REVISTA AQUACULTURA 164

Page 1


Edición 164 - Abril 2025

LA GUÍA NUTRICIONAL DEL CAMARÓN: Una herramienta que conecta con especialistas del sector alimenticio

Ecuador First Class Shrimp destaca en dos recientes ferias internacionales

Sin tregua a la extorsión

Gestión de agua y suelo: ciencia en el proceso, conciencia en el resultado

Estado metabólico e inmunológico del camarón blanco del Pacífico Penaeus vannamei en relación con las condiciones de cultivo

Microcistinas: ¿el enemigo silencioso en la producción de camarón?

Gestión de la calidad del agua en la acuicultura

Metabisulfito de sodio: Innovación para conservar la calidad del camarón

La acuicultura del Ecuador y su compromiso con los objetivos de desarrollo sostenible

Presidente Ejecutivo

Ing. José Antonio Camposano

Editora “AquaCultura”

MSc. Shirley Suasnavas ssuasnavas@cna-ecuador.com

Consejo Editorial

MSc. Yahira Piedrahita

PhD. Leonardo Maridueña

Ing. José Antonio Lince Ing. Alex de Wind

Exportaciones de camarón

Reporte de mercado de China

Reporte de mercado de EE. UU.

Noticias del sector

Diseño y diagramación Ing. Orly Saltos osaltos@cna-ecuador.com

Ing. Roberto Peñafiel rpenafiel@cna-ecuador.com

Corrección de estilo Daniel Ampuero daniel.ampuero@gmail.com

Comercialización

Gabriela Nivelo gnivelo@cna-ecuador.com

EEDITORIAL

José Antonio Camposano

Multilateralismo

útil: cooperar para resolver, no para aparentar

En un mundo en crisis constante, la cooperación internacional solo tiene sentido si da resultados. El pragmatismo no es una concesión: es la única forma de que el multilateralismo funcione.

l mundo atraviesa una etapa marcada por crisis permanentes: cambio climático, pandemias, conflictos armados, inflación global y migraciones masivas. Ningún país, por más rico o poderoso que sea, puede enfrentar estos desafíos solo. La cooperación internacional es indispensable, pero el tipo de cooperación multilateral que conocemos se ha vuelto lenta, burocrática y muchas veces simbólica. Por lo tanto, debemos ir hacia una transformación urgente: menos discursos y más acción. Más pragmatismo y menos gestos vacíos.

El problema no es que falten instituciones, pues la OMC, la ONU, la OMS o el FMI existen. El problema es que muchas veces sus decisiones se ven frenadas por intereses contradictorios, vetos o cálculos políticos. La pandemia de COVID-19 fue un claro ejemplo. La ciencia avanzó gracias a la colaboración global, pero al momento de distribuir vacunas, los países ricos acapararon recursos, dejando atrás a millones. El multilateralismo falló no por falta de medios, sino por falta de voluntad práctica.

Insistir en que todos los países deben estar de acuerdo en todo es poco realista. Las diferencias son profundas y constantes, pero eso no es lo que impide avanzar, pues se pueden construir

alianzas entre los que estén dispuestos a actuar. Si no están todos, que estén algunos; si no se puede hacer todo, que se haga lo esencial. Lo importante es moverse.

El cambio climático es la prueba más clara. Cada año que pasa sin acciones concretas agrava las consecuencias. Las grandes cumbres sirven como espacios de presión política, pero no bastan. Lo urgente es que cada país asuma compromisos reales, según sus capacidades, y que los países con más recursos ayuden a los más vulnerables.

El multilateralismo también debe abrirse más allá de los gobiernos. Hoy cooperan ciudades, universidades, ONGs y empresas. Este tipo de redes es más ágil, menos ideológica y más centrada en resultados.

Cooperar sigue siendo necesario, pero solo si sirve. En un mundo que no puede esperar, lo peor es quedarse inmóvil buscando consensos imposibles. El tiempo de actuar es ahora y para eso, hay que hacerlo con cabeza fría y sentido práctico•

DIRECTORIO

PRIMER VICEPRESIDENTE

Ing. Luis Francisco Burgos

Ing. Ricardo Solá

Dr. Alejandro Aguayo

Ing. Chris Olsen

Ing. Ori Nadan

Ing. Francisco Pons

Ing. José Antonio Lince

Ing. Jorge Redrovan

Ing. Alex de Wind

Ing. Kléber Siguenza

Ing. Rodrigo Vélez

Ing. Iván Rodríguez

Ing. Juan Carlos Vanoni

PRESIDENTE DEL DIRECTORIO

Ing. Marcelo Vélez

VOCALES

Ing. Alejandro Ruiz-Cámara

Econ. Heinz Grunauer

Ing. Víctor Ramos

Ing. David Eguiguren

Ing. Humberto Dieguez

Ing. Eduardo Seminario

Ing. Freddy Arias

Ing. Miguel Uscocovich

Ing. Vinicio Aray Dueñas

Econ. Sandro Coglitore

Ing. Rodrigo Laniado

Ing. Roberto Aguirre

SEGUNDO VICEPRESIDENTE

Ing. Fabricio Vargas

Blgo. Carlos Sánchez

Ing. Diego Puente

Ing. Johnny Adum

Sra. Verónica Dueñas

Ing. Alex Elghoul

Ing. Bastien Hurtado

Ing. Luis Burgos

Econ. Wolfgang Harten

Jorge Gonzalez

Andres Rivadulla

Ing. Héctor Marriott

Ing. Edison Brito

LA GUÍA NUTRICIONAL DEL CAMARÓN:

Una herramienta que conecta con especialistas del sector alimenticio

Con el objetivo de reforzar la identidad del camarón ecuatoriano como un alimento saludable, sostenible y de alta calidad, la Cámara Nacional de Acuacultura (CNA) y Sustainable Shrimp Partnership (SSP) presentaron oficialmente la Guía Nutricional del Camarón en un evento gastronómico y educativo, en Quito.

La iniciativa, respaldada técnicamente por la organización Seafood Nutrition Partnership (SNP), representa un nuevo hito para el sector camaronero ecuatoriano, consolidando al camarón como una proteína

estratégica en la dieta de los consumidores y una referencia global en prácticas de producción responsables.

La Guía Nutricional del Camarón es una propuesta de alto valor institucional, desarrollada con un enfoque científico y divulgativo que permite al consumidor conocer los beneficios del camarón ecuatoriano desde una perspectiva nutricional, ambiental y cultural.

El documento contiene información sobre los aportes nutricionales de esta proteína,

recomendaciones prácticas para su preparación, consejos para una compra responsable y recetas saludables de fácil ejecución.

El evento, que tuvo lugar el 22 de abril en el Go Hotel Quito, reunió a representantes del cuerpo diplomático, reconocidos chefs, expertos en nutrición, medios especializados y representantes de la academia y del sector alimenticio, quienes coincidieron en destacar el valor de esta publicación como una herramienta educativa y de posicionamiento internacional.

Chris Campbell, embajador de Reino Unido. Mirko Costa, jefe de misión de Italia
Jae Hyun Shim, embajador de Corea e Ilwoong Yoon, cónsul de Corea.

Entre los asistentes: Chen Gouyou, embajador de China, Sharon Campbell, esposa del presidente embajador de Reino Unido. Chris Campbell, embajador de Reino Unido, Vladimir Sprinchan, embajador de Rusia.

Entre los asistentes estuvieron los embajadores y delegados de Argentina, China, Corea del Sur, El Salvador, España, Italia, Panamá, Paraguay, Portugal, Reino Unido, Rusia y Türkiye. Su presencia ratificó el compromiso del mercado internacional por iniciativas que fortalezcan la sostenibilidad y la calidad del producto estrella del Ecuador.

El evento incluyó un “museo inmersivo del camarón”, una experiencia interactiva que permitió a los invitados conocer la historia, evolución, impacto económico y cadena de valor de este producto. Desde las zonas de crianza hasta las mesas del consumidor internacional, el recorrido sirvió para visibilizar el esfuerzo de miles de productores, técnicos y trabajadores que hacen posible el éxito de esta industria.

La Guía Nutricional del Camarón ha sido diseñada como una herramienta de consulta permanente, pensada para múltiples audiencias: consumidores nacionales e internacionales, nutricionistas,

estudiantes, chefs, compradores, medios de comunicación y autoridades. Su contenido, claro y amigable, ha sido validado por expertos y busca posicionar al camarón no solo como un producto comercial, sino como parte de una dieta saludable y un estilo de vida responsable.

Desde su lanzamiento, el documento ha recibido eco en medios especializados de alimentación, salud y comercio exterior. También ha sido compartido en plataformas digitales de alto alcance por instituciones aliadas como la Seafood Nutrition Partnership, reforzando el mensaje de que Ecuador está marcando la pauta global en acuicultura sostenible y nutrición.

“La Guía Nutricional del Camarón es una iniciativa estratégica que, desde nuestra perspectiva, fortalecerá la posición de Ecuador como líder mundial en la industria

camaronera. Este producto, reconocido internacionalmente por su calidad y sostenibilidad, representa un orgullo nacional y una fuente esencial de nutrición para los ecuatorianos", expresó José Antonio Camposano, presidente ejecutivo de la Cámara Nacional de Acuacultura.

Se destacan los beneficios nutricionales del camarón como una proteína magra de alta calidad y bajo contenido graso. Además, ofrece recomendaciones sobre su consumo, compra, preparación y cocción saludable, con recetas prácticas y nutritivas que se pueden preparar en solo 15 minutos.

Para posicionar este mensaje, el evento contó con la participación de la nutricionista, Alegría Valdez quien brindó una charla nutricional sobre los beneficios del consumo de camarón para la salud, destacando su valor como una súper proteína balanceada y sostenible.

Eduardo Acevedo, embajador de Argentina, Pilar de Acevedo, esposa del embajador y Lucas Mitao, gerente de La Gloria Restaurante.
Consejera Comercial de Canadá, Kristin van der Leest.
Eduardo Zeballos, embajador de Perú y su esposa Pilar de Zeballos

“Olvidemos los mitos que existen alrededor del camarón pues este alimento es un aliado para tu salud. Además de que su consumo regular apoya la salud cardiovascular, mejora el rendimiento cognitivo y fortalece el sistema inmunológico, es una proteína de alto valor biológico, que no eleva el colesterol y es de fácil digestión”. La experta añadió que, al provenir de una industria comprometida con la sostenibilidad, el camarón representa una opción responsable y saludable para el consumo dentro de las familias.

El evento contó con un cooking show en vivo a cargo de la reconocida chef Alejandra Espinoza, fundadora de Somos y Cotoa (primer restaurante ecuatoriano que integra la Guía Michelin de Miami), quien presentó preparaciones innovadoras con camarón para resaltar su sabor, valor nutricional y versatilidad culinaria.

“El camarón ecuatoriano no se compara con ningún otro camarón en el mundo; su sabor es inigualable, además de su alto valor nutricional y facilidad en su cocción. Considero que el camarón debería ser más consumido dentro de los hogares y perder el miedo a prepararlo en el día a día porque es un superalimento, versátil y alto en proteína. Este producto me ha permitido crear platos deliciosos y saludables para

mi restaurante y para mi hogar en pocos minutos”, destacó la chef Espinoza.

Durante la presentación, Pamela Nath, directora de Sustainable Shrimp Partnership, aseguró que “la sostenibilidad no solo se mide por los procesos de producción, sino también por el valor que entregamos al consumidor. Con esta guía queremos que más personas entiendan por qué el camarón ecuatoriano es el mejor del mundo: por su sabor, sí, pero también por su compromiso con la salud y el planeta”.

La Guía Nutricional del Camarón es una herramienta de posicionamiento

internacional del camarón ecuatoriano, que se perfila como una de las proteínas más saludables y sostenibles del mundo. Al mismo tiempo, representa una oportunidad para seguir reforzando su consumo local, promoviendo que los ecuatorianos reconozcan en el camarón una de sus principales fortalezas alimentarias.

La CNA impulsa activamente esta estrategia de promoción y posicionamiento, convencida de que el camarón ecuatoriano debe ocupar un lugar protagónico entre las preferencias de los consumidores nacionales e internacionales. Para lograrlo, es fundamental el acompañamiento de este esfuerzo por parte de toda la cadena, reforzando la conexión del "Mejor Camarón del Mundo“ con el orgullo de los propios ecuatorianos por su producto estrella•

Hace 4 años, la Cámara Nacional de Acuacultura (CNA) presentó su primera guía oficial: la Guía Máster del Camarón, marcando un antes y un después en la estrategia de promoción internacional del camarón ecuatoriano. Esta publicación pionera se convirtió en una herramienta clave para chefs y profesionales de la gastronomía, al reunir técnicas culinarias que resaltan el sabor, la textura y la versatilidad de este producto emblemático. Con ella, el camarón ecuatoriano comenzó a posicionarse no solo como un ingrediente de exportación, sino como una experiencia gastronómica de alto nivel en las cocinas del mundo.

Cooking show con la chef Alejandra Espinoza.

Ecuador First Class Shrimp destaca en dos recientes ferias internacionales

La industria camaronera ecuatoriana participó en dos de las ferias más importantes del sector acuícola global durante el primer semestre de 2025: Seafood Expo North America, en Estados Unidos y Seafood Expo Global, en España, gracias a la coordinación de la Cámara Nacional de Acuacultura (CNA). En ambos eventos, el país estuvo representado por la marca sectorial Ecuador First Class Shrimp (EFCS), creada hace una década por la CNA para unificar la imagen institucional del camarón ecuatoriano en ferias internacionales.

Entre el 6 y el 8 de mayo, Ecuador presentó en la Seafood Expo Global 2025, desarrollada en Fira Barcelona Gran

de participación en ferias internacionales. Un total de 26 empresas exportadoras integraron el pabellón bajo la marca EFCS, reafirmando el posicionamiento del país como el principal exportador de camarón a nivel mundial.

Durante la edición de 2025 en Barcelona, la CNA reforzó su mensaje institucional enfocado en tres pilares: sostenibilidad ambiental, trazabilidad productiva e innovación tecnológica. El gremio destacó que estos factores han sido determinantes para el reconocimiento del camarón ecuatoriano en los mercados internacionales.

María Fernanda Vilches,

“Lo que hace 10 años comenzó con la creación de una imagen para los pabellones, hoy en día es una marca que nos permite generar para nuestros miembros una plataforma que destaca su presencia en los eventos internacionales más importantes de la industria y, así mismo, al país, la oportunidad de promover el camarón ecuatoriano en todo el mundo”.

Este año se conmemora una década de la marca Ecuador First Class Shrimp, creada en 2015 por la Cámara Nacional de Acuacultura (CNA) y presentada por primera vez en la International Boston Seafood Show. Desde entonces, ha sido la imagen oficial del camarón ecuatoriano en ferias clave como European Seafood Show, Conxemar, China Fisheries & Seafood Expo, World Seafood Shanghai, Seafood Expo Asia y Gulfood.

La marca surgió como una herramienta de identidad sectorial para ganar visibilidad en mercados estratégicos. En la última década, la CNA ha gestionado su presencia

COYUNTURA

presencia en Seafood Expo Asia (Singapur) y multiplicó por cuatro el número de expositores nacionales en Conxemar.

Además de su participación en Europa, el camarón ecuatoriano también estuvo presente en la Seafood Expo North America 2025, celebrada en Boston. Este evento, considerado el más influyente del sector en Estados Unidos, congregó a productores, compradores y distribuidores de todo el continente, por lo que la presencia en esta feria fue considerada prioritaria para afianzar relaciones comerciales y explorar nuevas oportunidades de negocio.

“Hace una década presentamos por primera vez la imagen de Ecuador First Class Shrimp en este evento. Hoy, esa marca sigue siendo sinónimo de calidad, innovación y sostenibilidad. En esta edición, Ecuador demostró una vez más que no solo exporta camarón, sino un producto first class resultado de la excelencia y el compromiso de los productores camaroneros ecuatorianos”, reiteró María Fernanda Vilches.

La CNA indicó que la participación en ambas ferias formó parte del calendario anual de actividades internacionales del gremio. En 2025, el gremio mantendrá su presencia en otros eventos estratégicos como World Seafood Shanghai (China), Seafood Expo Asia (Singapur), Conxemar (España) y China

Fisheries & Seafood Expo. Todas estas ferias son utilizadas como plataformas para fortalecer el posicionamiento del camarón ecuatoriano, identificar nuevos nichos de mercado y dar seguimiento a relaciones comerciales ya establecidas.

La Cámara Nacional de Acuacultura coordina cada uno de estos eventos comerciales con apoyo técnico y logístico para sus miembros. Además, promueve la unificación de imagen del sector exportador mediante la marca EFCS, que en su décimo aniversario ha consolidado su rol como activo institucional del sector.

La industria camaronera de Ecuador es el principal generador de divisas no petroleras del país. El camarón se exporta a más de 60 destinos internacionales y cuenta con un modelo de producción que ha incorporado estándares de inocuidad alimentaria, certificaciones ambientales y trazabilidad desde la larvicultura hasta el producto terminado.

Con su presencia en las principales ferias de Europa y Estados Unidos, y con la conmemoración de 10 años de trayectoria de la marca sectorial Ecuador First Class Shrimp, la industria camaronera ecuatoriana continúa fortaleciendo su proyección internacional en un entorno comercial cada vez más competitivo•

Juan Loaiza

“El Ecuador es un país que tiene mucho que ofrecer y en realidad el camarón es nuestro producto estrella; es un orgullo poder representar esta industria”.

Andrés Pino – Expalsa: “Formar parte de Ecuador First Class Shirmp representa un orgullo enorme por poder llevar este producto a cada rincón del mundo”.
– Grupo Diosmar:

Através de una estrategia articulada por la Cámara Nacional de Acuacultura (CNA), con el respaldo del Servicio Integrado de Seguridad ECU 911, la Policía Nacional y el Ministerio de Defensa, se ha reforzado la protección en zonas productivas, rutas logísticas y espacios fluviales vitales para la industria acuícola, que sostiene más de 300 mil empleos directos e indirectos y se ha convertido en uno de los principales motores económicos del país.

Durante los primeros cuatro meses de 2025, Ecuador vivió una de sus etapas más desafiantes en materia de seguridad, con la intensificación de actos delictivos en zonas rurales y fluviales. Frente a este escenario, el sector camaronero fue enfático en exigir protección y las respuestas no tardaron en llegar. Desde enero hasta abril, se ejecutaron 2.347 operativos en zonas acuícolas y agropecuarias, que dejaron 1.522 personas detenidas, muchas de ellas por delitos como robo, extorsión, narcotráfico y porte ilegal de armas.

En estos operativos se logró impactar el núcleo de 25 grupos de delincuencia organizada (GDO), entre ellos, algunos de los más peligrosos del país: Los Choneros, Tiguerones, Lobos, Sao Box, Mafia 18, Águilas, Latin Kings, entre otros.

TECNOLOGÍA COMO ESCUDO

Uno de los avances más notables en esta estrategia conjunta es la implementación de un modelo de integración tecnológica que enlaza a las empresas camaroneras con el sistema nacional de videovigilancia del ECU 911.

Esta medida, basada en el Decreto Ejecutivo 214, permite el uso interoperable de plataformas públicas y privadas para fortalecer la capacidad de respuesta ante emergencias.

Durante una mesa técnica liderada por la Coordinadora Zonal 5-8 del ECU 911, Natalia Naranjo, se acordó ampliar la red de vigilancia en zonas camaroneras y sumar a más empresas a este sistema, incluso a aquellas que ya cuentan con consolas propias. La estrategia incluye además el uso combinado de GPS, radios de comunicación y aplicaciones móviles, conformando un verdadero “escudo digital” que protege a trabajadores, instalaciones y rutas logísticas.

Todo esto se logró gracias al acuerdo firmado entre la CNA y el ECU 911 para instalar cámaras de videovigilancia en zonas georreferenciadas como peligrosas. Al momento existen 4 cámaras operativas en el golfo de Guayaquil.

PATRULLAJES FLUVIALES: RESPUESTA DIRECTA A UNA AMENAZA CRECIENTE

La delincuencia también ha trasladado sus operaciones a los ríos y esteros. En respuesta a múltiples alertas emitidas por la CNA, el Ministerio de Defensa Nacional reforzó los patrullajes de la Fuerza Naval en zonas de alta vulnerabilidad como el golfo de Guayaquil y el archipiélago de Jambelí.

Solo en marzo, la Marina ejecutó 231 patrullajes, inspeccionó 339 embarcaciones y emitió cuatro citaciones por incumplimientos normativos. Estos controles buscan frenar las actividades ilícitas que afectan el transporte de camarón, como el cobro de “vacunas” por parte de bandas armadas, el robo de producto y la intimidación a pescadores y transportistas.

CANALES SEGUROS DE DENUNCIA

La CNA ha sido enfática: la denuncia oportuna y responsable es fundamental para enfrentar el crimen organizado. Por eso, ha difundido entre sus asociados y comunidades camaroneras los canales seguros disponibles:

•ECU 911: número para emergencias que requieren respuesta inmediata. Disponible 24/7.

•Línea 1800 DELITO (1800-335486): canal confidencial para denunciar delitos graves como extorsión, narcotráfico y secuestro.

•Formulario web de la Policía Nacional (www. policiaec.gob.ec):

útil para denuncias no urgentes.

•Fiscalía General del Estado: instancia formal para denuncias que requieran seguimiento judicial. También ofrece consulta en línea del estado de cada denuncia.

Sin embargo, uno de los mayores desafíos que persiste es el miedo a denunciar.

Más del 70% de las alertas reportadas diariamente por el sector camaronero están marcadas por la reserva y el temor a represalias, lo que limita la capacidad de reacción oportuna por parte de las autoridades. Esta situación evidencia la urgencia de fortalecer los canales de denuncia anónima, generar confianza institucional y blindar con mayor firmeza a quienes se atreven a romper el silencio. La protección al denunciante debe ser tan prioritaria como la respuesta operativa en el territorio.

La Cámara Nacional de Acuacultura (CNA) ratifica su compromiso con la **seguridad integral del sector**, promoviendo una articulación constante con las entidades del Estado, la implementación de soluciones tecnológicas avanzadas y la difusión de protocolos de actuación para casos de extorsión o amenazas. Su objetivo es claro: convertir a Ecuador no solo en líder por la calidad e inocuidad de su camarón, sino también por la **solidez de su modelo de protección sectorial**, basado en prevención, vigilancia y acción coordinada.

Porque detrás de cada libra exportada hay más que un producto: hay familias que trabajan con esfuerzo, comunidades que luchan por el desarrollo local y una nación que quiere construir su futuro desde el trabajo honesto y pacífico. Defender al sector camaronero es defender una historia de superación colectiva, un motor económico vital y un símbolo de lo que Ecuador puede lograr cuando une fuerzas frente a la adversidad.

ACCIONES GUBERNAMENTALES

1.Decretos Ejecutivos y Estado de Excepción: Se han emitido varios Decretos Ejecutivos que han permitido establecer estados de excepción focalizados en provincias con alta incidencia delictiva (Guayas, Esmeraldas, Manabí, El Oro, Santa Elena), habilitando toques de queda, patrullajes y controles especiales. Estas medidas han dado mayor movilidad y atribuciones a las Fuerzas Armadas y Policía Nacional para actuar con rapidez en zonas críticas.

2.Bloques de seguridad en zonas de conflicto: Se han conformado bloques integrados de seguridad entre Policía Nacional, Fuerzas Armadas, Inteligencia y Fiscalía, especialmente en zonas rurales, fluviales y costeras. Estas unidades ejecutan operativos como Tormenta, Tsunami, Resurgir y Apolo, que han logrado desarticular bandas, incautar armas, droga y detener a cientos de delincuentes.

3.Operativos de Alto Impacto: Se intensificaron los operativos policiales y militares simultáneos a nivel nacional con nombres clave como: Tsunami 5.0, Tormenta 28, Apolo 14, Resurgir 15 y Libertad 273. Solo entre marzo y abril se registraron 928 detenidos y más de 895 operativos.

4.Refuerzo de patrullajes fluviales: A petición de la Cámara Nacional de Acuacultura, el Ministerio de Defensa aumentó la presencia naval en el golfo de Guayaquil y archipiélago de Jambelí. En marzo, la Fuerza Naval realizó 231 patrullajes fluviales y 339 inspecciones de embarcaciones, reforzando el control en corredores logísticos usados por la industria camaronera.

Rutas fluviales y marítimas consideradas de alto riesgo:

Golfo de Guayaquil:

Especialmente los canales internos que conectan zonas de cultivo en isla Puná, Data de Posorja, Puerto El Morro y Puerto Hondo.

Además, sectores como El Palmar, Puerto Roma, Puerto La Boca han reportado reiteradas amenazas.

Archipiélago de Jambelí (El Oro):

Zonas de acceso a centros de producción en Puerto Bolívar, isla Costa Rica, isla Punaete, y Boca del Macho.

Alta presencia de grupos armados que exigen “vacunas” o amenazan embarcaciones.

Estuario del río Chone (Manabí):

Especialmente áreas cercanas a Bahía de Caráquez, donde se ha reportado robo de motores y producto camaronero en tránsito.

Zona fluvial del río Naranjal (Guayas):

Tramos hacia San Carlos, Tres Bocas e isla Guare. Canales interiores de Balao y Tenguel: Sectores entre Puerto Balao, isla Escalante, Los Helechos y Limones.

Rutas terrestres peligrosas para el transporte camaronero:

Vía Playas – Guayaquil (especialmente tramo Cerecita – Progreso): Robos a camiones de carga, especialmente en horas de la madrugada.

Vía Naranjal – Puerto Inca – Balao: Extorsiones en retenes ilegales y presencia de asaltantes.

Vía El Oro – Guayas (especialmente en el tramo Pasaje – Tenguel):

Zonas donde han ocurrido robos de producto en tránsito y ataques a custodios.

Vía Chone – Rocafuerte – Portoviejo (Manabí): Tramo crítico por presencia de bandas armadas que interceptan transportes de carga.

Red vial secundaria en Santa Elena: Conexiones internas hacia zonas de cultivo en Anconcito y Chanduy, con registros de intimidación a trabajadores.

Pamela Nath Directora

En los primeros días de formación de Sustainable Shrimp Partnership (SSP), hubo un momento de reflexión que definió un criterio fundamental para nuestra iniciativa. Durante una reunión con nuestro consejo asesor —formado por World Wildlife Fund (WWF), IDH The Sustainable Trade Initiative y Aquaculture Stewardship Council (ASC)—, discutíamos los puntos clave que debíamos abordar para asegurar la producción a largo plazo. El eje central de nuestra conversación se basó en el mantenimiento del medio natural en el que se desarrolla el camarón. “Si el agua y el suelo son el sustento de nuestra operación, ¿cómo podemos garantizar su preservación?”.

Esta pregunta se repitió una y otra vez. Sabíamos que la acuicultura en suelos empobrecidos no sostendría la calidad de agua ni la viabilidad de la producción. También comprendíamos que el agua que utilizamos en nuestras operaciones es la misma que mantiene los ecosistemas que nos rodean.

Reflexionamos y asumimos la responsabilidad que teníamos en nuestras manos: debíamos mantener su calidad o incluso mejorarla al momento de devolverla. Así, en SSP adoptamos un criterio de impacto neutro en el agua. Implementamos un proceso de análisis detallado del líquido en cada ciclo de producción, donde monitoreamos su calidad a la entrada y a la salida de nuestros sistemas acuícolas, garantizando que, después de su uso, regrese al entorno en condiciones óptimas. Hoy más que nunca, estamos convencidos de la importancia de mantener el ecosistema en equilibrio, promover la innovación del sector para garantizar la vida de los suelos y el desarrollo de organismos reguladores de la calidad del agua; establecer medidas preventivas a partir de una línea base y el constante monitoreo de factores que podrían alterar las condiciones para el desarrollo de la vida acuática.

A lo largo de este artículo, compartimos la experiencia y perspectiva de expertos en el tema quienes participaron con sus ponencias en el programa de educación para el desarrollo sostenible de la industria camaronera, SustainED.

Gestión de agua y suelo: ciencia en el proceso, conciencia en el resultado

Autores: Pamela Nath

Sally Tabares

Sustainable Shrimp Partnership (SSP) pnath@sustainableshrimp.org

La gestión del agua y el suelo son fundamentales para la producción de camarón, ya que son el medio en el que se desarrolla esta actividad. Sin embargo, estos dos recursos naturales a veces se dan por sentados y no se consideran al iniciar un nuevo ciclo. En ocasiones, se gestionan de manera rutinaria sin analizar debidamente cómo afectan las reacciones entre los factores químicos, biológicos y naturales de estos recursos, importantes para la toma de decisiones acertadas y la obtención de una mayor eficiencia en la producción a largo plazo.

“El agua no solo es el medio donde el camarón come, respira y se desarrolla, sino también el reflejo de las decisiones que se toman durante su manejo. Una mala calidad de agua con toda seguridad tendrá una mala producción. Por lo tanto, controlar, monitorear y mantener la calidad de la misma dentro de los rangos óptimos son técnicas clave para mejorar la eficiencia en la producción de camarón. Estas prácticas aseguran un ambiente adecuado, permitiendo que el camarón alcance su máximo potencial de crecimiento y calidad”, explicó el asesor técnico de Sustainable Shrimp Partnership (SSP), Leonardo Maridueña.

El suelo, al igual que el agua, también es importante para la sostenibilidad de la producción de camarón. Según la especialista sanitaria de Vitapro, Andressa Vieira de Moraes, el camarón está en constante contacto con el suelo, donde realiza actividades como excavar, alimentarse y enterrarse durante sus mudas. Este recurso, como resaltó la experta en su intervención en el programa SustainED, no solo es un soporte físico para las piscinas, sino un ambiente vivo donde las interacciones que se generan pueden favorecer o perjudicar su calidad.

A pesar de la importancia del agua y el suelo, en la gestión diaria de la producción de camarón, a veces se olvida que estos dos recursos no actúan de manera aislada. “En los estanques de acuicultura están en constante y mutua interacción, y la calidad de uno puede afectar la del otro. En general, una mala calidad del suelo derivará eventualmente en problemas de calidad del agua. A su vez, una mala calidad del agua puede alterar la dinámica microbiana del

suelo y sus rutas metabólicas, afectando negativamente las formas químicas y los procesos de descomposición orgánica en el fondo del estanque”, expresó el experto técnico global en cultivo de camarón de Inve Aquaculture, Marcos Santos.

Monitoreo de la calidad de agua Maridueña añadió que para que el camarón se desarrolle de manera adecuada, es importante replicar las características con las que el animal silvestre se desenvuelve en su entorno natural. “Debemos considerar que el camarón se desarrolla en ecosistemas costeros, especialmente en zonas de transición entre agua dulce y salada. Por lo general, se encuentran en el fondo del cuerpo de agua, caracterizado por ser sustratos fangosos o arenosos, donde pueden enterrarse y encontrar alimento”, explica.

Los parámetros físico-químicos en los que se desarrollan van desde una temperatura de 24 a 30 grados centígrados; una turbidez de baja a media, que favorezca la disponibilidad de alimento; su nivel de tolerancia en cuanto a la salinidad va entre 5 y 35 ppt; deben tener disponibilidad de oxígeno disuelto en el agua superior a 4 mg/l; y un pH entre 7.5 y 8.5. “Cualquier factor externo que modifique estas circunstancias compromete el crecimiento y desarrollo del camarón,

y debe ser monitoreado. Estos factores pueden ser agentes físicos y químicos, que por sus reacciones o por su toxicidad, alteren los rangos óptimos para la producción de camarón. Otra causa que puede afectar tanto a los compuestos químicos como a los rangos óptimos es la presencia de microorganismos que hacen uso de estos elementos, que se alteran y dan paso a la proliferación de virus, bacterias y patógenos”, añadió el experto.

La directora ejecutiva de la CNA, Yahira Piedrahita, destacó durante SustainED que muchas camaroneras obtienen agua de las cuencas más grandes del país, que se puede ver afectada por los efluentes de otras actividades. Por eso, es crucial que los productores realicen un levantamiento detallado de la información sobre el área de influencia directa e indirecta, para identificar posibles agentes externos que puedan afectar la calidad del agua en las camaroneras, lo que permite tomar medidas preventivas para asegurar la salud y el bienestar de los camarones.

¿Cómo influye la calidad del suelo en la calidad del agua?

Como explicó la especialista Andressa Vieira de Moraes, el suelo es un lugar donde ocurren reacciones químicas con compuestos como oxígeno, calcio, magnesio, potasio, silicio, fósforo, nitrógeno, metales, entre otros.

Además, el suelo tiene un microbioma que se encarga de la regulación de la materia orgánica.

Durante SustainED, el profesor de la Universidad de Auburn, John Hargreaves, explicó que el suelo acuático está compuesto por diversas capas, cada una con reacciones químicas particulares. En la capa superficial, el oxígeno actúa como una barrera, evitando que estas sustancias se liberen hacia la columna de agua. Si esta capa de oxígeno se agota, los elementos presentes en el sedimento, como el amoníaco y el fósforo, pueden difundirse hacia el líquido, afectando negativamente su calidad y evitando que se realice el proceso de reducción de oxígeno. Por otro lado, en las capas más profundas, específicamente en los poros del sedimento, el agua contiene compuestos como amoníaco, fósforo disuelto y hierro, y se llevan a cabo procesos como la reducción de nitratos, manganeso y hierro.

La gestión de la materia orgánica en el suelo también es un desafío. Vieira de Moraes explicó que si no se maneja correctamente, el exceso de materia orgánica puede consumir el oxígeno del mismo, creando zonas anóxicas y suelos negros, lo que altera las reacciones químicas y el microbioma que está debajo, y favorece la formación de gases tóxicos como sulfuros y metano. Además,

SOSTENIBILIDAD

estas zonas anóxicas crean las condiciones perfectas para la proliferación de Vibrios, microorganismos presentes de forma natural en el medio.

¿Qué otros factores podrían ocasionar el desequilibrio del medio de producción?

La Organización de las Naciones Unidas (ONU) ha alertado que los efectos del cambio climático cada vez son más evidentes y sus consecuencias se ven reflejadas en el aumento de la temperatura, eventos climáticos extremos, como las sequías, inundaciones y lluvias más fuertes, así como el aumento del nivel del mar. Además, ha advertido que este fenómeno y sus variaciones amenazan la producción de alimentos, con un alcance global sin precedentes.

En Ecuador, debido a su ubicación geográfica, se presentan dos estaciones bien definidas: la seca y la lluviosa. Sin embargo, según el Instituto Nacional de Meteorología e Hidrología (Inamhi), estas estaciones están experimentando alteraciones drásticas, como cambios en la precipitación y temperatura mensual previstas, lo que afecta las concentraciones ideales de los parámetros del agua.

La gerente técnica de salud para Latinoamérica de Skretting, Diva Almada, expresó durante SustainED que “debemos prepararnos para manejar los cambios de estos años ‘atípicos’ en la gestión de nuestros sistemas, porque el tiempo ya no es tan predecible y nos trae problemas”. Las fluctuaciones abruptas causan estrés en los animales, haciéndolos más vulnerables a virus y patógenos presentes en el agua, sin brindarles tiempo para adaptarse. A medida que las variables del entorno se intensifican, también aumenta el riesgo de mortalidad en los camarones, explicó.

La clave, concluyó la experta, está en el monitoreo constante de las condiciones actuales y el uso de modelos predictivos para enfrentar los desafíos del cambio climático.

Gestión estratégica del agua y del suelo

El asesor técnico de SSP comentó que, para gestionar adecuadamente el agua y el suelo en una finca camaronera, es importante considerar factores que podemos

controlar y factores incontrolables. Entre los factores controlables están el oxígeno disuelto, la acumulación de materia orgánica, la presencia de metales pesados y los microorganismos. Por otro lado, la temperatura, la salinidad y las propiedades del suelo son más difíciles de controlar o directamente imposibles. Considerar estos factores como limitantes permitirá tomar decisiones informadas, desarrollar estrategias efectivas e implementar nuevas tecnologías que mejoren la eficiencia en la producción.

“Al igual que no debemos considerar un solo factor para evaluar la calidad del suelo y del agua, tampoco podemos limitar nuestra gestión a una única metodología o técnica. Es necesario aplicar diversas estrategias de manera holística, para replicar el entorno natural del camarón y garantizar su bienestar y desarrollo”, añade.

Aireación

En una entrevista, el director comercial y de proyecto en GPS Group, Alberto Barriga, abordó el uso de aireadores para mantener una buena calidad del agua y suelo.

P. ¿Cuáles son los beneficios directos que un productor de camarón puede esperar al implementar aireadores en sus fincas?

R. Cuando se habla de administrar una finca de producción de camarón de manera rentable, dos de los mayores obstáculos son la tasa de crecimiento y la sobrevivencia; si bien existen muchas causas posibles para cada uno de estos desafíos, la calidad del agua y suelo desempeñan un papel fundamental.

El contenido de oxígeno disuelto en el agua de las piscinas de camarón es uno de los parámetros más importantes que afectan la calidad del agua y suelo, ya que sus niveles adecuados regulan los procesos bioquímicos dentro del estanque para mantener la salubridad dentro de las piscinas.

La baja concentración de oxígeno disuelto en las piscinas (anoxia) es reconocida como una de las principales causas de estrés,

reduce las actividades de alimentación que se traducen en altos factores de conversión alimenticia, enfermedades, e incluso provocar la mortalidad masiva de poblaciones de camarones.

El cultivo de camarón ha pasado gradualmente de ser un modelo extensivo de baja densidad a convertirse en un modelo semi-intensivo que incorpora tecnología como alimentadores automáticos y aireadores, que tienen como finalidad incrementar la cantidad de oxígeno disuelto en el agua para sostener los niveles de productividad sin afectar la calidad del líquido y los suelos.

Control inteligente

El control inteligente del agua es otra estrategia que se abordó durante SustainED. De acuerdo con la directora de investigación y desarrollo en BioMar Ecuador, Laurence Massaut, este se refiere a sistemas basados en tecnologías como la inteligencia artificial, el análisis de datos, redes neuronales, entre otros, que permiten gestionar procesos o controlar parámetros específicos de interés de manera más eficiente. “A diferencia de los sistemas tradicionales de control, que siguen reglas predefinidas, los sistemas inteligentes son capaces de aprender, identificar patrones o tendencias, adaptarse a cambios y optimizar el rendimiento”, explicó.

Estos sistemas integran hardware, como sensores de temperatura, cámaras o hidrófonos para recopilar datos del entorno; así como software que usa algoritmos, redes neuronales, inteligencia artificial, entre otros, para analizar los datos recopilados, y también actuadores, que ejecutan acciones físicas según las señales emitidas por el sistema, como encender equipos, abrir válvulas o ajustar procesos.

Entre los principales beneficios de este enfoque, Massaut destacó la automatización de los procesos, lo que permite reducir la intervención manual y mejorar la eficiencia de los cultivos. Además, los sistemas inteligentes son capaces de adaptarse a condiciones cambiantes, lo que contribuye a una mayor flexibilidad y precisión. “El control inteligente mejora no solo la calidad del producto final, sino que también optimiza el uso de recursos y reduce el impacto ambiental”, señaló la experta.

Otro beneficio clave es la recopilación de datos que, según Massaut, permite a los productores tomar decisiones informadas a largo plazo. “Contar con datos digitales disponibles en tiempo real facilita la evaluación de los procesos y la toma de decisiones estratégicas”, explicó.

Alimentadores automáticos

Un ejemplo de control inteligente dentro de los cultivos de camarón son los sistemas de alimentación automática con retroalimentación acústica.

Massaut indica que estos sistemas funcionan con sensores, como el hidrófono, que capta los sonidos de la masticación del camarón y proporciona información sobre el comportamiento alimenticio en la piscina. Esta información es procesada por un controlador, que ajusta la cantidad de alimento entregado por el alimentador automático según las condiciones detectadas en el agua.

Además de mejorar el crecimiento de los camarones y reducir el factor de conversión alimenticia, estos sistemas también contribuyen a una mayor eficiencia en el cultivo y ayudan a mejorar la calidad del agua. Algunos sistemas también incorporan sondas ambientales que miden parámetros como oxígeno y temperatura en tiempo real, lo que permite ajustar la alimentación en función de las condiciones del agua. Además, algunos sistemas automatizan el encendido y apagado de los aireadores para optimizar las condiciones del cultivo y mejorar la eficiencia global del proceso.

Biorremediación

Otra de las técnicas que contribuyen a la calidad del entorno es la biorremediación. En una entrevista, el experto técnico global en cultivo de camarón de Inve Aquaculture, Marcos Santos, profundizó en este tema.

P. ¿Qué son los biorremediadores y cuál es su objetivo principal: mejorar la calidad del agua o del suelo?

R. En acuicultura, podemos definir brevemente a los biorremediadores como mezclas de microorganismos utilizados para promover el control de ciertos contaminantes presentes en el entorno del estanque donde

se cultivan especies acuáticas, contribuyendo a un ambiente más equilibrado y propicio para el desarrollo de los animales. El agua y el suelo en los estanques de acuicultura están en constante y mutua interacción, y la calidad de uno puede afectar la del otro. Debido a esto, tanto la biorremediación del agua como la del suelo son necesarias para lograr un ambiente equilibrado.

P. ¿Por qué es importante el uso de biorremediadores en la producción de camarón?

R. Los camarones respiran, excretan y se alimentan en el mismo entorno en el que viven, liberando compuestos químicos orgánicos e inorgánicos y subproductos derivados de sus procesos fisiológicos. Además, el entorno del estanque recibe múltiples aportes orgánicos provenientes del agua de abastecimiento, del manejo del alimento y de los propios animales cultivados. Esto genera residuos como restos de alimento y de pienso, agregados bacterianos, fitoplancton muerto, heces, excreciones, mudas y animales muertos.

La acumulación de esta carga orgánica en el fondo del estanque provoca acidificación del sedimento y acumulación de compuestos químicos tóxicos (por ejemplo: nitrógeno amoniacal total –TAN– y sulfuro de hidrógeno), lo que puede afectar crónica o agudamente la fisiología y el comportamiento del camarón, reduciendo su desempeño o incluso provocando mortalidad.

Para controlar estos procesos y crear un ambiente equilibrado, se emplean biorremediadores de forma sistemática en los estanques, con el fin de evitar estos efectos perjudiciales. La biorremediación puede contribuir a recuperar el equilibrio del ecosistema del estanque mediante la aplicación de microorganismos seleccionados y eficientes, como cepas del género Bacillus, entre otros.

Los beneficios de la biorremediación se traducen en una mejora de la calidad del estanque, mediante el control del amonio, nitratos, fosfatos, materia orgánica y producción de sulfuro de hidrógeno, lo que resulta en una mayor estabilidad del ecosistema y animales más sanos.

P. Si se presenta una enfermedad en la piscina, ¿los biorremediadores pueden ayudar a tratarla?

R. Los biorremediadores no son capaces de tratar enfermedades una vez que estas se presentan en el estanque de camarón. No se trata de una herramienta terapéutica ni de un tratamiento curativo; por lo tanto, su uso en estos casos no será suficiente ni efectivo. Su aplicación debe restringirse a un enfoque preventivo. Tampoco deben utilizarse como tratamiento del agua previo a su disposición o descarga.

Los beneficios de la biorremediación solo pueden cosecharse cuando su uso es prolongado y sistemático como parte de un manejo semanal del estanque, no en aplicaciones puntuales o esporádicas.

Sin embargo, los biorremediadores forman parte de un enfoque holístico en el manejo del control de la carga de Vibrio en los estanques de camarón. Representan una herramienta preventiva clave para reducir los riesgos productivos asociados a la presencia de estos microorganismos.

El control de la materia orgánica a través del uso de biorremediadores reduce la disponibilidad de sustrato para el desarrollo de Vibrio en el fondo del estanque, al mismo tiempo que promueve una mejor calidad del agua y del suelo.

Una nueva metodología de análisis de suelos La especialista Vieira de Moraes revela que existe una nueva metodología de análisis de suelos que permite comprender con precisión su composición y biodisponibilidad. Se trata de la fluorescencia de rayos X, una técnica que cuantifica todos los elementos de la tabla periódica (excepto los gases) y mide su biodisponibilidad. A diferencia de las técnicas tradicionales, que solo analizan materia orgánica y carbono, esta metodología ofrece información detallada sobre qué elementos están disponibles o afectan la producción del camarón.

De acuerdo con la experta, este análisis permite detectar excesos de elementos en el suelo, identificar problemas que impactan el ciclo del cultivo y tomar medidas correctivas. Además, el análisis ayuda a identificar tanto excesos como déficit de elementos, lo que

facilita la aplicación de insumos específicos y optimiza los recursos.

Sostenibilidad, compromiso con el futuro “La sostenibilidad en la acuicultura no es una opción, sino una necesidad para preservar nuestros ecosistemas y garantizar una producción responsable que perdure. En SSP, estamos comprometidos con la innovación y la adopción de prácticas que optimicen los recursos y regeneren el entorno. Cada decisión, desde la gestión del agua hasta la salud del suelo, forma parte de un proceso continuo de mejora y adaptación. Nos enorgullece compartir los avances que la industria camaronera en Ecuador está implementando e invitamos a todos a unirse a esta carrera hacia la cima”, concluyó la directora de SSP, Pamela Nath.

Para más información sobre este artículo, contactar a: pnath@sustainableshrimp.org

ARTÍCULOS TÉCNICOS ÍNDICE

Edición 164 - Abril 2025

Estado metabólico e inmunológico del camarón blanco del Pacífico Penaeus vannamei en relación con las condiciones de cultivo

Microcistinas: ¿el enemigo silencioso en la producción de camarón?

Gestión de la calidad del agua en la acuicultura

Metabisulfito de sodio: Innovación para conservar la calidad del camarón

La acuicultura del Ecuador y su compromiso con los objetivos de desarrollo sostenible

Estado metabólico e inmunológico del camarón blanco del Pacífico Penaeus vannamei en relación con las condiciones de cultivo

Autores:

Juan Pablo Apún-Molina1

Arlett Robles-Romo2

Takeo Matsumoto3 & Ilie S. Racotta2

1Centro Interdisciplinario de Investigación para el Desarrollo Integral Regional Unidad Sinaloa, Instituto Politécnico Nacional, Guasave, Sinaloa, México

2Centro de Investigaciones Biológicas del Noroeste Instituto Politécnico Nacional, La Paz, B.C.S., México

3Servicios Acuícolas Profesionales S.A. de C.V., Culiacán, Sinaloa, México

iracotta@cibnor.mx

El camarón blanco del Pacífico (Penaeus vannamei) es la especie dominante cultivada en todo el mundo. Sin embargo, esta actividad generalmente se ha enfrentado a amenazas de patógenos, en particular de virus como el del Síndrome de la Mancha Blanca (WSSV) y, más recientemente, enfermedades bacterianas como la Necrosis Hepatopancreática Aguda (AHPND) (Martínez-Córdova et al. 2016, Cornejo-Granados et al. 2017). El cultivo de camarón en altas densidades representa una clara ventaja en términos de rendimiento. Sin embargo, los primeros estudios indicaron que las altas densidades de siembra resultan en una menor supervivencia del crecimiento, mala calidad del agua y la aparición de brotes de patógenos (Allan y Maguire 1992). Varios resultados negativos del cultivo superintensivo de camarón han sido anulados por nuevas tecnologías como los bioflocs y los sistemas de recirculación (RAS) (para revisión del tema, consulte Emerenciano et al. 2022). Sin embargo, poco se sabe sobre el estrés que implica una alta densidad de siembra y su influencia en el estado inmunológico y metabólico del camarón y su resistencia a patógenos (Aguilar et al. 2012, Apún-Molina et al. 2017, Guemez-Sorhouet et al. 2019, Baladrat et al. 2022).

Es bien conocido que el estrés ambiental, caracterizado principalmente por cambios en las variables fisicoquímicas, disminuye la capacidad de respuesta inmune (para revisiones, ver Millard et al. 2021, Mengal et al. 2023). Sin embargo, el estrés físico inducido por el manejo no afecta dicha capacidad en una situación crónica (Mercier et al. 2006). En contraste, a corto plazo, el manejo mejora esta capacidad en cuanto al conteo total de hemocitos y la producción de anión superóxido (Mercier et al. 2009). Las situaciones de estrés se detectan típicamente en camarones peneidos y otros animales a partir de diferentes indicadores metabólicos que se ajustan a la respuesta fisiológica al estrés. Por ejemplo, la glucosa y el lactato aumentaron en respuesta a procedimientos de manipulación como el muestreo repetido (Racotta & Palacios, 1998) o la persecución, lo que lleva a una respuesta de escape (Yu et al. 2009, Robles-Romo et al. 2016). De manera similar, varias situaciones de estrés

químico o ambiental también se caracterizan por un aumento de la glucosa y el lactato en la hemolinfa, como son los casos de exposición a formalina (Van Ham & Hall, 1998), exposición a amoníaco (Racotta & Hernández-Herrera, 2000; Mugnier & Justou, 2004), inmersión o hipoxia (Van Ham & Hall, 1998; Racotta et al. 2002).

En el contexto de la energía disponible de un organismo para realizar las funciones biológicas, la respuesta al estrés representa una reasignación de energía de procesos como el crecimiento y la reproducción para mantener la homeostasis energética (Sokolova et al. 2012). A nivel celular, un estado bioenergético estable implica un equilibrio entre la síntesis y degradación de ATP (Atkinson, 1968). Así, el concepto de carga energética adenilada (AEC) es una herramienta útil que indica la relación entre la energía “cargada” (ATP) y el total de nucleótidos adenilada. Si bien la AEC debe ser regulada a nivel celular, sus niveles varían en respuesta a choques externos e internos; por ello, se ha considerado como un indicador del “bienestar” de un organismo, así como una herramienta de diagnóstico sobre la capacidad de respuesta del cuerpo a los cambios ambientales (Ivanovici, 1980). Por lo tanto, la determinación de la AEC, junto con los niveles de fosfágenos como el fosfato de arginina (ArgP), como fuente inmediata de energía para el ATP, se han utilizado para múltiples aplicaciones en invertebrados acuáticos, como la ecotoxicología, la acuicultura y la pesca.

Este trabajo tiene como objetivo obtener información sobre los flujos de energía en camarones directamente en condiciones de cultivo, incluyendo dos condiciones probables de estrés: alta densidad y temperatura (estación del año). Desafortunadamente, una incidencia inesperada del WSSV ocurrió en una granja. Sin embargo, decidimos mantener el muestreo y obtener más data de esta granja ya que agrega otro estresor (biológico): una enfermedad resultante de un patógeno común. Finalmente, también se analizó el efecto del estrés agudo de manejo/muestreo para algunos indicadores típicamente afectados por el estrés para evaluar si las diferentes condiciones de cultivo podrían afectar las características de la respuesta a corto plazo. Por lo tanto, el

muestreo tuvo como objetivo establecer una línea base como referencia de indicadores fisiológicos del estado de salud y la magnitud de la respuesta al estrés inducida por la captura de camarones en diferentes condiciones de engorde.

Materiales y métodos

Diseño de muestreo

Se seleccionaron tres camaroneras para este estudio para considerar diferentes sistemas de cultivo en la producción comercial de camarón, principalmente basados en diferencias de densidad de siembra y tecnología biofloc (Tabla 1). Desafortunadamente, en la granja extensiva se presentó un brote del WSSV, como se observó por signos externos y se confirmó por PCR (Apún-Molina et al. 2017). Sin embargo, decidimos mantener esta granja con el muestreo y análisis correspondiente, ya que el WSSV probablemente afectará las respuestas del camarón, agregando otro componente a la comparación.

Los camarones fueron muestreados directamente de los estanques para todas las fechas de muestreo (Tabla 1), considerando dos grupos de organismos para cada combinación de fecha de muestreo-granja. El grupo base buscó minimizar el muestreo por estrés: los camarones fueron capturados de la bandeja de alimentación en menos de 1 min para evitar cualquier respuesta de estrés que generalmente demora varios minutos (Aparicio-Simon et al. 2010; RoblesRomo et al. 2014).

En el grupo de estrés, los camarones fueron capturados con atarraya y mantenidos en un contenedor plástico de 60 L con agua sin aireación durante 20 min. Se tomaron muestras de cada camarón, simulando la biometría de rutina. Además del manejo y hacinamiento, los camarones fueron expuestos a estrés hipóxico, alcanzando niveles de 0.5 mg L-1

Se determinó la composición bioquímica de la hemolinfa, músculo y hepatopáncreas en ambos grupos (línea base y estrés) para evaluar si existía una respuesta de estrés diferencial dependiendo de la condición de cultivo, ya que previamente se había caracterizado una clara respuesta de estrés de algunas de las variables medidas, como los niveles de glucosa y lactato en hemolinfa (Racotta & Palacios, 1998; Mercier et al. 2006; Aparicio-Simón et al. 2010). Sin embargo, las respuestas inmunes y el estado bioenergético se analizaron solo en el grupo de referencia.

Se tomaron dos muestras a lo largo del ciclo de producción para las camaroneras intensivas y semi-intensivas. En contraste, fue posible un muestreo para la camaronera extensiva debido a un brote del WSSV que causó mortalidades masivas posteriormente. Por lo tanto, se analizaron tres tipos de respuestas para cada combinación granjafecha de muestreo: i) composición bioquímica de hemolinfa, hepatopáncreas y músculo, ii) variables inmunológicas en hemolinfa y iii) carga energética en músculo.

Toma de muestras y análisis bioquímicos Los dos grupos de camarones (línea base y estrés) se consideraron solo para dichos análisis (n = 15 camarones para cada combinación grupo-granja-fecha de muestreo). La hemolinfa (aproximadamente 400 μL) se recolectó del seno ventral en la base del primer segmento abdominal utilizando una jeringa de 1 mL enjuagada con oxalato de potasio al 5% en solución anticoagulante enfriada con solución salina isotónica (Racotta & Hernández-Herrera, 2000). Después de la toma de muestras de hemolinfa, los camarones se pesaron, se congelaron en nitrógeno líquido y se almacenaron a -70 °C para su posterior análisis tisular. La hemolinfa se centrifugó a 1350 g durante 10 min a 4 °C; el plasma se separó de las células precipitadas para los análisis bioquímicos.

Tabla 1. Muestreo de camarón en camaroneras. El cultivo intensivo se realizó con tecnología biofloc. WSSV: virus del Síndrome de la Mancha Blanca.

Para la determinación de hemocianina, las muestras de hemolinfa se diluyeron 1:20 con solución salina isotónica, se registró la absorbancia a 335 nm y la concentración se calculó utilizando un coeficiente de extinción de E1% = 2.83 para la hemocianina del camarón (Hagerman 1983). El plasma se diluyó 1:100 con solución salina isotónica para la determinación de proteínas, según Bradford (1976), utilizando un reactivo cromógeno comercial (Bio-Rad) y albúmina sérica bovina (Sigma) como estándar.

Se utilizaron kits comerciales para determinar la glucosa (GOD-PAP, Randox), lactato (PAP, Randox) y triglicéridos (GPO-PAP, Randox). Los métodos se adaptaron a una microplaca, utilizando 20 μL de plasma y 200 μL de reactivo cromógeno enzimático (Palacios et al. 2000). La absorbancia se registró a 490 nm para triglicéridos y glucosa y a 540 nm para lactato en un lector de microplacas, y las concentraciones se calcularon a partir de una solución de sustrato estándar.

El hepatopáncreas y el músculo del primer segmento abdominal se disecaron del camarón congelado; una muestra (~100 mg) de cada tejido se homogeneizó en 5 mL de ácido tricloroacético (TCA) al 10% frío. Los homogeneizados se centrifugaron a 3000 g a 5 °C durante 15 min, y el sobrenadante desproteinizado resultante se utilizó para determinar el glucógeno mediante la reacción colorimétrica de antrona (Van Handel 1965) y el lactato mediante el mismo kit que para el plasma. Otra muestra (~100 mg) se liofilizó, rehidrató y homogeneizó en solución salina para determinar las proteínas totales según Bradford (1976) y los triglicéridos mediante el mismo kit que para el plasma. Los triglicéridos totales no se determinaron en el músculo debido a la falta de sensibilidad de estas técnicas en este tejido.

Análisis inmunológicos

Para estos análisis, se consideraron únicamente camarones no estresados (grupo base) (10 por granja para cada fecha de muestreo de granja). Se recolectaron cien microlitros de hemolinfa del seno ventral utilizando oxalato como anticoagulante para el recuento de hemocitos. En contraste, se recolectó una segunda muestra de hemolinfa sin anticoagulante de la cavidad pericárdica para determinar el tiempo de coagulación.

Para esto, se colocó inmediatamente una gota de hemolinfa en un portaobjetos de vidrio limpio y se inclinó ligeramente en varias direcciones sobre el portaobjetos hasta coagular, registrando el tiempo transcurrido. De la primera muestra, se diluyeron 50 μL de hemolinfa (1:5, v/v) en una solución de formaldehído al 4% en solución salina isotónica, y se determinó el recuento total de hemocitos (THC) con un hematocitómetro en dos réplicas para cada muestra (Mercier et al. 2006).

Análisis de carga energética

Los camarones utilizados para estos análisis (10 por fecha de muestreo de granja, solo camarones no estresados) se sumergieron inmediatamente en nitrógeno líquido y luego se almacenaron a -80 °C para un posterior análisis de nucleótidos adenílicos y fosfato de arginina (ArgP) como se describió previamente (Robles-Romo et al. 2014, Apún-Molina et al. 2017). El músculo del primer y segundo segmento abdominal y todo el hepatopáncreas se pulverizaron en condiciones criogénicas (nitrógeno líquido) en un mezclador de bolas (MM400, Retsch, Haan, Alemania) durante 2 minutos a una frecuencia de 25 s-1. El polvo congelado (~150 mg) se homogeneizó en 1.5 mL de TCA frío con un homogeneizador mecánico de rotor/estator (modelo Tempest IQ2, VirsTis Company) en condiciones de frío-hielo. El extracto crudo obtenido se centrifugó a 3000 g durante 10 min a 4 °C, y el sobrenadante resultante se neutralizó con diclorometano en una proporción 1:2.6. De esta manera se obtuvo un sistema de dos fases, en el que la fase acuosa superior contenía nucleótidos a pH neutro.

Los nucleótidos se separaron mediante un sistema de cromatografía líquida de alta resolución de fase reversa de apareamiento iónico (modelo 1100, Agilent Technologies, Santa Clara, CA) con una columna de octadecilsilano (ODS) C18 (Hyper Clone 150 mm de largo, 4.6 mm de ancho, diámetro de partícula de 3 μm, Phenomenex, Torrance, CA), con un cartucho de protección de seguridad C18 (40 mm de largo, 3.0 mm de ancho, Phenomenex). La separación de nucleótidos se realizó en condiciones isocráticas, utilizando una fase móvil de tampón de 0.15 M de NaH2PO4, 3 mM de tetrabutilamonio como agente de

apareamiento iónico, metanol al 8%, ajustado a pH 6.0 con 0.1 N de NaOH. El cromatógrafo se hizo funcionar a un caudal de 0.8 mL min1 y, en estas condiciones, la separación de nucleótidos se completó en menos de 20 min. Los nucleótidos se detectaron a 254 nm (detector Agilent acoplado al sistema HPLC). La identificación y los cálculos de concentración de nucleótidos se realizaron con estándares de ATP, ADP y AMP (todos de Sigma, St. Louis, MO).

También se analizó ArgP en muestras del mismo extracto utilizado para el análisis de nucleótidos por HPLC, según Viant et al. (2001), utilizando una columna Sphere Clone NH2 de fase inversa (250 mm de longitud, 4.6 mm de ancho, diámetro de partícula de 5 μm, Phenomenex) equipada con un cartucho de seguridad NH2 (40 mm de longitud, 3 mm de ancho, Phenomenex). Los cálculos de identificación y concentración de ArgP se realizaron con un estándar de ArgP purificado (Santa Cruz Biotechnology, Santa Cruz, CA). Todos los solventes utilizados para el análisis de HPLC se prepararon utilizando reactivo HPLC de grado comercial y agua desionizada y luego se filtraron utilizando una membrana de nailon de 0.45 μm. Los datos se presentan como μmol g-1 de tejido (peso húmedo).

Análisis estadístico

Se verificó la normalidad y homogeneidad de las variables mediante las pruebas de Shapiro-Wilk y Levene. Cuando una de estas condiciones no se cumplía, la data se transformó en logaritmos y se analizó nuevamente. Se utilizó un ANOVA de dos vías para la composición bioquímica con el fin de evaluar los efectos principales e interactivos del sistema de cultivo y el estrés por manejo. Cuando la interacción entre ambos factores fue significativa, se utilizó una prueba de Newman-Keuls para comparaciones de medias individuales; de lo contrario, cuando solo uno o ambos efectos principales eran significativos, las medias globales dentro de cada factor se mencionan en el texto para indicar la influencia particular de la densidad y la exposición al WSSV. Para las variables inmunológicas y bioenergéticas, se utilizó un ANOVA de una vía para evaluar los efectos del sistema de cultivo sobre los valores basales de camarones no estresados. Todos los análisis se realizaron utilizando Statistica 8.0 (StatSoft, Tulsa, OK). La data se reporta

como media ± desviación estándar y las diferencias se reportaron como significativas si P < 0.05.

Resultados

Variables metabólicas analizadas en la hemolinfa

Se observó un efecto significativo de las condiciones de la granja para la proteína total en la hemolinfa. Se obtuvieron niveles significativamente más altos (P < 0.05) en los camarones muestreados en julio en la granja semi-intensiva (media global de los grupos basal y de estrés: 132.6mg mL-1), mientras que los valores más bajos se observaron en septiembre en la misma granja semiintensiva y el segundo muestreo de la granja intensiva en noviembre (93.4 y 91.7 mg mL-1, respectivamente). No se observó un efecto significativo (P < 0.05) de las condiciones de estrés para el manejo y el hacinamiento en ninguna de las granjas (Fig. 1a). De manera similar, la concentración de hemocianina en la hemolinfa también fue significativamente mayor (P < 0.05) en los camarones de la granja semi-intensiva en julio (media global 90.1 mg mL-1). En este caso, los valores más bajos se observaron para una granja extensiva con incidencia del WSSV (38.5 mg mL-1) (Fig. 1b).

El nivel de glucosa aumentó significativamente en los camarones después del estrés por manejo. Sin embargo, como lo muestra la interacción, este aumento fue significativo solo en el caso de la granja intensiva en julio (27.7 a 82.6 mg dL-1) y en la granja semiintensiva en septiembre (35.9 a 92.3 mg dL-1). En contraste, la hiperglucemia inducida por estrés se redujo completamente en la granja extensiva con incidencia del WSSV y el segundo muestreo realizado en noviembre en la granja intensiva. (Fig. 2a). Se observó un efecto similar para la concentración de lactato, con un aumento de hasta 10 veces en el camarón colectado en la granja intensiva en julio y la granja semi-intensiva en ambos tiempos de muestreo. Se observó un incremento menor no significativo (P < 0.05), alrededor de tres veces, en los camarones de la granja extensiva con la incidencia del WSSV y en el segundo muestreo de noviembre de la granja intensiva (Fig. 2b). Para los niveles de triglicéridos en hemolinfa, se observó un efecto principal significativo de la granja con niveles más altos en los muestreos de

Proteína (mg mL -1 )

Hemocianina (mg mL -1 )

Figura 1. a) Proteínas totales y b) niveles de hemocianina en hemolinfa del camarón blanco Penaeus vannamei de diferentes granjas según la densidad de cultivo e incidencia del virus del Síndrome de la Mancha Blanca (WSSV). Los muestreos se realizaron en diferentes momentos del ciclo de cultivo, en condiciones basales o después de estrés por manejo y hacinamiento. La data se presenta como media ± desviación estándar. Las significancias del de dos vías se insertan en la figura (NS: no significativo). Mediante la prueba de Newman-Keuls, las letras mayúsculas indican diferencias significativas entre las medias globales obtenidas para cada granja/fecha de muestreo, independientemente de la condición de estrés que no fue significativa.

noviembre vs. julio para la granja intensiva. También se observó un efecto significativo (P < 0.05) del estrés. Sin embargo, la comparación de medias individuales mostró que el incremento fue significativo solo para la granja extensiva con la incidencia del WSSV (61.3 vs. 80.2 mg dL-1) (Fig. 2c).

Variables metabólicas analizadas en los tejidos

Los niveles de proteína en hepatopáncreas fueron afectados significativamente (P < 0.05) por granja, estrés de manejo y la interacción entre ambos factores (Tabla 2). Los niveles de proteína fueron significativamente menores en el camarón de la granja semiintensiva en julio, que en otras granjas/ fechas de muestreo. El efecto del estrés se observó como una disminución en los niveles de proteína solo para esta granja en septiembre. La concentración de glucógeno en el hepatopáncreas mostró una variación significativa entre granjas, con los niveles más bajos para la granja semi-intensiva durante julio (media global independientemente de la

condición de estrés: 8.1 mg g-1) que fueron significativamente diferentes de la misma granja en septiembre (11.4 mg g-1) (Tabla 2). Los valores más altos se obtuvieron en la granja infectada con el virus (media global 14.6 mg g-1), mientras que en la granja intensiva, se obtuvieron valores relativamente bajos en ambos períodos de muestreo (9.1 a 10.2 mg g-1).

Adicionalmente, el efecto del estresor fue una disminución general en los niveles de glucógeno en esta condición (media global independientemente de la granja/fecha de muestreo: 11.7 vs. 9.7 para el control vs. el camarón estresado, respectivamente). Sin embargo, aunque no se obtuvo una interacción significativa cuando se analizó la influencia del estrés para cada granja, el efecto fue estadísticamente significativo (P < 0.05) solo en la granja con WSSV. Para los triglicéridos, se observaron niveles significativamente más altos (P < 0.05) en organismos de la granja con la incidencia del WSSV (89 mg g-1) en comparación con

otras granjas camaroneras (de 59 a 66 mg g-1), independientemente de la condición de estrés (Tabla 2). Los niveles de lactato también fueron significativamente más altos en las granjas camaroneras con infección por WSSV (2.15 mg g-1) en comparación con otras granjas camaroneras que generalmente tenían valores entre 0.55 y 1.1 mg g-1. No se observó ningún efecto del estrés de manejo sobre los niveles de lactato (Tabla 2).

La influencia del estrés sobre los niveles de proteína en el músculo dependió de la granja/fecha de muestreo en particular, como lo indica una interacción significativa (Tabla 2). Aunque el estrés tiende a disminuir generalmente los niveles de proteína de 536.3 a 485.7 mg g-1 (media global para todas las granjas), este efecto fue significativo sólo para la granja intensiva en noviembre, con una disminución de 594.2 mg g-1 para el grupo base a 351 mg g-1 para el grupo de estrés. La misma tendencia, aunque no significativa, también se observó para la granja semi-intensiva en julio y la granja extensiva con WSSV. Los niveles de glucógeno en músculo no fueron afectados significativamente (P < 0.05) por la granja o el estrés y mostraron valores entre 4 y 5.7 mg g-1 (Tabla 2). Se observaron efectos significativos de la granja, el estrés y la interacción en los niveles de lactato en músculo. Los niveles más altos de lactato se observaron en camarones del muestreo de la granja intensiva tanto en julio (7.8 mg g-1) como en noviembre (7.2 mg g-1) (Tabla 2). Adicionalmente, los niveles de lactato disminuyeron por la condición de estrés de 6.54 a 5.35 mg g-1, considerando los valores de la media de todas las fincas (promedio global). Sin embargo, como lo indica la interacción, el efecto del estrés fue significativo solo para la finca semi-intensiva en julio (de 7.6 a 2.9 mg g-1) y para la finca intensiva en noviembre (de 8.6 a 5.8 mg g-1). En contraste, para la finca extensiva con WSSV, el lactato aumentó significativamente de 4.8 a 7.1 mg g-1

Variables inmunológicas en la hemolinfa

El THC más alto se observó en la granja semi-intensiva en julio con un valor superior a 6 millones de células, seguido por la granja intensiva también en el muestreo de julio, mientras que los valores más bajos se encontraron en los muestreos

Glucosa (mg dL -1 )

Lactato (mg dL -1 )

Triglicéridos (mg dL -1 )

Figura 2. a) Niveles de glucosa, b) lactato y c) triglicéridos en hemolinfa de camarón blanco Penaeus vannamei de diferentes granjas según la densidad de cultivo e incidencia del virus del Síndrome de la Mancha Blanca (WSSV). Los muestreos se realizaron en diferentes momentos del ciclo de cultivo, en condiciones basales o después de estrés por manejo y hacinamiento. La data se presenta como media ± desviación estándar. Las significancias del ANOVA de dos vías se insertan en la figura (NS: no significativo). Para los niveles de glucosa y lactato con interacción significativa, las medias individuales con letras minúsculas diferentes son significativamente diferentes según la prueba de Newman-Keuls. Para los triglicéridos, las letras mayúsculas indican diferencias significativas entre las medias globales obtenidas para cada granja/fecha de muestreo, independientemente de la condición de estrés; *indica la diferencia entre los grupos base y de estrés.

entre septiembre y noviembre de las tres granjas (entre 2.7 y 4 millones de células, ver Fig. 3a para diferencias significativas). El tiempo de coagulación de la hemolinfa fue significativamente mayor (P < 0.05) en los camarones de la granja extensiva expuestos al WSSV en septiembre (33.1 s), en comparación con los valores obtenidos en julio tanto para la granja intensiva como para la semi-intensiva (20 a 21 s). Valores intermedios se observaron en la granja semi-intensiva en septiembre (29.2 s) y en la granja intensiva en noviembre (26 s) (Fig. 3b).

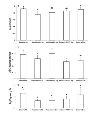
Carga energética y fosfágenos en tejidos En músculo y hepatopáncreas se observaron valores significativamente menores (P < 0.05) de AMP y ADP, así como valores significativamente mayores de ATP en el camarón de granja intensiva en comparación con la granja semi-intensiva en la muestra de julio (Tabla 3), lo que a su vez resultó en una diferencia significativa para la carga energética (0.76 vs. 0.63) en hepatopáncreas y (0.92 vs. 0.75) en músculo (Figs. 4a-b).

En el muestreo de septiembre, el camarón

Tabla 2. Variables metabólicas (media ± desviación estándar) en tejidos de camarón blanco Penaeus vannamei de diferentes granjas según la densidad de cultivo y la incidencia del virus del Síndrome de la Mancha Blanca (WSSV). Los muestreos se realizaron en diferentes momentos del ciclo de cultivo, en condiciones basales o después de estrés por manejo y hacinamiento. Los resultados del ANOVA de dos vías se indican en las dos últimas columnas, indicando los efectos principales de la granja (F) y el estrés (S), así como la interacción entre ambos factores (F×S); * y **P <0.05 y 0.01, respectivamente, NS: no significativo. Las medias individuales con letras bajas diferentes fueron significativamente diferentes. De lo contrario, cuando se obtuvo un efecto principal significativo de la finca, las letras mayúsculas dentro de las columnas indican diferencias significativas entre las medias generales de cada finca, independientemente de la condición de estrés. La significancia entre los grupos de referencia y de estrés se indica solo en las columnas de ANOVA para un efecto principal significativo del estrés, ya que este factor tiene solo dos niveles.

de la granja con incidencia de Mancha Blanca presentó valores menores de ATP y AEC (0.54) en el hepatopáncreas en comparación con sus homólogos de la granja semi-intensiva libre de Mancha Blanca que fueron muestreados en el mismo mes (0.80) (Tabla 3, Fig. 4b). Sin embargo, se observó el efecto opuesto en el músculo con niveles significativamente más altos (P < 0.05) de ATP en camarones de la granja con WSSV, aunque la diferencia no fue significativa (P > 0.05) para AEC (Tabla 2, Fig. 4a). Los niveles de ArgP en el músculo fueron significativamente más altos en camarones de granja intensiva en ambos muestreos (4.9 μmol g-1) en comparación con los camarones de otras granjas (2.8 μmol g-1) (Fig. 4c).

Discusión

Analizar biomarcadores bioquímicos e inmunológicos del estado de salud en condiciones de granja es valioso en términos de una aplicación directa para evaluar la condición fisiológica del camarón durante el crecimiento comercial, lo que implica inevitablemente diferentes situaciones estresantes (Tu et al. 2010). Sin embargo, a ese nivel, en comparación a un nivel experimental casi completamente controlado, es casi imposible disociar entre diferentes factores que podrían afectar tales indicadores. Sin embargo, con el programa de muestreo utilizado en este estudio, parece razonable disociar entre tres factores diferentes identificados o condiciones estresantes mediante comparaciones específicas entre granjas:

i) Densidad de población comparando las granjas intensivas y semi-intensivas en el muestreo de julio, ya que el segundo muestreo no es comparable entre ambas granjas debido a diferentes fechas (septiembre vs. noviembre).

ii) La temperatura y otros factores ambientales asociados con la fecha de muestreo se comparan principalmente mediante muestreos de julio y noviembre en la granja intensiva y, en menor grado, julio y septiembre en la granja semiintensiva debido a las diferencias mínimas de temperatura entre estos dos meses de muestreo. Sin embargo, el tamaño/peso del camarón también podría haber influido en las diferencias entre las fechas de muestreo en ambas granjas.

iii) La incidencia de patógenos, es decir, el WSSV se midió comparando las granjas semiintensivas y extensivas con la incidencia del WSSV, ambas muestreadas en septiembre. Aunque hubo una diferencia entre las densidades de siembra (7 vs. 15 camarones m-2), se considera mínima y la influencia del WSSV debería ser prevalente.

Además, también se analizó el efecto del estrés agudo del muestreo (manejo, hacinamiento e hipoxia) sobre las variables bioquímicas en la hemolinfa y los tejidos que suelen ser representativos de la respuesta al estrés (por ejemplo, los niveles de glucosa y lactato en la hemolinfa). El propósito fue evaluar si una condición estresante crónica inherente a las condiciones de cultivo de este estudio (temperatura, densidad de siembra o

infección por WSSV) afectará el estrés agudo posterior, como se observa comúnmente para otras situaciones de estrés. Con respecto a la respuesta a dichos estresores agudos, la glucosa y el lactato aumentaron, mientras que los niveles de glucógeno en el hepatopáncreas disminuyeron, lo que confirma estudios previos que analizan el efecto del manejo (Aparicio-Simón et al. 2010; Robles-Romo et al. 2016) o la hipoxia (Martínez-Antonio et al. 2019). Sin embargo, la magnitud y significancia estadística de las respuestas dependió de las condiciones de cada granja y estación del año. Luego del aumento en los niveles de glucosa y metabolismo asociado al estrés, se observó una disminución en los niveles de glucógeno en el hepatopáncreas de los camarones estresados. Sin embargo, esta respuesta fue significativa solo en la granja extensiva y se discutirá más adelante.

Finalmente, un resultado sorprendente fue un menor contenido de proteína en el músculo de los camarones estresados. Por el contrario, la exposición a varios días de hipoxia crónica (2.5 mg L-1) aumentó los niveles de proteína en el músculo (Seidman y Lawrence, 1985; Racotta et al. 2002). Podríamos especular que el estresor aplicado en este estudio (manejo, hacinamiento y 0.5 mg L-1 de hipoxia) es considerablemente diferente en tiempo de exposición (20 min vs. dos semanas) e intensidad y luego podría inducir la proteólisis para liberar aminoácidos para alimentar la demanda de energía causada por el estrés o para la síntesis de

proteínas específicas en el hepatopáncreas (por ejemplo, hemocianina, factor inducible por hipoxia, proteínas de choque térmico).

Densidades de carga

Los niveles de proteína y hemocianina en la hemolinfa fueron más altos en la granja semiintensiva en comparación con la intensiva para el muestreo de julio. Se observaron efectos variables para el estrés de alta densidad en condiciones de laboratorio sin efecto (Aguilar et al. 2012) o una disminución solo para la hemocianina (Apún-Molina et al. 2017), en contraste con los resultados actuales obtenidos a nivel de estanque. Varios estudios han indicado que el nivel de proteína en la hemolinfa representa un buen indicador del estado nutricional del camarón (Rosas et al. 2002; Pascual et al. 2003), lo que podría explicar por qué granjas con menor densidad con una probable mayor disponibilidad de alimento natural podrían presentar un mayor nivel de proteína, dado que la biota natural contribuye a la nutrición de P. vannamei (Leber & Pruder, 1988; Burford et al. 2004). Sin embargo, los resultados de la hemolinfa contrastaron con otros indicadores del estado nutricional, como la proteína y el glucógeno en hepatopáncreas, con niveles más bajos en camarones cultivados en menor densidad (granja semiintensiva). Además, el estado energético inferido a partir de los niveles de AEC y ArgP también fue menor en esos camarones. Por

Recuento total de hemocitos (10 6 cell mL -1 )

Tiempo de coagulación (s)

Figura 3. a) Recuento total de hemocitos de hemolinfa y b) tiempo de coagulación del camarón blanco Penaeus vannamei de diferentes granjas según la densidad de cultivo y la incidencia del virus del Síndrome de la Mancha Blanca (WSSV). Como se indica, las muestras se realizaron en condiciones basales sin estrés en diferentes momentos del ciclo de cultivo. La data se presenta como media ± desviación estándar. Tras el ANOVA unifactorial y la prueba de Newman-Keuls, las medias con letras diferentes son significativamente diferentes.

lo tanto, es probable que estén involucrados factores adicionales como el cultivo en biofloc en granjas intensivas. De hecho, la comunidad microbiana representa una red alimentaria adicional para el camarón y podría explicar una condición fisiológica más alta (Emerenciano et al. 2022). A su vez, el cultivo en biofloc implicó una aireación

altamente eficiente en comparación con la aireación tradicional en la granja semiintensiva en la que probablemente estaba ocurriendo cierto grado de hipoxia, lo que resultó en un aumento de los niveles de proteína y hemocianina en la hemolinfa como se observó previamente en camarones en condiciones de hipoxia crónica (Racotta et al. 2002).

Tabla 3. Niveles de nucleótidos individuales (AMP, ADP, ATP) y nucleótidos adenílicos totales en hepatopáncreas y músculo (media ± desviación estándar, μmoles g-1 peso húmedo) de camarón blanco Penaeus vannamei en tres granjas diferentes según la densidad de cultivo y la incidencia del virus del Síndrome de la Mancha Blanca (WSSV). Los muestreos se realizaron en diferentes momentos del ciclo del cultivo como se indica, solo en condiciones basales sin estrés. Luego del ANOVA de una vía y la prueba de Newman-Keuls, las medias con letras diferentes muestran que son significativamente diferentes.

Varios estudios han analizado la influencia de la alta densidad en la capacidad de respuesta inmune, obteniendo diferentes resultados. En el corto plazo (3 a 12 h), obtienen un sistema inmune deprimido por alta densidad, inferido a partir de varios efectores inmunes, incluido el THC (Lin et al. 2015). A largo plazo, otros estudios no obtuvieron ninguna influencia de la alta densidad sobre el THC (Apún-Molina et al. 2017; Baladrat et al. 2022). De manera similar, en este trabajo, el THC y el tiempo de coagulación no se vieron afectados por la densidad de siembra al comparar la granja intensiva (100 camarones m-2) con la semiintensiva (15 camarones m-2).

La respuesta al estrés con respecto al aumento de glucosa y lactato fue similar en magnitud en ambas granjas muestreadas en julio y septiembre para la granja semiintensiva, lo que indica que una condición de estrés crónico putativo previo (alta densidad) no afecta la respuesta a un estresor agudo durante el muestreo. En contraste, MartínezAntonio et al. (2019) observaron que el camarón bajo condiciones de estrés crónico impuesto por baja salinidad y cultivado a altas densidades presentó una menor capacidad para responder a estresores agudos posteriores como la hipoxia o la respuesta de escape. Este tema merece una mayor investigación en el camarón, ya que existen múltiples condiciones de estrés en las condiciones de cultivo y el rendimiento general necesita comprender qué tipo de factores estresantes podrían afectar las capacidades para superar los factores estresantes posteriores. Por otro lado, el glucógeno en el hepatopáncreas se vio afectado de manera diferente por el estrés de muestreo con una disminución solo para la granja semi-intensiva, al contrario de una respuesta de estrés de muestreo agudo más acentuada esperada después del supuesto estrés crónico debido a la alta densidad que ocurre en la granja intensiva. Sin embargo, como se discutió anteriormente, el biofloc podría producir condiciones nutricionales más altas y superar la aparente condición de estrés dual.

Con base en los resultados obtenidos en este trabajo, se podría especular que 100 m-2 no es una densidad estresante a nivel de estanque, y la condición nutricional y fisiológica general del camarón parece

Figura 4. Carga energética adenílica (CAA) a) en músculo y b) hepatopáncreas, y c) concentraciones de fosfato de arginina (ArgP) en músculo de camarón blanco Penaeus vannamei de diferentes granjas según la densidad de cultivo e incidencia del virus del Síndrome de la Mancha Blanca (WSSV). Como se indica, los muestreos se realizaron en condiciones basales sin estrés en diferentes tiempos del ciclo de cultivo. Los datos se presentan como media ± error estándar. Siguiendo ANOVA unifactorial y prueba de Newman-Keuls, las medias con letras diferentes son significativamente diferentes.

incluso mejor que a una densidad menor, muy probablemente debido al biofloc. De manera similar, el uso de biofloc permitió duplicar la densidad (postlarvas, PL) de 300 a 600 PL m-3 sin afectar el rendimiento general y la condición fisiológica en términos de niveles de glucógeno en hepatopáncreas y AEC en músculo, que de otra manera se vieron afectados a 600 PL m-3 en ausencia de biofloc (Guemez-Sorhouet et al. 2019). Estos resultados se alinean con la tendencia hacia el cultivo superintensivo de camarón, especialmente cuando se combina con la tecnología de biofloc (Emerenciano et al. 2022).

Fecha de muestreo (temperatura)

La magnitud de la respuesta al estrés durante el muestreo es el resultado más sorprendente. De hecho, la respuesta al estrés hiperglucémico ya no estaba presente en noviembre por dos razones: línea base

con niveles más altos y niveles de estrés más bajos en comparación con julio, aunque no de manera significativa. Por otro lado, la magnitud del aumento de lactato inducido por estrés es considerablemente menor y ya no es significativo en el muestreo de noviembre en comparación con julio. Nuestro equipo de investigación observó previamente tales diferencias al muestrear camarones de estanques en diferentes épocas del año con una atarraya, lo que implica una respuesta al estrés más fuerte en los monitoreos de otoño y primavera en comparación con el invierno (Arcos et al. 2009). Una respuesta al estrés más baja puede atribuirse a temperaturas más bajas relacionadas con la estación del año. De hecho, la hipotermia se utiliza en el camarón como un procedimiento sedante para reducir la actividad metabólica antes del muestreo de hemolinfa (Pascual et al. 2003).

De manera similar, cuando se capturaron camarones de estanques con una atarraya, la respuesta de estrés resultante caracterizada por mayores niveles de glucosa y lactato se vio parcialmente atenuada al colocar los camarones en agua a 5 °C por debajo de la temperatura del estanque (Zamora, 2012). La disminución de la proteína muscular relacionada con el estrés de muestreo discutida anteriormente se observó solo en noviembre en contraste con julio, cuando los niveles de proteína tienden a aumentar, aunque no significativamente. Nuevamente, este resultado podría ser sorprendente, especialmente si una temperatura baja atenuó la respuesta de estrés. Otros factores como la edad o el tamaño del camarón influyen en dicha respuesta; por ejemplo, un camarón más grande podría provocar una contracción muscular más fuerte, afectando la maquinaria contráctil de la proteína.

Otras diferencias no relacionadas con la respuesta de estrés entre estaciones fueron niveles más altos de TG en hemolinfa en noviembre para la granja intensiva pero sin diferencias en el hepatopáncreas. Por lo tanto, parece poco probable que las reservas generales de TG se vieran afectadas por la estación. Aún así, la reserva de TG disponible más inmediata para diferentes tejidos podría aumentar como un mecanismo de compensación térmica. Por lo tanto, además del aumento de las actividades enzimáticas para el metabolismo lipídico como un mecanismo general para compensar la disminución del metabolismo dependiente de la temperatura (Guderley, 2004), sugerimos que un aumento en la concentración de sustrato también podría contribuir a dicha compensación. Un aumento en los TG plasmáticos a bajas temperaturas, aunque no significativo, se observó previamente en P. vannamei y se atribuyó a la ruptura de los túbulos del hepatopáncreas observado en ese estudio (Wang et al. 2019), aunque a una temperatura considerablemente menor (13 °C) alcanzada en un período más corto (7.5 °C d-1), en comparación a este estudio. No se obtuvieron diferencias en las variables inmunes o bioenergéticas entre ambas temporadas para la misma granja intensiva, excepto por un AEC más bajo en hepatopáncreas en noviembre. Estudios previos han relacionado la actividad motora con los niveles de ATP y AEC en el

músculo, aunque no han sido medidos en el hepatopáncreas (Giesy & Dickson, 1981; Robles-Romo et al. 2014). Por lo tanto, un metabolismo más bajo en noviembre debido a la temperatura más baja podría explicar tales resultados en el hepatopáncreas como el órgano metabólico más importante en los crustáceos.

En cuanto a las diferencias dentro de la misma granja en cuanto a la fecha de muestreo, también podríamos considerar la granja semi-intensiva. Sin embargo, la diferencia de temperatura entre julio y septiembre fue mínima, con valores promedio de 30 y 31 °C, respectivamente. Por lo tanto, factores desconocidos adicionales podrían explicar tales diferencias, que consistieron en primer lugar en niveles más bajos de proteína y hemocianina en hemolinfa en septiembre, lo que podría estar relacionado con el estado nutricional diferencial o los niveles de oxígeno, como se discutió previamente. El aumento en el peso corporal entre julio y septiembre no puede explicar esta diferencia porque la concentración de proteínas y hemocianina aumenta concomitantemente con el peso corporal (Rosas et al. 2002). Por otro lado, se obtuvo un THC más bajo y un AEC más alto en el hepatopáncreas en septiembre, pero no se puede proporcionar una explicación clara en este caso.

Brote de WSSV

En septiembre, la granja extensiva sufrió una propagación generalizada de WSSV, por lo que los camarones muestreados mostraron signos claros de infección. Se observaron varias diferencias al comparar las variables fisiológicas obtenidas en estos camarones con las de otras granjas, particularmente la granja semi-intensiva en septiembre, que presentó la condición más similar. La disminución drástica de la hemocianina, así como de la relación hemocianina/proteína (0.35 en comparación con 0.63 a 0.94 para las otras granjas) implica una afectación particular de esta proteína circulante, que muy probablemente esté relacionada con el papel de la hemocianina en la respuesta inmune a diferentes niveles (Destoumieux et al. 1997; Xu et al. 2008). Por otro lado, se sabe que la concentración de hemocianina se ve afectada por la hipoxia, el ciclo de muda y el estado nutricional (Boone & Schoffenich, 1979; Hagerman, 1983), que en general

se ven afectados por la etapa avanzada de la enfermedad, ya que la disminución en la captación de oxígeno y el consumo de alimento son alteraciones bien conocidas en camarones enfermos (Yoganandhan et al. 2003).

En cuanto al efecto relacionado con la fecha de muestreo, la respuesta al estrés se vio atenuada en términos de glucosa plasmática y atenuada en términos de lactato plasmático por el brote del WSSV. La infección viral, incluido WSSV, indujo cambios metabólicos importantes, especialmente un aumento del flujo glucolítico o efecto Warburg (Chen et al. 2011; Apún-Molina et al. 2017). Sin embargo, existen algunas discrepancias sobre los efectos específicos en la literatura, probablemente relacionadas con las respuestas en el tiempo y el grado de infección (ver Discusión en Apún-Molina et al. 2017). Por ejemplo, se observó una respuesta dual luego de la infección con WSSV en camarones con un aumento primario en el flujo glucolítico (consumo de glucosa y producción de lactato) a las 12 h post-infección (hpi) para proveer energía para la replicación viral seguida de una segunda fase en la cual hay agotamiento metabólico, caracterizado por un aumento en la relación ADP/ATP y una disminución en la glucosa plasmática y el lactato a partir de las 24 hpi (Chen et al. 2011). En este contexto, parece probable que la capacidad de respuesta al estrés de los camarones ya no se esté dando en granjas extensivas debido a la incapacidad metabólica para sostener la glucólisis. Sin embargo, esto no está relacionado con un agotamiento de reservas como los niveles de glucógeno en el hepatopáncreas bajo condiciones de línea base, ya que los camarones de la granja con WSSV presentaron los niveles más altos de glucógeno que disminuyeron al mismo nivel que en las otras granjas luego del estrés.

Además, los niveles de lactato de esta granja en el hepatopáncreas fueron los más altos, lo que sugiere que el efecto Warburg de WSSV todavía está ocurriendo. Por otro lado, el lactato aumentó en el músculo después del estrés solo en camarones de esta granja en contraste con otras granjas en las que el lactato no cambió o incluso disminuyó (por ejemplo, la granja semi-intensiva en julio) a pesar del fuerte aumento en la hemolinfa

para la mayoría de las granjas analizadas en este estudio. Tal diferencia entre los niveles de lactato en músculo y hemolinfa relacionada con el estrés ya se reportó en estudios previos, en los que se sugirió que la capacidad de depuración de lactato del músculo a la hemolinfa es muy eficiente en camarones (Aparicio-Simón et al. 2010) pero parece estar comprometida por la infección. Estos resultados indican que, en conjunto, la alteración metabólica causada por WSSV altera la respuesta posterior a estresores ambientales/de manipulación agudos. Sin embargo, los mecanismos precisos y las consecuencias de supervivencia debido a la infección y el estrés combinados aún deben establecerse.

El metabolismo lipídico también se altera durante la infección por WSSV: Hsieh et al. (2008) observaron un aumento en la concentración de TG a las 36 h seguido de una disminución a partir de las 72 h, mientras que Chen et al. (2011) observaron una disminución constante en la concentración de TG en plasma en camarones infectados por WSSV y sugieren que esta reducción se debió al uso de TG tanto para la producción de energía como para la síntesis de macromoléculas utilizadas en la replicación del virus. Recientemente, el análisis de la tinción de gotas de lípidos, la actividad de

la lipasa y la inhibición de la beta oxidación/ lipogénesis también respaldaron un papel importante del metabolismo de los lípidos en las diferentes etapas de la infección por el virus: lipólisis en la etapa de replicación del genoma viral y lipogénesis en etapas posteriores de la morfogénesis del virión (Ng et al. 2023). Curiosamente, en este trabajo, los camarones infectados con WSSV presentan una respuesta al estrés basada en TG en lugar de una respuesta típica de glucosa/lactato, como lo indica el aumento de TG en la hemolinfa después del estrés. Además, los niveles de TG en el hepatopáncreas también fueron más altos en estos camarones, independientemente del estrés. El WSSV indujo una especie de cambio del metabolismo basado en carbohidratos al metabolismo basado en lípidos, asociado con el uso preferencial de carbohidratos (efecto Warburg) para la replicación del virus (Chen et al. 2011). Alternativamente, los camarones de la granja extensiva con el brote del WSSV ya están en una especie de depresión metabólica en la que las principales reservas del hepatopáncreas, como el glucógeno y los TG, están preservadas. Tal posibilidad fue sugerida en cangrejos con infección bacteriana (Thibodeaux et al. 2009) y camarones con infección viral (Apún-Molina et al. 2017) basado en niveles aumentados

de ATP y AEC, lo cual, sin embargo, no fue el caso en el presente trabajo ya que AEC fue menor en camarones de la granja con WSSV. Con respecto a las dos variables inmunológicas medidas en este trabajo, se observó una tendencia de disminución de THC y aumento del tiempo de coagulación en camarones de la granja con WSSV en comparación con otras granjas. El retraso o incluso la ausencia de la capacidad de coagulación se ha reportado previamente en camarones con WSSV (Yoganandhan et al. 2003; Apún-Molina et al. 2017) o infección bacteriana (Lightner & Lewis, 1975). De manera similar, la disminución de THC es un signo claro de infección (Yoganandhan et al. 2003; Vaseeharan et al. 2013) y se explica por la migración de hemocitos al sitio de infección para contrarrestar al patógeno mediante fagocitosis, producción de fenoloxidasa y peneaidinas, entre otros mecanismos inmunes (Song et al. 2003; Joseph & Philip, 2007)•

Para más información sobre este artículo, contactar a: iracotta@cibnor.mx

xromero2001@yahoo.com

El aumento de los niveles de fósforo en los cuerpos de agua costeros ha traído como consecuencia el incremento de reportes sobre algas nocivas de distinto tipo. Este incremento se debe a diversas causas, pero entre las principales están los aportes de fósforo que viene de las ciudades y la disposición de las aguas servidas sin tratamiento previo. Además, está el aporte de nutrientes procedentes de la fertilización de los suelos por parte de la agricultura, que en parte terminan en un cuerpo de agua. Este último problema es global y sus efectos son conocidos en varios lugares del mundo (Zhang et al., 2022).

A nivel de cultivo de piscinas camaroneras, y especialmente en sistemas con recirculación, se ha encontrado que los niveles de fósforo en ocasiones son más altos de lo usual, reportándose índices de este elemento en un total reactivo de hasta 3 mg/l. Si la relación nitrógeno (N) - fósforo (P) es muy baja, se crean las condiciones ideales para que proliferen las cianofitas o cianobacterias. Una situación similar se ha reportado en varios embalses a lo largo del planeta. El consenso actual es que se las llame cianobacterias y es así como serán referidas en esta publicación.

Lo más reconocido sobre este grupo de microorganismos es que causan mal sabor en el camarón, y esto trae como consecuencia una seria afectación en la calidad y, por ende, en el precio del marisco. Lo otro que se conoce sobre el efecto de las cianobacterias es que se encuentran asociadas a la presencia de una patología conocida como Enteritis Hemocítica, que fue descrita en la década de los 70 por el prestigioso patólogo Donald Lightner (Lightner, 1978). Esta revisión no abordará estos dos temas ya bastante conocidos, sino los efectos de las toxinas producidas por las cianobacterias en el camarón y cómo podrían estar incidiendo en la producción de camarones y la manifestación de algunas patologías.

Adicionalmente, existen otros aspectos sobre la presencia de estas bacterias que son importantes de conocer y esta información ha ido apareciendo en publicaciones científicas durante los últimos 20 años. Este tipo de problemas es conocido especialmente en los

cultivos en agua de baja salinidad como el de Macrobrachium sp. La literatura científica contiene numerosas referencias sobre los efectos nocivos de las cianobacterias y las toxinas que producen, debido a que causan problemas en embalses de agua destinada al consumo humano y a los efectos sobre la salud de los peces. En la literatura, se han reportado casos de mortalidad en camarones de cultivo asociadas a la presencia de cianobacterias en Australia (Smith, 1996) y Estados Unidos (Zimba et al., 2016).

Usualmente, al pensar sobre las toxinas producidas por algas, lo primero que viene a la mente son aquellas producidas por algas como Chatonnella sp., Heterosigma sp., o en general las producidas por los dinoflagelados que causan las Mareas Rojas. Sin embargo, las cianobacterias producen diferentes grupos de toxinas; entre las más conocidas y que han sido estudiadas por sus efectos sobre el camarón están las microcistinas (que comprenden varias isoformas) y las nodularinas. Existen además otras, de las cuales no se conocen sus efectos sobre los camarones, como son las cilindrospermopsinas, saxitoxinas y anatoxinas. Una de las toxinas más comunes son las microcistinas, de las que la Organización de Mundial de la Salud (OMS) ha establecido límites en las aguas para consumo humano, cuyo valor es 1 ug/l o una parte por billón (Zhang et al., 2022). Diversos géneros de cianobacterias producen toxinas como las microcistinas; el más comúnmente nombrado es el género Microcystis spp. pero otros géneros también pueden producirlas. La cantidad de toxina que emitan depende de factores ambientales, y es algo que todavía está en estudio. Entre las microcistinas, la más común es la forma Microcistina-LR, por eso algunos estudios se centran en probar los efectos de esta forma química.

¿Qué se conoce sobre el efecto de las toxinas producidas por la cianobacterias en la patología de las enfermedades del camarón y los crustáceos?

Desde el 2010 se ha reportado en Brasil la ocurrencia de floraciones (blooms) de cianobacterias en cultivos intensivos. En el verano del 2014 purificaron una toxina de algas aisladas de estas aguas: la nodularina. Al realizar bioensayos se determinó que el compuesto liofilizado mataba el 50%

de los camarones si la nodularina estaba presente en una concentración de 0.65 a 2.61 mg/ml en el agua. Los autores destacan la importancia de prestar atención a la presencia de estas algas en los cultivos de camarón y sus posibles efectos tóxicos (Pacheco et al., 2016).

Uno de los crustáceos cultivados donde se han estado estudiando la presencia de toxinas como las microcistinas es Macrobrachium rosenbergii. Este crustáceo es cultivado a baja salinidad; por lo tanto, es donde primero se observó la presencia excesiva de cianobacterias y sus efectos. Se midió la acumulación de Microcistina-LR en el agua y se encontraron niveles de 2.2 a 9.2 ug/l, mientras los niveles de cianobacterias oscilaban entre 300,000 a 800,000 cel/ml, dependiendo de la especie. Debido a que en la actualidad existen excelentes herramientas para medir la condición del sistema inmune de los crustáceos, algunos de los estudios más recientes se han enfocado en medir los efectos de las toxinas producidas por las cianobacterias sobre el estado del sistema inmune, lo cual sirve como herramienta para determinar de una manera más fina y precisa cómo se altera este sistema ante la presencia de estas toxinas.

La presencia de 0.5 y 5 ug/l de MicrocistinaLR diluida en el agua fue probado sobre M. rosenbergii en China (Zhang et al., 2019). Lo interesante de esta prueba es que trató de simular la situación más común en una piscina de cultivo: presencia de microcistinas en el agua a niveles que han sido reportados en sistemas de cultivo en baja salinidad. Se observaron alteraciones en la estructura del hepatopáncreas, lo cual se espera cuando existen toxinas en los crustáceos. Este es el órgano por donde se eliminan algunas toxinas, y esto explica las alteraciones a nivel histológico que se reportan. Lo más interesante es que algunos de los indicadores del estado del sistema inmune también presentaron alteraciones en sus parámetros. La expresión de algunos compuestos asociados al sistema inmune fue alterada, como son las lysosimas y profenoloxidasa (ProPO), ambos claves en la respuesta inmune ante cualquier patógeno, los mismos que alteraron su cantidad. Lo más interesante es que al final del estudio se hizo un bioensayo comparando los

animales expuestos contra los no expuestos a Microcistina-LR diluida en el agua, y luego de tres semanas de exposición se ensayaron dos bacterias: Aeromonas hydrophyla y Vibrio vulnificus. Comparado con los controles, la mortalidad de los animales expuestos fue un 50% más alta.

Este estudio ayuda a aclarar lo que se observa en determinadas situaciones en las que aparece una enfermedad. Cuando un patólogo observa un patógeno determinado, lo primero que debe hacer es ver un poco más allá y preguntarse: ¿Qué condición está provocando que este patógeno se exprese? Un estudio similar, pero realizado específicamente con P. vannamei con un desafío con bacterias podría dar un poco de luz a lo que tal vez esté sucediendo en ciertas piscinas camaroneras en Ecuador.

¿Cuáles son los niveles de microcistinas que podrían acumularse en una piscina de cultivo de camarón?

Se han realizado algunos estudios al respecto en China, ya que es más probable que el problema se presente en baja salinidad antes que en alta salinidad. Por otro lado, en ese país existen mayores problemas sobre la calidad de agua que en otros lugares, y además, mantiene una comunidad de investigadores que están atentos a descubrir qué factores podrían afectar la producción. En un trabajo sobre los efectos de tres formas de microcistinas sobre la histología y metabolismo de P. vannamei se menciona lo siguiente: “En las fases tempranas de cultivo de camarones en piscinas, la concentración de microcistinas varía de 0.53 a 2.25 ug/L, llegando a un rango de 1.79 a 2.25 luego de 80 días (Wang, 2018).”(Duan et al., 2024). La referencia de Wang (2018) está en idioma mandarín y parece ser un trabajo de disertación de tesis doctoral; sin embargo, lo que nos indica es que el tema ha sido investigado por diversos grupos y es un asunto que ha merecido atención. Como era de esperarse, este trabajo encuentra alteraciones en el sistema inmune, los niveles de transcripción de genes inmunológicos y un incremento en los genes de apoptosis, además de alteraciones en la homeostasis de la microflora intestinal y la fisiología del hepatopáncreas.

Siempre existe alguna publicación de un

trabajo que ayude a llegar a conclusiones interesantes sobre un tema determinado, para ofrecer un poco de luz a una situación determinada. En ocasiones el título lo dice todo y sus resultados se suman a explicar lo encontrado por otros investigadores. Un estudio publicado por Gao et al. 2017 analizó los efectos a largo plazo de una floración de cianobacterias en camarones P. vannamei de cultivo y su sistema inmune. Diversos patrones o rutas inmunes como son Dorsal, Relish y P38 fueron disminuidas. El número de hemocitos fue reducido en los animales expuestos a niveles más altos de cianobacterias, y curiosamente los niveles de lectinas tipo C fueron más altos, lo cual en general refleja una idea de que el sistema inmune fue alterado más de lo normal en un camarón. La explicación brindada por los autores es que las lectinas tipo C podrían haber sido activadas como parte de un sistema de defensa contra las cianobacterias. En la biología no existen absolutos, solo tendencias, y estos estudios lo que están haciendo es proporcionar una idea de los efectos sobre el sistema inmune del camarón ante la presencia de las cianobacterias y posiblemente de las microcistinas. La única crítica a este trabajo es que no se midieron los niveles de microcistinas en el agua, solo se reportaron los niveles de cianobacterias en la piscina de la cual se tomó la muestra de camarones, los cuales son realmente alarmantes y están en la escala (según los autores) de 3.32 x 109 cel/L. Esto sería equivalente a 3.32 x 106 cel/ml.

Al leer una publicación científica se deben reconocer las condiciones del estudio y ver qué se puede rescatar de todo lo analizado para aplicar al trabajo diario y que tenga sentido común. Tampoco se debe asumir que todo lo redactado en una publicación científica va a suceder en todo lugar de forma textual como está reportado en la publicación. Pero si diversas publicaciones están demostrando algo que se relaciona entre sí y que tiene sentido, es muy factible usar lo aprendido en otros lugares para una situación similar.

Los efectos nocivos de algunas cianobacterias no se limitan a los cultivos de baja salinidad. Estas tienen representantes que también pueden crecer en salinidades más altas donde el agua se encuentra eutroficada

(Pacheco et al., 2016; Duan et al., 2023), y con el aumento de la eutroficación en los estuarios del mundo es un punto al que debe ponérsele atención.

Como conclusión, y basándonos en la literatura existente, podemos deducir que cuando existe presencia de abundantes cianobacterias y posiblemente de las microcistinas y nodularinas producidas por estas, el camarón y otros crustáceos tienen su sistema inmune alterado y quizás inmunodeprimido, volviéndose más susceptible al patógeno que en ese momento se encuentre presente en mayor concentración en el sistema. Este patógeno puede ser el virus de la Mancha Blanca, otro patógeno viral o alguna bacteria del género Vibrio spp. o quizás de otros grupos. Esta situación se podría reflejar en la supervivencia de la población como valores inferiores y seguramente en un detallado análisis patológico se encontrará un patógeno reconocido, pero siempre se deberá ir más allá del simple diagnóstico y tratar de encontrar qué factores llevaron a una mortalidad inusual. Sería de sumo interés que los centros de investigación privados o académicos en nuestro país realizaran ensayos e investigaciones al respecto para definir los niveles de cianotoxinas que más afectan al camarón, y cómo estas interactúan con el sistema inmune y los patógenos en nuestras condiciones de cultivo.

Existen muchas más referencias sobre el tema que las mencionadas en este artículo. Sin embargo, la intención de esta publicación es la de divulgar la información existente al momento, y que se preste atención y se conozca sobre los efectos nocivos de estas algas. De este modo, se pondrá mayor atención a su control. Las enfermedades son más que la presencia del patógeno potencial; son la suma de una serie de factores que llevan a que exista mortalidad en una piscina. Es importante poder reconocer a tiempo algunos de estos potenciales factores que quizás están afectado negativamente la producción y no los estamos considerando en el análisis y en la toma de decisiones•

Referencias

Duan Y. et al (2023) Toxicological response of Pacific white Shrimp Litopenaeus vannamei to a hazardous cyanotoxin nodularin exposure, Environmental Pollution 318 120950. http://doi.org/10.1016/j. envpol.2022.120950

Duan Y. et al (2024) Toxicity of three microcystin variants on the histology, physiological and metabolism of the hepatopancreas and intestinal microbiota of Litopenaeus vannamei. Comparative Biochemistry and Physiology, Part C 280 109904. http://doi.org/10.1016/j.cbpc.2024.109904

Gao J. et al (2017) Long-term influence of cyanobacterial bloom on the immune system of Litopenaeus vannamei. Fish and Shellfish Immunology 61, 79-85. http://doi.org/10.1016/j-fsi.2016.12.015

Lightner D.V. (1978) Possible toxic effects of the marine blue-green alga, Spirulina subsalsa on the blue shrimp, Penaeus stylirostris. Journal of Invertebrate Pathology 32, 139-150.

Pacheco L.A. et al (2016) Identification of the toxic pentapeptide Nodularin in a cyanobacterial bloom in a shrimp farm in South American Atlantic Coast. Pharm. Anal. Acta 7(5).

Smith P.T. (1996) Toxic effects of blooms of marine species of oscillatoriales on farmed prawns (Penaeus monodon, Penaeus japonicus) and brine shrimp (Artemia salina). Toxicon 34(8) 857-869.

Zhang Y. et al (2019) Effects of Microcystin-LR on the immune dysfunction and ultrastructure of hepatopancreas in giant freshwater prawn Macrobrachium rosenbergii. Fish and Shellfish Immunology 89, 586-594.

Zhang W. et al (2022) The impact of cyanobacteria Blooms on the Aquatic environment and human health. Toxins 14, 658 http://doi.org/10.3390/ toxins14100658

Zimba P.V., Camus A., Allen E.H., & Burkholder J.M. (2006) Co-occurrence of white shrimp, Litopenaeus vannamei, mortalities and microcystin toxin in a southeastern USA shrimp facility. Aquaculture 261, 1048-1055.

Gestión de la calidad del agua en la acuicultura

Autores:

Fatimah M. Yusoff1,2

Wahidah A. D. Umi1

Norulhuda M. Ramli2,3

Razif Harun2,4

1Departamento de Acuicultura, Facultad de Agricultura, Universiti Putra Malaysia, 43400 Serdang, Selangor, Malasia; 2Instituto Internacional de Acuicultura y Ciencias Acuáticas, Universiti Putra Malaysia, 71050 Port Dickson, Negeri Sembilan, Malasia; 3Departamento de Ingeniería Biológica y Agrícola, Facultad de Ingeniería, Universiti Putra Malasia, 43400 Serdang, Selangor, Malasia y 4Departamento de Ingeniería Química, Facultad de Ingeniería, Universiti Putra Malasia, 43400 Serdang, Selangor, Malasia fatimahyus@gmail.com

La acuicultura es el sector de producción de alimentos de más rápido crecimiento, y su crecimiento sostenible es vital para la seguridad alimentaria, la salud de los ecosistemas, la utilización ininterrumpida de los recursos naturales, la conservación de la biodiversidad y la resiliencia socioeconómica. Ante la disminución de los recursos pesqueros de captura y la creciente demanda de pescado y productos pesqueros, la acuicultura se ha convertido en la principal fuente de suministro de alimentos/proteínas acuáticas y contribuye a la seguridad alimentaria de la población mundial (Boyd et al., 2022; Troell et al., 2023). Sin embargo, existe preocupación por los impactos de las actividades acuícolas en el ambiente y los recursos naturales, como la destrucción del hábitat, la explotación de las poblaciones de peces silvestres, los requisitos de harina/ aceite de pescado y la eliminación de desechos (Bull et al., 2021; Klootwijk et al., 2021). Diferentes sistemas de acuicultura (extensivo, semiintensivo e intensivo); tipos de sistemas (cerrados, semiabiertos y abiertos); diferentes especies cultivadas y densidades de población, pueden generar diferentes impactos ambientales (Figura 1).

Los impactos ambientales pueden ocurrir a través de tres procesos diferentes, como el consumo de recursos naturales, los procedimientos/prácticas de cultivo y la generación de desechos. Cada ecosistema tiene su propia capacidad de carga, y trabajar dentro del límite es crucial para evitar impactos negativos. La transición de las prácticas culturales tradicionales a un sistema cultural intensificado implica un aumento de desechos que requiere un tratamiento adecuado para evitar la contaminación y los impactos nocivos en el ambiente (da Silva et al., 2022). Con la alta demanda de productos acuícolas, más granjas están optando por sistemas de cultivo intensivo, que tienden a afectar el ecosistema más que los sistemas extensivos y semiintensivos debido a las grandes cantidades de residuos que contienen toxinas, medicamentos y productos químicos en el primer sistema (Zhang et al., 2021; Nagaraju et al., 2022). Por lo tanto, las actividades acuícolas insostenibles podrían provocar la destrucción generalizada del hábitat, la pérdida de biodiversidad y el declive de la pesca y otros recursos acuáticos

PRODUCCIÓN

en la zona circundante (Valiela et al., 2001; Polidoro et al., 2010; Herbeck et al., 2013; Cardoso-Mohedano et al., 2018).

En los sistemas de producción acuícola, la mala calidad del agua debido a la acumulación de compuestos tóxicos, como amoníaco, nitrito y sulfuro de hidrógeno, junto con el bajo nivel de oxígeno disuelto, las condiciones hipóxicas, las floraciones de algas nocivas (HABs) y las bacterias patógenas, pueden afectar gravemente la salud de los peces a través de infecciones bacterianas, crecimiento deficiente y estrés, lo que los vuelve menos tolerantes a la manipulación. Las enfermedades en los sistemas acuícolas están estrechamente relacionadas con la salud ambiental, y cuando no son controladas pueden diezmar rápidamente las operaciones y causar una alta mortalidad. Lusiastuti et al. (2020) atribuyeron los brotes de enfermedades, la mortalidad masiva de peces y la baja producción acuícola a la mala calidad del agua asociada con la degradación ambiental y el cambio climático. Este último fenómeno puede afectar a la industria acuícola mediante inundaciones (exceso de agua), sequías (escasez de agua) y cambios en la calidad del líquido. La disminución del pH debido a la acidificación de los océanos podría afectar gravemente a la acuicultura, especialmente a la de las zonas costeras (Guo et al., 2023). Hassan et al. (2022) señalaron que mejorar la calidad del agua, mantener la estabilidad de los factores ambientales y controlar el intercambio hídrico reduciría la incidencia de enfermedades de los peces en los sistemas de producción acuícola.

Los vertidos acuícolas sin tratamiento o con tratamiento inadecuado con altas concentraciones de nutrientes pueden causar eutrofización y deterioro de la calidad del agua, hipoxia y floraciones de algas nocivas (HABs) en masas de agua adyacentes (Zhang et al., 2018; Purnomo et al., 2022). Las HABs pueden ser un grave problema en aguas costeras e interiores (ríos, lagos y embalses) que reciben efluentes acuícolas. Lukassen et al. (2019a) reportaron que los compuestos de sabor desagradable producidos por las floraciones de algas nocivas (HABs), especialmente la geosmina, en la tilapia producida en jaulas de acuicultura, aumentaron el riesgo de disminuir la calidad y el valor del pescado.

sistemas de producción acuícola en ecosistemas cerrados (tanques, estanques y raceways) y abiertos (jaulas y sistemas de cultivo extractivo en lagos, ríos y aguas costeras).

2. Reciclaje de residuos acuícolas para generar diversos productos de importancia económica y mantener una buena calidad del agua para la producción acuícola.

Hu et al. (2022) reportaron que el lago Datong, un cuerpo de agua poco profundo en China, se volvió eutrófico y la calidad de sus aguas se deterioró tras la introducción de la acuicultura.

La extracción de líquido subterráneo para la acuicultura puede provocar la intrusión de agua salada y la salinización de las zonas costeras (Gopaiah et al., 2023). Todos estos cambios ambientales podrían afectar el sustento de las comunidades locales (da Silva et al., 2022; Nagaraju et al., 2022; Menon et al., 2023). Kim et al. (2022a) reportaron que un número creciente de granjas en la zona costera provocó la liberación de

residuos orgánicos derivados del exceso de alimento y metabolitos de los peces. Yang et al. (2021) y Chiquito-Contreras et al. (2022) reportaron que aproximadamente entre el 27% y el 49% de los alimentos suministrados a los estanques de producción acuícola se convierten en productos pesqueros, mientras que el resto se convierte en residuos que generalmente se vierten en los cuerpos de agua cercanos y, finalmente, constituyen uno de los factores que afectan negativamente la cadena de valor de la acuicultura. Las tecnologías de tratamiento de agua que son técnicamente factibles, ambientalmente prometedoras y financieramente rentables pueden integrarse en diferentes sistemas

Figura 1. Diferentes
Figura

de acuicultura para hacer de la industria un sector sostenible y contribuir a la economía circular. Los desechos de la acuicultura pueden recuperarse y reciclarse utilizando diversas tecnologías como la biorremediación, la aireación, la biocoagulación y la biofiltración aplicadas en varios sistemas de producción como el sistema de recirculación de acuicultura (RAS), la acuicultura multitrófica integrada (IMTA) y la acuaponía (acuicultura e hidroponía). En estas actividades económicas circulares, los desechos de la acuicultura pueden generar productos adicionales como algas marinas, hierbas, vegetales, moluscos y otros subproductos, al tiempo que generan una fuente de agua limpia que puede reciclarse y usarse para el cultivo (Figura 2). También son necesarios instrumentos legales e intervenciones autorizadas para regular la descarga de desechos de la acuicultura y garantizar que los productores consideren el impacto ambiental y la gestión de la calidad del agua en sus operaciones y prácticas. Esta revisión evaluó el impacto de diferentes

sistemas de producción en la calidad del agua y sugirió posibles enfoques, como el uso de innovaciones tecnológicas respetuosas con el ambiente y la buena gobernanza, para mejorar la gestión de la calidad del agua y lograr una industria acuícola sostenible.

Contaminación y amenazas a la calidad del agua en sistemas acuícolas

La mayoría de los sistemas acuícolas requieren un conocimiento profundo de la calidad del agua y la gestión de residuos para tomar decisiones de tratamiento precisas que garanticen la salud de los organismos cultivados con altos rendimientos (Davidson et al., 2022). Ssekyanzi et al. (2022) reportaron que, en África subsahariana, el conocimiento limitado sobre la calidad del agua es uno de los principales factores que contribuyen a la baja producción (<1 % de la producción mundial) y al lento crecimiento del sector acuícola. Los principales factores que contribuyen al deterioro del ambiente y la calidad del agua en la industria acuícola

incluyen los nutrientes (17%), otros contaminantes, incluyendo los emergentes (12%), la pérdida de hábitat (16%), las floraciones de algas nocivas (HABs) (9%), la falta de tecnologías de tratamiento (8%) y factores socioeconómicos (38%) (Theuerkauf et al., 2019). Los nutrientes desempeñan un papel fundamental en la eutrofización, lo que resulta en la proliferación masiva de HABs, como las cianobacterias y los dinoflagelados, y en una alta mortalidad de organismos cultivados en sistemas de cultivo (Tabla 1).

Las floraciones de cianobacterias también se asocian comúnmente con compuestos de olor tóxico, como la geosmina y el 2-metilisoborneol (2-MIB), que confieren un sabor desagradable al agua y a los organismos cultivados. Marques et al. (2018) y Ryan et al. (2022) observaron los impactos negativos de una granja acuícola intensiva en la calidad del agua de efluentes debido al exceso de nutrientes, especialmente fósforo y nitrógeno. Los contaminantes emergentes como los microplásticos (Tabla 1) pueden

Tabla 1. Principales problemas y medidas de mitigación en la gestión de la calidad del agua en sistemas de producción acuícola

Problemas

Nutrientes por exceso de alimento y metabolitos (fósforo y nitrógeno) – Eutrofización

Floraciones de algas nocivas (HABs) – Compuestos de sabor y olor (T/O) principalmente debidos a la geosmina y al 2-MIB (2-metilisoborneol)

Sistema acuícola

Sistemas de cultivo intensivo con altas tasas de siembra –Generan grandes cantidades de residuos (líquidos y sólidos)

Microplásticos – Tóxicos para los organismos vivos

Sistemas de agua abierta (producción en jaulas, producción extractiva) y sistemas de producción terrestres (p. ej., sistemas de recirculación acuícola [RAS], acuicultura multitrófica integrada [IMTA])

Jaulas para peces – Oreochromis niloticus RAS – Compuestos de sabor desagradable

Maricultura – Balsas, jaulas y redes son fuentes de microplásticos.

Sitios inadecuados para la acuicultura

Estanques, jaulas para peces

Medidas/tecnologías de mitigación

Acuicultura integrada/reparadora: uso de especies combinadas de moluscos y algas. Plantas de tratamiento de agua; eliminación de fósforo reactivo soluble (PRS) por adsorción a materia orgánica particulada.

Instalación de granjas de algas.

Monitoreo, detección temprana y prevención de cianobacterias productoras de geosmina y otros compuestos T/O mediante un método basado en PCR. Reducción de la carga externa de nutrientes.

Uso de probióticos para el manejo de las bacterias intestinales.

Optimización del método de depuración con un mejor tratamiento del agua.

Monitoreo de las concentraciones de microplásticos en cuerpos de agua y sistemas acuícolas. Reducción del uso de plásticos.

Uso de modelos para la selección de emplazamientos adecuados.

Beneficios

Mejora de la calidad del agua, mejora de la producción acuícola y mayor sostenibilidad.

Extracción de contaminantes y mejora de la calidad del agua. Servicios ecosistémicos mejorados

La degradación de la geosmina y el 2-MIB mediante el proceso UV/cloro mantiene la calidad del agua y mejora la calidad de los productos acuícolas.

Referencias

Falconer et al., 2018; Zhang et al., 2018; Theuerkauf et al., 2019; Pu et al., 2021; Purnomo et al., 2022

Cabral et al., 2016

Ma et al., 2018; John et al., 2020; Kibuye et al., 2021

Reduce la geosmina y otros compuestos con mal sabor y mejora la calidad del pescado.

Reduce los compuestos con mal sabor.

Reduce los efectos nocivos sobre los organismos y la salud humana. Producción acuícola saludable y segura

Evitar la contaminación, suministro continuo de agua de buena calidad para el cultivo

Lukassen et al., 2019a

Azaria and van Rijn, 2018

Chen et al., 2018; Krüger et al., 2020; Mallik et al., 2021; Cholewińska et al., 2022

Jayanthi et al., 2021; Racine et al., 2021

causar implicaciones para la salud como la reducción de la tasa de alimentación, el mal funcionamiento de las branquias, la reducción de la capacidad reproductiva y la supresión inmunitaria de los animales de cultivo (Mallik et al., 2021). En la acuicultura, los residuos plásticos de las granjas acuícolas, balsas, jaulas, redes y otras estructuras de producción relacionadas son fuentes de microplásticos (Chen et al., 2018; Krüger et al., 2020). Además, las biopelículas formadas en partículas microplásticas son fuentes de bacterias patógenas que pueden afectar negativamente a la acuicultura (Cholewińska et al., 2022).

Contaminación en fuentes de agua para la producción acuícola

La disponibilidad de agua limpia para la acuicultura es un factor importante que considerar en la selección del sitio para las operaciones acuícolas. De hecho, la selección del sitio adecuado para las actividades acuícolas es vital para mitigar los posibles problemas asociados con la contaminación y las actividades conflictivas, y para garantizar que el cuerpo de agua seleccionado sea un entorno propicio para el crecimiento sin comprometer los ecosistemas existentes (Tabla 1). Brigolin et al. (2015) y Jayanthi et al. (2021) utilizaron teledetección, herramientas geoespaciales y modelos matemáticos en combinación con factores de calidad del agua, características ambientales y datos socioeconómicos para identificar áreas adecuadas para la acuicultura en jaulas en estuarios y zonas costeras. Vaz et al. (2021) y Arega et al. (2022) desarrollaron un modelo de idoneidad del hábitat basado en la calidad del agua, la hidrodinámica y la biogeoquímica para la selección del sitio acuícola. En los sistemas de acuicultura, los contaminantes pueden provenir tanto de fuentes alóctonas (como alimentos, fertilizantes y/o fuentes de agua contaminada) como de fuentes autóctonas (biomasa de fitoplancton, metabolitos). El agua contaminada de ríos y aguas costeras puede afectar seriamente la salud y el crecimiento de las especies de cultivo, resultando en una alta mortalidad y bajos rendimientos. En sistemas de cultivo cerrados como estanques y tanques, la calidad del agua de entrada puede controlarse. Bajo circunstancias limitadas, el agua de baja calidad puede tratarse primero antes de su uso, aunque la producción aún sería menor en comparación con aquellos con una entrada de agua limpia. En sistemas

acuícolas ubicados en aguas abiertas como lagos y aguas costeras (Figura 1), los rendimientos dependen en gran medida de la calidad del agua in situ. En estas aguas naturales donde la producción en jaulas o la acuicultura extractiva es común, los contaminantes se asocian principalmente con actividades antropogénicas en las áreas de la cuenca y aguas arriba. Kim et al. (2022a) utilizaron las firmas isotópicas del 15-N para demostrar que los contaminantes orgánicos en estuarios y zonas costeras provenían principalmente de fuentes relacionadas con actividades antropogénicas, como fertilizantes orgánicos y vertidos acuícolas exportados a través de los ríos.

Para garantizar la sostenibilidad de la producción mediante una gestión adecuada de la calidad del líquido en aguas abiertas, Liu et al. (2023a) propusieron un marco de gestión de cuencas hidrográficas que utiliza estrategias de protección basadas en la economía y la calidad del agua para gestionar las cuencas hidrográficas con miras al desarrollo sostenible. Para prevenir la contaminación de fuentes difusas, es necesario evaluar y optimizar las interacciones entre la cobertura terrestre, el patrón y diseño del paisaje y la carga de contaminación (Ouyang et al., 2014; Falconer et al., 2018; Rong et al., 2021).

Factores que afectan la calidad del agua en los sistemas de producción

La calidad del agua en los sistemas acuícolas se ve influenciada por diversos factores físicos, químicos y biológicos, como la temperatura, la luz, el pH, el oxígeno disuelto, la materia orgánica/nutrientes, los microorganismos y diversas interacciones biológicas (Tabla 2). El cambio climático podría generar fluctuaciones drásticas en estos factores fisicoquímicos que afectarían la calidad del agua, aumentarían la incidencia de enfermedades en los peces y causarían una alta mortalidad y producción de peces (Lusiastuti et al., 2020). Alam et al. (2021) reportaron que la tilapia del Nilo (Oreochromis niloticus) produjo menos huevos bajo las altas temperaturas asociadas con el cambio climático y sugirieron estrategias de gestión eficaces para superar la baja producción de huevos en los laboratorios de peces.

La acidificación del océano y la disminución

del pH causaron problemas en la producción de mariscos, como las ostras (Abisha et al., 2022; Mayrand y Benhafid, 2023). El incremento del nivel del mar podría causar consecuencias positivas como la creación de nuevos hábitats en las aguas costeras o impactos negativos como la intrusión de agua salada. El aumento de la velocidad del viento y las olas causó la suspensión de sedimentos y una alta turbidez que afectó la calidad del agua y las actividades acuícolas (Shen et al., 2023). Las medidas de mitigación para superar los impactos de los cambios fisicoquímicos incluyen adaptaciones en los sistemas de producción, buenas estrategias de cultivo como la diversificación de especies y el uso de modelos predictivos (Tabla 2). Abisha et al. (2022) sugirieron el desarrollo de una acuicultura resiliente al clima a través de adaptaciones a los factores ambientales que tienen impactos negativos en los organismos para minimizar los impactos del cambio climático. Shen et al. (2023) utilizaron la teledetección satelital para evaluar los impactos ambientales y mejorar las regulaciones ecológicas para apoyar el desarrollo sostenible de la zona costera.

Los altos niveles de residuos orgánicos en los sistemas acuícolas, principalmente provenientes del exceso de alimentos y metabolitos, causaron una degradación de la calidad del agua caracterizada por altos niveles de amoníaco, nitrato y fósforo reactivo soluble, alta demanda biológica de oxígeno (BOD), alta demanda química de oxígeno (COD) y bajo oxígeno disuelto (Tabla 2). El fósforo (P) puede ser una fuente de contaminación ambiental y eutrofización en los sistemas acuícolas si no se elimina adecuadamente de las aguas residuales. En términos de nitrógeno, la proporción de amoníaco no iónico tóxico (NH3) depende de la concentración total de amoníaco (ion de amonio ionizado) y NH3 en la columna de agua, que a su vez está determinada por la temperatura y el pH del agua. Una vez que las concentraciones de amoníaco en el agua son altas, los peces tienen menor capacidad para excretarlo mediante difusión branquial, lo que resulta en la acumulación de amoníaco en los tejidos de los peces, lo que finalmente afectaría la salud y el crecimiento de los peces. Zhang et al. (2022a) reportaron que el amoníaco tóxico puede reducir la calidad y el rendimiento de la perca japonesa (Lateolabrax japonicus). Debido a sus

Tabla 2. Factores que afectan la calidad del agua en los sistemas de producción acuícola y medidas de mitigación

Factores

Factores fisicoquímicos/cambio climático

Materia orgánica

Edad y calidad del fondo del estanque

Compuestos tóxicos

Tipos de factores de estrés/impactos

Aumento de la mortalidad y baja producción: amenazan la seguridad alimentaria

Fluctuaciones extremas de los parámetros ambientales con altas precipitaciones: aumento de la incidencia de enfermedades en los peces

Disponibilidad de luz

Fluctuaciones extremas de temperatura: afectan la acuicultura en jaulas del salmón del Atlántico

Aumento de la temperatura: Laboratorio de tilapia del Nilo (Oreochromis niloticus) Acidificación del océano: disminución del pH; Reducción de la calcificación en mariscos

Excrementos y exceso de alimentación

Tipos de alimento: liberan compuestos nitrogenados, contaminan el agua y causan problemas de salud

Acumulación de materia orgánica y aumento de la relación C/N, lo que resulta en una baja producción

Amoníaco: efectos en el crecimiento, la supervivencia y el rendimiento del cultivo de perca japonesa (Lateolabrax japonicus)

Bajo oxígeno disuelto: hipoxia en la producción del salmón del Atlántico (Salmo salar)

Sulfuro de hidrógeno (H2S) en RAS: causa una mortalidad masiva repentina Contaminación por metales pesados: contamina el agua y los peces/ camarones

Liberación de metano y CO2 de los estanques de acuicultura

Floraciones de algas

Productos químicos

Comunidades microbianas

Enfermedades

Floraciones de cianobacterias, toxinas de algas

Antibióticos, productos químicos (p. ej., verde malaquita), metales pesados Desarrollo de genes resistentes a los antibióticos (ARG) que podrían ser perjudiciales para la salud. La mayoría de los antibióticos provienen de granjas acuícolas o aguas residuales domésticas.

Sulfonamidas: degradación de las aguas residuales de la acuicultura.

Bacterias respetuosas con el medio ambiente/biorremediación del ecosistema; bacterias patógenas/ enfermedades y problemas de salud relacionados.

Mala calidad del agua: aumento de la incidencia de la enfermedad de la mancha blanca; alta mortalidad y baja producción.

Medidas de mitigación:

Desarrollo de una acuicultura resiliente al cambio climático mediante la adaptación a los factores de estrés ambiental, la reproducción selectiva, la diversificación de especies y un sistema acuícola innovador.

Formulación de estrategias de sanidad animal acuática para reducir las enfermedades y utilizar menos productos químicos en las operaciones acuícolas.

Reducción/regulación de la abundancia y flotabilidad de cianobacterias tóxicas como Microcystis.

Modelos predictivos para adaptar las actividades acuícolas al cambio climático.

Estrategias de gestión: disminución de la intensidad de la luz y la temperatura. Reducción del CO2 atmosférico.

Alimentación de precisión. Alimentos de alta calidad, optimización de la densidad de población y eliminación eficaz de desechos.

Tecnologías y gestión de la alimentación para mejorar la calidad del agua.

Gestión adecuada de los estanques para reducir la acumulación de materia orgánica.

Reducir el nitrógeno amoniacal total a <0.3 mg N L—1.

Aireación (especialmente en las capas inferiores) para aumentar el oxígeno disuelto (DO) y disminuir la cantidad de materia orgánica. Se pueden utilizar microburbujas para aumentar el DO en las capas inferiores, donde el consumo de oxígeno tiende a ser alto. Se pueden aplicar tecnologías avanzadas como el internet de las cosas para garantizar un DO adecuado en todos los sistemas de acuicultura en todo momento.

Adición de peróxido de hidrógeno (H2O2) para la eliminación de H2S. Seguro para los peces.

Buenas prácticas de gestión y buena gobernanza para reducir la contaminación por metales pesados.

Reducir los residuos orgánicos, airear los estanques o dragar el fondo para prevenir la hipoxia.

Prevenir la eutrofización y la proliferación de algas tóxicas. pH y concentraciones de oxígeno disuelto altos y estables.

Utilizar fuentes de agua de alta calidad para el cultivo. Evitar el uso de antibióticos y productos químicos; utilizar alternativas como los probióticos, eliminar los antibióticos mediante fotólisis UV y degradación por gránulos microbianos

Uso mínimo y regulado de antibióticos en las granjas. Desarrollo de tecnologías para la eliminación de antibióticos de las aguas residuales. Desarrollo de biomarcadores para el monitoreo de antibióticos

Eliminar sulfonamidas: utilizar el sistema mediador lacasa-siringaldehído mediante la optimización de la superficie de respuesta, la cinética de degradación y las vías de degradación

Monitorear la dinámica de las poblaciones bacterianas en los sistemas acuícolas y sus procesos relacionados (biofiltración, biopelículas)

Una buena gestión de las granjas incluye mejorar la calidad del agua, mantener y estabilizar los parámetros físico-químicos y controlar el intercambio de agua para reducir la prevalencia de patógenos.

Referencias

Abisha et al., 2022

Lusiastuti et al., 2020

Xu et al., 2023

Gamperl et al., 2020

Alam et al., 2021

Guo et al., 2023

Kawasaki et al., 2016; Zhang et al., 2018; Liu et al., 2023b

Fiordelmondo et al., 2020

Hasibuan et al., 2023

Zhang et al., 2022a

Gamperl et al., 2020

Bergstedt et al., 2022

Le et al., 2022

Chen et al., 2016; Yang et al., 2018; Yuan et al., 2021; Zhao et al., 2021

Yñiguez et al., 2021; Xue et al., 2023

Falconer et al., 2018; Pandey et al., 2022; Sha et al., 2022

Han et al., 2020; Fernanda et al., 2022; Chen et al., 2022

Lou et al., 2022

Lukassen et al., 2019b

Swathi et al., 2021; Hassan et al., 2022

efectos adversos en las especies acuícolas, las concentraciones de amoníaco en los sistemas de producción deben monitorearse de cerca. Yu et al. (2021) utilizaron un método híbrido de computación blanda para predecir con precisión las concentraciones de amoníaco en el agua de cultivo en tiempo real. La temperatura, el carbono orgánico disuelto y el potencial de óxido-reducción (redox) son los principales impulsores de los flujos químicos en los estanques de producción de agua dulce (Yuan et al., 2021). La acumulación de materia orgánica en el fondo del estanque puede ser la principal causa de condiciones hipóxicas en estanques de producción enriquecidos (Yang et al., 2021). En condiciones anaeróbicas, la alta acumulación de materia orgánica puede producir metano (CH4), ácido sulfhídrico (H2S) y óxido nitroso (N2O), que podrían afectar negativamente la calidad del agua (Tabla 2). El H2S tóxico, que se encuentra comúnmente en sistemas de producción con bajo oxígeno, podría causar una mortalidad masiva repentina de peces/camarones. Wu et al. (2018b) reportaron que los flujos de CH4 y N2O en estanques de producción en tierra (inland) se correlacionaron positivamente con la temperatura y el carbono orgánico del sedimento, y negativamente con la concentración de oxígeno disuelto. Chen et al. (2016) y Yang et al. (2018) observaron que se liberaron cantidades sustanciales de CH4 y dióxido de carbono de los estanques de acuicultura marina. En estanques de acuicultura de agua dulce, Zhao et al. (2021) reportaron que se liberaron altas concentraciones de CH4 y demostraron que el dragado del fondo del estanque como parte de la preparación del estanque fue más eficaz para reducir el CH4 en comparación con la aireación. Por lo tanto, existe una necesidad de eliminación inmediata y continua de compuestos tóxicos como amoníaco, nitrito, H2S y CH4 en los sistemas de producción.

Las aguas ricas en nutrientes también se asocian con floraciones de cianobacterias que podrían producir compuestos con olor tóxico como la geosmina y el 2-MIB, lo que causa un sabor desagradable al agua y a los organismos cultivados. Si bien diversas bacterias y hongos producen geosmina, las cianobacterias, incluyendo especies planctónicas y bentónicas pertenecientes a Nostocales, Oscillatoriales y Synechococcales, son las principales

productoras de geosmina (Watson et al., 2016; John et al., 2018). Las toxinas de las cianobacterias representan amenazas y riesgos para la salud humana y animal. Estas proliferan rápidamente en aguas eutróficas debido a su capacidad para flotar y superar las limitaciones de luz (Tabla 2). Se ha descubierto que la geosmina causa un sabor desagradable en una amplia gama de entornos, incluyendo RAS (Azaria y van Rijn, 2018; Lukassen et al., 2019b). (2019a) informaron que se encontraron mayores densidades de bacterias productoras de geosmina en la capa mucosa intestinal y el sistema digestivo de la tilapia (O. niloticus) en comparación con la columna de agua, lo que indica que los probióticos pueden utilizarse para gestionar la microflora intestinal y mejorar la calidad del pescado. Debido a los impactos perjudiciales de las floraciones de algas nocivas (HABs) en los sistemas de producción acuícola, la salud ambiental y humana, y la socioeconomía, es necesario monitorizar de cerca la distribución y abundancia de especies tóxicas de microalgas para su detección temprana y la adopción de medidas preventivas. De hecho, la reducción de la carga externa de nutrientes es el aspecto más fundamental del control de las cianobacterias (Kibuye et al., 2021). Derot et al. (2020) utilizaron dos modelos de aprendizaje automático a largo plazo para pronosticar las HABs. Pal et al. (2020) sugirieron opciones biológicas como bacterias, virus, hongos y zooplancton para controlar las HABS. John et al. (2018) desarrollaron un novedoso método de reacción en cadena de la polimerasa dirigido al gen de la geosmina sintasa (geoA) para evaluar todas las fuentes importantes de geosmina, mientras que Ma et al. (2018) demostraron que una solución acuosa de cloro bajo luz ultravioleta podía eliminar eficazmente la geosmina y el 2-MIB en condiciones ácidas.

Además de los nutrientes, los sistemas acuícolas también pueden estar expuestos a otros contaminantes, como antibióticos y metales pesados, que podrían afectar la calidad de los productos (Tabla 2). Le et al. (2022) observaron la contaminación por metales pesados en la zona costera acuícola y enfatizaron la necesidad de buenas prácticas de gestión para que la acuicultura sostenible persista en la zona costera. El uso de antibióticos y productos químicos en la acuicultura también puede tener

efectos de gran alcance en las pirámides alimentarias ecológicas. Fernanda et al. (2022) demostraron que los parámetros de calidad del agua en estanques de producción estaban significativamente correlacionados con la abundancia de genes resistentes a los antibióticos (AR) que fueron arrastrados por un río contaminado por varias fuentes de las tierras cultivadas e industriales. En el medio ambiente, la partición y distribución de antibióticos están correlacionadas positivamente con la salinidad, los sólidos suspendidos, el pH, el amoníaco y el zinc, y negativamente con la temperatura, el oxígeno disuelto, el fosfato, la COD, el petróleo, el cobre y el cadmio (Li et al., 2022a). Los riesgos ecológicos y biológicos de los antibióticos son altos y pueden ser perjudiciales para los productos acuícolas. Chen et al. (2022) desarrollaron un biomarcador utilizando anhidrasa carbónica cianobacteriana para monitorear los antibióticos. Los productos químicos utilizados en la acuicultura también deben eliminarse antes de descargar aguas residuales al medio ambiente circundante. Las sulfonamidas de las aguas residuales de la acuicultura pueden degradarse mediante el sistema mediador lacasa-siringaldehído mediante la optimización de la superficie de respuesta, la cinética de degradación y las vías de degradación (Lou et al., 2022). Pandey et al. (2022) sugirieron la eliminación del verde de malaquita, que se utiliza comúnmente para el tratamiento de enfermedades en estanques de acuicultura, utilizando biocarbón inmovilizado con lacasa. Yanuhar et al. (2022) reportaron que la calidad del agua en estanques de concreto puede mejorarse mediante la aireación, la filtración y la reducción de materia orgánica mediante la optimización de la alimentación. Además de los parámetros físicos y químicos, los agentes patógenos como bacterias, hongos y otros organismos patógenos también pueden afectar la calidad del agua y el rendimiento (Tabla 2). Las comunidades microbianas en los sistemas acuícolas se ven afectadas por las condiciones ambientales, que a su vez se ven influenciadas por los vertidos continentales, los cambios climáticos y las presiones antropogénicas. Swathi et al. (2021) reportaron que los parámetros de calidad del agua estaban estrechamente relacionados con el brote de la enfermedad de la mancha blanca en estanques de cultivo de camarón. Por lo tanto, el monitoreo regular y la estimación de la diversidad microbiana permitirían a

los acuicultores vincular los parámetros de calidad del agua con el rendimiento posterior de los peces y evaluar la salud ambiental de los sistemas acuícolas y sus alrededores para la detección temprana de condiciones microbianas que podrían afectar la salud de los peces.

Gestión de la calidad del agua en sistemas de producción acuícola y métodos para mejorarla

Calidad del agua en sistemas de producción acuícola

Los sistemas de producción acuícola, incluyendo RAS, IMTA, acuaponía (acuicultura e hidroponía) y enfoques ecosistémicos, fueron diseñados y mejorados constantemente para optimizar la calidad del agua y la producción (Tabla 3). Estos sistemas de producción integrados, que no requieren intercambio de agua y producen microorganismos como fuente de alimento, pueden integrarse con diferentes tipos de biofiltración, biocoagulación, biofloculación e interacciones biológicas, incluyendo bioflocs y biorremediación (Xu et al., 2021; Igwegbe et al., 2022) para optimizar el tratamiento de aguas residuales (Tabla 4).

Acuaponía

La acuaponía, la integración de la acuicultura y la hidroponía, se basa conceptualmente en el uso eficiente del agua y el reciclaje de los nutrientes orgánicos acumulados mediante el uso de plantas. Es uno de los enfoques más eficaces para abordar los problemas del tratamiento de aguas residuales de la acuicultura, la contaminación de las aguas públicas, la mejora de la calidad del agua en los sistemas de cultivo y el desarrollo sostenible de la acuicultura (Yep y Zheng, 2019; Chiquito-Contreras et al., 2022; Okomoda et al., 2023). En esencia, la acuaponía utiliza procesos bacterianos y mejora la absorción de nutrientes por parte de las plantas para recuperarlos y reciclarlos de los sistemas acuícolas (Kalayci Kara et al., 2021; Chen et al., 2023). Sopawong et al. (2023) demostraron que la integración del cultivo de peces y plantas en un sistema flotante bio-verde mejoró significativamente la calidad del agua, la salud de los peces y la producción acuícola. Además, la acuaponía supera la escasez de tierra para la acuicultura, ya que el sistema puede construirse y diseñarse para adaptarse a cualquier área disponible, como en áreas urbanas y áreas

con escasez de agua. Palm et al. (2018) y Obirikorang et al. (2021) demostraron la mayor eficiencia de la producción acuícola en acuaponía improvisada para la producción acuícola comercial y la seguridad alimentaria. Para hacer que la acuaponía sea más efectiva, Calone et al. (2019) y Ekawati et al. (2021) la combinaron con RAS como RAS-acuaponía (A-RAS), que demostró ser eficaz para mejorar la calidad del agua, la tasa de supervivencia, la tasa de conversión alimenticia (FCR) y el rendimiento en la producción de bagres (Tabla 3). Con base en el mismo principio, Goddek y Körner (2019) diseñaron un sistema acuapónico hidropónico de múltiples bucles RAS para una mejor producción de peces y plantas con tamaño flexible. (2019) introdujeron un sistema integrado de cangrejo de río para el uso eficiente de los residuos en la producción de arroz. Existen diferentes combinaciones de especies alimentadas y extractivas en diferentes sistemas para mejorar la calidad del agua, como el bagre, las plantas y las bacterias en sistemas hidropónicos de biopelícula y NFT (Mohapatra et al., 2020; Li et al., 2022b) para mejorar la eficiencia de los biofiltros y la eliminación de amoníaco. Addy et al. (2017) demostraron que las microalgas fueron más eficientes en la eliminación de amoníaco que las plantas en el co-cultivo acuapónico. Otras tecnologías, como el sistema de paneles de plantación suplementados con biocarbón, la adición de ácido poliláctico y los sistemas de detección inteligente, se han integrado en el diseño de la acuaponía para mejorar la calidad del agua (Tabla 3).

Acuicultura multitrófica integrada

El concepto de IMTA utiliza especies acuícolas complementarias a lo largo de la cadena alimentaria en el proceso de comer y ser comido, de modo que los residuos se reciclan completamente y se minimiza la liberación de contaminantes a las aguas adyacentes (Figura 3). En el sistema IMTA, las especies de alimentación de importancia comercial (los principales peces o invertebrados que consumen alimentos determinados), se cultivan junto con especies extractivas de importancia comercial (especies acuáticas como algas o moluscos que se alimentan o utilizan los desechos de otras especies) para que se pueda mantener el equilibrio ecológico y la calidad del agua en el sistema (Figura 3). Dado que la alimentación es un factor importante en un sistema IMTA,

Flickinger et al. (2020) demostraron que el manejo de la alimentación es importante para determinar la calidad del agua que se traduce en la producción de camarones y peces en IMTA.

La selección de especies de diversos sistemas tróficos se basa en sus funciones fisiológicas y ecológicas para garantizar un reciclaje completo de la materia orgánica en el sistema con mínima generación de residuos y una buena calidad del agua, lo que contribuye a la sostenibilidad de la industria acuícola (Tabla 3). Largo et al. (2016) reportaron el uso de abalón (oreja de burro, Haliotis asinina) como especie de alimentación y algas marinas (Gracilaria heteroclada y Eucheuma denticulatum) como especies extractivas de nutrientes inorgánicos. Las algas marinas funcionaron eficazmente en el secuestro de nutrientes en diversos cultivos de peces y mariscos, minimizando el impacto de la contaminación y mejorando la calidad del agua, no solo en los sistemas acuícolas, sino también en los cuerpos de agua relacionados (Tabla 3). Se utilizaron granjas de algas marinas (Macrocystis pyifera) en un IMTA basado en macroalgas para secuestrar compuestos nitrogenados de los efluentes de la acuicultura de salmón, lo que resultó en bajas concentraciones de clorofila y una mejor calidad del agua (Hadley et al., 2018). En IMTA de agua dulce, Paolacci et al. (2022) demostraron que la lenteja de agua, Lemna spp., podría eliminar sustancialmente el nitrógeno y el fósforo totales, mantener una buena calidad del agua y aumentar la producción. Además de las macroalgas, se pueden introducir microalgas en IMTA en forma de perifiton y/o consorcios microalgasbacterias para reducir los nutrientes y otros contaminantes, mejorar la calidad del agua y producir biomasa algal para optimizar la producción de cultivos en el sistema (Milhazes-Cunha y Otero, 2017).

Sistema acuícola de recirculación

El RAS es un sistema de cultivo de animales acuáticos de circuito cerrado y alta densidad donde el agua de los tanques de peces se recircula para eliminar los desechos sólidos y líquidos, y el agua purificada se devuelve a los tanques de acuicultura (Figura 4). Está diseñado para proporcionar un sistema más controlado que reduzca el consumo de agua y produzca menos residuos (tanto líquidos como sólidos), y por lo tanto, es más eficiente y económico en comparación con

Enfoques/métodos/procesos

Acuaponía

Acuicultura multitrófica integrada (IMTA)

IMTA basada en macroalgas

IMTA basada en microalgas

Sistema de recirculación acuícola (RAS)

Sistema de depuración RAS

RAS-microalgas

RAS-microbios

RAS-IMTA integrado

Enfoque basado en ecosistemas – Integración del sistema acuícola de especies extractivas (cultivo de algas; manglar)

Modelo ecosistémico de acoplamiento físico-biológico

Especies/sistemas acuícolas

Bagre (Clarias gariepinus)

Bagre europeo (Silurus glanis)

Sistema acuapónico multibucle

Pangas (Pangasius hypophthalmus)

Sistema de tratamiento combinado hidropónico-biopelícula

Co-cultivo: tilapia y microalgas en acuaponía

Sistema integrado de langosta de río y arroz (CRIS)

Sistema de paneles de plantación suplementados con biocarbón; Biocarbón inmovilizado con lacasa

Aireación y adición de ácido poliláctico en acuaponía

Internet de las cosas (IoT) en acuaponía

Abulón (Haliotis asinine) y otros bivalvos

Trucha arcoíris (Oncorhynchus mykiss) y perca europea (Perca fluviatilis)

Híbrido de mero (Epinephelus fiscoguttatus x E. lanceolatus) y camarón blanco (Penaeus vannamei)

Especies de mariscos comerciales

Producción de salmón

Sistemas acuícolas: efluentes; Sistema binario de cultivo de microalgas

Cultivo de microalgas: reciclaje del medio de cultivo

Cultivo de trucha arcoíris (O. mykiss)

Cultivo de salmón del Atlántico (Salmo salar) con sistema de depuración

Cultivo de tilapia (Oreochromis niloticus): microalgas

Cultivo de peces marinos: microalgas

Cultivo de camarones: microalgas

Cultivo de peces marinos: bacterias, gránulos bacterianos inmovilizados

Cultivo de peces de agua dulce, cultivo de camarón –Comunidades microbianas

Cultivo de camarones – Mejora de la comunidad microbiana

Sistema de acuicultura – Biorreactor SNAD (nitrificación parcial simultánea, anammox y desnitrificación)

Cultivo de bagre africano (C. gariepinus) – RAS de descarga casi nula

Consorcios de microalgas y bacterias en RAS

Especies/función de apoyo

Espinaca y comunidades bacterianas en el sistema acuapónico (A-RAS).

Lechuga (Lactuca sativa) para la eliminación de nutrientes de aguas residuales de acuicultura, mejora de la calidad del agua, producción de peces y biomasa vegetal (A-RAS).

RAS-hidroponía para una mejor producción de peces y plantas con tamaño flexible. Caléndula (Tagetes erecta) en un sistema acuapónico con técnica de película nutritiva portátil (NFT).

Nutrientes eliminados eficientemente tanto por plantas como por biopelículas. La biopelícula promovió la eliminación de compuestos nitrogenados por desnitrificación.

Mejoró la calidad del agua, la salud y la producción de peces.

Las microalgas (Chlorella sp.) fueron más eficientes en la eliminación de amoníaco en comparación con las plantas. Un producto adicional de la biomasa de microalgas.

Menos fertilizantes para las plantas de arroz impulsa la producción y la economía de los agricultores.

El tratamiento del agua para el cultivo de peces aumenta el oxígeno disuelto y convierte los compuestos tóxicos en beneficiosos para el crecimiento de las plantas. Biorremoción de verde de malaquita tóxico de los sistemas acuícolas.

Disminución de la materia orgánica disuelta, mejora de la calidad del agua.

Monitoreo de IoT basado en la nube y sistemas de detección inteligente.

Mejora de la calidad del agua y la producción pesquera. Moluscos y algas. Las algas (Gracilaria heteroclada y Eucheuma denticulatum) extraen nutrientes (especialmente nitrato y amoníaco) de la columna de agua. Especies de lenteja de agua: Lemna minor y L. gibba

Mejora de la eliminación de nutrientes y la producción de biomasa.

Algas (Gracilaria bailinae).

Eliminan nutrientes inorgánicos, mejoran la calidad del agua, mejoran la salud y promueven el crecimiento de organismos cultivados.

Acuicultura de algas (especies extractivas).

Disminución o minimización de los impactos de la contaminación, la pérdida de hábitat, la acidificación oceánica y la presión pesquera: IMTA restaurativa.

IMTA basada en macroalgas: Cultivo de algas (Macrocystis pyrifera). Modelo 3D del ecosistema utilizado para cuantificar los cambios en la calidad del agua. Reducción de las concentraciones de clorofila a. Perifiton, consorcios microalgas-bacterias, inmovilización celular (perlas de alginato/reducción de nutrientes y otros contaminantes), mejora de la calidad del agua y producción de biomasa algal para alimento, fertilizantes y otros compuestos valiosos. Secuestro de nutrientes por microalgas (autofloculación); bacterias floculantes mejoraron el crecimiento de las microalgas. Optimización de la tasa relativa de renovación del agua, mantenimiento de una buena calidad del agua mediante monitoreo en línea de la calidad del agua, baja tasa de conversión alimenticia, alta tasa de crecimiento; desnitrificación de lodos para eliminar materia orgánica y nitrato.

Un sistema de depuración adicional en el RAS mejoró la calidad del agua y redujo los niveles de geosmina y 2-metilisoboreol.

Inclusión de microalgas (Chlorella vulgaris y Tetradesmus obliquus) para el pretratamiento de efluentes acuícolas: mejora del crecimiento microalgal y la eliminación de nutrientes.

Microalga (Tetraselmis sp.): alta eliminación de nutrientes (N y P). Producción de biomasa microalgal rica en lípidos y compuestos útiles para la alimentación de peces.

Microalga (Tetraselmis sp.) inmovilizada: reducción de compuestos nitrogenados y fosforados.

Bacterias nitrificantes en RAS: oxidación del amoníaco a nitrato; eliminación de antibióticos: fotólisis ultravioleta y biodegradación mediante gránulos bacterianos inmovilizados.

Comunidades microbianas en el sistema de biofiltración de RAS. La adición de fuentes de carbono mejoró las comunidades microbianas en biofiltros en sistemas de almacenamiento de carbono (RAS).

Circulación del agua en la comunidad microbiana/mejora de la calidad del agua, mejor crecimiento.

Eliminación efectiva de nitrógeno y COD en condiciones de alto oxígeno disuelto.

Recuperación y reutilización de fósforo por microbios en tratamientos anóxicos y anaeróbicos.

Reducción significativa de compuestos nitrogenados y mejor calidad del agua.

Referencias

Ekawati et al., 2021

Calone et al., 2019

Goddek and Körner, 2019

Mohapatra et al., 2020

Li et al., 2022b; Sopawong et al., 2023

Addy et al., 2017

Liu et al., 2019

Mopoung et al., 2020; Pandey et al., 2022

Wu et al., 2018a

Lee and Wang, 2020; Taha et al., 2022

Largo et al., 2016; Park et al., 2018

Paolacci et al., 2022

Zhang et al., 2022b

Theuerkauf et al., 2019

Hadley et al., 2018

Milhazes–Cunha and Otero, 2017; Luo et al., 2019

Li et al., 2019; Nguyen et al., 2019b

Reactor de biopelícula de lecho móvil (MBBR)

Langostino de río y tambaquí – RAS–IMTA

Acuicultura costera, cultivo de camarones, camarón blanco (L. vannamei).

Cultivo integrado de bivalvos y algas

Eliminación de amoníaco mediante MBBR, lo que resulta en una mejor calidad del agua.

Mejoras en la eficiencia del sistema, mejores rendimientos.

Enfoque ecológico. Integración de la acuicultura y la gestión de manglares/preservación y sostenibilidad.

Manglares, sostenibilidad de la industria acuícola. Integración del cultivo de algas marinas en el sistema acuícola.

Aumento de la producción de algas marinas (Saccharina japonica) y ostras (Crassostrea gigas), mejora de la calidad del agua y sostenibilidad del ecosistema.

Pulkkinen et al., 2018; Suhr et al., 2014

Davidson et al., 2022

Ramli et al., 2017; Tejido–Nuñez et al., 2019

de Alva and Pabello, 2021

Khatoon et al., 2021

Sha et al., 2022

Jiang et al., 2019; Chen et al., 2020

Chen et al., 2019

Lu et al., 2020

Yogev et al., 2020

Chun et al., 2018

Ashkanani et al., 2019

Flickinger et al., 2020

Racine et al., 2021; Musa et al., 2023

Fan et al., 2020

Tabla 3. Sistemas de producción acuícola para mejorar la calidad

los sistemas convencionales de acuicultura de flujo continuo y en jaulas (Tabla 3). En RAS, se puede optimizar la tasa relativa de renovación del agua, disminuir el índice de conversión alimenticia (FCR) de los peces y aumentar la tasa de crecimiento (Pulkkinen et al., 2018). Dado que el exceso de alimento y la mala calidad pueden causar problemas de calidad del agua en RAS, Kamali et al. (2022) consideraron los efectos de los regímenes de alimentación en la acumulación de amoníaco y oxígeno disuelto al diseñar un nuevo RAS para mejorar la sostenibilidad de la acuicultura.

La eficiencia del RAS en la gestión de la calidad del agua podría mejorarse combinando el sistema con otros componentes funcionales, como el sistema de depuración para eliminar el mal sabor, el sistema de microalgas para mejorar la eliminación de nutrientes y las comunidades bacterianas, como en los sistemas simultáneos de nitrificación parcial, oxidación anaeróbica del amonio (anammox) y desnitrificación para mejorar el reciclaje de materia orgánica-inorgánica (Tabla 3). La biofiltración en sistemas de tratamiento de aguas residuales (RAS) convierte el amoníaco en nitrato, una forma menos tóxica. Según Santos et al. (2022), el nitrato es entre 100 y 200 veces menos tóxico. Otros métodos alternativos de eliminación de nutrientes, como la oxidación directa o indirecta, la adsorción con zeolitas y carbón activado, la extracción con aire y la ósmosis inversa, presentan sus propias desventajas en términos de baja eficiencia y altos costos energéticos (Díaz et al., 2012; Gendel y Lahav, 2013). Yogev et al. (2020) demostraron que el P del RAS puede eliminarse eficientemente (>99%) mediante biomineralización en un reactor anaeróbico y reutilizarse como fertilizante. Para otros compuestos tóxicos, Bergstedt et al. (2022) propusieron el uso de peróxido de hidrógeno para eliminar el H2S de un RAS de agua salada. El RAS es ventajoso en áreas con tierras y agua limitadas. En países con grave escasez de agua, como los países del Consejo de Cooperación del Golfo, el RAS es útil para reciclar aguas residuales y superar la escasez de agua para la acuicultura (Qureshi, 2022).

Integración de sistemas de producción mediante enfoques ecosistémicos para la mejora de la calidad del agua

En la mayoría de los sistemas de producción, compuestos tóxicos como el amoníaco, el nitrito y el H2S pueden deteriorar la calidad del agua, aumentar la mortalidad y reducir la producción. Si bien la acuaponía, el IMTA y el RAS se han diseñado individualmente para mejorar la calidad del agua y aumentar la producción, la integración de estos sistemas de producción podría aumentar la eficiencia y el rendimiento de los sistemas acuícolas. La integración de A-RAS (Acuaponía y RAS) e I-RAS (IMTA y RAS), respaldada por diversos componentes biológicos funcionales como bacterias y microalgas, puede hacer que los sistemas de producción acuícola sean más productivos, rentables y eficientes, con un menor consumo de agua y un menor riesgo de enfermedades (Figura 5).

Esencialmente, la acuaponía, el IMTA, el RAS y sus combinaciones (A-RAS, I-RAS) se basan conceptualmente en enfoques ecosistémicos, donde la integración y la gestión holística de los diferentes componentes del ecosistema son esenciales para mantener su resiliencia y estabilidad ecológicas y garantizar una producción óptima en sistemas cerrados. Sin embargo, la acuicultura basada en ecosistemas también puede implementarse en sistemas abiertos, como la integración de la acuicultura y la gestión de manglares en un enfoque eco-verde (Racine et al., 2021; Musa et al., 2023). Un modelo ecosistémico con cocultivo de bivalvos (como herbívoros) y algas marinas (como consumidores de nutrientes) impulsaría la red trófica de nutrientes, fitoplancton, zooplancton y detríticos, aumentaría la eficiencia del reciclaje de residuos, mejoraría la calidad del agua y la productividad (Cabral et al., 2016; Park et al., 2018). Fan et al. (2020) reportaron un aumento en la producción de algas marinas (Saccharina japonica) y ostras (Crassostrea gigas), con una mejor calidad del agua, lo que fortalece y estabiliza el ecosistema (Tabla 3).

Métodos para mejorar la calidad del agua

Diferentes tecnologías (como la biorremediación, el biofloc y el “internet de las cosas” [IoT]) y procesos (reacciones químicas, filtraciones, coagulaciones y floculaciones) pueden integrarse en sistemas acuícolas cerrados, como la acuaponía y los sistemas RAS, o en sistemas abiertos, como las aguas costeras, para optimizar el tratamiento y el reciclaje de aguas residuales,

lo que a su vez mejora la calidad del agua y la producción acuícola (Tabla 4, Figura 5). Liu et al. (2021b) integraron filtros de biofloc heterotrófico y biofloc nitrificante para controlar simultáneamente el amoníaco, el nitrito, el nitrato, el fósforo reactivo soluble y la alcalinidad con microbios funcionales relevantes, como bacterias oxidantes de amoníaco y nitrito, bacterias desnitrificantes, organismos acumuladores de fósforo (PAOs), PAOs desnitrificantes y bacterias acumuladoras de glucógeno.

Biorremediación

La biorremediación implica el uso de microorganismos respetuosos con el medio ambiente para mitigar la contaminación, mejorar la calidad del agua y mantener la salud ecológica en los sistemas acuícolas (Devaraja et al., 2002; Sun et al., 2022). Estas bacterias de biorremediación funcionan para descomponer los desechos orgánicos en compuestos inorgánicos útiles que se reciclan para mantener un ciclo de nutrientes saludable en varios sistemas de cultivo (Tabla 4). La biorremediación minimiza el uso de antibióticos y fármacos y, por lo tanto, disminuye las consecuencias perjudiciales de los agentes quimioterapéuticos utilizados rutinariamente y produce productos seguros para el consumo humano (Sha et al., 2022). Además, estas bacterias respetuosas con el medio ambiente ayudan a mejorar las condiciones de salud de los organismos cultivados al protegerlos contra enfermedades infecciosas, administrar antígenos y proporcionar varios otros beneficios para la salud en la acuicultura. Se han utilizado varias bacterias de biorremediación en la acuicultura, siendo las más comunes y populares las especies de Bacillus. Geng et al. (2022) utilizaron bacterias (Bacillus subtilis y Bacillus licheniformis) y microalgas (Chlorella vulgaris) para biorremediar desechos acuícolas, y estos organismos, a su vez, se convirtieron en alimentos para el mejillón vela triangular filtrador (Hyriopsis cumingii). Además, las especies de Bacillus mejoraron las actividades de las enzimas digestivas del mejillón. Gao et al. (2018) reportaron que un desnitrificador aeróbico eficiente, Bacillus megaterium, tiene una alta capacidad para eliminar el nitrito tóxico y mejorar la calidad del agua. John et al. (2020) reportaron que las concentraciones de amoníaco, nitrito y nitrato en el consorcio microbiano de aguas residuales de cultivo de tilapia se redujeron

Tabla 4. Tecnologías y procesos para mejorar la calidad del agua en sistemas acuícolas.

Tecnologías/ procesos acuícolas

Biorremediación

Aplicaciones/Características principales

Triangle sail mussel culture (Hyriopsis cumingii)

Intensive aquaculture ponds

Tilapia culture – aquaculture wastewater

Aquaculture systems – fish, shrimp

Fitorremediación – Acuicultura basada en microalgas

Bioflocs

Flow–through system for Eurasian Perch (Perca–fluviatilis)

Fishery wastewater

Binary microalgae culture system

Microalgae–bacteria symbiotic system

Biotic control: biological agents for HABs treatment

Aquaculture systems – binary microalgae culture

Tilapia culture (Oreochromis niloticus)

Jade Perch RAS – biofloc with heterotrophic and nitrifying bacteria

Shrimp culture – Penaeid shrimp Litopenaeus vannamei

Tank cultures – issues on emerging pollutants, antibiotic–resistant genes and organic micropollution

Catalytic ozonation–membrane filtration

Filtración biológica

Tecnología de filtración por membranas

Oxidación electroquímica

Método híbrido de filtración por electrocoagulación

Biocoagulación-floculación/ adsorción – Extracto de semilla de Picralima nitida

Biological filters in common carp culture

Filtración por membranas en sistemas de recirculación de acuicultura (RAS)

Dorada (Sparus aurata) y lubina (Dicentrarchus labrax) en sistemas de recirculación de acuicultura (RAS)

Aguas residuales del sistema acuícola: sistema de filtración por electrocoagulación (EC) compuesto por reactor de EC, floculador mixto y equipo de filtración

Cultivo de bagres

Sistema de biorreactores de ionización (RAS) marino y terrestre para salmón (Salmo salar)

Camarón blanco del Pacífico (Penaeus vannamei)

Productos químicos y veterinarios

Desarrollo de alimentos verdes

Tecnologías: Internet de las cosas (IoT), inteligencia artificial (IA) y modelos

Biorremediación

Acuicultura de agua dulce

Red de sensores inalámbricos, inteligencia artificial (IA): sistema de monitoreo, automatización y alerta basado en web

Enfoque de aprendizaje automático para la evaluación de la calidad del agua en sistemas acuícolas

Un modelo de red neuronal híbrida para el oxígeno disuelto y otros parámetros de calidad del agua

Computación híbrida blanda

Datos de baja a alta frecuencia: plataforma autónoma de recolección de datos

Pronóstico de la calidad del agua a largo plazo y en múltiples etapas

Método de evaluación integral difusa

Modelo de cinética de biorreacción para evaluar la acumulación de contaminantes en el tejido de los peces

Beneficios

Bacillus subtilis, Bacillus licheniformis y microalgas, Chlorella vulgaris/biorremediación Residuos de acuicultura: proporcionan alimento a los mejillones (H. cumingii) y mejoran la actividad de las enzimas digestivas.

Bacillus megaterium con alta eficiencia de desnitrificación aeróbica (>90 % de eliminación de NO2–N). El desarrollo de biopelículas mejora la desnitrificación (>95 % de eliminación de nitratos).

Consorcio bacteriano: Bacillus cereus, Bacillus amyloliquefaciens y Pseudomonas stutzeri. Microalgas (Nannochloropsis oculata, Tetraselmis suecica): eliminación de nutrientes altamente eficiente (de aguas residuales) a bajo costo. Los cultivos dobles (peces y algas) mejoran la producción de biomasa. Producción de subproductos: bioetanol Biofiltro de microalgas marinas inmovilizadas Algas Ulva lactuca: biorremedian el agua y sirven como aditivo alimentario Un alga, Pseudokirchneriella subcapita, mejoró la calidad del agua

Co-cultivo de microalgas: Thalassiosira pseudonana e Isochrysis galbana. Microalgas: mejora de la calidad del agua y del crecimiento algal

Sistema simbiótico microalga-bacteria: tratamiento sincronizado de aguas residuales y recuperación de nutrientes

Sistema integrado de microalgas y bacterias/fuentes de carbono optimizadas, mejor eliminación de nutrientes

Modo de interacción específico de cada especie con las floraciones algales (bacterias, virus, hongos y zooplancton) mediante alimentación (depredación), lisis o competencia

Flóculos microalga-bacterias/eliminación de nutrientes y biomasa de microalgas

Reducción de nutrientes inorgánicos mediante diferentes iniciadores de biofloc (carbohidratos)/ mejora de la calidad del agua

Las bacterias heterótrofas eliminaron el nitrato y el fósforo reactivo soluble, y las bacterias nitrificantes eliminaron el nitrito. Ahorro de recursos de carbono. Las bacterias heterotróficas mostraron un mejor rendimiento que las bacterias autótrofas en la capacidad de purificación de aguas residuales.

Comunidad bacterioplanctónica basada en biofloc: mejora la calidad del agua, controla patógenos y fortalece la inmunidad del camarón.

Sistema de recirculación ecológico con filtración biológica mejorada. Degradación de materia orgánica y disminución de amoníaco.

Uso de medios adicionales como heno de trigo y cascarilla de arroz como filtros biológicos para mejorar la calidad del agua y el crecimiento de los peces.

Buen efecto de tamizado y mecanismo de eliminación de solutos, pero presenta problemas como su alto costo y alta bioincrustación.

Sin especies de apoyo/mejora de la calidad del agua con alta eficiencia en la eliminación de amoníaco y desinfección de peces, reducción del consumo de agua; mayor producción pesquera.

Pretratamiento de aguas residuales de acuicultura marina.

Tratamiento de efluentes de acuicultura con extracto de semilla de Picralima nitida/mejora de la biodegradabilidad de los residuos, eliminación significativa de contaminantes, calidad superior del efluente.

Tratamiento de efluentes de acuicultura mediante coagulación de fósforo y materia orgánica.

Eliminación de P, N, geosmina y metales pesados del RAS. Mejora de la calidad del agua en RAS

Mejora de la salud, supervivencia y producción de especies cultivadas

Mejor índice de conversión alimenticia (FCR) y mejor calidad del agua

Monitoreo de la calidad del agua en sistemas acuícolas

Mejora de la calidad del agua y la producción acuícola

Para predecir la concentración de oxígeno disuelto y otros parámetros de calidad del agua en sistemas acuícolas

Medición y monitoreo de amoníaco en tiempo real Monitoreo de la calidad del agua y la producción piscícola

Predicción precisa de la calidad del agua para un monitoreo eficaz de la misma

Mejora de la calidad del agua

Evaluación de riesgos para la calidad ambiental y la seguridad de los peces

Referencias

Geng et al., 2022

Gao et al., 2018; Xu et al., 2019

John et al., 2020

Reyimu and Özçimen, 2017; Nie et al., 2020; Emparan et al., 2020; Elizondo–González et al., 2018; Kumar et al., 2016

O’Neill and Rowan, 2022

Wang et al., 2021; Kim et al., 2020

Rashid et al., 2018; Bhatia et al., 2022; Sun et al., 2022; Wang et al., 2022

Nguyen et al., 2019a

Pal et al., 2020

Rashid et al., 2018; Nguyen et al., 2019a Luo et al., 2017; Putra et al., 2020

Kim et al., 2020; Liu et al., 2021b

Kim et al., 2022b; Ríos et al., 2023

Jin et al., 2023

Chen et al., 2015

Hassan et al., 2022

Ng et al., 2018

Santos et al., 2022

Xu et al., 2021

Igwegbe et al., 2022

Letelier–Gordo and Fernandes, 2021

Kujala et al., 2020; Lindholm–Lehto et al., 2020

Patil et al., 2022

Farradia et al., 2022

Shi et al., 2018; Eze et al., 2021; Wei et al., 2023

Rana et al., 2021; Rahman et al., 2021

Eze and Ajmal, 2020; Liu et al., 2021a; Ranjan et al., 2023

Yu et al., 2021

Sampaio et al., 2021

Islam et al., 2021

You et al., 2021

Bai et al., 2021

Modelos de aprendizaje automático para la predicción de floraciones de algas nocivas (HABs)

Satélites Sentinel-2

Imágenes satelitales Sentinel-2 para el índice de calidad del agua

Modelos de aprendizaje automático para la predicción de la mortandad de peces

Sistema inteligente de control y trazabilidad basado en IoT

Procesamiento de datos de redes de creencias profundas (DBN) y descomposición modal variacional (VDM) – Modelo DBN VMD

Técnicas de IA

Integración de IA e IoT

Sistema de aireación semiflotante alimentado con energía solar

Modelo de calidad del agua en zonas de cultivo de peces: considera los componentes acuáticos que interactúan: ciclo del P, ciclo del N, oxígeno disuelto, fitoplancton y carbono orgánico particulado

Marco de modelado de la calidad del agua para la resistencia a los antibióticos en sistemas acuícolas

Equipos inteligentes y no tripulados

significativamente mediante el uso del consorcio microbiano de Bacillus cereus, Bacillus amyloliquefaciens y Pseudomonas stutzeri como biorremediadores. La fitorremediación mediante plantas como macrófitas y microalgas, para el secuestro de nutrientes, es otra forma de biorremediación útil para mejorar la calidad del agua en los sistemas acuícolas (Tabla 4). Tejido-Nuñez et al. (2019) demostraron una mejor calidad del agua cuando el efluente acuícola se trató con C. vulgaris y Tetraselmis obliquus, lo que indica que las microalgas fueron eficaces en la eliminación de nutrientes. Nie et al. (2020) sugirieron algunas opciones para la integración del cultivo de microalgas con el sistema acuícola, como fotobiorreactores flotantes permeables, consorcios de bacterias y microalgas, cultivo de microalgas mixotróficas y producción de biopelículas. La biofloculación de microalgas y bacterias puede mejorar la eliminación de nutrientes y facilitar la cosecha de microalgas (Nguyen et al., 2019a). Kumar et al. (2016) demostraron que los bloques de algas de agar-alginato, conocidos como sistemas de biofiltros de microalgas marinas inmovilizadas, fueron eficaces para la eliminación de nutrientes de las aguas residuales de la acuicultura. Las microalgas pueden introducirse no solo en el sistema de biofiltración, sino también como un componente para utilizar N y P inorgánicos para su crecimiento mejorado, y la biomasa resultante puede valorizarse como alimento para otros organismos acuáticos (MilhazesCunha y Otero, 2017). Li et al. (2019) y

Prevención de floraciones de algas nocivas (HABs)

Monitoreo de la calidad del agua y cianofloraciones HABs

Evaluación del microfitobentos mediante teledetección para determinar el estado de salud de los cuerpos de agua

Predicción de la mortandad de peces y floraciones tóxicas en áreas acuícolas

Pronosticar y mantener la calidad del agua en el sistema acuícola

Modelo VMD-DBM para una alta precisión de predicción y estabilidad del oxígeno disuelto en sistemas acuícolas

Modelado diario del oxígeno disuelto. Máquina de vectores de soporte de mínimos cuadrados (LSSVM), splines de regresión adaptativa multivariante y árbol de modelos M5 (M5T)

Integra IA, IoT y sensores inteligentes en acuicultura (monitoreo de la calidad del agua y alimentación) / mejora la calidad del agua, la alimentación de precisión, la supervivencia y la producción.

Aumenta el oxígeno disuelto.

Para la evaluación de sitios de acuicultura.

Evalúa bacterias y genes AR en sistemas acuícolas.

Aplicaciones convenientes y eficientes de equipos inteligentes y no tripulados para la gestión de la calidad del agua, la alimentación de precisión y la estimación de biomasa en sistemas acuícolas.

Nguyen et al. (2019b) reportaron que C. vulgaris produjo mayor biomasa con una disminución significativa de N total, P total, BOD y COD al utilizar aguas residuales acuícolas recicladas como medio de cultivo. Wang et al. (2021) demostraron que las microalgas produjeron mayor biomasa y mayor contenido nutricional al cultivarse en desechos pesqueros. Al cultivarse con bacterias de biorremediación (cultivo binario de microalgas), las microalgas mostraron una alta tasa de crecimiento, una biofloculación mejorada, metabolitos de alto valor y una alta eficiencia de eliminación de carbono orgánico total, nitrógeno amónico y fósforo total (Rashid et al., 2018; Luo et al., 2019). Un mayor número de bacterias degradadoras facilita la integración de microalgas en la degradación de contaminantes orgánicos en aguas residuales acuícolas, lo que promueve la salud de los peces (Zhang et al., 2022b).

Tecnología de biofloc

Los bioflocs son agregados de comunidades biológicas mixtas que consisten en bacterias, algas, hongos y zooplancton que funcionan no solo para degradar la materia orgánica, reducir contaminantes y mejorar la calidad del agua, sino también para formar una fuente importante de alimento e inmunoestimulantes para los organismos cultivados (Tabla 4). La comunidad microbiana mejora el reciclaje de nutrientes de metabolitos a través de la biorremediación in situ, generando nutrientes para el desarrollo de microalgas

Derot et al., 2020

Caballero and Navarro, 2021

Oiry and Barillé, 2021

Yñiguez and Ottong, 2020

Gao et al., 2019

Ren et al., 2020

Heddam and Kisi, 2018

Danh et al., 2020; Huan et al., 2020; Pasika and Gandla, 2020; Chang et al., 2021

Dayıoğlu, 2022

Arega et al., 2022

Jampani et al., 2022

Ubina and Cheng, 2022; Wu et al., 2022

y zooplancton que sirven como alimentos naturales y mantienen la calidad del agua en el sistema (Chen et al., 2023). En la tecnología de biofloc (BFT), las comunidades bacterianas dominadas por bacterias heterotróficas se pueden desarrollar en sistemas de acuicultura utilizando fuentes de carbono apropiadas en proporciones C:N adecuadas (Gaona et al., 2016). Ríos et al. (2023) reportaron que la proporción C:N de 10 mejoró significativamente la estimulación inmune en camarones. Las bacterias heterotróficas utilizan carbono orgánico como almidón y azúcar para generar energía y crecer hasta convertirse en microbiomasa. Putra et al. (2020) observaron que la melaza era el mejor iniciador de biofloc para un sistema de cultivo de tilapia. Luo et al. (2017) sugirieron el uso de carbohidratos externos (poli-β-hidroxibutírico y policaprolactona) para mejorar la comunidad bacteriana, la dinámica del nitrógeno y la calidad del biofloc en el sistema de cultivo de tilapia (O. niloticus). Kim et al. (2022b) reportaron que los grupos microbianos respetuosos con el medio ambiente en un sistema de biofloc de camarón blanco del Pacífico, Penaeus vannamei, incluyen Rhodobacteraceae, Flavobacteriaceae y Actinobacteria. En general, en BFT, los heterótrofos fueron mejores en comparación con las bacterias autótrofas para el tratamiento de aguas residuales (Kim et al. 2020).

Métodos físico-químicos

Los métodos físicos y químicos, como la

PRODUCCIÓN

filtración, la coagulación, la floculación y la adsorción, eliminan los contaminantes de las aguas residuales de la acuicultura, mientras que la oxidación electroquímica descompone los compuestos orgánicos persistentes y la aireación aumenta el oxígeno disuelto en el agua (Santos et al., 2022). Estos métodos pueden aplicarse individualmente o en combinación en diversos sistemas acuícolas para aumentar aún más la eficiencia de la mejora de la calidad del agua y optimizar la producción (Tabla 4).

Los biofiltros (medios con microorganismos adheridos como bacterias, hongos, algas y protozoos) y los filtros de membrana eliminan los contaminantes a medida que las aguas residuales fluyen a través de ellos (Ng et al., 2018; Hassan et al., 2022; Jin et al., 2023). La coagulación (aglomeración de partículas), la floculación (sedimentación de materiales coagulados) y la adsorción (adherencia de sustancias) pueden eliminar eficazmente los sólidos suspendidos y disueltos de las aguas residuales de la acuicultura (LetelierGordo y Fernandes, 2021; Igwegbe et al., 2022). Yanuhar et al. (2022) reportaron que la calidad del agua en estanques de concreto puede mejorarse mediante la aireación, la filtración y la reducción de materia orgánica mediante la optimización de la alimentación. Se pueden seleccionar diferentes tipos de biofiltración, biocoagulación, biofloculación e interacciones biológicas para mejorar el tratamiento y el rendimiento de las aguas residuales en los sistemas acuícolas, dependiendo de su funcionalidad y costos (Tabla 4). Santos et al. (2022) introdujeron la oxidación electroquímica como una alternativa a la biofiltración en RAS y reportaron varias ventajas, incluyendo la disminución de compuestos tóxicos y subproductos nocivos, la desinfección del agua, la reducción del uso de agua, la fácil adaptación a diferentes escalas de producción y un aumento en la salud y el rendimiento de los peces. Además, los efluentes acuícolas pueden tratarse mediante la coagulación de fósforo y materia orgánica con FeCl3 y AlSO3 (Letelier-Gordo y Fernandes, 2021). Kujala et al. (2020) y Lindholm-Lehto et al. (2020) utilizaron un reactor de viruta de madera, floculantes orgánicos y filtración lenta en arena para eliminar eficientemente nitrógeno, fósforo, geosmina y metales pesados del cultivo de trucha arcoíris (Oncorhynchus mykiss).

Tecnologías y modelos de IoT

Tradicionalmente, el monitoreo de la calidad del agua en sistemas acuícolas requiere un muestreo manual, lo cual requiere mucho tiempo y dinero. Con el desarrollo de nuevas tecnologías, se pueden diseñar y desarrollar sistemas de monitoreo en tiempo real y alerta temprana basados en el IoT y sistemas de monitoreo inteligente (IMS) para que el monitoreo y la gestión de la calidad del agua sean más eficientes y eficaces. El IoT, que consiste en una red colectiva de dispositivos de comunicación integrados con inteligencia artificial (IA) y modelado, puede mejorar el monitoreo y la gestión de parámetros esenciales de calidad del agua, como el oxígeno disuelto, los valores de pH, la turbidez y la temperatura en un sistema acuícola (Figura 5). La red de sensores

inalámbricos se ha utilizado ampliamente para el monitoreo de la calidad del agua (Shi et al., 2018; Wei et al., 2023). Rana et al. (2021) utilizaron el enfoque de aprendizaje automático para evaluar la influencia de los parámetros de calidad del agua en el rendimiento del crecimiento de la acuicultura de agua dulce. Rahman et al. (2021) desarrollaron un marco integrado para la gestión camaroneras utilizando sensores, aprendizaje automático y métodos de visualización basados en realidad aumentada a través de interfaces interactivas en tiempo real. Por lo tanto, se pueden desarrollar modelos para predicciones precisas de los parámetros de calidad del agua, como el modelo de predicción híbrido (Eze et al., 2021; Ranjan et al., 2023) y el método de evaluación integral difusa (You et al., 2021),

Figura 3. Sistemas acuícolas multitrófica integrada (IMTA); en tanques (A), estanques (B) y aguas costeras (C).

para mejorar la gestión de la calidad del agua. Caballero y Navarro (2021) y Oiry y Barillé (2021) utilizaron el satélite Sentinel-2 para monitorear la calidad del agua, las cianoHAB y el microfitobentos. Xiang et al. (2023) utilizaron la teledetección satelital para monitorear el color y la transparencia del agua, en relación con las actividades terrestres que causan turbidez del agua y un aumento de contaminantes en los ecosistemas acuáticos.

La alimentación de precisión con un mínimo desperdicio es esencial para mantener una buena calidad del agua en los sistemas acuícolas, ya que el exceso de alimento es una de las principales causas del deterioro de la calidad del agua en dichos sistemas. Fiordelmondo et al. (2020) reportaron que el tipo y la gestión de la alimentación podrían mejorar la calidad del agua en el cultivo de trucha arcoíris. Liu et al. (2023b) desarrollaron un sistema de alimentación de precisión en una plataforma de software integrando la gestión de la alimentación, un sistema de monitoreo de la calidad del agua, un sensor de actividad de alimentación de peces y una máquina de alimentación automática en una plataforma de software. Para mayor comodidad, eficiencia y precisión, Wu et al. (2022) aplicaron equipos inteligentes y no tripulados para la gestión de la calidad del agua, la inspección subacuática, la alimentación de precisión y la estimación de biomasa en un cultivo de aguas profundas. Ubina y Cheng (2022) señalaron que los sistemas no tripulados son necesarios en lugares de difícil acceso debido a los riesgos asociados con el clima extremo y las largas distancias de la costa.

El IoT puede utilizarse para desarrollar la alimentación automática de peces con cantidades y tiempos precisos. Gao et al. (2019) desarrollaron un sistema de piscicultura inteligente basado en IoT que incluye un método de pronóstico para la gestión de la calidad del agua. El marco general y las construcciones del entorno de acuicultura basado en IoT e IMS deben integrar el circuito de control, la recopilación de información, la observación del cultivo, la transmisión de datos y el sistema de alerta temprana. El IoT en el monitoreo de la calidad del agua del cultivo implicó el desarrollo de un tablero basado en la nube para la adquisición de datos. Varias cámaras

índice de calidad ambiental y seguridad en la acuicultura. Se han establecido diversos modelos para predecir y gestionar las floraciones de algas nocivas (HABs) con el fin de reducir los impactos de las toxinas de algas y el deterioro de la calidad del agua asociado con la eutrofización en el cultivo (Derot et al., 2020). La modelización de la calidad del agua también puede basarse en agentes patógenos. Jampani et al. (2022) sugirieron un marco de modelización de la calidad del agua para modelar y evaluar las bacterias y los genes AR en sistemas acuícolas.

Las técnicas de IA son útiles y convenientes para la gestión de la calidad del agua en operaciones acuícolas sujetas a entornos

5. Sistema Integrado de Reciclaje Acuícola (I-RAS) que combina diferentes sistemas y tecnologías (acuicultura multitrófica integrada [IMTA], biofloc, biorremediación, consorcio de bacterias y microalgas, monitoreo de la calidad del agua e inteligencia artificial e internet de las cosas [IA-IoT]) para que el I-RAS sea más eficiente y eficaz en el reciclaje de residuos, a la vez que mejora la calidad del agua y la producción. instaladas en la granja se utilizan para cargar información de forma inalámbrica al tablero. Los parámetros de calidad del agua como la temperatura, el pH, la conductividad, la salinidad, la turbidez, el oxígeno disuelto y la intensidad de la luz se pueden descargar desde un módulo de detección inalámbrico. Islam et al. (2021) propusieron un predictor multipaso de largo alcance rentable para mejorar el pronóstico para el monitoreo de la calidad del agua. Sampaio et al. (2021) utilizaron datos de baja a alta frecuencia para el monitoreo de la calidad del agua y la producción pesquera. Bai et al. (2021) propusieron un enfoque de evaluación de riesgos utilizando modelos cinéticos de biorreacción para evaluar la acumulación de contaminantes en el tejido de los peces como

Figura 4. Un sistema de reciclaje con un compartimento adicional para el cultivo de algas y plantas.
Figura

PRODUCCIÓN

hostiles y climas extremos, como el cultivo en jaulas en alta mar. Chang et al. (2021) desarrollaron un sistema inteligente de gestión de cultivos en jaulas con IA-IoT para resolver problemas relacionados con la inaccesibilidad física a grandes operaciones acuícolas costeras y en alta mar. De hecho, los equipos inteligentes y no tripulados ofrecen aplicaciones prácticas y eficientes para la gestión de la calidad del agua, la alimentación de precisión y la estimación de biomasa en acuicultura (Wu et al., 2022). Los métodos de IA-IoT basados en sensores, redes inalámbricas, automatización y datos en la nube también se aplican para el monitoreo de la calidad del agua en aguas costeras, estuarios y sistemas acuícolas terrestres (Danh et al., 2020; Huan et al., 2020; Pasika y Gandla, 2020).

Políticas y regulación

Las políticas y regulaciones son importantes para garantizar la implementación de estrategias de gestión de efluentes acuícolas, ya que la rápida expansión de la industria acuícola no solo brinda oportunidades económicas, sino que también presenta riesgos para el medio ambiente y la sociedad. En su evaluación de la acuicultura global sostenible, Davies et al. (2019) señalaron que muchos países con sectores acuícolas activos tienen cierto nivel de gobernanza, pero carecen de marcos claros para el desarrollo de la acuicultura sostenible. Bohnes et al. (2022) propusieron un marco gradual para evaluar los impactos ambientales de las industrias acuícolas teniendo en cuenta la política nacional existente junto con los modelos de equilibrio económico y la evaluación del ciclo de vida de las actividades acuícolas, especialmente aquellas relacionadas con la producción y el uso de alimentos para la acuicultura.

Los productores en muchos países de Asia, donde se ubica el 90% de las actividades acuícolas, tienen dificultades para adoptar la gobernanza ambiental debido a sus granjas pequeñas con recursos físicos y financieros limitados. Para las granjas grandes, el acceso a los mercados globales a través de la certificación podría ser el principal impulsor para adoptar la gobernanza ambiental. Quyen et al. (2020) reportaron que los camaroneros vietnamitas siguieron pautas de certificación específicas y llevaron a cabo buenas prácticas acuícolas para producir productos

de calidad y seguros según lo requerido por los países importadores, evitando rechazos y pérdidas económicas. Sin embargo, la mayoría de los pequeños productores están experimentando problemas ambientales y de calidad del agua que se extienden más allá de los límites de sus granjas. Para mitigar el riesgo ambiental debido a prácticas acuícolas no sostenibles, Bush et al. (2019) sugirieron implementar la gobernanza ambiental para la gestión de la calidad del agua, como la certificación, las finanzas y los seguros, en un panorama más amplio en lugar de centrarse en cada granja. Bohnes et al. (2022) propusieron un marco gradual para evaluar los impactos ambientales de las industrias acuícolas, considerando la política nacional vigente, junto con modelos de equilibrio económico y la evaluación del ciclo de vida de las actividades acuícolas, especialmente las relacionadas con la producción y el uso de alimentos. Wood et al. (2017) también demostraron que es improbable que una pequeña granja por sí sola tenga un efecto significativo en la calidad del agua y la conservación del medio ambiente, en comparación con una granja muy grande o un conglomerado de pequeñas granjas. Por lo tanto, se necesitan políticas y regulaciones ambientales que consideren todos los elementos de la operación de la granja al mercado, incluyendo los sistemas de producción (rentabilidad y suministro sostenible); la calidad del agua (fuentes y efluentes); la salud del ecosistema (servicios ecosistémicos) y los aspectos socioeconómicos (salud humana, economía y medios de vida) para que la industria acuícola sea una productora viable de alimentos.

Conclusiones

La calidad del agua es uno de los factores críticos a considerar en la acuicultura, ya que tiene efectos significativos en el crecimiento, la salud y la producción de peces. La falta de conocimientos y prácticas en la gestión de la calidad del agua podría obstaculizar gravemente el crecimiento del sector acuícola y poner en peligro el aprovechamiento de los recursos hídricos disponibles para una industria acuícola sostenible.

La acuicultura requiere una comprensión profunda de los factores y problemas que afectan a los sistemas de producción, además de mejoras en los enfoques y

tecnologías para la gestión de la calidad del agua. La mejora de la calidad del agua en sistemas de producción como RAS, IMTA y acuaponía, mediante la integración eficiente de factores físicos, químicos y biológicos, aumentaría el FCR y mejoraría la salud de los animales cultivados. El reciclaje de nutrientes mediante diferentes organismos a lo largo de la cadena alimenticia, como bacterias, microalgas, algas marinas y peces, puede mejorar el crecimiento, la supervivencia y la producción de las especies cultivadas, así como la acumulación de biomasa de los organismos que las sustentan. Además, Las tecnologías basadas en microalgas son una solución prometedora para el tratamiento de aguas residuales de la acuicultura, y la biomasa microalgal resultante puede valorizarse. El uso de estas tecnologías, como biofloc, biorremediación, coagulaciónfloculación-biofiltración y diversos enfoques ecosistémicos, ofrece opciones para las mejores prácticas acuícolas que podrían mejorar la calidad del agua y, por consiguiente, la producción acuícola.

La aplicación de IA e IoT en sistemas de producción acuícola, con el apoyo de sensores, sistemas de transmisión inalámbrica, equipos autónomos, automatización y big data, permitiría la monitorización inteligente de la calidad del agua, sistemas de alimentación de precisión, la monitorización de la actividad de los peces y la detección temprana de problemas. La integración de sistemas de producción inteligentes y procesos avanzados resultaría en una alimentación de precisión, una mejor calidad del agua, mayores tasas de supervivencia y un mayor crecimiento de las especies cultivadas. En general, el uso de estas tecnologías en la gestión de la calidad del agua, con el apoyo de políticas y normativas pertinentes, facilitaría el enfoque hacia la producción acuícola sostenible mediante la gestión eficaz del medio ambiente y la salud de los peces•

Para más información sobre este artículo escriba a: fatimahyus@gmail.com

Metabisulfito de sodio: Innovación para conservar la calidad del camarón

christian.jimenez-figueroa@basf.com

El metabisulfito de sodio (SMBS) es un compuesto químico ampliamente utilizado en la industria acuícola, especialmente en la producción de camarones, para prevenir la melanosis,un proceso que oscurece la carne del animal y afecta la percepción sobre su calidad en el mercado. Este compuesto se emplea principalmente en la poscosecha, como un agente conservante que ayuda a mantener la apariencia del producto y a mejorar su aceptación en los mercados internacionales (Gómez & Rodríguez, 2022).

El metabisulfito de sodio es completamente apto en la industria camaronera para inhibir la melanosis y el cambio de color en la superficie del camarón, que es causado por la formación enzimática de compuestos que pueden polimerizarse y formar pigmentos insolubles. Este tratamiento, entre otras cosas, es esencial para mantener la calidad visual del producto (Castro, F. A., 2021).

La melanosis en los camarones es un proceso natural que ocurre debido a la acción de enzimas como la polifenol oxidasa (PPO), que oxidan ciertos compuestos fenólicos en los camarones. Esto resulta en la formación de pigmentos oscuros que, aunque no representan un riesgo para la salud del consumidor, impactan negativamente la percepción del producto en el mercado. En este contexto, el metabisulfito de sodio se ha establecido como una herramienta clave para mitigar estos efectos.

Según Domca (2022), la polifenol oxidasa es la enzima responsable de la melanosis en los mariscos, ya que oxida los compuestos fenólicos, originando las quinonas que dan lugar a las melaninas, pigmentos responsables del color negro.

Si bien el SMBS representa una solución para la industria camaronera y para el control de la melanosis, su uso no está exento de desafíos, sumado a la creciente demanda para que se garantice la sostenibilidad, la seguridad laboral y el cumplimiento de normativas internacionales exigidas a los camaroneros. Estas preocupaciones han motivado a la industria química a desarrollar investigaciones recientes dirigidas a optimizar el uso del SMBS, desarrollar métodos innovadores de aplicación y explorar alternativas menos invasivas.

Por tanto, este artículo tiene como objetivo proporcionar un análisis integral sobre el impacto del metabisulfito de sodio en la prevención de la melanosis en camarones, detallando sus aplicaciones prácticas y las innovaciones recientes en su manejo, y cómo esta solución responde a los desafíos de la industria.

Composición y propiedades del metabisulfito de sodio

Su fórmula química Na2S2O5 revela su capacidad para liberar bisulfito de sodio al contacto con el agua, un proceso clave que lo convierte en un agente antioxidante y antimicrobiano de alto rendimiento. Un estudio publicado en la revista Ciencia y Tecnología de Alimentos destaca que el metabisulfito de sodio es eficaz para preservar a los camarones de la melanosis durante el almacenamiento. Estas propiedades son esenciales para inhibir la acción del polifenol oxidasa (PPO), la enzima responsable de la melanosis en los camarones. Este fenómeno, aunque natural, genera manchas oscuras en el exoesqueleto del crustáceo, disminuyendo su valor comercial y la percepción de frescura por parte del consumidor.

Según Academia Lab (s.f.), el metabisulfito de sodio es conocido no solo por sus propiedades antioxidantes, sino también por su uso extendido en la conservación de alimentos y productos acuícolas, y su efectividad radica en la liberación de dióxido de azufre (SO2), un agente clave para inhibir la acción oxidativa de las enzimas responsables de la melanosis.

El SMBS actúa bloqueando el proceso oxidativo que inicia con la transformación de compuestos fenólicos en quinonas y, finalmente, en pigmentos oscuros (Álvarez, 2000). Este mecanismo no solo preserva la apariencia del camarón, sino que también contribuye a mantener su frescura durante el almacenamiento y transporte.

El entorno en el que se maneja el SMBS es crítico para preservar sus propiedades. Factores como la temperatura, el pH y la exposición a la luz pueden afectar su estabilidad y, por ende, su capacidad para prevenir la melanosis. Las soluciones de SMBS deben prepararse y aplicarse bajo condiciones controladas, ya que su

degradación puede reducir significativamente su efectividad. Por ejemplo, en ambientes de alta humedad, el compuesto puede absorber agua del aire y liberar dióxido de azufre (SO2), un gas que, aunque efectivo en la prevención de la melanosis, requiere medidas de seguridad estrictas para proteger a los trabajadores y minimizar el impacto ambiental.

Para poder descartar el SMBS debe ser previamente neutralizado, y se pueden utilizar estos métodos:

• Adicionar 360 gr de hidróxido de calcio por cada kilo de SMBS junto con oxigenación mecánica o añadir peróxido de hidrógeno hasta obtener 4 mg/L de OD (Aragao et al., 2008).

• En un tanque aplicar 380 gr de hidróxido de sodio por cada kilo de SMBS utilizado, luego añadir aireación mecánica o peróxido de hidrógeno hasta obtener mínimo 4 mg/L de OD (Boyd y Gautier, 2002).

• Depositar la solución en una laguna en condiciones de oxidación natural bajo un largo período. Al oxidarse, añadir hidróxido de calcio: 360 gr por cada kilo de SMBS utilizado. (Boyd y Gautier, 2002).

El SMBS en el contexto ecuatoriano

En Ecuador, donde la industria camaronera es uno de los pilares económicos más relevantes, se han implementado estándares rigurosos para el manejo y la aplicación del SMBS, garantizando no solo la calidad del producto final, sino también el cumplimiento de las normativas internacionales. Estas regulaciones incluyen límites estrictos sobre los residuos de sulfitos en los camarones, que no deben exceder las 100 ppm según las exigencias de mercados como la Unión Europea y los Estados Unidos. Para asegurar el cumplimiento de estos estándares, laboratorios acreditados como los del Instituto Nacional de Pesca (INP) realizan análisis regulares empleando métodos analíticos como la iodometría y el protocolo Monier-Williams, que permiten detectar y cuantificar los residuos de sulfitos en los tejidos de los camarones.

En el país, el uso del SMBS es parte

integral de los procedimientos poscosecha, especialmente en plantas procesadoras dedicadas a la exportación. Se aplica en soluciones acuosas durante las etapas de enfriamiento y lavado, permitiendo una distribución uniforme y maximizando su eficacia.

Más allá de sus propiedades técnicas, el SMBS también desempeña un papel estratégico en la cadena de valor de la industria camaronera ecuatoriana. Su capacidad para preservar la frescura y apariencia del producto mejora la competitividad del camarón ecuatoriano en mercados internacionales, donde los consumidores son cada vez más exigentes con la calidad y la sostenibilidad. Este compuesto no solo protege al producto de la melanosis, sino que también contribuye a extender su vida útil, reduciendo las pérdidas poscosecha y mejorando la rentabilidad de los productores.

A pesar de su eficacia, el uso del SMBS presenta desafíos que la industria ha abordado mediante la investigación y la innovación. La implementación de sistemas automatizados para su aplicación, como el sistema dinámico BIN, ha demostrado ser una solución eficaz para maximizar su distribución uniforme y minimizar los riesgos asociados a la exposición al dióxido de azufre.

Importancia de la calidad del SMBS

La calidad del metabisulfito de sodio es un factor crítico en la industria camaronera, especialmente en Ecuador, donde la exportación de camarones congelados representa una parte significativa de la economía. Cuando el SMBS utilizado es de baja calidad su eficacia se reduce, lo que incrementa el riesgo de que los camarones desarrollen melanosis durante el almacenamiento o el transporte.

Un metabisulfito de sodio de calidad inferior no solo disminuye el tiempo de conservación del camarón, sino que también introduce riesgos adicionales, como una dosificación ineficaz o la generación de residuos que pueden comprometer la seguridad alimentaria y la percepción del consumidor. Esto puede derivar en pérdidas económicas significativas para el exportador y afectar la

competitividad de los productos ecuatorianos en mercados internacionales. Por ello, es imprescindible que las camaroneras implementen controles estrictos para garantizar que el insumo cumpla con estándares de pureza y estabilidad.

Además, la elección de un proveedor confiable de SMBS es tan importante como el monitoreo constante de su uso en la cadena de frío. No se trata únicamente de un tema técnico, sino también de una estrategia de sostenibilidad: un producto de alta calidad asegura una menor necesidad de retratamientos y optimiza los recursos, lo que beneficia tanto al productor como al ecosistema. En un contexto de competencia global, priorizar la calidad del metabisulfito no es opcional, sino esencial para sostener la reputación de la industria camaronera ecuatoriana.

Metodología de uso

En la industria camaronera, la aplicación del metabisulfito de sodio es una práctica fundamental para preservar la calidad del producto y prevenir la melanosis, un desafío constante que puede comprometer la presentación y valor comercial de los camarones. La metodología de aplicación varía según las necesidades operativas de las plantas procesadoras y las características específicas del producto, siendo crucial elegir el método adecuado para garantizar la eficacia del tratamiento. Entre los procedimientos más comunes destacan el espolvoreo directo, el método de inmersión y sistemas automatizados como el BIN, cada uno con sus ventajas, limitaciones y consideraciones específicas.

El espolvoreo directo es un método sencillo y de bajo costo que consiste en aplicar una cantidad predeterminada de SMBS, generalmente alrededor del 2% con relación al peso del camarón. Esta técnica es particularmente útil en situaciones donde se requiere un tratamiento rápido y sin infraestructura compleja. Sin embargo, su principal desventaja radica en la distribución desigual del compuesto, lo que puede ocasionar áreas no tratadas o sobreexpuestas. Este enfoque, aunque efectivo en escenarios de emergencia, no garantiza la homogeneidad necesaria para productos destinados a mercados de alta

exigencia, y su uso está siendo desplazado por métodos más avanzados.

El método de inmersión, ampliamente utilizado en plantas procesadoras, representa un estándar en el manejo poscosecha de camarones. Este procedimiento consiste en preparar soluciones de SMBS en concentraciones de entre el 3% y el 5%, utilizando agua helada y manteniendo una proporción solución/hielo de 4:1. Los camarones se sumergen en esta solución durante un tiempo controlado, asegurando una penetración uniforme del compuesto en los tejidos. Este método no solo preserva la frescura del camarón, sino que también facilita el manejo del producto en etapas posteriores como el empaquetado y transporte. Las condiciones de temperatura y pH son cuidadosamente monitoreadas para maximizar la efectividad del SMBS y minimizar su degradación.

Espinal (2020) evaluó la aplicación de descargas con metabisulfito de sodio en la cosecha de Penaeus vannamei en Santa Elena (Ecuador), confirmando que esta metodología contribuye eficazmente a la prevención de la melanosis, mejorando la calidad visual y comercial del producto durante las primeras etapas del manejo poscosecha.

En respuesta a las limitaciones de los métodos tradicionales, se ha desarrollado el sistema dinámico BIN, una innovación que optimiza la aplicación del SMBS mediante el uso de soluciones madre con concentraciones más bajas, generalmente entre el 0.75% y el 1.5%. Este sistema automatizado permite una dosificación precisa y uniforme, reduciendo significativamente el desperdicio del compuesto y mejorando la seguridad laboral al limitar la exposición de los trabajadores al dióxido de azufre. Además, este enfoque minimiza el impacto ambiental al utilizar cantidades más controladas del producto químico, alineándose con las crecientes demandas de sostenibilidad en la industria acuícola.

La eficacia de estas metodologías ha sido validada mediante estudios experimentales que analizan la reducción de melanosis en camarones tratados con diferentes concentraciones de SMBS. Pruebas

controladas han demostrado que las soluciones al 3%-5% son particularmente efectivas, especialmente en camarones de menor tamaño, cuya mayor relación superficie-volumen facilita una absorción más eficiente del compuesto. Los análisis estadísticos, como pruebas ANOVA, han permitido identificar diferencias significativas en los resultados obtenidos con cada método, proporcionando datos valiosos para la toma de decisiones en las plantas procesadoras.

Además de garantizar la eficacia del tratamiento, la industria camaronera ecuatoriana ha implementado rigurosos procedimientos de monitoreo para verificar que los residuos de sulfitos en los camarones tratados se mantengan dentro de los límites legales. Métodos analíticos como la iodometría y el protocolo Monier-Williams son empleados regularmente para medir con precisión estos residuos, asegurando el cumplimiento de las normativas internacionales y la aceptación del producto en mercados como la Unión Europea y Estados Unidos.

La capacitación del personal también desempeña un papel clave en la implementación efectiva de estas metodologías. Programas de formación continua se centran en el manejo adecuado del SMBS, desde su almacenamiento y preparación hasta su aplicación y descarte, con un énfasis particular en la seguridad laboral y la sostenibilidad. Estas iniciativas no solo mejoran la calidad del producto final, sino que también promueven prácticas responsables que benefician a toda la cadena de valor de la industria camaronera. En conjunto, la metodología de aplicación del SMBS refleja un equilibrio entre tradición e innovación, consolidando su papel como una herramienta indispensable en la producción de camarones de exportación.

Resultados del uso de SMBS

La prevención de la melanosis en camarones, comúnmente conocida como “manchas negras,” es uno de los principales objetivos en el manejo poscosecha del crustáceo. Estudios demuestran que los camarones tratados con soluciones de metabisulfito de sodio al 3%-5% experimentan una reducción significativa en la aparición de melanosis durante las primeras 36 horas

posteriores a la cosecha, asegurando una mejor presentación y calidad del producto. Esta efectividad es especialmente notable en camarones más pequeños, que debido a su mayor relación superficie-volumen, absorben más eficientemente el compuesto. Además, el uso del sistema dinámico de BIN permite una aplicación más uniforme, garantizando que los residuos de sulfitos en los tejidos se mantengan dentro de los límites internacionales (<100 ppm), contribuyendo a la aceptación del producto en mercados globales exigentes.

Sin embargo, el uso de SMBS presenta desafíos ambientales y de seguridad laboral. La preparación de soluciones genera emisiones de dióxido de azufre (SO2), que representan un riesgo tanto para el personal como para el ambiente. El empleo de metabisulfito de grado camaronero (Shrimp Grade SMBS) ha demostrado reducir significativamente estas emisiones, mejorando la seguridad en las plantas procesadoras.

A largo plazo, la sostenibilidad del uso de este compuesto depende de estrategias como la optimización de las dosis aplicadas, capacitación continua del personal en prácticas de manejo seguro y evaluación de alternativas menos contaminantes. Entre estas alternativas se encuentran compuestos antioxidantes naturales, como extractos de plantas, que están siendo investigados como posibles sustitutos. Este enfoque busca equilibrar la efectividad del tratamiento con un menor impacto ambiental, alineándose con las crecientes demandas de sostenibilidad en la industria acuícola global.

Metabisulfito de grado camaronero

Las pruebas realizadas con metabisulfito de sodio de grado camaronero (Shrimp Grade SMBS) han arrojado resultados positivos tanto en fincas camaroneras como en empacadoras a nivel global, con 11 clientes que validaron su eficacia. Una de las mejoras más significativas destacadas por los clientes es la reducción de emisiones de dióxido de azufre (SO2), lo que contribuye a un entorno más seguro y sostenible en las operaciones acuícolas. Además, este grado especializado ha demostrado ser altamente efectivo en la

prevención de la melanosis, manteniendo la calidad visual y comercial del camarón durante el transporte y almacenamiento.

Otro beneficio clave señalado por los usuarios es la mejora en la seguridad laboral durante la manipulación del producto, minimizando los riesgos asociados al contacto directo con químicos. Asimismo, el uso de Shrimp Grade SMBS ha reducido los costos de mantenimiento al disminuir significativamente la corrosión de los equipos, un desafío común en las instalaciones camaroneras. Esto no solo optimiza los recursos económicos, sino que también prolonga la vida útil de las herramientas empleadas en el proceso productivo.

Cabe resaltar que este producto cumple plenamente con los requisitos legales internacionales relacionados con residuos de SO2, asegurando que los niveles sean confiables y seguros para el consumo humano. En resumen, el metabisulfito de sodio de grado camaronero combina alta eficacia, sostenibilidad y cumplimiento normativo, consolidándose como una solución integral para la industria camaronera global.

Conclusiones y recomendaciones

El uso de metabisulfito de sodio (SMBS) es una práctica clave para prevenir la melanosis (“manchas negras”) en el camarón, preservando su calidad y valor comercial. Sin embargo, su manipulación genera preocupaciones sobre emisiones de dióxido de azufre (SO2) y riesgos laborales. Por ello, se recomienda implementar estándares rigurosos para utilizar SMBS de alta calidad, minimizando las emisiones y protegiendo tanto a los trabajadores como al ecosistema. Es crucial capacitar continuamente al personal sobre el manejo adecuado del compuesto, abarcando su almacenamiento, uso en concentraciones seguras y protocolos de emergencia.

Business Research Insights (s.f.) destaca la creciente demanda global de productos acuícolas de alta calidad y las presiones sobre las industrias para implementar soluciones químicas más sostenibles. Estas tendencias impulsan la búsqueda de innovaciones que equilibren eficacia y

responsabilidad ambiental.

Paralelamente, promover la investigación de alternativas sostenibles y menos contaminantes es una prioridad, ya que la industria enfrenta presiones para cumplir con estándares internacionales más estrictos en materia ambiental. Estas alternativas pueden incluir inhibidores naturales de melanosis o tecnologías avanzadas que reduzcan la dependencia del SMBS.

Por último, fortalecer las regulaciones de calidad y sostenibilidad garantizará no solo la seguridad de los productos exportados, sino también el acceso competitivo del camarón ecuatoriano a mercados internacionales. Este enfoque holístico responde a las demandas de consumidores y reguladores, mientras impulsa la productividad y sostenibilidad del sector.

El metabisulfito de sodio sigue siendo una herramienta esencial en la producción de camarones, y su uso se justifica en muchos casos por la mejora significativa en la calidad del producto final. Su papel en la industria acuícola es fundamental, especialmente en países como Ecuador, donde la producción de camarones es un motor clave de la economía local (Orellana, 2021)•

Referencias

Gómez, P., & Rodríguez, L. (2022). Estudio de la efectividad del metabisulfito de sodio en la conservación poscosecha de camarones. Revista de Acuicultura y Pesca, 45(3), 132-145.

Álvarez, M. R. (2000). Evaluación de tres metodologías de tratamiento con metabisulfito de sodio en la cosecha de camarones enteros para prevenir melanosis.

Domca. (2022). ¿Qué es el proceso de melanosis en el marisco? Recuperado de https://www.domca.com/ que-es-el-proceso-de-melanosis-en-el-marisco/

Academia Lab. (s.f.). Metabisulfito de sodio Enciclopedia. Recuperado de https://academia-lab. com/enciclopedia/metabisulfito-de-sodio/

Business Research Insights. (s.f.). [Título del informe si disponible]. Recuperado de www. businessresearchinsights.com

Castro, F. A. (2021). Análisis de residuos de sulfitos en camarón entero. Universidad Agraria del Ecuador.

Espinal, M. (2020). Evaluación de las descargas con metabisulfito de sodio en la cosecha de camarón blanco entero (Penaeus vannamei), Santa Elena, Ecuador.

Orellana, C. (2021). Evaluación del uso de metabisulfito de sodio en el control de la melanosis en Penaeus vannamei en la costa ecuatoriana. Revista de Biotecnología Acuícola, 12(4), 233-245.

La acuicultura del Ecuador y su compromiso con los objetivos de desarrollo sostenible

Autor:

Simone Maridueña - Dirección de Ambiente CNA smariduena@cna-ecuador.com

La Agenda 2030 para el Desarrollo Sostenible es un plan de acción global adoptado en 2015, que tiene el propósito de proteger el planeta, erradicar la pobreza y promover la prosperidad. Este proyecto fue el resultado de un proceso de negociación entre los estados miembros de las Naciones Unidas, con la participación de organismos internacionales. Como resultado de este consenso, los 193 estados de la ONU asumieron el compromiso de alcanzar los 17 objetivos de desarrollo sostenible (ODS) y sus 169 metas para el 2030 (Naciones Unidas, 2015).

Este compromiso global reconoce la necesidad de integrar de manera equilibrada las tres dimensiones del desarrollo sostenible: social, económica y ambiental, con la participación de los gobiernos, el sector privado y la sociedad civil. Independientemente de su nivel de desarrollo, cada país tiene la responsabilidad de impulsar acciones concretas que contribuyan al cumplimiento de los objetivos, bajo el principio de corresponsabilidad compartida (Naciones Unidas, 2015).

En Ecuador, una de las industrias que se ha consolidado como motor clave para el crecimiento económico y cuyos aportes contribuyen al desarrollo sostenible es la industria camaronera. A lo largo de la última década, este sector ha demostrado resiliencia frente a diversas crisis, gracias al trabajo coordinado y a las estrategias compartidas por el gremio (Cámara Nacional de Acuacultura, 2024).

Estas acciones se evidencian en la adopción de tecnologías y medidas de gestión ambiental, el fortalecimiento de las capacidades técnicas del capital humano y la promoción del bienestar de las comunidades vinculadas a la actividad. A continuación, se detalla cómo estas medidas contribuyen con las metas y objetivos tomados de la Agenda 2030 de la ONU.

ODS 1: Fin de la pobreza

Este objetivo busca erradicar la pobreza en el mundo. Estas son las formas en que la industria camaronera ecuatoriana contribuye:

•De acuerdo con la Cámara Nacional de Acuacultura (2023), el sector genera aproximadamente 290 mil empleos directos e indirectos, lo que representa cerca del 5% del empleo nacional, especialmente en las zonas rurales y costeras.

•Según lo establecido en el Código de Trabajo del Ecuador y las disposiciones del Ministerio del Trabajo, el sector garantiza el cumplimiento de la normativa laboral vigente, incluyendo el pago del salario básico unificado, horas extra, bonificaciones, vacaciones, participación en utilidades y la afiliación de los trabajadores al seguro social (Ministerio del Trabajo, 2023).

•La provisión de beneficios adicionales por parte de cada empresa, como transporte, alimentación, dotación de uniformes, capacitaciones, entre otras.

ODS 2: Hambre cero

Este objetivo promueve el acceso a alimentos que sean nutritivos y suficientes para todas las personas:

SOSTENIBILIDAD

•El camarón constituye una fuente de proteína de alto valor nutricional; contiene omega-3, vitaminas B12 y D, zinc y selenio, nutrientes esenciales para una alimentación saludable, especialmente en contextos de baja ingesta de proteínas animales (CNA, SSP & SNP, 2024).

•En los laboratorios se emplean métodos de reproducción selectiva y mejoramiento genético. Estos programas se basan en genotipificación, trazabilidad y análisis sanitario, lo que permite fortalecer el sistema inmunológico, prevenir la captura de larvas silvestres y asegurar la diversidad genética de la especie.

•Desde la CNA se fortalecen las capacidades de los pequeños y medianos productores para garantizar la producción de una proteína con menor impacto ambiental y que sea competitiva en los mercados internacionales.

ODS 3: Salud y bienestar

Este objetivo se enfoca en reducir las enfermedades vinculadas a la contaminación. La industria busca garantizar un producto de calidad mediante la reducción de posibles impactos durante sus operaciones:

•Cumplimiento de la “Norma de calidad ambiental y de descarga de efluentes: Recurso Agua” del Ministerio de Ambiente Agua y Transición Ecológica (MAATE), que establece principios básicos para el control de la contaminación del agua, define criterios de calidad y fija límites permisibles de acuerdo con el cuerpo de agua.

•Las instalaciones cuentan con hojas de datos de seguridad (MSDS) para todos los insumos peligrosos almacenados, en cumplimiento con lo establecido por la Norma Técnica Ecuatoriana NTE INEN 2266 y el Acuerdo Ministerial 161 del MAATE.

•En cumplimiento de las disposiciones del Ministerio de Producción y estándares

internacionales, la CNA promueve la eliminación del uso de antibióticos en la producción de camarón.

•Se incorporan prácticas como sistemas inteligentes de monitoreo del agua, dietas específicas por estadio larvario y alimentadores automáticos. Estas prácticas permiten reducir hasta en un 30% el desperdicio de alimento, disminuir la sedimentación y limitar la proliferación de bacterias nitrificantes.

ODS 4: Educación de calidad

El objetivo tiene como meta garantizar la educación inclusiva, equitativa y de calidad, promoviendo oportunidades, acceso a la formación técnica, profesional y superior, así como en fortalecer las competencias laborales de jóvenes y adultos. Desde el sector se han impulsado diversas iniciativas con este enfoque, como:

•La CNA organiza de forma anual “AQUAEXPO”, un evento que incluye feria de productores y conferencias técnicas sobre la producción del camarón. Al realizarse en 4 ciudades del Ecuador, tiene un alcance de más de 12 mil asistentes y cuenta con la participación de expertos nacionales e internacionales.

•Además, la CNA publica la revista técnica “AQUACULTURA”, la cual complementa los esfuerzos de capacitación al difundir contenidos científicos, avances tecnológicos y casos de éxito relevantes para el sector camaronero.

•Sustainable Shrimp Partnership (SSP) y la CNA organizan el programa SustainEd, enfocado en la capacitación de la sostenibilidad para toda la cadena del camarón.

•La CNA y SSP desarrollaron materiales técnicos como la Guía para la Sostenibilidad de Laboratorios (2024), la Guía Máster del

Camarón (2020) y la Guía Nutricional (2024).

•Los productores han apoyado al desarrollo educativo mediante aportes económicos para la creación de escuelas en comunidades cercanas y el patrocinio de eventos deportivos y culturales.

ODS 5: Igualdad de género

Este pretende alcanzar la igualdad entre los géneros y empoderar a todas las mujeres, eliminar la discriminación en el acceso a oportunidades económicas y laborales. Al respecto, cabe mencionar que en el 2018 en Ecuador se estableció la Ley Orgánica Integral para Prevenir y Erradicar la Violencia contra las Mujeres como resultado:

•De acuerdo con el Ministerio de la Mujer y Derechos Humanos del Ecuador (2021), las mujeres representan aproximadamente el 65% de la mano de obra en las empacadoras de la industria camaronera.

•La certificación “Great Place to Work™” ha posicionado a varias empresas productoras de camarón entre los 10 primeros lugares de sus listas de calificación, en:

-Los Mejores Lugares para Trabajar™ para mujeres

-Los Mejores Lugares para Trabajar™ en Ecuador

•Se han desarrollado programas para promover la participación y el reconocimiento de la mujer, facilitando su acceso a puestos de alto nivel dentro de la industria. Entre los programas se destacan los siguientes: “Programa de educación continua para mujeres empresarias del sector camaronero”, “Taller de costura y apoyo comunitario”, “Emprende Posorja” y “Mujeres al Volante”.

ODS 6: Agua limpia y saneamiento

Este objetivo busca garantizar la disponibilidad y gestión sostenible del agua. La industria asegura que el efluente cumpla con altos estándares de calidad, incluso superando las condiciones del afluente mediante:

•Implementación de sistemas para el uso eficaz del agua: biofiltración, recirculación, recambio y aireación en fincas y laboratorios; estos sistemas pueden reducir el uso de agua en más del 90% en comparación con métodos tradicionales.

•Sensores de monitoreo en tiempo real e inteligencia artificial para el control de la calidad del agua. Estos sistemas permiten medir y ajustar parámetros críticos, mejorando la eficiencia del uso.

•Monitoreo y aplicación de sistemas para el tratamiento de efluentes previo a su descarga.

•Uso de biorremediadores y tratamiento del suelo de las piscinas con cada ciclo de producción.

ODS 7: Energía asequible y no contaminante

Plantea la necesidad de promover el acceso a energía segura, sostenible y moderna, con un enfoque especial en la eficiencia energética y el uso de fuentes renovables. Las fábricas procesadoras, fincas, empacadoras y laboratorios han invertido en reducción de consumo energético mediante estas acciones:

•Adquisición de motores de alta eficiencia para sistemas de bombeo, aireación y

plantas de procesamiento. Representa entre un 20 y 30% en la reducción de consumo de energía.

•El uso de paneles solares para alimentar los sistemas de distribución automática de alimento ha permitido reducir hasta en un 40% el consumo energético proveniente de fuentes fósiles, especialmente en áreas sin acceso a la red eléctrica.

•En las fábricas de alimento, están adquiriendo insumos que generen un menor impacto energético, reduciendo entre 40 y 60% la demanda de energía. Además, se han implementado bombas de alta eficiencia que reduzcan entre 20 y 30% el consumo energético.

•En los laboratorios de producción larvaria están implementando sensores para la climatización automática de las tinas, evitando variaciones significativas en la temperatura y el gasto energético por regularla. Además, han reemplazado el uso de diésel por gas licuado, mejorando la eficiencia energética entre 10 y 25%.

ODS 8: Trabajo decente y crecimiento económico

Promueve el crecimiento económico inclusivo y sostenible, así como el empleo pleno, productivo, digno para todos y el uso eficiente de los recursos naturales. La industria camaronera ha generado un impacto económico significativo, lo cual se ve reflejado en:

•El camarón es el principal producto de exportación no petrolero del país; según datos del Banco Central del Ecuador, el sector generó 6,991 millones de dólares americanos en exportaciones durante el 2024.

•Por medio de sus actividades impulsan una red de empleos indirectos vinculados a la fabricación de insumos, logística, transporte,

comercialización, biotecnología, asesoría técnica y monitoreo ambiental, etc.

•La CNA promueve el consumo del camarón a través de ferias internacionales, generando oportunidades de negocio y fortaleciendo la comercialización con otros mercados.

ODS 9: Industria, innovación e infraestructura

Busca garantizar una industrialización inclusiva y sostenible, promover la innovación y facilitar el acceso de todos los productores a infraestructura, financiamiento y mercados. La innovación ha sido un factor clave para el éxito del sector, por ello:

•Se han innovado los sistemas de alimentación del camarón, incluyendo dietas más precisas que permitan mejorar su sistema inmunológico y el crecimiento.

•A través de la CNA y SSP se implementó el programa “Scale Up”, dirigido a la sostenibilidad de los laboratorios y fincas de menor escala. Para fortalecer la capacidad técnica, brindar soporte en el cumplimiento de estándares y facilitar su acceso a mercados más exigentes.

•Se está trabajando en el Programa de reforzamiento de redes de distribución eléctrica para el sector acuícola, para brindar servicio eléctrico a las fincas y alrededor de 6,400 viviendas en comunidades cercanas.

ODS 10: Reducción de las desigualdades

Está orientado a reducir la desigualdad económica y social, garantizando la

SOSTENIBILIDAD

inclusión de grupos vulnerables y su acceso a oportunidades. El impacto de la industria acuícola es muy positivo, ya que se desarrolla en áreas donde las condiciones naturales limitan el desarrollo de otras actividades productivas, de forma que contribuyen a este objetivo mediante:

•El cumplimiento de estándares internacionales y la normativa vigente, los cuales exigen la inclusión de las comunidades por medio de la contratación de personal cercano a sus fincas, socialización de posibles impactos, promoción del diálogo y el apoyo a proyectos locales.

•Las empresas promueven el desarrollo de las comunidades y la movilidad laboral por medio de programas educativos que garanticen el avance hacia roles de mayor responsabilidad.

ODS 11: Ciudades y comunidades sostenibles

Este objetivo está enfocado a garantizar el desarrollo de comunidades inclusivas, seguras, resilientes y sostenibles, que protejan el patrimonio natural. A lo largo de la última década, se evidencia una mayor cultura de respeto ambiental por parte de la industria, lo que se refleja en las siguientes acciones:

•El establecimiento de un acuerdo entre la Cámara Nacional de Acuacultura (CNA) y World Wildlife Fund (WWF-Ecuador) en 2022, orientado a evitar la conversión de hábitats naturales en áreas de cultivo de camarón y a promover una acuicultura más sostenible.

•La inversión en infraestructura y servicios básicos mejora la conexión, movilidad y acceso a servicios de las comunidades rurales.

ODS 12: Producción y consumo responsables

El objetivo promueve la gestión eficiente de los recursos naturales, la reducción de residuos y el impulso a modelos de economía circular. En la industria, se ha podido demostrar que las prácticas sostenibles son más eficientes y aseguran una mejor producción; esto ha motivado a los actores de la industria a innovar en sus prácticas:

•Las fincas y laboratorios se han tornado más exigentes en la búsqueda de un alimento de mejor estructura, formulación y elaborado con insumos que tengan menor proporción de harina de pescado. Por otro lado, han incrementado el uso de prebióticos y probióticos para fortalecer la salud del camarón y prevenir enfermedades.

•Han avanzado mucho en el aprovechamiento integral de los subproductos del camarón, como la extracción de aceite a partir de las cabezas y cáscaras.

•En general, buscan obtener un mayor aprovechamiento de todos los insumos a través del reciclaje y la reutilización de estos; se han realizado cambios en los métodos para la transferencia del producto y el empaquetado.

•Según datos de la Aquaculture Stewardship Council (ASC, 2024), Ecuador lidera a nivel mundial el volumen de camarón certificado bajo este estándar, con el 68.5% del total global. Esta certificación respalda las buenas prácticas ambientales, sociales y de trazabilidad de la producción-

ODS 13: Acción por el clima

Significa adoptar medidas urgentes para combatir el cambio climático y sus efectos. Muchas de las acciones previamente mencionadas están directamente relacionadas con este objetivo, pero también se han implementado acciones concretas para reducir y compensar su impacto ambiental como:

•Implementación de servicio de transporte y alimento para todos los trabajadores, de forma que disminuyan emisiones de los gases de efecto invernadero, así como la reducción en el consumo de plásticos de un solo uso.

•Empresas del sector han liderado proyectos para la reforestación y recuperación de manglares, mingas para la limpieza de playas y de reciclaje, y educación ambiental para las comunidades.

ODS 14: Vida submarina

Este objetivo está dirigido a conservar y utilizar sosteniblemente los océanos, mares y recursos marinos. Al ser esta una actividad directamente vinculada con el agua, se han desarrollado estrategias para proteger los ecosistemas acuáticos y marinos:

•Se promueve el uso de alimentos extruidos, dietas microencapsuladas, bioflocs y pellets estables que eviten la lixiviación de nutrientes.

•El uso de desalinizadoras en laboratorios que disminuyen la presión sobre fuentes naturales de agua y evitan la salinización de cuerpos de agua.

•Implementación de sistemas para el tratamiento de aguas residuales, prácticas para reducir la sedimentación y barreras que evitan el ingreso de especies y el escape de especies cultivadas.

•Participación y aporte en campañas de educación ambiental de las comunidades y trabajadores.

ODS 15: Vida de ecosistemas terrestres

El objetivo impulsa la conservación de la biodiversidad y la restauración de ecosistemas degradados. Al momento, esta medida se ve reflejada en la renovación de las certificaciones internacionales enfocadas en la protección del ambiente:

•La adopción del estándar ASC en el país inició en 2014 y ha crecido de forma sostenida, logrando la certificación de más de 90 unidades productivas. Del estándar se exigen medidas como:

- Evaluaciones de impacto a la biodiversidad

- Conservación e implementación de barreras naturales y corredores ecológicos

- Restauración de al menos el 50% del manglar afectado

•La legislación nacional también exige estudios de impacto ambiental y planes de manejo con medidas para la conservación de ecosistemas.

ODS 16: Paz, justicia e instituciones sólidas

A través de este objetivo se quiere llegar a formar sociedades pacíficas e inclusivas, que garanticen el acceso a la justicia y construir instituciones eficaces. La transparencia, la trazabilidad y la legalidad son pilares clave de la industria camaronera ecuatoriana y se

demuestran a través de:

•La implementación de sistemas de trazabilidad basados en tecnología blockchain y certificaciones internacionales que garantizan transparencia en cada etapa de producción.

•Publicación voluntaria de la Memoria de Sostenibilidad para demostrar su desempeño actual y estrategias para reducir su impacto.

ODS 17: Alianzas para lograr los objetivos

El objetivo 17 promueve alianzas inclusivas a nivel global, regional, nacional y local para apoyar el cumplimiento de los ODS. Actualmente, se han establecido alianzas con diferentes actores dependiendo del propósito del proyecto, competencias y alcance:

•Con el sector público, para regularizar las actividades acuícolas, incentivar el cumplimiento de normativas, establecer denuncias en caso de encontrarse irregularidades o posibles talas de manglar, y en la prevención y control del crimen organizado.

•Con organizaciones sin fines de lucro, para la ejecución de proyectos que involucren la sostenibilidad de las actividades acuícolas, las comunidades y los ecosistemas de manglar.

•A través de alianzas con la Academia, se desarrollan investigaciones, capacitaciones y el acercamiento con los estudiantes para realizar prácticas pre/profesionales.

Conclusión:

La industria camaronera ecuatoriana no solo es un referente mundial por la calidad de su producción, sino también por su compromiso con las buenas prácticas ambientales, sociales y económicas. Esta tendencia hacia la sostenibilidad ha sido impulsada

principalmente por los productores de gran escala y replicada por los medianos y pequeños, quienes reconocen los beneficios a largo plazo de estas acciones.

Cabe destacar que estas prácticas no responden a una única fórmula, sino que se han desarrollado desde diferentes eslabones de la cadena productiva, cada uno aportando desde su ámbito a una producción más responsable.

Esta alineación con los objetivos de desarrollo sostenible demuestra que es posible avanzar hacia una acuicultura moderna y competitiva, sin comprometer el bienestar de las personas ni la de nuestro planeta•

Para más información sobre este artículo escriba a: lmariduena@cna-ecuador.com

ESTADÍSTICAS ÍNDICE

Edición 164 - Abril 2025

67 71 74 Exportaciones de camarón Reporte de mercado de EE. UU. Reporte de mercado de China

CAMARÓN

Estadísticas de Comercio Exterior

Elaborado por: María Andrea Dicindio - Subgerente de Comercio Exterior de la Cámara Nacional de Acuacultura

EVOLUCIÓN DE EXPORTACIONES 2010 - 2024

La gráfica presentada muestra un crecimiento constante en el volumen y valor de las exportaciones de camarón, con un incremento notable hasta 2022, cuando se alcanzó el pico máximo de ingresos. Aunque a partir de 2023 el volumen exportado se mantiene en niveles récord, el 2024 muestra una ligera reducción en el valor de las exportaciones que se da, principalmente, por ajustes en los mercados internacionales.

Este desempeño resalta el fortalecimiento del sector camaronero, evidenciando su capacidad productiva y consolidación en el mercado global, así como la necesidad de estrategias para mantener la rentabilidad ante fluctuaciones comerciales con los principales mercados de destino.

Fuente: Estadistic S.A.

Elaborado por: Cámara Nacional de Acuacultura

ESTADÍSTICAS

MILLONES DE LIBRAS EXPORTADAS: COMPARATIVO MENSUAL 2021 AL 2025

Las exportaciones de camarón han mostrado un incremento constante desde 2021 hasta 2025 en casi todos los meses, con algunos meses alcanzando picos considerables.

Fuente: Estadistic S.A.

Elaborado por: Cámara Nacional de Acuacultura

En mayo de 2024, Ecuador alcanzó un récord histórico al exportar 275 millones de libras de camarón, un hito impulsado por la optimización de su producción para obtener camarones de tallas más grandes. Este logro refleja la capacidad del sector para adaptarse a las tendencias del mercado internacional, maximizando tanto la calidad como el valor del producto exportado. No obstante, para el mes de Diciembre del 2024, se produjo una caída importante debido, principalmente, a caída de la demanda en el mercado chino. Con respecto al año 2025, se observa una tendencia creciente especialmente marcada en los meses de febrero y marzo, sugiriendo un crecimiento sostenido del sector camaronero ecuatoriano.

PARTICIPACIÓN POR MERCADOS DESTINO: MARZO 2024 VS MARZO 2025

El siguiente gráfico muestra la participación porcentual de las exportaciones de camarón por destino en libras durante marzo del 2024 y marzo del 2025. Como se puede observar, aunque China sigue siendo el principal mercado, se observa una ligera disminución en su participación de 4 puntos. Por el contrario, Europa presenta un aumento en su participación de 4.9 puntos porcentuales.

Fuente: Estadistic S.A.

Elaborado por: Cámara Nacional de Acuacultura

PRINCIPALES PAÍSES DESTINOS (MILLONES DE LIBRAS): ENERO - MARZO (2024 VS 2025)

Fuente: Estadistic S.A.

Elaborado por: Cámara Nacional de Acuacultura

La tendencia general muestra crecimiento en todos los países/regiones, destacando principalmente a China que, siendo el principal destino de exportación, presenta un crecimiento del 13% en el volumen exportado. Por otro lado, se observa a Estados Unidos con un aumento del 4%, pasando de 137 a 143 millones de libras entre el periodo Enero - Marzo del 2025 versus mismo periodo del 2024.

EVOLUCIÓN DE EXPORTACIONES (MILLONES DE LIBRAS):

CHINA Y EE. UU. ENERO - MARZO 2025

El gráfico presenta la evolución mensual de las exportaciones de camarón hacia China y Estados Unidos durante el primer trimestre del año. Se observa una marcada tendencia decreciente en los envíos hacia China, que pasan de 128 millones de libras en enero a 104 millones en marzo, lo que representa una disminución del 19%. En contraste, el comportamiento de las exportaciones hacia Estados Unidos muestra una tendencia positiva, con un crecimiento sostenido de 42 millones de libras en enero a 56 millones en marzo, es decir, un aumento del 33%.

Fuente: Estadistic S.A.

Elaborado por: Cámara Nacional de Acuacultura

Importación de camarón de China

Kontali Shrimp sander@kontali.no www.shrimp.kontali.no

El volumen de importación en marzo de 2025 alcanzó las 76,650 toneladas, un aumento del 12% con respecto al mes anterior, pero una disminución interanual (YoY) del 6%. Esta recuperación mensual se produce tras la desaceleración de febrero y podría reflejar una normalización de la actividad importadora post feriado. Con una disminución del 11% en el volumen de importación del primer trimestre con respecto al mismo período de 2024, esta brecha interanual se está cerrando desde principios de año, situándose en un -26% y un -14% en lo que va del año, respectivamente. El precio medio de importación en marzo fue de $5.17/kg, una disminución intermensual de $0.25, pero un aumento interanual de $0.15, lo que refuerza la idea de una demanda sólida y continua, aunque con un impulso ligeramente menor tras el auge del feriado.

Si bien es más modesto que en enero o febrero, este aumento interanual de precios extiende la tendencia al alza de los precios de 2025 en comparación con 2024. Dado este aumento de volumen y precios más altos, el valor total de las importaciones en marzo ascendió a aproximadamente $397 millones, un 7% más que en febrero, aunque sigue siendo del 3% en comparación con marzo de 2024. El valor acumulado de las importaciones para el primer trimestre de 2025 se sitúa ahora en $1.210 millones de dólares, una disminución del 3% con respecto al mismo período del año anterior. No obstante, el repunte parcial en marzo respalda la perspectiva de una recuperación gradual del flujo comercial a medida que el mercado se ajusta tras las festividades y la demanda se estabiliza.

Rendimiento de especies

Según el Modelo de Mercado Kontali, las importaciones de vannamei a China se estabilizaron en marzo en 70,830 toneladas LSE, sin cambios intermensuales (0%), pero estabilizándose tras la fuerte caída de febrero. En una comparación interanual (YoY), el volumen también se ha mantenido estable, lo que indica una vuelta a los patrones de compra habituales tras las festividades. Si bien los volúmenes de marzo se mantuvieron muy por debajo del aumento de enero, la estabilidad en marzo y el sólido desempeño de enero, impulsaron las importaciones totales de vannamei del primer trimestre de 2025 a 242,500 toneladas LSE, lo que representa un aumento del 1% con respecto al primer trimestre de 2024. Esto refleja una demanda estable a pesar de la esperada calma en febrero relacionada con el período del Año Nuevo chino.

Ecuador continuó siendo la principal fuente de vannamei de China en marzo de 2025. Las importaciones de Ecuador alcanzaron las 58,650 toneladas LSE, un 16% más que en febrero y un 14% más interanual. Sin embargo, esto puede deberse a una ligera discrepancia en los retrasos logísticos relacionados con el período del Año Nuevo chino. India fue el segundo mayor proveedor en marzo, aunque las importaciones cayeron drásticamente a 6,820 toneladas LSE, un 47% menos que en febrero y un 45% menos que en el mismo período del año anterior. Esta fuerte disminución probablemente refleja en parte el estado de los ciclos de producción de India y la demanda china por sus fiestas. Tailandia suministró 2,680 toneladas LSE en marzo, un 58% más que en febrero, pero un 7% menos que en el mismo mes del año anterior. Las importaciones de Vietnam alcanzaron las 2,360 toneladas LSE, lo que representa una disminución del 20% intermensual y del 14% interanual.

MERCADO

Las importaciones de monodón a China disminuyeron significativamente en marzo de 2025, alcanzando las 905 toneladas LSE, una disminución del 75% con respecto a febrero y del 31% interanual. Esto coincide con las caídas mencionadas anteriormente para las importaciones de vannamei después de la temporada navideña. India se mantuvo como el principal proveedor de monodón a China, con importaciones de 426 toneladas LSE, aunque esto representó una pronunciada disminución del 84% con respecto a febrero y del 21% interanual.

Perspectivas

Los precios en origen en China han mostrado una trayectoria generalmente ascendente en las últimas semanas, con fluctuaciones a corto plazo. Los precios se han visto afectados por la baja disponibilidad de materia prima tras las cosechas de febrero, las condiciones climáticas adversas como las intensas lluvias y las oscilaciones térmicas, y los picos de demanda estacionales, como el Festival de Qingming. Tras el feriado, la demanda se mantuvo relativamente firme en zonas como el Delta del Río Perla, especialmente para camarones de mayor tamaño, mientras que otras regiones experimentaron una desaceleración. Recientemente, los precios han seguido subiendo, impulsados por la reposición de procesadoras previo a la Semana Dorada del Día del Trabajo y la preocupación por la calidad de la materia prima debido a las condiciones climáticas previas durante la producción. Este momentum sugiere que los precios podrían mantenerse estables a corto plazo, especialmente para los tamaños más grandes preferidos.

Las tendencias de producción de los principales proveedores indican una perspectiva de suministro mixta pero cautelosa. Ecuador continúa cosechando a niveles estacionalmente altos, y las camaroneras se han mantenido prácticamente intactas tras las fuertes lluvias recientes, aunque el aumento de las precipitaciones requiere un manejo más cuidadoso de las piscinas. India ha pasado de la cosecha a la siembra de su verano, pero las altas temperaturas costeras y el sentimiento de moderación de exportadores han llevado a muchos productores a proceder con cautela, retrasando la siembra a gran escala. Como

Importaciones de China en 2023, 2024 y 2025 (volúmenes y precio promedio/kg)

resultado, se espera un mayor impulso de la producción a finales del segundo trimestre. Los productores vietnamitas se centran en el crecimiento de camarón de mayor tamaño, impulsados por una mayor confianza de las procesadoras y la estabilidad de las condiciones de los estanques. Si bien se produjeron cosechas anticipadas debido a la incertidumbre del mercado, la mayoría de los productores ahora aspiran a un pico de cosecha más concentrado en mayo, lo que podría generar mayores volúmenes en las próximas semanas•

Este informe fue escrito originalmente en inglés por Seafood TIP. El informe fue traducido por la Cámara Nacional de Acuacultura.

Para más información sobre este artículo escriba a: sander@kontali.no

Volumen de importación de vannamei en el mercado chino (2023, 2024 y 2025)

Importación de camarón de Estados Unidos

Autores: Jim Kenny jkenny@urnerbarry.com

Ángel Rubio angel.rubio@expanamarkets.com

Urner Barry

Importaciones de todos los tipos, por tipo

Según la data publicada para febrero de 2025, las importaciones de camarón de EE.UU. alcanzaron los 141.1 millones de libras, lo que representa una disminución del 10.1% con respecto a enero, mientras que registraron un aumento del 75% en comparación con febrero de 2024. Los volúmenes acumulados en el año reflejan un crecimiento continuo, con 298.0 millones de libras, lo que representa un aumento del 13.6% con respecto al mismo período de 2024. El análisis por tipo de producto revela un desempeño heterogéneo entre las categorías: las importaciones de camarón con cáscara disminuyeron un 6.4% en lo que va del año, mientras que las categorías de camarón pelado y cocido mostraron una notable fortaleza, con un +22.3% y un +37.2%, respectivamente.

El mercado presenta condiciones cada vez más complejas a medida que los participantes se preparan para posibles cambios arancelarios después del 9 de julio. La fuerte temporada de cosecha de la India y los tiempos de tránsito más cortos de Ecuador han generado ventajas estratégicas en medio de la incertidumbre sobre si las tasas arancelarias actuales, igualadas al 10%, volverán a los niveles específicos de cada país (India 26%, Ecuador 10%, Vietnam 46%, Indonesia 34%). Esta fecha límite inminente ha impulsado a los importadores a acelerar las compras de Ecuador, mientras evalúan la exposición de plazos de entrega más largos de fuentes como India, Vietnam e Indonesia.

El mercado continúa mostrando importantes contrastes en el rendimiento entre los principales proveedores. Las importaciones de la India en febrero, de 54.3 millones de libras, reflejaron un modesto aumento del 3.6% con respecto a febrero de 2024, mientras que los volúmenes de Ecuador aumentaron un 5.3% hasta alcanzar los 39.3 millones de libras. El rendimiento de Indonesia en febrero mostró un crecimiento del 4.6% hasta alcanzar los 23.1 millones de libras en comparación con el año anterior, y Vietnam mantuvo un modesto impulso con un crecimiento interanual del 2.0% hasta alcanzar los 8.1 millones de libras. Los volúmenes de Tailandia crecieron

significativamente en febrero, un 67.1% con respecto al año anterior. Los valores de reemplazo mostraron tendencias variadas en las distintas categorías, con un promedio ponderado general de $3.75/lb en febrero. Esto refleja la compleja dinámica en la que ciertos países de origen demuestran una mayor flexibilidad de negociación, mientras que otros mantienen la disciplina de precios en medio de los elevados costos de producción y la incertidumbre arancelaria.

Ciclos de importación mensual por país (todos los tipos)

India: Las importaciones de febrero desde India alcanzaron los 54.3 millones de libras, lo que representa un aumento del 3.6% con respecto a febrero de 2024, pero una disminución del 20.9% con respecto al excepcional volumen de enero. Las importaciones acumuladas en lo que va del año han alcanzado los 123.0 millones de libras, un sólido aumento del 27.3% con respecto a 2024, lo que destaca la continua importancia de India a pesar de las preocupaciones arancelarias. Los participantes del mercado reportan que han acelerado las compras para aprovechar la temporada alta de cosecha antes del posible aumento arancelario del 9 de julio.

Ecuador: Las importaciones de febrero registraron 39.3 millones de libras, un crecimiento del 5.3 % en comparación con febrero de 2024. El volumen acumulado del año ha alcanzado los 73.0 millones de libras, aunque muestra una ligera contracción del 4.2 % con respecto al mismo período de 2024. La ventaja estratégica de Ecuador, con tiempos de tránsito más cortos, ha generado un mayor interés de compra, ya que los importadores buscan minimizar la exposición a la incertidumbre arancelaria, lo que podría sentar las bases para cifras de importación más sólidas en los próximos meses.

Indonesia: El rendimiento de febrero alcanzó los 23.1 millones de libras, un crecimiento del 4.6% en comparación con febrero de 2024. El volumen acumulado del año ha alcanzado los 48.5 millones de libras, un 2.8% por encima de los niveles de 2024. Ante la posible imposición de aranceles del 34% después del 9 de julio, los compradores reportan sobre estrategias de compra cada vez más selectivos, centrados en tamaños

Importaciones YTD de todos los tipos de camarón por año de EE.UU. y promedio Importación $/lb.

Fuente: USDOC. Urner Barry

y formatos básicos, a la vez que aceleran los movimientos de productos para evitar la posible exposición a la fecha límite de julio. Vietnam: Las importaciones totales de Vietnam alcanzaron los 8.1 millones de libras en febrero (+2.0% interanual), con volúmenes acumulados de 18.9 millones de libras, un 18.9% más que en 2024. Las categorías de valor agregado continúan mostrando patrones de rendimiento distintivos, con el camarón cocido mostrando un impresionante crecimiento acumulado en lo que va de año (+30.5% interanual). Con aranceles potenciales del 46%, que representan la tasa más alta entre los principales proveedores, los participantes del mercado reportan una planificación estratégica de inventarios mejorada y ciclos de compra acelerados.

Importaciones de camarón con cáscara, cíclicos y por tamaño

Las importaciones de camarón con cáscara en febrero de 2025 alcanzaron los 37.5 millones de libras, un 3.2% menos que los niveles de febrero de 2024 y un 6.4% menos en lo que va de año, con 77.6 millones de libras. Esta continua debilidad en la categoría de camarón con cáscara contrasta con la fortaleza en los segmentos de valor agregado, lo que refleja cambios estructurales en las preferencias del mercado, junto con decisiones de compra impulsadas por aranceles. El análisis de la distribución de tamaños muestra cambios

significativos: la categoría U/15 registró un sólido crecimiento interanual del 36.6 % en febrero, mientras que las tallas 16-20 disminuyeron drásticamente un 34.8%. La categoría de tallas 21-25 mostró fortaleza con un crecimiento interanual del 17.7% en febrero. Este desempeño desigual entre las categorías de tamaño refleja la fragmentación del mercado, donde algunos segmentos experimentan presión mientras que otros mantienen una relativa estabilidad. Ecuador se mantuvo como el principal proveedor de camarón con cáscara a pesar de una disminución interanual del 8.9% en febrero, mientras que Indonesia e India mostraron un crecimiento prometedor del 23.4% y el 10.1%, respectivamente. La distribución de origen continúa evolucionando a medida que los participantes del mercado evalúan su exposición a posibles aumentos arancelarios, y los tiempos de tránsito más cortos de Ecuador representan una ventaja estratégica para las necesidades a corto plazo.

Precios del camarón con cáscara + Índice HSLO

Los valores de reemplazo de camarón con cáscara en febrero promediaron $3.72/lb, lo que muestra una moderación continua en los precios a pesar de las compras selectivas impulsadas por los aranceles. Las tendencias divergentes de precios entre las categorías de tamaño reflejan tanto las limitaciones

de disponibilidad como las compras estratégicas. El tamaño U/15 domina el posicionamiento premium, mientras que los tamaños medianos muestran una relativa debilidad.

La discrepancia entre los costos de reemplazo y los precios mayoristas en EE.UU. continúa generando una fragmentación del mercado. El Índice Urner Barry White de Camarón se situó en $4.19/lb hasta abril de 2025, frente a los $3.67/lb de febrero. Esta creciente diferencia entre el reemplazo y el precio mayorista refleja tanto la dinámica estacional como el posicionamiento estratégico del inventario ante posibles cambios arancelarios.

Importaciones de valor agregado, camarón pelado

Las importaciones de camarón pelado mostraron una fortaleza continua en febrero, con un volumen total que alcanzó los 71.0 millones de libras, lo que representa un aumento del 8.2% con respecto a febrero de 2024. Los volúmenes acumulados en el año han alcanzado los 150.2 millones de libras, un aumento sustancial del 22.3% con respecto a 2024. Los valores de reemplazo promediaron $3.72/lb en febrero, mostrando una relativa estabilidad con respecto a los niveles de enero. Los participantes del mercado siguen experimentando dinámicas variables en las distintas categorías, con

REPORTE DE MERCADO

compradores que muestran una estrategia cada vez más selectiva, centrada en los tamaños y especificaciones preferidos. India dominó esta categoría con 39.3 millones de libras en febrero, lo que representa una ligera disminución del 1.3% con respecto a febrero de 2024, aunque mantiene un impresionante aumento del 21.6% en lo que va de año. Ecuador mostró una fortaleza particular, con volúmenes en febrero que alcanzaron los 17.1 millones de libras, un 28.8% más que en febrero de 2024, con un crecimiento del 25.8% en lo que va de año. Indonesia demostró resiliencia con volúmenes de 8.6 millones de libras en febrero, un 26.7% más que en febrero de 2024. El rendimiento de Vietnam se mantuvo estable en 1.9 millones de libras, mostrando una disminución interanual del 20.3% en febrero, pero manteniendo un modesto crecimiento del 1.2% en lo que va de año.

Reemplazo de camarón pelado vs. Venta al por mayor en EE.UU. El valor del reemplazo de camarón pelado en febrero promedió $3.81/lb, mostrando variaciones específicas según el país. El producto de la India mantuvo precios competitivos, mientras que el camarón pelado de Vietnam obtuvo un trato premium gracias a su posicionamiento de calidad y ventajas de formato. El Índice de Valor Agregado Urner Barry alcanzó los $5.06/lb en abril, lo que refleja el fortalecimiento de las condiciones del mercado junto con un

posicionamiento estratégico ante posibles cambios arancelarios.

Este momentum de precios refleja múltiples factores que van más allá de los fundamentos de la oferta y la demanda, y la incertidumbre arancelaria genera urgencia entre los compradores para asegurar el inventario antes de la fecha límite del 9 de julio. Los plazos de entrega de 6 a 9 semanas para los envíos de origen asiático han generado una urgencia especial en las compras de India, Vietnam e Indonesia, ya que los productos enviados después de principios de mayo podrían verse expuestos a aranceles más altos si no se resuelven las negociaciones comerciales actuales.

Importaciones de camarón cocido, empanizado y otros

Las importaciones de camarones cocidos de aguas cálidas alcanzaron los 22.3 millones de libras en febrero de 2025, lo que representa un modesto aumento del 2.5 % en comparación con febrero de 2024. La comparación interanual revela un drástico crecimiento del 37.2 % en comparación con los niveles de 2024, alcanzando los 40.7 millones de libras. India continúa dominando esta categoría con 9 millones de libras en febrero, lo que representa un aumento del 30.5% con respecto a febrero de 2024 y un impresionante crecimiento interanual del 64.4%. Indonesia contribuyó con 4.6 millones de libras, mostrando un crecimiento

interanual del 9.8%, mientras que los 3.6 millones de libras de Vietnam representaron un aumento interanual del 11.5%. Las importaciones de camarón empanizado totalizaron 10.5 millones de libras en febrero de 2025, lo que refleja un crecimiento del 9.6% en comparación con febrero de 2024.

El volumen acumulado en el año ha alcanzado los 21.7 millones de libras, un 4.6% superior a los niveles de 2024. Indonesia se mantuvo como el principal proveedor con 3.9 millones de libras en febrero, un 2.1% menos que en febrero de 2024, pero contribuyendo a un crecimiento del 2.8% en lo que va de año. Esta categoría continúa mostrando una relativa estabilidad en medio de la volatilidad general del mercado, e Indonesia mantiene su liderazgo a pesar de las posibles preocupaciones arancelarias.

Minoristas

La dinámica promocional en el sector minorista en febrero de 2025 mostró una notable estabilidad interanual, con 48.5 mil anuncios semanales, casi idénticos a los 48.9 mil de febrero de 2024, lo que representa una disminución marginal del 0.8%. El precio promedio de las promociones en febrero se situó en $7.79/lb, lo que representa una ligera disminución con respecto a los $7.83/ lb observados en febrero de 2024.

Las cifras acumuladas hasta febrero indican que el volumen total de promociones

Fuente: USDOC. Urner Barry
Detalle de importaciones de camarón YTD por tipo

alcanzó los 102,000 anuncios, un aumento del 8.5% en comparación con los 94,000 registrados en el mismo período de 2024, aunque aún se encuentra por debajo de los niveles prepandémicos observados entre 2020 y 2022. El precio promedio de las promociones en lo que va del año, de $7.79/ lb, representa una modesta disminución del 0.5% con respecto a los $7.83/lb registrados en los dos primeros meses de 2024, lo que sugiere una relativa estabilidad de precios a pesar de la incertidumbre en los canales de suministro y el posible impacto arancelario.

Camarón del Golfo

Mientras el mercado espera la data actualizada de desembarque de diciembre a febrero, los precios se han mantenido estables a lo largo del primer trimestre de 2025 en todos los segmentos, y el camarón café local ha demostrado una notable fortaleza en un contexto de oferta severamente limitada. Los valores han avanzado y han confirmado una demanda firme del mercado, con los precios internos de este camarón local de 21-25 fortaleciéndose más allá del umbral de $6.50/lb en las últimas operaciones.

Ante la disponibilidad de reemplazo limitada y las descargas de buques por debajo de la meta, los vendedores han adoptado posiciones cada vez más estratégicas en cuanto al manejo de inventarios. El reciente programa de compras del USDA ha restringido aún más la oferta disponible, lo que ha generado una mayor presión alcista sobre los precios. Reportes puntuales de las procesadoras indican inventarios históricamente bajos de cara a la primavera, lo que respalda la perspectiva de precios firmes hasta principios de 2025, incluso mientras el mercado espera nuevos datos de producción.

Exportaciones de Ecuador

Las exportaciones totales de camarón ecuatoriano en febrero de 2025 alcanzaron aproximadamente 128.6 millones de libras, con un volumen acumulado de 265.0 millones de libras, lo que representa un crecimiento moderado con respecto a 2024.

Los patrones de distribución continuaron evolucionando: los mercados asiáticos recibieron el 54.4% de las exportaciones de febrero (frente al 61.7% de enero), mientras

que los destinos europeos aumentaron al 22.9% (frente al 16.8% de enero).

Esta recalibración estratégica hacia una mayor presencia en el mercado europeo refleja las adaptaciones a la moderación de la dinámica de la demanda asiática y las posibles preocupaciones arancelarias de EE.UU. Los envíos a EE.UU. aumentaron hasta representar el 18.7% de las exportaciones de febrero, en línea con el 18.6% de enero, lo que refleja una demanda sostenida, ya que los importadores estadounidenses aprovechan los tiempos de tránsito más

cortos de Ecuador para minimizar la exposición arancelaria.

Los patrones actuales de exportación sugieren que los productores ecuatorianos están diversificando cada vez más sus mercados de destino en medio de la incertidumbre comercial mundial, lo que les permite mantener la flexibilidad independientemente del resultado de las negociaciones arancelarias con EE.UU.•

CNA impulsó misión negociadora tras anuncio de nuevos

aranceles en EE. UU.

Ante el anuncio de Estados Unidos de aplicar una tarifa base del 10% a las importaciones de productos ecuatorianos a partir del 5 de abril, la Cámara Nacional de Acuacultura (CNA), en representación del sector camaronero, promovió la conformación de una misión negociadora que viaje a ese país con el objetivo de restituir las condiciones arancelarias previas y reducir el impacto en uno de los principales mercados de exportación para el camarón ecuatoriano.

Como parte de este esfuerzo conjunto, representantes del sector público y privado ofrecieron una rueda de prensa simultánea en Quito y Guayaquil para informar sobre los avances y la hoja de ruta frente al nuevo escenario comercial.

Aunque para el camarón ecuatoriano la medida presentaba una cierta posición de supuesta ventaja frente a otros países competidores como India (26%), Indonesia (32%), Vietnam (46%) y Tailandia (36%), el sector advirtió que el nuevo arancel del 10%, vigente desde el 5 de abril, podría afectar el consumo de camarón en el mercado

Sector camaronero participa en la construcción de norma técnica sobre aprovechamiento productivo del agua

La Comisión de Productores de la Cámara Nacional de Acuacultura (CNA) presentó observaciones técnicas a María Luisa Cruz, viceministra del Agua del Ministerio del Ambiente, Agua y Transición Ecológica, sobre el borrador de la Guía complementaria para el control de cumplimiento de las obligaciones en las autorizaciones de uso o aprovechamiento no consuntivo del agua para la actividad acuícola, elaborada por la Agencia de Regulación y Control del Agua (ARCA).

En su análisis, la entidad gremial planteó la necesidad de incorporar una metodología basada en el cálculo de balance hídrico, fundamentada en datos reales de fincas camaroneras y respaldada por referencias técnicas como la Organización de las Naciones Unidas para la Alimentación (FAO). Este enfoque permitiría demostrar

estadounidense, que concentra entre el 18% y 20% de nuestras exportaciones.

El 7 de abril, el presidente Donald Trump anunció la suspensión temporal de la medida, lo que representa únicamente una pausa en su aplicación. Ante esta situación, el sector camaronero insiste en la necesidad de fortalecer las gestiones diplomáticas y técnicas con el objetivo de alcanzar una solución definitiva que garantice la estabilidad comercial con el mercado estadounidense.

que la acuacultura hace un uso no consuntivo del recurso, es decir, sin agotarlo ni alterarlo. Al momento, la CNA está a la espera de la respuesta gubernamental.

Representantes de la CNA son nombrados Embajadores de Guayaquil 2025–2028 por

su proyección internacional

Por su trayectoria e influencia a nivel internacional, José Antonio Camposano, Presidente Ejecutivo de la Cámara Nacional de Acuacultura (CNA), y Pamela Nath, directora de Sustainable Shrimp Partnership, fueron designados como Embajadores de Guayaquil 2025–2028 por la Dirección General de Turismo y Eventos Especiales de la Alcaldía de Guayaquil.

El reconocimiento destaca su trayectoria y contribución a la proyección internacional de la ciudad, especialmente desde el liderazgo de una industria que posiciona al Ecuador como referente mundial en producción y exportación sostenible de camarón.

CNA gestiona soluciones para proteger la cadena de frío durante inspecciones portuarias

Con el objetivo de resguardar la calidad del camarón ecuatoriano y prevenir rechazos en los mercados de destino, la Cámara Nacional de Acuacultura mantuvo una reunión técnica con el Subsecretario de Puertos, Bryan Andrade y Daniela Paredes, Subsecretaria de Calidad e Inocuidad en las instalaciones de la SCI. El encuentro se centró en los problemas derivados de las variaciones de temperatura durante las inspecciones antinarcóticos, las cuales han provocado la destrucción de cargamentos exportados, especialmente hacia Europa.

Durante la sesión, se presentaron casos documentados que evidencian las variaciones de temperatura, y se expuso detalladamente el proceso logístico que sigue la industria camaronera, destacando el rol fundamental que cumple el control de temperatura para garantizar la conservación del producto. El Subsecretario de Puertos expresó su compromiso de investigar los incidentes reportados, con el fin de avanzar, en conjunto con la Cámara Nacional de Acuacultura, en la implementación de soluciones que salvaguarden la integridad de las exportaciones del sector.

La condecoración se realizó en el marco del Taller de Capacitación y Ceremonia de Reconocimiento a los Embajadores de Guayaquil, evento que contó con la presencia de Arnaldo Nardone, autoridad global en turismo de reuniones y miembro de la Asociación Internacional de Congresos y Convenciones (ICCA).

Este nombramiento refuerza el papel del sector camaronero como embajador de calidad, sostenibilidad y excelencia en los escenarios globales.

CNA continúa fortaleciendo su vínculo estratégico con China

China es el principal destino del camarón ecuatoriano. La Cámara Nacional de Acuacultura (CNA), en representación de la industria camaronera, participó en dos eventos clave realizados en abril.

El 22 de abril, el Presidente Ejecutivo junto con el Presidente del Directorio de la CNA entregaron un reconocimiento al embajador Chen Guoyou, por su rol activo para el fortalecimiento de las relaciones comerciales entre ambos países. El 28 de ese mes, el Pdte. Ejecutivo CNA también participó en la ceremonia conmemorativa del primer aniversario del Tratado de Libre Comercio entre China y Ecuador, evento organizado por la Embajada de China y Pro Ecuador, en la que se resaltaron los recientes avances comerciales, así como las oportunidades que el acuerdo continúa generando para el camarón ecuatoriano en el competitivo mercado asiático.

Sector camaronero en la Cumbre de sostenibilidad EKOS 2025

Durante la Cumbre Ekos 2025, realizada en el Centro de Convenciones Metropolitano de Quito, el sector camaronero destacó por su innovadora participación. La CNA presentó un stand inmersivo inspirado en los ecosistemas de manglar, reflejando el origen sostenible de “El Mejor Camarón del Mundo”.

El espacio llamó la atención de los asistentes con elementos únicos como un árbol de manglar elaborado con materiales reciclados y nanotecnología para purificar el aire, junto con un juego interactivo que mostró de forma didáctica el impacto económico y social del sector.Durante el foro de liderazgo sostenible, Yahira Piedrahíta, directora ejecutiva de la CNA, reafirmó que la sostenibilidad ya no es solo una meta, sino el eje transversal de toda la industria camaronera: “El camarón ecuatoriano cumple con los más altos estándares internacionales de calidad, trazabilidad e inocuidad. Hoy podemos decir con orgullo que producimos el mejor camarón del mundo”.

CNA y SSP organizaron una nueva jornada técnica en el marco del programa SUSTAINED

Con el objetivo de promover prácticas más sostenibles y eficientes en la industria camaronera, la Cámara Nacional de Acuacultura (CNA) y Sustainable Shrimp Partnership (SSP) llevaron a cabo una nueva jornada técnica del programa de formación continua SustainED, enfocada en la “Gestión estratégica del agua y el suelo para una acuicultura exitosa”.

El encuentro, desarrollado en el Hotel Hilton Colón, reunió a expertos nacionales e internacionales, quienes compartieron conocimientos clave para optimizar las condiciones del entorno productivo, aumentar la eficiencia operativa y fortalecer la sostenibilidad de la producción camaronera ecuatoriana.

Turn static files into dynamic content formats.

Create a flipbook
Issuu converts static files into: digital portfolios, online yearbooks, online catalogs, digital photo albums and more. Sign up and create your flipbook.