REFRINOTICIAS AL AIRE México, USA & Latinoamérica · Septiembre 2025

Page 1


SEPTIEMBRE 2025

REFRINOTICIAS AL AIRE® Revista Oficial de AHR Expo México® Bienvenidos a la Expo más Importante del Acondicionamiento del Aire y la Refrigeración en Latinoamérica

Nos complace darle la bienvenida a la 18ª edición de AHR Expo México®, la más grande de nuestra historia. En esta ocasión regresamos a donde todo comenzó en 1997: la ciudad de Monterrey, Nuevo León.

Este año contamos con más de 27 mil metros cuadrados de piso de exhibición, ¡un récord para nosotros!, lo que se traduce en más de 13,500 m² de equipo, maquinaria y servicios para el sector HVACR. Agradecemos y valoramos a nuestros expositores, socios y copatrocinadores, ASHRAE y AHRI, por ayudarnos a alcanzar este gran hito.

En esta edición participan más de 530 empresas expositoras y más de 1,200 marcas líderes, provenientes de 20 países como Alemania, Brasil, Canadá, Chile, China, Colombia, España, Francia, India, Italia, Estados Unidos, entre otros. Esto refleja la relevancia global de la industria, y cómo AHR Expo se ha consolidado como referente para conocer las últimas tendencias y tecnologías disponibles.

Todo el esfuerzo detrás de esta exposición no solo se refleja en el crecimiento del sector, sino también en nuestra convicción de seguir impulsando la innovación y la colaboración. Esperamos que su experiencia en esta edición sea de gran valor para que usted y su compañía alcancen aún más éxito y competitividad en los próximos años.

Lo invitamos a aprovechar al máximo lo que la exhibición ofrece: los seis teatros de nuevas tecnologías, el mejorado Programa de Matchmaking (Encuentro de Negocios B2B), programas que le permitirán crear nuevas conexiones con líderes de la industria, además de recibir capacitación personalizada para optimizar sus procesos, instalaciones o servicios.

Asimismo, ASHRAE Capítulo Monterrey estará presente con más de 60 conferencias técnicas, con temas relacionados a la calidad del aire, ahorro de energía y sistemas sustentables, a las que le invitamos a asistir.

Hoy, más que nunca, se requieren espacios como este. Somos conscientes de los retos que enfrenta el sector, por lo que la Expo es un recordatorio de perseverancia ante lo incierto, donde cada uno, desde su rol, aporta pasos firmes hacia el futuro.

Gracias por acompañarnos. Lo que viviremos en estos tres días será importante, pero lo que construiremos a partir de ellos lo será aún más.

¡Sean bienvenidos a la AHR Expo México® 2025!

El futuro lo construimos juntos.

-Comité Organizador

AHR Expo México®

DIRECTOR GENERAL

ROBERTO ROJAS JUAREZ direccion@refrinoticias.com

STAFF EDITORIAL

DIRECTOR EDITORIAL

Roberto Rojas Damas cord.editorial@refrinoticias.com

GERENTE ADMINISTRATIVA

Martha Damas

ASISTENTE ADMINISTRATIVO

Rocio Rojas

ARTE Y DISEÑO

Mónica Sánchez

SUSCRIPCIONES

Rocio Rojas info@refrinoticias.com

ASISTENTE DE FOTOGRAFIA

Mónica Sánchez

COORDINACIÓN E-MEDIA

Roberto Rojas Damas

EDITOR RESPONSABLE

Roberto Rojas Juárez

ARCHIVO FOTOGRÁFICO

123RF, DREAMSTIME, FOTOLIA, ISTOCK BY GETTY IMAGES, SHUTTERSTOCK, ARCHIVO REFRINOTICIAS AL AIRE, ARCHIVO BURÓ DE MERCADOTECNIA DEL CENTRO.

VENTAS PUBLICIDAD BURÓ DE MERCADOTECNIA DEL CENTRO, S.A. MEXICO: (+52) 5557404476, WHATSAPP: (+52) 5543560334 cord.editorial@refrinoticias.com

INDUSTRIAS HVAC/R: NOTICIAS, PROMOCIONES, VIDEOS Y MÁS. REFRINOTICIAS AL AIRE ORGANO INFORMATIVO DE LA REFRIGERACIÓN, AIRE ACONDICIONADO, CALEFACCIÓN Y VENTILACIÓN HVAC/R. PERIODICIDAD MENSUAL. NUMERO DE CERTIFICADO DE RESERVA OTORGADO POR EL INSTITUTO NACIONAL DE DERECHOS DE AUTOR: 04-2013-102217590300-102. NUMERO DE CERTIFICADO DE LICITUD DE TITULO Y CONTENIDO: 17387. FRANQUEO PAGADO PUBLICACION PERIODICA PERMISO NUMERO: PP09-0052, CARACTERISTICAS: 228551512, REGISTRO POSTAL IMPRESOS AUTORIZADO POR SEPOMEX. LA EDITORIAL EXIME SU RESPONSABILIDAD SOBRE EL DETERIORO O DAÑOS QUE PUEDA SUFRIR EL MATERIAL MECANICO O ELECTRONICO PROPORCIONADO POR EL CLIENTE PARA EL USO O LA ELABORACIÓN DE ARTICULOS O ANUNCIOS PUBLICITARIOS EN REFRINOTICIAS AL AIRE, POR LO QUE NO PROCEDERA RECLAMO ALGUNO EN SU DEVOLUCIÓN AL RESPECTO. LOS ANUNCIOS, LISTADOS Y DEMAS DATOS COMERCIALES CONTENIDOS EN ESTA PUBLICACIÓN SON UNICAMENTE DE CARACTER INFORMATIVO Y EL EDITOR NO ASUME NINGUNA RESPONSABILIDAD RESPECTO DE ELLOS, ASI MISMO EL EDITOR NO SE RESPONSABILIZA POR LA CONFIBILIDAD, CALIDAD, VERACIDAD O CUALQUIER OFERTA, PROMOCIÓN O CARACTERISTICA DE LOS PRODUCTOS Y SERVICIOS ANUNCIADOS, EL CONTENIDO DE LOS ANUNCIOS ES RESPONSABILIDAD EXCLUSIVA DEL ANUNCIANTE. LA TARDÍA CIRCULACIÓN DE ESTA PUBLICACIÓN NO AFECTA PARA SU ENTREGA POR TRATARSE DE UNA FUENTE DE INFORMACIÓN TÉCNICA CULTURAL QUE POR CAUSAS DE FUERZA MAYOR PUEDE SER SUSCEPTIBLE EN DÍAS DE RETRASO. EL CONTENIDO DE LOS ARTÍCULOS EN ESTA PUBLICACIÓN TODOS SON DE CARACTER CULTURAL INFORMATIVO. LAS OPINIONES EXPRESADAS EN LOS ARTÍCULOS FIRMADOS SON LAS DE LOS AUTORES Y NO REFLEJAN NECESARIAMENTE LOS PUNTOS DE VISTA DE REFRINOTICIAS AL AIRE O DE LA EDITORIAL. EN REFRINOTICIAS AL AIRE NO RENTAMOS NI VENDEMOS BAJO NINGUNA CIRCUNSTANCIA NUESTRAS BASES DE DATOS. SUS DATOS DE ENTREGA SON ESTRICTAMENTE CONFIDENCIALES Y ESTAN PROTEGIDOS BAJO NUESTRO AVISO DE PRIVACIDAD VIGENTE CONSULTABLE EN: WWW. REFRINOTICIAS.COM. DOMICILIO DE LA PUBLICACIÓN: PLAYA REVOLCADERO 222, COL. REFORMA IZTACCIHUATL NORTE, C.P. 08810, CDMX. IMPRESO EN: GRUPO IMPRESOR CONDOR, AZAFRAN 40, COL. GRANJAS MÉXICO, C.P. 08400, CDMX. DISTRIBUIDOR: OFICINA RECEPTORA SEPOMEX HIGUERA 23 INT. BARRIO LA CONCEPCIÓN, COYOACAN, C.P. 04020, CDMX.

LOS COMUNICADOS DE PRENSA DEBERAN SER ENVIADOS A: ROBERTO ROJAS DAMAS (DIRECTOR EDITORIAL) AL CORREO: cord.editorial@refrinoticias.com

REGISTRO ANTE CORREOS DE MÉXICO (ANTERIORMENTE SEPOMEX) COMO PUBLICACIÓN PERIODICA: PP09-0052

® RESERVADOS TODOS LOS DERECHOS ESTRICTAMENTE PROHIBIDA LA REPRODUCCIÓN O TRANSMISIÓN TOTAL O PARCIAL DEL MATERIAL ÉDITORIAL O GRÁFICO AQUÍ PUBLICADO POR CUALQUIER MEDIO ELECTRONICO, MECÁNICO Ó QUIMICO.

PUBLICACIÓN MENSUAL DESDE 1986 DE:

BURO DE MERCADOTECNIA DEL CENTRO, S.A. www.refrinoticias.com ISSN

SUMARIO

Noticias USA - Canadá

Trane México

Refuerza Compromiso Ambiental con Reforestación en Guadalajara y CDMX

Reafirmando su compromiso con el medio ambiente, la sustentabilidad y las comunidades donde opera, la compañia Trane, llevó a cabo su jornada de reforestación, en Guadalajara y en Ciudad de México durante el mes de agosto.

Iberdrola México

Programa Impulso STEM Beca Estudiantes De Ingeniería en el Estado de Puebla

Como parte del programa Impulso STEM de Iberdrola México, un total de 9 jóvenes recibieron una beca para cursar ingenierías en el Instituto Tecnológico Superior de Libres, en el estado de Puebla.

Colaboradores de Trane de la oficina de Guadalajara y sus familias, se reunieron en el Bosque del Centinela para plantar 150 árboles, en colaboración con la asociación civil Bosque Urbano, mientras que el equipo de Trane en Ciudad de México, participó en su reforestación anual en Xalatlaco, Estado de México, en colaboración con la asociación civil Reforestamos, logrando la plantación de 1,400 árboles.

Se estima que estos 1,550 nuevos árboles contribuirán a la captura de cerca de 34 toneladas de CO₂ anualmente una vez que maduren; esto se basa en el promedio de absorción de CO₂ por árbol, que puede rondar los 22 kg (48 lbs) anuales por árbol maduro, de acuerdo con datos del Servicio Forestal de los Estados Unidos. Esto equivale a las emisiones de cerca de dos vehículos compactos circulando un mes.

Estas actividades, más allá de su impacto ambiental directo, fortalecen el trabajo en equipo, el sentido de comunidad y la cultura organizacional. “En Trane, creemos firmemente que pequeñas acciones pueden generar grandes cambios. La reforestación no solo captura carbono y mejora la calidad del aire, sino que también representa un legado vivo para las próximas generaciones”, señaló Beatriz Gómez, gerente de mercadotecnia de Trane México.

Esta primera generación de Impulso STEM (ciencia, tecnología, ingeniería y matemáticas, por sus siglas en inglés) en la región está conformada por 5 mujeres y 4 hombres que estudiarán las siguientes ingenierías: Sistemas Computacionales, Industrial y Electromecánica.

Impulso STEM es una iniciativa lanzada en 2019 por la Fundación de la empresa que tiene el objetivo de que estudiantes de Oaxaca y Puebla cursen carreras de corte STEM. www.iberdrolamexico.com

WEG

Primer Variador Mexicano

WEG anunció que realizará el suministro de su primer variador de velocidad de media tensión modelo MVW3000 fabricado en su planta de México.

El equipo será entregado a la empresa Beraterín, que actuó como proveedor de equipos para una compañía proveedora de energía ubicada en Cuautla, Morelos. El variador será destinado a una central de generación eléctrica por ciclo combinado, donde será utilizado en el sistema de bombeo de aguas negras, fundamentales para el proceso agua-vapor. www.weg.net www.trane.com

Powrmatic

Samsung HVAC Anuncia Nueva Alianza

Estratégica de Distribución en Canadá

Samsung HVAC anunció una nueva alianza de distribución con Powrmatic of Canada Ltd., con efecto inmediato. Esta colaboración estratégica marca un avance significativo en la expansión de su presencia en el este de Canadá.

Con sede en el este de Canadá, Powrmatic opera seis sucursales estratégicamente ubicadas en Toronto, Londres, Ottawa, Montreal, Quebec y Halifax, lo que le permite atender eficazmente a los mercados clave de la región. Con más de 80 años de experiencia, Powrmatic es ampliamente reconocido como distribuidor de equipos residenciales, comerciales e industriales en los sectores de HVAC, electricidad y calefacción.

Powrmatic es una subsidiaria de Deschênes Group Inc., empresa familiar privada fundada en 1940 y con sede en Montreal, Quebec. Como la empresa canadiense más grande de su sector, Deschênes Group opera 202 puntos de venta en Canadá y Estados Unidos, con 3,000 empleados. “Nos complace dar la bienvenida a Powrmatic como nuestro nuevo socio de distribución”, afirmó Brad Brelo, vicepresidente de Ventas de Samsung HVAC Norteamérica.

powrmatic.ca

Greenheck

Amplían Capacidad con Refrigeración Compacta

Greenheck presentó sus unidades de reposición de aire Modelo DGX y Modelo MSX con expansión directa compacta (PDX) las cuales han aumentado sus opciones de refrigeración y flujo de aire en carcasas de tamaño H22. Al configurarse con PDX, estas unidades ahora ofrecen un flujo de aire de hasta 9,000 cfm y tienen capacidades de refrigeración adicionales de 7, 10 y 16 toneladas, ampliando su gama para aplicaciones de reposición de aire. Ambas unidades utilizan el refrigerante R-454B ecológico que cumple con la EPA para la refrigeración PDX, con agua helada y refrigeración por evaporación como alternativas. El Modelo DGX rediseñado con PDX proporciona calor directo a gas de hasta 1 200 000 Btu/h e incorpora serpentines de microcanales, que son más pequeños, consumen menos refrigerante y transfieren el calor de forma más eficiente. El Modelo MSX está disponible con calefacción eléctrica, serpentines de vapor o serpentines de agua caliente.

Las unidades de reposición de aire Greenheck son ideales para almacenes, cocinas, aplicaciones industriales y comerciales. Con capacidades de rendimiento total de 800 a 64,000 cfm, calefacción de hasta 7,000,000 Btu/h y de 3 a 16 toneladas de refrigeración tipo paquete. www.greenheck.com

Noticias USA - Canadá

Chile

Nuevo Llamado para el Recambio de Calefactores

En Chile la Seremi del Medio Ambiente, se encuentra realizando el quinto llamado para el recambio de calefactores para las comunas de Concón, Quintero y Puchuncaví.

Esta acción se ejecuta en el marco del cumplimiento del actual Plan de Prevención y Descontaminación Atmosférica para las comunas y busca disminuir la contaminación intradomiciliaria del entorno y cuidar la salud, durante el invierno, considerando que calefacción a leña es uno de los factores más relevantes en aumento de las enfermedades respiratorias de la comunidad chilena. Las personas pueden postular via internet solo se necesita ser habitante de estas 3 comunas y tener un artefacto a leña instalado en el hogar.

calefactores.mma.gob.cl

Sensormatic Solutions

Transforma Experiencia de Compra

En 50 Tiendas Decathlon de Brasil

Sensormatic Solutions, el portafolio global de soluciones para el retail de Johnson Controls (NYSE: JCI), ha anunciado el éxito del proyecto de arquitectura, integración e implementación de soluciones de identificación por radiofrecuencia (RFID) en 50 tiendas Decathlon de Brasil. Esta tecnología está ayudando a mejorar la gestión del inventario a lo largo de la cadena de suministro hasta el punto de venta, con el objetivo final de mejorar la experiencia del comprador y las operaciones de la tienda.

Las soluciones con tecnología RFID, diseñadas para proporcionar una visibilidad completa del inventario, ofrecen información sobre el flujo de mercancías, lo que garantiza que los productos estén disponibles en el lugar y momento adecuados, hasta el proceso de pago.

La experiencia de Sensormatic Solutions en soluciones RFID impulsó el desarrollo y la implementación de las tecnologías de gestión de inventario existentes de Decathlon para ayudar a crear una tienda totalmente habilitada para RFID, en línea con la promesa del minorista de superar las expectativas de los compradores y optimizar sus operaciones.

En el éxito de este proyecto parte de los servicios que respaldaron la arquitectura y la integración de la tecnología RFID incluyeron pruebas rigurosas, capacitación integral del personal e instalación de lectores y etiquetas habilitados para RFID. Las pruebas iniciales se realizaron en las tiendas Paulista y Tambore de Decathlon en São Paulo, antes de expandirse a las 50 tiendas en todo Brasil.

www.sensormatic.com

Noticias USA - Canadá NOTICIAS ESPAÑA

Advansor

Nuevo Almacen Frigorífico de Maersk en Róterdam

Maersk estreno sus nuevas instalaciones de Róterdam las cuales tienen una capacidad para más de 34,000 palés. Convirtiendo el almacén frigorífico en un componente clave de la oferta integrada de logística refrigerada y de la cadena de frío de Maersk para productos farmacéuticos, frutas, carne y pescado en el noroeste de Europa.

En esta nueva instalación el encargado de la instalación frigorífica fué la compañia Advansor manteniendo frescos los alimentos y los medicamentos, a la vez que reutiliza el exceso de calor de estos procesos para la calefacción y el agua caliente sanitaria, lo que ofrece una solución sostenible y energéticamente eficiente y reduce la cantidad de unidades que hay que instalar.

www.advansor.es

& EUROPA

Kanthal Amplía

su Capacidad de Producción de Alambre en Hosur, India

Kanthal, fabricante aleman de materiales de resistencia, ha inaugurado una nueva planta de fabricación de alambre en su planta de Hosur, India, con el objetivo de optimizar la capacidad de producción a nivel mundial y ofrecer plazos de entrega más cortos en Asia. La inversión sienta las bases para impulsar el crecimiento en los mercados locales emergentes e impulsar mejoras operativas mediante una mayor automatización. Con las nuevas instalaciones de 1980 metros cuadrados, Kanthal triplicará con creces su capacidad de producción en la planta de Hosur.

Kanthal es un proveedor mundial de productos para tecnología de calentamiento industrial y materiales de resistencia, siendo el alambre de dimensión fina una de sus principales ofertas desde su fundación en 1931.

La expansión en Hosur permitirá a la unidad abastecer los mercados locales de la India, así como del Sudeste Asiático, en Singapur, Corea, Japón y China, y algunas zonas de Europa. Las ventajas para los clientes incluyen plazos de entrega significativamente más rápidos.

En 1988, Kanthal estableció sus operaciones en Hosur. Desde entonces, las actividades de la compañía en el país se han expandido y, hoy en día, con India como una de las áreas geográficas clave, la planta de fabricación de Hosur cobra mayor importancia.

La nueva línea de producción incluye procesos automatizados avanzados y está diseñada para permitir una capacidad integral para la producción de alambre de alta calidad para electrodomésticos.

www.kanthal.com

Noticias USA - Canadá

SECCIÓN EN COLABORACIÓN CON JARN Ltd.

Veck

Evoluciona de Productor de Unidades Terminales a Proveedor de Soluciones de Sistemas (Primera Parte)

En los últimos años, la compañia Veck, con sede en China, ha logrado un rendimiento excepcional, en particular logrando resultados notables en los campos de la fabricación inteligente y el ahorro energético. Veck se ha convertido en un proveedor integral de soluciones de sistemas, que abarca desde unidades terminales de sistemas centrales de aire acondicionado hasta diversos sistemas de refrigeración. La empresa no solo goza de un amplio reconocimiento en el mercado chino, sino que también ha atraído cada vez más la atención en mercados internacionales como el Sudeste Asiático y Oriente Medio. En 2024, Veck lanzó un producto innovador en el campo de las enfriadoras centrífugas con cojinetes de gas, que despertó gran interés en la industria. JARN visitó a Veck, una empresa clave que goza de amplio reconocimiento, en su fábrica de Zhenjiang y aquí le presenta el reportaje de la visita.

Veck se fundó en Tianjin en 2015, durante la época dorada del rápido crecimiento económico de China. La empresa se expandió rápidamente, con ingresos que aumentaron de 120 millones de RMB (aproximadamente 17 millones de dólares estadounidenses) en 2015 a 2,500 millones de RMB (aproximadamente 348 millones

de dólares estadounidenses) en 2024. La fábrica de Zhenjiang ha desempeñado un papel crucial en este crecimiento como base de fabricación principal, contribuyendo constantemente al rendimiento de la empresa desde su finalización en 2019.

La fábrica de Zhenjiang se encuentra en la provincia de Jiangsu, a orillas del río Yangtsé y a solo una hora en tren de alta velocidad desde Shanghái. Con una superficie de casi 100,000 m², produce una amplia gama de productos de aire acondicionado, incluyendo unidades fan coil (FCU), unidades de tratamiento de aire (UTA), enfriadores, sistemas compactos y sistemas de flujo de refrigerante variable (VRF). También es la principal base de exportación de Veck.

Al entrar en la sala de exposición de la fábrica de Zhenjiang, los visitantes se sumergen en un ambiente espacioso y luminoso donde el diseño moderno se funde armoniosamente con la belleza tradicional. La fuente de agua reflejada en el interior refleja la esencia de los jardines Jiangnan, jardines tradicionales chinos que consideran el agua un elemento vital del paisaje. El muro de fondo presenta una interpretación moderna de las pinturas clásicas de paisajes chinos, realzando una elegante atmósfera oriental. Desde el diseño del pro-

www.ejarn.com

ducto hasta la disposición de la exhibición, cada elemento está elaborado con la delicadeza de las bellas artes, demostrando la profunda dedicación de la compañía tanto a la calidad como al refinamiento estético.

En la sala de exposición, se exhiben sistemas de aire acondicionado diseñados para diferentes industrias: productos para el sector médico y sanitario que proporcionan un control preciso de la temperatura, la humedad y la limpieza del aire, mientras que los sistemas diseñados para centros de datos ofrecen alta eficiencia y un rendimiento estable. Cada pieza expuesta representa el compromiso de Veck de equilibrar la innovación con la aplicación práctica.

Continuará en la siguiente edición.

Fábrica de Veck en Zhenjiang.
Sala de exposición de Veck: Un palacio de arte.

EL VOLUMEN DE

CONTROL

EN DISPOSITIVOS DE PROCESOS ABIERTOS

En ingeniería y en específico en los sistemas HVACR se estudian los balances entre masa y energía analizando el volumen de control para analizar los sistemas más abiertos.

El volumen de control en un sistema abierto no viene definido por una determinada cantidad de materia sino por un cierto espacio determinado por unos límites imaginarios, a través de los cuales existe un flujo de materia.

En la refrigeración y el control de la temperatura es importante estudiar los diferentes dispositivos en los que se realizan los procesos abiertos para comprender el flujo de materia entre ellos.

La mayor parte de los dispositivos utilizados en ingeniería operan en condiciones en las que se puede suponer el régimen permanente. Otro tipo de suposiciones, como, por ejemplo, que el sistema pueda considerarse adiabático, etc.; Podrán hacerse en cada caso, según las circunstancias.

En el caso del primer principio a diferentes elementos de aplicación general en ingeniería, encontramos las toberas y difusores donde una tobera es un conducto de sección

PRIMERA PARTE

variable en la que la velocidad del fluido aumenta en la dirección del flujo a expensas de la presión al disminuir la sección. El difusor, por otro lado, va en contra pues la velocidad del fluido disminuye en la dirección del flujo aumentando la presión al aumentar la sección, como lo vemos en la figura 1.

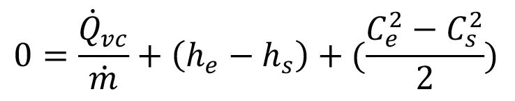
En estos elementos el único trabajo de intercambio es el trabajo de flujo, por lo que:

y la variación de energía potencial entre la entrada y la salida es prácticamente despreciable.

En régimen estacionario el balance de energía se reduce a:

En la mayoría de las ocasiones el calor intercambiado a través del volumen de control es tan pequeño comparado con las variaciones de entalpía y de energía cinética que el termino:

puede despreciarse.

Continuará en la siguiente edición.

En refrigeración y control de temperatura es bueno estudiar los diferentes dispositivos en los que se realizan procesos abiertos para comprender el flujo de materia entre ellos.
Figura 1. Tobera y difusor.

INAUGURACIÓN DEL NUEVO CENTRO DE CAPACITACIÓN ERC

El día 28 de agosto en la Ciudad de México la empresa Equipos de Refrigeración Cuitláhuac llevó a cabo la inauguración de su nuevo Centro de Capacitación ERC. En punto de las 10:30 horas un importante grupo de invitados se dieron cita en la casa matriz de la empresa ubicada en Cerrada Poniente 13-A #4442 Col. Héroe de Nacozári, CP. 07780, Alcaldía Gustavo A. Madero en la Ciudad de México, donde los directivos de la empresa Ing. Gerardo Alarcón y su esposa la Sra. Graciela López acompañados de su hijo el Ing. Jovan Alarcón dieron la bienvenida personalmente a cada uno de los invitados.

Para iniciar con el programa de la inauguración el Ing. Gerardo Alarcón dedico su mensaje a los invitados y enseguida fueron testigos de la ceremonia de corte de listón inaugural el momento simbólico que dio por inaugurado oficialmente el nuevo Centro de Capacitación ERC, el mismo lo realizaron el Ing. Gerardo Alarcón y su esposa la Sra. Graciela López acompañados por sus hijos Betzabé y Jovan Alarcón. Enseguida se realizó una experiencia inmersiva donde los invitados se pusieron en los zapatos de los futuros estudiantes del nuevo centro de capacitación llevando a cabo un ejercicio en equipos para la prueba de las habilidades conectándolos con el corazón de la misión de este nuevo centro de capacitación.

A continuación, se realizó la presentación por parte de la empresa Bienestar y Salud de la conferencia “Salud Mental y las Competencias en el Trabajo” el cual fue un momento inspirador con expertos quienes compartieron su visión, experiencias y como la innovación están cambiando el futuro de la industria.

Para cerrar con broche de oro al termino de estas actividades los invitados se trasladaron a las elegantes instalaciones del Restaurante Monte Cristo en la zona de Lindavista donde los anfitriones ofrecieron un fantástico banquete a los invitados el cual concluyo ya entrada la noche donde todos brindaron por este nuevo centro conviviendo entre colegas, aliados y amigos.

¡Muchas Felicidades a Equipos de Refrigeración Cuitláhuac por la Inauguración de su Nuevo Centro de Capacitación ERC!

de

Refrigeración

De izquierda a derecha Fabian Barron, Azalea Garcia y Jovan Alarcon, durante el corte del listón inaugural.
La celebración de la inauguración del nuevo centro de entrenamiento reunió a muchos invitados.
Durante la inauguración se observo a un gran número de asistentes entre proveedores, clientes e invitados.
De la compañia Danfoss entre los invitados se dieron cita Edgar Tijerina, Marco Briseño y Nestor Flores.
Azalia Garcia acompañando a invitados entre quienes se encontraban Marco Flolres, Edith Lozano y Miguel Villalobos.
Invitados a la inauguración, en la imagen Pablo Lopez, Heriberto Guerrero y Javier Miranda.
Entre los invitados a la inauguración se encontraban clientes, amigos y proveedores de la empresa.
Directivos
Equipos de
Cuitláhuac Gerardo Alarcon, Graciela Lopez y Jovan Alarcon.
Hector Gonzalez durante la demostración de los equipos para realizar los entrenamientos en el nuevo centro.

La inteligencia artificial IA exige más que potencia: requiere enfriar con inteligencia. Una transformación silenciosa está redefiniendo los centros de datos.

El crecimiento acelerado de la inteligencia artificial IA está llevando al límite la infraestructura de los centros de datos. La adopción masiva de modelos de IA como ChatGPT o Gemini demanda un procesamiento intensivo que eleva las temperaturas, el consumo energético y la necesidad de sistemas de enfriamiento para centros de datos más eficientes.

Los datos confirman este panorama. Una encuesta global de Ciena y Censuwide estima que el 43% de las nuevas instalaciones de centros de datos estarán destinadas exclusivamente a cargas de trabajo de IA. Esto se debe a que el entrenamiento y la inferencia de modelos requieren un movimiento de datos masivo y constante, lo que genera una demanda energética sin precedentes.

REFRIGERACIÓN

En ese contexto, el Instituto de Investigación de Energía Eléctrica (EPI) actualizó sus proyecciones e indicó que los centros de datos —impulsados por la rápida expansión de la IA— podrían llegar a consumir más del 9% de toda la energía de Estados Unidos en los próximos años. Frente a esta presión, adoptar un sistema de enfriamiento híbrido se perfila como una alternativa viable para frenar el impacto energético y ambiental a nuestro planeta.

“Este nivel de consumo proyectado nos obliga a replantear por completo la infraestructura térmica de los centros de datos”, afirma Fernando Campos, especialista en Energía en Trane México.  Agrega que “el objetivo es enfriar con inteligencia, buscando un equilibrio real entre eficiencia energética y sustentabilidad ambiental”.

Como respuesta, muchos administradores de centros de datos —según se detalla en el mismo estudio— están priorizando la optimización del flujo de aire, la adopción progresiva de enfriamiento líquido y el uso de sensores de nueva generación para obtener una visibilidad más precisa.

Aquí es donde el enfriamiento híbrido se posiciona como una solución estratégica. “Combinando aire y líquido de forma selectiva, es posible gestionar mejor las zonas de calor crítico sin una transformación total del centro de datos. Es una opción escalable, más accesible y capaz de responder con flexibilidad al crecimiento impulsado por la IA”, explica Campos.

LA IA DESAFÍA LOS LÍMITES DEL ENFRIAMIENTO PARA CENTROS DE DATOS

Las tecnologías convencionales de enfriamiento por aire fueron diseñadas para un mundo digital más simple. Pero la IA, con su procesamiento intensivo y alta densidad térmica, está forzando los límites. El aire, por sí solo, ya no es suficiente para disipar el calor generado por los nuevos chips de alto rendimiento.

De hecho, la densidad por rack ha aumentado de forma considerable, pasando de 7 kW por rack en 2021 a 16 kW por rack en la actualidad, según el Informe sobre el Estado de Centros de Datos 2025 de AFCOM. Además, el 79% de los encuestados en dicho informe espera que esta cifra continúe en ascenso, impulsada por las exigencias térmicas de las cargas de trabajo de inteligencia artificial y cómputo de alto rendimiento.

EFICIENCIA ENERGÉTICA Y SUSTENTABILIDAD, MÁS QUE METAS

Más allá del reto técnico, el contexto regulatorio y las metas de sustentabilidad han hecho del rendimiento energético una prioridad estratégica. Las organizaciones ahora deben reducir el PUE (Power Usage Effectiveness), optimizar el uso de recursos y cumplir con objetivos ambientales concretos que forman parte de sus compromisos ESG.

El enfriamiento híbrido permite avanzar en esa dirección. Al asignar el tipo de enfriamiento según la carga térmica específica, se reduce el consumo energético global, se optimizan recursos y se mejora el desempeño ambiental sin comprometer la operación.

Este modelo no es estático. Está evolucionando con nuevas tecnologías que lo hacen aún más efectivo: sensores térmicos de alta precisión, algoritmos de control dinámico, materiales más eficientes y adaptaciones modulares que permiten escalar sin rediseñar por completo.

BENEFICIOS DEL SISTEMA DE ENFRIAMIENTO HÍBRIDO EN CENTROS DE DATOS

• Permite una transición gradual hacia sistemas más eficientes sin detener la operación.

• Optimiza la eficiencia térmica, reduciendo costos de energía y mantenimiento.

• Cumple con normativas ambientales al minimizar PUE y emisiones.

• Escala con la demanda de IA sin requerir rediseños disruptivos.

• Aumenta la resiliencia del centro de datos al combinar dos tecnologías complementarias.

PREPARARSE PARA UN FUTURO DOMINADO POR LA IA

La inteligencia artificial llegó para quedarse, y su impacto en la infraestructura digital es solo el comienzo. Ahora los sistemas de enfriamiento para los centros de datos se ven forzados a evolucionar, no solo en capacidad de procesamiento, sino en gestión térmica y eficiencia energética.

El enfriamiento híbrido representa una respuesta práctica y escalable al desafío de sostener el crecimiento sin comprometer la operación ni el medio ambiente. Es la vía intermedia que muchas organizaciones están adoptando para no quedar rezagadas en una carrera que combina innovación con responsabilidad.

En el ecosistema digital actual, donde cada watt cuenta y cada grado importa, enfriar con inteligencia es tan importante como procesar con velocidad.

REFRIAMERICAS 2025

SE REALIZÓ EN SANTO DOMINGO

REPÚBLICA DOMINICANA

CON INFORMACIÓN E IMAGENES DE: LATIN PRESS, INC.

Con una asistencia récord y un despliegue sin precedentes de innovación, tecnología y conocimiento, RefriAméricas 2025 cerró sus puertas consolidándose como uno de los eventos más importantes de la industria HVAC/R y de automatización en la región.

Más de 3,000 visitantes y 100 expositores se dieron cita durante dos jornadas en San Souci Port, en Santo Domingo, donde se presentaron las últimas soluciones, equipos y tendencias del sector. El evento reunió a fabricantes, distribuidores, instaladores, diseñadores, ingenieros y profesionales de alto nivel, todos comprometidos con el futuro de la climatización, la refrigeración y la automatización.

El programa académico, compuesto exclusivamente por ponencias de expertos de talla internacional, ofreció una valiosa plataforma de intercambio de conocimientos, donde se compartieron experiencias, casos de éxito y análisis de las nuevas normativas y retos del sector.

Además de la muestra comercial y las conferencias, los asistentes disfrutaron de presentaciones artísticas y culturales, que aportaron un toque distintivo y local al evento, resaltando la riqueza cultural de República Dominicana y fortaleciendo los lazos entre la industria y su entorno.

“RefriAméricas 2025 ha superado todas nuestras expectativas. La respuesta de los asistentes, la calidad de los contenidos y el nivel de las empresas participantes nos reafirman que este evento es esencial para el crecimiento y la transformación del sector en la región”, afirmó Fabio Giraldo, Project Manager de RefriAméricas.

Con el éxito alcanzado en esta edición, RefriAméricas ya se prepara para su próxima parada: Miami 2026, donde se espera una participación aún mayor y nuevos espacios de innovación y colaboración.

Los asistentes disfrutaron de presentaciones artísticas y culturales, que aportaron un toque distintivo y local al evento, resaltando la riqueza cultural de República Dominicana.

La respuesta de los asistentes, la calidad de los contenidos y el nivel de las empresas participantes caracterizaron el evento.

Miles de visitantes y más de 100 expositores se dieron cita durante dos jornadas en San Souci Port, en Santo Domingo.

EXPOACAIRE 2025 SE REALIZÓ EN BARRANQUILLA

CON INFORMACIÓN E IMAGENES DE: REFRINOTICIAS AL AIRE.

En la bella ciudad de Barranquilla, Colombia, del 13 al 15 de agosto se realizó la 24ª edición de ExpoAcaire 2025 la exposición para las industrias del aire acondicionado, calefacción, refrigeración y ventilación en Colombia. La sede de esta importante exposición fué el moderno Centro de Eventos Puerta de Oro, en sus instalaciones se reunieron más de 80 empresas del sector, convocando a más de 2,000 visitantes.

El evento fue una oportunidad para conectar con fabricantes, distribuidores y profesionales del sector, además se ofrecieron actividades academicas como el VI Congreso Internacional el cual contó con más de 60 conferencias en 4 salas simultáneas, donde expertos tanto de Colombia como de diversos paises abordaron temas sobre calidad de aire interior, innovación, sostenibilidad y tendencias tecnológicas del sector HVACR.

Organizado por la Asociación Colombiana de Acondicionamiento del Aire y de la Refrigeración ACAIRE, la inauguración oficial se realizó en medio de un ambiente festivo con danzas típicas del caribe Colombiano, el discurso de apertura lo realizó el actual presidente de ACAIRE, Giovanni Barletta acompañado por el vicepresidente de ACAIRE Roberto D’Anetra; Andrea Bolaño, de ProBarranquilla; Michael LaGiglia, de AHRI; Carlos Mitroga, de la Cámara Chilena de Refrigeración y Climatización; Elsa Yáñez, de AMERIC; y Juan Carlos Zambrano, de VENACOR, en este solemne acto se realizó la promulgación de la nueva Ley de Infraestructura Hospitalaria y por la noche del primer dia del evento se convocó a un brindis nocturno donde se entregaron reconocimientos por su presencia en las diferentes ediciones del ExpoAcaire a las empresas que durante mayor numero de ediciones han participado destacando Tecam, Alfrío, Thermotar/Thermocoil y Laminaire. La ceremonia contó además de la presencia del actual presidente de ACAIRE Giovanni Barletta de tres expresidentes de ACAIRE, Gabriel Alfonso Jiménez, Renán Novoa y Rodrigo Pinzón. Cabe mencionar que REFRINOTICIAS AL AIRE participo como cada año en ExpoAcaire 2025 donde recibió en su stand a un importante número de clientes, amigos y publico lector tanto de Colombia como de diversas partes del Caribe y Sudamérica.

La sede de ExpoAcaire 2025 fué el moderno Centro de Eventos Puerta de Oro.
Los visitantes se dieron cita en Barranquilla, Colombia, en ExpoAcaire.
El actual presidente de ACAIRE acompañado de tres expresidentes de ACAIRE.
REFRINOTICIAS AL AIRE participo como cada año en ExpoAcaire 2025.

NUEVOS PRODUCTOS

Armstrong Fluid Technology

Nuevas Herramientas

Digitales

Diseñadas Para Crear Nuevo Estándar

Armstrong Fluid Technology ha lanzado dos nuevas mejoras a su plataforma Envelope: una solución digital integrada diseñada para optimizar el flujo de fluidos de HVAC mediante mapeo de rendimiento, análisis avanzado de datos y servicios de ciclo de vida.

La nueva aplicación Wrench, disponible en Google Play Store y Apple App Store, optimiza el mantenimiento y la gestión en campo de los equipos de Armstrong. Ofrece herramientas móviles para la configuración, puesta en marcha, operación y ubicación de activos, y elimina la introducción manual de datos y la necesidad de usar varios dispositivos.

En conjunto con Envelope Core de Armstrong Fluid Technology, Wrench permite el flujo de datos en tiempo real a través de la plataforma Envelope. Envelope Core rastrea y analiza los datos de los equipos para detectar problemas de forma tem-

Fabricante: Armstrong Fluid Technology Más información: armstrongfluidtechnology.com

Full Gauge Controls

prana y proporcionar información práctica. Las mejoras del Controlador de Bombas Design Envelope (DEPC) de Armstrong permiten que estas herramientas se integren con la plataforma Envelope.

Envelope Advisor aprovecha los datos existentes de los sistemas de construcción, evalúa el rendimiento y proporciona información operativa para la mejora continua. Envelope Advisor ofrece auditorías de rendimiento a nivel de edificio y cartera, así como detección y diagnóstico automáticos de fallos, en cumplimiento con la Guía 36 de ASHRAE y los informes de NABERS, para brindar información sobre la mejora de la eficiencia y recomendar acciones para lograr un alto rendimiento y operaciones sostenibles de primer nivel.

Todos los servicios de Envelope se prestan mediante una arquitectura de ciberseguridad Zero Trust, que utiliza el protocolo MQTT, lo que garantiza una conectividad segura y conforme con las normas de TI sin necesidad de conexiones VPN ni puertos de firewall de entrada abiertos.

Dos de sus Productos son Galardonados

En Febrava 2025, Full Gauge Controls fue doblemente galardonado, recibiendo el sello de innovación para dos productos que reflejan su ADN innovador y su compromiso con la excelencia tecnológica:

PCT-122E plus -El presostato dedicado para unidades condensadoras contribuye a la eficiencia energética del sistema de refrigeración. Cuenta con dos salidas analógicas para un control preciso de la succión y la descarga, así como tres salidas de relé ON-OFF para el encendido y apagado del compresor o del ventilador.

VX-1005E - Este controlador compacto y configurable para válvulas de expansión electrónicas es ideal para evaporadores pequeños. Proporciona un control completo de refrigeración, incluyendo sobrecalentamiento, temperatura, descongelación, ventilación, iluminación y alarmas, sin necesidad de un transductor de presión.

Fabricante: Full Gauge Controls

Más información: www.fullgauge.com

Robertshaw Lanza la Línea Mejorada de Refrigeración Comercial Ranco® 2025

Robertshaw, líder mundial en el diseño y fabricación de productos y sistemas de control industrial, y líder tecnológico reconocido en soluciones de control térmico y de flujo, anunció el lanzamiento de su línea de refrigeración comercial Ranco® 2025. Esta línea mejorada, con importantes productos nuevos y mejoras de los existentes, continúa el legado de innovación de la empresa Ranco, fundada en 1913.

La línea de refrigeración comercial Ranco® 2025 muestra la oferta de productos más completa y avanzada de la marca hasta la fecha, lo que la posiciona como una fuente confiable y única para componentes de refrigeración de alto rendimiento. Esta cartera ampliada incluye válvulas de inversión, secadores de filtro, controles de presión, interruptores de presión, controles de temperatura, mirillas y cuatro productos esenciales:

• Válvulas TXV: las válvulas de expansión termostáticas regulan con precisión el flujo de refrigerante en la bobina del evaporador, lo que mejora la eficiencia y garantiza un rendimiento constante del sistema.

• Válvulas de solenoide: diseñadas para un control superior del flujo de refrigerante, estas válvulas ofrecen un rendimiento óptimo tanto en entornos comerciales como industriales.

• Válvulas de bola: diseñadas para un flujo bidireccional sin fugas, las válvulas de bola Ranco también cuentan con un puerto de acceso opcional para un mantenimiento optimizado del sistema.

• Mangueras de absorción de vibraciones: estas mangueras aíslan y reducen de forma eficaz las vibraciones del sistema, disminuyen el ruido, minimizan el estrés mecánico y prolongan la vida útil del equipo.

Además, se realizaron mejoras en nuestras soluciones lanzadas recién para optimizar aún más el rendimiento del sistema, ya que incorporan materiales de filtro ultra premium, tecnologías avanzadas de sellado a prueba de fugas y diseños más compactos y eficientes en cuanto al espacio.

Los productos Ranco se encuentran en muchas de las marcas más populares del mundo, por lo que pueden cumplir con los requisitos de control de presión, temperatura y descongelación más exigentes. “Recientemente reconocimos el 125 aniversario de Robertshaw al celebrar ‘125 años de innovación’”, afirma John Hewitt, director general de Robertshaw. “Estamos entusiasmados de continuar nuestro legado de innovación con estos nuevos y emocionantes productos y características de Ranco”.

Fabricante: Robertshaw Información: www.robertshaw.com

LLEVÓ A CABO SU REUNIÓN DE SOCIOS DEL MES DE AGOSTO DE 2025

POR: LIC. ROBERTO ROJAS D.

COORDINADOR DE COMUNICACIÓN DE LA ASOCIACIÓN NACIONAL DE FABRICANTES PARA LA INDUSTRIA DE LA REFRIGERACIÓN ANFIR. FOTOGRAFIAS: REFRINOTICIAS AL AIRE.

El miércoles 27 de agosto del 2025 la Asociación Nacional de Fabricantes para la Industria de la Refrigeración ANFIR llevó a cabo su 8ª reunión general de socios ANFIR correspondiente al mes de agosto de 2025. La sede de la reunión fue el restaurante Correo Mayor en la zona norte de la Ciudad de México, ahí el Ing. Miguel Villalobos actual presidente de ANFIR presidio la junta de trabajo acompañado por el Ing. Andrés Cruz vicepresidente de ANFIR.

El orden del día de la reunión dio inicio con la presentación de la empresa Manufactura Especializada en Refrigeración MER por parte de su gerente general el Ing. Manuel Ballesteros quien solicita ser nuevo socio de ANFIR. Al término de la presentación de la empresa MER llego el momento de la presentación principal del día la cual se trató de la conferencia “Ciberseguridad, Panorama Actual Mundial” por parte de Santiago Fuentes director de la empresa Delta Protect, en su presentación se trató de forma amplia el importante tema de la ciberseguridad en las empresas en México y los factores a tener en cuenta para fortalecer sistemas y procesos evitando así los riesgos que implica el tener debilidades se seguridad informática actualmente.

Al término de la conferencia los Ings. Miguel Villalobos y Andrés Cruz hicieron entrega a nombre de ANFIR de un reconocimiento por su brillante presentación a Santiago Fuentes. Enseguida se dio paso a la presentación de los asuntos generales entre los que destaco la invitación por parte de la asociación a el tercer foro de sustentabilidad ANFIR el cual se llevara a cabo en el marco de AHR Expo Monterrey 2025 en el mes de septiembre. Para cerrar con broche de oro se realizó la toma de fotografía de grupo de los asistentes quienes se mostraron contentos y satisfechos por esta importante reunión.

REALIZÓ SU PRIMERA SESIÓN TÉCNICA DE LA NUEVA MESA DIRECTIVA 2025-2026

POR: LIC. PEDRO GARZA Z. LÍDER DEL COMITÉ DE COMUNICACIONES Y CO-LIDER DEL COMITÉ DE HISTORIA DE ASHRAE CAPÍTULO MONTERREY 2025-2026. FOTOGRAFIAS: ASHRAE CAPÑITULO MONTERREY.

El pasado jueves 14 de Agosto de 2025, ASHRAE Capítulo Monterrey realizó su segunda sesión técnica de la mesa directiva 2025-2026, bajo la presidencia de la Lic. Paula Segovia. El tema central fue “Incentivos Estatales para la Industria de la Fabricación y la Instalación de Aire Acondicionado y Refrigeración”, un encuentro que reunió a asociaciones, clústeres y dependencias gubernamentales con el objetivo de compartir oportunidades y fortalecer la competitividad del sector. Realizada por primera vez en horario matutino en los 26 años de historia del Capítulo, la sesión tuvo lugar en el Salón Fundadores del Casino Monterrey, iniciando puntualmente a las 8:30 a.m., con la conducción del Arq. Julián Padroin como maestro de ceremonias, quien dio la bienvenida a los asistentes.

A lo largo de la mañana, expertos de distintas entidades presentaron temas estratégicos: los beneficios de ASHRAE para la comunidad técnica (Lic. Paula Segovia), el ecosistema e incentivos energéticos del estado (Ing. Eleazar Rivera), pro-

de apoyo a empresas y clústeres (Cristóbal Cárdenas), incentivos para cadenas productivas con el programa Supply Hub (Sergio Casso) y el fortalecimiento de la cadena de valor energética (Pilar Anza). El evento también contó con la presencia de diversas asociaciones invitadas del sector, como la Illuminating Engineering Society (IES) Monterrey Section, fortaleciendo la red de colaboración técnica.

Al concluir las ponencias, y siendo esta una mañana organizada por el Comité de Transferencia de Tecnología (CTTC), el Ing. Donald Hay, en representación del Ing. Óscar Ricaño, líder de este comité, dirigió unas palabras y entregó un reconocimiento a la Lic. Marisa Jiménez de Segovia, Fellow Member de ASHRAE, expresidenta del Capítulo Monterrey (2006-2007) y miembro con derecho a voto en los Comités de Estándares 2.4 y 52.2, en honor a su destacada trayectoria y aportación técnica a la industria HVAC&R a nivel internacional. Este encuentro no solo representó un espacio de aprendizaje, sino también un ejercicio de vinculación que refuerza la colaboración entre sectores para detonar nuevas oportunidades para la región y para el crecimiento de la industria del aire acondicionado y la refrigeración.

La conferencia “Ciberseguridad, Panorama Actual Mundial” por parte de Santiago Fuentes director de la empresa Delta Protect.
Para cerrar con broche de oro se realizó la toma de fotografía de grupo de los asistentes quienes se mostraron contentos.
De Izq. A Der. Lic. Pedro Garza Zúñiga, Ing. Edmundo Robledo, Lic. Marisa Jimenez, Ing. Ruben Lopez, Sebastian Solis y Sergio Casso. gramas

CELEBRACIÓN POR EL 65 ANIVERSARIO DEL GRUPO RED FRÍO EN GUADALAJARA, JALISCO

El 11 de febrero del año 2012 en la ciudad de Guadalajara, Jalisco, el Grupo Red Frío llevó a cabo el gran festejo por su 65 aniversario de servir a México a través de la fabricación, comercialización y servicio en sus empresas

cuya sede se localiza en Guadalajara con REACSA, IDER y THERMOKING DE OCCIDENTE, quienes festejaban dicho aniversario, algo muy especial que bien ameritaba hacerlo acompañado de sus más distinguidos proveedores, clientes, empleados, familiares y amigos.

NOTICIAS BREVES

CENTRO REGIONAL DE SEGURIDAD HÍDRICA, GRUPO MODELO Y EMPRESAS INVITAN A STARTUPS Y UNIVERSIDAD A LA 3A EDICIÓN DE INNODROP

Grupo Modelo, el Centro Regional de Seguridad Hídrica, bajo los auspicios de la UNESCO (CERSHI) y en colaboración con la UNAM, lanzan la convocatoria para la 3a edición de INNODROP, Incubadora de Talento Hídrico, iniciativa que impulsa las ideas innovadoras para la sustentabilidad del agua en México a la que, en este año, se suman Grupo Herdez® y Niagara Bottling México.

INNODROP tiene como objetivo impulsar a startups y estudiantes universitarios para

EL PAPEL DE LA CADENA DE FRÍO EN LA SEGURIDAD

ALIMENTARIA: LA HIGIENE QUE NO SE VE

En cada comida que servimos, hay una confianza implícita: que los ingredientes son seguros, frescos y libres de contaminación. Esa confianza descansa en las buenas prácticas de higiene visibles —como lavarse las manos o desinfectar superficies—, pero no suele contemplar aquellos procesos que no vemos. Entre

desarrollar proyectos disruptivos de alto impacto, que contribuyan a la creación de comunidades hídricas resilientes y sostenibles. A través de capital semilla y asesoría especializada, los participantes tendrán la oportunidad de proponer soluciones disruptivas, aplicables y escalables para enfrentar los desafíos hídricos derivados del cambio climático.

Como en sus dos ediciones anteriores, la convocatoria cuenta con dos categorías: startups y estudiantes universitarios. Respecto a las startups, podrán participar aquellas con operaciones en cualquier estado de la República. En el caso de estudiantes, la convocatoria se dirige a alumnas y alumnos inscritos en licenciatura, maestría o doctorado de cualquier universidad de

ellos, la cadena de frío alimenticia desempeña un rol esencial para preservar la inocuidad desde el origen hasta el consumidor final.

El Día Mundial de la Higiene de Manos, la atención pública se centra en la importancia de lavarse las manos correctamente. Sin embargo, es momento de ampliar esa conversación. Porque la higiene no se limita al momento en que tocamos los alimentos: comienza mucho antes, en

Al medio día se llevó a cabo una misa de acción de gracias por cumplir dicho aniversario y orar en memoria de los fundadores y pedir por el bienestar de la organización. Terminada la ceremonia religiosa los invitados se dirigieron a la “Hacienda de la Torrenza” en su centro de eventos, donde se sirvió la

México. En el caso de los estudiantes interesados, se deberán formar equipos interdisciplinarios de 2 a 5 personas.

Los equipos seleccionados participarán en actividades presenciales en la Ciudad de México, donde contarán con el apoyo de mentores, expertos y un jurado de alto nivel para potenciar sus ideas y convertirlas en proyectos viables.

Todos los proyectos deben tener como objetivo avanzar en la construcción de un México con seguridad hídrica y atender uno o más de los siguientes temas prioritarios:

• Ecosistemas sanos

• Comunidades resilientes

• Producción agrícola eficiente

• Procesos industriales circulares

cada punto logístico donde una temperatura controlada previene la proliferación de bacterias y mantiene la calidad de lo que comemos.

comida con un delicioso menú para concluir con una exquisita variedad de postres.

Durante la celebración se hizo entrega de reconocimientos a proveedores y colaboradores y para cerrar con broche de oro se realizó un gran baile que termino hasta bien entrada la noche.

“Con la tercera edición de INNODROP renovamos nuestro compromiso con la innovación como clave para enfrentar los retos de la seguridad hídrica. En Grupo Modelo creemos que la sustentabilidad es la esencia de nuestro negocio y este es el espacio para que juntos sembremos y hagamos crecer el talento que genere soluciones capaces de transformar la realidad hacia un mañana más sustentable”, destacó Soqui Calderón, directora de Sustentabilidad de Grupo Modelo.

ESCANEÉ PARA MÁS NOTICIAS DE LA INDUSTRIA HVACR

Menos Ruido

Más Eficiencia:

Así Transforma la Cadena de Frío a las Ciudades

ADEMÁS EN NUESTRO NÚMERO...

Copeland Presentará Soluciones Climáticas Sostenibles en FEBRAVA

EDICIÓN 7 / VOLUMEN 1 / SEPTIEMBRE 2025
Thermo King Presentó el Nuevo Modo de Funcionamiento para las Unidades Advancer

Estimados Lectores...

Actualmente el ahorro de energia es vital tanto en el ambito habitacional como en el comercial ya que el costo del consumo de energia es cada vez mayor por ello las formas alternativas y sustentables de obtención de energia limpia son cada vez más importantes, en este contexto se encuantran los paneles solares industriales los cuales a diferencia de los sistemas residenciales están diseñados para operar en instalaciones de gran escala como fábricas, almacenes y plantas productivas.

Funcionan a través de módulos fotovoltaicos que captan la radiación solar y la convierten en electricidad, la cual puede ser utilizada directamente o almacenada. Su implementación permite a las empresas depender menos del suministro eléctrico convencional y estabilizar sus costos energéticos a largo plazo.

Portada

Menos Ruido, Más Eficiencia: Así Transforma la Cadena de Frío a las Ciudades.

Imagen: DREAMSTIME

Su uso permite a los propietarios y operadores reducir importantes gastos operativos entre los que se encuentran el Consumo eléctrico con una reducción significativa en la factura de energía; una menor demanda pico con la consiguiente menor exposición a tarifas elevadas por consumo en horas de consumo critico; Mantenimiento de equipos menor al estabilizar el suministro, alargando la vida útil de la maquinaria; Menores costos fiscales derivados de las deducciones o estímulos gubernamentales que existen en diversos paises.

En este contexto es importante mencionar que diversos análisis del sector energético indican que el retorno de inversión de los paneles solares industriales puede lograrse en un plazo promedio de entre 3 y 5 años. Este periodo varía en función del tamaño del sistema, la ubicación geográfica y el perfil de consumo eléctrico de cada empresa. Esta recuperación relativamente rápida convierte a esta tecnología en una opción estratégica para reducir costos fijos y mejorar la rentabilidad operativa.

Más allá del ahorro energético inmediato, las empresas que implementan paneles solares industriales pueden beneficiarse indirectamente al fortalecer su compromiso ambiental, mejorar su imagen corporativa y prepararse para futuras regulaciones sobre emisiones. Además, la estabilidad energética puede evitar interrupciones costosas en la producción.

Con información de: Lucerna Energy.

El Editor.

EDICIÓN 7 · VOLUMEN 1 · SEPTIEMBRE 2025

DIRECTORIO

DIRECCION GENERAL

ROBERTO ROJAS JUAREZ

DIRECTOR EDITORIAL

ROBERTO ROJAS DAMAS

ADMINISTRACIÓN

MARTHA D ARAUJO

DISEÑO

MONICA SANCHEZ

PUBLICIDAD

REFRINOTICIAS AL AIRE

MEXICO: (+52) 55 5740 4476 55 5740 4497

cord.editorial@refrinoticias.com

OFICINAS GENERALES

BURO DE MERCADOTECNIA DEL CENTRO, S.A. Playa Revolcadero 222 Col. Reforma Iztaccihuatl Norte 08810, CIUDAD DE MEXICO

MEXICO: +52 555 740 4476 555 740 4497

www.refrinoticias.com/natural

Propuestas de envío de artículos por email: cord.editorial@refrinoticias.com

REFRINOTICIAS natural

COMUNICACIÓN DE LAS TECNOLOGÍAS

NATURALES EN EL CONTROL DE LA TEMPERATURA Y SUSTENTABILIDAD

Publicado Mensualmente por:

© BURO DE MERCADOTECNIA DEL CENTRO, S.A.

A menos que se indique lo contrario en artículos y contenidos específicos. Registro en tramite.

PRODUCIDO, EDITADO E IMPRESO EN MEXICO

Menos Ruido Más Eficiencia:

Así Transforma la Cadena de Frío a las Ciudades

Por: Redacción Con información e Imagenes de: Thermo King

En las ciudades donde la actividad económica y logística no se detiene, el sonido de motores y sistemas de reparto se ha vuelto parte del paisaje urbano. Sin embargo, ese ruido constante —muchas veces provocado por la cadena de frío móvil— representa un desafío creciente para la calidad de vida en entornos densamente poblados. A medida que los sectores de salud, alimentos y retail intensifican sus operaciones, se vuelve crucial hablar del impacto sonoro que generan sus sistemas de distribución.

De hecho, datos de la Organización Mundial de la Salud (OMS) indican que el ruido es la segunda causa ambiental de problemas de salud, justo por detrás de la contaminación atmosférica. Trastornos del sueño, estrés crónico, deterioro cognitivo y enfermedades cardiovasculares son algunas de sus consecuencias.

Por eso, la evolución hacia una cadena de frío más silenciosa se erige como un nuevo frente de innovación que comienza a tomar relevancia, más allá de los avances en movilidad limpia y reducción de emisiones –que no dejan de ser indispensables—. Y en particular, las tecnologías que apoyan un bajo nivel de ruido en el transporte refrigerado, una mejora crucial en ciudades donde el confort acústico es cada vez más valorado.

“Ahora, además de apoyar la eficiencia energética y sustentabilidad, es importante prestarle más atención al ruido generado por los equipos de refrigeración móvil, ya que también tiene un impacto directo en la calidad de vida urbana. La transición hacia soluciones eléctricas es un tema de responsabilidad social”, señala Ivan Collazo, gerente comercial de Thermo King Latinoamérica.

Refrigerar sin ruido, una necesidad urbana

México ocupa el octavo lugar en el ranking de ciudades más ruidosas del

mundo, según la OMS, en parte debido a la contaminación acústica generada por operaciones logísticas como las de la cadena de frío. Las entregas frecuentes y el uso de sistemas de refrigeración diésel en vehículos de distribución generan un zumbido constante que afecta directamente la experiencia urbana.

Por otro lado, la expansión de sectores clave como el farmacéutico, alimentario y de comercio electrónico ha impulsado una creciente demanda de soluciones logísticas refrigeradas. De hecho, se estima que el valor del mercado mexicano de logística de cadena de frío pasará de 4.56 mil millones de dólares en 2024 a 8.17 mil millones en 2029, de acuerdo con un informe de Mordor Intelligence.

Aunque esta evolución responde a necesidades reales de distribución y cobertura, también pone sobre la mesa nuevos retos para las empresas que operan en entornos urbanos: reducir su huella acústica sin sacrificar eficiencia. Por ello, invertir en tecnologías más limpias y silenciosas dentro de la cadena de frío no solo es una decisión operativa, sino también estratégica

Tecnología para una cadena de frío más silenciosa

Entre las soluciones tecnológicas más destacadas que permiten refrigeración sin ruido ambiental, se encuentran:

• Sistemas de refrigeración eléctrica que eliminan uso de motores diésel.

• Silenciadores y contención del ruido que fungen como componentes diseñados especialmente para reducir el ruido, además de tecnologías de contención para evitar que este se filtre.

• Sensores inteligentes que utilizan la delimitación geográfica para detectar las áreas sensibles al ruido. Esto permite que entren en modo “ultrasilencioso” para realizar una entrega y regresar al modo de funcionamiento normal cuando salen de dicha zona.

• Aislamiento acústico optimizado en el diseño de la unidad para evitar la propagación del sonido.

• Integración con sistemas telemáticos para monitorear remotamente el rendimiento térmico sin intervención humana directa.

Estas tecnologías no solo cumplen con normativas de ruido cada vez más estrictas, sino que también responden a una creciente exigencia social por entornos urbanos más silenciosos y amables.

Beneficios silenciosos, impacto medible

Los beneficios de reducir el ruido logístico no se limitan al confort acústico. Incluyen impactos positivos en salud, eficiencia operativa y percepción ciudadana:

• Mejora la calidad del sueño en zonas residenciales.

• Reduce el estrés y la irritabilidad provocados por el ruido continuo.

• Disminuye el riesgo de enfermedades cardiovasculares asociadas a la exposición prolongada al ruido.

• Favorece la aceptación social de operaciones logísticas en zonas urbanas.

• Permite entregas nocturnas sin afectar la convivencia urbana.

Hacia ciudades más silenciosas

La lucha contra la contaminación acústica por vehículos ya no es una preocupación exclusiva de urbanistas o autoridades ambientales. En este escenario, la cadena de frío se convierte en un eje clave para la construcción de ciudades más sustentables y competitivas. Desde soluciones eléctricas hasta monitoreo inteligente, el sector tiene hoy la capacidad de transformar su impacto en el entorno.

Además del cumplimiento normativo, avanzar hacia una cadena de frío más silenciosa se traduce en ventajas de negocio: operaciones más flexibles, reputación fortalecida, adaptación a zonas sensibles y mejora de la experiencia de cliente. En un mercado donde sustentabilidad, eficiencia y responsabilidad social ya no son opcionales, el silencio —literal y estratégico— puede ser una poderosa ventaja competitiva.

“Una entrega que no se escucha es una entrega que respeta el espacio común. En la logística del transporte refrigerado, el silencio es un factor que cada vez adquiere más relevancia, porque el bienestar urbano también se mide en decibeles”, concluye Ivan Collazo.

Copeland Presentará Soluciones

Climáticas Sostenibles en FEBRAVA 2025

Copeland, proveedor global de soluciones climáticas sostenibles, participará en la FEBRAVA 2025, feria del sector HVAC-R en Sudamérica, que se llevará a cabo del 9 al 12 de septiembre en el São Paulo Expo - Brasil. La empresa presentará sus últimas innovaciones en soluciones climáticas sostenibles, reforzando su compromiso con un futuro sostenible.

Se espera que la industria de HVACR en Brasil debería alcanzar aproximadamente R$ 54 mil millones en 2025, de acuerdo con proyecciones de la Asociación Brasileña de Refrigeración, Aire Acondicionado, Ventilación y Calefacción – ABRAVA.

La presencia de Copeland en FEBRAVA 2025 demostrará cómo su enfoque en la innovación ofrece soluciones que responden a los retos críticos una industria en crecimiento, incluyendo la reducción de emisiones de carbono a través de la transición

energética, la protección de productos criticos a través de la cadena de frío y la transición a refrigerantes naturales y con bajo potencial de calentamiento global (GWP).

Entre las innovaciones clave que se presentarán se incluyen:

Unidades condensadoras para exteriores Copeland ZX y ZXV: diseñadas para aplicaciones de temperatura media y baja, estas unidades ofrecen una eficiencia y durabilidad excepcionales.

Compresores scroll Copeland: optimizados para su uso con refrigerantes naturales y de bajo GWP, incluidos R-290, A2L y CO2 en aplicaciones de refrigeración, calefacción y refrigeración a baja, media y alta temperatura.

Variadores de frecuencia Copeland EVM: variadores de frecuencia de alta eficiencia diseñados para entornos comerciales.

Productos Nuevos

Circuladores S&H

Armstrong Fluid Technology ha presentado cinco nuevos modelos de circuladores S&H (H-32, H-41, S-25, S-35 y S-45/S46). Estos nuevos circuladores incluyen un motor ECM de 1/3 hp que ahorra un 20 % de energía. Todos los circuladores S&H están disponibles con lubricación permanente y diseño sin mantenimiento. Al comentar sobre el lanzamiento de los nuevos modelos y el motor ECM de bajo consumo, Tanvir Rahman, Gerente de Oferta de Productos de Construcción Estándar, señaló: “Los circuladores ECM de S&H presentan un diseño duradero y probado que puede utilizarse en cualquier tipo de instalación residencial o comercial ligera. armstrongfluidtechnology.com

RadiPac EC

En Alemania el fabricante ebmpapst presentó los nuevos ventiladores centrífugos RadiPac EC de ebm-papst son una solución desarrollada específicamente para unidades de tratamiento de aire, que ofrece una eficiencia energética excepcional, bajos niveles de ruido y una puesta en marcha sencilla. No solo suministran los caudales de aire estándar de hasta 2,330 m³/h con suficiente reserva de presión para el funcionamiento con aire recirculado en salas blancas, sino que también alcanzan niveles de eficiencia superiores al 60 % gracias a la tecnología EC y a la última generación de impulsores RadiPac. www.ebmpapst.com

Sistema de monitorización remota Copeland XWEB: una plataforma digital avanzada para gestionar la refrigeración, el aire acondicionado y los servicios públicos.

Centrífuga sin aceite Copeland con tecnología de cojinete Aero-liftTM: Un sistema de compresión sin fricción que elimina la necesidad de aceite lubricante y ofrece un rendimiento eficiente, robusto y fiable en aplicaciones de enfriadores refrigerados por aire o agua.

El compresor centrífugo sin aceite es una de las nueve tecnologías de Copeland reconocidas con el Premio Sello de Innovación FEBRAVA 2025.

Copeland también realizará una conferencia de prensa, liderada por Daniel Rohe, gerente general de Sudamérica; Fernando Llopart, vicepresidente de América Latina; Joana Canozzi, directora de servicios de ingeniería Sudamérica; y André Stoqui, director de negocios Sudamérica.

www.copeland.com

Unidades Advancer

La compañia Thermo King®, ha presentado al mercado un nuevo modo de funcionamiento para sus unidades de refrigeración para remolques Advancer. Esta nueva función, denominada ECOmode, ofrece a los clientes un equilibrio inteligente entre un control de temperatura más preciso y un menor consumo de combustible. Además de los modos de funcionamiento Continuo y CycleSentry (arranque-parada), ECOmode ofrece una reducción del consumo de combustible de hasta un 50 % en comparación con el funcionamiento continuo, a la vez que mantiene un control de temperatura significativamente más preciso que el modo CycleSentry.

europe.thermoking.com

REFRINOTICIAS

Hisense HVAC

Hi-Power Competition Elevates Team

Capabilities Across Hisense HVAC Americas

Daikin

Signs Mou with the Government of Senegal and the Senegal-Japan Vocational Training Center

Fronius

Open House at the Meinerzhagen Location

ENGIE DEUTSCHLAND AND THE

MUSEUM EXTEND THEIR PARTNERSHIP

Asia & Oceania

Hisense HVAC

Hi-Power

Competition Elevates Team

Hisense HVAC was established in 2003. It integrates technology development for commercial and residential central air conditioners, product manufacturing, marketing and service as a whole. With the unremitting pursuit of professionalism and user comfort, Hisense HVAC is committed to becoming a market leader in the industry.

Daikin

Capabilities Across Hisense HVAC Americas

Signs Mou with the Government of Senegal and The Senegal-Japan Vocational Training Center

From June to July, the Hisense HVAC Americas Region conducted the Hi-Power capability enhancement competition, with over 40 employees from sales, technical, service, and management teams participating. Following preliminary rounds, the finals took place on July 15th–16th in Mexico City. Through topic-based presentations, participants shared insights, reflected on their roles, and proposed operational improvements.

The event highlighted the team’s professionalism and innovative thinking while strengthening collaboration and knowledge-sharing—enhancing their ability to serve customers more effectively. Hisense HVAC remains committed to talent development and teamwork as key drivers of future success.

www.hisensehvac.com

Europe & Africa

Daikin Industries, Ltd. announced that it has signed a memorandum of understanding (MOU) with the Government of Senegal and the Senegal-Japan Vocational Training Centre (CFPT-SJ), together with the Japan International Cooperation Agency (JICA), Toyota Tsusho Corporation, NEC Corporation, Toda Corporation, and Yamaha Motor Co., This MOU outlines the provision of training programs to support the development of skilled industrial talent.

The MOU specifies that the parties will cooperate to build Senegal’s industrial workforce. Daikin intends to provide a training program for the CFPT-SJ starting in 2026, focused on developing after-sales service personnel in the air conditioning sector. In recent years, the demand for an industrial workforce in Senegal has become increasingly sophisticated and diversified, requiring the development of human resources aligned with market and industry needs.

www.daikin.com

... it was all about battery chargers. Based on this idea, Günter Fronius, a trained high-frequency engineer, founded the family business in 1945 in Pettenbach, a tranquil Alpine town in Upper Austria. Car batteries were expensive, and chargers were scarce – Fronius provided a solution with its production. The beginning of a success story... As early as 1950, company founder Fronius recognized the inadequate energy utilization of welding converters of the time. He subsequently developed the adjustable welding rectifier from a powerful charger – energy was now used much more efficiently.

Fronius Open House at the Meinerzhagen Location

On June 26, 2025, an open house was held at the Fronius Sales and Service team’s location in Meinerzhagen. Guests were treated to a diverse program featuring new products, automation solutions, and services, presented live at practical stations and during expert presentations.

In September 2023, the Fronius sales and service team, formerly based in Siegen, moved into its new location in the Grünewald industrial park. Spanning two floors and a total area of over 1,000 m², the facilities offer ample space for storage, service, and application technology areas, as well as modern office space and a spacious meeting room.

Practical Stations & Presentations

The new location offered optimal spatial

conditions for guests to demonstrate practical welding applications, both manual and automated, live at the open house. At numerous practical stations, Fronius experts showcased new products, innovative welding processes, and automated welding solutions. Two presentations rounded out the day’s program. In his presentation on “iWave for Automated Welding Solutions,” the speaker highlighted the advantages of the innovative TIG welding system in industrial manufacturing and its versatility. The presentation on the “Fronius Business Academy” provided information about the company’s extensive training and continuing education offerings.

Solar & Energy Presents Energy Solutions

The Fronius Solar & Energy division was represented with two information booths on

www.fronius.com

this day. Fronius employees advised guests on Fronius product solutions, covering complete photovoltaic systems and innovative energy solutions. They also gained exciting insights into efficient charging solutions for industrial trucks used in intralogistics.

A Complete Success

The open house at the Meinerzhagen site was a complete success. Guests and their Fronius contacts were seen engaged in deep conversations everywhere. Information was exchanged and long-standing customer relationships were nurtured.

North America

The SEER Group

The SEER Group LLC is a collection of industry-leading residential and commercial HVAC, electrical, and plumbing companies. Our mission is to provide exceptional residential and commercial services by upholding the legacies of our brand partners, empowering their growth, elevating performance, and enhancing the quality of life in the communities we serve. Through flexible investment solutions, The SEER Group provides trade services entrepreneurs with business support and the opportunity to plan their legacies through the sale of all or part of their businesses, depending on their goals.

Expands Northwest Presence With Acquisition of Oregon’s Associated Heating & Air Conditioning

The SEER Group announce its continued expansion in the Pacific Northwest through the acquisition of Associated Heating & Air Conditioning, a trusted HVAC leader serving Lane County and surrounding communities since 1978. Known for its reputable service, strong customer guarantees, and community-first values, Associated joins SEER’s family of brands as a model of longevity and local leadership.

Led by Kevin Brooks and Trisha Peterson, Associated Heating & Air Conditioning has been

Middle East

AESG

a cornerstone of the greater Eugene area for nearly five decades. Built on a foundation of technical excellence, expertise, and a 100% satisfaction guarantee, the company has earned its reputation one home at a time. That standard will continue under SEER’s support.

Associated’s customers will continue to be served by the same trusted team, now backed by SEER’s expanded resources, operational support, and network of partner brands.

theseergroup.com

Eaton and Siemens Energy

Join Forces to Provide Power and Technology To Accelerate the New Data Center Capacity

Intelligent power management company Eaton, and Siemens Energy, have announced a fast-track approach to building data centers with integrated onsite power. They will address urgent market needs by offering reliable grid-independent energy supplies and standardized modular systems to facilitate swift data center construction and deployment.

The collaboration will enable simultaneous construction of data centers and associated on-site power generation with grid connection and the integration of renewables to meet regional regulatory requirements, if required.

www.siemens-energy.com

AESG is a world-leading specialist consultancy, engineering, and advisory firm with headquarters in London, Singapore, Riyadh, Dubai, and Abu Dhabi. We operate on a global scale, delivering projects across Europe, the Middle East, Asia, Africa, Australia, and the United Kingdom. Driving advanced performance within the built environment, we pride ourselves on being industry leaders in each of the services we offer. Our expansive team comprises some of the largest dedicated specialist consultancy professionals, working on projects within the building, urban planning, infrastructure, and strategic advisory sectors.

Saudi Supreme Authority for Industrial Security (SAIS) Licences AESG to Support the Kingdom’s Petroleum, Power, Mining, and Industrial Sectors

The Saudi Ministry of Interior (MoI) represented by the Supreme Authority for Industrial Security (SAIS), formerly known as the High Commission for Industrial Security (HCIS), has awarded AESG a licence to provide Fire and Life Safety (FLS) consultancy services across key industrial and infrastructure sectors, making it among the first international consultancies to achieve this accreditation. The approval positions AESG to play a pivotal role in ensuring compliance with SAIS Safety and Fire (SAF) directives across flagship Vision 2030 projects. These include planned nuclear power plants, vital electricity and water initiatives, large-scale manufacturing and petrochemical facilities, chemical,

gas and mining sectors, as well as critical infrastructure such as railways, telecommunications, and ports.

Eng. Ali bin Mohammed Al-Zahrani, Governor of the Supreme Authority for Industrial Security (SAIS), said: “The safety of facilities and their workers, and ensuring the continuity of operations, is an investment in the future and an added value to achieve sustainability and the success of national business systems. By establishing strong legislation built on the best local standards, experiences, and forward-looking global practices, we can ensure that security and safety remain central to the Kingdom’s industrial and infrastructure development.”

To date, AESG has helped safeguard over SAR 30 billion worth of built assets, including iconic projects such as NEOM, the Red Sea International Airport, projects in the Diriyah Gate district, and more, representing millions of square metres of facilities in the country. With the SAIS licence now in place, AESG is well positioned to contribute to the more than SAR 262 billion being invested annually in Saudi industrial and infrastructure projects.

AESG’s scope of services under the licence will encompass the full breadth of FLS consultancy, from SAIS SAF directives compliance guidance to the delivery of practical, high-impact solutions designed to be simple, effective, and achievable.

ENGIE DEUTSCHLAND AND THE MERCEDES-BENZ MUSEUM EXTEND THEIR PARTNERSHIP

It is an architecturally fascinating building and the only place in the world that showcases the automotive and corporate history of Mercedes-Benz from the very beginning: The Mercedes-Benz Museum in Stuttgart is home to around 160 vehicles and more than

1,500 exhibits on an exhibition area of 16,500 square meters on a total of nine levels. Completed in 2006, the museum has welcomed around 800,000 visitors per year since then. In addition, up to 200 events, corporate events, and the museum’s own events take place in the extraordinary premises every year. In order to offer guests a special experience at all times, smooth processes and the sustainable preservation of the building technology are high priorities. To this end, the MercedesBenz Museum relies on the expertise of ENGIE Deutschland for technical building management, as Silke Knebel, Museum Development and Operations Manager, emphasizes: “The Mercedes-Benz Museum is our group’s calling card. We are delighted to have ENGIE Deutschland as a reliable and experienced partner in the field of facility services at our side, as our collaboration has proven very successful.”

ENGIE DEUTSCHLAND

ENSURES VALUE RETENTION

ENGIE Deutschland has been responsible for techni-

cal building management in all public and non-public areas of the museum building, in the connecting building with the shop, in the catering facilities including all designated kitchen areas, and in all technical systems on the Mercedes-Benz Museum site since 2018. Both partners have now extended the contract to the same scope. ENGIE specialists will continue to be responsible for the energy-efficient and smooth operation of all systems –from room air conditioning and refrigeration technology to fire protection, electrical, telecommunications, and information technology, right through to kitchen technology. In addition, they will provide technical support for all events and, with immediate effect, will also assist with event management, from small conferences to large events lasting several days. For this, a team of ten is on site on all 315 opening days per year, and there is also a 24/7 emergency service. Alexander Häfele, Head of Facility Management in the Facility Solutions division at the Stuttgart branch and responsible for the project at ENGIE Deutschland, says: “The Mercedes-Benz Museum has been a crowd puller for many years – and we at ENGIE Deutschland are delighted to contribute to this success through the smooth technical operation and brand-appropriate appearance of the building and the technical outdoor facilities.

ENGIE Deutschland once again awarded contract for technical building management and event management support.

Through high-quality facility services, the team of experts ensures the appearance and value retention of the building with all its technical systems – both inside and outside.

The multi-year contract follows on from the successful collaboration that has been in place since 2018 in the impressive building.

For our team, the fact that our cooperation is now being extended and expanded is a great recognition of our work, and we will continue to provide our customer with facility services of the highest standard.” In addition to the Mercedes-Benz Museum, ENGIE Deutschland also looks after the adjacent Mercedes-Benz Center; this contract has also been in place since 2018.

With information and images by: ENGIE Deutschland GmbH.
Image: ENGIE Deutschland GmbH.
Spectacular architecture for exceptional cars: The Mercedes-Benz Museum extends its technical building management partnership with ENGIE Deutschland.

Turn static files into dynamic content formats.

Create a flipbook
Issuu converts static files into: digital portfolios, online yearbooks, online catalogs, digital photo albums and more. Sign up and create your flipbook.