1973-1974 Catalog of Peru State College (Nebraska)

Page 1

' ' carol
peru,nebrosko
peru s,o,e college
CfJ 1973-19~

PERU STATE COLLEGE

1973-74 CATALOG EDITION

VOL. LX, No. 1, JANUARY, 1973

Publ ished by Peru State College at Peru, Nebraska and entered under Bulk Permit Number 4 at Peru, Nebraska, 68421.

Table of Contents I. GENERAL INFORMATION 5 II. ADMISSIONS PROCEDURES, EXPENSES, 13 AND FINANCIAL AID 111. CAMPUS LIFE 29 IV. ACADEMIC INFORMATION 41 V . CURRICULA OUTLINES 59 2 VI. COURSE DESCRIPTIONS 97 CONTENTS VII. COLLEGE PERSONNEL 143 Board of Trustees 143 Administrative Officers 143 Faculty 144 Official Committees 151 Cooperating Schools in Student Teacher Program 154 Calendar 156 Index 158 Map 160

'An Introduction to Peru State College

Peru State is the oldest college in Nebraska and the third oldest teacher-training institution established west of the Missouri river Peru was founded the same year Nebraska became a state. For more than a century thousands of young people have crossed the Campus of a Thousand Oaks and have gone forth to become teachers and leaders in business and industry in Nebraska and throughout the nation .

The people of Nebraska have made the facilities of this College available to students at a minimum of personal cost. The taxpayers of the state bear a major portion of the cost of college education of the students, exclusive of personal expenses .

Public institutions such as Peru State generally have an "open door" admission policy, i e , admit graduates of accredited high schools without special entrance examinations. Peru State believes every young person is entitled to a chance to succeed at the collegiate l evel. We believe a young person with ability and a willingness to work has an excellent opportunity for success at Peru State.

3 INTRODUCTION

INTRODUCTION

This College believes in academic excellence, in opportunities for personal growth in an atmosphere conducive to growth, and in student self -determination consistent with the principles of a democratically organized society . The administration recognizes that college students are adults and should be involved in the decisions made on campus which affect them . The educational experience provided by the College is designed to enable students to learn, equip themselves for meaningful careers, and become productive members of society

Peru State students have an opportunity to know their teachers well and to become working partners with the staff and other students To live with other young people in college residences offers many opportunities for friendship, and growth, and personal development.

The college faculty and staff are here to serve you . We welcome the opportunity to assist you in realizing your personal educational and career objectives

4

General Information

HISTORY

The same year Nebraska became a state, the new state l egislature provided for the establishment of a training school for teachers or normal schoo l at Peru. At that time only two other such institutions existed west of the Missouri River - one in Kansas and one in Ca liforni a . The school's beginning actua lly dates back to December 2, 1865, when its predecessor institution, Mount Vernon Col l ege, was organized by a group of early sett l ers who reso lv ed to place the school under the "care and management of the Methodist Episcopal Church . "

Colone l T. J . Majors, a l eader in the War between the States and a state legislator , proposed that the school be made the state university. Although the offer was rejected, the state l egislature on June 20, 1867, did accept the schoo l as a " normal schoo l " several months before the state university was established. For 38 years after the Peru schoo l became a normal school, it was the only teacher education institution in the state.

As Nebraska's population in creased, the le g islature provided for three other normal schoo l s - at Kearney i n 1905 , at Wayne in 1910, and at Chadron in 1911. The legislature extended the normal schools from two years to four in 1921, and authorized these institutions to grant the degrees of Bachelor of Arts in Education, Bachelor of Science in Educa, tion, and Bachelor of Fine Arts in Educat ion. At the same time, the names of the schoo l s were changed from State Normal Schools to State Teachers Co ll eges. In 1963 the name was changed to Peru State Co ll ege.

When the United States entered World War 11, the Co ll ege offered its staff and fac iliti es to the government for the training of officers for the armed forces. The first unit of men in the Navy V-12 program arrived on July 1, 1943. During the time the nearly 500 trainees received co ll ege training, the College operated an accelerated program for both civilian students and naval trainees. Since that time many of these trainees have used the hours of college credit earned at Peru for degree requirements at Peru, or other institutions of higher learning throughout the nation

5 GENERAL INFORMATION

GENERAL INFORMATION

In 1949, the legislature authorized the Nebraska State Colleges to confer the Bachelor of Arts degree. The Bachelor of Science degree was authorized in 1965 . Emerging from the role of a single-purpose teacher's college, the College is now serving as a regional state college with many and diverse two and four -year programs in a wide variety of fields, serving to meet the changing higher education needs of people in southeast Nebraska .

LOCATION

The seat of Nebraska ' s oldest institution of higher education is historic Peru (population 1380), located in the hills along the Missouri River in the southeast corner of the state. The picturesque Nemaha County town is 62 miles south of Omaha and 75 miles southeast of Lincoln. Peru is served by Nebraska Highway 67, which intersects U. S. Highway 73 and 75 six miles west of the campus Auburn, county seat of Nemaha County, is five miles south, and Nebraska City , Otoe County seat, is 15 miles north of the junction of these highways. The Campus of a Thousand Oaks is on a pproximately the same latitude as New York City and is about 150 miles east of the center of continental United States . About 80 per cent of Peru ' s students come from Nebrask a, with adjacent states well represented . Students from more dist a nt states are also enrolled at Peru.

TRANSPORTATION

Daily bus service to Omaha , Lincoln , Kansas City , Topeka , with connections in those cities to more distant points, is available at Auburn, 12 miles from Peru. Persons wanting transportation from Peru to Auburn can usually find rides with students and faculty members. Students arriving in Auburn at the opening of a semester or summer session may secure tr a nsportation by informing the Director of Special Services in advance of arrival. College transportation will be provided to and from Auburn at the beginning or end of a semester or summer session Taxi service is also available through the Auburn Hotel.

6

MEMBERSHIPS AND ACCREDITATIONS

Peru State College is accredited by the North Central Association of Colleges and Secondary Schools and the National Council for accreditation of Teacher Education as a bachelor's degree granting institution. Full membership is maintained in the American Association of Colleges for Teacher Education and the American Council of Education. The College also is a charter member of the Nebraska Council on Teacher Education.

BUILDINGS AND FACILITIES

ADMINISTRATION. The administration, business, personnel, and professional services offices are housed in this building which was built in 1911 and completely renovated in 1967. The campus post office and telephone switchboard are located on the first floor .

LIBRARY. Nucleus of one of the first libraries in Nebraska was established in 1869. The first story of the present building was occupied in 1905 with a second story added in 1911. The interior of the building was completely torn out and rep laced with modern stacks, reading rooms, audio-visual rooms, study carrels, sem inar rooms in 1962, and now houses over 75,000 volumes.

SCIENCE. The W. F. Hoyt Hall especially for the teaching of science was put into use in 1930 and named for a lon g time professor of science. An observatory is loc ated on the roof. This building was remodeled and renovated in 1970.

FINE ARTS CENTER. This building was occupied in January, 1966 . It was named in honor of V. H. Jindra, Professor Emeritus of Strings, with the Exhibition Court named for Norma Diddel, Professor Emeritus of Art, and the Auditorium named for Robert T. Benford, Professor Emeritus of Piano and Organ. The facility provides quarters for music, speech, drama and art.

INDUSTRIAL ARTS. The Industrial Arts Building was opened in 1960 and named for A . V. Larson, who had served as Chairman of the Industrial Arts Department for many years. This facility is used to provide training and equipment in power mechanics, electricity -electronics, industrial crafts, wood-

7
GENERAL INFORMATION

GENERAL INFORMATION

working, metal working, drafting, graphic arts, photography, and related areas.

EDUCATION. Built in 1916 and named in honor of a founder of the College, the T. J . Majors Campus School became the Education Building when the legislature phased out laboratory schools in 1967. Besides housing the School of Education, it also contains the business education, geography, and home economics departments

AUDITORIUM : The original facility built in 1922 was completely remodeled in 1969, with a seat in g capacity of approximately 650 . Campus closed-circuit radio station is loc ated in the south wing over the lobby

GYMNASIUM. The gymnas ium evolved from remodeling of the original College Chapel building in 1921, through reconstruction projects in 1928 and 1949, to the present facility which houses two basketball floors, gymnastics and wrestling rooms, tile swimming pool, locker and shower rooms for men and women, as well as physical education offices and classrooms.

OAK BOWL. Concrete seats were built on the west side of a natural bowl in 1915, to provide seating for more than 2,500 spectators at athletic events. Complete dressing rooms for home and visiting teams were added to the area in 1968. Surfaced tennis courts are sout h of the Oak Bowl; the basebal l diamond is north of the playing field.

HEALTH CENTER. The Student Health Service, which provides first aid treatment and hospitilization for students needin g emergency medical care, operates in the Hea lth Center. A registered nurse is in residence at the Center and works under the direction of the ~o lleg e physician.

STUDENT CENTER. This facility was occupied in January, 1961, with more dining space and serv ices added in the fall of 1965. The building houses dining rooms, meeting rooms, a lounge, faculty room, game room, bookstore, a nd snack bar.

COLLEGE BOOKSTORE. The College Bookstore is locat ed on the lower floor of the Student Center. Current textbooks are carried in stock . School supp li es are avai lable at moderate prices.

RESIDENCE HALLS. A full-time advisor is on duty in each hall with an apartment off the main lobby. Each hall has

8

lounge and recreation areas, laundry, and snack facilities.

Morgan Hall, named for Miss Eliza Morgan, first preceptress of the College, was opened in September, 1929, and en larged in 1960 to house 184 coeds. Major renovation was completed in 1966 .

Delzell Hall, erected in 1939 and remodeled in 1958 with further renovation in 1969, accommodates 151 men . This building was named for W. N. Delzell, faculty member and dean of men from 1905 to 1939.

Majors Hall. The 90-man East Wing was built in 1960 and named for A. D. Majors, long time governing Board member and nephew of founder T . J. Majors . In 1965, a 122- man West Wing was added.

CENTENNIAL COMPLEX. The co-educational seven-unit comp l ex is a lmo st a community in itself, housing 234 students in six structures. Dedication of these facilities took place in 1967 during ce l ebration of the College's Centennial year, each unit being named in honor of long-term faculty members. Students are housed in suites of two or three bedrooms, living room, and full bath.

Davidson and Palmer Halls, named for Nona Palmer and Phyllis Davidson , house women. Clayburn and Mathews Halls house men and are named for A. B. Clayburn and L. B. Mathews . Neal Dining Hall is used by Comp l ex residents when econom i cally feasible, otherwise students are provided meals at the Student Center.

MARRIED STUDENT HOUSING. Five housing units containin g e i ght two-bedroom apartments and six one-bedroom apartments, were comp leted for occupancy in 1956, in a parklike setting east of the Oak Bowl. All are furnished with basic kitchen equipment.

Pate Hall at Centennial Complex was converted to apartments for married students in 1970 with plans to do the same for Nicholas Hall in the future . Each apartment contains kitchen-dining area, living room, full bath, and one or two bedrooms . All are furnished.

FACULTY HOUSING. Two units were comp l eted in 1956 , contain in g two one - bedroom apartments, four two-bedroom apartments, and two three-bedroom apartments for faculty use . Kitchen app li a nces furnished .

9

GENERAL INFORMATION

GENERAL INFORMATION

CAMPUS ABBREVIATIONS

Abbreviations for ca mpu s buildings are used frequently in l ist in g rooms for c lass organization meetings . The first of the three-digit numbers used with the bu ildin g abbreviation in d icates the floor, and th e seco nd and third are the room number on that floor. For examp l e, Ad 101 would be room number one on the first floor of t h e Administration Building.

A - Audito rium

Ad - Administration Bui l ding

ED - Education Building

FA - Fine Arts Center

G - Gymnasium

PERU ALUMNI ASSOCIATION

HC - Health Center

IA - In dustria l Arts

L- Library

S - Science Building

SC - Student Center

Peru Alumni Association membership includes a ll graduates and former stude nts of Peru State Co ll ege. Each year, luncheons, recept ion s, and reunions are sponsored. Local a lumni chapters, organ ized in Omaha and Lincoln in 1955, in Denver in 1957, in Berkeley, Ca liforni a in 1958, a n d in Los Ange l es in 1961 , sponsor activities in their areas with the ass is tance of the a lumni office, which is part of the office of special services.

The 50-year class reunion , a trad ition at commencement. and the 25 and 40-year c l ass reunions at Homecoming are arranged by the alumni office . S i nce 1969, reunions have been planned for the 60-and 70-year c lasses at commencement. At Homecoming spec i a l invitations are extended to c l asses of five-year intervals for the a lumni lun c h eon.

The Alumni Office. Located in the Ser vi ces Building south of the Administration Bu ildin g , t h e office ma int a in s a file of a ll graduates and many former students . Degree and diploma recipients are filed by c l asses as well as a lph abet ic al ly and geographical l y. A co ll ectio n of yearbooks, comme n cement programs, a lumni publications and other memorabi li a is housed in the a lumn i office. T h e office cooperates with the Library in maintenance of arc hiv a l materials in the special col l ection room of the Library.

The Peru Stater. The Co ll ege pub li shes The Peru Stater, which is distributed in November and May to a l umn i , former

10

students, and friends of the College. The staff of Special Services edits and publishes the magazine.

PERU ACHIEVEMENT FOUNDATION

As a result of the work of a group of alumni, the Peru Achievement Foundation was organized in June, 1955, and incorporated as a non-profit corporation for educational and charitable purposes on May 21, 1962 .

Organized for the promotion and support of Peru State College, the Foundation has as its primary purpose : "to aid, assist, and promote the educat ional program, faculty, emp loyees, students, and to encourage the attendance . of worthy and deserving students, and to grant scholarships and student loans to deserving students . "

This purpose is accomplished through the so licitation and acceptance of "gifts, grants, devises and bequests of real or personal property, or both, and to hold, administer, use and dispose of the same, both principal and income " from alumni and friends of the College.

Since the beginning in 1955, the Peru Achievement Foundation has provided scholarships; administered scholarships for various organizations, individuals and groups; furnished all matching funds for the National Defense Student Loan Program; provided for the furnishings of the sma ll dining room in the Student Center; assisted with the presentation of info rmat ion concerning the College to the legisl ature; and has in other ways promoted the College.

PUBLIC SERVICES

Conferences and Clinics. Nearly every month during the academ ic year the College is host to various conferences and c lini cs for high school and adult education groups. The College offers its facilities to these groups in an effort to make the institution serve the educational needs of the entire region which the College serves. In recent years music clinics for high school choral groups, bands and individual in strumentalists, clinics in speech and dramatics, meetings of business and industrial conferences, and meetings of fraternal and civic groups, as well as of women's soc i a l and educational

11
GENERAL INFORMATION

GENERAL INFORMATION

organ izat i ons, and specia l int erest gro up s, have been held on campus .

Speakers and Entertainment Services. Sc ho o l s, civic, and educationa l organ i zations are invit ed to make use of speakers, programs, and enterta inm ent ava il ab l e through the Co llege . Facu lty members are avai lab l e to speak throughout the year, as we ll as for commenceme nt addresses in high sc hool s. Musical a nd dramatic programs, demonstrat ion s, debates, and l ectures a lso may be arranged through the Co ll ege.

Well Child Conference. Any c hild , presc hool or el ementary age, regardless of residence or in come, i s eli g ibl e to attend the Well Ch ild Co n ference at the Co ll ege . The c linic , the first Fr iday of each month from 2 to 8 p . m., is conducted by the College in cooperation with the Sout h eas t Nebraska Comm unity Action Counc il and the State Department of Health.

12

Admissions Procedures, Expenses, and Financial Aid

The admission procedures and policies are intended to assist in the selection of freshmen and transfer students who are interested in the educational opportunities offered by Peru State College.

Peru State College offers an "open admission" policy which implies that a dmission is open to all graduates of an accredited high school. Although no specific distribution of entrance units is required, it is recommended that students enroll in college preparatory courses in high school.

Requests for admission materials should be directed to the Director of Admissions , Peru State College, Peru, Nebraska, 68421.

PROCEDURES FOR FRESHMEN STUDENTS

Peru State College follows what is known as the "rolling admission plan." Applicants are admitted as they complete the required materials for admission. Students are urged to submit their application for admission early in their senior year of high school.

The admission decision will be based on receipt of the following materials :

1. The application for admission.

2. A $10 non-refundable application fee.

3 . The verification of high school enrollment form or the high school transcript. (The verification of enrollment form will be used in lieu of the completed transcript for those students seeking admission to Peru State College while still in hi g h school.)

While the admission decision will be made on the basis of the above information , the student will be required to submit the following additional information:

4. The medical report.

5. Scores from the American College Testing Program (ACT). The test should be taken either late in the junior year or early in the senior year The results are used by the student and his advisor and by the institution for research purposes .

13 ADMI SSIONS

ADMISSIONS

Information about the ACT may be obtained from your high school gu idance counselor, or by writing directly to the American College Testing Program, P 0. Box 451, Iowa City, Iowa 52240.

6. An application for campus housing (if applicable), and a $25 room damage deposit.

7. The completed transcript. A complete (eight semesters) high school transcript must be requested from the high school principal's office by the student. The request should be made just prior to or at the end of the student's last semester in high school.

PROCEDURES FOR TRANSFER STUDENTS

Students who desire to transfer from a two year or from another four year collegiate institu t ion must submit the followin g admission materials :

1. The application for admission.

2. A $10 non - refundable application fee.

3 . A student reference form to be completed by the Dean of Students at the last institution attended.

4. College transcript - request official transcripts from eac h college attended.

While the decision on admission will be based on the above materials , each transfer student will be. required to submit the following add itional information:

5 . The medical report .

6. Scores from the American College Testing Program. (See item 5 under Procedures for Freshmen for additional information.)

7 . An application for campus housing (if applicable) and a $25 room damage deposit.

ADMISSION OF COMMUNITY COLLEGE GRADUATES

Applicants who have received an Associate of Arts degree or Associate of Science degree from an. accredited community college will submit the same materials required of transfer applicants, as listed above. An applicant who has received an Associate of Arts degree may be determined as having met the General Studies requirements of Peru State's degree pro -

14

grams Associate of Arts programs are reviewed and approved by the Academic Affairs Commission of Peru State College

GUIDELINES FOR TRANSFER STUDENTS

1. Peru State College will accept credit earned at other accredited colleges and universities . Upon receipt of the applicant's transcripts from other institutions, an evaluation will be made by the Registrar regarding total c.redit accepted and specific degree requirements which have been met . The student will work out his major requirements with his faculty advisor .

2 . Applicants transferring from a non-accredited college must meet all the admission requirements for transfer students listed above Credits earned at non-accredited institutions will be accepted on a ; provisional basis . This credit will be validated upon satisfactory completion of 30 semester hours of degree credit at Peru State College .

3. Students seeking admission while on probation at the college last attended, if accepted, are placed on probation for one semester and are subject to all policies of probation in this College.

4 Students who have been suspended from another college will not be considered for adm iss ion until the period of suspension has expired and facts related to the dismissal are provided.

5. A maximum of 66 semester hours from a community college may be applied toward a degree at Peru State .

6. An applicant who has received the Associate of Arts degree may be determined as having met the General Studies requirements of Peru State College. Such programs are reviewed and approved by the Academic Affairs Commission of Peru State College.

ADMISSION OF NON-HIGH SCHOOL GRADUATES

Those persons who are not high schoo l graduates, but who are otherwise prepared and recommended for co llege level work, may be admitted as specia l students . A co ll ege aptitude and the G.E.D . (General Educational Development) test may be used to determine the applicant level of ability and his

15 ADMISSIONS

ADMISSIONS

qualification for admission. For additional information, please cor;itact the Registrar or Director of Admissions

READMISSION OF FORMER STUDENTS

Former Peru State College students seeking readmission may obti:lin the necessary materials from the Registrar's office A $10 non-refundable application fee is required of all applicants for readmission .

ENTRANCE CALENDAR

A student may apply for admission to Peru State College at three different academic periods :

Fall Semester -August

Spring Semester ' - January

Summer School - June

Please check the calendar in the back of this publication for exact beginning dates .

MID-YEAR ADMISSIONS

A student who completes his high school program at midyear may avoid loss of time by entering Peru State at the beginning of the second semester . If this semester of work is followed with attendance in the spring "mini - term" and the summer session, the student may be classified as a sophomore for the following school year . Transfer students will find that the transition to Peru State at mid -year can be accomplished with minimal disruption to their educational program.

Total* Resident $629.50 Non-Resident $783.50

* May also include other special fees as applicable.

16
PER SEMESTER Matr i culation (payable only once) Tuition (12-16 hours) (Resident) Board and Room Student Center Fee Program Fee Health Fee (Non-Resident) $ 5 00 181.50 335.50 408 .00 20.00 10 .00 5 .00
FINANCES COST

FEES

Fees must be paid at the time of registration. No person may enroll in c l asses, attend c l asses, take any exam in at ion or enroll for succeeding semesters until all fees, rents, and other financial ob li gations to the co ll ege have been paid.

All fees and charges may be changed at any time by the State College Board.

Matriculation (non-refundable- payable only once) $5 .00

STUDENT CENTER FEE

Regular Session, each semester

Full time student (12 or more hours)

Part time student (fewer than 12 hours)

Summer Session

All students each session

The Student Center Fee is not refundab l e.

PROGRAM FEE

Regular Sess ion , each semester

$20.00 10.00 10.00

(Fee assessed to al l students enrolled for more than seven hours) 10.00

The program fee is not refundab le

17 FINANCES AND FEES

HEALTH FEE

Regular session, each semester $5.00

Summer Session 3.00

(Fee assessed to ALL students enrolled for seven or more hours in regular session)

The health fee is not refundab l e.

REGISTRATION AND TUITION

FINANCES AND FEES

SPECIAL FEES

Ident i f ication Card

Late Registration (effective first day of classes)

Change of Schedu l e

Pl acement Bureau (each year service is used)

Transcript of record (after first free copy)

Graduation Fee ( i nc l udes cap and gown)

Dup l icate degree

Late test or make up examination

Validation of courses for credit

Automob i le reg istration

Spouse Ath l etic event t icket (per semester)

Private Music, Art, or Speech Education Lessons (each)

Certain courses requ i re a materia ls fee in addition to regular fees.

An admission fee of $10 must accompany a ll app l icat ions for admission or readmission. Th is fee wi l l not be refunded.

18
Semester Hours Res i dent Non-Resident Regular Semesters 12-16 h ours $181.50 $335.50 11 or l ess or more than 16 hours 15.50 per hour 27.50 per hour Off-campus classes 15.50 per hour 27 .50 per hour Summer and Night sessions 15.50 per hour 27.50 per hour
$ 2 .00 10.00 5.00 20.00 1.50 30.00 10.00 5.00 10 .00 2 .00 5.00 2.00
ADMISSION FEE

HOUSING AND DINING

Regular sessions, each semester

Board and Room (5-day board) per semester

$408.00

If private room is contracted, add $75.00 to the above semester charges.

If housing at the Centennial Complex is desired , add $42.50 to the above semester charges .

1973 Spring Mini-session

Board and room 50.00

A student may enter into a contract with the College, enabling him to pay board and room charges in four payments each semester.

Monthly payments are to be made when due. A $5 .00 late fee will be assessed on payments received five days or later after the due date.

If a student withdraws from the College before the end of a term, board and room are refundable on a pro-rated basis. Refund begins when a student is properly checked out and has surrendered his meal ticket. Students who remain in school, but move from a residence hall while under contract, will not be entitled to a refund of board and room payments . In case of illness, refund of board only will be made , providing the student has missed no less than ten (10) consecutive class days.

Married Student Housing

Oak Hill Apartments (partially furnished)

One -bedroom units , per month

Two-bedroom units, per month (includes heat, light and water)

Complex Apartments (furnished)

One - bedroom units, per month

Two-bedroom units, per month (includes heat, li ght, and water)

19 FINANCES AND FEES

registration Complex Residents 1st of October , November,
Spring Semester $108.00 150.50 100.00 At registration 108.00 Complex Residents 150 .50
of
March,
100 .00
Fall semester At
and December
10th
February,
and April
$ 85.00 100 .00 90 .00 105.00

FINANCES AND FEES

Housing Contracts

Every student residing in College residence halls or married student housing enters into a contract on forms provided by the College Advance reservations are requ i red and a deposit of $25 must accompany request for reservation. This deposit is not refundable if the student fails to take up residence in the dormito r y or housing facility for the full term for which the a pplication was made . It is refundable, less deduction for damage to the buildings and/or equipment, at the end of the term , provided the student is in residence for the full term, or the student withdraws from the College because of reasons beyond his control, as determined by the College, or because of entrance into the armed services.

TUITION REFUNDS

Refunds will be m a de only a fter required withdrawal procedures are completed . Refunds will be made as of date of approved withdr a wa l

Fee Refunds

Proportionate refunds will be made to students withdrawing from the College within a given period. The matriculation , Student Center, and Student Programs fees will not be refunded , unless collected in error. The following schedule will be followed in refunding the registration f ee: Regular Session, and Night class: First week 80% of registration fee

20

Second and third weeks .. . . .. . . 60% of registration fee

Fourth, fifth and sixth weeks . . 40% of registration fee

After sixth week . . . . . . . . ..... ... . . None

Summer Session:

First week . . . . .. 80% of registration fee

Second Week . .. . . .. .. . ... 50% of registration fee

After second week. . . . . . . None

FINANCIAL AID

The purpose of financial ass istance is to provide students with sufficient funds to meet al l costs of obtaining a co lle ge education beyond what they and their parents are able to provide Thus, financial aid enables many students from low and middle income families to attend co lle ge who could not otherwise afford that opportunity.

Any assistance granted is awarded according to the financial need of the applicant . (Financial need is the difference between the money a student and his parents can provide for an education and the costs of that education.) To be considered for assistance, the applicant must demonstrate financial need.

Financia l assistance to qualified applicants is available in the form of loans, grants, scholarships, and college work. A student who qualifies for one program of financial a id may not necessarily qualify for another

" Financial packaging" permits the Director of Financial Aid to tailor a program of financial ass ist ance to meet the monetary needs of the individual student for one academic year. A financial package i s worked out on the basis of a careful estimate of the app li cant's estimated resources and educational costs for the schoo l year.

A package usually consists of two or more types of aid and is equal to the student's financial need. A typical package, in which the need is $1000 might be as follows: Educational Opportunity Grant, $500; National Direct Loan, $350; and scholarship, $150.

Funds for the operation of the different financial aid programs are drawn from Federal and Institutional sources. Courses are approved for Veterans and other persons eligible for Veteran's benefits by the Nebraska State Department of Education .

21 FINANCIAL
AID

FINANCIAL AID

APPL YING FOR FINANCIAL ASSISTANCE

Any student who needs financial assista nce , or desires to app ly for a scholarship, should contact the Director of Financial Aid. Students are advised to begin the application procedure well before the deadline date, because estab lishing financia l need is often a lengthy process. Applications for financial assistance for the coming year should be submitted to the Financial Aids office by April 15.

FEDERALLY FUNDED PROGRAMS

Basic Educational Opportunity Grant - BEOG. The Higher Education Amendments of 1972 established a Basic Educational Opportunity Grant. Qualifications, procedures, and funding for this program are uncertain; therefore, the program may not be operational for the 1973-74 academic year.

Supplementary Educational Opportunity Grants provide for the g ivin g of grants to students who are determined to be of exceptional financial need. Students in this category will be of such need that they will be unable to attend college without financial aid of this type

The SEOG amounts range from $200 to $1000 a year, and can be no more than one-half of the total assistance given a student. The grant is "matched" with other financial aid to meet the student's financial need. Grants are awarded on a yearly basis, with the maximum duration of a grant being four years

SCHOLARSHiPS

Board of Trustee Scholarships. The Boa rd of Trustees of the Nebraska State Colleges provides full tuition scholarships for current graduates of Nebraska High Schools who have demonstrated outstanding academic achievement. This achievement i s assessed by high school class rank and performance on the entrance exam in ations. These scholarships are renewable to cover four regular academic years. A special app li cation is required for this scholarship.

Cooperating School Scholarships. One-Half Tuition Scholarships are granted to designated graduates from school systems which assist Peru State College in the training of Educa-

22

tion majors. This scholarship is app lic ab l e to one-half of the basic tuition cost for the equivalence of eight semesters of college stud ies . Inqui ries concerning this scho l arship shou ld be directed to your High School Counselor .

Special Abilities Scholarships. Scho larsh ip s in the form of Partial Tuition Waivers are provided to students with special abilities in Athletics, Art, Debate, Drama, Journalism, Music, etc. Applicants for these awards should subm it the Financial Aid Application indi cating a desire to be considered for this scho larship. The applicant will then be contacted by the appropriate College official to determine the student's qualification. These are approved for only one academic year and may be renewed .

Special State of Nebraska Scholarships. Partial Tuition Waivers are awarded to worthy students who have financial need.

Foreign Student Scholarships. Five full-tuition, four-year scho l arships are awarded annua lly to qualified undergraduate students who are c itiz ens of other countries Candidates for such scholarships must present proof of abi lity to defray expenses other than tuition and fees. Applications must be filed with the Registrar no later than June 1, prior to fall entrance

Peru Achievement Foundation Scholarships. Through the generosity of a lumni and friends of Peru State College, the Peru Achievement Foundation , Inc., awards scholarships which have been established on a permanent basis .

A li sting of the amounts and qualifications for Scholarships that are awarded through the Foundation can be found at the concl.usion of the information on Financial Aid. Students may make application for a specific scholarship or any available scholarship on the College's scho l arship application form , which may be obtained from the office of the Director of Financial Aids.

College Work-Study is intended primarily for students from low-income families and permits them to earn a part of their col l ege expenses. During the time they are attending classes full time, the student can work a maximum of 15 hours per week. During vacation periods the students may be al lowed to work 40 hours per week. Work-Study jobs are usually on-cam-

23 FINANCIAL AID

pus or for the c ity of Peru , and are vital to the efficient operat ion of both the Co ll ege and the city. College Work-Study jobs are often used for matching purposes with a student's SEOG grant.

National Direct Student Loans are made to st udents who need financial assistance in meet in g educat i ona l expenses. To be e li g i b l e, the student must be in good stand in g and be registered as a full-time student NDSL lo ans are a l so com monly used for matching purposes with an SEOG.

Federally Insured Student Loans are int ended primari ly for students who do not qualify for the other programs of financ i a l ass i stance but who, nonetheless, need financial help .

Federal Insured Student Loan - State of Nebraska, LB152. If a Nebraska resident is unable to obta in a Federa lly In sured Student Loan through a commerc ia l age n cy, h e or s h e m a y obta in such a loan from the State of Nebraska. The req u est for the loan should be initiated in the Col l ege Fin anc ia l Aid office.

24 FINANCIAL AID

INSTITUTIONALLY FUNDED PROGRAMS

College Work jobs are similar to the Work-Study jobs in pay sca l e, type of work performed, and hours worked.

Memorial Loan Funds estab li shed by v arious donors include: the $200 Willie Ethel Crone Loan Fund, established in 1943 by Miss Ruth Crone in memory of her mother; the $300 Harriet Louise Lindstrom Loan Fund, establ ished in 1946 by the l ate C. R. Lindstrom and Mrs. Lindstrom in memory of their daughter; the Mrs. Eva Fischer Loan Fund provided in 1962 by a $500 bequest by the l ate Mrs Eva Fischer of Beatrice; the Towne Loan Fund provided by a $1,411.24 bequest by the late Norman L. Towne of Bozeman, Montana, husband of the late Lola Howe Towne, class of 1906; the $250 Patricia Buethe Loan Fund, estab lish ed in 1962 by friends of the late Mrs. L . Chris Buethe.

Although there is some variation in the spec ifi c requirements for these lo ans , the general qualifications are the same as for the College Loan Fund: (1) be a student in the College, (2) plan to teach, (3) be in need of financial assistance . Loans from the College Loan Fund and Memorial Loan Fund are general ly made on a short-term basis.

NEBRASKA CONGRESS OF PARENTS AND TEACHERS SCHOLARSHIPS

Scholarships are granted by the Nebraska Congress of Parents and Teachers to full-time students of the Nebraska State Col l eges who are Nebraska residents training to become teachers . In order to be eligible for these scholarshipswhich vary in number with available funds - the student must have a pleasing personality, have high moral and social standards, and show ~n aptitude for teaching. Applications are sent to the College by the Nebraska Congress of Parents and Teachers short ly after the beginning of the fa 11 semester.

STATE VOCATIONAL REHABILITATION AID

Through the Division of Vocational Rehabilitation individuals with physical disabilities which constitute vocational handicaps are eligible for financial assistance in meeting costs of tuition, plus certain other financial help, depending upon the extent of their financial need.

25 FINANCIAL AID

FINANCIAL AID

Students interested in receiving this a id should contact the Director of Financial Aid for additional inform ation.

AWARDS

Alpha Mu Omega Freshman Award. Presented by Alpha Mu Omega, honorary mathematics fraternity, to a member of the freshman c lass for excel l ence in mathematics

A.V. and Wilhelmina Larson Memorial Industrial Arts Award. A $100 scholarship to be presented to a student completing his sophomore year who demonstrates promise as a teacher in the area of indu str ial arts.

B. E. Swenson, Jr., Athletic Award. Established in 1925 by Bert E. and Stella Swenson in memory of their son , 8. E. , Jr., and their parents who made possible their early education at Peru. Juniors and seniors are eligible and no student shall receive the award more than once . Basis for judgin g: 100 points. General - Character and personality , 15; Scholarship, 15; Loyalty to school tradition, 20; Athletics - Must receive school letter in at l east two different sports, including either major or minor sports, 50 points. The two letters need not be earned in any one year .

Business Club Award. Presented by the United Business Education Association to an outstanding student in Business Education

Dramatic Club Awards. Presented each year to the senior man and senior woman who have contributed most to dramatics during the four years in the College.

Epsilon Pi Tau Award. Presented by t_he loc al ETA Chapter of Epsilon Pi Tau , an International Honorary Fraternity in Industrial Arts, for the purpose of honoring a graduat i ng member whose scholastic ab ility is outstanding.

Kappa Delta Pi Educational Award. Presented by the Beta Mu Chapter of Kappa Delta Pi, national honorary educationa l fraternity, to the freshman whose scholarship and professiona l attitude are outstanding.

Louise Mears Geographical Award. Presented to a student with high scholastic performance in the field of geography .

Neal S. Gomon Award. The Neal S. Gomon Award is presented annua lly to the Pedagogian staff member who is voted most outstanding in his contributions to the paper.

26

Phi Alpha Theta Award. Presented to the student whose contribution to the National and Local Historical Association is outstanding .

English Club Award. Presented by the English Club and Sigma Tau Delta, national honorary English fraternity, for the best written contribution submitted each year. The type of writing is designated each year by the fraternity.

Zelma R. Wonderly Award. An annual award of $50 to the outstanding second grade student teacher.

Pearl A. Kenton Language Arts Award. A $50 award is presented annually to an outstanding student majoring in the area of language arts.

Helen E. Cole Pollard Founders Award. Presented at spring honors convocation to the senior who during his collegiate career has demonstrated loyalty and service to the College. Mac Dunning Industrial Arts Award. A $50 annual cash grant to an outstanding student in the area of industrial arts.

Bill Tynon Memorial Athletic Award. A $50 award is presented to a Nebraska resident for his senior year who has made an outstanding contribution to intercollegiate athletics.

A. B. Clayburn Memorial Award. A $100 award is for a junior in teacher education who is majoring in social sciences and has displayed the qualities of outstanding citizenship, progress , and potential.

Lura Hendricks Eichler Memorial Kindergarten Education Award. The $50 award is presented annually to a student who has demonstrated ability, aptitude, and interest in kindergarten education.

A. V. Larson Award. Presented to the student contributing most to the College yearbook .

Sigma Tau Delta Award. Junior students of high scholastic standing who have shown an outstanding interest in literature and have been active in .the English Club are presented memberships in Sigma Tau Delta.

Gavel and Rostrum Award. This award is presented to a student who actively participates in the debate program for two or more years.

Chemistry Award. The Chemical Rubber Co . has made available the New 53rd Edition of the CRC Handbook of Chemistry and Physics and a scroll to be presented to the student rankin g at the top in the freshman chemistry courses.

27 FINANCIAL
AID

The Peru Achievement Foundation provides scholarships to Peru State students as recognition of their achievements in their academ ic pursuits.

Some scholarships are listed below:

SCHOLARSHIP QUALIFICATIONS

Ak-Sar-Ben

Char l es E. Andrews

Bath Family Memorial

E C and Mae Miller Beck

Scholarship for English

C.C. & Erma Wilson Choyce

Jess A. Harris Memoria l

Benjamin Harrison

Lena Huff

Glenn D Jenkins Memorial

FINANCIAL AID

E. Albin Larson Memorial

Ruth Mathews Memorial

MENC Alumni

Mr . & Mrs . W.R . Pate

Nebraska resident

Demonstrate earning responsibility--need (renewable)

None

English major, preferably with ath l etic ability

None

None

None

None

Preferably a resident of Humboldt, NE or from Richardson County

None

Awarded every-other year

Music

None

Peru Achievement Foundation Freshmen A lumn i

28
None
Memorial Goodreau Soper Memorial Academic Oliver J. Stevenson Memorial None John Wear Memorial Financial need Charles Weigand Senior standing AMOUNT 4-$200 8-$200 $50 $100 $50 $50 5-$100 $50 2-$50 $100 $100 $50 $100 10-$100 $50 Tuition $100 $100 $50
Scholarship Alice Jewell Warnock
& Lillian Jewell Barnes

Campus Life

The College has as its constant goal the best possible adaptation of its educational opportunities to the interest, needs , and abilities of each student.

Each student is assigned to a faculty advisor who is qualified to advise him in his field Students needing advice before the opening of the college year are invited to arrange a conference with the Registrar of the College by definite appointment. The student needing personal or vocational counseling should see the D(rector of Counseling.

ORIENTATION

Prior to the opening of classes, the College arranges a Welcome Week program, which is designed to give special attention to problems of students who are entering the College Both Freshmen and transfer students are encouraged to attend The program acquaints the student with his new environment and offers him a helpful introduction to campus life He completes tests and is assigned to a faculty advisor who is available to assist the student throughout his college career in defining goals to be reached in college and give information regarding appropriate curriculums and courses. Opportunity to meet members of the faculty and other members of the student body is afforded through social events .

COUNSELING SERVICE

The primary function of the Counseling Service is to help students make realistic decisions regarding their college careers . All entering students are encouraged to make a n appointment with the counselor so that they may obtain his professional services which include: (1) counseling - educational, vocational and other personal problems; (2) testing; (3) occupational information.

Counseling. It is the policy of the College Counseling Service to counsel with students who can be helped in a relatively short period of time It is not the intent to engage in long term and / or intensive psychotherapy, but rather to promote the adjustment of students within the College setting . A primary goal of counseling is to help maturing students accept responsibility for their own behavior.

29 CAMPUS LIFE

Testing Services. Tests of achievement, ability, interest, and adjustment are given to all students who request them through a counselor. The data from these tests are used as a basis for counseling in educational, occupational, and personal problems. The testing service provides psychological test data for the use of counselors and faculty advisors, placement tests for various academic groups at the College, and assistance in the preparation, administration, and scoring of subject-matter tests as requested by various departments in the College.

Occupational Information Services. A comprehensive, current collection of essential occupational information is m a intained in the Counseling Service library. Current catalogs of the major universities and technical schools are also on file. These materi a ls are a va il ab le to all students seeking information about particular vocational opportunities or information about employment in general.

PLACEMENT SERVICES

Teacher Placement. Peru State College maintains a central office for the confidential recommendations of students and alumni . Each candidate is to provide personal information and recommendations that will assist him in securing a position. Prospective employers may receive credentials without charge .

Business and Industrial Placement. Assistance is given students in finding full time employment in business, industry,

30 CAMPUS LIFE

and governmental services. Literature on various companies is available to students who may be interested.

Sample letters of inquiry, letters of application, personal data sheets, etc., are available to assist the cand idate s. Employment interviews are often held on campus. The Placement Office maintains a library of occupational information.

There is a nominal fee for sending credentials and the mailing of vacancy lists which are issued periodically. The fee includes service from September 1 to August 31 of the following year.

STUDENT HEAL TH SERVICE

Required Health Examination. All students attend in g the College during the regular academic year are required to furnish evidence of being in good health as part of the application for adm ission .

Students participating in physical activities such as football, basketball, baseball, cross country, track and field, swimming, tennis, wrestling, volleyball, and intramurals must be certified as physically fit by the college physician at the beginning of the activity.

Health Care. Any student may consult the nurse at the Health Center at any time during her regular office hours. The College doctor has regular hours at the Health Center. Visits with the doctor outside of his regular hours may be scheduled through the college nurse at no charge to the student. Aspirin , first aid, and dressings are provided from the Health Service free of charge. The College's responsibility for medical expenses is limited to the services as listed above.

Health Insurance. Blue Cross-Blue Shield hospital and medic al insurance is availab le to all students at very reasonable group rates. It is recommended that students purchase some type of protection.

LIVING ACCOMMODATIONS AND DINING SERVICE

All requests for information concerning living accommodations and requests for room reservations in one of the residence halls should be directed to the office of Student Affairs. Schedu le of room and board rates is listed in the Financial Information Section.

31 CAMPUS LIFE

CAMPUS LIFE

Residence Halls. The College residence halls offer attractive living accommodations near the classrooms and library . Halls are maintained for both men and women students.

Each residence hall at the College is responsible for setting its own hours of visitation within guidelines established by the College . Guests of the opposite sex register when they enter and leave halls .

All unmarried freshman and sophomore men and women , except those living with parents or guardians, must live in college residence halls Exceptions to this will be handled by the College on an individual basis, with requests for exceptions to be submitted to the office of the Vice President for Student Affairs .

Women - Morgan Hall and women's quarters in Centennial Complex are under the supervision of the office of St udent Affairs . In Morgan Hall all rooms are arranged as combination sleeping and study rooms. Two students occupy ·a room, except for the south wing addition, where three students are assigned each room. In Centennial Complex quarters are arranged in suites of two or three bedrooms, a living room , and bath to accommodate four or six students. Residents must furnish bed linen, pillows, blankets , towels, and dresser scarves. Students also furnish study lamps in Morgan and bed lamps in Centennial Complex (if desired). Window drapes are furnished.

Women students living in residence halls who are age 19 or over have the privilege of extended hours. They may determine for themselves the hour for "entering and leaving" the hall. Those who are under age 19 must have permission from parents or guardian for extended hours.

Men - Delzell Hall, Majors Hall, and men's quarters in the Centennial Complex are under the supervision of the Vice President for Student Affairs . Except in Centennial Complex, all rooms are arranged as combination sleeping and study rooms Two students are assigned to a room In Centennial Complex quarters are arranged in suites of two or three bedrooms, a living room and bath for four or six students. Occupants in halls furnish bed linen (bring fitted sheets for extra long twin beds), pillows, blankets, and towels. Students also furnish study lamps in Delzell, bed lamps in Majors Hall and

32

Centennial Compl ex , if desired . Window d ra pes are furnished .

Other Housing Accommodations. Lists of rooms and apartments available in private homes off-campus are maintained by the Vice President for Student Affairs

Married Student Housing. Housing facilities for married students are avai l able in Oak Hill in one- and two - bedroom units. Each unit is equipped with a stove, refrigerator, washer , and dryer. Utilitie s are included in rental fee , with the exception of certain app li ances such as air-cond itionin g. One- or two-bedroom furnished apartments are avai labl e at the Centennial Complex, where l aundry facilities are shared. Collegeoperated housing for married students i s le ased on a semester basis, with rental payable monthly in advance. A depo sit is required and is refundable at the end of the leas e period, provided the property is left in good cond ition. Inquiries concerning these facilities shou ld be directed to the Business Office .

Food Service. Air-conditioned food serv ice areas are located in the Student Center. The main dining room in the Student Center is open for regular meal service to residents of Morgan, Majors, Delzell Halls, and Centennial Complex, to faculty, staff, guests, and visitors. Weekend service is avai l able only in the Snack Bar, which is open for lunches and s nacks at stated hours . Students who do not liv e in the residence halls, faculty , staff, and guests of the College may purchase meals at individual meal rates in the Student Center food service areas.

ENTERTAINMENT , RECREATION, SOCIAL LIFE

Throughout the school year concerts, plays, lectures, and recitals are presented at the College by students, faculty member s, and profe ss ional artists. Student-p lanned and student-directed productions are an important part of the Co llege entertainment schedu l e.

Besides recreational facilities of the College which are utili zed in an intramural program for both men and women , Peru's location in the rolling wooded hills offers opportunities for hikes a nd outings. Laura Neal Memorial Park, a few blocks south of the campus, is the scene of many student, facu lty, and alumni meetings. Other parks in the area where Peruvi-

33 CAMPUS
LIFE

ans gat h er are Corye ll Park near Brock, the city parks at Auburn and Nebraska City, and the Arbor Lodge State Park, also in Nebraska City. During the summer months many Peru Staters en joy the outdoor municipal sw immin g pools in Auburn and Nebraska City.

The soc ial season at the College centers around the fo llowin g events - Homecom in g, Thanksgiving, Christmas, Valentine's Day and Spring Week - when a ll -co ll ege dances are given. Other social activ ities are sponsored by various student organizations. These groups g iv e dances, teas, parties, receptions, and p i cnics for their members and guests. Faculty organizations include the Faculty Women's C lub and a branch of the American Association of University Women.

STUDENT ORGANIZATIONS Student Governing Association

The Student Govern in g Association of Peru State College is made up of e l ected representatives from the four schools, classes, residence halls, off-campus housing units, and the SGA president and vice president. The SGA is dedicated to bringing students' in terests and opinions to a meaningful focal point in the operation of the Col l ege.

The SGA has voting members on the following official co llege bodies: the Co ll ege Affairs Council, Academic Affairs

34
CAMPUS LIFE

Commission, Library Committee, Teacher Education Committee, Student Affairs Commission, Financial Aids and Scholarship Committee, School and Community Relations Committee, and the Student Conduct Committee. SGA offices are located in the Student Center.

SENIOR, JUNIOR, SOPHOMORE, AND FRESHMAN classes are considered definite organizations. Each class is assisted with its activities by a member of the faculty, who acts as sponsor during the school year.

MEN'S HALL COUNCILS AND WOMEN STUDENTS ASSOCIATION are representative councils selected by the residents of the men's and women's residence halls, respectively . The governing bodies of the halls handle problems and plan social activities for the residents.

Student Center Board

The Student Center Board is a coordinating body for Student Center activities, as well as campus social events. Numerous activities of a social nature are sponsored throughout the year under the sponsorship of the Student Center Board. Concerts by nationally known groups are scheduled to appear on the Peru State Campus during each school year .

Educational and Social

The AFRO-AMERICAN CLUB is open to all students interested in promoting the understanding of Black Heritage .

The CIRCLE K CLUB is a Kiwanis -affiliated service organization which is dedicated toward the betterment and advancement of the campus and community

The DRAMATIC CLUB, one of the state's oldest dramatic organizations, throughout its existence has endeavored to present to the College community the best in drama.

The HOME ECONOMICS CLUB offers opportunities for development of personality and for stimulation of interest in homemaking and the professional field. It is affiliated with the National Home Economics Association.

INDUSTRIAL ARTS CLUB is devoted to promoting interest in the Industrial Arts and Vocational Education.

The PERU SOCIAL SCIENCE SOCIETY strives to provide an informal setting for socialization and discussion .

35 CAMPUS LIFE

STUDENT EDUCATION ASSOCIATION is an organization for potential teachers. It is aff ili ated with the Nebraska State Ed ucation Association and the Nat ion a l Education Association. The activities of the assoc iation are devoted to the improvement of educat ion.

The GAVEL AND ROSTRUM CLUB is open to all students interested in forensic and general speech activities outside of schedu l ed classes . The organization supports and assists service clubs, high schoo l , and co ll ege speech activities on and off the campus .

The ENGLISH CLUB promotes the mastery of written expression, encourages worthwhile reading, and fosters a fellowship among students specializing in the Eng li sh language or literature.

Religious

A number of re li g iou s groups are ava il ab l e to Peru Staters . These groups include: Chi Rho (all denominationa l) ; Lutheran Student Fellowship (Missouri Synod and United Lutheran); and Newman C lub (Catholic).

Chi Rho, an ecumenica l group, maintains an off-campus center , which is open to all students .

Music

The PERU CHORUS , open to all students, is de voted to the study and performance of good choral lit erature. One semester hour cred it may be earned by chorus members by registering for Music 19, Chorus.

The BAND PROGRAM i s divided in to two in strumenta l organ izations, the Concert Wind Ensemble and the Stage and Pep Band. The Concert Wind Ensemble is primarily a concert organization. The Stage and Pep Band functions at ath l etic events and variety programs. Members may earn one semester hour in each of these groups by registering for Music 21, Concert Wind Ensemb l e or Music 29, Stage, and Pep Band.

The MUSIC CLUB, an affi li ate of the Nebraska Music Educators Association and the Music Educators National Conference, is open to all students interested in music. The c lub annually sponsors instrumental and vocal clinics and various musical productions.

36
CAMPUS LIFE

Athletic

The "P" CLUB membership is made up of Peru State College men who have lettered in any intercollegiate sport . The ~ostering of good sportsmanship is the club's purpose .

The WOMEN'S ATHLETIC ASSOCIATION is open to women students interested in women's physical education.

Pep

The BLUE DEVILS, men's pep organization, was organized in 1946 to stimulate interest in not only athletic, but also other student events . Second semester freshmen or above may pledge membership into the organization.

The WHITE ANGELS, women's pep organization, was organized in 1948 to promote good sportsmanship and school spirit on the campus.

Honorary

ALPHA MU OMEGA, honorary mathematics fraternity, aims to develop and promote interest in the study of mathematics . Students who have or are currently enrolled in analytical geometry with above average grades in mathematics are eligible for membership.

37

CAMPUS LIFE

CAMPUS LIFE

EPSILON Pl TAU is a national honorary professional i ndustrial arts education and vocational educat ion fratern ity. Members are selected from students of junior or senior standing who have a grade point average of 6.40 in the indu str i a l arts and an average grade of 5 .00 in other fields .

KAPPA DELTA Pl, national honorary education fraternity, is open to men and women of junior standing ranking in the upper quintile of the cl a ss and who show evidence of a continued int erest in the field of education .

MU EPSILON NU i s a national undergraduate fraternity in educat ion .

PHI ALPHA THETA, national honorary history fraternity, is open to those of high scholast i c standing who have more than 12 hours of history.

SIGMA TAU DELTA , national honorary English fraternity, has had a chapter at Peru State Co ll ege since 1926. Members of the Eng li sh Club who have maintained a high scholastic record may be e l ected to membership

38

BETA BETA BETA, professional honorary biology fraternity, is open to junior s a nd sen ior s whose field of concentrat i on is biological sc ienc e. Candidates for m e mb ers hip must be above av erage in sc hol ars hip a nd must plan to make biology their permanent int erest.

GAMMA THETA UPSILON , int ernat ion a l hon orary geogra phi ca l soc i ety, i s open to st ud ents w ho h ave hi gh sc hol astic sta ndin g in three membership c l asses: regular, honorary, or assoc iate.

PHI BETA LAMBDA. The lo ca l c h apter, Epsi lon Tau , i s a bu siness fraternity aff ili ated at both the state and national lev e l s. Memb ers hip i s open to a ll stude nt s int erested in business.

LAMBDA DELTA LAMBDA is an honor ary fraternity for a ll people who are interested in physical sc i ence .

WHO'S WHO Among Students in American Universities and Co ll eges ann u a lly determines the number of stude nt s with senior stand in g in the College who may be se l ected for this honor. T h ese honorees are selected by a comm itt ee of stude nt s and faculty on the basis of scho lars hip , leadership and part i c ip ation in academ i c and extracurr icu lar activities, c itizens hip a nd ser vi ce to t h e Co ll ege, and prom i se of future usefulness in business a n d society.

Student Publications

The Pedagogian i s the off i c i a l co ll ege newspaper. It i s publi shed weekly during the academic year under the supervis i on of th e journ a li sm instructor . Although contr i but ion s are welcomed, the majority of the writing and ed itin g is done by the students in journ a li sm c l asses.

The Peruvian i s the co ll ege yearbook a nd i s published annually by the Peruvian staff und er the direction of the faculty ad vi sor. Althou gh any stude nt may ser v e on the staff, most of the work i s done by st ud ents enro ll ed in yearbook ed itin g.

Handbook for Peru Staters i s published in l ate sum m er by the Stude nt Governing Association und er the d i rect ion of the Office of Specia l Serv i ces The publication serves as a guide to campus livin g for a ll freshmen and other new students.

Sifting Sands is a magazine of st ud ent writing published eac h spr in g by the En g li s h Club and Si gma Tau Delta.

39 CAMPUS LIFE

CAMPUS LIFE

Campus Radio

KPSC is the ca ll number for the Peru State College radio stat ion. This station broadcasts to buildings on the campus, and serve~ as a laboratory for radio and speech c lasses

STUDENT CONDUCT

Each student is expected to conduct himself in accordance with the regulations of the college and such l aws of the City, State, and Federal Governments as apply to matters of persona l conduct .

The College reserves the right to exclude at a ny time students whose conduct is deemed undesirable or injurious to the best interests of the College, or of the student. In eve nt of s u c h dismissal, fee s will not be refunded.

For detailed information regarding studen t conduct, see the Peru State Co ll ege Student Agreement and the Handbook for Peru State rs.

Auto Registration and Parking. Every st ud ent mu st register his motor vehicle with the office of the Superintendent of Buildings a nd Grounds, if s uch vehicl e i s operated or possessed within the c ity limit s of Peru. Vehicles are defined as a ll powered vehicles : automobi les, motorcycles , motor scooters, a nd any other powered v e hicl e The registration fee is two dollars .

Detailed copies of the vehi c le regulations may be obtained at the office of Student Affairs.

Only automob il es with proper identifi cation are a llow ed to park in dormitory a nd other restricted areas. Adequate parkin g for all stude nt s is ava il ab l e in off-street areas. Students are not to park in residential areas ad j ace nt to the campus

40

Academic Information

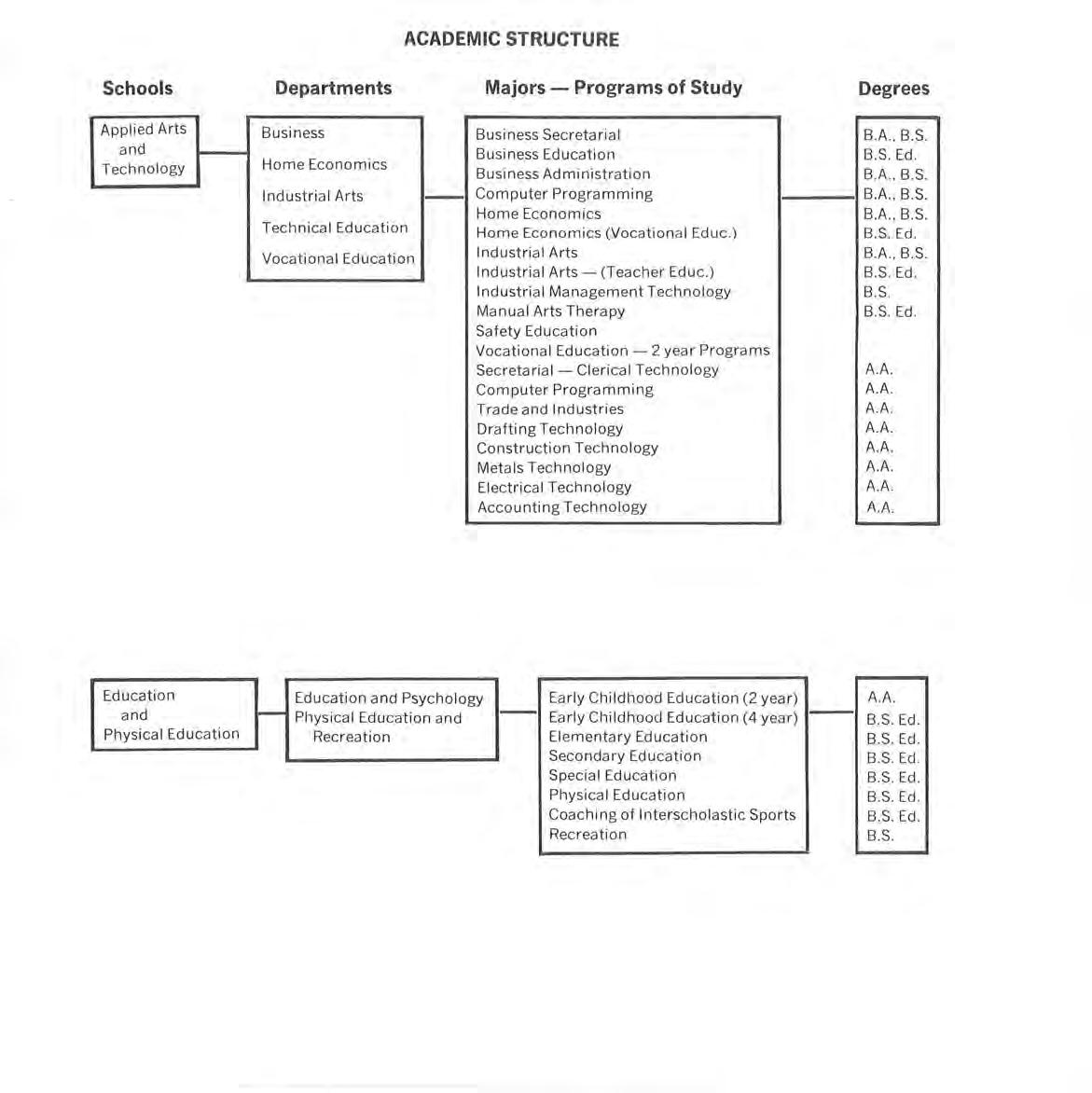
The College i s s uppo rted by the State of Nebraska fo r the purpose of meeting the ed u cat ion a l needs at the co ll ege lev e l of c itizens of the state. The Co ll ege is a multi-purpose reg ion a l institution with a broad v ar i ety of programs in genera l lib era l arts, vo cat ion al-techn i ca l educat i on, teacher ed u cat ion , and a variety of pre-professional or terminal vo cat ion a l educat ion programs cu lmin at in g in a Bac h e l or of Arts or Bache l or of Sc i enc e degree a nd Associate of Arts degrees in certa in vo cational areas. The College a l so provides programs of instruct ion for ad ult s in l earn in g centers throughout southeast Nebraska.

SELECTION OF PROGRAM OF STUDIES

The st udi es offered by the College in c lude four-year professiona l curr icu l a in elementary educat ion and in secondary educat ion ; a four-year lib era l arts program; a bachelor of sc ience program flexible enough to sat isfy a v ar i ety of interests and objectives; and a number of one-year and two-year terminal and pre-professional curr icu la.

In ge n era l , the v ar iou s curricu l a offered by the Co ll ege consist partly of genera l stud i es courses and partly of specia li zed courses. The genera l stud ie s co ur ses are tho se set forth and im portant for a ll individuals for effect iv e livin g, regard l ess of their vocations. The specia li zed courses are those th at prepare specifica lly for teach in g or other vo cat ion s, or sat isfy spec i a l avocational or cu ltur a l interests.

Upon enro llin g, a student c hoo ses a v ocat ion a l objective or a major of principal cu ltur a l int erest. This determines the curr icu lum that he will folloyv and the ad vi sor who will gu id e him in his educat ion a l exper i en ces. The c hoi ce may be tentative and may be changed later. Students who desire spec ia l ass istance in se lecting a vocational goa l may request vo cat ion a l counse l ing from the office of the Director of Counse lin g This off ice mainta in s a comp l ete l aboratory of aptitude, in terest and ab ili ty tests which may be adm ini stered to a student. St udents may find the interpretation of the results of these tests extreme ly valuable in making a vo cat ion a l cho i ce.

Students who are undecided in regard to a vocational

41 ACADEMIC INFORMATION

ACADEMIC INFORMATION

and/or educational goal may register in a general category. These students are urged to use the Guidance and Counseling services during the first semester to assist in the above decisions

DEGREES

The College is authorized by law and rules to the Board of Trustees of the Nebraska State Colleges to issue the following degrees:

Bachelor of Arts in Education (A.B. in Educ.) This degree is given to candidates whose field of concentration is in one of the following fields: Fine Arts, History and Social Science or Language Arts.

Bachelor of Fine Arts in Education (B.F.A. in Educ.) Art and/or Music

Bachelor of Science in Education (B.S. in Educ.) This degree is given to candidates whose field of concentration is in one of the following fields: Physical Education, Practical Arts, Mathematics and Science, Elementary Education or Library Science.

Bachelor of Arts (A.B.) This degree is given to candidates without regard to field of concentration and without the professional education requirements .

Bachelor of Science (B.S.) This degree is given to candidates without the professional education and/or the modern language requirement.

Associate in Arts (A.A.) This degree is given candidates who complete a two year program approved by the college. Such programs at Peru State College are of the career ladder type. The student may go to school a year, stay out and work the following year or two, and return to complete his Associate of Arts degree. He may also apply his degree toward a baccalaureate degree in the same major area.

REQUIREMENTS FOR BACHELOR'S DEGREES

Total Hours. A candidate for a degree must earn 125 semester hours of course credits.

Upper-Division Credit. The student must have earned at least 40 hours of upper-division credit (300 and 400 series). All 400 courses with a suffix of G carry either graduate or undergraduate credit.

42

Grade Point Average. A grade average of 5.25 is required for all degrees in Teacher Education. An average of 5.00 is required for other degrees.

Resident Credit. A minimum of 30 resident credits is required. A student who has not been enrolled in on-campus classes within the 10 years prior to application for graduation, must earn a minimum of nine hours of on -ca mpus credit in order to qualify for a degree . The resident credit must be to the extent of 24 hours of the last 30 hours for a degree . This resident requirement may be waived in cases where any of the required resident credit is earned in any one of the four State Colleges.

Professional School Residence Credit. Under certain circumstances in which a pre-professional student has successfully completed three years of training at Peru State College in a specific approved program, he may transfer to an accredited professional school during his fourth year, and qualify for the baccalaureate degree, provided he meets all other graduation requirements.

Correspondence and Extension Credit. Not more than onefourth of the total requirements for a degree may be satisfied through correspondence study and extension classes, and of this number the correspondence study alone cannot exceed one-eighth of the total hours. Study center or off-campus classes will be honored as resident credit if conducted by this College .

Major. Each degree candidate (except those in elementary education) must complete the general studies program, a major, and supporting courses in keeping with his educational objective.

Normal Pro·gress. To maintain normal progress a student must complete at least 30 semester hours of credit in a consecutive five-year period including attendance for a full load during one semester or summer session. Twelve hours is considered a full load for normal progress. In case normal progress is not maintained, the student must follow requirements in the current general bulletin Application for Degrees. Each candidate upon enrolling for the final course requirements in a semester or term, shall complete an application through the Registrar ' s office setting

43 ACADEMIC
INFORMATION

forth the degree(s), major(s) and payment of fee for graduation. This app li cat ion must be comp l eted within the first five weeks of the semester or within the first two weeks of the first summer sess ion .

CHANGE IN MAJOR

Students who el ect to change their major at a point beyond the sophomore year should be aware of the probability of their graduation date being extended. Also , it may be necessary for the student to follow the requirements in the current bulletin, rather than the one in effect at the time of matriculation.

ACADEMIC PROGRESS

Academic Progress forms are maintained to guide and record the student's progress toward his graduation. Two cop ie s are maintained, one by the Registrar's office and the second by the student. This is necessary for effective advisement, registration, plus the mutual protection of the student and the College. The accuracy of each registration and the check in g of a ll requirements are the final responsibility of the student.

GRADUATION REQUIREMENTS

In genera l , students will follow the graduation requ ir ements as outlined in the bulletin current at the time of matricu l at ion Students whose progress toward a degree has been irregular or int errupted to a point of five years or more since the date of matriculation will meet the requirements of graduat ion in the most recent bulletin. Students for whom a progress sheet has been made, and who are making normal progress toward a degree, will continue in their original bulletin.

GENERAL STUDIES PROGRAM

The purpose of Genera l Studies at Peru State is to provide undergraduates with the concepts, understandings, sk ill s, and values necessary for livin g purposefully in modern soc i ety. These studies, emphasiz in g the relation and unity of basic ideas from the severa l disciplines, are se l ected for their usefulness in helping to so lv e the common problems in both an individual and soc i a l context. To establish the unity of know!-

44
ACADEMIC INFORMATION

edge and experience, the distinct courses in general studies share common goals in the sense that they all should promote a spirit of inquiry, relate knowledge from various fields, and encourage continued liberal education on the part of the student. Specific courses are held to a minimum , with the intent that students should be encouraged to select those courses most appropriate to their educational needs.

GENERAL STUDIES PROGRAM

HUMANISTIC LEARNING

English Composition

(Students who rank at the 85th percentile or higher on the English portion of the ACT test may waive the Eng 101 requir eme nt.)

Eng. 101 (3)

Eng . 302 (3)

Literature

Eng. 202 (3) Appreciation of Liter atu re

Eng. 318 (3) Neo-Classical Writers

Eng. 323 (3) Victorian Period

Eng. 324 (3)

American Literature I

Eng. 325 (3) American Literature II

Communications

Bus. 445G (3) Conference Leading

Speh. 152 (3)

Fundamentals of Speech

Speh. 254(3) Public Speaking

Speh. 258 (3)

Speh. 260 (3)

Fine Arts

Art 306 (2)

Art 317 (3)

Art 318(3)

Mus. 311 (2)

Mus. 406 (3)

Debate (Beginning)

Introduction to Radio and Television

Art Appreciation

· Art History I

Art History II

Music Appreciation History of M~sic

14- 15 hours 6 hours 3 hours 3 hour s 2-3 hours \ 45 ACADEMIC INFORMATION

46 ACADEMIC INFORMATION

SOCIAL LEARNING

I _)
and Behavioral Science (No more than 6 hours in history) Econ. 333 (3) Economic History of the U.S Geog. 103 (3) Cultural Geography Hist. 113 (3) History of the U.S . to 1865 Hist. 114 (3) History of the U.S. Since 1865 Hist. 201 (3) World Civilization to 1500 Hist. 202 (3) World Civilization Since 1500 Hist. 455 (3) Twentieth Century Russia Hist. 303 (3) The U.S. in the 20th Century Hist. 467 or Pol.Sci-467 (3) I.A. 300(3) Phil. 201 (3) Phil. 301 (3) Pol. Sci 201(3) Psych. 121 (3) Rec. 220(3) Soc. 201 (3) Soc. 300(3) Soc. Far East Futuristics Introduction to Philosophy Philosophy & History of World Religions I American National Government General Psychology Recreation Leadership Principles of Sociology Contemporary Social Problems Sci . 100 (3) Soc ial Science Health and Hygiene Educ. 415 (2) Drug Use and Abuse H Ec. 332 (3) Nutrition and Dietetics P.E. 205 (3) Hea lth P E. 215(3) FirstAid Soc 340 (3) The Family P.E. Activities P E. 90(1) P E 101 (1) P.E. 102(1) P.E. 3(1) P.E. 5 (1) P. E. 103 (1) P.E. 104 (1) P.E. 4 (1)
Sports (men)
Education for Men
Education for Men Modern Dance (women) Body Mechanics (women) Physical Education for Women
Education for Women Golf (men & women) 16-l?hours 12 hours 2-3 hours 2 hours P.E. 8(1) P.E. 9(1) P E. 10(1)
and Intermediate Swimming (men & women) Life Saving and Water Safety Instructors (men & women) Tennis (men & women)
1 (1) Folk Dance (men & women) P E. 2 (1) Square and Social Dance (men & women)
Social
Varsity
Physical
Physical
Physical
Beginning
P.E.

Mathematics 2-3 hours

(Students who rank at the 85th percenti l e or higher on the mathematics section of the ACT test may waive the mathematics requirement.)

Bus. 100 (3) Business Mathematics

Math. 10 (1) Elementary Descriptive Statistics

Math. 20(1) Probability

Math. 30(1) LogicandSets

Math. 40(1) Geometry

Math. 50 (1) Practica l Trigonometry

Math. 60 (1) Survey in g

Math. 70 (1) Slide Rule and Logar ithm s

Math 80 (1) Math Appreciation

Math 90 (3) Basic Mathematics

Math. 101 (3) College Algebra

Math 102 or Bus.

102 (3) 105 (5) 200(3) 300 (3) 340

Introduction to Data Processing

Fund amenta ls of Mathematics

Basic Concepts of Mathematics

Algebra and Geometric Concepts

or

Psych. 340 (3)

Statistics

Science

Biol. 101 (3)

Biol. 102 (3)

Chem. 101 (4)

Chem. 102(4)

Geol. 201 (4)

Geol. 202(1-3)

Geol. 203(1-3)

Geol. 304(3)

G.Sci. 201 (3)

G.Sci. 202 (3)

G.Sci. 205(3)

G.Sci. 206 (3)

Phys. 201 (4)

Phys. 202 (4)

Plant Biology

Animal Biology

General Chemist ry I

General Chem istry II

General Geology

Rocks and Minerals

Introduction to Fossil s Meteorology and Climatology

Biological Science (Elementary Educ. on ly)

Physical Science (Elementary Educ. only)

The Principles of Biological Science

The Principles of Physical Science

General Physics I

General Physi cs II

TECHNICAL LEARNING Electives in business, technology, app li ed arts, and commerc ia l art. Total

SCIENTIFIC LEARNING 8-9 hour s
Math. Math.
Math. Math.
6
2-4 hours 2-4
40-45
ACADEMIC INFORMATION
hours
hours
hours 47

PROFESSIONAL SERVICES

Evening College Courses. The Col l ege makes ava il ab le an on-campus even in g program of course offerings benefic ia l in meeting the educat ion a l needs of students. On-campus evening c l asses are offered each semester.

Off-Campus Courses. Off-campu s courses are made availab l e at learning center s it es in certain sout h east Nebra.ska commun iti es T h e courses which are ava il ab l e depend upon priority of requests and the avai l ab l e in structional personnel. Requests for informat ion shou l d be d i rected to the Vice President of Academic Affairs.

Graduate Courses. Grad u ate courses are offered periodically for purpose of cert ifi cation and/or transfer. If a studen t wishes to transfer cred it, prior appro v a l shou ld be secured from the graduate schoo l to which the credit is to be transferred. Info rmation may be obtained by writing to the Vi ce President of Academic Affairs .

Summer Session. A 10 - week s umm er sessio n i s divided into two five-week terms which makes it possible for a student to earn a maximum of 12 semester hou rs of cred it, six hours in each term. Courses are a v ai la ble which make it possible for a recent hi gh sc hool graduate to begin hi s post secondary ed u cat ion during the summer . Request for inform at ion concerning the summer session and s umm er schoo l bu ll etin should be directed to the Director of Summer Sessions

ADVANCED STANDING

This implie s atta inm e nt beyond t h e minimum for admiss ion to the College. The sta tu s may be acq uired by (1) present-

48 ACAD
EMIC INFORMATION

ing work completed in another college; (2) demonstrating proficiency in a certain field, thus removing the requirement of certain prerequisites. The latter may be with or without credit .

Applicants for admission from other colleges mu st, in addition to submitting the formal application, request each college to send an official transcript and evidence of dismissal in good standing. Failure to list on the application all colleges previously attended will be cause for dismissal .

A maximum of 66 semester hours applicable toward a degree, based on 125 hours, will be accepted from applicants transferring from a junior college.

TRANSFER CREDIT

Peru State College will accept in transfer credit earned at another college or university. This condition applies also to credit earned on an interim basis at another college while essentially a student at Peru State College .

A transfer student who has earned an Associate of Arts or Associate of Science degree will be regarded as having met the general studies program of Peru State provided the program of the college from which the individual is transferring has been approved by the Academic Affairs Commission of this College.

ADMISSION FROM NON-ACCREDITED COLLEGES

Applicants transferring to Peru State College from a nonaccredited college must meet all requirements of a first time student. Each application must be accompanied with an official transcript of all previous credit sent to the office of admission. Credits earned at non-accredited institutions will be accepted on a provisional basis. This credit is to be validated upon satisfactory completion of 30 semester hours of degree credit at Peru State College.

ARMED FORCES CREDIT

A veteran of the armed forces who has received an honorable discharge from active duty will generally be granted credit for his military experiences in accordance with the recommendations of the American Council on Education.

49
ACADEMIC INFORMATION

CREDIT BY EXAMINATION

Institutional Exams. Students, who by reason of experience and/or personal improvement , may qua lify for credit in lower division courses through the procedure of an int erv i ew and a written examinat ion. The student must, through an int erview, satisfy a faculty committee that he has had a formal or informal exper ien ce in which the course content may have been acquired If the committee deems the above conditions have been met, the student will be given a written comprehensive examinat ion.

The amount of credit to be al low ed, the course for which substitution , if any , is made, and the particular graduat ion requirements which may be satisfied , will be determined by the dean of the school and his comm ittee and w ill be subject to all genera l graduation requirements The student must register for the course and pay the tuition charges before writing the examinations.

College Level Examination Program. A student may earn credit by examination through the College-Level Examination Program (CLEP) prepared by the College Entrance Examination Board . Details of this procedure may be obtained from the dean of the school representing the student ' s field. The following subject areas represent possible credit by examination through the above procedure:

American Government

American History

General Psychology

Human Growth and

American Literature II Development

Analysis and Interpretation

Introduction to Business of Literature

Biology

College Algebra

Computers and Data

Processing

Educationa l Psychology

El ementary Computer

Management

Introdu c tory Accounting

Introd uctory Business Law

Introductory Calcu lus

Introductory Economics

Intr oductory Marketing

Introductory Soc iology

Programming - Statistics

FORTRAN IV

General Chem istry

Tests and Measurements

Western C ivili zation

50
ACADEMIC INFORMATION

CLASSIFICATION OF STUDENTS

College credit is expressed in terms of the semester hour, which represents the satisfactory completion of one hour of class attendance per week for one semester. The work may include any type of activity prescribed in the course - classroom work, preparation, laboratory or shop work , etc.

Students having earned less than 30 semester hours of credit are classified as freshmen; 30 to 59 hours as sophomores; 60 to 89 hours as juniors ; and 90 to 125 hours as seniors. Degree students earning additional undergraduate credit are classified as post graduate students.

ACAD EMIC LOAD

The normal class load for a full time student is 12 to 16 semester hours . The maximum load without special permission is 17 hours. Students with a grade point average of 7 00 for the previous semester may apply to the Registrar for one additional hour, making a total of 18. An excess of 18 hours must be approved by the Dean of the School. Students with a G. P.A. of less than 7.00 the previous semester must have the approval of the Dean of the School for an excess of 17 hours.

Veterans and other eligible persons attending this College under the benefits of Chapter 34 and 35, Title 38, U.S.C., as full time students must be enrolled for at least 12 semester hours , or the equivalent.

ATTENDANCE AND SCHOLASTIC ATTITUDE

Students are expected to attend classes regularly, arrive punctually, and do all assigned work in each class. The student agrees to this when he registers for a course. Attendance is a privilege and a responsibility represented not only by the student's investment, but also by a significant investment by the State .

Whenever absences or other elements of scholastic attitude reach the point of being detrimental (regardless of cause) to the student ' s standing in class and / or the success of the class as a whole, the instructor may confer with the student and advise the Vice President of Student Affairs. The instructor and the student may mutually agree that the registration in the course should be cancelled or the instructor may issue the

51 ACADEMIC INFORMATION

52 ACADEMIC INFORMATION

student a "scho l astic alert." Future conferences fo- the same or related reasons, most likely will result in the stu::Jent being dropped from the class . If the student requests, the Vice President of Student Affairs may be asked to participatE in the decision. The above is the only sanction as far as exc~ssive absences and / or other e lements of scho l ast i c att itude are concerned.

GRADING SYSTEM

A nine - point grading system is employed to evaluate the quality of the student's achievement.

Per c entage Marking to design ate fa ilur e and Grade Meaning Equivalents other irregularities:

9 Exceptional 95-100 X In comp l ete

8 Superior 90- 94 WP Authorized withd r awa l -

7 Very Good 85- 89 passing work at time

6 High Average 80 - 84 WF Authorized w ithd r awa l -

5 Average 75- 79 failing work at time

4 Low Av erage 70- 74 w Not graded

3 Below Average 65- 69 w Withdrawal - No t graded

2 Poor 60- 64

The grades in numbers i ndicate the value of each semester hour of credit and also become the means for ca lcu lating the student's grade po int average (GPA) t o compare with scholarship standards. Students are urged to ca lculate their own GPA from time to time and realize their own status. The following two exa mp l es will be valuab l e in understanding the ca lcul at ions:

Credit Grade Honor

Credit Grade Honor

CR
NCR
F 60-Below
Credit
No Credit
Course Valu e Mark Points Course Va lu e Mark Points I. 5 7 35 I. 3 6 18 II. 3 8 24 II. 3 3 9 Ill. 3 7 21 Ill. 2 F* 0 IV 3 7 21 IV. 3 WF * 0 V 2 8 16 V. 3 2 6 VI. 1* p VI. _J_ 4 _±_ 16 + 1* 117 15 37

GPA = 117 + 16 = 7.31

* Wh en cred it is ungraded, it i s not in c lud ed in divisor for GPA.

GPA = 37 + 15 = 2.47

(This GPA sub j ects the student to Probation.)

* This effects a lo wer GPA s in ce cred it va lue is part of divisor . If WP , the credit va lu e is not u sed.

In comp l ete (X) work may be completed and cleared through the in structor to earn a passin g mark, and this must b e done within the ne xt se_mester or the record will show F (Fai lin g).

SCHOLARSHIP STANDARDS

A candidate for a baccalaureate degree must earn at l east 125 semester hours with a minimum grade point average of 5.00. A minimum GPA of 5 .25 must be earned for degrees in Education. A candidate for the Associate of Arts degree must earn at l east 60 semester hours with a minimum grade point average of 5.00 .

A student to be in good standing academica lly must maintain the above required GPA for the respect iv e degree being pursued. A notice of unsatisfactory scholarship is forwarded to the student at the end of the semester if the appropriate GPA is not being maintained. The notic e is not a penalty, but a warning to notify the student that improvement i s needed. The notification will provide guidelines and recommendations to the student whereby positive action on the part.of the student can result in the attainment of the required minimum scholastic standard or other appropriate actions.

To provide addit ion a l inform at ion to students in regard to their academic work, grades are reviewed at the end of each nine weeks. A mid-term report for low or failing work is provided the student. A student receiving th is notification will be adv ised to confer with the instructor and his faculty advisor .

The grades of all st ud ents not meeting the required minimum GPA are reviewed by the Admissions and Standards Committee following the c lo se of each semester. If deemed appropriate by Committee action, a student can be placed on "academic probation," subject to academic suspension, if appropriate improvement is not maintained during the following semester. Ac ade mic suspension is usually for one semes-

53 ACADEMIC
INFORMATION

ACADEMIC INFORMATION

ter, excluding summer sessions, after which time the student may app ly for readmission to the college . If a student believes there are exceptions to be noted in his case, he rTay appeal the suspension to the Admissions and Standards C,Jmmittee. The College a lso retains the right to suspend a student without first having placed the student on academ ic probation. In add it ion, suspension may be on a permanent basis.

HONORS COURSES

Honors courses are available for those students who meet the scholastic requirements . Further details may be obtained from the dean of the schoo l in which the student is majoring.

HONOR ROLL

At the end of each semester the Vi ce President of Academic Affairs publishes the Honor Roll, which in cludes the names of students who have earned a grade point average of 7.25 and higher for that term .

GRADUATION HONORS

Graduation honors are conferred on bachelor's degree candidates who have earned at lea st 60 hours in th is College. The work of eight semesters, or the equivalent. will be considered in the grade point average. The scholastic req.Jirements are as follows :

With highest distinction

With high distinction

With d i stinction

AUDIT

To register for a course on an audit basis implies no cred it. The student pays the regular tuition fee, and is not required to write tests, exam in ations, and/or papers.

PRIVATE INSTRUCTION

Private in struction is available in art. music and speech . Music students will receive private instruction without charge, in relation to their major. Other students will pay tre rate per lesson as listed in the Financial Information section of catalog.

54
8.50-9.00 8.00-8.49 7.25-7 .99

REPEAT COURSES

A student may and is urged to repeat any course in which he has failed. There may be occasions when a student chooses to repeat a course purely for review, to be taken on an audit basis, without a change of grade.

CHANGE IN REGI STRATION

The accuracy of each registration as related to class periods, sections, days and other possible conflicts i s the responsibility of the student. Also, the ultimate responsibil ity for the meeting of all requirements rests with the student. In the event a change in program is unavoidable following a registration , the student must secure the approva l of the advisor and the instructor. No courses may be added after two weeks . When app li cab l e, a refund will be made . A fee of $5.00 is collected for any change after the fifth day of c lasses.

WITHDRAWAL FROM CLAS S

A student finding it necessary to withdraw from a class at any time must secure the permission of the adv isor and instructor. Students withdrawing without official approva l will be graded "F."

An official withdrawal in the first six weeks of a semester or the first week of a summer session will be recorded as "W" on the permanent record. A withdrawal between the sixth and twelfth week w ill be graded "WP" (Withdrawn Passing) or "WF" (Withdrawn Failing) . A withdrawal after 12 weeks will be graded "F , " except in extenuating circumstances or under conditions beyond the student ' s contro l. An in structor may recommend that a student withdraw from a c l ass because of absences and/or other reasons.

WITHDRAWAL FROM COLLEGE

If it is necessary for a student to withdraw from Co ll ege, he secures the appropriate form from the Director of Counseling Th is form must be presented to various members of the facu 1ty for their signatures. The withdrawal form is filed in the Registrar's office. The reimbursement of fees is made from the Business office according to the refund schedu l e.

55 ACADEMIC INFORMATION

TRANSCRIPTS

Each student may request and receive at any time one free transcript of his academic record. There is a fee of $1.50 for each add itional transcript. No transcript will be issued if the student has not met all financial obligations to the Co ll ege .

PRE - PROFESSIONAL CURRICULA

Most professional schoo ls require for entrance tv,o or more years of college credit in genera l education or basic liberal arts courses which vary only slight ly from one profession to another . Since such work is required for the professional curricula in training teachers, th i s College offers a variety of courses that serve as pre-professional education Suggested among these are those for prospective doctors, dentists, pharmacists, optometrists, nurses, veterinarians, l awyers , eng ineers, agriculturists, foresters, morticians, business executives, journalists and others . It is almost impossible to list a ll of the many pre-professional curr i cu l a. This does not prec lud e the availabi lity of other pre-professional cour!:es at Peru State. A student following a pre-professional program i s ur ged to secure a bulletin from the in stitution to which he intends to transfer in order that specif ic requ i rements will bE met. The various pre - professional programs are described under the appropriate sc hool.

SEMI-PROFESSIONAL AND TERMINAL

Students who are unable to attend co ll ege fou r years or more and wish to prepare for vo cations requiring less time i n preparation will find a variety of educat ion a l opportunities in this College . There are incr eas in g opportun iti es today for young people in the occupationa l area c lassified as sem i-professiona l Examples of these are Medica l Technology and X- Ray Techno lo gy. A stude nt interested in an occupation in the above classification s hould know the requirements of the particular professional or technical schoo l to wh i ::::h he will transfer. It will then be possible for a counse lo r to 3ssist him in making a parallel program of the required forma l co ll ege courses. Examples are noted in the appropriate schco l s.

56
ACADEMIC INFORMATION

Schools

Appli ed Arts

a ndTechnology

ACADEMIC STRUCTURE

Departments Majors - Programs of Study

Business

Home Economics

Indu stri a l Arts

T ec hni ca l Edu ca ti on

Vocat i ona l Education

Business Secretarial

Business Edu cat i on

Bus in ess Admini st r at i on

Computer Pro g r a mmin g

Hom e Econo mi cs

Home Eco n o mi cs (Vocational Educ.)

Indu stri al Arts

In dustr ial Arts - (Teacher Educ.)

In dustria l Man age ment Techno l ogy

Ma nual Arts Th e r a py

Safety Ed u cat i o n

Vocational Ed uca tion - 2 year Programs

Secretarial - Clerica l Technology

Computer Pro g r a mmin g

Trade a nd In dust r ies

Dr aftin g Techno l ogy

Co n st ru ct i o n T ec hn o l ogy

M eta l s T ec hnol ogy

El ec tric a l T ec hnolo gy

Accounting T ec hn o l ogy

Degrees

Edu ca ti o n a nd

Physical Edu cat ion

Edu ca ti o n a nd Psycho l ogy

Phy s i ca l Educat i on a nd Recreat i on

Early C hildho od Educat i on (2 year)

Ea rly Childho o d Edu ca tion (4 year)

El ementa ry Education

Secondary Educ ation

Spec i a l Education

Physical Edu cat i o n

Coac hin g of Int e rsch o l astic Sport s

Recreation

B.A B.S B.S . Ed
BA,B.S. BA,B S. BA, B.S. B.S. Ed. BA, B.S. B.S Ed. B.S B.S. Ed. AA AA AA AA AA AA AA AA AA B.S. Ed. B.S. Ed. B.S. Ed. B.S. Ed. B.S. Ed . B.S Ed . B.S
.

School

Hum a niti es

Departments

Fine Art s

Hi sto ry a nd

Social Science

La n g uage Arts

ACADEMIC STRUCTURE Majors - Programs of Study

Art

A rt Edu ca ti o n

Commercial Art

Musi c

Mu s ic Education

Hi story

Hi story - (Teac her Educ.)

Social Sci e n ce

Social Sc i ence - (Teac h er Educ.)

So c ia l Work

En g lish

En g l ish - (Teac her Edu c.)

Ma ss Comm uni ca ti o ns

Journ a lism

Sp eec h and Dr a m a

Sp eec h a nd Dr a m a - ( Tea c her Edu c.)

Supp o rting Courses in:

Economics. Political Science , Libra ry Sc ien ce, Sociology , Philos o phy

Pre-Professional - ( Law)

Degrees

Natu r al Science

Bio l ogy

Chemistry

Geography-Geology

Gene ral Science

Mathematics

Physica l Science

Physics

Biology

Biology- ( Te ac h e r Edu c )

General Science

General Science -( Teac h er Edu c.)

Geography-Geo l ogy

Geog r a ph y- (Teac h e r Edu c.)

Mathematics

Mathematics - (Teacher Educ.)

Physical Sc ien c e

Physical Science - (Teacher Edu c.)

Supporting courses:

Ch emis try

Phy sics

Pr e- Prof ess ion a l (Ag ri c ultur e, Engin ee rin g, For es try , M edic in e, De ntistry , M o rtuar y , Nur si n g, Ph a rm ac y , Medical Technolo gy , X-Ray

T ec hn o l ogy.)

B .A. , B.S. B.A. Ed. B.S B.A. , B.S. B.A.Ed. , B.F.A. Ed. B.A.,B S. B.A. Ed B.A. , B.S. B.A. Ed B.S . B.A., B.S . B.A. Ed. B S. B.S. B.A.,B S B.A. Ed. B.A., B.S. B .S. Ed. B.A. , B.S. BS Ed B.A. , B.S. B.S. Ed. BA , B.S. B.S. Ed B.A., B.S. B.S. Ed.

Curricula Outlines

School of Applied Arts & Technology

C. VERNON SIEGNER, DEAN OF SCHOOL

Applied Arts and Technology is concerned with areas of study which emphasize practical activities and understanding typified by Industrial Arts, Business , Home Economics, and Technical Education . The major objective is to enable individuals to prepare for personal living needs through practical activities. Courses are designed to give students the knowledge, habits and skills necessary to provide sufficient preparation for vocational use and/or teaching

BUSINESS

ASSOCIATE IN ARTS IN ACCOUNTING TECHNOLOGY

The Accounting Technology Program is a two-year program where students receive classroom and individualized instruction related to the total area of recordin g, processing, storing, and reporting information for business and non-profit organizations. Students completing the program are prepared for entry positions into the field of accounting in such occupations as basic record keeping, report writing , asset evaluation and reporting, tax and cost accounting, auditing procedures, use of business machines, and operations of electronic data processing machines related to accounting in all types and sizes of business enterprises and governmental and service organizations.

ACCOUNTING TECHNOLOGY Two-Year Program FRESHMAN YEAR FALL TERM Bus. '' 100 Business Math 123 231 Eco n 220 Electives Introdu ction to Business Principles of Accounting I Principles of Economi cs Total hours Hours 3 3 3 3 . . 3 ····· ···· · 15
APPLIED
59
ARTS AND TECHNOLOGY

If student h ad algebra at the high schoo l lev el and fee l s wed-grounded in math, he may waive Business Math.

60 APPLIED ARTS AND TECHNOLOGY SPRING TERM Bus. 102 Intr o. to Data Processing 201 Business Stat i stics . 232 Pri nc i p i es of Accounting 11 235 Business Machines 237 Pri nci pies of Marketing . ... . . . ... . Total hours SOPHOMORE YEAR Bus. 332 336 337 340 El ect i ves Bus. 301 339 FALL TERM I nvestments Business Law I Intermediate Accounting In come Tax Accounting Tota l hours SPR ING TERM Business Communication Cost Accounting 432 Business Finance . 470 Auditing Principles Electives Total hours Hours 3 3 .3 . . ... . 3 ...... 3 15 Hours 3 . . 3 . . 3 .3 3 15 Hours 3 . . 3 3 3 3 15
Bus. 123 231 232 235 237 328 336 432 434 Econ. 220 221 BUSINESS ADMINISTRATION Requirements for Major Intr oduction to Business Principles of Account i ng Principles of Account i ng Business Mach in es Principles of Management . Principles of Marketing Business Law. Business Finance . Personne l Management Principles of Economics . Principles of Economics Hours .3 3 3 . .. . . - · . . . . .. . . . . 3 ..... 3 .. . . . ... . . ... 3 Se l ected courses in Business or Economics Tota l hours 45 Bus in ess Administration may be se l ected as a major to earn a Bachelor of Science degree (non -teaching).

Administration may be se l ected as a major to earn a Bache l or of Science degree (non-teaching).

Bus . 102 123 231 232 235 237 328 336 432 Econ. 220 221 BUSINESS EDUCATION Basic Business Requirements for Major Introduction to Data Processing In troduction to Business Principles of Accounting Principles of Accounting Business Machines Princip l es of Management Principles of Marketing Business La w ... . ........ . . .. . Bus i ness Finance Pr in c i p l es of Economics . Princip l es of Economics . Hours ....... 3 3 ... 3 3 3 3 3 3 3 Selected courses in Bus i ness and Economics ...... . . . . . . 3 3 12 Total hours 45 Business
Bus 102 123 220 231 232 235 240 325 333 334 336 Econ. 220 221 BUSINESS EDUCATION Secretarial Requirements for Major Introduction to Data Processing Introduction to Business Int ermediate Typewriting Principles of Accounting Principles of Accountin g Business Machines Office Machines Secretarial Procedures Dictation and Transcription Advanced Typewriting Business Law Principles of Economics Principles of Economics Hours . 3 3 .. 3 ... 3 3 3 2 . 3 3 3 3 3 3 Se l ected courses in Business and Economics 7 Total hours 45 61 APPLIED ARTS AND TECHNOLOGY

APPLIED ARTS AND TECHNOLOGY

ASSOCIATE IN ARTS IN COMPUTER PROGRAMMING

T h e Com p uter Programming Program is a two-year program where students receive c lassroom and l aboratory instruction i n data process i ng and computer programmi n g languages, as well as instruct i on in re l ated bus i ness ,rnd mathemat ical areas. Students completing the program a r e prepared for entry into the field of data processing or computer programm i ng.

COMPUTER

The Secretaria l -C l er ica l Techno l ogy Program is a two-year program estab l is h ed to prepare students t o be prof i cient in

62
General Education Requirements for Major Required Bus. 123 Bus . 231 Bus 232 Bus . 102 Introduction to Business Principles of Accounting I Princip l es of Accounting II Math . 102°r Introduction to Data Processing Bus. 203 Math. 203°r COBOL Programming Bus. 204 Math . 204or FORTRAN Programming Bus 400 12 hours 44 hours Hours 3 3 3 .. .. . . .. .. 3 3 3 Math . 400°r Specia l Problems in Computer Programming 4 5 5 Math 105 Fundamenta l s of Math I Math. 106 Fundamentals of Math II Bus. 201 Math 305°r Statistics .. 3 At l east nine hours from: Bus. 235 Business Machines 3 Bus 237 Principles of Management 3 Bus 328 Principles of Marketing . .. . . .. .. .. ... .. .. . . . ... 3 Bus. 337 Intermed i ate Accounting 3 Bus. 339 Cost Accounting 3 Bus . 340 Income Tax Accounting Calculus with Ana l yt i c Geometry Calcu l us with Ana lytic Geometry 3 Math. 309 Math. 310 Electives from sc ience , mathematics, humanities, psycho l ogy , a nd Applied Arts Tota l hours ASSOCIATE
ARTS SECRETARIAL-CLERICAL TECHNOLOGY . ... 5 5
PROGRAMMING
IN

the secretarial-clerica l ski l ls and knowledges which wi l l enab l e them to enter this field at the completion of the program . The students receive classroom and individualized instruction emphasizing the skill subjects of shorthand, typewriting , secretarial accounting, off ice machines, electronic data processing, basic correspondence and report preparation, and communication ski ll s . Personnel tra i ned in this program wou l d work for sma l l or large businesses i n reta ili ng, who l esa l ing, manufactur i ng, transportation, commun ications, doctors, lawyers, accountants, as we l l as government at a l l levels and other non-profit organizations such as church, schools, and

hospita l s . Bus. 100 121 220 123 131 132 301 Bus. 132 333 220 334 235 240 325 Bus 231 333 336 Econ. 220 SECRETARIAL-CLERICAL TECHNOLOGY FALL TERM Business Math Two-Year Program FRESHMAN YEAR Beginnin g Typewriting OR Intermedi ate Typewriting Introduction to Business Elementary Shorth a nd OR Hours 3 3 3 3 3 Intermediate Shorthand . " " " " 3 Business Communications Total hours SPR ING TERM Intermediate Shorthand OR Dictation and Transcription Intermediate Typewriting OR Advanced Typewriting Business Machines Office Mac hines Secretarial Procedures . Total hours FALL TERM Accounting I SOPHOMORE YEAR Dictation and Transcription Business Law Principles of Economics Electives . . ... . . . . . . Total hours 3 15 Hours 3 . 3 3 3 3 3 3 15 Hours . 2 3 3 3 4 15 63 APPLIED ARTS AND TECHNOLOGY

60 HOURS TOTAL PROGRAM WITH AT LEAST 50 HOURS REQUIRED I N BUS I NESS AND ECONOM ICS .

If the student has had previous instruction in typ i ng or GrEgg Shorthand, she is not to be enrolled in either beginning course without the approval of the instructors.

If the student has had algebra or some other advanced work in math, she is notto enroll in Business Math.

The student wi ll attend the f i rst 10 weeks of the regu l ar Accounting I c l ass and wi ll receive two c redits i nstead of three.

THE COMPUTER CENTER

The Computer Center, located on the first f l oor i n the Adm i n i strat i on Bu il d i ng, i s designed to ser v e students, fac ul ty and t h e co l lege administrat ion as an instruct i ona l and adm i nistrative tool. This IBM 1130 computing system "understands" several programming l anguages, including Fortran, Cobol, RPG, and APL. The center is operated on an "open shop" bas i s, g iving students h ands-on exper i ence n programming a n d operat i ng modern comput i ng equ i pmen:

64 APPLIED ARTS AND TECHNOLOGY SPR ING TERM Bus. 102 Intro. to Data Processing 237 Princip l es of Management 334 Advanced Typing . 426 Advanced Dictation and Trans . . Ele c tive s Total hours Hours 3 3 3 3 . . 3 15

HOME ECONOMICS (VOCATIONAL)

Home Economics may be elected as a teaching or non-teaching fi e ld qualifying for the Bachelor of Science or the Bachelor of Science in Education degrees

Students in Industrial Arts Teacher Education must have six credits in at least four of the following seven areas : drafting, electr i city-electron i cs, woodworking, power mechanics , metal-working , graphic arts and crafts.

. H .E 133 134 141 215 232 302 320 321 322 332 333 334 421 V.E. 441G 442G 443G I.A. 121 123 124 132 222 231 233 237 321 330 332 P.E. Requirements for Major Hours Beginning Foods and Nutrition .... __ 3 Meal Planning and Food Preparation ... 3 Beginning Clothing Selection and Construction 3 Personal Business Finance 3 Home Planning . Child Development Costume Selection or Art 203 Design Personal or Fa mily Relationship s. Home Furnishing 3 .. 3 .3 3 3 Nutrition and Di etet ics 3 Textiles Advanced Clothing Home Management Home Economics Electives ... 3 3 History a nd Philosophy of Voc atio n a l Education Organization and Administration of Vo cat ional Education 3 Coordination Techniques in Vo cat ional Educ atio n Programs 3 Total hours 55 INDUSTRIAL
Requirements
Hours Technical Drawing I . Woodworking Technology I Woodworking Technology II Metals Technology I Technical Drawing II Indu strial Crafts I . 3 3 .. . .. . . .. . . . . . . . .. ... .. .... .. 3 3 3 3 Electrical Technology I 3 Graphic Arts 3 .2 2 Shop Maintenance Industrial Arts Design Power Me c hanics . 3 Advanced courses and electives in Industrial Arts 9 First Aid 3 Total hours . . . .. ........... 43
ARTS
for Major
65 APPLIED
AND TECHNOLOGY
ARTS

BACHELOR OF SCIENCE IN INDUSTRIAL MANAGEMENT TECHNOLOGY

The curriculum for the Bache lo r of Sc i en ce degree in Industrial Management Technology i s designed for students whose main objective is preparation for tec hni c i an a nd man ager i al positions in industry .

Job opportunities in this field includ e indu str ia pu rc h asin g, materials contro l , qu ality contro l , productio1 control , methods ana lysi s, and positions as foremen and production management trainees.

for Major

APPLIED ARTS AND TECHNOLOGY

66
Bus. Vl 23 t,-"2'31 232 237 328 335 336 432 434 Econ. 220 . 221 I.A. Soc 121 123 124 132 ~ 226 - 233 328 329 331 - 332 338 20 1 Requirements
Int roduction to Business Hours . 3 Prin c iples of Accounting I .... . .. .. . . . . .... .. . . .. _ .. 3 3 3 Principles of Accounting I I Principles of Management Principles of Marketing Industrial Management Business Law 3 3 . ... 3 Business Fin a nce _ . . 3 ...... 3 3 Personnel Ma nagement Electives Principles of Economics Principles of Economics T ec hnical Dr aw in g Woodworkin g Technology I Woodworking Technology 11 Metals Te c hnolo gy . Photography I 3 3 3 . . 3 .. . . .. . . .. ... .. .. . .. .. 3 3 3 3 Electr i ca l T ec hnology I . Electr ica l Technology II Plastics Technolo gy Welding . 3 Power Mech a nics Sa fety Educ at ion Electives . Principles of Sociology Mathematics T ota l hou,r:.s .. 3 . 3 3 . ..... . ······ ·· ·····3 3 78

MANUAL ARTS THERAPY

This program is in cooperation with the Veterans Administration Center Hospital at Wadsworth, Kansas . Following graduation with a Bachelor of Science in Education degree with a major in Industrial Arts, the student spends 10 weeks at the hospital for their affiliation with free board and room . Upon successful completion of the internship, the student would be eligible for G.S . 6 Civil Service rating. Details of the program may be obtained from the Dean of the School of Applied Arts and Technology.

67

Must have a minimum driving record of two years and 20,000 miles (state and local) free from chargeable accidents and moving traffic violations.

A teaching certificate with a teaching major or endorsement , in addition to driver education is required

APPLIED ARTS AND TECHNOLOGY

ASSOCIATE OF ARTS DEGREE IN TRADE AND INDUSTRIES TECHNOLOGY

This two-year curriculum is designed for those students who do not contemplate completing a four-year program, but who wish to become proficient in the basic technological skills and desire to take as many basic courses as possible.

Students who complete the two-year degree may continue to study for the degrees of Bachelor of Science in Education or a Bachelor of Arts, with a major in Industrial Education.

I.A. P E. SAFETY EDUCATION Program to qualify for Driver Training and related areas. 337 340 335 338 8 215 Driver Education and Traffic Safety I Driver Education and Traffic Safety II Survival Preparedness General Safety Beginning and Intermediate Swimming First Aid Driver Ed. Electives Total hours Must hold a Nebraska driver's license. Hours . ..... 3 3 1 .. 3 . .. 1 3 3 17

68 APPLIED ARTS AND TECHNOLOGY

CONSTRUCTION TECHNOLOGY General Studies . Requirements for Major Required I.A 121 Technical Drawing I : I.A. 123 Wood Technology I 12 hours 32 hours Hours 3 3 I.A. 124 Wood Technology 11T echnica l Drawing II , Electrical Technology I 3 I.A 222 I.A. 232 H.E. 232 I.A 330 I.A . 331 I.A. 338 I.A. Math Math. Math. 427 50 60 70 Home Pl an ning I.A Design Welding Safety Education Architectural Drawin g Practical Trigonometry Surveying. Slide Rule and Logarithms ... . .. ... . Total hours ..... 3 3 . ... 3 2 3 . . . ... .. . .... 3 3 . .. 1 1 1 32 Electives in sc i ence , mathematics , humanities , psychology , and Applied Arts 16 hours Total hours DRAFTING TECHNOLOGY General Studies . Requirements for Major Required I.A. 121 I.A. 123 I.A . 132 I.A 222 I.A . 226 I.A 330 I.A. 427 H E. 232 Art 101 Art 111 Math. 50 Math 60 Math. 70 Technical Drawing I ... . . . .. . . .. .. . .. . Woods Technology I Metals Technology I Technical Drawing II Photo graphy I I.A. Design Architectural Drawing . Home Planning Drawing Letterin g Pr act ic a l Trigonometry Surveying Slide Rule and Logarithms Total hours 60 hour s .. 12 hours 32 hours Hours ....... 3 3 3 3 .. 3 ... 2 . ........ 3 3 3 ...... 3 ...... 1 . ..... 1 1 32 Electives in sc ien ce , mathematics , huma nities, psychology, and Applied Arts 16 hours Total hours 60 hours
ELECTRICAL TECHNOLOGY General Stud i es . 12 hours Requirements for Major . . 32 hours Hours Required I.A. 121 I. A. 131 I A. 222 I.A. 233 I.A 328 I.A. 338 I.A. 400 Math. I.A. 123 I.A. 124 P.E 215 Techn ical Drawing I Metals Technology I Technical Drawing I I El ectrica l Technology I Electr i ca l Techno l ogy II Genera l Safety Specia l Prob l ems in Electricity (Any e l ectives of your choice in Math) Wood Working Technology I .......... 3 3 . 3 3 3 . .. ... .. 3 2 3 Wood Working Techno l ogy I I Fi rst A i d 3 3 Tota l hours 32 Electives in science, mathematics , humanitie$, psychology, and Applied Arts 16 hours Total hours 60 hours METALS TECHNOLOGY Genera l Studies . 12 hours Requirements for Major .. 30 hours Required I.A. 121 I.A. 132 I .A. 222 I A. ~.?.3 _ltc, I.A 233 I.A . 332 I.A . 331 I.A. 338 I .A. Math. 400 Hours Technica l Drawing I . .... . 3 Meta l s Technology I . 3 Technical Drawing II 3 Meta l s Technorogy II 3 Electrica l Technology I .. 3 Power Mechanics 3 We l ding 3 Genera l Safety 3 Special Problems in Meta l s . . 3 Mathematics Electives 3 Total hours 30 Electives in science, mathematics, humanities, psycho l ogy, and App l ied Arts 18 hours Tota l hours 60 hours 69 APPLIED ARTS AND TECHNOLOGY

APPLIED ARTS AND TECHNOLOGY

VOCATIONAL EDUCATION

The college offers a major in vocational educati ,Jn teacher training in the fields of Home Economics, Office Occupations , and Trade Industrial Education . Requirements a re :

1. A comprehensive major of 45 semester hours.

2 . Technical competency or a minimum of 12 semester hours in a subject to be taught.

3. Two years recent employment i n the field he is to teach or equivalent.

4 . Specialized vocational courses required :

(a ) Voca tion a l Edu ca tion 441G

(b) Vo c ation a l Edu c ati o n 442G

(c ) Vocation a l Edu c ati o n 443G

5. Must meet the general studies and professio n al education requirements for the college.

70

School of Education and Physical Education

ROBERT CREAMER, ACTING DEAN OF SCHOOL

PROGRAMS

EDUCATION AND PSYCHOLOGY

Th e School of Education and Physical Education offers programs of studies leading to the Baccalaureate degree in : Elementary Education, Early Childhood Education, Physical Education, and Recreation. In addit ion , programs meeting requirements for certif ic ation are provided in Special Education and Coaching. A two-year program for paraprofessionals in Early Childhood Education is avai lab l e leading to the Associate in Arts degree.

ADMISSION TO TEACHER EDUCATION CURRICULUM

The College recognizes its responsibility first, in the se l ection of good prospective teachers and second, in offering the best possible program in the preparation for teaching . Carefu l cons ider ation is given to each app li cant for adm i ssion to the teacher education curricu lum on the basis of the traits and qualities genera lly considered necessary for successfu l teaching.

Procedure for admiss ion to teacher education i s as follows:

1. All candidates must apply for admission to teacher education curriculum during the second semester of the sophomore year. ..

2 Transfer students of junior or senior standing must make application for adm is sion during the first month after matriculation.

3. Applications should be filed in the office of the Chairman, Teacher Education Committee.

4 . Each app li cant for admission into teacher educat ion curr icu lum will be evaluated as a prospective teacher . The evaluation of the candidate will be made in terms of health, emotiona l stabi lity, character traits , and academ i c achievement .

71 EDUCATION AND PHYSICAL EDUCATION

EDUCATION AND PHYSICAL EDUCATION

5 . An applicant may be requested to appear oefore the Teacher Educat ion Committee in support of his application for Teacher Education. The committee will accept the candidate, accept him co ndition a lly, or recommend that he follow some other curriculum more suitable to his talents and abilities .

6. Only students who have been accepted into the teacher education curriculum will be eligible for the professional semester, or recommended for a teaching certificate.

CRITERIA FOR ADMISSION TO TEACHER EDUCATION

1. Free from social probation.

2. Overall Grade Point Average of at least 5 25.

3 Recommended by persons who by virtue of past ass ociation are in a position to know the student as a prospective teacher.

4 . Ev idenc e of proficiency in mathematics and English. Scores at or above the fiftieth percentile on the ACT test in the areas of lan guage and mathematics, or tenth graje l evel on the California Mathematics and Language Achievement tests are required .

NEBRASKA TEACHER CERTIFICATION

Information regarding teaching cert ifi cates may be obtained in the Registrar's Office or from the Directo r of Teacher Certification, State Capitol, Lincoln, Nebraska, 68509 .

ENDORSEMENT FOR TEACHING

All appl icants are hereby advised that meeting academic or graduation requirements does not automatically complete requirements for institution a l endorsement.

According to Nebraska Teacher Certification, the College has the responsibility of endorsing qualified persons for certificates . This responsibility h as been delegated to the Teacher Education Committee . An endorsement indicates the grade level, subject field or area of spec ialization for which the teacher was especia lly prepared, and implies that the applicant has met a ppropriate standards of scholarsh ip, sound mental and physical health , good citizenship, and moral character.

72

In order to faci lit ate the act ion of the Teacher Education Committee it i s necessary that al l app li cations be submitted not less than three (3) weeks prior to the end of the term and the app li cant must have written the TEEP.

PROFESSIONAL EDUCATION REQUIREMENTS

Requirements for Assignment in Professional Semester

Candidates must submit application for the Professional Semester before the end of the junior year.

To be eligible for assignment to student teaching, certain requirements must be met by the applicant. These are:

1. The student must have been accepted into the teacher educat ion curriculum.

2. The student must maintain all minimum criteria for admission to teacher education as a prerequisite to the professiona I semester.

3 . The student must present evidence that he will have sufficient credits for the degree, one calendar year from the date of entry into the Professional Semester .

4 . The student must complete pre-student teaching experiences including observations as part of the class requirements in:

Human Growth and Development (three hours observation)

Foundations of Education (six hours observation)

EDUCATION AND PHYSICAL EDUCATION

Elem. Psych. 121 General Psychology 3 hr. Psych. 201 Hum a n Growth and Development or ( 202 Psychology of Childhood - Elementary Ed or (3 hr. 203 Psycholo g y of Adolescence ( Psych. 301 Educational Psychology 3 hr. Educ 300 Foundations of Education 3 hr Educ. 404 Preparation for Secondary Education Educ. 405 Teaching in the Elementary School 8 hr. Educ. 406 Clinical Teaching Laboratory Educ. 408 Instructional Media 2 hr. Educ 410 Student Teach in g . 8 hr. Sec. 3 hr 3 hr. 3 hr 3 hr. 2 hr . 2 hr. 2 hr. Educ. 411 Student Teaching . ..... 8 hr . Psych 430 Education a l Measurements Special Methods in the Teaching Field ..... .. .. . . . . Totals THE PROFESSIONAL SEMESTER 2 hr. 2 hr 30 hr. 1UliT.'
73

ED UCATION AND PHYSICAL EDUCAT ION

General Methods (six hour s observation)

Special Methods (six hours observation)

5 . Each appl ication for the professional semest2r must be approved by the:

(1) Dean, Schoo l of Educat ion and Physical Edu ca tion ,

(2) Dean of Schoo l for each ma j or, and

(3) Director of student teaching.

6 . Register for and write the Teacher Education Examination Program.

TEACHER EDUCATION EXAMINATION PROGRAM (TEEP)

The Teacher Education Examination Program i s a comprehensive two-part test required of al l students seek in g teacher certification. The first part of the test covers fi ve areas in which competence is considered basic to effect iv 8 teaching: Socia l-Ph il osophical-Historical Bases of Education, Learning and Instruction , written English Expression , Cultural Background, and Science and Mathematics . The second part of the test is des i gned to gauge the candidate's know l edge and abi lity for teach in g in a spec ifi c field The test is g iv en t hre e times each year and takes approximately four hours.

PROGRAM FOR ELEMENTARY TEACHERS

Academic Requirements for Elementary Teachers

In addition to all genera l and professional education requirements, students must comp l ete the followin g academic requirements in order to provide a broad genera l educat ion necessary for elementary teachers. The candidate must earn 24 hours in one academic area, and 15 hours in each of two additiona l areas common l y taught in the elementary schoo l s, along with 15 hours (electives). These "areas" represent the various instructional divisions of the Col l ege.

74
Math. 200 Basic Concepts of Mathematics . 3 hr . En g. 203 Children's Lit e r at ur e 3 hr. P.E . 310 Physical Edu cation in the Prim a ry Grades . 2 hr. or P.E. 311 I.A. 322 Art 308 Mus 2 05 Geog. 101 Physical Edu cat i on in the Int e rm ed iate Grades Hand Crafts 2 hr .... 3 hr. Art Explorat i on Elementary Music Materials Prin c iples of Geography . Total 3 hr 2 hr 3 hr 19 hr.

Upon comp l etion of the recommended curriculum, the student wil l earn a Bachelor of Science degree , and, upon recommendation of the College, wi ll qualify for the Nebraska Elementary Certificate.

FRESHMAN YEAR

First

Eng. 101 English Composition

S.S. 101 Soc i a l Science

Geog. 101 Principles of Geography

P.E. (Exercise Course)

Speh. 152 Fundamentals of Speech

Academic Requirements

P.E. (Exercise Course) Academic

I.A. 322

P.E. 205

Semester
Total hours
Second Semester Psych. 121 General Psychology'''
Elective Total hours En g. 202 Psych . 201 or Psych. 202 Gen. Sci. 201 En g. 203 Music 205 P.E. 310
YEAR First Semester Literary Appreciation Human Growth and Development Psy c holo gy of Chi ldh ood Biological Sci. Chi ldr en's Literature Elementary Mu s ic Materials or
Primary-Intermediate
Second Semester
Requirements
SOPHOMORE
PE. 31 1
Grades Total hours
Hand
Crafts Gen. Sci. 202 Govt. 201
Physical
Amer i
Health
Total hours Submit Application for Teacher Education Hr. 3 3 3 3 3 16 Hr 3 1 9 3 16 Hr. 3 3 . 3 .. 3 2 . 2 16 Hr. 3 3 3 3 4 16 75 EDUCATION AND PHYSICAL EDUCATION
Sc i ence
can National Gov·t.
Academic Requirements

EDUCATION AND PHYSICAL EDUCATION

Educ. 300

Eng. 302

Art 306 or

Mus. 311

Art 308

JUNIOR YEAR

First Semester

Foundations of Education

English Composition

Art Appreciation

Music Appreciation

Art Exploration .

Academic Requir emen ts

Total hours

Second Semester

Psych. 301 Educ Psychology

Math 200 Basic Concepts of Mathematics

Educ. 408 Instructional Media

Academic Requirements

Total hours

Submit Application for Professional Semester

SENIOR YEAR

First Semester

Group A

Edu c. 405 Teaching in the Elem. School*

''''E duc. 410 Student Teaching

Group B

Academic Requirements

Group A

Academic Requirement s

Group B

Second Semester

Educ. 405 Teaching in the Elem. School* .

''*E du c. 410 Student Teachin g

* Tak en the first or second semester.

'"'A ll pre-student teachin g experiences must have been comple~ed.

EARLY CHILDHOOD EDUCATION

There are two programs in Ear ly Chi ldh ood Education . A two-year program l ead in g to the Associate in Arts degree, and a four-year program lead in g to a Bachelor of Sc ience degree in Early Childhood Education.

The curriculum leading to the Associate in Ar -.s degree in Early Childhood Education is designed to prepare paraprofessionals for positions in ear l y ch il dhood education.

76
Hr . 3 3 2 3 5 16 Hr. 3 3 2 8 16 Hr. ... 8 .. .. 8 16 16 Hr. 16

All courses carry full cred it toward the Bachelor of Science degree and may be app li ed to a regular four-year program. Stude n ts are encouraged to ultim ate ly pursue the baccalaureate degree.

EARLY CHILDHOOD EDUCATION (A.A. DEGR EE)

FIRST YEAR

First Semester

Eng. 101 Eng li sh Compos i tion

Bio l. 201 Biology Science

Psych. 121 Genera l Psychology

H. Ee. 133 Foods and Nutrition

Art 200 Art for Early Chi l dhood

P E (Exercise Course)

Total hours .

Second Semester

Speh. 152 Fundamentals of Speech

Math. 100 Bas i c Math

Psych. 201 Human Growth & Devel.

P.E. 205 Family Health and Safety

P E. (Exerc i se Co ur se)

Elective

Total hour s

S S 101

Educ. 408 .

Eng 203

Educ. 305

SECOND YEAR

First Semester Soc i a l Sc i ence

Instructional Media

Ch ildr en's Literature, Drama, and Storyte llin g

Principles of Early Chi ldho od Education

P.E. (Exerc i se Course

307

S.S. 305 Marriage and the Family

Edu c 301 The Disadvantaged Ch ild

Music 205 Music for Early Childh ood

P.E. 200 Play and Games for Early Ch ildho od . .

Elective

Elective
Second Semester
Practicum . ... . .... .. .. . . .. . . . .. .
Total hours
Educ.
Hr. . 3 ... 3 3 3 .. 3 .. 1 16 Hr . 3 3 3 3 1 .l.. 16 Hr . 3 3 3 3 1 3 16 Hr. 3 3 ..... 3 3 . .. 3 . 1 16 77 EDUCATION AND PHYSICAL EDUCAT ION
Total hours

EARLY CHILDHOOD EDUCATION (B.S. DEGREE )

The curriculum leading direct l y to a Bachelor of Science degree is designed for those who wish to prepare for teaching in day care, preschoo l , k i ndergarten, or primary school programs. This curriculum follows the program for elementary teachers, in addition to the fo l lowing sequence of courses: Required: (1) Program in El ementary Education and (2) the fol l owing courses (12

ENDORSEMENT IN SPECIAL EDUCATION - TEACHING EDUCABLE OR TRAINABLE MENTALLY HANDICAPPED

By meeting the fol lowing requirements students may se l ect an area of concentration in El ementary Education wit h endorsement for teach i ng the educab l e or trainab l e menta ll y handicapped.

Th is course of study may be elected i n li eu of the 24-hour b l ock ordinar i ly required i n el ementary education.

78 EDUCATION AND PHYS ICAL EDUCAT ION
Hr. Educ. 305 Principles of Ear l y Childhood Education . . . . . . . . _ . . .. .... 3 Educ. 302 The Disadvantaged Child ... 3 Educ. 310 Kindergarten Education ... . ... . .. . . . .. _ .. 3 H Ee. 302 Chi l d Deve l opment Tota l hours Electives (25 hrs.) Eng. 203 Children's Literature Mus. P.E. I.A. Art Math 205 310 322 308 200 El ementary Music Materia l s Physical Education in Primary Grades Hand Crafts Art Exploration Basic Concepts of Mathematics 3 12 3 2 2 3 3 3 Geog. 101 Princip l es of Geography ...... . . . . . . . . . . . . . . . . . . . ... 3 H.Ec . 133 Basic Foods and Nutrition 3 H.Ec. 321 Persona l and Fam il y Relationships 3 Soc. 305 Marriage and Parenthood 3 Total hours 37
hrs.)
Required Psych. 320 Psych . 331 Educ . 423 Psych. 430 Educ. 435 Hours I ntroduction to Menta l Retardation (at least three hours) 3 Psychology of Exceptiona l Chi l dren ... 3 Methods and Materia l s in the Education of Exceptional children Educational Measurements Student Teaching (Exceptional Children) Total hours ELECTIVES 3 . 2 4 15 18 hours of electives to be selected from offerings in Psychology, Speech, Physical Education, and/or Practical Arts. Contact the Dean of Education and Physica l Education or your advisor for specific courses which may be approved as electives in this fie l d .

PROGRAM FOR SECONDARY TEACHERS

Academic Requirements for Secondary Teachers

In addition to all general and professional education requirements, the student must complete a field of concentration, and supporting courses outside the field. The amount of support credit will depend upon the credit hours available beyond the field requirements.

Degree candidates seeking a teaching endorsement at the secondary level are further advised that to teach in a field outside the field of concentration in a school accredited by the North Central Association, 24 hours are generally required in most fields. This latter condition does not necessarily imply that the candidate will qualify for a second endorsement.

Art Biology

Business Education

English '''Geography

History Homemaking (Vocational)

Industrial Arts Mathematics

Music

(Instrumental and Vocal)

'(Additional teaching endorsement required)

Physical Education

Physical Science

Science (General)

Social Sciences

Speech & Drama

The following are additional areas of study , less than a concentration, which are offered for a teaching endorsement: (must have additional area of concentration):

Coaching Sociology

Driver Education Economics

Library Science

Special Education

PROGRAM FOR SECONDARY TEACHERS

The program for secondary teachers includes all requirements in general studies , an area of concentration, and professional education. The following courses are required of all students preparing to become teachers on the secondary level.

SOPHOMORE YEAR

Psych. 201

Psych. 202 or

Psych. 203

Human Growth and Development

Psychology of Childhood

Psychology of Adolescence .

Submit Application for Teacher Education

JUNIOR YEAR

Hours 3 3

Educ. 300

Foundations of Education

Educ. 301 Educational Psychology .

Submit Application for Professional Semester

Hours 3 3 79 EDUCATION AND PHYSICAL EDUCATION

OPTIONAL PROGRAMS

The internship in teacher education is an alternative to the · traditional professional semester assignment. Internships are available in both elementary and secondary education to students cons i dered to be potentially excellent teachers. The program includes special preparation during the summer prior to the senior year. The intern, upon completion of summer training, is contracted and paid by a school district and assigned to a teaching team under the supervision of a master teacher. Dur i ng this time the intern experiences a wide range of teaching responsibilities in innovat ive and experimenta l programs. The program is designed and conducted cooperatively by the college, schoo l district and intern teachers .

Elementary Education Certification for Students with Academic Majors:

The following course of study is designed to prepare teachers with an academic major, or area of concentration, to teach in grades four, five, or six in schoo ls which incorporate departmentalization, team teaching, modular scheduling, and / or differentiated staffing patterns . Career objectives shou l d be oriented to teaching i n c ities or urban areas.

1. General education requirements.

2. Area of concentration as determined by the field.

3. Professiona l education requirements as stated for elementary education students. (30 hours)

4. Selected electives (15 hours) from the _ academic field requirements listed in the "Program of Instruction Sectio'n" under "Academi-: Requirements" for e l ementary teachers. These requirements will be determined on an individual bas i s .

80 EDUCATION AND PHYSICAL EDUCATION SENIOR YEAR (PROFESSIONAL SEMEST ER) Ed uc 404 Pr e p a r a ti o n fo r Seco nd a r y Edu ca ti o n Ed u c 406 C lini ca l T eac hin g La b o r a tor y Edu c 408 In stru c tion a l M e di a Edu c. 411 Stud e n t T eac hin g. Educ 430 Educ a ti o n a l M eas ur e m ent s
Teacher Program Hours . ...... 2 2 2 . .. 8 2
Intern

FOR MEN

FOR WOMEN

Fo l k Dance

Square and Socia l Dance

Modern Dance Body Mechan ics .

Beginn i ng a nd I nterm ed i ate Sw i mmin g

Princ i p l es of P.E .

Gymnastics .

Fi rst A i d

Basic Skil l s for Women I

Basic Sk ill s for Wom e n I I

Re creat ion Leadership

Organization and Adm i n istration of P.E.

Physica l Educat i on i n Primary Grades

Physica l Ed u cat i on in I ntermed i ate Grades

Kinesiology and Anatomy

Advanced Techniques in P E for Women I

Advanced Techniques in P E. for Women II

Hea l t h Prog r ams

T ests a nd Measurements in P.E .

Corrective and Adapted P.E.

C u rrent Problems i n P.E.

Tot a l hours

P.E. 1 2 8 201 203 215 216 217 220 309 310 311 312 400 401 410 416 417 425 P.E. 1 2 3 5 8 201 203 215 218 219 220 309 310 311 312 402 403 410 416 417 425
Requirements for Major Fo l k Dance Hours 1 Square and Soc i al Da nce 1 Beginning and I ntermediate Swimming .... 1 Pr i ncipl es of P.E. . . . . . . . . . . . . . . . . . . . . . . . . . . 3 Gymn astics 2 First Aid 3 Minor Spo r ts I . . . . . . . . . . . . . . . . .. 2 Minor Sports II 2 Recreat i on Leadersh i p 2 Organization and Administration of P.E. . ... 2 Physica l Educatio n in the Primary Gr ades 2 Physic a l Education in the Intermed iate Grades .. . .... 2 Kine s io l ogy and Anatomy 3 Advanced Techn i ques i n P.E. for Men I . 1 Advanced Techn i ques in P.E. for Men I I 1 Health Programs 2 Tests and Measurements in P.E . . . . . . . . . . . . . . . . . . . . 2 Corrective and Adapted P.E . . . 2 Current Prob l ems in P E. 1 Tota l hours 35 PHYSICAL EDUCATION
Requirements for Major
PHYSICAL EDUCATION
Hours 1 .. 1 . .... 1 1 . . . . . . . . . . . 1 3 2 3 2 2 2 2 2 .... 2 ....... 3 .. 1 ........ 1 .... 2 2 2 1 37 81 EDUCAT ION AND
ICAL EDUCATION
PHYS

COACHING OF INTERSCHOLASTIC SPORTS

The following program is provided for those students interested in the coach in g of int erscho lastic sports. It is designed to fit the needs of the high school coach and leads to institutional recommendation for certification. Students completing this program are required to have a major in a nother area.

The program in Re c reation l eads to a Bachelor of Scie n ce Degree. The field of recreation prepares students for professional recreational leadership and for supervisory and administration positions in a variety of settings. Recreation as a major requires 40 semester hours, 26 hours of required courses, and 14 hours of electives The curric ulum .e mphasizes a broad educat i on background involving a se l ection of courses from different department s of the College.

82 EDUCATION
AND PHYSICAL EDUCATION
Required: P. E. 207a 207b 207c 207d 300 308 418 Speh. 254 Theory of Football Theory of Basketball Theory of Track Theory of Baseball Prevention and Treatment of Athletic Injuri es Principles of Officiating . Administration of lnt erschoo l Athletics Public Speaking Total hours PROGRAM IN RECREATION Hours 2 2 .. 2 2 2 3 2 3 Ts
Required: Rec. 220 221 Recreation Leadership . Outdoor Recreation 315 Community Recreation . 316 Youth Organization 317 Socia l Recreation 318 Indu strial Recreation 320 Camping 405 Recreation Seminar 460 Recreation Intern ship P E 215 First Aid Total hours Elect 14 hours from the following: Mus. 107 Class Piano I A. 226 Photography I I.A. 322 Hand Crafts Speh 254 Public Speaking Speh. 255 Elementary Dramatics Econ 220 Principles of Economics Journ. 235 Newspaper Editing Hours 2 2 2 2 2 . .. 2 .... 2 .. . 1 8 3 26 ... .. . .. ... 1 .3 3 3 3 3 Art 111 L etter in g __ ___ 3 3 3 Psych. 201 Hum an Growth and Development Art 300 Ceramics 3
Educ. 408 P.E. 309 P.E. 308 P.E. 8 Rec. 406 In structiona l Media 2 Organization a nd Administration of Physica l Edu cat ion and Recreation Programs 2 Princip l es of Officiating 3 Swimming Recreation Research Total hours 83 EDUCATION AND
EDUCATION
PHYSICAL

HUMANITIES

School of Humanities

CL YOE BARRETT , DEAN OF SCHOOL

FINE ARTS

The history, theory , and practice of art and music are the concerns of the Department of Fine Arts .

The Department of Fine Arts endeavors to develop active participation in creative pursuits , which in turn will develop sens itivity and concern for human values, and interest in understanding int e ll ectua l , sp iri tua l, and aest h etic ideals.

Majors are offered for the A . B . in Education degree with a major in Art or Music; the B .S . degree in Commercial Art; and the Bachelor of Fine Arts degree in Music.

84
Required Art 101 Drawin g I ART Requirements for Major 203 Des ign I ..... . . .. .. . Hours 3 3 300 Ceramics 3 311 Painting! Total hours Elect nine hours from the following: Art 102 Drawing II . 111 Lettering 210 Watercolor. 312 Paintin g II Total hours Ele ct 12 hours from the follow ing: Art 204 Des ign II . 308 Art Ex ploration . 310 Scu lpture 317 Art History I 318 Art History II Total hours El ect iv es in Art Required Art Art Com. Art. Art. Com Art. Total hours for Major 101 102 301 111 211
ART (B
Degree) Requirements for Major Drawing I Drawing II Drawin g Ill Lettering I . ... ... . . . Lettering II 3 12 3 3 3 .. 3 9 3 .3 .. 3 ..... 3 .. 3 IT ..... 3-7 27 Hours 3 3 3 3 3
COMMERCIAL
.S.

Art. 203 Des i gn I

Art. 221 Pr i nt i ng Processes

Com . Art. 303 Package Design .

Com. Art 304 Commercial Layout

Elect 15 hours from the following _

I .A. 226 Photography I .

I. A. 325 Photography 11

I.A 237 Grap h ic Art

I.A. 121 Techn i ca l Drawing I

H.Ec. 322 H ome Furnish i ng

H.Ec. 325 Costume Design

Journ . 329 Advert i s i ng

Journ . 235 Newspaper Editing

Journ . 425 Advanced News Photograp h y

El ectives from remain i ng art co u rses

Total hours for Major i n Commercia l Art

Music majors may se l ect either an endorsement for Mus ic K- 12 or the Music-Elementary Endorsement

Students who se l ect the Music - El ementary Endor se ment may teach Music K-8 or El ementary K-6. Requirements

MUSIC 3 3 .3 3 15 Hours 2-3 2-3 3 2 3 3 ..... 2 2-4 ....... . 2 15-18 57-60
Major
Mus i c 101 Theory 102 Theory 205 El ementary M u s ic Materia l s 206 Secondary Music Mater i a l s 208 C lass Str i n gs 301 Counterpoint 304 Woodwinds 305 Brass and Percussion 307 Form and Composition . 404 I nstrumenta l and Chora l Conduct i ng 405 H istory of Music 406 H i story of Mus ic . .. .. . . . . . . . 408 I nstrumentation 409 Sen i or Recit a l App li ed Music Ensemble: 19 Chorus 21 Concert Wind Ensemb l e 28 Chora l Ensemb l e 29 I nstrumenta l Ensemb l e Electives Total hours . . . . . . B.A.in Ed. 5 .. 5 2 .2 2 .. 2 2 3 .2 3 ..... 3 ... 3 ... 2 .. 12 .. 49 B.F.A. 5 5 2 2 2 2 2 3 2 3 3 3 2 2 16 4 58 85 HUMANITIES
for
(Music K-12)

Electives: Music 302,407,440.

1. Requirements for the A.B. in Education degree.

2. Requirements for the Bache l or of Fine Arts in Education degree.

Note: All students who elect music as their major are required. to be enrolled in one or more of the ensemb l e groups each semester Two hours of app l ied str in gs may be substituted for c lass str in gs .

Music stude nt s are required to atte nd recitals and concerts as a partial fulfi llm ent of the graduation requirement .

Music students working toward the B.A. degree in Education are required to give at least one half of a recital. Music majors working toward the Bachel or of Fine Arts degree in Education are required to g ive a full recit a l .

A maximum of e i g ht hours of cred it in ensembles m ay be a pplied toward graduat i on in a l l majors , except music

Applied Music. 1- 2 hours each semester. Private instruction in voice , piano, organ, strings , woodwinds , brass a nd percussion. There is no charge for private lessons to students within the department. Those outside the department may re g ister for les so ns a t the rate as indicated in the Fin a nc i a l Se c tion .

Music students are required to show a proficiency in pian o to meet the demands of their c l assroom activit i es. At l east one semester of private vo ice instruction is required of major s.

HUMANITIES

86
MUSIC Requirements for Elementary Endorsement 27 hours (Music K-8 - Elementary Education K-6) Profession a l Education Requirements - Elementary Academic Requirements for Elementary Teach e r !?hours Math 200 Basic Concepts of Math e matic s 3 hr Eng 203 Children's Literature ... 3 hr . 2 hr P E 310 Phys. Education in the Prim a ry Grades or P.E. 311 I.A. 322 Art 308 Geog 101 Phys. Educ ation in the Int er . Grades Hand Crafts 2 hr. 3 hr 3 hr Art Ex plor ation Prin ci ples of Geography - 3 hr. 17 hours Music Requirements .......... .. . ..... . . .. . . . . . .. . . .. .. . . .. .... 36 hours Mu s ic 120-420 120-420 100 101 102 205 309 311 313 404 Piano Voice Fundament a l s of Music Theory I 4 hr 4 hr. 3 hr 5 hr. Theory I I 5 hr Elementary Music Materi a l s 2 hr Music Therapy . Music Appreciation 3 hr. 2 hr Music for Recreation 2 hr Instrument a l & Chor a l Conducting 3 hr. 33 hours Additiona l three hour s to be acquired through pa rti c ipation in: Music 19 Chorus - 1 hr.

Music 21 ... Concert Wind Ensemble - 1 hr.

Music 28 Choral Ensemble -1 hr

Music 29 Instrumental Ensemble - 1 hr. 3 hr

HISTORY AND SOCIAL SCIENCE

The Department includes the disciplines of history, economics, political science, and sociology. Each discipline is structured and designed to provide background for a variety of professional careers. Interdisciplinary courses and programs offer the student the opportunity for enrichment and breadth of understanding.

A student can major in history, social science, or social work. These majors may be undertaken to attain professional, academic , and cultural objectives.

Teaching majors are offered in History, History -Geography, and Social Science. Students must take the Social Science major if they wish to be endoi:sed by the College to teach any of the other departmental disciplines

HISTORY Requirements for Major Hist. 113 American History to 1865 114 American History after 1865 201 World Civilization to 1500 202 World Civilization after 1500 . Select 28 hours from any of the remaining history courses. Required Hist 113 114 201 202 Total hours HISTORY-GEOGRAPHY American History to 1865 American History after 1865 . World Civilization to 1500 World Civilization after 1500 . Select an additional 19 hrs. from remaining history courses. Required : Geog . 101 103 203 305 311 312 326 404G 411G Total History hours Principles of Physical Geography ... .. . . .. ... . . Cultural Geography World Regional Geography Economic Geography Urban Geography . Geography of Anglo-America Conservation of Natural Resources Philosophy of Geography . Field Geography Total Geography hours Total hou'rs History-Geography Hours 3 3 3 40 Hours 3 3 3 3 31 3 3 3 .. 3 . . 3 . 3 .. 3 . . 2 2 25 56 87 HUMANITIES

SOCIAL SCIENCE

88
Select Either: Geog.403G Special Problems and Techniques in Geography or Hist. 400 Methods in History and Social Science Hist. 113 114 201 202 303 333 Econ. 220 221 333 Geog. 101 103 Soc. 201 Soc. 300 Phil. 201 301 Pol Sci. 201 202 Required: Soc . Wk . Soc.
HUMANITIES
for Ma jor American History to 1865 American History after 1865 World Civilization to 1500 World Civilization after 1500 U.S. in the Twentieth Century Latin America Princip l es of Economics Principles of Economics Economic History of Un ited States Principles of Geography Cu ltura l Geography Principles of Sociology Contemporary Social Problems Introduction to Philosophy Philosophy and History of World Religions II . American National Government. American State and Local Government Total hours SOCIAL WORK (B.S Degree) Requirements for Major 360 Socia l Work. 380 430 201 250 300 320 340 350 370 420 Introduction to Social-Work Methods Field-work Practicum Principles of Sociology Community Organization Contemporary Social Problems Social Psychology The Family Juvenile Delinquency- Criminology & Penology Ethnic-Group Relations . Sociological Theory Elect 15 hours from the following: Soc. 301 Practicum Math. Psy c h Educ. 470 I ndependent Study in Sociology 340 Statistics 340 Statistics 302 The Disadvantaged Child 2 .2 Hours 3 .. 3 . .. 3 3 3 3 3 . ... 3 3 . .. 3 . . . 3 3 3 .3 . . . . 3 3 . 3 51 Hours 3 3 3 . . 3 . . ... 3 .. 3 ... 3 3 3 3 3 1-3 1-3 3 3 3
Requirements

The De partme nt of Lang uage Arts o ffer s majors for the A.B in Edu ca ti o n degree, the A.B degree in Engli sh Lan guage and Liter ature, and the A B. deg r ee in Speech and Dr a ma. Concentration for the B.S. degree i s offered in Mass

Speh. Pol Sci. Hist. Econ. Psych. Rec . Music Soc. 353 202 302 303 333 426G 220 221 350 121 201 202 203 320 331 437 315 316 317 318 309 313 440 Speech Correction and Development . . 3 Americ a n State and Lo ca l Government 3 The U .S in. the Ninete enth Century The U.S . in th e Twentieth Century Latin Americ a Americ a n Constitutional Law Principles of Eco nomi cs Principl es of Eco nomi cs Publi c Finan ce General Psychology 3 3 .. 3 ... 3 3 ... 3 3 3 Hum a n Growth and Deve lopment ______ 3 Psychology of the Ch il d 3 Psychology of Adolescence ... .. 3 Intr oduct ion to Mental Retardation ......... 3 Psychology of Exceptional Chi l dren . . . . . . . . . . . . . . . . 3 Techniques of Counse lin g Community Rec reation Youth Organiz ation Socia l Organization Industrial Recre at i on Mu s ic Th erapy Music for Recreation Tot a l hours for Major Int ernship (Optiona l ) LANGUAGE ARTS 3 2 2 2 2 .......... 3 .3 48 1-8
Com muni catio
s
Journ
Required: Eng , 418 357 Requirements for English Major Shakespeare Int erpretative Reading Tot al hours Elect eight hours from the following: Eng. 208 Advanced Writing 234 Beg inning Jo~rnalism 300 Tr ad ition a l Grammar 305 Practicum in Composit ion 425 Modern Gr a mmar and Lin g uistics .. 440 History of the En g li sh Langu age . Total hour s Elect 18 hours from the following: En g. 222 The Helleni c- Hebrai c Tradition 225 Short Story 306 Nebrask a Literature 317 Chaucer Hours ..... 3 .. 2 5 2 3 3 2 . .. 8 3 2 2 2 89 HUMANITIES
n
and
alis m .
90 HUMANITIES 318 Neo-Classical Writers 321 Romantic Period 322 Continental World Literature 323 Victorian Period 324 American Literature I 325 American Literature II 328 Modern Poetry 441 Pre-Shakespearean Drama 442 Post-Shakespearean Drama Total hours General Electives from any of the above Total hours for Major Required: Journ. 234 Journ. 235 Journ. 435 JOURNALISM (B.S. Degree) Requirements for Major Beginning Journalism .. Newspaper Editing . Advanced Journalism Total hours Elect 24 hours from the following: Art 111 Lettering Eng. 208 Advanced Writing Journ. 226 Photography I . Journ. 237 Introdu ction to Graphic Arts . Speh. 260 Int roduction to Radio and Television Eng. 300 Traditional Grammar Journ. 325 Photography II Journ. 327 Yearbook Editing and Management 3 .. 3 3 ... 3 3 3 .. 2 2 3 18 5-9 hrs. 36-40 hrs. Hours ;3 4 3 10 . .. . . .. . .... 2-3 . .. 2-3 3 3 . 2 ... ... . .. . . ... 2-3 2-4 Journ. 329 Advertising 2 2-4 . 2 25 35 Journ. 400 Int ernship in J.ournalism Journ. 425 Advanced News Photography Required: Total hours ...... . ... . Total hours for Major MASS COMMUNICATIONS (B.S. Degree) Requirements for Major M.C. 100 Introdu ct i on to Mass Communication 234 Beginning Journalism 254 Public Speaking 260 Radio and Television 300 Communications Law Written Communications Select 10 hours from the following: M.C. 208 Advanced Composition 235 News Editing 337 Yearbook Editing 329 Advertising 415G Speech Composition 435 Advanced Journalism Hours .. 2 3 . . 3 10 2 2 2 2 3 3

Visual

Communications:
22 hours from the following: MC. 101 Drawing I 102 Drawing II 103 Film and Slid e Making 111 Lettering 203 Desi g n I 204 Design II 210 Watercolor Painting 226 Photography I . 237 Graphic Arts . . 311 Paintin g I 312 Painting II 325 Photography II 408 Instructional Media 409 Preparation of Instructional Media
Communication:
eight hours from the following: M.C 152 Fundamentals of Speech 345 Conference Leading 357 Int erpretative Reading 403 Forensics Practicum
hours Required for B.S. in Mass Communication
required to work 3 semesters in radio station
required to work 3 semesters in publications 22 3 . . 3 3 .. 3 3 .. 3 .. 3 . 2-3 3 3 ...... 3 .... 2 -3 2 2 8 3 3 2 1-3 54 91 HUMANITIES
Select
Verbal
Select
Total
Majors
Majors

SPEECH AND DRAMA Requirements

HUMANITIES

Since entrance requirements differ in the various law schools, the prospective l aw student should, as early as practica l, secure information from the l aw school he expects to attend .

Peru State College does not recommend particular areas or departments for pre-law majors. While many law students major in political science, econom i cs, soc iolo gy, or history, other departmental majors provide good backgrounds for l aw study and practice. These include such areas as philosophy, Eng li sh, psychology, mathematics, the physical sciences, speech, and business adm ini strat ion

92
Required:
Major Speh. 254 Public Speak in g 353 357 Speech Correction a nd Development In terpretative Reading Total hours Elect eight hours from the following: Speh. 258 Debate 260 I ntroduction to Radio and Television 359 Advanced Debate 362 Psychology of Speech Hours .. 3 3 2 8 415G Speech Composition Total hours 2 Elect 14 hours from the following: Speh. 255 Elementary Dramatics H. Ee. 323 Costume History Speh 355 Play Production Speh. 360 Play Directing Speh. 400 Theatre History Eng. 418 Shakespeare Eng. 441 Pre-Shakespearean Drama Eng. 442 Post-Shakespearean Drama Total hours General Electives from any of Above Total hours for Major PRE-PROFESSIONAL CURRICULA Pre-Law 3 3 ... 3 3 3 3 2 3 14 .. 3 33
for

School of Natural Science

The School of Natural Science aims to provide for the needs of students in teacher preparation, pre - professional areas, a nd general education. In each of these, mathematics and science are regarded both as an organized body of knowledge and as a method of investigation

The School of Natural Science includes the subdivisions of biology, chemistry, geography, general science, mathematics, physical science, and physics. Requirements for major in any area are given in each subdivision. Students are urged to obtain a wide range of training in several of these fields . Those who concentrate their training in a particular field of science, with the intention of teaching , are advised to take extensive work

one or two other fields.

in
Biol. 101 102 203 304 306 307 404 408 417 Chem. 101 102 BIOLOGICAL SCIENCE Requirements for Major General Bio lo gy (Plant) General Biology (Animal) Invertebrate Zoology Comparat iv e Anatomy Morphology of Lower Plants Morphology of Seed Plants Genetic s . Modern Biology . . ... .. ..... . ... . .. . Ecology Elective . General Chemistry General Chemistry Total hours Hours .. 3 .. 3 . 3 3 3 3 3 3 3 . 5-6 4 4 40-41 •1 I • -· •I •• ••• Ill • • -·---· 93 NATURAL SCIENCE
94 NATURAL SCIENCE Biol. 101 102 203 304 306 307 Ch em. 101 102 Ph ys. 20 1 202 Geog 101 201 208 Geog . 101 103 208 210 20 1 305 GENERAL SC
ENCE Requirements for Major Plant Biology . Animal Biology I n vertebrate Zoology . Comparative An atomy Morphology of Lower Plants Morphology of Seed Plants General Ch e mi stry General Che mi stry Genera l Physics Gener a l Physics Prin of Physical Geography Gener a l Geology World Regional Geography Mathematics . T ota l h o ur s GEOGRAPHY AND GEOLOGY Requirements for Major Principles of Geography Cultur a l Geography . World Regional Geo gra phy Ph ys i ography of the United States . OR Ge n era l Geology Economic Geography Hours 3 3 3 3 3 3 4 . .. .... . . ... 4 4 4 3 4 .... 3 10 54 Hours 3 3 3 . .. 4 4 311 Urb an Geograp h y 3 3 .... 3 .. 3 2 2 5 34 312 Geography o f An g l o America 326 Conservation of Natural Resources . *4 03G Special Problems and Techniques in Geography 404G Philosophy of Geography Geography e l ectives . Total hours * Required o f Secondary T eachers who are p l an nin g to teach Geography. NOTE - Non-teachers should take Field Geography in place oft he methods co ur se as a requirement for a major in Geography If Geography is p l anned in tea c her education , anot h er endorsement is re. quired . See Advisors for particulars. Math . 102 MATHEMATICS Requirements for Major Int ro . to Data Processing Hours 3 105 Fundamentals o f Mathemat ics ... ........ . . ..... 5 5 106 Fundamentals of Mathematics 309 Ca l cul us with An alytic Geometry ... . . . .. . .... . . . .... 5 310 Ca l cu lus with An a lyti c Geometry 5 Mat h emat ics e l ect ive . 12 Total hours 35
I

It is recommended that additional work be taken i n either Chemistry or Physics to assure adm i ssion to graduate study.

Pre -Agriculture

The fo l lowing pro g ram is suggested for pre-agri c ulture students :

Be l ow is a suggested out l ine for both programs. The student is advised to secure a catalog from the professional schoo l he expects to attend, as individual schoo l s vary in requ i rements for pre-denta l and pre-medi ca l program s.

Chem 101 102 205 303 Phys. 201 Math . 202 306 307 105 106 PHYSICAL SCIENCE Requirements for Major General C h emistry Genera l Chemistry Pr i n. of Qualitative Analysis Organic Chemistry General Ph ysics General Phys ics Astronomy . Introduction to Modern Phy s i cs Physics El ectives Hours 4 4 .. 4 ..... 4 4 4 " 3 4 ...... 3 " . " . 5 . ... 3 B io l. 101 Fund a menta l s of Mathem atics .. Fundamentals of Mathematics Plant Bio l ogy . .. . . . . . . . . .. .. ...... 3 102 Geog . 201 Animal B i o l ogy Genera l Geology Physical Geography electives Tota l hours ...... 3 .. 4 6 60
English Composition B i o l ogy 6 Physics 18 Economics 8 6 Chemistry 8 Speech .... . " .. 3 Mathematics Government 5 Accounting 3 Elect ives Pre-Dental and Pre-Medical 3 1-6
Eng li sh Composition Chemistry . Mathematics Psychology 6 Biology 24 Phys ics 10 Language 3 Electives and requirements Pre-Engineering Suggested program for the first two years: Eng li sh Compos ition Mathemat i cs Industr i al Arts (Draw i ng) 6 Chem i stry 26 Physics 4 El ectives 12 8 16-20 37 -4 1 8 8 10 95 NATURAL SCIENCE

The requirements for different forestry schools vary . Early in the pre-forestry program the student should consult the cata l og of the college he plans to attend later Grades of below average will probably not transfer The plan below is a suggested outline:

To qua l ify for admission to a college of techno l ogy, students are required to earn 60 semester hours of co lle ge credit. The pro g r a m for the fir st two years as outlined below meets the above requirement.

The fo ll owing program is suggested as prerequisite for entering a co ll ege of mortuary

Some col l eges of nurs i ng require two years (60 semester hours) of prenurs i ng , others requ i re less. Students fol l owing a pre-nursing curricu l um should know the requirements of the particu lar school of nursing to which they will transfer. The program below, based on two semesters and one summer , will meet the requirements to enter the University of Nebraska

This program is based upon 60 hours of basic science and must inc l ude at least the following:

96
NATURAL SCIENCE Pre-Forestry
Eng l ish Composition 6 Economics 6 Biology 15 Government . 3 Chemistry 8 Spee c h .. 3 Mathematics . . . . 12 Physics ... . . .. 8
Medical Technology
Eng l ish Composition Biology Chemistry Physics 6 15 12-18 8 Mathematics History . Socio l ogy Physical Education Pre-Mortuary 10 6 3 2
science: English Composition Mathematics Chemistry . Biology 6 5 12-16 12 Speech Physical Education Accounting . El ectives Pre-Nursing 6 5 3 12-16
School of Nurs ing: Engl i sh Composition Chemistry B iology Home Economics 6 4 6 3 Soc i ology Psyc h o l ogy History .. Speec h Electives Pre-Pharmacy 6 3 6 3 2
Eng l ish Composit i on Inorganic Chemistry Analytical Chemistry 6 8 8 General Bio l ogy General Physics Mathematics 6 8 5

Restricted e le ctives from the following areas: business , economics, English, fine arts , foreign languages , history , philosophy, psychology, and speech Examine the catalog of the col l ege you expect to attend

X-Ray Technician

Th e following program is recommended for students who may wish to be X-Ray Technicians and a lso earn a Bachelor of Science degree. Upon completion of the program suggested below, the student may transfer to a col l ege of radiology.

School Of Applied Arts

And Technology

COURSE NUMBERS

Students enrolling in the college generally register for courses corresponding to their classification (freshman, sophomore, etc.) unless adv ised to do otherwise . Courses numbered 1-99 are unclassified and open to a ll students. Courses numbered 100-199 are for freshmen; 200-299 for sophomores; 300-399 for juniors; 400-499 for seniors; 400G499G for graduates and seniors; 500-599 for graduates.

BUSINESS

100 Business Mathematics. A review of the four fundamental operations of ar ithmeti c applied to whole numbers, fractions, and decimals; app lic ations of percentage; computing interest and discounting notes; consumer credit; cash and trade discount; computing markup , retail and comm issi on; marking goods; the arithmetic of payrolls. 3 hr. First semester.

102 Introduction to Data Processing. An introduction to the concepts and basic features of electronic computers. An overview of the makeup of computer systems a nd of the structure and usage of computer languages is presented. FORTRAN IV is used to illu strate the course and give the student direct computing experience. 3 hr. On demand.

121 Elementary Typewriting. Five hours attendance. Development of a working knowledge of typewriting for personal and vocat i ona l use. A student having one unit of high schoo l credit in typewritin g will not be a ll owed to take this course for credit. 3 hr. First semester.

English Composition .. ... . . . . Chemistry Mathematics Physics 6 8 10 8 Biology ....... . ... . Business Education Physical Education Electives
6 21 2 5
97 APPLIED ARTS AND TECHNOLOGY

123 . Introduction to Business. A study of b u siness and the environment in which it is conducted ; types of business firms , functions they perform, prob l ems confronting them and possible so lu tions for these problems are considered. 3 hr Each semester

131 Elementary Shorthand. Prerequisite: Bus. 121 or equ iv a l ent or being enrol l ed in Bus. 121. Five hours attendance A study of reading and writing shorthand , and an introduction to dictation and transcription. A student having one unit of high school credit in shorthand will not be a llowed to take this course for credit. 3 hr. First semester.

132 Intermediate Shorthand. Prerequisite: Bus. 131 or one unit of high school credit in shorthand. Four hours attendance. A continuat i on of Bus. 131, emphasizing the deve l opment of skill in dictation and transcription. 3 hr Second semester.

201 Business Statistics. Methods including dispersion, sampling , null hypothesis, tables and graphs , estimation and correlation - all with a business application. 3 hr. Second semester or on demand.

203 COBOL Programming. Prerequisite : Bus. 102. A general introduction to the COBOL Programming language and its applicat i on to problem so lvin g is discussed in detail. The student ' s work includes analyzing a problem and developing a program relative to his field of interest. 3 hr. On demand

204 FORTRAN Programming. Prerequisite: Bus. 102 or consent of instructor. The FORTRAN IV l anguage and its appl ication to problem solving is discussed in detail. The student's work includes analyzing a problem a nd deve l oping a program relative to his fie ld of interest. 3 hr. On demand.

215 Personal Business Finance. Fundamentals of personal finance. Budgeting ; banking; life insurance; a ccident , health , and casualty insurance; investments; trusts; ta x es; income taxes and social security. 3 hr. First semester.

220 Intermediate Typewriting. Prerequisite : Bus. 121 or one unit of high school credit in typewriting. Stresses speed and accuracy in typewriting letters, manuscripts, tabulations and other forms 3 hr. Each semester.

231 Principles of Accounting. Four hours attendance. An introduction to the process of recording financi a l data and preparin g periodic financ ia l statements and special reports for the sole p r oprietorship and partnership (The student wi ll attend the first 10 weeks of the regular Accounting I c l ass a nd will receive 2 credits instead of 3 for the Secretarial Te c hnology Progr a m ) 2-3 hr First semester.

232 Principles of Accounting. Prerequisite : Bus. 231. Four hours attendance A continuation of Bus. 231 , cons id ering the accounting process in the corporat i on ; the student is introduced to accounting theory ,

98 APPLIED ARTS AND
TECHNOLOGY

financial statement ana ly sis and cost accounting. 3 hr. Second semester.

235 Business Machines. Three hours attendance with individual laboratory work arranged. Basic ca l cu lating ma c hin e operations, care of the machines and business app li cation problems are st ressed. 3 hr. Each semester.

237 Principles of Management. Prerequisite : Bus. 123. A st udy of the planning, organizing, directing and control lin g functions of management; the student is introduced to production, marketing, financial, personnel and office management. 3 hr. Second se m ester.

240 Office Machines. Pr erequ isite : Bus. 121 or eq uiv a lent Ma chines used in the present day business office other than ca l c ulatin g m achines are studied. These include a study on the various duplicating machines, magnetic card typewriter, composer and othe r machines available for demonstration . 3 hr. Second semester.

301 Business Communications. A study of Business English a nd comm unication as well as le arning how to compose and produce the various kinds of letters used in the business world today. 3 hr First semester.

325 Secretarial Procedures. Pr erequisites: Bus . 123, 132, and 220. Secretarial responsibilities in the modern office, important personal qualities of the secretary and records management are studied. 3 hr . Second semester.

328 Principles of Marketing. Prerequisite : Bus. 123. A study of the buying , selling , transporting and storing functions involv ed in marketing; the student i s introduced to retailing, wholesaling and marketing mana gement. 3 hr. First semester.

329 Advertising. Prerequisite: Bus. 328. A study of the planning and preparation of advertise ments , the selection of app r opr iat e advertis ing media a nd agencies and the role of advert isin g in the total marketing program. 2 hr. On demand.

330 Sales Management. Prerequisite: Bus 328 A sales mana gement course incorporating salesmanship training as a substantial part of the mana ge ment offering. 3 hr. First semester.

331 Insurance. Prerequisite: Bus. 123. A study of the major types of persona l and business in surance, in cludi ng lif e, property , health and accident, public li abi lity and social insurance. 2 hr. On demand

332 Investment. Prerequisite: Bus. 232. A study of the major uses of investment funds, including saving accounts in banks and other financial institutions , government bonds, corporate stocks a nd bonds, annu ities and real estate 3 hr. First semester

333 Dictation and Transcription. Prerequisites: Bus. 132 and 220 or two units High School Shorthand. Four hours attendance. Emphasis is

99 APPLIED ARTS AND TECHNOLOGY

placed on increasing sk ill s in taking dictation and transcribing it into m ai lab l e form. 3 hr. First semester.

334 Advanced Typewriting. Prerequisite: Bus. 220 Three h o urs atte n dance. Stresses t h e deve l opment of a high degree of proficiency in compos iti on. machine dictation and production typewr itin g 3 hr. Second se m ester .

335 Industrial Management. Prerequisite: Bus. 237. A study o f the management of a n in dustrial plant; lo cat i on, construction. layo ut , eq uipm ent. supp li es and personnel are considered. Th e pruchase, storage and pr ocess in g of m ate ri a l s a nd sa l e of the f ini shed product are str essed. 3 h r. On demand.

336 Business Law. Prerequisite: Bus. 123. A study of the l ega l rights and obligations of parties to con tr acts co n ce rn ed wi th s uch matters as exchange, property , agency, in surance and bankruptcy; spec i a l l ega l problems of partnerships and corporations are cons id ered . 3 hr. First semester.

337 Intermediate Accounting. Prerequisite: Bus. 232 . A study of the problems involved in es t a blishing sound va lu at i ons for asset, liability and net worth it ems; proper reportin g of financial pos iti on a nd net in come i s stressed. 3 hr. First semester

339 Cost Accounting. Prerequisite: Bus. 232. A study of manufa c turing cost under process a nd job -order cost systems; determination and ap pl icat i on o f st andard cost. ana ly si s of cost behavior a nd cost budgeting to aid management in m ak in g decisions a r e stressed. 3 hr Seco nd semester.

340 Income Tax Accounting. Pr erequ i sit e: Bu s. 232. T h e Federa l In co m e Tax l aws and regulations concern in g taxab le income , in c lusion s and exc lu sions, allowable ded u ctions, and basis of determining ga in or lo ss of reporting p u rposes f or ind ivid uals and b u sinesses 3 hr. First se m este r .

425 Methods of Teaching Business Subjects . Current methods of teaching typewriting , short h and, bookkeeping , office practice and bas i c business are co n sidered; so ur ces a nd u ses of instructional a ids a re e mph asized. 2 hr Second semester

426 Advanced Dictation and Transcription. Prerequisite: Bus. 333. Fo ur h ours attenda n ce. Greater in crease in the speed and acc ur acy in takin g tim ed dictation. 3 hr. On demand.

428 Problems in Business Education . Research, d i sc u ss i on a n d writ in g on problems n ot pr ev i o usly studi ed. Ind epende nt st udy by arrangement. 2 hr. On de m and.

431 Retail Management. Prerequisite: Bus. 328. A st ud y of th e managem ent of retail stores; lo cat ion, const ru c tion , layo ut , eq uipment , sup-

100 APPLIED
AND
ARTS
TECHNOLOGY

plies and personnel are considered. The purchase, storage and promot i on of merchandise are stressed 3 hr On demand.

432 Business Finance. Prerequisite: Bus . 232 and Econ. 220. A study of the uses of funds to finance assets, internal and external so urces of funds and the cost of funds obtained from alternative sources under various conditions 3 hr. Second semester.

433 Office Management. Prerequisite: Bus. 237. A study of the management of an office; l ocation, layout, equipment, supplies and personnel are considered. 2 hr. On demand .

434 Personnel Management. Prerequisite: Bus 237. A study of the management of labor; selection, training, compensat i on and supervision are considered. 3 hr. Second semester.

436 Projects in Typewriting, Prerequisites: Senior standing and permission of the instructor. Designed for a student to do advanced projects in typewriting based upon his individua l needs and interests . 1-4 hr. On demand.

440 Independent Study in Business. Prerequisites: Senior standing and permission of the instructor. 1-4 hr. On demand.

441 Internship in Business Administration. On the job training with a business firm or i ndustry. Students will have work experience in the various phases of business administration. Both ora l and written reports of these experiences are to be presented to students in introductory business administration courses. Business majors only. 1-4 hr . On demand.

445G Conference Leading A course enabling one to lead a conference in business and industry. Students w ill l earn to make a conference plan, analyze conference prob l ems, draw information from the group , and bring the conference to a conc l usio n by formu l ating recommendations for a p lan of action. 3 hr. On demand.

470 Auditing Principles. Prerequisites: Bus. 337 and 339 or by permiss i on. Genera l ly accepted auditing standards and procedures with philosophy supporting them; auditing techniques'·avai lab l e to the i ndependent pub li c accountant. 3 hr. Second semester.

HOME ECONOMICS

133 Beginning Foods and Nutrition. Two hours lecture and discuss i on; three hours laboratory. Fundamenta l princip l es of food selection and preparation; food compos i tion in relation to health. 3 hr. First semester.

134 Meal Planning and Food Preparation. Prerequisite: H. E. 133 The purchasing of foods; plann i ng and serving mea l s for fami l y groups using the basic four plan 3 hr. Second semester.

101

APPLIED ARTS AND TECHNOLOGY

APPLIED ARTS AND TECHNOLOGY

141 Beginning Clothing Selection and Construction. Selection of wearing apparel based on principles of design and color, lin e, texture, fabric, style , purpose, personality - interpretation and use of commercial patterns in clothing construction and demonstration problems. 3 hr. Second semester.

205 Selection, Use and Care of Household Equipment. A course covering the fundamental principles of care and operation of equipment to give maximum service in relation to operation and service cost; understanding of common repair problems. 2 -3 hr. On demand.

232 Home Planning. A course designed to serve those who wish to buy, build or remodel and who need to know about property and houses to make a large investment. 3 hr. Second semester.

302 Child Development. Scope of course covers from prenata l through preschool ages. Four current reports; one each for prenatal care, infant care , your child from one to six , and the nursery school. Also a preschool laboratory of four weeks. Three hours credit will involve a floor plan for a pre-school, fully equipped. 2-3 hr. Second semester

310 Principles of Home Economics Demonstration. Prerequisites: H E. 133, 134, and 141. Fundamentals in ho me economic demonstration used by the teacher, home economics agent and commercial demonstrator. 3 hr. On demand.

320 Costume Selection. Se l ection of appropriate c l oth in g and accessories as an expression of personality. Application of art principles in the designing of garments with special attention to individual problems. Creative problem in dress designing and construction. 3 hr. On demand

321 Personal and Family Relationships. A study of the relationships between the individual and the family , the art of living harmoniously with others and the responsibility of each member of the family in the development of satisfactory relationships in marriage and family living. 3 hr. First semester.

322 Home Furnishing. A study of today's housing problems and factors to be considered in building , buying or renting a house ; the selection and arrangement of furnishing from the standpoint of comfort , beauty and economy. 3 hr. First semester.

323 Costume History. Aspects of culture of various countries and periods of history as reflected in costume. 3 hr. On demand.

325 Costume Design - Flat Pattern. Prerequisite: H. E. 334. Some basic problems are presented in flat pattern making. A persona l master pattern is developed for each student. Creat iv e problems are planned to develop skill in the application of art principles to costume. 3 hr. On demand.

102

332 Nutrition and Dietetics. Fundamental principles of human nutrition and its development through research as related to the dietary needs of individuals according to their age, sex and/or occupation. 3 hr. Second semester.

333 Textiles. Lecture and recitation A study of weaves, yarns, fibers and finishes with reference to the se l ection and care of fabrics for clothing and for the home. 3 hr. First semester

334 Advanced Clothing. Prerequisite: H. E 141. This course is designed to meet the student's need for the more difficult construction problems which are encountered in tailoring and renovation 3 hr. First semester.

400 Special Problems in Home Economics. Special research or study as needed by the individual. Home Economics majors only. 1, 2 or 3 hr. On demand.

421 Home Management. Management problems of the homemaker in relat ion to efficient management of income, time , energy and equipment. Good management practices in homemaking problems through projects. 4 hr. First semester .

425 Methods of Teaching Home Economics. Study and evaluation of the methods of teaching home economics in the schools today; development of the curriculum to meet the needs of individual students and communities; and analysis of modern philosophy and objectives. 2 hr . First semester .

430 Experimental Food Study. Prerequisite: H.E 134. A consideration of the methods on which such variables as ingredients, proportions and techniques in food preparation affect the cost and quality of both American and foreign products. 3 hr. On demand.

INDUSTRIAL ARTS

121 Technical Drawing I. A course concerned with the fundamentals of graphic language. The course includes proper use and care of instruments, geometric construction, lettering, sketching and shape description, multi-view projection, sectiona l views and auxi li ary v i ews. 3 hr. First semester

123 Woodworking Technology I. The development of basic skills in the use of both hand tools and woodworking machines. 3 hr First se mester

124 Woodworking Technology II. Prerequisite: I.A. 123. Technique s and procedures in wood finishing using both traditional and new types of materials. Also the study of woodworking technology and wood identification 3 hr. Second semester.

132 Metals Technology I . Fundamental in struction in the areas of sheet metal , bench metal, forging and heat treatment, foundry, welding and elementary machining. 3 hr. Second semester.

103 APPLIED
NO LOGY
ARTS AND TECH

222 Technical Drawing II. The course includes shop processes, dimensioning, threads and fasteners, design and working drawings, axonmetric projection, oblique projection, perspective projection, intersections and developments, gearing and cams, welding representation, graphs and the use of drafting machines. 3 hr. Second semester.

226 Photography I. Theory and practice in the basic fundamentals of photography including composition, exposure, li ghting , developing, contact printing and enlarging. The third hour credit gained by additional assignments. Each student must have a camera. 2-3 hr. Each semester.

231 Industrial Crafts I. Open to a ll students. Basic experiences in working with a variety of craft media; including plastics, art metal lapidary, jewelry and leather. 3 hr. Each serr•ester .

233 Electrical Technology I. Basic theory, principles, and appl i cations of el ectricity in industry and the home. Areas of instruction include the production of electricity, magnetism, theory and basic circuits, residential wiring, motors and generators, automotive el ectricity, appliance repair, electrochemistry and e l ementary radio. 3 hr. First semester.

237 Graphic Arts. Study and practice in basic processes of printing and a llied in dustries, including work in letterpress, si lk screen printing, bookbinding, rubberstamp making and go ldl eaf stamping Also beneficial for those interested in journalism. 3 hr. Each semester.

300 Futuristics. The study of the future including job opportunities, businesses, customs, livin g conditions, and working conditions. This class is a seminar type course for upper division students. 3 hr. Second semester.

303 Craft Work with Inexpensive Materials. The course is designed to develop skil ls and knowledge in elementary craft work using inexpensive materials and minimum hand tools. Recommended for elementary school teachers, recreation majors and people desiring an inexpensive hobby. 1-3 hr. On demand.

321 Shop Maintenance. In struction in the use and care of equipment commonly found in the industrial arts laboratory, and shop planning as it relates to the proper function in g of industrial arts facilities. Practice will be given in the condit ionin g and repair of hand and power tools ind equipment. 2 hr. First semester.

322 . Hand Crafts. A course designed to develop ski ll s and knowledges in working with ceramics, metals, plastics, wood, and other craft materi 0 als. Instruction will in c lud e specifying and purchasing craft supplies , and methods of incorporating these activities into schoo l and community programs. 3 hr. Second semester

323 . Metals Technology II. A second course in metalwork with emphasis on

104 APPLIED ARTS AND TECHNOLOGY
I'

foundry and machine technology , and a study of metallurgy as it relates to the foundry , machine shop, and heat treating processes. 3 hr. First semester.

325 Photography II. Lens testing, infra-red photography, high speed photography, portraiture, use of negative and positive color films, color printing and oi l coloring of prints . 2-3 hr. On demand.

326 Upholstery. Prerequisite: I.A. 124 or by special permission. Designed to give experience in and information about various methods of construction in upholstery both with and without use of springs. 3 hr. On demand .

327 Woodworking Technology Ill. Prerequisite: I.A. 124. Emphasis will be placed on an advanced problem including cabinetmaking or furniture construction. Also items related to the te ac hing of woodworking wi ll be cove red 2 hr. First semester

328 Electrical Technology II. Prerequisite: I.A . 233 or by special permission. A study of the principles of app li cation of electronics and their app li cations in circuits, test equipment, vacuum tubes , transistors, radio and television 3 hr. Second semester.

329 Plastics Technology. Prerequisite: I .A. 231 or by specia l permission . A study of the industrial ut ili zation, manufacture, and processing of plastics. Instruction and practice in too lin g, thermo forming, casting, coating, and molding with plastics 3 hr. Second semester.

330 Industrial Arts Design. A study of the principles of design as app li ed to problems of construction, drawing and sketching of projects for the major areas of In dustrial Arts. Also, the study of current furniture sty l es. 2 hr. Second semester.

331 Welding. Prerequisite: I.A. 132 or by specia l permission. Instruction and practice in the use of e l ectric welding machines and the oxy-acetylene torch in welding and cutting . 3 hr . First semester.

332 Power Mechanics I. The study of the sources of power and of the machines used in its development with emphasis upon the internal com-

bustion engine. 3 hr. Second semester

Power Mechanics II. A study of the application of power to transportation and industry, its development, transmission and c ontrol. 3 hr. On demand.

Lapidary and Jewelry. An introduction to the basic process of jewelry construction and la pidary principles involving silver soldering, sawing, filing, ring construction, and setting of stones. 3 hr

Survival Preparedness. A study of facts related to survival in time of local, state or national disaster 1 hr.

Driver Education and Traffic Safety I. Prerequisite: Twenty thousand miles or two years driving experience free of repeated c hargeable acci-

APPLIED ARTS AND TECHNOLOGY

ct;J% 333 jJJt,334 335 337
105

APPLIED ARTS AND TECHNOLOGY

dents and moving violations. This course will include presentation of materials and methods of traffic safety and driver training with emphasis u pan att itud e, development, organization and administration, driving regulations and safe motor car operation. 3 hr. First semester.

338 General Safety. This course is designed to familiarize the student with problems of accident prevention and conservation of human life and limb. Emphasis will be placed in the following areas: occupational, transportation, farm and the home and school. Instructional materials wil l be developed and studied. 3 hr. Second semester.

340 Driver Education and Traffic Safety II. Prerequisite: Driver Education I. This course will provide an opportunity to construct materials relating to and experiment with methods of presenting l essons in traffic safety and behind-the-wheel driving. Each student will be expected to teach a beginning driver. 3 hr. Second semester.

400 Individual Studies in Industrial Arts. Prerequisite: Approval by department. Ind ependent st udy of Indu stria l Arts to meet the needs of the student. For majors only. 1-3 hr.

401 Career Education. A study providing students from K-12 the direction to acquire the skil l s which will a llow him to make a liv e lihood for himse lf a nd for his future family, no matter at which step of the ladder of the educationa l system he l~aves. 3 hr. On demand.

425 Industrial Arts Methods and Observation. The course will emphasize teaching methods and aids, course construction, testing, shop discipline , grading , safety and other problems pertinent to the teaching of the industrial arts. 2 hr. Second semester

427 Architectural Drawing. Prerequisite: I.A. 222 The principles of planning a dwelling to fit modern needs. Drawings w il l include a plot plan, floor p lan , four elevations, sections and detai l s Specifications wi ll be determined by the student for the dwel Iing. 3 hr. First semester.

428G The World of Construction. A study of the Indu str ia l Arts Curr icu lum , Project World of Construction. The course is designed to develop an understanding of the goals and techniques of IACP instruction. Methods of conducting l earning activities through role playing, group activities, and simulation games wi ll be emphasized as they relate to the prob l ems in volved in construction on a site 3 hr. On demand.

429G The World of Manufacture. A study of the Indu strial Arts Cur ri culum , Project World of Manufacturing. The co ur se is designed to develop an unde r standing of the goals and techniques of IA CP instruction. Methods of conducting learning activities through ro le playing, group activities, and simulation games will be emphasized as they relate to the problems involved in manufacturing products in a plant. 3 hr. On demand.

106

VOCATIONAL EDUCATION

441G History and Philosophy of Vocational Education. Origins and philosophy of vocational education and the relationship to the schoo l curriculum Required for vocational certification and recommended as an elective for schoo l administrators . 3 hr.

442G , Organization and Administration of Vocational Education. A study of the principles and policies governing the administration of vocational educationa l programs in high schoo l s, technical schoo l s, junior colleges and adult education programs. 3 hr.

443G Coordination Techniques in Vocational Education Programs. Analysis of Vocational Cooperative Programs and their relationship to the high schoo l , junior co ll ege, and adult vocational programs . Emphasis on the organization and supervision of cooperative programs , duties and responsibilities of the c oordinator , selection and placement of students, and evaluat i on of students , training stations and the cooperative program. 3 hr.

444G Industrial Internship. A work exper i ence program for students preparing to teach in a vocationa l program. Work experience includes an acceptab l e type of wage earning emp loym ent in a business, manufacturing plant or processing indu stry approved by a qualified teacher coordinator . 1-3 hr. On demand.

445G Conference Leading. A course enabling one to lead a conference in business and industry. Students will learn to make a conference plan, analyze conference problems , draw information from the group and bring the conference to a conclusion by formulatin g re c ommendations for a plan of action. 3 hr On demand.

School of Education and Physical Education

EDUCATION

105 Developmental Reading and Study Skills. A course designed for college students needing improvement in deve l oping their reading ability and study skil l s . Emphasis will be placed in improving both c omprehension and increased speed of reading. 3 hr. On demand.

300 Foundation of Education. Prerequisites: Psych. 121 a nd 201. The historical and philosophical background and development of edu c ational thought and practice in American public education. 3 hr. Each semester and summer.

302 The Disadvantaged Child. Prerequisites: Psych. 121 and 201. An interdisciplinary seminar designed to interpret the influences of culture in regard to the institution of family , school, government, and religion. 3 hr

107

APPLIED ARTS AND TECHNOLOGY

EDUCATION AND PHYSICAL EDUCATION

303 Elementary School Curriculum. Prerequisite: Educ. 300. The elementary school curriculum and its place in meeting the needs of children. Actual experience in planning units of instruction and in examining and evaluating various courses of study and textbooks. 3 hr.

305 Principles of Early Childhood Education. Prerequisite: Psych. 201. Theory and practice of early childhood education in the nursery school and primary grades. The course deals with curriculum, program planning, use of materials and equipment, role of teacher, techniques of classroom management , and meeting the needs of individual children in the group situation. 3 hr .

307 Practicum. Prerequisite: Approval of Dean of School. (Open to lower classmen.) Offered as needed to provide practical classroom experience to benefit to prospective teachers , those students wishing to serve as teacher aides, students preparing to serve as assistant teachers or para-professionals. 1-4 hr.

310 Kindergarten Education. Prerequisite: Psych. 201. Modern methods and study of materials that are used in the kindergarten program. 3 hr.

334 Teaching Reading. Prerequisite: Educ. 300. A study of current methods of teaching developmental reading, study of reading materials and their uses, evaluating reading progress , and relating developmental reading to an understanding of children. 3 hr.

335 Problems in Reading Seminar. A seminar designed to give a mutual understanding of the problems in reading , grades 1 to 12 inclusive. 3 hr.

336 Diagnostic and Remedial Reading. Prerequisite: 15 hours professional education or instructor's permission. Techniques of recognizing and classifying reading problems. 3 hr.

350 The Middle School. Prerequisite: Educ. 300. Emphasis is given to the history, philosophy, purpose, function, organization, management, curriculum developments , administrative problems of the middle school, and the nature and needs of middle school pupils. 3 hr. Summer.

404 Preparation of Secondary Education. Prerequisite: Approval for professional semester. Emphasis is given to developing knowledge, skills, and techniques for successful teaching in the secondary schools. 2 hr.

405 Teaching in the Elementary School. Prerequisite: Approval for professional semester. Students will have an opportunity to consider approaches to instruction including most subjects commonly taught in th e elementary school and participation in the clinical teaching laboratory. 3 hr.

108
Unit 1 - Language Arts Unit 2 - Social Science 2 hrs 2 hrs

406 Clinical Teaching Laboratory. Prerequisite: Approval for professional semester. Testing of educational theory and techniques under carefully controlled conditions. Students have an opportunity to develop and refine teaching skills , through the use of simulation, microteaching and video-taping, teacher self-appraisal models, technical skills of teaching laboratory , and preparation of in structional materials. 2 hr.

408 Instructional Media. Demonstration and laboratory practice with lnstuctional Media used in the classroom and school system , including motion picture , film strip , slide and opaque projectors ; also tape recorders, record players, closed circuit television and video tape recorder. 2 hr. Each semester and summer.

409 Preparation of Instructional Materials. Prerequisite: Educ. 408 . Advanced techniques and skills in the preparation of classroom instru ctional materials, including 35 mm slides, super 8 mm motion pictures, film strips, audiotapes keyed to visual materials, models, mock-ups, and dioramas and closed circuit TV videotaping. 2 hr. On demand.

410 Student Teaching (Elementary). Prerequisite: Psych. 121, 201, and 401; Educ. 300 and 405. A practical application of principles of learning in the classroom. Progressive induction into full teaching responsibility at the elementary level. Students teach full time for nine weeks. Application for student teaching must be made at the end of the junior year. 8 hr. Each semester.

410s Seminar in Student Teaching (Elementary). Prerequisite: two years of successful teaching experience and 45 hours of college credit. One of the two years experience must have been during the past five years or two years within the past 10 years This experience must be certified by the city or county superintendent of schools with whom the candidate has worked. This course may be substituted for four hours of student teaching credit to meet the certification requirement. Application should be made to the Dean of the School of Education and Physical Education 18 weeks prior to registration. 4 hr. Summer only.

411 Student Teaching (Secondary). Prerequisite: Approval for professional semester. Experience in the application of sound educational theory py actually teaching students in the secondary school. All students who intend to be certified as secondary teachers are cautioned that the courses in the professional semester are integrated with student teaching and should not be taken in previous semesters. Applic ation for student teaching must be made at the end of the junior year 8 hr. Each semester.

415 Workshop. Work on practical educational problems of special interest to the students. The individual or group is expected to make a written report of his finished project which will be duplicated and made available to other members of the Workshop. 1 to 6 hr. Summer only.

109

EDUCATION AND PHYSICAL EDUCATION

Unit 3 - Science and Mathematics Unit 4 - Management . 2 hrs 2 hrs

EDUCATION AND PHYSICAL EDUCATION

423 Methods and Materials in the Education of Exceptional Children. Prerequisite: Approval. A study of the eva lu ation techniques, characteristics, objectives, curricu l a, special materials, facilities and techniques of instruction , along with the development of int egrated experience units at the primary, int ermediate , a nd pre-vo ca tional l eve l s. Section 1 - The Educable Mentally Handicapped: Section 2 - The Trainabl e Mentally Handicapped ; Section 3 - The Gifted; Section 4 - The Visually Handicapped. 3 hr.

435 Student Teaching (Exceptional Children). Prerequisite: Approval. Observation, l aboratory and teaching experience in the following areas of specia li zation: Section 1 - The Educable Mentally Handicapped; Section 2 - The Trainable Mentally Handicapped; Section 3 - The Gifted ; Section 4- The Visually Handicapped . 2-6 hr . Upon demand.

440G School Law for Teachers. This course includes a study of the origin and development of school law Emphasis is given to school laws and their application as they pertain to classroom teachers in Nebraska 3 hr. On demand.

441G Trends and Issues in Education. Prerequisite: Permission of in structor . The organization of learning experiences to deal effectively with individual differences and varied c urriculum patterns. Consideration of recent trends and research - programmed learning, team teaching , departmentalization, self-contained and un graded classroom , core program , use of special professional services, etc . 3 hr. On demand.

442G Readings in Education. Prerequisite: Permission of instructor . Class readings and discussion of selected art icles and books Emphasis on educational practices and their implications for the c lassroom teacher and adm inistrator 3 hr. On demand.

445G Principles and Techniques of Supervising Student Teachers. Prerequisite: Permission of instru cto r A co urse designed to prepare teachers to act as supervisors of student teachers 3 hr On demand.

450 Directed Study in Education and Psychology. Prerequisite: Junior or senior standing with permission of the instructor. Indi vidual study and research in depth on a topic jo intl y approved by the instructor and student. 1-3 hr. On demand.

PSYCHOLOGY AND GUIDANCE

121 General Psychology. A general education course which provides an introduction to the field of Psychology. Initi a l course for those preparin g as teachers or professionals in the field. 3 hr.

201 Human Growth and Development/Child Psychology. Prerequisite: Psych. 121 or app roval of in structor. Pr in c ipl es of human growth and development with consideration given to the basic philosophy underlyin g effective teaching. 3 hr. Each semester and summer.

110

202. Psychology of Childhood. Prerequisite: Psych. 121. A study of the pr i ncip l es of behavior in inf ancy and childhood, physical, social, emot i onal, intellectual and personality development from childhood to preadol escence 3 hr.

203 Psychology of Adolescence. Prerequisite: Psych. 121. The study of physical, social, emotional, intellectual and personality development of adolescents and discussion of problems peculiar to adolescence. 3 hr.

301 . Educational Psychology. Prerequisites: Psych. 121 and 201. The principles of psychology applied to educational practice with emphasis on the construction and use of advance organizers. 3 hr . Each semester and summer.

305 Social Psychol.ogy. A study of psychological principles app li ed in social situations, including human interactions, social needs, va lu es, cultufal relativism and the effects of group conditions on judgments and attitudes. 3 hr.

320 Introduction to Mental Retardation. Prerequisite: Psych. 201. A study of the socia l , emotional, physical and menta l characteristics of the mentally retarded chi ld . 3 hr.

325 Applied Psychology. Prerequisite: Psych. 121. Facts and principles from the study of human behavior applied to business, industry , society, professional life and group processes. 3 hr .

331 Psychology of Exceptional Children. Prerequisites: Psych. 121 and 201. A survey course covering the types , characterist ics, problems and needs of chi ldr en who are in some way exceptional. 3 hr.

340 Statistics in Psychology and Education I. A study of the methods of summarizing and interpreting data, e l ementary probability and its relation to distributions. 3 hr.

421 Introduction to Mental Hygiene. Prerequisites: Psych. 121 and 201. Hom e, schoo l and community factors in the adjustment of individuals. 3 hr.

430 Educational Measurements . Prerequisites: Psych. 121 and 201. The writing of objectives in behavioral terms, the construction of tests based on Bloom's taxonomy and the interpretation of test scores are discussed in this course. 2 hr. Each semester .

432 . Principles and Practices of Guidance. Prerequisites: Psych. 121 and 201. A general overview of the total guidance program. Principles and techniques are emp l oyed in estab li shing and maintaining an effective guidance program are emphasized 3 hr.

436 . Psychological Testing. Prerequisites: Psych. 301 and 330 In troduction to the methods and principles of psychological testing and survey of psychological tests and their use in such areas as business, industry, government and education. 3 hr

1 EDUCATION AND PHYSICAL EDUCATION

1 1

EDUCATION AND PHYSICAL EDUCATION

437 Techniques of Counseling. Pr erequisit es : Psych. 121 and 201. Various techniques of counseling and experience in using these techniques. 3 hr.

439 Administration of a Guidance Program. Prerequisite: Psych. 430. This course includes the setting up of a guidance program and the selectin g and directing of the guidance personnel . 2 hr . On demand.

PHYSICAL EDUCATION

(Men and Women)

A maximum of four c redits of varsity spo rts may be included to m eet the 125 semester hours of course credit required for degree purposes.

1 Folk Dance. Two hours attendance. 1 hr First semester.

2 Square and Social Dance. Two hours attendance. 1 hr. Second semester.

4 Golf. Five hours attendance. Fundamentals of grip, stance and swing. Factors in putting. Each student to furnish own equipment. Membership in Auburn Country Club required. 1 hr. Summer.

8 Beginning and Intermediate Swimming. Two hours attendance. Open to all classifications of swimmers or non-swimmer s. Red Cross certificates issued to those who pass Red Cross standards. 1 hr. Each semester.

9 10

Life Saving. Three hours attendance. One hour lecture and demonstration, two hours act ivity. American Red Cross Life Saving. 1 hr. Second semester. Tennis. Fundamentals of stroke, rules and strategy. Student must furnish tennis racket and three new balls. 1 hr. Each semester and summer.

11 Beginning Bowling. Two hours attendance . Fundamental skills and techniques are em phasized 1 hr. Men a nd Women.

200 Play and Games for Early Childhood. Indoor and outdoor play and rhythmical activities designed for the pre-school child in the nursery school environment. The physical , mental, social, and emotional development of children will be analyzed in terms of suggested play situations to meet the varied needs and abilities of this group. 3 hr.

201 Principles of Physical Education. Scope of the fielo of physical education and its relation to modern educational theory; history , principles of physical education furnished by the basic sciences and the philosophies of physi ca l education. 3 hr. First se mester

203 Gymnastics. (Tumbling, rebound tumbling and apparatus.) Three hours attendance. Instruction in tumbling, trampoline , mini -trampoline , side horse , vaulting box , high bar , parallel bar, and balancing. Uniform required. 2 hr. First semester.

112

205 Health. A study of the function and care of the human body in hea l th and disea se, and the harmful effects of stimulants and narcotics. 3 hr. Each semester and summer.

215 First Aid. Amer ican Red Cross First Aid course and Medica l Self He l p course. 3 hr. Each semester and summer.

309 Organization and Administration of Programs in Physical Education and Recreation. Consideration of genera l principles of adm i nistrative techniques and responsibi l ities are re lated to fie l ds of Physica l Education and Recreation. 2 hr . First semester.

310 Physical Education in the Primary Grades. The se l ection and organization of materials and techn i ques of instruct i on for the primary grades. 2 hr. First semester.

311 Physical Education in the Intermediate Grades. The selection and organization of materials and techniques of instruction in the intermediate grades. 2 hr. Second semester.

312 Kinesiology and Anatomy. Study of bones, body movements, muscle action and joint mechanics in relation to P E activities; common postural defects and joint injuries. 3 hr. First semester.

320 Special Methods in Physical Educ;ation. Prerequisite : Jun i or standing and admission to teacher education. An analysis of the techniques used today in the teaching of health and physical education 2 hr Second semester

350 Independent Study in Physical Education. An in-depth study of an issue selected by the student. Must"be approved by department chairman. 1 to 3 hr. Arranged.

410 Health Programs. Required for area of concentration in Physical Education. Prerequ isite : P.E. 205. A study of the structure and functions of the various health agencies at the national , state, and local levels. 2 hr. Second semester.

416 Tests and Measurements in Physical Education. A study is made of the various tests and measurements in the field of physica l education 2 hr First semester.

417 Corrective and Adapted Physical Education. An overview of corrective and preventive physica l education in relation to the who l e program. Consideration of adaptations necessary to provide satisfying and effective programs. 2 hr Second semester.

419 The Organization and Administration of Physical Fitness Programs. To provide orientation in the phi l osophy and skil l s required for the development of physical fitness programs. 3 hr. Summer.

425 Current Problems in Physical Education. Discussion and reporting of current issues in the area of physical education. 1 hr. Eac h semester

EDUCATION AND PHYSICAL EDUCATION

113

EDUCATION AND PHYSICAL EDUCATION

426 Physical Education for the Exceptional Child. Genera l survey of the exceptional c hild , hyperactive, mentally retarded , physical l y handicapped, and the development of a c urriculum of adapted physical activities ga mes , sports. and rhythms to en h ance l earning ab iliti es. 3 hr

(Men)

90 Varsity Sports. Requires suc cessf ul participation in a varsity sport. (Four hours maximum a ll owed to count for degree credit.) 1 hr.

101 Physical Education for Men. Two hour s attendance required Uniform required. Activities: archery, badminton, and wrestling . 1 hr. First semester .•

102 Physical Education for Men. Two hours attendance required. Uniform r equired Act iv itie s: tumbling , weight training a nd go lf 1 hr Seco nd semester

207a Theory of Football . Two hours c l ass attendance. 2 hr. First se me ste r.

207b Theory of Basketball. Two hours class attendance. 2 hr. First semester

207c Theory of Track. Two hours c l ass attendance. 2 hr. Second semeste r .

207d Theory of Baseball. Two hours class attendance. 2 hr. Seco nd semester.

216 Minor Sports I. Three hours attendance required. A study of the history , strategy, a nd techniques invo lved i n archery, badminton, and wrest l ing 2 hr. First semester

217 Minor Sports II. Three hours attenda n ce required. A study of the history, strategy, and techniques invo lved in tumbling, weight training, and golf. 2 hr. Second semester.

300 Prevention and Treatmer.t of Athletic Injuries. Nature and causes of injuries incident to the physical activities of chi l dren and athletes 2 hr. Second semester.

308 Principles of Officiating. Two hours class attendance , two hours of lab. Officiating techniques in footba ll and basketbal l. Study of ru l es. 3 hr First semester.

400 Advanced Techniques in Physical Education for Men I. Prerequis ite : P.E. 216 Required of al l men with areas of concentration in Physica l Education. A practicum invo l ving laboratory exper i ences in P.E. 101. 1 hr. First semester.

401 Advanced Techniques in Physical Education for Men II. Prerequisite: P.E. 2 17 Required of a ll men with areas of co ncentrat ion in Physica l Education. A practi c um invo lving lab oratory experiences in P.E. 102. 1 hr. Second se mest er.

418 Administration of lnterschool Athletics. Includes a history of the development of at hleti c programs, a study of various nationa l and state athl etic organizations, the r o l e of athletics i n education, a nd the responsibilities of the athletic director. 2 hr. Second se mester

114

3 Modern Dance. Fundamental rhythmic techniques and their application in creative dance. 1 hr. Second semester

5 Body Mechanics . Tumbling, apparatus, trampoline and posture Emphasis on efficient use of body in all movements. 1 hr. First semester.

103 Physical Education for Women I. Two hours attendance required. Activities: badminton , archery, and gymnastics. 1 hr. First semester.

104 Physical Education for Women II. Two hours attendance required. Activities: basketball , volleyball, and golf. 1 hr. Second semester.

218 Basic Skills for Women I. Three hours of attendance required. A study of the history, strategy and techniques involved in badminton, archery, and gymnastics. 2 hr. First semester.

219 Basic Skills for Women II. Three hours of attendance required. A study of the history, strategy and techniques involved in basketball , volleyball, and golf. 2 hr. Second semester .

402 Advanced Techniques in Physical Education for Women I. Prerequisite: P.E. 218. Required of all women with majors in Physical Education. A practicum involving laboratory experiences in P.E. 103. 1 hr. First semester.

403 Advanced Techniques in Physical Education for Women II. Prerequisite: P.E. 219. Required of all women with majors in Physical Education. A practicum involving laboratory experiences in P.E. 104 . 1 hr. Second semester.

RECREATION

220 Recreation Leadership. History, theory, and philosophy of recreation. Practical techniques of leadership for low organization activities. 2 hr. First semester.

221 Outdoor Recreation. Emphasis placed on basic skills related to camping and other outdoor activities. 2 hr Second semester.

315 Community Recreation. The theory and significance of recreation. Interpretation of functions, objectives, program content, and operational techniques in community recreation. 2 hr. Second semester.

316 Youth Organization. Important youth organizations are studied in detail. Theories of organization are reviewed. History, principles and purposes of the major youth service organizations with emphasis on leadership techniques and programming. 2 hr. First semester.

317 Social Recreation. Theories and practices of various types of recreation programs are discussed Programs for various social events and gatherings are developed emphasizing functions of planning, program development , and implementation. 2 hr. Second semester

EDUCATION AND PHYSICAL EDUCATION

(Women)
115

HUMANITIES

318 Industrial Recreation. An insight into phi l osophies of industry re l at i ve to recre at ion . A study of the recreational programs currently u sed in industry. Direct study of area industrial recreational programs i s provided. 2 hr . First semester.

320 Camping. Introduces students to the theory and practice of camping, camp objectives, organization, administration, leadership, and program development will be considered. Labo ratory work will include development of camping skills such as coo kery , campfire activities, map, and compass work. 2 hr.

405 Seminar. Special assignments made by the instructor relative to new areas in recreation. 1 hr.

406 Recreation Research. Prerequis ite P.E 405 Invest i gation of l ega l , financial, personnel , public relations, political, and philosophical problems of management of federal, state, and l oca l government agencies in the field of recreation. 1-3 hr.

460 Recreation Internship. Prerequisites: al l required Rec. courses. A practical a pplicat i on of the principles of recreation . The int e rnship will be offered during the summer . Students wi l l be p laced in public or industrial recreation programs to work with leaders, dire c tors , and supervisors in the field . 8 hr.

School Of Humanities

FINE ARTS

ART

101 Drawing I. Landscape , still life and perspect ive co mposition study using a variety of drawing media. 3 hr . Each semester.

102 Drawing II. Prerequisite: Art 101. Continuation of Drawin g I with emphasis on figure drawing and improving of techniques. 3 hr.

111 Lettering. Single stroke, Roman and manuscript a l phabets, poster design, color study, and commercial techniques. 3 hr Each semester.

318 Art History II. A study of eighteenth, nineteenth , and twentieth century art in the western world . 3 hr. Second semester.

400 Studio Activities. Prerequ i site: Consent of instructor. Suggested for advanced art students wanting to gain additional competence in a particular area. The student may choose to do additional work in his area of interest. 1-6 hr. All art majors are required to arrange at lea st oneha l f of a student show.

203 Design I. Exploring the use of line, form and co l or with emphasis on color theory. 3 hr. First semester.

204 Design II. A study of three dimensional design using a variety of med i a . 3 hr . Second semester.

116

210 Water Color Painting. Prerequisites: Art 101 , 102, 203. Composit i ons in color, using opaque, and transparent water color. 3 hr. Second semester.

221 Printing Processes .. History of the graphic arts of block printing, etchin g, lith ography, and silk screen printing. Reading on the techniques of each process, followed by the making of prints in three or more of the methods. 3 hr. Second semester

300 Ceramics. Experiences in coil, s l ab, and thrown projects. In c lud es a bas i c study of glaze preparation and clay ana l ys i s. 3 hr. Second semester.

305 Methods and Supervision. Prerequisites: Art 101, 103 , and 203 or 204. Study of relation of art education to other school subjects. 2 hr. Second semester.

306 Art Appreciation. Planned to give some standards of measurement for art. Study of art principles in connection with crafts, painting, scu l pture, and architecture. 2 hr. Each semester .

308 Art Exploration. A survey of the history and philosophy of art in the elementary schoo l. 3 hr.

310 Sculpture. Prerequisites: Art 203 and 300 . Experiences in three dimensional form using a var i ety of materials such as clay, wood. and stone . 3 hr.

311 Painting I. Prerequisites: Art 101 , 203. A study of techn iqu es and med i a used in paint in g. Studio activit i es are developed from student research in at l east three sty l es of painting. Media emphasized are acry lic and/or oil. 3 hr.

312 Painting II. Prerequisites: Art 101, 203, and 311. Painting sti ll lif e, figure, and l andscape compos iti ons, using severa l d iff erent o il techniques. 3 hr.

317 Art History I. A study of pa intin g, scu lptu re, architecture, and minor arts from ancient times through the Renaissance. 3 hr. First semester.

COMMERCIAL ART

211 Lettering II. Prerequisite: Art 111. Cont inu ation of Lettering I w ith emphasis on creative l ettering and advertis in g. 3 hr.

301 Drawing Ill. Prerequisites: Art 101 and 102. Problems involved w i th deve l oping, rendering , and illu stration techniques. 3 hr.

303 Package Design. Emphasis placed upon the designing of packaged products in commercia l art. 3 hr.

304 Commercial Layout. Prerequisite: Art 203. A study of the organizat i on of visua l materials in commerc i a l art. 3 hr.

117 HUMANITIES

HUMANITIES

MUSIC

19 Chorus. Daily. Open to a ll co ll ege students with consent of the instructor. Performance and study of representative chora l works of a ll periods. 1 hr. Each semester.

21 Concert Wind Ensemble. Three hours attendance This organization is primarily a concert organizat i on. During the year, concerts are presented both on and off campus. 1 hr. Each semester .

28 Choral Ensemble. A select membership for the study and performance of chora l works for sma ll groups. 1 hr. Each semester.

29 Instrumental Ensemble. (Stage and Pep Band.) This organization functions primarily as a pep band and for the performance and the study of popu l ar music. 1 hr . Each semester.

100 Fundamentals of Music. The rudiments of music , in cluding l etter and sy ll ab l e names of notes, time va lu es of notes and rests , time, and key signatures, chromatics, intervals, chords , keyboard experience , and the writing of origina l melodies. 3 hr.

101 Theory. An integrated course which includes sca l es , intervals , harmonic progressions, modality, modulation , seventh chords, figured bass, ear training , and sight singing. 5 hr.

102 Theory. Prerequisite: Theory 101. Irregular resolutions, diminished sevenths, secondary dominants, ninth, eleventh and thirteenth chords, altered chords, chormatic harmony, and creative work. 5 hr.

107 Class Piano. Limited to students having no prior study of the piano. Development of ability to read music and to play pieces and songs. 1 hr. Each semester.

108 Class Voice. Tone production, placement. group and individual performance of songs requiring basic technique. 1 hr. Each semester.

109 Class Guitar. Open to al l students Basic chords, melodies, note reading, and styles. Advanced material for experienced performers 2 hr. First semester.

120 Piano, voice, woodwind, brass, string, percussion, and organ. In strument study on the fresh man level. May be repeated.

205 Elementary Music Materials. Study of reading, chi ldr en's music literature, tonal and rhythmic problems. 2 hr.

206 Secondary Music Materials. Vocal and instrumental problems of secondary schoo l s, methods and materials. 2 hr.

208 Class Strings. Basic study of the vio lin , v io l a, violonce llo , and str in g bass. 2 hr. Alternate years.

220 Piano, voice, woodwind, brass, string, percussion, and organ. Instrument study on the sophomore level. May be repeated.

118

301 Counterpoint. Two and three part eighteenth century style, descant, and invention. 2 hr.

302 . Advanced Counterpoint. Canon and fugue, creative work. 2 hr.

304 Woodwinds. A study of woodwind instruments, with actual playing experience. 2 hr. Second semester, alternate years.

305 Brass and Percussion. A study of brass and percussion instruments with actual playing experience. 3 hr. Second semester , alternate years.

307 Form and Composition. Prerequisites: Theory 101, 102, 203, 204. Analytical study of the different forms and styles in music and their application in composition. 2 hr. First semester, alternate years.

309 Introduction to Music Therapy. An orientation course presenting a survey of effective therapeutic uses of the elements of music. 3 hr.

311 Music Appreciation. Various forms and styles of music , ranging from folk song to opera, oratorio and symphony, analyzed and discussed through the use of records. 2 hr. Each semester.

313 Music tor Recreation. Practical guide for the planning and execution of music programs for community recreation, camping, correctional and clinical institutions, senior citizens, industry, and the armed services. 2 hr. First semester.

320 Piano, voice, woodwind, brass, string, percussion, and organ. Instrument study on the junior level. May be repeated.

404 Instrumental and Choral Conducting. Knowledge of baton techniques, reading and interpretation of instrumental scores, choral problems of intonation, tone quality and balance , and knowledge of the periods of music as they relate to choral music. 3 hr.

405 History of Music. The development of music from antiquity to the present, with stylistic analysis of music examples. Extends to the Classical Period. 3 hr. First semester.

406 History of Music. From the Classical Period to the present time. 3 hr. Second semester , alternate years.

407 Advanced Composition. The writing of original compositions , both vocal and instrumental. Arranging for band and orchestra. 2 hr. Second semester, alternate years .

408 . Instrumentation . Practical scoring for band and orchestra. Required of candidates for the A.B. in Education degree in Music. 2 hr. First semester, alternate years.

409 Senior Recital. A 30-minute public recital is required for the Bachelor of Arts in Education, and a full recital is required for the Bachelor of Fine Arts in Education. 1-2 hr.

119
HUMANITIES

HUMANITIES

420 Piano, voice, woodwind, brass, string, percussion, and organ. Instrument study on the senior level. May be repeated.

440 Marching Band Techniques. Techn i ques and problems, planning shows and other public appearances. 2 hr. First semester.

HISTORY AND SOCIAL SCIENCE

ECONOMICS

220 Principles of Economics. Elementary concepts with emphasis on money, banking, savings, insurance, production, distribut i on, taxation, va l ue, price, capital, and labor. 3 hr First semester.

221 Principles of Economics. Prerequisite: Economics 220. Consideration of wages, interest, rent and profits; personal distribution of income; consumption; monopolies; agriculture; government taxation and expenditures; international trade; and comparative economic systems. 3 hr. Second semester

222 Contemporary Economic Problems. Prerequisites: Economics 220 and 221. Analysis of major economic problems relating to wage and income distribution, money and credit, business cycles, domestic and international trade and tariffs. 3 hr. Second semester .

333 Economic History of United States. U. S. economic history from colonial times to the present. 3 hr.

350 Public Finance. Prerequisites: Econ. 220 and 221. A critical analysis of the capital i stic economic systems followed by a survey and critica l analys i s of socia li sm and commun i sm. 3 hr. Second semester.

375 Labor and Industrial Relations. Econ. 220 and 221. Labor, management and government as they are interrelated involving col l ective bargaining , labor laws , and wage theories 3 hr.

380 Environmental Economics. Prerequisites: Econ. 220-221. An economic ana l ysis of the environmenta l crisis and possible so luti ons. The role of the market system and its fai lur e to compensate for the suffering generated by a highly advanced society. 3 hr.

470G Special Problems in Economics. Prerequisites: Econ. 220 and 221. Designed to provide an opportunity for a student to do advanced independent study in economics based upon his individual needs and interests. 1-4 hr.

HISTORY

113 American History to 1865. Discovery and exploration, colonization, the Revolution, and the U.S. and its problems until the end of the Civ il War 3 hr. First semester

114. American History after 1865. Reconstruction, the last frontiers, the rise of big business, imp er ia li sm, and the role of the U.S. in two World Wars and their aftermaths 3 hr. Second semester.

120

201 World Civilization to 1500. A survey of the be g innings of civi liz ations in the great river valleys and th eir diffusion to later civi li zations in the Middle East and Europe Particular attent i on w ill be given to the cu ltura l and political in stitutions of the We st, which furnish our own cu ltu ral heritage. 3 hr. First semester.

202 World Civilization after 1500. The rise and decline of European predominance will be ana l yzed, with emphasis upon the major socia l , political, and economic id eologies and instit uti ons that evolved . 3 hr. Second semester.

301 Colonial America. Co l onia l rivalry between the Spanish, French , Engli s h , and Dutch in North America ; the Revolution, and U. S. hi story to 1823. 3 hr.

302 U.S. in the Nineteenth Century. The U. S. from 1823 through Manifest Destiny and the Civi l War down to the War with Spain. 3 hr .

303 U.S. in the Twentieth Century. The U. S. in modern times , with emp h asis upon the changing socia l and economic theories of the period, and the internal forces that influen ced it s development ·3 hr.

329 History of Nebraska. A survey of the political , eco n omic, soc ial, a nd const ituti onal development of Nebraska from prehistoric times to the present. 2-3 hr .

333 Latin America. The evolution of the states of modern Latin America following their independence , their political and economic development and their int ernat i ona l relations. 3 hr.

343 English History from 1688. A survey of the social, political, and economic development of England s in ce the Gl or iou s Revolution. Covers the soc i al and reli g ious impact on the development of th e English Parliamentary system, the effects of the Indu strial Revolution upon the British Empire, and the prospects of the modern welfare state on contemporary England. 2 hr.

344 Social and Cultural Europe 1500-1815. A historical description and ana ly sis of European society and culture from the Renaissance to the Congress of Vienna. Particular attention will be given to correlate the fine arts and literature to the rise of national states, absolut i sm, and religious developments . 3 hr.

345 Modern Europe. A comparative historical ana ly sis of the ongoin g process of modernization in Europe. Emphasis on movements and institutions such as Lib eral ism, Conservativism , Romanticism, Socialism, Imperialism, and Totalitarianism. 3 hr.

361 Non-Western Civilizations. A broad survey of the Sov i et Union and of the principal areas of the Middle East. Asia, and Africa, with parti c ular emphasis on contemporary socia l , political and econom ic developments. 3 hr.

121 HUMANITIES

HUMANITIES

400 Methods in History and Social Science. Instruction in the methods of teaching hi gh schoo l history and social sciences. 2 hr. Second semes t er

411G American Frontier. The importance of the frontier in American history from co l on i a l times to the 20th Century. 3 hr.

426G American Constitutional Law. Prerequisite: Pol. Sci. 201 or 202 or instructor's permission. A study of the historical and politica l context of the cases Traces co nstituti o n a l doctr i ne through major decisions Emphasis on const itutional growt h that re l ates c l ose l y to the fund amental str ucture of the American government and social order 3 hr.

455 Twentieth Century Russia. An a naly sis of the socia l and cu ltural , po litical, and economic evo lu tion o f Russia under the Tsars throug h the Bolshevik Revolution, and the formation of the Soviet Uni on to the present. 3 hr .

467 The Far East. Co ncerned with political traditions a nd historical evolutions of the member states of this area, the impact of the West and it s profound influ ences on po l itical order , and the issues that come to the fore in t oday's revo l utionary and fluid situation. 3 hr.

470 Independent Study in History. Prerequisite: junior or sen i or standing, with adequate preparation in the fie l d and in st ru ctor's permission Individua l instruction in the techniques of historical research , w ith eithe r exte n sive readin gs and reports or a term paper required Recommended for students contemp l ating grad u ate work in history. 1 to 3 hr

PHILOSOPHY

201 Introduction to Philosophy. An in troduct ion to philosophy through se l ected writing from some of the outstand in g philosopher s , c l ass i cal and current. Lectures and c l ass discussions on such topics as ethics , phi l osop hy of hi sto r y, phi l osophy of rel i gion, and metaphysi cs . 3 hr.

300 Social Ethics. A study of mora l s a n d princip l es for ju dging human action and responsibility . 3 hr .

301 Philosophy and History of World Religions. Tr aces the hi stor i ca l orig in s and philosophies of the world's major re l igions and their developments. 3 hr.

400 Independent Study. Open to seniors and seco nd semester juniors. Individua l study of issues and topics of current importance cu lmin at in g in a research paper or the development of a mode l or proje c t. 1-3 hr .

POLITICAL SCIENCE

201 American National Government. Th e government of the Unit ed States, its origins, philo sop hy, a im s a nd powers. 3 hr.

202 American State and Local Government. The nature and extent of gov -

122

ernment of the state and local levels and its contributions to the political life of the nation. 3 hr.

301 Comparative Government. A comparison and analysis of political systems and institutions of the major countries. 3 hr .

426G American Constitutional Law. Prerequisite: Pol. Sci. 201 or 202 or instructor's permission. A study of the historical and political context of the cases. Trace constitutional doctrine through major decisions Emphasis on constitutional growth that relate closely to the fundamental structure of the American government and social order. 3 hr.

467 The Far East. Concerned with political traditions and historical evolutions of the member states of this area, the impact of the West and its profound influences on political order, and the issues that come to the fore in today ' s revolutionary and fluid situation. 3 hr.

470 Research Topics in Government. Prerequisites: junior or senior standing, with adequate preparation in government and history, and the instructor's permission. Individual research into a chosen aspect of government or political theory, with either extensive readings and reports or a term paper required 1 to 3 hr. On demand.

SOCIAL WORK

360 Social Work. Prerequisite: Soc. 201. A study of the social milieu from which the field of social work has emerged. The major agencies currently involved in social work and the types of social work practiced in the United States. 3 hr.

380 Introduction to Social Work Methods. Prerequisite: Soc. Work 360 and permission . Principles of practice in social group work and community organization. Emphasis on how people are helped through interaction in a small group and on the process of group and community problem-solving techniques. 3 hr.

430 Field Work Practicum. Prerequisite: Soc. Work 380 and permission. Supervised experience in social work . 3 hr.

SOCIOLOGY

100 Social Science. An infegrated, interdisciplinary survey course in the social sciences designed to cover in-depth current topics from different social science perspectives. The course will be team-taught by the history and social science instructors. 3 hr.

201 Principles of Sociology. Culture and its relations to specific social problems. The social institutions of American life in relation to population changes, ethnic groups and major problems of social policy. The social consequences of social control in the metropolitan world. 3 hr.

250 Community Organization. Prerequisite: Soc. 201. Major differentiating characteristics, with special emphasis on the urban community, basic

123 HUMANITIES

HUMANITIES

patterns of social and ecologica l organization, and factors co ntributing to community integration and disorganization. 3 hr.

300 Contemporary Social Problems. A seminar in which a student selects a specific contemporary soc ial issue for research and analysis. Research reports are presented to a nd discussed by the members of the seminar. 3 hr.

301 Practicum. Open to anyone with sophomore or higher standing . Training and experience i n leading discuss i on groups. Approval of department head necessary . 1-2 hr .

320 Social Psychology. Prerequisite: Soc 201. Ana l ysis of processes i nvolved in the interact i on between person and group, inc; l uding the dynamics of group influence on personal behavior and the impact of personal variable s on the functioning of primary and secondary groups in contemporary society. 3 hr.

340 The Family. Prerequisite : Soc. 201. The role of the family i n contempor a ry society, factors influencing trends in family structure, functions, ro l es, stab i lity, and their imp l ications for both the community and individuals at varying stages of the family lif e cycle. 3 hr.

350 Juvenile Delinquency - Criminology and Penology. Prerequisite: Soc. 201. An analysis of the na ture , extent, causes, and methods of de l inquency and crime, including an analysis of programs of institutional treatment and rehabi li tation. 3 h r.

370 . Ethnic-Group Relations. Prerequisite: Soc. 201. The nature of minority groups and their distr i bution in American society; and an examinat i on of the m elting pot concept vs. the p l ural i stic society. 3 hr .

420 . History and Introduction to Modern Sociological Theory. Prerequis ite: Soc. 201 and perm i ss i on. An overv i ew of the ear l ier socio l ogical theorist s and the i r contributions to current sociological theor i es 3 hr.

440 Internship. Prerequisite: 12 hours of Sociology and permission , Desi g ned to give credit for active job experience re lating to soc i o l ogy. 1-8 hr.

470 Independent Study in Sociology. Prerequis ite: Soc. 201 a nd permission . Topi cs to be chosen and inve st i ga t ed in cons ultatio n with individual instructor. 1-3 hr

LANGUAGE ARTS

ENGLISH

101 English Composition. A study of the principles of clear and effective expression as applied to the sentence, paragraph, and the who l e composition A review of grammar, me c hanic s, and correct usage. Tra i ning in organization, and the writing of short and l ong papers. Required course fo r a l l freshmen. (Note: Students who rank at the 85th percen-

124

tile or hi g h er on the English portion of the ACT may be excused from Eng 101.) 3 hr . Eac h semester.

202 Appreciation of Literature. Ge n era l educat i on requirement designed to in crease the stude nt 's apprec i at ion w ith emp has is on modern forms 3 hr. Each semester

203 Children's Literature. A surv ey of ch ildr en's lit erature tracing the history from ear li est times to modern literature. 3 h r. First semester

208 Advanced Writing. Spec i a l project for third hour . St udy of descr iption , n arrat i o n , expos ition , a nd poetry as rhetorical forms w ith extensive practice in wr itin g. 2 hr Second semester.

222 The Hellenic-Hebraic Tradition. Prerequ i sit e: English 202. An introdu ction to the ro ots of English Literature in Gr eek, Roman, a nd Hebrew lit erature. 3 hr. Second semester.

225 Short Story. Major emphas i s on the development of t h e short story in America. 2 hr Fir st semester.

234 Beginning Journalism. Prerequisite: Ability to type The fundamental principles of gat h er in g and wr itin g news wor k on The Pedagogian, the co ll ege n ewspaper . 3 hr . Each semes t er.

301 Traditional Grammar. Des igned to provide st ud ents with a sou nd and comprehensive knowledge of traditional grammar: nomenclature, punctuation , se nten ce str ucture, and ana ly s is . 2 hr.

302 . English Composition. Pr ereq ui site: Eng. 101 a nd juni or stand in g. Further training in theme writing, with emp h as i s on organ izat ion and researc h , practice in the u se of lo gic, and evid ence to s uppor t ge n era lizat ion s . Required co ur se for a ll junior s. 3 hr. Each se m ester.

305 Practicum in Composition. A study of the relationship of suc h factors as the study of grammar, reading l eve l , a nd li sten in g sk ill s to a st udent's ab ilit y to write eff ect iv ely. 3 hr. Each semester.

306 Nebraska Literature. Pr er equ isite: co n sent of the department. An introduction to the works of Nebraska writers a nd lit erat ur e a b o ut Nebraska. 2 hr. Second semester.

317 Chaucer. The fourteenth century as revea l ed by Ch aucer a nd his contemporaries. 2 hr. First semester.

318 Neo-Classical Writers. Th e philosophy and est h et ics of the ei ghtee nth cen tury as reflected in the m ajor writers. 3 hr. Second semester.

321 Romantic Period. Ch aracter i st ics of Romantic Period wr it ers, as reflected in Pre-Romantics, s u ch as Blake and Burns. Chi ef emp h as i s i s on the m aj or Romantic poets, with some atte ntion to the novel a nd the Ballard Revival. 3 hr. Fir st semeste r.

125 HUMANITIES

HUMANITIES

322 Continental World Literature. Emphasis on a few major pieces of cont inental literature (chiefly novel) from the Renaissance to the present. A st udy of the writer as thinker and the literature as a mirror of the times. Dostoevsky, Tolstoy, Flaubert , Volt aire, Mann, a nd Cervantes are among the authors studied 3 hr First semester.

323 Victorian Period. Nineteenth cent ury England as seen by her major poets and novelists; some attent ion given to prose writers. 3 hr. First semester.

324 American Literature I. A historical survey of significant American writin g from the Colonial Period to 1865. Major writers receive c hief emphasis. 3 hr. First semester.

325 American Literature II. A continuat ion of English 324 from 1865 to the present. 3 hr. Second semester

328 Modern Poetry. A study of British and American poetry of this century and its relevance to contemporary lit erat ur e and life. 2 hr. Second semester.

405 . Teaching English and Speech. This co urse is a study of the a ims, objectives, and scope of English and speech in the curr icu lum Resources suc h as textbooks. film li sts, specia l equipment. records, charts, and tests are examined and eva lu ated. Recent teaching techniques are explored. 2 hr. Second semester.

418 Shakespeare. A study of repre se ntative plays and sonnets. (Credited as either English or Speech.) 3 hr. Second semester.

425 Modern Grammar and Linguistics. An introd uction to historic a l , descript iv e. and structura l lin guistics as an aid to the under sta nding of modern concepts a nd philosophies of grammar . 3 hr. Second semester.

435 . Advanced Journalism. Prerequisite: Journ. 234 Advanced principles of reporting with emphas is on feature-writing and depth reporting; continued work on Co ll ege newspaper , The Pedagogian. 3 hr. Second semester.

440 History of the English Language. A study of the growth of modern Engli sh through examination of changes in the sounds, forms, and syntax that have occurred in the l anguage and the development of vo ca bul ary 2 hr. Fir st semester.

441 Pre-Shakespearean Drama. The development of drama and theatre through c las sical and n ative c hannels to their cu lmin ation in Elizabethan drama (Credited as either English or Speech.) 2 hr. First semes ter.

442 Post-Shakespearean Drama. Focus i s on the major dramatists s ince Shakespeare. (Credited as either English or Speech.) 3 hr. Second semester.

126

450 Directed Studies in English. Open only to seniors with an over-all G.P.A. of 7 in the field of English. Must be in excess of the minimum (36) hours required for field of specialization Designed to enable gifted students to investigate independently an area of interest , particularly when the area is not covered by one of the formal courses. Each semester .

JOURNALISM

226 Photography I. Two hours classwork and two hours of laboratory per week. Theory and practice in the basic fundamentals of photography including composition , exposure , lighting, developing, contact printing , and enlarging. The third hour credit gained by additional assignments. Each student must have a camera. 2-3 hr. Each semester.

234 Beginning Journalism. Prerequisite: ability to type. The fundamental principles of gathering and writing news; practice in reporting campus news ; work on The Pedagogian, College newspaper. 3 hr. Each semester.

235 Newspaper Editing . Prerequisite: Journ. 234. Credit not to exceed a total of four hours. An intensive course in journalistic desk work that includes copy preparation, headline writing, page layout; extensive work on The Pedagogian desk. 2 hr. Each semester

237 Graphic Arts. Six hours laboratory. Study and practice in basic processes of printing and allied industries, including work in letterpress, silkscreen printing, bookbinding, rubberstamp making, and goldleaf stamping. 3 hr. Each semester.

325 Photography II. Lens testing, infra-red photography, high speed photography , portraiture, use of negative and positive color films, color printing, and oil coloring of prints. 2-3 hours. On demand.

329 Advertising. A study of the planning and preparation of advertisements, the selection of appropriate advertising media and agencies , and the role of advertising in the total marketing program. 2 hr. On demand

337 Yearbook Editing and Management. Intensive work in financing , planning, and production of The Peruvian, College yearbook. Students may repeat the course for a total of not more than four hours credit. 2 hr.

400 Internship in Journalism. On the job practice with one of the area newspaper offices. Students will have work experience with the various phases of journalistic work. Written and oral reports of these experiences are to be presented by the student to the Beginning and Advanced Journalism classes. (Credit not to exceed two hours in any one semester.) 2-4 hr. Each semester and summer.

127 HUMANITIES

HUMANITIES

401 Journalism Practicum. Credit not to exceed one credit hour eac h semester. Prerequisites: student sho uld have comp leted the required co urses for a Journalism m a jor (Eng. 234, 235, 435) before taking J ourna lism Practicum. Practicum students will be involved in the production of the co llege new spaper and yearbook , and will assist in coming journ a li sm major s adjust to their journalisti c responsibilitie s. 1-6 hr. Each semeste r.

425 Advanced News Photography. Prerequisites: Journ. 234 , Journ. 226, Journ 325. Advanced principles of new s photography. Course work in c lude s taking, d eve lopin g, printing , and preparing photo graphs for publication. Emphasis is on recogn ition of the dramatic photograph and its preparation for publication. 2 hr.

435 Advanced Journalism. Prerequisite: Journ. 234. Advanced principles of reporting, with emphasis on feature writing and depth reportin g; continued work on College newspaper, The Pedagogian. 3 hr. Second semester

LIBRARY SCIENCE

216 . Selection of Library Materials. Survey of a ids, principles, and standards in selection of book s for a sc hool library, c ulminatin g in a basic co llection either elementary or seco ndary. 3 hr.

300 Reference . Principles and problems in organizing reference sources and materials , with special emp h as is on the nature, preservation, ava ilability , and reference use of prima~y and secondary sources. 3 hr.

315 Selection and Preparation of Non-Book Materials. The course will cover the se le ct ion , preparation , eva luation, organization, and utilization of non -pri nt materials. 3 hr .

317 Library Reading Guidance . Principles and practices in readin g characteristics of approp riate books for c hildren of average or exce ptional ab ility, individual and group gu id ance, development of reading interests. 3 hr .

MASS COMMUNICATIONS

100 Introduction to Mass Communications. The nature, function, and responsibilities of communications agencies, including newspapers, radio and television, film, and advertising; the services that the mass media perform for society and the role of the media in ce nsorship , persuasion , and propaganda. 2 hr.

101 Drawing I. Landscape, still life an d perspective com position study, using a variety of drawing media. 3 hr. Each semester.

102 Drawing II. Prerequisite: Art 101. Continuation of Drawing I with emphasis on figure drawing and improvin g of techniques. 3 hr.

128

103 Film and Slide Making. A basic course in f il m and sl ide making for specific communication purposes. Filmmak i ng wi l l be emphasized. 3 hr.

111 Lettering. Sing l e stroke, Roman and manuscript a l phabets, poster design and color study, commercial techniques. 3 hr. Each semester.

152 Fundamentals of Speech. The principles of speech. Development of bod i ly freedom, distinct utterance, and i mproved oral communication. Includes fundamenta l process of exce ll ent speech habits and the diagnosis and treatment of elementary speech defects 3 hr. Each semester and summer.

203 Design I. Exploring the use of l i ne, form and color with emphasis on color theory. 3 hr. First semester .

204 Design II. A study of three dimensional design using a variety of media. 3 hr. Second semester.

208 Advanced Composition. Specia l project for third hour. Study of description, narration, exposition, and poetry as rhetorical forms with extensive practice i n writing. Individual talent and general writing abi l ity are developed through critiques and student-instructor conferences. 2 hr. Second semester.

210 Water Color Painting. Prerequisites: Art 101, 102, and 203. Compositions i n color, using opaque and transparent water color. 3 hr. Second semester.

226 Photography I. Two hours classwork and two hours of laboratory per week. Theory and practice in the basic fundamenta l s of photography inc l uding composition, exposure, l ighting, deve l oping, contact pr-inting , and enlarging. The third hour credit gained by additional assignments. Each student must have a camera. 2-3 hr. Each semester.

234 Beginning Journalism. Prerequisite: ability to type. The fundamental principles of gathering and writing news; practice in reporting campus news; work on The Pedagogian, Co ll ege newspaper. 3 hr. Each semester.

235 Newspaper Editing. Prerequisite: Journ. 234. Credit not to exceed a tota l of four hours. An intensive course in journalistic desk work that includes copy preparation, head l ine writing, page layout; extensive work on Pedagogian desk. 2 hr. Each semester .

237 Graphic Arts. Six hours l aboratory Study and practice in basic processes of printing and allied industries, including work in letterpress, silkscreen printing, bookbinding , rubberstamp making, and goldleaf stamping. Also beneficia l for those interested i n journalism. 3 hr. Each semester.

254 Public Speaking. Train i ng in effect ive methods of adapting composition and de l ivery to var i ous types of audiences. A study is made of the forms of address, impel l ing motives, speech ends, speech organiza-

129 HUMANITIES

tion, composit ion , and del iv ery. Practice is g iv en in gathering, choosing, working and mastering speech materials. Direct and purposeful conversational delivery for the purpose of communication is stressed. 3 hr Each semester.

260 Introduction to Radio and Television. An int roduct i on to radio and television as communication media. In troduction to modern facilities and practices. Laboratory projects related to both media. 3 hr. Second semester.

300 Communications Law_ The laws regarding media responsibility , placing the l egal problems of media work in a practical context; li be l , contempt, constitutiona l guarantees , access to public records · , the invasion of privacy, criticism, and copyr i ght. 3 hr.

311 Painting I. Prerequisites: Art 101, 203. A study of techniques and media used in painting. Studio activities are developed from student research in at l east three styles of painting . Media emphasized are acry lic and/or oil. 3 hr.

312 . Painting II. Prerequisites: Art 101, 203, and 311 Painting st ill life , figure and landscape compositions, usin g sev era l different o il techniques. 3 hr.

325 Photography II. Lens testing , infra-red photography, high speed photography, portraiture, use of negative and positive color films, color printin g , and oil coloring of prints. 2-3 hr.

329 Advertising. A study of. the planning and preparation of advertisements, the selection of appropriate advertising media and agencies, and the role of advertising in the total marketing program. 2 hr. On demand.

337 Yearbook Editing and Management. Int ensive work in financing, planning, and production of the Peruvian, College yearbook. Students may repeat the course for a total of not more than four hours credit 2 hr.

345 Conference Leading . A course enab lin g one to lead a conference in business and industry . Students will learn to make a conference plan , analyze conference problems , draw information from the group, and bring the conference to a conclusion by formulating recommendations for a plan of action. 3 hr. On demand.

357 Interpretative Reading. Designed to emphasize meaningful oral reading of worthwhile literature in group and solo situations . The course will include close, critical analysis of the practice se l ections, as well as study and practice of the basic techniques inv o l ved in delivery. 2 hr.

403 Forensics Practicum. Prerequisites: Speh 152 , 258 Credit not to exceed one credit hour each semester. Practicum students wi ll participate in varsity debate and ass i st novice debaters in preparat ion of cases 1-4 hr Each semester.

130
HUMANITIES

408 Instructional Media . .Demonstration and laboratory practice with Instructional Media used in the classroom and school system including: motion picture , film strip, slide and opaque projectors; also tape recorders, record players, closed circuit television, and video tape recorder. 2 hr. Each semester and summer.

409 Preparation of Instructional Media. Prerequisite: Educ. 408. Advanced techniques and skills in the preparation of classroom instructional materials including 35-mm slides, super 8-ryim motion pictures, film strips, audiotapes keyed to visual materials, models, mock-ups, dioramas. and closed circuit TV videotaping. 2 hr . On demand.

415G Speech Composition. Prerequisite: senior standing. The speech purpose: the divisions of the speech; the vocal use of words; the form of address. 2 hr. First semester.

435 Advanced Journalism. Prerequisite: Journ 234 Advanced principles of reporting, with emphasis on feature writing and depth reporting; continued work on College newspaper, The Pedagogian. 3 hr. Second semester

SPEECH

152 Fundamentals of Speech. The principles of speech. Development of bodily freedom , distinct utterance, and improved oral communication Includes fundamental process of speech correction and development, with emphasis on the development of excellent speech habits and the diagnosis and treatment of elementary speech defects. 3 hr Each semester and summer.

254 Public Speaking. Training in effective methods of adapting composition and delivery to various types of a udiences. A study is made of the forms of address, impelling motives, speech ends, speech organi'zation, composition, and delivery. Practice is given in gathering, choosing, working and mastering speech materials . 3 hr . Each semester.

255 Beginning Acting. A study 1rnd application of principles of dramatic interpretation with particular emphasis on personality development; the development of creative imagination; analyzing and playing a part; an intensive training in pantomime, posture, movement, stage business , body control, vocal control , dialogue and characterization. 3 hr. First semester.

258 Debate. Basic theory and practice of argumentation, tne conventions of debate, parliamentary procedure, and the analysis of questions 3 hr. Second semester.

260 Introduction to Radio and Television. An introduction to radio and television as communication media Introduction to modern facilities and practices Laboratory projects related to both media. 3 hr Second semester.

131 HUMANITIES

HUMANITIES

300 Summer Theatre Workshop. Practical t r a inin g in a ll aspects of theatre product i o n: act in g, se t design , li g htin g, costuming , make - up , improvisation, music , and dancing. Pu b li c performance every wee k e nd Offe r ed both sessions, no prerequisites , may be taken e ith er or both sess i o n s for a t ot a l of s i x hour s c r ed it. Three h o ur s cred it per sessio n .

353 Speech Correction and Development. The physiolo g ic a l factors involved in o r a l commu ni cat ion, the genet ic basis of speec h and de~elo pm ent of exce ll ent speech habits in the indi v idu al. Diagno s is and treatment of s peec h defects . 3 hr . Eac h semester.

355 Stage Craft. A co ur se for th e dire c tor of dr a m at ic s in sc h oo l s a nd com muniti es. It a nsw e r s the fund amen t a l questions pertaining t o p l ay se le c ti on, casting, d ir ecting, ste ps in r e h ea r sa l, sce n ery , li g htin g, costu m e, m a k e- up, and b u s ines s o r ga ni za tion. 3 hr First se m es ter.

357 Interpretative Reading Des i g n ed to e mph as i ze m ea nin gful ora l reading of wo rthwhil e lit e ratur e in g roup a nd so l o situations . Th e course will incl ude c l ose, c rit ica l ana lys is o f the practice select i ons, as we ll as st udy and practice o f the basic techniques inv o l ved in delivery . 2 hr. Fir st se me ste r.

359 Advanced Debate. Prerequisit e: Speech 258. Advanced for ensi c th eo ry and pr actice; psychology of persuasion; rhetoric of argum e nt at ion; the co nstru ct ion of br i efs; analysis of ev i dence; and judging debate. 3 hr. First se m es ter .

360 Play Directing. Prerequisite: Speec h 355 A st ud y a nd a ppli ca tion of the theories of pl ay direction. 3 hr Second se me st e r

362 Psychology of Speech . An invest i gatio n into the process of speech as a form of co mmunic at ion Attention will be g iv en to th e psyc h o l ogical field , socionomy, ge ner a l semantics, a nd g roup dynamics 3 hr. Second se m este r.

400 Theatre History. Thi s course will exa m i n e th e nature, pr act i ce, fun ction, and li terature of th e theatr e from it s be g innin gs to the present day. The approac h w ill co n s ist of a st udy of eac h of the major per io d s in theatre hi sto ry a nd representative plays o f that peri od. 3 hr

401 Teach ing Speech in the High School. A study of a im s, objectives , a nd sco pe o f s peec h in th e c urri c ulum. Reso ur ces suc h as t ex tbo oks, film li sts, spec i a l equipment, s upplie s, re co rd s, charts, and te sts a r e examin ed a n d evalua t ed . 2 hr. Secon d semester .

402 Theatre Practicum. C redit not to exceed one credit hour each se me st er . Pr act icum stud ents will partic i pate in acting, directing, ad v er tising , lighting , construct i ng sets, a nd other ac tivitie s as in structed b y the Dir ec tor of The atre. 1-4 hr. Eac h semester.

132

403 Forensics Practicum. Prerequisites: Speh 152, 258 Credit not to exceed one credit hour each semester. Practicum students will participate in varsity debate and assist novice debaters i n preparation of cases 1-4 hr. Each semester.

415G Speech Composition . Prerequisite: sen i or standing. The speech purpose; the div i s i ons of the speech; the voca l use of words; the form of address. 2 hr. First semester.

School Of Natural Science

BIOLOGICAL SCIENCE

101 General Biology (Plant). Two hours classwork. Two or three hours laboratory A basic course in botany 3 hr. Each semester.

102 General Biology (Animal). Two hours c l asswork. Two or three hours laboratory. A basic course in zoology. 3 hr Each semester.

203 Invertebrate Zoology. Prerequisite: B i ology 102. Two hours classwork and two to three hours l aboratory Structure, classif ication, and relationship of the invertebrate anima ls. 3 hr. First semester.

204 Vertebrate Zoology. Prerequ i site: B i ology 102 Two hours c l asswork and two to three hours of l aboratory The anatomy , deve l opment , and phylogeny of the vertebrates. 3 hr. On demand.

301 Microbiology. Prerequisites: Biology 101, Chemistry 101 and 102. Two hours classwork and two to three hours of laboratory per week. An introduction to microbiology. 3 hr. On demand .

304 Comparative Anatomy. Prerequisites: Bio l ogy 102 and 203 or pem ission. Two hours c l asswork and two to three hours of l aboratory per week. The anatomy of the shark, salamander, and cat. 3 hr. Second semester.

306 Morphology of the Lower Plants. Prerequis ite : Bio l ogy 101. Two hours classwork , two to three hours laboratory . Structure, anatomy and form of the l ower p l ants, and their effects on man. 3 hr. First semester.

307 Morphology of the Seed Plants. Prerequis ites: Bio l ogy 101 and 306. Two hours c l asswork, two to three hours laboratory Form and structure of the seed plants and their econom i c va l ue. 3 hr . Second semester .

310 Biological Readings. Prerequisite: 12 hours of science. Work is done under the guidance of the i nstructor through a series of written reports and conferences . May not be used to meet science requirements. 1-3 hr. By arrangement only.

133 NATURAL
SCIENCE

NATURAL SCIENCE

311 . Evolutionary Theory. A course designed to acquaint the student with the various theories regarding evolution. 1-2 hr.

402G Independent Study in Biology. Permits students to do advanced work in various fields of biology. Prerequisite: The background to do the work and the abi li ty to do extensive , individual study. Permission of the instructor required for registration. 1-3 hr. On demand.

404G Genetics. Prerequisite: 15 hours of biology. Three hours classwork. The principles of heredity. 3 hr. Second semester alternate years.

405G Histology. Prerequisite: 15 hours of biology. One hour c l asswork and at least four hours of laboratory per week. A detailed study of the microscopic anatomy of mammalian organs. 3 hr. On demand.

406G Embryology. Prerequisite : 15 hours of selected biology courses. Two hours classwork and three or more hours of laboratory . Embryology as exemplified by the frog, the chick, the pig, and man . 3 hr. On demand .

407G Human Physiology. Prerequisite: At least two courses in anima l bio l ogy. A detailed study of functions of human organs. 3 hr. On demand.

408G Modern Biology. Three hours classwork and demonstrations. Prerequisite: 15 semester hours of bio lo gy 3 hr Second semester alternate years.

CHEMISTRY

101 General Chemistry. Three hours classwork and two hours laboratory. The fundamentals of chem istry Non-metals and their compounds For those who have not had high school chemistry 4 hr. First semester

102 General Chemistry. Prerequisite: Chemistry 101. Three hours classwork, two hours laboratory. Application of the fundamentals of chemistry, metals, and their compounds, and an introduction to organ i c and analytical chemistry. 4 hr. Second semester.

205 Principles of Qualitative Analysis. Prerequisit e: Chemistry 102. Two hours classwork, six hours laboratory Principles of qualitative ana lysi s and their appl i cation in the laboratory. 4 hr. First semester, a lt ernate years.

206 Principles of Quantitative Analysis. Pre r equisite: Chemistry 205. Two hours classwork , six hours laboratory. Principles of quantitative analysis and their application in the laboratory. 4 hr. Second semester, alternate years.

209 Introductory Organic Chemistry. Prerequisite : Chemistry 101. Two hours c l asswork, three hours laboratory. The fundamentals of organic chemistry, covering both aliphatic and aromatic chemistry, with emphasis on those phases of the course which may be applicable to nursing and home economics . 3 hr. On demand .

134

303 Organic Chemistry. Prerequisite: Chemistry 102. Three hours classwork, three hours laboratory. Compounds of the aliphatic series. 4 hr. First semester, alternate years.

304 Organic Chemistry. Prerequisite: Chemistry 303. Three hours of classwork, three hours of laboratory. A continuation of Chemistry 303 with further intensive study of aromatic series, dyes, hormones, vitamins, and drugs. 4 hr. Second semester, alternate years.

305 Organic Preparations. w,tn tne consent of the instructor, the student may take extra laboratory work Tn the synthesis or organic compounds. 2 hr. Second semester, alternate years

310 History and Literature of Chemistry. Prerequisite : 13 hours of approved chemistry The work to be done under guidance of the instructor through a series of conferences and reports. 1-4 hr. By arrangement.

312 Physical Chemistry. Prerequisites : Physics 201 and 202 Chemistry 102 and 206 Physical laws of chemistry and their application in the laboratory. Three hours classwork. 3 hr On demand.

401 Independent Study in Chemistry. Prerequisites : Chemistry 101, 102, 205, 206, 303 and 304. A laboratory course in which the student, with the guidance of the advisor, selects and conducts a research project culminating in a prepared paper. 1-4 hr . On demand.

GENERAL SCIENCE

201 Biological Science. Two hours classwork and two to three hours of laboratory per week. An integrated course covering the various phases of natural science. 3 hr. Each semester.

202 Physical Science. Two hours of classwork and two or three hours of laboratory per week. An integrated course covering the various phases of physical science. 3 hr. Each semester.

205 The Principles of Biological Science. An integrated course specifically designed for the non-science student, covering the various phases of man ' s biotic world, by a variety of learning experiences in demonstrations, experimentation and visual aids. Does not apply on the major or support in biology. 3 hr. Each semester.

206 The Principles of Physical Science. An integrated course specifically designed for the non-science student, covering the various phases of man's physical and chemical world. Experiences in a variety of learning situations, such as demonstrations, experiments , instructional television and other visual aids. Does not apply on the major or support in physical science

301 Earth Science. Prerequisite: Junior or senior standing. 6 hours of laboratory science. A course dealing with the physical aspects of our environment, including astronomy, climatology, meteorology, geology, and oceanography. 3 hr.

135
NATURAL SCIENCE

NATURAL SCIENCE

331 Elementary School Science. Three hours attendance . Objectives, content, and methods of teaching science i n the elementary grades 3 hr.

343 Concepts in Modern Science. A course designed to provide basic information on the recent trends of the various scient i fic disciplines. 3 hr

430G Environmental Science. A workshop designed to provide an understanding of the ecological problems confronting modern man and proposed techniques for their solution. 3 hr.

476 Methods of Teaching Science and Mathematics. Fi rst and second semester. Objectives, content and methods of teach i ng science and mathematics in the high school. 2 hr.

498G Process Approach to Science. A course designed to deve l op techniques in presenting science through basic processes such as time/space re l ationships, classifying, communicating, predicting hypothesis, exper i mentation, and interpreting data. 3 hr.

499G Aerospace Science. A workshop designed to provide an understanding of aerospace developments which are vital to our social, economic and political environment. 3 hr.

GEOGRAPHY

101 Principles of Physical Geography. An introductory study of the relationships of man and environment, with emphasis placed upon cl i matic regions of the world. Two hours lecture, two-hour laboratory. 3 hr.

103 Cultural Geography. The study of the cultural elements of the landscape, with emphasis on the origin of man, migration, sett l ement, and the economics of man. Two hours lecture, two hours laboratory. 3 hr.

206 Geography of Nebraska and the Great Plains. Prerequisite: Geog. 101. A correlation of the physical and historical base of the state's present agriculture, manufacturing, and service industries 3 hr.

208 World Regional Geography. Prerequisites: Geog. 101 and 103. A study of the major regions of the world, with particular attent i on to how man has utilized the earth's resources from area to area This course is particular l y designed for the teacher who cannot enroll in a complete geography program. Lecture and lab 3 hr.

300 Geography of Asia. Prerequisite : Geog 101. A regional study of the major countries of Asia, with emphasis upon relief, c l imate, resources, government, and industrial development. 3 hr

305 Economic Geography. Prerequisites: Geog. 101 and 103. An analysis of world land resources, agricultural products, forest and marine resources, basic mining industries , manufa c turing , tr a de patterns , and transportation routes. 3 hr.

310 Geography of Africa. Prerequisite: Geog . 101. A geographica l analysis of the continent. Emphasis is placed upon recent spirit of nationa l ism and the economic and physical base of selected nations. 3 hr

136

311 Urban Geography. Study of the origin, distribution, int erna l structure and functions of urban developments, with emphas is on l ocat ion features of econom i c a nd c ultur a l phenomena. 3 hr.

312 Geography of Anglo-America. Prerequisite: Geog. 101 or sen ior standin g. A study of the Unit ed States and Canada by natural regions. In each case an evaluation of the physical and economic base wi ll be made in the li ght of present econom i c deve lopm e nt . 3 hr .

313 Geography of South America. Prerequisite: Geog. 101. The geographic regions of South America ana ly zed in their natural, political and economic settings. The econom i c relations between South America and the United States . 3 hr. First semester .

314 Reading in Geography. Prerequisite, 12 hours of geography . Work i s done under the gu id ance of the instructor through a series of written reports and confere n ces 1-3 hr. By arrangement only.

326 Conservation of Natural Resources. An eva lu ation of so il , water, minera l, forestry, fish, air, and recreation resources in order to develop an apprec iat i on of their importance and the ser iou sness of the problem. 3 hr.

403G Special Problems and Techniques in Geography. Designed to provide an opportunity for students to experiment with and l earn new techniques in geography instruction based upon the individual needs and interest of each student. For teacher educat ion cand id ates. 2 hr. Second semester.

404G History and Philosophy of Geography. Prerequisites: Geog. 101 and 103 . A study of the basic philosophies of geograp hy in c lu d in g the st udy of the hi story of geograph ic thought from ancient to modern times. 2 hr.

411G Field Geography. Prerequisite: Geog. 101. An intensive course of training in the geograph ic field methods and in the direct appl ication of geograph ic principles to important problems in se l ected d i stricts Two hours l ecture, l aboratory by arrangement. 2 hr.

470 Independent Study.in Geography. Prerequisite: junior or senior standing , with adequate preparation in the field and the instructor's permission Individu al instruction in the techniques of geographic research, with either extensive readings and reports or a term paper required. Highly recommended for students contemp l ating graduate work in geography 1 to 3 hr.

494 Current Topics in Geography . A geographic s·tudy of current topics genera ll y inv olv in g such subjects as pollution, space geography, agr icu ltura l geography, geography of transportation, geography of primary production, and rocks and minerals. These courses to be g iven on demand, but only one topic 494 to be g iven each semester. 3 hr.

137
NATURAL SCIENCE

NATURAL SCIENCE

495 Regional Topics in Geography. A study of world areas by physical division, with emphasis on the interrela t ionship between cultural and physical features of each region. Course topics selected from the following regions: Middle East, Southeast Asia, U.S.S R , Asia , Middle America, South America, Australia, and the Islands, Eastern Europe and Western Europe. Only one topic course 495 offered each semester. 3 hr .

499G Political Geography. Prerequisites: Geog. 101 and 102. Geography as a factor in the differentiation of political phenomena in various parts of the world. The modern state in relation to its environment and the interrelationship of nations as a result of their geographical st rengths and weaknesses. 3 hr

GEOLOGY

201 Physical Geology . An introduction to the theories of the earth's origin, the study of the earth's structure and materials with special emphasis on rocks , minerals, and landforms. Three hours lecture, two hours laboratory. 4 hr. First semester.

202 Rock and Minerals. An introductory course to the study of the physical properties of rocks and minerals; stressing field work at mineral and rock localities in S.E. Nebraska 1-3 hr

203 Introduction to Fossils. An introductory course to methods of interpreting the fossil record; fossils as evidence of the history of life; evolution of form and structure, mainly in the study of invertebrate species; through actual field work at fossil localities in S.E Nebraska. 1-3 hr.

210 Physiography of the United States. Prerequisite s: Geog. 101 and 103. A regional study of landfor'm· provinces, with special emphasi s on the relationship between landform s, climate, soils, vegetation, and mineral resources. Three hours lecture , two hours laboratory. 4 hr.

301 rlistorical Geology. Geological history of the earth and the evolution of its animal and plant inhabitants. Will include work at fossil localities in S.E. Nebraska, utilizing stratigraphic methods. Thre e lectur e periods, one two-hour lab. 4 hr.

304 Meteorology and Climatology. The physical factors intluencing the climate with practical work in interpre t ing meteorological records and forecasting. Two hours lecture, two hours laboratory 3 hr.

314 Reading in Geology. Prerequisite, 12 hours of geology. Work is done under the guidance of the instructor through a series of written reports and conferences. 1-3 hr By arrangement only

MATHEMATICS

10 Elementary Descriptive Statistics. Organization and representation of data. Normal distribution , measures of central tendency, and variation. Prerequisite: Non-mathematics major or minor. 1 hr .

138

Probability. Permutations, combinations, probability, odds, and games of chance. Prerequisite: Non-mathematics major or minor. 1 hr.

30 Logic and Sets. Statements truth tables, connectives, symbolic proofs, and relationship of logic and sets. Prerequisite: Non-mathemati cs major or minor. 1 hr.

40 Geometry. The study of geometric concepts from an intuitive approach. Prerequisite: Non-mathematics m a jor or minor. 1 hr.

50 Practical Trigonometry. Right triangle tri gono metry, law of sines, law of cosines, and applied problems. Prerequisite: Non-mathematics major or minor. 1 hr.

60 Surveying. Prerequisite: Math 50 or equivalent Fundamental theory and practice, use of transit , U.S . Public Land Surveys, and field office work . Will be counted toward a math major or minor. 1 hr.

70 Slide Rule and Logarithms. This course gives the student skill in the use of the slide rule and logarithms. Recommended for science majors. Can be used on a math major or minor. 1 hr.

80 Mathematics Appreciation. A course of mathematical reasoning, sequences, functions, and graphs . Prerequisite: Non-mathematics maior or minor. 1 hr.

90 Basic Mathematics. Open only to students ranking below the 30th percentile as measured by the American College Test. The course includes the basic mathematical skills and concepts, along with computations and applications in personal living . Credit does not apply on mathematics major. 3 hr. Each semester.

101 College Algebra. Prerequisite: one year of high school algebra. For terminal students or those who spe~ifically need algebra in certain pre-professional programs. Fundamental algebraic principles and subsequent algebraic processes. This course not to be taken for credit by students who have completed Math. 105 . 3 hr. First semester.

102 Introduction to Data Processing. An introduction to the concepts and basic features of electronic computers. An overview of the makeup of computer systems and of the structure and usage of computer languages is presented. FORTRAN IV is used to illustrate the course and give the student direct computing experience. 3 hr. First semester.

105 Fundamentals of Mathematics. A course intended for the student who plans to pursue a college program requiring a substantial amount of training in mathematics. The content of this course includes an introduction to symbolic logic and set theory of applications. a study of the number system, elementary theory of groups and fields , an introduction to the function concert, and study of algebraic functions . 5 hr. First semester.

20
139
NATURAL SCIENCE

106 Fundamentals of Mathematics. Prerequisite: Math 105 Co nt ent incl u des th e study of trigonometric, expo n ent i a l and logar ithmi c funct i ons, and i ntroduction to ana l ytic geo m etry, and some ca l c ulu s. 5 h r. Second se m ester

200 Basic Concepts of Mathematics. An introdu c t i o n t o th e various number bases and the deve l opment of co n cepts fundamental to each. Other topics included are: elementary set theory, a l gebra, geometry, and problems related to the f i e ld of business; does not app l y on the mathem at i cs major. 3 hr. Second semes t er.

204 FORTRAN Programming. Prerequisite: Math 102 or consent of instructor. The FORTRAN IV Lan g uage and it s app li cat i on to problem solving i s discussed in detail The st ud e n t's wo rk includes a n a l yz in g a problem a nd dev e l oping a program re lative to hi s fi e ld of int e re st. 3 hr. Second semester.

300 Alegbraic and Geometrical Concepts. Prerequisite: Math 200 or permission. A co ur se dealing w it h a l geb rai c and geometr i ca l co n cep t s. Spec if i c topics in clude l og ic, sets , pos iti ve a nd n egat i ve numbers, equat i ons and inequalities . Geometric phases in c l ude measurements, space, plane , line and properties of su c h closed curves as the tri ang l e, rectangle, and circ l e, as we ll as other fi g ur es w ith t h e ir properties deve l o ped intuiti ve l y; does n ot a ppl y on the mathematics major. 3 hr. First semester.

304 Modern Geometry. Prerequisite: 10 h ours of mathematics. A co ur se designed primarily to prepare m a th ema ti cs t eac h e r s for dealing w ith a modern high schoo l mathematics program. A point set approach to geometry . 3 hr. A lternate years.

309 Calculus with Analytic Geometry . Prerequisites: Math. 105 and 106 o r equ iv a l en t. Th e course in c lud es the st ud y of ana l ytic geo m et ry , functions, limi ts, cont inui ty, ve l ocity, d iff erent i at i on, in verse o f d iff ere n t i ation, second derivat ives , maxima and minima, as we ll as ot h er related topics. 5 hr. First se m ester.

310 Calculus with Analytic Geometry. Prerequisite: Math. 309 or eq uiv al ent. Topics in c lud e trigonometric functions , ant id er ivat ives, th e def inite int egra l , three-dimensional figures, trans l atio n and rota tion, expone nti a l fun ct ion s. hyperbolic functions, int eg r a tion , po l ar coo rdinates, and related topics. 5 hr. Second semester.

311 Independent Study in Mathematics. Prerequis i te: 1 5 hours in mathematics . By perm i ssion only . Spec i a l ass i gnments, projects and reading to be a rr a n ged . 1-2 hr.

312 Calculus Ill. Prerequisites: Math. 309 a nd 310 or equ iv a l e nt. Designed to g iv e the st ud ent a review of calc ulu s a nd app lyin g it to complex problems in m at hem at ics. 3 hr First se m este r

340 Statistics. A st udy of the methods of summar iz ing a nd interpr et in g data, e l eme nt ary probability, a nd its r el ation to distributions. The

140
NATURAL SCIENCE

meanings, importance, and appl i cations of the normal and binomical distributions. The methods of random samp lin g, test in g of hypotheses, analysis of paired data, and interpretation of standard i zed test scores . 3 hr . Second semester.

342 . Concepts and Techniques of Modern Mathematics. Prerequisite: Math. 200 or permission. A seminar course designed to give basic information in the teach in g of modern mathematics in the e l ementary schoo ls and to incorporate the latest concepts and techniques in this instruction. This course does not apply toward mathematics specia li zation at the secondary level , and is open on l y to those who are pursuing an e l ementary program. 3 hr. On demand.

406 Modern Algebra. Prerequisites: Math 105, 106, 309 and 310 or equivalent. A study of various a l gebraic systems arising in modern mathematical computat i ons. Content includes a study of sets, mappings and operations, relations, development of real numbers systems, integral domains and fields, polynomial domains, and comp l ex number fie l d 3 hr. A lternate years

407 Modern Algebra. Continuation of Math. 406. A study of groups, vector spaces, lin ear transformations and matrices, lin ear equations and determ in ants, lin ear algebras, rings and Boolean algebras. 3 hr. Alternate years.

416 Differential Equations. Formation of differential equations, equations of high order, lin ear equat i on w ith constant and var iab l e co-efficients, partial differentiation, app li cation of geometry, mechanic s, and physics. Student must have proficiency in ca lcu lu s. 3 hr. On demand.

417G Introduction to Real Analysis. Prerequisite: Math. 310. Topics included are number, limits, convergence, continuity differentiability, the Riemann integral, sequences, series, and special functions of the Rea l Calculus. 3 hr. Second semester.

418G Linear Algebra. The theory of lin ear transformations in vector spaces, the representation of linear spaces in matrices, linear functionals, and the app li cation of these concepts. 3 hr. First semester.

419G Topology. A modern treatment of topology with emphasis on fundamental concepts and principal results of homology theory, topologica l spaces, linear graphs, set theory, metric interpretation, as well as other related topics. 3 hr. Alternate years.

PHYSICS

201 General Physics. Prerequisite: Mathematics 105. Three hours classwork, two hours laboratory, Mechanics, sound, and heat. 4 hr. First semester

202 General Physics. Prerequisite: Physics 201 or permission. Three hours classwork, two hours laboratory. Light. e l ectricity, and magnetism. 4 hr. Second semester

141 NATURAL SCIENCE

NATURAL SCIENCE

302 Analytical Mechanics. Prerequisites: Physics 202 and Math 310. The development of the principles of mechanics by the use of ca lcu lu s a nd vector ana lysis. 3 hr.

304 Elements of Optics. Prerequisite: Ph ysics 202. Three hours c l asswork , two hours laboratory. Geome tric a l optics, physical optics, quantum optics , optical in struments, and polarization. 4 hr.

306 Astronomy. A basic course dealing with a study of the heavenly bodies, the solar system, and the universe. Teles cop i c observation i s a part of this co urs e 3 hr On demand

307 Introduction to Modern Physics. Prerequisites: Physics 202 and Chemistry 101. Three hour s c lasswork , two hours l aboratory. Atomic and nuclear relativity, Bohr atom theory, quant um theory, X-rays, nuclear in struments, . r adioactiv it y ; nuclear reactions, a nd· el ementary partic l es. 4 hr .

310 History and Literature of Physics. Work to be done under the gu id ance of the in structor through a ser ie s of reports and conferences . 1-2 hr. Each semester and summer. By arrangement .

328 Electronics. Prerequisite : Physics 202. See 1. A. 328 .

341 Electromagnetic Theory. Prerequisites : Physics 202 and Math 309, Electric and magnetic theory, wave propagation, A.C. and D.C. circuit theory, magnetic in duction, dielectrics, Gauss' law , and Maxwell's equations. 3 hr .

400 Thermodynamics. Prerequisites: 15 hours of physics and Math 310. A study of temperature and thermometry, the l aws of thermodynamics and their applications, and an introduction to kinetic theory 3 hr

401 Independent Study in Physics. Individu a l projects of a laboratory and l ibrary nature for qualified physics st ud ents By specia l permission only. 1-3 hr.

142

Board Of Trustees Of The Nebraska State Colleges

James A. Lane

J Alan Cramer

Ward H. Reesman ..

Term Expires 1975

Term Expires 1975

Term Expires 1977

Robert Walker , Chairman . . . . . . ..

Term Expires 1977

George Egermayer . .. . ..... . .. ........... . . . .. . ... Omaha

Term Expires 1979

William Colwell . .. ........... .... . . .. .... . ... Hay Springs

Term Expires 1979

Cecil E. Stanley, ~tate Commissioner of Education Lincoln

James E. Todd, Executive Officer .. Lincoln

College Personnel

ADMINISTRATIVE

DEANS School

SUPPORTING STAFF

Ogallala . . Wayne Falls City
Kearney
OFFICERS President (acting) ......... .. ... .... . ... . . Max G. Smith Vice President for Business and Finance ........... ..... . ... . .... .. Frank Bowers Vice President for Student Affairs . . . . . . Guy L. Rosenberg
of Applied
...... C. V. Siegner
of
ion (acting)
. Robert Creamer
Clyde J . Barrett
John C Christ
Arts and Technology
School
Education and Physical Educat
. . .
School of Humanities ................ ...
School of Natural Science
Registrar . . . . . . . . . . . . . Kelly J . Liewer Director of Fin anc ial Affairs Alan F. Shipley Associate Dean of Students Juanita Bradley Director of Admissions and Counseling Thomas S. Stone Director of Financial Aid and Placement .. Donald G. Miller 143
TRUSTEES

PERSONNEL

Admissions Counselor

Gary Hoemann

Business Office Manager . Kenneth T . Gress

Director of Specia l Services . Ben J . Rogge

Director of Athletics (actin g ) Jack McIntire

Director of Health Services

Virgini a Miller

Director of Instructional Media Center .... . Paul Kruse

Director of Summer Schoo l Progr a m Kelly J. Liewer

Director of Physical Plant

George Wendel

Librarian . . . Faye M. Brandt

Assistant Librarian

Reference Librarian

Director of Data Processing

Director of Student Teaching .

Housemother, Delzell Hall

Housemother, Morgan Hall

Housemother , C layburn - Mathews Hall

Housemother , Davidson-Palmer Hall

Reserve Housemother

Reserve Housemother

Director of Student Center

Manager of Bookstore

Manager of Food Service

Director of Intr amura l Athletics

FACULTY

Sharon Mccaslin

Paul Kruse

.........

Stanley Mccaslin

Lloyd Kite

Mrs. Mary Kunkel

Mrs Jessie Trenhaile

Mrs . Florence Johnson

Mrs. Elsie Johns

Mrs Loretta Lutt

Mrs . Helen Allgood

Mrs. Ardie Chapin

Mrs. Angie Lammie

Merle Huber

Jerome Stemper

(Date indicates year in which service at Peru began .)

Clyde J. Barrett ( 1965)

Ed.D., University of Arkansas , Fayetteville, Dean. School of Humanities. Associate Pr'Jfessor of English

John Barrett (1972)

M.A., University cf Northern Co l orado , Greeley, Instructor of English

Russell C. Beldin (1970)

M.S ., Mankato State College , Minnesota, Assistant Professor of Business Education

144

Frank Bowers (1972)

Ph.D., Wayne State University, Detroit, Vice President for Business and Finance and Professor of Business Administration

Juanita Bradley (1956)

M.A., George Peabody College for Teachers, Nashville, Tennessee, Associate Dean of Students, Associate Professor of Education

AlhArt 0. Brady (1957)

M A ., University of South Dakota, Vermillion, Associate Professor of Biological Science

Faye M. Brandt (1960)

M.A.L.S., Denver University, Colorado, Librarian, Associate Professor of Library Science

Everett W. Browning (1969)

M.S., Kansas State University, Manhattan, Instructor of English and Journalism

Edward G. Camealy (1960)

M.S., University of Illinois, Champaign - Urbana, Director of College Choir , Associate Professor of Voice

Donnell E. Cattle 1 (1967)

M.Ed., Colorado State University, Ft. Collins, Assistant Professor of Industrial Arts

John C. Christ (1946)

Ph.D. University of Bari, Bar i, Italy, Dean, Schoo l of Natural Sciences, Professor of Biology

Robert C. Creamer (1970)

Ed.D., University of Tulsa, Oklahoma, Acting Dean, Schoo l of Education, Associate Professor of Education

Gavin Doughty ( 1960)

Ph D., University of Iow a, Iowa City, Chairman, Department of Fine Arts, Associate Professor of Music

Tom J. Fitzgerald (1967)

M.S . , Kansas State Teachers College, Emporia, Acting Chairman, Department of Physical Educat ion , Assistant Professor of Physical Education, Assistant Football and Head Baseball Coach

145 FACULTY

FACULTY

Frank Fretheim 2 (1972)

M. S., Mankato State Co ll ege, Minnesota, In structor, lndustria I Arts

Kenneth T. Gress (1969)

B.A., Peru State College, Nebraska, Business Office Manager

John Hahn (1968)

M.A., University of Minnesota, Minneapolis, Assistant Professor of Political Science

Jack Hamilton (1972)

M.S., Kansas State College, Pittsburg, Instructor, Vocational Business Education

Wreath ea Hicks ( 1968)

M.A ., Kansas State Teachers College, Emporia, Instructor of English

Gary Hoemann (1972)

B.S., Peru State Co lleg e, Nebraska, Admissions Counselor

Vicki Jacobitz (1972)

B.S., Kansas State University, Manhattan, Instructor, Home Economics

D. V. Jarvis (1948)

M.E., Colorado State University, Fort Collins, Associate Professor of Indust ria l Arts

Victor N. Kingery (1967)

M.S., University of Mississippi, University , Assistant Professor of Physics

Lloyd B. Kite ( 1960)

Ed.D , George Peabody College for Teachers, Nashville, Tennessee, Director of Student T eaching, Professor of Education

Louise Kregel (1957)

M S., University of Nebraska, Lincoln, Assistant Professor of Home Economics

Pau1Kruse(1969)

M.S . , Emporia State, Kansas, Reference Librarian, Director of Instruction a l Media Center, Assistant Professor of Library Sc ien ce

146

William D. Landis (1972)

Ed . D., University of Nebraska, Lincoln, Associate Professor of Education

James D. Levitt (1948)

M.A., University of Denver, Colorado, Associate Professor of English and Speech

Robert Lewellen (1972)

M.S., Northwest Missouri State, Maryville, Instructor, Business Administration

Kelly Liewer (1968)

Ed.D ., University of Nebraska, Lincoln, Registrar

DarylC.Long(1967)

Ph.D., University of Nebraska , Lincoln, Assistant Professor of Science and Mathematics

Sharon Mccaslin (1971)

M.L., Kansas State Teachers College, Emporia, Assistant Librarian

Stanley Mccaslin (1971)

M.S . , California Institute of Technology, Pasadena, Instructor of Data Processing

Jack McIntire (1956)

M.S ., Peru State College, Nebraska, Acting Director of Athletics, Assistant Professor of Physical Education, Head Football, Basketball and Track Coach

Lyle C. McKercher (1959)

M.S., University of Iowa, Iowa City, Associate Professor o1 Mathematics

Patricia Manley ( 1972)

M.S., Kansas State College, Pittsburg, Instructor of Speech and Theatre

William L. Miles (1970)

M.A., Long Beach State College, California, Instructor of Sociology

Donald Miller (1969)

M.S., Kansas State University, Manhattan, Director of Financial Aid , Instructor of Educational Psychology

147 FACULTY

FACULTY

Virginia Miller (1970)

B.S., Peru State College, Nebraska, College Nurse

Vincent Monseau (1972)

M A., West Virginia University, Morgantown, Head Wrestling and Assistant Football Coach, Assistant Professor of Physical Education

Ervin R. Pitts (1964)

Ed . D., University of Missouri, Columbia, Head Golf Coach, Professor of Health and Physical Education

Ben J. Rogge ( 1972)

B.S., Peru State College, Nebraska, Director of Special Services

Guy L. Rosenberg (1966)

Ph.D., University of Iowa, Iowa City, Vice President for Student Affairs, Associate Professor of Psychology

Lester Russell (1956)

Ed.D., University of Nebraska, Lincoln, Professor of Industrial Arts

Bonnie R. Rutz (1965)

M.A., University of Nebraska, Lincoln, Assistant Professor of Physical Education

Roger Salmela (1968)

M.A., University of Minnesota, Minneapolis, Instructor of History

Thomas Scherer (1969)

Ph.D , University of Wyoming, Laramie, Assistant Professor of Education

George Schottenhamel (1957)

Ph.D., University or Illinois, Urbana, Professor ot History and Socia l Sciences

Leland H. Sherwood (1963)

M.A., University of Wyoming, Laramie, Associate Professor of Art

Alan F. Shipley (1966)

B S., Peru State College, Nebraska, Director of Financial Affairs

148

C. Vernon Siegner (1961)

Ed.D., Colorado State College, Greeley, Dean, School of Applied Arts and Technology, Professor of Industrial Arts

Max G. Smith (1972)

Ph.D., University of Wisconsin, Madison, Acting President, Professor of Education

William G. Snyder (1970)

M.Ed., University of Nebraska, Lincoln, Chairman, Department of Social Scie nces, Instructor of History

Jerome D. Stemper (1950)

M.A., University of Nebraska, Lincoln, Director Intramural Athletics and Cross Country Coach, Associate Professor of Physical Education

Thomas S. Stone (1972)

M.A., University of Michigan, Ann Arbor, Director of Admissions and Counseling

Evan Van Zant (1961)

M.A~.- U nivers1ty of Nebraska, Lincoln, Associate Professor of Educat ion

Ann Williams (1967)

B.S., Arizona State University, Tempe, Instructor of Geography

Scott J. Williams (1966)

M.A., Arizona State University, Tempe, Assistant Professor of Geography

Gilbert E. Wilson (1957)

D.M.A., University of Missouri, Kansas City, Director of Band · and Orchestra, Associate Professor of Instrumental Music

Mary Ruth Wilson (1966)

M.A., Peru State College, Nebraska, Assistant Professor of English and Speech

Darrell Wininger (1952)

Ed.D., Colorado State College, Greeley, Head Tennis Coach, Professor of Busi11ess

1 on leave 1972-73

149

2 replacing staff member on leave FACULTY

FACULTY EMERITI

NELLIE M . CAREY (1944-1957)

PHYLLIS DAVIDSON (1929-1957) Librari an Professor of Women's Physical Education

EDNA WEARE (1929-1957) Profe sso r of Home Economics

L.B. MATHEWS (1927-1961) Professor of Physics

VICTOR H. JINDRA (1923-1961) Professor of Music

GEORGE RATH (1946-1961) Professor of Foreign Languages

RUTHS . BROWN (1943-1961) Professo r of Education

MARY CLARKE (1951 - 1964) Prof ess or of Education

ROBERT T. BENFORD (1926-1965) Professor of Piano

ALFRED G WHEELER (1938-1965) and Or ga n Professor of Health and Physic a l Education

HAROLD 0 BORASS (1951-1966) Professor of Edu ca tional Psychology

NORMAL. DIDDEL (1929 - 1966) Prof es sor of Art

HAZEL WEARE (1943-1966) Professor of Business Educat i on

ROBERT D. MOORE (1937 - 1970) Professor of Eng li sh a nd Spee c h

ALMA ASHLEY (1949-1970) Prof esso r of El ementa ry

FRIEDA D. ROWOLDT (1952-1970)

HANFORD MILLER (1947 - 1971)

HAROLD JOHNSON (1951-1972)

SILAS SUMMERS (1960 - 1972)

Education Professor of Busin ess Education

Prof essor of Chemistry

Prof essor o f Edu ca tion

Profes so r of English

150 FACULTY

Official Committees

COLLEGE AFFAIRS COUNCIL

The Council is the representative of the professional staff of the College and is concerned with the general welfare of the professional staff and the students. It establishes and revises all policies related to the internal affairs of the college .

ACADEMIC AFFAIRS COMMISSION

The Commission carries on a continuous study of the instructional program and recommends policy to the College Affairs Council. It is concerned with interschool and interdepartmental coordination and relationships . The various instructional programs are evaluated in terms of accrediting standards and guidelines of national academic associations. It evaluates the work and responsibility of its various committees.

LIBRARY COMMITTEE

The Committee reports regularly to the Academic Affairs Commission and recommends policy to the Commission . It serves in a liaison capacity between the Library and the faculty-student bodies. It advises in regard to the administration of the policies and regulations related to th~ Library, and makes suggestions regarding the services, the budget, purchases, allocation of funds, accreditation standards, and the over-all needs

TEACHER EDUCATION COMMITTEE

The Teacher Education Committee explores and identifies areas needing policy statements. Since the responsibility of the Committee is chiefly in academic affairs, the Commission on Academic Affairs is advised of all recommendations that will be made to the College Affairs Council. It formulates these policies and recommends them to the College Affairs Council. The Committee is authorized to delegate some of its responsibilities, such as Admission to Teacher Education, to a subcommittee

151 OFFICIAL COMMITTEES

OFFICIAL COMMITTEES

ADMISSIONS AND STANDARDS COMMITTEE

The Committee advises the Director of Admissions on first time admissions as these may deviate from established policy, or may be irregular in any manner. It has the authority to act on all app lic atio ns for readmission. The Committee administers policies regarding scho last ic probation and/or suspensi_on. It recommends policy to the Academic Affairs Commission .

STUDENT AFFAIRS COMMISSION

The Commission recommends policy to the College Affairs Council. It interprets the philosophy and policy to students, faculty, parents, and the public. It provides for t he centralized administration and coordination of all student personnel functions. The Commission serves as an appeal or he aring body on decisions related to non -a cademic matters of the student.

FINANCIAL AID AND SCHOLARSHIP COMMITTEE

The Committee shall advise the Director of Financ ial Aid, as he _requests, in the admin i stration of Financial Aids and awards scholarships which are available. It recommends policy to the Commission on Student Affairs, and acts as a review bodv as requested.

SCHOOL AND COMMUNITY RELATIONS COMMITTEE

The Committee h as the responsibility of exploring ways and means of relat in g the College to the public it serves. Particular areas of action in clude the involvement of faculty and staff, students, and alumni in the dissemination of information and materials needed to adequate ly communicate with the public regarding the opportunities, programs, and serv ices ava ilable.

STUDENT CONDUCT COMMITTEE

The Committee acts as a review board upon request in cases of student conduct. It adv ises the Vice-President of Student Affairs in matters re l ated to student conduct, and recommends policy to the Student Affairs Commission.

152

FACULTY ASSOCIATION

The membership of the committee representing the Faculty Association consists of the Executive Committee of the Association . The chairman of the Executive Council is the chairman of this committee. The Committee concerns itself with both academic and personnel matters of the faculty and reports to either the Academic Affairs Commission or the College Affairs Council. The Faculty Association has the responsibility of assisting with the orientation of new faculty members , and assisting in the evaluation of objectives, policies, and with the professional growth and development of faculty members.

OFFICIAL COMMITTEES

153

COOPERATING SCHOOLS

ALUMNI OFFICERS

Miss Dorothy Stepan .... . . . . . . .. .... . . President

Mr. Bruce Haughton First Vice President

Mr. Gary Dahmke Second Vice Pr es i dent

Mrs . Tom Mosser .

Mrs. Elaine Schlange ... ..... Se c retary

COOPERATING SCHOOLS

1973 - 1974

Auburn ............ Albert C. Austin, Superintendent

Principal : Marvin H. Gerdes

Beatrice Robert Cothren, Superintendent

Assistant Superintendent: W A. Schlichting

Bellevue Richard L. Triplett , Superintendent

Personnel Director: Rex G. Cadwal l ader

Fairbury ... Lewis E. Patrick, Superintendent

Principal : Robert L. Ellsworth

Falls City . Donald E. Bur lin g, Superintendent

Principal: Robert C Joy

Humboldt Darrell L. Montgomery, Superintendent

Principal : Don Overfield

Johnson-Brock (Johnson)

Principal : Gary Oxley R. Wiley Remmers, Superintendent

Lincoln ........ John Prasch , Superintendent

Assistant Superintendent: Carrol R. Sawin

Millard ... Donald L. Stroh, Superintendent

Assistant Superintendent: Ron Witt

Nebraska C ity James L. Withee, Superintendent

Principal: Carl W. Fielder

Omaha Owen A . Knutzen, Superintendent

Administrative Assistant: Monty Allgood

Papillion

Principal : Keith G Pollard

Pawnee City

Principal: M;::ix Martin

Paul D. Basler, Superintendent

James Robison , Superintendent

154
in The Student Teaching Program
eas
Tr
urer

Plattsmouth Deward R. Finch, Superintendent

Principal : Fred Kaufman

Ralston Robert Able, Superintendent

Principal: Harry Wei c hel

Southeast Nebr a ska (Stella) .. Wayne A. Cash , Superintendent

Principal: William Tempelmeyer

Springfield (Platteview) . Harold Luttman , Superintendent

Principal: Louis V . Dambrosia

Syra c use-Dunbar-Avoca (Syracuse) . Donald W. Craig,

Principal : John Rhodus Superintendent

Tecumseh Richard A . Brommer, Superintendent

Principal: Donald Zeiss

Westside (Omaha) . H. Vaughn Phelps, Superintendent

Assistant Superintendent: Robert M. Adams

Farragut, Iowa Leo Humphrey , Su perintendent

Principal: Lloyd Bishop

Fremont-Mills, Iowa (Tabor) . Wayne Burk. Superintendent

Principal: Ver! Flack

Glenwood , Iowa Ea rl L. Tubbs , Superintendent

Principal: Robert Blasi

Hamburg, Iowa George F. Neuzil, Superintendent

Principal: Gary Anderson

Lewis Central, Iowa (Council Bluffs). Frank L. Lee ,

Principal: Clarence E Miles Superint endent

Shenandoah, Iowa Kenneth W. Sand , Superintendent

Principal: Alvin S. Ca rlson

Sidney, Iowa . Eugene Hess, Superintendent

Principal : Duane Ridnour

Rock Port , Missouri .. Frank Rybnick , Superintendent

Principal: Gerald W. Shineman

COOPERATING AGENCY

Educational Service

Unit No. 4, Auburn Kenneth Ga rdner , Director 155
COOPERATING SCHOOLS

1973-74 CALENDAR

156 CALENDAR August 24 26 27 28 29 September October 3 7 28
Fall Semester - 1973 Friday .. . Faculty Meetings Sunday Freshman Welcome & Orientation Monday ...... . . ... . Upper Class Registration & Freshman Orientation Tuesday .. .. . .. . . . Freshman Registration Late Reg istrat ion Fee After This Date Wednesday Classes Begin; Night Class Registration Monday .. . ... ... . .. .. Labor Day (no c lasses) Friday Fina l Date for Change of Registration Friday ..... Applications Due for Mid -Year Certification of Completion 13 Saturday ... 24 Wednesday Homecoming (Kearney) End of First Half of Semester November 22-23 Thursday, Friday Thanksg iving Recess December 12 18 21 Wednesday ... .. .. .. . ... . . Night Classes End Tuesday ..... . ... . . ......... ... Final Day of Examinations and C lasses Friday ............. . .... Semester Ends and Christmas Recess Begins, 5 p m

January

7-8

May

Tuesday-Friday Inter i m C l asses Summer Sess i ons - 1974 (Consu lt Summer Bu ll etin for Detai l s)

February March Spring Semester- 1974
This Date
Begin; Night Class Registration
for
of Registrat i on
Monday, Tuesday . . . Registrat ion 8 Tuesday .. Late Registration Fee After
9 Wednesday. C l asses
18 Fr i day ... . .. .... Fi na l Date
Change
for Graduation
8 Friday App l ications Due
8 Friday End of First Ha l f of Semester, Spr i ng Recess Begins, 5 p.m. 18 Monday C lasses Resume, 7:30 a.m. Apr i l 157
End
Tuesday . . . . . . . . . . . . . . Fina l Day of 10 12
Examinations and C lasses Fr i day .. . . . . ... . ... ......... Semester Ends Sunday . . . . . . . . . ... Commencement
12 Fr i day Good Fr iday (no classes) 14 Sunday Easter 1 Wednesday . N i ght C l asses
7
14-24
CALENDAR
INDEX Courses, Night/Gradu ate/ Off -Campus 48 Abbreviations, Campus 10 Courses, Repeat 55 Academic Inform a tion 41 Credit by Examination 50 Academic Load 51 Credit, Transfer 49 Academic Structure 57 Deans of Schools 143 Accreditation 7 Degrees /Re quirements 42 Accounting Technolo gy 59 Dining Service 31 Achievement Foundation 11 Dormitories 8 Administrative Officers 143 Drafting Technolo gy 68 Admissions Procedures 13 Ear ly Childhood Education 76 Admission to Tea c her Economics 120 Educ atio n 71 Education 107 Advanced Standing 48 Edu ca tion and Phy sica l Edu cation, Alumni Association 10 School of 71 App l ied Arts a nd Technology , Electrical Technology 69 School of 59 Elementary Education Program / Armed Forces Credit 49 Requ irement s 74 Art 84 , 116 Emer iti Faculty 150 Attendance , Class 51 Endors eme nt for Teaching 72 Audit 54 English 89. 124 Auto Re g istrat ion 40 Entertainment, Recreation . Awards 26 Socia l Life 33 Biolo gical Science 93, 133 Fac u l ty 144 Board and Room Fee s 16 Fac ulty Committees 151 158 Board and Room Refund s 19 Fed era lly Funded Programs 22 Board of Trustees of the Fee s, Board and Room 16 Nebraska State Col l eges 143 Fees , Private Instruction 18 INDEX Buildings and Facilities 7 Fees, Refunds 20 Business Administration 60 Fe es, Registration /S pecial 18 Business Edu ca tion 61,97 Financial Aid 21 Calenda r 156 Financi al Aid, Applying for 22 Campus Life 29 Financial Information 16 Campus Map 160 Fine Arts 84 Certification in Nebras ka 72 Food Service 33 Change in Ma jor 44 General I nform a ti on 5 Change in Re gistration 55 Genera l Science 94,135 Chemistry 134 General Studies Program 44 Classification of Students 51 Geography / Geology 94 , 136 , 138 Coaching of Inter scho lastic Grading System 52 Spo rts 82 Graduate Courses 48 Col l ege T esti ng Program 13 Gr ad uation Honor s 54 Commercial Art 84 , 117 Graduation Requirements 44 Committees , Official 151 Handbook 39 Computer Center 64 Hea lth Service 31 Computer Programming 62 History 87, 120 Conferences a nd Clinics 11 History of College 5 Construction Te c hnology 68 Home Economics 65, 101 Cooperat i ng Schools 154 Honor Roll / Honors Courses 54 Counseling Services 29 Hou s ing Contracts 20 Course Numbers 97 Hou s ing , Faculty 9
Housing , Married Students 9, 19,33 Professional Education Humanities, Schoo l of 84 Requirements 73 Indu stria l Arts 65,103 Professional Semester 73 Indu str i a l Management Professional Services 48 Technology 66 Psychology and Guidance 110 Intern Teacher Program 80 Readmission 16 Int erscho lastic Sports , Coaching 82 Recreation , Program in 82,115 of Journalism 90, 127 Registration, Change in 55 Language Arts 89,124 Repeat Courses 55 Library Science 12 8 Requirements for a ll Degrees 42 Library 7 Residence Hall s 8,32 Living Accommodations 31 Resident Credit 43 Location 6 Safety Education 67 Majors 43 Scholarships 23 Manual Arts Therapy 67 Scholarship Standards 53 Mass Communications 128 Secondary Education Mathematics 94,138 Requirements 79 Medical Technology 96 Secretarial-Clerical Technology 62 Memberships 7 Selection of Program of Studies 41 Metals Technology 69 Semi-Professiona l and Terminal Music 85, 118 Curri cula 56 Natural Science, School ot 93 Socia l Science 88 Nebraska Certification 72 Socia l Work 88 , 123 Non-Resident Fees 16 Socio lo gy 123 Organizations 34 Speakers and Entertainment Athletic 37 Services 12 159 Education anc Social 35 Specia l Education 78 Honorary 37 Speech 92, 131 Music 36 State Vocational INDEX Pep 37 Rehabilitation Aid 25 Religious 36 Student Conduct 40 Student Center Boa rd 35 Student Lo an Funds 22 Student Government 34 Student Organizations 34 Orientation , Freshmen 29 Student Publications 39 Philosophy 122 Summer Session 48 Physical Education and Teacher Education Recreation 81 , 112, 115 Examination Program (TEEP) 74 Physical Science 95 Trade and Indu str ie s Technology 67 Physics 141 Transcripts 56 Placement Services 30 Transfer Credit 49 Political Science 122 Transfer Students 14 Pre-Professiona l Curricula 56,92 Transportation 6 Pre-Agriculture 95 Tuition Sc h edule 16 Pre-Engineering 95 Veterans 49 Pre-Forestry 95 Vocationa l Education 70,107 Pre-Law 92 Well Chi ld Conference 12 Pre-Medical / Pre-Dental 95 Withdrawal from Class 55 Pre-Mortuary 96 Withdrawal from Col l ege 55 Pre-Nusing 96 X-Ray Technician 97 Pre-Pharmacy 96 Yearbook 61 Private In struction 18,54

Peru State Co ll ege

Peru, Nebrask a 68421

Servin g State a nd Na tion Since 1867

INDEX OF BUILDINGS

1. Administration Building

2. Auditorium

3 Centenn ia l Residence Comp l ex

4 . Delzell Men ' s Dormitory

5. Faculty Apartments

6 . Fine Arts Center

7. Greenhouse

8 Gymnasium

9 Health Center

10 Hoyt Science Hall

11. Larson I ndustrial Arts

A D. Majors Men's Dormitory

T J. Ma j ors Education Hall

Eliza Morgan Women's Dormitory

Oak Bowl Athletic Fields, Dressing Rooms

Oak Hill Married Student Housing

President's Home

Services, Heating Plant Student Center

P. Parking

3. Centennia l Residence Complex

(3 blocks south of main campus)

A Davidson E Nichol a s

B Palmer F Pate

C Clayburn G Neal Dining Hall

D Mat he ws

" (' ,- - ~ .,__ ,r .,.,. , · ' , , , ,, ><,,, '••::-~ ' ,_,,-A..[..,.,_.,,.
12 . 13 . 14. 15. 16 17 18 . 19. 20 Library
PERU STATE COLLEGE Peru, Nebraska 68421
further information write or call: The Office of Admission s (402) 872-3815
For

Turn static files into dynamic content formats.

Create a flipbook
Issuu converts static files into: digital portfolios, online yearbooks, online catalogs, digital photo albums and more. Sign up and create your flipbook.