REVISTA AQUACULTURA 157

Page 1

Edición 157 - Febrero 2024

Focalización de subsidios en el Ecuador. Una de las alternativas para lidiar con la crisis económica.

Sector camaronero ecuatoriano, firme en su defensa en Estados Unidos por supuesto dumping y supuestas subvenciones.

El principal desafío: la inseguridad. ¿Cómo no convertirse en un blanco fácil?.

Laboratorio de larvas, el origen de una producción sostenible de camarón.

Diferenciación de falsos positivos de IHHNV y EHP: toma de decisiones.

Efectos de una dieta con ácido tánico sobre el crecimiento, digestión, inmunidad y resistencia al estrés por amoníaco, y en la comunidad microbiana intestinal en el camarón blanco del Pacífico (Penaeus vannamei).

La producción de larvas del camarón Penaeus vannamei mejora cuando se alimenta con microalgas cultivadas con luces LED.

El impacto de la lluvia en el cultivo del camarón.

Materiales plásticos, impactos en el ambiente y en los organismos marinos.

Presidente Ejecutivo

Ing. José Antonio Camposano

Editora “AquaCultura”

MSc. Shirley Suasnavas ssuasnavas@cna-ecuador.com

Consejo Editorial

MSc. Yahira Piedrahita PhD. Leonardo Maridueña

Ing. José Antonio Lince

Econ. Danny Vélez

Ing. Alex de Wind

Diseño y diagramación

Ing. Orly Saltos osaltos@cna-ecuador.com

Ing. Roberto Peñafiel rpenafiel@cna-ecuador.com

Corrección de estilo

Daniel Ampuero daniel.ampuero@gmail.com

Comercialización

Gabriela Nivelo gnivelo@cna-ecuador.com

ÍNDICE
INFORMACIÓN DE COYUNTURA ARTÍCULOS TÉCNICOS ESTADÍSTICAS NOTICIAS 8 13 22 16 28 34 45 48 52 58 63 66 70 Noticias de interés. Exportaciones de camarón y tilapia. Reporte de mercado de EE. UU. Reporte de mercado de China.

El reciente panorama económico del Ecuador ha dejado en evidencia una preocupante tendencia hacia el incremento desmedido de las cargas impositivas, particularmente dirigidas al sector empresarial. Esta situación, lejos de impulsar el desarrollo económico y la generación de empleo, amenaza con asfixiar a las empresas y socavar su capacidad de contribuir al crecimiento del país.

En medio del debate sobre el incremento de impuestos al sector empresarial, es importante reconocer el contexto en el que se desenvuelve la economía ecuatoriana. Estamos conscientes, como ciudadanía y como sector empresarial, del impacto económico que genera la lucha interna contra el crimen organizado que opera en el país. Sin embargo, este desafío no debe ser utilizado como una excusa para trasladar el déficit público al sector privado mediante el aumento de tributos.

Es innegable que combatir el crimen organizado es crucial para la seguridad y estabilidad del país, y entendemos que ello conlleva importantes recursos financieros. Sin embargo, cargar a las empresas con una mayor carga impositiva no es la solución adecuada. Penalizar a quienes generan empleo y riqueza no solo es injusto, sino que también puede tener consecuencias negativas para la economía en su conjunto.

Prioridades divergentes: fiscalismo vs. crecimiento empresarial en Ecuador

Es innegable que combatir el crimen organizado es crucial para la seguridad y estabilidad del país, y entendemos que ello conlleva importantes recursos financieros. Sin embargo, cargar a las empresas con una mayor carga impositiva no es la solución adecuada.

Adicionalmente, la inseguridad jurídica que provoca este constante cambio de reglas en la tributación es un obstáculo significativo para la inversión y el crecimiento económico sostenible. Los inversionistas necesitan certeza y estabilidad para tomar decisiones a largo plazo, y la imposición de cargas impositivas arbitrarias y repentinas debilita esa confianza.

Es fundamental que el gobierno encuentre formas alternativas de financiar la lucha contra el crimen organizado y superar el déficit fiscal, sin recargar aún más los hombros del sector empresarial. Esto exige, por ejemplo, revisar y optimizar el gasto público, pues es en ese ámbito en el que los gobiernos de turno no han tomado las decisiones que resuelvan la crisis estructural, yéndose por las soluciones temporales.

Es hora de que el gobierno ecuatoriano demuestre su compromiso con el crecimiento económico sostenible y la equidad, encontrando formas justas de financiar sus prioridades sin penalizar injustamente a quienes contribuyen al desarrollo del país. Solo a través de un enfoque integral y colaborativo podremos superar los desafíos que enfrentamos y construir un futuro más próspero y seguro para todos los ecuatorianos•

EDITORIAL

DIRECTORIO

PRIMER VICEPRESIDENTE

Ing. Luis Francisco Burgos

PRESIDENTE DEL DIRECTORIO

Ing. Marcelo Vélez

Ing. Ricardo Solá

Dr. Alejandro Aguayo

Ing. Alex Olsen

Ing. Ori Nadan

Ing. Francisco Pons

Ing. José Antonio Lince

Ing. Jorge Redrovan

Ing. Alex de Wind

Ing. Kléber Siguenza

Ing. Rodrigo Vélez

Ing. Iván Rodríguez

Ing. Juan Carlos Vanoni

Ing. Roberto Aguirre

VOCALES

Ing. Alejandro Ruiz-Cámara

Ing. Alvaro Pino

Econ. Heinz Grunauer

Ing. Víctor Ramos

Ing. David Eguiguren

Ing. Humberto Dieguez

Ing. Atilio Solano

Ing. Freddy Arias

Ing. Vinicio Aray Dueñas

Econ. Sandro Coglitore

Ing. Rodrigo Laniado

Blgo. Carlos Sánchez

Ing. Diego Puente

SEGUNDO VICEPRESIDENTE

Ing. Fabricio Vargas

Ing. Johnny Adum

Sra. Verónica Dueñas

Ing. Alex Elghoul

Ing. Bastien Hurtado

Econ. Wolfgang Harten

Econ. Carlos Miranda

Econ. Danny Vélez

Ing. Héctor Marriott

Ing. Oswin Crespo

Ing. Edison Brito

Ing. Santiago León

FOCALIZACIÓN DE SUBSIDIOS EN EL ECUADOR

UNA DE LAS ALTERNATIVAS PARA LIDIAR CON LA CRISIS ECONÓMICA

Con el propósito de trazar el escenario económico ecuatoriano actual, la Revista AQUACULTURA realizó una entrevista a Alberto William Dahik Garzozi, político y economista ecuatoriano de ascendencia libanesa. Nacido el 27 de agosto de 1953 en Guayaquil, fue ministro de Finanzas entre 1985 y 1987 y vicepresidente de la República desde el 10 de agosto de 1992 hasta el 11 de octubre de 1995.

En la actualidad, Dahik Garzozi es director del Centro de Estudios Económicos y Sociales para el Desarrollo (CESDE) en la Universidad de Especialidades Espíritu Santo. Además de su labor académica, es reconocido como un influyente analista en los ámbitos político y económico de Ecuador. Su experiencia y conocimientos profundos en ambas materias lo han convertido en una figura relevante para comprender y abordar los desafíos económicos que enfrenta el país.

¿Cuál es su evaluación de la salud económica del Ecuador actualmente?

La economía ecuatoriana está experimentando uno de sus peores momentos, posiblemente el peor desde 1999. La situación fiscal es tan grave que el Estado no puede pagar los sueldos, pero mantiene esquemas de subsidios a los combustibles y fondos de pensiones que son insostenibles. Son los principales factores que afectan la estabilidad macroeconómica del Ecuador.

La estructura de tasas de interés, controlada por el Estado, asigna de manera ineficiente los recursos, mientras que la legislación laboral no favorece el empleo.

Por otra parte, Ecuador sigue siendo el país que recibe menos inversión extranjera directa en Latinoamérica en relación con su Producto Interno Bruto, y no muestra crecimiento económico. Sin reformas estructurales, el país podría enfrentar dificultades similares a las anteriores a la dolarización.

Además, la economía ecuatoriana, al igual que otras en el mundo, se ve afectada por las tendencias económicas globales. La falta de un sistema de ahorro efectivo, como el de Chile, y la eliminación de fondos de estabilización de precios del petróleo han dejado a Ecuador vulnerable a las fluctuaciones globales, como se evidenció con el aumento inesperado del gasto en servicio de la deuda debido a la subida de tasas de interés en el mundo en 2023.

- FEBRERO 2024 COYUNTURA
8

Ante la evidente crisis económica que atraviesa Ecuador, ¿cuál debe ser la prioridad a corregir en materia económica?

El sector público debe corregir sus desequilibrios, ya que no puede haber una economía con un déficit permanente del 7% del Producto Interno Bruto. Además, el sector público, que representa el 36% del PIB, no realiza inversiones debido a la falta de recursos. La reactivación económica de Ecuador depende de lograr reformas estructurales profundas y generar confianza en los actores económicos al contener la inseguridad.

Mientras persistan las graves distorsiones económicas, el Estado no podrá invertir. Sin inversión, no habrá formación bruta de capital, lo que conducirá a la falta de crecimiento, empleo y desarrollo económico.

En varias entrevistas para medios de comunicación, Dahik ha expresado que es fundamental analizar los siguientes puntos:

1.SUBSIDIOS

El subsidio a los combustibles está estimado en aproximadamente 4.000 a 4.500 millones de dólares anuales, abarcando también el gas.

De esta cantidad, alrededor de 200 millones de dólares alcanzan a beneficiar a personas en situación de pobreza, mientras que una cifra considerable de 800 millones de dólares se desvía hacia actividades ilícitas como el contrabando y el narcotráfico, así como hacia estratos sociales más acomodados.

La propuesta para abordar esta situación implica la reestructuración del subsidio, orientándolo de manera más focalizada hacia los sectores más necesitados, particularmente a través de iniciativas de transporte urbano e intercantonal que garanticen que el subsidio alcance directamente a los usuarios del transporte público.

Es importante destacar que esta problemática se ve agravada por la existencia de otros subsidios, como el fondo de pensiones, lo que genera una situación insostenible en términos financieros para el Estado.

De no abordarse esta situación, se avizora un escenario en el que el Estado enfrentará dificultades crecientes para cumplir con sus obligaciones financieras.

2.GASTO PÚBLICO

En su columna de Diario El Universo del 28 de enero pasado, Dahik expresó: “Siempre repito que el principal problema del Ecuador es que el Ecuador no entiende sus problemas. La facilidad con la cual se dice ‘reduzca el gasto’ es directamente proporcional a la ignorancia que existe sobre todas estas perversas realidades, y los políticos que dicen ‘reduzca el gasto’ han contribuido a crearlas y mantenerlas”.

Explicó que la clase política, junto con los grupos de presión, ha establecido un entramado de privilegios altamente protegido para los servidores públicos, el cual constituye una carga excesiva y extremadamente difícil de desmantelar. De los 10 mil millones de

dólares destinados al pago de salarios, según el presupuesto del Estado, apenas un 30% corresponde a remuneraciones que superan los estándares salariales vigentes en todos los sectores productivos de la economía.

¿Es posible comprar renuncias? Hace una década, una institución pública compró renuncias, pero los individuos "renunciantes" presentaron una demanda ante la Corte Constitucional, que declaró el proceso inconstitucional. Por ende, los demandantes debieron ser reincorporados a sus puestos originales. Como ejemplo específico, una persona debe ser restituida a su cargo con un salario de $4,205.72, y recibir una compensación por los años en los que estuvo fuera de servicio, que asciende a aproximadamente $600.000 incluyendo los intereses, según lo determinado por un tribunal distrital.

"El camarón es el mejor ejemplo de cómo se pueden lograr extraordinarios resultados siendo productivos y eficientes".
- FEBRERO 2024 COYUNTURA 9
Exministro de Economía y Finanzas del Ecuador
Alberto Dahik

3.DOLARIZACIÓN

La Reserva Monetaria Internacional, que alcanzó los 9.226 millones de dólares en marzo de 2022, ha disminuido significativamente a tan solo 4.454 millones de dólares para diciembre de 2023.

Esta reducción refleja los desequilibrios fiscales y los problemas estructurales subyacentes, los cuales han afectado la estabilidad de la dolarización.

Este descenso en las reservas indica una advertencia clara sobre la sostenibilidad del sistema dolarizado. Además, evidencia las consecuencias negativas de las acciones pasadas, como la falta de liquidez del Banco Central de Ecuador (BCE) y la repatriación forzada de fondos de la banca, que comprometieron la liquidez y la seguridad de los depositantes.

Una economía dolarizada se fortalece al garantizar un flujo significativo de dólares hacia el país. Por el contrario, se debilita cuando se restringe la entrada de dólares, limitando su disponibilidad en la economía nacional.

¿Es posible mejorar la productividad y la eficiencia en el sector público?

En el sector público se pueden realizar mejoras significativas en la productividad y eficiencia mediante la automatización de procesos, la eliminación de dependencias gubernamentales innecesarias y la reorganización de otras. Por otro lado, el sector privado, como el sector camaronero por ejemplo, constantemente mejora su productividad, lo que contrasta con el sector público.

A nivel privado, es fundamental ser competitivos. ¿Qué medidas adoptar?

Ecuador enfrenta un desafío en términos de competitividad debido a un sistema cambiario rígido y desequilibrado, salarios aumentados por encima de la inflación y una inflación general más alta que la mundial.

Se requieren cambios en la legislación laboral para hacerla más flexible y garantizar seguridad jurídica. Además, se necesita una reforma del sistema de tasas de interés para

canalizar más crédito hacia la inversión y menos hacia el consumo.

¿Cuáles son las oportunidades para diversificar la base económica de Ecuador?

A pesar de la retórica sobre la diversificación de la matriz productiva, la clave para Ecuador reside en la productividad y eficiencia en la producción, como está ejemplificado por el sector camaronero. Ecuador posee un potencial minero y agroindustrial significativo, que puede ser aprovechado para impulsar la economía.

Conclusiones:

Es fundamental promover la competitividad de la producción industrializada en Ecuador en este contexto económico. Es crucial evitar que la actividad productiva se vea afectada

por la disminución de su capital de trabajo, sobre todo mediante la creación de nuevos impuestos y contribuciones.

Aunque el escenario de inseguridad ha afectado significativamente el desarrollo de las actividades económicas, así como las expectativas de negocios y consumidores, es importante reconocer la influencia de otros factores que han contribuido a un evidente desempeño económico.

Según Dahik, la economía sigue su curso inevitable y, tarde o temprano, cobrará sus deudas. La urgencia de la situación demanda la implementación de medidas concretas para evitar consecuencias aún más graves en el futuro•

- FEBRERO 2024
10
COYUNTURA

SECTOR CAMARONERO ECUATORIANO, FIRME EN SU DEFENSA EN ESTADOS UNIDOS

POR SUPUESTO DUMPING Y SUPUESTAS SUBVENCIONES

La Comisión de Comercio Internacional de Estados Unidos (USITC) aprobó investigar al camarón ecuatoriano, junto con el camarón de India, Vietnam e Indonesia, por supuestas prácticas de competencia desleal. En noviembre de 2023, el Departamento de Comercio (DOC) notificó a Ecuador del inicio de las investigaciones por derechos antidumping (AD) y derechos compensatorios (CVD).

En una nueva confrontación comercial, el sector camaronero ecuatoriano se encuentra otra vez en la mira de las autoridades estadounidenses. En el 2004 fue una demanda antidumping y en el 2013 por derechos compensatorios. Ambos casos los ganó Ecuador. Ahora, nuevamente la Cámara Nacional de Acuacultura (CNA), en representación de la industria acuícola ecuatoriana, atiende la demanda por presunto dumping y supuestas subvenciones.

FECHAS:

25 DE OCTUBRE DE 2023: La Asociación Estadounidense de Procesadores de Camarón (ASPA) presentó al Gobierno americano una petición de investigación por esta práctica desleal.

15 DE NOVIEMBRE DE 2023: El Departamento de Comercio de Estados Unidos anunció que iniciaría investigaciones antidumping y compensatorias sobre el camarón proveniente de cuatro países, entre ellos Ecuador.

Ecuador no es el único objetivo de la industria estadounidense; otros países como India, Indonesia y Vietnam también han sido señalados en la demanda vigente.

Según documentos preliminares del Departamento de Comercio de EE.UU., el argumento se basa en que los precios del camarón ecuatoriano han estado

supuestamente hasta un 42% por debajo del precio de mercado. Frente a estas acusaciones, la respuesta de Ecuador ha sido firme: “La información parcial contenida en las peticiones estadounidenses es inexacta e incompleta”, afirmó el presidente ejecutivo de la CNA, José Antonio Camposano, en respuesta a los medios locales. El Departamento de Comercio se basará en respuestas detalladas a cuestionarios

presentados por las empresas investigadas, evitando depender de la información sesgada presentada por los demandantes.

Las acusaciones se centran en dos aspectos: los precios que los camaroneros ecuatorianos cobran en EE.UU. en comparación con otros mercados, y supuestos subsidios del Gobierno ecuatoriano.

- FEBRERO 2024 COYUNTURA 13
2013: Reunión entre la CNA y autoridades del Viceministerio de Acuacultura y Pesca y Subsecretaría de Acuacultura para alinear la defensa del sector.

COYUNTURA

Ambas investigaciones antidumping y derechos compensatorios se encuentran en fases preliminares, y después de las determinaciones iniciales, se llevarán a cabo procedimientos adicionales que conducirán a una resolución por parte del Departamento de Comercio y la Comisión de Comercio Internacional.

Para Camposano, los alegatos se basan en información limitada y altamente sesgada por lo que la realidad se determinará durante el proceso investigativo oficial.

Hasta el cierre de esta edición, solo dos empresas estaban siendo investigadas individualmente, pero el dictamen se aplicaría a todos los demás exportadores ecuatorianos.

Por su parte, la CNA informa de manera permanente a los exportadores sobre los avances en la materia. Este mes, la entidad dio a conocer la ampliación del cronograma relacionado con los casos de presuntas prácticas de dumping y subvenciones por parte del sector camaronero ecuatoriano a los Estados Unidos.

El presidente ejecutivo de la CNA, junto con el director jurídico de la entidad, Vincent Durin, han llevado a cabo diversas reuniones con varias instituciones gubernamentales para coordinar la defensa del sector. Estas reuniones contaron con la presencia de la Subsecretaria de Defensa Comercial del Ministerio de Producción, Comercio Exterior, Inversiones y Pesca (MPCEIP), así como el equipo legal de Trade Pacific Law, bufete de abogados contratado por la cámara para representar a la industria en este caso. Las mesas de trabajo se iniciaron de manera presencial el 28 de enero de 2024.

La resolución preliminar para los derechos compensatorios (CVD) se prevé para el 25 de marzo de 2024, y se espera que la de derechos antidumping (AD) se determine el 22 mayo de 2024. El proceso investigativo sobre presuntas prácticas comerciales desleales llevará alrededor de un año, y tiene previsto concluir entre octubre y noviembre del presente año.Se estima que las órdenes de AD y CVD podrían publicarse a principios o mediados de diciembre de 2024, si tanto el DOC como la Comisión de Comercio Internacional (ITC) les dan paso.

La Cámara Nacional de Acuacultura está intensamente comprometida con la defensa del sector frente a acusaciones infundadas

Antecedentes

que surgen de una comparación incorrecta entre los niveles de eficiencia en la pesca extractiva y la acuicultura productiva. En la actualidad, el consumo mundial de productos acuícolas supera al de la pesca, reflejando la superioridad en eficiencia de la acuicultura. Mientras tanto, el sector pesquero enfrenta desafíos significativos para garantizar su sostenibilidad a largo plazo, desafíos que no están relacionados con los logros demostrados por la acuicultura a nivel global. Es nuestro anhelo que la verdad prevalezca, y que el sector camaronero ecuatoriano sea exonerado de estas infundadas acusaciones, tal como ha ocurrido en ocasiones anteriores•

2007 - EL DEPARTAMENTO DE COMERCIO RECONOCIÓ QUE ECUADOR NO COMETIÓ DUMPING

Los ministerios de Agricultura y de Relaciones Exteriores informaron la decisión preliminar del Departamento de Comercio de EE.UU. de revocar el arancel de 3,58% impuesto al camarón ecuatoriano que entra a ese mercado por supuestas prácticas de dumping (competencia desleal).

Notas de prensa:

https://www.eluniverso.

com/2004/08/24/0001/9/159C7649A3FD43F38DEF96FB268A3DC2.html/

https://www.eluniverso.

com/2007/06/06/0001/9/9AC139A53DB84B28B878124BDAD3BAF9.html/

2013 - ECUADOR GANÓ LA DEMANDA ANTE ESTADOS UNIDOS

La apelación a la decisión del Departamento de Comercio de Estados Unidos, de imponer un arancel del 11,68% al camarón ecuatoriano que ingrese a su país, dio sus frutos ante la Comisión de Comercio Internacional (CCI).

- FEBRERO 2024
14
Mesa de trabajo público privada para definir estrategias de defensa.

EL PRINCIPAL DESAFÍO: LA INSEGURIDAD ¿CÓMO NO CONVERTIRSE EN UN BLANCO FÁCIL?

El 2024 arrancó con Ecuador encabezando los principales titulares de la prensa mundial, debido a la escalada de violencia criminal que se registró principalmente a mediados del mes de enero, cuando el presidente Daniel Noboa decidió decretar el estado de guerra interna. En este contexto, es crucial que las medidas adoptadas por el Gobierno cuenten con el respaldo tanto individual como colectivo de los ciudadanos. Esto implica la implementación de medidas preventivas y acciones concretas que contribuyan de manera efectiva en la lucha contra la delincuencia. La participación activa de la sociedad es fundamental para fortalecer la seguridad y el bienestar común.

En la industria camaronera, la inseguridad se ha vuelto cada vez más evidente y apremiante, y las tácticas empleadas por los grupos de delincuencia organizada son cada vez más sofisticadas y amenazadoras. Además de recurrir a métodos tradicionales como

la extorsión, han llevado a cabo acciones más extremas, incluyendo atentados contra instalaciones, personal de seguridad y trabajadores del sector. La intimidación, las amenazas directas y la violencia se han convertido en herramientas comunes utilizadas para desestabilizar el entorno operativo de la industria camaronera.

PREVENCIÓN DE ASALTO Y ROBO

En el actual entorno urbano ecuatoriano, la seguridad personal no puede garantizarse al 100%. Sin embargo, la prevención constituye el 90% de la seguridad de cada individuo. Es esencial concentrar las acciones en esta fase para reducir el riesgo de convertirse en víctima de la violencia.

Conciencia situacional: Desarrollar conciencia activa del entorno circundante es crucial. Estar alerta a posibles riesgos

y cambios permite tomar decisiones informadas y evitar situaciones improvisadas, potencialmente peligrosas.

Observación atenta: La observación constante del entorno es una práctica clave para la prevención. Observar el comportamiento de las personas, prestar atención a las manos y los ojos se vuelve fundamental para evaluar posibles intenciones maliciosas. La vigilancia activa permite una respuesta rápida ante situaciones potencialmente peligrosas.

Eliminación de estereotipos: Reconocer que los delincuentes no se ajustan a estereotipos específicos es crucial. La participación de mujeres y la vestimenta elegante de algunos delincuentes desafían las percepciones tradicionales. Adoptar medidas de seguridad basadas en comportamientos y situaciones en lugar de estereotipos externos es esencial para una evaluación más precisa del entorno.

En el estacionamiento: Preferir lugares cerrados y planificar horarios de llegada y salida.

16

Estar atento a personas sospechosas y nunca permanecer dentro del auto estacionado.

Cuando maneja: Evitar rutinas y diversificar caminos y horarios. Mantener vidrios cerrados y no detenerse ante situaciones sospechosas.

En el cajero automático:

Utilizar cajeros automáticos solo en lugares cerrados, con vigilancia y evitar transacciones nocturnas. Utilizar lugares concurridos y bien iluminados para las transacciones.

Durante las compras:

Permanecer alerta en entornos comerciales. Evitar mostrar grandes sumas de dinero en público.

Al entender y aplicar estas medidas de seguridad, se fortalece la capacidad de prevención y se contribuye a crear entornos más seguros. La conciencia constante y la adopción de prácticas seguras se convierten en herramientas fundamentales para enfrentar los desafíos de seguridad en diversos escenarios cotidianos.

Planificación de rutas: Seleccionar cuidadosamente las rutas en el desplazamiento diario puede marcar la diferencia en la seguridad personal. Optar por caminos bien iluminados y transitados, así como evitar áreas conocidas por su riesgo, puede reducir significativamente la exposición a peligros.

Participación en programas comunitarios: Involucrarse en programas comunitarios de seguridad puede fortalecer la red social y promover la colaboración para abordar problemas de seguridad. Estos programas pueden incluir patrullas vecinales, grupos de vigilancia y actividades educativas sobre la prevención del delito.

Autoprotección y autodefensa: Capacitarse en técnicas básicas de autoprotección y autodefensa puede ser valioso. Estas habilidades pueden proporcionar confianza y herramientas prácticas para enfrentar situaciones de riesgo.

Tecnología de seguridad personal: Utilizar dispositivos tecnológicos, como aplicaciones de seguridad personal, sistemas de

CAMINANDO POR LA CALLE

El delincuente viene en su dirección

El apresura el paso en su dirección

No hay lugares donde protegerse

Si el sospechoso corre en dirección a Ud.

Cambie de dirección, para mantener el espacio entre Ud. y él.

Busque un lugar seguro y concurrido (un negocio, un supermercado, etc.).

Corra y observe el comportamiento del sospechoso. Corra antes de que él pueda cerrar el espacio entre ustedes. Nunca corra después del abordaje.

Está claro que pretende cometer un delito. En ese caso grite. Generalmente el delincuente no va a correr detrás de Ud. No quiere llamar la atención, y prefiere elegir otra víctima menos alertada.

¿Qué hay que gritar?

REGLA

Fuente: Policía Nacional del Ecuador

rastreo y alerta, puede ser beneficioso. Estos dispositivos pueden actuar como herramientas adicionales para mantenerse conectado y notificar a otros en caso de emergencia.

Educación sobre seguridad: Fomentar la educación sobre seguridad entre los miembros de la comunidad es esencial. Conocer los riesgos específicos del entorno, entender las tendencias delictivas locales y recibir capacitación sobre cómo responder a situaciones de emergencia contribuyen a la prevención.

Colaboración con las autoridades: Establecer

Gritar “socorro” hacen que las personas a su alrededor se alejen, porque está claro que hay peligro.

Gritar “fuego” despierta el interés de las personas. Muchas salen de sus casas para ver dónde está el fuego.

Gritar el nombre de alguien, “Coco”, es la mejor opción, ya que esto es poco común y el delincuente tendrá miedo de que haya más personas en el lugar (¿quién es Coco? ¿un amigo, un policía, un perro feroz?). Hay buenas posibilidades de que desista.

Si Ud. tiene el presentimiento de que alguien lo va a abordar nunca cierre el espacio. Muchas personas que fueron asaltadas cuentan que percibieron que algo iba a suceder y no tomaron ninguna precaución.

una relación de colaboración con las autoridades locales refuerza las acciones de prevención. Comunicar y compartir información sobre posibles amenazas o actividades sospechosas puede contribuir al mantenimiento de la seguridad.

Promoción de la responsabilidad personal: Fomentar la responsabilidad personal en la seguridad es trascendental. Cada individuo debe ser consciente de su papel en la prevención y adoptar medidas proactivas para reducir los riesgos.

Al integrar estos aspectos clave, se puede desarrollar una estrategia integral de

- FEBRERO 2024 COYUNTURA 17

COYUNTURA

prevención que no solo proteja a nivel individual, sino que también contribuya a la creación de comunidades más seguras en el entorno urbano.

ENTENDIENDO LAS FASES DE UN ASALTO

Todo asalto sigue una preparación que incluye la elección del blanco, identificación, vigilancia, planeamiento y, finalmente, el ataque. Es crucial comprender estas fases para anticipar posibles amenazas y actuar de manera preventiva.

En el análisis de la preparación para un asalto, es esencial profundizar en las fases específicas que conforman este proceso, ya que comprender cada etapa brinda una ventaja significativa para anticipar posibles amenazas y adoptar medidas preventivas eficaces. Estas fases, que constituyen la preparación de cualquier asalto, se desglosan de la siguiente manera:

Selección del blanco: La primera fase implica la cuidadosa elección del blanco por parte de los perpetradores. Este proceso puede basarse en diversos factores, como la vulnerabilidad aparente, la accesibilidad y el potencial beneficio para los delincuentes. Al comprender cómo se lleva a cabo esta selección, las personas pueden ser más conscientes de su entorno y tomar medidas para reducir su perfil de riesgo.

Identificación: La identificación detallada del objetivo sigue a la selección del blanco. Durante esta fase, los delincuentes pueden recopilar información adicional sobre la víctima, como sus rutinas diarias, hábitos y posibles debilidades. El conocimiento de esta etapa permite a las personas proteger mejor su información personal y mantener un alto grado de privacidad.

Vigilancia: La vigilancia, una fase crítica, involucra la observación constante de la víctima para recopilar datos específicos. Esto podría incluir seguimientos discretos, observación de patrones de comportamiento y evaluación de posibles oportunidades para el ataque. La conciencia de esta etapa permite a las personas reconocer comportamientos sospechosos y tomar medidas proactivas para minimizar el riesgo.

Planeamiento: La fase de planeamiento implica la elaboración meticulosa de estrategias para el asalto. Esto puede incluir la selección de ubicaciones, la determinación de puntos de escape y la planificación de tácticas específicas. Al entender cómo se desarrolla esta etapa, las personas pueden adoptar enfoques preventivos, como cambiar sus rutinas y hábitos para dificultar la ejecución de los planes de los delincuentes.

Ataque: La fase final culmina en el ataque real, donde se ejecutan los planes previamente establecidos. La anticipación de esta etapa permite a las personas estar preparadas para responder de manera rápida y efectiva. Estrategias como la formación en defensa personal, la utilización de medidas de seguridad adicionales y la colaboración con las autoridades pueden resultar fundamentales para contrarrestar un posible asalto.

Estar informados sobre estas etapas no solo contribuye a la seguridad individual, sino que también fomenta la conciencia colectiva, fortaleciendo así la resiliencia de la comunidad ante posibles amenazas.

Durante un asalto en el auto: Mantener las manos visibles y seguir las instrucciones del asaltante. Al bajar del vehículo, apartarse del delincuente para evitar ser empujado hacia el interior.

PREVENCIÓN DE EXTORSIÓN Y SECUESTRO

La extorsión, ya sea en su forma real o virtual, representa una amenaza significativa, y es imperativo comprender sus fases y adoptar medidas preventivas para mitigar los riesgos asociados. Aquí se detallan aspectos

clave para la identificación y prevención de la extorsión, considerando el texto proporcionado:

Observación de comportamientos sospechosos: Estar alerta a cualquier comportamiento inusual en entornos como calles, centros comerciales, parqueaderos, etc., puede ser crucial para identificar posibles amenazas.

Mantener un perfil bajo: Adoptar un perfil bajo puede reducir la probabilidad de convertirse en blanco de extorsiones. Evitar revelar información personal en exceso y limitar la exposición en línea contribuyen a mantener un nivel de privacidad que dificulta la ejecución de extorsiones.

Evitar contestar números desconocidos: La prevención de la extorsión a menudo comienza con la simple medida de no contestar llamadas de números desconocidos. Esta práctica ayuda a evitar la manipulación inicial por parte de posibles extorsionadores.

Mantener la documentación personal segura: No portar documentos innecesarios en el vehículo o compartir datos personales por teléfono.

Respuesta ante llamadas o mensajes extorsivos: La calma es clave al recibir llamadas o mensajes extorsivos. Evitar reacciones impulsivas y mantener la compostura facilita la toma de decisiones racionales.

Registro de datos: Registrar información detallada sobre la extorsión, como números de teléfono, mensajes y cualquier dato relevante, proporciona evidencia útil para las autoridades.

- FEBRERO 2024
18

Comunicarse con autoridades especializadas: Enfrentar la extorsión implica la comunicación inmediata con las autoridades especializadas. Colaborar activamente con profesionales en seguridad permite una respuesta rápida y efectiva.

La prevención de la extorsión implica una mentalidad vigilante y la adopción de medidas proactivas para salvaguardar la seguridad personal y prevenir potenciales amenazas.

De registrarse un atentado, es fundamental tomar en cuenta lo siguiente: La manipulación de objetos sospechosos en la oficina, negocio o casa, es un tema de suma importancia para garantizar la seguridad de todos los empleados. Se define como “objeto sospechoso” a cualquier sobre, paquete, estuche o encomienda que se sospeche pueda contener un explosivo, representando así una amenaza potencial para la integridad de las personas cercanas. Ante la identificación de un objeto sospechoso, es crucial evacuar a todas las personas para resguardar sus vidas y mantener una buena seguridad física.

Además, la implementación de un plan de contingencia ante amenazas se vuelve esencial. Esto implica entrenar a las personas en diferentes planes de acción, para que estén preparados y capacitados para actuar de manera eficiente en situaciones de emergencia. Es imperativo evitar alarmar innecesariamente a las personas, manteniendo la calma y la eficacia en la respuesta a posibles amenazas. En este contexto, se subraya la importancia de no manipular directamente paquetes sospechosos, dejando esta tarea en manos de profesionales especializados en seguridad. Además, es fundamental mantener un constante enlace con los organismos de respuesta inmediata para coordinar acciones y garantizar una intervención rápida y efectiva en caso de ser necesario.

En el año 2023, el departamento de Seguridad de la Cámara Nacional de Acuacultura informó que se contabilizaron 76 incidentes delictivos, con un saldo de 58 personas heridas y cuatro víctimas mortales. Sin embargo, estas cifras podrían subestimar

Fuente: Policía Nacional del Ecuador

la auténtica magnitud del problema, dado que se estima que solo el 30% de los sucesos son denunciados. Esto se debe al temor a represalias y a la desconfianza generada por los administradores de justicia. A pesar de contar con suficientes pruebas del delito, en algunos casos se dictan medidas sustitutivas.

La intensificación de las acciones de grupos delictivos, que incursionan en propiedades productivas y emplean tácticas más audaces, pone de manifiesto la necesidad urgente de adoptar medidas de prevención y contar con un plan de acción efectivo durante

situaciones de ataque. La intimidación hacia los equipos de seguridad encargados de proteger sectores específicos agrega una capa adicional de complejidad, destacando la importancia de contar con estrategias sólidas y recursos adecuados.

La significativa inversión anual de más de 80 millones de dólares por parte del sector camaronero incluye la contratación de personal y tecnologías avanzadas, y es evidencia del compromiso del sector camaronero ecuatoriano para salvaguardar sus operaciones y la integridad de sus colaboradores. No obstante, la realidad

- FEBRERO 2024 COYUNTURA 19

COYUNTURA

es que la lucha contra la delincuencia aún enfrenta desafíos importantes, y la inversión monetaria, aunque necesaria, no garantiza una resolución completa.

Es crucial reconocer que la seguridad no solo depende de los recursos financieros, sino también de la colaboración entre el sector público y privado, el fortalecimiento de la confianza en las instituciones judiciales y la adopción de medidas preventivas a nivel individual y colectivo. La construcción de una red sólida de seguridad requiere un enfoque integral que abarque desde estrategias de prevención y respuesta hasta la mejora de la confianza en el sistema judicial y el fomento de la participación ciudadana.

Es imperativo abordar la complejidad de la delincuencia de manera multidimensional y trabajar en conjunto para construir un Ecuador más seguro, en el que podamos vivir en paz•

Fuente: Policía Nacional del Ecuador

Este artículo fue elaborado con los insumos proporcionados por la Policía Nacional para precautelar la seguridad ciudadana.

- FEBRERO 2024
20
Mesa de trabajo entre miembros de la Policía Nacional y directivos de la CNA para combatir la delincuencia en rutas terrestres.

INTRODUCCIÓN

La sostenibilidad de la industria acuícola de camarón representa un compromiso conjunto que involucra a cada actor de la cadena de producción. Para lograr un desarrollo exitoso en este sector, es esencial adoptar un enfoque integral que ponga énfasis en la calidad del producto, la seguridad alimentaria y la responsabilidad ambiental y social en todas las fases del proceso.

En este sentido, los laboratorios de larvas, siendo el primer eslabón en la cadena de producción de camarón, juegan un papel fundamental en establecer el tono y garantizar la sostenibilidad del sector. Es vital destacar que la calidad de las larvas influye directamente en el desarrollo y la productividad de las fincas camaroneras, y que las prácticas de esta actividad impactan en el desempeño ambiental y social general de la industria.

Actualmente, existe una oportunidad de mejora en términos de regulaciones específicas para guiar estas instalaciones, con el propósito de fortalecer prácticas formales de la larvicultura y superar los desafíos que puedan surgir, impulsando así el cumplimiento de los principios de sostenibilidad en toda la cadena productiva.

Por este motivo, como parte del programa Scale-Up, Sustainable Shrimp Partnership (SSP) ha desarrollado un proyecto de mejora para los laboratorios. Con este frente de acción se busca contribuir a un desarrollo sostenible óptimo en la industria acuícola de camarón, proporcionando una herramienta que sirva como guía y normativa para asegurar que los laboratorios de larvas mantenga la calidad de sus productos y, a la vez, tengan un desempeño social y ambiental óptimo.

Laboratorio

de larvas, el origen de una producción sostenible de camarón

Autores:

Pamela Nath

Sally Tabares

Sustainable Shrimp Partnership (SSP) pnath@sustainableshrimp.org

La sostenibilidad se caracteriza por ser “el desarrollo que satisface las necesidades del presente sin comprometer la capacidad de las futuras generaciones, garantizando el equilibrio entre el crecimiento económico, el cuidado del medio ambiente y el bienestar social”. Para asegurar un proceso de desarrollo sostenible adecuado en la industria acuícola de camarón, es vital que toda la cadena productiva, incluida el área administrativa, ejerza su actividad bajo los principios de responsabilidad social y ambiental.

En la actualidad, en Ecuador se han establecido esquemas orientados a velar por la sostenibilidad de procesos en diversas industrias. En el ámbito de la producción camaronera, existe un programa específico que promueve la sostenibilidad en la acuicultura: Sustainable Shrimp Partnership (SSP). Esta iniciativa está comprometida con generar y promover productos de la más alta calidad, producidos bajo los más altos estándares sociales y ambientales, a través de una mayor colaboración y transparencia.

En esfuerzos por elevar prácticas del sector, SSP ha identificado la necesidad de establecer directrices en materia de sostenibilidad para el primer eslabón de la cadena de producción: los laboratorios de larvas. Esta oportunidad de mejora contribuirá de manera constructiva al crecimiento equitativo y sustentable de toda la industria camaronera.

Al día de hoy, aproximadamente 4000 familias encuentran su fuente de ingresos directamente vinculada a la operación de los laboratorios, generando adicionalmente 16 000 empleos indirectos, según las estimaciones de la Asociación de Laboratorios Productores de Larvas (Asolap). Además, la organización indica que la actividad tiene un impacto económico anual que se sitúa alrededor de los 430 millones de dólares.

En este contexto, definir normativas específicas que contribuyan al desarrollo responsable en el sector larvicultor creará una ruta que facilitará la optimización de las prácticas de estos actores. Esto se traduce directamente en la mejora de la calidad de las larvas, promoviendo así una producción más eficiente de camarón, al asegurar una mayor supervivencia en los organismos.

22 - FEBRERO 2024 SOSTENIBILIDAD

El gerente general de Cofimar, Alfredo Ziade, resalta la calidad como la característica principal que su empresa busca al adquirir larvas. “Esto implica que las larvas estén sanas, bien alimentadas y que el laboratorio cuente con los mejores insumos, alimentos y probióticos. Además, que disponga de buenas infraestructuras. Buscamos laboratorios que cumplan con las normas de calidad y de sanidad, y que estén certificados por las autoridades competentes de Ecuador”, informa.

Las fincas del Grupo Cofimar obtienen sus larvas de alrededor de 100 laboratorios diferentes. Ziade, quien también es economista, comunica que para satisfacer sus expectativas de calidad, es necesario que las larvas tengan una tasa de supervivencia superior al 85%. “En caso de que el 85% de las larvas no logren sobrevivir en el precriadero, se considerará una señal de advertencia para el laboratorio”, detalla el gerente.

En la misma línea, el director de Producción de Grupo Almar, Eduardo Reyes, resalta que algunas de las características clave para que una larva sea considerada de buena calidad incluye que esté en óptimas condiciones de salud, que haya experimentado un buen crecimiento y que alcance un peso adecuado que permita su siembra en la camaronera sin inconvenientes.

“Cuando tienes problemas con la calidad de las larvas, lo notas enseguida”, asegura Reyes, “por lo general, parte de la solución es pedir una reposición. Sin embargo, si todas las larvas mueren, tienes que vaciar la piscina, desinfectarla y empezar de nuevo.

En un sistema bien coordinado de siembra y cosecha, un contratiempo en el cultivo afecta todo el proceso. Aunque puedes recuperar las larvas, ya has perdido tiempo y días, lo cual perjudica tu producción”

Dada la importancia de la sostenibilidad en el desempeño de los laboratorios de larvas, punto de partida para el éxito de la producción camaronera y para asegurar que su impacto sea positivo tanto para las personas como para el medio ambiente, Sustainable Shrimp Partnership (SSP), en colaboración con la Cámara Nacional de Acuacultura (CNA), ha formulado un proyecto de mejora para los laboratorios larvarios. Dicho proyecto consiste en la implementación y el desarrollo de buenas prácticas de producción que conducen a la sostenibilidad de la primera fase de la producción de camarón. Estas recomendaciones están dirigidas tanto a los laboratorios de ciclo cerrado como a los que se dedican a la larvicultura.

En el marco de esta actividad, SSP desarrolló la Guía Técnica de Prácticas Sustentables para los Laboratorios de Producción Larvaria de Camarones Penaeus vannamei. Este documento tiene por particularidad la presentación de aspectos que conducen a la sostenibilidad en la actividad base de la producción camaronera. Los laboratorios que deseen ser parte de este proyecto participarán en sesiones de capacitación para una correcta adopción de los criterios de la guía.

“Este manual es el primero en el mundo centrado en establecer normativas específicas para la sostenibilidad de la

producción larvaria de camarón en el Ecuador. Con estas directrices, nuestro objetivo es garantizar que el camarón cumpla con los principios de sostenibilidad a lo largo de toda la cadena productiva y que respete los Objetivos de Desarrollo Sostenible (ODS) instaurados por las Naciones Unidas. Si los aplicamos a los laboratorios de reproducción y de crianza larvaria de camarón, podremos conseguir equilibrar la sostenibilidad social, económica y ambiental en todas las etapas de producción del camarón ecuatoriano”, expone la directora de SSP, Pamela Nath.

El seguimiento de las medidas planteadas en el documento asegura la legalidad de la operación, como está establecido en el Reglamento a la Ley Orgánica de Acuacultura y Pesca y el cumplimiento de la normativa ambiental dispuesta por el Ministerio de Ambiente, Agua y Transición Ecológica del Ecuador (MAATE). Por lo tanto, estas herramientas promueven y apoyan la formalización del sector larvicultor.

La guía técnica explora diez secciones con sus respectivos criterios para contribuir a la responsabilidad en la producción. Para ello, destaca prácticas que velan por la salud y bienestar del camarón; aseguran que la infraestructura del laboratorio sea idónea para una producción limpia e innovadora; establece principios de bioseguridad; impulsan la implementación de medidas para la reducción y consumo responsable de energía y agua; fomentan la aplicación de la responsabilidad social, igualdad de género y condiciones laborales dignas en la empresa, y promueven la formación de alianzas para salvaguardar la vida marina.

- FEBRERO 2024 SOSTENIBILIDAD 23
Fotografía: Xavier Romero

Con el fin de cumplir dichos objetivos, la guía desarrolla los siguientes capítulos:

1.Requisitos legales establecidos por la legislación ecuatoriana Para respaldar la formalidad de la industria de larvicultura, el manual prioriza el cumplimiento de los requisitos legales establecidos por la legislación ecuatoriana. De esta manera, se asegura que el laboratorio obtenga el reconocimiento legal necesario y se constituya de manera adecuada. Además, le permite al laboratorio comercializar su producto.

El coordinador técnico de SSP y autor de esta guía, Leonardo Maridueña, explica que la legalidad de los laboratorios se fundamenta en tres factores: primero, es crucial obtener el reconocimiento de la autoridad que supervisa el sector acuícola, mediante la obtención del Acuerdo Ministerial que autoriza la cría y cultivo de la producción larvaria; segundo, se requiere el respaldo de la Autoridad Ambiental, logrado a través de licencias, registros ambientales y auditorías ambientales, según corresponda, y finalmente, el tercer factor es la legalización tributaria a través del SRI.

Hoy en día, la Subsecretaría de Calidad e Inocuidad registra y aprueba las operaciones de los laboratorios de larvas en el país. Actualmente, existen 136 laboratorios registrados en Ecuador. A pesar de ello, es necesario que los esfuerzos dirigidos a la regulación y supervisión de la actividad continúen, ya que existe un gran número de establecimientos que operan sin estar legalizados.

“La informalidad es el principal obstáculo para la sostenibilidad del sector”, afirma el director ejecutivo de la Asociación de Laboratorios Productores de Larvas (Asolap), Santiago León. “Una producción poco controlada puede generar problemas para el medio ambiente, para los trabajadores, de generación de enfermedades en la producción larvaria, entre otros. Además, los precios caen con la informalidad, restando recursos para poder invertir en tecnificación, en desarrollo, investigación e innovación en el sector formal”, explica el economista.

2.Instalación del laboratorio y su infraestructura

Por otro lado, la guía también destaca la importancia de la ubicación e infraestructura de cada laboratorio para garantizar la calidad del producto y para minimizar los impactos que las actividades antropogénicas pueden generar.

“Es fundamental evitar áreas cercanas a zonas industriales, turísticas y asentamientos humanos, así como lugares asociados a contaminación con mala calidad de aire, suelo o agua”, indica Maridueña, quien también es doctor en Acuicultura y Pesca. “Además, es necesario contar con una infraestructura que permita la separación de actividades para reducir el riesgo de contaminación cruzada”, comparte.

Entre las medidas que sugiere el manual, se encuentran la señalización clara de áreas, el control del acceso de visitantes y trabajadores, y la impermeabilización de zonas para prevenir la contaminación del suelo. También se abordan aspectos de seguridad, ventilación, iluminación, y la gestión adecuada de aguas pluviales y residuales, entre otros.

3. Calidad del agua

De acuerdo con Maridueña, la sostenibilidad de la producción acuícola, incluyendo la operación de laboratorios, está estrechamente ligada a la calidad del agua.

“El agua es la vía por la cual los organismos patógenos se introducen en los medios de cultivo. Por lo tanto, es esencial implementar mecanismos y medidas para garantizar su calidad y, por ende, el bienestar general de la producción”, explica.

Por ello, se incluye una sección dedicada a asegurar que el agua que entra y sale del laboratorio cumpla con los límites máximos permisibles establecidos en la legislación ambiental. Asimismo, se esfuerza en velar por un manejo adecuado de los desechos líquidos y promover la implementación de sistemas de recirculación del agua.

4. Saneamiento

De la misma forma, se elaboró un segmento dedicado al saneamiento, que es el conjunto de técnicas y sistemas para mejorar las condiciones higiénicas de las instalaciones.

El documento señala que el manual de producción de todo laboratorio debe incluir un protocolo de saneamiento que, como mínimo, aborde medidas para asegurar la sanidad del entorno del laboratorio y las instalaciones del mismo, donde se desarrollan los organismos en el laboratorio.

5. Bioseguridad

Además, la guía también establece un enfoque para analizar y gestionar los riesgos relacionados con la vida y salud de los operadores y de los organismos, así como los riesgos para el medio ambiente. “La bioseguridad se centra en la implementación de medidas preventivas para mantener la integridad y la limpieza de una zona de trabajo, evitando la introducción de contaminantes o patógenos por parte de quienes acceden a ella”, aclara Maridueña.

6. Energía y combustible

El sexto capítulo del manual tiene como objetivo garantizar que las actividades del laboratorio sean sostenibles a lo largo del tiempo, haciendo énfasis en el uso adecuado de combustibles y en la eficiencia energética. “Es vital que el laboratorio conozca su consumo anual de energía y combustible, y que sepa en qué los emplea. Basándose en esta información, podrá implementar un plan de optimización energética y ahorro dentro de sus instalaciones”, expone el doctor.

Además, la guía detalla la importancia de contar con medidas de almacenamiento del combustible para evitar impactos a la calidad del suelo y del agua.

7. Almacenamiento de insumos y desechos dentro del laboratorio

Es esencial categorizar todos los insumos según su nivel de peligrosidad o de riesgos que estos presentan. Además, deben ser almacenados con cuidado para garantizar la calidad y proteger la salud de los trabajadores. Asimismo, los desechos generados dentro del laboratorio también deben ser separados en “comunes” y “peligrosos” o “especiales”, y almacenados de acuerdo con la normativa ambiental vigente hasta que sean entregados al gestor autorizado.

8. Requisitos para las etapas de producción

En el transcurso del proceso productivo, es vital considerar diversas medidas en relación

24 - FEBRERO 2024
SOSTENIBILIDAD

con el abastecimiento de reproductores, la maduración y reproducción, el desove y la eclosión de huevos, el crecimiento larvario y la cosecha. “Con este criterio se quiere garantizar una larva inocua, es decir, libre de enfermedades y también se quiere asegurar una alta supervivencia de la misma”, afirma Maridueña.

9. Responsabilidad ambiental

Con la responsabilidad ambiental se busca asegurar el compromiso con el cuidado de la naturaleza y la sostenibilidad. Incluye pautas para prevenir daños al ecosistema, gestionar eficientemente el agua, cumplir normativas ambientales, evitar la fuga de larvas, restringir vertidos, utilizar métodos sanos para el control de plagas, prohibir importaciones específicas y promover prácticas ecoamigables para reducir la huella de carbono.

10. Responsabilidad social

Este apartado establece que el laboratorio de larvas debe asegurar que todos sus trabajadores gocen de los derechos establecidos en el Código Orgánico de Trabajo, como la afiliación al Instituto

Ecuatoriano de Seguridad Social (IESS), salario básico, utilidades, vacaciones, permisos, entre otros.

“Un entorno laboral positivo, que incluya una remuneración justa y proporcione las herramientas esenciales para que el empleado pueda desempeñar sus funciones, fomentará el compromiso hacia las operaciones del laboratorio y la adopción de buenas prácticas, garantizando así la sostenibilidad a largo plazo”, declara Maridueña.

Por último, este capítulo de la guía también subraya la importancia de que el laboratorio se comprometa a realizar sus actividades de manera responsable con las comunidades aledañas.

Conclusiones

SSP es una iniciativa líder en sostenibilidad para la industria camaronera, que tiene como objetivo mejorar los estándares del sector y garantizar una producción sostenible en todas las etapas de la cadena de valor del camarón. La necesidad de optimizar los laboratorios de larvas surge debido a

la creciente preocupación sobre la falta de pautas específicas para la actividad larvicultora.

Los laboratorios de larvas, al representar el primer eslabón en la cadena de producción del camarón, desempeñan un papel fundamental en el impulso hacia la sostenibilidad de toda la industria. Por tanto, es esencial brindarles la atención y el respaldo necesario para asegurar que alcancen el máximo rendimiento en sus prácticas. Este enfoque integral contribuirá significativamente a consolidar la sostenibilidad en toda la cadena de valor del camarón. La aplicación de los principios de sostenibilidad, base de la pirámide de la producción camaronera, debe estar bien sustentada, pues sobre ella recae todo el peso de la acuicultura del camarón•

Si está interesado en conocer más sobre el proyecto y la guía, por favor contactar con: areyes@sustainableshrimp.org

25 - FEBRERO 2024 SOSTENIBILIDAD

28 34 45 48 52

Edición 157 - Febrero 2024

Diferenciación de falsos positivos de IHHNV y EHP: toma de decisiones.

Efectos de una dieta con ácido tánico sobre el crecimiento, digestión, inmunidad y resistencia al estrés por amoníaco, y en la comunidad microbiana intestinal en el camarón blanco del Pacífico (Penaeus vannamei).

La producción de larvas del camarón Penaeus vannamei mejora cuando se alimenta con microalgas cultivadas con luces LED

El impacto de la lluvia en el cultivo del camarón.

Materiales plásticos, impactos en el ambiente y en los organismos marinos.

ARTÍCULOS
TÉCNICOS ÍNDICE

Diferenciación de falsos positivos de IHHNV y EHP: toma de decisiones

Autores:

Xavier Romero1

Jennifer Gallardo-Cóndor2 & Diva Aldama-Cano3

1Consultor Patología Acuática

2 Ing. Biotecnología

3Gerente Técnico de Salud, Skretting LATAM

xromero2001@yahoo.com

Las técnicas moleculares para detección de patógenos en camarones son de gran utilidad y, en determinadas situaciones, son las mejores técnicas disponibles para identificar acertadamente aquellos patógenos que están presentes durante un episodio o problema continuo de mortalidad, así como los que están impactando sobre la eficiencia productiva en piscinas de cultivo (tal como la dispersión de tallas). Es de suma importancia conocer los fundamentos básicos y las limitaciones de las técnicas de diagnóstico disponibles, con el fin de obtener información confiable y coherente que sirva como una herramienta de apoyo para la toma de decisiones en el campo.

Para ilustrar la situación, tomaremos como ejemplo la detección de dos microorganismos presentes en camarones de dos distintos orígenes: domesticado o cultivado y salvaje. Ejemplifiquemos con el virus de IHHNV (Infectious Hypodermal Hematopoietic Necrosis Virus), del cual se ha mantenido abierto un debate y cuestionamientos en los últimos 40 años sobre su permanencia y patogenicidad (la capacidad de los parásitos para infectar un huésped y causar enfermedad). Persisten grandes cuestionamientos acerca de que su patogenicidad se mantenga al nivel que fuera reportado hace 40 años (Lightner et al., 1983; Kalagayan et al., 1991). Como segundo ejemplo, tomaremos un microsporidio llamado Enterocytozoon hepatopenaei (EHP), reconocido como un patógeno emergente en los cultivos de camarón en varios países del sureste asiático (Chaijarasphong et al., 2021).

IHHNV

El IHHNV es una infección causada por un agente perteneciente a la familia Parvoviridae, con viriones de tamaño estimado 20 -22 nm, de forma icosaédrica y sin cubierta, conteniendo ADN monocatenario de ~4.1 kb de longitud (Tang et al., 2007; OMSA, 2024). A partir del año 2006 se ha reportado la existencia de inserciones del virus en el genoma del camarón, también llamados elementos endógenos virales o EVE (por sus siglas en ingles), lo cual llevó al diseño de un set de primers más específicos, del cual se asume que amplifica la secuencia viral de IHHN y no se obtienen reacciones con secuencias relacionadas, permitiendo

- FEBRERO 2024

diferenciar las inserciones de una infección viral real (Tang & Lightner, 2006). A pesar de ser un fenómeno que se reporta como algo común en insectos, es más estudiado en otras especies de invertebrados (Crochu et al., 2004; Maori et al., 2007; Karzourakins & Gifford, 2010) y recientemente en algunos crustáceos (Theze et al., 2014; Taengchaiyaphum et al., 2019).

La Organización Mundial de Salud Animal (OMSA) recomienda dentro de sus protocolos de monitoreo y diagnóstico, la implementación de los sets de primers 392F/R y 389F/R en la detección de IHHNV (Tang et al., 2007; OIE, 2019). Sin embargo, advierte que es necesario realizar una confirmación de los resultados obtenidos con secuencias diferentes o mediante técnicas complementarias de diagnóstico. Esto, debido a que las secuencias sugeridas de 392 F/R y 389 F/R también amplifican EVE (tipos 3A y 3B) de ciertas poblaciones de Penaeus monodon (Tang et al., 2007). Por el contrario, el set de 309 F/R amplifica un segmento de IHHNV tipo 1 y 2, correspondientes a las formas infecciosas del virus y no los EVE mencionados anteriormente. Por tal motivo, es común observar que los sets de primers utilizados en los ensayos de reconocimiento de inserciones en el genoma o de virus infeccioso son el 309 F/R y el 389 F/R (Imsonpang et al., 2023).

Una alternativa para la diferenciación entre una inserción y el virus infeccioso consiste en realizar un PCR con varios sets de primers, de acuerdo con la metodología sugerida por Brock et al. (2022); en donde, si todas las secuencias producen un amplicón, existe una mayor probabilidad de que se trate del virus infeccioso. Por el contrario, si uno de los primers no produce amplicón o “reacciona”, se puede inferir que el genoma del virus no está presente o se encuentra incompleto, por tanto, es una inserción (EVE).

En el año 2022, Brook y colaboradores realizaron un muestreo en 134 estanques a lo largo de la costa del Pacífico de Ecuador y determinaron que 36% de las muestras no producía amplicones o reaccionaba para ninguno de los primers seleccionados, 44% reaccionaba solo para algunos, pero no todos los primers, o sea se trataba posiblemente de inserciones (EVEs), y el 20% de los animales

eran positivos para todos los primers y posiblemente positivos para el virus (Brock et al., 2022). Se puede estimar el alto potencial de impacto y consecuencias económicas que representa este tipo de resultados, ya que se concluye que el 44% de las muestras, o más, son falsos positivos. Poniendo esta información en contexto, pensemos por ejemplo en muestras de larvas que van a ser compradas para cultivo o un contenedor con animales congelados para su exportación a un país que cuente con regulaciones en temas de Salud Animal como una barrera de ingreso, lo que se convierte en una barrera comercial no arancelaria.

Debido a las implicaciones económicas que un resultado positivo puede acarrear, es imprescindible investigar a fin de definir lo que es un animal realmente infectado. Con una técnica que arroja tantas posibilidades de error, como realizar una PCR con dos sets de primers, se cuestiona mucho el actual protocolo que exige la OMSA.

La técnica que se estima tiene mayor precisión fue publicada recientemente y se denomina Long Amplification PCR (LongAmpPCR), en la cual, como el nombre lo indica, se amplifica casi todo el genoma del virus. Posteriormente, se realiza un PCR “anidado” (nested) sobre el producto amplificado (Taengchaiyaphum et al., 2022; Imsonpang et al. ,2023). Esta técnica ya venía siendo desarrollada por un grupo de investigadores de la Universidad de Mahidol en Tailandia (Saksmerprome et al., 2022), utilizando una polimerasa diseñada y validada para amplificaciones de secciones largas del genoma (hasta el 90%) de IHHNV. En un sentido práctico, sería válido que cuando se obtenga un resultado de PCR positivo a IHHNV, lo primero que se verifique es qué primer se usó, cuántos se usaron a la vez, y si se ha implementado LongAmpPCR (Imsonpang et al. 2023). Es importante destacar que, aunque incrementa la especificidad y eficiencia de detección, este método también puede arrojar falsos positivos en algunas ocasiones (Sritunyalucksana et al., 2023).

La prueba para IHHNV que se realiza siguiendo los protocolos ya establecidos por la OMSA para reportar presencia de este virus tiene una confiabilidad baja. Más aún, se reconoce que IHHNV no produce actualmente los

Referencias bibliográficas

Aranguren-Caro L.F., M.M. Gomez-Sanchez, Y. Piedrahita, H.N. Mai, R. Cruz-Flores, R.R.R Alenton & A.K. Dhar (2022) Current status of infection with infectious hypodermal and hematopoietic necrosis virus (IHHNV) in the Peruvian and Ecuadorian shrimp industry. PLOS One doi.org/10/1371/ journal.pone.0272456

Brock J., Intriago P., Medina A. (2022) The OIE should delist IHHNV as a reportable farmed shrimp pathogen. Responsible Seafood Advocate Dic 5, 2022. https://www.globalseafood.org/advocate/ the-oie-should-delist-ihhnv-as-a-reportable-farmedshrimp-pathogen/

Chaijarasphong T., Munkongwongsiri N., Stentiford G., Aldama-Cano D., Thansa K, Flegel T.W., Sritunyalucksana K., Itsathitphaisarn O. (2021) The shrimp microsporidian Enterocytozoon hepatopenaei (EHP): Biology, pathology, diagnostics and control. Journal of Invertebrate Pathology. http://doi: 10.1016/j.jip.2020.107458

Crochu S., S. Cook, H. Attoui, R.N. Charrel, R. de Chesse, M. Belhoucet, J. Lemasson, P. de Micco, X. de Lamballiere. (2004). Sequences of flavivirusrelated RNA viruses persist in DNA form integrated in the genome of Aedes spp. Mosquitoes. Journal of General Virology 85: 1971-1980.

Dhar A., Cruz-Flores R., Mai H.N., Aranguren-Caro L.F., Intriago P., & Romero X. (2023) Detection of a novel microsporidian with intranuclear localization in farmed P.vannamei in Latin America. Journal of Invertebrate Pathology 200 http://doi. org/10.1016/j.jip.2023.107968

Flegel T.W. (2007). Update on viral accommodation, a model for host-viral interaction in shrimp and other arthropods. Developmental and Comparative Immunology 31, 217-231.

Goic B. & M.C. Saleh (2012). Living with the enemy: viral persistent infections from a friendly viewpoint. Current Opinion in Microbiology 15, 531-537.

Jaroenlak P., Sanguanrut P., Williams B.A.P., Stentiford G.D., Flegel T.W., Sritunyalucksana K., Itsathitphaisarn O. (2016). A nested PCR assay to avoid false positive detection of the microsporidian Enterocytozoon hepatopenaei in environmental samples in shrimp farms. PLos One 11. http://doi. org.10.1371/journal.pone.0166320

OIE 2019. Manual of Diagnostic Test for Aquatic Diseases. OIE, Paris, Francia.

Lightner D.V., R.M. Redman, T.A. Bell (1983) Infectious hypodermal and hematopoietic necrosis virus, a newly recognized virus disease of penaeid shrimp. Journal of Invertebrate Pathology 42(1) 6270.

Liu Y.M., Qiu L., Sheng A.Z., Wan X.Y., Cheng D.Y. & Huang J. (2018) Quantitative detection method of Enterocytozoon hepatopenaei using TaqMan probe real time PCR. Journal of Invertebrate Pathology 151: 191-196.

Imsonpang S., Pudgerd A., Chotwiwatthanakun

C., Srisala J., Sanguanrut P., Kasamechotchung

C., Sritunyalucksana K., Taengchaiyaphum S., Vanachviriyakit R. (2023) Confirmatory test of active IHHNV infection in shrimp by immunohistochemistry and IHHNV-LongAmp PCR. Journal of Fish Diseases. http://doi.org:10.1111/jfd.13905

Kalagayan H., D. Godin, R. Kanna, G. Hagino, J. Sweeney, J. Wyban & Brock J. (1991) IHHNV virus as an etiological factor in Runt-deformity Syndrome (RDS) of juvenile Penaeus vannamei cultured in Hawaii. Journal of the World Aquaculture Society Vol. 22(4): 235-243.

Karzourakis A. & R.J. Gifford (2010). Endogenous

- FEBRERO 2024 29 SALUD

efectos negativos que causaba hace cuatro décadas, cuando fue descrito por primera ocasión (Lightner et al., 1983; Kalagayan et al., 1991) y existen posturas que sustentan la idea de que debe ser retirado de la lista de patógenos de reporte obligatorio de la OMSA, ya que no produce la patología que se presentaba antes (Aranguren et al., 2022; Sritunyalucksana et al., 2023; Romero y Reyes, 2022).

EHP (Enterocytozoon hepatopenaei)

EHP es un microsporidio que infecta el hepatopáncreas de los camarones peneidos. Específicamente en P. vannamei produce retraso en el crecimiento, dando como consecuencia una mayor dispersión de tallas en la piscina, por lo que afecta económicamente durante un ciclo de producción. EHP no se asocia con mortalidad animal sino con problemas en disminución de tallas, y sus efectos económicos en Asia han sido enormes (Chaijarasphong et al., 2021). En las Américas se reportó su presencia específicamente en Venezuela (Tang et al., 2017), pero ese es un punto sujeto a discusión que será aclarado en los siguientes párrafos.

Este microsporidio también presenta reacción cruzada con otros, dando como resultados falsos positivos en los análisis por PCR.

El primer más utilizado para detectar EHP fue diseñado por Tang et al. (2015), en el cual se obtiene un amplificado de 510 bp (pares de bases). Este primer está basado en un SSUrRNA o pequeña subunidad ribosomal de ARN (small subunit ribosomal RNA). Es reconocido actualmente que los primers basados en SSUrRNA tienden a presentar reacción cruzada con otros microsporidios reportados, (Jaroenlak et al., 2016; Dhar et al., 2023; Peña-Navarro et al., 2023).

Precisamente este primer (510bp) fue utilizado para descubrir un microsporidio localizado en el núcleo de las células de hepatopáncreas de P. vannamei (Dhar et al., 2023). La presencia de la reacción cruzada se descubre cuando una sonda de hibridación (in situ hybridization, ISH) basada en el producto de este primer fue utilizada para definir la identidad de una

inclusión en el citoplasma de las células del hepatopáncreas de una muestra, además de la sospechosa presencia de lo que parecían ser unas esporas en el núcleo de unas células en el mismo tejido. Cuando se realizó la ISH en el tejido, se detectó que la sonda reaccionaba con el núcleo y no con la inclusión en el citoplasma que se sospechaba era el plasmodio de EHP. En esta investigación participó uno de los autores del presente artículo, por lo que se pueden ampliar detalles que no están en la publicación de la revista científica, y que no fueron incluidos en la publicación original por un tema de espacio.

Originalmente se detectó una señal en un PCR usando el primer EHP-510FR (Tang et al. 2015) y, como existían muestras paralelas, se podía buscar la presencia de EHP en la muestra de histología. Sin embargo, no se encontraron esporas de EHP en 4 placas histológicas después de un día de búsqueda. Por el contrario, se determinó una inclusión en el citoplasma y lo que parecían esporas en los núcleos de unas células. Tentativamente se concluyó que correspondía a una etapa del plasmodio de EHP y esporas, respectivamente. Se analizó la posibilidad de que se tratara de la etapa de plasmodio de EHP, y en los núcleos de unas células se observó lo que parecían ser unas “esporas”. Cuando se envió la muestra al laboratorio de la Universidad de Arizona y se realizó la hibridación in situ, la sonda reaccionó en el núcleo y se pudo reconocer que lo que parecían “esporas” en el núcleo correspondían a esporas de un nuevo microsporidio que infecta el núcleo, al cual se lo nombró Enterospora sp. (Dhar et al., 2023).

Con el resto de la muestra se realizó PCR utilizando el primer de Liu et al. (2018) para EHP; el amplificado fue visualizado por electroforesis determinando una banda muy tenue. El producto de PCR fue secuenciado, determinando que el tamaño del amplicón era 149 bp en lugar de 157bp que se esperaba usando este set de primer, si fuese EHP (Dhar et al., 2023).

Posteriormente, un grupo de investigadores descubrieron otro microsporidio relacionado a Vittaforma sp. en Costa Rica, utilizando el primer de Tang et al. (2015) y el de Liu

Viral Elements in Animal Genomes. PLoS Genetics 6(1): 1-14. e1001191

Maori E., Tanne E., & I. Sela (2007). Reciprocal sequence exchange between non-retro viruses and hosts leading to the appearance of new hosts phenotypes. Virology 362: 342-349.

Peña-Navarro N., Lopez-Carvallo A., Chacon-Perez B. & Cruz-Flores R. (2023). Application of PCR based diagnostic tools that target Enterocytozoon hepatopenaei for the molecular detection of a Vittaforma-like microsporidium that infects Penaeus vannamei from Costa Rica. Journal of Invertebrate Pathology 200 http://doi.org/10.1016/j. jip.2023.107958

Romero X. & Reyes E. (2022) IHHNV Origins and realities after 40 years. World Aquaculture Vol 53(4): 29-33.

Saksmerprome V., Jitrakorn S., Arunrut N., Kiatpathomchai W., & Flegel T.W. (2022) Geologically recent shrimp endogenous viral elements and their implications for shrimp disease control and trade. In Alday-Sanz V. edits “The Shrimp Book II” pgs 547561. 5M Books Ltd. UK.

Sritunyalucksana K., Sanguanrut P., Srisala J., Thawonsuwan J., Saleetid N., Vanichviriyakit R., Chotwiwatthanakun C., Flegel T.W. & Taengchaiyaphum S. (2023) Production results indicate that parvovirus IHHNV should be delisted as a notifiable shrimp disease. BioRxiv http://doi. org/10.1101/2023.09.08.556791

Sniesko S.K. (1974) The effect of environmental stress on outbreaks of infectious diseases of fish. Journal of Fish Biology 6: 197-208.

Taengchaiyaphum S., J. Srisala, P. Bunphimpapha, P. Sugungul, A. Tassanakajon, S. Chaiyapechara, S. Bowornpinyo, K. Sritunyalucksana, & T.W. Flegel (2019). Mendelian inheritance of endogenous viral elements (EVE) of white spot syndrome virus (WSSV) in shrimp. Developmental and Comparative Immunology 96: 144-149.

Taengchaiyaphum S., P. Wongkhaluang, K. Sittikankaew, N. Karoonuthaisiri, T. Flegel & K. Sritunyalucksana (2022) Shrimp genome sequence contains independent clusters of ancient and current Endogenous Viral Elements (EVE) of the parvovirus IHHNV. BMC Genomics 23:565 doi. org/10.1186/s12864-022-08802-3

Tang K.F.J.& D.V. Lightner (2006). Infectious hypodermal and hematopoietic necrosis virus (IHHNV)-related sequences in the genome of the black tiger prawn Penaeus monodon from Africa and Australia. Virus Research 118: 185-191.

Tang K.F., Navarro S.A., Lightner D.V. (2007) PCR assay for discriminating between infectious hypodermal and haematopoietic necrosis virus (IHHNV) and virus-related sequences in the genome of Penaeus monodon. Diseases of Aquatic Organisms 74(2) 165-170.

Tang K.F., Pantoja C.R., Redman R.M. Han J.E., Tran L.H. & Lightner D.V. (2015) Development of a in situ hybridization and PCR assays for the detection of Enterocytozoon hepatopenaei (EHP), a microsporidian parasite infecting penaeid shrimp. Journal of Invertebrate Pathology 130: 37-41.

Tang K.F., Aranguren L.F., Piamsomboon P., Han J.E., Maskaykina I.Y., Schmidt M.M. (2017) Detection of the microsporidian Enterocytozoon hepatopenaei (EHP) and Taura Syndrome Virus in Penaeus vannamei cultured in Venezuela. Aquaculture http://doi.org/10.1016/j.aquaculture.2017.07.043

Theze J., S. Leclercq, B. Moumen, R. Cordaux, & C. Gilbert (2014). Remarkable diversity of endogenous viruses in a crustacean genome. Genome Biology and Evolution 6(8): 2129-2140.

- FEBRERO 2024 30 SALUD

et al. (2018) (Peña-Navarro et al., 2023). Proponen el uso de los primers basados en SSUrRNA como una forma para sondear la presencia de nuevas especies o géneros de microsporidios (Peña-Navarro et al., 2023). Solo aquí existen dos ejemplos de reacción cruzada con lo que podría parecer que fuese el EHP-Asia. Imaginemos el caso en el que quien interpreta un análisis no comprenda del todo en qué se basa el diagnóstico y su historia, ni las limitaciones de un test; probablemente lo tomaría como un positivo real de EHP-Asia, cuando realmente es un falso positivo.

Respecto al Enterospora sp., no puede existir una prueba específica para detectarlo debido a que hasta el momento no existe un aislamiento puro de este microsporidio y no se ha secuenciado todo su genoma. Ya que todo PCR necesita un control positivo, ¿cómo podemos saber si está realmente presente? Debido a que existe reacción cruzada con algunos primers para EHP-Asia, es muy probable que entre esos resultados positivos esté Enterospora sp., pero no hay seguridad. El primer más confiable para detectar EHP, al menos de la misma cepa que existe en Asia, es el de Jaroenlak et al. (2016), y es muy posible que algunos de los positivos para EHP en América, diagnosticados usando otros primers, sean reacciones cruzadas con otros microsporidios que comparten áreas comunes del genoma pero corresponden a un EHP diferente al reportado en Asia.

Todo lo expuesto no tiene como finalidad concluir que un set de primers es “malo” y otro “bueno”. Al contrario, algunos tienen reacciones cruzadas y podrían arrojar un falso positivo para lo que específicamente deseamos detectar. Sin embargo, son muy útiles para identificar la presencia de microsporidios en general y luego centrarse en la especie buscada o describir una nueva, con un primer más específico.

¿Se han preguntado cuál sería la reacción de un comprador de artemia si le informan que la muestra es positiva para EHP-Asia, pero han usado los primers de Tang et al. (2015) o Liu et al. (2018) y él no sabe nada de lo explicado anteriormente? Por eso, es importante estar al día con la literatura especializada y comprender los límites y ventajas de una técnica determinada.

Conclusiones

Todo lo explicado nos conduce al punto que los organismos que emiten las normativas de Salud Animal Acuática, como la OMSA, y aquellos encargados de implementar los controles basados en estas normativas, deben contar con protocolos confiables establecidos para detección, y en el caso de IHHNV no lo son (Taengchaiyaphum et al., 2022; Imsonpang et al., 2023).

Con este planteamiento se intenta que el lector tenga presente que, cuando recibe un resultado positivo de PCR para uno de los dos microorganismos detallados, es necesario cuestionarse qué primers se usaron, y no seguir ciegamente un resultado solo porque el diagnóstico fue hecho con una técnica muy buena y sensible. Es imprescindible conocer los fundamentos, ventajas y desventajas de los procedimientos. Lo peor sería causar alarma o descartar un grupo de animales porque están “infectados” de un microorganismo que realmente no está presente en la muestra.

Un punto final muy importante a tener en consideración es que la patología, como ciencia, va más allá de solamente detectar

la presencia de un patógeno potencial. Es lograr comprender el contexto de lo que se identifica, cualquiera que sea la técnica utilizada, y que no es más útil un resultado porque la técnica es más sofisticada.

Es preciso recordar siempre que la presencia del patógeno no es lo mismo que la presencia de la enfermedad. Para que la enfermedad ocurra deben interactuar varios factores, como la relación huésped-patógenoambiente (Sniesko, 1974). Proponer la idea de que la presencia de un patógeno en una piscina de cultivo inmediatamente determina una mortalidad masiva es un concepto alarmista que refleja: a) ignorancia y desconocimiento, o b) el afán de “vender miedo” para poder ofrecer algún producto o servicio particular que “soluciona” el problema que es “un peligro inminente”. No debemos caer en esa trampa•

Para mayor información escriba a: xromero2001@yahoo.com

- FEBRERO 2024 31 SALUD
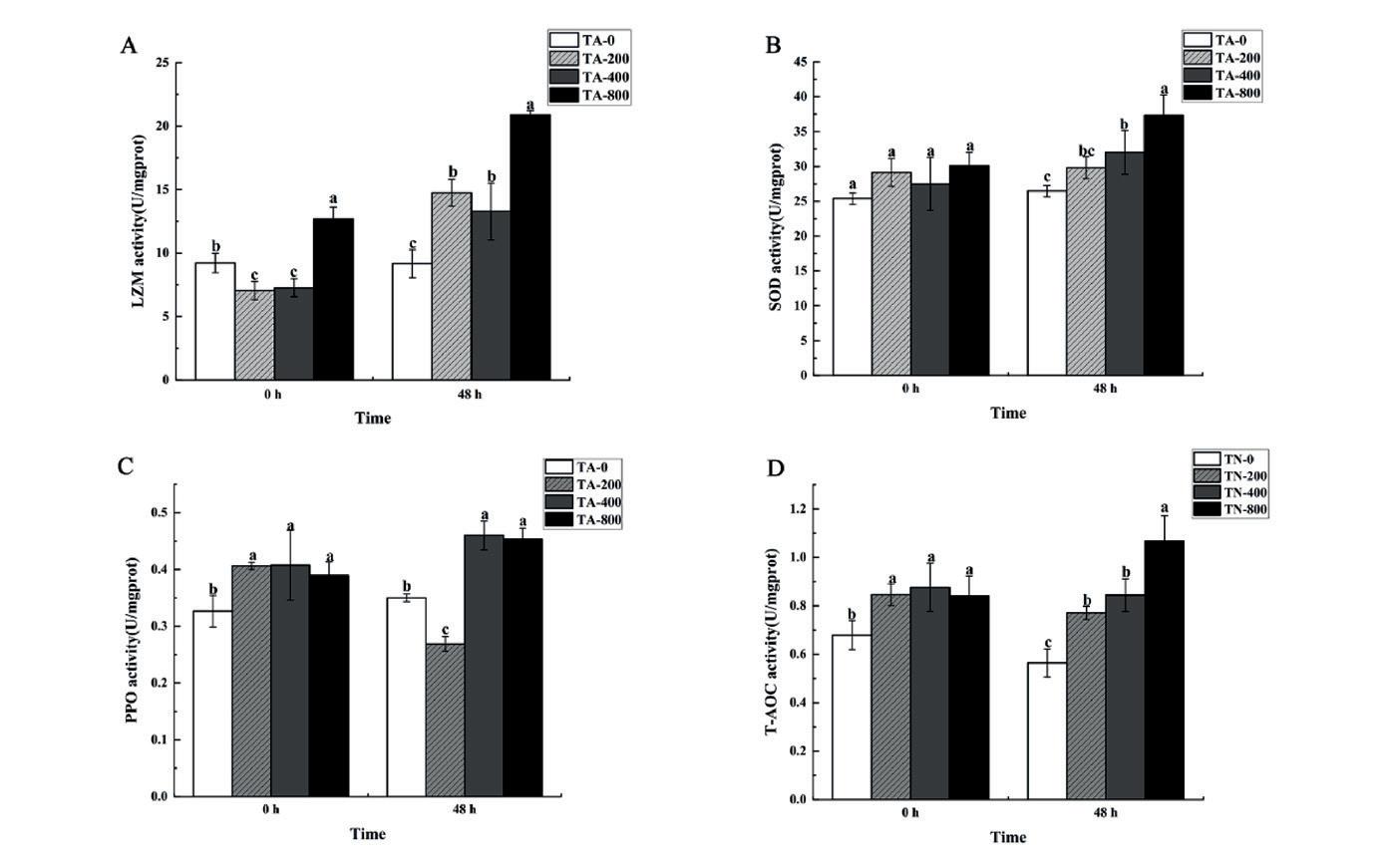
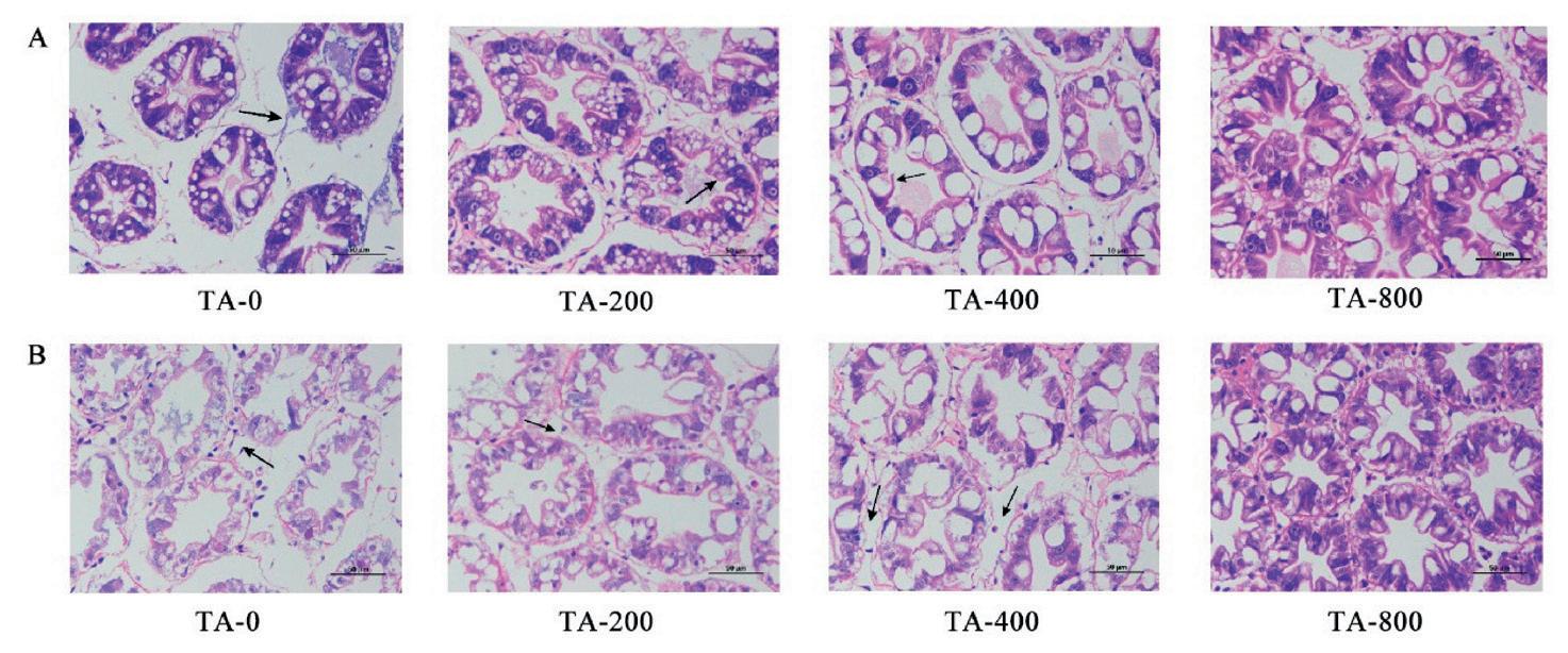
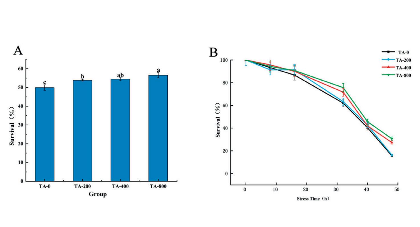
Efectos de una dieta con ácido tánico sobre el crecimiento, digestión, inmunidad y resistencia al estrés por amoníaco, y en la comunidad microbiana intestinal en el camarón blanco del Pacífico (Penaeus vannamei)

Autores:

Han Gong1,2

Zhen Qin 1,2

Zhao Chen1

Jitao Li1

Zhiqiang Chang1

Jian Li1

Ping Chen1,*

1 Laboratorio Clave para el Desarrollo de Pesquerías, Ministerio de Agricultura y Asuntos Rurales, Instituto de Investigación Pesquera del Mar Amarillo, Academia China de Ciencias Pesqueras, Qingdao 266071, China.

2 Laboratorio de Funciones de Ciencias Pesqueras y Procesos de Producción de Alimentos, Laboratorio Nacional de Ciencia y Tecnología Marinas de Qingdao, Qingdao 266237, China.

*chenping@ysfri.ac.cn

El camarón blanco del Pacífico Penaeus vannamei es una de las especies de camarón de mayor importancia económica, cuya producción fue de 5.81 millones de toneladas en 2020, contribuyendo al 51.7% de todo el camarón cultivado en el mundo [1]. Para producir grandes cantidades en poco tiempo se requieren técnicas de acuicultura intensiva y sustancias que estimulen el crecimiento [2]. Sin embargo, un entorno de crecimiento denso se caracteriza por una alta densidad de individuos, provocando fácilmente brotes de enfermedades, lo que puede resultar estresante para los organismos [3]. Los camarones pasan todas sus etapas de crecimiento en un ambiente acuático y se ven inevitablemente afectados por los cambios ambientales [4]. El amoníaco es un factor ambiental importante que afecta la salud de las especies acuáticas y su elevada concentración se debe a la acumulación de diversos elementos orgánicos, como heces y piensos no utilizados, en el agua de cultivo. El amoníaco induce una respuesta antiestrés en el camarón, aliviando así el estrés oxidativo, los trastornos inmunológicos y enfermedades que conducen a una alta mortalidad [5,6]. Por lo tanto, el desarrollo de un enfoque ecológico de prevención de enfermedades es importante para la gestión de la salud en el cultivo de camarón.

Publicación original: https://www.mdpi.com/2410-3888/7/6/327#:~:text=The%20present%20study%20revealed%20that,vannamei.

En el contexto de la “prohibición de los antibióticos” en alimentos, los sustitutos de los antibióticos se han convertido en uno de los focos de investigación en nutrición animal. Los extractos de plantas naturales han sido ampliamente estudiados como nuevos aditivos alimentarios por sus efectos positivos en la promoción del crecimiento y la regulación antioxidante e inmune de los animales acuáticos. El ácido tánico (TA) es un compuesto polifenólico que se encuentra en todas partes en la naturaleza. Los taninos representan un grupo altamente heterogéneo de compuestos polifenólicos solubles en agua, divididos en taninos condensados, que son oligómeros C-C unidos de catequina o leucoantocianina, y taninos hidrolizables, ésteres de monosacáridos con ácido gálico u oligómeros de ácido gálico [7,8]. Se ha reportado que dosis bajas de TA tienen efectos beneficiosos sobre el crecimiento animal, la inmunidad, salud intestinal y la capacidad de estrés antioxidante [8,9].

- FEBRERO 2024 34 NUTRICIÓN

Estudios previos indican que una mayor diversidad bacteriana en el intestino de los organismos puede desempeñar un papel importante en la promoción de la digestión y absorción de nutrientes después de un período de alimentación con dietas para peces que contienen taninos condensados [10]. De manera similar, el TA en sorgo hasta 5.7 g/kg en las dietas no tiene efectos adversos sobre la tilapia del Nilo (Oreochromis niloticus) [11]. Por ejemplo, el TA en cáscaras de castañas puede mejorar la salud intestinal de los peces [12,13]. Zhu et al. encontraron que la suplementación de una dieta de camarón con 0.15% de taninos hidrolizables para promover el crecimiento y la actividad digestiva, mejora la capacidad antioxidante y ajusta de manera óptima la estructura bacteriana intestinal [14]. Hallazgos en ganado sugieren que bajas concentraciones de TA pueden mejorar el estado de salud, la digestión de nutrientes y el crecimiento de pollos y cerdos [15,16]. Por lo tanto, el TA tiene un gran potencial como alternativa a la adición de nutrientes al pienso.

El intestino es un órgano importante para la digestión y absorción en los animales acuáticos, así como una importante barrera contra agentes infecciosos y toxinas. El “cultivo” de un tracto digestivo sano tiene un impacto vital en la salud y el crecimiento de los animales acuáticos [17]. Además, la microecología intestinal contiene no solo microbiota intestinal, sino también una gran cantidad de metabolitos de la microbiota intestinal [18]. Juntos, afectan la función inmune del huésped y son importantes para el mantenimiento de la homeostasis intestinal [19]. Una multitud de agentes pueden inducir al estrés oxidativo intestinal [20], disfunción de la barrera [21] y deterioro morfológico [22,23], lo que resulta en una disminución de la función de absorción de nutrientes y un aumento en la incidencia de enfermedades [24]. Además, la inflamación en los intestinos de los organismos provoca además la proliferación de algunas bacterias potencialmente patógenas, que pueden dañar el tejido de barrera y desencadenar inflamación intestinal [25-27]. Algunos estudios han destacado que la cáscara de castaña rica en taninos puede actuar como prebiótico en la microbiota intestinal de los peces, y puede optimizar la salud de la

microbiota intestinal al regular los niveles inmunológicos para combatir la inflamación intestinal [10,12,28]. Los taninos pueden regular la abundancia de bacterias beneficiosas o dañinas en el intestino, alterando así el ambiente intestinal y su composición bacteriana [13,29].

Por lo tanto, el presente estudio tuvo como objetivo investigar los efectos de dietas de TA extraído de la nuez “gallnut” sobre (1) el crecimiento y la utilización del alimento; (2) hepatopáncreas y estructura del tejido intestinal; (3) capacidad digestiva intestinal y comunidad microbiana; y (4) respuesta inmune del hepatopáncreas de P. vannamei cultivado en condiciones normales y expuesto al estrés por amoníaco. Estos resultados serán esenciales para una mejor comprensión de las funciones del TA en la regulación de la salud de P. vannamei.

Materiales y métodos

Preparación de la dieta

Las dietas experimentales se formularon de acuerdo con las pautas y requisitos nutricionales del camarón siguiendo el NRC (2011). La dieta basal (Hengxing Group Co., Ltd., Jiaxing, China) se utilizó como dieta control. El TA utilizado en este estudio pertenecía a los taninos hidrolizables, que se extrajo del gallnut y fue proporcionado por Qingdao RBT Biotechnology Co., Ltd. (Qingdao, China). La nuez se partió, se tamizó y luego se sumergió en agua. El

agua impregnada se clarificó, precalentó y luego se secó por aspersión, y el polvo seco resultante se tamizó para obtener el producto final. Se prepararon cuatro tipos de dietas experimentales con diferente contenido de TA: 0 mg/kg (TA-0), 200 mg/kg (TA-200), 400 mg/kg (TA-400) y 800 mg/kg (TA-800). El TA se disolvió completamente en agua antes de agregarlo a las dietas. Todos los ingredientes se trituraron para pasar a través de un tamiz de 320 µm, se mezclaron bien y luego se extruyeron en pellets de 2 mm, se secaron a 55°C durante 12 h y se almacenaron a 20°C hasta su uso. La formulación y composición aproximadas del alimento experimental se muestran en la Tabla 1.

Camarones, condiciones de cultivo y prueba de alimentación

Se seleccionaron al azar P. vannamei sanos con un peso corporal promedio de 0.3 ± 0.03 g de un estanque local en Haifeng Aquaculture Co., Ltd. (Changyi, China). El camarón se aclimató durante 7 días antes del inicio del experimento y se nutrieron con el alimento control (Hengxing Group Co., Ltd., Jiaxing, China). Los parámetros de calidad del agua fueron oxígeno disuelto (DO) > 6 mg/L; salinidad 32 ± 0.5; temperatura 28 ± 05°C y pH 7.8–8.2.

Después de la aclimatación, solo se utilizaron camarones en etapa de muda para los experimentos. Un total de 6000 camarones

35 - FEBRERO 2024 NUTRICIÓN
Tabla 1. Composición de las dietas experimentales.

sanos se distribuyeron aleatoriamente en cuatro grupos: TA-0, TA-200, TA-400 y TA-800. Cada grupo tenía tres réplicas en tanques de plástico de 5000 L, y cada tanque albergaba 500 camarones. Cada grupo recibió su correspondiente alimento experimental, y todos los camarones del ensayo fueron alimentados hasta una aparente saciedad tres veces al día a las 6:00, 12:00 y 18:00. La prueba de alimentación duró 56 días y la cantidad de alimento se ajustó de acuerdo con el crecimiento del camarón. Aproximadamente el 30% del agua de cada tanque se reemplazó todos los días, y cada vez que se lo hacía, se limpiaron las heces de camarón y el alimento no consumido. Durante el período de reproducción, el ciclo de luz-oscuridad se mantuvo como el entorno natural.

Al final de la prueba de alimentación de 56 días, se tomaron muestras aleatorias del hepatopáncreas de seis camarones de cada tanque para análisis bioquímico y de expresión genética, y se tomaron muestras de los intestinos correspondientes para realizar análisis de la actividad de las enzimas digestivas y de la comunidad microbiana. Todas las muestras experimentales se congelaron y almacenaron en nitrógeno líquido para su posterior análisis.

Experimento de estrés por amoníaco

Después de la prueba de alimentación, se seleccionaron aleatoriamente 50 camarones de cada tanque para el experimento de estrés por amoníaco. Basándose en la concentración letal 50% (CL50) de 48 h en P. vannamei bajo estrés de amoníaco [30], la concentración en este estudio se mantuvo en 30.0 mg/L añadiendo una solución de NH4Cl al agua de mar fresca, que se ajustó a tiempo para garantizar su estabilidad. La concentración de amoníaco en el agua se detectó mediante espectrofotometría con el método azul de indofenol (GB 17378.42007). El estrés por amoníaco duró 48 h y la mortalidad de los camarones en cada grupo se registró cada 8 h. Después del estrés por amoníaco durante 48 h, se tomaron muestras aleatorias del hepatopáncreas de seis camarones de cada tanque para análisis bioquímico y de expresión genética. Todas las muestras se congelaron y almacenaron en nitrógeno líquido hasta su análisis.

Análisis del desempeño del crecimiento Al final de la prueba de alimentación de 56 días, todos los camarones fueron privados de alimento durante 24 horas y luego se contaron y pesaron para determinar su rendimiento de crecimiento. El valor promedio de cada 50 camarones se consideró como valor válido para cada réplica (n = 3). El rendimiento del crecimiento y la utilización del alimento de los camarones se calculó para todos los grupos, utilizando las siguientes ecuaciones: WGR = [(peso corporal final - peso corporal inicial) / (peso corporal inicial)] x 100 SR (%) = (número de camarones final / número de camarones inicial) x 100 FCR = alimento consumido (seco) / WG WGR = tasa de ganancia de peso, SR = tasa de supervivencia y FCR = índice de conversión alimenticia

Análisis histológico

Se tomaron muestras aleatoriamente del hepatopáncreas e intestinos de tres camarones de cada grupo de tratamiento después de la prueba de alimentación a los 56 días y estrés por amoníaco a las 48 h, respectivamente. Se mantuvieron en formol al 10% durante 24 h y luego se deshidrataron en una serie de soluciones alcohólicas (75-95%). Después de lavar las muestras en tolueno, se embebieron en parafina para producir un bloque de cera denso. Se cortaron segmentos (4 µm) con un micrótomo rotatorio y se tiñeron con hematoxilina y eosina (H&E). Las muestras de tejido se observaron además con un microscopio Nikon Eclipse E100 (Tokio, Japón) y se analizaron con el software Image-Pro Plus 6.3 (Media Cybernetics, Inc., Rockville, MD, EE.UU.) siguiendo el método de investigaciones previas [31].

Análisis bioquímico

Se homogeneizaron y centrifugaron muestras de hepatopáncreas e intestino de los camarones recolectados para colectar el sobrenadante para análisis bioquímico. Las muestras de hepatopáncreas se utilizaron para la determinación de la actividad de superóxido dismutasa (SOD), capacidad antioxidante total (T-AOC), polifenol oxidasa (PPO) y lisozima (LZM). Las muestras intestinales se utilizaron para detectar la actividad de amilasa (AMS), tripsina (Tryp) y lipasa (LPS). Se determinaron mediante kits de prueba comerciales pertinentes

(Jiancheng, Ltd., Nanjing, China).

Análisis de expresión genética

El ARN total del hepatopáncreas de seis camarones de cada tanque se extrajo utilizando el reactivo TRIzol (Invitrogen, Waltham, MA, EE.UU.). El ARN total (1 µg) se transcribió inversamente a ADNc usando un kit de reactivos PrimeScript™ RT (Takara, Shiga, Japón), y el ADNc se diluyó a 20 ng/ µL con solución de pirocarbonato de dietilo (DEPC) y luego se almacenó a 20°C para un análisis más detallado. Se eligió el gen β-actina de P. vannamei como control interno. Las secuencias de primers para β-actina, superóxido dismutasa de Cu/Zn (Cu/ZnSOD), lisozima (LZM) y profenoloxidasa (proPO) se obtuvieron de estudios previos [32] y se muestran en la Tabla S1. La RTqPCR en tiempo real se realizó en un sistema de detección de secuencias ABI PRISM 7500 (Applied Biosystems, Thermo Fisher Scientific, Waltham, MA, EE.UU.) utilizando un kit SYBR® Premix Ex TaqTM II (TaKaRa, Japón). Las reacciones se llevaron a cabo en un volumen total de 20 µL. El programa de PCR fue a 95°C durante 30 s, luego 40 ciclos de 95°C por 5 s y 60°C por 30 s, seguido de 1 ciclo de 95°C por 5 s, 60°C por 1 min y 95°C por 15 s. Como control negativo se utilizó agua tratada con DEPC para reemplazar la plantilla. El nivel relativo de expresión génica se mostró como el cambio de expresión en relación con el grupo TA-0, calculado mediante el método comparativo de CT 2-∆∆CT

Análisis de la microbiota intestinal Se extrajo el ADN genómico total de microbios intestinales de seis camarones de cada tanque utilizando el método CTAB/SDS, y luego se usaron primers para amplificar la región V4 del gen bacteriano 16S ADNr (Tabla S1). La PCR se llevó a cabo utilizando Phusion® High-Fidelity PCR Master Mix (New England Biolabs, Ipswich, MA, EE.UU.). Los productos de la PCR se mezclaron en proporciones de equidensidad y se purificaron. Luego, se construyeron bibliotecas de secuenciación utilizando el kit de preparación de bibliotecas de ADN NEBNext® Ultra™ para Illumina (NEB, Ipswich, MA, EE.UU.) y se secuenciaron en una plataforma Illumina MiSeq.

El análisis de secuencia se realizó mediante

- FEBRERO 2024 36 NUTRICIÓN

el software UPARSE y las unidades taxonómicas operativas (OTUs) se definieron con un ≥ 97% de similitud [33]. Las secuencias quiméricas fueron determinadas por UCHIME [34]. La diversidad alfa se calculó utilizando tres métricas, incluyendo los índices Chao1, Simpson y Shannon, utilizando el software Mothur (versión v.1.30.1) [35]. Se utilizó un diagrama de Venn para contar la cantidad de OTUs únicas y compartidas en múltiples muestras. La diversidad beta se evaluó mediante gráficos de análisis de coordenadas principales (PCoA) basados en métricas UniFrac ponderadas y no ponderadas, utilizando el paquete Ape. La composición microbiana se analizó a nivel de Phylum, Clase y Género. El análisis discriminante lineal (LDA) y el análisis del tamaño del efecto (LEfSe) se realizaron utilizando el paquete Python LEfSe para identificar taxones bacterianos diferenciales dentro de los diferentes grupos [36]. Los análisis de bosques aleatorios se realizaron según el nivel 3 de la Enciclopedia de Genes y Genomas de Kyoto (KEGG) utilizando el paquete de bosque aleatorio R. Se construyó una red Cytoscape para analizar las correlaciones y diferencias entre comunidades microbianas en función de la abundancia de OTUs utilizando el software Cytoscape.

Análisis estadístico

Toda la data se presentó como valor promedio ± desviación estándar (SD). Se utilizó el análisis de varianza unidireccional (ANOVA; SPSS v22.0) para determinar la importancia de las diferencias entre los grupos control y de tratamiento, si los valores se distribuían normalmente y las varianzas eran homogéneas. Si solo había una diferencia general, se realizaban comparaciones múltiples mediante la prueba de Duncan. Se consideró estadísticamente significativo un valor de p < 0.05. La data porcentual de ganancia de peso y supervivencia se transformaron antes del ANOVA.

Resultados

Crecimiento y supervivencia del camarón

Los camarones alimentados con la dieta TA tuvieron un FCR más bajo y una mayor ganancia de peso que los alimentados con la dieta TA-0 (Tabla 2). El grupo TA-400 tuvo el mayor rendimiento de crecimiento y utilización de alimento. Después de la

Tabla 2. Rendimiento del crecimiento y utilización del alimento de P. vannamei alimentado con la dieta control y TA durante 56 días.

Valores promedio ± SD (n=3). Los valores idénticos en la misma fila con un superíndice similar ya no son sustancialmente excluyentes (p>0.05) según la prueba de Duncan. Donde IW = peso inicial, FW = peso final, WGR = tasa de ganancia de peso, FCR = índice de conversión alimenticia.

Figura 1. Efectos del TA en la dieta sobre la supervivencia de P. vannamei en la prueba de alimentación de 56 días y estrés por amoníaco durante 48 h. (A) supervivencia de los camarones alimentados con las cuatro dietas experimentales durante 56 días; (B) supervivencia de los camarones después del estrés por amoníaco durante 48 h. Las barras verticales representan valores promedio ± SD (n=3). Los datos marcados con letras diferentes fueron significativamente diferentes (p<0.05) entre los grupos.

prueba de alimentación de 56 días, la tasa de supervivencia de los camarones en los tres grupos TA fue significativamente mayor que la del grupo TA-0 (p < 0.05), y la tasa de supervivencia del grupo TN-800 fue significativamente mayor que la del grupo TN200 (p < 0.05) (Figura 1A). Además, después del estrés por amoníaco durante 48 h, la tasa de supervivencia del grupo TA-0 fue de aproximadamente el 15.67% y la del grupo TA-800 fue de aproximadamente el 30.67%. La tasa de supervivencia del grupo TA-800 fue significativamente mayor que la del grupo TA-0 (p <0.05) (Figura 1B).

Estructura histológica del hepatopáncreas y de intestinos

Después de que los camarones fueron alimentados con dietas suplementadas con TA durante 56 días, el hepatopáncreas de cuatro individuos del grupo presentó una estructura funcional normal,

con diferenciación de las células de almacenamiento (células R) y las células secretoras (células B). El grupo control mostró una brecha entre los canalículos biliares, lisis y necrosis celular con disolución de algunas áreas de la membrana basal. Sin embargo, en el grupo de tratamiento TA-800, la estructura de los túbulos hepatopancreáticos era relativamente normal, la estructura de los hepatocitos era clara y aparecieron algunas vacuolas en los túbulos hepatopancreáticos. Después del estrés por amoníaco, el hepatopáncreas en los grupos TA-0, TA-200 y TA-400 mostraron un obvio daño histológico bajo estrés por amoníaco durante 48 h, en comparación con el grupo TA-800. El núcleo se desprendió y la brecha entre los túbulos hepáticos fue evidente. Hubo lisis y necrosis celular, y la morfología celular estaba dañada. Sin embargo, el daño se debilitó gradualmente al aumentar la concentración del TA (Figura 2).

37 - FEBRERO 2024 NUTRICIÓN

NUTRICIÓN

Después de que los camarones fueron alimentados con dietas suplementadas con TA durante 56 días, el TA pudo conectar estrechamente las células epiteliales intestinales y las microvellosidades en la superficie libre de las células se dispusieron de manera ordenada y densa. El TA podría promover el crecimiento benigno del tejido intestinal. Después del estrés por amoníaco durante 48 h, se observaron diversos grados de daño dentro del tejido hepatopancreático de los grupos TA-0, TA-200 y TA-400. Las células epiteliales intestinales del grupo TA-0 se cayeron y la pared intestinal resultó dañada. Sin embargo, las células epiteliales intestinales estaban relativamente intactas en el grupo TA-800. El TA podría prevenir eficazmente que el tracto intestinal resulte dañado por el estrés por amoníaco (Figura 3).

Actividad de las enzimas digestivas intestinales

Después de que los camarones fueron alimentados con dietas suplementadas con TA durante 56 días, en comparación con el grupo TA-0, las actividades AMS y TryP fueron más altas en el grupo TA-800 (p < 0.05). La actividad TryP aumentó con la adición de TA a la dieta. La actividad LPS fue menor en los grupos TA-400 y TA-800 (p < 0.05) y mayor en el grupo TA-200 (Figura 4).

Actividad de la enzima inmune del hepatopáncreas

Después de que los camarones fueron alimentados con dietas suplementadas con TA durante 56 días, en comparación con el grupo TA-0, las actividades T-AOC y PPO fueron mayores en los tres grupos de tratamiento con TA (p < 0.05). La actividad LZM fue mayor en el grupo TA-800 (p < 0.05) pero menor en los grupos TA-200 y TA-400 (p < 0.05). La actividad SOD fue mayor en los tres grupos de tratamiento con TA, mientras que no hubo diferencias significativas con el grupo TA-0 (Figura 5).

Cuando los camarones estuvieron expuestos al estrés por amoníaco durante 48 h, la actividad PPO fue mayor en los grupos TA400 y TA-800 en comparación con el grupo TA-0 (p < 0.05), pero menor en el grupo TA-200 (p < 0.05). Las actividades LZM y T-AOC fueron mayores en los tres grupos de tratamiento con TA (p < 0.05). La actividad

SOD fue significativamente mayor en los grupos TA-400 y TA-800 (p <0.05) (Figura 5).

Niveles de expresión de genes inmunes del hepatopáncreas

Después de que los camarones fueron alimentados con dietas suplementadas con TA durante 56 días, en comparación con el

grupo TA-0, la expresión relativa de los genes LZM y Cu/Zn-SOD aumentó en los grupos TA después de que los camarones fueron alimentados con dietas suplementadas con TA durante 56 días. (p < 0.05, Figura 6). La expresión relativa de proPO fue mayor en los grupos TA-400 y TA-800 (Figura 6).

de P. vannamei en la prueba de alimentación después de 56 días y estrés por amoníaco después de 48 h. (A) la prueba de alimentación duró 56 días; (B) el estrés por amoníaco duró 48 h. Se marcaron segmentos completos con H&E. Barra de escala: 50 µm. Las flechas en la figura indican las diferencias entre los grupos de tratamiento.

P. vannamei

la prueba de alimentación después de 56 días y estrés por amoníaco después de 48 h. (A) la prueba de alimentación duró 56 días; (B) el estrés por amoníaco duró 48 h. Se marcaron segmentos completos con H&E. Barra de escala: 50 µm. Las flechas en la figura indican las diferencias entre los grupos de tratamiento.

4.

la dieta sobre sobre las actividades de las enzimas digestivas en los intestinos de P. vannamei. (A) actividad LPS; (B) actividad AMS; (C) actividad Tryp. Las barras verticales representan valores promedio ± SD (n=3). Los datos marcados con letras diferentes fueron significativamente diferentes (p<0.05) entre los grupos.

- FEBRERO 2024 38
Figura 2. Histología del hepatopáncreas Figura 3. Histología intestinal de en Figura Efectos del TA en

Cuando los camarones fueron expuestos al estrés por amoníaco durante 48 h, la variación en la expresión relativa de los genes LZM, Cu/Zn-SOD y proPO fue obvia en comparación con la del grupo TA-0, y todos fueron más altos que el grupo TA-0 (p < 0.05). La expresión relativa del gen Cu/ZnSOD aumentó con la adición de TA (p < 0.05) (Figura 6).

Riqueza y diversidad microbiana intestinal Se obtuvo un total de 249,037 lecturas limpias de alta calidad de todas las muestras microbianas intestinales, y el número promedio de lecturas limpias por muestra fue de 62,259. Las curvas de rarefacción de las especies observadas por muestra fueron suficientes (Figura S1). La riqueza alfa y la diversidad de la microbiota intestinal se evaluaron mediante los índices de Chao1, Shannon y Simpson (Tabla 3). En comparación con el grupo TA-0, el índice de Simpson fue menor en el grupo TA-400 (p < 0.05), mientras que no hubo cambios significativos en los grupos TA-200 y TA-800. El índice de Shannon en los grupos TA-800 fue mayor que en los grupos TA-0 y TA-200 (p < 0.05). El índice Chao1 fue mayor en los tres grupos de tratamiento con TA, y el valor más alto fue en el grupo TA-800 (p < 0.05). En los cuatro grupos coexistieron un total de 488 OTUs; el número de OTUs únicas fue menor en los tres grupos de tratamiento con TA, y el número más bajo fue en el grupo TA800 (Figura 7A). Según el PCoA, basándose en las distancias UniFrac ponderadas y no ponderadas, las muestras microbianas intestinales de los grupos TA-400 y TA-800 se separaron claramente del grupo TA-0, mientras que las del grupo TA-200 no se pudieron distinguir de las Grupo TA-0 (Figura 7B, C).

Composición bacteriana intestinal

Las especies flora dominantes de los cuatro grupos de tratamiento fueron básicamente las mismas, pero la abundancia cambió; a nivel de Phylum, las bacterias dominantes fueron Proteobacteria, Bacteroidetes, Planctomycetes y Actinobacteria. En comparación con el grupo TA-0, la abundancia relativa de Proteobacteria y Bacteroidetes fue menor en los tres grupos de tratamiento TA, mientras que la abundancia relativa de Planctomycetes fue mayor. La abundancia relativa de Actinobacteria fue menor en el

grupo TA-200 pero mayor en los grupos TA400 y TA-800 (Figura 8A).

A nivel de Clase, la abundancia relativa de Cytophagia, Gammaproteobacteria, Flavobacteria y Betaproteobacteria disminuyó, pero la abundancia de Alphaproteobacteria, Planctomycetacia y Mollicutes aumentó con la adición del TA a la dieta (Figura 8B). También se observaron diferencias en la abundancia de microbiota a nivel de Género. Ciertos géneros, como Rhodopirellula, Ruegeria y Rhodobacter, fueron más altos en los tres grupos experimentales del TA, pero Paracoccus, Algoriphagus, Cellvibrio, Flavobacteriaceae

y Bacteroides fueron más bajos. Además, Vibrio fue menor en los grupos TA-400 y TA800 (Figura 8C).

Análisis diferencial de la comunidad bacteriana intestinal Los taxones bacterianos específicos se identificaron a partir de los cuatro grupos según el análisis LEfSe. Según el cladograma LEfSe, nueve familias se desarrollaron en el grupo TA-0, incluyendo a Cryptosporangiaceae, Demequinaceae, Rikenellaceae, Flavobacteriaceae, Comamonadaceae, Aeromonadaceae, Cellvibrionaceae, Chromatiaceae y Xanthomonadaceae; tres familias en el

Figura 5. Actividad de las enzimas inmunes en el hepatopáncreas de P. vannamei que fueron alimentados con las dietas control y TA durante 56 días (0 h) antes de ser expuestos al estrés por amoníaco durante 48 h. (A) actividad LZM; (B) actividad SOD; (C) actividad PPO; (D) actividad T-AOC. Las barras verticales representan valores promedio ± SD (n=3). Los datos marcados con letras diferentes fueron significativamente diferentes (p<0.05) entre los grupos.

Figura 6. Niveles de expresión de genes inmunitarios en el hepatopáncreas de P. vannamei que fueron alimentados con las dietas control y TA durante 56 días (0 h) antes de ser expuestos al estrés por amoníaco durante 48 h. (A) expresión del ARNm de LZM; (B) expresión del ARNm de Cu/Zn-SOD; (C) expresión del ARNm de proPO. Las barras verticales representan valores promedio ± SD (n=3). Los datos marcados con letras diferentes fueron significativamente diferentes (p<0.05) entre los grupos.

39 - FEBRERO 2024 NUTRICIÓN

grupo TA-200, incluyendo Burkholderiaceae, Legionellaceae y T9d; siete familias en el grupo TA-400, incluyendo a Intrasporangiaceae, Desulfomicrobiaceae, Mycobacteriaceae, Gemmatimonadaceae, Marinilabiaceae, Elev_16S_1332 y Caldilineaceae; y cuatro familias en el grupo TA-800, incluyendo a Rhodobacteraceae, Microbacteriaceae, Neisseriaceae y TM146 (Figura 9A). Entre las bacterias con puntuación LDA>4.0 fueron Gammaproteobacteria, Cellvibrionales (de Orden a Género), Flavobacteriia (de Clase a Familia), Demequinaceae y Lysinimicrobium estaban en el grupo TN-0; las Cyanobacteria (de Phylum a Familia), Burkholderiaceae (de Familia a Clase), Pandoraea, Collinsella y Oceanirhabdus estaban en el grupo TN-200; Saccharibacteria, Actinobacteria, Muricauda, Tetrasphaera e Intrasporangiaceae estaban en el grupo TN-400; y Rhodobacteraceae (de Orden a Familia), Alphaproteobacteria, Pir4_ lineage y Rhodobacter estaban en el grupo TN-800 (Figura 9B).

Análisis funcional y de red de la comunidad bacteriana intestinal

Los análisis de redes confirmaron aún más la correlación y las diferencias de la microbiota. Según el análisis de la red de correlación del Phylum bacteriano, las OTU2 y OTU3 de mayor abundancia pertenecían a Proteobacteria, y las OTUs de Bacteroidetes tuvieron la correlación más alta con las de Actinobacteria (Figura 10A). En los diagramas de ramificación de la red de microbios entre diferentes grupos, los géneros Cellvibrio, Lysinimicrobium, Rubellimicrobium y Flavobacterium fueron dominantes en el grupo TA-0; la Clase Cyanobacteria y el Género Pandoraea fueron dominantes en el grupo TA-200; los géneros Muricauda, Candidatus Microthrix, Tetrasphaera, Tropicimonas y Ruegeria fueron dominantes en el grupo TA-400; y los géneros Phaeomarinomonas, Rhodobacter, linaje Pir4 y Microbacterium fueron significativos en el grupo TA-800 (Figura 10B).

Se analizó la función prevista de la microbiota intestinal. Según la clasificación KEGG, en comparación con el grupo TA-0, la “vía de señalización de VEGF”, “varios tipos de biosíntesis de N-glicano”, el “citocromo P450” y el “linaje de células hematopoyéticas” fueron más altos en los tres grupos de tratamiento con TA, pero la “digestión y

Tabla 3. Diversidad alfa de microbios intestinales de P. vannamei que fueron alimentados con la dieta control y TA durante 56 días.

Los valores son valores promedio ± SD (n=3). Las letras diferentes indican diferencias significativas (p<0.05).

Figura 7. Diversidad microbiana intestinal y composición de P. vannamei que fueron alimentados con las dietas control y TA durante 56 días. (A) número de OTUs únicas y compartidas entre diferentes tratamientos indicado por el diagrama de Venn. (B) gráficos de PCoA basados en métricas ponderadas de Unifrac. (C) gráficos de PCoA basados en métricas UniFrac no ponderadas.

absorción de carbohidratos” y la “serie de ganglios-biosíntesis de glicoesfingolípidos” fueron más bajos (Figura 10C).

Discusión

Efectos de la dieta con TA sobre el crecimiento y la estructura histológica del camarón

El TA está ampliamente presente en la mayoría de las especies de plantas utilizadas para agregar nutrientes y se ha aplicado a la actividad acuícola con efectos positivos en la absorción y la salud de los nutrientes de los animales acuáticos [37–40]. Por ejemplo, agregar taninos hidrolizables al alimento puede mejorar la tasa de conversión alimenticia del camarón [14]. Agregar entre 0.05 y 0.15% de taninos hidrolizados al alimento puede mejorar el rendimiento del crecimiento del mero híbrido (Pearl gentian grouper) [41]. Agregar TA a la dieta puede aumentar la superficie intestinal, promover la absorción de nutrientes y aprovecharlos mejor [42]. En este estudio, se observaron células B y R en el hepatopáncreas de todos

los grupos experimentales. Pueden ayudar con la absorción de nutrientes y la síntesis de enzimas digestivas, y el aumento de células R en el grupo de suplementos dietéticos el TA puede deberse a los taninos, que les dan un acceso más fácil a los nutrientes y un mejor estado de las proteínas del hígado, mejorando así el crecimiento del camarón. [43–45]. En este estudio, la suplementación con 400–800 mg/kg del TA en las dietas promovió el crecimiento, redujo la tasa de conversión alimenticia y mejoró la tasa de supervivencia de P. vannamei después del estrés por amoníaco.

Efectos de la dieta con TA sobre la actividad de las enzimas digestivas del camarón

La actividad de las enzimas digestivas está directamente relacionada con la digestión y absorción del material nutricional y con el crecimiento de los animales [46]. Se ha reportado que una dosis baja del TA tiene efectos positivos sobre la función de digestión y absorción de los organismos [47]. La adición de un 1.0% de tanino de castaña

- FEBRERO 2024 40
NUTRICIÓN

a la dieta de conejos podría aumentar significativamente las actividades de la amilasa y la tripsina [48]. La suplementación dietética con ácido tánico hidrolizable al 0.15% podría promover el crecimiento y la actividad digestiva del camarón [14]. Estudios previos han demostrado que los taninos de la dieta estimulan las vías neuronales del organismo, así como la epinefrina, que promueve la expresión de la amilasa [49]. En este estudio, el TA en la dieta aumentó la actividad AMS en el intestino de P. vannamei, lo que indica que el TA podría mejorar la digestibilidad de los nutrientes y contribuir a mejorar el rendimiento del crecimiento. Los taninos inhiben la absorción de aminoácidos in vitro principalmente combinándolos con la actividad Tryp y dietas proteicas [50]. Sin embargo, en este estudio, la actividad Tryp fue mayor en los grupos del TA que en los otros tratamientos. Investigaciones anteriores han demostrado que los taninos afectan la digestión de las proteínas principalmente formando complejos menos digeribles con dietas proteicas, en lugar de inhibir las enzimas digestivas [51]. La actividad LPS fue menor en los grupos TA-400 y TA-800. En un estudio, el tanino hidrolizable disminuyó la actividad de la lipasa, y la razón central fue la alta fuerza de unión entre el tanino y la lipasa [52]. Por lo tanto, esto sugiere que el TA puede reducir la deposición de lípidos al inhibir la absorción de lípidos de la dieta por parte del organismo. Las diferencias en las actividades de las enzimas digestivas indican la complejidad de la digestión y degradación de diferentes nutrientes por los taninos, lo que puede estar relacionado con la estructura del TA, los tipos de enzimas digestivas, los sujetos experimentales y los entornos complejos y cambiantes de los organismos.

Efectos de la dieta con TA sobre la actividad de las enzimas inmunitarias y la expresión genética del camarón

El estrés ambiental puede acelerar la absorción de oxígeno y producir excesivas especies reactivas de oxígeno en el camarón, y provocar estrés oxidativo en los crustáceos. Las condiciones ambientales subóptimas pueden inducir la producción excesiva de ROS, que son perjudiciales para los organismos [53]. Los organismos dependen de sistemas de enzimas antioxidantes, que incluyen a enzimas y proteínas antioxidantes,

para resistir el estrés oxidativo y mantener la homeostasis fisiológica. Los animales acuáticos se adaptan a su entorno mediante el uso de sistemas antioxidantes para eliminar el exceso de ROS. La actividad de T-AOC refleja el estado total de las enzimas antioxidantes, mientras que la SOD proporciona la primera línea de eliminación de ROS de las células [54]. Se ha reportado que los taninos tienen un efecto positivo al estimular las funciones de defensa antioxidante [55-58]. En este estudio, la actividad de T-AOC y SOD fue mayor en el hepatopáncreas de P. vannamei, como lo indican los niveles más altos de transcripción de Cu/Zn-SOD. Se sabe que la familia multigénica Cu/Zn-SOD provoca una defensa oxidante y una red de citocinas mediante la acción de fagocitos (macrófagos) y factores humorales. Esto revela que el TA podría mejorar las capacidades antioxidantes y la inmunidad no específica del camarón para defenderse del estrés por amoníaco.

La inmunidad inespecífica juega un papel importante en el camarón cuando el organismo sufre estrés ambiental [59]. La función principal de la LZM es hidrolizar la pared celular de las bacterias, mientras que el PPO es producto de la vía de activación de

proPO, que está estrechamente relacionada con la activación de la defensa celular y la aparición de factores de fagocitosis [60]. Los sistemas LZM y proPO tienen efectos importantes sobre la defensa inmune en crustáceos [61,62]. La adición de ácido tánico produce una protección inmune o efectos positivos en la acuicultura [63]. En este estudio, las actividades de PPO fueron mayores en los tres grupos de tratamiento con TA, y las actividades LZM fueron mayores en el grupo de TA-800. Además, los niveles de expresión de los genes LZM y proPO aumentaron en los tres grupos de tratamiento con TA. Esto indica que la exposición al estrés por amoníaco y TA puede activar mejor el sistema inmunológico del camarón y estimular la liberación de la LZM de los lisosomas para resistir el estrés inmunológico.

Efectos de la dieta con TA sobre la microbiota intestinal del camarón

La microbiota intestinal está estrechamente asociada con la salud del huésped [64,65]. En este estudio, después de que los camarones fueron alimentados con dietas TA durante 56 días, la suplementación con TA aumentó la diversidad y alteró la composición de la microbiota intestinal en P. vannamei. Se ha

41 - FEBRERO 2024 NUTRICIÓN
Figura 8. Abundancia relativa promedio de bacterias dominantes en los intestinos de camarones bajo diferentes tratamientos. (A) nivel de Phyla, (B) nivel de Clase y (C) nivel de Género.

reportado que Proteobacteria, Bacteroidetes y Planctomycetes son los Phyla dominantes en el intestino de P. vannamei [66]. Las Proteobacteria participan en los compuestos de carbono y la degradación del nitrógeno [67,68]. Los Bacteroidetes pueden promover el metabolismo energético aumentando el metabolismo de los carbohidratos [69].

Los Planctomicetes contienen bacterias anaeróbicas oxidantes de amoníaco, que desempeñan un papel importante en la reducción del nitrógeno amoniacal en los sistemas acuáticos y contribuyen al ciclo global del nitrógeno [70]. En este estudio, la mayor abundancia de Planctomycetes y la disminución de Bacteroides y Proteobacteria indicaron que el TA en la dieta podría afectar la capacidad de las bacterias intestinales de P. vannamei para metabolizar nutrientes.

En nuestros resultados experimentales, varios Géneros bacterianos importantes también mostraron diferencias obvias entre los grupos experimentales. Entre ellas, nos centramos en las bacterias que son relevantes para la salud del huésped. Las Rhodobacteracea pueden contribuir al ciclo global del carbono y el nitrógeno al descomponer grandes cantidades de material orgánico, como la “nieve marina”. Según un estudio previo [71], juega un papel importante en el mantenimiento de la salud y fomentando el crecimiento de los animales acuáticos [72,73].

Este estudio muestra que la mayor abundancia relativa de Rhodobacteracea se observó en el grupo TA-800, lo que fue consistente con el mejor desempeño de crecimiento de P. vannamei. Estos resultados sugieren que una dieta con TA puede promover el crecimiento del camarón al regular la abundancia de la flora intestinal. Las Paracoccus, perteneciente a Proteobacteria, son bacterias desnitrificantes que pueden ayudar a reducir el nitrato a nitrógeno molecular [74]. En nuestro estudio, la abundancia de Paracoccus aumentó en algunos grupos del TA y el TA aumentó la abundancia de bacterias beneficiosas en el intestino.

En el intestino del camarón existen varios patógenos oportunistas, como las Flavobacteriaceae [75]. En este estudio,

- FEBRERO 2024 42 NUTRICIÓN
Figura 9. Análisis de variación intergrupal de microbios intestinales de P. vannamei en diferentes tratamientos. (A) cladograma LEfSe. (B) puntuación LDA de LEfSe-PICRUSt.

la disminución de la abundancia de Flavobacteriaceae indicó que el TA en la dieta podría reducir la abundancia de patógenos en el intestino del camarón. Vibrio es un patógeno común en animales acuáticos [76], y Scalbert et al. descubrieron que el TA lograba actividad antibacteriana al reducir el contenido de iones de hierro [77].

En este estudio, los niveles reducidos de esta bacteria indicaron que el TA redujo el riesgo de patógenos oportunistas putativos en el intestino de P. vannamei. Se utilizó Algoriphagus como cepa modelo para la clasificación e identificación. Se han realizado pocos estudios sobre Candidatus Bacilloplasma, que se clasifica como Tenericutes, en el intestino, y su papel en el intestino no está claro [78], pero a menudo se desarrolla en los intestinos de camarones

enfermos [79]. Pandoraea tiene la capacidad de degradar la lignina [80]. Cellvibrio puede utilizar la glucosa de forma oxidativa e hidrolizar la celulosa y otros complejos de polisacáridos [81].

En este estudio, el cambio en la abundancia de Algoriphagus, Cellvibrio, Candidatus Bacilloplasma y Pandoraea indicó que el TA podría potencialmente afectar la abundancia de bacterias dañinas o beneficiosas en el intestino y el sistema metabólico del camarón. Además, una gran cantidad de vías metabólicas KEGG fluctuaron, como la “digestión y absorción de carbohidratos”, la “serie ganglio-biosíntesis de glicoesfingolípidos”, el “citocromo P450”, el “linaje de células hematopoyéticas” y “varios tipos de biosíntesis de N-glicanos”.

Este fenómeno reveló que el TA en la dieta podría regular la función metabólica de la microbiota intestinal de P. vannamei. Por lo tanto, la suplementación dietética con TA podría causar variaciones microbióticas intestinales en P. vannamei, y el aumento de la diversidad microbiana podría contribuir a contrarrestar los efectos adversos de la exposición al amoníaco.

Conclusiones

Este estudio reveló que el TA en la dieta mejoró el crecimiento, la digestión, la inmunidad inespecífica, la resistencia al estrés por amoníaco y la comunidad microbiana intestinal.

El TA no tuvo ningún efecto negativo ni cambios severos en la estructura morfológica del intestino y del hepatopáncreas en P.

Figura 10. Análisis de redes y metabolismo de microbios intestinales de P. vannamei en diferentes tratamientos. (A) análisis de redes de relevancia basados en el nivel del Phylum bacteriano. Los nodos representan la clasificación del Phylum de las OTUs y el tamaño del nodo indica la abundancia relativa de cada taxón. Los nodos que representan el mismo Phylum se muestran en el mismo color. Las líneas entre dos OTUs representan la correlación. (B) análisis de redes diferenciales: los nodos representan la clasificación de especies y el tamaño del nodo indica la abundancia relativa. El color del nodo proporciona información sobre la diferencia; el negro indica no diferencias significativas y los demás colores indican diferencias significativas en el grupo correspondiente. Se proporcionan los nombres de los taxones con una abundancia superior al 1%. (C) predicción del metabolismo microbiano basado en el análisis de la vía KEGG. *Indica una diferencia significativa (p<0.05) entre grupos. **Indica una diferencia altamente significativa (p<0.01) entre grupos. ***Indica una diferencia extremadamente significativa (p<0.001) entre los grupos.

43 - FEBRERO 2024 NUTRICIÓN

vannamei. Además, el TA no solo mejoró la abundancia relativa de bacterias beneficiosas, sino que también redujo la abundancia relativa de bacterias patógenas oportunistas en el camarón. Los resultados evidenciaron que 400–800 mg/kg de TA mostraron el mayor valor de aplicación en el cultivo de camarón. Las interacciones entre el rendimiento del crecimiento, la capacidad antioxidante y la composición de la microbiota intestinal en P. vannamei merecen una mayor exploración.

Materiales complementarios: la siguiente información de respaldo se puede descargar en: https://www.mdpi.com/ article/10.3390/fishes7060327/s1, Tabla S1. Secuencias de primers utilizados para la PCR en tiempo real cuantitativa en este

estudio. Figura S1. Curvas de rarefacción de muestras microbianas del intestino con OTUs de P. vannamei

Contribución de los autores: conceptualización, P.C.; metodología, P.C. y JL (Jitao Li); análisis formal, HG y ZQ; investigación, Z.C. (Zhao Chen) y Z.C. (Zhiqiang Chang); curación de data, H.G. y P.C.; redacción- preparación del borrador original, H.G.; redacción- revisión y edición, H.G., P.C. y J.L. (Jitao Li); Supervisión, JL (Jian Li); adquisición de financiamiento, J.L. (Jitao Li), P.C. y JL (Jian Li). Todos los autores han leído y aceptado la versión publicada del manuscrito.

Declaración de la Junta de Revisión Institucional: no se incluyeron sujetos humanos en este estudio. La recolección

y manipulación de todos los camarones utilizados en este estudio fueron aprobadas por el Comité de Ética Animal Experimental, Instituto de Investigación Pesquera del Mar Amarillo, Academia China de Ciencias Pesqueras (código de aprobación: YSFRI-2022031 y fecha: 29 de octubre de 2022).

Declaración de disponibilidad de data: el conjunto de data generada y analizada durante el estudio actual está disponible con el autor correspondiente previo a solicitud sustentada•

Para mayor información escriba a: chenping@ysfri.ac.cn

- FEBRERO 2024 NUTRICIÓN
La producción de larvas del camarón Penaeus vannamei mejora cuando se alimenta con microalgas cultivadas con luces

PRODUCCIÓN

Un estudio reciente realizado en Ecuador, el cual compara la calidad de larvas del camarón Penaeus vannamei, inicialmente alimentadas con microalgas producidas con luces LED y con luces fluorescentes, comprueba un notable rendimiento de las larvas alimentadas con microalgas producidas con luces LED.

Autores:

María Bravo Montesdeoca1

César Lodeiros2*

Edgar Zapata-Vívenes2

José Javier Alió3,4

1 Instituto Superior Tecnológico Luis Arboleda Martínez. Carrera de Tecnología Superior en Acuicultura, Secretaría de Educación Superior, Ciencia, Tecnología e Innovación. Ext. Jaramijó, Manabí, Ecuador.

2 Grupo de Investigación en Biología y Cultivo de Moluscos, Departamento de Acuicultura, Pesca y Recursos Naturales Renovables, Facultad de Acuicultura y Ciencias del Mar, Universidad Técnica de Manabí, Bahía de Caráquez, Manabí, Ecuador.

3 Carrera de Medicina Veterinaria, Escuela Superior Politécnica Agropecuaria de Manabí Manuel Félix López, Calceta, Ecuador.

4 Grupo de Investigación en Pesca y Acuicultura, Programa de Maestría en Recursos Acuáticos, Facultad de Ciencias de la Vida y Tecnologías, Universidad Laica Eloy Alfaro de Manabí, Manta, Ecuador.

cesar.lodeiros@utm.ec

Aunque ha habido muchos avances en la alimentación y nutrición de larvas de organismos acuáticos, las microalgas siguen siendo el alimento clave para las larvas de algunas especies en ambientes naturales y acuicultura (Han et al. 2019; Ahmad et al. 2022); por ello, la calidad nutricional de las microalgas es un punto primordial para obtener mejores rendimientos en la producción de los organismos acuáticos.

En la producción de microalgas, la intensidad de la luz, ya sea de forma independiente o en combinación con otros factores físicos o químicos, afecta la fotosíntesis, así como la producción de biomoléculas y la actividad celular (Sun et al. 2018; Amaro et al. 2020). Algunos estudios demuestran que el crecimiento y la calidad bioquímica de las microalgas están influenciados por la intensidad y longitud de onda de la luz que las ilumina (Metsoviti et al. 2020; Bialevich et al. 2022). De esta manera, la luz infrarroja, los diodos emisores de luz (LED) u otro tipo de luz, pueden causar cambios notables en la actividad fotosintética (Hsia y Yang, 2015). Todo ello genera alteraciones en la tasa de crecimiento, la composición bioquímica y el metabolismo como por ejemplo, de la síntesis de lípidos y ácidos grasos, los cuales son de vital importancia en la alimentación de los primeros estadios del ciclo de vida temprano en organismos acuáticos (Sánchez-Saavedra et al. 2016, Lv et al. 2022, Lang et al. 2011; Peralta-Ruiz et al. 2013).

En la producción de larvas del camarón Penaeus vannamei, la diatomea Thalassiosira pseudonana ha sido muy utilizada como alimento (Iba, 2014; Trần et al. 2020) y en un reciente estudio de: Bravo-Montesdeoca G., Lodeiros C., Zapata-Vívenes E., Alió J.J. 2023, denominado Improved performance of larval Penaeus vannamei Boone, 1931 production fed with Thalassiosira pseudonana Hasle and Heimdal, 1970 cultured with light emitting diodes (LED) compared to fluorescent light, y

LED

publicado en la prestigiosa revista Journal of Applied Phycology (22 noviembre 23, online), se contrasta la hipótesis de una mejora de la composición bioquímica en la Thalassiosira pseudonana cultivada bajo luz LED, la cual podría ayudar a mejorar el desarrollo de algunas especies de acuicultura, particularmente camarones, donde una dieta de microalgas es vital durante sus etapas larvarias.

Este estudio arrojó resultados donde se discute que la calidad nutricional de Thalassiosira pseudonana cultivada con luces LED generó mejoras en varios parámetros evaluados en las zoeas de Penaeus vannamei, en comparación con las larvas alimentadas con las microalgas cultivadas bajo luces fluorescentes. Los parámetros estudiados fueron la supervivencia entre los estadios de nauplio V a Zoea III, la biomasa alcanzada de cada larva y el tiempo de muda.

Los resultados muestran que las larvas alimentadas con las microalgas del cultivo irradiadas con luces LED tuvieron significativamente mayor supervivencia y biomasa individual, y la muda se alcanzó en menos tiempo que en las larvas alimentadas con microalgas producidas con luces fluorescentes (Tabla 1). Esto fue indiscutiblemente debido a la calidad de las microalgas producidas con luces LED. Aunque la densidad celular de las microalgas al momento de la cosecha (4,13±0,04 mill. cel. mL-1 con LED y 4,15±0,14 mill. cel. mL-1 con fluorescentes) no difirieron significativamente, la biomasa celular de la microalga producida con luces LED fue significativamente mayor, en un orden de más del 50% (0,27±0,05 mg L-1 con LED, 0.17±0.05 mg L-1 con fluorescentes). De igual manera, el contenido total de lípidos fue más elevado (17.1±7.26% con LED y 4.7±1.21% con fluorescente). La mayor cantidad de biomasa y lípidos totales muestran una mejor calidad de microalga producida con luces LED.

Adicionalmente, la calidad nutritiva de la microalga también mejoró, ya que la concentración de los ácidos grasos docosahexaenoico (DHA) y docosapentanoico (DPA) fue significativamente mayor en la microalga producida por luces

Tabla 1. Supervivencia, biomasa y tiempo de muda (nauplio V a Zoea III) de zoeas III de Penaeus vannamei después del ensayo de alimentación con cultivos de Thalassiosira pseudonana irradiados con luces LED y fluorescentes a 66 µmol s-1 m-2, en bolsas de plástico de 15 L.

de muda (h)

Los resultados se expresan en promedio ± desviación estándar. Letras diferentes significan diferencias significativas (P<0,05) mediante la prueba t de Student.

LED. Otros ácidos grasos, entre ellos el eicosopentaenoico (EPA), fundamentales en la nutrición de larvas de camarones y organismos acuáticos, no difirieron en concentración en la microalga sometida a los dos tratamientos lumínicos.

La calidad nutricional de la microalga producida con luces LED, tanto en masa como en componentes nutricionales, sin duda alguna condujo a mejorar la producción y el rendimiento de las larvas zoea de Penaeus vannamei en comparación con la alimentación con Thalassiosira pseudonana irradiada con luces fluorescentes.

El escoger uno u otro sistema de irradiación

estará basado en costos y beneficios, pero hoy en día, ya por sostenibilidad y subsistencia, se hace necesario adjudicar, y cada vez con mayor importancia, el costo ambiental. Las luces LED no solo son energéticamente eficientes y duraderas, sino que también poseen beneficios ambientales que no pueden pasarse por alto. Las luces LED no contienen materiales tóxicos, lo que las hace más seguras tanto para la salud humana como para el medio ambiente.

Además de lo anteriormente expuesto, las luces LED producen menos calor, lo que reduce la energía necesaria para enfriar y disminuye la carga de las unidades de aire acondicionado en la producción de microalgas en las hatcheries. En este sentido,

- FEBRERO 2024 PRODUCCIÓN
Tipo de Luz Sobrevivencia (%) Biomasa individual (µg) Tiempo
LED 83,9±0,9a 7,9±0,6a 58,7±0,6a Fluorescente 78,4±1,5b 6,3±0,5b 67,7±0,6b
Thalassiosira pseudonnana

son más seguras para la salud humana y el medio ambiente. A todos estos beneficios se suma además que en la producción de camarón, el uso de luces LED para producir alimento en las primeras etapas de producción larvaria del camarón Penaeus vannamei, condiciona a producir postlarvas más grandes y fuertes, con un mayor rendimiento. Se espera entonces que los laboratorios que producen postlarvas de camarón se beneficien del uso de luces LED•

Para mayor información escriba a: cesar.lodeiros@utm.edu.ec

Referencias bibliográficas

Ahmad AW, Hassan S, Banat F (2022) An overview of microalgae biomass as a sustainable aquaculture feed ingredient: food security and circular economy. Bioengineered 13:9521–9547

Amaro HM, Pagels F, Azevedo IC, Azevedo J, Sousa Pinto I, Malcata FX, Guedes AC (2020) Light-emitting diodes a plus on microalgae biomass and high-value metabolite production. J Appl Phycol 32:3605–3618

Bialevich V, Zachleder V, Bisová K (2022) The effect of variable light source and light intensity on the growth of three algal species. Cells 11:1293

Han P, Lu Q, Fan L, Zhou W (2019) A review on the use of microalgae for sustainable aquaculture. Appl Sci 9:2377

Hsia S, Yang SK (2015) Enhancing algal growth by stimulation with LED lighting and ultrasound. J Nanomat 2015:531352

Iba W, Rice M, Wikfors G (2014) Microalgae in eastern Pacific white shrimp, Litopenaeus vannamei (Boone, 1931) hatcheries: a review on roles and culture environments. Asian Fish Sci 27:212–233

Lang I, Hodac L, Friedl T, Feussner I (2011) Fatty acid profiles and their distribution patterns in microalgae: a comprehensive analysis of more than 2000 strains from the SAG culture collection. BMC Plant Biol 11:124 Lv B, Liu Z, Chen Y, Lan S, Mao J, Gu Z, Wang A, Yu F, Zheng X, Vasquez HE (2022) Effect of different colored LED lighting on the growth and pigment content of Isochrysis zhanjiangensis under laboratory conditions. J Mar Sci Eng 10:1752

Metsoviti MN, Papapolymerou G, Karapanagiotidis IT, Katsoulas N (2020) Effect of light intensity and quality on growth rate and composition of Chlorella vulgaris. Plants 9:31

Peralta-Ruiz Y, González-Delgado AD, Kafarov V (2013) Evaluation of alternatives for microalgae oil extraction based on exergy analy- sis. Appl Energy 101:226–236

Sánchez-Saavedra MP, Maeda-Martínez AN, Acosta-Galindo S (2016) Effect of different light spectra on the growth and biochemical composition of Tisochrysis lutea. J Appl Phycol 28:839–847

Sun XM, Ren LJ, Zhao QY, Ji XJ, Huang H (2018) Microalgae for the production of lipid and carotenoids: a review with focus on stress regulation and adaptation. Biotechnol Biofuels 11:272

Trân NV, Hô HN, Lai LTM, Nguyên TH (2020) Rearing white leg shrimp larvae (Litopenaeus vannamei Boone, 1931) with concentrated diatom (Thalassiosira sp.). J Agric Dev 19:59–64

- FEBRERO 2024 47

El impacto de la lluvia en el cultivo del camarón

Autores:

Diego Andrade

Joseph Villarreal

Manuel Espinoza- Ortega1

Carla Torres

Carlos Mora-Pinargote1

César Molina-Poveda1*

1Skretting Aquaculture Innovation

*cesar.molina@skretting.com

El cultivo del camarón blanco Penaeus vannamei está expuesto a una gran cantidad de variables ambientales que repercuten en su desarrollo, y una de ellas es la precipitación.

Esta es una variable que está fuera del control de los productores, y al tener un efecto en el ecosistema de las piscinas debe ser analizada y monitorizada constantemente.

La precipitación tiene un efecto en el cambio de la salinidad en la piscina; este cambio es una fuente de estrés para la población de camarones causando problemas de crecimiento y mortalidad (Sammut et al., 1995; Saraswathy et al., 2020). Otro efecto habitual en períodos con mayor lluvia es la liberación de iones metálicos por la disminución del pH; mayormente se liberan iones de aluminio (Russell et al., 2019). Un incremento de estos en el medio es potencialmente tóxico, produce afectación a la superficie de las branquias y provoca disfunción respiratoria en crustáceos (Exley et al., 1991; Sharma, 2003).

Además, existen estudios que relacionan el incremento de la temperatura y precipitación con el incremento de branquias marrones; esto puede atribuirse al movimiento de materia orgánica en el ecosistema (DeLancey et al., 2003; Geer et al., 2003). A diferencia de los estudios antes citados, existen otros trabajos que han hallado efectos positivos del incremento de la lluvia; por ejemplo, Loneragan (1999) plantea que la lluvia produce un mayor intercambio de nutrientes y por lo tanto incrementa la producción en la piscina.

Todos los eventos antes descritos tienen un efecto fisiológico en los camarones, siendo la osmorregulación uno de ellos. Estos cambios ambientales bruscos afectan el bienestar del animal, lo cual conlleva desafíos y costes para el productor.

Un estudio reportado por Shameem (2014) reveló cómo las percepciones de un gran número de acuicultores divergen de la evidencia científica en cuanto al efecto del clima sobre sus cultivos. Por lo tanto, el presente artículo tiene como objetivo analizar cuáles parámetros son afectados cuando hay una mayor precipitación, para así optimizar

- FEBRERO 2024
48

mecanismos que permitan prevenir eventos adversos en los ecosistemas y reducir los costes para el productor.

La alteración de la calidad del agua por la lluvia

Las temporadas de lluvias tienden a provocar varios cambios que pueden causar estrés en los camarones. Estos cambios están asociados a variaciones de pH, descenso en el nivel de oxígeno disuelto, presencia de vientos, descensos de temperaturas, variación de la salinidad, e inclusive ruido excesivo. Estos cambios incrementan el estrés y afectan el estado de salud del animal y por ende su sistema inmune, llegando en muchos de los casos a ser la causa de mortalidad, especialmente en los camarones con un deficiente estado de salud.

pH

El agua de lluvia tiene un pH de 6,5 a 6,7 y los estanques camaroneros suelen tener valores entre 7,5 y 8,5, lo que lleva a una caída de 0,3 a 1,5 durante las lluvias. Esta variación en el pH a menudo resulta en una extinción abrupta de la población de fitoplancton en los estanques. Estas mortalidades masivas de fitoplancton proporcionan una gran cantidad de azúcares simples al ecosistema del estanque, provocando un aumento exponencial de bacterias heterótrofas que comienzan a asimilar los azúcares.

Durante el día, la fotosíntesis de las plantas puede absorber dióxido de carbono que los organismos acuáticos liberan durante la noche (Boyd, 1990). Existen varias razones que inducen la variación del pH, entre las cuales están los sedimentos en las piscinas con carga excesiva de animales que pueden inducir la acidificación del agua (Lemonnier et al., 2004). Las reducciones del pH pueden verse agravadas a medida que los suelos ácidos junto al estanque se erosionan durante períodos de fuertes lluvias. La acumulación de altas concentraciones de sustancias orgánicas solubles puede promover la formación de marea roja en los estanques, que también puede provocar un pH excesivamente alto de hasta 9 (Wang y Wang, 1995).

El pH es un factor importante que afecta la fisiología de los camarones en todas las etapas de su vida. Se ha estudiado que la

variación del pH del agua, forzando este parámetro para que se mantenga dentro del valor superior e inferior del rango óptimo, puede tener varios efectos, como por ejemplo comprometer la supervivencia, disminuir la resistencia contra Vibrio alginolyticus, causar daño al ADN y activar la expresión antioxidante en P. vannamei (Wang et al., 2009). A largo plazo, la variación del pH del agua por sobre o bajo el rango óptimo puede retardar el crecimiento, la muda y la alimentación en Macrobrachium rosenbergii (Chen y Chen, 2003), perjudicar la supervivencia, reducir la inmunidad, debilitar la capacidad antioxidante y disminuir la resistencia contra V. alginolyticus en P. vannamei y M. rosenbergii (Cheng et al., 2003; Magallón Barajas et al., 2006; Chen et al., 2015).

La solución recomendada para casos de acidificación es aplicar carbonatos para mantener el pH durante las lluvias. En general como una acción preventiva, se debe monitorear el pH frecuentemente durante dicha época (Panakorn, 2011).

Oxígeno disuelto

La ausencia de fotosíntesis es un factor determinante en los niveles de oxígeno disuelto en una piscina camaronera, lo que puede reducir su concentración a niveles límite cercanos a 3 ppm, en intervalos de tiempo tan cortos como media hora (Buike, 2018).

Cuando llueve, la nubosidad no permite el paso completo de la radiación solar, por lo que el fitoplacton no es capaz de producir oxígeno y más bien empieza a consumirlo. Las diferencias de temperatura y salinidad pueden causar estratificación, lo que no permite un intercambio de oxígeno adecuado. Las condiciones de anoxia o deficiencia de oxígeno en el fondo del estanque pueden ocurrir debido a la actividad de las bacterias y a la disminución de la producción de oxígeno por parte de las algas.

Una de las soluciones más recomendables es mantener los aireadores funcionando durante las lluvias. También es recomendable asegurarse del consumo de alimento por parte del camarón. Se aconseja usar bandejas de monitoreo con aproximadamente 200 g de alimento para verificar el consumo. Si el

camarón consume todo el alimento se puede reanudar la alimentación. Caso contrario, se debería esperar, hacer una nueva verificación y alimentar solo en el caso de comprobar que en efecto hay consumo (Panakorn, 2011).

Temperatura

El camarón es un organismo poiquilotermo, es decir, que adapta su temperatura a la temperatura del medio. Usualmente las bajas temperaturas tienen un efecto mayor en los camarones más débiles, haciendo que estos permanezcan en el fondo de la piscina debido a que la temperatura ahí es mayor (Panakorn, 2011). Cuando el agua de la piscina se enfría, en términos generales existe una reducción del 10% en el consumo de alimento (peso seco) por cada grado centígrado de temperatura (Buike, 2018). Si el camaronero no ajusta la tasa de alimentación, podría haber un detrimento de la calidad del agua posterior a la lluvia. Otro de los puntos importantes es la reducción de la efectividad de los probióticos para suelos, por lo que después de una lluvia podríamos esperar una acumulación de materia orgánica. Es recomendable en estos casos una aplicación de hidróxido de calcio u óxido de calcio, a fin de mantener a los camarones alejados del fondo.

Salinidad

Durante la temporada de lluvias, la caída de la salinidad afecta destructivamente al normal crecimiento de los camarones. La disminución de la salinidad puede atribuirse a una alta precipitación y la menor salinidad del agua de lluvia. Este cambio estresa al camarón, por lo que podría ser más fácilmente atacado por bacterias patógenas. El nivel de salinidad del agua afecta las condiciones hipertónicas en el sistema osmorregulador del camarón. Los camarones experimentan tasas más altas de carga osmótica, consumo de oxígeno y estrés como resultado de cambios en la salinidad del agua (Ariadi et al., 2023).

Un gran volumen de agua de lluvia que cae al estanque provocará una dilución de la salinidad y dureza debido a la caída de la concentración de iones en el agua. Si esto sucede durante la fase de muda de los camarones, el proceso se verá afectado, especialmente durante la postmuda, cuando los camarones necesitan absorber minerales

- FEBRERO 2024 49 PRODUCCIÓN

PRODUCCIÓN

de calcio y magnesio para endurecer su exoesqueleto. Adicionalmente, las lluvias pueden alterar los patrones de alimentación del camarón y reducir la eficiencia alimenticia al diluir los estímulos de atractabilidad e influir en la dinámica de los nutrientes en los ecosistemas acuáticos.

Estudios en Ecuador

Impacto de los sólidos en suspensión

Otros cambios físicos directamente relacionados con la lluvia incluyen el aumento de sólidos en suspensión debido al transporte de material del suelo desde los embalses de los estanques.

Las branquias del camarón desempeñan un papel vital en la excreción de desechos, regulación de la presión osmótica, respiración y por su gran superficie y naturaleza semipermeable, maximizan su eficiencia para el intercambio de gases. Además de proporcionar integridad estructural y aumentar la superficie respiratoria, la producción de moco constituye la primera línea de defensa. La inmunidad de las mucosas cumple funciones de barrera inmune y vigilancia en las superficies de las mucosas, distinguiendo sustancias beneficiosas de dañinas y aceptando o rechazando bacterias comensales y patógenas. La presencia de sólidos en suspensión también puede estimular la producción de moco en las branquias como mecanismo de defensa. Si bien la producción de moco tiene como objetivo atrapar y eliminar partículas extrañas, la acumulación excesiva de moco puede impedir aún más el intercambio de gases al obstruir las laminillas branquiales.

Las partículas sólidas suspendidas en el agua pueden bloquear físicamente las delicadas estructuras de las branquias del camarón, reduciendo la superficie disponible para el intercambio de gases. Esta obstrucción disminuye la eficiencia de la absorción de oxígeno por las branquias, lo que resulta en hipoxia o deficiencia de oxígeno en el camarón. Esto compromete sus procesos metabólicos y puede conducir a tasas de crecimiento reducidas y una mayor mortalidad. Al mismo tiempo, la eliminación deficiente de dióxido de carbono exacerba la hipercapnia o los niveles elevados de dióxido de carbono en la hemolinfa del camarón. La

hipercapnia puede provocar desequilibrios ácido-base y acidosis respiratoria, comprometiendo aún más las funciones fisiológicas.

Los camarones expuestos a altos niveles de sólidos en suspensión experimentan estrés respiratorio, caracterizado por mayores tasas de ventilación, comportamiento errático y reducción de la actividad alimentaria. La exposición prolongada a estas condiciones debilita el sistema inmunológico de los camarones, haciéndolos más susceptibles a enfermedades.

La exposición crónica a una calidad subóptima del agua, incluidos niveles elevados de sólidos suspendidos, puede provocar un retraso en el crecimiento y un rendimiento general deficiente en las operaciones de cultivo de camarón. La energía desviada para hacer frente a los problemas respiratorios perjudica el crecimiento y la supervivencia, lo que afecta la rentabilidad de la operación. Para evaluar el efecto de la lluvia sobre el estado de las branquias se realizó un análisis del porcentaje de branquias afectadas por acumulación de materia orgánica con respecto al nivel de precipitación mensual entre enero y septiembre del 2021, período en el cual se analizaron 4823 muestras de camarones para determinar el estado de las branquias en las camaroneras ubicadas en la provincia de Guayas.

Como se observa en la Figura 1, la precipitación mensual reportada por el Inocar en Guayas se ve incrementada de manera constante en el 2021 desde enero

y se reduce paulatinamente hasta julio. El pico de precipitación se encuentra entre los meses de enero, febrero y marzo.

La Tabla 1 muestra la precipitación mensual y los conteos del estado de las branquias expresados en porcentaje. Mientras que la Tabla 2 muestra las correlaciones por rango de Spearman, entre cada par de variables (precipitación vs. estado de las branquias). El rango de estos coeficientes de correlación va de -1 a +1 y mide la fuerza de la asociación entre las variables. En contraste con las correlaciones de Pearson que son para variables cuantitativas, los coeficientes de Spearman se calculan para variables cualitativas y dicho cálculo se realiza tomando como base el orden de los datos.Solamente fueron encontradas correlaciones significativamente diferentes a cero cuando se analizó la precipitación vs. branquias limpias, en donde la correlación fue negativa y significativa (p<0,05), y cuando se compararon los milímetros de precipitación vs. branquias marrones en donde la correlación fue positiva y significativa (p<0,05).

En la Figura 2, la mayor cantidad de branquias marrones se encuentran en los primeros meses del año, y la cantidad de branquias oscuras permanecen constantes a lo largo del año. Los registros para branquias negras también permanecen con números constantes a lo largo del año. Sin embargo, los registros para branquias limpias aumentan de manera sostenida a partir de abril hasta agosto.

50 - FEBRERO 2024
Figura 1. Precipitación mensual del año 2021

En los análisis de correlación de Spearman entre el estado de las branquias limpias y la precipitación se encontró una relación negativa (p<0,05). Mientras que una correlación positiva significativa (p<0,05) fue observada cuando se contrastó branquias marrones vs. precipitación. Los datos sugieren que a medida que aumenta la precipitación la cantidad de registros para branquias marrones se ve incrementado (Figura 2).

El coeficiente de correlación demostró que las branquias limpias tienen una correlación (R2=0,739) con una pendiente positiva; es decir que a medida que transcurre el año y las lluvias disminuyen, el registro de branquias limpias es mayor. Sucede lo contrario con las branquias marrones. En este caso, los registros indican una disminución a medida que se inicia el verano. Estos resultados sugieren que las branquias limpias y marrones están afectadas por la precipitación.

Es importante recalcar que una correlación no implica causalidad. Si bien una mayor precipitación parece tener una correlación con el deterioro del estado de las branquias, hay muchas más variables que inciden para este deterioro. La literatura establece que la precipitación afecta a diversas variables en el ecosistema que van a repercutir en el estado de las branquias (Fowler et al., 2016; Gooding et al., 2020; Russell et al., 2019) De igual modo establecen que los ambientes estuarinos tienen comportamientos poco estudiados frente al aumento de la precipitación (Jasmani et al., 2010).

Con referencia a las branquias marrones, Pazir et al. (2022) han reportado que varios agentes pueden influenciar en la incidencia. Uno de ellos es el hongo A. sydowii que podría ser la causa principal en P. vannamei. Además de ello, otros microorganismos como las bacterianas V. owensii y V. parahaemolyticus podrían ser agentes secundarios asociados. No hay un tratamiento con un costo-beneficio aceptable hasta la fecha, por lo que la única alternativa es mejorar las prácticas de manejo (condiciones de levantamiento adecuadas, implementar protocolos de bioseguridad y manejar adecuadamente la densidad de población). Las branquias marrones también se asocian con una mayor

Tabla 1. Precipitación en mm y estado de las branquias expresado en porcentaje para los meses de Enero a Septiembre del 2021.

Tabla 2. Valor p y correlación de Spearman entre la precipitación y el estado de las branquias

Valores p por debajo de 0,05 indican correlaciones significativamente diferentes de cero, con un nivel de confianza del 95,0%.

acumulación de materia orgánica en el fondo del estanque, mala calidad del agua y una pobre gestión de la alimentación.

Aumentar la intensidad de muestreo en branquias en los meses con alta precipitación, que para este caso fue de enero hasta abril, constituye una medida que ayudaría a reconocer de manera oportuna eventos en las branquias y poder prevenirlos.

Conclusión

Las precipitaciones alteran los parámetros de calidad del agua, como oxígeno disuelto, pH, temperatura, y aumentan los sólidos en suspensión y las cargas microbianas, causando graves problemas en el entorno del estanque.

Un elevado nivel de sólidos en suspensión representa una amenaza significativa para la salud y la productividad del camarón, al afectar la función respiratoria e inducir estrés. Comprender los mecanismos de este impacto e implementar estrategias de gestión adecuadas son cruciales para mantener una calidad óptima del agua. Al priorizar la salud de las branquias y minimizar la exposición a condiciones ambientales adversas, los productores pueden promover el crecimiento sostenible y la rentabilidad de sus operaciones de cultivo de camarón•

- FEBRERO 2024 51 PRODUCCIÓN
Enero 175 18,71 67,61 13,08 0,60 Febrero 175 30,78 56,98 11,85 0,38 Marzo 200 24,76 58,87 14,04 2,34 Abril 44 30,48 65,06 4,46 0,00 Mayo 10 30,52 59,12 9,60 0,77 Junio 5 34,53 58,13 6,62 0,72 Julio 2 43,23 48,68 7,62 0,47 Agosto 0 46,70 47,59 5,46 0,25 Septiembre 0 37,43 51,07 10,70 0,80 Mes Precipitación (mm) Limpios (%) Marrón (%) Oscuros (%) Negros (%)
Limpios Marrón Oscuros Negros valor p 0,0134 0,0485 0,0915 0,7037 Correlación -0,8700 0,6975 0,5967 0,1345
Figura 2. Estado de las branquias por mes para el año 2021. Branquia limpia (azul), Branquia marrón (naranja).
https://drive.google.com/drive/ folders/12J2TQl2laMuBVE5r0nE6yHZS_ SHlXbpI?usp=sharing
REFERENCIAS BIBLIOGRÁFICAS:

Primera parte

Materiales plásticos, impactos en el ambiente y en los organismos marinos

Autores:

Leonardo S. Maridueña*

Simone Maridueña

lmariduena@cna-ecuador.com

La producción de plásticos en el mundo se ha incrementado de forma acelerada desde hace décadas, pues las bondades que ofrece este producto son tan diversas y económicas que han hecho que se lo incorpore en una amplia variedad de productos que se utilizan a diario. Lamentablemente, con el tiempo, la mala disposición de los desechos que contienen plásticos trae consigo efectos negativos para el ambiente. Con el fin de mantener una buena gestión de los desechos, es necesario entender qué son los plásticos, cuál es su clasificación, sus propiedades, composición e interacción de estos con el ambiente marino, de manera que se puedan generar medidas que contribuyan al buen uso de este elemento y la minimización y control de sus residuos.

¿Qué son los plásticos?

Los plásticos son productos derivados del petróleo denominados polímeros sintéticos; en términos científicos, son cadenas de pequeñas moléculas unidas en una secuencia repetitiva, las cuales han pasado por procesos industriales para su formación. Actualmente se está promoviendo la producción de plásticos provenientes de fuentes vegetales, debido a que su composición permite que sean fácilmente degradables, pero su alcance aún no es masivo (Tellez Maldonado, 2012).

Existe una amplia variedad de plásticos, los cuales en su gran mayoría tienen las siguientes propiedades: son maleables, impermeables, resistentes a la corrosión, elásticos, durables en el tiempo, su color varía dependiendo de los componentes (originalmente son transparentes), de peso ligero y su costo es bajo en comparación con otros materiales.

De igual forma, es importante resaltar las propiedades con las que muchas veces confunden a los plásticos pero que en realidad muy pocos poseen; esto es, ser INHERENTES, RECICLABLES Y BIODEGRADABLES (Buteler, 2019):

▪Debido a su naturaleza (polímeros sintéticos) y a los componentes con que son elaborados, al momento en que son sometidos a un cambio en la temperatura, estos tienden a liberar las moléculas que lo componen; por este motivo, los plásticos no

- FEBRERO 2024

son inherentes, y pueden cambiar su forma y desprender sus componentes en el agua, aire o suelo.

▪No todos los plásticos se pueden reciclar, es decir, no se puede generar un nuevo producto a partir de cualquier plástico. Entre las razones por las cuales no todos los plásticos son reciclables se encuentran dos: cuando el plástico está sucio o mezclado con alguna sustancia peligrosa, y cuando ha estado expuesto a radiación solar o altas temperaturas por un largo período de tiempo y ha perdido su calidad. Además, dependiendo del tipo de plástico, este tiene un número de veces en que podrá ser reciclado antes de perder sus propiedades. En la figura 1, se observan los triángulos indicadores que demuestran el tipo de resina o número de reciclaje.

Figura 1. Número indicador de reciclaje, según el tipo de plástico

▪No son biodegradables, ya que no existe ningún organismo que al digerirlo sea capaz de transformar el plástico en materia orgánica. Con el tiempo, el plástico se fragmenta en partículas cada vez más pequeñas que tardarán una media de 500 años en desaparecer.

La ONU, por medio de su Programa para el Medio Ambiente, ha determinado que los plásticos más frecuentes en los océanos son los de un solo uso, cuya clasificación se encuentra en la Tabla 1. Estos plásticos están fabricados para ser económicos, prácticos, fáciles de adquirir y desechar. En Ecuador, se producen alrededor de 260 mil toneladas anuales de plásticos de un solo uso (ONU - Medio Ambiente, 2018).

La composición de estos 6 tipos de plásticos no siempre es la misma, pues al plástico muchas veces se le agregan aditivos dependiendo de las necesidades del producto final, los cuales, expuestos a altas temperaturas, tienden a ser liberados en el ambiente, lo cual puede llegar a ser muy perjudicial tal como se describe en la Tabla 2.

El tiempo de vida o duración del plástico en el ambiente depende de las características de este: tipo, tamaño y aditivos agregados. Estos se fragmentan en pedazos cada vez más pequeños, y tardan entre 100 y 1000 años en desaparecer por completo. La correcta disposición final de estos como desecho debe ser a través del relleno sanitario, para que su descomposición o fragmentación no afecte al ambiente (ONU - Medio Ambiente, 2018).

Tabla 1. Clasificación de los plásticos de un solo uso

Para los casos en que los plásticos son desechados en el medio y expuestos a factores como: radiación solar, erosión del viento, corrientes de agua y temperatura, estos alteran su forma y calidad, y empieza su proceso de fragmentación en partículas más pequeñas. Estas partículas plásticas se clasifican de acuerdo con su tamaño y forma, tal como se indica en la Tabla 3 (Sarria Villa, 2016).

El origen del microplástico como tal proviene en gran parte de la fragmentación de los plásticos de un solo uso, pero además se le atribuye a otras dos fuentes: la primera, a los residuos generados durante el lavado de prendas de vestir que contienen pequeñas fibras plásticas y que por su tamaño no son captadas en las plantas de tratamiento de aguas residuales, y la segunda corresponde a los residuos de la industria cosmética, específicamente a los gránulos que se

Tabla 2. Componentes químicos de los plásticos y sus efectos

53 - FEBRERO 2024 AMBIENTE

agregan a los jabones líquidos y que no llegan a descomponerse.

¿Qué impactos generan los desechos plásticos en el ambiente y en los organismos marinos?

Impactos que generan los plásticos en el ambiente marino:

A pesar de que los plásticos son muy útiles a lo largo de las labores diarias, su alta demanda no está compensada con la correcta gestión de estos, y al ser dispuestos directamente en vías, calles, ríos, lagos y en el océano, generan la acumulación de desechos en los cuerpos de agua, cambios en la calidad del agua, aire y suelo, y una mayor producción de gases de efecto invernadero. A continuación, se detallan los efectos más evidentes (Sarria Villa, 2016):

▪Acumulación de desechos: cuando existe una mala disposición de los desechos, las lluvias y las corrientes de ríos harán que estos lleguen al océano y se agrupen formando las “Islas de Plástico”. Por el momento se ha determinado la existencia de 7 Islas de Plástico: la del mar de los Sargazos, mar de Barents, océano Índico, Atlántico del Sur, Atlántico Norte, Pacífico Sur y Pacífico Norte (Copiano Moreno, 2022).

▪Cambios en la calidad del agua y suelo: al momento en que los plásticos son sometidos a altas temperaturas, estos pueden desprender sus componentes altamente tóxicos y exponerlos en el ambiente. Es por esto que no se debe calentar comida dentro de recipientes plásticos, ya que se ha demostrado que a temperaturas superiores a los 20 °C estos desprenden sus componentes químicos.

▪Gases de efecto invernadero: de igual forma, al exponerse a altas temperaturas, los plásticos desprenden gases tóxicos al ambiente, muchos de ellos son generadores del efecto invernadero.

▪Portador de sustancias contaminantes: de acuerdo con el tamaño, forma y la composición del plástico, los contaminantes que están en el ambiente acuático también se pueden adherir a este, convirtiéndolo en un portador de contaminantes.

Impactos del plástico en los

organismos marinos

En cuanto a los efectos en los organismos marinos, los plásticos en general disminuyen la riqueza o número de individuos de una especie dentro de un hábitat y esto se debe a 4 factores (FAO, 2017):

▪Por ingestión: una vez que los plásticos son ingeridos por un organismo, estos no podrán ser descompuestos o procesados por su sistema digestivo; como consecuencia, suelen quedarse en el estómago causando una sensación de saciedad en el organismo, desnutrición y la muerte.

▪Por estrangulamiento: por la forma y tamaño de los plásticos, los organismos pueden quedar enredados o atrapados dentro de estos, lo que puede ocasionar su muerte por estrangulamiento o cambios en la morfología del organismo.

▪Por atrapamiento: de igual manera, al quedar atrapados dentro de los plásticos, los organismos pueden fallecer por estrés y falta de alimento.

▪Por toxicidad: a pesar de que los plásticos no están clasificados como cancerígenos, sus derivados o componentes si están considerados como tales, los cuales se exponen al ambiente y a los organismos una vez que los plásticos se descomponen y generan compuestos que están clasificados según su carcinogenicidad, como:

►Cloruro de vinilo: pertenece al grupo 1, considerado como cancerígeno para los seres humanos

►Estireno: grupo 2A, probablemente cancerígeno para los seres humanos

►Derivados de los ftalatos: grupo 2B, probablemente cancerígeno para los seres

humanos

►PVC – PS: grupo 3, no puede ser clasificado por falta de pruebas respecto a su carcinogenicidad para el ser humano.

Microplásticos en la acuicultura

De acuerdo con la FAO, se ha demostrado mediante estudios en poblaciones naturales y cultivadas de peces, moluscos y crustáceos, la presencia y afectación por parte de los microplásticos.

El ingreso de los microplásticos a la cadena alimenticia marina se puede dar por dos vías: la ingesta directa e indirecta. La ingesta directa se produce cuando el organismo confunde al microplástico con habitual alimento y lo ingiere, y la ingesta indirecta, es cuando el organismo ingiere el microplástico a través de otro organismo ya contaminado. Un ejemplo de la afectación a la productividad primaria por ingesta directa e indirecta ocurre con el plancton. Una vez que estas partículas son lo suficientemente pequeñas para ser ingeridas por el plancton, afectarán a la fecundidad, el desarrollo y la supervivencia. En el caso que el organismo sobreviva, y sea ingerido por otro organismo, el microplástico pasará directamente a formar parte de la cadena alimenticia.

¿Qué está haciendo la industria camaronera para reducir la contaminación por plásticos?

Tomando en consideración el Objetivo 14 - Vida Submarina de los Objetivos de Desarrollo Sostenible establecidos por las Naciones Unidas, que tiene por finalidad “Conservar y utilizar sosteniblemente los océanos, los mares y los recursos marinos” y la normativa ambiental ecuatoriana vigente,

54 - FEBRERO 2024 AMBIENTE
Tabla 3. Clasificación de los plásticos de acuerdo con las partículas

la industria camaronera ha implementado las siguientes medidas para la reducción de la contaminación por plásticos:

1) Brindar una correcta gestión a los desechos, esto es:

a.Separar de la fuente todos los desechos que se producen dentro de la camaronera.

b.Mantener en buen estado la señalización de los puntos de almacenamiento y actualizados los protocolos de gestión para cada uno de ellos.

c.Realizar el correcto almacenamiento de los desechos (contenedores y sitios de acopio).

d.Mantener al personal capacitado en cuanto al manejo de todo tipo de desechos.

e.Entregar los desechos generados en la camaronera al gestor autorizado.

2) Reducir el consumo de productos de un solo uso dentro de la camaronera:

a.La aplicación de vajillas de vidrio.

b.Compra de materiales como detergentes, jabones, demás insumos en envases grandes.

c.Reutilización de los sacos provenientes del alimento balanceado.

d.Comprar alimentos al granel y menos productos empaquetados.

3)Exigir a los municipios un sistema de recolección de residuos que asegure el traslado y la disposición final exitosa.

4)Asumir el rol voluntario de la limpieza de plásticos en las playas y áreas de influencia a las camaroneras.

5)Fomentar la divulgación de la información

científica en cuanto a la minimización de los residuos plásticos.

Conclusiones

Las fuentes consultadas han demostrado que los plásticos son productos altamente resistentes y durables en el tiempo, pero el incremento de la temperatura puede hacer que se desprendan parte de sus compuestos y que estos no desaparezcan del todo, sino que se fragmentan en partículas cada vez más pequeñas. Los daños al ambiente marino se evidencian en la calidad del agua y en los efectos negativos que estos han producido en los organismos marinos, independiente de su posición en la cadena trófica.

Para el futuro de la industria camaronera, es muy importante detener la contaminación por plásticos, pues una vez que este se convierta en microplástico y se incorpore a la cadena alimenticia del camarón va a generar efectos en la salud del camarón y por ende de quien lo consuma.

En la próxima edición de esta revista, se presentará un estudio realizado sobre los microplásticos, y la afectación en la salud del camarón Penaeus vannamei•

Bibliografía consultada

Buteler, M. (2019). El problema del plástico ¿Qué es la contaminación por plásticos y por qué nos afecta a todos? Desde la Patagonia difundiendo saberes, 16(28), 56-60.

Copiano Moreno, Y. C. (2022). Las Islas de Plástico, su vinculación ambiental en Ecuador. Revista Metropolitana de Ciencias Aplicadas, 5 (2) , 96-103. FAO. (2017). Los microplásticos en los sectores de Pesca y Acuicultura. Documento Técnico de Pesca y Acuicultura de la FAO. Obtenido de https://www.fao.org/3/ca3540es/ ca3540es.pdf

ONU Medio Ambiente. (2018). Plásticos de un solo uso: Una hoja de ruta para la sostenibilidad. (Rev. ed., págs vi;6). Perdomo M. , G. A. (2002). Plásticos y Medio Ambiente. Revista Iberoamericana Polímeros Perdomo, 3(2), 1-13. Sarria Villa , R. A. (1 de agosto de 2016). La gran problemática ambiental de los residuos plásticos: Microplástico. Journal de Ciencia e Ingeniería, 8(1), 21-27.

Tellez Maldonado , A. (2012). La complejidad de la problemática ambiental de los residuos plásticos: una aproximación al análisis narrativo de la política pública en Bogotá. Para mayor información escriba a: lmariduena@cna-ecuador.com

55 - FEBRERO 2024 AMBIENTE

62

67

70

ESTADÍSTICAS ÍNDICE

Edición 157 - Febrero 2024

Exportaciones de camarón y tilapia

Reporte de mercado de China

Reporte de mercado de EE. UU.

Fuente: Cámara Nacional de Acuacultura

Elaborado por: Cámara Nacional de Acuacultura

Fuente: Estadistic S.A.

Elaborado por: Cámara Nacional de Acuacultura

- FEBRERO 2024 58
ESTADÍSTICAS COMERCIO EXTERIOR
CAMARÓN: COMPARATIVO MENSUAL (Millones de Libras)
- 2023 CAMARÓN: EVOLUCIÓN DE EXPORTACIONES
-2023
2019
2010

COMERCIO EXTERIOR

CAMARÓN: PARTICIPACIÓN POR DESTINO (Libras)

Fuente: Estadistic S.A.

Elaborado por: Cámara Nacional de Acuacultura

CAMARÓN: PRINCIPALES PAÍSES DESTINOS DE EXPORTACIÓN (Millones de Libras)

Fuente: Estadistic S.A.

Elaborado por: Cámara Nacional de Acuacultura

- FEBRERO 2024 59 ESTADÍSTICAS

COMERCIO EXTERIOR

CAMARÓN: EXPORTACIONES POR PARTIDA ARANCELARIA Enero - Noviembre 2023

Fuente: Banco Central del Ecuador

Elaborado por: Cámara Nacional de Acuacultura

CAMARÓN: EVOLUCIÓN DEL PRECIO PROMEDIO MENSUAL DE EXPORTACIÓN (Libras)

Fuente: Estadistic S.A.

Elaborado por: Cámara Nacional de Acuacultura

- FEBRERO 2024 60 ESTADÍSTICAS

COMERCIO EXTERIOR

TILAPIA: EVOLUCIÓN DE EXPORTACIONES MENSUALES A EE. UU.

Fuente: National Oceanic and Atmospheric Administration - NOAA

Elaborado por: Cámara Nacional de Acuacultura

TILAPIA: EVOLUCIÓN DEL PRECIO PROMEDIO MENSUAL DE EXPORTACIÓN A EE. UU. (Libras)

Fuente: National Oceanic and Atmospheric Administration - NOAA

Elaborado por: Cámara Nacional de Acuacultura

- FEBRERO 2024 61 ESTADÍSTICAS

Importación de camarón de China

: Sander

Kontali Shrimp sander@kontali.no www.shrimp.kontali.no

MERCADO

El volumen de importación de camarón disminuyó un 4% en diciembre, terminando en 79,220 toneladas. En una comparación interanual disminuyó un 28%, lo que destaca la débil demanda de camarón durante el Año Nuevo chino a principios de febrero, que normalmente causaría un aumento en el volumen de importación durante diciembre.

El precio medio de importación cayó $0.20 hasta $5.39/kg. Esto fue $0.67 menos que el mismo mes en 2022. El volumen total de importación durante 2023 aumentó un 12% respecto al año anterior, terminando en 1,072,700 toneladas. Como destacamos en reportes previos de China, la mayor parte de este aumento se produjo durante el primer semestre, logrando un 47% más que el primer semestre de 2022, con 544,810 toneladas.

Al volver a llenarse los inventarios de camarón durante esta época del año, la diferencia en las importaciones con respecto al año anterior se redujeron. Durante el segundo semestre del año anterior se suministraron al mercado chino 527,890 toneladas, lo que representó una caída del 10% en comparación con el mismo período en 2022. Con volúmenes generalmente más altos durante el año pero precios moderados en todo momento, el valor total de las importaciones de camarón por parte de China en 2023 fue igual al del año pasado, en aproximadamente $5.6 billones de dólares.

Las importaciones de productos de camarón congelados bajo el código HS 030617 cayeron un 4% en diciembre, finalizando en 70,620 toneladas. Esta fue una caída del 27% respecto al año anterior. Bajo este código HS, el precio promedio de importación de productos de camarón congelados disminuyó $0.18, terminando en $0.81 por debajo del año pasado a $5.16/kg. El mayor proveedor de este producto siguió siendo Ecuador, desde donde las importaciones aumentaron ligeramente un 2% hasta 51,010 toneladas en diciembre.

El suministro total de Ecuador a China en 2023 aumentó un 24% respecto al año anterior, finalizando en 697,280 toneladas. India fue el segundo mayor proveedor de productos de camarón congelados a China, enviando 9,480 toneladas; esto fue una disminución del 19% intermensual y del 30% interanual.

Las importaciones de camarón procedentes de Tailandia en la partida HS 030617 aumentaron un 14%, alcanzando 2,490 toneladas. El suministro total de productos de camarón congelados bajo este código HS por parte de Tailandia finalizó en 26,190 toneladas, un aumento del 10% desde 2022.

Según varias fuentes de la industria, el inventario en China ha disminuido durante el último mes y se espera que en las próximas semanas se libere aún más la presión. A medida que nos acercamos a febrero, también nos acercamos al Año Nuevo chino. Esta época del año tiende a aumentar la demanda de camarón y se espera que la demanda de los consumidores aumente. Sin embargo, la situación económica actual de China plantea desafíos.

La incertidumbre que rodea el desarrollo de la economía del gigante asiático ha hecho que los consumidores sean más cautelosos en sus

MERCADO 63

Importaciones chinas en 2021, 2022 y 2023 (volumen y precio medio/kg)

gastos. Varios mercados minoristas en línea han estado tratando de adaptarse a la situación, ofreciendo descuentos en varios tipos de mariscos incluyendo el camarón. A pesar de estos esfuerzos, no esperamos ver un aumento en las ventas similar al que se veía antes de la pandemia.

En cuanto a la producción local china, los productores de Guangdong están luchando actualmente contra brotes de enfermedades y, por lo tanto, muchos han cosechado de manera anticipada. Según se reporta, esto ha inyectado una mayor cantidad de camarón al mercado, pero de menor tamaño y mala calidad. Como resultado, los precios en finca han ido disminuyendo durante las primeras semanas de 2023 en Guangdong. Algunas fábricas ya han comenzado a prepararse para el Año Nuevo chino y han cerrado sus operaciones•

Este informe fue escrito originalmente en inglés por Seafood TIP. El informe fue traducido por la Cámara Nacional de Acuacultura.

Para más información sobre este artículo escriba a: sander@kontali.no

- FEBRERO 2024 64 MERCADO

Importación de camarón de Estados Unidos

Autores:

jkenny@urnerbarry.com

Gary Morrison

gmorrison@urnerbarry.com

Urner Barry

Importaciones de todos los tipos, por tipo

En la data de principios de este mes, las importaciones de camarón de Estados Unidos en diciembre aumentaron un 5.8% menos que el año pasado. Las importaciones de camarón a ese país totalizaron 143.672 millones de libras en comparación con 135.853 millones de libras del año pasado. El año finalizó con un 6.2% menos que el año pasado, con 1.732 billones de libras. Esta fue la segunda caída anual consecutiva después de nueve años consecutivos de ganancias.

Las ganancias en Ecuador (+15.3%), Indonesia (+9.9%) y Vietnam (+26.5%) pudieron compensar las pérdidas de sus principales socios comerciales, India (-0.2%) y Tailandia (-5.0%). Como era de esperar, el único país entre los 10 primeros que ganó el “año tras año” fue Ecuador, que finalizó con más de 453 millones de libras, o un 3.1% más.

Era un grupo heterogéneo, pero en su mayoría rezagados en algunos mercados secundarios. México (-23.8%), Bangladesh (-34.4%), China (-26.2%) y Perú (-22.9%) cayeron, mientras que Argentina (+22.1%) ganó.

En términos de forma del producto, fue una mezcla. Hubo avances en el sector de camarón sin cabeza con cáscara, que incluye el pelado fácil (+6.8%), pelado (+6.7%) y empanizado (+13.2%), pero menos camarón cocido (-3.1%).

Ciclos de importación mensual por país (todos los tipos)

India: Las importaciones de camarón de la India (-0.2%) estuvieron en general a la par con las de diciembre pasado, revirtiendo ligeramente los aumentos de los cinco meses anteriores. Diciembre ascendió a 50.358 millones de libras. Durante el año, India envió 652.791 millones de libras o un 2.5% menos que en 2022. Hubo menos camarón con cáscara (-28.5%), pero no fue suficiente para superar las ganancias del pelado (+5.3%) y cocido (+5.7). %).

Ecuador: Este país (+15.3%) continuó con su amplitud y mejora de ganancias en el último mes del año, cuando envió 38.666 millones de libras para el mes. Esta tendencia ayudó a que Ecuador fuera el único entre los cinco primeros, y uno de dos, entre los diez primeros que tuvo ganancias positivas durante el año. El total de 453.961 millones de libras fue un 3.1% mayor que el año pasado. El 2022 marcó el cuarto año consecutivo de importaciones récord. Hubo ganancias en los productos de camarón con cáscara (+15.0%), pelado (+13.2%) y ahora empanizado (+59.4%).

Indonesia: Las importaciones totales de 28.930 millones de libras en diciembre repuntaron un 9.9% más que el año pasado. Esto es contrario a la mayoría de los otros meses y un cambio en la tendencia. Las importaciones en lo que va del año terminaron con un descenso del 12.4%, a 322.442 millones de libras. Hubo más camarón con cáscara (+61.3%) y empanizado (+7.0%), lo que ayudó a paliar las pérdidas del camarón pelado (-5.8%) y cocido (-15.5%).

- FEBRERO 2024
66

Importaciones YTD de todos los tipos de camarón por año de EE.UU. y promedio Importación $/lb.

Fuente: USDOC. Urner Barry

Vietnam y Tailandia: Fue otro mes de resultados mixtos para algunos de los otros socios comerciales asiáticos. Vietnam (+26.5%) ganó mientras que Tailandia (-5.0%) se quedó atrás. Ambos terminaron el año a la baja, el primero con un 12.2% y el segundo con un más pronunciado 24.4%.

Importaciones de camarón con cáscara, cíclicos y por tamaño

Las importaciones de camarón con cáscara, que incluye el de pelado fácil, aumentaron un 6.8% en diciembre. Sin embargo, las cifras del año hasta la fecha terminaron casi un 8% por debajo.

Para diciembre, las mayores ganancias de los dos mayores socios comerciales de la categoría, Ecuador (+15.0%) e Indonesia (+61.3%), compensaron las pérdidas de India (-28.5%). Los socios comerciales más pequeños en general obtuvieron resultados más bajos también.

Las ganancias se mantuvieron en camarón muy grande de U/15 y 16-20, pero también se observaron ganancias en camarón de 26/30 y 31-40. Todos los demás tamaños fueron negativos en la comparación año tras año.

Los valores de reemplazo del camarón con cáscara (importación $/libra) cayeron por un precipicio este mes junto con la gran oferta y moderada demanda de los consumidores estadounidenses. Los precios se situaron en

3.42 dólares por libra, 0.17 dólares menos por libra. Este fue el valor de reposición más bajo desde junio de 2020.

Valor agregado, importación de camarón pelado

Las importaciones de camarón pelado, la categoría más grande en volumen, aumentaron un 6.7% más que en diciembre pasado. En el año, las importaciones totalizaron 821.390 millones de libras, ligeramente por encima del año pasado. India (+5.3%), Ecuador (+13.2%) y, en menor medida, Vietnam (+93.0%) y Tailandia (+14.7%), aumentaron. Indonesia (-5.8%) fue inferior. India (+4.1%) e Indonesia (+2.6%) aumentaron en el año.

A pesar de las continuas ganancias, los

valores de reemplazo (importación $/libra) para el camarón pelado se movieron $0.04 por libra, un aumento a $3.47 por libra.

Las importaciones de camarón cocido (en agua caliente) cayeron un 3.1% en diciembre, mientras que el empanizado aumentó un 13.2% con respecto al año pasado.

Importaciones de camarón cocido, empanizado y otros

Los precios de reposición del camarón cocido se estabilizaron en los mínimos observados el mes pasado. Los precios se mantuvieron en $4.22 la libra. A pesar de la disminución general de las importaciones de productos cocinados, la demanda sigue estando por debajo de las expectativas.

Detalle de importaciones de camarón YTD por tipo

Fuente: USDOC. Urner Barry

- FEBRERO 2024 67
MERCADO
REPORTE DE

REPORTE DE MERCADO

Línea de tiempo del precio del camarón; anuncios minoristas

Comercio minorista: Las oportunidades de compra minorista continuaron aumentando en enero, pero todavía están casi un 8% por debajo del promedio de tres años. La diferencia notable fue el precio promedio de $7.39 por libra o $0.23 por libra. Fue el nivel más bajo desde marzo de 2021 y mostró el gran esfuerzo para impulsar las ventas de productos del mar, en particular de camarón. Suministro de camarón a EE.UU. y situación del Golfo

***La data de desembarques proporcionados por el NMFS han sido inconsistentes y existen vacíos en la data que hacen que las comparaciones no sean confiables.

La data de desembarques de octubre de 2023 publicada por el NMFS muestra que se desembarcaron 10.789 millones de libras (en total, todas las especies, sin cabeza); 4.25 por encima de 2022. Si bien esta fue otra ganancia mensual, las cifras en lo que va del año de 75.198 millones se ubican un 20.6% por debajo del año pasado.

Los resultados de la Solicitud de Compra Abierta del USDA se publicaron recientemente y muestran que ocho participantes entregarán 7.77 millones de libras de camarón valorados en $32.545 millones de dólares. La adjudicación se compone de 1.89 millones de libras de camarón P&D de 21-30, 3.99 millones de libras de P&D 31-50 y 1.89 millones de libras de P&D 51-70.

Conclusión:

A principios de febrero, el mercado de camarón tigre blanco y negro cultivado importado se ha estabilizado. Los importadores se sintieron obligados a ser competitivos, pero ya no es así. El sesgo ahora es positivo. La actividad está mejorando y hay áreas donde la sustitución es más difícil, sobre todo en el caso del camarón muy grande. Como resultado de ello, el comercio entre importadores ha aumentado•

- FEBRERO 2024
2022 2023

¡ECUADOR DIJO SÍ AL TLC CON CHINA!

La Corporación de Gremios Exportadores del Ecuador (Cordex) y sus miembros, entre ellos la Cámara Nacional de Acuacultura, felicitaron a la Asamblea Nacional que en sesión del Pleno aprobó el pasado 7 de febrero el Acuerdo Comercial entre Ecuador y la República Popular China con 76 votos a favor.

José Antonio Camposano, presidente del Directorio de Cordex, expresó en su cuenta de X: “¡APROBADO el TLC con China! El país da un importante paso hacia el crecimiento económico, pero lo más importante, ¡hacia la creación de nuevas plazas de trabajo para nuestra gente! El sector agropecuario tiene un potencial enorme para expandir sus exportaciones y está protegido de la competencia agresiva gracias al TLC con China. Es momento de que Ecuador acceda al mercado más grande del mundo”.

Cordex reiteró que contar con un TLC con China permitirá que la oferta exportable tradicional y no tradicional de Ecuador llegue a más de 1.400 millones de consumidores del gigante asiático, y beneficiará al 99,6% de nuestra oferta exportable. Representa un incremento significativo en las exportaciones con un aumento proyectado del 19 al 32% en los primeros cinco años del acuerdo comercial, según un estudio publicado en enero de 2024 por la CEPALNaciones Unidas.

Propiciará la creación de empleo, con una proyección de 50 mil nuevos puestos de trabajo directos, sin considerar aún aquellos relacionados con nuevos productos que aún no se exportan, como los provenientes de la Amazonía ecuatoriana como la pitahaya, guayusa, yuca, tagua, borojó, palmito, entre otros.

Concede el ingreso de productos ecuatorianos con tasas arancelarias del 0% de forma inmediata para productos como el atún, la sardina y el plátano; del 5% en un plazo de cinco años para productos como el cacao y las rosas, y del 10% en un período de diez años para productos como el camarón, el banano, las flores preservadas, el café, entre otros. Esta medida busca potenciar la competitividad de los productos ecuatorianos en el mercado chino, uno de los más grandes del mundo.

Impulsa la competitividad, dado que el 77% de las importaciones provenientes de China comprenden materias primas, insumos y maquinaria, los cuales ingresarán libres de aranceles. Entre estos productos exentos de arancel se incluye una variedad de materias primas, insumos y bienes de capital, tales como semillas, fertilizantes, agroquímicos, vacunas, insumos médicos, equipos de telecomunicación, máquinas de coser, entre otros. Este escenario augura un impulso significativo para la industria nacional, al

facilitar el acceso a recursos y tecnologías indispensables para fortalecer la cadena productiva y mejorar la competitividad en el mercado global.

El acuerdo precautela los sectores sensibles de la industria ecuatoriana. Se excluyeron 828 subpartidas arancelarias pertenecientes a industrias como la textil, el calzado, la metalmecánica y la línea blanca, entre otras, con el objetivo de mitigar posibles impactos negativos en dichos sectores.

El respaldo al Tratado de Libre Comercio con China se fundamentó además en la garantía de protección ambiental que dicho acuerdo ofrece en sus artículos 15.1 - 16.13 y su anexo. Se establecen disposiciones específicas de Cooperación Ambiental destinadas a promover el desarrollo sostenible. La creación de Comités Bilaterales de Cooperación, Consulta y Solución de Controversias, enfocados en temas ambientales, refuerza aún más el compromiso de ambas naciones con la protección del ambiente. Además, en el Anexo 1, Ecuador se reserva el derecho de aplicar medidas de protección ambiental para la preservación de sus recursos naturales, factores productivos, seguridad y soberanía alimentaria, asegurando así un enfoque integral hacia la conservación del entorno y los recursos del país•

- FEBRERO 2024 70 NOTICIAS
Klever Sigüenza - Presidente de la Cámara de Agricultura de la Segunda zona, Francisco Jarrín - Presidente de la Cámara de Industrias de GuayaquiL, José Antonio Camposano - Presidente del Directorio de CORDEX y Presidente Ejecutivo de la Cámara Nacional de Acuacultura, Cynthia Mayer - Presidenta del Directorio de FEDEXPOR, Juan Carlos Díaz Granados - Director de la Cámara de Comercio de Guayaquil.

CNA respaldó públicamente las acciones del gobierno para combatir la inseguridad e inició una campaña de cooperación

La Cámara Nacional de Acuacultura (CNA) entregó más de 2.000 kits de supervivencia a las Fuerzas Armadas como parte de su campaña 'Uniendo Fuerzas', en respaldo a su labor para restablecer el control en el país.

La entrega de los kits, que incluían alimentos no perecibles y productos de higiene, fue posible gracias a los donativos de la empresa privada vinculada al sector camaronero. Mediante un boletín de prensa dirigido por la Corporación de Gremios Exportadores del Ecuador

CORDEX se pronunció sobre el incremento del IVA

La Corporación de Gremios Exportadores del Ecuador (Cordex), a la cual pertenece la CNA, expresó su respaldo a la decisión de incrementar en tres puntos el Impuesto al Valor Agregado (IVA) en el país, siempre y cuando la medida esté acompañada de acciones concretas para corregir distorsiones en la economía ecuatoriana que afectan a las finanzas familiares, a la competitividad empresarial y perpetúan el déficit fiscal.

Los exportadores señalan que lo correcto es que este aumento en el IVA venga acompañado de medidas efectivas para corregir las distorsiones existentes, tales como la ineficiencia en el gasto público, los subsidios generalizados y la presencia de empresas públicas ineficaces que generan permanentes pérdidas al Estado.

Se enfatizó en que este incremento debe tener un carácter temporal hasta el cambio de gobierno, con el objetivo de que en el nuevo período se evalúe la pertinencia de la medida acorde con el contexto nacional. En este sentido, Cordex considera que el aumento de impuestos no debe convertirse en una práctica común ante un Estado que gasta de manera ineficiente e innecesaria. Urge una revisión y optimización del gasto público para garantizar la asignación eficaz de los recursos recaudados.

(Cordex), la CNA expresó su respaldo a las medidas que el Ejecutivo decida implementar para poner fin a la actual ola de violencia en Ecuador.

La CNA instó además al poder judicial a actuar con celeridad y aplicar la ley contra los responsables de hechos criminales, evitando la impunidad.

Cordex destacó además que su respaldo al aumento del IVA se dará en la medida en que los recursos recaudados se destinen exclusivamente a fortalecer la fuerza pública, tanto terrestre como fluvial y marítima.

- FEBRERO 2024 71 NOTICIAS

Director de la CNA presentó una radiografía del sector camaronero en entrevista con Carlos Vera

En el programa “Del Día a la Noche”, transmitido por Radio Centro, José Antonio Camposano, presidente ejecutivo de la Cámara Nacional de Acuacultura, mantuvo una entrevista con el periodista Carlos Vera, en la que explicó el impacto económico actual en el sector camaronero ecuatoriano y aclaró que pese al crecimiento en volumen de exportación, se registra actualmente una grave disminución en los ingresos debido a los bajos precios del camarón en el mercado internacional, debido a desbalances entre la oferta y demanda.

Al ser consultado respecto a los destinos de las exportaciones, el titular de la CNA señaló que gracias al esfuerzo del sector privado Ecuador es el principal proveedor de los más importantes mercados

CNA recibe delegación del Banco Mundial para explorar oportunidades de inversión en el sector camaronero

José Antonio Camposano, presidente ejecutivo de la Cámara Nacional de Acuacultura; Yahira Piedrahita, directora ejecutiva de la CNA, y Pamela Nath, directora de Sustainable Shrimp Partnership (SSP), se reunieron con funcionarios del Banco Mundial, quienes asistieron acompañados por Axel Vedani, subsecretario de Acuacultura. El propósito de la reunión fue proporcionar una visión de la situación actual de la industria acuícola ecuatoriana, abordando los desafíos, oportunidades y perspectivas del sector en el contexto económico global.

Este intercambio de información permitió a ambas partes explorar posibles proyectos colaborativos y sinergias que podrían fortalecer aún más el desarrollo sostenible de la industria en el país.

de camarón, y que se está diseñando un esquema de promoción que incluya a los países productores con el objetivo de incrementar el consumo en mercados específicos.

Camposano aclaró además que es incorrecta la interpretación de cifras oficiales que indican que en el país se han construido 50 mil hectáreas de nuevas camaroneras en los últimos 5 años. Explicó que la respuesta dada por la Subsecretaria de Acuicultura incluye los trámites por autorizaciones, destinadas a la ampliación de predios existentes, cambios de propietarios y renovaciones.

Control de contaminación en puertos

El director de Seguridad de la Cámara Nacional de Acuacultura, Luis Herrera, se reunió con representantes de la Corporación de Promoción de Exportaciones e Inversiones (Corpei), la Asociación Nacional de Exportadores de Cacao del Ecuador (Anecacao) y la Asociación de Terminales Portuarios Privados del Ecuador (Asotep). El propósito de este encuentro virtual y presencial fue realizar un diagnóstico sobre la contaminación de contenedores en los puertos, mediante la participación de una consultora europea.

Se seleccionó a un equipo de expertos de la consultora NIRAS, que empleará metodologías similares a las implementadas en diagnósticos de puertos europeos con características comparables.

- FEBRERO 2024 72 NOTICIAS

Medidas sanitarias y transparencia acorde con OMC

Con el objetivo de discutir sobre temas relacionados con los acuerdos comerciales internacionales y la transparencia en el comercio global, Daniel Pesantes, gerente de Comercio Exterior de la Cámara Nacional de Acuacultura, participó del taller nacional sobre transparencia en el marco de los acuerdos de la Organización Mundial del Comercio (OMC).

Durante esta sesión, se logró conocer el funcionamiento de la plataforma EPing en relación con los acuerdos de la OMC, específicamente enfocándose en el Acuerdo de Medidas Sanitarias y Fitosanitarias (MSF) y el Acuerdo sobre Obstáculos Técnicos al Comercio (OTC).

Gestión sanitaria

colaboración públicoprivada para fortalecer el control sanitario

Yahira Piedrahita, directora ejecutiva de la Cámara Nacional de Acuacultura, se reunió con el viceministro de Acuacultura y Pesca, Andrés Arens, junto al subsecretario de Calidad e Inocuidad, Luis Mejía, con el propósito fue identificar áreas críticas para enfocar los controles y asegurar la calidad e inocuidad en las exportaciones de camarón.

Durante la mesa de trabajo se examinaron detalladamente los lineamientos del Plan de Monitoreo de Residuos y Contaminantes, así como los controles oficiales realizados por la SCI a los establecimientos de la cadena. Se destacó la importancia de identificar parámetros críticos y se recomendó la actualización de la habilitación sanitaria de todos los establecimientos.

Por otra parte, se acordó articular esfuerzos y abordar diversas actividades y talleres de difusión. La planificación inicial incluye un cronograma para agilizar procesos y trámites de los establecimientos vinculados con SCI. Se destacó también la importancia de mantener actualizadas las listas internas de establecimientos en la cadena y realizar capacitaciones previas a la depuración de aquellos que no estén al día con su verificación regulatoria anual.

- FEBRERO 2024 NOTICIAS

CNA da seguimiento al dragado del Islote "El Palmar"

El director de Ambiente de la Cámara Nacional de Acuacultura, Leonardo Maridueña, participó de la reunión del comité técnico de seguimiento al dragado del islote El Palmar, liderado por la prefecta del Guayas, Marcela Aguiñaga, y su equipo técnico. El propósito central fue informar sobre el estado actual del proceso.

Se identificaron los obstáculos asociados con el dragado, especialmente relacionados con la antigüedad de la draga, su rendimiento y los hallazgos en el sedimento, como basura, chatarra y escombros, que afectan su funcionamiento diario. Se reveló que existe un retraso significativo, con apenas el 30% de la obra dragada. Si estos problemas persisten, se proyecta que la finalización del dragado se extienda un año más de lo inicialmente previsto, programado para concluir en 2026, y ahora posiblemente hasta 2027.

A pesar de los desafíos, se destacó una mejora en la calidad del agua y el sedimento en tres puntos específicos del área de dragado. Como resultado, se acordó mantener convocatorias periódicas para proporcionar actualizaciones en tiempo real sobre los resultados del proceso y los análisis de sedimento y agua en curso.

- FEBRERO 2024 NOTICIAS

Turn static files into dynamic content formats.

Create a flipbook
Issuu converts static files into: digital portfolios, online yearbooks, online catalogs, digital photo albums and more. Sign up and create your flipbook.