410-16-005M

Page 1


WIRE FRAUD ALERT THINK DIFFERENTLY

Email-based, real estate fraud schemes are on the rise. One common scenario is altering wiring instructions with the intention of rerouting funds.

Keeping this in mind, First American Title is changing the way we receive payment information. It is imperative that we are familiar with the people in our transactions.

RELYING ON EMAIL ALONE IS NO LONGER AN OPTION.

Fraudsters often use email to send falsified wire instructions to unsuspecting victims. Please warn your buyers and sellers to only follow wire instructions they receive personally from First American Title.

Additionally, we will not accept disbursement instructions for seller or buyer funds via email OR from any third party (attorney, real estate agent, etc).

ALTERNATIVE INSTRUCTIONS?

If your buyer or seller receives alternative wiring instructions that appear to be from First American Title, make sure they contact their escrow officer at a trusted phone number for confirmation.

Know that our wiring instructions do not change so any communication is suspect. Our banking institution is First American Trust.

IN SHORT – wire instructions will not be accepted by email. New wire instructions must be hand-carried or uploaded to the First American Secure Portal.

Thank you for joining First American Title in fostering a secure real estate transaction process. Have questions or concerns? Please contact our office or your escrow officer.

LIMITATION OF LIABILITY FOR INFORMATIONAL REPORTS

IMPORTANT -- PLEASE READ CAREFULLY:

This report is not an insured product or service or a representation of the condition of title to real property. It is not an abstract, legal opinion, opinion of title, title insurance commitment or preliminary report, or any form of Title Insurance or Guaranty. This report is issued exclusively for the benefit of the Applicant therefor and may not be used or relied upon by any other person. This report may not be reproduced in any manner without First Americans prior written consent. First American does not represent or warrant that the information herein is complete or free from error, and the information herein is provided without any warranties of any kind, as-is, and with all faults. As a material part of the consideration given in exchange for the issuance of this report, recipient agrees that First Americans sole liability for any loss or damage caused by an error or omission due to inaccurate information or negligence in preparing this report shall be limited to the fee charged for the report. Recipient accepts this report with this limitation and agrees that First American would not have issued this report but for the limitation of liability described above. First American makes no representation or warranty as to the legality or propriety of recipient's use of the information herein.

Disclaimer

This REiSource report is provided "as is" without warranty of any kind, either express or implied, including without limitations any warrantees of merchantability or fitness for a particular purpose. There is no representation of warranty that this information is complete or free from error, and the provider does not assume, and expressly disclaims, any liability to any person or entity for loss or damage caused by errors or omissions in this REiSource report without a title insurance policy.

The information contained in the REiSource report is delivered from your Title Company, who reminds you that you have the right as a consumer to compare fees and serviced levels for Title, Escrow, and all other services associated with property ownership, and to select providers accordingly. Your home is the largest investment you will make in your lifetime and you should demand the very best.

Subject Property :    Marana AZ 85653

Owner Information

Owner Name : Dm Phase Iv Investments Llc

Mailing Address : 3567 E Sunrise Dr Ste 219, Tucson AZ 85718-3232 C064

Location Information

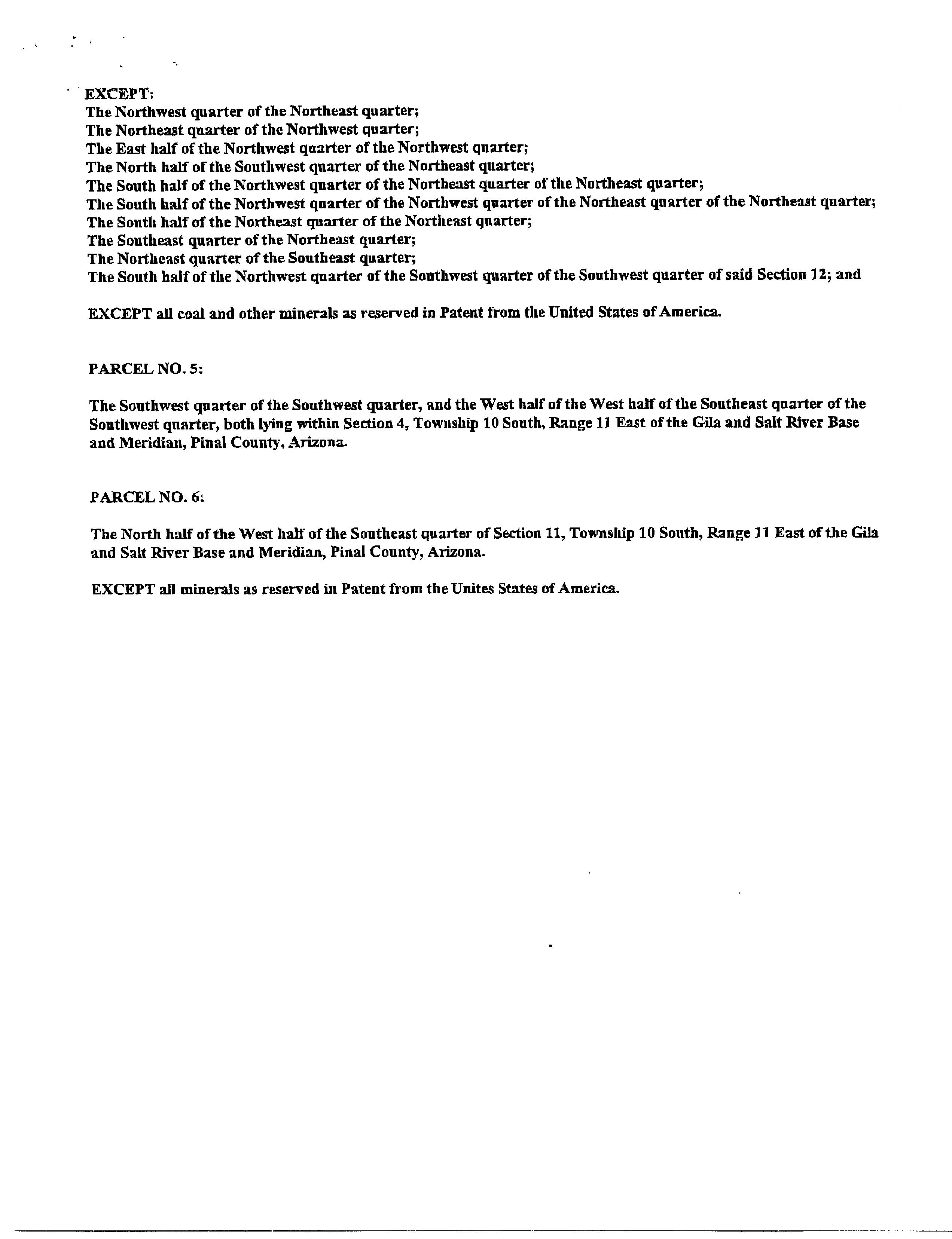
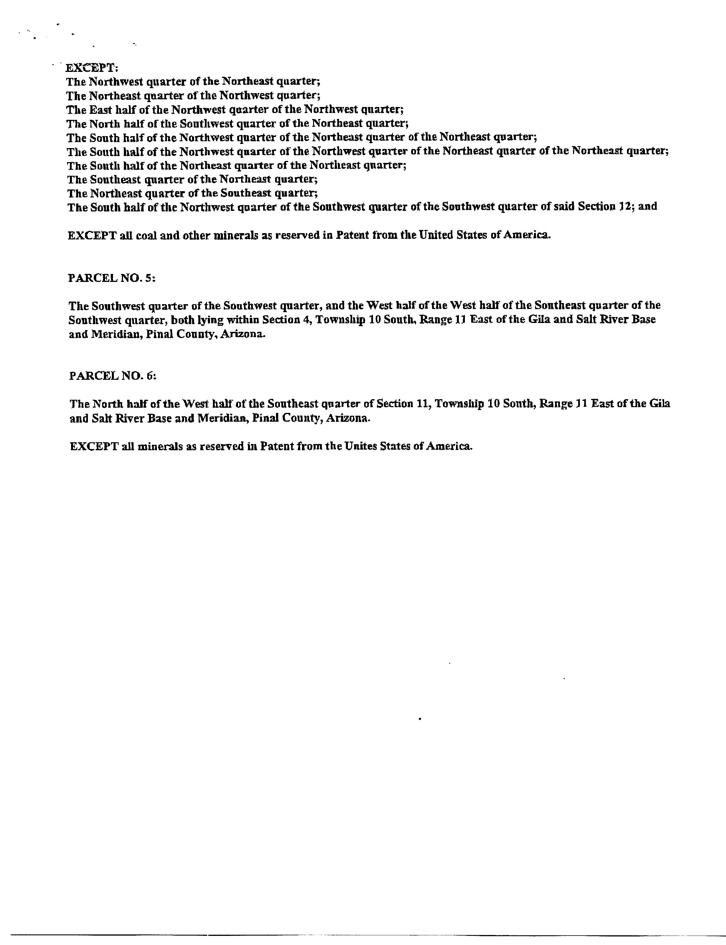
Legal Description : N1/2 W1/2 Se Of Sec 11-10s-11e 40.00 Ac

County : Pinal, Az

Township-Range- Sect : 10S-11E-11

Last Market Sale Information

Recording/Sale Date : 12/21/2001 / 12/00/2001

Sale Price : $2,242,000

Seller Name : Rita Land Corporation

Property Information

Land Use : Vacant Land (nec)

Tax Information

40.00

APN : 410-16-005M

Map Reference : 1110S11E

Document # : 58851

Deed Type : Special Warranty Deed

Use : Vacundeterminedrur Non Subd

Details of Comparables

Subject Property:  Marana Az 85653

Owner Name: Dm Phase Iv Investments Llc / APN / Alternate APN: 410-16-005M / Deed Type: Special Warranty Deed

Subdivision / Tract: / Lot Size: 1,742,400

Land Use: Vacant Land (nec)

Year Built / Eff: /

Rec. Date / Price: 12/21/2001 / $2,242,000 Living Area: # of

Document #: 58851

Total Tax Value: $117,783

#1   Marana Az 85653

Bedrooms: Pool:

Bath(F/H): /

Owner Name: Gomez Jason /Gomez Cynthia V

APN / Alternate APN: 410-20-032 / Deed Type: Warranty Deed

Subdivision / Tract: / Lot Size: 470,448

Land Use: Vacant Land (nec)

Year Built / Eff: /

Rec. Date / Price: 04/15/2024 / $70,000 Living Area: #

Document #: 27355

Total Tax Value: $59,464

#2   S Galena Dr Marana Az 85658

Bedrooms:

Bath(F/H): /

Owner Name: Watson Shawn /Zavala Christine APN / Alternate APN: 410-20-022A / Deed Type: Special Warranty Deed

Subdivision / Tract: / Lot Size: 217,800

Rec. Date / Price: 05/14/2024 / $36,000 Living Area:

Document #: 35871

Total Tax Value: $28,561

#3   S Galena Dr Marana Az 85658

Bedrooms:

Bath(F/H): /

Owner Name: Slager Joshua /Slager Heather

Land Use: Vacant Land (nec)

Year Built / Eff: /

# of units:

Pool:

APN / Alternate APN: 410-20-022B / Deed Type: Special Warranty Deed Land Use: Vacant Land (nec)

Subdivision / Tract: / Lot Size: 217,800

Rec. Date / Price: 01/30/2024 / $37,500 Living Area:

Document #: 6855

Total Tax Value: $28,561

#4   Az

Year Built / Eff: /

Bedrooms:

Bath(F/H): /

Owner Name: Heard Jeffery W /Heard Laura S

APN / Alternate APN: 410-16-048H / Deed Type: Warranty Deed Land Use: Vacant Land (nec)

Subdivision / Tract: / Lot Size: 435,600 Year Built / Eff: /

Rec. Date / Price: 04/30/2024 / $150,000 Living Area:

Document #: 32412

Total Tax Value: $57,123

Bedrooms:

Bath(F/H): /

#5   Marana Az 85653

Owner Name: Davidson Scott L / APN / Alternate APN: 410-20-024 / Deed Type: Warranty Deed

Subdivision / Tract: / Lot Size: 217,800

Rec. Date / Price: 10/12/2023 / $29,000 Living Area:

Document #: 75570

Total Tax Value: $39,780

#6   Marana Az 85653

Owner Name: Gutman Brittni /Portis Corey

Land Use: Vacant Land (nec)

Year Built / Eff: /

Bedrooms: Pool:

Bath(F/H): /

APN / Alternate APN: 410-17-006B / Deed Type: Warranty Deed

Subdivision / Tract: / Lot Size: 435,600

Land Use: Vacant Land (nec)

Year Built / Eff: / Rec. Date / Price: 12/21/2023 / $575,000 Living Area:

Document #: 92306

Total Tax Value: $41,012

#7   S Cattle Tank Rd Marana Az 85658

Bedrooms:

Bath(F/H): /

Owner Name: Norgita Llc / APN / Alternate APN: 410-16-056B / Deed Type: Warranty Deed

Subdivision / Tract: / Lot Size: 435,600

Rec. Date / Price: 12/01/2023 / $75,000 Living Area:

Document #: 87407

Total Tax Value: $57,123

#8   S Cattle Tank Rd Marana Az 85658

Land Use: Vacant Land (nec)

Year Built / Eff: /

# of units:

Bedrooms: Pool:

Bath(F/H): /

Owner Name: Moffett Cardin E /Sossaman Lucy E

APN / Alternate APN: 410-34-004 / Deed Type: Warranty Deed

Subdivision / Tract: / Lot Size: 871,200

Rec. Date / Price: 09/29/2023 / $127,500 Living Area:

Document #: 72498

Total Tax Value: $82,025

#9   E Leota Pl Marana Az 85658

Bedrooms:

Bath(F/H): /

Owner Name: Benson Joshua E /Benson Lacey M

APN / Alternate APN: 410-16-016B / Deed Type: Warranty Deed

Subdivision / Tract: / Lot Size: 217,800

Rec. Date / Price: 01/18/2024 / $79,500 Living Area:

Document #: 3865

Total Tax Value: $28,561

#10   S Cattle Tank Rd Marana Az 85658

Land Use: Vacant Land (nec)

Year Built / Eff: /

# of units:

Pool:

Land Use: Vacant Land (nec)

Year Built / Eff: /

Bedrooms:

Bath(F/H): /

Owner Name: Larson Lucas J / APN / Alternate APN: 410-16-056A / Deed Type: Warranty Deed

Subdivision / Tract: / Lot Size: 435,600

Land Use: Vacant Land (nec)

Year Built / Eff: /

Rec. Date / Price: 12/01/2023 / $85,000 Living Area: # of units:

Document #: 87360

Total Tax Value: $57,123

Bedrooms:

Bath(F/H): /

#11   Az

Owner Name: Cactus Patch Preserve Llc / APN / Alternate APN: 410-17-024B / Deed Type: Warranty Deed

Subdivision / Tract: / Lot Size: 435,600

Land Use: Vacant Land (nec)

Year Built / Eff: / Rec. Date / Price: 04/17/2024 / $110,000 Living Area:

Document #: 27893

Total Tax Value: $41,012

#12   Marana Az 85653

Bedrooms:

Bath(F/H): /

Owner Name: Mcclure Zachary D / APN / Alternate APN: 410-17-002A / Deed Type: Warranty Deed

Subdivision / Tract: / Lot Size: 871,200

# of

Pool:

Land Use: Vacant Land (nec)

Year Built / Eff: / Rec. Date / Price: 05/15/2024 / $42,000 Living Area: # of

Document #: 36274

Total Tax Value: $58,891

#13   Marana Az 85653

Bedrooms:

Bath(F/H): /

Owner Name: Balsam Bridge Llc / APN / Alternate APN: 410-17-002B / Deed Type: Warranty Deed

Subdivision / Tract: / Lot Size: 871,200

Rec. Date / Price: 12/01/2023 / $150,000 Living Area:

Document #: 87173

Total Tax Value: $58,891

#14   Az

Land Use: Vacant Land (nec)

Year Built / Eff: /

# of units:

Bedrooms: Pool:

Bath(F/H): /

Owner Name: Woods Austin T /Woods Kayla F

APN / Alternate APN: 410-16-029G / Deed Type: Warranty Deed

Subdivision / Tract: / Lot Size: 98,881

Rec. Date / Price: 07/09/2024 / $90,000 Living Area:

Document #: 51569

Total Tax Value: $26,317

#15   Az

Bedrooms:

Bath(F/H): /

Owner Name: Woods Austin T /Woods Kayla F

APN / Alternate APN: 410-16-029H / Deed Type: Warranty Deed

Subdivision / Tract: / Lot Size: 98,881

Rec. Date / Price: 07/09/2024 / $90,000 Living Area:

Document #: 51593

Total Tax Value: $26,344

#16

36981 S Jacy Trl Marana Az 85658

Land Use: Vacant Land (nec)

Year Built / Eff: /

# of units:

Pool:

Land Use: Vacant Land (nec)

Year Built / Eff: /

# of units:

Bedrooms:

Bath(F/H): /

Owner Name: Raymond David J /Raymond Nancy B

APN / Alternate APN: 410-23-012W / Deed Type: Warranty Deed

Subdivision / Tract: / Lot Size: 217,800

Rec. Date / Price: 08/30/2023 / $60,000 Living Area:

Document #: 64257

Total Tax Value: $38,072

Land Use: Vacant Land (nec)

Year Built / Eff: /

# of units:

Bedrooms:

Bath(F/H): /

#17   50 E Anaconda Rd Marana Az 85658

Owner Name: Red Stick Land Holdings Llc / APN / Alternate APN: 410-18-002 / Deed Type: Special Warranty Deed

Use: Vacant Land (nec)

Subdivision / Tract: / Lot Size: 2,178,000 Year Built / Eff: /

Rec. Date / Price: 04/11/2024 / $300,000 Living Area:

Document #: 26373

Total Tax Value: $132,333

#18   S Wild Hardt Way Marana Az 85658

Bedrooms:

Bath(F/H): /

Owner Name: Montoya Martin / APN / Alternate APN: 410-21-001C / Deed Type: Warranty Deed

Use: Vacant Land (nec)

Subdivision / Tract: / Lot Size: 217,800 Year Built / Eff: /

Rec. Date / Price: 07/09/2024 / $42,000 Living Area:

Document #: 51727

Total Tax Value: $37,364

#19   Az

Bedrooms:

Bath(F/H): /

Owner Name: Grossetta B D & G P Trust / APN / Alternate APN: 304-06-001B / Deed Type: Special Warranty Deed

Subdivision / Tract: / Lot Size: 435,600

Rec. Date / Price: 07/08/2024 / $35,000 Living Area:

Document #: 51211

Total Tax Value: $35,521

#20   10 S Owl Cv Marana Az 85658

Bedrooms:

Bath(F/H): /

Owner Name: Hovis Family Trust / APN / Alternate APN: 304-06-017 / Deed Type: Warranty Deed

Subdivision / Tract: / Lot Size: 435,600

Rec. Date / Price: 04/24/2024 / $115,000 Living Area:

Document #: 30443

Total Tax Value: $59,201

Bedrooms:

Bath(F/H): /

Use: Vacant Land (nec)

Year Built / Eff: /

# of units:

Pool:

Land Use: Vacant Land (nec)

Year Built / Eff: /

# of units:

Pool:

Subject Property :    Marana AZ 85653

Pinal County Assessor Parcel Viewer · Assessor Douglas

J. Wolf

Sources: Esri, Airbus DS, USGS, NGA, NASA, CGIAR, N Robinson, NCEAS, NLS, OS, NMA, Geodatastyrelsen, Rijkswaterstaat, GSA, Geoland, FEMA, Intermap and the GIS user community, Esri Community Maps

Contributors, CONANP, Esri, TomTom, Garmin, Foursquare, SafeGraph, GeoTechnologies, Inc, METI/NASA, USGS, Bureau of Land Management, EPA, NPS, US Census Bureau, USDA, USFWS

Owner Name : Tam Real Property Llc Sale Price  : $57,500

Sale Date : 10/29/2019

Total Value : $33,787

Land Use : Vacant Land (nec)

Recording Date  : 11/01/2019 S SERANO DR

Owner Name : Fisher Adrian A

Tax : $584.70

Acres : 10.00

410-16-005P

$437.58 Total Value : $28,561

Land Use : Vacant Land (nec)

410-16-005Q

Census Tract / block:      Year: 2020

Arizona Schools

PIMA COUNTY

SEARCH PARAMETERS

PARCEL:  410-16-005M

PARCEL: 410-16-005M 0

OWNER: DOVE MOUNTAIN RESORT COMM FACILITIES DIS     2001 58851 12/21/2001  MAIL: 180 W MAGEE STE 134

TUCSON AZ 85704

LEGAL: N1/2 W1/2 SE OF SEC 11-10S-11E 40.00 AC  CURRENT TAXES

24003 30002

VACANT LAND (NEC)

Turn static files into dynamic content formats.

Create a flipbook
Issuu converts static files into: digital portfolios, online yearbooks, online catalogs, digital photo albums and more. Sign up and create your flipbook.