Skip to main content

Quantum Perspectives ed. 1

Page 1


EXCLUSIVE Interview Series: The Institutes Coordinating Ecosystems of Measurement Platforms Scientific Collaboration and Innovation Across the Globe

The union of scientific legacies - QD + OXFORD New Record in Nickel-Based Superconductivity

Choosing the Right Cryostat

REVIEW: MagnetoOptics in Quantum Light and Matter 2025

CASE STUDY: Advanced Materials Characterisation Suite, University of Cambridge

hileourcompanyQuantumDesign(QD)wasfoundedinSan Diegoin1982,itsheritageextendsbackto1959throughthe integrationofQuantumDesignOxford.Inthosedecades,we haveworkedinclosepartnershipwithresearchers,universities, andindustryleadersaroundtheworld.Ourrolehasalwaysbeen collaborative:listeningcarefully,engineeringthoughtfully,and buildingmeasurementplatformsthatevolvealongsidethe scientificquestionstheyaredesignedtoanswer.

Thestoriesinthisissuereflectthatsharedprogress.Each achievementrepresentsatruecollaboration—where instrumentationexpertiseandscientificvisioncometogether.Our globalnetworkcontinuestogrowstrongerwiththelaunchof QuantumDesignOxford,reinforcingourcommitmenttolocal engagementsupportedbyglobalcoordination.

Innovationthrivesattheintersectionofacademiaandindustry Byworkingside-by-sidewithourcustomersandpartners,we helptranslatefundamentalresearchintopracticaltechnologies —enablingdiscoveriesthatextendfromquantummaterialsto real-worldapplications.

Wearegratefulforthetrustplacedinusandproudtocontinue ad-vancingsciencetogether,acrossborders.applicationsand disciplines.Astheboundariesofsciencecontinuetoexpand,we remaindedicatedtosupportingtheresearchersandinnovators whopushthemforward,andtohelpingenableyourjourney towardthenextdiscovery.

All reasonable care has been taken in the preparation ofthispublicationtoensurethatnocopyrighthasbeen infringed and that all content is used with appropriate permission, licence, or attribution where required. Everyefforthasbeenmadetoverifytheaccuracyofthe informationcontainedwithinthismagazineatthetime of publication. However, the publisher cannot accept responsibility for any errors, om-issions, or inaccuracies, or for any consequences arising from the use of information contained herein.The views and opinions expressed by contributors or advertisers are those of the respective authors and do not necessarily reflecttheviewsofthepublisher.

COPYRIGHTANDDISCLAIMER

All trademarks, product names, company names, and logosremainthepropertyoftheirrespectiveowners. Ifyoubelieveanymaterialhasbeenusedinerror,orif you have concerns regarding accuracy, attribution, or copyright, please contact us at: emily@qd-uki.co.uk We will investigate promptly and take appropriate action wherenecessary.

© 2026 Quantum Design UK and Ireland. All rights reserved. No part of this publication may be reproduced,storedinaretrievalsystem,ortransmitted in any form or by any means without prior written permissionofthepublisher

Over 40 Years of Driving Scientific Discovery

Fuantum Design (QD), founded in 1982 in San Diego, is a global leader in automated materials characterization systems supporting research in physics, chemistry, biotechnology, materialsscienceandnanotechnology.

Through its strategic integration of Quantum Design Oxford, founded in 1959, QD now offers colder, sub-Kelvin temperatures and higher magnetic-fields to deliver comprehensive, endto-endresearchsolutions.

Founders: David Cox, Barry Lindgren, Michael Simmonds,andRonaldSager

QDinstrumentsarefoundintheworld'sleading research institutions and have become the reference standard for a variety of magnetic and physicalpropertymeasurements.

The perfect combination of teaching and research measurement platform for physics education and student laboratories.

Features:

Compact size and portability requires less lab space

Temperature range of 50 - 400 K

No need for liquid cryogens

Runs almost all PPMS measurement options

No high power requirement

An ideal solution for physics education classes and labs

Science Education in Action Discovery Teaching Labs Celebrates

Grand Opening

Ceremony at Stony Brook University

On October 22, 2025, an important milestone in experiential science education was marked at Stony Brook University with the inauguration of the Quantum Design Teaching and Materials Discovery Laboratory — a space designed not only for experimentation, butforforgingthenextgenerationofscientificthinkers.Theceremony,attended by representatives from Quantum Design in partnership with Lake Shore Cryotronics, underscored a broader movement toward integrating advanced instrumentation into undergraduate curricula to deepen hands‑on learning andglobalscientificcollaboration.

The new facility, established as part of the Discovery Teaching Labs (DTL) initiative,representsastrategiceffortto embed real world research equipment into foundational physics and materials science education. For Stony Brook University—arespectedinstitutionwith alonghistoryofacademicexcellence— the investment signifies a commitment to bridging the gap between theoretical knowledge and practical application for students preparing to enter scientific careers.

The new facility, established as part of the Discovery Teaching Labs (DTL) initiative, represents a strategic effort to embed real world research equipment into foundational physics and materials science education. For Stony Brook University arespectedinstitutionwitha long history of academic excellence — the investment signifies a commitment to bridging the gap between theoretical knowledge and practical application for students preparing to enter scientific careers.

A LABORATORY FOR LEARNING AND INNOVATION

At the heart of the teaching lab are instrumental platforms such as the PPMS VersaLab system and the M91 FastHall™ measurement station — tools commonly found in advanced research environments. These instruments allow students to explore fundamental material properties under variable magnetic fields and temperature conditions, bringing abstract concepts from lectures into the tangiblerealmofexperimentation.

Rather than serving purely as demonstrationequipment,thesesystemsarefully operational research platforms. Their inclusion in undergraduate lab courses is intended to help students develop the practical skills and confidence needed to contribute meaningfully to complex scientificproblems.Byinteractingwithindustry standard instruments early in their academic journey, students gain a deeper sense of what modern scientific inquiry entailsandhowtheorythentranslatesinto discoveryfurtheron.

In his remarks at the opening ceremony, Chief Executive Officer of Quantum Design, Stuart Schoenmann, reflected on thebroadersignificanceofthepartnership withStonyBrook:

“Today’s students face tremendous challenges… Our goal is to help create opportunities for them to think, test, and innovate — to connect theory and experimentation in real time using tools that make discovery tangible.”

For Stony Brook’s academic leadership, the impact of the facility extends beyond its equipment. David Wrobel, Dean of the College of Arts and Sciences, emphasized that the new lab symbolizes “a commitment to high‑impact learning” — a space where students are not just taught aboutscience,butareinvitedtopracticeit asemergingresearchersandinnovators.

LOOKING AHEAD: A SPRINGBOARD FOR COLLABORATION

The opening of the Stony Brook teaching lab is part of a larger narrative that connects institutional ambition with global scientific trends — including the growing emphasis on interdisciplinary education, workforce readiness, and the integration of research and teaching. As universities aroundtheworldseektopreparestudents for careers in science and technology, models like DTL offer a compelling blueprintforcollaborativeinnovation.

Partnering Academia and Industry to Shape Future Innovators

Our Approach

TheDiscoveryLabInitativeseekstopartnercolleges and universities with leading technology companiestodevelopnewcurriculaemphasizing hands-onexperientiallearning.Byintroducingindustry-standard research instruments, students areinspiredto“taketheoryintopractice”,thereby bettertrainingthemselvestobesuccessfulinthe nextstageoftheirscientificcareers.

Increasing career potentials through more robust science education Enhancing curricula by providing hands-on instrumentation

Accelerating the development of future scientists, leading to research and technologial innovation

Discovery Teaching Labs

Bring Advanced Instruments into University Curricula

PARTNER UNIVERSITIES

Prepared Curricula Education Modules

13(andgrowing)freelyavailableeducation moduleseachwithdetaileddescriptions andmethodologiesincluding:

HallEffectMeasurementinCopper

HallEffectMeasurementin Germanium

YBCOSynthesisand Characterization

Fe O (Magnetite)Electronic Characterization 3 4

HeatCapacityMeasurementof VanadiumOxidePowder

ThermalTransportofNickelAlloy, SemiconductorandLanthanide Samples

HeatCapacityofFe O (Magnetite) 3 4

MagneticPropertiesofaPaper Clip–VibratingSample

MagnetometerOption

MagneticSignaturesofSome CommonStatesofMaterials UsingtheVSM

YBCOMagneticCharacterization UsingtheVSM

Fe O (Magnetite)Magnetic Characterization 3 4

Doping-DependentSpin Reorientation

ACSusceptibility:(AC MeasurementOption-ACMSII)

exampleMEASUREMENTS

Shandong University Sets

NewRecord inNickel-Based Superconductivity

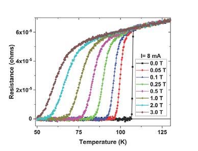
The team pioneered an ambient-pressure flux growth method to overcome challenges in high-quality single-crystal synthesis for nickelbased superconductors, achieving a groundbreaking superconducting transition signal of 96 K (-177°C) under precise measurements using Quantum Design's Physical Property Measurement System (PPMS) and Magnetic Property Measurement System (MPMS). This breakthrough, published in Nature (2025), marks significant progress in understanding high-temperature superconducting mechanisms.

Historically, the growth of bilayer nickel-based superconductors like La₃Ni₂O₇ relied on demanding high-oxygen-pressure floating-zone techniques,oftenresultingininhomogeneous samples with parasitic phases that hindered accurate physical analysis. The Shandong teaminnovatedanambient-pressurefluxmethod incorporating rare-earth element Sm for chemical pressure tuning, successfully synthesizinghigh-quality,phase-pureLa₂SmNi₂O₇ singlecrystals.

- Confucius

This method not only enhanced crystal quality but also established a material foundation for capturing pristine physical signals under extremeconditions.

K at 20.6 GPa, even againstdiamondanvilcell backgroundnoise.

Bulk

Superconductivity

Confirmation:

Zero-field-cooled (ZFC) and field-cooled (FC) MPMS data revealed a super-conducting volume fraction exceeding 60%, conclusively establishing La₂SmNi₂O₇asatrue bulksuper-conductor.

Crystal Growth Schematic and High-Quality
High-T

Supported by PPMS/MPMS data and synchrotronX-raydiffraction,theteamuncovered new structural-superconductivity relationships. Pressure-induced transitions from monoclinic (P2₁/m) to tetragonal (I4/ mmm) phases were observed, with both structuressupportingsuperconductivity— challengingpriorassumptionsthatonlytetragonal phases enable superconductivity. Correlatingin-planelatticedistortionD=(ab)/(a+b)atambientpressurewithpressuredependentT enhancement,theteamoptimized La/Sm ratios to achieve the 96 K record. c

A Strategy to Enhance Tc and Achieve Record-High Critical Temperature in Superconductors

Professor Zhang Junjie’s team at Shandong University has achieved a cohesive series of breakthroughs: From the ambient-pressure growth of high-quality single crystals, to the use of the Physical Property Measurement System (PPMS) to set new recordsinsuperconductingtransition temperatures,andfurtherapplication of the Magnetic Property MeasurementSystem(MPMS)toconfirm bulksuperconductivity.Thisworknot only overcomes key material synthesis bottlenecks in nickel-based superconductivity research, but also elevates the superconducting critical temperature(T)ofnickel-basedmaterialstoanunprecedentedlevel. c

Cryogen free Physical Property Measurement System

The PPMS DynaCool uses a single two-stagePulseTubecoolertocool both the superconducting magnet and the temperature control system, providing a low vibration environment for sample measurements.

The Next Generation of Advanced SQUID

Quantum Design’s MPMS 3 provides users with the sensitivity of a SQUID (Superconducting Quantum Interference Device)magnetometerandthechoiceof multiplemeasurementmodes.

DC Magnetic Susceptibility of La₂SmNi₂O₇ Under Pressure

Leadership Transition at Quantum Design Europe: Dr. Dirk Haft Appointed CEO, Succeeding Dr. Jürgen Schlütter

QuantumDesignEuropeannouncesa plannedleadershiptransition:Dr.Dirk HaftsucceedsDr.JürgenSchlütteras CEO.Thehandovermarksthenext stepinalong-termsuccessionplan thatwillcontinuethroughamultimonthtransitionphaseuntilDr. Schlütter’sretirementin2026.

After many successful years leading Quantum Design Europe, Dr. Jürgen Schlütter (left in the photo) is handing over man-agement responsibility to Dr. Dirk Haft (right in the photo). With a firm handshake, the two marked the beginning of a new era forthecompany.

“I am pleased to hand over leadership to Dirk Haft. With his experience and vision, Quantum Design is well positioned to continue growing successfully,”

Dr. Schlütter

Dr. Dirk Haft brings extensive leadership experience and technological expertise. His focus will be on continuing Quantum Design’s successful development in Europe and further strengthening its strategic positionthere.

“I would like to thank Jürgen for his outstanding work and the trust he has placed in me. Together with the European team, I aim to continue Quantum Design’s success story and set new impulses for the future,”

Dr. Haft

With this leadership transition, Quantum Design Europe looks ahead — focusing on innovation, growth, and further strengthening its position as a leading provider of solutions for scientists in research and industry.

www.qd-europe.com

During a multi-month transition phase, Dr. Schlütter will share his knowledge and experience with Dr. Haft to ensure a smooth handoverofleadership.

Hisplannedretirementin2026hadbeenset for several years and was taken into account early on in Quantum Design’s successionplanning.

INTERVIEW

From Constraint to Continuity in Magnetic Materials Research

How Italy’s National Metrology Institute (INRiM) eliminated helium bottlenecks to unlock continuous, integrated magnetic and electrical characterization

Dr. Marco Coisson, First Researcher

T Dr. Paola Tiberto, Research Manager

heNationalMetrologyInstituteof Italy(INRiM)isapublicscientificresearch body INRiM carries out and promotes research in metrology and develops the most advanced measurementstandardsandmethods and related technologies, fulfilling the functions of a primary metrologicalinstitute

For readers who may not be familiar with your work, how would you describe your research group at INRIM?

Wearearesearchgroupofabout15permanent researchers and technologists working on innovative magnetic materials within the Division of Advanced Materials and Life Sciences at the Italian National Metrology Research Institute (INRIM).

What were the main challenges or bottlenecks your team was facing in your experiments or operations?

WealreadyhadanMPMS3VSMformagnetic measurements, but lacked electrical characterization capabilities. Operating the equipment was extremely costly, both economically—due to liquid heliumpurchases—andlogistically,aswe hadtocoordinatedeliverieswithexternal suppliers. This fragmented our experimentalworkflowandmadeitdifficultto alignwithresearchprojectdeadlines.

How were these challenges impacting your team’s efficiency, project timelines, or overall results?

The cost and availability of liquid helium were major hurdles. Supply fluctuations often didn’t align with our research needs, leadingtodelays,setbacks, and missed opportunities. Adding another system like a PPMS would have compoundedtheproblem, effectively doubling the helium-dependent instruments we needed to maintain.

Had you explored any solutions to these problems before, and why didn’t they fully meet your needs?

We had considered a centralized helium liquefaction service for all INRIM laboratories. However, the complexity of the project and the scattered locations of cryogenic labs made it unfeasible. So no fully practicalsolutionhadbeenimplemented atthatpoint.

What made you decide on the QD systems over other options—what stood out most in your decisionmaking process?

The seamless operational and softwareintegrationbetweentheMPMS and PPMS systems, combined with their compatibilitywith helium

recovery, compression, and liquefaction, made standardizing with a single supplier the logical choice. It offeredbothefficiencyandreliability for advanced magnetic material characterization.

How have QD systems addressed the problems and limitations you were experiencing?

Acquiring the helium liquefier allowed us to expand our lab with a PPMS for electrical measurements. Both the PPMS and MPMS 3 VSM can now operate continuously without the logistical and financial burdens of liquid helium, enabling richer, more frequent, and costeffective measurement campaigns aligned with our research timelines. Effective machine time has increasedsignificantly.

Dr. Marco Coisson, First Researcher at INRIM (National Metrology Institute of Italy), and Dr. Paola Tiberto, Research Manager at INRIM.

Looking forward, what upcoming projects or goals do you anticipate QD systems supporting?

We plan to conduct increasingly advanced studies on innovative materials, thanks to a fully equippedlaboratorycombiningahighly sensitive magnetometer with a multi-purpose physical property characterization system. This capability is expected to attract national and international collaborationsandenablecompetitive funding for projects in energy, space,quantumtechnologies,and health.

DISCOVERTHEQDMATERIALS CHARACTERIZATIONRANGE

The collaboration between INRIM and QD has been ongoing for over a decade. This project further strengthened that partnership, from selecting the most effective technologies to providing excellent support during installation, testing, and daily operations.”

The Quantum Design PPMS DynaCool, NexGen Liquefier, MPMS 3 at the National Metrology Institute of Italy

Quantum Design +

Historic innovators in cryogenics, magnets, and magnetometry now deliver a broader, deeper range of experimental solutionsfrom materials discovery to quantum technologies.

www.qdusa.com/scientificlegacies.html

Celebrating the Launch of Quantum Design Oxford

Quantum Design has officially completed the acquisition of the Nanoscience Division of Oxford Instruments, marking a significant milestone for both organizations and strengthening Quantum Design’s position in cryogenic, quantum, and low-temperature measurement technologies.

Thisacquisitionunitestwoindustry leaders with a combined legacy of morethan100yearsofexperience and innovation in cryogenics, materials science, and microscopy. The shared product catalog provides proven solutions: automated materialscharacterizationwithautomated field and temperature control,ultra-lowtemperaturesubkelvin cryostats and dilution refrigerators, high-field superconducting magnets, a full range of opticalcryostats,andaglobalsales and customer support system that is rated as one of the best in the world.

We are thrilled to become part of the Quantum Design team. We have a long history of the development and manufacture of low-temperature cryostats, subkelvin dilution refrigerators and high-field superconducting magnets. QD’s extensive global office network will provide us and our customers with the support they deserve, so that they can concentrate more fully on their research. The combination of the Oxford NanoScience and QD’s product lines enables the company to offer a more complete package of products to suit our many customers’ needs.”

To celebrate this new chapter, Quantum Design leadership recently visited the UK facility, now operating as Quantum Design Oxford, for an official gathering with colleagues from both organizations. The visit underscored a shared commitment to collaboration, innovation, and supporting the globalresearchcommunity.

Seeing leadership and colleagues united in front of the facility’s main gate symbolized the start of a new era for the cherishedUKlocation.

I am excited by the potential this acquisition brings to the future of these great companies. Our product lines are complementary, and the synergy of what we can accomplish by combining our two strengths bringing new products to the market will be transformative

ProductAreas

Optical Cryostats for Spectroscopy

Optical Cryostats for Microscopy

OEM Magnet Technologies

Control Software

Special Systems

System Accessories

Partner Technologies

Quantum

Measurement and Devices

Quantum Computing and Scaling Dark Matter and Cosmology

Materials Physics and Measurement

Work Experience Programme

The team at Oxford has provided work experience opportunities for students in Oxfordshire and the neighbouring countiesformanyyears,whichhavealwaysproventobepopular.

In 2016, the Discovery Work Experience Programme(DWEP)waslaunched.The purposeoftheprogrammeistoprovide valuableinsightintoOxfordandtogive students an opportunity to find out what it is like to work in industry via a seriesofwork-basedlearning activities, and explore available options for future careers.

INTERVIEWS

HOW INTEGRATED CRYOGENIC PLATFORMS

MATERIALS RESEARCH

For leading quantum materials labs, discovery doesn’t happen on a single instrument—it unfolds across a coordinated ecosystem of measurement platforms.

These interviews explore how re-

searchers combine the strengths of QuantumDesign’s PhysicalandMagneticProperty Measurement Systems (PPMS / PPMSDynaCoolandMPMS

3) with Quantum Oxford’s dilution

refrigerators and high-field magnet systems (e.g. Teslatron PT Plus and Proteox ) to create seamless crossplatformexperimental workflows. From magnetic characterization and heat capacity measurements to ultra-low temperature transport studies and high-field investigations, scientists sharehow experiments can transition

across platforms, validate results through complementary techniques, and accelerate discovery through integratedinfrastructure. ®

From Rapid Screening to 10 mK: Building a Seamless Quantum MaterialsWorkflow

Purdue University - Over 150 Years of Giant Leaps

WhichQuantumDesign/QDOxford systemsdoyoucurrentlyhaveinyour lab?

Proteox:Since2022(thefirstProteox installedinNorthAmerica;14T,bottom loader,withAttocube3Drotatoralso installedbyQD-Oxford).

PPMSDynaCool/MPMS3:Since2020(the systemwasinstalledpriortomyarrival).

OptiCool:Installedin2025incollaboration withProf.Shalaev’sgroup.

Whoaretheprimaryusers?

Proteox:Graduatestudentsandpost-docs.

PPMSDynaCool/MPMS3:Technicians, multipleresearchgroups,industry collaborators,andourgroupasoneofthe heaviestusers.

OptiCool:Technicians,graduatestudents andpost-docs

Whataretheprimaryresearchgoalsor projectssupportedbythese instruments?

The Proteox in my laboratory is my prime instrumentwhereIdospecializedresearch.We perform higher frequency transport and most importantly,thermaltransportmeasurementsof insulating samples. Thermal transport of insulating samples is a very difficult measurement which is very rarely (if at all) demonstrated in a dilution fridge. We calibrated all thermal signatures in our fridge to ensure thermal stability, lowmechanical

PPMS DynaCool/MPMS 3: We make single crystals of quantum materials for quantum information applications and new materials useful for lossless transfer of information and energy. PPMS is the first line-of-action instrument where we characterize it for heat capacity,magnetizationandthermaltransport.

OptiCool: We are installing a low-temperature, high-field Brillouin Raman spectroscopy in this instrument. This will be the primary instrument for performing optical characterization of materials – raman spectroscopy in a strain and high-field – for our W.M. Keck Foundation grant.

Howdoyouprioritizewhichsystemto useforagivenmeasurementor experiment?

The required temperature range, magnetic field, and optical or thermal capability determinesystemchoice.

PPMSDynaCool/MPMS3:Rapid characterization(hours).

OptiCool:OpticalstudiessuchasRaman (aboutaweekperdataset).

Proteox:Extendedmillikelvintransportor thermalmeasurements(oftenamonth perdataset).

We typically perform initial characterization in the PPMS DynaCool before committing to longer measurements in the Proteox or OptiCool. Practical considerations such as fund-ing timelines, student graduations, and publi-cationdeadlinesalsoshapepriorities.

Whatisthebiggestadvantagethese systemsbringtoyourresearch?

TheProteoxprovides:

14Tfieldwithbottom-loading architecture.

Floor-anchoredpumpinglinesfor vibrationreduction.

3DAttocuberotatorsupportingcomplex vector-fieldexperiments.

Micro-Kelvintemperaturestabilityvia calibratedthermometryandcustomPID loops.

RFandDClinesforlow-noiseAC measurementsoninsulatingsamples.

The OptiCool enables high-resolution Raman and Brillouin spectroscopy under high magneticfieldsatlowtemperature.

The PPMS DynaCool/MPMS 3 delivers rapid, reliable heat capacity, magnetization, and transportscreening—criticalforthroughput.

Setting up sample for an electrical measurement.

shows graduate students

workhorse for teaching.

Picture
Kiranmayi Dixit, Jhinkyu Choi and Ramon Guerrero. The fridge is a

Canyoushareanexampleofan experimentthatmovesnaturallyfrom aQuantumDesignsystemintoa QuantumDesignOxfordsystemor viceversa—andwhythathandoffis soeffective?

In our recent work on TbCr₆Ge₆, we discovered a Wiedemann Franz Law violation ofamagnet(essentially,thethermalcond-

uctivity and electrical conductivity do not match each other which is surprising).

We developed the TbCr6Ge6 single crystals at Purdue University laboratories, and measured several of themusingtheMPMS3tofindthebest ones,aswellascharacterizetheirmagnetic characteristics and heat capacity. We then measured the electrical resistance and Hall using the PPMS DynaCool to 1.8 K and extended them to milliKelvin using our Proteox. Finally, we performed thermal transport on the same sample in a different configuration in the Proteox to get all the data. We used the PPMS DynaCool electrical transport and the thermal conductivitydatatocalibrateaswellas validate that the data we measured using the Proteox. The systems functioned as a coordinated pipeline rather thanisolatedtools.

& Validate

InstallationoftheProteox

Howhasthisintegrated approachinfluencedthescope orambitionoftheprojectsyour labpursues?

Withoutintegration,ourexperiments would be prohibitively slow. We are working toward standardized 32and 48-pin chip carriers compatible across PPMS DynaCool, Proteox, OptiCool, and potentially Teslatron systems,enablingseamlesstransfer between platforms—and even external facilities such as Fermilab, LANL,andORNL.

The Proteox spans 10 mK to 30 K with stable PID control; a Teslatron could extend measurements from 300mKto300K.

Wherewillthiscombinationbe especiallyvaluable?

Inspintronicandmagneticsystems, producing even one high-quality sampleischallenging.Whenafunctional device is available, we must extract every possible measurement —thermal transport, spin Seebeck, magnetization, Raman, and more— oftenonthesamemountedchip.

Ensuring cross-platform compatibility—vacuum environments, rotators, standardized chip carriers, and wiring—is essential. The PPMS, Proteox, Teslatron, and OptiCool together create a powerful, flexible eco-system for next-generation quantum and spintronic materials research.

Discover the QD range

Together, these platforms would cover multiple decades of temperature, dramatically expanding experimental scope.” “

40yearsyoung

There are PPMS systems in laboratories around the world that are more than ... and still producing cutting-edge science today.

That longevity is no accident. It’s the result of precision engineering, modular design, continuous innovation, and world-class customer support.

With ongoing upgrades and expert service, our platforms don’t just last—they evolve.

Protecting

your investment

Expanding your capabilities

Supporting your science for decades to come.

UC Santa Barbara Uses An Integrated Platform for Quantum Materials and Device Discovery

In a research lab focused on

quantum materials and device

physics, progress depends on

the seamless integration of

complementary cryogenic

platforms.

By combining dilution refrig-

erators from QD Oxford syste-

ms with materials character-

ization systems from Quantum

Design, the UC Santa Barbara

Materials group - mainly grad-

uate student researchers and

post-docs - has built an exper-

imental work-flow that spans

from 300 K down to the millikelvin regime.

Susanne Stemmer

Professor

WhichQuantumDesign/QDOxfordsystems doyoucurrentlyhaveinyourlab?

In my lab, we have a Triton and a Proteox. My group also extensively uses the UCSB’s open access TEMPO facility in the Materials Research Laboratory, which has two PPMS DynaCool systems and a Magnetic Property Measurement System.

Whataretheprimaryresearchgoalsor projectssupportedbytheseinstruments?

Our projects involve both basic materials and as well as device characterization, such as quantum Hall systems, superconducting materials, and superconducting junctions and devices, such as Josephson junctions. We are interested in both basic materials physics and future applications of newquantummaterials.

Howdoyouprioritizewhichsystemtouse foragivenmeasurementorexperiment?

WeusetheDynaCoolsformeasurementsdownto2 Kandwhenweneedtomeasureoverawiderange

Proteox5mK

Theworld'scoldest, continuous,drydilution refrigerator,withbase temperatureof<5mK, temperaturecontrolrangeup to30K,andcoolingpowers of>25µWat20mKand> 850µWat100mK

of temperatures between 300 K and 2 K, with or without magnetic fields. A wide temperature range is very often essential in under-standing new materials and their properties, and not all experiments need mK temperatures. We use the dilution fridges when we need to measure at mK temperatures, such as for superconducting junctions. We use the DynaCool also for basic characterization of materials and junctions, before the dilution fridge measurements.

Canyoushareanexampleofanexperiment thatmovesnaturallyfromaQuantumDesign systemintoaQuantumDesignOxford systemorviceversa—andwhythathandoff issoeffective?

We very often fabricate and measure a basic gated Hall bar structure in the DynaCool to check if a freshly grown sample is of sufficient high quality (measuring basic characteristic such as Hall mobilities and Landau level spectra), before we continue on to fabricate more complicated devices fromthesamplesamplethatthenwillbemeasured at dilution fridge temperatures, such as Josephson junctions.

Arethereemergingexperimentsormaterials systemswherethiscombinationwillbe especiallyvaluable?

The quantum materials area certainly will have ever increasing needs in low temperature measurements, especially under magnetic fields. The same applies to the characterization of junctions and devicesforqubits.

Bringing discovery to life: global scientific collaboration in practice

Magneto-Optics in Quantum Light and Matter 2025

The Magneto-Optics in Quantum Light and Matter conference returned this year with renewed energy, expanded participation, and an un-mistakable sense of momentum across the quantum researchcommunity.Hostedatthe NationalPhysicalLaboratory(NPL)

and organized in partnership with Quantum Design, the two-day event brought together leading scientistsexploringthefrontiersof magneto-optics — from high magnetic fields and cryogenic temperatures to ultrafast light–matter interactions.

Nowinitssecondyear,themeetinghas quickly become a focal point for researchers developing new techniques and technologies to probe quantum materials. Participants repeatedly emphasizedhowvaluableitwastoengage in focused, topical discussions with peers.

As one attendee put it, the event enabled “very interesting discussions withotherparticipants,andmaybeeven a new collaboration.” Another highlighted the opportunity to gain “knowledge of new colleagues and of theiractivities,” whileathirdnotedthat “veryactivework[is]ongoingworldwide on 2D materials.” The format itself received praise, with one participant adding, “Suchtopicalmeetingsareavery niceformat.”

Historyof Magneto-Optics

he field of magneto-optics, which studies the interaction between light and magnetic fields, began in 1845 with Michael Faraday’s discovery of the Faraday effect—the rotation of light’s polarization in a material under a magnetic field. This finding established a direct link between light and electromagnetism and contributed to the development of Maxwell’s electromagnetictheory.

During the 20th century, magnetooptics advanced alongside solid-state physics,materialsscience,lasertechnology,andquantummetrology.Techniques such as cyclotron resonance andhigh-fieldopticalspectroscopyre-

HistoryofNPL

Since its establishment in 1900, the research work at NPL has included all branches of physics, light, electricity and magnetism, radio communication, engineering, metallurgy, aeronautics and ship design. Some of the world’s most significant innovations have origins at NPL,includingradar;packetswitching,theforebearer of the internet; the ACE computer; and thecaesiumatomicclock.

MichaelFaraday 1791-1867

vealed fundamental electronic and quantum properties of semi-conductors andnanostructures.Thedevelopmentof magneto-optical recording in the 1980s enabled rewritable optical storage, influencing data storage technologies before hard drives and flash memory becamedominant.

Today, magneto-optics remains central to nanotechnology, spintronics, optical sensing, and quantum science, continuingtobridgemagnetism,photonics, nanoelectronics, and quantum technologies.

Manyoftheworld’smostrenowned scientistshaveworkedatNPL,including:

RobertWatson-Watt

OlgaTaussky-Todd DonaldDavies

AlanTuring(pictured)

MargaretStedman

LouisEssen

A Growing Hub for Collaboration and Cutting-Edge Discovery

“I

’mtrulydelightedtosharethe successofourfantasticMagnetoOpticsinQuantumLightand Matterconferencehostedat NationalPhysicalLaboratory (NPL).Asoneoftheorganizers andthelocalhost,Icouldn’t behappiertoseethe energy,curiosity,and collaborativespirit thateveryonehas broughtto thisconference.

Aheartfeltthankyouto allour30+presentersand sessionchairsfrom12countries acrossEurope,NorthAmerica,and Asia for sharing such exceptional magneto-optics research. Your contributionsshowcasedthedepth and momentum of this vibrant community.Thankyoutoallthe60 attendees – your enthusiasm, engagement, questions, and support have created a vibrant space for discussion and discovery, making thisconferencetrulyalive.I’mleaving these two days feeling genuinely inspired and excited to imagine where we’re heading next!”

“Wespenttwohighlyinspiringdaysat Magneto-OpticsinQuantumLightandMatter conferencehostedatNationalPhysical Laboratory(NPL).

The event gathered over 60 participants from 12 countries across Europe, North America and Asia. Thereweremorethan 30 presenterssharing results of their professional magneto-optics research. Thanks to space for talks and discussion, full of collaborative spirit, the conference was reallysuccessful.”

This enthusiasm was shared by the event’s organizers.Reflectingonthesuccessoftheconference, Dr Stefano Spagna of Quantum Design International, a member of the organizing committee, emphasized the scientific depth and collaborative spirit that defined the meeting:

“TheMagneto-OpticsinQuantum LightandMatterevent–our secondsuchconference–broughttogetheratruly world-classline-up ofspeakersprobing themostcutting-edge researchareasof magneto-optics:high magneticfields,cryogenic temperatures,ultrafasttimescales.

ENSEMBLE3 SP. Z O. O. CentreofExcellencefor nanophotonics,advanced materialsandnovelcrystal growth-basedtechnologies Warsaw, Mazowieckie, Poland

“As one of the organizers, I was particularly proud of the opportunity to open up NPL’s Qlimatefacility,showcasingQuantumDesign’s OptiCool system and how advanced instrumentation drives cutting-edge quantum science. The collaborative spirit over the two days, the inspiring science, and the formation of new partnerships make me confident that we have once again laid the groundwork for manyexcitingdevelopmentsinquantum.”

Getintouchtodaytoregisteryour interestinattendingafutureevent. Wealsowelcomeideasfor presentations,postersandtalks.

Read the article

Makesenseoftheverysmall pioneersinthedevelopmentand commercializationofquantumtechnologies forsensingandimagingapplications

Available through Quantum Design in Singapore, Taiwan, Europe, Japan, Korea, India, Latin America, North America

Artificial SpinIce

Tweakeventhemost fragilespintextures

Unlikewithotherprobemicroscopiessuch asMFM,ProteusQallowstheuserto characterizeandfine-tunetheproperties ofartificialspinicestructureswithout perturbingthem.

ThankstouniqueQuantileverMXdesign, high-qualitytopographicimagescanbe performedtoassessbothstructuraland magneticpropertiesofthesample.

DISCOVER QNAMI

A UNIFIED VIEW AT THE NANOSCALE

Anhui University Advances Materials Research with China’s First FusionScope Platform

For researchers working at the frontiers of materials science, one persistent challenge has beenfragmentation. High-resolution imaging, nanoscale property measurement, andelementalanalysishavetraditionallyrequired multiple instruments, repeated sample transfers, and painstaking data correlation— each step introducing inefficiencies and uncertainty.

Thatbarrierhasnowbeendecisivelylowered at Anhui University with the installation of China’s first FusionScope multifunctional microscope, delivered and commissionedbyQuantumDesignChina. Integrating scanning electron microscopy (SEM), atomic force microscopy (AFM), andenergy-dispersiveX-rayspectroscopy (EDS) into a single, fully correlated platform, the system represents a major step forward in how complex materials can be characterized, understood, and ultimately engineered.

Seeaworkingunit at

DPG Spring Meeting of the Condensed Matter Section

8 - 13 March 2026 Dresden University of Technology

Solving a Workflow Bottleneck in Micro- and Nanoscience

Modern research in semiconductors, nanotechnology, and advanced functional materials increasinglydemandsanswerstoquestionsthatspanlengthscalesandphysicalproperties.Where exactly is a defect located? How does its surface morphology relate to mechanical behavior? Whatisitselementalcompositionatthesameprecisesite?

High-resolutionSEMimagingprovidesawide field of view and precise targeting, guiding AFM probes directly to regions of interest without removing or repositioning the sample. From there, researchers can obtain three-dimensional nanoscale topography, mechanical property data, and rapid elemental analysis via EDS, all from the same location and under the same experimental conditions.

Byeliminatingrepeatedsampletransfersand manual correlation,the platform dramatically improves efficiency, reproducibility, and confidence in results—an advantage that becomes critical as samples grow more complexandresearchtimelinestighten.

Building Capability Through Collaboration

Thesystem’sinstallationandtrainingprocess drew close attention from Anhui University’s leadershipandresearchteams.Duringanonsite inspection, the University’s Vice President joined principal investigators and technicalstafftoreviewprogressanddiscuss how the platform will be integrated into ongoingandfutureresearchprograms.

Faculty leaders emphasized that the FusionScope significantly strengthens the university’s micro- and nanoscale characterization infrastructure, enabling faster acquisition of comprehensive, high-quality data-sets. Beyond individual projects, the platformisexpectedtoserveasasharedresource supporting interdisciplinary collaboration, graduate training, and long-term research initiatives across materials science, physics,andengineering.

The FusionScope addresses these questions through a “what you see is what you measure” workflow

Enabling the Next Wave of Discovery

Already recognized internationally for its innovative engineering and performance, the FusionScope has been adopted by leading research institutions and industrial partners worldwide. Its successful deployment at Anhui University highlights Quantum Design China’s role in bridging global technology gaps, bringing state-of-the-art instrumentation to China’s rapidly evolving research landscape.

More importantly, it lays the groundwork for futurebreakthroughs.Bygivingresearchersa unified, reliable view of materials at the nanoscale, the FusionScope platform empowers new insights into structure–property relationships—insights that will shape advances in semiconductors, nanodevices, and next-generationmaterialsforyearstocome.

X-ray Single Crystal Orientation System

Full Suite of Microfabrication Technologies

Microscopy

Randy Dumas

Correlative AFM with SEM/EDS

Microscopy

Platform

AFM Insert for SEM/FIB

Education/ Careers

Laser-Based Floating Zone Furnace

Nano Deposition, Annealing

7 Tesla and Vector

Physical Property

Measurement System

VersaLab

Magnet Optical Cryostat Microcavity Platforms and Absorption Microscopes

Optical Cryostats for Spectroscopy

Optical Cryostats for Microscopy

Satyam
Ladva
Darius Choksy

FROMTHEORYTO PRACTICE: ACHIEVINGTHERMODYNAMIC STABILITY

IN

CO–CR–FE–AL HEUSLER PHASES

TheLeibnizInstituteforSolidStateand MaterialsResearchDresden(IFW)

Recent advances in material design and

characterization are driving break-

throughs inhow researchers discover and optimize functional alloys. In the study

“Material design toward a thermodynamically stableCo–Cr–Fe–AlHeusler-

type phase,” scientists at the Leibniz

Institute for Solid State and Materials

Research (IFW) inDresdenexplorecomp-

utational and experimental strategies to

understand and stabilize complex multi-

element phases with controlled thermo-

dynamic behavior — critical for applications inmagnetismandelectronics.

The PPMS-16 being installed in 2021, joining the existing MPMS-3 on site

Complementing these design efforts, the installation of the first Physical Properties

Measurement System (PPMS-16) in Germany at IFWafew years ago, has provided unprecedented measurement capabilities, including high-field magnetic, transport, and thermodynamic testing of new materials under extreme conditions.

This facility enhances researchers’ ability to validate theoretical predictions and deeply probe the physical properties that govern phase stability and performancein advancedalloys.

Just for

parison: theearth

t

fieldin Central Europe is about 5x10-7 Tesla and the strongest electromagnets generate fields in the order of 3 Tesla.

The PPMS-16 at the IFW is used for investigating, understanding, and finding possibleapplications for new materials showing magnetic phase transitions or magnetic interactions. It also helps analyze materials whose intrinsic properties make them react to magnetic fields in particular ways, like superconductors or the novel “quantum materials”

The performed measurements include magnet

measurements, electrical transport, ther

sport and thermodynamic propert

About the IFW

The Leibniz Institute for Solid State and Materials Research Dresden - IFW - is a legally independent, non-university research institution and member of the Leibniz Association Here, scientists and engineers work together. They explore the physics and chemistry of materials that might be suitable for new functionalities and devices. Many disc-iplines come together at the IFW: experimental phy-sics, theoretical solid-state physics, chemistry, mat-erials researchandelectricalengineering

Material design toward a thermodynamically stable Co–Cr–Fe–Al Heusler-type phase

The development of new materials using band structure calculations has become increasingly popular due to their resource-efcient nature. However, experimental observations often yield unexpected results, primarily as a consequence of peculiarities in thermodynamic phase formation. As an exemplary case study, we consider the Heusler-like phase Co Cr Fe Al, which was initially proposed to be a half-metallic ferromagnet; but this composition undergoes phase decomposition due to solid-state immiscibility. Consequently, signicant discrepancies have been found between predicted properties and measured values, both in bulk samples and thin lms. In the present work, a novel Al-rich composition,

2 0.4 0.4

2 0.6 0.4 Co Cr Fe Al , is designed based on prior studies of phase constitution and phase transformations in Co–Cr–Fe–Al and related systems. An in-depth characterization of samples synthesized using the oating zone technique conrms their single-phase nature.

We report an unprecedented agreement between properties evaluated by a subsequent band structure calculation using the modied compo-sition as an input parameter and the resulting experimental properties, where, for instance, x-ray magnetic circular dichroism measurements demonstrate signicantly enhanced spin and orbital moments without the need for any scaling factor, unlike in reports on Co Cr Fe Al ,Thus, Co Cr Fe Al is a promising thermodynamically stable Heusler-type compound. We, therefore, expect Co Cr Fe Al to exhibit halfmetallic ferromagnetic properties. Our material design approach, which assimilates the relevant phase dynamics of the system, constitutes a comprehensive method for future searches and development of materials with targeted properties and is, therefore, of generic interest in a wider set of systems and of relevance to a broader community of material scientists.

IFW, Dresden

The Advanced Materials Characterisation Suite is a user facility for staff and students in the Cavendish Laboratory and other University of Cambridge departments. It is also open to users from other higher-educationinstitutionsandindustrialpartners.

Supporting Research

The user-friendly and reliable systems serve very well as a user facility supporting research and development activities of both academicandindustrialusers.Inthefirsttwo years alone, the instruments have supported researchworkof 80 users,from 38 research groups, 11 differentacademicdepartments, 8 universities and HEIs, and 2 companies. The research output resulted in over 30 publicationsinpeerreviewedjournals.

Systems Available in the Suite

Customization

The systems provide a very solid platform for developing further custom measurementhardwareandsoftware.

“We have developed special fiber-optic feedthroughs to enable photoluminescence and photo-conductivity measurements on organic and perovskite samples in the PPMS DynaCool. We have also developed custom probes to perform high sensitivity dielectric measurements, and anvil-type and piston-cylinder-type pressure cells for measurements in both the MPMS 3 and PPMS DynaCool,”

said Cheng Liu, Research Laboratory Manager for the Advanced Materials CharacterizationSuite

SquidLab

The built-in background subtraction feature of the original MPMS MultiVu software was missedinthenewMPMS3.So,Suiteusers and the facility manager teamed up with QD engineers and developed their own MatLab-based software, SquidLab1, to process the raw data, perform background subtraction, and carry out dipole moment fi-ting,tosuccessfullyextractsamplemagnetic signals 1/10 the size of the overall backgroundsignal.

Sample Publications:

Low-Dimensional Metal–Organic Magnets as a Route toward the S = 2 Haldane Phase | Journal of the American Chemical Society (acs.org)

Room Temperature Optically and Magnetically Active Edges in Phosphorene Nanoribbons | Research Square

Valence bond glass state in the 4d1 fcc antiferromagnet

Ba2LuMoO6 | npj Quantum Materials (nature.com)

Free-Spin Dominated Magnetocaloric Effect in Dense Gd3+ Double Perovskites | Chemistry of Materials (acs.org)

Choosing the Right Cryostat

Embarkingonthejourneyto purchasearesearchcryostat canbeacomplexandcrucial decision for scientists and researchers delving into fields where precise temperature control is paramount. A cryostat is an indispensable tool in quantum computing or exploring the mysteries of quantum mechanics.

QUANTUM COMPUTING AND QUANTUM INFORMATION APPLICATIONS:

Ultra-low temperatures:

Quantum bits (qubits) often require extremely low temperatures to maintain coherence.

Electromagnetic shielding:

To prevent external electromagnetic interference with delicate quantum states.

Low noise environment:

Minimizing vibrations and thermal noise is crucial for accuracy.

How do you know which cryostat is right for you?

This guide from Lake Shore provides a comprehensive overview of the critical factors to consider when selecting a cryostat, including:

Temperature range and stability

Different cooling mechanisms

Wet vs. dry cryostats

Sample in exchange gas vs. vacuum

Sample size and mounting

Electrical feedthroughs

Vibration and noise levels

Specialty applications

Optical access

Budget and operating costs

Download the Guide

Whether you’re investigating superconductivity, exploring the mysteries of quantum mechanics, or characterizing materials, the right cryostatcansignificantlyenhance the accuracy and efficiency of your research. Delve into the intricacies of selecting the perfect cryostatthatalignswithyourspecific scientific needs and budget constraints.

DISCOVER LAKE SHORE

From First Measurements to Multiple Publications: Transforming Spin-Wave Research with CryoFMR

Ultrastrong magnon-magnon coupling and chiral spin-texture control in a dipolar 3D multilayered artificial spinvortex ice

“Purchasing the CryoFMR system has enabled our group to branch out into spin wave measurements quickly and easily. Without prior experience running microwave/FMR measurements, the CryoFMR has allowed us to get a spin-wave research programme up and running with several resulting publications in a short period of time. In addition to conventional thin-film measurements, the sensitivity of the CryoFMR has also allowed us to measure nanostructures – something which we’d previously struggled with using other experimental setups.

The system has been low-maintenance, easy to operate and I’d happily recommend it, especially to existing PPMS or MPMS owners.”

Quantum Computing

The First Source Measurement Unit Optimised for Nanoscale Devices

AnewmodulefortheLake ShoreCryotronicsM81-SSM has been launched, the M81-SMU-10. This is the first SMU on the market with DC, AC and lock-in detection, optimised for characterising nanoscale devices.

The source measure unit (SMU10)isthelatestmoduleaddition to the MeasureReady™ M81SSM synchronous source measuresystem.Itisspecificallydesigned to handle the delicate nature of nano and ultra-cold samples with exceptionally low source noise and high measurement sensitivity. The SMU10 offers both DC and AC capabilities and an integrated lockin, providing a comprehensive suite of measurements tailored to advanced research applications.

SOURCE/MEASURE

The new SMU-10 makes highly sensitive, selective AC detection technology used in research labs conveniently available to semiconductor design and test engineers. Using the familiar four-instrumentsin-one SMU format, they can easily make extremely sensitive, low-noise measurements”

Ideal for MultiTerminal Device Testing

When testing multi-terminal devices in a cryogenic probe station, use the M81-SSM with SMU-10 modules to apply voltage or current to the DUT and measure the corresponding current or voltage. The SMU’s topology reduces the number of probe armsbyhalf,significantlyminimising thermalimpact.Setcompliancelimits to protect the DUT from acci-dental overloads.

ADVANCED RESISTANCE

The M81-SSM’s advanced resistance mode compensates for phase shifts caused by parasitic capacitance in cryogenic environments, ensuring more accurate resistance measurements.Thistechniquereduceserrors significantly, improving measurementaccuracy.

FOUR-WIRE

VOLTAGE MONITORING find out more

Ideal for high-current devices. The Sense-HI and Sense-LO leads enable 4-wire measurements for built-in device voltage monitoring while sourcing currents. Synchronised sampling Patented MeasureSync™ technology ensures perfect timing coordination for AC or DC measurements across multiple SMU-10 modules, eliminatingdatamisalignmenterrors.

APPLICATIONS

TheSMU-10moduleisusefulinany low-power test applications that have challenging signal-to-noise ratios. Primary applications include I-V characterisation of transistors used in specialised sensors, nanoelectromechanical systems (NEMS), quantum computer readout electronics, and emerging sand integrated circuit nanoscale semiconductor-baseddevices.

The SMU has got this convenience argument … whether you want to put a voltage or a current –measure voltage – it’s simply a programming choice. You don’t have to move wires around. You don’t have to get another instrument.”

The SMU-10, which occupies two channels (one for sourcing and one for measuring),exemplifiesthisflexibility.While it can operate on a single source channel, that setup limits its measurement functionality. The M81-SSM simplifies complex instrumentation setups by integrating DC/AC sourcing, DC/AC measuring, resistance measurements, and lock-in capabilities into a single, ultra low-noisesolution.

We’re about one-tenth of the noise [of competing instruments],” notes Cimino, emphasising the noise performance improvements in comparison to other SMUs.”

Minimise thermal impact by using SMU-10 modules with a probe station. In this example, the orange wire is the source, the light blue wire is the drain, the dark blue wire is the gate, and the black wire is the ground.

DISCOVER THE M81-SSM >

THE MEASUREREADY™ M81-SSM

The MeasureReady™ M81-SSM is a unique instrument architecture that provides a reliable and streamlined approach for advanced measurement applications. Its modular design allows multiple compact modules to connect to the main M81-SSM instrument, enabling a variety of source and measure configurations. Available with two, four, or six channels, the M81-SSM dedicates half of its channels to measure modules and the otherhalftosourcemodules.

AFM BUILT INSIDE QUANTUM DESIGN OPTICOOL®

first of its kind

I had my first OptiCool in 2020.” says Mengkun, “That was for me, at that time, a little bit risky be-cause no-one had done a scanning probe in an OptiCool. But we did it in 2021 and we liked it so much that we actually purchased another one in 2022!”

Wewere lookingfora closed-cycle magneto-optical cryostatthatis capableofperforming atomic force microscopy (AFM) and scanning optical near-field microscopy (s-SNOM) in high magnetic field. OptiCool proved to be the systemwiththebeststabilitywhichprovides sub-nm vibrations for cyrogenic scanning probe measurements while still offering excessive access to external light. This brings us infinitely new possibilities for our research.”

This AFM image was taken insideanOptiCoolat200K and 6.6 T. The AFM is part of the s-SNOM built by Mengkun Liu and his research group at Stony BrookUniversity,NewYork. Thisimagedemonstratesthe low-noise and low-acceleration environment inside theOptiCool.

Mengkun explains: “So basically, this is an optical microscope that beat the diffraction limits so we can look at optical properties of materials at nanoscale. We are amazed by the stability at low temperature.”

5 OpticalAccessPorts

TemperatureRange:1.7Kto350K

4(Z)-1(X)-1(Y) VectorMagnet

LowVibration:<10nmpeak-topeak

Raman / FTIR Spectroscopy

UV / VIS Reflectivity & Absorption

Time Resolved Magnetic

Spectroscopy

Magneto-Excitons

Anisotropic Magnetic Single

Crystals

Magnetic Thin Films

89 mm x 84 mm

Sample

Volume

AutomatedTemperature &MagnetControl

Cryogen Free

Color Centers (e.g., Diamond Nitrogen Vacancies)

Quantum Optics

2D Materials (e.g., Transition Metal Dichalcogenides)

Spintronics

AFM / Microscopy

MOKE/CryoMOKE

the

Sub-Kelvin Measurement Options WORKFLOW

When researchers develop new materials, studying their properties is essential to fully understand their characteristics. That's why at QuantumDesign,we’vebeencommitted,since our founding in 1982, to designing instruments that provide comprehensive workflows, helping researchers gain a complete picture of their materials.

We’re always excited to see our tools advancing groundbreaking research. In a recent study, researchers from Oak Ridge National Laboratory and Los Alamos National Laboratory used our PPMS®,PPMS®DynaCool®,andMPMS®3platformsto investigate whether alloying the topological insulator SnBi2Te4 with indium could induce superconductivity.

“Definitive evidence was provided by utilizing every sub-Kelvin measurement option we offer for our base platforms.”

READ:

Superconductivity by alloying the topological insulator SnBi2Te4

Quantum Diamond Microscope for Electronic Failure Analysis

In semiconductor and microelectronic devices, failure can be caused by:

Localcurrentleakage

Shortcircuitsoropencircuits

Electromigration

ESD(electrostaticdischarge)damage

Hotspotsorcurrentcrowding

TraditionalElectronicFailureAnalysis(EFA)methods — such as Emission Microscopy (EMMI), Magnetic Force Microscopy (MFM), Lock-in Thermography (LIT), and SQUID microscopy — each have tradeoffs in sensitivity, spatial resolution, and noninvasiveness.

QDM provides a powerful alternative...

SEE BEYOND THE SURFACE

EuQlid'smagnetic imagingtechnology usesquantumdefects indiamondtomap buriedelectricalcurrents

The quantum diamond microscope offerswide-fieldimagingofmagnetic fieldswithhighestsensitivity.Itusesa nitrogen-doped diamond chip to simultaneously image the magnetic fields of a sample over a large area. The user-friendly benchtop system can measure both, the strength and orientation of the local field in real time.

The QDM is the first system tocombinethesensitivityof NV-center based measurement technology with a wide-fieldmicroscope.

DiscovertheQuantum DiamondMicroscope

See it in action

Booth 2010

March 15 - 20, 2026

Denver, Colorado, USA

Available through Quantum Design in Singapore, Taiwan, Europe, Japan, Korea, India, Latin America, North America

Advanced Packaging

Next-generation semiconductors require 3D architectures to deliver improved performance, cost and power. EuQlid's magnetic imaging solution addresses a foundational need for non-invasive identification of buried connectivity defects during design and high volumemanufacturing

Highlights

Image millitesla to nanotesla magnetic fields: Tunable spatial resolution down to less than one micron and field-of-view up to four millimeters in a single image. Larger samples can be readily mapped bytiling multiple images.

Correlate Magnetic and Optical Images: Collect magnetic and optical images of samples using the same optical system for straightforward co-registration.

Vector Measurements: The diamond sensor enables reconstruction ofthe magnitude and direction of magnetic fields, providing superior reconstruction of magnetic source distributions.

Quantum-Grade Diamond: Manufactured by EuQlid partner Element Six, with properties optimized for microscale magnetic field mapping applications.

Robust and Easyto Use: Operates with no cryogenics, vacuum systems, special infrastructure, or power requirements.

Silicon

Backside Power Delivery and other 3D architecture innovations pose novel challenges for metrology. EuQlid's solution enables spatial analysis of statedependent power flows in functioning devices to accelerate the validation of newprocessesanddesigns.

Energy Storage

Improving battery lifetime, safety and performance requires understanding exactlyhowandwheredegradationinitiates and propagates. Magnetic imaging enables visualisation of the spatial and temporal current heterogeneities keytomitigatingdegradation.

Further Reading:

EuQlid's technology provides customers with powerful insights, from spatial analysis of state-dependent power flows in functioning CPUs and GPUs, to thedetectionandlocalisationof interconnect stacking errors in HBMs.

Magnetic Field Fingerprinting of Integrated-Circuit Activity with a Quantum Diamond

Microscope

MJTurner,NLangellier,RBainbridge,DWalters,SMeesala,TM Babinec,PKehayias,A Yacoby,EHu,MLončar, RLWalsworth,andEVLevine

Physical Review Applied 14, 014097 (2020).

DOI:https://doi.org/10.1103/PhysRevApplied.14.014097

Abstract

Current density distributions in active integrated circuits result in patterns of magnetic fields that contain structural and functional information about the integrated circuit. Magnetic fields pass through standard materials used by the semiconductor industry and provide a powerful means to fingerprint integratedcircuit activity for security and failure analysis applications. Here, we demonstrate high spatial resolution, wide field-of-view, vector magnetic field imaging of static magnetic field emanations from an integrated circuit in different active states using a quantumdiamondmicroscope(QDM).TheQDMemploysadenselayeroffluorescent nitrogen-vacancy (N-��) quantum defects near the surface of a transparent diamond substrate placed on the integrated circuit to image magnetic fields. We show that QDM imaging achieves a resolution of approximately 10 ��m simultaneously for all three vector magnetic field components over the 3.7 ×3.7 mm2 field of view of the diamond. We study activity arising from spatially dependent current flow in both intact and decapsulated field-programmable gate arrays, and find that QDM images candeterminepreprogrammedintegrated-circuitactivestateswithhighfidelityusing machinelearningclassificationmethods.

Technologyapplicationsdemonstratingthe useofadvancedinstrumentationinrealworldresearch

Collaborativeprojectsbetweenacademia, nationallaboratories,andindustry

Perspectivesorcommentaryonemerging trendsinquantumtechnology,cryogenics, materialsscience,orrelatedfields

Articlesdonotneedtobefullywrittenatthe outset.Ashortsummaryoroutlineofyour research,alongwithrelevantimagesorfiguresif available,isoftensufficientforoureditorialteam tobeginadiscussion.Ifyouwouldlikeyour worktobeconsideredforafutureissue,please contacttheeditorialteamwith:

SHARE YOUR RESEARCH OR STORY

Abriefdescriptionofyourresearchorstory

Yourinstitutionororganisation

Anyrelevantpublications,preprints,or conferencepresentations

Supportingimagesordiagrams(optional)

EditorialContact

Email:emily@qd-uki.co.uk

Ourteamworkscloselywithcontributorsto developclear,engagingarticlesthathighlight thescientificimpactoftheirworkwhilemakingit accessibletothebroaderresearchcommunity.

WORLD HEADQUARTERS

UNITED STATES

QDUSA.COM

Sales: United States, Canada & Mexico

SOUTH AMERICA

QD-LATAM.COM

Sales: Latin America

NORTH AFRICA

QD-EUROPE.COM

Sales: Northern Africa

SOUTH AFRICA

QDUSA.COM

Sales: Southern Africa

CHINA

QD-CHINA.COM

Sales: China - Beijing, Shanghai, Guangzhou

INDIA

QD-INDIA.COM

Sales: India

JAPAN

QD-JAPAN.COM

Sales: Japan

KOREA

QDKOREA.COM

Sales: South Korea

QD SINGAPORE

QD-SINGAPORE.COM

QD EUROPE

QD-EUROPE.COM

Sales: Austria, Benelux, Czech Republic, France, Germany, Hungary, Italy, Nordic, Polcnd, Romania, Belarus/ Moldova/ Georgia, Iberia, Swtizerland, Turkey

QD UK AND IRELAND

QD-UKI.CO.UK

Sales: UK & Ireland

QD OXFORD

QD-OXFORD.COM

Sales: Worldwide

MIDDLE EAST

QD-EUROPE.COM

Sales: Middle East

Sales: Singapore, Indonesia, Malaysia, Phillipines, Thailand & Vietnam OCEANIA

DOMOTECH.COM.AU

Sales: Australia & New Zealand

TAIWAN

QD-TAIWAN.COM

Sales: Taiwan

Keeping you at the forefront of scientific research

Turn static files into dynamic content formats.

Create a flipbook