WIRE FRAUD ALERT THINK DIFFERENTLY
Email-based, real estate fraud schemes are on the rise. One common scenario is altering wiring instructions with the intention of rerouting funds.
Keeping this in mind, First American Title is changing the way we receive payment information. It is imperative that we are familiar with the people in our transactions.
RELYING ON EMAIL ALONE IS NO LONGER AN OPTION.
Fraudsters often use email to send falsified wire instructions to unsuspecting victims. Please warn your buyers and sellers to only follow wire instructions they receive personally from First American Title.
Additionally, we will not accept disbursement instructions for seller or buyer funds via email OR from any third party (attorney, real estate agent, etc).
ALTERNATIVE INSTRUCTIONS?
If your buyer or seller receives alternative wiring instructions that appear to be from First American Title, make sure they contact their escrow officer at a trusted phone number for confirmation.
Know that our wiring instructions do not change so any communication is suspect. Our banking institution is First American Trust.
IN SHORT – wire instructions will not be accepted by email. New wire instructions must be hand-carried or uploaded to the First American Secure Portal.
Thank you for joining First American Title in fostering a secure real estate transaction process. Have questions or concerns? Please contact our office or your escrow officer.
LIMITATION OF LIABILITY FOR INFORMATIONAL REPORTS
IMPORTANT -- PLEASE READ CAREFULLY:
This report is not an insured product or service or a representation of the condition of title to real property. It is not an abstract, legal opinion, opinion of title, title insurance commitment or preliminary report, or any form of Title Insurance or Guaranty. This report is issued exclusively for the benefit of the Applicant therefor and may not be used or relied upon by any other person. This report may not be reproduced in any manner without First Americans prior written consent. First American does not represent or warrant that the information herein is complete or free from error, and the information herein is provided without any warranties of any kind, as-is, and with all faults. As a material part of the consideration given in exchange for the issuance of this report, recipient agrees that First Americans sole liability for any loss or damage caused by an error or omission due to inaccurate information or negligence in preparing this report shall be limited to the fee charged for the report. Recipient accepts this report with this limitation and agrees that First American would not have issued this report but for the limitation of liability described above. First American makes no representation or warranty as to the legality or propriety of recipient's use of the information herein.

Disclaimer
This REiSource report is provided "as is" without warranty of any kind, either express or implied, including without limitations any warrantees of merchantability or fitness for a particular purpose. There is no representation of warranty that this information is complete or free from error, and the provider does not assume, and expressly disclaims, any liability to any person or entity for loss or damage caused by errors or omissions in this REiSource report without a title insurance policy.
The information contained in the REiSource report is delivered from your Title Company, who reminds you that you have the right as a consumer to compare fees and serviced levels for Title, Escrow, and all other services associated with property ownership, and to select providers accordingly. Your home is the largest investment you will make in your lifetime and you should demand the very best.
Subject Property : 3612 S Desert Motif Rd Tucson AZ 85735
Owner Information
Owner Name : Rotz Kevin / Rotz Rachel
Mailing Address : 3612 S Desert Motif Rd, Tucson AZ 85735-5161 R133
Vesting Codes : / / Community Property
Owner Occupied Indicator : O
Location Information
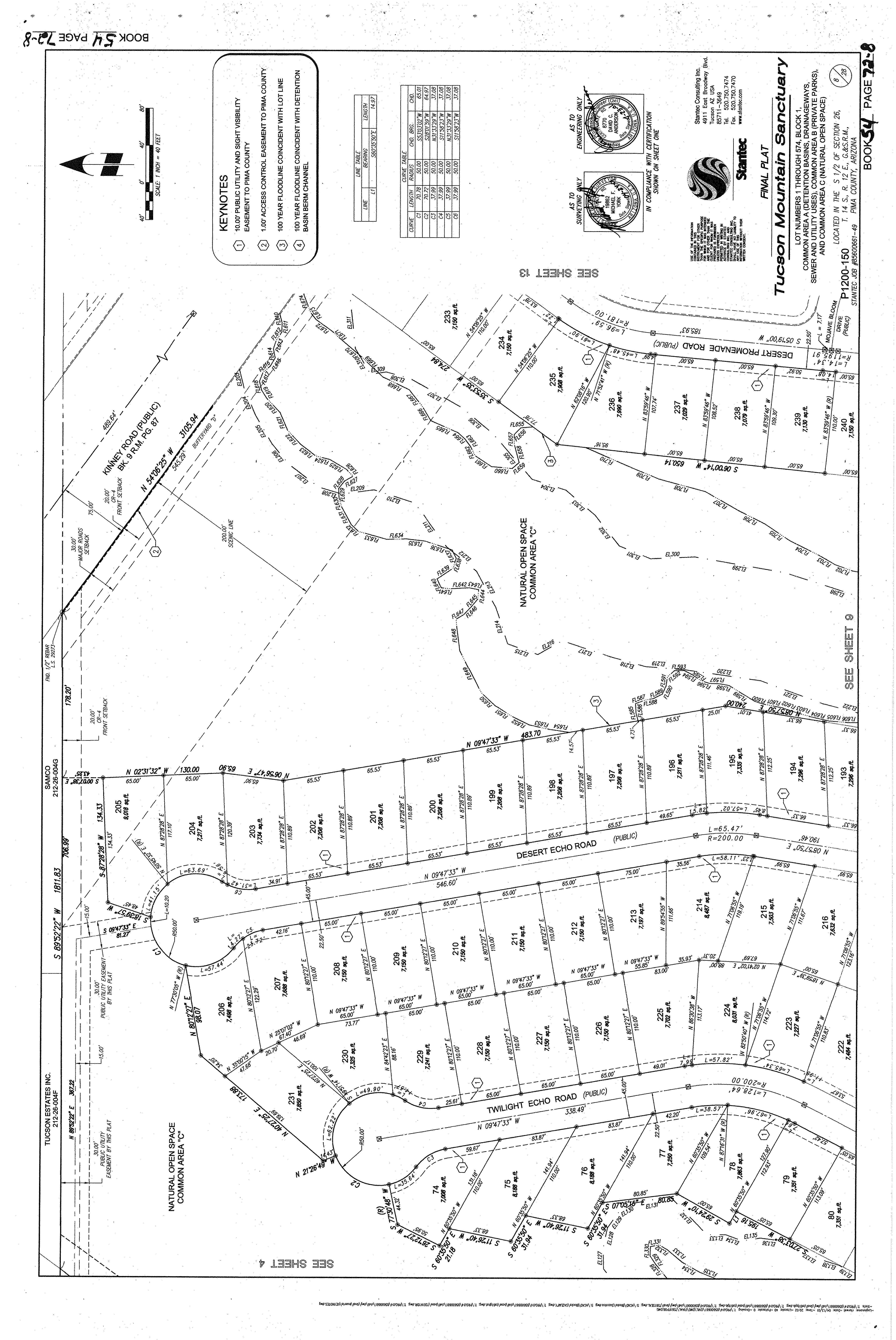
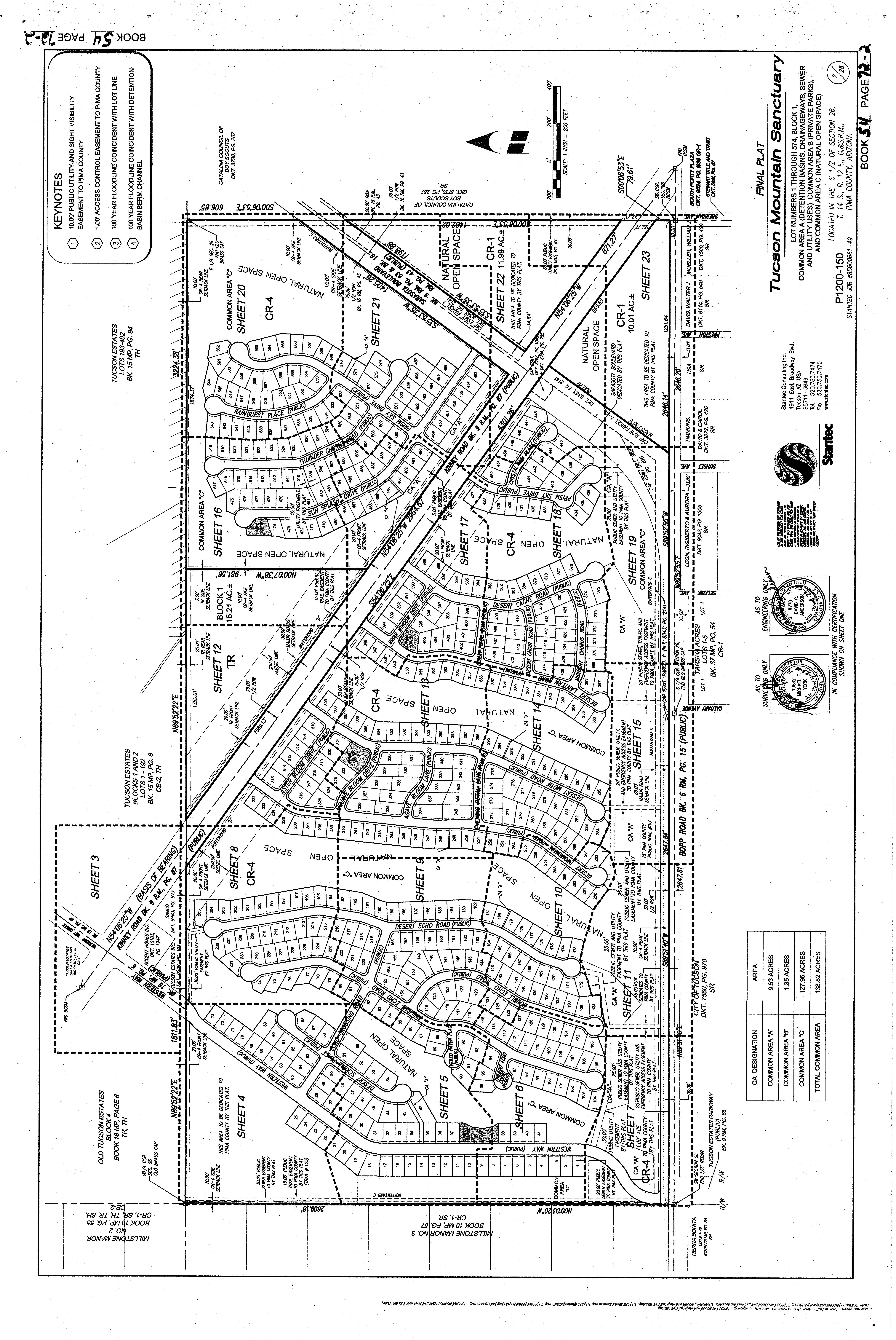
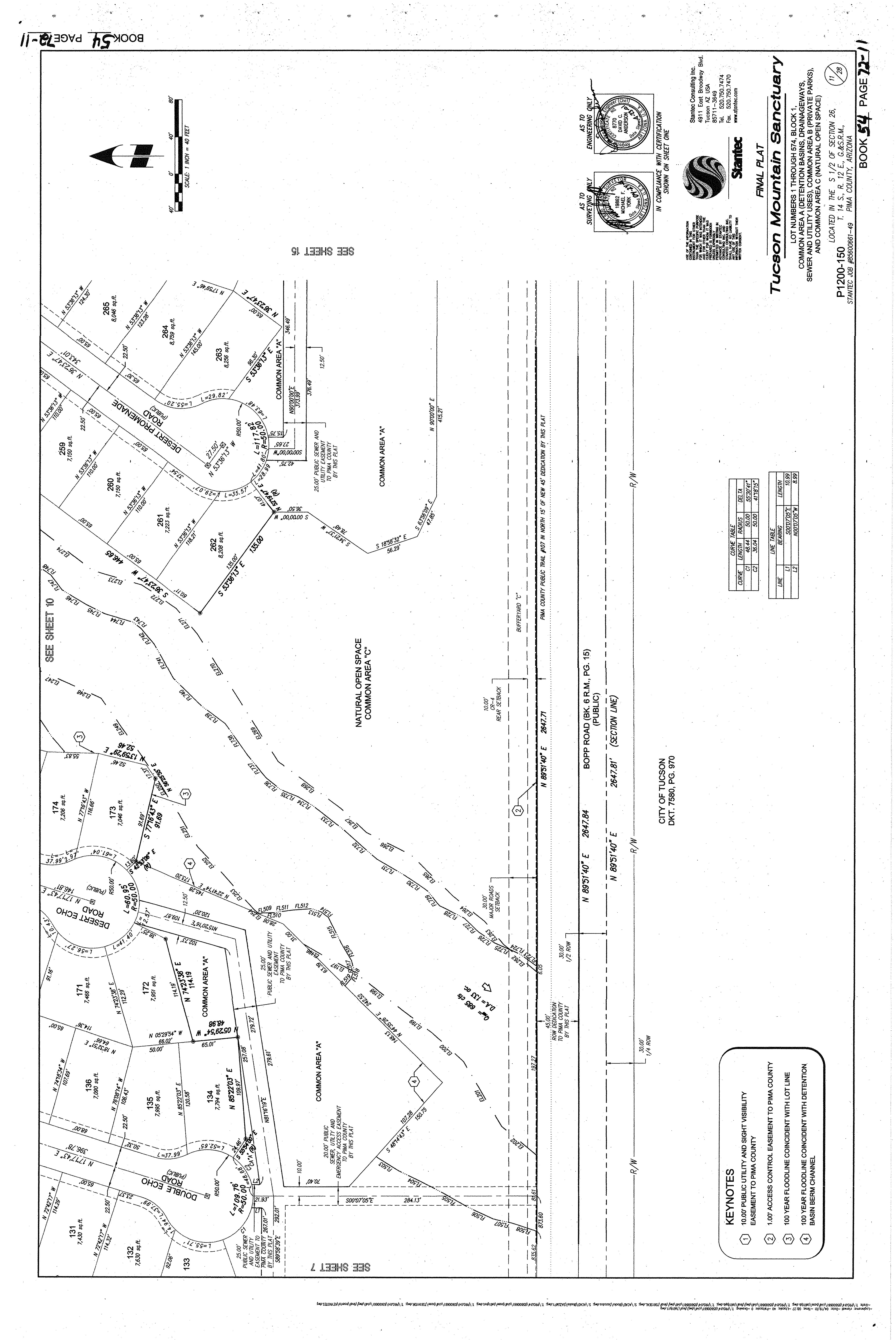
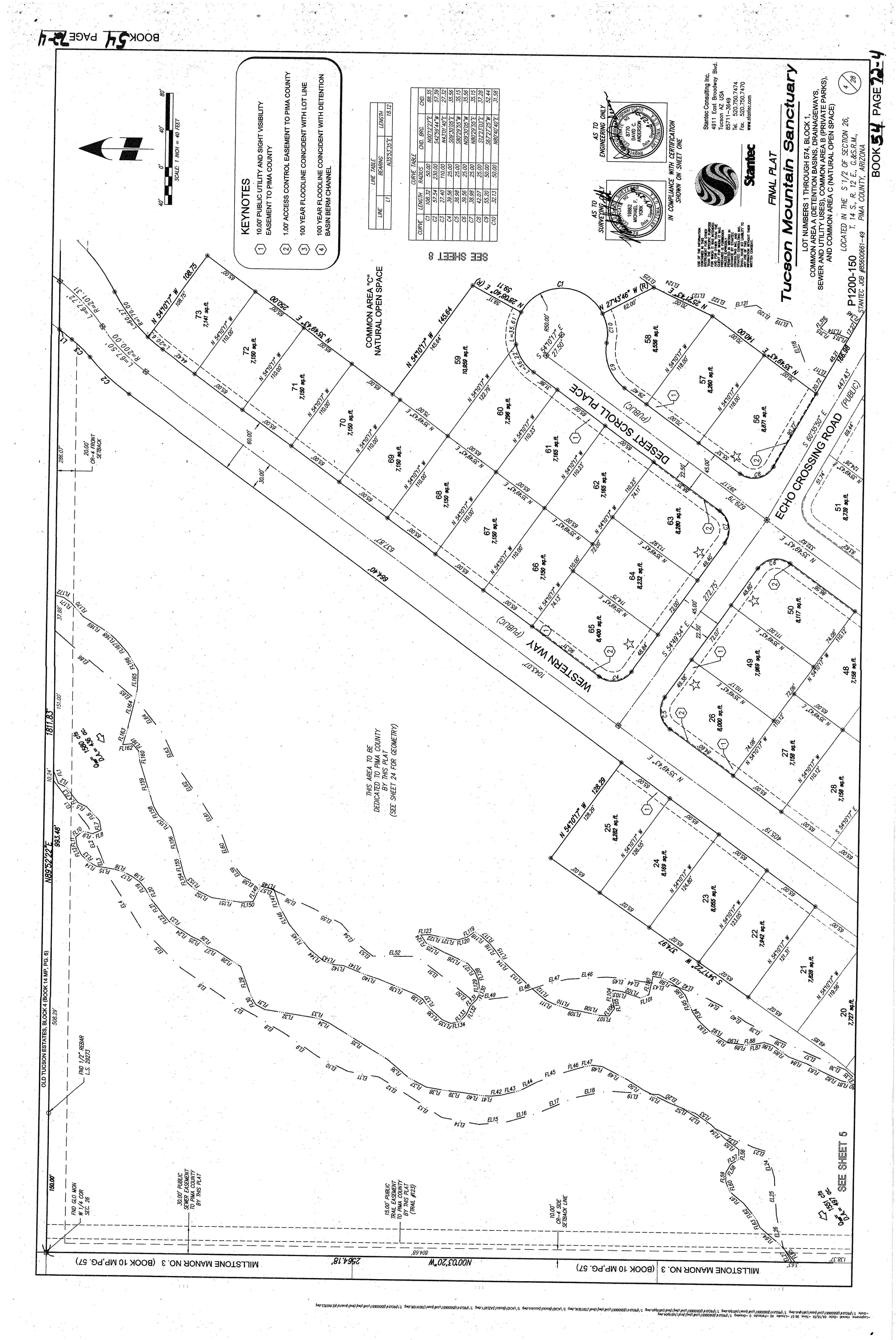
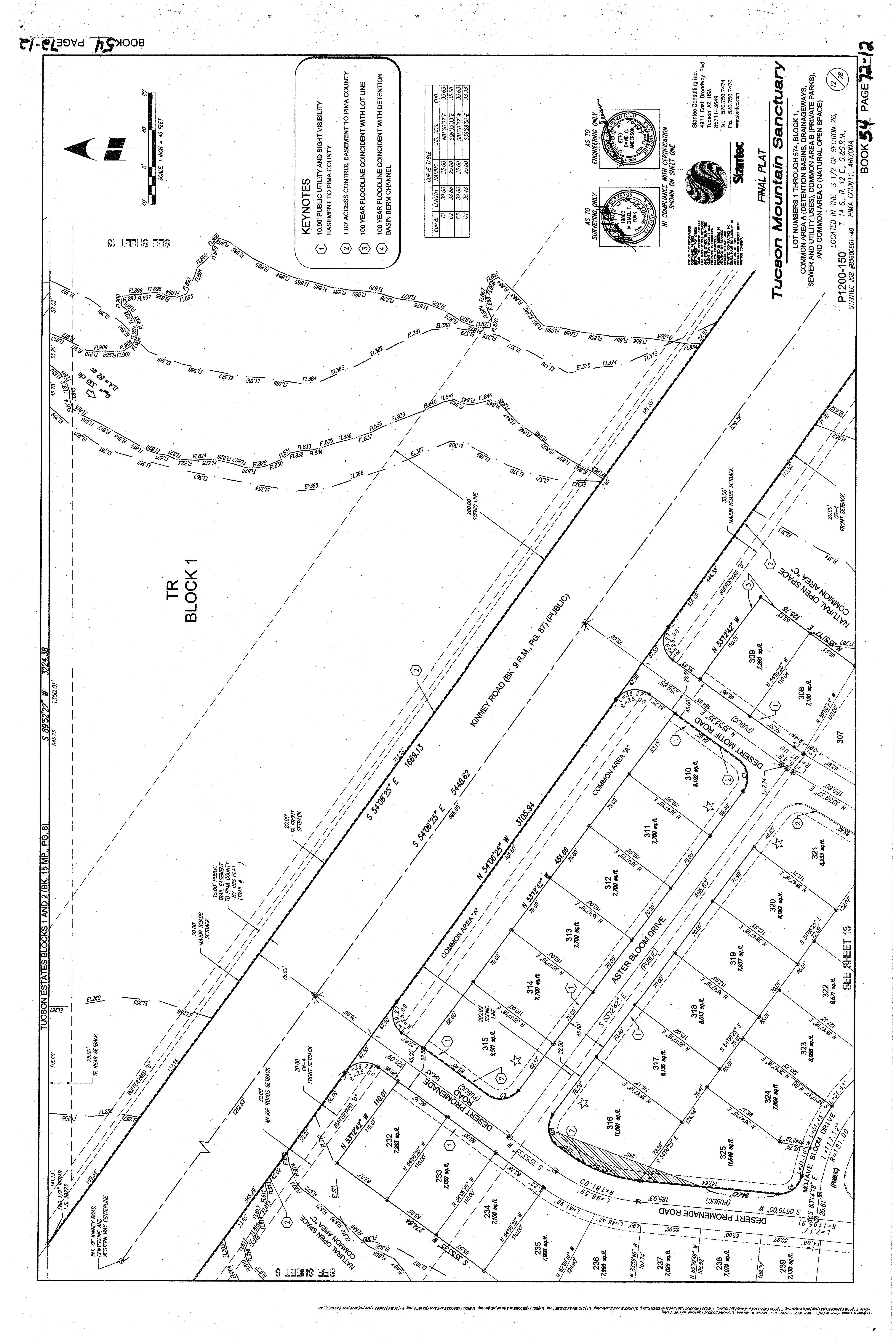
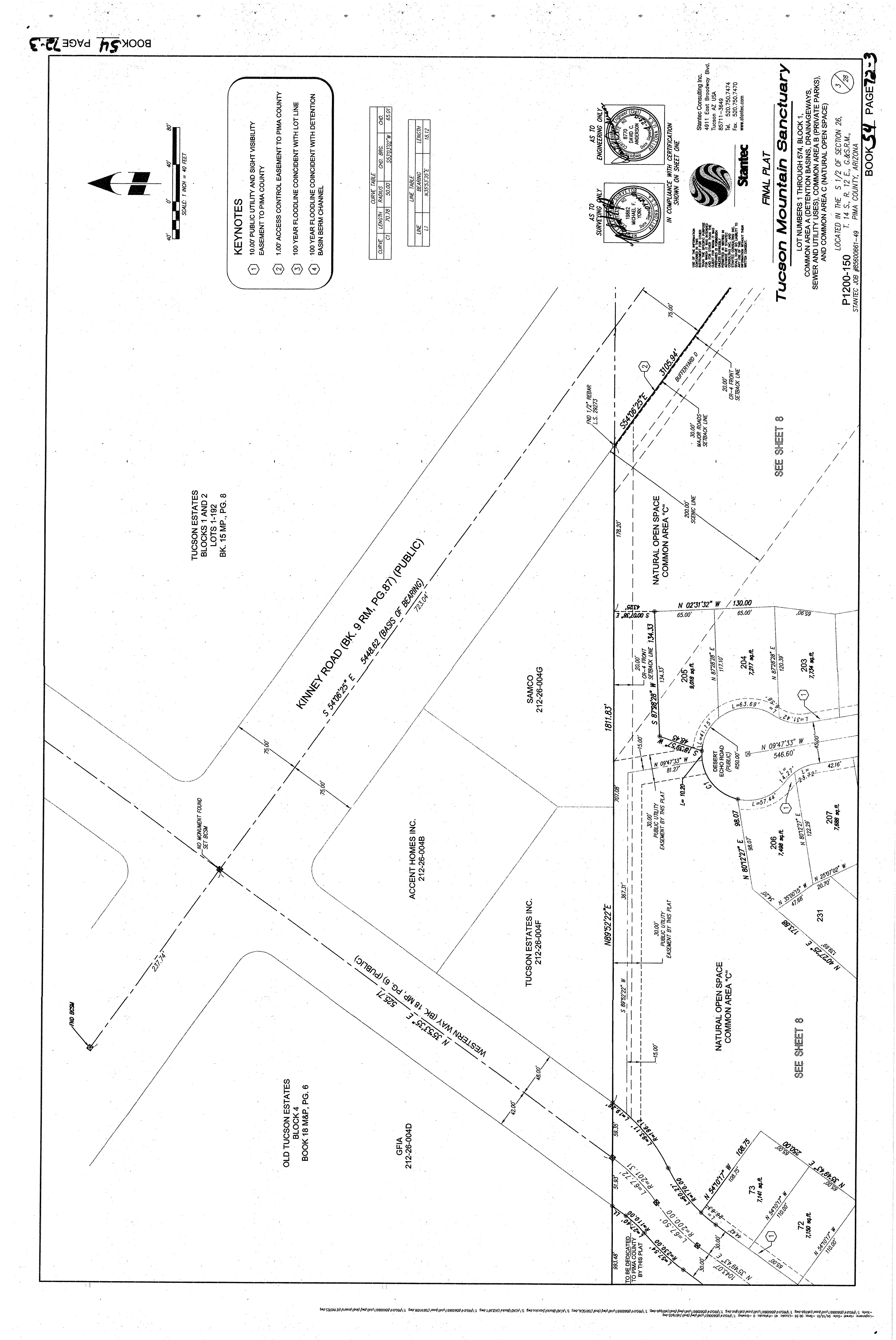
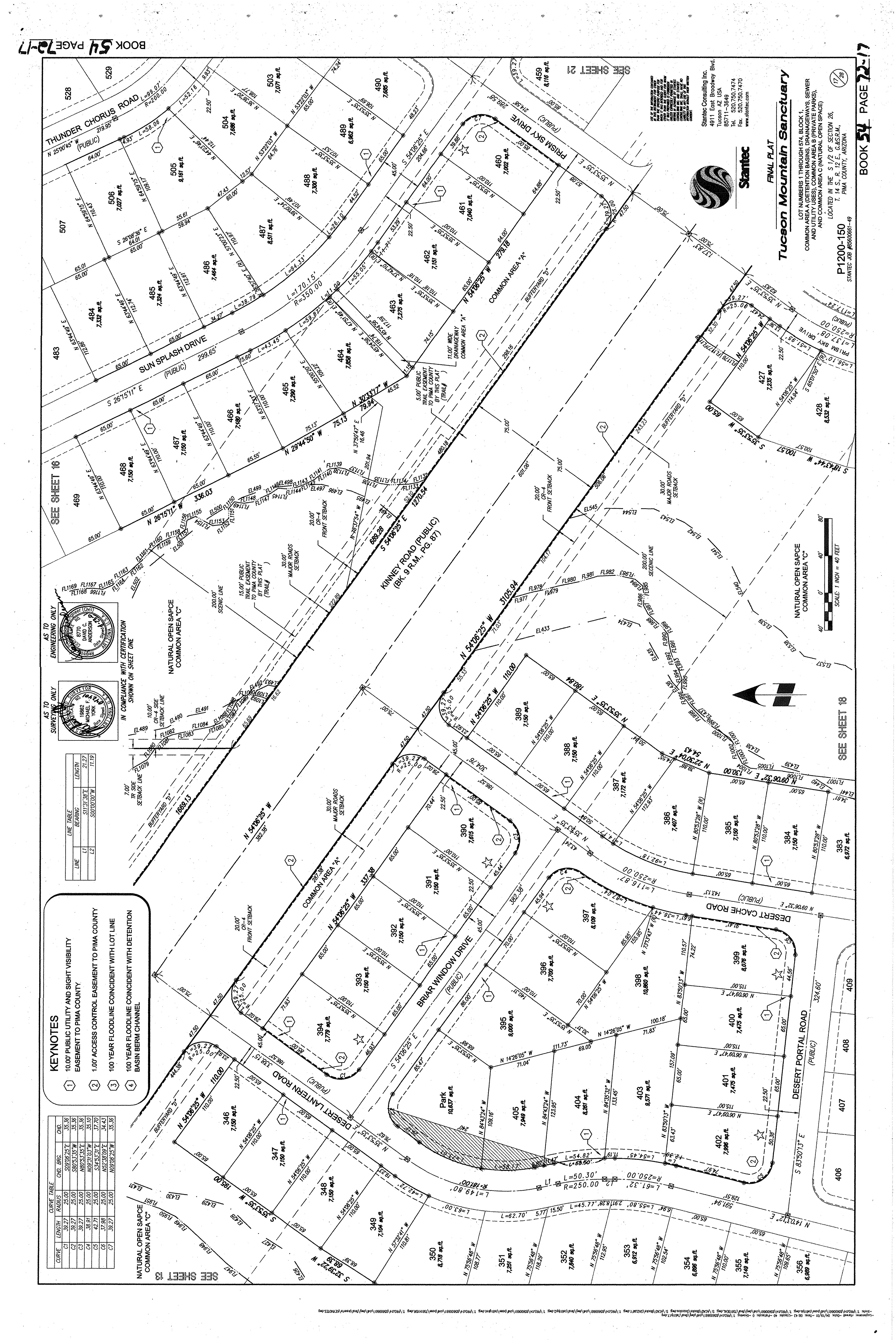
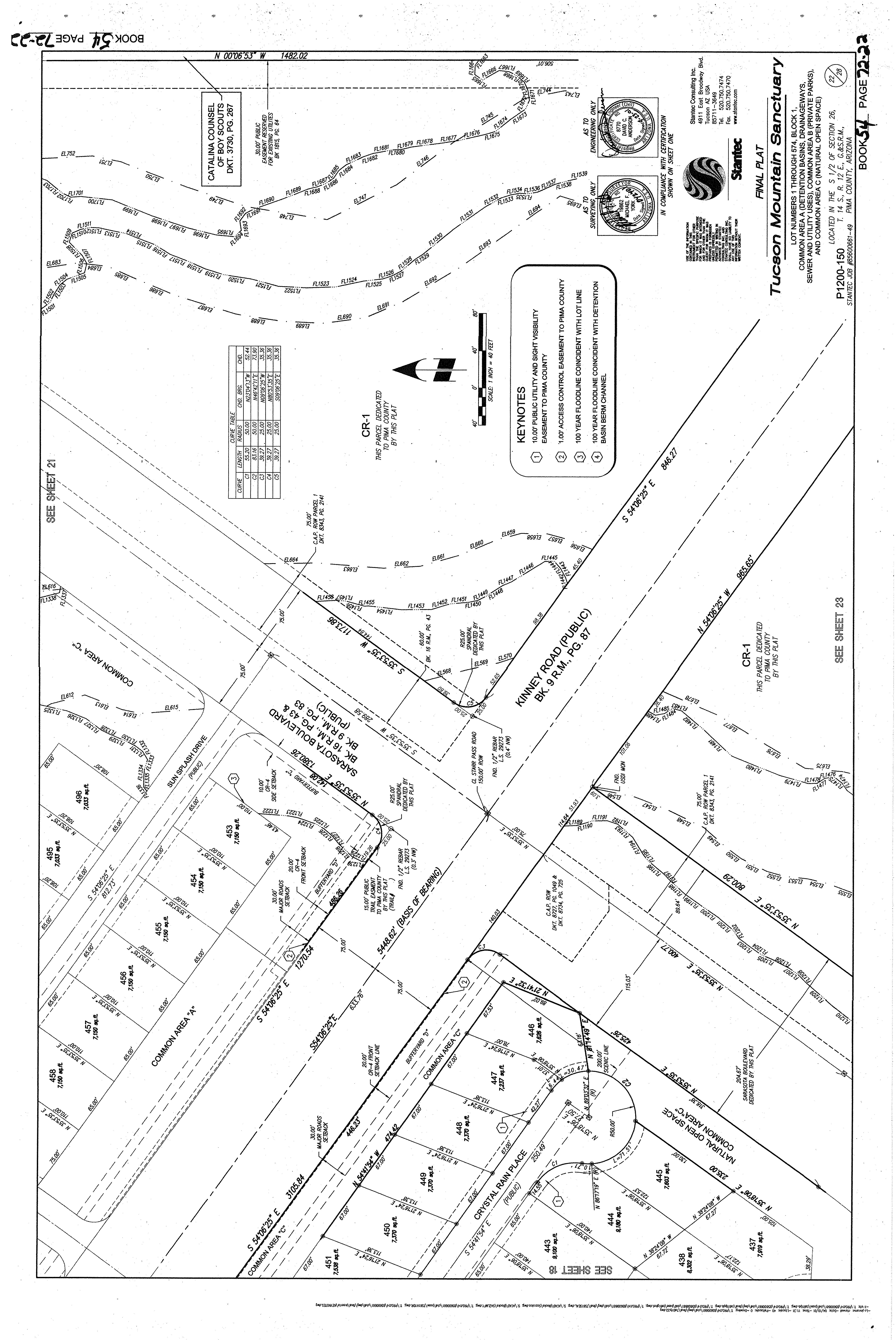
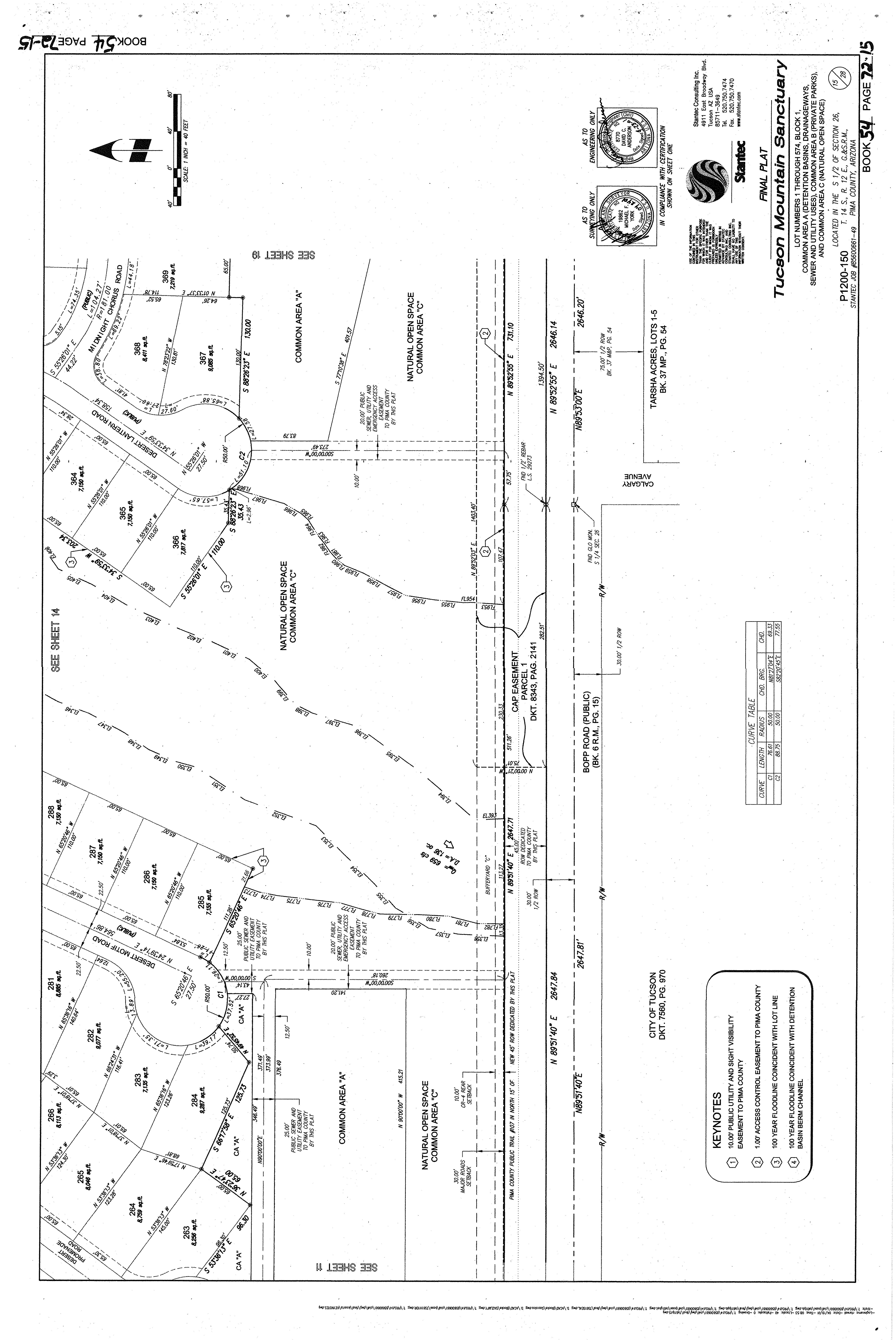
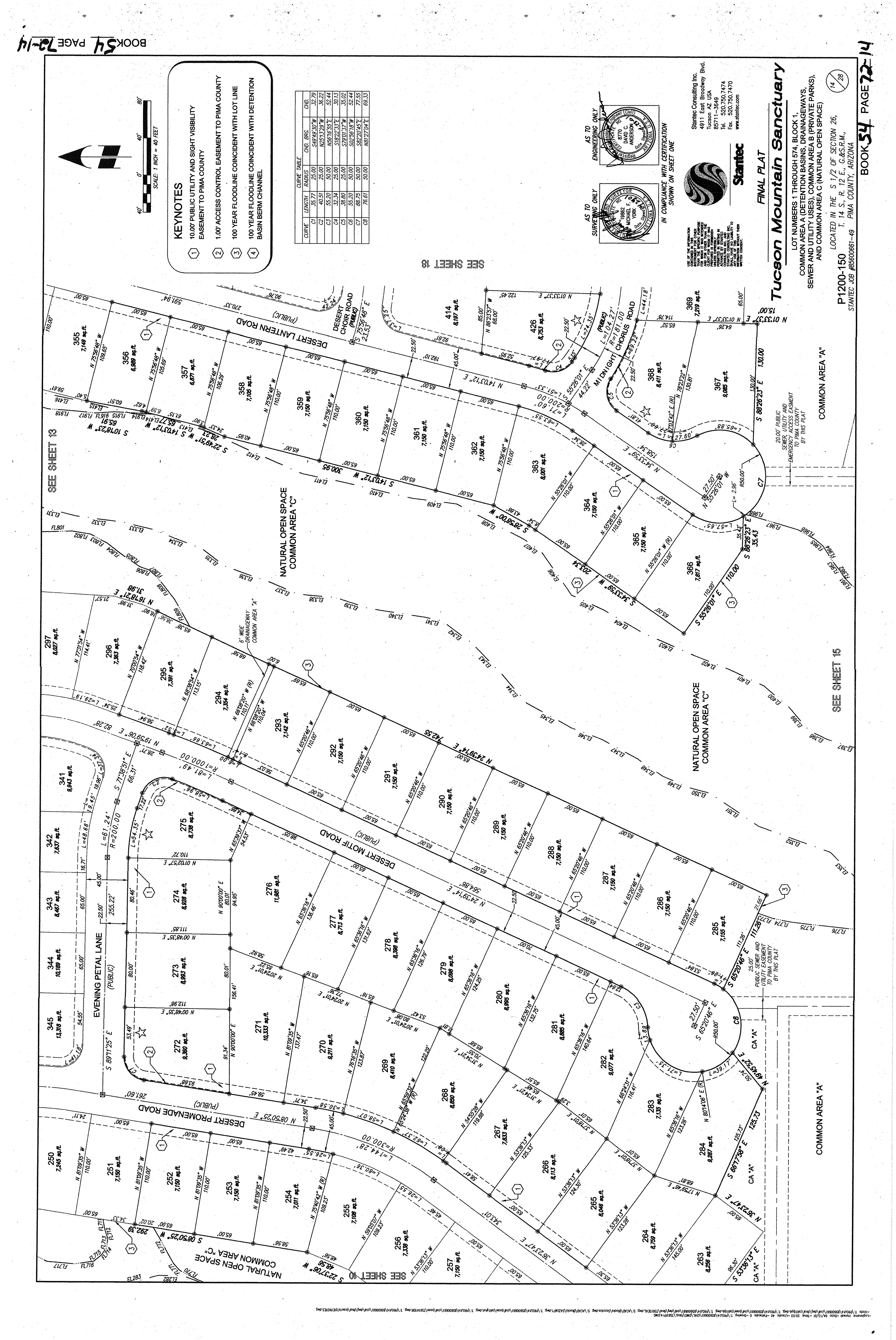
Legal Description : Tucson Mountain Sanctuary Lot 276
County : Pima, Az
Census Tract / Block : 44.35 / 2
Township-Range- Sect : 14S-12E-26
Legal Book/Page : 54-72
Legal Lot : 276
Market Area : 311
Last Market Sale Information
Recording/Sale Date : 06/02/2016 / 05/13/2016
Sale Price : $175,500
Document # : 1540194
Title Company : Catalina Title
Seller Name : Simmons Kathleen M
Prior Sale Information
Prior Rec/Sale Date : 09/30/2011 / 09/27/2011
Prior Sale Price : $129,000
Prior Doc Number : 2731119
APN : 212-27-2790
Subdivision : Tucson Mountain Sanctuary
Map Reference : 26-14S-12E
School District : Tucson Unified
Munic/Township : Tucson Unified
Deed Type : Warranty Deed
Price Per SqFt : $93.70
Prior Deed Type : Warranty Deed
Prior Lender : Flagstar Bk Fsb
Prior 1st Mtg Amt/Type : $125,729 / Fha
Customer Name : Chantel Cortez
Customer Company Name : FIRST AMERICAN TITLE Prepared On : 05/19/2025
Property Characteristics
Gross Area : 1,873 Garage Capacity : 3
Living Area : 1,873
Total Rooms : 7
Year Built / Eff : 2004
# of Stories : 1
Parking Type : Garage
Property Information
Land Use : Sfr
Information
Assessed Year : 2024
Patio Type : Covered Patio
Roof Material : Tile Air Cond : Refrigeration
Heat Type : Forced Air Quality : Good
Cooling Type : Forced Air Condition : Excellent
Exterior wall : Frame Wood Bath Fixtures : 8
Cortez
Census Tract / block: 44.35 / 2 Year: 2020
PIMA COUNTY
SEARCH PARAMETERS
PARCEL: 212-27-2790
PARCEL: 212-27-2790
OWNER: ROTZ KEVIN/RACHEL AFFIDAVIT 2016 1540194 06/02/2016
SITUS: 3612 S DESERT MOTIF RD PC
MAIL: 3612 W DESERT MOTIF RD
TUCSON AZ 85735
PLAT: LOT 00276 BLOCK
LEGAL: TUCSON MOUNTAIN SANCTUARY LOT 276
CURRENT TAXES
2016 1540194 WD SIMMONS KATHLEEN M 09/30/2011
2011 2731119 WD MEZA CARLOS C 04/20/2004 173,707 12284 4903 SW FIDELITY NATIONAL TITLE AG
ADDITIONAL PROPERTY INFORMATION
STANDARD LAND USE: SFR
END SEARCH
Covenants, Conditions & Restrictions
Thank you for the opportunity to be of service.
Restrictions indicating a preference, limitation or discrimination based on race, color, religion, sex, handicap, familial status, or national origin are hereby deleted to the extent such restrictions violate 42 USC 3604(c).
This information is furnished without fee and without benefit of a complete title search. No liability is assumed by First American Title. If it is desired that liability be assumed, you may apply for a policy of title insurance with First American Title Insurance Company.