 k5 0 k3 1,752636 k9 0,003141 k7 0,000001962 k2 0,566 k8 −0.000229 k6 −4.783E-09 k4 0 k10 1,092 k12 −1.598 k13 0,957 k11 0
Figura 2 – Comparativo da energia incidente X corrente de curto circuito.

Modernização da distribuição Capítulo IV

O

papel das distribuidoras de energia elétrica no contexto da transição energética no Brasil

Entendemos que as distribuidoras de energia podem cumprir papel fundamental na transição energética, pois são estes agentes que fazem a interface entre a geração e o usuário final, sendo uma espécie de elo que conecta toda a cadeia de suprimento de energia no Brasil. Na sequência, analisamos nove ações cujo papel da distribuidora de energia será fundamental para uma transição sustentável.

1.1 - Integração dos Recursos Energéticos Distribuídos (REDs)

Como citado anteriormente, o Brasil já possui mais de 21 GW de potência instalada em Micro e Mini Geração Distribuída (MMGD). Em termos de Veículos Elétricos (VE) já ultrapassamos a marca de 133 mil unidades, sendo que destes 41,5 mil são plug in ou 100% à bateria, ou seja, têm que se conectar à rede de energia elétrica. Mais

do que os números, a curva de crescimento destes REDs demonstra que eles vieram para ficar (vide Figura 1 e Figura 2).

Portanto, precisamos de um setor elétrico que integre estes REDs, fornecendo resiliência suficiente para que sua incorporação ao grid não cause distúrbios, transtornos e colapso do sistema. Pelo contrário, urge o desenvolvimento de ferramentas, softwares, plataformas que façam com que o máximo benefício destes recursos, distribuídos por natureza, seja usufruído pelo sistema.

Aliás, este sistema ainda contará com o papel do armazenamento de energia, usinas renováveis intermitentes, equipamentos cada vez mais smarts, com uma gama de informações inimaginadas anos atrás. E neste contexto que se insere a distribuidora de energia, agente que terá de ser capaz de investir e operar este sistema cada vez mais complexo.

26 FASCÍCULO
Figura 1 – Evolução da MMGD no Brasil. Fonte: Aneel - Dados de GD (2009 a 2023) Figura 2 – Evolução dos Veículos Elétricos no Brasil. Fonte: NeoCharge – Evolução dos Carros Elétricos

1.2 - Ações de Resposta da Demanda

Os programas de resposta da demanda são mecanismos utilizados para gerenciar o consumo dos clientes em resposta às condições de oferta, como a redução ou deslocamento do consumo de energia em momentos de estresse do sistema elétrico. As ferramentas regulatórias que podem ser utilizadas para estimular esse tipo de mecanismo são divididas em duas modalidades: programas baseados em incentivos e programas baseados em preços (Thomas et al., 2008).

Os programas baseados em incentivos são aqueles em que o gerenciamento de demanda é feito por meio da aplicação de descontos ou penalidades em troca de redução da demanda dos consumidores quando solicitado pelo operador do sistema ou distribuidora. Como exemplo, pode-se mencionar (i) controle de carga; (ii) fornecimento contratual interrompível; (iii) programas de corte de carga emergencial etc.

Já os programas baseados em preços são aqueles em que se aplicam tarifas variantes no tempo com o objetivo de induzir mudanças no perfil de consumo de energia elétrica. Neste tipo de

programa, o consumidor responde a sinais de preços sem participar ativamente do mercado de energia. Como exemplo, citam-se as tarifas Time-of-Use (TOU), Real Time Pricing (RTP), Critical Peak Pricing (CPP) e Peak Time Rebate (PTR).

A Figura 4 demonstra o carregamento do sistema Nordeste em dois domingos de junho, um em 2021 e outro em 2022. Note que a rampa de carga do sistema, devido ao perfil de MMGD, está se tornando cada vez mais desafiadora no período da tarde. São mais de três MWmédios entre o entardecer e o anoitecer que o SIN tem que suportar para não colapsar.

A distribuidora de energia terá que, uma vez mais, garantir que o sistema não colapse, por meio de investimentos em novas subestações, inteligência no controle de cargas e, porque não, através de proposições de mecanismos de resposta da demanda, desde que respaldada por comandos legais para tal finalidade.

1.3 - Ações de Eficiência Energética

As ações de eficiência energética contribuem com várias externalidades positivas à sociedade e à transição energética sustentável, tais como:

• O investimento em eficiência energética é necessário frente a desafios como escassez hídrica, crise econômica e diminuição da capacidade de custeio das despesas pela população. Não há dúvida de que há uma demanda por energia elétrica cada vez maior e, com esse crescimento do mercado, é urgente a continuidade da aplicação dos valores destinados aos programas de eficiência energética pelas distribuidoras.

• Por esse prisma, as ações de eficiência energética têm garantido para a sociedade brasileira a redução da necessidade de novas fontes de energia, com a postergação de investimentos em geração e transmissão de energia, melhoria na confiabilidade do sistema elétrico e redução das interrupções do fornecimento de energia elétrica.

• As ações de eficiência energética também asseguram economia de energia para movimentar as atividades econômicas e sociais com baixo custo, contribuindo diretamente para o movimento global de Transição Energética.

• Gera empregos/renda e movimenta a indústria brasileira na manufatura de produtos elétricos e eletrônicos. Os projetos de eficiência energética requerem intensiva força de trabalho, que podem iniciar rapidamente e serem inseridos nas cadeias produtivas locais, como construção e manufatura.

• A eficiência energética trabalha em ações de caráter social para proporcionar acesso a tecnologias de baixo consumo de energia, tais como a troca de lâmpadas por outras mais eficientes, a geração

27
Figura 3 – Integração dos Recursos Energéticos Distribuídos. Fonte: https://br.freepik.com/search?format=search&query=industries. Figura 4 – Curva de demanda horária do Subsistema Nordeste. Fonte ONS: http://www.ons.org.br/Paginas/resultados-da-operacao/ historico-da-operacao/curva_carga_horaria.aspx

de energia por meio de painéis solares, troca de geladeiras por modelos mais econômicos e eficientização de prédios públicos (como hospitais e escolas).

• Outra ação de grande relevância é a modernização do parque de iluminação pública, reduzindo o consumo de energia, melhorando a qualidade da iluminação das vias públicas e contribuindo para segurança pública.

• Nesse aspecto, o volume de investimento é, em sua maior parte, voltado para ações com as comunidades de baixa renda, reforçando o retorno social das ações de eficiência energética. De acordo com o MME, por meio das Notas técnicas 34 e 36/2021/ DDE/SPE, é inadmissível negligenciar que cada R$ 1,00 retirado da Eficiência Energética deixa-se de fazer a economia equivalente a R$ 12,66 pelo seu efetivo resultado. Atualmente, o Procel - Programa Nacional de Conservação de Energia Elétrica - é a mais importante e estruturada ação de eficiência energética no âmbito federal. São as distribuidoras quem fazem ações de eficiência energética junto aos usuários finais, denotando-se papel crucial para a transição energética sustentável.

1.4 - Impulsionar e promover a eletrificação da economia

A eletrificação da economia é um fenômeno em ascensão que vem transformando diversos setores e impulsionando a transição para fontes de energia mais limpas e sustentáveis. Com o avanço das tecnologias de armazenamento e geração de energia elétrica, cada vez mais setores estão adotando soluções elétricas para substituir o uso de combustíveis fósseis. A eletrificação traz uma série de benefícios, como a redução das emissões de gases de efeito estufa, a diminuição da dependência de recursos finitos e a promoção da eficiência energética.

Um setor que está sendo profundamente impactado pela eletrificação é o de transportes. Os veículos elétricos estão ganhando espaço nas ruas e estradas, substituindo os veículos movidos a combustão interna. Além de serem mais sustentáveis, os veículos elétricos oferecem vantagens como menor custo de manutenção, maior eficiência energética e uma experiência de condução silenciosa. A eletrificação dos transportes também impulsiona a instalação de uma infraestrutura de recarga cada vez mais robusta, estimulando a transição para uma mobilidade urbana mais limpa.

Outro setor que está passando por uma transformação com a eletrificação é o de energia. A crescente geração de energia elétrica por meio de fontes renováveis, como solar e eólica, está substituindo gradualmente as usinas termelétricas movidas a combustíveis fósseis. Além disso, a eletrificação também está permitindo uma maior integração entre os setores de energia, transporte e armazenamento, por meio de sistemas inteligentes

de gerenciamento energético. Isso possibilita uma utilização mais eficiente dos recursos e uma maior flexibilidade para lidar com as variações na oferta e demanda de energia.

Em suma, a eletrificação da economia está trazendo mudanças significativas em diversos setores, impulsionando a transição para uma economia mais sustentável e de baixo carbono. A adoção de soluções elétricas traz benefícios tanto do ponto de vista ambiental, com a redução das emissões de gases de efeito estufa, quanto do ponto de vista econômico, com a criação de novas oportunidades de negócio e a redução de custos de energia. A eletrificação representa um caminho promissor para enfrentar os desafios da mudança climática e construir um futuro mais limpo e sustentável.

1.5 - Investimentos em Smart Metering e Ganhos Operacionais

No Brasil, segundo dados de 2022, são pouco mais de 2,2 mil usuários conectados na alta tensão (acima de 69 kV), bem como cerca de 202 mil usuários em média tensão (acima de 2,3kV). Estes parcos 205 mil usuários de energia elétrica possuem medidores com funcionalidades abrangentes, como corte e leitura remotos, memória de massa, capacidade de se fazer medição de energia e demanda, entre outras finalidades.

Acontece que na baixa tensão concentram-se mais de 88,5 milhões de usuários, dos quais se estima que somente entre dois a três milhões possuam medidores inteligentes (smart metering). A Figura 6 ilustra

Fato é que o parque de medições inteligentes limitado cerceia a utilização de funcionalidades que seriam extremamente bem quistas em prol do uso eficiente dos múltiplos recursos. Por exemplo, ao não se fazer a leitura de forma remota, tem-se que

28 FASCÍCULO
Figura 5 – Eletrificação da economia: uma tendência contemporânea. Fonte https://br.freepik.com/search?format=search&query=industries. Figura 6 – Número de usuários de energia elétrica por nível de tensão. Fonte: Samp/Aneel - Sistema de Acompanhamento de Informações de Mercado para Regulação Econômica, dados 2022. essa realidade.

deslocar leituristas – em veículos movidos à combustível fóssil –para realização da medição dos usuários e consequente entrega de fatura – impressa na maioria dos casos – aos consumidores de energia elétrica.

Um outro exemplo. Ao se verificar usuário em grave patamar de inadimplência, ao invés de desligar o consumidor do sistema de forma remota via smart metering, tem-se que deslocar equipe até o local, uma vez mais por meio de veículos à combustão interna, ainda sujeitando o colaborador aos riscos inerentes de atividade de corte, em especial em localidades violentas.

As distribuidoras terão papel fundamental na discussão e implementação da modernização do parque de medição de energia elétrica, contribuindo para a redução de gases de efeito estufa, eficiência energética, uso de materiais supérfluos etc. Em síntese, este tipo de iniciativa reduziria níveis de inadimplência, custos operacionais e furtos de energia, que aliás é nosso próximo tema.

1.6 - Combate às Perdas Não Técnicas

Segundo dados de 2022 (Aneel), as Perdas Não Técnicas (PNT) registradas no Brasil atingiram o patamar de, aproximadamente, 14,27% em relação ao mercado de Baixa Tensão (BT), ou seja, o equivalente a 33,45 TWh (ou 33.458.262 MWh) destinados ao furto/desvio de energia. Este patamar é equivalente ao consumo dos usuários de baixa tensão dos Estados de Santa Catarina, Paraná, Mato Grosso do Sul e Espírito Santo juntos.

As distribuidoras têm que adquirir essa energia em leilões regulados. Se fizermos uma estimativa conservadora, considerando-se o custo médio de compra de energia de 2022 como sendo de, aproximadamente, R$230/MWh, estamos falando que as PNT representam um custo de R$7,69 bilhões/ano.

A despeito de todo o estímulo ao combate ao furto de energia direcionado pela ANEEL, as distribuidoras não conseguem atingir os patamares regulatórios, de acordo com o que se pode observar na Figura 7. E torna-se sensato uma força tarefa para buscar reduzir este fenômeno, que é multidimensional, tendo caráter social, econômico, financeiro, ambiental, jurídico e político.

As perdas de energia são muito elevadas no Norte do país – em especial na área de concessão da Amazonas Energia -, bem como na região metropolitana do Rio de Janeiro, onde atuam a Light e a Enel Rio.

Por todo o exposto, entende-se prudente explicitar que há clara ausência de política pública para o combate às PNT, que frisa-se, trata-se de questão que extrapola os limites de atuação das distribuidoras de energia elétrica, por ser fenômeno de elevada complexidade, sobretudo, socioeconômica. E por certo, a recuperação da energia furtada muito contribuiria para uma transição energética assertiva.

1.7 - Adequação da Estrutura Tarifária Brasileira

Desde meados da década de 1980, a estrutura de tarifas aplicadas aos usuários de energia elétrica no Brasil é a mesma, ou muito similar à vigente. Aos usuários de Alta e Média Tensão (AT e MT) cobra-se demanda (kW) e energia (kWh) segundo postos tarifários (ponta e fora ponta). Já aos usuários de Baixa Tensão (BT) se aplica tarifas exclusivamente monômias, cobrando-se dos usuários em R$/MWh.

Trata-se, portanto, de tarifas que não mais refletem as condições de uso do sistema. Aliás, transmissão e distribuição de energia são atividades típicas de monopólios naturais, que possuem elevados custos fixos. Por esse motivo, tarifas monômias não são adequadas para sinalizarem o uso racional do recurso disponível para o sistema elétrico.

Com base nesta constatação, a Aneel iniciou em 2021 um movimento para revisitar a estrutura de tarifas de energia. No dia 14 de dezembro de 2021, foi homologada a Resolução Normativa n.º 966, a qual regulamenta o desenvolvimento e a aplicação de projetos-pilotos que envolvam faturamento diferenciado pelas concessionárias e permissionárias de serviço público de distribuição de energia elétrica.

Em 5 de agosto de 2022, foi instruído o processo para instauração da 1ª Chamada Pública de Sandboxes Tarifários, que são experimentações que afastam regulamentos ordinários na amostra de consumidores que farão parte do exercício em prol de reduzir incertezas às distribuidoras de energia e ao mesmo tempo possibilitar a análise da resposta dos usuários aos sinais de preços praticados.

Fonte: Aneel | Dados Perdas de Energia (2013 a 2021)

No dia 10 de fevereiro de 2023 a Aneel recebeu 14 propostas de projetos. No dia 18 de abril de 2023 a Agência aprovou 6 destes experimentos para seguirem adiante, conforme pode ser observado na Figura 8. As experimentações de tarifas serão procedidas ao longo dos próximos anos, de tal sorte a possibilitar a ANEEL tomadas de decisões futuras para aperfeiçoamento da estrutura tarifária da baixa tensão.

29
Figura 7 – Evolução das Perdas Não Técnicas no Setor Elétrico Brasileiro.

Por certo que tarifas mais adequadas guiarão os usuários quanto ao uso racional do recurso, sobretudo evitando consumos supérfluos, no caminho de uma transição energética sustentável.

1.8 - Descarbonização da Matriz Elétrica na Amazônia

De acordo com dados da EPE, mais de 80% dos sistemas isolados da Amazônia são supridos por geração à diesel. Seriam quase 3 milhões de cidadãos atendidos por sistemas isolados. Acontece que este tipo de geração fóssil é mais oneroso que as opções tradicionais, como hidroelétricas por exemplo.

Para evitar que houvesse custo de energia mais elevados justo naquelas populações menos assistidas, que já têm dificuldades diversas por atendimento energético não integrado ao SIN, criou-se o encargo CCC – Conta de Consumo de Combustíveis, pago por todos os usuários. Para se ter ideia, este é o segundo maior encargo presente na conta de energia. A Figura 9 ilustra que, apenas nos cinco primeiros meses de 2023, já foram demandados quase R$3 bilhões para subsídios à geração nos sistemas isolados.

De tal sorte que, em que pese a necessidade de política pública para promover a iniciativa de substituição de fontes fósseis por renováveis nos sistemas isolados, é certo que caberá às distribuidoras de energia este papel no âmbito da transição energética nacional.

1.9 - Investimentos em ODS da ONU

A Abradee - Associação Brasileira de Distribuidoras de Energia Elétrica - apurou que, entre 2021 e 2022, suas distribuidoras associadas investiram mais de R$6,5 bilhões nos Objetivos do Desenvolvimento Sustentável (ODS) da ONU. Os ODS são um conjunto de 17 metas globais para erradicar a pobreza, preservar o planeta, promover a paz e a prosperidade da população.

Ainda segundo a Associação, todas as metas da ONU foram contempladas com investimentos realizados no âmbito do segmento de distribuição de energia. Consumo e produção responsáveis (ODS 12) e boa saúde e bem-estar (ODS 3) receberam importantes recursos que transformaram a vida de muitas pessoas.

Estímulos à energia alternativa, ações de responsabilidade socioambiental e capacitação profissional estão entre as iniciativas que se consolidaram a cada ano a partir de projetos promovidos pelas distribuidoras de energia elétrica. Portanto, é crível que essas ações auxiliem em uma transição energética justa sob o ponto de vista socioeconômico e ambiental.

Após este mapeamento, torna-se claro que as distribuidoras de energia elétrica podem trabalhar, e muito, em prol dos cenários de transição energética, promovendo (i) integração e segurança energética vinculada aos recursos energéticos distribuídos; (ii) ações de resposta da demanda e (iii) de eficiência energética, (iv) considerando potenciais de eletrificação da economia.

Ainda, é importante prevermos (v) sólidos investimentos em infraestrutura para smart metering e smart grids, promovendo ganhos operacionais; (vi) inclusive com redução das perdas não técnicas; (vii) com perspectivas para atualização das tarifas aplicáveis aos usuários de baixa tensão; (viii) bem como impulsionando a descarbonização da Amazônia; (ix) e investindo em ODS da ONU.

Em síntese, são muitas as abordagens que as distribuidoras de energia podem contribuir para a transição energética nacional.

As distribuidoras que atendem aos sistemas isolados têm a prerrogativa de possuírem ativos de geração, afinal, nestes locais tem-se um sistema integrado, verticalizado, ao contrário das distribuidoras que atuam interligadas ao SIN, cujos ativos devem ser exclusivos para a finalidade de distribuir energia.

*Lindemberg Nunes Reis é engenheiro eletricista, cursa atualmente mestrado em metrologia, inovação e smart grids na PUC-RJ, tem MBA em finanças pelo IBMEC-RJ e pós-graduação em sistemas de produção e refino de petróleo pelo SENAI-RJ. É formado em engenharia elétrica pela Universidade Federal de Juiz de Fora – MG e atualmente é Gerente de Planejamento e Inteligência de Mercado na ABRADEE e Coordenador do P&D de Governança de Sandboxes Tarifários.

30 FASCÍCULO
Figura 8 – Projetos de Sandboxes Tarifários no âmbito da 1ª Chamada Pública. Fonte: Elaboração própria. Figura 9 – Subsidiômetro e o impacto da CCC nos Encargos Setoriais. Fonte: ANEEL, Subsidiômetro. Consulta feita em 31 de maio de 2023.

Capítulo IV

R á eis enováveis Renováveis APOIO

Hidrogênio verde na transição para a indústria de carbono-zero no Brasil

31
ENERGIAS COMPLEMENTARES Ano 5 - Ed iç ão 70 / Maio-Junho de 2023

F ascículo H idrogênio V erde

Por: Expedito Parente Jr*

Capítulo IV H idrogênio verde na transição para a indústria

de carbono - zero

no b rasil

1 - HIDROGÊNIO VERDE – TODO ENTUSIASMO SE JUSTIFICA

Mais de 30 países lançaram nos últimos três anos suas estratégias de produção e uso de hidrogênio verde. E esse número cresce rapidamente. Quase três dezenas de empresas de grande porte formalizaram interesse em produzir hidrogênio verde e derivados no Brasil, representando investimentos de dezenas de bilhões de reais. Além de seu apelo ambiental, o hidrogênio verde tem fortes atributos econômicos. Um estudo do final de 2021 da consultoria Mckinsey projeta investimentos de 200 bilhões de dólares nos próximos 20 anos no Brasil e receitas anuais da ordem de 10 a 15 bilhões de dólares em 2040.

O Brasil tem atraído muitos investidores por apresentar uma combinação atípica de muitas vantagens: qualidade, intensidade e complementaridade do nosso vento e Sol, e uma vantagem locacional tão importante para um gás com complexidades técnicas no transporte.

É de se esperar que a economia de escala dos eletrolisadores para produção de hidrogênio verde será ainda mais acentuada ao longo dos próximos anos que o que se experimentou na energia eólica e solar. Estudos estimam que em dez anos, o Brasil tenha potencial para produzir hidrogênio verde abaixo de dois dólares por quilo, que é o custo médio do hidrogênio tradicional, podendo chegar até menos de um dólar por quilo até 2050, tornando-o não só uma alternativa de carbono-zero, mas também uma fonte de energia econômica.

A indústria de hidrogênio deverá produzir ainda um conjunto de externalidades com impactos socioeconômico e ambiental relevantes, tais como a geração de empregos diretos e indiretos, economia de divisas com a importação evitada de combustíveis, créditos de carbono, redução dos gastos com saúde pública devido a internações e óbitos associados à poluição, atração e dinamização de indústria de derivados.

Um programa de renda inclusiva a partir de geração distribuída de energia renovável para a indústria de hidrogênio verde poderá conferir um atributo social e ser uma atitude estratégica, inteligente e responsável.

2 - HIDROGÊNIO VERDE - VETOR DA DESCARBONIZAÇÃO DA INDÚSTRIA BRASILEIRA

O desenvolvimento da nascente indústria do hidrogênio verde faz parte de um movimento global de descarbonização gradual da economia como tentativa de conter os efeitos das mudanças climáticas no planeta causadas por emissões de gases do efeito estufa (GEE). O Brasil é um dos países que mais emitem GEE. Segundo o Inventário Nacional de Emissões dos Gases de Efeito Estufa, em 2016, ano da última avaliação, as emissões brasileiras totalizaram 1,47 bilhão de toneladas de CO2 equivalente. A indústria contribuiu com 275 milhões de toneladas de CO2eq, ou 19%, tendo crescido a um ritmo médio de 2,7% a.a. nos 25 anos anteriores.

A União Europeia, o Reino Unido, os Estados Unidos, entre outras nações industrializadas comprometeram-se com a ousada meta de ter suas indústrias neutras em carbono em 2050. Esforço análogo deve ser empreendido pelo Brasil, motivado por manter seu protagonismo como referência mundial com uma matriz energética segura, diversificada e predominantemente renovável. Trata-se de um desafio transversal que exige ações coordenadas em todos os setores da sociedade. A descarbonização da indústria não é apenas uma necessidade ambiental, mas também uma oportunidade para a inovação, o desenvolvimento de negócios e geração de renda.

A Figura 1 apresenta a estratificação das emissões de GEE industriais, cuja discussão será aprofundada adiante.

32

3 - HIDROGÊNIO E A DESCARBONIZAÇÃO DA INDÚSTRIA DE METALÚRGICA

A indústria metalúrgica compreende todas as atividades industriais relacionadas à produção de metais e ligas metálicas. É o setor industrial de maior contribuição nas emissões de GEE no Brasil. São responsáveis por 28% do consumo energético industrial e 24% das emissões industriais totais de GEE. O subsetor de maior relevância é na produção de ferro e aço, que representa 79% das emissões do setor metalúrgico. O carvão mineral representa 66% da fonte de energia na indústria metalúrgica brasileira, seguido por 16% da biomassa e 10% da eletricidade.

Pelo menos 95% das emissões de CO2 na produção de ferro e aço surgem em dois processos principais: redução química do minério de ferro para ferro e geração da energia térmica para conduzir os processos siderúrgicos. A redução de óxido de ferro em ferro é realizada pela reação com carvão mineral e ocorre tradicionalmente em altos-fornos, produzindo o ferro-gusa. O ferro-gusa é então refinado com a adição de oxigênio para produzir o aço, liberando mais gás carbônico. Alternativamente o minério de ferro pode ser processado por uma rota tecnológica mais moderna e sustentável, a DRI – Direct Reduction Iron. Nesse processo, o minério de ferro é reduzido diretamente em fornos com gás natural, sem a necessidade de passar pelo alto-forno. O EAF ou Forno a Arco Elétrico é um terceiro tipo de forno utilizado para produzir aço, só que a partir de sucata e outros materiais de ferro. Neste processo, a sucata é fundida usando a energia elétrica gerada pelo arco elétrico, que é formado entre os eletrodos e a sucata dentro do forno.

No Brasil, o gás natural representa apenas 8% da fonte de energia deste setor, contra 37% nos Estados Unidos, por exemplo. Isso demonstra uma forte participação dos processos de produção ferro via altos-fornos no Brasil, mais poluentes e ineficientes

que os fornos de redução direta DRI. O uso de hidrogênio, como mecanismo de descarbonização, pode, portanto, ocorrer como agente redutor nos fornos de redução direta, em substituição ao gás natural. O uso do hidrogênio em fornos DRI já existentes requer adaptações significativamente menores que para instalações de altos-fornos, em que seria necessária uma retrofit para convertêlos primeiramente em DRI.

Um outro papel potencial para o hidrogênio é como combustível para geração de energia elétrica renovável firme, não intermitente ou sazonal, especialmente nas siderúrgicas que trabalham como fornos de arco elétrico (EAF).

A indústria metalúrgica, exceto ferro e aço, em que se destaca a produção de alumínio, emite 21% das emissões de GEE do setor e 5% das emissões totais no Brasil. Sua principal fonte de energia é a eletricidade (45%), destacando a importância da eletrificação da indústria como um instrumento de descarbonização.

4 - HIDROGÊNIO E A DESCARBONIZAÇÃO DA INDÚSTRIA QUÍMICA E PETROLÍFERA

A indústria química no Brasil é uma das maiores do mundo e é composta por uma ampla variedade de empresas que produzem, desde derivados de petróleo, como gasolina, querosene, óleo diesel; produtos básicos, como ácido sulfúrico, soda cáustica e amônia, até produtos mais complexos, como polímeros, resinas e produtos farmacêuticos. Contribui com 21% das emissões de GEE da indústria nacional. Seu consumo energético é distribuído entre 34% de derivados de petróleo, subprodutos da indústria de refino e petroquímica, 31% de gás natural e outros 31% de eletricidade.

Numa perspectiva de curto prazo, um dos principais mecanismos de descarbonização desta indústria é na eficientização dos processos de geração de calor e eletricidade, a cogeração, onde o hidrogênio verde poderá exercer um papel relevante quando tornar-se economicamente competitivo. Os fabricantes de motores a combustão e turbinas estão testando e operando sistemas de cogeração em altas porcentagens de hidrogênio, em preparação para um futuro próximo promissor deste gás. As células a combustível são outra opção que pode atingir rendimentos elevados na cogeração.

Um outro papel importante do hidrogênio verde na descarbonização da indústria química, numa perspectiva de médio prazo, será sua penetração no setor químico em substituição do hidrogênio cinza, especialmente para a produção de amônia, metanol e outros produtos químicos. Atualmente o uso como insumo químico é a principal destinação do mercado de hidrogênio. 33% do hidrogênio são produzidos e consumidos nas refinarias de petróleo nos processos de hidrotratamento e hidrocraqueamento.

33
Figura 1 – Participação dos setores industriais nas emissões de GEE da indústria brasileira em 2016. Fonte: elaboração própria, com dados do Inventário Nacional de Emissões dos Gases do Efeito Estufa.

Outros 33% da produção de hidrogênio são destinados à produção de amônia. A produção de metanol é uma aplicação que vem ganhando força nos últimos anos. 95% de sua produção mundial de H2 ocorre pela reforma a vapor do gás natural e carvão.

Em uma perspectiva de longo prazo, a química do hidrogênio renovável deverá ser uma verdadeira plataforma industrial em substituição total ou parcial da indústria petroquímica. Uma indústria “hidrogeno-química” poderá prevalecer. A oferta de hidrogênio associada à oferta de gás carbônico, renováveis e de custos competitivos, será disparadora de um conjunto de processos industriais com versatilidade de se produzir e substituir praticamente qualquer derivado de petróleo. Metanol verde, etileno verde, propileno verde, gasolina verde, querosene de aviação, diesel, polímeros verdes, etc. Tudo tendo como origem o hidrogênio da água, sol e vento e gás carbônico da biomassa, da reciclagem dos produtos sintéticos ou mesmo da captura do ar.

O desenvolvimento deste mercado acelerará ainda o estímulo e a viabilização dos processos de captura, armazenagem e uso de CO2, permitindo a descarbonização de processos difíceis de abater, bem como a conquista de processos com carbono-negativo.

A maturidade tecnológica dos processos envolvidos nesta plataforma hidrogeno-química verde é relativamente alta. O desafio atual principal é econômico. Processos de gaseificação, pirólise e despolimerização da biomassa ou de plásticos reciclados, biodigestão de matéria orgânica, produção de biogás, reforma a vapor de biometano possuem elevado nível de maturidade tecnológica, alguns sendo empregados comercialmente há anos.

A transformação de hidrogênio e gás carbônico verdes em metanol é um processo industrial dominado. O processo MTO (Methanol-to-Olefin) é um método catalítico inovador utilizado para converter metanol em olefinas, extremamente versáteis como intermediários químicos para a produção de inúmeros derivados. Daí em diante, os processos à jusante são muito similares aos já consagrados pela indústria petroquímica.

Outros 33% da produção de hidrogênio são destinados à produção de amônia. A produção de metanol é uma aplicação que vem ganhando força nos últimos anos. 95% de sua produção mundial de H2 ocorre pela reforma a vapor do gás natural e carvão.

Em uma perspectiva de longo prazo, a química do hidrogênio renovável deverá ser uma verdadeira plataforma industrial em substituição total ou parcial da indústria petroquímica. Uma indústria “hidrogeno-química” poderá prevalecer. A oferta de hidrogênio associada à oferta de gás carbônico, renováveis e de custos competitivos, será disparadora de um conjunto de processos industriais com versatilidade de se produzir e substituir praticamente qualquer derivado de petróleo. Metanol verde, etileno verde, propileno verde, gasolina verde, querosene de aviação, diesel, polímeros verdes, etc. Tudo tendo como origem o hidrogênio da água, sol e vento e gás carbônico da biomassa, da reciclagem dos produtos sintéticos ou mesmo da captura do ar.

O desenvolvimento deste mercado acelerará ainda o estímulo e a viabilização dos processos de captura, armazenagem e uso de CO2, permitindo a descarbonização de processos difíceis de abater, bem como a conquista de processos com carbono-negativo.

A maturidade tecnológica dos processos envolvidos nesta plataforma hidrogeno-química verde é relativamente alta. O desafio atual principal é econômico. Processos de gaseificação, pirólise e despolimerização da biomassa ou de plásticos reciclados, biodigestão de matéria orgânica, produção de biogás, reforma a vapor de biometano possuem elevado nível de maturidade tecnológica, alguns sendo empregados comercialmente há anos.

A transformação de hidrogênio e gás carbônico verdes em metanol é um processo industrial dominado. O processo MTO (Methanol-to-Olefin) é um método catalítico inovador utilizado para converter metanol em olefinas, extremamente versáteis como intermediários químicos para a produção de inúmeros derivados. Daí em diante, os processos à jusante são muito similares aos já consagrados pela indústria petroquímica.

34
Figura 2 – Esquema da indústria verde do hidrogênio. Fonte: elaboração própria

5 - HIDROGÊNIO E A DESCARBONIZAÇÃO DA INDÚSTRIA MINERAL

A indústria mineral no Brasil consiste na extração e processamento de uma ampla variedade de minerais metálicos e não-metálicos. Contribui em 20% das emissões de GEE da indústria nacional. Seu maior consumo energético é de óleos combustíveis derivados de petróleo, representando 58% do consumo energético total do setor mineral, seguidos pela eletricidade, 25%. A indústria do cimento é o grande destaque em termos de emissão de GEE, representando metade das emissões da indústria mineral e 80% do consumo de derivados de petróleo deste setor.

O cimento é produzido a partir da extração e processamento principalmente do calcário e argila. A etapa de clinquerização, processo termoquímico em altas temperaturas (> 1.400 oC) é onde ocorre a formação do clínquer, que é o principal componente do cimento. As principais fontes de calor utilizadas na clinquerização são combustíveis fósseis, como o carvão mineral, o coque de petróleo e o óleo combustível, para gerar calor.

O hidrogênio verde pode desempenhar um papel importante na substituição dos combustíveis fósseis utilizados na clinquerização. Assim como no processo de produção ferro, o hidrogênio verde pode ser utilizado não apenas como fonte de calor, mas também diretamente na redução do clínquer em substituição ao carvão. A utilização do hidrogênio como agente redutor também apresenta a vantagem de produzir cimentos com maior resistência e durabilidade, e de reduzir a formação de NOx e SOx.

Por outro lado, 60% das emissões de CO2 da produção de cimento ocorrem devido à decomposição química do calcário em cal. Ou seja, a substituição de combustíveis fósseis por hidrogênio não seria capaz de abater. Neste e em casos similares, os mecanismos de descarbonização em desenvolvimento são os processos de Captura, Armazenamento e Uso de CO2 (CAUC, ou CCSU em inglês) pós-clinquerização.

O hidrogênio verde tem um papel de estímulo ao desenvolvimento da CAUC, pois a oferta de ambos, hidrogênio e CO2 renováveis são disparadores da indústria hidrogeno-química mencionada no tópico 4, acima, agregando valor ao CO2 capturado.

Outra importante contribuição potencial do hidrogênio verde se dá pela oferta de oxigênio gerada na eletrólise da água. A produção de uma tonelada de hidrogênio verde necessariamente produz nove toneladas de oxigênio. As aplicações do gás oxigênio existentes não são capazes de absorver todo o volume da produção potencial trazida pelo desenvolvimento da indústria de H2V. A tecnologia da Oxicombustão consiste no uso de oxigênio puro em

substituição total ou parcial do ar como comburente dos processos termoquímicos. Além de melhorar a eficiência energética dos processos de combustão, gera gases de escape muito ricos em CO2 (vez que não há diluição com o gás nitrogênio presente do ar e vez que evita a formação de gases indesejados). Com isso, os processos de captura de CO2 são significativamente facilitados, reduzindo seu custo. Algumas experiências de oxicombustão completa em fornos de clínquer nos Estados Unidos e Europa obtiveram resultados de captura de até 99% do CO2 gerado.

6 - HIDROGÊNIO E A DESCARBONIZAÇÃO DO SETOR DE GERAÇÃO DE ENERGIA ELÉTRICA

O papel mais evidente do hidrogênio verde na descarbonização do setor elétrico é o seu uso como combustível renovável para geração de eletricidade pelo ciclo combinado tradicional. Fornecedores de turbina estão cada vez mais investindo nas adequações das turbinas a gás natural para receberem misturas crescentes de hidrogênio até o limite do hidrogênio puro.

Adicionalmente, o hidrogênio verde é ainda um forte promotor das energias eólica e solar. É uma estratégia de expansão, diversificação, verticalização e agregação de valor ao setor eólico e solar no Brasil e no Mundo, vez que representa o acesso do setor elétrico para o mercado de combustíveis, que, em termos energéticos, é mais de quatro vezes maior que o de eletricidade no Brasil.

O hidrogênio poderá ser, além disso, o disparador de uma nova modalidade de energia: energia renovável firme, despachável. A expansão das energias eólica e solar tem trazido benefícios para a matriz elétrica nacional, mas também duas debilidades: a necessidade de um superdimensionamento das redes de transmissão para suportar os momentos de pico de sol e vento e a necessidade de investimentos em geração despachável para os momentos de baixa incidência solar e baixa ocorrência de ventos. As termelétricas a gás natural têm sido a opção de energia elétrica despachável mais competitiva, no entanto mais caras e poluentes que a eólica e solar. O hidrogênio verde, como forma de armazenagem de energia renovável, deverá ser um mecanismo de otimização do sistema de transmissão e de estabilização do suprimento de energia elétrica, cada vez mais necessário com a expansão das energias eólico e solar.

7 - HIDROGÊNIO E A DESCARBONIZAÇÃO DOS TRANSPORTES

O transporte de mercadorias industriais é a segunda atividade industrial que mais contribui as emissões de GEE pela indústria (23%). Destaque no Brasil o transporte rodoviário.

36

A ascensão do veículo elétrico por célula-combustível será outro disparador para a escalada do hidrogênio verde. Por serem bem mais eficientes que os motores a combustão, nestes veículos, um quilo hidrogênio tem a mesma energia que aproximadamente 4 litros de óleo diesel. As tecnologias atuais, cada vez mais eficientes e compactas, já permitem autonomia comparável aos veículos a combustão interna e podem ser reabastecidos rapidamente. Esta aplicação esbarra na oferta de hidrogênio e na infraestrutura de abastecimento incipientes.

Hidrogênio pode ser produzido de forma descentralizada,

reduzindo a ineficiência da logística de combustíveis trazida pela concentração da produção de petróleo ou gás natural em determinadas regiões. Hidrogênio deverá ser ainda um importante insumo para a produção de biocombustíveis (HVO e metanol verde para biodiesel).

Por fim, o hidrogênio verde associado a uma fonte de carbono renovável poderá ser insumo para a produção de eletrocombustíveis ou hidrocarbonetos verdes, que poderão ser fracionados em óleo diesel verde, para uso em motores a combustão tradicionais, conforme descrito no item 4 deste artigo.

37
Figura 3 – Síntese das contribuições do H2V na descarbonização das indústrias de maior emissão de GEE no Brasil. Fonte: Elaboração própria

8 - DESAFIOS

O mercado energético é tipicamente um setor puxado pela demanda. O estabelecimento de mecanismos inteligentes de geração e garantia de demanda por hidrogênio verde é um desafio inicial. Mais demanda trará maior escala de produção, que resultará em menores custos de produção, que oferecerão maior competitividade a esta fonte energética, que motivará mais demanda...

Uma indústria nascente como a do hidrogênio verde carece de um pacote de regulação que dê previsibilidade aos investidores, consolide os fatores de competitividade aos empreendimentos, internalize as externalidades positivas desta indústria, defina os padrões técnicos, garanta a segurança e a qualidade aos consumidores, reconheça a versatilidade do hidrogênio verde e seus derivados energéticos e não-energéticos.

As projeções de produção de hidrogênio verde para os próximos 20 anos estimam que teremos que pelo menos dobrar nossa capacidade instalada de geração de energia elétrica. Isso requererá investimentos massivos em infraestrutura de transmissão e distribuição adequada a uma participação cada vez mais concentrada de geração renovável, sujeita a suas sazonalidades.

O negócio do hidrogênio verde é um negócio de custo de capital. Todas as vantagens comparativas do Brasil poderão ser desperdiçadas por termos um dos maiores juros reais do mundo. Instrumentos financeiros deverão ser desenhados para assegurar a competitividade desta indústria.

Um outro desafio importante será a consolidação do mercado de carbono como instrumento de aceleração de viabilidade econômica, de mensuração e rastreabilidade da descarbonização resultante da cadeia de valor do hidrogênio verde.

Praticamente todas as contribuições do H2V mencionadas neste artigo são técnicas não consagradas ou de domínio pleno da indústria, por se tratarem de rotas até então sem sentido econômico, vez que não há atualmente oferta de suprimento seguro de hidrogênio nesta escala, bem como os custos de hidrogênio ainda são proibitivos. Com isso, a indústria de hidrogênio verde detém ainda desafios tecnológicos, especialmente na armazenagem e transporte, na adaptação da infraestrutura já existente, no ganho de escala da produção e uso, no desenvolvimento de novos processos e produtos.

A boa notícia é que muitos dos desafios trazem forte similaridade com a trajetória percorrida no desenvolvimento da indústria de biocombustíveis no Brasil, da qual somos líder

mundial. Importante uma ação coordenada para aproveitar as lições aprendidas, compreender os caminhos mais fáceis, as medidas que tiveram maior impacto, necessidade de customizações às realidades locais e atuais.

O desenvolvimento da indústria do hidrogênio e toda sua cadeia de valor poderão multiplicar o montante de investimento privado nos próximos anos para um patamar pouco visto antes. Tão ou mais importante que os empreendimentos a serem implementados será o rastro que o desenvolvimento da indústria de hidrogênio verde deverá ocasionar no Brasil.

Fontes:

• Agência Nacional do Petróleo, Gás Natural e BiocombustíveisAnuário Estatística da ANP 2022.

• Empresa de Pesquisas Energéticas - Balanço Energético Nacional 2022.

• European Commission – A Clean Planet for All. A European Strategic Long-Term Vision for a Prosperous, Modern, Competitive and Climate Neutral Economy, 2018.

• Instituto de Pesquisa Econômica Aplicada – Panorama do Hidrogênio no Brasil, 2022.

• International Energy Agency – Net Zero by 2050. A Roadmap for the Global Energy Sector, 2021.

• International Renewable Energy Industry – Green Hydrogen for Industry. A Guide for Policy Making, 2022.

• Ministério de Ciência, Tecnologia e Inovação – Resultados do Inventário Nacional de Emissões de Gases de Efeito Estufa por Unidade Federativa, 2021.

• Ministério de Minas e Energia - Anuário Estatística da Energia Elétrica 2022.

• UK Ministry of State for Business, Energy and Clean Growth –Industrial Decarbonisation Strategy, 2021.

• US Department of Energy – Industrial Decarbonization Roadmap, 2022.

• European Commission – A Clean Planet for All. A European Strategic Long-Term Vision for a Prosperous, Modern, Competitive and Climate Neutral Economy, 2018.

• Expedito Parente Jr., mestre em engenharia química, experiência de 20 anos na indústria de biocombustíveis, tendo ocupado diversas funções em importantes corporações no Brasil e no exterior. É atualmente Diretor de Suporte a Infraestrutura e Patrimônio da Agência de Desenvolvimento do Estado do Ceará (ADECE).

38

Armazenamento de energia: impactos ISA para o setor elétrico brasileiro

Armazenamento de energia: impactos do projeto da ISA CTEEP para o setor elétrico brasileiro

Implementado no período recorde de um ano, sistema foi instalado na Subestação Registro, uma das responsáveis pelo abastecimento do Litoral Sul de São Paulo

no recorde de um ano, sistema foi instalado na Subestação Registro, uma das responsáveis pelo abastecimento do Litoral Sul de São Paulo

Reportagem
40 O Setor Elétrico / Maio-Junho de 2023

Em março deste ano, foi inaugurado o primeiro projeto de armazenamento de energia em baterias em larga escala do sistema de transmissão do Brasil. Situada na subestação de Registro, no interior de São Paulo, a iniciativa pioneira desenvolvida pela ISA CTEEP, empresa brasileira de transmissão de energia elétrica, representa um marco importante para o setor elétrico do país e para a transição energética em andamento.

Para entender melhor o projeto e seus efeitos, a revista O Setor Elétrico conversou com Dayron Urrego, diretor executivo de Projetos da ISA CTEEP, que compartilhou suas perspectivas acerca deste empreendimento promissor.

O início

Urrego explica que as discussões sobre a implantação desta tecnologia começaram em 2019, no Grupo de Trabalho do Litoral do Estado de São Paulo, liderado pela Empresa de Pesquisa Energética (EPE), pelo Operador Nacional do Sistema Elétrico (ONS) e pelo Ministério de Minas e Energia (MME), que contou com a participação ativa da ISA CTEEP.

“O caso concreto deste primeiro projeto de armazenamento de energia em larga

escala do sistema de transmissão brasileiro foi uma solução proposta pela ISA CTEEP ao citado Grupo de Trabalho para evitar interrupção no fornecimento de energia devido ao excesso de demanda no Litoral Sul do Estado de São Paulo, principalmente no período do verão, garantindo maior segurança e confiabilidade na prestação do serviço à sociedade, assim como ampliar a integração de fontes renováveis”, afirma o gestor.

Para a elaboração do projeto, a empresa de transmissão fechou acordo com o consórcio formado pela You.On Energia, especializada em sistemas de armazenamento de energia (BESS), e pela TS Infraestrutura, executora de obras de engenharia e infraestrutura, com a geração de 250 empregos diretos durante as obras. As baterias implantadas foram fabricadas pela CATL, considerada uma das maiores fornecedoras mundiais deste tipo de equipamento.

Características

Implementado no período recorde de um ano, o projeto foi instalado na Subestação Registro, uma das responsáveis pelo abastecimento do Litoral Sul de São Paulo, e evitou que fossem acionados geradores a

diesel (uso equivalente de 350 mil litros do combustível). “Além de não ser poluente, a tecnologia não causa o mesmo ruído dos geradores e elimina o transporte de diesel para manter o contínuo abastecimento dos equipamentos, o que também contribui para a descarbonização do sistema”, destaca Urrego.

O empreendimento conta com mais de 180 racks de baterias de lítio importados da China e instalados em uma área de aproximadamente 5 mil m², o equivalente à metade de um campo de futebol. Além de baterias, o escopo do projeto traz inversores, transformadores, softwares de gestão de energia e sistemas de automação, proteção e controle.

Com 30 MW de potência, os sistemas de armazenamento são capazes de entregar 60 MWh de energia por duas horas e atuar nos momentos de pico de consumo do Litoral Sul Paulista, durante o verão, como um reforço à rede elétrica, assegurando fornecimento adicional.

“Durante a madrugada, com o consumo de energia reduzido, a carga excedente no sistema é armazenada. Durante a tarde e no início da noite, quando a demanda supera a capacidade do sistema, as baterias podem ser acionadas caso seja necessário. Na prática, isso significa que a tecnologia evita interrupção no fornecimento de energia devido ao excesso de demanda deste período e, portanto, traz maior segurança e confiabilidade na prestação do serviço à sociedade”, aponta o diretor. Estima-se que cerca de dois milhões de pessoas sejam diretamente beneficiadas por esse empreendimento.

Em operação desde novembro de 2022, o projeto realizou o primeiro peak shaving em 31 de dezembro, às 19h21 – isto é, houve a primeira descarga de energia armazenada no sistema de transmissão para reduzir o pico de carga e evitar a interrupção no fornecimento.

41 O Setor Elétrico / Maio-Junho de 2023
Imagem: Divulgação/ISA CTEEP

Desafios e oportunidades

Evidentemente, a implementação de uma iniciativa de magnitude tão significativa exige uma abordagem eficaz para superar alguns contratempos inesperados, como menciona Urrego. “Na construção do projeto, a ISA CTEEP lidou com alguns desafios, sobretudo, na importação das baterias em função da pandemia, que dificultou o acompanhamento de testes na fábrica, o que foi realizado por vídeo na época e, posteriormente, refeito em campo. A companhia também contou com o apoio da Agência Nacional de Energia Elétrica (Aneel) e do MME para a viabilização do projeto.”

O diretor executivo também revela que a idealização da estrutura pioneira surgiu como resultado de um outro desafio significativo enfrentado pela empresa. “Em 2014, foi realizado um leilão de transmissão, no qual um dos lotes, arrematado por outra empresa, previa a construção da subestação Manoel da Nóbrega, sendo essa obra a solução estrutural para o Litoral Sul. Em função de desafios ambientais, tal obra atrasou significativamente e, com o crescimento de carga da região, foi identificado o esgotamento do sistema de transmissão do Litoral Sul do Estado de São Paulo,

sobretudo, no período de verão, em que são observadas elevadas pontas de carga, em função da vocação turística da região”, explica.

Diante disso, o Grupo de Trabalho do Litoral do Estado de São Paulo, liderado pela EPE, pelo ONS e pelo MME, com participação da ISA CTEEP, realizou análises e chegou em duas alternativas finais para resolver o problema, até que a obra estruturante fosse finalizada: a implementação do projeto de armazenamento de energia ou o uso de geradores a diesel associados a transformadores defasadores. “Essas duas soluções apresentaram um custo semelhante.

Contudo, em função da velocidade de implantação, sustentabilidade e inovação da alternativa composta pelas baterias, essa foi a solução recomendada pelo planejamento setorial.”

“Por fim, em relação à escolha da Subestação Registro para a implantação da solução de armazenamento de energia, todas as subestações de transmissão do Litoral Sul do Estado de São Paulo foram avaliadas, sendo o fator determinante para a escolha da Subestação Registro a possibilidade de implantar a solução mais rapidamente, por meio da disponibilidade de terreno existente para uso no projeto, o que permitiu prescindir de aquisição de nova área, assim como de licenciamento ambiental”, complementa o engenheiro.

Armazenamento de energia e o futuro do setor elétrico

O gestor de projetos da empresa paulista de transmissão de energia também enfatiza o que considera ser outra importante contribuição decorrente dessa iniciativa: a aceleração da transição energética, tema amplamente discutido em todo o mundo. “À medida em que atua na compensação da variabilidade de geração de energia intermitente, o sistema de armazenamento de energia eleva a integração das fontes

Reportagem 42 O Setor Elétrico / Maio-Junho de 2023
Com 30 MW de potência, os sistemas de armazenamento são capazes de entregar 60 MWh de energia por duas horas. Imagem: Divulgação/ISA CTEEP
CTEEP
O empreendimento conta com mais de 180 racks de baterias de lítio instalados em uma área de aproximadamente 5 mil m², o equivalente à metade de um campo de futebol. Imagem: Divulgação/ ISA

eólica e solar ao Sistema Interligado Nacional (SIN) e, por consequência, reduz as emissões de Gases de Efeito Estufa (GEE).”

“Além de ser um grande laboratório setorial, com capacidade de permitir que o país avance ainda mais em tecnologias e conexões de fontes renováveis, esse primeiro projeto de armazenamento de energia em larga escala do sistema de transmissão brasileiro será um catalisador da nossa transição energética em direção a uma matriz energética muito mais limpa”, acrescenta.

Outros benefícios do projeto, segundo o executivo, estão na redução que as baterias podem gerar nos custos de operação e expansão de sistema (uma vez que permitiriam a postergação da construção de grandes linhas de transmissão); o aumento da integração de fontes energéticas econômicas; e a possibilidade de reutilização em outros pontos estratégicos da rede que precisem de reforço no sistema elétrico, devido à sua rápida implantação, mobilidade

e modularidade.

“Sem transmissão, não há transição. Por isso, permitir a rápida conexão entre os parques geradores limpos e os centros de consumo é essencial”, conclui o diretor.

Com relação aos impactos ambientais positivos, a ISA CTEEP projeta que a tecnologia evitará a emissão de 1.194 toneladas de gases do efeito estufa (GEE) em dois anos de operação.

43 O Setor Elétrico / Maio-Junho de 2023

Dispositivos Elétricos de proteção, manobra e comando BGT/MT

Os dispositivos elétricos de proteção, manobra e comando BGT/MT são componentes utilizados em sistemas elétricos de média e alta tensão. Esses dispositivos desempenham funções importantes para garantir a segurança e a operação adequada desses sistemas.

Entre os dispositivos estão o de proteção, cuja função é detectar e interromper a corrente elétrica em situações anormais, como curtos-circuitos, sobrecargas ou falhas à terra. São eles os responsáveis por garantir que o sistema elétrico seja desligado rapidamente para evitar danos aos equipamentos e, sobretudo, para proteger as pessoas contra riscos elétricos.

Já os dispositivos de manobra são utilizados para controlar a operação do sistema elétrico, como ligar e desligar

Telefone

0800 014 9111

(11) 5555-3800

(11) 3266-7786

(31) 3689-9500 (41) 3029-1144 (11) 2937-4650 (41) 3383-9290

(16) 3103-2021

(11) 2198-1288

(11) 2384-0155

(11) 5683-5700

(11) 4689-3000

(15) 3335-1382

(11) 5094-3200

(11) 3871-6400

(44) 3233-8500

(80) 0728-9110

(19) 3515-2000

(54) 2101-7000 (54) 3461-8200

(19) 3424-4000

(47) 3276-4000

(11) 4366-9600

Site

www.new.abb.com/br

www.apscomponentes.com.br

chintglobal.com.br

www.clamper.com.br

www.decorlux.com.br

www.dlight.com.br

www.elos.com.br

www.embrastec.com.br

www.krausnaimer.com.br

www.mediatensao.com.br

www.metaltex.com.brf

www.mitsubishielectric. com.br/ia

www.obo.com.br

www.pextron.com.br

www.phoenixcontact.com.br

www.romagnole.com.br

www.se.com/br

www.selinc.com

www.soprano.com.br

www.tramontina.com

www.varixx.com.br

Cidade

SÃO PAULO

SÃO PAULO

SÃO PAULO

LAGOA SANTA

CURITIBA

GUARULHOS

CURITIBA

RIBEIRÃO PRETO

COTIA

GUARULHOS

SÃO PAULO

BARUERI

SOROCABA

SÃO PAULO

SÃO PAULO

MANDAGUARI

SÃO PAULO

CAMPINAS

CAXIAS DO SUL

CARLOS BARBOSA

PIRACICABA

JARAGUÁ DO SUL DIADEMA

O Setor Elétrico / Maio-Junho de 2023 44 Guia setorial
Empresa Principal
Principal segmento de atuação
canal de vendas
UF SP SP SP MG PR SP PR SP SP SP SP SP SP SP SP PR SP SP RS RS SP SC SP
www.weg.net Industrial X X X X X X X X X X X X X X X X X X X X X Distribuidora X X X X X X X Serviços (manutenção, montagem de painéis, etc.) X X Comercial X X X X X X X X X X X X X X Revendas/Varejistas X X X X X X X X X X X X X X X X X X X Exporta produtos acabados X X X X X X X X X X X X X X X X Venda direta ao cliente final X X X X X X X X X X X X X X X X X X X X Importa produtos acabados X X X X X X X X X X X X X X X X X Fabricante X X X X X X X X X X X X X X X X X X X Telemarketing X X X X X X Internet X X X X X X X X X X X X Distribuidores/Atacadistas X X X X X X X X X X X X X X X X X X X X Possui programas na área de responsabilidade social X X X X X X X X X X X X X X X X X X X Residencial X X X X X X X X X X X Oferece treinamento técnico para os clientes X X X X X X X X X X X X X X X X X X X X X X X Montadores de painéis X X X X X X X X X X X X X X X X X Possui certificado ISO 14001 (ambiental) X X X X X X X X X X Possui serviço de atendiemnto ao cliente por telefone e/ou internet X X X X X X X X X X X X X X X X X X X X X X X Possui certificado ISO 9001 (qualidade) X X X X X X X X X X X X X X X X X X X X Tem corpo técnico especializado para oferecer suporte ao cliente X X X X X X X X X X X X X X X X X X X X X X X Disjuntores BT X X X X X X X X X X X X Mini-disjuntores X X X X X X X X X X X X Caixa moldada Disjuntor-motor X X X X X X X X X X X X X X X X X X X X X X Abertos Acessórios para disjuntores X X X X X X X X X X X X X X X X X Outros Dispositivos De proteção De baixa tensão EMPRESA ABB ELETRIFICAÇÃO APS COM. ELÉTRICOS CHINT CLAMPER DECORLUX MAT. ELÉTRICO D'LIGHT ELOS EMBRASTEC KRAUS & NAIMER MÉDIA TENSÃO METALTEX MITSUBISHI ELECTRIC OBO BETTERMANN PEXTRON PHOENIX CONTACT ROMAGNOLE SCHNEIDER ELECTRIC SEL SOPRANO TRAMONTINA ELETRIK VARIXX WEG WEIDMÜLLER CONEXEL

circuitos, realizar manobras de transferência de carga, conectar ou desconectar equipamentos elétricos, dentre outras funções.

Já os dispositivos de comando são utilizados para enviar sinais de controle aos dispositivos de manobra, permitindo a ativação ou desativação dos mesmos. Em geral, esses dispositivos incluem botões, chaves, painéis de controle e sistemas de automação. Eles fornecem a interface para que os operadores possam controlar e monitorar o sistema elétrico de maneira adequada e segura. Vale ressaltar que esses dispositivos são específicos para sistemas de média e alta tensão, geralmente utilizados em subestações, usinas de geração de energia e outras instalações elétricas de grande porte. Escolhê-los e aplicá-los corretamente é fundamental para garantir a confiabilidade e a segurança do sistema elétrico.

A pesquisa setorial desta edição é dedicada a este segmento. Nas tabelas publicadas a seguir o leitor encontrará uma relação atualizada de fabricantes e distribuidores, feita a partir de um levantamento realizado com dezenas empresas da área. Além disso, destaca os segmentos de atuação de cada fornecedor, bem como canais de vendas, certificações e informações sobre atendimento ao cliente.

Confira o guia setorial na íntegra:

O Setor Elétrico / Maio-Junho de 2023 45 DISPOSITIVOS DE COMANDO, CONTROLE, SECCIONAMENTO, ACIONAMENTO E SINALIZAÇÃO DE BAIXA TENSÃO DISPOSITIVOS DE PROTEÇÃO DE BAIXA TENSÃO Fusíveis BT Relés BT Chaves de transferência BT Dispositivos BT Chaves BT Iluminação BT Tipo D X X X De proteção Eletromecânicos X X X X X X X X X X X X X X X X X X X Tipo cartucho X X X X X X X X X X X X X X X De proteção Eletrônicos Acessórios para fusíveis X X X X X X X X X X Outros X X X X X X X X X Especiais X X X X X X X X X X X X X X Tipo NH X X X X X X X X X X X X De subtensão X X X X X X X X X X X De falta à terra X X X X X X X X X X X X X X X X X De proteção contra Surtos (DPS) X X X X X X X X X X X X X X Diferenciais Residuais (DR) X X X X Fotoelétricos X X X X X X X X X X Automática X X X X X X X X X Comutadora X X X X X X X X X X X X Seccionadora X X X X X X X X Variador de luminosidade X X X X X X X X X Seccionadora fusível X X X X X X X X X Fusível X X X X X X Religadora X X X X X X X Minuteria X X X X X X X X X Reversora X X X X X X X X Interruptor para iluminação X X X X X X X X X X X X X Manual Relés MT Dispositivos MT Outros BT Motor BT Botoeira X X X X X X X X X X X X X X X X X X Chave fim de curso Contato X X X X X X X X X Relé de Impulso X X X X X X X X X X X X X X X X X X X X X X X X Temporizador Acessórios para disjuntores X X X X X X X X X X X X X X X X X X Fusíveis X X X X X X X X X X Disjuntores X X X X X X X X X X Sensores em geral X X X X X X X X X X X X X Sinalizadores em geral X X X X X X X X X X X Programador horário X X X X X X X X Acessórios para fusíveis X X X X X X X Pára-raios X X X X X X X X X De subtensão X X X X X X X X X Outros relés de proteção eletromecânicos/ Eletrônicos X X X X X X X X X De falta à terra DISPOSITIVOS DE PROTEÇÃO E SECCIONAMENTO DE MÉDIA TENSÃO X X X X X X X X X X X X X Chave de partida de motor X X X X X X X X X X Inversor de freqüência X X X X X X X X X X Soft starter

Aterramento de blindagens de cabos de energia

Os circuitos de média tensão em parques eólicos e usinas fotovoltaicas (UFV) operam em 34,5 kV com uma potência média de 17 MW/circuito. A extensão destes circuitos varia de algumas centenas de metros a alguns quilômetros, sendo tipicamente aplicados dois tipos de aterramento - single bonding e solid bonding.

As blindagens são dimensionadas para faltas fase-terra núcleo-blindagem, dimensionamento este que considera a corrente de curto-circuito monofásica, tempo de atuação da proteção e o material do condutor (cobre ou alumínio). O gráfico da Figura 1 apresenta a máxima corrente suportável de curto-circuito x seção da blindagem de alumínio, para dois tempos de atuação da proteção (0,5 s e 1 s), considerando a condição adiabática (critério conservativo, em que não ocorre troca de calor com o solo durante todo o evento de falta para a terra).

aterramento do tipo solid bonding, pois haverá corrente circulando no cabo e uma “redução” de sua ampacidade. Nas Figuras 2 e 3 são apresentadas duas simulações de correntes nas blindagens em condição de regime permanente, para cabos de 20/35 kV com 16 mm² e 25 mm², respectivamente. Verifica-se que as blindagens de maior seção transportam correntes mais elevadas em condição normal de operação. Observa-se que as correntes no início e no fim das blindagens são diferentes devido à contribuição da corrente capacitiva ao longo de toda a extensão do circuito.

As subestações coletoras das plantas de geração renovável são geralmente projetadas considerando um resistor de aterramento no lado de baixa tensão do transformador elevador, para limitar as correntes de curto-circuito monofásico em torno de 1 kA, compatível com uma blindagem da ordem de 6 mm². A seção da blindagem afeta as perdas no circuito, no caso do

As Figuras 4 e 5 apresentam circuitos com aterramento das blindagens do tipo single bonding, para comprimentos de 2 km e 6 km. No caso do circuito mais curto verifica-se uma tensão induzida na blindagem de 32 V; no caso do circuito mais comprido a tensão na blindagem atinge 118 V, superando o limite de 90 V recomendado pela IEEE 575.

46
Espaço Aterramento
Figura 1 – Corrente de falta para a terra x seção da blindagem [WC]. Figura 2 – Distribuições de corrente ao longo do circuito de média tensão, aterramento solid bonding, blindagem 16 mm² [WC]. Figura 3 – Distribuições de corrente ao longo do circuito de média tensão, aterramento solid bonding, blindagem 25 mm², fonte: autores.

A seleção do tipo de aterramento de cabo isolado de média tensão deve ser realizada com o compromisso sistêmico, considerando as correntes a serem transportadas, as quedas de tensão e níveis de curto-circuito, a disposição física (trifólio, flat etc.). O impacto do tipo de aterramento deve ser avaliado, com a determinação das correntes circulantes e tensões induzidas nas blindagens em diferentes condições operativas (regime permanente, curto-circuito e transitórios).

*Paulo Edmundo da Fonseca Freire é engenheiro eletricista e mestre em Sistemas de Potência (PUC-RJ). Doutor em Geociências (Unicamp) membro do Cigre e do Cobei, além de atuar como diretor da Paiol Engenharia.

*Wagner Costa é engenheiro eletricista pela Universidade Federal de Pernambuco (UFPE), É mestre e doutorando em engenharia elétrica pela Unicamp, além de membro do Comitê de aterramentos elétricos na ABNT e no Cigré.

47
Figura 4 – Tensões induzidas nas blindagens do circuito de média tensão, aterramento single bonding, 2 km, fonte: autores. Figura 5 – Tensões induzidas nas blindagens do circuito de média tensão, aterramento single bonding, 6 km fonte: autores.

A temática do compartilhamento de responsabilidade sobre os fenômenos que afetam a Qualidade da Energia Elétrica (QEE) em sistemas multiagentes e que, portanto, compartilham o mesmo ponto de acoplamento comum (PAC) desperta grandes interesses e tem motivado investigações na busca de metodologias eficazes, simples e factíveis para uso em campo. O assunto, como um todo, se mostra de interesse diante de condições operativas atreladas com a violação dos padrões definidos pelos agentes reguladores e a necessidade de implementação de medidas mitigatórias.

De fato, ao se considerar um determinado ponto de medição, resta que este se apresenta fisicamente constituído por um barramento de fronteira (PAC) entre dois agentes. Um a montante deste ponto, aqui tratado como supridor, que se apresenta constituído por uma rede elétrica compreendendo sistemas de transmissão, distribuição e consumidores, e outro, constituído por uma área elétrica nos mesmos moldes, porém a jusante do barramento em questão, sendo este último, normalmente, um consumidor industrial ou outro.

Nestes termos, caso haja violação dos indicadores de qualidade da energia, certamente isso irá requerer a implementação de medidas corretivas

para o atendimento aos padrões de qualidade regulamentados. Assim, poderão ocorrer questionamentos sobre as parcelas de responsabilidade pelos valores totais dos indicadores de qualidade encontrados, e, para dirimir tais questões, emerge a necessidade de mecanismos para a identificação quantitativa das contribuições das partes. Assim procedendo, estar-se-á proporcionando meios que facilitariam os entendimentos, quer pelo lado técnico como financeiro, e, por conseguinte, eventuais litígios entre os agentes seriam evitados.

Objetivando atender à questão do indicador de desequilíbrio, uma das primeiras estratégias apresentadas recebeu a designação de Método da Corrente Conforme e Não Conforme (CCNC). Esse procedimento consiste na decomposição da corrente em duas componentes. Uma denominada corrente conforme, que reproduz o mesmo padrão de comportamento da tensão de alimentação e é de responsabilidade do supridor. Outra chamada de corrente não conforme, que produz desequilíbrios adicionais àqueles presentes na tensão de suprimento, sendo esta parcela atribuída à unidade consumidora.

Um outro procedimento destinado

O Setor Elétrico / Maio-Junho de 2023
48 Espaço SBQEE
Análise de desempenho das técnicas para o compartilhamento de responsabilidade dos desequilíbrios de tensão
(*Por Vinícius Henrique Farias Brito; Márcio Arvelos Moraes; Bárbara Morais Gianesini; José Carlos de Oliveira e Raquel Cristina Filiagi Gregory

ao mesmo fim se apresenta sob a denominação de Método do Fluxo de Potência Trifásico (FPT). Esse procedimento utiliza as tensões e correntes de sequência negativa para calcular a potência de sequência correspondente. Através da direcionalidade do fluxo de potência de sequência negativa, comparativamente à positiva, determina-se o principal agente contribuinte para o desequilíbrio total no PAC. Por conseguinte, esta proposição destina-se tão apenas a identificar a origem dominante do indicador de qualidade da energia em análise.

Com o mesmo objetivo surgiu o relatório técnico TR IEC 61000.3.13.

O método possui embasamento na medição do fator de desequilíbrio (FD) de tensão no PAC, em sua forma complexa, antes e, após a conexão do agente consumidor no PAC. O FD pré-conexão representa as contribuições da rede de acesso, enquanto a diferença entre o FD pós-conexão e pré-conexão representa a contribuição do consumidor.

Um outro procedimento foi estabelecido com base no clássico conceito da superposição de efeitos. O processo representa os agentes supridor e consumidor através de seus circuitos equivalentes de Norton de sequência negativa e a contribuição de cada um é determinada em consonância com procedimentos tradicionais da composição dos efeitos individuais. Assim, com base nas tensões e correntes no ponto de análise, juntamente com as informações das impedâncias do sistema, é possível determinar os percentuais

de responsabilidade entre as partes envolvidas. Não obstante a aparente simplicidade, sua aplicação prática encontra fortes barreiras atreladas ao conhecimento das impedâncias de sequência negativa equivalentes das partes.

Objetivando contornar as dificuldades acima mencionadas para o uso do Método da Superposição, foi então proposta uma evolução do processo, de forma a torná-lo factível ao uso prático. Isto resultou no denominado Método da Mudança de Estado Controlada (MEC). Essa estratégia é fundamentada na inserção de uma fonte conhecida de desequilíbrios, a exemplo de um banco de capacitores monofásico, a qual provoca alterações no estado operacional do complexo elétrico. Assim procedendo, através de medições conduzidas no PAC, sem e com a denominada fonte controlada,

é estabelecida uma estratégia que contorna a necessidade das já mencionadas impedâncias de sequência negativa.

Visando elucidar a efetividade dos procedimentos supra postos, procede-se, na sequência, uma avaliação do desempenho dos mesmos utilizando o sistema elétrico ilustrado na Figura.

1. Este é baseado no Benchmark IEEEHCD desenvolvido pela Força Tarefa do IEEE, o qual, para fins desta análise, foi alvo de modificações [1]. As alterações consistiram na inserção de uma fonte geradora de desequilíbrios em um ponto a montante do PAC, e também no consumidor 2. Ainda, no diagrama unifilar indicado, constata-se a presença de três unidades eminentemente consumidoras. O consumidor 1 é composto por um retificador trifásico e um banco de capacitores, com características equilibradas. De forma

O Setor Elétrico / Maio-Junho de 2023 Espaço SBQEE 49
Figura. 1 – Sistema Benchmark IEEE-HCD modificado.

similar, o consumidor 3 também se apresenta equilibrado e formado por um motor de indução trifásico e um banco de capacitores. Já o consumidor 2, se apresenta com cargas equilibradas, e outras desequilibradas, traduzidas na forma de retificadores monofásicos e uma carga passiva assimétrica quanto aos seus parâmetros.

Uma vez implementado computacionalmente, o arranjo elétrico como um todo apresentou um fator de desequilíbrio (FD) total no PAC de 4,16%. Vale destacar que, quando apenas o complexo de suprimento está em operação, com os três consumidores desconectados do sistema, o FD no PAC foi de 3,19%. Ambos os valores, como sabido, são indicativos de inconformidade do indicador em análise, em relação aos limites estabelecidos pela norma nacional [2]. Portanto, o sistema em pauta se apresenta com propriedades operacionais próprias ao objeto do compartilhamento aqui contemplado.

Feitas as avaliações das contribuições através dos métodos suscintamente apresentados, chega-se às contribuições individuais de cada consumidor para o desequilíbrio total no PAC. Os resultados correspondentes a cada metodologia são apresentados na Tabela. 1. Para fundamentar uma análise crítica dos desempenhos das metodologias é relevante destacar que, sob o ponto de

vista físico, apenas o consumidor 2 deve ter participação na alteração ocorrida para o fator de desequilíbrio, já que os consumidores 1 e 3 são constituídos por cargas equilibradas. Isto posto, os desempenhos evidenciados pelos dois primeiros procedimentos (CCNC e FPT) não oferecem nenhuma margem de segurança aos propósitos estabelecidos. Já os desempenhos associados com os métodos IEC, Superposição e MEC revelam diretrizes promissoras aos fins aqui postos. Entretanto, vale lembrar que esses procedimentos são invasivos (IEC e MEC), fato este que dificulta o uso prático destas estratégias, e ainda, que o uso da Superposição esbarra no desconhecimento de parâmetros necessários à sua utilização.

Diante das limitações apresentadas, reconhece-se, na atualidade, abordagens não invasivas para a obtenção de respostas com maior confiabilidade e que dispensam as restrições postas. Dentre as propostas, ainda que embrionárias quanto ao uso prático, destaca-se a técnica de Análise de Componentes Independentes (ICA, na sigla em inglês) [3]. Esta estratégia requer registros contínuos das grandezas em campo por prolongados períodos de amostragem. A partir de bancos de dados contendo o desempenho do FD e empregando procedimentos alicerçados em princípios estatísticos é mostrada a efetividade do processo de análise.

técnica se mostra promissora para o compartilhamento de responsabilidade entre os agentes, de forma simples e eficaz, requerendo, como dito, medições conduzidas através de equipamentos comercialmente disponíveis.

Referências:

[1] M. A. Moraes, R. C. F. Gregory, B. M. Gianesini, J. C. de Oliveira, e I. N. Santos, “Comparative analysis of methods for sharing the responsibility of voltage imbalances in electrical systems”, in Anais da XIV Conferência Brasileira sobre Qualidade da Energia Elétrica, 2021, p. 2–7, doi: 10.17648/cbqee-2021-130581.

[2] Agência Nacional de Energia Elétrica, “Procedimentos de Distribuição de Energia Elétrica no Sistema Elétrico Nacional - Módulo 8: Qualidade da Energia Elétrica”, 2021.

[3] M. A. Moraes, V. H. F. Brito, e J. C. de Oliveira, “An Approach for Determining Voltage Imbalance Contributions Based on Complex Independent Component Analysis”, Energies, vol. 15, no 19, p. 7014, 2022, doi: 10.3390/en15197014.

• Vinícius Henrique Farias Brito – Doutorando da Universidade Federal de Uberlândia e Pesquisador do NQEE-UFU.

• Márcio Arvelos Moraes – Dr. Professor Substituto do Instituto Federal do Triângulo Mineiro.

• Bárbara Morais Gianesini - Doutoranda da Universidade Federal de Uberlândia e Pesquisadora do NQEE-UFU.

• José Carlos de Oliveira – PhD - Prof. colaborador da Universidade Federal de Uberlândia.

• Raquel Cristina Filiagi Gregory - Profa. Dra. da Universidade Federal do Ceará e Pesquisadora do GREI-UFC e NQEE-UFU.

50 Espaço SBQEE
Esta Método CCNC Método FPT Método IEC Método da Superposição Método MEC Consumidor 1 15.22% 0.00% 0.03% 0.00% 0.05% Consumidor 3 67.72% 0.00% 0.47% 0.00% 0.00% Consumidor 2 96.26% 100.00% 24.86% 23.83% 25.62% O Setor Elétrico / Maio-Junho de 2023

DPS

Dispositivo de Proteção contra Surtos Elétricos

*Carla Damasceno Peixoto é engenheira eletricista pela Universi dade Federal do Rio de Janeiro (UFRJ), tem pós-graduação em Sistemas de Potência a e atualment e é consultora de linhas subterrâneas de alta tensão, além de coordenadora do Customer Advisory Group(CAG) e membro dos Strategic Advisory Group(SAG) e Tutorial Advisory Group(TAG) – referente ao Study Committtee B1 - Insulated Cables do CIGRE-Internacional.

A Mulher e a conquista de espaço no Brasil

Apesar da primeira importante conquista das mulheres no cenário político brasileiro - o direito a voto instituído por decreto lei em 24/02/1932 - vários desafios ocorreram nas décadas seguintes, incluindo preconceito e prescrição de gênero, poucas representações femininas e violência contra as mulheres. Atualmente a composição do Congresso Brasileiro por gênero atingiu média em torno de 19% na Câmara dos Deputados e 15% no Senado - percentual pouco significativo apesar das mulheres alcançarem pouco mais da metade da população brasileira. Ainda hoje, a luta pela igualdade de gênero e pela participação plena e igualitária das mulheres não só na política, como também nas carreiras STEM (sigla, em inglês, usada para designar as disciplinas de Ciências, Tecnologia, Engenharia e Matemática) é um tema relevante e atual.

No Setor Eletroenergético Brasileiro, tradicionalmente de maioria masculina, segundo dados do Balanço Energético Anual do Ministério de Minas e Energia, a taxa de ocupação feminina neste setor vem crescendo nos últimos anos, mas continua baixa. Em 2019, as mulheres representavam a média em torno de 20% da força de

trabalho total, abrangendo a geração, transmissão e distribuição de eletricidade, petróleo e gás e energia renovável.

No entanto, o governo e o setor privado vêm trabalhando para promover maior diversidade e inclusão de gênero. Em 2020, o Ministério de Minas e Energia lançou o “Programa Energia com Igualdade”, que visa promover a igualdade de gênero no setor por meio de iniciativas como programas de treinamento e desenvolvimento, mentorias e campanhas de conscientização.

A preocupação não é só a nível nacional e sim mundial, de acordo com a pesquisa de gênero na área de energia renovável, publicado pela agência “International Renewable Energy Agency (IRENA)”, as mulheres representam em torno de 32% da força de trabalho de energia renovável na América Latina. Segundo o texto publicado por esta agência internacional, é necessário fortalecer a cooperação internacional para promover a igualdade de gênero na transformação energética no setor de renováveis.

Seguindo a tendencia mundial algumas empresas de energia no Brasil já iniciaram suas próprias políticas de diversidade e

inclusão, incluindo medidas para aumentar a representação de mulheres em cargos de liderança e reduzir a discriminação de gênero no local de trabalho. Esses esforços são importantes para criar um setor de energia mais igualitário e inclusivo no Brasil e garantir que as mulheres tenham oportunidades iguais de progressão na carreira e desenvolvimento profissional.

Outro indicador da reduzida presença de mulheres no setor de energia compreende o número em cargos de liderança. Conforme levantamento realizado pela Associação Brasileira da Infraestrutura e Indústrias de Base (ABDIB) em 2020, as mulheres em cargos de decisão representavam cerca de 6%.

O Comitê Nacional Brasileiro de Produção e Transmissão de Energia Elétrica Cigre-Brasil – sociedade civil, sem fins lucrativos, fundada em 1971, cujo objetivo é promover o intercâmbio e o desenvolvimento da engenharia no Brasil, no campo da produção, transmissão e distribuição de energia elétrica, e a missão é compartilhar conhecimentos técnicos e experiencias no setor eletroenergético –tem um papel fundamental estimulando e capacitando tecnicamente as

O Setor Elétrico / Maio-Junho de 2023
52 Espaço Cigre-Brasil

mulheres, preparando-as para participar e integrar este setor, melhorando o seu desenvolvimento profissional e, consequentemente, contribuindo não só para a melhoria das empresas nas quais trabalham, como também, para o próprio setor de energia do país.

O Cigre-Brasil conta com o suporte de sua rede de especialistas voluntários a nível nacional e internacional, uma vez que faz parte da organização internacional composta de mais de 90 países - o Cigre. Esses especialistas voluntários distribuem-se em 16 Comitês de Estudo (CEs), abrangendo as diversas áreas do setor energético. Criou em 2017 o Comitê de Mulheres na Energia do Cigre-Brasil, cujas principais ações

abrangem: apresentação de Fóruns e Webinares periódicos para fomentar e integrar as mulheres no setor; atuação e mentoria dos assessores científicos dos CES para estimular as jovens alunas das instituições de ensino a participarem das atividades técnicas da organização CIGRE; estabelecimento do programa Women Writing Energy - WWE, iniciativa da atual presidente brasileira do Comitê Internacional de Mulheres na Energia do CIGRE (Women in Energy-WiE), Solange Ragazi David, apresentando às empresas associadas ao CIGRE-Brasil proposta para incentivar suas colaboradoras a escreverem artigos para os eventos técnicos; incentivo a integração das associadas aos grupos de estudo e

trabalhos dos seus 16 CEs e coletar e analisar dados sobre diversidade e inclusão de gênero no setor de energia, para entender melhor as barreiras e as oportunidades para a igualdade de gênero, acompanhando o progresso ao longo do tempo.

Como mensagem, importante destacar que: nada define, ou limita uma mulher; importante investir continuamente na capacitação; os desafios são boas oportunidades de aprimoramento e, finalmente, equipes completas e unidas composta por mulheres e homens são mais fortes, já que as habilidades são complementares, portanto, alcançam resultados melhores e num menor espaço de tempo.

O Setor Elétrico / Maio-Junho de 2023 53

Análise de sistemas elétricos

Como a capacitância própria afeta o aterramento

Prezados leitores, embora este tema também seja antigo, observo que o entendimento lato sobre o assunto é incomum, mesmo entre engenheiros, professores e profissionais da área.

Para nós engenheiros eletricistas, a isolação dos equipamentos deve ser enxergada como uma capacitância.

Essa capacitância nasce com todos os equipamentos e assim é conhecida como capacitância própria ou intrínseca, em inglês “trap capacitance”, porque não pode ser vista (não é um capacitor).

De maneira genérica, o aterramento de um sistema pode ser representado como mostrado na Figura 1.

Como os valores de Xco são muito maiores que as impedâncias série, esses valores podem ser levados ao neutro, como mostrado na Figura. 4.

Z G é a impedância de aterramento, Co é a capacitância própria de cada fase para terra e C’o é a capacitância própria entre fases

Como as capacitâncias C’o não afetam as correntes de falta à terra e as sobretensões fase-terra, podemos desprezá-las, num modelo de primeira aproximação. (Figura.2)

Na Fig.5 mostram-se em (a) Sistema solidamente aterrado, (b) Sistema não Aterrado e em (c) Sistema Aterrado por Resistência.

Em (a) ZG = 0 curto-circuita Xco/3 e assim, as capacitâncias não afetam as correntes de falta à terra nem as sobretensões fase-terra. Em (b) ZG = ∞ e assim a capacitância Xco/3 irá afetar significantemente os valores das correntes de falta fase-terra e as sobretensões.

Em (c): Quando o valor da resistência é menor ou igual a Xco/3, a maior parte da corrente irá passar pela resistência e a corrente será mais resistiva e o sistema é considerado aterrado. Quando o valor da resistência é maior do que Xco/3, a maior parte da corrente passará pela reatância capacitiva, ficando a corrente capacitiva e assim o sistema será considerado não aterrado.

Não se pode colocar qualquer valor de resistência no neutro. Há que se calcular primeiro as capacitâncias de charging (ou as correntes de charging) para depois escolher o valor da resistência. De outra forma você pensa que o seu sistema está aterrado, mas ele se comportará como não

54
O Setor Elétrico / Maio-Junho de 2023
aterrado. Figura 1 – Aterramento de Sistema Elétrico. Figura 3 – Thevenizando a Figura 2. Figura 5 – Sistemas de Aterramento. Figura 4 – Modelo Thevenizado. Thevenizando a fase “a”, fica conforme Figura 3. Figura 2 – Modelo de 1ª aproximação.

Quadros e painéis

Nunziante Graziano é engenheiro eletricista, mestre em energia, redes e equipamentos pelo Instituto de Energia e Ambiente da Universidade de São Paulo (IEE/ USP), Doutor em Business Administration pela Florida Christian University, Conselheiro do CREASP, membro da Câmara Especializada de Engenharia Elétrica do CREASP e diretor da Gimi Pogliano Blindosbarra

Transição energética e o futuro dos quadros e painéis

A elevação dos custos da geração e transmissão de energia elétrica nas últimas décadas elevou a conta de luz a níveis muito críticos, associado ao risco de falta de energia por conta da escassez de chuvas. O crescente direcionamento mundial pela busca de energia limpa e sustentável trouxe desafios enormes ao sistema elétrico e consequentemente um aumento pela demanda de novas tecnologias e produtos que se adaptem às necessidades de redes inteligentes, novas subestações e linhas de transmissão, redes e equipamentos de distribuição e controle, além de soluções completas para as fontes sob exploração, que são: eólica e solar fotovoltaica.

Nos últimos cinco anos, o segmento de equipamentos de geração, distribuição e transmissão de energia quase dobra de tamanho a cada ano graças ao avanço da energia solar distribuída, que compreende painéis solares, inversores, transformadores e subestações de interligação, desde pequenas instalações de microgeração residenciais e comerciais, até parques de minigeração distribuída de até 3MW.

O desafio da indústria é adaptar-se a essa nova demanda, seja pela quantidade e volume de equipamentos necessários para todas essas novas instalações e por conta do apelo ambiental de que estas instalações devem ser de baixo custo (CAPEX menor viabiliza mais instalações) mas com baixa pegada de carbono, zero emissões na operação e alto índice de reciclagem dos materiais utilizados no final do seu ciclo de vida útil.

O que vemos na realidade é um imenso

volume de placas solares e inversores vindos da Ásia e Europa, nem todos com a qualidade e reciclabilidade desejada, mas sim, um imenso investimento em novos parques solares por todo o Brasil.

Para os parques reduzirem os custos operacionais de seu funcionamento, muitos deles vêm recheados de tecnologia de monitoramento remoto, sistemas de aquisição de dados de funcionamento, sinalização de defeitos, monitoramento de ciclo de vida útil, entre tantas benfeitorias oriundas da Indústria 4.0.

As redes de distribuição e transmissão têm recebido essa energia toda através de novas linhas, cujo desafio é o fluxo de potência com fontes e cargas espalhadas por todo o sistema, o que configura um complexo sistema de proteção contra falhas nas redes que desafia os nossos especialistas em proteção.

Outro paradigma que vem sendo demolido é a utilização de tensões mais elevadas que os padrões industriais, de tantos anos. Sistemas industriais geralmente utilizam tensões de operação de 220, 380V ou 440V, já nas redes de alta tensão industriais geralmente encontramos o 13800V. Para os sistemas de geração fotovoltaica, as tensões de geração mais usuais são o 690V e o 800V, e grande parte destes parques tem sido conectados às redes de distribuição de 34500V. Essas diferenças têm trazido desafios aos fabricantes e instaladores a adaptarem-se a esta nova realidade. Além dos custos muito mais elevados, a oferta destes equipamentos ainda é bastante limitada, o que reprime

a demanda e traz oportunidades a novos players.

Equipamentos, sistemas e redes com inteligência têm sido muito procurados para baixar os custos de operação, pois diminuem substancialmente a necessidade da inter-

NOS ÚLTIMOS CINCO ANOS, O SEGMENTO DE EQUIPAMENTOS DE GERAÇÃO, DISTRIBUIÇÃO E TRANSMISSÃO DE ENERGIA QUASE DOBRA DE TAMANHO A CADA ANO GRAÇAS AO AVANÇO DA ENERGIA SOLAR DISTRIBUÍDA, QUE COMPREENDE PAINÉIS SOLARES, INVERSORES, TRANSFORMADORES E SUBESTAÇÕES DE INTERLIGAÇÃO, DESDE PEQUENAS INSTALAÇÕES DE MICROGERAÇÃO RESIDENCIAIS E COMERCIAIS, ATÉ PARQUES DE MINIGERAÇÃO DISTRIBUÍDA DE ATÉ 3MW.

venção humana na operação. Será que nosso corpo técnico já está pronto para toda essa modernidade ou estamos, exatamente agora, realizando juntamente com a transição energética pela quarta estamos passando, a transição tecnológica para equipamentos inteligentes e com tensões ainda mais altas? Quem viver, verá!

Boa leitura.

55 O Setor Elétrico / Maio-Junho de 2023
Barramentos Blindados e da GIMI Quadros elétricos. nunziante@gimipogliano.com.br
55

Luciano Rosito é engenheiro eletricista, especialista em iluminação e iluminação pública. Professor de cursos de iluminação pública no Brasil e exterior. Palestrante em seminários e eventos na área de iluminação e eficiência energética. Colaborador da Revista O Setor Elétrico. Coordenador de comissões de estudo e grupos de trabalho para a criação e revisão de normas técnicas no Brasil, junto ao CB03 do Cobei- ABNT. Pesquisador de sistemas de iluminação pública. Ex-coordenador do Centro de Excelência em Iluminação Pública – CEIP de 2006 a 2010. Ex-coordenador da área de Iluminação do LABELO – PUCRS.

Avanço da Telegestão e Cidades Inteligentes

No mês de maio de 2023 é realizado mais um evento sobre cidades inteligentes. Este foi o momento de lançar e divulgar a segunda edição do guia de telegestão da ABCIP. Neste cenário também vamos abordar a questão da evolução da aplicação da portaria 221 do Inmetro e o que vem por aí na ampliação da utilização da telegestão em iluminação pública e sua integração com as cidades inteligentes.

POR SER UM MODELO NOVO DE VERIFICAÇÃO PARA OS FABRICANTES

E FORNECEDORES DESTE TIPO DE SISTEMA, CABE AOS ENVOLVIDOS

NESTE SEGMENTO UMA MAIOR

DISCUSSÃO SOBRE AS DÚVIDAS QUE

AINDA PAIRAM SOBRE O PROCESSO DE CERTIFICAÇÃO E SOBRE AS

PRÁTICAS QUE ESTÃO ENVOLVIDAS

NESTE MODELO DE CERTIFICAÇÃO.

Depois de quase um ano em revisão, foi lançada esta segunda revisão do guia de telegestão que tive o privilégio de liderar dentro do comitê de telegestão da ABCIP, que vem trabalhando de forma incansável para difundir conhecimentos sobre o tema

e ser a interface de fabricantes e usuários com órgão governamentais e reguladores.

Este trabalho contou com a participação de profissionais de 15 empresas associadas à ABCIP, com destacada atuação no Brasil e no exterior, e vem ao encontro das necessidades decorrentes das recentes alterações na regulação de sistemas de telemedição de energia pelo Inmetro - Instituto Nacional de Metrologia, Qualidade e Tecnologia, órgão que vem trabalhando continuamente na atualização de regulamento técnico metrológico que assegure a certificação dos equipamentos.

O principal objetivo deste guia é o de auxiliar o poder público municipal e os estruturadores de projetos de PPP de IP na tomada de decisão em relação às plataformas de gestão de iluminação pública e implantação de tecnologia para cidades inteligentes já na concepção dos projetos. Estamos convictos de que a divulgação deste tema amplia o escopo de soluções a partir da responsabilidade da gestão pública, gerando ganhos de produtividade e eficiência energética.

Com o avanço das PPP vemos as cidades avançando rapidamente na implantação de sistemas de telegestão nas principais ruas e avenidas das cidades. Em algumas cidades como São Paulo, o sistema de telegestão deverá ser implantado em toda a cidade independentemente da hierarquia das vias. Vemos isso como tendência de que

mais cidades possam ampliar a utilização da telegestão para todas as regiões. A telegestão deve ser um instrumento a serviço da eficiência operacional e da medição de forma precisa, correta e justa. Desta forma, seu retorno de investimento será mais rápido e sua ampliação ainda mais efetiva em termos de uso em maior quantidade de cidades pelo país.

Faltando menos de um ano para que a portaria 221 do Inmetro torne obrigatória a instalação de sistema de telegestão de IP para fins de medição – somente aprovados conforme os requisitos desta portaria e documentos complementares – começa uma “corrida contra o tempo” para que as submissões e análises sejam feitas em tempo hábil e que as demais datas posteriores, bem como o aumento de exigências seja aplicado.

Por ser um modelo novo de verificação para os fabricantes e fornecedores deste tipo de sistema, cabe aos envolvidos neste segmento uma maior discussão sobre as dúvidas que ainda pairam sobre o processo de certificação e sobre as práticas que estão envolvidas neste modelo de certificação.

Novos eventos, painéis de discussão técnica devem ocorrer nos próximos meses a fim de dar mais conhecimento e transparência neste processo, além da segurança para aplicação desta tecnologia nas cidades inteligentes, seja por meio das PPP ou outras iniciativas municipais.

Iluminação pública
O Setor Elétrico / Maio-Junho de 2023 56

Aguinaldo Bizzo de Almeida é engenheiro eletricista e atua na área de Segurança do trabalho. É membro do GTT – NR10 e inspetor de conformidades e ensaios elétricos ABNT – NBR 5410 e NBR 14039, além de conselheiro do Conselho Regional de Engenharia e Agronomia do Estado de São Paulo (CREA-SP). É autor do livro “Vestimentas de Proteção para Arco Elétrico e Fogo Repentino” e diretor e consultor de Desenvolvimento e Planejamento e Segurança do Trabalho (DPST).

Proteção contra choque elétrico

Os profissionais e pessoas que interagem com eletricidade, advertidos ou não, são expostos normalmente aos riscos de choque elétrico, arco voltaico e fogo de origem elétrica, podendo sofrer as consequências de efeitos extremamente prejudiciais à sua integridade física.

Um dos itens que mais causam dúvidas e discussões refere-se ao tema “Operações Elementares em Baixa Tensão” descrito na Norma Regulamentadora NR 10 – Segurança em Instalações e Servicos com Eletricidade, especialmente no segmento industrial, onde inúmeros profissionais de áreas operacionais realizam atividades rotineiras de interface com instalações elétricas de baixa tensão.

A norma NR 10 (Item 10.6.1.2) cita que “operações elementares” realizadas em baixa tensão, tais como o uso de equipamentos elétricos energizados e procedimentos de manobras de circuitos elétricos, podem ser executados por “pessoas não advertidas” (BA1).

Porém, a norma estabelece que os materiais e equipamentos elétricos devem ser adequados e ter bom estado de conservação, não podendo expor as mesmas a quaisquer riscos, devendo ser fornecidos e instalados em conformidade com as normas técnicas oficiais estabelecidas pelos órgãos competentes e, na ausência ou omissão destas, as normas internacionais cabíveis.

De um modo prático, o termo “atividades elementares” é apropriado para descrever os profissionais que em suas atividades habituais, acionam dispositivos de manobra, inserem plugues em tomadas, dentre outras atividades consideradas extremamente simples. Ressalta-se que por exigência da norma, as mesmas devem ser realizadas sem que haja qualquer interação direta na instalação elétrica propriamente dita, mesmo estando esta presumidamente energizada.

Da mesma forma, classificam-se equipamentos elétricos “adequados para operação” como sendo apropriados para a função a que se destinam,

montados de forma adequada, fornecido de acordo com as especificações de projeto, de forma a serem utilizados como segurança.

Assim, três critérios básicos de proteção estabelecidos pela norma devem ser considerados para a correta análise de risco a fim de avaliar a exposicão aos riscos elétricos para os profissionais que não são da área elétrica, mas que realizam atividades de interface com instalações elétricas, denominados, pela norma regulamentadora NR 10, como profissionais “não-advertidos”.

Embora sejam simples, já que não se trata de atividades complexas, operações elementares exigem conhecimento, qualificação (ou capacitação) e autorização, de acordo com o “Item 10.8” da NR 10 ( Este aspecto não será objeto de avaliação neste artigo).

Operações elementares serão classificadas como tal, desde que atendam os seguintes critérios de normas aplicáveis (conforme versão em vigência):

• Princípio Fundamental da Proteção Contra Choque Elétrico – Proteção contra contatos diretos e indiretos - NBR 5410

• Risco de arco elétrico: NFPA 70E

• Risco de Fogo de origem elétrica CAT. C: NR 23 e NBR 5410)

Proteção Contra Choque Elétrico:

A norma NBR© 5410:2005 “Instalações Elétricas de Baixa Tensão” estabelece que pessoas “advertidas ou não” devem ser protegidas contra os riscos de choques elétricos em situações ou condições que estes possam causar lesão física ou danos à saúde das mesmas, em decorrência do contato acidental com partes vivas perigosas ou através de falhas que possam, eventualmente, colocar uma massa sob tensão de forma acidental.

Na “Seção 5.1” da norma citada, que é dedicada à exposição das medidas de proteção contra choques elétricos em instalações elétricas de baixa tensão, é estabelecido o princípio fundamental – em caráter

geral – para que a “proteção contra choque elétrico” possa garantir a segurança requerida. As medidas são divididas em dois tipos de proteção, sendo elas:

- proteção básica;

- proteção supletiva.

A proteção básica tem o intuito de garantir que as partes vivas perigosas não sejam acessíveis, enquanto a proteção supletiva visa garantir que as massas ou partes condutivas acessíveis não ofereçam perigo, seja em condições normais, seja, em particular, em caso de alguma falha que as tornem acidentalmente vivas.

Os conceitos de proteção básica e de proteção supletiva eram apresentados na versão anterior da NBR© 5410-2005 com uma terminologia diferente: proteção contra contatos diretos e de proteção contra contatos indiretos. A terminologia atual foi adotada, por estar mais alinhada com a norma IEC© 61140-2009

“Protection Against Electric Shock - Common Aspects for Installation and Equipment” – norma internacional que apresenta os princípios de proteção contra choque elétrico para instalações elétricas em baixa tensão.

As medidas adotadas em “caráter geral” na proteção contra choque em instalações elétricas de baixa tensão são: a equipotencialização e seccionamento automático da alimentação. As demais medidas estabelecidas na “Seção 5.1” da NBR© 5410-2005 são admitidas ou mesmo exigidas em situações consideradas mais pontuais, se requerido pelo projeto avaliado, para compensar dificuldades no provimento da medida de caráter geral ou para compensar sua insuficiência em locais ou situações em que os riscos de choque elétrico são maiores ou suas consequências mais perigosas.

A aplicação de uma medida não exclui as demais. Para garantir a segurança das pessoas pode ser necessária uma única medida ou duas ou mais medidas, dependendo do perigo a que as mesmas estão expostas; podendo ser aplicadas e coexistirem em uma mesma instalação.

Nos proximos aertigos continuaremos a análise sobre Operações Elementares em Baixa Tensão.

Segurança do trabalho
O Setor Elétrico / Maio-Junho de 2023 57

A mobilidade elétrica como estratégia de desenvolvimento para a América Latina e Caribe

O setor de transporte é um dos principais responsáveis pelo agravamento do aquecimento global devido ao seu intenso consumo de combustíveis fósseis. A dependência de veículos movidos à gasolina e diesel contribui significativamente para o aumento na emissão de gases de efeito estufa, como dióxido de carbono (CO 2) e óxidos de nitrogênio (NOX). Essas emissões colaboram diretamente para o acréscimo da concentração desses gases na atmosfera, intensificando o efeito estufa e causando alterações climáticas.

Sozinho, o setor de transporte foi responsável por aproximadamente 32% do consumo mundial de energia em 2020. Isso inclui o consumo de energia em veículos rodoviários (dominando com mais de 50% do total), ferrovias, aviação, navegação e transporte de mercadorias. Visando amenizar esse quadro, a mobilidade elétrica é tema presente nos principais fóruns de discussão da sustentabilidade.

Um mesmo modelo de carro elétrico pode apresentar diferentes impactos de emissões em distintos países, pois depende fundamentalmente da matriz de energia primária de cada local. Em 2021, no Brasil, 78,1% da matriz primária de energia elétrica foi renovável, enquanto a média mundial no mesmo ano ficou em 28,6%. Dessa forma, significa dizer que um veículo elétrico rodando 100

km na matriz energética brasileira emite três vezes menos que o mesmo veículo rodando com recarga baseada na matriz energética da primária de eletricidade da média mundial. A matriz energética da América Latina e do Caribe é bastante semelhante à brasileira.

Por isso, compreender o ciclo de vida de um veículo elétrico é de extrema importância, pois vai além de simplesmente considerar o seu desempenho durante o uso, abrange desde a extração de matérias-primas para a fabricação até o descarte adequado ao final da sua vida útil. Ao entender todas as etapas desse

ciclo, é possível avaliar de forma mais precisa e abrangente o impacto ambiental e a sustentabilidade dos veículos elétricos, levando em consideração a emissão de gases de efeito estufa, o consumo de recursos naturais e o manejo adequado de resíduos.

Os veículos elétricos são construídos com uma variedade de materiais que desempenham funções diferentes em seu design e desempenho, tais como: aço de alta resistência, alumínio e ligas de magnésio, usados para a estrutura e carroceria, proporcionando leveza e resistência; polímeros e plásticos reforçados com fibra

Energia
58
Danilo de Souza é engenheiro eletricista pela Universidade Federal de Mato Grosso (UFMT). É especialista em Energia e Sociedade pela Universidade Federal do Rio de Janeiro (UFRJ), mestre em Energia e pesquisador no Instituto de Energia e Ambiente (IEE) da Universidade de São Paulo (USP). Danilo é professor na Universidade Federal de Mato Grosso, sendo membro do Núcleo Interdisciplinar de Estudos em Planejamento Energético – NIEPE, e é Coordenador Técnico do CINASE – Circuito Nacional do Setor Elétrico | www.profdanilo.com
e sociedade
O Setor Elétrico / Maio-Junho de 2023

de carbono, empregados em componentes internos e externos, reduzindo o peso total do veículo; baterias de íon-lítio, compostas por metais como lítio , cobalto e níquel, e são essenciais para armazenar a energia elétrica; cobre , para os sistemas elétricos do veículo e o motor elétrico propriamente dito.

Dentre os itens citados, basicamente os três destacados são os principais responsáveis por diferenciar o carro elétrico de um veículo à combustão interna. Os carros tracionados por motores de combustão interna usam, em média, 25 quilos de cobre. Os carros híbridos utilizam em média 40 quilos, enquanto veículos totalmente elétricos podem usar até 70 quilos.

Historicamente, o maior produtor mundial de cobre é o Chile, que representa aproximadamente 30% de toda a produção mundial. Destaca-se em segundo lugar o Peru, que produziu em 2020 o equivalente a 10% de todo o consumo mundial.

Outro metal importante para a mobilidade elétrica é o alumínio, amplamente utilizado na fabricação de carros elétricos devido à sua leveza e resistência. Ele ajuda a reduzir o peso total do veículo, melhorando a eficiência e a autonomia da bateria. O Brasil é o país que mais recicla lata de alumínio no mundo, e dentre os 40 países que produzem o metal está na 13ª posição.

O lítio desempenha um papel fundamental na eletrificação de várias áreas, incluindo veículos elétricos, dispositivos eletrônicos portáteis (smartphones, laptops e tablets) e armazenamento de energia - fornecendo energia duradoura em um formato compacto. Sua importância reside nas propriedades únicas desse metal, que permite a produção de baterias de alta capacidade e desempenho. As baterias de íon-lítio são leves, têm alta densidade de energia e podem ser recarregadas várias

vezes. Chile, Bolívia e Argentina, juntos, representam aproximadamente 46% das reservas mundiais de lítio.

O motor elétrico é o equipamento que concentra os principal ganhos de eficiência energética no processo. Os mais eficientes são conhecidos como Motor síncrono de ímã permanente (sigla em inglês PMSM). Esses motores possuem ímãs de terras raras no seu rotor, que geralmente são constituídos de neodímio-ferro-boro (NdFeB). Os ímãs de terras raras apresentam propriedades magnéticas excepcionais que permitem uma alta densidade de fluxo magnético. Esse é o principal diferencial na eficiência dos motores PMSM.

As mais importantes reservas de neodímio, um dos elementos-chave na fabricação de ímãs de terras raras, estão localizadas principalmente na China. Esse país asiático é responsável por cerca de 85% a 90% da produção global de neodímio e possui uma grande quantidade de reservas desse elemento, que traz considerações geopolíticas, no que se refere à dependência. A exploração de neodímio, assim como outros elementos de terras raras, pode apresentar diversos problemas ambientais: I ) poluição da água - durante o processo de extração do neodímio, substâncias químicas tóxicas podem ser utilizadas, como ácido sulfúrico, ácido clorídrico e ácido nítrico; II ) geração de resíduos tóxicos: a produção de neodímio também resulta na geração de resíduos tóxicos, como rejeitos de mineração e resíduos de processamento químico; e III ) uso intensivo de recursos naturais: a mineração de neodímio requer a remoção de grandes quantidades de solo e rochas, resultando na destruição de habitats e na perda de biodiversidade. Além disso, a extração de terras raras geralmente requer o uso de grandes quantidades de água e energia, o que

contribui para o consumo intensivo de recursos naturais.

Existem substitutos para o neodímio, mas não apresentam a mesma eficiência para a aplicação. Os ímãs de neodímioferro-boro (NdFeB) podem ter uma energia de produto magnético superior a 50 MGOe – (Mega Gauss Oersted). Isso os torna extremamente fortes em comparação com outros tipos de ímãs, como: samáriocobalto (entre 20 e 30 MGOe), alnico (~5 MGOe) ou de ferrite (entre 1 e 4 MGOe). Como alternativa na construção do carro elétrico, é possível utilizar Motores Elétricos Síncronos de Relutância (sigla em inglês SynRM), que empregam materiais presentes nos países da América Latina e Caribe, e possuem elevada eficiência e menor impacto ambiental em todo o ciclo de vida quando comparados aos PMSM. Os carros elétricos autoguiados e compartilhados podem representar uma solução promissora para melhorar a eficiência do transporte e reduzir engarrafamentos, ao mesmo tempo que mitigam os impactos ambientais. Ao combinarem a tecnologia autônoma com o modelo de compartilhamento de veículos, esses carros podem ser utilizados de maneira mais eficiente, reduzindo a quantidade de veículos nas estradas e otimizando o uso dos recursos disponíveis. Nesse cenário, a América Latina e o Caribe reúnem todas as características necessárias (recursos minerais, energéticos, humanos e mercado consumidor) para a construção de um projeto estratégico de desenvolvimento regional, pautado na construção de uma indústria da mobilidade elétrica tanto para o transporte individual, como coletivo. Essa é uma possibilidade de geração de emprego e renda em uma indústria que se ancora fortemente nos Objetivos do Desenvolvimento Sustentável (ODS) da Organização das Nações Unidas.

O Setor Elétrico / Maio-Junho de 2023 59

Caio Huais é engenheiro de produção, pós-graduado em Engenharia Elétrica e Automação com MBA em engenharia de manutenção. Atualmente, é Head de Manutenção e Operação de Alta tensão na Enel distribuição Goiás, onde responde pela disponibilidade de 360 subestações e 6.000 quilômetros de linhas de alta tensão. Atua na área de O&M de alta tensão há mais de 9 anos, tendo passagem por áreas de proteção e controle (SPCS), engenharia de manutenção e planejamento e controle da manutenção

Assim como os demais nichos do mercado, a área de distribuição de energia enfrenta cenários desafiadores no que diz respeito à manutenção e operação dos ativos. Com a evolução da demanda de carga e as incertezas climáticas diante do aquecimento global, o modelo tradicional de manutenção nessas instalações tem sofrido grandes transformações.

Frente a esses novos cenários, manter-se inerte é assumir o risco de aumentar as falhas e, consequentemente, comprometer a qualidade do fornecimento de energia do seu empreendimento. É necessário inovar não só nos sistemas de gestão da manutenção e automação de processos, mas também

Todo o sistema elétrico de potência mudou com decorrer dos anos. Equipamentos de pátio, sistemas de proteção e controle, sistema de supervisão e telecontrole, protocolos de comunicação e demais sistemas. Essa evolução obriga a pensar novas maneiras de gerir a manutenção do sistema. Diante do cenário atual, permanecer com modelos convencionais de manutenção significa não se adaptar à nova realidade do sistema, que traz como desafio:

• Elevações e variações relevantes de temperatura e elevação do consumo de energia elétrica no Brasil;

• Impacto do aumento da demanda de energia e diversidade nos perfis no controle de tensão. Necessidade da implementação de novas tecnologias no sistema.

No cenário com elevações e variação relevantes de temperatura, isto é, o dia pode conter até 25º de variação de temperatura (∆T). Com altas temperaturas e tempo seco, além de fatores externos que agridem a rede elétrica como queimadas, o consumo de energia eleva exponencialmente, exigindo cada vez mais das instalações elétricas de alta e média tensão.

Importância e aplicações da termografia frente às elevações e

variações relevantes de temperatura e aumento do consumo de energia elétrica no Brasil.

Com as altas concentrações de gases de efeito estufa na atmosfera, o calor emitido pelo Sol é bloqueado, ficando preso na superfície terrestre, aumentando a temperatura média da Terra. O aquecimento global é uma realidade que se agrava anualmente provocando alterações no clima e, consequentemente, no comportamento dos ativos, principalmente nos períodos de maior temperatura.

Contribuem para o aquecimento a queima de combustíveis fósseis (derivados do petróleo, carvão mineral e gás natural) para geração de energia, atividades industriais e transportes; a conversão do uso do solo, entre outras aplicações. Por isso, é importante que toda a indústria entenda a importância da descarbonização, estimulando a utilização de equipamentos e veículos elétricos, sobretudo a utilização de energias renováveis.

Enquanto ainda possuímos a presença significativa desses combustíveis e convivemos com variações expressivas de temperatura, essa elevação contribui diretamente para o aumento do consumo de energia elétrica no Brasil.

Principais desafios e tendências de inovação da manutenção dos sistemas elétricos de alta e média tensão
60 O Setor Elétrico / Maio-Junho de 2023
Manutenção 4.0
Figura 1 – Previsão de carga de energia para o cenário 2020-2025. Fonte: ONS.

O Operador Nacional do Setor Elétrico (ONS) compartilha no documento “Previsão de Carga para o Planejamento Anual da Operação Energética ciclo 2021 (2021-2025)” a previsão de carga de energia superando 70.000 MWmédios a partir de 2022, conforme gráfico.

Diante deste cenário é necessário traçar as melhores estratégias para atravessar períodos de demandas máximas de energia e grande exigência dos equipamentos. Técnicas preditivas de monitoramento de temperaturas, por exemplo, se fazem necessárias nesses momentos.

Uma ferramenta importante para detecção das anomalias térmicas no sistema é a inspeção termográfica. A termografia é uma técnica preditiva, não invasiva e não destrutiva de medição de temperatura e formação de imagem térmica de uma determinada instalação e através da representação gráfica, direciona as regiões que apresentam desequilíbrios e variações térmicas.

Essa técnica preditiva tem evoluído e inovado as aplicações no setor elétrico. Já existe por exemplo, para algumas aplicações, o monitoramento local fixo integrado ao sistema de supervisão, gerando alarmes remotos para os valores de temperatura e variação ajustados. Outro grande avanço também já aplicado nas redes de distribuição de energia da China: Rede do Noroeste, Rede do Nordeste, Rede do Norte da China, Rede do Centro da China, Rede do Leste da China e Rede do Sul é o Robô Inteligente de Inspeção de Componentes Elétricos da Launch que realiza inspeções com frequências definidas e em grande escala, reduzindo ao máximo erros humanos. O robô usa uma câmera termográfica e realiza a inspeção completa em subestações de alta tensão e é capaz, inclusive, de emitir alarmes.

A plataforma é conectada ao computador de controle do robô via Ethernet, enquanto a unidade de controle principal controla o gerador de imagens térmicas de alta definição e o movimento da plataforma pela rede. A câmera termográfica produz vídeo analógico CVBS e a câmera de alta definição produz vídeo de H265.

Os dados de medição de temperatura são enviados à unidade de controle principal via Ethernet e via quadro de compressão de vídeo, proporcionando dados e informações de medição de temperatura com vários quadros em tela cheia, referentes às temperaturas mais altas e mais baixas.

O certo é que se precisa avançar com o modelo de inspeção, podendo ser aplicado inclusive em circuitos de baixa tensão e circuitos de corrente. Identificou-se, inclusive, que, a partir de algumas ocorrências no sistema, houve elevação de temperatura em circuitos de corrente, com a detecção de folga na conexão do circuito com as novas chaves de correntes (bloco de testes). Um plano de ação de termografias e reaperto dos circuitos que apresentavam variações de temperatura como de corrente permitiu reduzir 90% das falhas no ano seguinte.

As diferentes condições operativas de cada subestação tornam necessária uma visão sistêmica sobre as periodicidades com base em variáveis que coloquem o sistema e o cliente no centro do negócio. Portanto, para traçar a estratégia ideal é necessário o ponto ótimo das priorizações e periodicidades das inspeções nas instalações de alta e média tensão. Algumas das variáveis que são:

• Número de unidades consumidoras atendidas;

• Potência instalada;

• Nível de curto-circuito;

• Taxa de falhas;

• Agentes externos - maresia, nível de poeira e poluição local;

• Características e tempo de operação dos pontos de conexões externos – Tipos de conectores, materiais e reações.

Nota-se que a técnica é aplicada em grande parte dos processos em uma subestação. Trata-se de uma importante ferramenta para detectar potenciais de falhas no sistema e agir preventivamente. Tão importante quanto realizar a inspeção termográfica é saber tratar os dados, montar um plano de ação e priorizar os atendimentos com senso de urgência.

Como também se detectar a causa raiz do problema para que as ações previstas sejam aderentes à redução do que está provocando os problemas. Dentre alguns modos de falhas dessas anomalias temos:

• Reação do material, como exemplo: barramentos de alumínio com

61 O Setor Elétrico / Maio-Junho de 2023
Figura 2 – Exemplo de inspeção termográfica. Figura 3 – Elevação de temperatura em circuitos de corrente.

cordoalhas de cobre e conexões não bimetálicas;

• Conexões mal feitas – Torque indevido nas conexões;

• Limalhas nas conexões;

• Baixo isolamento;

• Desgaste do material;

• Passagem de correntes de curto circuito elevados na conexão.

Identificar o modo de falha é essencial para a criação das ações e assertividade na resolução do problema.

Outro novo modelo de inspeções visuais e termográficas possível é a utilização de drones, técnica já empregada por concessionárias, especialmente, em linhas de distribuição de média e alta tensão.

comutador de derivação em carga (CDC) ou OLTC (on load tap changer) é um equipamento utilizado em conjunto com transformadores de tensão para variar a relação de transformação destes sem que seja necessário o desligamento dos mesmos.

Tradicionalmente, a periodicidade da manutenção desse equipamento se baseia em tempo ou número de operações. Independentemente das condições a que são submetidos, são tratados, em sua maioria, da mesma forma. Uma ocorrência em um ativo desses fatalmente compromete a operação de um transformador de potência, tornando assim grande responsabilidade em manter o ativo sem falhas.

Recentemente foi lançado em um lote pioneiro o projeto da CGTI (Centro de Gestão de Tecnologia e Inovação), em parceria com algumas concessionárias, o SMC, sistema de monitoramento de comutadores.

O drone é um excelente recurso para áreas remotas e áreas que apresentem terrenos instáveis, como brejos e ambientes muito úmidos. Em parques com linhas extensas, esse tipo de aplicação pode reduzir custos e substituir métodos mais onerosos como inspeções heliportadas.

Portanto, podemos observar avanços significativos nos modelos de inspeções termográficas nas redes de alta e média tensão. A termografia é uma das técnicas mais efetivas na detecção de anomalias e exige que os profissionais explorem cada vez mais suas diversas aplicações no sistema. Seu cenário, aplicação e tecnologia inserida tem evoluído expressivamente. Existem aplicações em estruturas fixas com mobilidade que permitem conexão via GPRS com a rede e já geram alarmes a partir de temperaturas ajustadas. O monitoramento remoto, associado à supervisão e registros e armazenagem em nuvem (disponíveis em plataforma web) já representa o avanço e destaca a aplicação em indústrias 4.0.

Impacto do aumento da demanda de energia e diversidade nos perfis no controle de tensão. Necessidade da implementação de novas tecnologias no sistema.

A chegada dos diferentes níveis de tensão e aumento da potência do sistema interligado, trouxe consigo a elevação dos níveis de curto-circuito e a necessidade de modelos inteligentes de proteção, controle e automação.

Com a crescente evolução da demanda energética no Brasil, um grande desafio das distribuidoras é controlar a tensão frente aos elevados consumos de carga no sistema. Como sabemos, à medida que o consumo aumenta, a tendência é que os níveis de tensão sofram queda, pois são grandezas inversamente proporcionais.

Além disso, a diversidade do perfil dos consumidores, torna diferente o consumo por conjunto, não permitindo a concessionária ter uma forma uniforme para tratar os equipamentos que são responsáveis pelo controle de tensão, principalmente em níveis de alta tensão, como os comutadores sobre carga (OLTC).

O comutador em carga, também conhecido como comutador,

Esse equipamento cria uma “assinatura elétrica” que parte através do acionamento do motor, criando um diagnóstico através de formas de onda do comportamento elétrico do equipamento, sendo capaz de antecipar grande parte dos problemas relacionados a comutação (momento em que o transformador altera o tap automaticamente em carga).

Assim, tem capacidade de antecipar falhas, gerar alarmes remoto, criar registros em memória, comunicar com o centro de operações através de diversos protocolos de comunicação, monitoramento remoto e on-line das grandezas elétricas e comportamento do equipamento, permitindo evolução no modelo de manutenção nesses equipamentos, deixando de ser por tempo e operação para condição.

A CGTI cita algumas vantagens na utilização do equipamento, como:

• Assertividade na programação e data da intervenção da manutenção;

• Evita paradas desnecessárias ou não programadas em comutadores;

• Maior eficiência operacional dos transformadores de potência;

• Monitoramento remoto e online do funcionamento dos comutadores;

• Reduz custos de manutenção;

• Ganho de eficiência na definição de investimentos no ativo;

• Redução das manutenções corretivas e falhas;

Pensar diferente tem sido uma necessidade para quem atua na área de manutenção de sistemas de distribuição. Para estimular novas técnicas de manutenção, é importante a busca de parcerias com players que detém know-how no assunto.

Não há atividade de manutenção tão tradicional que não possa ser repensada. Técnicas eficientes e conhecidas têm sido principais alvos das revoluções na manutenção do setor elétrico.

Referências:

Site da Flir Systems: https://www.flir.com.br/.

Site da CGTI: https://www.cgti.org.br/

Manutenção
62
4.0

Redes subterrâneas em

Daniel Bento é engenheiro eletricista com MBA em Finanças e certificação internacional em gerenciamento de projetos (PMP®). É membro do Cigré, onde representa o Brasil em dois grupos de trabalho sobre cabos isolados. Atua há mais de 25 anos com redes isoladas, tendo sido o responsável técnico por toda a rede de distribuição subterrânea da cidade de São Paulo. É diretor executivo da Baur do Brasil | www.baurdobrasil.com.br

No meio do caminho tinha uma pedra...

caminho...”

Tanto na vida como na poesia (mas poesia não é vida?), as “pedras”, ou seja, os obstáculos surgem. O poeta Carlos Drummond de Andrade, nos versos deste mesmo poema, continua: "nunca me esquecerei desse acontecimento na vida de minhas retinas tão fatigadas."

Retinas fatigadas, ou seja, olhos cansados, corpo e mente também, e eis que, depois de instalar um cabo de alta tensão, você descobre durante o teste de capa (previsto na IEC 60.229) que a capa externa está danificada e que será necessário localizar e reparar o dano. Porém, o cabo de alta tensão está instalado dentro de eletrodutos preenchidos por bentonita e, acima de tudo, existe ainda uma camada larga de concreto. O que fazer nessa situação?

As referências técnicas para realizar este tipo de trabalho são o guia do IEEE 1.234 e a Brochura Técnica do Cigre nº 773.

Mas antes de seguirmos para a prática, é importante entender que a técnica de localização de falhas em cabos isolados de média, alta e extra alta tensão, e isso inclui também as falhas nas capas externas, é realizada em duas etapas principais e outras de apoio, sendo a que primeira etapa é a mais importante e a mais crítica, que consiste em fazer a pré-localização, enquanto a segunda etapa determina a localização exata da falha. A pré-localização pode ser realizada através do método de reflectometria ou de pontes, e para a localização exata os métodos acústico e de tensão de passo são os recomendados.

Para falhas em capas, o método ponte é o mais indicado para a fase de pré-localização, enquanto o método de tensão de passo é o indicado para a localização exata.

Dito isto, podemos resumir o trabalho de localização de falhas em capas de cabos isolados da seguinte maneira:

Primeira etapa:

pré-localização – método ponte

O procedimento do método consiste no balanceamento da ponte, ou seja, a tensão é aplicada aos terminais e o equipamento realiza o

ajuste de resistores internos variáveis, R1 e R2, de modo que a corrente no galvanômetro G seja nula. Aplicando as Leis de Kirchhoff ao circuito equivalente e considerando uma resistência uniforme ao longo de cada um dos condutores, a posição da falha é determinada. Os cálculos são realizados automaticamente pelos firmwares dos equipamentos.

É importante destacar que, para aplicação do método, cabos auxiliares, fases irmãs ou blindagens devem estar intactos para a composição do laço, que é o arranjo de teste. A precisão dos testes pode alcançar até 1%, mas falhas de alta impedância são de difícil localização pelo método, pois as correntes envolvidas no circuito da ponte se tornam muito pequenas e isso pode impactar de forma significativa na precisão dos resultados.

A montagem do equipamento pode ser descrita conforme a figura abaixo:

“No meio do caminho tinha uma pedra tinha uma pedra no meio do
64 O Setor Elétrico / Maio-Junho de 2023
foco
Figura 1. Figura 2.

Nesse método, é necessário ter um cabo adicional de mesmas características construtivas, seção e comprimento para realizar o retorno da corrente de medição da ponte. Dessa forma, como o circuito a ser localizado contém 1 cabo com a capa com ponto de falta e as outras duas fases sem defeitos, serão utilizadas as blindagens das outras fases para o fechar o loop, conforme a figura acima.

Segunda etapa: localização exata – método de tensão de passo

Finalizando a primeira etapa, passamos então para a fase seguinte, que consiste na localização exata da falha.

Tensão de passo

Um gerador de ondas quadradas aplica um nível de tensão suficiente para causar a falta no local do defeito, que fora pré-localizado previamente.

Com um instrumento adicional (PROTRAC + SVP), geram-se pulsos que indicam a direção com maior intensidade do sinal da tensão

de passo e, seguindo o traçado, é possível localizar o ponto exato da falha.

Você pode notar, na figura 4, que para a técnica de tensão de passo funcionar é necessário que não existam obstáculos que impeçam o campo elétrico gerado pela falha de se propagar. Logo, quando o cabo está envolvido com bentonita e dentro de um duto, ou seja, quando há uma “pedra no meio do caminho”, a única maneira de se localizar o local exato é abrindo pontos no eletroduto corrugado para conseguir inserir as hastes de medição. No meio do caminho tinha uma pedra e você tirou a pedra, localizou, reparou e ligou o circuito!

O Setor Elétrico / Maio-Junho de 2023
Figura 3. Figura 4. Figura 5.
65

Energia com qualidade

Os desafios das emissões eletromagnéticas na operação das instalações elétricas – Parte II

Na edição de abril de 2023, iniciávamos os comentários sobre as emissões eletromagnéticas. O acesso à primeira parte do artigo pode ser feito pelo link: https:// www.osetoreletrico.com.br/os-desafiosdas-emissoes-eletromagneticas-naoperacao-das-instalacoes-eletricas/

O tema merece atenção e as informações são necessárias nas etapas de projeto, planejamento, operação e manutenção das instalações elétricas, além de medidas mitigatórias dos efeitos dessas emissões. Seguem alguns tópicos de avaliação.

Nesta segunda parte, trataremos das características das emissões das correntes harmônicas da carga e acionamentos em função do carregamento. As variáveis elétricas na alimentação de cargas motoras dependerão do carregamento dos motores e acionamentos e um conjunto de motores poderá assumir uma distorção de corrente maior, em regime de baixa carga, quando comparado a um regime de maior carregamento, causando aparente preocupação. O comportamento do fator de potência e distorção de tensão possui conceituação análoga.

As figuras que se seguem apresentam registros da operação de um quadro geral de ar-condicionado (QGF-AC) que alimenta

cargas de sistemas de climatização. Os registros foram tomados com instrumentos Elspec-Pure classe A com 256 amostras por ciclo. A figura 1 indica comportamento da corrente de alimentação entre 100 A e 140 A no período de carga e de 20 A à 40 A em baixa carga.

A figura 2 indica nos mesmos intervalos, distorção de corrente de 50% em carga plena e de até 70% em baixa carga e a figura 5 apresenta o comportamento da distorção

de tensão, diretamente impactada pelas correntes harmônicas e não exatamente pela distorção de correntes em regime de carga variável, como poderia ser previsível. Considere-se ainda que a distorção total de tensão possui compromisso relativos à normalização em seus limites de operação, o que não ocorre com as outras variáveis.

A figura 3 indica os registros de fator de potência total em período de carga plena da ordem de 95% capacitivo e

O Setor Elétrico / Maio-Junho de 2023 66
José Starosta é diretor da Ação Engenharia e Instalações e membro da diretoria do Deinfra-Fiesp e da SBQEE. É consultor da revista O Setor Elétrico jstarosta@acaoenge.com.br Figura 1: Registro de Corrente RMS (A). Figura 2: Registro da Distorção Harmônica Total de Corrente THDI (%).

em período de baixa carga da ordem de 30% capacitivo. Novamente, a informação em baixa carga apresenta aparente preocupação, contudo, observa-se que o comportamento da potência reativa na figura 4 indica valores da ordem de 50% da injeção de potência reativa do período de baixa carga em relação ao período de carga plena. Por se tratar de período da madrugada, a leitura deve ser avaliada, não no quadro de ar-condicionado, mas

no quadro geral de baixa tensão, onde serão indicadas as providências a serem tomadas em função da regulação relativa à cobrança de excedentes reativos nesse período da madrugada.

As decisões de mitigação das situações devem considerar avaliação das diversas variáveis elétricas registradas e conhecidas, tomadas em resolução e regimes adequados: temas para as próximas edições.

CHEGARAM NOVIDADES ILUMINE SUA CASA

COM ESTILO E

I l u m i n e s u a ca s a co m e s t i l o e s ofi s t i ca çã o u s a n d o a ra n d e l a s e p l a fo n s d e s o b re p o r

C o m d e s i g n m o d e r n o , f á c i l i n s ta l a çã o e o p çõ e s co m s e n s o r d e p r e s e n ç a , e s s e s p r o d u t o s p ro p o rci o n a m iluminação suave e a co n ch e g a n te

D e i x e s u a c a s a a i n d a m a i s b o n i ta e i l u m i n a d a e s co l h e n d o a o p çã o q u e m a i s co m b i n a co m s e u e s t i l o.

O Setor Elétrico / Maio-Junho de 2023
Figura 3: Registro do Fator de Potência Total. Figura 4: Registro da Potência Reativa Total. Figura 5: Registro da Distorção Total de Tensão: THDV.
67 PA RATE C
PLAFON ARANDELA Redondo Sobrepor 30cm com sensor de presença ...... .... .... .. ....
SOFISTICAÇÃO!
VENDAS@PARATEC.COM.BR Tel.: (11) 3641-9063

Roberval Bulgarelli É consultor sobre equipamentos e instalações em atmosferas explosivas, engenheiro eletricista, com mestrado em proteção de sistemas elétricos de potência pela POLI/USP. Organizador do Livro “O ciclo total de vida dos equipamentos e instalações em atmosferas explosivas”.

Novo laboratório brasileiro para ensaios de equipamentos “Ex”

Parte 1/2

Prezados colegas, cujos trabalhos estão envolvidos com a segurança dos equipamentos e das instalações de instrumentação, automação, telecomunicações, elétricas e mecânicas “Ex” em áreas classificadas contendo gases inflamáveis ou poeiras combustíveis.

Foi aprovado pelo Inmetro, em 31/03/2023, um novo Laboratório brasileiro para Ensaios de Equipamentos de instrumentação, automação, telecomunicações, elétricos e mecânicos “Ex”, o CPEx (Centro de Pesquisa em Atmosferas Explosivas), localizado na cidade de Hortolândia, no Estado de São Paulo.

ABNT NBR IEC 60079-7);

• Ex “i”: Segurança intrínseca (Norma Técnica Brasileira adotada ABNT NBR IEC 60079-11);

• Ex “m”: Encapsulamento (Norma Técnica Brasileira adotada ABNT NBR IEC 60079-18);

• Ex “n”: Não centelhante (Norma Técnica Brasileira adotada ABNT NBR IEC 60079-15);

• Ex “op”: Proteção óptica (Norma Técnica Brasileira adotada ABNT NBR IEC 60079-28);

• Ex “p”: Invólucros pressurizados (Norma Técnica Brasileira adotada ABNT NBR IEC 60079-2);

• Ex “t”: Proteção por invólucro contra ignição de poeiras combustíveis (Norma Técnica Brasileira adotada ABNT NBR IEC 60079-31);

• Ex ”h”: Métodos e requisitos básicos para avaliação de equipamentos não elétricos para atmosferas explosivas (Norma Técnica Brasileira adotada ABNT NBR ISO 80079-36)

Certificado de Acreditação emitido pelo Inmetro para o CPEx Laboratório, para atuar como Laboratório de Ensaios de Equipamentos de instrumentação, automação, telecomunicações, elétricos e mecânicos “Ex”.

De acordo com o escopo de acreditação publicado pelo Inmetro, o Laboratório de Ensaios de Equipamentos “Ex” do CPEx foi aprovado para executar ensaios para equipamentos com os seguintes tipos de proteção “Ex”:

• Ex “d”: Invólucros à prova de explosão (Norma Técnica Brasileira adotada ABNT NBR IEC 60079-1);

• Ex “e”: Segurança aumentada (Norma Técnica Brasileira adotada

Instalações Ex 68 O Setor Elétrico / Maio-Junho de 2023
Exemplo de instalação de equipamentos “Ex” em áreas classificadas contendo a presença de atmosferas explosivas, formadas por gases inflamáveis ou poeiras combustíveis.

• Ex “c” (Segurança construtiva), Ex “b” (Controle de fontes de ignição) e Ex “k” (Imersão em líquido) para equipamentos não elétricos para atmosferas explosivas (Norma Técnica Brasileira adotada ABNT NBR ISO 80079-37)

Exemplos de tipos de proteção “Ex” aplicáveis para a certificação de equipamentos de instrumentação, automação, telecomunicações, elétricos ou mecânicos “Ex”, para instalação em áreas classificadas contendo a presença de atmosferas explosivas formadas por gases inflamáveis ou poeiras. combustíveis.

Exemplo de instalação de equipamento mecânico (corta-chama) com certificação “Ex” (Normas da Série ABNT NBR ISO 80079) montado em área classificada contendo gases inflamáveis.

Exemplo de instalação de equipamentos de instrumentação e elétricos com certificação “Ex” (Normas da Série ABNT NBR IEC 60079) e equipamentos mecânicos com certificação “Ex” (Normas da Série ABNT NBR ISO 80079), instalados em áreas classificadas.

Exemplo de conjunto moto-bomba contendo equipamento elétrico (motor) com certificação “Ex” (Normas da Série ABNT NBR IEC 60079) e equipamentos mecânicos (acoplamento e bomba centrífuga) com certificação “Ex” (Normas da Série ABNT NBR ISO 80079) para instalação em áreas classificadas marítimas ou terrestres, com a presença de atmosferas explosivas, formadas por gases inflamáveis ou poeiras combustíveis.

Além da possibilidade de execução de ensaios nas instalações do próprio Laboratório “Ex”, o escopo de acreditação pelo Inmetro incluiu também a possibilidade da execução de alguns ensaios nas instalações dos clientes, como por exemplo, nas instalações de fabricantes de equipamentos elétricos ou mecânicos “Ex”, ou nas instalações de empresas proprietárias de equipamentos “Ex” ou empresas usuárias de instalações “Ex”.

Exemplo de conjunto pré-fabricado (Skid), contendo a instalação de equipamentos de instrumentação e elétricos com certificação “Ex” (Normas da Série ABNT NBR IEC 60079) e equipamentos mecânicos com certificação “Ex” (Normas da Série ABNT NBR ISO 80079), montado em área classificada.

Exemplo de instalação de equipamentos “Ex” para automação, em áreas classificadas contendo a presença de atmosferas explosivas, formadas por gases inflamáveis ou poeiras combustíveis.

69 O Setor Elétrico / Maio-Junho de 2023

Brval

(21) 3812-3100

www.brval.com.br

Clamper

(31) 3689-9500

www.clamper.com.br

Cobrecom

(11) 2118-3200

www.cobrecom.com.br

Embrastec

(16) 3103-2021

www.embrastec.com.br

Exponencial

(31) 3317-5150

www.exponencialmg.com.br

Gimi Soluções

(11) 2532-9825

www.gimi.com.br

Incesa

(17) 3279-2600

www.incesa.com.br

Intelli

(16) 3820-1500

www.grupointelli.com.br

Itaipu Transformadores

(16) 3263-9400

www.itaiputransformadores.com.br

Minuzzi

(19) 3272-6380

www.minuzzi.ind.br

Mitsubishi Electric

(11) 4689-3000

br.mitsubishielectric.com

Paratec

(11) 3641-9063

www.paratec.com.br

Pextron

(11) 5094-3200

www.pextron.com

Romagnole

(44) 3233-8500

www.romagnole.com.br

Sil (11) 3377-3333

www.sil.com.br

Trael

(65) 3611-6500

www.trael.com.br

Varixx

(19) 3301-6902

www.varixx.com.br

19 14 21 63 67 43 51 53 47 39 9 13 7 35 70 Índice
O Setor Elétrico / Maio-Junho de 2023
capa, 3 e Fascículos capa
de anunciantes
3ª capa

Turn static files into dynamic content formats.

Create a flipbook
Issuu converts static files into: digital portfolios, online yearbooks, online catalogs, digital photo albums and more. Sign up and create your flipbook.