Revista O Setor Elétrico (Edição 194 - abr 2023)

Page 1

PARA-RAIOS COM EMISSÃO ANTECIPADA DE LÍDER

ENTREVISTA EXCLUSIVA COM ESPECIALISTAS DISCUTE EFICÁCIA DO CAPTOR COM DISPOSITIVO DE IONIZAÇÃO

- Liberdade de escolha: como a tendência de abertura do mercado energético pode impactar o cenário nacional

- Geração própria de energia impulsiona o Brasil no ranking mundial de energia solar

- Estudo: curva da corrente de curto-circuito de decremento de gerador

- Pesquisa setorial traz levantamento sobre mercado de quadros, painéis e acessórios

FASCÍCULOS DESTA EDIÇÃO:

- Desafios e oportunidades para o mercado brasileiro de ônibus zero emissão

- Energia incidente: uma análise sobre o modelo IEEE 1584-2018

- Modernização da distribuição e o empoderamento dos usuários

- Energias renováveis e o hidrogênio verde

A no 18 - E diçã o 194 / Abril d e 2 0 2 3
Congresso & Exposição 13 ANOS

A proteção contra descargas atmosféricas e a polêmica com os para-raios

Centenas de artigos na Internet, ânimos exaltados de um lado e de outro, um grupo de trabalho criado para tratar do assunto a partir de uma demanda junto à ABNT – Associação Brasileira de Normas e Técnicas. Todo esse imbróglio gira em torno da segurança de utilização da tecnologia ESE, da sigla Early Streamer Emission, assunto que tem tomado o centro das discussões no Brasil, devido, sobretudo, a informações de que o para-raios com dispositivo de ionização não teria eficiência comprovada.

De outro lado, porém, está o grupo que confia na funcionalidade e utilização do captor. Com o intuito de dar um tom mais aberto às opiniões de especialistas na área, a Revista O Setor Elétrico traz nesta edição uma série de entrevistas, no formato de perguntas e respostas, espaço no qual conhecedores do segmento trazem seus pontos de vista, também a partir de suas áreas de atuação, incluindo pesquisa, projeto e comercialização, bem como usuários contratantes de proteção contra descargas atmosféricas.

Destacamos que as opiniões manifestadas não refletem, necessariamente, o ponto de vista deste veículo de comunicação. As entrevistas foram conduzidas pelo engenheiro eletricista Jobson Modena, especialista em proteção contra descargas atmosféricas e que também faz parte da coordenação da comissão que trabalha atualmente a revisão do texto da NBR 5419 – norma brasileira relacionada à proteção contra descargas atmosféricas.

Modena abre as entrevistas com o professor Hélio Sueta, secretário da comissão que revisa o texto da NBR 5419, e segue com Danilo Ferreira de Souza, doutorando em eficiência energética e integrante da comissão de estudos da norma em questão, Benjamin Cheval, representante de um dos fabricantes dos captores ESE no Brasil, Paulo Edmundo Freire, membro da comissão de proteção contra descargas atmosféricas, Alex Muzzi, engenheiro eletricista com MBA em Gestão de Negócios e encerra com Juberto Rocha, engenheiro de Segurança de Processos na Ternium, indústria siderúrgica do Rio de Janeiro e integrante do comitê de revisão da norma regulamentadora pela Confederação Nacional da Indústria (CNI).

Esperamos que o conteúdo, construído a partir de distintas vozes e interesses, venha a ser esclarecedor e relevante para você leitor.

Em outro destaque desta edição, a jornalista Fernanda Pacheco nos traz uma reportagem abordando o ambiente competitivo do Mercado Livre de Energia e seus principais aspectos de negociação, ouvindo vozes distintas do setor, que nos falam sobre o impacto que o modelo pode trazer na forma como produzimos e consumimos energia, além de outras análises objetivas desse ambiente onde os consumidores, cada vez mais interessados em ter liberdade de escolher o seu fornecedor de energia, caminham na direção do que já é realidade em grande parte do mundo. Afinal, a abertura completa do mercado em 2026 é algo que segue no horizonte? As vantagens superam os eventuais riscos? Fique por dentro de tudo o que reunimos sobre o assunto e suas possíveis implicações para o futuro energético.

Aproveite a leitura!

Abraços, Alessandra Leite alessandra@atitudeeditorial.com.br

Acompanhe nossoas lives e webinars com especialistas do setor em nosso canal no YouTube: https://www.youtube.com/osetoreletrico

www.osetoreletrico.com.br Setor Elétrico Ano Edição 194 ABRIL 2023 PARA-RAIOS COM EMISSÃO ANTECIPADA DE LÍDER ENTREVISTA EXCLUSIVA COM ESPECIALISTAS DISCUTE EFICÁCIA DO CAPTOR COM DISPOSITIVO DE IONIZAÇÃO - Liberdade de escolha: como a tendência de abertura do mercado energético pode impactar o cenário nacional - Geração própria de energia impulsiona o Brasil no ranking mundial de energia solar - Estudo: curva da corrente de curto-circuito de decremento de gerador - Pesquisa setorial traz levantamento sobre mercado de quadros, painéis e acessórios FASCÍCULOS DESTA EDIÇÃO: - Desafios e oportunidades para o mercado brasileiro de ônibus zero emissão - Energia incidente: uma análise sobre o modelo IEEE 1584-2018 - Modernização da distribuição e o empoderamento dos usuários - Energias renováveis e o hidrogênio verde Editorial 4 O Setor Elétrico / Abril de 2023 Edição 194

atitude@atitudeeditorial.com.br

Diretores

Adolfo Vaiser Simone Vaiser

Assistente de circulação, pesquisa e eventos

Henrique Vaiser – henrique@atitudeeditorial.com.br

Victor Meyagusko – victor@atitudeeditorial.com.br

Administração

Roberta Nayumi administrativo@atitudeeditorial.com.br

Editora

Alessanda Leite – MTB - 171 AM alessandra@atitudeeditorial.com.br

Reportagem

Fernanda Pacheco - fernanda@atitudeeditorial.com.br

Publicidade

Diretor comercial

Adolfo Vaiser

Contato publicitário

Willyan Santiago - willyan@atitudeeditorial.com.br

Direção de arte e produção

Leonardo Piva - atitude@leonardopiva.com.br

Colaboradores técnicos da publicação

Daniel Bento, Jobson Modena, José Starosta, Luciano Rosito, Nunziante Graziano, Roberval Bulgarelli.

Colaboradores desta edição

Ábner Cézar Peres Pacheco, Arnaldo José Pereira Rosentino Junior, Caio Huais, Carlos Frederico Meschini Almeida, Claudio Mardegan, Daniel Bento, Danilo Ferreira de Souza, Edilson Mineiro Sá Jr., Eduardo Costa Sá, Fernando L.M. Antunes, Fillipe Matos de Vasconcelos, Flávia Consoni, Ivan Nunes Santos, João José Barrico de Souza, José Starosta, Jurandir Picanço Jr., Lindemberg Reis, Luciane Neves Canha, Luciano Rosito, Luiz André Danesin, Luiz Carlos Catelani Junior, Luiz Henrique Leite Rosa, Nelson Kagan, Nunziante Graziano, Paulo Edmundo Freire, Roberval Bulgarelli, Saulo Cisneiros, Sergio Médici de Eston, Stefano Régis Gualtieri e Wagner Costa.

A Revista O Setor Elétrico é uma publicação mensal da Atitude Editorial Ltda., voltada aos mercados de Instalações Elétricas, Energia e Iluminação, com tiragem de 13.000 exemplares. Distribuída entre as empresas de engenharia, projetos e instalação, manutenção, indústrias de diversos segmentos, concessionárias, prefeituras e revendas de material elétrico, é enviada aos executivos e especificadores destes segmentos.

Os artigos assinados são de responsabilidade de seus autores e não necessariamente refletem as opiniões da revista. Não é permitida a reprodução total ou parcial das matérias sem expressa autorização da Editora.

Capa: istockphoto.com | blanktruth

Impressão - Referência Editora e Gráfica

Distribuição - Correios

Atitude Editorial Publicações Técnicas Ltda.

Rua Piracuama, 280, Sala 41

Cep: 05017-040 – Perdizes – São Paulo (SP)

Fone - (11) 98433-2788

www.osetoreletrico.com.br

atitude@atitudeeditorial.com.br

Filiada à

39 Suplemento Renováveis

Com texto de autoria de Joaquim Rolim, engenheiro eletricista pela Universidade Federal da Bahia (UFBA) e coordenação do engenheiro mecânico e eletricista e presidente da Câmara Setorial de Energias Renováveis do Ceará – CSRenováveis/CE, Jurandir Picanço, o terceiro capítulo se concentra nas fontes eólicas e solar, por serem as que mais crescem no Brasil, apresenta conceitos tecnológicos e destaca o País no mercado mundial de hidrogênio verde.

4 Editorial

6 Entrevista Especial

Proteção contra descargas atmosféricas: o imbróglio sobre os para-raios com emissão antecipada de líder: especialistas emitem opiniões sobre a polêmica no segmento.

18 Painel de Notícias

O Brasil passou a figurar recentemente no ranking dos dez países com maior capacidade de energia solar e bateu novo recorde e acrescentou 1 GW de potência em GD em apenas 18 dias; PotencializEE programa de eficiência energética engaja 950 pequenas e médias indústrias em São Paulo.

23 Fascículos

Mobilidade elétrica – desafios e oportunidades

Avaliação de energia incidente Modernização do setor de distribuição

46 Artigo Técnico

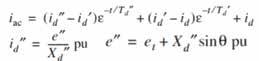
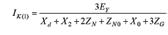
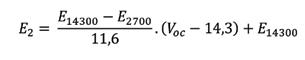
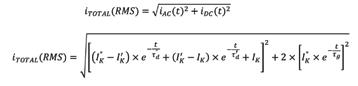
Curva de decremento da corrente de curto-circuito do gerador

52 Reportagem

Mercado Livre de Energia e a nova dinâmica do setor elétrico: desafios e perspectivas.

58 Guia Setorial

Quadros e painéis são fundamentais para o bom funcionamento e confiabilidade da instalação e tem a função de distribuir a energia elétrica através de pontos de consumo de um imóvel, seja em imóvel residencial ou comercial. É um dos mercados promissores do setor elétrico e tem o guia setorial desta edição dedicado ao que tem de mais inovador nas empresas.

62 Espaço Aterramento

A curva média de resistividades aparentes Parte 2

64 Espaço SBQEE

Os Desafios da Medição Harmônica no Sistema Elétrico de Potência: a Influência da Resposta em Frequência de Transformadores de Potencial

66 Espaço Cigre-Brasil

Os Desafios da Medição Harmônica no Sistema Elétrico de Potência: a Influência da Resposta em Frequência de Transformadores de Potencial Colunas

68 Jobson Modena – Proteção contra raios

69 Cláudio Mardegan – Análise de Sistemas Elétricos

70 Luciano Rosito – Iluminação pública

71 Aguinaldo Bizzo – Segurança do Trabalho

72 Danilo Ferreira de Souza – Energia e Sociedade

74 Caio Cezar Neiva Huais – Manutenção 4.0

75 Nunziante Graziano – Quadros e Painéis

76 Daniel Bento – Redes Subterrâneas em Foco

78 José Starosta – Energia com Qualidade

80 Roberval Bulgarelli –Instalações EX

Sumário 5

Por Jobson Modena – Engenheiro eletricista, com atuação principalmente em temas como compatibilidade eletromagnética, aterramento, proteção contra descargas atmosféricas e proteção contra surtos. Diretor na Guismo Engenharia. Membro do Comitê Brasileiro de Eletricidade (Cobei).

Proteção contra descargas atmosféricas: o imbróglio sobre os para-raios com emissão antecipada de líder

Proteção contra descargas atmosféricas: o imbróglio sobre os para-raios com emissão antecipada de líder

Proteção contra descargas atmosféricas: o imbróglio sobre os para-raios com emissão antecipada de líder

Entrevista Especial 6 O Setor Elétrico / Abril de 2023

Uma rápida busca na Internet e centenas de artigos e informações sobre os perigos causados pela utilização de sistemas não convencionais de proteção contra descargas atmosféricas surgem em nossas telas. Isso porque um imbróglio relacionado à tecnologia ESE, da sigla Early Streamer Emission, tem tomado o centro das discussões aqui no Brasil. Há informações dando conta de que o para-raios com dispositivo de ionização não tem eficiência comprovada. De outro lado, há o grupo que acredita na funcionalidade e utilização do captor ESE.

Devido a essa discussão, surgiu uma demanda da sociedade junto à ABNT – Associação Brasileira de Normas e Técnicas, para a criação de um grupo, com o intuito de tratar desses captores ionizantes, especificamente do captor com emissão antecipada de líder.

Para ouvir a opinião de diferentes segmentos acerca do assunto, a revista O Setor Elétrico traz, nesta edição, uma série de entrevistas voltadas para Deram sua opinião especialistas em suas áreas de atuação (pesquisa, projeto

e comercialização), bem como usuários contratantes de proteção contra descargas atmosféricas (PDA).

As entrevistas foram conduzidas pelo engenheiro eletricista e especialista em proteção contra descargas atmosféricas, Jobson Modena, diretor da Guismo Engenharia e colunista da OSE. Atualmente, Jobson coordena a comissão que revisa o texto da NBR 5419, norma brasileira relacionada à proteção contra descargas atmosféricas.

Cabe informar que as opiniões manifestadas por cada segmento durante a entrevista são pessoais e não refletem, necessariamente, a opinião deste veículo de comunicação.

Vamos abrir a série de entrevistas com o professor doutor Hélio Sueta, secretário da comissão que revisa o texto da NBR 5419 e relator do grupo criado para tratar do assunto relacionado aos captores ESE. Sueta é engenheiro, mestre e doutor pela escola politécnica, Instituto de Energia e Ambiente. Atua na divisão de planejamento e análises de desenvolvimento energético do IEE-USP.

7 O Setor Elétrico / Abril de 2023

Danilo Ferreira de Souza, engenheiro eletricista, doutorando em eficiência energética –participa ativamente dos estudos de proteção contra descargas atmosféricas, atuando na comissão de estudos que revisa o texto da NBR 5419. Danilo é professor na Universidade Federal de Mato Grosso (UFMT), onde fez a graduação. É especializado em energia pela Universidade Federal do Rio de Janeiro (UFRJ) e tem mestrado em Energia pela Universidade de São Paulo (USP). Atualmente, faz doutorado também na USP, cujo tema central é eficiência energética.

Jobson Modena – Na sua opinião, no que o avanço da divulgação da proteção contra descargas atmosféricas, seja em relação a normas, seja em relação a congressos e outras atividades, tem contribuído para minimizar os riscos oferecidos pelos raios? O que poderia ser melhorado?

Danilo de Souza – Eu acho que a melhoria já tem acontecido. Nós apresentamos um trabalho em outubro do ano passado, no ICLP (International Conference on Lightning Protection), onde mostramos uma análise, com base nos dados colhidos junto ao Datasus, de acidentes envolvendo raios. Fizemos uma base de dados entre 2010 e 2020 a partir dessas informações. Nós mostramos que, em 2010 só pelo Datasus, não envolvendo outras fontes, o sistema brasileiro de saúde registrou 0,39 mortes por raios por milhão de habitantes.

A queda foi expressiva: em 2020, onze anos depois, fomos de 0,39 para 0,28, ou seja, houve uma redução significativa, pois enquanto a população e o número de raios aumentaram, o número de mortes caiu. Temos atribuído isso a diversos trabalhos de divulgação científica, a matérias jornalísticas, ao trabalho dos integrantes da CE 64.10 frente à NBR 5419. Por essa fonte de dados, temos mostrado que os acidentes com raios têm diminuído, nesse sentido, e esse bojo de possibilidades tem afetado a divulgação, os trabalhos, a norma. Acredito que é importante continuar esse trabalho de aperfeiçoar normas e de realizar a divulgação intensa, para que possamos tentar zerar esse número futuramente.

Jobson Modena – Você entende que essa divulgação atinge mais os usuários de norma, os técnicos que vão trabalhar na proteção contra descargas atmosféricas nos mais diferentes nichos, ou irá atingir o “cara comum”, o não-técnico, aquele que irá usufruir da proteção criada pelos técnicos? Para qual grupo essa informação será mais efetiva?

Danilo de Souza – Eu tenho dificuldade para dizer para qual grupo é mais importante, talvez comentar a diferença para cada um. A divulgação para eletricistas, projetistas e técnicos é de suma importância, uma vez que eles são os profissionais que elaboram os projetos e instalam sistemas. Divulgar para esse público profissional a questão das melhorias dos materiais e equipamentos, o rigor com o projeto e com a execução ajuda muito a proteger as edificações, contudo, é preciso também uma outra fonte de divulgação atuando com o leigo, pois ainda existem muitos mitos sobre raios, como “onde cai uma vez, não cai mais”, “se você usar tal pedra no pescoço estará protegido” etc. Acredito que, neste caso, a divulgação científica para o leigo seria feita com ajuda da mídia. Temos também que utilizar as tecnologias de informação – como as redes sociais e mensagens de texto da Defesa Civil para nos ajudar.

Tendo isso em vista, não consigo dizer para qual grupo essa divulgação se faz mais importante, mas acredito que ela deve abranger essas duas frentes: o leigo e o profissional técnico.

Jobson Modena – Partindo para o assunto motivo desta entrevista, qual é a sua opinião sobre captores ESE comparados aos sistemas convencionais? Poderia traçar um paralelo, dentro das suas convicções, abrangendo o que considera ser mais ou menos interessante sobre essa tecnologia?

Danilo de Souza – Na minha opinião, toda discussão sobre os perigos dos raios e a possibilidade de danos severos às pessoas, ao patrimônio e à produtividade é bem-vinda. Antes de falarmos sobre essa tecnologia alternativa em particular, é importante ressaltar que novas tecnologias também são sempre bem-vindas, desde que realmente funcionem. Nos eventos que participo e em minhas leituras sobre o tema, enfatizando que não sou pesquisador desta área, mas consigo, com muita atenção, ler e entender os trabalhos nela desenvolvidos, tenho observado que a proteção não-convencional (incluindo os captores ESE, DAS e o CTS) é um tópico frequentemente discutido em fóruns e congressos. Nestas discussões, tenho percebido que essa questão da captação não-convencional é tida como algo superado, do ponto de vista científico.

Busco informações com as maiores referências nesta área, e é clara a constatação de que não há evidências de funcionamento desses sistemas. Os pesquisadores não têm mais esse tema como um problema para pesquisa, mas sim como uma questão superada. Vejo isso muito mais como uma questão de mercado.

Precisamos pesquisar formas de melhorar a proteção convencional e, eventualmente, desenvolver dispositivos que possam efetivamente funcionar. Não é uma questão de ser conservador ou não, e sim de observar o que dizem as discussões relevantes do meio científico. Isto posto, o que observei até agora é o suficiente para que eu possa formar uma opinião até este momento. Não estou convencido de que esses sistemas não-convencionais são eficientes na proteção contra raios, eles operam como um outro captor qualquer.

Jobson Modena – Você entende que divulgar a discussão acerca dos captores ESE para o público em geral é um caminho efetivo?

Danilo de Souza – Percebo que a compreensão acerca deste tema é difícil até mesmo para quem é técnico na área e, por isso, acredito que essa informação não seja útil para leigos. Penso que a pauta deve ser voltada para os técnicos, que deveriam se informar através do que se tem produzido de pesquisa nesta área.

Entrevista Especial 8 O Setor Elétrico / Abril de 2023

Juberto Rocha, engenheiro de Segurança de Processos na Ternium, indústria siderúrgica do Rio de Janeiro com 10 km de comprimento e 4 km de largura – uma grande área suscetível ao impacto de raios. Juberto também é atuante no GT de NR

10 e participa, pela Confederação Nacional da Indústria (CNI), do comitê de revisão da norma regulamentadora.

Jobson Modena – O que você, enquanto usuário, entende por “mercado de normalização da PDA” e qual é a sua opinião em relação à normalização da PDA no Brasil?

Juberto Rocha – Acho que esse é um assunto muito importante para o desenvolvimento das instalações, dos projetos que estão em andamento no Brasil e das empresas. Esse processo tem muito a contribuir para que as instalações estejam mais seguras.

A normalização é um requisito. Temos as normas regulamentadoras e a ABNT, sendo a primeira obrigatória por lei – o que não quer dizer que a ABNT não seja, até porque as regulamentadoras “chamam” a ABNT para dentro do seu texto. Isso faz com que nós, como profissionais, olhemos atentamente para esses documentos que norteiam os projetos. Enquanto usuário e consumidor de normas, sei a importância desse documento para os projetos.

Quando vamos discutir algum projeto ou realizar uma auditoria ou uma verificação em uma instalação, sempre iremos recorrer a uma norma ABNT ou uma regulamentadora, buscando continuamente a adequação daquele sistema e, principalmente, visando a segurança das pessoas que estão envolvidas naquele ambiente. Para mim, isso é algo que não pode ser desprezado por nenhum profissional.

Jobson Modena – Como os assuntos “proteção contra descargas atmosféricas”, “proteção contra surtos” e “proteção em áreas abertas” chegam até você? Você entende que essa divulgação é interessante, excessiva ou está abaixo do que poderia ser feito?

Juberto Rocha – Acho que ainda não é o adequado. Ainda temos uma lacuna muito grande entre o que é discutido dentro de um comitê normativo e o que as pessoas que são consumidoras de norma entendem e interpretam a partir disso ou, às vezes, nem consultam para executar um projeto.

Existe, de fato, uma lacuna a ser preenchida nos quesitos informação, divulgação, capacitação e treinamento dos profissionais e daqueles que, talvez, estejam contratando esse serviço. Os contratantes, por vezes, não desejam se envolver tecnicamente e muito menos saber detalhes de norma, talvez por não ser sua área de atuação. Contudo, ele quer um projeto seguro, adequado e dentro do orçamento. Por isso, é obrigação do profissional e da empresa que está executando o projeto conhecer e executar conforme a norma.

Em suma, no meu entendimento, realmente falta informação. Trazendo para a NR 10, cabe lembrar que, mesmo sendo uma norma muito mais divulgada a nível de empresa, por abranger todo o sistema elétrico, e não apenas a PDA, foi identificado pelo governo uma fragilidade de divulgação da norma, o que tem causado muitos acidentes e instalações inadequadas. Com isso, constatou-se a

necessidade de ampliar a sua divulgação para todos os setores, de forma que todos conheçam, pratiquem e executem o trabalho conforme a norma preconiza.

Jobson Modena – Como e com qual frequência as informações referentes ao sistema de captação ESE em comparação com os sistemas convencionais chegam até você? Qual é a sua opinião relacionada a esses dois?

Juberto Rocha – Bom, o sistema convencional já é bem disseminado nas instalações e nos projetos. Já a tecnologia ESE vem, de um tempo para cá, sendo ofertada pelas empresas e acho bem interessante que seja, mas ainda assim existem alguns pontos que precisam ser esclarecidos sobre ela. Não estou dizendo que ela não seja adequada, apenas que ainda faltam alguns esclarecimentos técnicos sobre o bom funcionamento dessa tecnologia. Mas acho interessante.

Enquanto consumidor, já participei de algumas reuniões aqui na companhia com algumas empresas fornecedoras apresentando este produto. Na nossa empresa, ainda não temos nenhum instalado, o que não quer dizer que não teremos. Acho importante, sim, dar lugar, conhecer e participar de reuniões sobre o tema, até para entendermos como está o mercado e o avanço da tecnologia.

Jobson Modena – O que você está me dizendo é que, sobre os captores não convencionais, você teve acesso a uma quantidade de informações e até oferecimento da tecnologia, o que não aconteceu em relação aos convencionais. Então, para você enquanto usuário, os fabricantes dos sistema convencional precisaria “se jogar” mais no mercado?

Juberto Rocha – Olhando por esse ponto de vista, sim. Por outro lado, quando falamos em adequação de uma instalação ou em novos projetos que dependerão de um estudo sobre a instalação ou não de um sistema de captação, já pensamos diretamente no sistema convencional. Por isso, acredito que, no princípio de funcionamento, dispensa-se apresentação.

Agora, quando vamos para um sistema não convencional, entendo que seja necessária uma apresentação do princípio de funcionamento.

A diferença é essa, mas, se os dois funcionam, sabemos que o objetivo principal de proteger a instalação será atingido com ambos, variando a forma de funcionamento.

Entendo que, um eu conheço como funciona (captor convencional), é muito simples, não tem tecnologia. São cabos, ferragens, conectores. Já o outro (captor não convencional), quando olhamos para a definição da sua tecnologia, falamos “peraí, ele antecipa? Me explica como isso funciona!”. Essa é a diferença.

9 O Setor Elétrico / Abril de 2023

Jobson Modena – Qual é a sua opinião sobre o mecanismo relacionado à normalização nacional? Quais seriam os pontos principais de melhoria desta condição?

Benjamin Cheval – Antes de participar da ABNT, a Indelec já participava há décadas nos diversos níveis de normalização a nível internacional na IEC, onde temos representante, além de outros comitês. Por isso, sabemos o quanto o processo de normalização é, ao mesmo tempo, moroso e fundamental para a evolução de um país e da sociedade como um todo.

O objetivo da normalização é promover a boa técnica aos usuários das normas e, ao mesmo tempo, garantir a segurança da população. Contudo, é possível haver melhorias nesta padronização. Infelizmente, no caso de algumas comissões, como é o caso da comissão para proteção contra descargas atmosféricas, a sociedade e seus consumidores ainda são pouco representados, o que é um erro, uma vez que as normas são feitas também para eles.

Sem essa representação, existe o risco de haver decisões tomadas não apenas por justificativas técnicas (como deveria ser), mas também por interesses econômicos, ainda mais quando se trata de commodities, como é o caso do cobre. Isso acaba, consequentemente, beneficiando não a população, mas sim os fabricantes. Por isso, o melhor seria tentar estabelecer um grau maior de representatividade da população nas comissões, mas isso não é fácil.

Jobson Modena – Como a Indelec trabalha para popularizar o conceito do ESE?

Benjamin Cheval – Antes de querer “evangelizar” sobre uma determinada tecnologia, o primeiro passo é conscientizar a população de que ela precisa se proteger, para que, caso seja necessária uma proteção, ela tenha a opção de escolher entre diversos métodos, e não apenas um único método que vai ser imposto por alguém que tenha um interesse econômico agregado.

Falando de maneira técnica, existe o gerenciamento de risco, que permitirá estabelecer se uma determinada estrutura precisa ser protegida ou não e, se sim, qual será o nível de proteção. Baseado na necessidade de proteção, é preciso manter o nível de imparcialidade e mostrar para a pessoa que existem tanto os sistemas convencionais de proteção, com suas vantagens e desvantagens, e sistemas modernos de proteção, também com vantagens e desvantagens. Para tanto, é necessário elaborar uma especificação técnica que leve em conta as demandas do cliente para, eventualmente, optar por esse sistema moderno de proteção. Nós da Indelec nunca iremos responder a uma demanda de proteção já apresentando, especificamente, esse sistema. A preconização será o resultado desse trabalho de conscientização, gerenciamento de risco e especificação técnica baseada no que o cliente achar melhor. Não podemos nos esquecer que, mesmo que tenhamos interesse em divulgar essa tecnologia, há muitos fatores a serem considerados, como o econômico e o técnico.

Jobson Modena – Como você sabe, existe um grupo técnico de trabalho dentro da comissão que vem sendo utilizado como ferramenta para viabilizar tecnicamente o assunto, não só para os membros da comissão, como também numa tentativa de esclarecer de uma vez por todas a coletividade. Na sua visão, o que esse grupo tem feito para atingir esse objetivo?

Benjamin Cheval – Ninguém é dono da verdade, todos nós devemos que estar abertos para o debate técnico. O que temos feito, falando especificamente do GT 9, é trazer o que entendemos ser bom, ou seja, o que entendemos já ser aceito e já funcionar, mas também estamos dispostos a escutar o lado contrário, que pode ter dúvidas ou até mesmo queixas. Cabe a nós saber responder, diminuir essas dúvidas e convencê-los do contrário. Como isso é possível? Primeiramente, através de documentos normativos existentes. Para tanto, podemos aproveitar a experiência de países que já adotam essa medida

Entrevista Especial 10 O Setor Elétrico / Abril de 2023
Benjamin Cheval, country manager na Indelec do Brasil. Benjamin representa um dos fabricantes dos captores ESE no Brasil. Participa das reuniões da CE 64.10 e do GT-9.

para entender como se dá, na prática, a aplicação do que tais documentos mencionam. Como um segundo passo, podemos entrar em uma fase um pouco mais científica e tentar procurar uma validação empírica, que basicamente é a mesma utilizada pelos sistemas tradicionais de proteção. Uma proposição que pretendemos trazer para a comissão é a realização de estudos e levantamentos estatísticos similares aos já feitos em outros países, como Cuba, Malásia, França e Espanha. O raio é o mesmo em qualquer país, o que pode variar é a densidade de descargas atmosféricas. De todo modo, fazer esse levantamento estatístico no Brasil seria um pouco mais representativo para a sociedade brasileira. Como já citado, estamos cientes que este é um processo moroso, ou seja, não se cria uma norma da noite para o dia, sendo necessário antes realizar todo esse trabalho de estudo. Por isso, não temos medo de convidar profissionais, estrangeiros e brasileiros, para trazer seus pontos de vista em relação à tecnologia, ou até mesmo em relação a opiniões contrárias. Acredito que este é o único jeito de fazermos um trabalho bem feito.

Jobson Modena – Para você, quais são as vantagens e desvantagens comparativas entre sistemas de captação convencionais e sistemas ESE?

Benjamin Cheval – Resumindo em poucas linhas, captores convencionais como o Franklin se baseiam no mesmo conceito que Benjamin Franklin havia descoberto há 250 anos atrás. São condutores metálicos que vão se reaproveitar da concentração do campo elétrico, que encontramos em estruturas elevadas ou, de modo geral, em pontos elevados e pontiagudos. Eles são passivos e não controlam a emissão do líder ascendente. Por outro lado, para fazermos esse comparativo, o ESE é basicamente um Franklin acrescido de um dispositivo de ionização que foi desenvolvido há mais de 35 anos. Tal dispositivo é, basicamente, um circuito eletrônico. Dessa forma, a única diferença reside na captação, onde teremos uma antecipação na emissão do líder ascendente. O objetivo é ter uma conexão de maior altura com o descendente e, consequentemente, um maior raio de proteção. O que não podemos esquecer é que ambos os sistemas possuem as mesmas comprovações científicas, que já mencionamos aqui. Contudo, tal comprovação é essa validação experimental que venho citando. Hoje, já existe um número de instalações suficiente para podermos calcular estatisticamente a eficiência de cada sistema. Faço questão de mencionar a pesquisa de Cuba, realizada em 2021 pelo Comitê Cubano de Eletrotécnica e pela Agência de Proteção contra Incêndios. No estudo, fizeram um comparativo bem imparcial, em que analisaram 838 instalações de sistema tradicional, para chegar em um número de 0.6% de acidentes. Fizeram a mesma coisa com o sistema ESE, em uma quantidade maior, de 8.433 instalações, para chegar em um número de 0.23% de acidente. Ou seja: ambos os sistemas cumpriram a sua função e estão dentro dos parâmetros exigidos pelos níveis de proteção, inclusive no nível 1, o que não quer dizer nada mais do que 99% de probabilidade de captação do raio. Dito isto, podemos ter um comparativo imparcial, ou seja, onde preferimos aplicar o sistema tradicional? Pequenas superfícies, por exemplo. Quando a superfície é pequena, percebemos, pela experiência, que o investimento no sistema tradicional vai ser inferior ao do sistema moderno. Entre as estruturas maiores, quando não há a possibilidade de usar componentes naturais, a tendência é – estou sendo bem factual – que o sistema moderno acabe sendo mais competitivo. Contudo, quem tem a palavra final é quem vai assinar o cheque, não eu. Por fim, gostaria de concluir com uma pergunta: a partir do momento em que ambos os sistemas possuem a mesma comprovação científica, por que ainda há alegações de que o ESE não funciona?

11 O Setor Elétrico / Abril de 2023

Paulo Edmundo Freire – Paiol Engenharia

Participante de várias comissões de estudos da ABNT. Hoje atuando mais nas comissões de aterramento. Já há muito tempo membro da comissão de proteção contra descargas atmosféricas. Tem doutorado em geociência pela Unicamp. Trabalha com modelagem de solo e tem experiência com projetos de aterramento de maneira geral, instalações prediais, comerciais e industriais, além de sistemas de transmissão de energia, linhas de transmissão, usinas fotovoltaicas e usinas eólicas.

Jobson Modena – Qual a sua opinião sobre a normalização nacional, o que você entende como progresso na normalização nacional?

Paulo Edmundo Freire – Temos que falar pelas normas do setor elétrico. As nossas normas são muito boas, muito modernas. Eu tenho citado como exemplo a revisão da norma NBR 7117, cujo projeto participei de forma muito pessoal quando finalizei meu doutorado.

Jobson Modena – Em relação à proteção contra descargas atmosféricas, como você vê o avanço da NBR 5419:2015 e quais seriam suas sugestões para o texto final da revisão dessa norma?

Paulo Edmundo Freire – A NR 5419 era uma norma muito focada em SPDA, captação, descida e aterramento e quando veio a compatibilização com norma IEC 62305, e que passou a ter as quatro partes, ficou uma norma bastante completa. Particularmente, eu tenho uma implicância com a tal da análise de risco, pois penso que é um monte de “continha” que você faz, mas que eu não vejo ali... Porque a gente a priori já tem uma expectativa do que vai ser, no caso, da classificação que a gente vai dar à instalação. Eu acredito que essa análise de risco agrega pouco, ou quase nada. Temos certas práticas que sempre tomamos independentemente dela. No mais acho que a norma é excelente.

Jobson Modena – Quanto ao subsistema de captação, que trata dos captores não convencionais, mais propriamente os captores com emissão antecipada de líder, o ESE, qual seu posicionamento a respeito?

Paulo Edmundo Freire – Não sou estudioso desse assunto porque não vou perder meu tempo estudando coisas em que eu não acredito. Claro que tem gente que estuda e é importante que pessoas façam esse tipo de pesquisa e de estudo, até para fazer uma avaliação crítica. Mas como eu, na minha opinião pessoal, a minha

avaliação sempre foi de que ele não funciona, então eu nunca investi meu tempo pra estudar uma coisa que eu acho que não funciona. O pessoal que fabrica e vende fala que é uma tecnologia nova, não é. A gente sabe que não é. O para raio ativo vem lá do começo do século passado. É uma ideia de mais de 100 anos que não vingou porque nunca conseguiu comprovar sua eficiência.

Eu tenho impressão que isso apareceu nos EUA porque lá é proibido proibir. Lá se você diz que funciona tal coisa você fabrica e vende. Se der algum problema a responsabilidade é sua. Essa é minha opinião. Mas eu não sou radicalmente contrário ao uso. Se ele for incorporado a um SPDA convencional, ele tem o seu valor. A usina fotovoltaica é aquele caso que não tem jeito. Ela está sempre com exposição aos raios e 100% de certeza que se cair um raio, algum prejuízo vai ter, vai ser inevitável.

Jobson Modena – A sua sugestão então, é que os captores ESE sejam utilizados como elementos complementares à proteção relacionada com a NR 5419?

Paulo Edmundo Freire – É isso mesmo. O captor ativo eu não acredito nele em princípio. Não acredito na forma como o pessoal apregoa o funcionamento dele. Mas nem por isso vamos condenar e tirá-lo do mapa.

É possível dar uma chance a ele como elemento complementar em uma instalação protegida de acordo com a norma 5419 ou naquelas situações onde a gente não tem condições de proteger, que pode ser uma planta fotovoltaica, mas há outras situações. Um exemplo é um museu ao ar livre. Em Inhotim, Minas Gerais, poderia ser colocado um para raio desses na esperança de diminuir a exposição da instalação às descargas atmosféricas diretas. Não confundir com essa afirmação que o ESE seja um elemento captor fabricado para proteção de áreas abertas, onde há pessoas, nesse caso vale a recomendação de que, se existe risco de queda de raio, as pessoas precisam ser retiradas.

Entrevista Especial 12 O Setor Elétrico / Abril de 2023

Hélio Sueta é engenheiro, mestre e doutor pela escola politécnica, Instituto de Energia e Ambiente. Atua hoje na divisão de planejamento e análises de desenvolvimento energético. Experiente em trabalhos com laboratórios de altas correntes. Tem trabalhado bastante com a questão da proteção contra descargas atmosféricas.

Jobson Modena – Como você compreende a questão dos captores ESE em relação à normalização nacional?

Hélio Sueta – Em relação à normalização nacional: a versão 2015 da 5419 não contempla qualquer tipo de captor que proporcione maior volume de proteção do que aqueles calculados pelos três métodos normalizados (ângulo de proteção, malhas e esfera rolante) ou então que iniba o raio. Alguns fabricantes desse produto procuraram a ABNT, e solicitaram que fosse estudada a possibilidade de se fazer uma norma nacional desse produto ou que ele fosse validado no texto da própria NBR 5419. A comissão recebeu essa demanda e criou o grupo de trabalho, denominado GT-9. Atualmente o grupo está estudando como funcionam esses captores para responder à ABNT. Até a versão de 2005 nós não tínhamos nenhuma possibilidade de utilização, inclusive a norma era bem mais restritiva, chegando a proibir os elementos não convencionais. Com relação à versão 2015, ao contrário do que se vem apregoando, embora não proíba, pois essa não é a função de uma norma técnica, ela não permite a utilização. Portanto, não há no Brasil, sistema não convencional normalizado.

realizando reuniões em que os fabricantes explicam sobre o funcionamento do produto, respondem às perguntas e debatem a técnica envolvida. Convidamos cientistas renomados, principalmente nessa área da formação das descargas atmosféricas, para também fazer apresentações e no fim temos como meta chegar a um texto mostrando as conclusões de todo esse trabalho.

Jobson Modena – No GT-9, existem duas correntes de pensamento, uma favorável e uma contra a tecnologia. A essas vertentes está sendo dado o mesmo espaço para que elas apresentem todos os seus argumentos técnicos. Depois desses argumentos técnicos então apresentados, o grupo, como um todo vai desenvolver um documento para devolver isso à ABNT como forma de resposta àquela demanda?

Jobson Modena – Quais seriam os benefícios que o GT-9 pode trazer para a sociedade em relação ao desenvolvimento desse estudo?

Hélio Sueta – Acredito que o fato de estudar e elucidar a tecnologia. Não que ela seja uma tecnologia moderna, já existe há muitos anos, como evolução do para-raios radioativo, um dos primeiros captores não convencionais. Esse sim teve seu uso proibido aqui no Brasil através de lei e portaria publicada em diário oficial. O que o GT-9 está fazendo é esmiuçar tecnicamente esse produto, estamos

Hélio Sueta – Isso mesmo. Existem os membros permanentes do grupo, mas as até final de maio as reuniões serão abertas a qualquer pessoa que participe da comissão de proteção contra descargas atmosféricas, CE 064.10, pelo menos como ouvinte. Há esses grupos com cinco pessoas de cada lado e, de forma otimista, esperamos que em algum momento não tenhamos mais essa divisão. Se não conseguirmos o consenso em função de documentos e discussões, vamos tentar propor pesquisas que tenha um fundamento técnico forte para verificar empiricamente se o produto funciona ou não.

Entendo que esta pode ser uma segunda etapa do trabalho que envolva estatística ou ensaios em laboratório, alguma coisa complementar que ajude a conclusão.

Após tudo isso vamos apresentar os resultados a vários cientistas em congressos internacionais, onde se possa determinar se houve fundamento no que fizemos. Isso feito prepararemos um documento e o apresentaremos à ABNT como resposta.

13 O Setor Elétrico / Abril de 2023

Alex Muzzi, diretor comercial da AT3w Brasil (Aplicaciones Tecnológicas - Lightning & Earthing). Engenheiro eletricista com MBA em Gestão de Negócios, Muzzi possui quase 30 anos de experiência em diversas empresas de engenharia.

Jobson Modena - Qual é a sua opinião sobre a normalização nacional?

Alex Muzzi – Já faço parte da comissão de proteção contra descargas atmosféricas há cinco anos, e considero um trabalho extremamente louvável essa dedicação de tempo de vários profissionais para esse propósito de normatização no país. Contudo, vejo que ainda temos muito a melhorar.

Considero que seria importante incentivar uma maior pluralidade do grupo. Percebo que as pessoas que integram a comissão, em sua maioria são empresas de engenharia, consultores ou fabricantes. Por isso, acredito que falta o lado do usuário, algo que deveríamos incentivar. Na minha rotina de trabalho, sempre convido pessoas a participar, devido à importância do tema e ao fato de precisarmos dessa pluralidade. Atualmente, o grupo é composto apenas pelo pessoal do “lado de cá”, ou seja, os que estão fornecendo.

Jobson Modena - Ainda nessa linha, gostaria de saber a sua opinião em relação aos avanços da normalização. Para você, tem havido progresso no que diz respeito à divulgação, tanto das normas propriamente ditas, quanto dos conceitos relacionados à proteção?

Alex Muzzi – Acho que tem melhorado, mas de uma forma muito voltada ao público técnico, digamos assim. Acredito que pecamos um pouco na comunicação com a maior parte da população que é leiga. Na minha opinião, é um ponto que precisa ser muito melhorado. Pode-se partir de ações como simplificar a linguagem e as comunicações, como foi o caso de uma animação elaborada pela Defesa Civil do Estado de São Paulo há alguns anos. Acho aquele vídeo fantástico, pois mesmo possuindo muitas simplificações, ele consegue falar a linguagem dos leigos. Meu pai, um senhor de quase 80 anos, ou o meu filho, de 15 anos, conseguiriam entender. Acredito que ficamos em um preciosismo de linguagem e de aspectos técnicos e acabamos pecando nesse quesito. Um outro ponto importante é o foco na

proteção de pessoas em áreas abertas. Independente de formas de proteção, ou até mesmo da existência de sistemas de proteção em edificações, a pessoa está muito mais protegida em uma edificação, em uma casa ou em uma estação de metrô do que estando em área aberta.

Jobson Modena - Ou seja: você entende que a divulgação da 16785 também poderia ser incrementada, certo?

Alex Muzzi – Sim, poderia. Aliás, existe uma tendência muito grande no grupo da CE 64.10 em expressar “é a comissão da 5419”. Sou um dos que sempre fala “não, é a comissão de proteção contra descargas atmosféricas no país”, e atualmente, temos duas normas: a NBR 5419 e a NBR 16785.

Jobson Modena - Poderia traçar um paralelo entre a proteção provida por captores com um sistema considerado convencional e os não convencionais ou “ativos”, que particularizamos especificamente nos ESE?

Alex Muzzi – Nós, da Aplicaciones, trabalhamos com os dois sistemas, principalmente na Europa e em outras regiões do mundo, o que não ocorre no Brasil, pelo fato de não haver muito sentido trazer materiais sem tecnologia nenhuma embarcados da Europa para revender aqui. Mas, de fato, também somos fornecedores de sistemas convencionais.

Na minha visão, os dois sistemas oferecem uma proteção bastante adequada. A proteção através de sistemas convencionais vem de muito tempo, desde Benjamin Franklin, há mais de 250 anos, mas acabou sendo um sistema que se tornou bastante complexo. São muitos componentes e muito uso de condutor – principalmente o cobre que, a níveis mercadológicos atuais, está com o preço muito disparado. Dessa forma, pode se tornar inviável para determinados usuários terem condições de comprar um SPDA [Sistema de Proteção Contra Descargas Atmosféricas]. Isto ocorre principalmente em países em desenvolvimento, como é o caso do Brasil.

Entrevista Especial 14 O Setor Elétrico / Abril de 2023

Vejo o ESE como uma forma de conseguir reduzir – em alguns casos, significativamente – o valor de investimento de determinada estrutura, mantendo o mesmo nível de segurança. Não há nada de milagroso ou de “ciências ocultas” nesse captor. Há, na verdade, o resultado de pesquisas tecnológicas advindas de vários anos, comprovadas pela base instalada de, atualmente, mais de um milhão edificações protegidas com captores do tipo ESE.

Em síntese, considero que o “mundo convencional” e o “mundos dos ESEs”, em nível de proteção, são bastante equivalentes. Mas, além desse lado de democratização do uso de sistemas de proteção, o ESE também oferece uma maior amplitude de aplicações. Me refiro ao fato de que, como o ESE se torna um ponto controlado do impacto dentro da área que ele se propõe a proteger, conseguimos trabalhar com questões como, por exemplo, proteção de equipamentos. Um exemplo típico disso são as usinas fotovoltaicas, onde é feita a proteção do impacto do raio nos painéis solares sem criar sombreamento.

O ESE traz também um menor impacto estético. O pessoal da arquitetura não fica muito insatisfeito com o emaranhado de

componentes advindos do sistema convencional e expostos em, por exemplo, uma edificação de determinado valor histórico.

Jobson Modena - Como você vê o mercado de ambos os produtos e quais seriam as perspectivas relacionadas?

Alex Muzzi – Como falei anteriormente, na minha visão, os dois sistemas oferecem proteção de forma bastante satisfatória, ambos com eficácia baseada em fatos empíricos, no uso e na observância de tal uso.

Vejo que o ESE promoveria uma democratização maior no uso desse sistema de proteção. Esse é um ponto bem importante, principalmente na camada mais carente da população, que muitas vezes fica totalmente exposta a esse risco devido à alta complexidade e custo de um sistema convencional.

Acredito que o caminho para nós no Brasil e em algumas outras regiões do mundo seja deixar a cargo dos usuários, dos projetistas e construtores a faculdade de escolher qual sistema vão optar. Muitas vezes, o sistema convencional realmente vai ser mais barato para edificações pequenas e casas isoladas. Vai caber a cada um optar pelo sistema que acredita fazer mais sentido e ter mais aderência à sua aplicação individual

15 O Setor Elétrico / Abril de 2023

Geração própria de energia elétrica atinge 20 GW e impulsiona o Brasil no ranking mundial de energia solar

O Brasil, que passou a figurar recentemente no ranking dos dez países com maior capacidade de energia solar, bateu novo recorde e acrescentou 1 GW de potência em GD em apenas 18 dias No dia 10 de abril, o país alcançou a marca de 20 gigawatts (GW) de capacidade em geração própria de energia elétrica, também chamada de Geração Distribuída (GD). O resultado, puxado pela energia solar, com 98,6% do total em GD, marca também um recorde para o segmento: foram necessários apenas 18 dias para evoluir dos 19 para os 20 GW. Até então, o menor intervalo já registrado era de 25 dias.

De acordo com o presidente da Associação Brasileira de Geração Distribuída (ABGD), Guilherme Chrispim, a GD começou 2023 em um ritmo ainda mais acelerado do que em 2022. Um indicativo disso é que, de janeiro a abril deste ano, o segmento acrescentou ao sistema 2,1 GW de potência, ante 1,7 GW no mesmo período de 2022.

A geração própria de energia ajudou a colocar a fonte solar na segunda posição da matriz elétrica nacional: cerca de 74% da potência dessa fonte vem da geração distribuída, em telhados ou projetos de minigeração, contra 26% de geração centralizada (as fazendas solares de grande porte). Além disso, a GD contribuiu diretamente para o Brasil entrar no grupo dos dez países com maior capacidade de geração de energia solar.

O país terminou 2022 na oitava colocação, posição que deve ser superada neste ano.

“Com os atuais 20 GW de potência, a GD tem capacidade suficiente para abastecer aproximadamente dez milhões de residências

ou 40 milhões de pessoas – o equivalente a quase 20% de toda a população brasileira. Nossa expectativa é que a geração própria de energia termine 2023, pelo menos, com 25 GW de capacidade”, enfatiza Chrispim. Entre os consumidores beneficiados, quase metade (49,1%) dos projetos é do grupo residencial, seguido pelo consumo comercial (27,7%), rural (14,6%) e industrial (7%).

Ao longo do último ano, a GD no Brasil ultrapassou a capacidade das maiores hidrelétricas nacionais. A principal usina hidrelétrica em operação é Itaipu, no Paraná, com 14 GW. A segunda colocada é Belo Monte, no Pará, com 11,2 GW. Nesse caso, em termos comparativos, a GD no Brasil terá, dentro de poucos meses, o dobro de capacidade da usina hidrelétrica de Belo Monte.

Atualmente, a geração própria de energia conta com 1,8 milhão de usinas de microgeração e minigeração distribuídas pelo País e 2,4 milhões de unidades consumidoras (UC’s) que utilizam a GD no País. Cada UC representa a casa de uma família, um

estabelecimento comercial ou outro imóvel abastecido por micro ou mini usinas, todas elas utilizando fontes renováveis.

A evolução da geração própria de energia passa principalmente pelos benefícios oferecidos por essa modalidade, em diferentes aspetos. Para os consumidores, a GD se tornou uma alternativa para garantir previsibilidade e baixar custos, além de contribuir para a transição energética. Em relação ao sistema elétrico nacional, a geração própria de energia reduz custos de transmissão e distribuição e contribui para a segurança do sistema, além de utilizar fontes renováveis.

Sobre a ABGD

A Associação Brasileira de Geração Distribuída (ABGD) conta com mais de mil empresas associadas, entre provedores de soluções, EPC's, integradores, distribuidores, fabricantes, empresas de diferentes portes e segmentos, além de profissionais e acadêmicos, que têm em comum a atuação direta ou indireta na geração distribuída. A ABGD é a associação da geração própria de energia do Brasil.

Painel de notícias 18 O Setor Elétrico / Abril de 2023

Itaipu define tarifa de energia elétrica para exercício de 2023

A Itaipu Binacional definiu, no dia 17 de abril, a tarifa de serviço de eletricidade para o exercício 2023. O valor de 16,71 US$/kW é 19,5% menor que o custo praticado em 2022, de 20,75 US$/kW. A definição ocorreu na reunião extraordinária do Conselho de Administração da Itaipu, na sede do Ministério de Minas e Energia (MME), em Brasília (DF), e em videoconferência com a sede da Itaipu em Assunção, no Paraguai.

Durante o encontro, os conselheiros brasileiros e paraguaios entraram em consenso sobre o Custo Unitário dos Serviços de Eletricidade (Cuse), ou seja, o custo para produção de energia da Itaipu. O Cuse leva em consideração, entre outros componentes, a dívida de construção da usina hidrelétrica, que foi quitada em 28 de fevereiro deste ano, com um pagamento total de US$ 63,5 bilhões.

“Um avanço na gestão de Itaipu, no sentido de procurar uma política binacional adequada, de consenso entre as duas diretorias e os dois conselhos ­ paraguaio e brasileiro. O que foi feito hoje demonstrou a busca da segurança energética e da modicidade tarifária para o consumidor de energia elétrica brasileira”, destacou o ministro Alexandre Silveira.

A redução da tarifa de Itaipu reflete, portanto, o novo cenário de custos da binacional, beneficiando o consumidor de energia sem prejuízo à qualidade da prestação de serviços de Itaipu, como o fornecimento de energia limpa e renovável para o Brasil e o Paraguai, a manutenção de projetos socioambientais e de investimentos no desenvolvimento sustentável dos dois países.

“Este acordo representa o respeito mútuo entre Brasil e Paraguai. Chegamos a um consenso binacional, com uma redução

significativa, mantendo a capacidade da Itaipu para investimentos sociais, ambientais e em infraestrutura, conforme as diretrizes do governo federal”, garantiu o diretor­geral brasileiro de Itaipu, Enio Verri.

A tarifa é cobrada das entidades compradoras, a Empresa Brasileira de Participações em Energia Nuclear e Binacional (ENBPar) e Administração Nacional de Eletricidade (Ande), do Paraguai. No Brasil, a tarifa da Itaipu é um dos componentes considerados para definição da Tarifa de Repasse, aplicada ao consumidor pela Agência Nacional de Energia Elétrica (Aneel).

Primeira reunião

A reunião do Conselho de Administração foi a primeira com a presença dos novos conselheiros nomeados pelo presidente Luiz Inácio Lula da Silva, em 6 de abril. O Conselho de Administração é composto por 12 conselheiros, seis brasileiros e seis paraguaios, e dois representantes dos ministérios das Relações Exteriores, um de cada país. O Conselho se reúne a cada dois meses ou em convocação extraordinária, como a desta segunda­feira (17). O mandato dos conselheiros brasileiros vai até de 16 de maio de 2024.

Entenda a tarifa

A Tarifa da Itaipu, denominada Cuse –Custo Unitário dos Serviços de Eletricidade –, considera as despesas de exploração (a operação, manutenção e gestão da empresa e os projetos socioambientais), os encargos do Anexo C (como o pagamento dos royalties), além de empréstimos e financiamentos (entre eles, a dívida de construção da usina, que foi totalmente paga em fevereiro deste ano).

A Tarifa de Repasse, no Brasil, é formada pela soma do Cuse, da remuneração paga ao Paraguai pela energia cedida, entre outros componentes. Este valor é homologado pela Aneel e cobrado pela Empresa Brasileira de Participações em Energia Nuclear e Binacional (ENBPar) das distribuidoras de energia.

Sobre a Itaipu

Com 20 unidades geradoras e 14 mil MW de potência instalada, a Itaipu Binacional é líder mundial na geração de energia limpa e renovável, tendo produzido, desde 1984, 2,9 bilhões de MWh. Em 2022, foi responsável por 8,6% do suprimento de eletricidade do Brasil e 86,3% do Paraguai.

Painel de notícias 20 O Setor Elétrico / Abril de 2023

Programa de eficiência energética engaja 950 pequenas e médias indústrias em São Paulo

Com foco em pequenas e médias indústrias do Estado de São Paulo, o programa PotencializEE de Cooperação Brasil­Alemanha para o Desenvolvimento Sustentável contabilizou um total de 950 empresas, de 11 segmentos, inscritas até o momento, projetando uma economia de 7.267 GWh no consumo de energia. A contenção chega a ser maior que o consumo anual de energia elétrica de todo o Distrito Federal, além de reduzir em 1,1 milhão de toneladas as emissões de CO2, equivalentes, até 2024.

Além disso, o PotencializEE pode proporcionar uma economia para essas pequenas e médias indústrias de 25%, em média, de acordo com resultados de iniciativas similares, como o Brasil Mais Produtivo. O programa é liderado pelo Ministério de Minas e Energia (MME) e coordenado em parceria com a GIZ – Agência Alemã de Cooperação Internacional.

Dentre as 950 indústrias cadastradas até abril, 165 delas já estão recebendo o apoio técnico do PotencializEE na etapa do diagnóstico energético para preparar a implementação de projetos de eficiência energética. Dessas, 25% são da área de metalurgia e produtos metálicos, 17% de alimentos e bebidas, 12% de plástico e borracha, além de 10% de máquinas e equipamentos e também de automóveis e peças. Há ainda indústrias dos setores têxtil, química e farmacêutica, cerâmica e vidro, eletroeletrônicos, gráfica, minerais não metálicos e papel e celulose.

A meta do PotencializEE é atender mil empresas até 2024 com diagnósticos e implementar 425 projetos de eficiência energética. Na etapa de diagnóstico, os especialistas do SENAI­SP, parceiro técnico do programa, fazem um estudo detalhado das instalações da indústria e identificam oportunidades de eficientização, ou seja, quais medidas poderiam ser tomadas para reduzir o consumo energético daquela planta. Elas vão desde ações simples como a identificação de pequenos vazamentos de ar, por exemplo, que acabam desperdiçando energia ou mesmo a recuperação de calor residual, aproveitamento de energia solar térmica, bem como a troca de caldeiras, motores e outros equipamentos, dependendo de cada caso.

Desta forma, o programa assegura que a economia de energia

prevista no projeto se torne realidade. No total, estão previstas mais de 150 horas de trabalho dos especialistas do SENAI­SP nas empresas que quiserem realizar um projeto de eficiência energética.

As pequenas e médias indústrias que optam pela implementação dos projetos são apoiadas por especialistas do SENAI durante todas as fases: contratação, aquisição e instalação de toda a tecnologia sugerida e escolhida pela indústria. Houve, para além disso, um esforço de sensibilização e capacitação de bancos visando financiar projetos de eficiência energética. Ao longo do ano, foram realizadas cinco ações de sensibilização e duas capacitações, que envolveram 120 profissionais de bancos, agências de fomento e cooperativas de crédito

Realidade brasileira

A indústria brasileira responde por mais de 32% do consumo final de energia e quase 40% da eletricidade consumida no Brasil. Equipamentos presentes no dia a dia dessas instalações industriais, como motores, bombas e compressores impactam a demanda de energia, assim como os requisitos do sistema elétrico. Enquanto países com grande destaque na área de eficiência energética, como Alemanha, França, Japão e Reino Unido estão reduzindo o consumo de energia na área industrial, o Brasil tem um longo caminho a seguir.

De acordo com o ranking do ACEEE (Conselho Americano para uma Economia de Energia Eficiente), que avalia a eficiência energética dos 25 países que mais consomem energia no mundo, o Brasil ocupa a 19ª posição. Na categoria indústria, o Brasil segue na mesma posição, pontuando apenas 9 em uma escala que vai até 25 pontos e atrás de outros países em desenvolvimento, como México e Índia.

Para o diretor do Programa PotencializEE no Brasil, Marco Schiewe, uma das explicações é que esse tipo de investimento no país é relativamente recente:

“O Brasil teve um investimento considerável em eficiência energética no setor residencial nas últimas décadas, com substituição de lâmpadas convencionais pelas de LED e eletrodomésticos mais eficientes. Mas, quando falamos da indústria brasileira e, em especial, as pequenas e médias, esse é um movimento que ainda está no início. Devemos entender, porém, que este é um assunto que deve ser tratado com total atenção, já que, além dos benefícios ambientais, a eficiência energética contribui para a competividade do país e também para a manutenção de empregos sustentáveis no setor produtivo e geração de novos empregos em empresas fornecedoras de soluções tecnológicas”, afirmou.

Nesse sentido, o programa PotencializEE também oferece mecanismos facilitadores de acesso a crédito para financiamento de projetos em eficiência energética e apoio técnico de profissionais da área que proporcionam um atendimento completo e individualizado de acordo com as necessidades de cada empresa.

Painel de notícias 22 O Setor Elétrico / Abril de 2023

Mobilidade elétrica - desafios e oportunidades

É imprescindível que o desenvolvimento dos setores elétrico, industrial e econômico esteja focado em tecnologia, ciência de dados e sustentabilidade, de modo que os próximos séculos sejam conduzidos em uma economia de baixo carbono. A mobilidade elétrica é parte fundamental deste novo planejamento, além de ser também tema deste fascículo, coordenado pela professora Dra. Flávia Consoni, do Laboratório de Estudos do Veículo Elétrico (LEVE/Unicamp), que traz nesta terceira edição:

Capítulo III – Como aproveitar oportunidades e superar desafios no mercado brasileiro de ônibus zero emissão: uma apresentação do Guia de Investimento para Ônibus Zero Emissão no Brasil

Por Pedro Bastos; Bianca Macêdo e Carmen Araújo

- Por que um Guia de Investimento para Ônibus de Zero Emissão no Brasil?

- A demanda em oito cidades-chave brasileiras;

- O panorama da fabricação de ônibus no Brasil.

Avaliação de energia incidente

O estudo de energia incidente é cada vez mais necessário para as instalações elétricas, à medida em que se avançam as normas técnicas e de segurança. As iniciativas de controle começam na concepção do projeto de uma instalação, durante reformas ou atualizações, e, sobretudo, nas instalações já existentes. Sobre este assunto, o engenheiro eletricista Luiz Carlos Catelani Júnior, vem tratando e seguirá durante os oito capítulos abarcados neste ano, abordando conceitos, atualizações normativas e aplicações práticas.

Capítulo III – Cálculo de energia incidente – Modelo IEEE 1584 edição 2018 média tensão

Por Luís Carlos Catelani Junior

- Alterações implementadas na edição 2018 do IEEE 1584;

- Cálculo do limite inferior da corrente de arco;

- Coeficientes de correção para tamanho do invólucro;

Modernização da distribuição

Neste fascículo, estão sendo discutidos os desafios que o setor elétrico tem enfrentado para modernizar, seus sistemas, em especial, o segmento da distribuição de energia. O contexto da modernização e as oportunidades desta transformação serão pontos de reflexão desta série de oito artigos coordenada pela Associação Brasileira de Energia Elétrica (Abradee). Neste terceiro capítulo, o autor Lindemberg Reis, gerente de Planejamento e Inteligência e Mercado da Associação, nos traz, de forma lúdica, um importante questionamento sobre que caminhos o segmento deve trilhar:

Capítulo III - A modernização do segmento de distribuição de energia elétrica e o empoderamento dos usuários: qual caminho seguir?

Por Lindemberg Reis

- O papel do governo/poder concedente no estabelecimento das políticas públicas;

- Portaria MME nº 187 e o Grupo de Trabalho para aprimorar propostas com foco na viabilização da modernização do Setor Elétrico;

- Em 2002, a Califórnia já traçava suas metas para smart grids, numa clara resposta à pergunta “onde quero chegar?”.

Fascículos

23
24 30 36

Mobilidade elétrica

Capítulo III

Como aproveitar oportunidades e superar desafios no mercado brasileiro de ônibus zero emissão:

uma apresentação do Guia de Investimento para Ônibus Zero Emissão no Brasil

Introdução

A América Latina é uma das regiões que mais vem avançando na descarbonização da frota de ônibus em seus sistemas de transporte público. No continente, o mercado brasileiro é um dos mais promissores para a incorporação de veículos elétricos a bateria. Esta é a tecnologia com maior viabilidade econômica no segmento de zero emissões e, portanto, a alternativa mais eficiente para as cidades conseguirem enfrentar as mudanças climáticas e promover melhorias na qualidade do ar. Atualmente, 47% das emissões de dióxido de carbono (CO2) no setor brasileiro de energia provêm do transporte movido a combustíveis fósseis e outras fontes de energia poluentes (OBSERVATÓRIO DO CLIMA, 2021)1

Cidades como São Paulo, Curitiba, Salvador, Campinas, São José dos Campos, Goiânia, entre outras, têm planejado a conversão gradual das suas frotas para a eletromobilidade2. No entanto, o descompasso entre a demanda – isto é, a expectativa que as cidades possuem de eletrificar suas frotas – e a capacidade da indústria nacional em atender o mercado é um dos principais desafios ao cumprimento das metas e compromissos climáticos firmados em diferentes níveis de governo.

Em face desse cenário, organizações internacionais como C40 Cities e o Conselho Internacional de Transporte Limpo (ICCT, da sigla International Council on Clean Transportation) têm trabalhado por meio de projetos colaborativos com diversos municípios para mitigar

os impactos ambientais e auxiliar na transição tecnológica de suas frotas de ônibus. Em janeiro de 2023, as iniciativas Zero-Emission Bus Rapid Deployment Accelerator (ZEBRA)3 e a Missão de Ônibus Elétricos da Iniciativa Transformadora de Mobilidade Urbana (TUMI, da sigla Transformative Urban Mobility Initiative4), das quais a C40 Cities e o ICCT fazem parte, lançaram o Guia de Investimento para Ônibus Zero Emissão no Brasil.

O Guia de Investimento para Ônibus Zero Emissão no Brasil tem como missão expandir o investimento na descarbonização da frota de ônibus, com foco na tecnologia de veículos elétricos a bateria. Para isso, apresenta uma visão geral do mercado brasileiro, incluindo razões para investir e oportunidades no Brasil, com informações-chave sobre a demanda estimada para ônibus elétricos a bateria em oito cidades-chave: São Paulo, São José dos Campos, Campinas, Salvador, Niterói, Curitiba, Rio de Janeiro e Goiânia.

Partindo de uma demanda das próprias cidades em obter maior compreensão sobre o ecossistema de ônibus elétricos e as alternativas mais viáveis para modelos de negócio, o Guia também busca orientar os fabricantes de ônibus interessados em produzir veículos nesse segmento e atrair investidores em potencial, incluindo aqueles interessados em fornecer crédito (debt) ou investir na forma de equity.

Para esta edição da revista O Setor Elétrico, o presente artigo apresenta uma síntese da estrutura do Guia de Investimento para Ônibus Zero Emissão no Brasil. São apresentadas diretrizes e informações

de clima do Brasil (1970-2019). Disponível em: https://seeg-br.s3.amazonaws.com/Documentos%20 Analiticos/SEEG_8/SEEG8_DOC_ANALITICO_SINTESE_1990-2019.pdf. Acesso em 10 abr. 2023.

2 A plataforma E-Bus Radar oferece um panorama sobre a expansão de ônibus elétricos em cidades brasileiras e latino-americanas. Disponível em: http://ebusradar.org. Acesso em 10 abr. 2023.

3 A parceria ZEBRA foi lançada em 2019 para acelerar a implantação de ônibus zero emissão nas principais cidades da América Latina, sendo coliderada pela C40 Cities e pelo ICCT, com apoio adicional do Centro Mario Molina-Chile, Clean Energy Works, Global Green Growth Institute (GGGI) e WRI.

4 A Missão Ônibus Elétricos da TUMI é financiada pelo Ministério Federal Alemão para Cooperação Econômica e Desenvolvimento (BMZ), implementada pela Deutsche Gesellschaft für Internationale Zusammenarbeit (GIZ) e executada por um grupo de organizações não governamentais como C40 Cities, ICCT, ITDP, UITP e WRI, que trabalham em conjunto para acelerar a transição para ônibus elétricos no Sul Global.

5 Os dados apresentados foram levantados a partir de fontes primárias e, portanto, tem o Guia de Investimento para Ônibus Zero Emissão no Brasil como principal referência bibliográfica. Para acessar o Guia, visite: https:// www.c40knowledgehub.org/s/article/Investment-guide-for-zero-emission-buses-in-Brazil?language=en_US. Acesso em 14 abr. 2023.

24 FASCÍCULO
Por Pedro Bastos, C40 Cities 1; Bianca Macêdo, C40 Cities 2; Carmen Araújo, ICCT Brasil 3* 1 Observatório do Clima. Análise das emissões brasileiras de gases de efeito estufa e suas implicações para as metas

necessárias para promover uma maior sinergia entre as partes interessadas em alavancar a expansão de ônibus elétricos a bateria no Brasil. Além desta introdução e das considerações finais, o artigo contém outras cinco seções que justificam a importância do Guia e caracterizam a demanda por ônibus zero emissão, o panorama da fabricação local de ônibus no Brasil, modelos de negócio potenciais e recomendações para fabricantes e investidores entrarem no mercado brasileiro5

1 - Por que um Guia de Investimento para Ônibus de Zero Emissão no Brasil?

Historicamente, o Brasil é um dos principais fornecedores de ônibus movidos a diesel na América Latina. Apesar do potencial para manter sua posição de principal exportador de ônibus na região da América Latina, países como Chile e Colômbia já estão eletrificando suas frotas e importando esses ativos da China. Modernizar a capacidade de produção brasileira com a inclusão de ônibus elétricos a bateria é fundamental para o mercado de exportação. Na Colômbia, por exemplo, entre 2017 e 2020, o Brasil teve uma participação média no mercado de importações de ônibus a diesel de 55%, ao passo que, em 2021, o Brasil fechou o ano com 37% de participação de mercado.

Neste sentido, a relevância do Guia de Investimento para Ônibus de Zero Emissão é concatenar informações estratégicas para alinhar interesses e oportunidades no planejamento para ônibus de zero emissão no Brasil capazes de aquecer o mercado latino-americano, mas especialmente o mercado interno. Outro ponto importante deste material é apoiar as cidades nas reformulações contratuais que implicam a adoção de ônibus de zero emissão. O alto custo inicial, por exemplo, é geralmente incompatível com os modelos contratuais em vigência no país baseados na centralização de responsabilidades e consequente concentração de risco em operadores privados.

Desde assistência técnica à exploração de modelos financeiros, passando principalmente por engajamento político, as iniciativas TUMI e ZEBRA auxiliam no fortalecimento desse ecossistema e endereçar respostas qualificadas à implantação de licitações competitivas e atrativas. O Guia surge no bojo deste trabalho, buscando mapear informações que levem a demanda ao encontro da oferta de ônibus de zero emissão.

2 - A demanda em oito cidades-chave brasileiras

Trabalhou-se com uma amostra de oito cidades consideradas "chave" para a implementação de ônibus elétricos a bateria. Elas foram escolhidas a partir de um processamento analítico de dados que levou em conta o perfil individual referente à prontidão do seu mercado, compromissos de mitigação das mudanças climáticas, modelos de negócio, partes interessadas, experiência com parcerias público-privadas, o modelo de negócio preferencial e outras informações essenciais que investidores precisam saber antes das negociações.

A partir desta pré-seleção, as cidades foram classificadas como “avançadas”, “cidades a observar” e “cidades a prospectar”. Os critérios de avaliação dos municípios foram baseados nos seguintes indicadores, alimentados com dados fornecidos e validados por pessoas representantes das próprias cidades6:

• testes piloto com ônibus de zero emissão;

• infraestrutura de recarga;

• adaptação de infraestrutura de garagens;

• modelo de negócio;

• garantias;

• legislação;

• operação de ônibus de zero emissão ou testes-piloto (em 2022).

As três cidades com planos mais avançados para ônibus de zero emissão estão localizadas no estado de São Paulo (São Paulo, São José dos Campos e Campinas). Estas cidades se caracterizam por terem metas bem definidas e o apoio significativo do governo e de outras partes interessadas importantes. Por sua vez, Salvador, Niterói e Curitiba são cidades com potencial a observar, pois apesar de contar com metas bem definidas e realistas, a aquisição significativa de ônibus elétricos e/ ou melhoria de infraestrutura ainda depende de definições estratégicas quanto aos modelos de negócios. Por fim, cidades como Rio de Janeiro e Goiânia apresentam potencial a prospectar.

A partir dessa primeira categorização, a demanda calculada para estas oito cidades-chave é equivalente a 11 mil ônibus elétricos, ultrapassando US$ 3,6 bilhões em investimento. A Tabela 1 a seguir mostra a quantidade de ônibus de zero emissão em circulação em 2022,

25
Tabela 1: DemanDa calculaDa para oiTo ciDaDes brasileiras aTé 2030. 6 O Guia apresenta uma caracterização vasta e sistemática sobre cada um desses indicadores nas cidades analisadas.

a demanda prevista para 2030 e o percentual de eletrificação da frota em 2030.

No total, a expectativa é de que as oito cidades-chave mencionadas eletrifiquem pelo menos 48% da sua frota até o fim desta década. Também é importante destacar que a demanda tende a ser cíclica, uma vez que as substituições de ônibus geralmente ocorrem a cada 10 anos para os ônibus a diesel e 15 anos para os ônibus de zero emissão – como acontece em São Paulo, por exemplo. Desta maneira, não só a substituição de ônibus a diesel trará oportunidades, mas também a substituição de ônibus elétricos a bateria no longo prazo. Contudo, um dos principais desafios abordados pelo Guia é o descompasso entre a oferta e a demanda. Haverá uma lacuna de 1.105 ônibus elétricos a bateria por ano, em média, sem mecanismos que incentivem a ampliação da oferta no território nacional. Por esta razão, o reconhecimento das necessidades de cada cidade, somado a seu contexto político e regulatório, é estratégico para fortalecer diferentes áreas de negócios que requerem novos atores; por exemplo, para financiamento de capital, captação de recursos para custear a operação, e produção de ônibus elétricos (carrocerias, chassis e baterias).

3 - O panorama da fabricação de ônibus no Brasil

Diferentemente da produção a diesel, a produção local de ônibus de zero emissão no Brasil ainda é preambular, apesar de muitos fabricantes estarem trabalhando para uma mudança em seu portfólio de produtos.

Uma das hipóteses apresentadas pelo Guia refere-se à redução dos impostos de importação de ônibus de zero emissão como aposta para promover a competitividade da oferta no país. Como resultados esperados, seria possível suprir e impulsionar a demanda local e, também, futura demanda externa por ônibus de zero emissão, especialmente na América Latina.

Dados levantados pelo Guia mostram que a produção média histórica no Brasil é de 16 mil ônibus elétricos a bateria por ano. Apesar de caminhões e carros elétricos já contarem com isenção do imposto de importação, ônibus elétricos a bateria importados são taxados a 35%. A redução temporária dos impostos de importação7 – limitada a uma cota de 3 mil veículos importados – seria uma oportunidade para que os operadores e as cidades antecipassem a obtenção de expertise técnica

com os ônibus elétricos, resultando num potencial aumento da demanda para a indústria nacional em médio prazo.

Com relação às baterias, a oportunidade de produzir baterias de lítio localmente é promissora mas, até dezembro de 2022, inexplorada. Por um lado, o país ainda não dispõe de tecnologia adequada para produzir células, ânodos, cátodos ou refino. Por outro lado, possui três atores-chave que montam baterias localmente a partir das células importadas, além de outros que trabalham com a segunda vida das baterias. Considerando que 40 a 60% do custo total dos ônibus de zero emissão correspondem às baterias, os investidores que se interessarem em desenvolver esse setor no Brasil terão espaço para ganhar escala e tornar-se um fornecedor regional.

4 - Um modelo de negócio potencial: a separação da propriedade de ativos

O alto custo inicial dos ônibus elétricos a bateria dificulta sua implementação em escala dentro do atual modelo de negócio de transporte público. A centralização dos riscos comerciais nas cidades e nos operadores faz com que muitos desses atores não disponham de capital suficiente para adquirir novas frotas de ônibus (Figura 1).

Por essa razão, o Guia explora modelos comerciais alternativos que estão se destacando na América Latina como casos de sucesso. O modelo de separação da propriedade dos ativos, que já é utilizada exitosamente em capitais como Santiago (Chile) e Bogotá (Colômbia), transfere a propriedade dos ativos de ônibus de zero emissão para terceiros que têm capital disponível para fazer os altos investimentos iniciais, permitindo uma melhor alocação de risco entre as partes interessadas e mitigando os custos iniciais para o operador (Figura 2).

O modelo de separação de ativos cria oportunidades a serem exploradas por novos entrantes capazes de executar atividades específicas (como infraestrutura de recarga, manutenção, processamento de dados, entre outros) enquanto serviço. Em resumo, permite que as partes se dediquem ao que fazem de melhor, podendo ainda gerar interesse comercial por parte do capital privado e maior capacidade financeira para alavancar a transição. Este é um modelo que está sendo estudado principalmente por municípios como São Paulo e São José dos Campos, com as devidas adaptações a seus contextos e particularidades locais.

26 FASCÍCULO
Figura 1: Modelo de negócio tradicional "teórico" implementado no Brasil liderado por operadores privados. Fonte: Guia de Investimento para Ônibus Zero Emissão no Brasil, 2023. 7 Em 2022, C40, ICCT e WRI (suporte técnico), com o apoio de várias cidades (São Paulo, Fortaleza, Curitiba, Salvador, São José dos Campos, Niterói e o estado de Santa Catarina) e fabricantes, fizeram um pedido de isenção temporária do imposto de importação à Câmara de Comércio Exterior do Brasil (CAMEX) para reduzir o imposto de importação de ônibus de zero emissão de 35% para 0% para uma cota de 3.000 ônibus. Até dezembro de 2022, a CAMEX ainda não havia publicado o resultado da avaliação do pedido.

5 - Como investir no Brasil?

A última seção do Guia explora como os fabricantes e investidores devem se preparar para entrar no Brasil. Seja como importador, montadora ou fabricante local, existem muitas possibilidades para fabricantes trabalharem no país e procedimentos a serem seguidos — os quais são esboçados pelo Guia na forma de recomendações do tipo passo-a-passo, principalmente para acessar crédito nacional.

A primeira modalidade, como importador, permitiria aos fabricantes trazer ônibus de fábricas internacionais. Esse tipo de player geralmente trabalha com a importação completa de ativos, como ônibus em monobloco, por exemplo (que não são produzidos localmente), criando uma ótima oportunidade para testes. Além disso, importar o chassis e montar a carroceria localmente também é uma possibilidade que pode ser explorada.

A opção intermediária é se tornar montadora, o que significa importar as peças mais relevantes, mas também trabalhar com encarroçadoras e fornecedores brasileiros. Esse tipo de player costuma importar kits de desmontagem parcial (PKD), que são unidades semiprontas com algumas peças desmontadas ou kits de semimontagem (SKD) com várias peças desmontadas. A importação de kits de desmontagem completa (CKD) também é uma possibilidade. O Banco Nacional de Desenvolvimento Econômico e Social (BNDES) tem produtos de financiamento específicos que podem ser usados para projetos de ônibus de zero emissão e incentivam os fabricantes locais ao exigirem níveis mínimos de produção nacional.

Por fim, tornar-se uma indústria que produz localmente é a opção que apresenta maiores possibilidades de acesso a incentivos fiscais e outros benefícios. Ao mesmo tempo, é uma alternativa que envolve maior complexidade para regularização.

Outro ponto ressaltado pelo Guia são os diferentes papéis que os investidores de capital podem assumir na cadeia de valores de investimento. De provedores de crédito a proprietários de ativos, existem oportunidades significativas para assumir modelos de negócio baseados na separação de responsabilidades e propriedade de capital. Um ponto relevante dos proprietários de ativos é a possibilidade de tornarem parceiros de soluções para os

operadores, transferindo know-how sobre os cuidados adequados na manutenção da parte elétrica dos ônibus, por exemplo, e ocupando mais espaço na cadeia de valor.

6 - Considerações finais

A adoção de ônibus de zero emissão é fundamental para as cidades reduzirem as emissões de gases de efeito estufa e poluentes locais. Além disso, tem o potencial de oferecer condições de deslocamento mais confortáveis e equitativas para as pessoas, melhorando inclusive indicadores de poluição sonora e conforto térmico. Para alcançar essa realidade, o Guia mostra que o Brasil é um mercado promissor para investidores em transporte limpo. Além de ser o terceiro maior mercado de ônibus do mundo em termos de receita, o país conta com diversas cidades que já estão eletrificando sua frota, enquanto outras estão se preparando para adequar esta transição em seus sistemas de transporte público.

Neste sentido, o Guia busca aumentar a sinergia entre as partes interessadas para alavancar a expansão de ônibus elétricos no país. De fabricantes a investidores, espera-se que o Guia também seja de interesse das autoridades municipais interessadas em prospectar modelos de negócio adequados para viabilizar a implantação de ônibus de zero emissão em sua frota de transporte público.

Este projeto, financiado e apoiado pelas iniciativas ZeroEmission Bus Rapid Deployment Accelerator (ZEBRA) e a Missão de Ônibus Elétricos da Iniciativa Transformadora de Mobilidade Urbana (TUMI, da sigla Transformative Urban Mobility Initiative) para ajudar as cidades a superarem barreiras rumo à descarbonização a partir de engajamento político e assistência técnica.

* C40 CITIES; ZEBRA; TUMI. Guia de Investimento para Ônibus Zero Emissão no Brasil: Como Aproveitar Oportunidades e Superar Desafios no Mercado Brasileiro de Ônibus Zero Emissão (ZE). Elaborado pela Euromonitor em parceria com C40 Cities e ICCT através das iniciativas ZEBRA e TUMI. Brasil, dezembro de 2022. Versão online. Disponível em: https://www.c40knowledgehub.org/s/article/Investment-guide-for-zeroemission-buses-in-Brazil?language=en_US.

28 FASCÍCULO
Figura 2: Modelo de negócio desagregado "teórico", com separação de propriedade e operação de ativos baseado na segmentação de responsabilidades. Fonte: Guia de Investimento para Ônibus Zero Emissão no Brasil, 2023.

Avaliação de energia incidente

Capítulo III Cálculo de Energia Incidente –

Modelo IEEE 1584 edição 2018 para média tensão

A nova edição da IEEE 1584 – 2018 foi bastante modificada em relação aos cálculos de energia incidente com tensões acima de 600 V.

Na versão antiga existia um conjunto de equações para baixa tensão, até 1000 V, e outro conjunto para tensões acima de 1kV e inferior a 15 kV.

Hoje para tensões acima de 600 V deve ser calculados valores intermediários em três faixas de tensão previamente definidas na norma:

• 600 V

• 2700 V

• 14300 V

Isto quer dizer que tanto para o cálculo de energia incidente como para distância de aproximação segura para o arco elétrico, o cálculo é feito em três faixas e interpolado para o valor da tensão real de trabalho.

Outro fato é que os valores obtidos estão relacionados com o tamanho dos invólucros dos equipamentos. Na versão antiga os valores de testes eram fixos e não existia fatores para correção de forma.

O tamanho padrão dos invólucros corresponde aos mostrados na Tabela -1.

Para o cálculo da corrente de arco incialmente dever ser calculado a corrente de arco para faixas de tensão intermediária, 600 V , 2700 V e 14300 V.

Faixa de 600 V:

Ia600=10 (k1+k2 log(I_bf)+k3 log(G)).(k4 Ibf 6 + k5 Ibf 5 + k6 Ibf 4 + k7 Ibf 3+ k8 Ibf 2 + k9 Ibf 1+ k10)

Faixa de 2700 V:

Ia2700=10(k1+k2 log(Ibf )+k3 log(G)).(k4 Ibf6 + k5 Ibf5 + k6 Ibf4 + k7 Ibf3 + k8 Ibf2 + k9 Ibf1+ k10)

Faixa de 14300 V:

I a14300 = 10(k1+k2 log(Ibf )+k3 log(G)).(k4 Ibf6 + k5 Ibf5 +k6 Ibf4+k7 Ibf3+ k8 Ibf2+k9 Ibf1+ k10)

Sendo:

Ibf → Corrente de curto-circuito franca [kA]

G → Distância entre condutores [mm]

Iarc600 , Iarc2700 , Iarc14300 → Corrente de arco intermediária [kA]

k1 a k10 → constantes da Tabela 2 em função da configuração dos eletrodos

30 FASCÍCULO
Tabela 1 – Dimensão Dos invólucros. Open Voltage 600 V 2700 V 14300 V Tamanho [mm] 508 x 508 x 508 660,4 x 660,4 x 660,4 914,4 x 914,4 x 914,4 Tamanho [in] 20 x 20 x 20 26 x 26 x 26 36 x 36 x 36

Após o cálculo da corrente de arco nas classes de tensão deve se determinar as correntes intermediárias que são interpolação das classes de tensão predefinidas.

31 Tabela 2 –
consTanTes Da correnTe De arco.

Iarc1 , Iarc2 , Iarc3 → Correntes de arco interpoladas [kA]

V oc → Tensão nominal do circuito [kV]

Iarc600 , Iarc2700 , Iarc14300 → Corrente de arco por faixas [kA]

Para cálculos aonde a tensão for maior que 600 V e menor que 2700 V:

Iarc = Iarc3

Quando a tensão for maior que 2700 V e menor que 15000 V:

Iarc = Iarc2

Para a distância entre eletrodos de 601 V até 15000 V os valores de 19,05 mm – 254 mm são permitidos e possuem validação.

Após a obtenção da corrente de arco na tensão desejada deverá ser calculada a corrente de arco mínima para obtenção do tempo de atuação da proteção.

Com a corrente de arco calculada passa a calcular a corrente de arco mínima.

VarCf= k1Voc6+ k2Voc5 + k3Voc4 +k4Voc3+ k5Voc2+k6Voc1+ k7

Cf = 1 - 0,5.VarCF

V oc → Tensão nominal do circuito [kV]

k1 a k7 → constantes da Tabela 3

Cf → Coeficiente de variação da corrente de arco na Tabela 3

fator (Cf) era fixo e igual a 0,85 para qualquer faixa de tensão.

Com o valor da corrente de arco e a corrente de arco mínimo deve ser obtido o tempo de atuação da proteção.

Para a determinação do tempo de eliminação do arco elétrico, que corresponde a soma do tempo da unidade de proteção mais o tempo de abertura do dispositivo de seccionamento, não há mais os valores padronizados conforme a versão antiga.

Como regra geral sempre o fabricante dos equipamentos deve ser consultado para obtenção dos dados. O valor a ser solicitado é o “breaking time” que corresponde ao tempo total desde o início do da abertura até a extinção do arco.

Deve também obter a correção do fator de forma dos compartimentos em função do tamanho.

Acima de 600 V os invólucros podem apresentar diversos tamanhos, sendo assim uma tabela 4 foi construída para facilitar os cálculos.

32 FASCÍCULO
Tabela
Do limiTe inferior Da
De
Tabela
Configuração VCB VCBB HCB 660,4 mm até 1244,6mm Equação 1 0,03937 x Height Equação 1 Equação 2 Equação 1 Equação 2 Width1 Height1 Width1 Height1 Width1 Height1 Maior que 1244,6mm Equação 1 49 Equação 1 Equação 2 Equação 1 Equação 2 I arc_min = Cf x I arc Diferente da versão passada da norma aonde “Correction Equação 1: Equação 2:
3
cálculo
correnTe
arco
4 – coeficienTes De correção para Tamanho Do invólucro

Tabela 5 – consTanTes para correção Do Tamanho Do invólucro

Width → Largura [mm]

Height → Altura [mm]

Voc → Tensão do circuito [kV]

Constante A = 4 para VCB e A = 10 para VCBB e HCB

Constante B = 20 para VCB , B = 24 para VCBB e B = 22 para HCB

Onde:

E600 / E2700 / E14300 → Energia incidente por faixa [J/cm²]

t → Tempo de duração do arco elétrico [ms]

EES → Tamanho equivalente do invólucro [in]

CF = b1.EES2 + b2.EES + b3

CF → Correção de fator

b1,b2 e b3 → Constantes da norma da Tabela 5

Da mesma forma que na corrente de arco elétrico, a energia deverá ser calculada em três faixas.

Cálculo da energia incidente na faixa de 600 V.

G → Distância entre condutores [mm]

Iarc600 / Iarc2700 / Iarc14300 → Corrente de arco por faixa [kA]

I arc → Corrente de arco [kA]

K1 ..K13 → Constantes da Tabela 6

D → Distância do arco elétrico [mm]

CF → Fator de correção da forma do painel

Com o resultado da energia incidente por faixas deve -se calcular os valores interpolados.

Cálculo da energia incidente na faixa de 2700 V.

E1 , E2 , E3 → Valores de energia incidente interpolados [J/cm2]

Voc → Tensão nominal do circuito [kV]

E600 , E2700 , E14300 → Energia incidente intermediária [J/cm2]

Da mesma forma o cálculo de distância de aproximação no limite de arco elétrico (Arc Flash Boundary - AFB) deve ser calculado por faixas também.

Faixa de 600 V:

Cálculo da energia incidente na faixa de 14300 V.

34 FASCÍCULO

Faixa de 2700 V:

Tabela 6 – consTanTes para cálculo Da energia inciDenTe

Faixa de 14300 V:

AFB600 / AFB2700 / AFB14300 → Limite de aproximação para arco elétrico [mm]

t → Tempo de duração do arco elétrico [ms]

G → Distância entre condutores [mm]

Iarc600 / Iarc2700 / Iarc14300 → Corrente de arco por faixa [kA]

K1 ..K13 → Constantes da Tabela 6

CF → Fator de correção da forma do painel

A / B /F → Valores intermediários para cálculo

Calcular os valores interpolados.

Para tensões maiores que 600 V e menores que 2700 V:

Ei = E 3

AFB = AFB 3

Para tensões maiores que 2700 V e menores que 15000 V:

Ei = E2

AFB = AFB2

Se para casos de cálculo de energia incidente até 600 V já era trabalhoso, para casos com tensão superior a 600 V tornou -se muito mais. Deve ser calculado valores por classe (600 V, 2700 V e 14300 V) da corrente de arco , energia incidente e distância de aproximação para arco elétrico e somente após isso a interpolação para a tensão desejada.

Na próxima edição faremos um exemplo prático de cálculo.

*Luiz Carlos Catelani Junior é engenheiro eletricista pela Unicamp, com ampla experiência em proteção de sistemas elétricos, subestações AT, linhas de transmissão elétrica e plantas industriais. Ao longo de sua carreira, tem desenvolvido atividades ligadas à geração de fontes renováveis, sendo, atualmente, um dos principais especialistas do país em análise de energia incidente de média e alta tensão – ATPV e Arc Flash.

35

Modernização da distribuição

Capítulo III

Modernização do segmento de distribuição de energia elétrica e o empoderamento dos usuários: qual caminho seguir?

Meus filhos, volta e meia, me pedem para contar uma historinha antes de eles dormirem. Comumente vem os contos da Chapeuzinho Vermelho, Rapunzel, Branca de Neve, uma historinha que inventei sobre ouriços e por aí vai. São as que tenho na minha cabeça. Sei de cor e salteado. Mas outro dia me pediram algo diferente. Já era hora! Peguei um livrinho dentre os vários que eles têm e me deparei com Alice no País das Maravilhas. Uma versão enxuta do conto, para criancinhas mesmo, sabe?

Num determinado momento do conto, tem uma passagem interessante, que gostaria de compartilhar com vocês. Alice, perdida, pergunta ao Gato:

“- O senhor poderia me dizer, por favor, qual caminho devo tomar para sair daqui?

- Isso depende muito de para onde você quer ir, respondeu o Gato.

- Não me importo muito para onde, retrucou Alice.

- Então qualquer caminho serve, disse o Gato.

- Contanto que dê em algum lugar, Alice completou.

- Oh, você pode ter certeza que vai chegar se você caminhar bastante, disse o Gato.”

Lewis Carroll, autor do conto, viveu no século XIX, mas foi um visionário. Não somente pela história de Alice no País das Maravilhas, que há mais de 150 anos encanta a juventude de diversas épocas. Mas suas frases - e esta conversa entre o Gato e Alice é apenas uma delas. As histórias são carregadas de significados que podem ser estendidos às áreas econômicas, sociais, humanas e, neste caso, para políticas públicas em geral.

Quando não se tem claro de uma forma pluralizada para onde se pretende ir, decisões individuais prosperarão. E os caminhos

podem ser bem diferentes entre um e outro tomador de decisão. No caso em tela – e em linha com o que venho conversando com vocês ao longo dessas últimas publicações – o tema é a modernização do grid do setor elétrico e o empoderamento dos usuários. Não há uma política pública desenhada para tal finalidade.

E justiça seja feita.: dai a César o que é de César. O papel do governo/poder concedente é justamente o estabelecimento das políticas públicas. Cabe ao regulador apenas implementá-las. Portanto, a Aneel não tem a tutela para fomentar políticas para o desenvolvimento de determinado nicho do setor elétrico brasileiro, como é o caso das smart grids. Este é o papel do congresso nacional e dos ministérios, neste caso o de Minas e Energia (MME).

Se quisermos um setor elétrico diferente, evoluído no futuro, as decisões têm de ser tomadas hoje. Não se pode protelar ou afastar essas responsabilidades. Até houve iniciativas interessantes no passado recente, mas que ainda não deram frutos.

Um exemplo foi a Portaria MME nº 187, de 4 de abril de 2019, que instituiu Grupo de Trabalho – GT para aprimorar propostas que viabilizem a modernização do Setor Elétrico fundamentados nos pilares da governança, da transparência e da estabilidade jurídico-regulatória. O GT teve duração de 180 dias e resultou em um diagnóstico setorial que versa sobre 14 grupos temáticos estratégicos para alavancarem o desenvolvimento do setor elétrico.

Ao observarmos os 14 eixos de atuação para a modernização do setor, podemos notar que todos eles são de caráter regulamentares, normativos, tributários e procedimentais (vide Figura abaixo).

Todos os aspectos elencados pelo GT são fundamentais para a evolução do setor elétrico brasileiro. Mas, infelizmente, não foi abarcado, de forma explícita, qualquer aspecto vinculado à modernização do grid em si.

36 FASCÍCULO

Enquanto isso, os agentes do setor elétrico vão tomando suas decisões unilaterais, atentando-se, certamente, aos aspectos estratégicos de seus negócios. Mas será que essas decisões são as mais racionais sob a ótica do longo prazo? Será que as decisões são fundamentadas nas necessidades de empoderamento iminente dos usuários de energia? Tenho minhas dúvidas.

Na foto abaixo temos uma escolha no mínimo contestável quando se pensa no longo prazo. Vemos, do lado esquerdo, um medidor analógico, que com seu disco eletromagnético apenas consegue medir a energia elétrica ativa passante no equipamento. Não se apura grandezas como demanda, fator de potência, energia reativa etc. Tampouco, é amigável aos usuários para compreensão de seu consumo de energia e gerenciamento de sua demanda. E, obviamente, não traz qualquer possibilidade de telemedição, comunicação remota, corte e religação longínquo, entre outras funcionalidades desejáveis nos dias atuais.

O medidor da direita já é eletrônico. Daí pode-se inferir que tem funcionalidades muito mais avançadas do que o primeiro, certo? Não! Basicamente, cumprem as mesmas funções, mas com tecnologias construtivas distintas.

Não sabemos da realidade operativa desta distribuidora de energia elétrica, tampouco quando o medidor da direita foi instalado. Mas, fato é que o player optou pela melhor decisão de investimento à época. Provavelmente, após dano do medidor analógico que ali estava, ou mesmo após a plena depreciação do medidor antigo, optou-se pela substituição utilizando-se o equipamento com a tecnologia de medição mais adequada e módica naquele momento.

Fato é que, a ausência de uma política pública eficaz e direcionada, fez com que a Utilitie escolhesse pelo melhor investimento de curto prazo, mas talvez o menos desejável para um horizonte de médio/longo prazos. Hoje somos cerca de 89 milhões de consumidores de energia elétrica, dos quais estima-se que apenas dois-três milhões possuam medições com infraestrutura adequada para serem enquadradas como smart metering. Este é o tamanho do desafio.

Jurisdições norte-americanas tomaram decisões quanto à modernização de seus grids por meio de políticas públicas bem fundamentadas. Em alguns destes casos, as diretrizes foram estabelecidas há décadas. São os exemplos da Califórnia, New York, Maryland e Flórida. Vejamos o caso da Califórnia, de notório reconhecimento internacional.

Em 2002, a Califórnia já traçava suas metas para smart grids, numa clara resposta à pergunta “onde quero chegar?”. Em 2006, a província definia metas de redução de emissão de gases de efeito estufa. Em 2009, estabelecia políticas para implementação de smart grid no Estado. Neste momento requisitava das Utilities planos de implantação de smart grids em suas áreas de atuação.

Entre 2010 e 2011, estabelecia-se regras de acesso aos dados, incluindo política de privacidade e compartilhamento de informações quase em tempo real. Em 2013, a Califórnia aprovava planos de investimentos em smart grids. Entre 2014 e 2016, acompanhava a execução dos projetos pelas empresas, além de estruturar plano para integração dos recursos energéticos distribuídos. No ano de 2020, o Estado já estava preocupado com a otimização dos sistemas smarts, numa espécie de segunda onda tecnológica.

37

Observem: a experiência da Califórnia tem muito a nos oferecer. O processo é moroso, demanda pontapé inicial governamental do formulador de políticas públicas, intercâmbio de informações entre empresas e ente regulador, retroalimentações no processo, tempo para maturação das ideias e diretrizes, aprendizagens de erros/ desvios e a evolução sistematizada de todo um projeto mais amplo. Por aqui, temos muito a aprender com a experiência americana e com o conto de Lewis Carroll. Temos que ter um norte claro de onde queremos chegar para traçarmos metas para tal. É necessário o poder concedente pautar, de forma imediata, o tema para discussão. Caso contrário, caminharemos bastante, chegaremos a algum lugar, mas

pode ser algo bem diferente do país das maravilhas. Por enquanto, no que tange às políticas públicas para modernização do grid do setor elétrico e empoderamento dos usuários – como consequência inexorável – estamos mais próximos de Alice do que do Gato.

*Lindemberg Reis é engenheiro eletricista com MBA em Finanças pelo IBMEC-RJ e pós-graduação em Sistemas de Produção, Refino e Transporte de Petróleo pelo SENAI-RJ. É formado em Engenharia Elétrica pela Universidade Federal de Juiz de Fora e atualmente é gerente de Planejamento e Inteligência de Mercado na Abradee e coordenador do P&D de Governança de Sandboxes Tarifários.

38 FASCÍCULO

R á eis enováveis Renováveis

Capítulo III

Energias Renováveis e o Hidrogênio Verde

APOIO ENERGIAS COMPLEMENTARES Ano 5 - Ed iç ão 69 / Abril de 2023

F ascículo H idrogênio V erde

Capítulo III

E n E rgias r E nováv E is E o H idrogênio v E rd E

INTRODUÇÃO

As energias renováveis têm se tornado cada vez mais populares e viáveis. Segundo a Empresa de Pesquisa Energética (EPE) se caracterizam por serem fontes de energia consideradas inesgotáveis, porque suas quantidades se renovam constantemente.

São exemplos de fontes renováveis: hídrica (energia da água dos rios), solar (energia do sol), eólica (energia do vento), biomassa (energia de matéria orgânica), geotérmica (energia do interior da Terra) e oceânica (energia das marés e das ondas). Algumas dessas fontes apresentam variação na geração de energia elétrica ao longo do dia ou do ano, como é o caso da eólica, que não é usada quando não há ventos e a energia solar, à noite. No caso da fonte hídrica, podem ocorrer estiagens (secas).

As fontes renováveis são consideradas limpas, pois emitem menos gases de efeito estufa que as fontes fósseis e, por isso, estão conseguindo uma rápida inserção no mercado mundial.

Este artigo se concentrará nas fontes eólica e solar, visto serem as que mais crescem. Serão apresentados conceitos tecnológicos, a relação direta com o hidrogênio verde, e mostrará a razão principal da atração que o Brasil tem exercido no mercado mundial de hidrogênio verde.

1) TECNOLOGIA

O uso da força dos ventos remonta à antiguidade, quando sua energia era utilizada para propelir embarcações (Figura 1a). Registros indicam o uso da força dos ventos para a moagem de grãos naquele século, por meio de

moinhos (Figura 1b).

Os moinhos de eixo horizontal de rotação, só começaram a ser utilizados no final do século XII. (Figura 1.3c). Os moinhos passaram por grandes avanços tecnológicos, aumentando sua eficiência. Um desses avanços foi a criação do fantail, para o controle automático da direção do moinho de vento, localizado na parte de trás da máquina (Figura 1d).

Na América do Norte, surgiram os moinhos para o bombeamento de água (Figura 1e), os quais possuíam um rotor de múltiplas pás sustentado por uma torre treliçada e dotado de controle de direção (yaw system).

Foi somente no final do século XIX que esforços começaram a ser direcionados para uma tecnologia capaz de converter a potência do vento em energia elétrica. Em 1891, Poul LaCour, na cidade de Askov, Dinamarca, adaptou um moinho de quatro pás com um gerador de corrente contínua (Figura 1.1f), tendo realizado, além disso, diversos experimentos científicos com essas máquinas.

Em 1941, foi construída a primeira turbina eólica da ordem de megawatts conectada à rede de energia (Figura 1.1g). Esta máquina possuía 53 m de diâmetro de rotor, 2 pás e 1.250 kW de potência.

Com o aumento do preço do petróleo na primeira crise energética, em 1973, a energia eólica foi impulsionada. No Brasil, o Centro Técnico Aeroespacial – CTA, em conjunto com a Deutsches Zentrum für Luft und Raumfahrt – DLR, uniu esforços para o desenvolvimento da turbina eólica DEBRA 100 kW (Figura 1.1h).

Em janeiro de 1999, foi instalada no Ceará a primeira usina no Estado,

40
Figura 1. Fonte: Atlas Eólico e Solar do Ceará (atlas.adece.ce.gov.br).

fruto do primeiro leilão comercial do Brasil, a Central Eólica de Taíba (Figura 1.1i). O empreendimento contava com 5 MW de potência instalada (10 turbinas de 500 kW, com 45 m de altura e 40 m de diâmetro de rotor).

A tecnologia foi aperfeiçoada e os aerogeradores cresceram em tamanho e em capacidade, chegando ao formato das chamadas turbinas eólicas modernas (Figura 1.1j), atingindo potências superiores a 10MW, mais de 120 metros de altura, e mais de 150 metros de diâmetro de rotor.

Os primeiros registros do aproveitamento da energia solar sugerem, na região da Suméria, sul da Mesopotâmia, sacerdotisas utilizando tigelas de ouro polido como forma primitiva de espelho parabólico, para iniciar o fogo em

altares (Figura 2a).

Referências também apontam para chineses e gregos a utilização de espelhos côncavos, com o objetivo de convergir raios solares para atear fogo em objetos (Figura 2b).

Na busca por fontes de energia alternativas ao carvão e à madeira para abastecer as máquinas a vapor durante a Revolução Industrial, Augustin Mouchot construiu, em 1866, o primeiro motor a vapor movido a energia solar em grande escala (Figura 2d). A máquina de Mouchot continha um espelho cônico que direcionava a radiação solar para uma caldeira cilíndrica de vidro, utilizando o mesmo conceito da câmara de calor de Saussure (Figura 2c).

41
Figura 1.1. Fonte: Atlas Eólico e Solar do Ceará (atlas.adece.ce.gov.br). Figura 2. Fonte: Atlas Eólico e Solar do Ceará (atlas.adece.ce.gov.br). Figura 2.1. Fonte: Atlas Eólico e Solar do Ceará (atlas.adece.ce.gov.br).

Em 1954, nos Laboratórios Telefônicos Bell (Nova Jersey, EUA), eram construídas as primeiras células fotovoltaicas de silício, capazes de suprir energia elétrica suficiente para pequenos aparelhos domésticos (Figura 2.1e).

Provavelmente por ainda possuir alto custo, sua primeira aplicação comercial destinou-se à indústria aeroespacial, para alimentar o sistema de comunicação do satélite artificial Vanguard I, em 1958 (Figura 2.1f).

Na década de 1970, os painéis solares começaram a ser utilizados em locais isolados, tais como boias para sinalização de navegação, sistemas de proteção catódica de poços de petróleo e gás, sistemas de sinalização de interseções rodoferroviárias e equipamentos de repetição de micro-ondas de torres de telecomunicação (Figura 2.1g)

Com a difusão e com a evolução tecnológica, os custos foram reduzindo-se, tornando-a gradativamente mais competitiva com outras fontes de energia e consolidando-a comercialmente a partir do século XXI (Figura 2.1h).

2) O CRESCIMENTO DA ENERGIA EÓLICA E SOLAR FOTOVOLTAICA

Segundo a Agência Internacional de Energias Renováveis (Irena), as fontes renováveis têm se sobressaído na adição de novas capacidades de energia elétrica a nível mundial, representando 83% das novas capacidades e atingindo 40% da geração de energia instalada globalmente em 2022. Um total de 295 gigawatts (GW) de renováveis foram adicionados em todo o mundo em 2022, o maior aumento anual de todos os tempos.

A forte atratividade dos negócios para energias renováveis, juntamente com políticas de apoio, tem sustentado uma tendência ascendente em sua participação no mix de energia global. No entanto, implantação geral permanece centrada em um número limitado de regiões, com a China, o União e Estados Unidos respondendo por 75% das adições de capacidade.

O Brasil também tem avançado bem neste quesito. Conforme figura a seguir, pode-se observar que, em 2013, 83,3% da capacidade instalada no Brasil para produção de energia elétrica era de origem renovável. Já em 2022 passou para 85,6%, comparativamente a 40% na média mundial, segundo a Irena. O Brasil pode ir além, e ser um dos primeiros países do mundo a ter uma geração de energia elétrica 100% renovável. Inclusive, em 2022, 92% da energia elétrica consumida no país foi oriunda de fontes renováveis.

3) OS CUSTOS DA ENERGIA EÓLICA E SOLAR

Os custos com a produção de energia eólica e solar têm decrescido continuadamente, tendo a fonte solar decrescido os custos em 80% desde 2010.

42
Figura 3 - Expansão da capacidade mundial de energia elétrica. Fonte: IRENA (https://bit.ly/40VBWSf). Figura 4 - Capacidade Instalada de Energia Elétrica no Brasil. Fonte: CCEE (https://bit.ly/43qfQsz). Figura 5 - Capacidade Instalada de Energia Elétrica no Brasil. Fonte: Word Economic Forum (https://bit.ly/43qidLZ).

No Brasil, e especialmente na Região Nordeste as perspectivas para decréscimos ainda maiores nos próximos anos continuam muito promissoras, com projeções de quedas adicionais de 46% para a fonte solar e de 27% para a fonte eólica.

participantes da cadeia produtiva do hidrogênio verde no mercado mundial de hidrogênio têm se debruçado com afinco, o Brasil desponta então como um forte candidato a ser provedor mundial referencial de hidrogênio verde, por possuir enormes excedentes de energias renováveis (cerca de 17 vezes a demanda por energia até 2050, conforme consta no PNE-2050 (Plano Nacional de Energia 2050).

4) A RELAÇÃO DA ENERGIA EÓLICA E SOLAR COM O HIDROGÊNIO VERDE

O hidrogênio verde é produzido a partir da quebra da molécula da água com uso de energia renovável. As fontes mais promissoras são a eólica e solar, pela enorme abundância e baixos custos de produção. Atualmente a energia elétrica responde por cerca de 50% dos custos de produção de hidrogênio verde, mas poderá atingir até 75%, com a esperada queda dos preços dos equipamentos.

6) CONCLUSÕES

O Brasil desponta então como um forte candidato a ser provedor mundial referencial de hidrogênio verde, por possuir enormes excedentes de energias renováveis (cerca de 17 vezes a demanda por energia até 2050, conforme consta no PNE-2050 (Plano Nacional de Energia 2050).

Além dessa oportunidade de crescimento acelerado no PIB (Produto Interno Bruto), pela exportação do hidrogênio verde, surge também a oportunidade para a manufatura de produtos verdes, contribuindo fortemente para o processo de reindustrialização do país.

A Região Nordeste do Brasil, que responde por 90% da produção de energia eólica e de 70% da produção de energia solar, também possui um outro tesouro energético ainda não aproveitado, que é a geração de energia eólica no mar. Os potenciais disponíveis se apresentam com atributos incomparáveis a nível mundial, com enormes excedentes, e estando disponíveis simultaneamente no mesmo local, e complementares nas horas do dia e na sazonalidade mensal.

Em resumo, oportunidades como esta são raríssimas, e não podem ser desperdiçadas.

5) RAZÃO DA ATRAÇÃO DO MERCADO MUNDIAL PELO HIDROGÊNIO VERDE

NO BRASIL

Com todas as informações apresentadas, nas quais as empresas

*Joaquim Rolim é engenheiro eletricista pela Universidade Federal da Bahia (UFBA), com MBA em gestão de negócios de energia elétrica pela Fundação Getúlio Vargas (FGV) e Especialização em Administração Industrial pela Universidade de São Paulo (USP). Atualmente é secretário executivo da Indústria na Secretária de Desenvolvimento Econômico do Estado do Ceará. Acumula experiência de 12 anos no Setor Industrial e 16 anos no setor de energia.

44
Figura 6 - Custos para produção de energia eólica e solar no Brasil. Fonte: McKinsey (https://mck.co/43oJmik). Figura 7 - Custos para Produção de Hidrogênio. Fonte: Recharge (https://bit.ly/3KNyoM5). Figura 8 - Brasil entre os menores custos para produção de hidrogênio verde no Mundo. Fonte: McKinsey (https://mck.co/43oJmik).

Um melhor entendimento da curva da corrente de curto-circuito de decremento de gerador

• Equações da Curva de Decremento do Gerador;

• Constantes de Tempo do Gerador;

• Ajuste do “Field Forcing”;

• Verificação da sensibilidade das proteções em outros níveis de tensão diferentes do nível de tensão da falta.

A corrente de curto-circuito em geradores decai acentuadamente com o tempo. Essa variação depende de dois tipos de decremento, AC e DC. O decremento DC ocorre durante os primeiros ciclos do curto-circuito. O decremento AC é dividido em três diferentes períodos de tempo conhecidos como subtransitório, transitório e de regime permanente, baseados respectivamente na reatância do gerador X”d, X’d e Xd. Nos terminais do gerador esta variação é

Artigo Técnico 46 O Setor Elétrico / Abril de 2023
Figura 1 – Períodos e variação da corrente de curto-circuito e das reatâncias em geradores. bastante pronunciada. A figura 1 seguinte ilustra o exposto.

Curva de decremento da corrente de curtocircuito do gerador

Quando ocorre um curto-circuito em um sistema elétrico alimentado por geradores, a corrente de curto-circuito apresenta um pico inicial e depois começa a decair rapidamente, pois não possui inércia suficiente para sustentar permanentemente o valor inicial. Na maioria dos casos, a corrente de curto-circuito permanente pode até ser menor que a corrente nominal do gerador. Isso ocorre quando Xd é maior que 1pu.

O valor da corrente de curto-circuito neste caso depende do carregamento do gerador. Assim, o valor real da corrente depende do carregamento e do tempo. Entre a condição a vazio e a condição de plena carga, existem famílias de curvas de decremento.

A seguir é apresentada uma típica curva de decremento do gerador. Atualmente, a maioria dos geradores possui um sistema que sustenta o valor da corrente acima da corrente nominal (de plena carga) por um tempo especificado, normalmente a corrente é sustentada entre 1,5 e quatro vezes a corrente nominal por 10s, dependendo do fabricante.

O decaimento da corrente de curto-circuito com o tempo é conhecida como curva de decremento do gerador. O equacionamento do decremento da corrente de curto-circuito do gerador conforme IEEE Std 242 é apresentado a seguir.

Onde:

IF = É a corrente com o campo atual para uma condição especificada (pu)

IFg= É a corrente de campo para condição a vazio na tensão nominal (pu).

VALOR INSTANTÂNEO DA CORRENTE DE DECREMENTO DO GERADOR

O valor da corrente instantânea é calculado como segue:

Onde:

I”K= Corrente de Curto-Circuito Subtransitória

I'K = Corrente de Curto-Circuito Transitória

IK = Corrente de curto-circuito permanente

t”d = Constante de Tempo Subtransitória

t 'd = Constante de Tempo Transitória

t 'g = Constante de tempo de armadura

Os valores de I”K, I’K e IK são calculados como segue:

Para o curto-circuito trifásico

Para o curto-circuito bifásico

Para o curto-circuito monofásico

Os valores de EY”, EY’ e EY são calculados como segue:

47 O Setor Elétrico / Abril de 2023
Figura 2 – Curva de decremento típica de gerador.

Onde:

E”Y = F.E.M. atrás da reatância subtransitória saturada do eixo d

E'Y = F.E.M. atrás da reatância transiente saturada do eixo d

EY = F.E.M. atrás da reatância síncrona

X”d = reatância subtransitória saturada do eixo d

X'd = Reatância transitória do eixo d saturada

Xd = Reatância síncrona

ZN = Impedância externa do gerador (até o ponto de aplicação da falha)

UY = Tensão no terminal do gerador

I = Corrente de carga do gerador

O diagrama fasorial do gerador pode ser visualizado na Figura 3.

A equação acima é obtida do livro “Correntes de Curto-Circuitos em Redes Trifásicas” , de Richard Roeper – Siemens – 1985, 167 páginas.

ExEmplo:

Determine a curva de decremento do gerador de 3400 kVA, 380V, 0.8 PF, corrente nominal 5165.7 Amps, X”d = 15.8%, X’d = 21.4%, Xd = 290%, Ra = 0.5588%, T”do = 20.3ms, T’do=2.122s, para um curto-circuito trifásico em seus terminais (Zn = 0), na condição a vazio e plena carga.

Solução:

Primeiro será calculada a corrente na condição de plena carga. O primeiro passo consiste no cálculo das constantes de tempo.

Com base no diagrama fasorial pode-se obter o valor eficaz de EY”, como segue:

O segundo passo consiste no cálculo no cálculo das F.E.M.:

Analogamente, obtém-se EY’ e EY

Equações das constantes de tempo do gerador

As equações das constantes de tempo do gerador são calculadas como segue:

As correntes de curto-circuito podem ser determinadas como segue:

A componente DC da corrente de curto-circuito pode ser calculada pela equação:

A corrente de curto-circuito assimétrica total é calculada pela expressão:

Aplicando-se os valores na equação seguinte pode-se montar um tabela em uma planilha e obter a curva mostrada na Figura 4.

48 O Setor Elétrico / Abril de 2023
Artigo Técnico
Figura 3 - Diagrama Fasorial do Gerador

Para a condição à vazio, E”Y = E’Y = EY = 1 e as correntes de curto-circuito podem ser calculadas:

A corrente de curto-circuito permanente atinge 23.8% acima da corrente de plena carga (6395 / 5165 * 100).

Os resultados das simulações estão na planilha seguinte e a Figura 5 mostra a curva de decremento à vazio.

Ajuste do ‘Field Forcing’

Como visto anteriormente, a corrente de curto-circuito permanente de um gerador depende da condição de carga do gerador e esta corrente pode ser menor que sua corrente nominal. Atualmente, os geradores podem ser adquiridos com um sistema que força a corrente de campo e a mantém em um determinado valor, acima da corrente nominal, por um tempo especificado

Usando agora o software EasyPower, os valores batem com a planilha. Sem forçar o campo e a vazio, a corrente de decremento do gerador teria a curva de decaimento mostrada na Figura 6. Como pode ser visto, a corrente de curto-circuito permanente (corrente sustentada) está abaixo da corrente nominal do gerador: (1781 A < 5165 A!)

A corrente de curto-circuito permanente a plena carga será:

Figura 4 – Curva de decremento para curto-circuito trifásico a plena carga. Figura 6 – Corrente de Decremento do Exemplo gerada no software EasyPower. Figura 8 – Verificação se a proteção opera tanto na curva mínima como na máxima. Figura 5 – Curva de decremento para curto-circuito trifásico à vazio.
50 O Setor Elétrico / Abril de 2023
Artigo Técnico
Figura 7 – Curva de decremento de um gerador com “Field Forcing”.

(normalmente 10s) para um curto-circuito trifásico. A Figura 7 mostra a corrente de decremento de um gerador de um fabricante onde o mesmo possuir o “Field Forcing”.

A Figura 9 mostra como ajustar o valor do Field Forcing para a corrente máxima que o fabricante do gerador consegue sustentar.

Curva de decremento do gerador para curtoscircuitos em um nível de tensão diferente do gerador

Considere o unifilar da Figura 10. Deve-se sempre verificar se as proteções ainda ficam sensíveis quando o sistema está sendo suprido apenas pelo gerador e o curto-circuito ocorre em nível de tensão diferente de onde está o gerador. Os softwares comerciais não fazem esta tarefa para nós. A seguir está um passo-a-passo de como fazer isso.

Como pode ser observado a curva de decremento a vazio (curva azul à esquerda), fica no limiar de sensibilidade da proteção.

51 O Setor Elétrico / Abril de 2023
Figura 9 - Ajuste do valor do Field Forcing no software para a corrente máxima que o fabricante do gerador consegue sustentar. Figura 10 – Unifilar com os níveis indicando os pontos de curto-circuito.
claudio.mardegan@engepower.com
Cláudio Mardegan é CEO da EngePower Engenharia. Membro Sênior do IEEE e Membro do CIGRE Figura 11 – Novas curvas de decremento agora para curto-circuito em 220 V.

Liberdade de escolha: como a tendência de abertura do mercado energético pode impactar o cenário nacional

Por Fernanda Pacheco
Reportagem 52 O Setor Elétrico / Abril de 2023

“Nova York, você tem o poder de escolher o seu fornecedor de energia. Opte pela nossa empresa e obtenha excelentes tarifas para a sua eletricidade! São apenas cinco minutos para encontrar o plano perfeito para você.” O anúncio que preenche a página principal do site de uma fornecedora de energia e gás dos Estados Unidos reflete um cenário ainda difícil de se imaginar no contexto nacional. Nele, um consumidor comum que, como quem escolhe o melhor plano de Internet para a sua casa, tem também a opção de selecionar a empresa que lhe apresentar a alternativa mais viável de fornecimento de energia – possibilidade garantida por meio do Mercado Livre de Energia (MLE). Diante do contraste entre o que é visto em grandes potências mundiais e o que é oferecido ao usuário brasileiro, especialistas do setor elétrico vêm há algum tempo tentando responder a uma pergunta que não quer calar: o quão longe (ainda) estamos dessa realidade?

Primeiramente, é preciso destacar que esse modelo de consumo não é nenhuma novidade para quem utiliza energia em larga escala por aqui. Informações disponibilizadas em março pela Associação Brasileira dos Comercializadores de Energia (Abraceel) revelam que o MLE – implementado no país há mais de 20 anos – responde por 36% de toda a energia consumida em solo nacional. Os responsáveis por tais números são usuários que possuem demandas superiores a 500 kW (geralmente com contas de luz acima de R$150 mil, como é o caso das grandes indústrias). Isto equivale a pouco mais de 30 mil consumidores, cerca de 0,03% de um total de 89 milhões. As demais categorias são enquadradas no mercado cativo (regulado), ambiente onde o cliente paga à distribuidora uma tarifa de energia regulada pela Agência Nacional de Energia Elétrica (Aneel), sem a possibilidade de

negociação.

Mas, ao que tudo indica, esse paradigma passará pela maior mudança já vista em décadas, graças à Portaria Normativa Nº 50/GM/MME. O texto publicado em setembro do ano passado pelo Ministério de Minas e Energia (MME) estabelece que todos os consumidores de alta tensão – um contingente adicional calculado em 106 mil usuários – possam comprar energia elétrica de qualquer concessionário, permissionário ou autorizado pelo Sistema Interligado Nacional (SIN).

A medida, que entrará em vigor a partir de janeiro de 2024, está sendo considerada um grande passo rumo à abertura total do mercado de energia, embora ainda haja diversos obstáculos nesse trajeto – a começar pelo Projeto de Lei que possibilita tal expansão no país (PL 414/2021), travado na Câmara dos Deputados há mais de dois anos. Também em setembro de 2022, foi aberta uma Consulta Pública para uma minuta, contida na Portaria Nº 690/GM/ MME. O texto propõe que consumidores comerciais e industriais em baixa tensão passem a ter o direito de escolher o seu fornecedor de energia a partir de 2026. Já o consumidor residencial e rural poderia fazê-lo a partir de 2028.

Possíveis cenários de transição

Para o presidente-executivo da Abraceel, Rodrigo Ferreira, a abertura do mercado de energia elétrica no Brasil a partir de 2026 é algo que ainda permanece no horizonte, uma vez que a implementação da medida é “plenamente possível, do ponto de vista técnico e legal”. Segundo o gestor, a Abraceel e a consultora EY Brasil estudaram alguns possíveis cenários decorrentes de uma abertura completa (tendo como margem a data proposta pela minuta),

Deliberações recentes são consideradas um grande passo rumo à autonomia do consumidor brasileiro, mas incertezas permanecem no caminho
53 O Setor Elétrico / Abril de 2023

considerando as premissas de crescimento do consumo e a velocidade de migração de usuários do mercado cativo para o livre.

No levantamento, as empresas realizaram simulações para avaliar os potenciais impactos da transição entre mercados no contexto brasileiro, tomando como referência experiências internacionais. O estudo abrange um intervalo de 14 anos, a partir de janeiro de 2026. Segundo a pesquisa, ao fim deste período, a migração atingiria um total de 50% dos consumidores brasileiros de energia em baixa tensão em um dos cenários, e 70% em outro. Para a alta tensão, ambos os panoramas consideraram uma migração de 80% do mercado, distribuída linearmente ao longo dos três primeiros anos de abertura.

“Nesse estudo, um dos esforços foi estimar como os consumidores responderiam à possibilidade de migrar para o Mercado Livre de energia tão logo recebessem esse direito, avaliando a literatura internacional para conhecer o padrão de comportamento dos consumidores em países que já universalizaram o acesso ao Mercado Livre de energia”, explica o executivo.

A tendência observada em Portugal após a abertura do mercado foi um dos cenários levados em consideração pelas companhias. Ferreira destaca que o padrão identificado no país aproximou-se de uma curva em ‘S’, onde os consumidores, em um primeiro momento, migraram de maneira conservadora. “Isto ocorreu porque a possibilidade de escolher o fornecedor de energia era uma novidade. No entanto, conforme as informações foram difundidas e assimiladas, os consumidores passaram a ter mais conhecimento do Mercado Livre de energia e a migração para esse ambiente foi acelerada, até se estabilizar.”

Na Grã-Bretanha, outro local cujas experiências foram analisadas para o desenvolvimento do estudo, o mesmo padrão de migração foi verificado. “Os dados apontam que, embora o processo de abertura tenha se iniciado nos anos 1990,

apenas recentemente o Mercado Livre de Energia local ultrapassou o patamar de 60%, comportamento similar ao observado no Texas, nos Estados Unidos”, enfatizou o diretor.

Sabe-se que, em ambos os casos, a falta de uma comunicação adequada com o consumidor comum dificultou o processo de transição. Para o diretor-presidente da Associação Nacional dos Consumidores de Energia (Anace), Carlos Faria, esse é um erro que não pode ser cometido no Brasil. “O interesse pelo Mercado Livre só se tornará realidade se houver uma maior difusão de informações sobre o tema”.

Na visão do especialista, essa empreitada não pode se limitar à difusão de propagandas de comercializadoras interessadas em vender seus serviços. “É necessária uma comunicação clara e detalhada, capitaneada pelo governo e pelo regulador, sobre os benefícios e riscos do novo ambiente de contratação de energia, de modo que o consumidor tenha consciência de ambos e possa tomar uma decisão esclarecida”, ressaltou.

Faria analisa que o novo formato deva, de fato, despertar o interesse de consumidores de média e baixa tensão, tendo em vista o sucesso da Geração Distribuída (GD) no país, principalmente por meio da instalação de painéis solares. Para o executivo, “isso mostra que os brasileiros estão interessados em buscar alternativas que reduzam seus gastos com energia”.

Impactos do MLE na dinâmica do setor

É evidente que uma mudança tão significativa na dinâmica de negociação de energia levanta uma série de questionamentos acerca dos impactos que poderão ser observados nos próximos anos. Afinal, há de se considerar também como o novo cenário afetará as empresas que participam desse processo. No que tange às companhias de geração, será necessário

enfrentar o desafio de sair de uma espécie de 'zona de conforto', como destaca o presidente da Thymos Energia, João Carlos Mello.

“Os geradores se acostumaram com contratos de longo prazo e de financiabilidade mais fácil. Já o mercado de curto prazo (que é o caso do Mercado Livre) normalmente não compra contratos extensos. Contudo, suas negociações são recorrentes, e tal dinâmica já foi entendida pelos bancos como uma garantia de venda dessa energia. Por isso, as instituições financeiras não estão enxergando essa abertura de mercado como algo tão dificultoso para os geradores, à medida que eles vão tendo as receitas garantidas – no sentido de que existe mercado para tal.”

Apesar disso, será necessário às empresas ‘correrem atrás’ desse nicho, destaca Mello. “O mercado de varejo possui uma capilaridade enorme – em um momento, você está lidando com cem clientes e, no outro, passa a lidar com um milhão. É uma dificuldade intrínseca à abertura do mercado. Mas o mercado ainda está ali! Imagino que, uma vez fornecido um intervalo de tempo apropriado, é possível se adequar à essa nova realidade. Não são problemas intransponíveis, é uma mudança de hábito.”

Para Christian Cunha, sócio-fundador da Energizou – comercializadora de energia focada no varejo e “atacarejo” –, os potenciais problemas decorrentes de uma abertura total do mercado já estão relativamente claros, o que tem levado a debates sobre possíveis soluções. O executivo avalia que, nesse contexto, empresas geradoras e distribuidoras enfrentarão realidades distintas.

“Do ponto de vista de geração e comercialização, acredito que haja grande interesse nessa abertura, uma vez que o mercado vai se tornar mais dinâmico e competitivo, com mais oportunidades e negócios. O grande desafio, realmente, é a questão das distribuidoras, pois elas

Reportagem 54 O Setor Elétrico / Abril de 2023

têm hoje um problema chamado contratos legados. Historicamente, eles apresentam preços altos, que são destinados ao mercado cativo, e isso naturalmente terá de ser endereçado”, afirma Cunha.

Apesar do entrave, o empresário está confiante de que já exista um plano delineado para resolver a questão. “Acredito que o PL 414, cuja votação é aguardada com grande expectativa, já trata desse assunto. Por isso, não acho que seja uma solução muito difícil. A proposta que existe hoje é pegar toda a geração dos contratos legados – especialmente uma sobrecontratação – e alocar isso através de um encargo em todos os agentes do setor, seja no mercado cativo ou no livre.”

Mercado Livre e o risco de sobrecontratação

A Abraceel, junto à EY Brasil, também abordou em seu estudo as preocupações sobre possíveis desequilíbrios nas distribuidoras de energia devido à sobrecontratação (sobra de contratos legados). Como conclusão, a companhia avaliou que o risco desta situação ocorrer em consequência da migração de consumidores do Mercado Regulado para o livre não será um problema. No entanto, é destacado que essa garantia depende de uma decisão do poder público de conceder o direito de escolha a todos os consumidores em janeiro de 2026.

outros se encerram e o estoque volta a diminuir.

“Com essas e outras premissas, não há risco de registrar sobras de energia com as distribuidoras em nenhum ano. Mesmo em um cenário mais agressivo, que combina uma premissa conservadora de crescimento da carga com uma premissa agressiva de migração, de 70%, uma pequena quantidade de sobras de energia seria possível, mas facilmente equalizada por meio dos mecanismos introduzidos pela Lei 13.400/2021”, afirma o diretor-executivo da associação.

Segundo Ferreira, tal norma estabeleceu que todo o volume de energia de geração distribuída deve ser considerado como exposição involuntária por parte das distribuidoras. Isso significa que a ANEEL deve reconhecer esse volume nos processos de revisão tarifária, a fim de garantir o equilíbrio econômicofinanceiro das concessionárias. Com essa medida, espera-se que as distribuidoras não enfrentem situações de sobrecontratação com a migração de consumidores para o Mercado Livre a partir de janeiro de 2026.

Compra e venda

responsáveis pela representação e poderão também oferecer serviços relativos à estimativa de demanda, análise de contratos, etc”, explica o diretor-presidente da Anace.

Carlos Faria também ressalta a importância de garantir que esses serviços sejam disponibilizados no mercado de forma competitiva, observando que a representação e gestão não necessariamente precisam ser realizadas pela mesma empresa que fornece a energia.

Mas e a conta de luz? Ao que tudo indica, não haverá grandes mudanças em sua composição. “O consumidor livre paga exatamente tudo o que o cativo paga, a diferença é que ele contrata energia elétrica livremente, da empresa que escolher. No ambiente competitivo que é o Mercado Livre, o componente ‘energia elétrica’ na conta de luz será mais barato”, destaca o porta-voz da Abraceel.

Outra questão que suscita dúvidas em relação à abertura do mercado é como será realizada a eventual comercialização de energia para o consumidor que não utiliza a alta tensão, uma vez que a realidade das negociações no Ambiente de Contratação Livre (ACL) é relativamente complexa – é necessário estimar a demanda, analisar diferentes tipos de contratos e contar com a mediação das comercializadoras.

A discussão acerca do tema é vista por algumas entidades como uma oportunidade de revisar questões consideradas problemáticas na cobrança mensal de energia. Para Clauber Leite, consultor do Programa de Energia do Instituto Pólis – organização sem fins lucrativos especializada em políticas sociais –, independentemente da abertura do mercado, “é preciso fazer uma profunda avaliação de quais subsídios – que estão entre os principais responsáveis pelo custo excessivo da energia – devem permanecer e quais devem ser extintos, por não serem mais necessários”.

quando

Com relação à carteira de contratos das distribuidoras, a entidade identificou que o estoque de acordos no Mercado Regulado será naturalmente reduzido até 2028, principalmente devido à retirada da energia proveniente de usinas da Eletrobras do regime de cotas compulsoriamente alocadas às distribuidoras e ao término de contratos de termelétricas a óleo com alto custo operacional. Em seguida, prevê-se um período de estabilização na redução desses contratos de energia até 2032

“A perspectiva é que os consumidores de média e baixa tensão sejam representados, na Câmara de Comercialização de Energia Elétrica (CCEE), por um representante varejista. Essas empresas, que poderão ou não serem comercializadoras, serão

“Os custos dos subsídios que tiverem de ser mantidos devem ser transferidos ao Tesouro Nacional, deixando de pressionar as contas de luz. Considerando especificamente os consumidores de baixa renda, é preciso rever as condições de tarifação de energia, uma vez que o benefício da tarifa social tem sido insuficiente para garantir o acesso dessas famílias à energia”, conclui o especialista.

Reportagem 56 O Setor Elétrico / Abril de 2023

Quadros e Painéis

Fundamental para o bom funcionamento e confiabilidade da instalação e com a função de distribuir a energia elétrica através de pontos de consumo de um imóvel, seja ele residencial ou comercial, o painel elétrico deve ser construído seguindo as regulamentações técnicas, tais como NBR 5410, cujos princípios tratam da regulamentação para instalações elétricas em baixa tensão e a NR 10, que aborda a regulamentação para instalações e serviços em eletricidade.

No conjunto, é possível encontrar disjuntores, fusíveis, barramento elétrico, unidades de proteção, dentre outros componentes. Ou seja, trata-se de um equipamento que recebe energia elétrica de uma ou mais fontes de alimentação e, desse modo, distribui por um ou mais circuitos. No entanto, para realizar essa tarefa, o painel precisa ser construído de acordo com essas regulamentações técnicas.

A depender do tipo do painel elétrico, há outras normas técnicas que devem ser seguidas. E são esses painéis que comandam desde elevadores prediais, escadas rolantes, caixas d’água e, para além disso, podem controlar temperatura em piscina, ar condicionado, automatizar espaços comerciais, residenciais e industriais.

A pesquisa setorial desta edição é dedicada a este segmento. Nas tabelas publicadas a seguir o leitor encontrará uma relação atualizada de fabricantes e distribuidores, feita a partir de um levantamento realizado com dezenas empresas da área. Além disso, destaca os segmentos de atuação de cada fornecedor, bem como canais de vendas, certificações e informações sobre atendimento ao cliente.

Confira o guia setorial na íntegra:

O Setor Elétrico / Abril de 2023 58 Guia setorial

TELEFONE

SITE

new.abb.com/br

www.andaluz.ind.br

www.brval.com.br

www.carthoms.com.br

www.controleengenharia.com

www.deltaperfilados.com.br

www.eletropainel.com.br

www.eletropoll.com.br

www.elitek.com.br/

www.engeparsistemas.com.br

www.engerey.com.br

www.forza-ind.com.br

www.gazquez.com.br

www.gimi.com.br

www.inntag.com.br

www.kitframe.com

www.konextopbrazil.com.br

www.luzville.com.br

www.montereletrica.com.br

www.novemp.com.br

www.qtequipamentos.com.br

www.rittal.com.br

São Paulo

Serra

Valença

Nova Odessa

Nova Lima

Santana de Parnaiba

Maringa

Corupá

São Paulo

São Paulo

Curitiba

Curitiba

São Paulo

Suzano

Americana

Cotia

Indaial

Joinville

Itatiba

São Bernardo do Campo

Cachoeirinha

São

3233-8500

(80) 0728-9110

(11) 5541-5120

(34) 3826-7822

(54) 2109-6000

0800 770 3171

(11) 2946-4646

(19) 3301-6900

(11) 4645-2141

(11) 3294-2077

(62) 3207-6161

(11) 2923-7200

(47) 3276-4000

(19) 3321-8400

www.romagnole.com.br

www.se.com/br

www.secpaineis.com.br

www.gruposetta.com

www.soprano.com.br/

www.tascoltda.com.br

www.telbra.com.br

www.varixx.com.br

www.vepan.com.br

www.vlindustria.com.br

www.volga.com.br

www.wago.com.br

www.weg.net

www.zettatecck.com.br

A empresa é Principal canal de vendas Principal Segmento de atuação Certificado ISO Fabricante Exporta produtos acabados Industrial Distribuidora Importa produtos acabados Comercial Programas na área de responsabilidade social Possui corpo técnico especializado para oferecer suporte aos clientes Oferece treinamento técnico para os clientes Fornece serviços de instalação e/ou manutenção dos equipamentos Serviço de atendimento ao cliente por telefone e/ou internet 9001 (qualidade) 14001 (ambiental)
ELETRIFICAÇÃO ANDALUZ BRVAL CARTHOM'S CONTROLE ENGENHARIA DELTA PERFILADOS ELETRO PAINEL ELETROPOLL ELITEK DISJUNTORES ENGEPAR ENGEREY PAINÉIS ELÉTRICOS FORZA GAZQUEZ GIMI SOLUÇÕES INNTAG KITFRAME KONEXTOP BRAZIL LUZVILLE ENGENHARIA MONTER NOVEMP QT EQUIPAMENTOS RITTAL BRASIL ROMAGNOLE SCHNEIDER ELECTRIC SECPAINEIS SETTA ENERGY SOPRANO TASCO TELBRA EX VARIXX VEPAN ELETROTECNICA VL SAUTER VOLGA WAGO WEG ZETTATECCK PROJETOS EMPRESA CIDADE SP ES RJ SP MG SP PR SC SP SP PR PR SP SP SP SP SC SC SP SP RS SP PR SP SP MG RS SP SP SP SP SP GO SP SC SP UF (11) 3689-1111 (27) 3041-6766 (21) 3812-3100 (19) 3466-8600 (31) 98634-5123 (11) 4705-3133 (44)
(11)
(11)
(19)
(11)
(47)
(11)
ABB
3027-9868 (47) 3375-6700 (11) 22890-4448 (11) 94809-9996 (41) 3022-3050 (41) 3023-1150
3380-8080
4752-9900
3648-3700
4613-4555
3328-2791 (47) 3145-4600
4487-6760 (11) 4093-5300 (51) 2117-6600 (11) 3622-2377 (44)
Paulo Mandaguari São Paulo Diadema Patos de Minas Farroupilha Boituva São Paulo Piracicaba São Paulo São Paulo Aparecida de Goiânia Jundiaí Jaraguá do Sul Araras X X X X X X X X X X X X X X X X X X X X X X X X X X X X X X X X X X X X X X X X X X X X X X X X X X X X X X X X X X X X X X X X X X X X X X X X X X X X X X X X X X X X X X X X X X X X X X X X X X X X X X X X X X X X X X X X X X X X X X X X X X X X X X X X X X X X X X X X X X X X X X X X X X X X X X X X X X X X X X X X X X X X X X X X X X X X X X X Distribuidores / atacadistas X X X X X X X X X X X X X X Revendas / varejistas X X X X X X X X X X X X X X Residencial X X X X X X X X X Venda direta ao cliente final X X X X X X X X X X X X X X X X X X X X X X X X X X X X Internet X X X X X X X X X X X X X X Telemarketing X X X X X X X X Construtoras X X X X X X X X X X X X X X X X X X X X X Instaladores X X X X X X X X X X X X X X X X X X X X X X X X X X X X X X X X X X X X X X X X X X X X X X X X X X X X X X X X X X X X X X X X X X X X X X X X X X X X X X X X X X X X X X X X X X X X X X X X X X X X X X X X X X X X X X X X X X X X X X X X X X X X X X X X X X X X X X X X X X X X X X X X X X X X X X X X X X X X X X X X X X X X X X X X X X X X X X X X X X X X X X X X X X X X X X X X X X X X X X X X X O Setor Elétrico / Abril de 2023 60 Guia setorial

Tipos de Quadros e Painéis (Montagem Completa) Tipos de invólucros (caixas vazias)

Quadros de distribuição de força X X X X X X X X X X X X X X X X X X X X X X X X X Cubículos tipo Metal-Clad X X X X X X X X X X X X X X X X X X Quadros de distribuição de luz X X X X X X X X X X X X X X X X X X X X X Cubículos MT X X X X X X X X X X X X X X X X X X X X X X X Quadros para partida de motores em MT X X X X X X X X X X X X X X X X X X X X X Cabines de barramentos X X X X X X X X X X X X X X X X X Centro de controle de motores (CCM) X X X X X X X X X X X X X X X X X X X X X X X X X X Cabines primárias X X X X X X X X X X X X X X X X X X X Eletrocentro X X X X X X X X X X X X X X X X X X Quadros para áreas classificadas (EX) X X X X X X X X X X X Centro de medição agrupada X X X X X X X X Painel de Proteção e/ou controle X X X X X X X X X X X X X X X X X X X X X X X X X X X Quadros de partida de motores X X X X X X X X X X X X X X X X X X X X X X X X X X Cabines de barramentos X X X X X X X X X X X X X X X X X Quadros de automação X X X X X X X X X X X X X X X X X X X X X X X X X Quadro fotovoltáico X X X X X X X X X X X X X X X X Mesas de comando X X X X X X X X X X X X X X X X X Painel de Soft Starter X X X X X X X X X X X X X X X X X X X X X X X Quadros para medidores de energia X X X X X X X X X X X X Painéis de BT X X X X X X X X X X X X X X X X X X X X X X X X X X X X X CCM X X X X X X X X X X X X X X X X X Quadros de distribuição X X X X X X X X X X X X X X X X X X X X Caixas de medição X X X X X X X Cubículos X X X X X X X X X X X X X Caixas a prova de tempo X X X X X X X X X X X X X X Acessórios e ferragens em geral para painéis X X X X X X X X X X Caixas para áreas classificadas X X X X X X X Armários modulares X X X X X X X X X X X X X X X X X X X O Setor Elétrico / Abril de 2023 61

Espaço Aterramento

A curva média de resistividades aparentes

Parte 2

A Figura 1 apresenta diferentes modelos de circuitos elétricos que visam simular a estrutura de subsuperfície abaixo de uma malha de aterramento enterrada próximo à superfície do solo (linha tracejada) por meio de camadas paralelas horizontais e verticais. As figuras 2a1 e 2b1 apresentam os modelos de 1ª ordem dos circuitos elétricos equivalentes, formado por resistências em série (a1) e em paralelo (b1). As figuras a2 e b2 apresentam os modelos de circuitos elétricos de 2ª ordem (a2 e b2), em que foram incluídas resistências transversais, para levar em conta que a corrente injetada no solo pela malha tem liberdade para circular tanto intracamada (na mesma camada) como intercamadas (entre camadas distintas).

Observa-se que o circuito de 1ª ordem é muito simples e não representativo de como as correntes circulam pelas camadas do solo, sendo necessária a utilização de um circuito mais complexo, como é o caso do circuito de 2ª ordem, para uma melhor aproximação do padrão real de circulação das correntes injetadas no solo pela malha de aterramento.

Raciocinado em termos de resistências aparentes, sabe-se que as médias aritmética e harmônica, que podem ser associadas aos circuitos de 1ª ordem (2a1 e 2b1), não se prestam para a obtenção de curvas de resistências

médias aparentes que efetivamente sejam representativas do solo médio de uma dada área. Estas médias servem, porém, para estabelecer os limites superior e inferior, entre os quais a curva média do solo real vai estar efetivamente situada. Para o estabelecimento de uma curva média mais realista, que fique situada entre estes dois limites, pode-se utilizar a curva média geométrica (ou média logarítmica).

Considerando uma estrutura de subsuperfície mais complexa, já que na natureza o solo nunca vai ser tão bem-comportado como os modelos apresentados, compreende-se que o lançamento de uma malha de aterramento próximo à superfície do solo vai paralelizar os volumes de solo existentes nas camadas rasas, sendo razoável raciocinar que a corrente se dividirá de forma inversa com as resistividades das camadas mais rasas do terreno.

Uma espécie de compensação ocorrerá, com uma fração maior da corrente injetada sendo dissipada para o solo em áreas de resistividade mais baixa e frações de corrente mais baixas em áreas de resistividades mais altas. Este processo pode ser entendido como se a malha de aterramento fizesse uma média das resistividades rasas do solo, e justifica a elaboração do projeto do sistema de aterramento com base em uma curva média de resistividades aparentes. Para áreas não muito grandes, limitadas a 20.000 m², o procedimento recomendado

é fazer o projeto com base na curva média geométrica, após a eliminação de outliers e dos valores não confiáveis.

No caso de aterramentos de grande porte, a simples utilização da curva média geométrica pode não ser a melhor solução, sendo a modelagem geoelétrica então mais complexa, pois há que se considerar um peso maior para as resistividades próximas ao ponto de aplicação da falta, que vai sempre ocorrer na subestação de conexão com a linha de energia (que pode ser de média ou alta-tensão). Como exemplos desta situação podem ser citadas plantas industriais (refinarias, petroquímicas etc.) e usinas fotovoltaicas. Neste caso sugere-se a adoção de um fator de ponderação que atribua um peso aos valores das sondagens elétricas verticais (SEV), inversamente proporcional à distância da SEV para o pátio da subestação.

A difusão da corrente injetada em um solo homogêneo a partir de um ponto se faz radialmente e com a densidade de corrente por seção circular de solo caindo com o quadrado da distância (função de 1/x²), sendo que o perfil de tensões no solo será dado por uma curva que cai com a distância (função de 1/x). No caso de uma malha de aterramento enterrada em um solo real, a distribuição é bem mais complexa, pois é dependente da relação entre as impedâncias longitudinais e transversais (para o solo) dos seus segmentos condutores, assim como dos acoplamentos mútuos entre

62
1 - Curva média de resistividades aparentes –ponto de vista elétrico

estes elementos condutores. Pode-se considerar que a malha de aterramento, na sua área de projeção, diminui o peso

dos volumes de solo mais próximos do ponto de injeção da corrente e aumenta o peso de porções de solo mais

afastadas. Esta ponderação exercida pela malha pode ser considerada uma função inversa da resistividade do solo superficial – quanto mais elevado for este parâmetro, maior será a área da malha percorrida pela corrente de falta para a terra antes de fluir dos segmentos condutores para o solo.

Sugere-se, portanto, que o cálculo da curva média de resistividades aparentes vista do pátio da subestação, seja feito, para cada espaçamento de sondagem, por meio da média geométrica ponderada pelo inverso da distância entre o ponto de localização da SEV e o local onde pode ocorrer a falta para a terra (subestação). A resistividade média para cada espaçamento de sondagem será então determinada pela seguinte expressão: Onde

ρ i (a) – resistividade aparente na estação de sondagem i para o espaçamento a; di – distância entre a estação de sondagem i e a subestação.

63
Figura 1: circuitos elétricos equivalentes 2D de 1ª e 2ª ordem, de solos estratificados em camadas horizontais e verticais. *Paulo Edmundo da Fonseca Freire é engenheiro eletricista e Mestre em Sistemas de Potência (PUCRJ). Doutor em Geociências (UNICAMP) e membro do CIGRE e do COBEI, também atua como diretor da Paiol Engenharia.

Desafios da Medição Harmônica no Sistema Elétrico de Potência: a influência da resposta em frequência de Transformadores de Potencial

Os sistemas elétricos de potência têm passado por grandes transformações nos últimos anos, as quais são motivadas pelo crescente incentivo de práticas sustentáveis para a construção de novos modelos de mercado de energia, cujos pilares se baseiam nos processos de descarbonização, descentralização e digitalização. Com isso, novas filosofias tomaram o protagonismo no setor elétrico, as quais possibilitaram o avanço de tecnologias e aumento da eficiência energética dos sistemas.

Nesse sentido, devido à popularização de equipamentos não lineares associados às novas tecnologias, o monitoramento e gestão dos indicadores de distorção harmônica, principalmente em barramentos da Rede Básica e fronteiras, têm se tornado assunto de grande preocupação para os diferentes agentes do setor elétrico.

Em se tratando do monitoramento da qualidade do produto na Rede Básica, um dos grandes desafios da atualidade abrange o aspecto de confiabilidade das medições. No tocante aos transdutores de tensão, os quais são tipicamente empregados para fins

de proteção e medição, é fato que estes instrumentos podem apresentar resposta não linear para faixas de frequência não fundamental, o que pode acarretar erros de medição [1]. A fim de ilustrar este comportamento, a Figura 1 apresenta os Fatores de Correção de Relação de Transformação de magnitude (a) e fase (b), de três Transformadores de Potencial Indutivo (TPI), para redes de 34,5 kV, contendo as mesmas características e especificações técnicas (fabricante, modelo, tensão nominal, etc.).

Com base na Figura 1, embora seja possível observar um comportamento com mesma tendência para os três instrumentos, nota-se certa diferença entre as respostas, sobretudo em termos do ângulo de fase, cuja não linearidade é mais expressiva. Neste aspecto, é oportuno salientar que o grau de não linearidade pode ser consideravelmente expressivo a depender da característica construtiva do instrumento, sendo mais evidente em TPs do tipo capacitivo (TPC).

Para TPIs, a não linearidade se mostra mais evidente para instrumentos de maior

O Setor Elétrico / Janeiro-Fevereiro de 2023
*Por Raquel Cristina Filiagi Gregory; Vinícius Henrique Farias Brito; Bárbara Morais Gianesini; Ivan Nunes Santos
64 Espaço SBQEE
(a) (b)
Figura 1 – Fatores de Relação de Transformação de TPIs para redes de 34,5 kV: (a) magnitude; (b) ângulo de fase.

classe de tensão, dado o aumento do efeito capacitivo que contribui para a intensificação da não linearidade [1]. Assim, a fim de ilustrar este comportamento, a Figura 2 apresenta os Fatores de Correção de Relação de Transformação de magnitude de três TPIs para redes com tensão nominal de 138 kV (a) e 69 kV (b) de diferentes fabricantes e modelos.

Sendo assim, em sistemas elétricos de potência, é altamente desejável investigar o comportamento em frequência destes instrumentos, de forma a garantir a confiabilidade das medições de distorção harmônica.

Diante das preocupações levantadas, o Operador Nacional do Sistema Elétrico (ONS), por meio das diretrizes definidas no Submódulo 2.9 dos Procedimentos de Rede e em relatórios técnicos complementares, como a NT ONS/009.2016, estabelece a imprescindibilidade dos ensaios de resposta em frequência de transdutores para correção de valores de medição de distorção harmônica.

Estas diretrizes se embasam em práticas recomendadas por padrões internacionais, a exemplo da IEC TR 61869-103. Porém, uma questão relevante e que carece de maiores reflexões se refere à padronização dos procedimentos de ensaio de resposta em frequência recomendados pela regulamentação.

Uma prática comum para a realização

destes ensaios, e que consta no relatório técnico Re. ONS – 2.1-028/2005, se trata da aplicação de um sinal de baixa magnitude ao enrolamento primário do TP, o qual é composto de frequências múltiplas da fundamental. No entanto, para alguns tipos de instrumento, como o TPI, existe influência da tensão fundamental da rede sobre a sua resposta em frequência, dado o comportamento não linear do fluxo magnético em função da amplitude e frequência da tensão aplicada. Assim, negligenciar a influência da tensão nominal para a realização dos ensaios pode apresentar uma resposta que não reflete a realidade física experimentada, comprometendo a confiabilidade das medições.

Para avaliar a influência da tensão fundamental da rede na resposta em frequência de TPIs e TPCs, uma abordagem mais fidedigna consiste em incluir, no procedimento de ensaio, a contribuição desta componente acrescida das harmônicas, conforme recomendado na IEC TR 61869-103. Neste aspecto, na literatura são apresentados estudos comparativos entre os procedimentos mencionados utilizando TPs de média tensão, cujas diferenças não se mostram expressivas devido às características dos instrumentos dessa classe de tensão [1], [2]. Todavia, em se tratando de TPIs de alta tensão, há uma certa carência de estudos dessa

natureza, sendo este aspecto motivador para a continuidade das investigações neste campo de pesquisa.

Portanto, a avaliação da real influência do comportamento em frequência dos transdutores de tensão sobre as distorções harmônicas manifestadas na Rede Básica e em seu barramento de fronteira se trata de um assunto de grande relevância no contexto atual, haja vista a necessidade de se estabelecer um referencial que permita a realização de estudos dessa natureza sem negligenciar a real influência da resposta em frequência sobre os resultados de medição das distorções harmônicas.

REfERênciaS BiBliogRáficaS:

[1] M. Klatt, J. Meyer, M. Elst and P. Schegner, "Frequency Responses of MV voltage transformers in the range of 50 Hz to 10 kHz," Proceedings of 14th International Conference on Harmonics and Quality of Power - ICHQP 2010, Bergamo, Italy, 2010, pp. 1-6, doi: 10.1109/ICHQP.2010.5625484.

[2] R. Stiegler, J. Meyer, and P. Schegner, “Portable measurement system for the frequency response of voltage transformers,” International Conference on Harmonics and Quality of Power (ICHQP), June 2012, Hong Kong, China.

*Raquel Cristina Filiagi Gregory é professora Dra. da Universidade Federal do Ceará e Pesquisadora do GREI-UFC e NQEE-UFU; *Vinícius Henrique Farias Brito é doutorando da Universidade Federal de Uberlândia e Pesquisador do NQEE-UFU;

*Bárbara Morais Gianesini é doutoranda da Universidade Federal de Uberlândia e Pesquisadora do NQEE-UFU;

* Ivan Nunes Santos é professor doutor da Universidade Federal de Uberlândia e Coordenador do NQEE-UFU.

O Setor Elétrico / Janeiro-Fevereiro de 2023 Espaço SBQEE 65
Figura 2 – Fatores de Relação de Transformação de magnitude de TPIs de diferentes fabricantes: (a) TPIs para redes de 138 kV; (b) TPIs para redes de 69 kV.
(a) (b)

Quando se fala de ‘Gestão de Ativos’, muitos pensam tratar-se apenas da questão física dos equipamentos e, desse modo, que seria restrito à questão da operação e da manutenção. Ou seja, muitos dizem que isso é uma questão somente da operação. No entanto, a gestão de ativos é um processo iminentemente transversal, que engloba não somente a questão da operação e da manutenção, mas se inicia na fase de planejamento, passando pela aquisição, pela implantação, pelo processo de unitização do ativo, o armazenamento, a operação e a manutenção e, finalmente, o descarte.

Temos então diversas fases envolvidas: planejamento, aquisição (suprimento), implantação, unitização (contábil), armazenamento, operação e manutenção e descomissionamento. Além dessas fases, é fundamental dar a devida atenção ao processo regulatório vigente no país. As empresas necessitam cumprir os normativos definidos pelo processo regulatório de modo a evitar perda de receitas, bem como a aplicação de penalidades pelo agente regulador.

A adequação da estrutura organizacional da empresa facilita a implantação de um sistema de gestão de ativos estratégica e eficiente proporcionando muitas vantagens para as empresas: visão estratégica do negócio, mudança de cultura, melhoria

no desempenho técnico e financeiro e melhoria na competitividade.

Importante ressaltar algumas situações encontradas quando se deseja adequar a estrutura para a implantação do sistema de gestão de ativos na empresa. Dentre elas podemos citar: ausência de uma governança de dados estruturada, ausência de um sistema de gestão de riscos, controle das informações muitas vezes dispersas e não sistematizadas, sistemas computacionais não integrados e com protocolos

fatoRES poSitivoS

(S) foRça:

• Qualificação técnica dos colaboradores;

• Proatividade das equipes de modo a suprir a deficiência da estrutura tradicional, ou seja, a inexistência de processos transversais;

• Busca no atendimento as solicitações dos órgãos reguladores durante a revisão tarifária;

• Busca na adequação da estrutura de modo a tornar a gestão de ativos mais eficiente.

diferentes e falta de conhecimento do sistema de gerenciamento de ativos.

Apresenta-se a seguir uma abordagem, por meio da Matriz Swot, ferramenta muito usada para compreender a realidade das empresas, podendo ser utilizada como instrumento inicial para estabelecer um planejamento estratégico, identificando seus pontos fortes e fracos, além das oportunidades e ameaças que impactam o modelo de negócio adotado pela organização. Consideremos, como exemplo, uma

fatoRES nEgativoS

(W) fRaquEza

• Falta de conhecimento do sistema de gerenciamento de ativos;

• Controle das informações muitas vezes dispersas e não sistematizadas;

• Sistemas computacionais não integrados e com protocolos diferentes;

• Desconhecimento dos normativos da agência reguladora - Aneel;

• Demora na unitização dos ativos gerando perda de receita;

• Falta de um comando centralizado;

• Dificuldade mudança na estrutura organizacional;

• Capacitação de pessoas no processo gestão de ativos.

(o) opoRtunidadES

• Melhoria da competitividade;

• Ganho financeiro;

• Foco no processo regulatório vigente.

(t) amEaçaS

• Perda de receita devido a impossibilidade de atendimento ao normativo Aneel;

• Desafios com relação a Fiscalização Aneel.

O Setor Elétrico / Abril de 2023
66 Espaço Cigre-Brasil
Por Antonio Simões Pires, diretor Financeiro do CIGRE-Brasil*
Abordagem sobre aspectos de uma estrutura organizacional para atendimento à ‘Gestão de Ativos’ em empresas de transmissão de energia elétrica
f ato RES E xt ER no S
f ato RES i nt ER no S

empresa de transmissão de energia elétrica com uma estrutura tradicional, ou seja, na qual o processo de gestão de ativos não é realizado de forma transversal. Nesse tipo de empresa, normalmente existem muitas dificuldades de modo a ser ter uma interação entre as diversas áreas da empresa que permita fazer uma gestão de ativos efetiva. Isso pode resultar em perdas podendo comprometer o equilíbrio econômicofinanceiro.

A tabela a seguir apresenta o resultado da Matriz Swot construída para uma estrutura de uma empresa de transmissão tradicional.

Pela análise da Matriz Swot, depreende-se a necessidade urgente de capacitação de pessoas no entendimento dos conceitos e importância da GA, o fortalecimento da interação das áreas

envolvidas no processo de gestão de ativos que inclui planejamento, aquisição operação, contábil, regulatório etc. É importante que durante o processo de implementação de um sistema de gestão de ativos sejam observados os normativos regulatórios vigentes no país. A implantação de um sistema de gestão adequado, informatizado é vital, de modo a facilitar o trabalho das pessoas envolvidas no processo de revisão tarifária.

Após a revisão tarifária da transmissão ocorrida no ano de 2018, muitas empresas do setor elétrico brasileiro têm trabalho fortemente no sentido de adequar as suas estruturas e os seus processos através de investi na capacitação de seu corpo de funcionários e da infraestrutura necessária de modo tornar a gestão de ativos mais eficiente e, com isso,

minimizar as perdas financeiras. Fazer ‘Gestão de Ativos’ sem o envolvimento de todos é fadado ao insucesso. É preciso repensar a estrutura organizacional de forma integrada, sem o viés de que nesta área “quem manda sou eu” e “tem que implementar GA porque é uma orientação da alta administração”. O alinhamento com as diretrizes empresariais é essencial e o resultado é uma vitória de todos que fazem acontecer dentro da empresa.

*Antonio Simões Pires é engenheiro eletrotécnico pela Universidade Federal do Pará (UFPA), tem mestrado em Sistemas de Potência pela Universidade Federal de Santa Catarina (UFSC) e, atualmente é diretor financeiro do Cigre-Brasil, além de consultor da área de Operação e Manutenção de Sistemas Elétricos.

O Setor Elétrico / Abril de 2023 67

Proteção contra raios

Jobson Modena é engenheiro eletricista, membro do Comitê Brasileiro de Eletricidade (Cobei), CB-3 da ABNT, onde participa atualmente como coordenador da comissão revisora da norma de proteção contra descargas atmosféricas (ABNT NBR 5419). É diretor da Guismo Engenharia | www.guismo.com.br

Raios em áreas abertas

Tenho assistido a algumas palestras sobre proteção contra descargas atmosféricas em áreas abertas e fiquei motivado a escrever sobre o assunto.

A proteção contra raios em áreas fora de estruturas que possam prover proteção às pessoas deve ser tratada com bastante carinho e discernimento, a começar por definir quais seriam as áreas de aplicação desse conceito. Entende­se por área aberta todos os locais situados fora de uma estrutura fechada. Valendo­se do conceito de zona de proteção contra raios (ZPR) pode­se definir área aberta como todos os espaços contidos nas ZPR0A e ZPR0B. Desta forma entende­se que pessoas que se encontrem fora de uma estrutura fechada estarão sujeitas aos seguintes efeitos dos raios:

­ Impacto direto: quando o ser vivo faz parte da conexão entre líderes ascendente e descendente e fica posicionado no canal do raio;

Líder ascendente não conectado: quando o líder ascendente parte da pessoa ou bem próximo dela e não se conecta ao líder descendente e retorna para a Terra, expondo­a a corrente provocada por esse retorno;

Tensão de toque: quando o raio penetra o solo e a tensão superficial cria diferenças de potencial entre o solo e algum elemento metálico enterrado ou aterrado e o ser vivo tem parte do corpo referenciada ao solo e outra parte encostando nesse elemento metálico;

Centelhamento: quando a corrente do raio circulando por um condutor cria uma diferença de potencial suficiente para romper o dielétrico no entorno desse condutor e “salta” para o ser

vivo através de um arco elétrico;

Tensão de passo: quando o raio penetra o solo e a tensão superficial cria diferenças de potencial no solo e o ser vivo tem os pés referenciados em linhas de potencial diferentes no solo;

Corrente induzida por onda trafegante: quando ondas criadas pela corrente elétrica, que circula pelo canal do raio ou por condutores do sistema de proteção contra descargas atmosféricas, induzem corrente elétrica em outros condutores podendo causar choque elétrico.

O impacto direto e – em alguns casos –o líder ascendente não conectado podem ter seus efeitos minimizados pelos seguintes motivos:

• subsistema de captação, a tensão de toque e o centelhamento pelo subsistema de descida;

• a tensão de toque e a tensão de passo pelo subsistema de aterramento e a corrente induzida por onda trafegante, pela blindagem.

Há que considerar­se que a proteção eficaz depende das medidas de proteção adotadas em conjunto e da existência de estrutura apropriada para receber essas medidas, ou seja para haver SPDA sempre haverá uma estrutura. É notório que um SPDA e, obviamente qualquer um de seus subsistemas, pode ser utilizado como ferramenta adicional de proteção raios em área aberta, mas jamais proverá proteção suficiente nessas situações. Deve­se entender que a máxima a ser utilizada como prerrogativa fundamental de proteção é: onde há raios não deve haver pessoas e viceversa.

A ABNT NBR 16785 – Sistema de

Alerta de Tempestades Elétricas foi publicada em novembro de 2019 e trata de fatores fundamentais na proteção de pessoas em áreas abertas contra descargas atmosféricas, sendo a análise risco e a escolha dos equipamentos que compõem o sistema de alerta de raios. A norma orienta, ainda, a criação de procedimentos particularizados, dependentes da característica individual de cada local para a movimentação de pessoas e alteração de processos.

Funciona da seguinte forma: equipamentos medem a variação de campo elétrico e de campo eletromagnético quando da ocorrência de tempestades e sinalizam previamente a possibilidade da ocorrência da descarga atmosférica, facilitando a criação de procedimentos apropriados para transferência de pessoas desde as áreas abertas para locais fechados e protegidos contra raios. Outra medida de proteção adotada pode ser a paralisação de processos, minimizando assim os riscos de incêndio e explosão.

Quais seriam então os locais apropriados para a utilização desse sistema?

Locais que possuam área aberta. Locais com fluxo de pessoas, ainda que reduzido, devem ser submetidos a uma análise de risco, que através dos resultados fornecerá parâmetros para determinação da necessidade da existência de proteção no local. Vale salientar que a análise de risco desenvolvida no texto da NBR 16785 é diferente da análise de risco existente na NBR 5419.

Importante ressaltar também que, embora complementares a NBR 5419 e a NBR 16785, são normas independentes e podem (devem?) ser utilizadas dessa forma.

Apoio 68

Curto-circuito

Prezados leitores, embora este tema seja antigo, observo que o desconhecimento sobre o assunto é enorme, mesmo entre engenheiros, professores e profissionais da área.

O circuito equivalente seguinte (Figura 1), do TC, mostra o significado da curva de excitação secundária do TC, conhecida como curva de saturação.

Análise de sistemas elétricos

Como pode ser observado na figura anterior, no curto ­ circuito a tensão não chega mais aos terminais da carga, ou seja, a carga fica “jumpeada”. Como a maior impedância do sistema elétrico é a carga, ao removê ­ la do circuito elétrico a impedância que irá restringir a corrente diminui abrupta e significantemente de valor, e pela Lei de Ohm, se a impedância é pequena, a corrente passa assumir um valor elevado, que é a corrente de curtocircuito.

Como antes da falta o fator de potência

é alto (normalmente acima de 0.92 para não se pagar multas), ao ocorrer o curtocircuito o fator de potência (ângulo entre a tensão e a corrente aumentam comumente para valores entre 70º e 90º.

Ângulo alto significa X/R alto. X/R alto significa que a componente DC da corrente de curto ­ circuito irá ser mais alta e levar mais tempo para amortecer.

No terceiro capítulo do livro Proteção e Seletividade – de minha autoria – tem uma explanação bem detalhada da corrente de curto ­ circuito.

A corrente de curto ­ circuito é única, porém seu valor varia no tempo devido ao decremento das impedâncias das máquinas conhecida como componente AC e também devido ao decremento da componente DC, que depende do valor do X/R do sistema.

Os estudos de curto ­ circuito são realizados nos sistemas elétricos com as seguintes finalidades:

a) Dimensionamento de Equipamentos

b) Verificação de Equipamentos

c) Estudos de Proteção e Seletividade

d) Calcular as correntes de arco para proteção

e) Efetuar o cálculo das correntes de arco elétrico para fins de cálculo da energia incidente.

f) Estudos de saturação de TCs

Para os estudos descritos nos itens a) e b) é necessário se obter a maior corrente de curto ­ circuito possível. Os estudos nesses casos devem seguir as normas ANSI/IEEE ou IEC dependendo das normas de fabricação do equipamento.

Para os estudos c), d), e), f) e g) é importante ter ­ se o nível de curto ­ circuito mais próximo de real possível.

As faltas podem ser francas (ou metálicas, em inglês “bolted fault”) ou falta por impedância, ou ainda falta por arco.

As faltas francas são faltas sem qualquer impedância de falta.

As faltas por impedância ou por arco apresentam um valor de corrente inferior ao valor da falta franca.

Mais de 90% das faltas se inicial por falha de isolação, podendo evoluir para faltas bifásicas e trifásicas.

As faltas por arco podem ser:

• Arco shunt

• Arco série

Arco série tem ocorrência mais comum em equipamentos extraíveis ou mau encaixe de chaves ou contatos.

É importante lembrar que quando os relés monitores de arco por luz estão configurados por luz + corrente, não haverá atuação em faltas por arco série.

69
O Setor Elétrico / Abril de 2023
Figura 1 – Sistema elétrico sob curto-circuito.

Iluminação pública

Luciano Rosito é engenheiro Eletricista, especialista em iluminação e iluminação pública. Professor de cursos de iluminação pública no Brasil e exterior. Palestrante em seminários e eventos na área de iluminação e eficiência energética. Colaborador da Revista O Setor Elétrico. Coordenador de Comissões de Estudo e grupos de trabalho para a criação e revisão de normas técnicas no Brasil junto ao CB03 do COBEIABNT. Pesquisador de sistemas de iluminação pública. Ex-coordenador do Centro de Excelência em Iluminação Pública - CEIP de 2006 a 2010. Ex-coordenador da Área de Iluminação do LABELO - PUCRS.

Terceiro panorama da participação privada na iluminação pública

No dia 28 de março de 2023 foi realizado na cidade de São Paulo o evento de lançamento do terceiro panorama da participação privada na iluminação pública. A ABCIP ­ Associação Brasileira das Concessionárias Privadas de Iluminação Pública, fundada no ano de 2017 vem realizando dentro de suas atividades esta pesquisa, avaliação e divulgação dos dados de mercado, acompanhando o crescimento e evolução das PPPs e da melhoria da iluminação nas cidades do Brasil.

PARA OS PRÓXIMOS ANOS, AS NOVAS TECNOLOGIAS E TENDÊNCIAS DEVEM SER UTILIZADAS NA ESTRUTURAÇÃO DOS PROJETOS. A TELEGESTÃO 100% E AS CIDADES INTELIGENTES DEVEM GANHAR MAIS ESPAÇO, BEM COMO A PUBLICAÇÃO DA REVISÃO DA NBR 5101 E A TENDÊNCIA DE TEMPERATURA DE COR MAIS BAIXA. TUDO ISSO DEVE SE TORNAR REALIDADE, COMO ESTÁ PREVISTO PARA A CIDADE DE CAMPINAS E OUTRAS QUE JÁ ENTRAM EM FASE DE EXECUÇÃO.

Desde a primeira edição em 2019, do lançamento através de um evento lotado de agentes que atuam neste setor, com as perspectivas se tornando realidade, passamos por um período de pandemia, onde em 2021 foi realizada de forma virtual o lançamento da segunda edição e o tema evoluindo, saindo das apresentações para a realidade da vida

nas cidades sendo geridas por meio de PPPs e muitas outras cidades buscando caminhos semelhantes.

Neste ano, as perspectivas são mais animadoras em função desta trajetória e com a visibilidade prática proporcionando segurança para quem está em fase de estruturação de projetos e posterior licitação. Com 95 contratos assinados e quase 800 projetos em fase de preparação, o setor mostra no ano de 2023 enormes possibilidades para quem quer investir neste segmento.

Dos quase 800 projetos que estão em fase de estruturação – estamos falando de mais de seis milhões de pontos de iluminação pública envolvidos – o que representa atingir quase 70 milhões de pessoas nestas cidades. Entretanto, é preciso ponderar e analisar que os projetos atuais são de cidades de pequeno e médio porte, devido a cidades de grande porte e capitais já terem feito processos anteriormente. Isto representa uma necessidade de atendimento da realidade de cada uma destas cidades em termos de qualificação maior e colocação em prática do aprendizado tido com quem já realizou projetos anteriormente. Os desafios tem sido lidar com os altos deságios praticados nos leilões, entendendo as causas e risco que isto gera, podendo ter como consequência a judicialização para o reequilíbrio econômico financeiro ou riscos quanto a qualidade do serviço. Por outro lado, temos a ampliação do uso das tecnologias como a telegestão e conceitos de cidades inteligentes, as receitas que podem ser geradas em serviços adicionais ao projeto de iluminação e com tudo isso o

equilíbrio do projeto ao longo dos anos, até uma nova concessão.

Neste cenário, o evento de 2023 foi estruturado para que em um dia, de forma presencial e com transmissão por vídeo, fosse possível passar por diversos temas que compõem este panorama da iluminação. Inicialmente, foram apresentados pelo Pedro Iacovino, presidente da ABCIP, os dados gerais do panorama e um vídeo como exemplos de diversas cidades com iluminação modernizada, o que coloca os cidadãos como protagonistas deste processo, afinal iluminamos para as pessoas e o custo deste serviço é pago pelo cidadão.

O evento seguiu com painéis como: as tendências na modelagem de projetos de PPP, aspectos jurídicos relacionados às PPPs, e por fim, o painel que tive a honra de moderar sobre as fronteiras tecnológicas na iluminação pública e a transição para as cidades inteligentes, falando sobre o futuro das cidades e o que já vem sendo feito para utilizarmos os benefícios das tecnologias disponíveis e futuras. A gravação do evento está disponível no canal da ABCIP no Youtube. Para os próximos anos, as novas tecnologias e tendências devem ser utilizadas na estruturação dos projetos. A telegestão 100% e as cidades inteligentes devem ganhar mais espaço, bem como a publicação da revisão da NBR 5101 e a tendência de temperatura de cor mais baixa. Tudo isso deve se tornar realidade, como está previsto para a cidade de Campinas e outras que já entram em fase de execução.

O Setor Elétrico / Abril de 2023 70

Aguinaldo Bizzo de Almeida é engenheiro eletricista e atua na área de Segurança do trabalho. É membro do GTT – NR10 e inspetor de conformidades e ensaios elétricos ABNT – NBR 5410 e NBR 14039, além de conselheiro do Conselho Regional de Engenharia e Agronomia do Estado de São Paulo (CREA-SP). É autor do livro “Vestimentas de Proteção para Arco Elétrico e Fogo Repentino” e diretor e consultor de Desenvolvimento e Planejamento e Segurança do Trabalho (DPST). *

Estudos de energia incidente – desvios

Mesmo não estando descrito de forma explícita na NR 10 – Segurança em Instalações e Serviços com Eletricidade – calcular o nível de energia incidente das instalações elétricas é necessário e obrigatório para o atendimento às premissas estabelecidas na mesma. Isso se dá, especialmente, no sentido de conhecer o real nível de risco existente para os profissionais que executam atividades de operação e manutenção das instalações elétricas, e consequente definição das medidas de controle a serem adotadas, de modo a trazer proteção para as pessoas, para o meio ambiente, bem como a continuidade do processo produtivo.

Considerando o disposto na NR 1 –Gerenciamento de Riscos Ocupacionais – é obrigatório que seja estruturado o “Inventário de Riscos” e, neste contexto, a identificação de perigos elétricos e controle dos riscos elétricos, onde a exposição ao risco de arco elétrico é condição intrínseca às atividades com circuitos elétricos energizados.

O cálculo do nível de energia incidente de forma correta é premissa essencial para a correta classificação do nível de risco, e, infelizmente, predominam hoje muitos estudos inadequados, especialmente para instalações elétricas caracterizadas como SEP – Sistema Elétrico de Potência, tanto para concessionárias de energia elétrica quanto para indústrias de grande porte

que possuem subestações de alta tensão. Devido ao desconhecimento de profissionais que realizam esses estudos, bem como de profissionais das empresas que contratam esses trabalhos, é comum encontrarmos situações que comprometem as Organizações e o SESMT, uma vez que devido aos “cálculos inadequados”, causados pela adoção de “metodologias de cálculo”, impróprias para cenários elétricos típicos de “SE desabrigadas “, ocorrem resultados com elevado nível de energia incidente que acabam inviabilizando, inclusive a adoção de possíveis EPIs para proteção ao risco de arco elétrico. Uma vez que o uso do EPI é a última barreira de proteção preconizada na NR 1 e NR 10, obrigatoriamente, torna ­ se proibida a realização de atividades com circuitos energizados nesses cenários, ou seja, simplesmente tem ­ se uma “condição inexequível”, que não retrata a realidade laboral existente quanto à real exposição dos profissionais ao risco de arco elétrico.

É fundamental que cálculos de energia incidente sejam realizados com metodologias adequadas, respeitando ­ se as características construtivas das instalações elétricas.

Entenda ­ se que o “referido cálculo” é somente uma parte do processo de Gerenciamento de Riscos, onde os resultados desses cálculos , que devem ser realizados por PLH – Profissionais Legalmente Habilitados ­ Engenheiros

Eletricistas, devem subsidiar a elaboração de Análise de Risco especifica que devem ser elaboradas por profissionais do SESMT, considerando minimamente metodologias de trabalho e as características físicas das instalações elétricas, para que seja possivel a definição de medidas de controle, considerando a hierarquia estabelecida na NR 1 e na NR 10, inclusive a especificação correta de EPI.

É FUNDAMENTAL QUE CÁLCULOS DE

ENERGIA INCIDENTE SEJAM

REALIZADOS COM METODOLOGIAS

ADEQUADAS, RESPEITANDO- SE AS CARACTERÍSTICAS CONSTRUTIVAS

DAS INSTALAÇÕES ELÉTRICAS.

Dessa forma, os profissionais autores desses “estudos de engenharia” precisam analisar com critério o que estão “desenvolvendo”, sob pena de provocarem situações comprometedoras para as organizações.

Ressalta ­ se, ainda, a priorização de projetos de instalações elétricas seguras, bem como a adoção de medidas de controle de engenharia, visando a eliminação do “Perigo Eletricidade” e/ou a minimização do nível de risco às “condições aceitáveis”.

Segurança do trabalho
O Setor Elétrico / Abril de 2023 71

Danilo Ferreira de Souza é engenheiro eletricista pela Universidade Federal de Mato Grosso (UFMT). É especialista em Energia e Sociedade pela Universidade Federal do Rio de Janeiro (UFRJ), mestre em Energia e pesquisador no Instituto de Energia e Ambiente (IEE) da Universidade de São Paulo (USP). Danilo é professor na Universidade Federal de Mato Grosso, sendo membro do Núcleo Interdisciplinar de Estudos em Planejamento Energético - NIEPE.

Qual é o transporte mais eficiente energeticamente?

Diante de diversas possibilidades de escolha de modais de transporte, como política pública de mobilidade urbana, ou mesmo deslocamentos internacionais, a eficiência energética do transporte se torna pauta importante, pois aproximadamente 1/3 dos gases de efeito estufa, que causam o agravamento do aquecimento global, são oriundos deste setor.

Uma questão central para iniciar este debate é a noção de intensidade energética. Quando há uma única pessoa dentro do veículo para o deslocamento, são necessários cerca de dois Mega –Joules (MJ) para percorrer cada quilômetro dentro de uma cidade. Ao serem adicionadas mais duas pessoas no veículo com destinos semelhantes, o resultado é de aproximadamente 0,67 MJ por pessoa para cada quilômetro percorrido. A energia necessária para transportar as pessoas e o veículo é uma medida importante para avaliar a eficiência de um meio de transporte. Esta análise já evidencia que possuir um carro SUV, com grandes dimensões e massa, é uma péssima ideia na perspectiva da eficiência. Os SUVs podem chegar à intensidade energética de 5 MJ por passageiro ­ quilômetro. Em deslocamentos urbanos de superfícies ou subterrâneos, os trens/ metrôs são altamente eficientes. Com operação no pico de passageiros, os mais modernos precisam de menos de 0,4 MJ

Intensidade energética no transporte

Carro Pequeno (1 ou 2 passageiros)

Metrô em horário de pico Trem Interurbano Ônibus Avião a jato

SUV grande (1 ou 2 passageiros)

Fonte: Adaptado de Numbers Don't Lie, Vaclav Smil (2020) e outras aproximações. por passageiro ­ quilômetro.

Um dos modais de transporte mais eficientes é o dos trens interurbanos de alta velocidade para projetos tradicionalmente entre 70 e 500 km. Os modelos mais antigos tinham uma intensidade energética de cerca de 0,3 MJ por passageiro ­ quilômetro, ao passo que os mais novos, de aproximadamente 0,2 MJ por passageiro ­ quilômetro. Esses projetos são comuns na Europa, mas a China nas últimas décadas já alcançou uma malha de aproximadamente 35.000 km, com algumas linhas podendo operar

em velocidade máxima de 431 km/h. Os projetos de trens de alta velocidade se justificam apenas em locais de alta densidade populacional, com rotas bem definidas. Assim, no caso brasileiro, em poucas situações, nas condições atuais, seria um modal a se considerar. Há um projeto em discussão sobre o Trem de Alta Velocidade Rio ­ São Paulo (TAV RJ ­ SP), que é a principal linha do plano do governo federal de trem de alta velocidade no Brasil com a função de interligar as duas principais metrópoles brasileiras: São Paulo e Rio de Janeiro. O projeto está

72
Energia e sociedade
O Setor Elétrico / Abril de 2023 <0,1 0,2 - 0,4 1-1, 3 1-2 1,5-2 3-5
0 1 2 3 4 5

previsto desde 2007, mas até o momento que escrevo este texto ainda não foi iniciado.

Para deslocamentos mais longos, os aviões mais comumente utilizados, operando à turbina, são altamente eficientes, operam a aproximadamente 2 MJ por passageiro para cada quilômetro. Um dos transportes mais utilizados no Brasil é o veículo à combustão. E os melhores motores à combustão atualmente à venda têm uma eficiência energética máxima de 40%. É como dizer que, a cada R$ 100 que você abastece, apenas R$ 40 se transformam em movimento. Os demais R$ 60 de combustível são perdidos principalmente em forma de calor. E não é difícil encontrar veículos operando com

entre 18% e 20% de eficiência. E se você pesa 80 kg e está em um carro de 900 kg, na verdade você representaria algo em torno de 8% do total. O que significa dizer que dos R$ 100 inicialmente investidos, com a eficiência de 20% do veículo à combustão, para deslocar uma pessoa de 80 kg, a eficiência final seria algo entre 1,5 e 3% ­ absurdo, não?

É neste ponto que o carro elétrico apresenta um dos ganhos, pois o motor elétrico opera com facilidade na região de eficiência entre 80 e 85%.

Observa ­ se, então, que caminhar para a eletrificação é uma oportunidade para aumento de eficiência energética, mas também para a redução das emissões de gases de efeito estufa. No caso brasileiro,

a diminuição é brutal, pois a matriz elétrica é pouco carbonizada, diferentemente da matriz elétrica global.

Essas informações o poder público possui, e pode utilizá ­ las para modelar políticas no sentido real de minimizar impactos ambientais. Mas quais ações os indivíduos podem implementar para aumentar a sua eficiência no transporte?

Eis algumas: 1) optar pela utilização de transporte coletivo; 2) se for necessário comprar veículo, optar por modelos menores e mais eficientes; 3) organizar ­ se para que um mesmo veículo transporte mais de uma pessoa, incluindo ao utilizar aplicativos de transporte; 4) dentro das cidades, buscar formas alternativas de transporte, como bicicletas e patinetes.

O Setor Elétrico / Abril de 2023 73

4.0

FMEA: uma importante ferramenta para a manutenção no setor elétrico

Uma das principais ferramentas de qualidade que a equipe de manutenção pode utilizar é o FMEA – sigla em inglês para Análise de Modos de Falha e Efeitos. Este artigo objetiva apresentar, de maneira sucinta, mais detalhes sobre os objetivos e a importância desta ferramenta.

A finalidade do FMEA, geralmente apresentada no formato de uma planilha, é apresentar para cada ativo as prováveis causas de falhas, bem como os efeitos associados.

Além desta finalidade, tem como objetivos: identificação dos equipamentos e componentes de uma planta; apontamento, para cada um dos ativos, dos principais modos de falha existente; mapeamento das ações possíveis para a mitigação ou eliminação dos efeitos dos modos de falha encontrados. Como exemplo, são apresentados na Figura 1 recortes de uma planilha FMEA, com destaque para transformadores de potência, com a seguinte estrutura: equipamento/sistema – componente do equipamento – modo de falha observado. Como resultado da análise obtida do estudo da FMEA, é possível estimar, para cada modo de falha observado, as grandezas: impacto (quão grave é a falha), frequência (quantas vezes se observa a falha) e rastreabilidade (o quão observável é a falha). O produto destas três grandezas retorna um indicador de Gravidade, que possibilita entender quais são as falhas mais severas. Além da criação da FMEA, deve­se realizar periodicamente a revisão da ferramenta, visando a sua atualização e aplicabilidade. Após a construção de uma planilha FMEA, recomenda­se que todas as ocorrências sejam monitoradas e analisadas sob a ótica da ferramenta desenvolvida. Desta forma, será possível obter uma análise de Pareto de

equipamentos mais falham, e quais modos de falha mais impactam nos indicadores DEC e FEC da empresa, possibilitando assim o direcionamento de recursos e equipes, bem como a tomada de decisão subsidiada em informações.

Como exemplo da importância da aplicação do FMEA, dados fictícios foram coletados de uma série temporal. Na Figura 2 é apresentado, na forma de um Diagrama de Pareto, o impacto no DEC das ocorrências, estratificadas por equipamento e por modo de falha observado. Da análise, nota­se que falhas em transformadores e relés de proteção correspondem a 43,81% do impacto total no DEC. Desta forma, ações de manutenção direcionadas a estes equipamentos

se mostram mais eficazes na manutenção dos indicadores de continuidade, quando comparadas a intervenções em retificadores, por exemplo. Analisando em detalhes a categoria transformadores de potência, nota­se que o modo de falha mais recorrente é: má conexão nas buchas. Assim, recomenda­se, para este caso, ações associadas a reaperto de conexões. Com forte aplicação na indústria, o acompanhamento das ocorrências com auxílio da metodologia FMEA se mostra extremamente importante para o setor elétrico, ao permitir entendimento dos principais pontos de fragilidade do sistema elétrico, bem como direcionar a alocação de recursos e garantir otimização nos negócios das concessionárias de energia elétrica.

Caio Cezar Neiva Huais é engenheiro de produção, pós-graduado em Engenharia Elétrica e Automação com MBA em engenharia de manutenção. Atualmente, é gerente corporativo de manutenção de alta tensão no Grupo Equatorial Energia.
Manutenção
74 O Setor Elétrico / Abril de 2023
quais Figura 1. Exemplo de planilha FMEA, destacando a abertura em sistema/equipamento (no caso, transformadores de potência e sistema de serviço auxiliar), elementos e modos de falha observáveis. Figura 2. Resultados obtidos da aplicação do FMEA para o monitoramento de ocorrências, com a construção de Diagramas de Pareto por equipamento (à esquerda) e por modo de falha observado (à direita).

Quadros e painéis

Nunziante Graziano é engenheiro eletricista, mestre em energia, redes e equipamentos pelo Instituto de Energia e Ambiente da Universidade de São Paulo (IEE/ USP), Doutor em Business Administration pela Florida Christian University, Conselheiro do CREASP, membro da Câmara Especializada de Engenharia Elétrica do CREASP e diretor da Gimi Pogliano Blindosbarra Barramentos Blindados e da GIMI Quadros elétricos. nunziante@gimipogliano.com.br

ESG e o futuro dos equipamentos elétricos

Parte 3

Como falamos no artigo desta coluna na edição anterior, no dia 14 de dezembro de 2022, a Associação Brasileira de Normas Técnicas (ABNT) publicou a Norma ABNT Prática Recomendada – PR 2030 ESG, com diretrizes que alinham os principais conceitos e princípios ESG, com o objetivo de dar as diretrizes básicas às empresas no processo de incorporação de conceitos e diretrizes nas adoções das melhores práticas ambientais, sociais e de governança em seus negócios.

Essa norma, em sua cláusula 7.1.1.3 aborda um tema super importante, que trata da eficiência energética. Ainda que seja um tema bastante conhecido, gostaria de abordar seus conceitos e contextualizar como as instalações elétricas colaboram, e muito, com o sucesso do tema.

A eficiência energética é a relação entre o produto ou trabalho realizado com a energia consumida para a obtenção do mesmo. É, portanto, uma métrica energética da razão entre saída e a entrada de uma instalação, processo ou equipamento. Melhorar a eficiência energética significa realizar o mesmo trabalho com menos energia ou realizar mais trabalho com a mesma energia.

Independentemente da fonte de energia, seja ela renovável ou não, a geração de energia, seus processos de transformação, transmissão, transporte e distribuição, até seu consumo no usuário final causa impactos socioambientais, em maior ou menor grau. Portanto, o uso eficiente de energia deve ser a primeira alternativa ao recurso energético, sendo considerado o caminho mais limpo e, em muitos casos, mais barato, para o atendimento do consumo.

A gestão da energia é o começo

para se ordenarem as ações de eficiência energética, indicando, oportunamente, o uso de equipamentos mais eficientes, além das melhores práticas de operação e uso, além da adoção das melhores tecnologias.

Com base no texto acima, boa parte transcrita da referência normativa PR 2030ESG, podemos facilmente entender que a construção de uma instalação bem projetada e bem executada, com as melhores práticas de projeto e sobretudo, a escolha dos materiais mais adequados – nem sempre os mais baratos – além de executadas por profissionais qualificados e habilitados, interfere sobremaneira na eficiência energética da própria instalação.

Lembremo­nos que, muitas vezes, priorizar um “Capex” baixo pode significar um “Opex ”muito maior, além do custo da energia desperdiçada ao longo do ciclo de vida útil da instalação.

Um fator importante, muitas vezes negligenciado, é a queda de tensão nos circuitos. Muitas vezes podemos projetar o baricentro das cargas de maneira otimizada, ou seja, menores percursos de condutores correspondem a menores quedas de tensão e, portanto, menores perdas por efeito Joule. Também a escolha da melhor tecnologia dos condutores, se cabos ou barramentos blindados, pode significar grandes ganhos quando o assunto é queda de tensão. Por fim, a escolha da correta tensão de operação, quando isso é possível, contribui sobremaneira. Reduzir as correntes através do emprego de tensões maiores de operação reduz a queda de tensão e as perdas Joule.

Quadros e painéis fabricados por empresas idôneas, com certificação através das normas

de construção aplicáveis, trazem também ganhos importantes. Conexões mal realizadas, barramentos subdimensionados, entre outras práticas de redução de custo de fabricação também implicam em maiores perdas e portanto, ao longo do ciclo de vida útil deste painel, vai cobrar seu preço.

É nossa responsabilidade, portanto, vamos pensar nas melhores práticas e nos melhores custos de ciclo de vida das instalações, não somente no “Capex”.

A EFICIÊNCIA ENERGÉTICA É A RELAÇÃO ENTRE O PRODUTO OU

TRABALHO REALIZADO COM A ENERGIA CONSUMIDA PARA A OBTENÇÃO DO MESMO. É, PORTANTO, UMA MÉTRICA ENERGÉTICA DA

RAZÃO ENTRE SAÍDA E A ENTRADA DE UMA INSTALAÇÃO, PROCESSO OU EQUIPAMENTO. MELHORAR A

EFICIÊNCIA ENERGÉTICA SIGNIFICA

REALIZAR O MESMO TRABALHO COM

MENOS ENERGIA OU REALIZAR MAIS

TRABALHO COM A MESMA ENERGIA.

Repito a provocação da edição anterior: no final das contas, aquela antiga frase: “que vantagem Maria leva escolhendo esse ou aquele?” permanece válida, mas o que muda completamente é o critério de análise e comparação.

75 O Setor Elétrico / Abril de 2023

Redes subterrâneas em foco

O que o ChatGPT pode fazer pela manutenção dos cabos isolados?

Com o objetivo de testar seus conhecimentos sobre o nosso setor, iniciei uma conversa com o ChatGPT (sigla inglesa para chat generative pre­trained transformer), ferramenta desenvolvida pela empresa OpenAI que utiliza Inteligência Artificial generativa para criar conversas humanizadas em questão de segundos.

A tecnologia, considerada hoje como uma das mais disruptivas dos últimos tempos, tem chamado a atenção de diversos formadores de opinião, cientistas, pesquisadores e até de governos, como do estado de Nova York, nos Estados Unidos, por sua capacidade de gerar conteúdo e de interagir com o ser humano.

Apesar de estarmos em fase de adoção do modelo de linguagem da OpenAi, e, portanto, ainda aprendendo os cuidados que devemos tomar para utilizá­lo de forma segura e eficiente, ele já nos dá pistas de que pode realmente virar o jogo e, entre outras potencialidades, se tornar uma solução relevante para o nosso setor.

Desconsiderando toda a polêmica em torno da utilização do chatbot, podemos notar que as primeiras impressões são fantásticas e até assustadoras.

Vejam, na íntegra, duas perguntas que fiz para o ChatGPT sobre as redes elétricas

e cabos isolados de média tensão e suas respectivas respostas:

Daniel Bento: Por que é importante realizar a manutenção nas redes elétricas?

ChatGPT: A manutenção regular das redes elétricas é fundamental para garantir a segurança e a confiabilidade do fornecimento de energia elétrica. Aqui estão algumas das razões pelas quais a manutenção é importante:

• Prevenção de acidentes: A manutenção adequada pode ajudar a identificar e corrigir problemas na rede elétrica antes que eles se tornem perigosos. Falhas elétricas, como curtos-circuitos ou sobrecargas, podem causar incêndios ou outros tipos de acidentes, e a manutenção regular pode ajudar a prevenir esses problemas.

• Garantia de confiabilidade: A manutenção regular ajuda a garantir que a rede elétrica esteja funcionando corretamente e com eficiência. Falhas na rede elétrica podem levar a interrupções de energia, que podem causar transtornos para os usuários e prejuízos para as empresas.

• Prolongamento da vida útil dos equipamentos: A manutenção regular pode ajudar a prolongar a vida útil dos equipamentos elétricos. Com a manutenção

adequada, os equipamentos elétricos podem funcionar por mais tempo, o que ajuda a reduzir os custos de substituição e manutenção.

• Economia de energia: A manutenção regular pode ajudar a identificar e corrigir problemas de eficiência energética na rede elétrica. Isso pode ajudar a economizar energia e reduzir os custos de eletricidade para os usuários.

Em resumo, a manutenção regular das redes elétricas é importante para garantir a segurança, a confiabilidade e a eficiência do fornecimento de energia elétrica. A falta de manutenção pode levar a problemas graves, como acidentes elétricos e interrupções de energia prolongadas.

Daniel Bento: Quais as principais manutenções em cabos isolados de média tensão?

ChatGPT: Os cabos isolados de média tensão são importantes componentes de redes elétricas subterrâneas, e a manutenção adequada desses cabos é essencial para garantir a segurança e a confiabilidade do fornecimento de energia elétrica. Aqui estão algumas das principais manutenções em cabos isolados de média tensão:

• Inspeção visual: A inspeção visual é um

Daniel Bento é engenheiro eletricista com MBA em Finanças e certificação internacional em gerenciamento de projetos (PMP®). É membro do Cigré, onde representa o Brasil em dois grupos de trabalho sobre cabos isolados. Atua há mais de 25 anos com redes isoladas, tendo sido o responsável técnico por toda a rede de distribuição subterrânea da cidade de São Paulo. É diretor executivo da Baur do Brasil | www.baurdobrasil.com.br
76 O Setor Elétrico / Abril de 2023

procedimento simples, mas eficaz, que envolve a verificação visual dos cabos e seus acessórios em busca de sinais de danos, desgaste ou envelhecimento. É importante realizar a inspeção visual regularmente, para que possíveis problemas possam ser identificados e corrigidos antes que causem falhas no cabo.

• Testes elétricos: Os testes elétricos ajudam a avaliar a integridade dos cabos e sua capacidade de suportar a tensão nominal. Esses testes incluem o teste de resistência de isolamento, o teste de resistência ôhmica e o teste de fator de dissipação, entre outros. Esses testes devem ser realizados regularmente para verificar se o cabo está em boas condições elétricas.

• Detecção de falhas: A detecção de falhas é um procedimento importante para identificar e corrigir problemas em cabos isolados de média tensão. Existem várias técnicas para detectar falhas em cabos, como o método de onda viajante, o método de localização de falhas de impulsos e o método de ressonância eletromagnética.

• Reparo e substituição: Quando são identificados problemas em um cabo isolado de média tensão, é importante tomar medidas corretivas imediatas, como reparo ou substituição do cabo danificado. O reparo pode envolver a substituição de acessórios defeituosos ou a remoção de defeitos do cabo, enquanto a substituição pode ser necessária em casos mais graves de danos ao cabo.

Em resumo, a manutenção adequada dos cabos isolados de média tensão inclui a inspeção visual regular, testes elétricos, detecção de falhas e reparo ou substituição de componentes defeituosos. É importante seguir as diretrizes do fabricante e as normas técnicas aplicáveis para garantir que a manutenção seja realizada de forma segura e eficaz.

ChatGPT Mar 23 Version. Free Research Preview. ChatGPT may produce inaccurate information about people, places, or facts.

Reparem que em ambas as respostas dadas, poderíamos acrescentar informações imprescindíveis para uma manutenção adequada das redes. Um exemplo é que, quando questionada sobre os testes elétricos, ela não menciona as medições de Descargas Parciais.

Porém, como a ferramenta utiliza Inteligência Artificial para aprimorar a si própria e ainda está em sua versão beta, é só uma questão de tempo para ela “aprender” e deslanchar.

Você acredita que soluções como estas podem realmente impulsionar de alguma forma o setor elétrico? Mande seu comentário para a revista ou diretamente para mim.

O Setor Elétrico / Abril de 2023
77

Energia com qualidade

Os desafios das emissões eletromagnéticas na operação das instalações elétricas

Na edição de março de 2023, comentávamos sobre as emissões de gases poluentes por geradores operados de forma bastante intensa, mesmo que em situação de fonte de contingência em Data Centers, Hospitais e outras instalações. O acesso ao artigo pode ser feito pelo link: https://www.osetoreletrico.com. br/os­desafios­das­emissoes­na­operacao­dasinstalacoes­eletricas/

A questão a ser ora tratada considera outros tipos de emissões, as eletromagnéticas e como consequência observa­se a ocorrência de má operação de equipamentos, dificuldades na transmissão de sinal e paradas muitas vezes inexplicadas nas instalações elétricas. O tema é complexo e possui diversas abordagens e linhas de estudo e pesquisa.

Os acionamentos efetuados por fontes eletrônicas, os sinais analógicos e digitais de comando e controle, capacitores fixos ou manobrados de forma automática, cargas transitórias, máquinas girantes, topologia dos sistemas de aterramento, as descargas atmosféricas, manobras em sistema industrial, os limites de operação e imunidades de cargas eletrônicas entre outras estão entre as vítimas e os causadores dos distúrbios nas instalações nem sempre com causas identificáveis, contudo, as consequências são quase sempre verificadas com o desligamento, má operação e queima de equipamentos.

A preocupação das normas nacionais e internacionais em seus conteúdos, prescrições e recomendações é intensa e tal constatação pode ser feita na nossa NBR 5410 onde uma série de restrições e recomendações estão bem definidas, relacionadas à formação de circuitos e seus invólucros, limitação de cabos com secções adjacentes diferentes, esquemas de aterramento, proteção a surtos, efeitos de cargas não lineares e as harmônicas (na 5410 somente neutro). Ainda há de se ter cuidados com a limitação de picos de corrente e reativos gerados por cargas transitórias, aspectos de aterramento e dimensionamento do condutor neutro e outros.

No contexto de imunidade, a curva ITIC

é uma referência muito aplicada em cargas com fontes eletrônicas, o Prodist

no módulo de número oito (8) – se preocupa em garantir fornecimento confiável em limites estabelecidos nos pontos de conexão entre distribuidora e consumidor. Os fabricantes dos equipamentos, por sua vez, testam e certificam os mesmos em laboratórios para garantir limites operacionais em ambientes poluídos.

Nas cargas com forte conteúdo eletrônico, como os sistemas eletromédicos, servidores e outras cargas de TI, sistemas de controles urbanos e portuários, as preocupações são relacionadas à qualidade do serviço e às entregas previstas pelos equipamentos. A figura 1 indica a imagem de um ultrassom

O Setor Elétrico / Abril de 2023 78
José Starosta é diretor da Ação Engenharia e Instalações e presidente da Sociedade Brasileira de Qualidade da Energia Elétrica (SBQEE) jstarosta@acaoenge.com.br
Figura 1 – Imagem de aparelho de ultrassom hospitalar sujeito a interferência eletromagnética apresentando artefatos (ruídos) na imagem.

exames de laboratórios e hospitais. A imagem está prejudicada devido à presença de artefatos (ruídos) causado por interferência eletromagnética causada por alimentação elétrica inadequada do equipamento.

As figuras 2 e 3 apresentam os efeitos do uso de cargas não lineares sem maiores cuidados nos acionamentos de motores com inversores e correntes harmônicas que circulam pelo transformador, causando a distorção de tensão. O efeito pode ser ainda incrementado por distorção da rede da distribuidora causada por outros consumidores conectados.

Notas para as figuras: THDI: distorção total de corrente; THDV: Distorção total de Tensão.

Fonte: Ação Engenharia e Instalações Ltda. Medições com instrumento classe A, pure da Elspec.

As emissões possuem intensidade e frequências variáveis. Necessário entender o que se deseja conhecer, como medir, e entender as causas e efeitos. Nota ­ se nas figuras 2 e 3 o efeito da distorção de tensão, causado pela distorção de corrente.

A figura de número 4 apresenta a presença da 100ª harmônica em tensão 6kHz

causada possivelmente por pulso de IGBT. A organização adequada dos componentes da instalação na fase de projeto, instalação e manutenção são atividades necessárias e podem ser a saída para evitar contratempos e aumentar significativamente a continuidade da operação. O conhecimento das emissões e imunidades é ponto fundamental para a confiabilidade.

O Setor Elétrico / Abril de 2023
Figura 4 - Medições de tensão neutro/terra – tomada da rede – espectro de tensões harmônicas de até 10 kHz. Figura 2 – Comportamento da THDI. Figura 3 – Comportamento da THDV. aplicado em
79

Instalações Ex

*Roberval Bulgarelli é consultor sobre equipamentos e instalações em atmosferas explosivas. Organizador do Livro “O ciclo total de vida dos equipamentos e instalações em atmosferas explosivas”, membro de Comissões de Estudo do Subcomitê SCB 003:031 (Atmosferas explosivas) da ABNT/CB-003 (Eletricidade) e de Grupos de Trabalho do TC 31 (Equipamentos para atmosferas explosivas) e do IECEx (Sistema internacional de certificação “Ex”) da IEC.

Novos requisitos sobre equipamentos intrinsecamente seguros para atmosferas explosivas

Parte 2/2

Na Parte 1/2 deste Artigo “Ex” sobre os novos requisitos para equipamentos intrinsecamente seguros foram abordados os principais parâmetros e características deste tipo de proteção para equipamentos e instalações em atmosferas explosivas.

O tipo de proteção por segurança intrínseca proporciona um dos mais elevados níveis de segurança para instalações em áreas classificadas contendo atmosferas explosivas. De forma consistente e defensável, este tipo de proteção Ex “i” pode ser considerado como sendo um dos mais seguros e o menos propenso a erros ou falhas humanas, quando comparado com os outros tipos de proteção “Ex”.

O tipo de proteção Ex “i” é internacionalmente aceito, existindo ainda uma aceitação progressiva de certificados de conformidade “Ex” emitidos no âmbito internacional, o que faz com que este tipo de proteção seja cada vez difundido e aplicado nos recentes projetos de indústrias das áreas químicas, petroquímicas, petróleo & gás, siderúrgica, mineradoras, de alimentos e farmacêuticas, entre outras.

Uma das características mais importantes da utilização do tipo de proteção por segurança intrínseca reside no fato desta proporcionar uma adequada solução para uma grande quantidade de problemas

relacionados com atmosferas explosivas para equipamentos que requeiram baixa energia. Além disso, o tipo de proteção Ex “i” é o único que atende a esse critério de possibilitar a instalação de sistemas baseados em baixos níveis de energia em qualquer tipo de zona ou de grupo de área classificada, seja de gases ou poeiras.

Os principais fatores nos quais se baseiam as vantagens e os benefícios da aplicação do tipo de proteção por segurança intrínseca em atmosferas explosivas são os seguintes:

• O mesmo equipamento intrinsecamente seguro normalmente satisfaz tanto os requisitos para gases inflamáveis como para poeiras combustíveis;

• A aplicação criteriosa das três categorias de proteção da segurança intrínseca (“ia”, “ib” e “ic”) assegura que sejam utilizados os equipamentos adequados para cada nível de risco. Neste caso, normalmente “ia” é aplicado em Zona 0 ou Zona 20, “ib” é aplicado em Zona 1 ou Zona 21 e “ic” é aplicado em Zona 2 ou Zona 22, a menos que um estudo de risco adicional tiver definido um EPL (Equipment Protection Level) específico para as características de um projeto em particular;

• Pela sua simplicidade de instalação e

manutenção, esta técnica de proteção contribui para diminuição da possibilidade de introdução de falhas de instalação que podem gerar riscos na instalação, pelo pessoal envolvido em serviços de montagem, manutenção e inspeção “Ex”;

Estes fatos, combinados com sua utilização flexível, utilizando equipamentos convencionais de mercado e a sua capacidade de trabalho a quente tendem a tornar a proteção Ex “i” como a opção básica para sistemas industriais de instrumentação e automação em atmosferas explosivas para as indústrias do setor químico, petroquímico, de óleo & gás, farmacêutico, siderúrgico, mineração, alcooleiro e de alimentos, entre outros.

80 O Setor Elétrico / Abril de 2023
Figura 5 – Exemplo de instalação de barreiras de segurança intrínseca com isolação galvânica com tipos de proteção “Ex”, fonte de alimentação e gateway Ex “db eb IIC T6 Gb”, em área classificada, com comunicação com DCS por meio de cabos de fibra óptica.

No presente momento, com o inexorável desenvolvimento exponencial da tecnologia, a segurança intrínseca tem ganhado cada vez mais aplicações, como por exemplo em sistemas de comunicação wireless, robótica, smartphones, tablets, câmeras termográficas, RFID, instrumentação industrial, dispositivos portáteis e pessoais e wearables.

Como uma adequada “extensão” da aplicação do conceito da “segurança

intrínseca” são disponíveis também no mercado os equipamentos, dispositivos switches de campo que integram redes de comunicação Ethernet a DOIS fios intrinsecamente segura (2­WISE – TwoWire Intrinsically Safe Ethernet), de acordo com a ABNT IEC TS 60079­47. Esta pode ser considerada como sendo uma nova “revolução anunciada”, levando, finalmente,

as redes de comunicação Ethernet a DOIS fios, intrinsecamente seguras, ao “chão de fábrica” das indústrias de processo.

A Comissão de Estudo CE 003:031.004 (Segurança intrínseca) do Subcomitê SCB 003:031 (Atmosferas explosivas) da ABNT/ CB­003 (Eletricidade), responsável pela elaboração e adoção da respectiva Norma Técnica Brasileira adotada ABNT NBR IEC 60079­11, acompanhou, em nome do Brazil National Committee of the IEC, todo o processo de elaboração, comentários, atualização, votação, aprovação e publicação desta Norma internacional IEC 60079­11 Ed. 7.0.

Mesmo antes da publicação da IEC 60079­11 Ed. 7.0, em 01/2023, foram iniciados pela Comissão de Estudo CE 003.031.004, em 10/2022, os devidos trabalhos de atualização da respectiva Norma Técnica Brasileira adotada ABNT NBR IEC 60079­11, com base no respectivo documento FDIS (Final Draft for International Standard), incorporando as alterações apresentadas nesta nova edição desta norma internacional.

Mais informações sobre a Norma Técnica internacional IEC 60079­11 Edição 7.0 estão disponíveis na IEC Webstore: https:// webstore.iec.ch/publication/60654.

81 O Setor Elétrico / Abril de 2023
Figura 7 – A revolução Ex “i” anunciada: Sistemas Ethernet intrinsecamente segura a DOIS fios (2-WISE) em áreas classificadas do chão de fábrica da indústria de processo. Figura 9 – Exemplo de aplicação de um Switch 2-WISE instalado em área classificada, conectado a diversos instrumentos de campo sensores, transmissores ou atuadores 2-WISE. Figura 8 – Exemplo de aplicação de sistemas com padrão Ethernet APL, com circuitos em Ethernet a dois fios, intrinsecamente seguros (2-WISE), utilizados em atmosferas explosivas. Switch de Campo 2-WISE (Field Switch) conectado a um instrumento transmissor de campo 2-WISE, por meio de circuito de derivação (spur) intrinsecamente seguro. Figura 6 – Exemplo de instalação de instrumentos intrinsecamente seguros (Ex “i”), caixa de junção do tipo segurança aumentada (Ex “e”) e cabos dos circuitos de interconexão, montadas em área não classificada.

Brval (21) 3812-3100

www.brval.com.br

Clamper (31) 3689-9500

www.clamper.com.br

Cobrecom (11) 2118-3200

www.cobrecom.com.br

At3w

(31) 99528-3812

www.at3w.com

Embrastec (16) 3103-2021

www.embrastec.com.br

Eplan Brasil Ltda. (11) 4223-5012

www.eplan.com.br

Exponencial (31) 3317-5150

www.exponencialmg.com.br

Fiee

(11) 4659-0012

www.fiee.com.br

Gimi Soluções

(11) 2532-9825

www.gimi.com.br

Hellermanntyton (11) 2136-9090

www.hellermanntyton.com.br

Incesa

(17) 3279-2600

www.incesa.com.br

Intelli (16) 3820-1500

www.grupointelli.com.br

Itaipu Transformadores (16) 3263-9400 www.itaiputransformadores.com.br

Minuzzi (19) 3272-6380 www.minuzzi.ind.br

Mitsubishi Electric (11) 4689-3000 br.mitsubishielectric.com

Mse Engenharia (11) 2626-3919 www.mse.com.br

Paratec (11) 3641-9063 www.paratec.com.br

Pextron (11) 5094-3200 www.pextron.com

Romagnole (44) 3233-8500 www.romagnole.com.br

Sil (11) 3377-3333 www.sil.com.br

Teledyne Flir (15) 3238-8070 www.flir.com.br

Trael (65) 3611-6500 www.trael.com.br

Varixx (19) 3301-6902 www.varixx.com.br

49 19 29 43 15 38 57 63 77 31 55 16 e 17 27 67 59 11 21 33 73 45 82 Índice de anunciantes O Setor Elétrico / Abril de 2023
2ª capa, 3 e Fascículos capa 3ª capa

Turn static files into dynamic content formats.

Create a flipbook
Issuu converts static files into: digital portfolios, online yearbooks, online catalogs, digital photo albums and more. Sign up and create your flipbook.