Revista O Setor Elétrico (Edição 192 - jan/fev 2023)

Page 1

17 ANOS

TRANSFORMAÇÃO

DIGITAL NO SETOR ELÉTRICO

CONHEÇA INICIATIVAS QUE TÊM TORNADO GRANDES

COMPANHIAS MAIS INOVADORAS E SUSTENTÁVEIS

TRABALHADOR CONECTADO INTELIGENTE

Tecnologias de detecção vestíveis para prevenir situações inseguras

NOVOS FASCÍCULOS:

NOVAS COLUNAS:

- Manutenção 4.0

- Energia e sociedade

- Análise de sistemas elétricos

- Eletromobilidade

- Hidrogênio verde

- Avaliação de energia incidente

- Modernização da distribuição de energia

A no 18 - E diçã o 192 / Janeiro-Fevereiro d e 2 0 2 3

Transformação digital no setor elétrico

A tão falada tecnologia digital está presente nas principais ações que irão nortear todas as transformações industriais ao longo dos próximos anos. E no setor elétrico não será diferente. Dentre essas ações, consideradas urgentes em escala planetária, estão a descarbonização das matrizes energéticas, em resposta aos acordos feitos devido às mudanças climáticas, a descentralização dos recursos energéticos, um crescimento da digitalização da produção e no uso de energia com mais dispositivos inteligentes conectados em rede, bem como maior participação do consumidor, que gradualmente se torna menos passivo e mais protagonista, contribuindo também para a ampliação dos avanços tecnológicos e novos modelos de negócios.

De olho na importância desse avanço e de como a tecnologia é decisiva em todo esse processo, grandes empresas como Enel Brasil , Cemig e Energisa nos trazem relatos de como estão se adequando, criando e inovando no campo da inovação.

Considerando a inovação como parte de seu DNA, a Enel destaca essa cultura dentro da companhia, que culmina na busca por novas ferramentas e processos que possam agregar ao negócio e às operações, criando mais eficiência e produtividade.

Para lidar com os entraves das questões regulatórias desse mercado, a empresa informa que mantém uma equipe dedicada exclusivamente à Regulação, cujo trabalho é avaliar e verificar quais os pontos-chave de cada projeto e que precauções devem ser consideradas.

Um dos cases da Enel em inovação é o Grid Futurability, um laboratório a céu aberto para estudar, desenvolver e implementar tecnologias inovadoras e sustentáveis, com centralidade nos clientes, por meio de ganhos de eficiência operacional, resiliência inovadora e segurança das redes.

A Energisa, na mesma linha, tem a chamada Energia 4D (digitalizada, descarbonizada, descentralizada e diversificada) como centro de sua estratégia de negócios.

A Cemig traz um programa de incentivo ao desenvolvimento tecnológico em parceria com o Hub Verde, uma plataforma que estimula a interação entre diferentes agentes com o objetivo de fomentar ideias inovadoras no âmbito dos desafios relacionados à geração, transmissão e distribuição de energia elétrica no Brasil.

Mais detalhes sobre os projetos e cases de sucesso dessas empresas podem ser conferidos em nossa reportagem de capa “A transformação digital no setor elétrico”, com depoimentos dos líderes das companhias nessa área tão crucial para o avanço do setor, com investimentos e foco em pesquisas, na expectativa de uma melhoria contínua da segurança do fornecimento de energia elétrica, com redução dos impactos ambientais do setor, sob o olhar dessa geração que acredita no poder da transformação a partir das boas ideias. Boa leitura!

Acompanhe nossoas lives e webinars com especialistas do setor em nosso canal no YouTube: https://www.youtube.com/osetoreletrico

Setor Elétrico Ano 18 Edição 192 Janeiro-Fevereiro de 2023 TRANSFORMAÇÃO DIGITAL NO SETOR ELÉTRICO CONHEÇA INICIATIVAS QUE TÊM TORNADO GRANDES COMPANHIAS MAIS INOVADORAS E SUSTENTÁVEIS TRABALHADOR CONECTADO INTELIGENTE Tecnologias de detecção vestíveis para prevenir situações inseguras NOVOS FASCÍCULOS: - Eletromobilidade - Hidrogênio verde - Avaliação de energia incidente - Modernização da distribuição de energia 17 ANOS NOVAS COLUNAS: - Manutenção 4.0 - Energia e sociedade - Análise de sistemas elétricos Editorial 4 O Setor Elétrico / Janeiro-Fevereiro de 2023 Edição 192

atitude@atitudeeditorial.com.br

Diretores

Adolfo Vaiser Simone Vaiser

Assistente de circulação, pesquisa e eventos

Henrique Vaiser – henrique@atitudeeditorial.com.br

Victor Meyagusko – victor@atitudeeditorial.com.br

Administração

Roberta Nayumi administrativo@atitudeeditorial.com.br

Editora

Alessanda Leite – MTB - 171 AM alessandra@atitudeeditorial.com.br

Reportagem

Fernanda Pacheco - fernanda@atitudeeditorial.com.br

Publicidade

Diretor comercial

Adolfo Vaiser

Contato publicitário

Willyan Santiago - willyan@atitudeeditorial.com.br

Direção de arte e produção

Leonardo Piva - atitude@leonardopiva.com.br

Colaboradores técnicos da publicação

Daniel Bento, Jobson Modena, José Starosta, Luciano Rosito, Nunziante Graziano, Roberval Bulgarelli.

Colaboradores desta edição

Ábner Cézar Peres Pacheco, Arnaldo José Pereira Rosentino Junior, Caio Huais, Carlos Frederico Meschini Almeida, Claudio Mardegan, Daniel Bento, Danilo Ferreira de Souza, Edilson Mineiro Sá Jr., Eduardo Costa Sá, Fernando L.M. Antunes, Fillipe Matos de Vasconcelos, Flávia Consoni, Ivan Nunes Santos, João José Barrico de Souza, José Starosta, Jurandir Picanço Jr., Lindemberg Reis, Luciane Neves Canha, Luciano Rosito, Luiz André Danesin, Luiz Carlos Catelani Junior, Luiz Henrique Leite Rosa, Nelson Kagan, Nunziante Graziano, Paulo Edmundo Freire, Roberval Bulgarelli, Saulo Cisneiros, Sergio Médici de Eston, Stefano Régis Gualtieri e Wagner Costa.

A Revista O Setor Elétrico é uma publicação mensal da Atitude Editorial Ltda., voltada aos mercados de Instalações Elétricas, Energia e Iluminação, com tiragem de 13.000 exemplares. Distribuída entre as empresas de engenharia, projetos e instalação, manutenção, indústrias de diversos segmentos, concessionárias, prefeituras e revendas de material elétrico, é enviada aos executivos e especificadores destes segmentos.

Os artigos assinados são de responsabilidade de seus autores e não necessariamente refletem as opiniões da revista. Não é permitida a reprodução total ou parcial das matérias sem expressa autorização da Editora.

Capa: istockphoto.com |undefined undefined

Impressão - Referência Editora e Gráfica

Distribuição - Correios

Atitude Editorial Publicações Técnicas Ltda.

Rua Piracuama, 280, Sala 41

Cep: 05017-040 – Perdizes – São Paulo (SP)

Fone - (11) 98433-2788

www.osetoreletrico.com.br

atitude@atitudeeditorial.com.br

Filiada à

Suplemento Renováveis

Novo fascículo iniciado nesta edição discutirá o promissor mercado do hidrogênio verde. Nesta primeira edição uma análise a partir de diferentes visões nacionais e internacionais a respeito deste novo mercado. E ainda: artigo aborda uso de interruptor-seccionador com MPPTs de múltiplas entradas.

Editorial

Painéis de mercado

Geração Distribuída deve aumentar 8GW de potência em 2023; MME lança caderno sobre eletromobilidade para expansão do transporte rodoviário no país; MME abre chamada para receber ideias sobre eficiência energética. Confira notícias selecionadas sobre o mercado de engenharia elétrica no Brasil.

Fascículos

Mobilidade elétrica – desafios e oportunidades

Avaliação de energia incidente

Modernização do setor de distribuição

Aula prática - Segurança

Aperfeiçoamento em saúde, segurança e procedimentos de trabalho em distribuidoras de energia elétrica utilizando sistemas vestíveis.

Reportagem

Iniciativas que estão contribuindo para a transformação digital no setor elétrico.

Guia setorial

Pesquisa relaciona empresas fabricantes e distribuidoras de fios, cabos e seus acessórios.

Espaço Aterramento

Aterramento de blindagens de cabos de energia.

Espaço SBQEE

Análise das perdas eletromagnéticas em um transformador de distribuição a seco.

Espaço Cigre-Brasil

Realizações da diretoria do Cigre-Brasil de 2019 a 2023.

Colunas

Luciano Rosito – Iluminação pública

Caio Huais – Manutenção 4.0

Nunziante Graziano – Quadros e painéis

Danilo Ferreira – Energia e sociedade

Daniel Bento – Redes subterrâneas em foco

Cláudio Mardegan – Análise de sistemas elétricos

José Starosta – Energia com qualidade

Roberval Bulgarelli – Instalações Ex

13 6 4 42 64 65 68 70 66 69 72 62 60 56 48 52 58 31 Sumário 5

Geração Distribuída deve aumentar 8 GW de potência em 2023, diz ABGD

Em 2023, a expectativa da Associação Brasileira de Geração Distribuída (ABGD) é de que mais 8 GW vindos da energia solar sejam injetados no sistema elétrico no Brasil, aumentando sua potência. Atualmente, são cerca de 17 GW distribuídos em mais de 2 milhões de unidades geradoras, majoritariamente compostas por pequenos consumidores. Caso a previsão se concretize, a Geração Distribuída será, pelo terceiro ano, o segmento que mais acrescenta potência ao sistema.

Essa modalidade de geração tem sido decisiva para as mudanças no setor de energia no Brasil, uma vez que descentraliza a

produção e distribuição, dá opção de escolha ao consumidor quanto ao serviço que utiliza e amplia as fontes de energia limpa. O País tem um dos maiores mercados de energia do mundo, com 75 milhões de consumidores residenciais e, só em 2021, houve um consumo de 2 mil KWh per capita, segundo a Agência Nacional de Energia Elétrica (Aneel).

Energia solar em alta no Brasil

Responsável pelo prognóstico positivo anunciado pela ABGD, a energia solar vive um momento de expansão no País. Terceiro maior do mundo em irradiação solar, o Brasil atingiu um crescimento de produção

superior a 1 GW por mês nos últimos 150 dias de 2022, segundo dados da Associação Brasileira de Energia Fotovoltaica (Absolar). A energia fotovoltaica, modelo que converte a luz solar em energia elétrica através de painéis solares fotovoltaicos, se destaca pela economia, praticidade e sustentabilidade.

Desde o início de 2022, quando o marco legal da micro e minigeração de energia solar fotovoltaica entrou em vigor, a busca pelos sistemas de energia solar fotovoltaica em residências e pequenos comércios teve alta significativa, especialmente nos últimos meses, visando a isenção da cobrança do fio B pelo uso da rede de distribuição.

Painel de notícias 6 O Setor Elétrico / Janeiro-Fevereiro de 2023

O Ministério de Minas e Energia (MME) e a Empresa de Pesquisa Energética (EPE) lançaram, no início de fevereiro, o caderno ‘Eletromobilidade’, com o objetivo de expandir a eletrificação do transporte rodoviário no Brasil.

O lançamento do caderno — que faz parte do Plano Decenal de Expansão de Energia (PDE 2032) — confirma a expectativa de elevação de motorizações alternativas no licenciamento de novos veículos semileves e leves em cerca de 20% para elétricos e 15% para híbridos, em 2032. A ascensão é estimulada por compromissos de governança ambiental, social e corporativa de grandes empresas. Deve-se também às crescentes restrições às emissões de gases de efeito estufa e à circulação de veículos poluentes em áreas urbanas, principalmente nas metrópoles brasileiras.

Conforme levantamento divulgado pela Associação Brasileira do Veículo Elétrico (ABVE), o ano de 2022 trouxe estatísticas bastante favoráveis ao setor brasileiro de veículos elétricos: as vendas de automóveis leves eletrificados – híbridos e elétricos –aumentou 41% em comparação a 2021.

Os licenciamentos de automóveis elétricos

privados, porém, devem ser inicialmente limitados aos segmentos de maior renda, em função dos níveis de renda e dos patamares de preços de veículos novos. Para caminhões semipesados e pesados, a significância do peso e do custo das baterias torna a eletrificação mais difícil e onerosa, restringindo sua aplicação para distâncias menores.

A eletrificação de frotas de transporte público de massa também deve ancorar a disseminação da eletrificação em ônibus, elevando as projeções de licenciamentos de veículos elétricos novos para perto de 10% em 2032. A compra de ônibus elétricos à bateria por São Paulo, São José dos Campos e Salvador fundamentam essa projeção.

A eletrificação ainda enfrenta barreiras significativas no curto prazo, em função do preço de aquisição dos ônibus e da infraestrutura de carregamento. Isso acaba por restringir o número de municípios propensos a adotar essa tecnologia.

Cenário internacional e o biocombustível brasileiro

O caderno também realiza uma abordagem do contexto internacional, explicando como subsídios governamentais e

investimentos públicos e privados em veículos e redes de carregamento estão promovendo a expansão da eletrificação, especialmente nos EUA, na Europa e na China.

A publicação mostra que o Brasil, por outro lado, não tem metas específicas para eletrificação, por não estar sujeito às mesmas pressões para eletrificar rapidamente sua frota. Além de ser pouco dependente de importações de energia, o país, na sua vocação para a produção de energias renováveis, possui uma infraestrutura consolidada para produzir e distribuir biocombustíveis.

Os recursos para subsidiar veículos elétricos disputam espaço com outras medidas para promoção de crescimento e distribuição de renda. O MME informa que segue implementando medidas para desenvolvimento da eficiência e de incremento no uso de combustíveis sustentáveis de baixa intensidade de carbono, com destaque para os biocombustíveis. Nessa direção estão os programas Rota 2030 e Combustível do Futuro.

É possível acessar na íntegra o caderno sobre eletromobilidade na página do Ministério de Minas e Energia: www.gov.br/ mme/pt-br.

Painel de notícias 8 O Setor Elétrico / Janeiro-Fevereiro de 2023
‘Minas e Energia’ lança caderno ‘Eletromobilidade’ para expansão do transporte rodoviário no Brasil

Grupo Legrand, especialista mundial em sistemas elétricos, anuncia aquisição

O Grupo Legrand anunciou a aquisição do controle majoritário da Clamper, empresa brasileira fundada em 1991 e líder no segmento de DPS (Dispositivos de Proteção contra Surtos).

Com sede na cidade de Lagoa Santa (MG) e formada por uma equipe de mais de 600 colaboradores, a Clamper é referência do mercado em inovação e qualidade das soluções para clientes B2B e B2C.

A aquisição da Clamper contribuirá significativamente na expansão das posições de liderança do Grupo Legrand no mercado brasileiro e fortalecerá

sua presença em segmentos de rápido crescimento e canais de distribuição.

“Com orgulho, anunciamos a aquisição da Clamper, uma empresa líder de mercado na área que atua e conhecida por apresentar inovação e qualidade em seus produtos. Com esta aquisição, o Grupo Legrand fortalece ainda mais sua liderança no mercado brasileiro”, afirmou o presidente do grupo, Fábio Sala.

Com atuação em 23 países, a empresa acumula o número de 30 mil clientes atendidos, 50 milhões de produtos vendidos e mais de 900 produtos

desenvolvidos, com soluções para o lar e escritório, quadros de distribuição, portão eletrônico, fotovoltaicos, iluminação, telecom, distribuição de energia, mobilidade elétrica, infraestrutura de transportes, distribuição de energia, mobilidade elétrica e Óleo e Gás.

Presente nos cinco continentes, em mais de 180 países, e com mais de 36mil profissionais o grupo é especialista mundial em sistemas elétricos e digitais para infraestruturas prediais, com 4 mil patentes que cobrem quase 1450 sistemas e tecnologias diferentes.

Painel de notícias 10 O Setor Elétrico / Janeiro-Fevereiro de 2023

‘Minas e Energia’ abre chamada para receber ideias sobre eficiência energética

Está aberta, até o dia 10 de março, a Chamada de Ideias sobre eficiência energética nas áreas de educação, edificação e indústrias, do Ministério de Minas e Energia (MME), cuja pasta recebe os projetos e ações voltados a aprimorar a elaboração do 5º Plano de Aplicação de Recursos do Programa Nacional de Conservação de Energia Elétrica (Procel).

A iniciativa busca dar transparência e maior participação da sociedade.

O intuito é que agentes da área de eficiência energética e do público em geral apresentem suas contribuições para o uso eficiente da energia elétrica, reduzir emissões de gases de efeito estufa, mitigar impactos ambientais e contribuir para um mundo mais sustentável.

Os projetos apresentados e que serão desenvolvidos no âmbito do Procel podem ter variadas vertentes como educação, edificações e indústrias. Serão analisados

pelo Grupo Coordenador de Conservação de Energia Elétrica (GCCE), do MME, que terá autonomia para deliberar sobre o aproveitamento ou não das propostas recebidas. O formulário para participação está disponível na página da Chamada de Ideias.

Os resultados serão divulgados no mês de março, por meio de um webinar onde as propostas encaminhadas serão debatidas.

Painel de notícias 12 O Setor Elétrico / Janeiro-Fevereiro de 2023

Mobilidade elétrica - desafios e oportunidades

É imprescindível que o desenvolvimento dos setores elétrico, industrial e econômico esteja voltado à tecnologia, à ciência de dados e à sustentabilidade para que os próximos séculos sejam conduzidos em uma economia de baixo carbono. A mobilidade elétrica, parte fundamental deste novo planejamento, é também tema deste fascículo, coordenado pela professora Dra. Flávia Consoni, do Laboratório de Estudos do Veículo Elétrico (LEVE/Unicamp), que traz nesta primeira edição:

Capítulo I - Mobilidade elétrica e as oportunidades para o setor elétrico: aplicações do V2H, V2G e V2X

- O conceito de “Veículo para tudo”: V2X;

- Impactos do V2G sobre as redes elétricas;

- ISO 15118 e sua gama de possibilidades de interação dos veículos com as estações, e recarga e com diferentes agentes.

Avaliação de energia incidente

O estudo de energia incidente vem sendo cada vez mais necessário para as instalações elétricas, à medida em que se avançam as normas técnicas e de segurança. As iniciativas de controle começam na concepção do projeto de uma instalação, durante reformas ou atualizações, e, sobretudo, nas instalações já existentes. Sobre este assunto tratará o engenheiro eletricista Luiz Carlos Catelani Júnior, em oito capítulos, abordando conceitos, atualizações normativas e aplicações práticas.

Capítulo I - Introdução

Por Luís Carlos Catelani Junior

- Conceitos básicos em qualquer instalação elétrica;

- Arco elétrico dividido em duas partes;

- O modelo teórico de Ralph Lee.

Modernização da distribuição

Neste fascículo, serão discutidos os desafios que o setor elétrico tem enfrentado para modernizar seus sistemas, em especial, o segmento da distribuição de energia. O contexto da modernização e as oportunidades desta transformação serão pontos de reflexão desta série de oito artigos coordenada pela Associação Brasileira de Energia Elétrica (Abradee). Neste primeiro capítulo, o autor Lindemberg Reis, gerente de Planejamento e Inteligência e Mercado na Associação, discorre sobre a modernização do segmento de distribuição elétrica e a independência cada vez maior dos usuários, embora esse avanço não possa ser feito a qualquer custo.

Capítulo I - A modernização do segmento de distribuição de energia elétrica e o empoderamento dos usuários

Por Lindemberg Reis

- Políticas do Setor Elétrico Brasileiro (SEB)

- Perdas não técnicas

- Projeto de Lei 414/21

Fascículos

13
14 20 28

Mobilidade elétrica

Capítulo I Mobilidade elétrica e as oportunidades para o setor elétrico: aplicações do V2H, V2G e V2X

O carro elétrico, desenvolvido no final do século XIX, apesar de ser considerado uma inovação, enfrentou à época a concorrência do recém-inventado veículo à combustão. Na ocasião, os grandes inventos nas áreas de produção, transporte, distribuição e armazenamento de energia, componentes eletroeletrônicos, comunicações e recursos digitais estavam começando a surgir. Os setores elétrico e industrial estavam em desenvolvimento e o petróleo era o combustível barato e abundante que direcionou a maior parte do desenvolvimento do século XX e segue até hoje sendo a fonte de energia que move as economias mundiais. Entretanto, tal qual o mundo vivenciou, há mais de 130 anos, a era das grandes descobertas e o avanço do uso dos combustíveis fósseis, vive-se hoje, em pleno século XXI, uma nova era, a da chamada transição energética. Nesse contexto histórico de desenvolvimento associado à exploração dos recursos naturais e emissão crescente de gases de efeito estufa, a transição energética impõe a necessidade de reduzir o uso dos derivados de petróleo, especialmente na geração de energia e nos transportes. Diferente do que ocorreu no início do século XX, hoje busca-se o desenvolvimento dos setores elétrico, industrial e econômico a partir da drástica redução no uso do petróleo e seus derivados e volta-se à tecnologia, ciências de dados e inovação para conduzirem os próximos séculos em uma economia de baixas emissões de carbono.

A introdução apresentada mostra o porquê da mobilidade elétrica estar em franco crescimento no mundo: maturidade tecnológica e necessidade de redução no uso de combustíveis fósseis. Não se trata de um modismo como muitos alegam, tão pouco de uma indústria apenas voltada às classes sociais de mais alto poder aquisitivo. Os veículos elétricos (VEs) trazem uma mudança necessária e disruptiva em um setor estratégico para a economia que antes focava no valor do veículo e em sua função de transporte e hoje passa a basear-se no valor da inovação associada e em suas diferentes possibilidades de serviços: transporte, conectividade, armazenamento, transação de energia, confiabilidade, oferta de serviços ancilares e flexibilidade,

dentre outras. Pode-se dizer que a mobilidade elétrica abre caminho para uma transformação no modo como os meios de transporte são utilizados e na perspectiva do valor que pode ser extraído do investimento feito.

Um carro elétrico possui baterias que podem atingir de 40 kWh até cerca de 100 kWh. Os ônibus eletrificados operam com baterias de lítio com capacidades acima de 200 kWh e ônibus escolares elétricos possuem baterias com mais de 150 kWh de capacidade. Essas quantidades, associadas ao fato de que os carros de passeio ficam, em média 95% do tempo parados e muitos meios de transporte circulam em períodos pré-definidos, ficando também boa parte do dia sem rodarem, indicam um potencial para transação da energia armazenada nas baterias dos veículos eletrificados com a rede elétrica onde estejam estacionados. Esse conceito de carga e descarga das baterias para o sistema de distribuição é denominado V2G (vehicle to grid) e permite que carros ou ônibus que possuam o conceito de uso bidirecional ativado possam injetar a energia na rede elétrica, participando de mercados de oferta de serviços ancilares ou de flexibilidade.

O conceito do V2G não é novo e seu mecanismo de operação foi mencionado pela primeira vez no artigo intitulado Electric Vehicles as a New Power Source for Electric Utilities (KEMPTON, 1996). No artigo, os autores discutem a possibilidade de frotas e automóveis poderem ofertar a capacidade de suas baterias para a rede elétrica trazendo benefícios às distribuidoras que estariam dispondo de sistemas de armazenamento que poderiam aumentar a confiabilidade e reduzir o custo operacional das redes bem como facilitar a integração das fontes de geração renováveis. Devido à sua flexibilidade, recentemente tem havido uma série de estudos e projetos piloto para analisar a viabilidade do V2G a partir de outros meios de transporte, como vans, caminhões de entrega e caminhões de lixo que possuem horários flexíveis e, portanto, podem contribuir com o setor elétrico, tanto como carga quanto armazenamento distribuídos, em diferentes horários do dia.

14 FASCÍCULO

O conceito de “Veículo para tudo”: V2X

A partir do momento em que a energia presente nas baterias dos veículos elétricos pode ser injetada na rede elétrica, fica claro que a eletromobilidade traz consigo os conceitos de fluxo de potência bidirecional e de carga e armazenamento móveis. A depender do local onde o veículo irá ofertar sua energia surgem diferentes classificações. O V2G, conforme já mencionado, está associado à carga ou descarga de baterias na rede elétrica. Já o chamado V2B (vehicle to building) implica na descarga das baterias em um edifício ou condomínio de forma a atender um objetivo preestabelecido. Bastante semelhante ao V2B existe o V2H (vehicle to home) que é a possibilidade do veículo injetar a energia das baterias na residência. Deve-se destacar que, no Brasil, o Artigo 555 da Resolução Normativa nº 1000 da ANEEL veda a injeção da energia elétrica na rede de distribuição a partir dos veículos elétricos e a participação no sistema de compensação de microgeração e minigeração distribuída. Ou seja, no Brasil não há ainda regulação e tão pouco incentivo ao V2G. A modalidade V2H e V2B são permitidas desde que restritas à mesma unidade consumidora. Além desses conceitos pode-se citar o V2L (vehicle to load) que é um conceito já bastante conhecido das baterias atenderem a uma carga específica, comum em acampamentos, por exemplo. É possível também um

veículo elétrico atender outro veículo elétrico através do chamado V2V (vehicle to vehicle) que poderia ser uma alternativa em casos de emergência.

Todas essas siglas são resumidas no chamado V2X (vehicle to everything), (KHEZRI, 2022) que é, portanto, um conceito aplicado para usar a capacidade das baterias dos VEs para injetar a energia em residências, edifícios, locais de trabalho, outros veículos e a rede de distribuição. O objetivo é que os VEs sejam capazes de contribuir para redução de custos da eletricidade, regulação de frequência,

15
Figura 1 – Aplicações do V2X. Fonte: autora.*AmethystDesign

deslocamento de carga, controle de tensão, arbitragem de energia, transação de energia, etc. A Figura 1, apresenta um resumo das aplicações do V2X.

Impactos do V2G sobre as redes elétricas

À medida em que a quantidade de veículos elétricos aumenta, maior é o impacto sobre as redes elétricas. Em alguns casos podem ocorrer restrições às recargas devido à sobrecarga das redes e transformadores. Por outro lado, em redes com excedente de geração renovável poderá ocorrer o que se chama de curtailment, ou seja, o corte da geração em excesso. Não utilizar por completo o potencial de geração renovável é um contrassenso no atual contexto em que se deve priorizar a geração limpa.

Segundo Xu et al (2023) as baterias dos veículos elétricos podem servir em curto prazo como armazenamento às redes elétricas, aumentando a flexibilidade das redes. A possibilidade de se ter um fluxo de potência bidirecional do EV com a rede elétrica possibilita não apenas novos modelos de negócio, mas também oportuniza ações para aumento da resiliência das redes, ampliação da geração de energia a partir de fontes renováveis como a solar fotovoltaica e suporte a cargas, comunidades energéticas e microrredes em situações de contingência ou ocorrência de eventos severos. Nos Estados Unidos, a Pacific Gas and Electric Co. (PG&E) estabeleceu o primeiro mecanismo de compensação da energia oriunda de veículos elétricos a partir da aplicação do V2G para clientes comerciais. A nova estrutura de taxas de exportação está sendo aplicada na Califórnia e foi acordada entre a PG&E e o Conselho de Integração de Rede de Veículos, Electrify America LLC e o Escritório de Advogados Públicos da Comissão de Serviços Públicos da Califórnia. O acordo prevê que os proprietários de veículos elétricos comerciais receberão incialmente incentivos para ajudar a compensar os custos da frota, ao mesmo tempo em que serão incentivados a utilizarem os veículos para injetar energia no sistema de distribuição para fornecer suporte à rede durante os períodos de pico de demanda (MAISCH, 2022). A Figura 2 apresenta uma imagem dos ônibus escolares que podem dar suporte às redes a partir do uso do V2G nos EUA.

Os serviços ancilares para as redes elétricas ofertados pelos VEs, a partir do V2G habilitado em frotas de carros, ônibus ou caminhões, podem incluir ações diretas sobre as curvas de carga tais como resposta da demanda, poda do pico de carga, deslocamento do pico e crescimento estratégico da carga. Da mesma forma que ações como a arbitragem podem incentivar a recarga dos veículos em horários com excedente de geração renovável ou de tarifa mais barata e a injeção da energia na rede quando as tarifas forem mais satisfatórias.

Uma outra aplicação do V2G está na operação como reserva em caso de falta de energia ou ocorrência de incêndios florestais, nevascas e eventos severos. Como exemplo, tem-se o Nissan Leaf que é atualmente o único carro elétrico no Brasil que possui a função V2G habilitada e possui bateria de 40 kWh que pode fornecer energia durante seis horas ou mais dependendo das cargas a serem atendidas. A Figura 3 apresenta um carregador bidirecional de 7 kW da empresa espanhola Wallbox que foi adquirido pelo Instituto Nacional de Ciência e Tecnologia em Geração Distribuída da Universidade Federal de Santa Maria, o INCT-GD/UFSM. O carregador apresentado na Figura 3 possui plugue CHAdeMO que é o mais antigo dos plugues em corrente contínua e foi desenvolvido no Japão, permanecendo até hoje como o padrão para aplicações com o V2G. Entretanto, já há vários desenvolvimentos em prol do uso do conector do tipo CCS para também permitir as operações bidirecionais dos carregadores. Outra evolução diz respeito ao protocolo ISO 15118 que foi desenvolvido para permitir integrar os veículos às redes elétricas operacionalizando as recargas inteligentes (smart charging), padronizando e tornando mais seguras as trocas de mensagens entre os VEs e as estações de recarga. A ISO 15118 permite que o VE e a estação de carregamento troquem informações dinamicamente com base em cronogramas de carga e descarga adequados. Atualmente o protocolo CHAdeMO busca maneiras de adaptar-se ou fazer parte da ISO 15118 uma vez que, até o momento, não são compatíveis. A Tabela 1 apresenta as empresas que lançaram ou já anunciaram modelos que passarão a contar com a tecnologia V2G ativa.

16 FASCÍCULO
Figura 2 – “Yellow bus” americanos para operação como V2G. Fonte: Maisch, 2022. Imagem: Wikimedia Commons, University Railroad. Figura 3 – Único carregador V2G instalado no Rio Grande do Sul.

EMPRESA

NISSAN, MITSUBISHI MOTORS

HYUNDAI, KIA FORD

VOLKSWAGEN

VOLVO, POLESTAR BYD

LUCID RIVIAN

MODELO

NISSAN Leaf, MITSUBISHI Outlander PHEV

KIA EV6, HYUNDAI IONIC 5

FORD F-150 Light

A partir de 2023 com baterias acima de 77 kWh

VOLVO EX90, POLESTAR BYD Atto3

Lucid Air

Anunciou tecnologia V2G para modelos futuros

possam viabilizar a criação de mercados de flexibilidade contribuindo para os modelos de mobilidade como serviço (MaaS).

A tecnologia V2G já está estabelecida, a ISO 15118 permite uma gama de possibilidades de interação dos veículos com as estações, e recarga e com diferentes agentes. Esse dinamismo de oportunidades conduz às recargas inteligentes e transforma os meios de transporte em plataformas de inovação. Tal qual ocorreu com o telefone, cuja função era apenas permitir conversas, e o smartphone, que oportuniza uma infinidade de usos, gradativamente a escolha dos veículos se dará pelo grau de inovação e serviços que possam ofertar, e não apenas pela função de transporte.

Um ponto crucial e que em geral gera muitos questionamentos com relação ao V2G é com relação ao desgaste das baterias devido às maiores frequências de carga e descarga. Muitos fatores afetam a degradação das baterias, dentre eles o modo de condução, de recarga, a química das baterias etc. Vários trabalhos que tratam da modelagem da degradação das baterias, levam em conta modelos não lineares e registros históricos. O trabalho de Xu et al (2023) desenvolve um modelo semiempírico que busca equilibrar a complexidade e a precisão da degradação da bateria. Destaca-se aqui a importância de uma governança que olhe de forma sistêmica as transformações e nesse caso específico um mercado de segunda vida das baterias poderá estabelecer-se de forma que muitas sejam utilizadas como baterias estacionárias nas redes de distribuição dentro de um plano de economia circular.

Conclusão

Com base na enorme oportunidade que a mobilidade elétrica traz de acelerar a transição energética e reduzir mais rapidamente a dependência dos combustíveis fósseis, entender o potencial dos veículos elétricos para a rede elétrica e criar boas políticas públicas deve ser a maior prioridade para os gestores em todo o mundo. Veículos elétricos podem oferecer flexibilidade para as redes de distribuição considerando que ora atuam como carga e ora como armazenamento distribuídos. Cada modal e modelo carrega consigo um grau de flexibilidade e o mapeamento desses níveis e dos modos de operação pode levar ao desenvolvimento de frameworks de oferta de serviços ancilares e contratos inteligentes que

Bibliografia

J. Donadee, R. Shaw, O. Garnett, E. Cutter and L. Min, "Potential Benefits of Vehicle-to-Grid Technology in California: High Value for Capabilities Beyond OneWay Managed Charging," in IEEE Electrification Magazine, vol. 7, no. 2, pp. 40-45, June 2019, doi: 10.1109/MELE.2019.2908793.

Kempton, W, Letrende, S., "Electric Vehicles as a New Power Source for Electric utilities: Transpn Res.-D. Vol 2, Nº 3 pp157-175, 1997. Elsevier Science Ltd.

Maisch, M. The mobility rEVolution: PG&E obtains first V2G export rate for commercial EVs in US. 31 de outubro de 2022. Disponível em https://www. pvmagazine.com/2022/10/31/the-mobility-revolution-pge-obtains-first-v2g-exportrate-for-commercial-evs-in-us/ Acesso em 27/01/2023.

R. Khezri, D. Steen and L. A. Tuan, "A Review on Implementation of Vehicle to Everything (V2X): Benefits, Barriers and Measures," 2022 IEEE PES Innovative Smart Grid Technologies Conference Europe (ISGT-Europe), Novi Sad, Serbia, 2022, pp. 1-6, doi: 10.1109/ISGT-Europe54678.2022.9960673.

Xu C, Behrens P, Gasper P, Smith K, Hu M, Tukker A, Steubing B. Electric vehicle batteries alone could satisfy short-term grid storage demand by as early as 2030. Nat Commun. 2023 Jan 17;14(1):119. doi: 10.1038/s41467-022-35393-0. PMID: 36650136; PMCID: PMC9845221.

*Luciane Neves Canha é graduada em Engenharia Elétrica pela Universidade Federal de Santa Maria (UFSM), no Rio Grande do Sul. É professora da mesma universidade, pesquisadora do Conselho Nacional de Pesquisas (CNPQ) e membro sênior do Instituto de Engenheiros Eletricistas e Eletrônicos (IEEE). Desde 2005, atua como orientadora de doutorado e mestrado no Programa de Pós-Graduação em Engenharia Elétrica da Universidade Federal de Santa Maria (PPGEE/UFSM). É coordenadora de diversos projetos de pesquisa e desenvolvimento relacionados a sistemas de energia elétrica.

18 FASCÍCULO
CONECTOR PADRÃO CHAdeMO CCS CCS CCS CCS CCS CCS CCS
Tabela 1 – empresas que lançaram ou anunciaram modelos de eV com V2G. Fonte:
Bloomberg NEF, 2022

Avaliação de energia incidente

Capítulo I Introdução

Com o avanço das normas técnicas e de segurança, o estudo de energia incidente (“Arc Flash Analysis”) vem cada dia mais sendo necessário para as instalações elétricas.

Na edição de 2015 da NFPA 70E foi introduzido o programa de gerenciamento de risco elétrico contemplando choque elétrico e arco elétrico.

No caso de arco elétrico o programa prevê:

• Identificar os perigos

• Avaliar os riscos

• Implementar as medidas para controle do risco

As medidas de controle começam na concepção do projeto de uma instalação, durante reformas ou atualizações e principalmente em instalações existentes.

As medidas de controle podem ser tanto as administrativas, as de engenharia ou mesmo as adicionais.

No caso das medidas administrativas temos as definições das condições de trabalho, procedimentos, sinalização e treinamento.

As medidas de engenharia englobam descrição da instalação, filosofia de proteção, dispositivos de proteção sobrecorrente, características dos equipamentos e os estudos de coordenação, seletividade e energia incidente.

Por fim as medidas adicionais vão determinar quais requisitos deverão ser utilizados para garantir a segurança. Nessa classe se enquadra:

• Adequação das práticas de trabalho a instalação

• Determinação do limite de aproximação para arco elétrico (“Arc Flash Boundary”)

• Elencar os equipamentos de proteção individual necessários, EPI’s

A aplicação das medidas de controle deve ocorrer na seguinte ordem:

• Eliminação

• Substituição

• Medidas de Engenharia

• Conhecimento

• Medidas Administrativas

• EPI

Lembrando sempre que o EPI é a última medida a ser adotada sendo priorizadas as medidas de proteção coletiva que englobam as administrativas e as de engenharia.

Outro fato que traz notoriedade ao cálculo de energia incidente é que este deva estar documentado, fazer parte do compêndio de documentos da instalação elétrica, revisado no máximo a cada cinco anos ou em caso de alteração nas instalações elétricas.

Após isso, todos os equipamentos deverão ser sinalizados de maneira apropriada seguindo as normas pertinentes.

Conceitos básicos

Em qualquer instalação elétrica os riscos inerentes são:

- Choque elétrico

- Arco elétrico

- Fogo de origem elétrica (categoria C)

O conceito de avaliar e analisar o arco elétrico em instalações foi potencializado após a publicação da Norma Regulamentadora

20 FASCÍCULO

– NR-10 em 2005.

Em um dos seus itens, mais especificamente:

10.2.9.2 As vestimentas de trabalho devem ser adequadas às atividades, devendo contemplar a condutibilidade, inflamabilidade e influências eletromagnéticas.

Essa diretriz, de forma indireta, estabeleceu que vestimentas com critérios de inflamabilidade dizem respeito a tecidos que possuam características apropriadas aos efeitos térmicos dos riscos elétricos. Dos efeitos térmicos se originam tanto o arco elétrico como o fogo de origem elétrica, mas com características bem distintas.

O arco elétrico é dividido em duas partes:

Arc Flash é a falha de isolação entre dois pontos com potencial diferente que produz uma corrente que irá ionizar o ar e formar o plasma inicial para projeção de uma onda de calor com grande concentração de energia em curto período.

Arc Blast é o fenômeno que ocorre após a formação do arco elétrico vindo a expansão de uma onda de pressão que provoca deslocamento de ar, projeção de peças e metal fundido oriundo do ponto de ocorrência do arco.

A grande diferença do arco elétrico para o fogo de origem elétrica está na quantidade de energia liberada e das altas temperaturas atingidas em algumas dezenas de milissegundos.

Esse fluxo de calor tão intenso e em tão pouco tempo que leva a danos em equipamentos e pessoas de grande magnitude.

A formação de um arco elétrico em um equipamento ocorre quando há a ruptura do meio dielétrico formando uma falha de isolação entre fase e terra. Logo em seguida essa falha de isolação atinge fases adjacentes formando um defeito bifásico para terra. Por último a terceira fase é envolvida no processo e estabelece um arco trifásico dentro do equipamento.

Vamos exemplificar a formação de um arco elétrico real no interior de um painel de 13,80 kV – 630 A com nível de curto-

circuito de 16 kA registrado em uma oscilografia.

Na Figura 1 ocorre uma falha de isolação entre fase e terra da ordem de 237 A.

Na Figura 2 observa que o defeito evolui para fase – fase e terra com corrente de falta superior a 2000 A.

No final do evento, Figura 3, as três fases do equipamento são envolvidas no defeito atingindo mais de 4000 A.

Toda essa sequência de formação do arco da ignição até a falha envolvendo as três fases se dá em menos de 62 ms ou menor do que 4 ciclos de rede.

A partir deste ponto, a Norma NR-10 traz a necessidade de inicialmente calcular a energia incidente em todos os pontos da instalação para poder determinar os procedimentos de trabalho, as medidas de controle e os respectivos EPI’s (choque e arco elétrico).

O estudo de arco elétrico já ocorria desde a década de 80. Nessa época um dos precursores do assunto relacionava o fluxo de calor com relação ao efeito de queimaduras na pele humana.

Fluxo de calor é a quantidade de energia (Joules ou caloria dependendo do sistema de medida) por unidade de área (cm2). Habitualmente este fluxo de calor é chamado de energia incidente (Ei).

Em 1982, Ralph Lee publicou seu precioso artigo “The Other Electrical Hazard: Electric Arc Blast Burns”. O modelo criado por ele é utilizado até hoje com ótima aproximação em sistemas de baixa tensão.

21
Figura 1 - Início do arco elétrico. Figura 2 – Evolução do arco elétrico para duas fases. Figura 3 – Formação do arco elétrico com as três fases.

O estudo era muito mais do que o cálculo de um valor de energia incidente, mas sua correlação com o tipo de queimaduras que poderia ocorrer no corpo humano.

Seu trabalho teve como base as curvas de Curtis P. Artz and John A. Moncrief sobre tratamento de queimaduras e sua relação com temperatura e tempo de exposição da pele de acordo com a Figura 4.

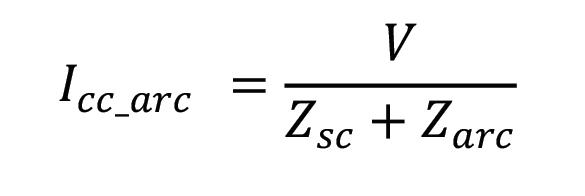
V – Tensão da fonte

Zsc – Impedância de curto-circuito

Zarc – Impedância do arco elétrico

No modelo teórico, Ralph Lee assumiu que a impedância de curto-circuito seria igual a impedância do arco elétrico, em outras palavras, que a potência do arco elétrico fosse a metade da potência de curto-circuito. Essa condição é definida como Teorema da Máxima Energia Incidente uma vez que remete ao teorema de circuitos elétricos, na qual, quando a impedância da fonte é igual a impedância da carga a transferência de potência é máxima.

Condições de contorno:

Em caso de um curto-circuito franco:

Zarc = 0

Já para o caso de um arco elétrico:

A Figura 4 mostra as curvas usadas que classificam a queimadura na pele em dois tipos:

- Curáveis

- Não curáveis

O gráfico relaciona tempo em que a pele humana ficaria a uma determinada temperatura e em função destas duas condições se chegava aos valores recomendados de energia incidente por cálculo da transferência de calor.

Como potência é igual a energia dividida pelo tempo, Ralph Lee criou uma tabela com recomendações de potência de arco elétrico máxima para atender os critérios de segurança dos mantenedores das instalações. A condição de contorno é que a energia incidente não fosse superior a 1,2 cal/cm2 ou 5,00 J/ cm2.

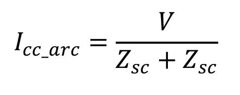
Seu modelo assumia que em um arco elétrico, a corrente de arco era igual a metade da corrente de curto-circuito.

Um circuito elétrico equivalente ao modelo proposto acima pode ser representado de acordo com a Figura 5.

Assumindo:

Zarc = Zsc

Com essa suposição da máxima energia incidente as equações de Ralph Lee mostrada no simpósio do IEEE de 1982 foram:

Ei - Energia máxima Incidente [cal/cm2]

t - Tempo de duração [s]

Ibf - Corrente de Curto – Circuito [kA] sólida (Bolted)

D - Distância do operador ao arco elétrico [cm]

V - Tensão de Alimentação [kV]

Outra definição também foi dada como limite de contorno para o arco elétrico, no documento referenciado com “Arc Flash Boundary”.

O “Arc Flash Boundary” corresponde a qual distância a energia

22 FASCÍCULO
Figura 4 - Outro perigo do arco elétrico: queimaduras na pele. Fonte: Ralph Lee. Figura 5 – Representação por circuito elétrico de um arco.

incidente calculada atinja um valor de 1,2 cal/cm2 ou 5,00 J/cm2

Esse valor é o limite de suportabilidade da pele para queimaduras de segundo grau. A equação para obtenção da distância é mostrada abaixo:

desde a edição de 1995 e sendo a única metodologia existente na época para a determinação da energia incidente e a distância de segurança para o arco elétrico.

Nesta edição já se tinha noção das distâncias de seguranças que pode ser representada conforme Figura 7. Elas eram divididas em duas categorias:

MVAbf - Potência de curto – circuito franco [MVA]

t - Tempo de duração arco [s]

D c - Distância de segurança para arco elétrico [cm]

A potência de curto-circuito franca pode ser calculada com a corrente de curto-circuito.

Sendo:

V - tensão entre fases

Ibf - corrente de curto-circuito franca

O modelo conhecido como o da máxima energia incidente é desenvolvido para ambientes abertos, não para locais delimitados ou compartimentados. Isso pode ser notado pelo fato de a energia incidente ser inversamente proporcional ao quadrado da distância. Seu modelo se mostra bem adaptado para tensão de até 1000 V, acima deste patamar os valores ficam muito distorcidos levando a uma majoração da energia calculada o que pode ser observado na Figura 6 em função da diferença entre as curvas.

- Distância de segurança para choque elétrico (definida previamente pelo nível de tensão)

- Distância de segurança para o arco elétrico (calculado caso a caso pelas equações de Ralph Lee)

Na NFPA 70E, norma de segurança para serviços em eletricidade, as recomendações e cálculos de Ralph Lee já apareciam

A última esfera (linha pontilhada na Figura 7) corresponde ao limite de aproximação para arco elétrico e é determinado conforme o cálculo exposto acima.

Vale lembrar que estas distâncias que constam na NFPA 70E não são as mesmas dispostas no Anexo II da NR-10 que só é válida para o choque elétrico.

Desta edição da NFPA em diante houve várias atualizações na norma e em sua última revisão o cálculo de energia incidente pode ser feito com outras metodologias.

Na edição atual (2021) da Norma NFPA 70E, as metodologias que constam em seu anexo D são:

• Ralph Lee - Método da Máxima Energia Incidente (Teórico)

• Doughty & Neal - Aproximação para Baixa Tensão do método (Empírico)

• IEEE © 1584 @ 2018 - Modelos baseado em ensaios normalizados (Estatístico)

• Doan © - Modelo arco elétrico em Corrente Contínua (Teórico)

24 FASCÍCULO
Figura 6 - Fonte: Própria: Corrente de curto-circuito x potência de arco. Figura 7 - Fonte: NFPA 70E: 1995 Editions.

O modelo teórico de Ralph Lee pode ser utilizado em qualquer nível de tensão ficando claro que para tensões acima de 1 kV seu valor é muito conservativo. Sendo que pela linha normativa da NFPA 70E é a única opção possível para tensões acima de 15 kV. Outra metodologia que acompanha a mesma norma é a de Doughty & Neal. Destinado ao cálculo de energia incidente máxima para tensões inferiores a 600 V. Este modelo não representa necessariamente os maiores valores calculados e só devem ser usados dentre os limites estabelecidos:

• Tensões entre fases de até 600 V

• Correntes de curto-circuito trifásico de 16 kA a 50 kA

• Distância mínima de 18” ou 45 cm

• Equações distintas para ambientes abertos (“open”) ou compartimentados (“closed”)

A metodologia se destina mais a instalações industriais em baixa tensão com um valor de curto-circuito moderado (abaixo de 50 kA).

Para arcos na condição aberto (“open air”):

Ei - Energia máxima Incidente [cal/cm2]

D - Distância de trabalho do ponto do arco elétrico [in]

t - Tempo de duração [s]

Ibf - Corrente de Curto – Circuito [kA] sólida (Bolted válido de 16 kA – 50 kA

Para arcos na condição confinado (“cubic box”):

Ei - Energia máxima Incidente [cal/cm2]

D - Distância de trabalho do ponto do arco elétrico [in]

t - Tempo de duração [s]

Ibf - Corrente de Curto – Circuito [kA] sólida (Bolted - válido de 16 kA – 50 kA)

Toda a equação de cálculo de energia incidente é escrita na sua forma genérica como:

Na metodologia de Doughty & Neal pode se observar que a corrente de arco é calculada como uma aproximação de segundo grau em relação a corrente de curto-circuito franco.

Tanto para ambiente aberto como para ambiente enclausurado a aproximação da corrente de arco é dada por:

• Condição aberto: Aproximação da corrente de arco:

• Condição “cubic box”:

k - constante de acordo com a metodologia

V - tensão entre fases

IARC - corrente de arco elétrico

t - tempo de duração do arco

x - expoente em função da configuração do arco (aberto ou enclausurado)

Na Figura 8, o gráfico da corrente de curto [Ibf] x corrente arco [Iarc] é fácil de perceber por que a aproximação só é válida a partir dos 16kA, para valores inferiores a corrente de arco aumenta com a redução da corrente de curto, o que fisicamente não é visto nos ensaios.

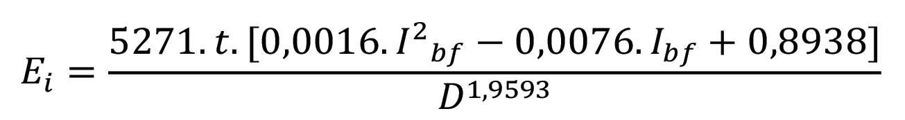
Bom abordamos duas metodologias que a NFPA 70E prevê, a mais antiga e abrangente que corresponde ao Teorema da Máxima Energia Incidente de Ralph Lee e a metodologia exclusiva para baixa tensão (até 600V) de Doughty & Neal.

Como forma de ilustrar esses dois métodos vamos fazer um exemplo de um painel de baixa tensão com as seguintes características:

Vn = 440 V

Icc = 25 kA

t = 0,150 s (tempo de proteção 100 ms + 50 ms abertura do disjuntor)

D = 455 mm ou 45,5 cm ou 17,91 in

26 FASCÍCULO
Figura 8 - Fonte: Próprio autor

Pela equação de Ralph Lee:

Corrente de arco será a metade da corrente de curto-circuito; 12,5 kA.

Ei = 4,08 cal/cm2 (lembrando que esse valor sempre é para arco ao ar livre)

Limite de aproximação para o arco elétrico:

DC = 83,88 cm

Através do modelo de Doughty & Neal - Open

Corrente de arco interpolada é 1,70 kA.

Ei = 4,72 cal/cm2

Através do modelo de Doughty & Neal - Box

Corrente de arco interpolada é 3,15 kA.

Ei = 6,98 cal/cm2

Esses valores só são válidos se a proteção conseguir atuar com o desligamento no tempo determinado de 150 ms.

Nos próximos fascículos iremos tratar da metodologia para cálculo de energia incidente mais utilizada na baixa e média tensão até 15 kV: IEEE 1584 edição de 2018.

*Luiz Carlos Catelani Junior é engenheiro eletricista pela Unicamp, com ampla experiência em proteção de sistemas elétricos, subestações

AT, linhas de transmissão elétrica e plantas industriais. Ao longo de sua carreira, tem desenvolvido atividades ligadas à geração de fontes renováveis, sendo, atualmente, um dos principais especialistas do país em análise de energia incidente de média e alta tensão – ATPV e Arc Flash.

27

Modernização da distribuição

Capítulo I

Carl Sagan, talvez o maior astrônomo do século 20, diz que “como tudo o que vemos é passado, logo, o presente não existe”. Tudo que a gente vê é um feixe luminoso que sai de nossos olhos, encontra um objeto e retorna para que possamos identificá-lo. Assim, o que você vê agora, o que você está lendo, caro leitor, na verdade, já não é o presente, e sim, o passado. Interessante, não é mesmo?

Já na Grécia antiga, os filósofos acreditavam que tudo girava em torno da política. E isso não mudou muito até hoje. Os representantes do povo, eleitos de forma democrática, devem legislar sobre assuntos diversos, incluindo aqueles vinculados a serviços de infraestrutura, como a energia elétrica, por exemplo.

Pois bem, antes de levantarmos uma bandeira eloquente, clamando a todo custo, pela modernização do setor elétrico brasileiro (SEB), temos que dar um passo atrás, entendermos os alicerces institucionais para compreendermos como as políticas foram moldando o que enxergamos hoje como SEB.

Mas calma, não precisamos aqui e agora ministrar uma aula sobre a história do setor elétrico. Mas talvez, seja bom apreciarmos os últimos trinta anos para endereçarmos questões relevantes sobre o presente – se é que ele existe! – e o futuro.

Recordemo-nos que no fim da década de 1980 e início da década de 1990 grande parte das empresas vinculadas ao setor elétrico encontrava-se sob a tutela do Estado, incluindo um modelo de equalização de tarifas, que fez com que houvesse sucateamento de diversos ativos devido à ausência de estímulos adequados à eficiência.

Mas no âmbito internacional, uma década antes, iniciava-se movimentos de redução do Estado. Margaret Thatcher, no Reino Unido, por exemplo, buscou a intensificação do capital privado em setores de infraestrutura, como o setor elétrico. Aqui na América do Sul, países como Argentina e Chile foram para essa vertente, cerca de uma década antes do Brasil.

Somente em meados da década de 1990 iniciava-se a concepção do setor elétrico brasileiro tal qual conhecemos hoje, ou seja, há quase 30 anos e com uma defasagem de mais de uma década em relação aos países de primeiro mundo.

Mas as coisas caminhavam no ritmo possível para a época.

Por meio da Lei nº 9.074, de 7 de julho de 1995, estabeleceu-se normas para outorga e prorrogações das concessões e permissões de serviços públicos, entre outras providências. Naquele momento, definiu-se critérios para concessão, permissão e autorização de serviços públicos de energia, criou-se a figura do Produtor Independente de Energia, que negocia a energia por sua conta e risco e os critérios para compra e venda de energia aos consumidores. Criou-se, então, os ambientes livres (ACL) e regulados (ACR).

Um pouco mais adiante, por meio da Lei nº 9.427, de 26 de dezembro de 1996, instituiu-se a Agência Nacional de Energia Elétrica - ANEEL, que disciplinaria sobre o regime das concessões de serviços públicos de energia elétrica. Naquela Lei também se previu que empreendimentos de geração por fontes incentivadas –CGH, PCH, Eólica, Térmicas à Biomassa e Solar – usufruíssem de

28 FASCÍCULO
A modernização do segmento de distribuição de energia elétrica e o empoderamento dos usuários, mas não a qualquer custo!

descontos não inferiores a 50% nos custos da TUSD, bem como os consumidores que adquirissem energia desses geradores. O déficit gerado pelos descontos (subsídios) concedidos seria coberto pela CDE, que seria custeada por todos os consumidores, de forma proporcional a seu consumo.

Tudo estava indo muito bem. Até que veio o ano de 2001. Com uma combinação de ausência de recursos hídricos e dificuldades de intercâmbios energéticos regionais, tivemos que experimentar o racionamento de energia elétrica. Naquele momento de incertezas e dificuldades operativas, era premente a realização de investimentos estruturantes, seguros e um consumidor de energia consciente.

Surgiria, então, a Lei nº 10.848, de 15 de março de 2004, que dispôs sobre a comercialização de energia elétrica, ficando a cargo das concessionárias e permissionárias de serviço público de distribuição de energia elétrica do Sistema Interligado Nacional – SIN o dever de garantir o atendimento à totalidade de seu mercado, mediante contratação regulada, por meio de licitação em leilões promovidos pelo governo.

Esses contratos de energia seriam celebrados, comumente, para longo prazo, cerca de 20 a 30 anos. Ou seja, desta forma garantirse-ia os investimentos em empreendimentos de longa vida útil, como centrais hidroelétricas de grande porte e térmicas estruturantes, por exemplo.

Desta forma, temos um setor elétrico com distribuidoras de energia elétrica que (i) têm o papel de comercializadoras reguladas, excedendo sua finalidade primordial de fornecedora de redes; (ii) um incentivo histórico para fontes incentivadas custeadas por meio de encargo setorial, subsidiadas pela CDE; (iii) tarifa de energia que carrega elevados encargos setoriais e tributos, resultando razoavelmente oneroso aos usuários; e (iv) consumidores de energia fundamentalmente passivos.

Mas o fato é que as distribuidoras cumprem, atualmente, papel que vai além de simplesmente entregar a energia no varejo. São esses agentes que sustentam o fluxo financeiro do setor, afinal, as concessionárias de distribuição fazem a interface com os usuários de energia elétrica, arrecadando, por meio das faturas, todo o montante necessário para financiar a operação do sistema.

Cumpre destacar que, segundo a dinâmica atual do setor elétrico, os grandes riscos são alocados nas distribuidoras de energia elétrica. Por exemplo, pode-se citar que a remuneração é garantida aos geradores de energia mesmo que haja alterações conjunturais de inadimplência por parte dos usuários. Quem suporta esse déficit arrecadatório são as distribuidoras de energia. As transmissoras não percebem oscilações de receitas caso o mercado se altere, uma vez que seus contratos de concessão são do tipo revenue cap (ou receita teto), enquanto as distribuidoras ficam com o ônus/bônus

de movimentações de mercado, dado que seus contratos são do tipo price cap (ou preço teto).

Os furtos de energia, ou perdas não técnicas, são outro exemplo de ônus que impactam as distribuidoras de energia elétrica, mas que não chegam aos demais agentes do setor. Ou seja, os custos relativos aos furtos de energia – em especial em áreas de concessão mais complexas – ficam exclusivamente com os acionistas das empresas de distribuição de energia.

Também é importante esclarecer que, em momentos de crise, são as distribuidoras de energia elétrica que garantem que o setor se mantenha equilibrado, cumprindo o papel de agente arrecadador para os segmentos de geração e transmissão, recolhendo encargos e tributos, mesmo sem os recebimentos dos recursos junto ao mercado consumidor. Exemplos recentes foram as medidas tomadas no enfrentamento à Pandemia da Covid-19 e na crise hídrica de 2021.

Ainda é importante destacar que as distribuidoras de energia elétrica atuam sob forte regulação. A Agência Nacional de Energia Elétrica, ANEEL, por meio de diversos regulamentos, estimula os agentes à busca contínua pela eficiência, por meio de modelos que emulam concorrência entre as concessionárias. De tal sorte que as empresas têm que aportar investimentos considerados prudentes e custos operacionais eficientes para que a concessão se sustente em médio e longo prazos.

Não bastasse a complexidade na qual a distribuidora de energia está inserida, o cenário presente e futuro não poupa desafios. O mundo está experimentando uma nova onda de reestruturação no setor elétrico, condicionada pela chegada da chamada transição energética. Esta ampla transformação é caracterizada pela atuação de um conjunto de fatores interconectados que se retroalimentam.

É o caso da difusão dos recursos energéticos distribuídos (REDs). O mais conhecido e difundido no Brasil é a Geração Distribuída (GD), que já acumula 18,0 GW de potência instalada, com mais de 1,7 milhão de usuários conectados, aproximando-se de 10% da toda potência instalada no Brasil. Resposta da Demanda (RD), Veículos Elétricos (VE), Armazenamento Distribuído (AD), Eficiência Energética (EE), microrredes e Usinas Virtuais (UV) são outros exemplos.

Aliás, em se falando em GD, seja mini ou microgeração distribuída, temos um arcabouço legal que prevê subsídios expressivos para essas modalidades, como, por exemplo, isenção de pagamento de parcelas das tarifas que remuneram a cadeia produtiva do setor elétrico brasileiro, em especial os segmentos de transmissão e distribuição de energia. Embora este tema seja assunto para um artigo específico, pode-se sintetizar que estes subsídios custarão algumas centenas de bilhões de reais nos próximos anos para os usuários do ambiente regulado de energia, se nada for modificado.

29

E como não citar a questão da digitalização e crescente conectividade de consumidores, proporcionada pela expansão de redes e medição inteligentes (smart grids e smart meters) capazes de elevar enormemente a eficiência e a qualidade do serviço aos consumidores finais? No Brasil temos mais de 80 milhões de usuários de baixa tensão que possuem medidores convencionais, analógicos ou digitais com funcionalidades e comunicação limitadas. Este é o tamanho do desafio de atualização do parque de medição no país.

Aliás, atualizar o parque de medição sem se modificar a estrutura de tarifas para a baixa tensão, exclusivamente monômia desde a década de 1980, limitaria a análise de custos-benefícios desta tecnologia. Temos que pensar num consumidor ativo no futuro, tomando decisões quanto ao seu padrão de consumo, respondendo aos estímulos dados e sendo mais interconectado ao ecossistema de energia elétrica, como acontece atualmente no Reino Unido e algumas jurisdições dos EUA, por exemplo.

Podemos esperar, no horizonte à vista, um maior protagonismo do consumidor final, que busca a redução dos gastos com energia e ganhos com eficiência energética, através do uso de utensílios/ equipamentos inteligentes (domotics) interconectados através da internet, de sistemas de resposta da demanda e de ferramentas de inteligência de dados (data mining).

Vislumbramos, portanto, um futuro com disseminação de oferta de energia descentralizada e ambientalmente sustentável, mas que traz desafios demasiados ao setor elétrico como o conhecemos atualmente. Contrafluxos, perdas técnicas, dificuldade de controle de frequência e tensão são exemplos de percalços que têm – e são –superados diariamente pelas distribuidoras de energia elétrica.

Soma-se a todos esses aspectos a constatação da tendência de abertura de mercado, que no Brasil está sendo impulsionada por meio de Portarias do MME. O Ministério homologou abertura escalonada até 2023 por meio de Portarias de 2018 e 2019. Em setembro de 2022, foi promulgada a Portaria no 50 do MME, que abre todo o mercado de Média e Alta Tensão a partir de 2024. A abertura da baixa tensão, portanto, é apenas questão de tempo.

Porém, devemos observar que o desenho de comercialização regulada vigente, implementado em 2004, acabou alocando compulsoriamente sobre o mercado cativo os custos da expansão do sistema, com contratos de longo prazo para novos projetos de geração. Como consequência, existe na carteira das distribuidoras um legado de contratos para atender ao mercado regulado que vão até pelo menos 2055, com parcela relevante dos contratos com vigência até 2040.

O problema é que, quando clientes do mercado regulado de uma distribuidora migram para o mercado livre em larga escala, a concessionária tende a ficar sobrecontratada, o que pode fazer

com que o custo da energia no mercado regulado fique ainda mais elevada. Assim, mecanismos de redistribuição desses custos entre o ACR e ACL são muito importantes.

Esse é o cenário que se apresenta ao segmento de distribuição, que tem sido resiliente na busca de inserção de tecnologias que permitam fazer melhor com menos custos, além de se inserir em todas as discussões travadas para minimizar os aumentos dos custos de energia elétrica para o mercado regulado.

Portanto, para que esse cenário seja sustentável, é preciso repensar muitos conceitos e formas de atuação, com uma visão de um novo ambiente de negócios focado em oferecer alternativas de serviços aos diversos agentes, sejam geradores, consumidores, comercializadores etc. O Projeto de Lei 414/21 endereça vários dos desafios anteriormente citados. Mas encontra-se em tramitação na câmara dos deputados. Alguns exemplos de ações previstas no Projeto de Lei:

• Viabiliza a separação entre atividades de fio e de comercialização, D e C;

• Prevê a separação de Lastro e Energia, sendo o custo do lastro rateado entre todos os consumidores do SIN;

• Amplia mecanismos de gerenciamento de portfólio de contratos das Distribuidoras e reduz assimetria quanto à segurança do sistema entre mercados, ACR e ACL;

• Moderniza da operação para recepção e otimização dos RED;

• Prevê a regulamentação do supridor de última instância;

• Possibilita a implantação de pré-pagamento de forma compulsória em caso de consumidor inadimplente;

• Entre outras medidas.

Por todo o exposto, torna-se necessário discutir os meios prudentes para modernização do segmento de distribuição de energia elétrica e o empoderamento dos usuários. As tomadas de decisões não podem ser irresponsáveis.

Carlos Drumond de Andrade dizia que “mundo mundo, vasto mundo, se eu me chamasse Raimundo, seria só uma rima, não uma solução”. Não podemos deixar que a rima dos que defendem modernização a todo custo atropele a solução aos problemas históricos estruturais do setor elétrico brasileiro.

* *Lindemberg Reis é engenheiro eletricista com MBA em Finanças pelo IBMEC-RJ e pós-graduação em Sistemas de Produção, Refino e Transporte de Petróleo pelo SENAI-RJ. É formado em Engenharia Elétrica pela Universidade Federal de Juiz de Fora e atua no setor de regulação de serviços públicos, como distribuição e transmissão de energia elétrica, saneamento e gás natural.

30 FASCÍCULO

R á eis enováveis Renováveis

O promissor mercado de Hidrogênio Verde

APOIO ENERGIAS COMPLEMENTARES Ano 5 - Ed iç ão 67 / Janeiro-Fevereiro de 2023

F

H idrogênio V erde

Capítulo I

1 - POR QUE O HIDROGÊNIO VERDE

Conforme o Painel Intergovernamental para a Mudança de Clima (IPCC), desde o período pré-industrial, estima-se que as atividades humanas tenham causado aproximadamente 1 °C de aquecimento global e que, provavelmente, “o aquecimento global atinja 1,5°C entre 2030 e 2052, caso continue a aumentar no ritmo atual”. O aquecimento climático de 1,5 °C, ou mais, levará ao consequente aumento na frequência e intensidade dos extremos climáticos, trazendo assim maiores riscos no futuro. Alguns sistemas vulneráveis, como ecossistemas e sistemas agrícolas, poderão sofrer sérias consequências. Para minimizar os potenciais impactos negativos e riscos das mudanças climáticas, países de todo o mundo, em 2015, firmaram o Acordo de Paris assumindo compromissos de metas de neutralidade de carbono (net-zero), que limitassem o aquecimento climático a um valor inferior a 2 °C (HUANG e ZHAI, 2021).

Na Conferência das Nações Unidas sobre Mudanças Climáticas de 2021 (COP26), foi sugerido que havia uma chance inferior a 50% de manter o aquecimento abaixo de 2 °C (MEINSHAUSEN et al., 2022). Assim, firmou-se o Pacto Climático de Glasgow, cujas premissas enfatizaram a importância de limitar o aquecimento global em 1,5 °C e alcançar a neutralidade de carbono em 2050. Para o planeta aquecer menos de 1,5 °C, as emissões globais de gases de efeito estufa (GEE),

devem ser reduzidas em 45% até 2030, em comparação com os índices de 2010, e chegar a zero (neutralidade de carbono) até 2050.

Mais de 70% das emissões mundiais de GEE resultam do setor de energia. Assim, um vetor energético é necessário para conectar a expansão econômica e o declínio das emissões de carbono. Relatórios de organizações internacionais respeitáveis indicam que o hidrogênio pode contribuir para reduzir a produção GEE nas próximas décadas e ser esse o vetor energético (LI et al., 2023).

O hidrogênio pode ser produzido por todas as fontes de energia, de origem fóssil a renovável. A certificadora CertifHy, classifica o Hidrogênio Verde quando a energia utilizada é proveniente de fontes renováveis e Hidrogênio de Baixo Carbono quando produzido de qualquer outra forma. Ainda não está consolidada uma nomenclatura para as diversas formas de produção de hidrogênio para o processo de descarbonização: hidrogênio limpo, hidrogênio sustentável, hidrogênio renovável e hidrogênio de baixa emissão são designações encontradas nos diversos estudos de mercado do hidrogênio. Neste texto será adotada a nomenclatura da CertifHy para Hidrogênio Verde (H2V) e para Hidrogênio de Baixo Carbono e, quando for referido ao conjunto, será utilizada a nomenclatura de Hidrogênio Sustentável. Nas diversas tecnologias para a produção do H2V, predomina o hidrogênio obtido por eletrólise e na produção de hidrogênio de baixo carbono, a prevalência é do hidrogênio azul, que é definido como aquele produzido

ascículo
32
O pr O miss O r mercad O de H idr O gêni O V erde

a partir de combustíveis fósseis com CCUS (Carbon capture, utilisation and storage – Captura do carbono, utilização e armazenagem).

Como será visto mais adiante, a alternativa do H2V será dominante no horizonte de neutralidade do carbono.

2 - VISÕES DO MERCADO DE HIDROGÊNIO

Há um conjunto de ações voltadas à redução das emissões de GEE na produção de energia que compõem a transição energética com destaque para: as energias renováveis, a eficiência energética, a eletrificação e o hidrogênio sustentável.

Os estudos desenvolvidos por instituições do setor energético, consultorias internacionais e estudos acadêmicos apontam para um crescimento exponencial do mercado do hidrogênio sustentável. Neste fascículo serão analisadas as diversas visões desse novo e promissor mercado que poderá promover mudanças geoeconômicas importantes. Nos horizontes 2030 e 2050, todas as projeções de mercado apontam para uma redução da participação dos combustíveis fósseis, um crescimento das energias renováveis e um crescimento acelerado do uso do hidrogênio.

Diante de um mercado ainda incipiente, em processo de desenvolvimento tecnológico desde a produção, armazenamento, transporte até o uso final do hidrogênio sustentável, é certo que, dependendo das premissas assumidas, grandes distorções podem ocorrer nas projeções, mas, invariavelmente, concluem pela formação de um bilionário mercado futuro. Assim, alguns estudos mais recentes que prospectam o mercado de hidrogênio sustentável a longo prazo serão analisados.

3 - VISÃO DA AGÊNCIA INTERNACIONAL DE ENERGIA – IEA

Em setembro de 2022, a Agência Internacional de Energia (IEA – International Energy Agency) publicou a Global Hydrogen Review 2022 (IEA,2022a). Posteriormente, em outubro de 2022, publicou o World Energy Outlook 2022 (IEA, 2022b). Em ambas as publicações, o objetivo da neutralidade de carbono em 2050 e a crise energética decorrente da invasão russa na Ucrânia foram abordados. Fontes tradicionais de oferta diminuindo em quase um terço, com o carvão caindo quase pela metade e o gás natural caindo em mais de um quarto até 2030. Contrasta com a análise de 2021, em que o gás natural manteria uma parcela maior do mix de energia global por um pouco mais de tempo, essa mudança reflete maiores preocupações de segurança energética em torno do gás natural, precipitadas pela invasão russa na Ucrânia. Muitos governos, particularmente na Europa, estão olhando para o hidrogênio sustentável como uma forma de reduzir a dependência de combustíveis fósseis, oferecendo oportunidades para contribuir, simultaneamente, para as metas de descarbonização e para aumentar a segurança energética (IEA,

2022a). O petróleo também diminuirá cerca de um quinto até 2030 como resultado de ganhos de eficiência energética, mudança de comportamento e aumento da eletrificação nos transportes.

A implantação acelerada de certas tecnologias-chave de hidrogênio ficou evidente em 2021, pois foi um ano recorde na implantação da eletrólise, com mais de 200 MW de capacidade instalada adicional, três vezes mais que o ano recorde anterior (2020) e trazendo uma capacidade operacional total acima de 500 MW. No portfólio de projetos em planejamento apresentado até outubro 2022, se todos forem realizados, a capacidade de eletrólise poderá ser de 134-240 GW até 2030. Na edição de 2021 da Global Hydrogen Review, a perspectiva era de 54-91 GW até 2030, o que demonstra o crescimento acelerado do mercado de hidrogênio. Entretanto, apenas uma pequena fração dos projetos (cerca de 9 GW) chegou à fase final de decisão de investimento. As perspectivas favoráveis para o crescimento da demanda de eletrolisadores estimularam um aumento na sua capacidade de fabricação, que atingiu cerca de 8 GW/ ano em todo o mundo. As expansões anunciadas podem elevar essa capacidade de fabricação para quase 50 GW até 2025 (IEA, 2022a).

A demanda global de hidrogênio foi de quase 94 milhões de toneladas (Mt) em 2021, um aumento de 5% em relação ao ano anterior. A maior parte desse crescimento da demanda veio de usos tradicionais de hidrogênio, principalmente no refino e na indústria. Algumas novas aplicações estão tendo implantação acelerada, como veículos elétricos com célula a combustível (FCEVs – Fuel Cell Electric Vehicles). No final de 2021, o estoque global de FCEVs era superior a 51.000, contra cerca de 33.000 em 2020, representando a maior implantação anual de FCEVs desde que se tornaram disponíveis comercialmente em 2014. A maioria dos FCEVs são carros de passageiros, mas vários projetos de demonstração para caminhões com células a combustível e um forte impulso na China, colocaram quase 800 caminhões pesados com células a combustível de hidrogênio em operação em 2021. No início de 2022, pela primeira vez, o transporte internacional de hidrogênio liquefeito foi demonstrado com uma remessa da Austrália para o Japão. Além disso, vários grandes projetos foram anunciados para exportar hidrogênio sustentável, a maioria usando amônia como transportador, seja para uso direto, como matéria prima para produtos químicos ou como combustível para geração de energia e transporte marítimo, ou para ser reconvertido em hidrogênio (IEA, 2022a).

Considerando as políticas e medidas que os governos de todo o mundo já implementaram, a IEA (2022a) estima que a demanda por hidrogênio, incluindo o hidrogênio cinza, poderá chegar a 115 Mt até 2030.

A produção de hidrogênio sustentável esperada dos projetos planejados (Figura 1) é maior do que 24 Mt em 2030, sendo 14 Mt por eletrólise (H2V) e mais 10 Mt de origem fóssil com CCUS (hidrogênio azul). Contrasta com a produção projetada de 34 Mt no

33

cenário de promessas anunciadas, em grande parte para a produção de hidrogênio a partir de eletrólise com uma diferença de quase 8 Mt, enquanto os projetos canalizados que usam combustíveis fósseis com CCUS está próximo das perspectivas do cenário de promessas anunciadas (IEA, 2022a). Ainda segundo a IEA (2022b), o uso de hidrogênio sustentável com o cenário de promessas anunciadas poderia chegar a 225 Mt em 2050. Para um cenário de neutralidade de carbono, o uso de hidrogênio sustentável deveria chegar a 90 Mt (~58 Mt por eletrólise e mais ~31 Mt de origem fóssil com CCUS) em 2030 e 452 Mt em 2050 (~329 Mt por eletrólise, mais ~122 Mt de origem fóssil com CCUS e mais ~2 Mt oriundos da bioenergia e outros).

dos eletrolisadores mais que dobrou em 2021, atingindo 458 MW e projetava-se um crescimento de quatro a cinco vezes em 2022. O mercado de eletrolisadores necessário para produzir H2V ainda é um nicho, mas desempenhará um papel significativo na descarbonização do setor de energia nas próximas décadas (IRENA, 2022).

À medida que as economias globais pretendem se tornar neutras em carbono, o hidrogênio sustentável competitivo e os combustíveis sintéticos derivados do hidrogênio sustentável (como amônia, metanol e querosene) oferecerão uma solução de mitigação de emissões para processos industriais e de transporte difíceis de descarbonizar por meio da eletrificação direta. No cenário de 1,5°C da IRENA, a produção de H2V e azul deve crescer de níveis insignificantes para 154 Mt até 2030 e mais de 614 Mt até 2050 (Figura 3). O H2V custa atualmente entre duas e três vezes mais do que o hidrogênio azul. A queda nos custos de energia renovável e a melhoria das tecnologias de eletrolisadores podem tornar o custo do H2V competitivo até 2030. A capacidade instalada cumulativa de eletrolisadores precisa crescer para cerca de 350 GW até 2030. As reduções de emissão de GEE (Figura 4) podem ser alcançadas por meio de seis caminhos tecnológicos: 1) aumentos significativos na geração e usos diretos de eletricidade baseada em fontes renováveis; 2) melhorias substanciais na eficiência energética; 3) a eletrificação de setores de uso final (por exemplo, veículos elétricos e bombas de calor); 4) hidrogênio sustentável e seus derivados; 5) bioenergia aliada à captura e armazenamento de carbono; e 6) uso de combustível fóssil com captura e armazenamento de carbono.

4 - VISÃO DA AGÊNCIA INTERNACIONAL DE ENERGIAS RENOVÁVEIS

Segundo a IRENA (International Renewable Energy Agency –Agência Internacional de Energias Renováveis) em World Energy Transitions Outlook 2022: 1.5 oC Pathway de outubro de 2022 (IRENA,2022), o hidrogênio sustentável e seus derivados contribuirão com 10% das reduções totais de

até 2050. O hidrogênio pode ser o mais desafiador de todos os caminhos tecnológicos considerados, pois os mercados ainda são incipientes. A capacidade

34
IRENA
emissões Figura 1 - Cenários previstos pela IEA para o hidrogênio sustentável em 2030 (em Mt de H2). Fonte: Dados obtidos de IEA (2022a). Figura 2 - Demanda prevista pela IEA para o hidrogênio sustentável em 2050 no cenário de neutralidade de carbono (total de 452 Mt). Fonte: Dados obtidos de IEA (2022b). Figura 3 - IRENA - Demanda de hidrogênio sustentável (em Mt de H2). Fonte: Modificado de IRENA (2022). Figura 4 - IRENA - Reduzir as emissões até 2050 por meio de seis caminhos tecnológicos (36,9 Gt C02). Fonte: Modificado de IRENA (2022).

5 - VISÃO DA MCKINSEY & COMPANY

A McKinsey & Company, em Global Energy Perspective 2022 de abril de 2022 (McKinsey, 2022) (com análise realizada antes da invasão da Ucrânia em fevereiro de 2022), prevê que o fornecimento de hidrogênio mude de quase 100% de hidrogênio cinza para 60% de produção limpa (hidrogênio sustentável) até 2035, na medida que os custos diminuam e os formuladores de políticas apoiem a adoção da tecnologia de hidrogênio. No cenário de Aceleração Adicional, o suprimento de hidrogênio sustentável totalizaria cerca de 110 Mt (~60% do suprimento total) até 2035 e cerca de 510 Mt (~95%) até 2050. A União Europeia e alguns países planejaram eliminar totalmente o hidrogênio cinza até 2050. Anúncios de novos projetos de produção de hidrogênio sustentável triplicaram em 2021. Cerca de 22 Mt de capacidade de hidrogênio sustentável foram anunciados até abril de 2022, aproximadamente 15–20% do que é necessário até 2035. A produção de hidrogênio será um dos principais impulsionadores do crescimento da demanda de energia. Até 2050, o hidrogênio deverá adicionar aproximadamente 18.000 TWh de consumo de eletricidade (~ 36% do crescimento da demanda elétrica) e cerca de 300 bcm (billion cubic meters – bilhões de metros cúbicos) à demanda de gás natural (Mckinsey, 2022).

6 - VISÃO DA BLOOMBERGNEF

Segundo a BloombergNEF em New Energy Outlook 2022 de dezembro de 2022, o uso global de hidrogênio salta mais de cinco vezes até 2050 sob o cenário de carbono neutro, crescendo de pouco mais de 90 Mt de hidrogênio cinza produzidos em 2022, para 501 Mt (Figura 7) de hidrogênio sustentável (Figura 6). O crescimento será impulsionado pelo uso na indústria de energia (163 Mt), onde ajudará a descarbonizar o refino de combustível, extração de combustível e operação de equipamentos, e para aplicações na fabricação de aço (144 Mt). No transporte, cerca de 88 Mt de hidrogênio serão usadas em sua forma pura ou como combustíveis derivados, como metanol ou amônia, para impulsionar aviões e embarcações. Na energia elétrica, o consumo das usinas de ciclo combinado atingirá 43 Mt. Esse uso será principalmente confinado ao fornecimento de geração de backup, pois a queima de hidrogênio para fornecimento de energia elétrica não é competitiva em relação às energias renováveis e usinas equipadas com CCUS na maioria das regiões. Em edificações, o consumo chegará a 30 Mt em 2050.

8 - ANÁLISE

Os diversos vetores econômicos mundiais, tais como, comodities agrícolas, minerais, combustíveis fósseis e manufaturados desenvolveram-se espontaneamente em um ambiente em que predominam as forças de mercado. Com o hidrogênio sustentável há um direcionamento diante de seu papel no processo de descarbonização. Todos os estudos avaliados apresentam valores de demanda de hidrogênio sustentável próximos e superiores a 450 Mt em 2050 (Figura 8), para um cenário de carbono neutro. Equivale a um mercado de aproximadamente USD 600 milhões anuais. Com esses valores, não há paralelo no histórico da economia mundial. Segundo Lagioia, Spinelli e Amicarelli (2023), atualmente o H2V obtido pela eletrólise é menos competitivo do que o hidrogênio azul, mesmo com a mesma maturidade dessas tecnologias. Entretanto, a queda nos custos de energia renovável e a melhoria das tecnologias de eletrolisadores podem tornar o custo do H2V competitivo até

36
Figura 5 - Mckinsey & Company - Consumo Final de Energia por Combustível em 2050 (em Milhões de GWh - total de 132 MGWh) Fonte: Dados obtidos de Mckinsey & Company (2022). Figura 7 - BlommbergNEF - Uso global do hidrogênio sustentável em 2050 (Total 501 Mt). Fonte: Dados obtidos de BloombergNEF (2022). Figura 6 - Mckinsey & Company - Demanda Global de Hidrogênio em 2050 (em Mt - total 536 Mt) Fonte: Dados obtidos de Mckinsey & Company (2022).

2030 (IRENA,2022), o que deverá acelerar a implantação de novas plantas de eletrólise.

Segundo a IEA (2022a), a demanda de H2V poderá chegar a 329 Mt em 2050. Considerando que 1 MW de eletrolisador produz aproximadamente 18 kg de hidrogênio por hora e considerando um fator de utilização de 80% do eletrolisador, para cada 1 Mt de H2V produzidos por ano, seria necessária uma potência de aproximadamente 7,9 GW em eletrolisadores. Assim, uma potência de 2.599 GW seria necessária para uma demanda de 329 Mt de H2V em 2050, o que resultaria em uma energia anual de aproximadamente 18.214 TWh, valor de energia próximo aos 18.000 TWh previstos pela McKinsey & Company. Os valores demonstram o forte crescimento das energias renováveis, as quais serão necessárias para produção do H2V.

9 - CONCLUSÃO

Há um forte desenvolvimento de pesquisas em todos os segmentos da cadeia para produção e usos do H2V com destaque para fontes renováveis de energia, eletrolisadores, armazenamento e seu transporte, geração de energia elétrica, uso nos meios de transporte e para usos industriais. A queda nos custos de energia renovável e avanços das tecnologias de eletrolisadores pode tornar o H2V competitivo com o hidrogênio azul até 2030, tornando-o a melhor alternativa tecnológica para possibilitar a transferência de energia entre regiões.

Com o gigantesco potencial de energias renováveis, notadamente solar, eólica onshore e offshore, o Brasil desponta como importante protagonista desse mercado de H2V que se forma. Esse protagonismo do Brasil, por produzir o H2V ao menor custo foi previsto em estudos diversos de conceituadas instituições.

A oportunidade é indiscutível, mas sua concretização dependerá de regulamentação, certificação, infraestrutura e formação de mão de obra em todos os níveis, providências necessárias para viabilizar a exploração eficiente do que a natureza nos proporcionou.

REFERÊNCIAS BIBLIOGRÁFICAS

Meng-Tian Huang, Pan-Mao Zhai, Achieving Paris Agreement temperature goals requires carbon neutrality by middle century with far-reaching transitions in the whole society, Advances in Climate Change Research, Volume 12, Issue 2, 2021, Pages 281-286, ISSN 1674-9278, https://doi.org/10.1016/j.accre.2021.03.004. Meinshausen, M., Lewis, J., McGlade, C. et al. Realization of Paris Agreement pledges may limit warming just below 2 °C. Nature 604, 304–309 (2022). https://doi.org/10.1038/s41586-022-04553-z. Xiaona Li, Chaitany Jayprakash Raorane, Changlei Xia, Yingji Wu, Thi Kieu Ngan Tran, Tayebeh Khademi, Latest approaches on green hydrogen as a potential source of renewable energy towards sustainable energy: Spotlighting of recent innovations, challenges, and future insights, Fuel, Volume 334, Part 1, 2023, 126684, ISSN 0016-2361, https://doi.org/10.1016/j.fuel.2022.126684. IEA – International Energy Agency. Global Hydrogen Review 2022. França, 2022.

IEA – International Energy Agency. World Energy Outlook 2022. França, 2022. IRENA. W World Energy Transitions Outlook 2022: 1.5 oC Pathway. Abu Dhabi, 2022. McKinsey & Company. Global Energy Perspective 2022. 2022. BloombergNEF. New Energy Outlook 2022. 2022.

CERTIFHY. https://www.certifhy.eu/go-labels/ . Acessado em: 16/01/2023.

Lagioia, G.;Spinelli, M. P.; Amicarelli, V. Blue and Green Hydrogen Energy to Meet European Union Descarbonisation Objectives. An Overview of Perspectives and the Current State of Affairs. International Journal of Hydrogen Energy, n. 48, pp: 1304-1322, 2023.

*Jurandir Picanço Júnior é engenheiro mecânico eletricista, consultor de Energia da Federação das Indústrias do Estado do Ceará – FIEC, membro da Academia Cearense de Engenharia. Sempre esteve ligado às energias renováveis, sendo um dos responsáveis pelas primeiras iniciativas de desenvolvimento das energias eólica e solar, e agora, do hidrogênio verde, no Ceará.

Fernando L.M. Antunes é engenheiro elétrico pela Universidade Federal do Ceará, mestre em Engenharia Elétrica pela Universidade de São Paulo (USP) e PhD pela Loughborough University of Technology da Inglaterra. Atualmente, é professor titular do Departamento de Engenharia Elétrica da Universidade Federal do Ceará.

Edilson Mineiro Sá Jr. É graduado em Engenharia Elétrica pela Universidade Federal do Ceará, tem mestrado em Engenharia Elétrica pela Universidade Federal do Ceará e doutorado pela Universidade Federal de Santa Catarina. É professor efetivo do Instituto Federal de Educação, Ciência e Tecnologia do Campus Sobral e professor regular do Programa de Pós-Graduação em Engenharia Elétrica e de Computação da Universidade Federal do Campus Sobral.

37
Figura 8 - Demanda de hidrogênio sustentável em 2050 para neutralidade de carbono (em Mt de H2). Fonte: Autores.

Uso de interruptor-seccionador com MPPTs de múltiplas entradas

Uso de interruptor-seccionador com MPPTs de múltiplas entradas

Fenômenos de sobrecorrente em arranjos

fotovoltaicos

Há três fenômenos de preocupação quanto à circulação de corrente nas séries e entre as séries que podem originar queima de componentes e riscos para a planta:

- Corrente reversa;

- Curto-circuito em séries paralelizadas não protegidas individualmente por fusíveis ou disjuntores;

-Dimensionamento de cabos, conectores e proteção para momentos de sobreirradiância.

Corrente reversa

A corrente reversa surge quando há diferença de tensão

Voc entre séries paralelizadas. Sua intensidade é proporcional a diferença de tensão Voc entre as séries e à irradiância momentânea. A corrente reversa pode surgir por 3 fatores principais: falha de concepção de projeto, falha de montagem ou falha interna ao módulo que crie um curto-circuito em parte do módulo.

As falhas de projeto e instalação podem ser sanadas com facilidade, bastando a revisão ou realizando algum ajuste durante o comissionamento da planta. Já as falhas que causam curtocircuito em parte da série ou internamente ao módulo, e que, por consequência diminuam a tensão Voc da série afetada, não podem ser previstas. Nestas situações ocorre a corrente reversa.

Para duas séries paralelizadas, o maior valor possível de corrente reversa é a corrente Isc de uma série, e para um maior número de séries paralelizadas, o maior valor possível de corrente reversa é o número de séries menos 1 multiplicado por Isc.

38 Artigo técnico*

A proteção contra corrente reversa é obrigatória toda vez que a multiplicação do número de séries decrescido de um e a corrente Isc de uma série é maior do que a máxima suportabilidade de corrente reversa descrita no folheto de dados do módulo.

Ou seja, a proteção só atuará para um valor maior que a corrente Isc da série protegida. Isto implica que, caso os cabos sejam dimensionados exatamente para suportarem corrente até o valor de Isc, numa eventual situação de corrente reversa, a corrente que o elemento de proteção permite passar até que o mesmo atue pode ter valores acima da suportabilidade do condutor.

Além da questão da proteção, o dimensionamento de cabos e proteções que usem exatamente o valor de Isc no folheto de dados dos módulos (que é ensaiado em 1000 W/m²) pode encontrar outro problema: a sobreirradiância.

A sobreirradiância acontece quando a irradiação solar é superior a 1000 W/m², condição que em dias ensolarados no Brasil pode se manter por várias horas consecutivas. Como a corrente Isc do módulo é proporcional a irradiância, durante esses períodos, o sistema poderá trabalhar com valores de corrente acima do folheto de dados.

Devido a estes dois fatores, a norma NBR 16690 especifica valores mínimos de suportabilidade de corrente de cabos e dispositivos mesmo quando não há proteção associada a eles. A tabela abaixo retirada da norma, apresenta esses valores mínimos:

Curto-circuito em séries agrupadas

Ao se agrupar séries fotovoltaicas em um mesmo barramento, existe a possibilidade que um curto-circuito em uma das séries ou até no próprio barramento seja alimentado com a contribuição de múltiplas séries, podendo assim alcançar valores de corrente elevados. Durante este fenômeno é importante garantir que todos os componentes envolvidos (módulos, cabos, chaves, conectores) atendam os critérios de capacidade de corrente, e, especialmente se as proteções podem atuar de forma segura na interrupção e seccionamento do circuito.

Dimensionamento de condutores, conectores e proteções

Para a proteção por corrente reversa, a norma NBR 16690 define que o fusível ou disjuntor que proteja a série deve seguir a equação abaixo:

Normatização de dispositivos de sobrecorrente e interruptores-seccionadores

A proteção para corrente reversa pode ser feita por dispositivos seccionadores (fusíveis) que atendam a norma 60269-6 ou interruptores-seccionadores (disjuntores) que atendam as normas NBR IEC 60947-2 ou 60898-2.

Figura 1 - Correntes de curto-circuito para inversores com duas ou mais séries paralelizadas. Figura 4 - Tabela 5 da norma ABNT NBR 16690. Também é obrigatório Figura 2 - Trecho da norma ABNT NBR 16690. Figura 3 - Excerto da norma ABNT NBR 16690 sobre o dimensionamento das proteções de sobrecorrente.
39

que o dispositivo seja próprio para corrente contínua, que seja insensível a polaridade, e que seccione todos os condutores de um circuito simultaneamente. No caso dos dispositivos interruptoresseccionadores, eles devem ser capazes de interromper as correntes para o pior caso possível.

Além disso, visando uma desconexão segura do sistema, todos os sistemas devem possuir elemento interruptor-seccionador entre o arranjo FV e o inversor. Para sistemas com múltiplos MPPT, é necessário que cada MPPT tenha ao menos um dispositivo interruptor-seccionador. Os dispositivos interruptores-seccionadores devem ter capacidade de interrupção de corrente sem a formação de arcos. É também obrigatório que estes dispositivos sigam as normativas NBR IEC 60947-1 e 609471-3.

Caso o dispositivo interruptor-seccionador seja do tipo chave acionada eletronicamente, a corrente de atuação da proteção deve obrigatoriamente respeitar os critérios definidos normativamente acima. Com isto, nota-se que a proteção contra corrente-reversa está limitada aos fusíveis do tipo gPV e disjuntores que sigam a normativa NBR IEC 60947-2 ou 60898-2.

Já para as chaves, mesmo as controladas eletronicamente, não há possibilidade de ser utilizada isoladamente para proteção contra corrente-reversa. As chaves devem também seguir as normas NBR IEC 60947-1 e 609471-3. Caso contenham elementos de proteção de sobrecorrente associado, os mesmos devem seguir as normas IEC 60947-2 ou 60898-2.

Estudo de caso

Para ilustrar os tópicos anteriores, será montado um estudo de caso de uma planta típica de minigeração distribuída ou geração centralizada com inversores string. O estudo usará inversores de 330 kW, módulos bifaciais e relação CC/CA de 130%. Para este estudo serão considerados dois casos típicos:

Caso 1: inversor de 330kW, 16 MPPTs, onde cada MPPT contenha entrada para dois pares de cabos (2 circuitos) – Total de 32 entradas. Caso 2: inversor de 330kW, 6 MPPTs, onde cada MPPT contenha entrada para 5 pares de cabos (5 circuitos) – Total de 30 entradas Em ambos os casos serão considerados módulos de 610Wp, bifaciais com ganho de 10%, construídos com células de 182mm, além de irradiação de 1000 e 1100 W/m².

Em ambos os casos serão considerados módulos de 610Wp, bifaciais com ganho de 10%, construídos com células de 182mm, além de irradiação de 1000 e 1100 W/m².

Desta forma, para atingir os 130%, serão utilizadas 27 séries com 26 módulos cada.

Primeiro caso

Para o primeiro caso serão alocados duas séries para os primeiros 11 MPPTs. Para as MPPTs 12 à 16 serão alocados somente uma série cada.

Segundo a norma NBR 16690, como não há paralelismo de mais de 3 séries no mesmo ponto de conexão (MPPT) a proteção contra sobrecorrente não é obrigatória ou necessária. Caso ocorra um curtocircuito em uma série, o maior valor de corrente que percorrerá os conectores, chaves seccionadoras e cabos será a contribuição de uma série, isto é, Isc (acrescido do efeito de bifacialidade, neste exemplo, 10%).

Para a condição de não utilização do fusível, deve-se levar em consideração no dimensionamento dos condutores, conectores e chaves um fator de segurança, definido na Tabela 5 da norma NBR 16690 e apresentado na seção anterior. A figura abaixo ilustra a situação mais crítica de corrente, quando há um curto-circuito em uma das séries e a irradiância está em 1000 W/m².

Figura 5 - Folheto de dados do módulo utilizado no estudo. Figura 6 - Corrente para caso de curto-circuito - caso 1.
40 Artigo técnico

A corrente Isc que circula durante a falha é de no máximo Isc + 21% (acréscimo de 10% pela bifacialidade e 10% por sobreirradiância).

Portanto, basta-se garantir que o dispositivo interruptorseccionador, conectores e cabos suportem a corrente de curto de uma das séries multiplicado por 1,5x no mínimo, pois 1,5*Isc > 1,21 *Isc.

segundo caso

Para o segundo caso serão alocadas 5 séries nas MPPTs de 1 a 3 e 4 séries nas MPPTs de 4 à 6. Como há o paralelismo de 4 ou 5 séries por MPPT, é obrigatório o uso de elemento de proteção contra sobrecorrente. Essa proteção deve atender a equação abaixo, definida na norma NBR 16690 seção 5.3.11.1:

1,5 Isc < In < 2,4 Isc 1,5*14.03 < in < 2.4*14.03 21,04 < In < 33,67 A

Para estes valores de corrente, os valores típicos de proteção (fusível ou disjuntor) é de 25 ou 30 A. O valor máximo de corrente em uma das séries levando-se em conta o caso mais extremo é de 1,21 *Isc (acréscimo de 10% em bifacialidade e 10% em sobreirradiancia).

Portanto, o máximo valor de contribuição de cada série em um eventual curto-circuito será de 16,97 A.

Para o estudo de suportabilidade dos componentes durante o curtocircuito, é importante entender a forma em que as séries e dispositivos interruptores-seccionadores estão conectados. A figura abaixo ilustra a organização de uma MPPT de um inversor que utiliza interruptorseccionador comandado eletronicamente:

Neste caso, o máximo valor de curto-circuito será de 4*16,97 = 67 A. Haverá então passagem de corrente muito acima do valor de corrente Isc da série, portanto, é indispensável o estudo de suportabilidade à corrente dos cabos, conectores e dispositivos interruptores-seccionadores.

Os cabos de todas as séries, conectores MC4 e capacidade de interrupção da chave devem suportar então ao menos 67 A. Este valor de corrente não é facilmente encontrado na vasta maioria dos catálogos dos fornecedores de conectores MC4 conhecidos do mercado. E, caso a proteção seja controlada eletronicamente, os valores de atuação da proteção precisam ser regulados caso a caso para atender os critérios normativos exemplificados anteriormente.

Conclusão

A proteção por corrente reversa se torna, para quase a totalidade dos módulos, obrigatória quando há o paralelismo de 3 ou mais séries. A norma nacional NBR 16690, fortemente embasada na IEC 62548, é clara em relação ao tipo de dispositivo que pode ser utilizado para proteção de sobrecorrente: fusíveis segundo IEC 60269-6 ou disjuntores conforme NBR IEC 60947-2 ou 60898-2.

A corrente reversa não é o único fenômeno de sobrecorrente possivelmente danoso ao sistema. A proteção completa do sistema, e por consequência, a segurança de operação requer atenção aos tipos de proteção escolhidos.

As chaves, necessárias como dispositivo interruptor-seccionador quando se opta por fusível ao invés do disjuntor, devem seguir a norma ABNT NBR IEC 60947-1 e ABNT NBR IEC 60947-3, além de respeitarem os valores da tabela 5 da norma NBR 16690 e serem capazes de interromper correntes de curto-circuito mesmo nos piores casos de falhas.

É mostrado também que é necessário levar em consideração a suportabilidade de corrente de cabos e conectores para momentos de falhas em curto-circuito e a resposta da proteção à esta falha, assim evitando desgaste precoce ou derretimento dos mesmos.

A fim de garantir a segurança operacional das instalações, evitar riscos velados de engenharia, oferecer riscos aos operadores ou até mesmo risco de incêndio e danos às instalações fotovoltaicas, sugere-se sempre a obediência às normas nacionais, além da escolha de uma equipe de engenharia capacitada.

Desta forma, garante-se a confiabilidade dos sistemas, a resiliência a falhas e a tranquilidade de, mesmo que haja um sinistro na planta, que os empreendedores e investidores não terão seus prêmios de seguro comprometidos ou negados por negligenciar o corpo normativo aplicável.

*Este conteúdo é patrocinado pela SUNGROW.

Figura 7 - Fluxo de corrente de curto-circuito para agrupamento de cinco séries no mesmo MPPT.
41

Aperfeiçoamento em saúde, segurança e procedimentos de trabalho em distribuidoras de energia elétrica utilizando sistemas vestíveis

Parte 1

Por Fillipe Matos de Vasconcelos, Carlos Frederico Meschini Almeida, Luiz Henrique Leite Rosa, Stefano Régis Gualtieri, Luiz André Danesin, Sergio Médici de Eston, Nelson Kagan, Eduardo Costa Sá, João José Barrico de Souza*
Aula Prática 42
O Setor Elétrico / Janeiro-Fevereiro de 2023

No contexto das concessionárias de distribuição de energia, aprimorar as práticas de segurança no trabalho é fundamental, pois é uma atividade de alto risco e ainda ocorrem fatalidades. Para evitá-los, padronização de processos, treinamento constante e controle rígido são as ações tipicamente adotadas. No entanto, tais ações são limitadas por sua forte dependência da iniciativa humana. Este projeto de pesquisa propõe aplicar o conceito de trabalhador conectado inteligente usando tecnologias de detecção vestíveis para prevenir, antes do quase-acidente, as ações/ condições inseguras definidas na pirâmide DuPont. A detecção de parâmetros como fisiológicos (por exemplo, ECG, PPG, SpO2, etc.), físicos (por exemplo, aceleração, força do campo elétrico, localização etc.) e ambientais (por exemplo, intensidade e temperatura UV) são aplicados a equipamentos de proteção individual (PPE's) e alimentar um aplicativo móvel e uma plataforma de análise em nuvem para gerar status de condicionamento físico individual ativo (em tempo real) e reativo (offline). Como resultado, os acidentes podem ser ainda mais evitados devido à adição de uma nova camada remota de supervisão; procedimentos de segurança aprimorados por meio da coleta e processamento de dados; e desempenho operacional aprimorado devido ao aumento da conectividade.

Introdução

A atividade profissional inerente à prestação do serviço de distribuição de energia elétrica é intrinsecamente de alto risco [1]-[4], razão pela qual é importante enfatizar as práticas de segurança do trabalho [5]. Essas ações são baseadas em um tripé que consiste em padronização de processos, treinamento constante e supervisão rígida em atividades de risco [6]. Porém, todas essas ações dependem fortemente da iniciativa humana, com o agravante de serem realizadas por milhares de pessoas em suas atividades diárias [7].

A Organização Internacional do Trabalho (OIT) estima que, anualmente, 313 milhões de trabalhadores se envolvem em acidentes ocupacionais causando lesões graves e afastamentos do trabalho, compreendendo mais de 350.000 mortes, enquanto 162 milhões de pessoas ocorrem doenças relacionadas ao trabalho, levando a quase 2 milhões de mortes [8]. Portanto, investir em segurança e saúde ocupacional reduz custos econômicos e humanos diretos e indiretos. No cenário brasileiro, ocorre um acidente a cada 49 segundos em média e uma morte a cada 3h 43min 42s para trabalhadores com carteira assinada (ou seja, apenas 56% do total de trabalhadores). O custo direto é de U$ 125/s para o Instituto Nacional do Seguro Social (INSS), totalizando U$ 21,05 bilhões de 2012 a 2018. O setor de energia é o quarto maior em número de ocorrências [9]. Assim, ações que contribuam para a preservação da vida também ajudarão a reduzir custos operacionais, indenizações por danos com ou sem afastamento e aumentar a percepção pública de clientes, parceiros e investidores.

Hoje em dia, devido a uma estreita relação entre incidentes como quaseacidentes e acidentes reais, os sistemas de gerenciamento de quase-acidentes são frequentemente apresentados como a abordagem para garantir a segurança no local de trabalho [10]. No entanto, devido aos recentes avanços em direção a IIOT (i.e., Industrial Internet of Things), mineração de dados, big data, análise de dados, machine & deep learning, entre outros, é uma tendência emergente buscar soluções que apliquem tecnologias de sensoriamento vestíveis para preservar vida em locais de trabalho perigosos e para monitoramento do estado de saúde [11]-[14]. Um dos principais motivos é a capacidade de monitorar continuamente os parâmetros associados a um indivíduo, o que, portanto, resulta em oportunidades para aprimorar a cultura de segurança, padronizar

procedimentos e controlar sua execução. Setores como esportes, saúde, petróleo e gás, mineração e outros também têm um enorme potencial para tirar proveito dessa tecnologia. Para conseguir isso, uma combinação de sensores embutidos em dispositivos vestíveis (por exemplo, luvas, capacetes, jaquetas, etc.) fornece um conjunto de dados brutos, como inércia, campos magnéticos e elétricos, orientação, aceleração, frequência cardíaca, pressão arterial , entre outros, para permitir, por exemplo, abordagens baseadas em inteligência artificial (IA) para realizar a classificação de atividades [15]–[21] que, em tempo real, podem identificar contextos como andar, ficar parado, correr, cair, ficar dentro/fora de um carro ou elevador, presença de campo elétrico, tontura, sonolência, ansiedade, doença, estresse, uso de drogas etc. adotando soluções IIOT. Em outras palavras, as informações são trocadas e exibidas localmente entre operadores de campo e centros de operações; podem ser acionados alarmes para identificação de perigos e estado de saúde precário; listas de verificação e atividades de acompanhamento em tempo real fornecidas; e mais. Isso significa que novas camadas de supervisão são adicionadas para melhor desempenho e aumento dos indicadores de segurança e eficiência operacional.

Este artigo propõe uma abordagem alternativa para gerenciar a segurança e a saúde no trabalho por meio de um sistema baseado em um aplicativo móvel e uma análise de nuvem, que está vinculada a dispositivos vestíveis que monitoram os eletricistas em atividades de campo e geram status de condicionamento físico individual ativo (tempo real) e reativo (offline). O sistema proposto tem dois objetivos básicos. A primeira é voltada para a centralização de todos os procedimentos de segurança e gestão das Análises Preliminares de Risco (PRA) por meio da classificação das atividades.

43
O Setor Elétrico / Janeiro-Fevereiro de 2023

A segunda está relacionada ao monitoramento remoto dos sinais vitais dos profissionais durante a execução de suas atividades para levantamento de suas condições clínicas e adequação às tarefas durante sua execução. Tais controles incidirão, antes do quaseacidente, sobre as ações/condições inseguras que ocorrem constantemente e não são devidamente informadas, atendendo a um dos grandes problemas que atualmente convive com as atividades rotineiras desses profissionais. Por fim, o conceito de ter trabalhadores conectados com dispositivos de detecção embutidos vestíveis transformam a plataforma em uma verdadeira solução de IIoT, doravante referida como o trabalhador conectado inteligente.

Quase-acidentes versus sistema de gerenciamento de ações/condições inseguras

Um quase-acidente pode ser definido como uma condição perigosa em que o seguinte evento pode levar a um acidente. As empresas geralmente contam com sistemas de relatórios de quase-acidentes como um dos melhores indicadores de potencial de acidentes. Dados históricos mostraram que, antes da maioria dos acidentes realmente ocorrer, um conjunto de quase-acidentes ocorre [10].

O conceito de promover reduções de quase-acidentes para mitigar o número e a gravidade de acidentes e fatalidades é realizado pela pirâmide de Bird [22]. Embora seja uma abordagem clássica, ainda é aplicada ao setor de distribuição de energia e muitos outros. No projeto de um sistema de gerenciamento de quase-acidentes, ações sistêmicas são executadas no quase-acidente considerando quatro aspectos importantes para a perda de controle, a saber: informação, investigação, análise e revisão do processo [23]. Assim, as análises são direcionadas para extrair informações de quase-acidentes, investigar as causas e efeitos, analisar formas de mitigar a reincidência e, por fim, rever processos se necessário. No dia a dia, no entanto, é um desafio executar efetivamente

essa abordagem, especialmente porque é comum que os trabalhadores ignorem repetidamente o relato de quase-acidentes, pois nenhuma lesão, doença, dano ou perda realmente ocorreu [10].

Um ato inseguro ou uma condição insegura, por outro lado, pode ser definido como um ato/condição que se desvia de uma forma segura esperada, ou de um procedimento padrão, expondo o trabalhador a riscos maiores (ou seja, probabilidade de perda, lesão ou outra circunstância adversa). É típico que um ou mais atos/condições inseguros resultem em um quase-acidente, mas pode escalar para um acidente ou até mesmo uma fatalidade.

Em termos de saúde e segurança ocupacional, prevenir atos/condições inseguras em vez de quase-acidentes é uma mudança de paradigma de incidente para prevenção de riscos. Em sentido prático para sistemas de gestão, implica adicionar um novo nível à base da pirâmide de Bird pela qual, portanto, cede à pirâmide de DuPontTM.

Na Pirâmide de DuPontTM, sabe-se que:

• A proporção de ações/condições inseguras, quase-acidentes, lesões, casos de afastamento e fatalidades segue uma lógica estatística (ou seja, de cima para baixo aumenta aproximadamente 10 vezes em cada nível);

• As perdas são consequências de esquecimento, condições inseguras, erros de planejamento, má avaliação de riscos e outros; compreendendo incidentes comportamentais e técnicos;

• Quanto menor a base da pirâmide (ou seja, número de ações ou condições inseguras), menor o topo;

• A probabilidade de perdas aumenta com uma cultura de segurança reativa – as práticas são revisadas e aprimoradas somente após os acidentes já ocorridos – e diminui com uma cultura de segurança proativa – as práticas são aprimoradas constantemente.

A Figura 1 apresenta a curva DuPontBradleyTM que mostra como a transformação da cultura de segurança contribui para

alcançar níveis de desempenho de segurança de classe mundial em ambientes corporativos [24]. Observe que há correlação direta entre a força cultural da organização e o desempenho de segurança. A evolução de uma cultura de segurança do estágio 1 ao 4 é buscada impulsionando as empresas para melhorias contínuas em regras e procedimentos, reconhecimento individual e supervisão do cuidado da equipe. Uma cultura de segurança bem-sucedida incentiva a interdependência e o empoderamento das pessoas, ao mesmo tempo em que visa melhorar a qualidade do serviço, a produtividade e os lucros [25].

Dispositivos de detecção vestíveis desempenham um papel importante em permitir maior maturidade cultural. Ao adotálos, vários benefícios podem ser alcançados, como: relatórios completos podem ser gerados automaticamente a partir de mecanismos de análise de dados em bancos de dados de saúde para solicitar melhorias contínuas. Sensores embutidos fisiológicos, físicos e ambientais podem gerar riscos de alarme para auxiliar na preservação da vida e promover o reconhecimento individual. A vigilância remota e in loco persistente pode permitir maiores níveis de cuidado e interdependência da equipe. Em suma, tudo isso apresenta um enorme potencial para reduzir o número e a gravidade de incidentes, acidentes e fatalidades.

Os dispositivos vestíveis aplicados a eletricistas de distribuição de energia

A tecnologia vestível já é conhecida há muitos anos onde tem sido aplicada massivamente com produtos para o mercado consumidor [13], [26]. É comum vermos relógios de pulso inteligentes que realizam medições de sinais fisiológicos simples como batimentos cardíacos, por exemplo.

O estado da arte da inteligência computacional da tecnologia vestível é baseado em técnicas de redes neurais artificiais, como K-Neighbours - KNN, Convolutional Neural Networks - CNN e Deep Recurrent Neural Network - DRNN [20].

Aula Prática 44 O Setor Elétrico / Janeiro-Fevereiro de 2023

No entanto, o presente artigo se concentra no uso de transgressões a contextos de sensores vestíveis como informações para apoiar aplicativos de segurança e saúde no trabalho, em vez de realizar estudos comparativos e de precisão entre algoritmos de reconhecimento de padrões. Sensoriamento vestível aplicado a eletricistas de distribuição de energia trazem uma novidade [27], que seria: determinar o conjunto de funcionalidades para alcançar efetivamente os benefícios da gestão de saúde, segurança e procedimentos e lidar com as particularidades desses ambientes perigosos é um desafio. As subseções a seguir discutem esses assuntos, destacando o uso de sensores vestíveis para detecção de quase-acidentes e apresentando o conceito de trabalhador conectado inteligente.

Fusão de sensores para reconhecimento de contexto

Os dispositivos de detecção vestíveis, por meio de sensores primários, podem monitorar aspectos fisiológicos (por exemplo, ECG, PPG, SpO2 etc.), físicos (por exemplo, aceleração, força do campo elétrico, localização etc.) e ambientais (por exemplo, intensidade UV e temperatura) parâmetros. Portanto, sensores primários são aqueles que medem

uma quantidade específica para permitir a identificação de anormalidades no estado de saúde, segurança do ambiente/trabalho e execução de procedimentos. Neste trabalho, qualquer situação/evento/condição que possa levar a um incidente é doravante denominada de contexto. Os contextos são criados por meio da coleta de dados e quantidades de processamento medidas por sensores primários, a fim de gerar status de aptidão individual em tempo real (ou seja, condição pessoal segura, alerta ou perigosa) para todas as atividades que envolvem perigos e riscos.

A tradução de dados brutos para contextos requer a coleta de dados de um único ou da combinação de dois ou mais sensores primários. Um contexto para detecção de frequência cardíaca alta, por exemplo, pode ser emitido se um valor de 90 batimentos por minuto for atingido e persistir por determinado período. Para fazer isso, apenas um único sensor óptico de frequência cardíaca pode ser usado [11]. Um contexto para detecção de queda, por outro lado, pode ser identificado se um padrão de rotação angular e uma aceleração acentuada forem atendidos. Portanto, um giroscópio e um acelerômetro são necessários para este último [17]. Em resumo, essa combinação de sensores para fornecer informações e

reconhecimento define o conceito de fusão de sensores para reconhecimento de contexto [16], [18], [19].

Existem vários modelos e marcas de dispositivos sensores, cada um com funções diferentes. Mesmo um smartphone pode ser considerado um sensor vestível se mantido junto ao corpo e acomodado dentro de algum compartimento, como mochila, bolso da calça ou outro. Mesmo utilizando um smartphone, é possível realizar a fusão de sensores para reconhecimento de contexto utilizando apenas seus sensores internos como acelerômetro, magnetômetro e giroscópio. Isso significa que, mesmo que não seja possível saber ao certo, um smartphone pode estar a qualquer momento classificando contextos do cotidiano das pessoas por meio de aplicativos específicos que foram instalados.

O trabalhador conectado inteligente

O trabalhador conectado inteligente proposto fornece monitoramento e alertas contínuos de conformidade de saúde, segurança e procedimentos, localmente, no gateway e no centro de operação de distribuição remota, identificando condições/ eventos que podem prejudicar um trabalhador. Para fazer isso, o trabalhador usa dispositivos sensores para medir parâmetros fisiológicos, físicos e ambientais que monitoram e relatam continuamente situações perigosas, alertas ou status de segurança para um supervisor interno e para um sistema de supervisão localizado no centro de operações de distribuição. Tudo isso é possível através da capacidade de comunicação e processamento de smartphones comuns, que coletam dados brutos de um conjunto de sensores, processam esses dados para identificar ações em andamento e acionam mensagens de alerta de ações inseguras se uma ou mais ações de saúde, segurança ou os status do procedimento (ou seja, consciência do contexto) são encontrados fora do padrão. Bluetooth 5.0 é usado como link de comunicação entre um aplicativo de smartphone e os sensores, e 4G/3G/ Wi-Fi conecta o smartphone a uma nuvem

Figura 1 - Etapas de uma cultura de segurança por meio da curva de DuPontTM-Bradley CurveTM e como a tecnologia vestível pode ajudar a alcançar maior maturidade cultural.
Aula Prática 46 O Setor Elétrico / Janeiro-Fevereiro de 2023

da internet com banco de dados, análise de dados e supervisão. A Figura 2 mostra uma visão geral do sistema proposto. A proposta do trabalhador conectado inteligente é projetada para centralizar todos os procedimentos de segurança e gerenciamento do APR e monitorar os sinais vitais dos profissionais durante a execução de suas atividades. O fluxo de trabalho para o sistema proposto consiste em:

1) Monitoramento de saúde: relógios inteligentes equipados com sensores foram usados para prevenir uma variedade de possíveis acidentes, monitorando e alertando os supervisores sobre contextos inadequados quando os limites foram ultrapassados. Em seguida, o monitoramento da frequência cardíaca e da recuperação da frequência cardíaca, temperatura corporal, pressão arterial, níveis de fadiga e um indicador de pânico (ou seja, fugir de uma ameaça potencial) foram considerados com base em dados brutos ou de fusão de sensores. Além disso, caso surja alguma mensagem de alerta de saúde e um médico do trabalho preste atendimentos que não requeiram afastamento do trabalho, o supervisor pode evitar previamente expor o trabalhador a atividades de maior risco, como atividade em altura, com partes energizadas etc.

2) Monitoramento de segurança: capacetes, botas e luvas inteligentes equipados com

sensores e identificação por QR-code podem parear cada EPI a um determinado trabalhador durante uma jornada de trabalho e monitorar a presença/ausência do equipamento durante os procedimentos. Além disso, o aplicativo para smartphones mostra automaticamente os registros de exames e exames do EPI e alerta o trabalhador e o sistema de supervisão na nuvem caso o EPI correspondente esteja desatualizado.

3) Execução dos procedimentos: os smartphones fornecem instruções passo a passo, e um conjunto de sensores monitora sua execução. O trabalhador pode interagir com seu smartphone, seguir instruções automatizadas, registrar imagens de dispositivos não conformes e receber ajuda de um especialista remoto para concluir tarefas, se necessário. O monitoramento proposto verifica se as etapas estão sendo seguidas, que incluem sensor de proximidade instalado em um EPI para avaliar se os trabalhadores da equipe estão imediatamente próximos, próximos ou distantes uns dos outros. Assim, um alerta pode ser acionado para tarefas que foram projetadas para serem executadas por dois ou mais trabalhadores simultaneamente, e não apenas por um, por exemplo. Os monitores de campo elétrico fornecem um alerta sobre a presença de campos elétricos e indicam as partes energizadas são encontradas onde não deveriam

estar. Sensores de barômetro indicam se a atividade está sendo executada em altura e, uma mensagem de alerta é acionada caso o trabalhador esteja exposto a risco de queda.

4) Atribuições de trabalho: quando um trabalhador faz login no aplicativo móvel, seu supervisor é notificado simultaneamente. O supervisor pode atribuir trabalhos do sistema e o trabalhador recebe as atribuições em um smartphone. O acompanhamento de ordens de serviço a fazer, em curso e concluído pode ser gerido através da nuvem de internet com base num sistema visual bastante conhecido para gerir o trabalho à medida que este avança ao longo de um processo, nomeadamente o método Kanban.

5) Análise de desempenho: um mecanismo de análise pode analisar o desempenho dos pares e recomendar ações corretivas se os níveis de desempenho ficarem abaixo das expectativas.

6) Auditoria de incidentes/Aacidentes: Uma câmera corporal é acoplada ao capacete do eletricista para transmissão ao vivo da execução dos procedimentos de trabalho para uma equipe de supervisão no centro de operações de distribuição para assistência e suporte, se necessário. Além disso, sempre que um contexto de ação insegura é encontrado em um dos vários sensores, o intervalo de tempo entre t-10 segundos a t+1 minuto é automaticamente selecionado do banco de dados como evidência para investigação posterior.

* Felipe Matos de Vasconcelos, Carlos Frederico Meschini Almeida e Luis Henrique Leite Rosa são professores na Escola Politécnica da Universidade de São Paulo (USP). Stefano Régis Gualtieri e Luiz André Danesin são, respectivamente, diretor e gerente de negócios na SGRIDD Tecnologia.

Sergio Médici de Eston e Nelson Kagan são professores titulares na USP, nas áreas de Engenharia Mineral e Engenharia Elétrica, respectivamente.

Eduardo Costa Sá é professor adjunto da Universidade Federal de São Paulo – Escola Paulista de Medicina e João José Barrico de Souza é especialista em Engenharia de Segurança do Trabalho e professor da Universidade de Franca e da Escola Politécnica da USP.

Figura 2 - Visão geral da aplicação de detecção em coisas e vestíveis, o Trabalhador Conectado Inteligente [16]
47 O Setor Elétrico / Janeiro-Fevereiro de 2023

Transformação digital no setor elétrico: inovação e busca por soluções

sustentáveis estão no centro dos investimentos das companhias

Concessionárias falam de seus projetos de pesquisa e desenvolvimento com foco em serviços de ponta para a tecnologia energética

Por Alessandra Leite
Reportagem
48 O Setor Elétrico / Janeiro-Fevereiro de 2023

A rápida mudança dentro do setor elétrico, no intuito de encontrar soluções sustentáveis para o setor, exige ações efetivas no cotidiano das empresas e a inovação tecnológica está no centro desse processo. Nesse sentido, a transformação digital surge como um eixo para esse modelo de negócios, no qual a eficiência energética é apenas a ponta de um cenário complexo e desafiador.

Segundo dados do Ministério de Minas e Energia, a demanda energética no país crescerá em torno de 3,3 vezes até o ano de 2050. A informação consta no Plano Nacional de Energia 2050, documento com 64 cenários para o futuro do segmento, cujo conteúdo leva em consideração pilares como segurança energética e sustentabilidade socioambiental.

Dentro dessa pauta, três movimentos regem as ações do setor atualmente e nos próximos anos: descentralização, descarbonização e digitalização, sendo esta última um ponto decisivo para a concretização de soluções avançadas na potencialização da eficiência energética.

Ao modificar ou adequar esses processos, com o propósito de acompanhar todas as mudanças que envolvem as etapas da transformação digital, especialmente dentro de um mercado tão competitivo, as empresas assumem grandes desafios. O cenário é acentuado se essas adaptações e transformações ocorrerem dentro de gigantes do setor elétrico. Fazer esse movimento voltado para a inovação não é das tarefas mais fáceis e as concessionárias têm buscado, cada uma a seu modo, fazer a sua parte no sentido de evoluir quando o assunto é pesquisa e desenvolvimento.

Na esteira desse processo de evolução tecnológica com o foco na transformação digital do setor, a Enel, companhia multinacional e um dos principais players do mercado global de energia, trata a digitalização como uma estratégia do grupo para trazer a

vanguarda da tecnologia energética e, com isso, oferecer serviços de forma participativa, resiliente e sustentável.

De acordo com o responsável pela área de Inovação na Enel Brasil, Filippo Alberganti, a empresa tem direcionado suas ações e investido continuamente na digitalização de seus ativos e processos, bem como na adoção de soluções tecnológicas de base digital e no fomento de uma geração de clientes cada vez mais familiarizados com essas tecnologias.

“Os nossos colaboradores estão inseridos em contextos digitais de diferentes naturezas, como na manutenção das operações, no gerenciamento de ativos ou plataformas para facilitar a troca de informações e planejamento na segurança das equipes, passando pelo trabalho remoto e a comunicação com o cliente”, ressalta.

Alberganti explica que a utilização e a análise de dados têm sido maciçamente inseridas no cotidiano da Enel, com o intuito de tornar a empresa cada vez mais uma “Data Driven Company” – modelo de gerenciamento de negócios que auxilia os gestores a tomarem decisões com base em dados reais.

Um dos exemplos de frutos colhidos desses investimentos feitos em pesquisa, inovação e tecnologia dentro do grupo, é o desenvolvimento do medidor inteligente no Brasil, que já se tornou uma referência para todo o setor elétrico e possibilitou à Enel testar novas soluções e abordagens com parceiros locais.

Outro case mencionado pela companhia é

o Grid Futurability, que já promoveu algumas dezenas de tecnologias para digitalização da rede elétrica e outros projetam que impactam significativamente a inovação, a qualidade e a resiliência das redes de maneira digitalizada, segundo informações da área de Inovação da Enel. “Outro projeto de destaque é o Grid Blue Sky, cujo objetivo é monitorar, acompanhar e organizar as operações da rede de distribuição de maneira integral, rastreável e plataformizada. Trata-se de um grande desenho de ‘plataformização’ para modernizar as infraestruturas e orientar-se para clientes e stakeholders, com uma rede de emissões zero”, explica Alberganti.

Projetos de inovação

Segundo o diretor de Estratégia, Inovação e Novos Negócios da Energisa, Lucas Pinz, a inovação é parte fundamental da chamada Energia 4D (digitalizada, descarbonizada, descentralizada e diversificada), que representa o centro da estratégia de negócios da empresa. “Anualmente, o Grupo Energisa investe em equipamentos e instalações, conforme regulado no Programa de Pesquisa & Desenvolvimento da Agência Nacional de Energia Elétrica (Aneel). Em 2022, o montante foi de R$40 milhões para inovação no setor elétrico e entregar energia com mais qualidade e menor custo”, informou. Conforme o diretor, os temas de inovação em que o grupo Energisa mais investe atualmente são os de advanced analytics e inteligência artificial

49
O Setor Elétrico / Janeiro-Fevereiro de 2023

aplicada à gestão de serviços de campo, no caso alocação de equipes, comercialização de energia e gestão da vegetação.

Outros investimentos estão voltados para novos negócios relacionados à geração distribuída, mobilidade elétrica e sistema de armazenamento de energia, de acordo com Pinz. Dentre os principais projetos de inovação do grupo Energisa, segundo o diretor da área, estão a fintech Voltz, o Energisa Digital Labs e o programa E-Nova 4.0. “A Voltz nasceu de um processo de venture buiding, ou seja, uma empresa gestada dentro da companhia, com foco na jornada de pagamentos da conta de energia e no público das classes B, C e D, promovendo a inclusão digital e financeira para todos os públicos”, explica.

Fomento para inovação

Nessa busca por parcerias que contribuam com a cultura de inovação dentro de seus negócios, as concessionárias passam a atuar em frentes diversas. É o caso da Cemig, que iniciou, nas últimas semanas, um programa de incentivo ao desenvolvimento tecnológico em parceria com o Hub Verde, plataforma que

estimula a interação entre diferentes agentes com o intuito de fomentar ideias inovadoras no âmbito dos desafios relacionados à geração, transmissão e distribuição de energia elétrica no Brasil. Com essa parceria, a empresa poderá participar de iniciativas desenvolvidas pelos chamados hubs de inovação, e isso inclui reuniões temáticas, seminários e workshops, dentre outras ações.

Além desses pontos, a Cemig e o Hub Verde lançarão novos desafios para a estruturação de projetos e iniciativas em inovação para o setor de energia.

Ao se definir como uma empresa com foco constante em inovação, a distribuidora destaca que é preciso conhecer novas ideias para o setor elétrico. Para isso, segundo o gerente de P&D, Inovação e Transformação da Cemig, Donorvan Rodrigo Fagundes, a busca pela seleção de parceiros para desenvolver projetos de pesquisa e desenvolvimento é contínua, respeitando os preceitos do Manual de P&D (PROP&D) da Agência Nacional de Energia Elétrica (Aneel) e o Desafio de Inovação Cemig. "A Aneel revisou o PROP&D com o objetivo de modernizar suas regras, incentivando maiores investimentos em projetos que conduzam à

efetiva introdução no mercado de soluções inovadoras e de aproximação dos programas de P&D com startups e outros ambientes de inovação", explica.

Projetos digitais

Com foco no aumento de soluções tecnológicas para trazer melhorias às experiências dos clientes, a Equatorial é também uma das companhias do setor que vem investindo em novas tecnologias e projetos de inovação. O marco citado pela empresa foi a criação da área de transformação digital, no ano de 2019, que iniciou a preparação para enfrentar os desafios que viriam, ainda em um período pré-pandemia.

De acordo com a Equatorial Energia, atualmente, a empresa conta com uma equipe multidisciplinar “robusta”, trabalhando nessa busca de soluções, tecnologias e respostas para as principais novas necessidades dos consumidores.

A expansão da companhia, de acordo com informações da área de Inovação da empresa, tem o intuito de adotar, continuamente, tecnologias de automação de processos e automação de redes, uso de big data ou internet das coisas, bem como da inteligência artificial, com interfaces que levem em consideração a experiência do cliente final ou do usuário interno no uso dessas tecnologias. No campo da eficiência energética, a concessionária cita como exemplo de inovação uma plataforma que gera bônus na conta de energia para os clientes que reciclam seus resíduos, além do investimento em iniciativas com energia fotovoltaica para consumidores de baixa renda e instituições filantrópicas. Esses são alguns dos projetos que constam na carteira de soluções da concessionária, bem como a criação de um Hub de Inovação, incentivo à mobilidade urbana com carros e bikes elétricas e seus carregadores, fábrica de softwares, incubadora de startups e empresas juniores, criação de um Instituto de Ciência e Tecnologia (ICT), entre outros.

Reportagem 50 O Setor Elétrico / Janeiro-Fevereiro de 2023

PRYSMIAN GROUP

ROXTEC

TE CONNECTIVITY

WAGO BRASIL

WEIDMÜLLER CONEXEL LTDA

Acessórios para fios e cabos

(11) 4481-2232

(11) 5844-2010

(41) 3383-9290

(11) 2423-2430

(51) 3201-2477

(16) 3820-1500

(11) 2136-9090

(17) 3279-2600

(11) 3779-1670

(11) 2971-2300

(47) 3307-9300

(11) 238-40155

(15) 3335-1382

(44) 3533-8500

(54) 2102-3333

(11) 4448-8000

(15) 3031-7400

(15) 3500-0530

(21) 3282-5160

(11) 2103-6023

(11) 2923-7200

(11) 4366-9600

www.chardongroup.com

www.connectwell.com.br

www.elos.com.br

www.fastweld.com.br

www.frontec.com.br

www.intelli.com.br

www.hellermanntyton.com.br

www.incesa.com.br

www.kanaflex.com.br

www.krj.com.br

www.linkofamericas.com

www.mediatensao.com.br

www.obo.com.br

www.onixcd.com.br

www.pan.com.br

www.plp.com.br

www.proauto-electric.com

br.prysmiangroup.com

www.roxtec.com/br

www.te.com

www.wago.com.br

www.weidmueller.com

Bragança Paulista

Taboão da Serra

São José dos Pinhais

Guarulhos

São Leopoldo

Orlândia

Jundiai

Olímpia

Cotia

São Paulo

Araquari

Guarulhos

Sorocaba

Mandaguari

Bento Gonçalves

Cajamar

Sorocaba

Sorocaba

Rio de Janeiro

Braganca paulista

Jundiaí

Diadema

A empresa é Principal segmento de atuação Principal canal de vendas Internet Fabricante Industrial Distribuidora Distribuidores / atacadistas Comercial Revendas / varejistas Residencial Transmissão e distribuição Venda direta ao cliente final Telemarketing EMPRESA Cidade Telefone Site UF x x x x x x x x x x x x x x x x x x x x x x x x x x x x x x x x x x x x x x x x x x x x x x x x x x x x x x x x x x x x x x x x x x x x x x x x x x x x x x x x x x x x x x x x x x x x x x x x x x x x x x x x x x x x x x x x x x x x x x x x x x CHARDON GROUP CONNECTWELL DO BRASIL ELOS ELETROTÉCNICA FASTWELD FRONTEC GRUPO INTELLI HELLERMANNTYTON INCESA KANAFLEX KRJ LINK OF AMERICAS INDUSTRIAL MÉDIA TENSÃO
BETTERMANN
DISTRIBUIDORA
ELECTRIC
OBO
ONIX
PAN
PLP PROAUTO ELECTRIC
SP SP PR SP RS SP SP SP SP SP SC SP SP PR RS SP SP SP RJ SP SP SP O Setor Elétrico / Janeiro-Fevereiro de 2023 52 Guia setorial

FIOS, CABOS E ACESSÓRIOS

Fios e cabos são indispensáveis a qualquer instalação, seja média, baixa ou alta tensão, e é um dos mercados mais promissores do setor elétrico. A pesquisa setorial desta edição é dedicada a este segmento. Nas tabelas publicadas a seguir o leitor encontrará uma relação de fabricantes e distribuidores de fios, cabos e seus acessórios. O levantamento, realizado com dezenas de empresas da área, evidencia quais são os principais produtos comercializados, como cabos isolados para baixa tensão, cabos para transmissão de dados e cabos para média tensão. Além disso, destaca os segmentos de atuação de cada fornecedor, assim como canais de vendas, certificações e informações sobre atendimento ao cliente. Confira o guia setorial na íntegra:

Certificado ISO MÉDIA TENSÃO BAIXA TENSÃO Fitas Isolantes (Autofusão) x x x Materiais para amarração de cabos x x x x x x x Conectores x x x x x x x x x x x x x x x x Materiais para identificação de cabos x x x x x x x x Ferramentas para aplicação de conectores x x x x x x x x x x Fitas Isolantes (Plástica) x x x x Conectores x x x x x x x x x x x x x x x Fitas Isolantes x x x Ferramentas para aplicação de conectores x x x x x x x x x x x Terminações x x x x x x x x x x x x Emendas x x x x x x x x x x x Nenhum dos produtos acima x x Programas na área de responsabilidade social x x x x x x x x x x x x x x x x x x x x Serviço de atendimento ao cliente por telefone e/ou internet x x x x x x x x x x x x x x x x x x x x x x 9001 (qualidade) x x x x x x x x x x x x x x x x x x x 14001 (ambiental) x x x x x x x x x Exporta produtos acabados x x x x x x x x x x x x x x x x x x Importa produtos acabados x x x x x x x x x x x x x x x Possui corpo técnico especializado para oferecer suporte aos clientes x x x x x x x x x x x x x x x x x x x x x x Oferece treinamento técnico para os clientes x x x x x x x x x x x x x x x x x x x x x x O Setor Elétrico / Janeiro-Fevereiro de 2023 53

Alubar

BoreAL Fios e Cabos

Cabelauto Condutores Elétricos

Cabolider

Cobrecom

Comtex

Condex Cabos

Condumax

Conduspar

Conexões Hawser

Conimel

Cordeiro

D'Light

Frontec

Furukawa

Grupo

Fios e cabos

(11) 3284-7602

(12) 3959-7308

(35) 3629-2553

(11) 2296-2667

(11) 21183200

(11) 5562-6696

(15) 3228-9410

(17) 3279-3738

(41) 2109-6000

(11) 4056-7047

(16) 3951-9595

(11) 4774-7400 (11) 2902-1070 (11) 2937-4650

(11) 96576-1900

(51) 3201-2477

(80) 0041-2100

(16) 3820-1652

(19) 3623-1518

(31) 3218-8000

(11) 5056-8900

(11) 48911226

(44) 3233-8500

(11) 4448-8000

www.alubar.net.br

www.borealfioescabos.com.br

www.cabelauto.com.br/

www.cabolider.com.br

www.cobrecom.com.br

www.comtex.ind.br

www.condexcabos.com.br

www.condumax.com.br

www.conduspar.com.br

www.hawser.com.br

www.conimel.com.br

www.cordeiro.com.br

www.crossfoxeletrica.com.br

www.dlight.com.br

www.elsewedy.com

www.frontec.com.br

www.furukawasolutions.com

www.grupointelli.com.br

www.lamesa.com.br

www.lojaeletrica.com.br

www.nambei.com.br

www.neocable.com.br

www.onixcd.com.br

www.plp.com.br

Itu

Proauto

(15) 3031-7400

(15) 3500-0530

www.proauto-electric.com/

br.prysmiangroup.com

Reicon

Sil

(15) 4101-0617

(11) 3377-3333

(11) 4366-9600

(12) 3972-6000

www.reicon.ind.br

www.sil.com.br

www.weidmueller.com

www.wirex.com.br

O Setor Elétrico / Janeiro-Fevereiro de 2022 54 Guia setorial
Cidade UF Site EMPRESA Telefone A empresa é Principal segmento de atuação Principal canal de vendas Certificado ISO
Crossfox Elétrica
Elsewedy Electric
Electric
Intelli
Elétrica
Lamesa Loja
Nambei
Distribuidora
Neocable Onix
PLP
Electric
Prysmian Group
Cabos Solares
Fios
Elétricos
Conexel Wirex Cable
e Cabos
Weidmüller
São Paulo Jacareí Itajubá
São Paulo
São Paulo Sorocaa Olímpia
Paulo
New Cairo São Leopoldo Curitiba Orlândia
João da Boa Vista Belo Horizonte
Paulo
Jesus
Mandaguari Cajamar Sorocaba Sorocaba Sorocaba Guarulhos Diadema Santa Branca SP SP MG SP SP SP SP SP PR SP SP SP SP SP Cairo RS PR SP SP MG SP SP PR SP SP SP SP SP SP SP
São José dos Pinhais Diadema Cravinhos Ferraz de Vasconcelos São
Guarulhos
São
São
Bom
dos Perdões
Internet x x x x x x x x x x x Fabricante x x x x x x x x x x x x x x x x x x x x x x x x x x Industrial x x x x x x x x x x x x x x x x x x x x x x x x x x x x x Distribuidora x x x x Distribuidores / atacadistas x x x x x x x x x x x x x x x x x x x x x x x x Fonte solar fotovoltaica x x x x x x x x x x x x x x x x x x x x x Comercial x x x x x x x x x x x x x x x x x x x x x Revendas / varejistas x x x x x x x x x x x x x x x x x x x x x x x x Fonte eólica x x x x x x x x x x x x x x x Residencial x x x x x x x x x x x x x x x x GTD (Geração, Transmissão e Distribuição) x x x x x x x x x x x x x x x x x x x x x x Venda direta ao cliente final x x x x x x x x x x x x x x x x x x x x x x x x x x x Telemarketing x x x x x x x x Programas na área de responsabilidade social x x x x x x x x x x x x x x x x x x x x x x Serviço de atendimento ao cliente por telefone e/ou internet x x x x x x x x x x x x x x x x x x x x x x x x x x x x x 9001 (qualidade) x x x x x x x x x x x x x x x x x x x x x x x x x x x 14001 (ambiental) x x x x x x x x x x x

Fios e cabos isolados para baixa tensão (até 1000 V) Cabos para comunicações e dados Cabos para média tensão

para instrumentação, sinalização, comando, controle

O Setor Elétrico / Janeiro-Fevereiro de 2022 55
Importa produtos acabados x x x x x x x x x x Exporta produtos acabados x x x x x x x x x x x x x x x x x x x x x Cabos cobertos (revestidos, não isolados) x x x x x x x x x x x x x Cabo resistente ao fogo para circuitos de segurança x x x x x x x x x x x x Cabo para ligação de equipamentos x x x x x x x x x x x x x x x x x x x x Cabos
x x x x x x x x x x x x x x x x x x x x Cabo com isolação termoplástica x x x x x x x x x x x x x x x x x x x x Cabos
x x x x x x x x x x x x x x x x x x x Fios e
x x x x x x x x x x x x x x x x x x x x x x x Cabo com isolação termofixa x x x x x x x x x x x x x x x x x x x x Cabo com baixa emissão de fumaça, gases tóxicos e corrosivos x x x x x x x x x x x x x x x x x x x x x Fios e cabos telefônicos metálicos x x x x x x Cabos coaxiais x x x x Cabos para cabeamento estruturado x x x x x x x x x Cabos ópticos x x x x x x x x Cabos isolados em média tensão (1 kV < U ≤ 6 kV) x x x x x x x x x x x Cabos para instalações subterrâneas x x x x x x x x x x x x x Cabos isolados AT (cima de 6 kV) x x x x Cabos para energia eólica x x x x x x x x x x x Cabos para instalações fotovoltaicas x x x x x x x x x x x x x x Cabos flexíveis x x x x x x x x x x x x x x x x x Cabos multiplexados x x x x x x x x x x x x x x x x x Cabos concêntricos x x x x x x x x x x x x x x x x Possui corpo técnico especializado para oferecer suporte aos clientes x x x x x x x x x x x x x x x x x x x x x x x x x x x x x Oferece treinamento técnico para os clientes x x x x x x x x x x x x x x x x x x x x x x x x
para instalações fotovoltaicas
cabos nus

Aterramento de blindagens de cabos de energia

(Parte 1 de 2)

A demanda por linhas de transmissão subterrâneas, em média e alta tensão, tem crescido de forma significativa, especialmente nos centros urbanos e em condomínios, em virtude do impacto visual das redes aéreas ou pela indisponibilidade de faixas de passagem para uma linha aérea. Outro segmento onde se verifica uma grande demanda por redes de energia subterrâneas em média tensão são as plantas de energias renováveis, parques eólicos e usinas fotovoltaicas, no segundo caso para evitar o sombreamento dos painéis. São basicamente três as formas de aterramento de blindagens de cabos isolados: solid bonding, single bonding e cross-bonding.

O Solid Bonding, onde as blindagens são aterradas nas duas extremidades do cabo, é o tipo de aterramento mais simples e de menor custo de implantação

e de manutenção, principalmente com relação aos acessórios (Figura 1). A grande desvantagem desta configuração de aterramento é a corrente que será induzida nas blindagens, cuja circulação resultará em aquecimento dos condutores, e por consequência em perdas, o que implica na redução da capacidade do condutor de transportar energia, devido ao balanço térmico que passa a ser comprometido pelas perdas por efeito Joule na blindagem. Outra desvantagem é que no caso de ocorrência de uma falta para a terra na extremidade do circuito, praticamente toda a corrente de falta para a terra irá retornar pela blindagem, da fase em condição de falta, em virtude do forte acoplamento condutor central – blindagem. Neste caso, a blindagem deve ser dimensionada para suportar esta corrente de falta, considerando o seu tempo de eliminação.

Esse tipo de aterramento de blindagens de cabos isolados é mais indicado para circuitos curtos com baixas correntes e com limitação da corrente de falta para a terra (com a média tensão aterrada por resistência/impedância no neutro do transformador).

No aterramento tipo Single Bonding aterra-se apenas uma das extremidades da blindagem, sendo o custo de implantação e de manutenção desta solução maior do que no caso do aterramento anterior, pois pode ser necessário um para-raios para proteger a extremidade isolada da blindagem, para a proteção contra sobretensões transitórias (Figura 2). Este para-raios deve ser dimensionado para suportar as eventuais sobretensões de regime permanente. Este tipo de aterramento tem a grande vantagem de não permitir a circulação de corrente nas blindagens em condição de operação em regime permanente, evitando o comprometimento da capacidade de transporte de energia dos condutores. Porém, em condição de falta para a terra pode ocorrer a indução de uma sobretensão de regime permanente significativa na extremidade isolada da blindagem da fase em condição de falta. Por este motivo, esta configuração de aterramento é indicada apenas para circuitos curtos.

O terceiro tipo de aterramento de blindagem é o cross-bonding, mais caro e complexo do que os anteriores, geralmente utilizado em sistemas de alta tensão com linhas de grande extensão (Figura 3). Neste

Espaço
56
Aterramento

caso, além da transposição das blindagens, pode-se fazer também a transposição das fases, de forma similar ao que é feito em linhas de transmissões aéreas longas. A transposição das fases ajuda a balancear as tensões nas blindagens e nas fases, porém nem sempre é aplicada, em função da dificuldade de fazer esta transposição com cabos longos e pesados. No caso das linhas subterrâneas, as transposições são feitas nas caixas de emenda subterrâneas, onde

também podem ser instalados para-raios para as blindagens. Este tipo de arranjo, em virtude da sua complexidade e do alto custo de implantação e manutenção, geralmente só é viável em linhas subterrâneas longas e de alta tensão.

Na segunda parte do artigo apresentaremos algumas aplicações dos dois primeiros tipos de aterramento de blindagens de cabos de energia em parques eólicos e usinas fotovoltaicas.

57
Figura 1 - Ligação solid bonding de blindagens de cabos de energia [Cigre, TB 797]. Figura 2 - Ligação single bonding de blindagens de cabos de energia [Cigre, TB 797]. Figura 3 - Ligação cross bonding de blindagens de cabos de energia com transposição de fases [Cigre, TB 797]. *Paulo Edmundo da F. Freire é engenheiro eletricista, mestre em Sistemas de Potência pela PUC-RJ e doutor em Geociências pela Unicamp. É sócio fundador da empresa Paiol Engenharia e atua há mais de 40 anos em projetos de sistemas de aterramento e de proteção contra descargas atmosféricas. Wagner Costa é engenheiro eletricista pela Universidade Federal de Pernambuco (UFPE) e possui MBA em engenharia de produção. É mestre e doutorando em engenharia elétrica pela Unicamp.

Análise de perdas eletromagnéticas em um transformador de distribuição a seco sob desequilíbrio via modelagem por elementos finitos

O presente trabalho encontra-se inserido no contexto de um projeto de pesquisa e desenvolvimento de um novo conceito de subestação (SE) subterrânea. Tal modelo de subestação enfrenta algumas limitações em termos de espaço disponível para os equipamentos internos, refrigeração e operação sob condições não ideais. Dentre os equipamentos internos da SE, o transformador é a principal fonte de calor [1]. Sendo assim, é de vital importância analisar o seu comportamento elétrico e térmico sob diversas condições de operação, a fim de garantir o seu correto funcionamento. A Figura 1 ilustra a SE sob estudo.

Um dos distúrbios mais comuns de qualidade da energia ao qual os equipamentos de um sistema elétrico estão submetidos é o desequilíbrio de tensão e/ou corrente que pode ser gerado por uma carga desequilibrada ou ter origem no próprio sistema elétrico. Os efeitos esperados no transformador devido à presença destes desequilíbrios são a circulação de corrente acima da nominal em algum enrolamento, queda de tensão em níveis além do esperado e sobreaquecimento [2].

Assim, avaliou-se o desempenho do transformador quando submetido a desequilíbrios de tensão. Trata-se de um transformador a seco de 1 MVA, 13,8 kV – 0,380 kV, ∆-Y. Neste trabalho foram aplicados diferentes níveis de desequilíbrio alterando os defasamentos entre as tensões de alimentação. Para tal, optou-se pela simulação do equipamento em software baseado no método dos elementos finitos, o qual permite a modelagem e resolução de fenômenos eletromagnéticos e térmicos a partir dos parâmetros construtivos do equipamento. A Tabela 1 apresenta um resumo dos resultados de perdas no núcleo e enrolamentos. Nota-se uma redução tanto nas perdas no núcleo como nas perdas nos enrolamentos, ainda que esta última seja menos acentuada, à medida que o nível de desequilíbrio aumenta.

À primeira vista, diante destes resultados, pode-se concluir que as perdas totais no transformador devido aos desequilíbrios aplicados são reduzidas, ou, no mínimo,

O Setor Elétrico / Janeiro-Fevereiro de 2023
Por Ábner Cézar Peres Pacheco, Arnaldo José Pereira Rosentino Junior e Ivan Nunes Santos.
58 Espaço SBQEE
Figura 1 - Ilustração da subestação subterrânea.

permanecem constantes. Todavia, a modelagem por elementos finitos permite não somente a análise das perdas totais, como também a verificação da distribuição de perdas ao longo de toda a estrutura do equipamento.

A Figura 2 destaca resultados para o núcleo e enrolamento de baixa tensão a partir de um comparativo entre as distribuições de perdas nominais e as distribuições equivalentes para o caso de desequilíbrio de 10% proveniente do sistema. Nota-se uma concentração das perdas na coluna central do transformador, a qual pode ser explicada pela combinação fasorial aplicada para gerar o desequilíbrio e que resultou em uma tensão superior à nominal em

uma das fases, enquanto as demais apresentam uma redução de seus valores de referência. Como consequência, verificou-se uma elevação das perdas magnéticas na coluna central do núcleo e das perdas joulicas no enrolamento central que apresenta uma maior circulação de corrente. Resultado similar foi identificado para o enrolamento de alta tensão.

Em resumo, para os desequilíbrios advindos do sistema elétrico, muito embora os valores das perdas totais tenham diminuído conforme o distúrbio se intensificava, a concentração de perdas na coluna central do transformador pode impactar gravemente sua vida útil. Portanto, conclui-se que a análise do transformador operando sob desequilíbrio se mostra de grande valia a fim de preservar a vida útil do equipamento e permitir o dimensionamento correto do sistema de refrigeração da subestação considerando as eventuais condições não ideais às quais o equipamento estará submetido.

REFERÊNCIAS BIBLIOGRÁFICAS

[1] J. P. G. Ferreira, “Air flow and thermal analysis of an electrical transformers' substation,” Universidade do Porto, 2014.

[2] Santoso, Surya, Mark F. McGranaghan, Roger C. Dugan, and H. Wayne Beaty. 2012. Electrical Power Systems Quality. 3rd ed.

Ábner Cézar Peres Pacheco, Msc., possui graduação e mestrado pela Universidade Federal de Uberlândia. Atualmente é doutorando na Faculdade de Engenharia Elétrica da Universidade Federal de Uberlândia. Sua principal área de interesse é qualidade da energia elétrica, fontes renováveis e otimização de equipamentos eletromagnéticos.

Arnaldo José Pereira Rosentino Junior, Dr., possui graduação, mestrado e doutorado pela Universidade Federal de Uberlândia, com graduação sanduíche no Institut National des Sciences Appliquées de Lyon e doutorado sanduíche na University of Alberta, Electrical and Computer Engineering. Atualmente é professor na Universidade Federal do Triângulo Mineiro, Instituto de Ciências Tecnológicas e Exatas, Departamento de Engenharia Elétrica. Atua nas áreas de qualidade da energia, subestações, energias renováveis e análise de dados.

Ivan Nunes Santos, Dr., possui graduação em Engenharia Elétrica, Mestre e Doutor em Ciências Exatas pela UFU e pós-doutorado pela Eindhoven University of Technology. Professor e pesquisador da Faculdade de Engenharia Elétrica da UFU. Atua nas áreas de qualidade da energia elétrica, harmônicos em sistemas de potência, integração de parques eólicos e fazendas fotovoltaicas no SIN e redes elétricas inteligentes.

O Setor Elétrico / Janeiro-Fevereiro de 2023 Espaço SBQEE 59
Figura 2 – Resultados de distribuição de perdas: (a) Núcleo - Caso nominal. (b) Núcleo - Caso 10% desequilíbrio. (c) Enrolamento BT - Caso nominal. (d) Enrolamento BT - Caso 10% desequilíbrio.
Origem do Desequilíbrio Nominal Sistema Nível de Desequilíbrio [%] 0 3 5 10 Perdas Enrolamentos [W] 11006 10995 10976 10873 Perdas Núcleo [W] 2178.4 2150.3 2134.8 2087.1 Variação 0 -1.29% -2.00% -4.19% Variação 0 -0.10% -0.27% -1.21%
Tabela 1 - resumo dos resulTados de perdas obTidos

Realizações da diretoria do Cigre-Brasil de 2019 a 2023

Introdução

Consciente das suas responsabilidades e dos grandes desafios que teriam de ser superados, os membros da Diretoria do CIGREBrasil para o período 2019/2023 elaboraram uma Plataforma de Atuação, da qual destacamos os seguintes tópicos: Inserção do CIGRE-Brasil no setor elétrico e Diretrizes de atuação da nova Diretoria.

Inserção do Cigre-Brasil no setor elétrico

O CIGRE-Brasil, como principal fórum nacional do setor elétrico, cobrindo todos os aspectos relevantes e com presença ativa em nível internacional, sempre teve um papel de destaque no intercâmbio de experiências e na geração de propostas de novas direções e soluções para os problemas do setor elétrico nacional e internacional.

A história do CIGRE-Brasil faz parte da trajetória do setor elétrico brasileiro, bem como de sua inserção no cenário nacional e internacional. Isto quer dizer que o CIGRE-Brasil e o Setor Elétrico andam de mãos juntas. Não podemos dissociar um do outro, pois estão intimamente interligados. Assim, o contexto do Setor Elétrico afeta sobremaneira o CIGREBrasil.

O CIGRE-Brasil é uma instituição não governamental, sem fins lucrativos, e que tem como missão promover a produção, o compartilhamento e a disseminação de conhecimentos técnicos aplicados ao setor elétrico, como indutor da qualidade de vida sustentável. É importante destacar que seus diretores atuam de forma voluntária sem qualquer remuneração.

Ao longo dos seus 50 anos o Cigre-Brasil vem cada vez mais trabalhando arduamente de modo a cumprir a sua missão, e com isso contribuir fortemente para o crescimento profissional de técnicos do setor elétrico, fomentando a interação desses profissionais

na troca de conhecimento e experiências com as empresas, instituições, centros de pesquisa, universidades, órgãos governamentais, operadores, reguladores e comercializadores.

Também tem papel de destaque a promoção da participação de seus associados em eventos e grupos de trabalho em nível nacional e internacional. Com isso o CigreBrasil pode e deve ajudar em muito o país, em especial o setor elétrico, a enfrentar os seus desafios dentro desse novo contexto que se apresenta.

O Cigre-Brasil é uma instituição importante para o crescimento profissional contínuo, na medida em que é fonte para a troca do conhecimento entre especialistas de todo o mundo e de documentos técnicos com as melhores práticas e recomendações. Logo, sua contribuição é uma fonte fundamental para o suporte às necessidades de novas tecnologias e estudos para a melhoria técnica das equipes das empresas e demais instituições.

A sua força é baseada não apenas na troca de experiências, mas na formação de redes de conhecimento profissional, e na análise dos desafios nacionais e de novos requisitos para as redes elétricas do futuro. Sob uma perspectiva profissional e pessoal, os membros do Cigre-Brasil precisam ter acesso a informações atualizadas, e oportunidades de conexões profissionais que fortaleçam seus conhecimentos e contribuam para o seu desenvolvimento contínuo.

Diretrizes da atuação

De modo a encarar os desafios a serem superados, a diretoria do Cigre-Brasil para o período 2019/2023 seguiu as seguintes diretrizes de atuação:

• Atuar de forma coesa, com diretrizes bem definidas, em harmonia com os Conselhos de Administração e Fiscal e sempre baseando suas

ações seguindo o que estabelece o Código de Ética, o Guia para Integridade Empresarial e o Manual de Integridade Empresarial referente à Política de Combate à Corrupção (Compliance).

• Utilizar os Regulamentos do Cigre-Brasil como guias para o estabelecimento de procedimentos e tomada de decisões.

• Buscar atender às necessidades de intercâmbio de conhecimento da indústria nacional relacionadas aos aspectos tecnológicos, econômicos, sociais e ambientais do uso da eletricidade, enquanto preserva e amplia os benefícios associados ao seu espírito cooperativo.

• Fomentar a publicação de documentos técnicos de referência e alta qualidade, organizando os principais eventos técnicos nacionais, diversificando nossa grade com eventos de menor dimensão e custo, e promovendo uma aproximação agressiva com as novas gerações de técnicos e engenheiros.

• Atrair e integrar jovens profissionais às atividades do Cigre-Brasil como contribuição para as necessidades do setor de novos conhecimentos e visões, ao mesmo tempo que pavimenta a entrada de novos profissionais para a nossa indústria.

• Aumentar a integração com as empresas do setor, universidades e centros de pesquisa e treinamento.

Mensagem final

É importante reafirmar que sempre estivemos abertos para recebermos as valiosas contribuições dos nossos associados, pois grandes desafios só se vencem com um trabalho competente e integrado com todos os envolvidos, e procuramos aproveitar todas as oportunidades surgidas, pois o sucesso desta gestão se traduziu em conquistas para todos que fazem parte desta grande organização. Muito obrigado pela sua confiança e fizemos tudo para honrá-la e retribuí-la.

O Setor Elétrico / Janeiro-Fevereiro de 2023
60 Espaço Cigre-Brasil

Luciano Rosito é engenheiro Eletricista, especialista em iluminação e iluminação pública. Professor de cursos de iluminação pública no Brasil e exterior. Palestrante em seminários e eventos na área de iluminação e eficiência energética. Colaborador da Revista O Setor Elétrico. Coordenador de Comissões de Estudo e grupos de trabalho para a criação e revisão de normas técnicas no Brasil junto ao CB03 do COBEIABNT. Pesquisador de sistemas de iluminação pública. Ex Coordenador do Centro de Excelência em Iluminação Pública - CEIP de 2006 a 2010. Ex Coordenador da Área de Iluminação do LABELO - PUCRS.

O cenário do mercado de iluminação em 2023

Dando sequência nesta série de artigos sobre o tema iluminação, para iniciar 2023 iremos tratar do panorama atual do mercado de iluminação e as perspectivas para este ano.

O ano de 2022, principalmente no segundo semestre, foi marcado pela retomada dos eventos no segmento de iluminação, com a EXPOLUX, LED Fórum, CINAS Salvador, Goiânia e Campinas, e outros eventos que envolvem o tema iluminação em geral. Para quem trabalha no segmento de iluminação pública, 2022 foi um desafio, especialmente em função das altas demandas de investimento do setor público combinada com a crise de componentes e dificuldades logísticas globais.

O planejamento segue sendo um grande desafio para 2023 tendo em vista o longo período de guerra entre Rússia e Ucrânia, novos problemas de produção na China e aumento dos custos de transporte. A regionalização de produção segue sendo buscada a fim de evitar estes problemas mencionados e dar maior agilidade nos processos de produção. Quem aproveitou essa oportunidade no ano passado, já sai na frente em termos de competitividade e prazos de entrega ajustados.

Para 2023 a perspectiva de crescimento dos eventos é alta, após a retomada de 2022, com o planejamento e boas perspectivas e

engajamento, as feiras de cidades inteligentes começam já em março até maio de 2023 no Brasil. Iniciando pelo Smart City Expo em Curitiba de 22 a 24 de março e de 23 a 25 de maio o Smart City Business Congress em São Paulo. No mesmo mês de maio será realizada a Light Fair em Nova Iorque de 21 a 25 de maio, incluindo conferência e a feira.

Em agosto teremos o LED Fórum, já amplamente divulgado e reconhecido como um dos principais eventos de iluminação especializado aos lighting designes do Brasil e exterior. E em novembro de 2023, entre os dias 07 e 09, teremos novamente o Smart City Barcelona. Pelo que foi visto em 2022 há muito espaço para retomada das discussões e crescimento devido à importância do tema e avanços que vem sendo realizados, retirando os projetos do papel e aplicando a tecnologia na prática.

Para os investimentos públicos em 2023 em termos de iluminação, o terceiro ano de mandato de prefeitos costuma ser de planejamento de investimentos até o final da gestão e aplicação da execução de diversas PPPs (parcerias público privadas).

A execução das PPPs de diversas cidades como Campinas, Curitiba, Jaboatão dos Guararapes, Patos de Minas, Cachoeiro do Itapemirim, e tantas outras aqui não citadas, é um sinal que os investimentos não param e devem seguir assim nos próximos anos.

Nos próximos anos, algumas cidades já devem iniciar o segundo ciclo de modernização, substituindo LEDs mais antigos por LEDs mais novos. O ano 2023 promete principalmente um segundo semestre de ótimas oportunidades, mas já começa com boas perspectivas de curto prazo de investimentos em iluminação devido a tudo que foi planejado nos anos anteriores e a necessidade e aplicação de eficiência energética, tecnologia LED e sistemas de Telegestão.

As obras e investimento em eficiência energética citadas vem crescendo e as ESCOS ganhando força na iluminação pública e privada. No setor privados, os estádio de futebol, clubes esportivos e condomínios vem buscando a modernização da iluminação com os LEDs e sistemas de controle automatizado. No setor público, os recursos da COSIP também garantem aos municípios a possibilidade de investimentos e de construir um trabalho técnico e estruturado de longo prazo para que a iluminação das cidades esteja sempre modernizada e garantindo níveis adequados e confiabilidade na iluminação.

Esperamos um 2023 iluminado com a maior eficiência e qualidade possível e que possamos evoluir em tantos temas importantes para a iluminação correta e responsável.

62 Iluminação pública
O Setor Elétrico / Janeiro-Fevereiro de 2023

Manutenção 4.0

A importância da Engenharia de Confiabilidade no contexto da manutenção no setor elétrico

alguns eventos é possível entender quais são os modos de falha mais típicos em determinados equipamentos e/ou instalações, possibilitando, desse modo, a elaboração de planos de ações assertivos. Com isso, é esperado a mitigação (ou eliminação) dos principais problemas dos ativos de uma empresa.

Considerando a importância estratégica da área de manutenção para as empresas do setor elétrico, é essencial que ocorra uma evolução no meio de agir da equipe de manutenção, buscando a melhoria nos resultados e a redução nos gastos indesejados. Dessa forma, os gestores devem buscar a transição de um cenário de manutenção reativa – na qual as intervenções são feitas após a ocorrência de falhas – para um cenário de manutenção proativa – que busca atuar antes de que problemas indesejados ocorram.

Neste contexto, este artigo pretende demonstrar a importância de se criar uma célula de engenharia de confiabilidade alinhada à gerência da manutenção. A Engenharia de Confiabilidade objetiva, por meio de indicadores e acompanhamento de ocorrências, tem a intenção de reduzir a quantidade de falhas nos ativos. Com isso, naturalmente ocorrerá uma redução no gasto com intervenções corretivas (via de regra

mais dispendiosas), melhoria nos indicadores de fornecimento de energia e aumento de eficiência operacional.

O procedimento padrão da célula de Engenharia de Confiabilidade é o acompanhamento sistemático de todas as ocorrências nos ativos da empresa. Nesta etapa, as informações controladas usualmente vêm das áreas executoras de manutenção, dos centros de operação e de outras áreas interessadas, e geralmente consistem em data e hora da ocorrência, local e equipamento, sintomas da ocorrência e ações tomadas a curto prazo. De posse destas informações, procede-se para o entendimento das falhas que ocorreram. Neste ponto, algumas ferramentas são usadas, dentre as quais destaca-se o FMEA – do inglês “Análise de Modo e Efeito de Falha”, que deve ser preenchido com a visão e experiência de várias áreas distintas, buscando o melhor entendimento da ocorrência.

Após esta fase, com o acompanhamento de

Visando uma gestão eficiente, alguns indicadores a serem monitorados, devidamente estratificados por ativos, são: tempo médio entre falhas (MTBF); tempo médio de reparo (MTTR); confiabilidade e disponibilidade. Com estes indicadores “meio”, é possível mensurar a eficácia na melhoria de alguns indicadores “fim”, principalmente DEC, FEC e taxa de falhas. Recomenda-se que tais indicadores sejam constantemente atualizados e acompanhados pelas áreas estratégicas das empresas, para sempre garantir que a atuação da manutenção esteja em linha com os objetivos e diretrizes dos agentes do setor elétrico.

Por fim, recomenda-se que ocorra um entrosamento natural entre a Engenharia de Confiabilidade e a área de Planejamento e Controle da Manutenção. O acompanhamento físico (quantidade de atividades) e financeiro (CAPEX e OPEX) das unidades operacionais, objeto de estudo da equipe de PCM, monitora o desempenho das equipes de campo. Esta análise, quando confluente com os estudos de ocorrências e modos de falha da equipe de Engenharia de Confiabilidade, garante desempenho ótimo da área de Manutenção, uma vez que irá almejar a redução de falhas e ocorrência, sempre com o menor custo e a melhor eficiência operacional possível.

Caio Cezar Neiva Huais é engenheiro de produção, pós-graduado em Engenharia Elétrica e Automação com MBA em engenharia de manutenção. Atualmente, é gerente corporativo de manutenção de alta tensão no Grupo Equatorial Energia.
64
O Setor Elétrico / Janeiro-Fevereiro de 2023

Quadros e painéis

Nunziante Graziano é engenheiro eletricista, mestre em energia, redes e equipamentos pelo Instituto de Energia e Ambiente da Universidade de São Paulo (IEE/ USP), Doutor em Business Administration pela Florida Christian University, Conselheiro do CREASP, membro da Câmara Especializada de Engenharia Elétrica do CREASP e diretor da Gimi Pogliano Blindosbarra Barramentos Blindados e da GIMI Quadros elétricos | nunziante@gimipogliano.com.br

ESG e o futuro dos equipamentos elétricos

No dia 14 de dezembro de 2022, a Associação Brasileira de Normas Técnicas (ABNT) publicou a Norma ABNT Prática Recomendada – PR 2030 ESG, com diretrizes que alinham os principais conceitos e princípios ESG, com o objetivo de dar as diretrizes básicas às empresas no processo de incorporação de conceitos e diretrizes para adoção das melhores práticas ambientais, sociais e de governança em seus negócios.

A Norma ABNT Prática Recomendada – PR 2030 ESG possibilita que qualquer organização, independentemente do porte ou do setor, identifique o seu estágio de evolução quanto aos critérios adotados e defina estratégias de desenvolvimento para seu negócio, mas, sobretudo, para seus produtos e serviços, no que se refere aos seus processos de produção, partes interessadas e legado, seja ambiental, social e da empresa.

A cláusula 3.6 da ABNT PR 2030:2022 aborda o conceito de ciclo de vida, que são os estágios consecutivos e encadeados de um sistema de produto ou serviço, desde a aquisição da matéria-prima ou de sua geração, a partir de recursos naturais até a disposição final. Esse é o principal assunto a ser discutido para o futuro dos equipamentos elétricos, sua vida útil.

Quando associamos o conceito acima ao de desenvolvimento sustentável, o panorama torna-se mais claro. Desenvolvimento sustentável, segundo a cláusula 3.9 da mesma

referência normativa, conceitua o modelo desenvolvimentista que satisfaz as necessidades do presente sem comprometer a capacidade das futuras gerações de suprir suas próprias necessidades. Refere-se ainda à integração de objetivos de alta qualidade de vida das pessoas, saúde e prosperidade com justiça social e manutenção da capacidade do planeta de suportar a vida em toda a sua diversidade. Esses objetivos sociais, econômicos e ambientais são interdependentes e reforçam-se mutuamente.

O último conceito que gostaria de acrescentar, tema já abordado por mim no passado e que está elencado na cláusula 3.12 da nova norma ABNT PR 2030:2022 é a economia circular, que baseia-se na ideia de Kenneth Boulding (economista norte-americano nascido na Inglaterra), de que a Terra deve ser vista como uma Nave Espacial, ou seja, “sem lixeira”, mas cuja principal medida do sucesso da economia não é a produção nem o consumo, mas a natureza, o prolongamento da qualidade e da complexidade do total do estoque de capital” (1966:9). Claramente, trata-se de um sistema econômico que utiliza uma abordagem sistêmica para manter o fluxo circular dos recursos, por meio de recuperação, retenção, ou adição do seu valor, enquanto contribui para o desenvolvimento sustentável.

Evidentemente, a interdependência dos três conceitos acima expostos já intuiu o leitor sobre o caminho que vou seguir: os produtos

e serviços de hoje e de amanhã devem ser pensados de forma a zerar ou mitigar seus impactos ambientais negativos desde o processo produtivo até o encerramento do seu ciclo de vida útil, incluído a destinação ao seu final, aprimorar e ampliar os impactos ambientais positivos, permitir legado social e promover a evolução da sociedade, seja do ponto de vista econômico, humano e de comunidade, e tudo isso envolvido em um ambiente de cumprimento de obrigações mútuas entre a empresa, seus clientes, governos e tudo que abrange os entes públicos, como cobrança justa de impostos, regramento de logística reversa (quando aplicável), regras ambientais e etc.

Essa minha primeira provocação é para que o leitor, por meio deste artigo, inicie uma autoavaliação e a avaliação das escolhas que hoje fazemos, perguntando-se: será que um produto ou serviço, analisando todos os seus impactos e sua abrangência, é melhor ou pior que um outro, que executa a mesma função técnica? Seu processo produtivo, materiais utilizados, longevidade, destinação final e etc, é melhor ou pior que um outro, comparando tudo?

Ao final, aquela antiga frase: “Que vantagem Maria leva escolhendo esse ou aquele?” permanece válida, mas o que muda completamente é o “critério de análise e comparação”. É essa discussão que irei continuar na próxima edição. Não perca! Boa leitura.

65
de 2023
O Setor Elétrico / Janeiro-Fevereiro

Energia e sociedade

Danilo Ferreira de Souza é engenheiro eletricista pela Universidade Federal de Mato Grosso (UFMT). É especialista em Energia e Sociedade pela Universidade Federal do Rio de Janeiro (UFRJ), mestre em Energia e pesquisador no Instituto de Energia e Ambiente (IEE) da Universidade de São Paulo (USP). Atua também como professor na Universidade Federal de Mato Grosso, e é membro do Comitê Brasileiro de Eletricidade (Cobei) CB-3 da ABNT.

O aumento no consumo individual de energia – dos primitivos ao Sapiens 4.0

O agravamento do aquecimento global tornou-se pauta necessária para o estabelecimento de relações sociais e econômicas na atualidade. A geração de eletricidade para atender a nossa crescente demanda por energia e a do setor de transportes é o principal responsável por esse agravamento. Cerca de 80% da eletricidade gerada em todo o mundo se dá pela queima de combustíveis fósseis, enquanto no Brasil é de apenas 17%. Esse processo emite gases de efeito estufa (GEE), que são os principais causadores do aquecimento do globo. Mas, como chegamos até aqui e qual é a tendência para os próximos anos? Para responder a esta pergunta, faz-se necessária uma breve viagem no tempo.

A figura, que apresenta um indivíduo de classe média, representa vários estágios do apetite da espécie humana por energia, que ocorreram devido às mudanças no modo de produção e reprodução da vida material (da existência). Os recursos não são distribuídos uniformemente na biosfera, e a sua apropriação é ainda mais desigual que a distribuição. Observa-se na figura a estimativa de alguns estágios de consumo energético do homo sapiens, em Giga Joules por pessoa por ano. Esse consumo representa a projeção da alimentação, responsável pelo funcionamento da máquina biológica, como também o consumo externo ao corpo, no transporte, e nos processos necessários para produzir os bens utilizados disponíveis aos homens na

modernidade.

O homem primitivo, há um milhão de anos, era apenas um coletor de vegetais. Alimentava-se diariamente de vegetais produzidos a partir da luz solar, água e dióxido de carbono (CO2), liberando o oxigênio e a glicose fundamental para alimentação dos músculos humanos.

Há cem mil anos, continuávamos a usar a energia basicamente sob a forma de alimento. Como caçadora coletora, nossa espécie passou a consumir também energia armazenada nos tecidos dos animais e logo intensificou seu uso energético quando começou a fazer a cocção dos alimentamos. O domínio do fogo representou um processo extraordinário para os avanços da espécie.

Cerca de sete mil anos atrás: o terceiro estágio é representado pelos agricultores e pastores primitivos, na transição dos caçadores coletores, que não tinham uma moradia determinada, para a vida mais sedentária, na qual nossa espécie passou a realizar alterações mais intensas no espaço onde ocupou, começou a se aglomerar e desenvolver comunidades maiores, demandando, assim, uso energético mais intenso que nos estágios anteriores. A biomassa foi o recurso energético dominante desta era.

Há aproximadamente 600 anos, no quarto estágio, os homens aumentaram seu consumo por energia e o transporte surgiu como necessidade energética para levar produtos e pessoas até os centros de consumo. Nesse período já se realizava o aproveitamento da força do vento pelos moinhos, da força das águas pelas rodas d’agua. Também se começou a empregar o carvão mineral, sendo esta uma

66
O Setor Elétrico / Janeiro-Fevereiro de 2023

das primeiras migrações do homo sapiens da energia de fluxo para a utilização dos estoques energéticos.

Há mais ou menos 150 anos, o segundo estágio da grande revolução industrial estava em curso. Com a entrada da eletricidade nos processos produtivos, a iluminação artificial e o desenvolvimento do motor elétrico foram fundamentais para o aumento da produtividade e impulsionaram uma elevada demanda energética às atividades humanas. O consumo energético nas edificações também cresceu exponencialmente, proporcionando maior conforto ambiental. Mas o grande marcador desta era energética foi a apropriação do petróleo nos processos produtivos. Este recurso energético representou a saída do sapiens da dependência do fluxo para o controle dos estoques de energia.

Na metade do século passado o homem já se transportava em massa entre os países e continentes. A indústria experimentou ganhos de produtividade elevados devido à automação

dos meios de transformação dos produtos. A alimentação tornou-se cada vez mais variada, sendo movimentada por quilômetros até seu uso final. O acesso ao gás e à água foi universalizado em muitas cidades e o uso energético praticamente triplicou quando comparado com a etapa anterior.

Alguns dizem que esta espécie já atingiu a denominada quarta revolução industrial, na qual processos de fabricação possuem uma menor interferência humana. A comunicação é cada vez maior, o que amplifica a necessidade de eletrônica embarcada em todos os equipamentos e processos. Todos possuem um Smartphone conectado à internet 24 horas por dia, com um imenso tráfego de informações alimentado por milhares de GWh/ano. As edificações estão cada vez mais tecnológicas e comunicativas, com o fornecimento do serviço de energia (eletricidade, gás, internet) sempre mais crítico para manter todo este processo. Nesse contexto, já foi anunciada a quarta etapa da revolução industrial, que pode ser

denominada de Sapiens 4.0.

Assim, de forma individual, mas vivendo e atuando em comunidade/sociedade, o homem tecnológico depende de energia como em nenhum outro estágio da sua existência. Mas, analisando coletivamente, esta espécie passou por aumento populacional sem precedentes nos últimos anos. Em 1922 éramos dois bilhões de pessoas no mundo, com uma expectativa de vida média de 40 anos, e em 2023 somos aproximadamente oito bilhões, com uma perspectiva de vida média de 71 anos. Considerando que o setor de energia é o principal contribuinte para o aumento do aquecimento global; que o número de pessoas está crescendo; e que a cada novo estágio do “desenvolvimento” as pessoas estão consumindo mais energia, então faz-se imperativo discutir cada vez mais as possibilidades do setor de energia, desde a produção, transporte e distribuição, até seu uso final, objetivando sua eficiência, otimização e racionalidade.

67
O Setor Elétrico / Janeiro-Fevereiro de 2023

Redes subterrâneas

Daniel Bento é engenheiro eletricista com MBA em Finanças e certificação internacional em gerenciamento de projetos (PMP®). É membro do Cigré, onde representa o Brasil em dois grupos de trabalho sobre cabos isolados. Atua há mais de 25 anos com redes isoladas, tendo sido o responsável técnico por toda a rede de distribuição subterrânea da cidade de São Paulo. É diretor executivo da Baur do Brasil | www.baurdobrasil.com.br

O circuito subterrâneo falhou! E agora, José?

E agora, José? A festa acabou, a luz apagou, o povo sumiu...” Carlos Drummond de Andrade, nesse poema, faz uma incômoda e necessária pergunta para o leitor pensar sobre os infortúnios da vida.

Quero aproveitar essa mesma ideia para também fazer uma pergunta que pode ser incômoda para quem é responsável pelas redes isoladas, que apesar de serem extremamente mais confiáveis e seguras em comparação com as redes elétricas não isoladas (redes aéreas), elas podem falhar. Então quando falhar (... a luz apagou..) o que devemos fazer?

No mundo da poesia as coisas são mais abstratas, envolvem sentimentos e emoções, deixando pouco (e em minha opinião é assim que deve ser) espaço para a racionalidade.

Já no mundo da engenharia, os sentimentos e emoções também estão presentes, afinal somos humanos, porém, a razão deve prevalecer.

Quando um circuito subterrâneo falha não é possível identificar visualmente onde ocorreu a falha, que pode estar enterradas, dentro de dutos ou em galerias subterrâneas.

Então você, eu e o tal José, teremos que fazer a localização da falha e providenciar o reparo. A pergunta é, como vamos fazer isso?

A primeira técnica que surgiu foi o “método de corte e teste”. O método consiste em encontrar o meio do circuito falhado, cortar o cabo isolado de média tensão e fazer um teste de tensão para ambos os lados. Caso esteja em um dos lados, repetir o procedimento, ou seja, novamente encontrar o meio da parte falhada e novamente cortar o cabo e testar ambos os lados. Nesse método o cabo será cortado quantas vezes for necessária até encontrar a falha.

Considerando que mais de 95% das falhas em sistemas subterrâneos são oriundas de acessórios, ou seja, emendas e terminações, o

leitor já deve ter percebido que esse método insere vários pontos frágeis no circuito e com isso diminui drasticamente a confiabilidade do sistema.

Atenta a isso, a engenharia de equipamentos desenvolveu outras técnicas mais eficientes e menos invasivas, em que não é necessário realizar cortes sistemáticos no cabo.

O guia do IEEE 1234 “Fault-Locating Techniques On Shielded Power Cable Systems” e a Brochura Técnica 773 “Fault location on land and submarine links (AC & DC)”, são as referências internacionais das melhores práticas e técnicas para fazer a localização da falha. Ambos os documentos são robustos e precisos com a descrição das técnicas. A brochura Técnica do Cigre é bem abrangente e envolveu na sua confecção mais de 20 países representados por seus especialistas, onde eu tive a honra de participar da elaboração representando o Brasil.

Podemos resumir as etapas do processo de localização de falhas da seguinte forma, como mostrado na Figura.

Caracterização da falha

A primeira etapa consiste na execução de testes para confirmação e caracterização da falha.

As informações obtidas nesta etapa direcionarão os procedimentos adotados em todas as etapas posteriores, bem como determinarão quais equipamentos serão necessários durante o processo.

A aplicação dos métodos mais apropriados reduz o tempo para localização da falha e o dano/estresse produzido aos cabos.

Durante a etapa de caracterização de falha é importante identificar o tipo de falha e as tensões de ruptura.

Métodos de pré-localização

Após a caracterização da falha, os métodos de pré-localização serão executados. Nesta etapa, a localização da falha será estimada de forma aproximada. É, talvez, a etapa mais crítica do processo todo, pois costuma envolver maior necessidade de tecnologia e equipes treinadas. Uma boa pré-localização garante maior agilidade no processo de manutenção corretiva, enquanto pré-localizações ruins ou difíceis podem retardar severamente o restabelecimento do sistema.

A escolha do método adequado deve levar em consideração o tipo de falha, a tensão de ruptura, sua impedância, bem como características construtivas e equipamentos disponíveis. Os métodos mais comumente empregados para as falhas de revestimento e cabos sem blindagem são os baseados em pontes de medição, enquanto para falhas de curto-circuito em cabos blindados, os métodos baseados em reflectometria usualmente geram resultados mais ágeis.

Determinação de percurso

Após a etapa de pré-localização, a distância do ponto de medição até a posição da falta estará relativamente bem estimada. No entanto, é necessário conhecer o percurso dos cabos, caso contrário poderá prejudicar muito a localização exata da falha.

Localização exata e confirmação do ponto de falha

A etapa de localização exata será aquela em que a posição da falta será realmente determinada com precisão de alguns centímetros, permitindo a abertura de vala, se for o caso, bem como o reparo posterior. Os métodos de pré-localização, previamente empregados, apresentam precisão razoável da ordem de 1% a 7%.

As referências IEEE 1234 - 2007 e Cigre WG B1.52 – 773 são boas fontes para uma consulta mais detalhada sobre as técnicas de localização.

em foco 68
O Setor Elétrico / Janeiro-Fevereiro de 2023

Análise de Sistemas Elétricos

Prezados leitores, estamos iniciando hoje uma nova coluna e, nesta edição, pretendo apenas explicar qual tipo de canal pretendemos fazer. Será um canal de comunicação com a comunidade da engenharia elétrica, por meio do qual pretendemos tratar de temas relativos à análise de sistemas elétricos com as mais variadas abordagens. Entre as especialidades, podem ser citadas:

• Análise de eventos;

• Manutenção;

• Proteção;

• Seletividade;

• Aterramento de sistema;

• Harmônicos e seus efeitos;

• Filtros transitórios eletromagnéticos;

• Energia incidente;

• Suportabilidade de equipamentos;

• Equipamentos elétricos;

• Estabilidade de sistema;

• Rejeição de cargas;

• Partida de motores;

• Instalações fotovoltaicas;

• Instalações eólicas;

• Ressonâncias;

• Ferrorressonâncias;

• Curto-circuito;

• Faltas por arco;

• Fluxo de potência;

• Compensação de reativos;

• Interferências de linhas em tubulações;

• Equipamentos para mitigação de problemas;

• Queima de transformadores e snubbers;

• Reflexão de onda;

• Influência da corrente de charging na proteção de terra;

• Influência da capacitância intrínseca no aterramento e na blindagem dos cabos;

Análise de sistemas elétricos

• Saturação de TCs;

• Seletividade lógica;

• ZSI - Zone Selective Interlocking;

• Diferenças de um disjuntor convencional para disjuntor de gerador;

• Questões de zeros atrasados em geradores.

Vamos falar de “cases” e também de “causos”, contados por mim ou por algum especialista convidado. Como temos apenas uma página, para os temas relevantes publicaremos um artigo técnico nesta mesma revista.

Vocês poderão sugerir ou contribuir com temas e casos, porém, estarão sujeitos a uma fila que depende da ordem, da relevância e interesse do público no tema. Temos 12 páginas por ano.

Neste momento, gostaria de receber de vocês, leitores, quais seriam os temas de maior interesse, pois assim teríamos como tentar nos organizar para atender às demandas mais requisitadas.

Nosso canal de comunicação será o endereço de correio eletrônico abaixo: claudio.mardegan@engepower.com

A ideia é tratar de detalhes pouco conhecidos do público, de forma que o leitor, através dessas páginas mensais, vá mergulhando nas maravilhas mais profundas da engenharia elétrica.

Quanto mais eu estudo, e eu nunca para de pesquisar, mais me encanto com a Engenharia Elétrica, pois diferentemente das demais engenharias, tratamos do que não vemos, temos que entender o que não vemos e dar a solução para algo que não vemos.

Com o passar do tempo vamos nos tornando “Médicos de Sistemas Elétricos”.

É esse o estágio que devemos atingir como profissionais, pois teremos condições de diagnosticar problemas e promover “os remédios” necessários para que nosso “paciente”, o sistema elétrico, possa se restabelecer adequadamente.

Essa paixão pela engenharia elétrica deve ser latente e sempre viva em nós. Somente assim, chegaremos no estágio da “arte”. Quando atingimos este estado temos condições de não só “lermos a partitura” do nosso sistema elétrico, mas também criarmos soluções, para as variantes que possam ir surgindo conforme nossa análise vai se aprofundando.

Lembrem-se que é raro encontrar um engenheiro que tenha um conhecimento com a abrangência citada nos tópicos descritos aqui.

Assim, você é que escolhe se quer entrar nesse rol de engenheiros, ou não. Hoje, você está recebendo este convite para entrar nesse rol. Será um imenso prazer para mim, ter você “surfando na nata da engenharia elétrica”.

Gente, não posso prometer que vocês chegarão a este patamar de conhecimento. As páginas aqui são curtas, mas balizarão por onde vocês deverão enveredar os seus esforços de pesquisa. Chegar ou não chegar ao estágio da arte não é um presente, é um mérito para aqueles que querem se esforçar e se aprofundar em cada assunto.

Para o aprofundamento poderão também recomendados treinamentos complementares.

Para finalizar, fica aqui a minha gratidão ao Adolfo Vaiser, que me fez este convite e a vocês que “investirão o seu tempo” nessa leitura.

é CEO da EngePower Engenharia Membro Sênior do IEEE e Membro do Cigrè claudio.mardegan@engepower.com
69
O Setor Elétrico / Janeiro-Fevereiro de 2023

Energia com qualidade

Os desafios das emissões na operação das instalações elétricas

Instalações elétricas de missão crítica utilizam robustas fontes de back-up para manter os serviços sem interrupção nas ocorrências de distúrbios na alimentação elétrica das distribuidoras locais como as variações de tensão de curta duração, as VTCD’s ou as interrupções. O avanço da automação industrial e comercial e a forte dependência de equipamentos microprocessados levam também outros consumidores a adotarem essa prática.

A estratégia de manutenção das redes de alimentação adequadas ao suprimento das cargas considera normalmente o uso de fontes de transferência instantânea com pouca autonomia de operação, como os UPS, associadas a geradores que possuem autonomia estendida em função da reserva de combustível (se óleo) como é o caso dos geradores equipados com motor diesel que possuem melhor resposta na alimentação de cargas dinâmicas, ou transitórias e também preços menores que os geradores a gás, mais sustentáveis que os primeiros e com a resposta mais lenta.

Outras aplicações de geradores diesel são aquelas efetuadas em logística portuária, caso dos RTG’s que operam no transporte de contêineres e mesmo nos navios de carga ou passageiros que dependem do combustível, plataformas de

petróleo, instalações temporárias como feiras e exposições sem suprimento de energia regular por distribuidoras. Geradores são também utilizados quando o sistema interligado nacional - SIN apresenta situação crítica nas térmicas de emergência quando da ocorrência de escassez de água nos reservatórios, como ocorreu recentemente em 2021 e ninguém fala mais nisso. A água que enche os reservatórios afoga a memória coletiva.

O gráfico da figura 1 apresenta as emissões históricas no Brasil e foram extraídos da plataforma SEEG Sistema de Estimativas de Emissões e Remoções de Gases de Efeito Estufa. Observa-se a preocupante tendência dos indicadores de emissão a partir do ano de 2010.

As estratégias plausíveis e factíveis para redução do consumo de combustível nos casos citados e por consequência redução das emissões são as mesmas aplicadas em projetos de eficiência energética nas instalações de consumidores como:

• Acionamentos de motores com inversores de tensão e variação de velocidade em bombas, ventiladores e compressores associados a sistemas de automação.

• Utilização de sistemas de refrigeração e climatização mais eficientes observando-se o COP (coeficiente de performance) dos equipamentos.

• Alguns sistemas “on-shore” em portos vem sendo “eletrificados”, contudo cargas em navios e plataformas de exploração

O Setor Elétrico / Janeiro-Fevereiro de 2023 70
José Starosta é diretor da Ação Engenharia e Instalações e presidente da Sociedade Brasileira de Qualidade da Energia Elétrica (SBQEE) jstarosta@acaoenge.com.br Figura 1 – Emissões CO2 – Brasil – 1990-2001 Fonte: SEEG

de petróleo e outras atividades análogas dependem da fonte e merecem atenção em bombas e equipamentos.

• Adequação da tensão de operação das fontes e aplicação da técnica do CVR (conservation voltage reduction) https://www. osetoreletrico.com.br/eficiencia-energeticaem-instalacoes-com-o-controle-da-tensao/

• Uso de sistemas de compensação estática de energia reativa para redução dos efeitos de VTCD em geradores com impedância normalmente menores que das distribuidoras e aumento de eficiência conforme figura 2. (ver também o link contendo aplicações de

compensação estática de energia reativa em geradores: https://bit.ly/3Z5vZ4f).

Portanto, projetos de engenharia bem elaborados aumentam a eficiência energética e a consequente redução de combustíveis e emissões. Não há fórmulas mágicas, mas tecnologias desenvolvidas e conhecidas que agregam valor e confiabilidade às instalações, mantendo robustez e sustentabilidade de fato.

[1] A Method for Evaluating Energy Efficiency to Justify Power Factor Correction in Ship Power Systems (Chun-Lien Su, , Ming-Chao Lin, and Chi-Hsiang Liao)

O Setor Elétrico / Janeiro-Fevereiro de 2023 71

Instalações Ex

Cuidados na utilização de containers do tipo IBC

Áreas industriais com elevados riscos de acidentes envolvendo atmosferas explosivas são fonte de constante preocupação, pois trata-se sobretudo de perdas de vidas, além da destruição das instalações, assim como grandes impactos ambientais.

Uma atmosfera é considerada explosiva quando há mistura com o ar, em condições atmosféricas, de substâncias inflamáveis sob a forma de gases, vapores, névoas ou poeiras, onde após ignição, a combustão se alastre por toda mistura não queimada.

Na edição anterior, esta coluna tratou de procedimentos de segurança, especificação técnica, utilização e operação de containers do tipo IBC (Intermediate Bunk Container) em áreas classificadas contendo gases inflamáveis, de forma a evitar a indevida geração ou acúmulo de cargas eletrostáticas que sejam capazes de representar uma indevida fonte de ignição de uma atmosfera explosiva que possa estar presente no local da instalação.

Os containers do tipo FIBC e IBC são muito utilizados para transporte de líquidos ou poeiras, geralmente com a utilização de empilhadeiras.

São apresentadas a seguir recomendações para a especificação técnica para compra e para utilização de containers do tipo IBC (Intermediate Bunk Container) em áreas classificadas contendo gases inflamáveis, de forma a evitar o risco de ocorrência de fontes de ignição de atmosferas explosivas decorrentes do indevido acúmulo de cargas eletrostáticas.

• Atender às recomendações de fabricação, instalação e utilização apresentados na Norma ABNT IEC TS 60079-32-1 (Atmosferas explosivas – Parte 32-1: Riscos eletrostáticos –

Orientações)

• Sempre conectar cabos temporários de aterramento, conectado preferencialmente a sistema de detecção de aterramento e intertravamento, durante as operações de enchimento e de esvaziamento de IBC em áreas classificadas

• Especificar e utilizar IBC METÁLICO para transporte de produtos muito inflamáveis ou com baixo PF (Ponto de Fulgor)

Para assegurar que nenhuma das paredes internas ou externas do contêiner do tipo IBC, nem os líquidos no seu interior, possam ser indevidamente carregados eletrostaticamente a um nível de risco, capaz de representar uma fonte de ignição de uma atmosfera explosiva que possa estar presente no local, é recomendado que as seguintes precauções sejam adotadas:

• É recomendado que todas as partes condutivas e dissipativas estejam adequadamente

equipotencializadas e aterradas

• É recomendado que todos os objetos condutivos nas imediações de qualquer container do tipo IBC (isto é, menos do que aproximadamente 1 m de distância) sejam devidamente aterrados durante a operação de carregamento e descarregamento

• É recomendado que o container do tipo IBC seja completamente circundado por uma tela, malha, trança ou revestimento condutivo, exceto para pequenas áreas limitadas consideradas no projeto (isto é, para as quais as consequências de uma cobertura incompleta tiverem sido consideradas no projeto de processo e não representarem risco). Se o invólucro for formado por uma tela metálica, convém que a área da grade aberta (mesh) da tela não seja maior que 10 000 mm2

• É recomendado que quaisquer áreas limitadas não envolvidas por tela, malha, trança ou revestimento condutivo (por exemplo, o dispositivo de carregamento ou áreas ao seu

*Roberval Bulgarelli é consultor sobre equipamentos e instalações em atmosferas explosivas. Organizador do Livro “O ciclo total de vida dos equipamentos e instalações em atmosferas explosivas”, membro de Comissões de Estudo do Subcomitê SCB 003:031 (Atmosferas explosivas) da ABNT/CB-003 (Eletricidade) e de Grupos de Trabalho do TC 31 (Equipamentos para atmosferas explosivas) e do IECEx (Sistema internacional de certificação “Ex”) da IEC.
72 O Setor Elétrico / Janeiro-Fevereiro de 2023
Plaqueta contendo instruções de segurança em IBC adequado para utilização em áreas classificadas contendo gases inflamáveis

redor) sejam dissipativas ou aterradas, ou protegidas de outras maneiras, de forma que não possam ocorrer riscos de ignição para o Grupo IIA em uma área classificada do tipo Zona 1 e ao redor de uma Zona 0 existente no interior do contêiner (por exemplo, limitando a área que possa ser eletrostaticamente carregável ou por tratamento superficial)

• Não é recomendado que o container do tipo IBC seja utilizado quando uma Zona 0 estiver presente no lado externo do contêiner do tipo IBC

• A efetividade e a durabilidade do tratamento superficial (por exemplo, por extrapolação, por revestimento homogêneo com camadas dissipativas etc.) têm que ser demonstradas experimentalmente sob as condições mais desfavoráveis de carregamento eletrostático, umidade e contaminação

• É recomendado que a tela, malha, trança ou revestimento condutivo possuam um contato adequado com o receptáculo interno em todas as faces do container, exceto para pequenas áreas com dimensões especiais consideradas no projeto.

• Para uma tela com malhas abertas excedendo 3 000 mm2, é recomendado que não seja excedida uma distância máxima de 20 mm entre a tela e o receptáculo interno nas áreas com dimensões especiais consideradas no projeto, por exemplo, a área do bocal da válvula de saída. Somente em bordas e cantos do container, pode ser tolerada uma distância máxima de até 40 mm. Para tela, malha, trança, revestimento condutivo sólidos ou uma tela com malha menor que 3 000 mm2, é permitida uma distância máxima de 40 mm, em áreas, bordas ou cantos considerados no projeto

• É recomendado que exista um meio condutivo com resistência máxima de 1 MΩ entre o líquido e o terra, por exemplo, pela utilização de uma tubulação de carregamento condutiva aterrada que se estenda até um local próximo do fundo do container ou uma válvula de fundo condutiva aterrada ou uma placa condutiva com área suficientemente grande no fundo do tanque.

• É recomendado que mesmo pequenas quantidades de líquido remanescente, por exemplo, volume de 1 L, estejam

permanentemente em contato com o ponto aterrado no fundo, de forma a evitar que o líquido se torne um material condutor isolado e eletrostaticamente carregado

• É recomendado que o contêiner do tipo

IBC seja equipado com uma PLACA DE ADVERTÊNCIA na cor amarela, informando a sua utilização segura

• É recomendado que, ANTES do reabastecimento, o contêiner seja verificado com relação ao atendimento dos requisitos de aterramento e equipotencialização

• Não é recomendado que o container do tipo IBC seja abastecido com outros tipos de líquidos diferentes daqueles para os quais o IBC foi especificado e avaliado

• É recomendado que os líquidos isolantes (por exemplo, o tolueno) sejam adicionados por meio de um tubo condutivo aterrado imerso no líquido.

É recomendado que este tubo submerso esteja próximo do fundo do container, de forma a evitar a ocorrência de descargas ramificadas a partir do líquido isolante

• É recomendado que a vazão de carregamento seja limitada a 400 L/min e a velocidade de carregamento não exceda 2 m/s

• Se forem utilizados líquidos altamente carregáveis eletrostaticamente, é esperada uma grande geração eletrostática, de forma que medidas adicionais sejam necessárias, por exemplo, a INERTIZAÇÃO

• Medidas adicionais são também necessárias em casos de alta velocidade de agitação, por exemplo, pela utilização de produtos surfactantes (Produtos surfactantes são substâncias capazes de reduzir a tensão superficial dos produtos aos quais são adicionados. Exemplos de surfactantes de água são os detergentes. Quando misturados na água os detergentes diminuem a tensão superficial e ajudam a água a penetrar em pequenos espaços, auxiliando a limpeza)

• Não é recomendado que objetos condutivos isolados (como por exemplo, ferramentas, parafusos e grampos) sejam armazenados, acoplados, ou mesmo colocados temporariamente em qualquer container do tipo de IBC, durante a operação de carregamento e descarregamento

• A natureza irregular de alguns materiais de

containers do tipo IBC pode impedir que objetos condutivos colocados no IBC entrem em contato com os elementos condutivos no tecido do IBC

• É recomendado que precauções sejam adotadas para evitar a contaminação de qualquer container do tipo IBC com substâncias como por exemplo, água, ferrugem, óleo, graxa, as quais podem criar um risco de ignição ou prejudicar a dissipação da carga eletrostática que seja gerada durante o processo de enchimento ou esvaziamento

Requisitos básicos para a seleção e operação de IBC em áreas classificadas, de forma a mitigar os riscos de fonte de ignição devido à geração e acúmulo indevido de eletricidade estática:

• Especificar e selecionar o IBC com base em avaliação sob o ponto de vista de riscos “Ex”, fabricado de material condutivo ou antiestático, de acordo com Zona e Grupo do local da utilização

• O IBC deve ser aterrado ANTES do início das operações de transferência de produto

• A equipotencialização deve ser feita sempre ANTES da abertura de recipientes com substâncias combustíveis

• Ao carregar com tubo de imersão, não abrir a válvula até que o tubo tenha sido inserido até o fundo do IBC. O tubo de imersão deve ser feito de material condutivo ou dissipativo e devem estar aterrados

• A resistência para o sistema de terra não deve exceder 10 MΩ

• Realizar periodicamente medições do aterramento com instrumentos adequados para a classificação de áreas do local da utilização. A resistência para a terra, sob o ponto de vista da equipotencialidade para permitir a “dissipação” de cargas eletrostáticas não deve exceder o valor de 1,0 MΩ

• As medições de aterramento devem ser feitas com frequência adequada, sendo os resultados devidamente documentado e registrado no prontuário das instalações, para acompanhamento dos valores “históricos” medidos ao longo do tempo, por meio de curvas de “tendências”

73 O Setor Elétrico / Janeiro-Fevereiro de 2023

Blinda

(71) 98282-3333

www.blinda.com.br

BRVAL

(21) 3812-3100

www.brval.com.br

Clamper (31) 3689-9500

www.clamper.com.br

Cobrecom

(11) 2118-3200

www.cobrecom.com.br

Condumax/Incesa

0800 701 3701

www.condumax.com.br

Embrastec

(16) 3103-2021

www.embrastec.com.br

Exponencial (31) 3317-5150

www.exponencialmg.com.br

Gimi Soluções

(11) 2532-9825

www.gimi.com.br

Hellermann Tyton

(11) 4815-9090

www.hellermanntyton.com.br

Intelli

(16) 3820-1500

www.grupointelli.com.br

Itaipu Transformadores

(16) 3263-9400

www.itaiputransformadores.com.br

Minuzzi

(19) 3272-6380

www.minuzzi.ind.br

MW Automação (15) 3318-7392

www.mwautomacao.com.br

Onix Distribuidora (44) 3233-8500

www.onixcd.com.br

Paratec (11) 3641-9063

www.paratec.com.br

Pextron (11) 5094-3200

www.pextron.com

Sil (11) 3377-3333 www.sil.com.br

Teledyne Flir (15) 3238-8070 www.flir.com.br

Trael (65) 3611-6500 www.trael.com.br

Varixx

(19) 3301-6902 www.varixx.com.br

Wirex Cable

(12) 3972-6000 www.wirex.com.br

17 61 23 7 11 9 71 12 35 25 27 51 45 19 57 67 63 15 74 Índice de anunciantes O Setor Elétrico / Janeiro-Fevereiro de 2023
2ª capa, 3 e Fascículos
capa
3ª capa

Turn static files into dynamic content formats.

Create a flipbook
Issuu converts static files into: digital portfolios, online yearbooks, online catalogs, digital photo albums and more. Sign up and create your flipbook.