Digital Listing Kit 750 W Ko Vaya Dr

Page 1


WIRE FRAUD ALERT THINK DIFFERENTLY

Email-based, real estate fraud schemes are on the rise. One common scenario is altering wiring instructions with the intention of rerouting funds.

Keeping this in mind, First American Title is changing the way we receive payment information. It is imperative that we are familiar with the people in our transactions.

RELYING ON EMAIL ALONE IS NO LONGER AN OPTION.

Fraudsters often use email to send falsified wire instructions to unsuspecting victims. Please warn your buyers and sellers to only follow wire instructions they receive personally from First American Title.

Additionally, we will not accept disbursement instructions for seller or buyer funds via email OR from any third party (attorney, real estate agent, etc).

ALTERNATIVE INSTRUCTIONS?

If your buyer or seller receives alternative wiring instructions that appear to be from First American Title, make sure they contact their escrow officer at a trusted phone number for confirmation.

Know that our wiring instructions do not change so any communication is suspect. Our banking institution is First American Trust.

IN SHORT – wire instructions will not be accepted by email. New wire instructions must be hand-carried or uploaded to the First American Secure Portal.

Thank you for joining First American Title in fostering a secure real estate transaction process. Have questions or concerns? Please contact our office or your escrow officer.

LIMITATION OF LIABILITY FOR INFORMATIONAL REPORTS

IMPORTANT -- PLEASE READ CAREFULLY:

This report is not an insured product or service or a representation of the condition of title to real property. It is not an abstract, legal opinion, opinion of title, title insurance commitment or preliminary report, or any form of Title Insurance or Guaranty. This report is issued exclusively for the benefit of the Applicant therefor and may not be used or relied upon by any other person. This report may not be reproduced in any manner without First Americans prior written consent. First American does not represent or warrant that the information herein is complete or free from error, and the information herein is provided without any warranties of any kind, as-is, and with all faults. As a material part of the consideration given in exchange for the issuance of this report, recipient agrees that First Americans sole liability for any loss or damage caused by an error or omission due to inaccurate information or negligence in preparing this report shall be limited to the fee charged for the report. Recipient accepts this report with this limitation and agrees that First American would not have issued this report but for the limitation of liability described above. First American makes no representation or warranty as to the legality or propriety of recipient's use of the information herein.

Disclaimer

This REiSource report is provided "as is" without warranty of any kind, either express or implied, including without limitations any warrantees of merchantability or fitness for a particular purpose. There is no representation of warranty that this information is complete or free from error, and the provider does not assume, and expressly disclaims, any liability to any person or entity for loss or damage caused by errors or omissions in this REiSource report without a title insurance policy.

The information contained in the REiSource report is delivered from your Title Company, who reminds you that you have the right as a consumer to compare fees and serviced levels for Title, Escrow, and all other services associated with property ownership, and to select providers accordingly. Your home is the largest investment you will make in your lifetime and you should demand the very best.

Subject Property :   750 W Ko Vaya Dr Tucson AZ 85704

Owner Information

Owner Name : Bluvstein Wesley J / Norris Jessica C

Mailing Address : 917 Stagecoach Dr, Georgetown TX 78628-2876 C009

Vesting Codes : / / Community Property

Owner Occupied Indicator : A

Location Information

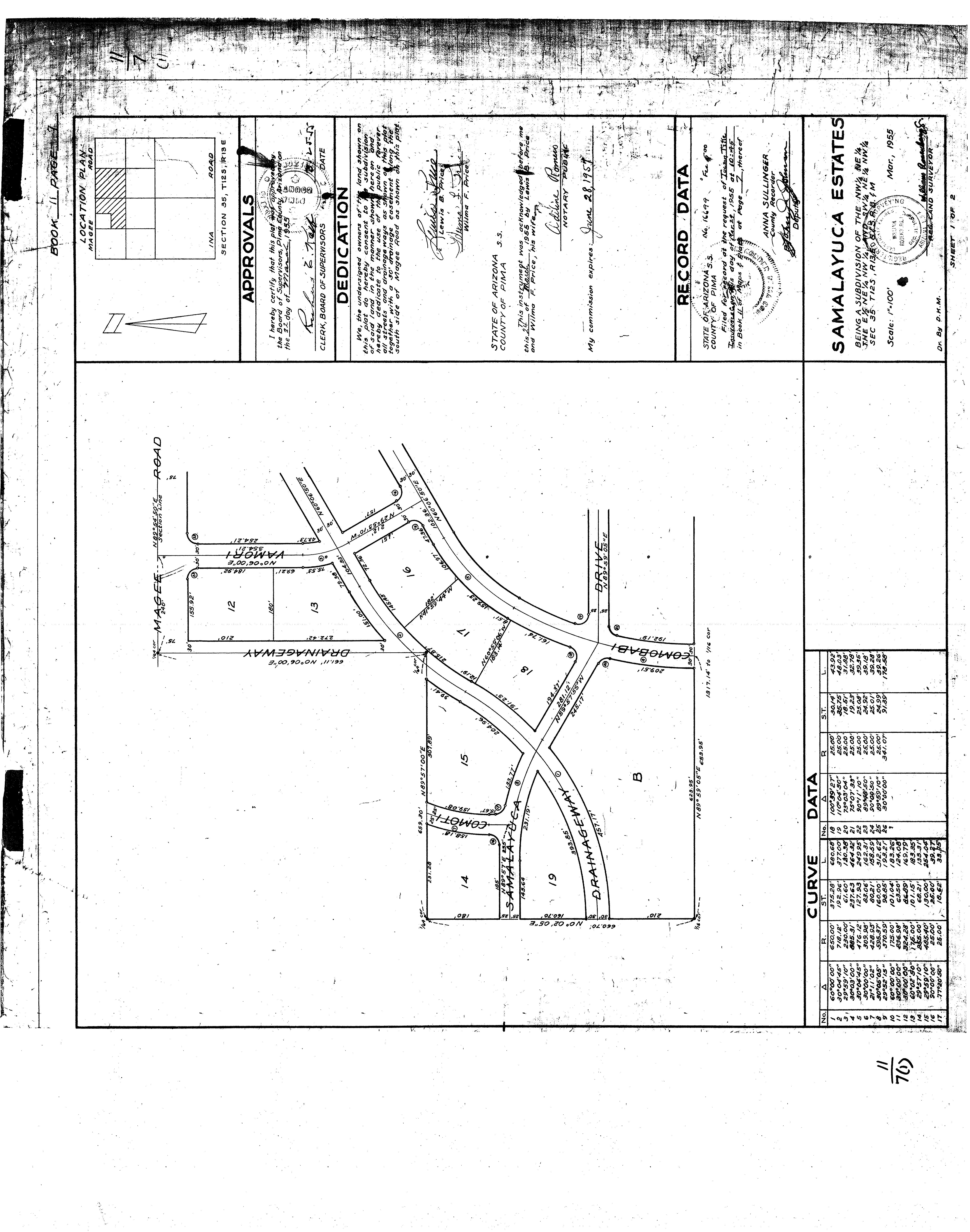
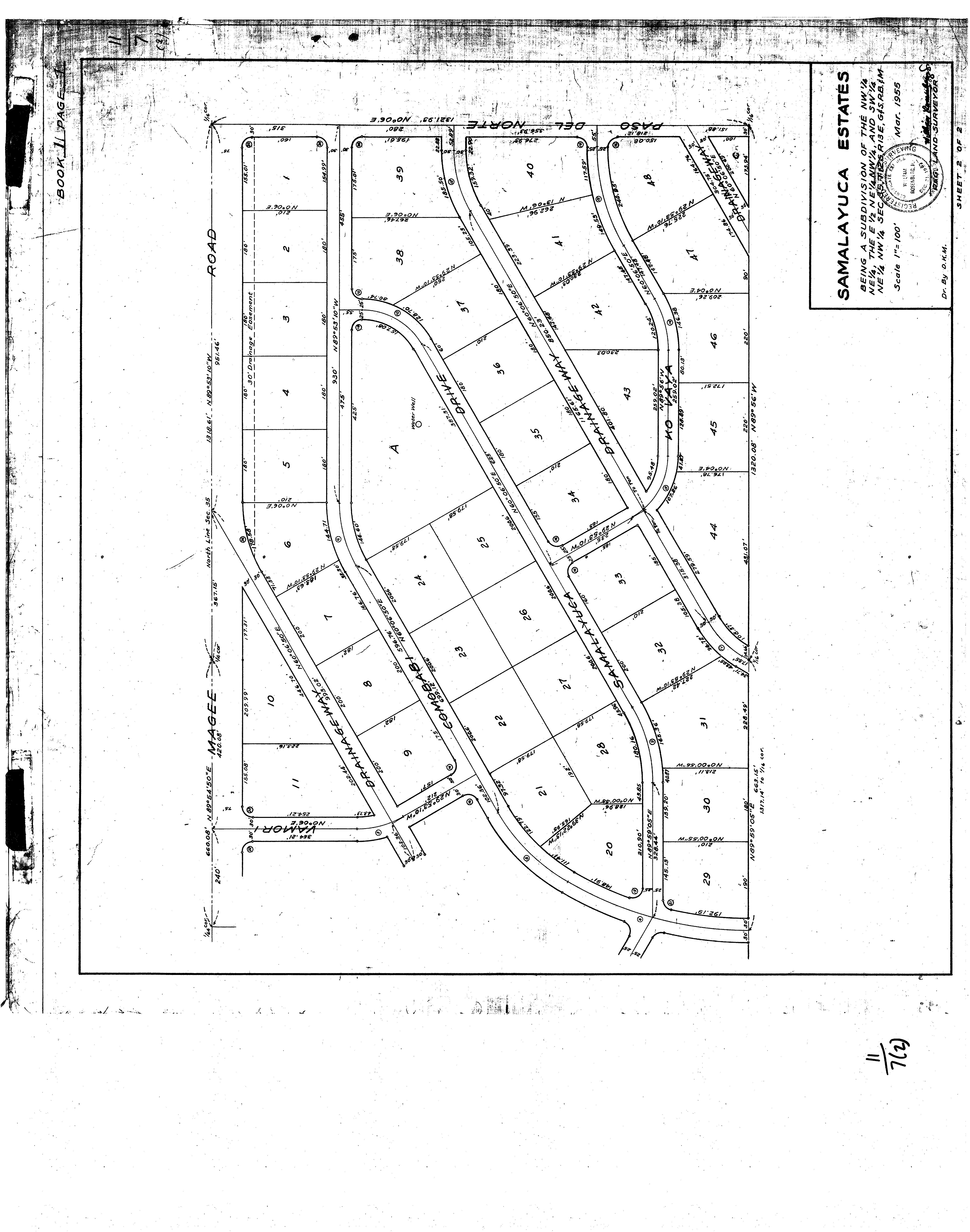
Legal Description : Samalayuca Estates Lot 41

County : Pima, Az

Census Tract / Block : 46.14 / 1

Township-Range- Sect : 12S-13E-35

Legal Book/Page : 11-7

Legal Lot : 41

Market Area : 11

Last Market Sale Information

Recording/Sale Date : 03/26/2021 / 03/17/2021

Sale Price : $434,000

APN : 225-49-0460

Subdivision : Samalayuca Estates

Map Reference : 35-12S-13E

School District : Amphitheater

Munic/Township : Amphitheater

1st Mtg Amount/Type : $390,600 / Cnv

1st Mtg Document # : 851155

Document # : 851154 1st Mtg Term : 30

Deed Type : Warranty Deed

Title Company : Signature Title

Seller Name : Kelly Garry D & Sonya A

Prior Sale Information

Prior Rec/Sale Date : 10/24/2011 / 09/28/2011

Prior Sale Price : $279,000

Prior Doc Number : 2970461

Price Per SqFt : $177.22

Prior Deed Type : Warranty Deed

Prior Lender : Gateway Fndg Div Mtg Svcs Lp

Prior 1st Mtg Amt/Type : $223,200 / Conv

Customer Name : Chantel Cortez

Customer Company Name : FIRST AMERICAN TITLE Prepared On : 07/08/2024

Property Characteristics

Gross Area : 2,449

Living Area : 2,449 Roof Material : Built-up

Total Rooms : 6 Heat Type : Forced Air

Year Built / Eff : 1965

# of Stories : 1

Parking Type : Carport

Property Information

Information

Cond : Refrigeration

Fair

Cooling Type : Forced Air Condition : Average

Exterior wall : Brick

Patio Type : None

Fixtures : 6

Leonardo
Vinci Way

Details of Comparables

Subject Property: 750 W Ko Vaya Dr Tucson Az 85704

Owner Name: Bluvstein Wesley J /Norris Jessica C

APN / Alternate APN: 225-49-0460 / Deed Type: Warranty Deed

Subdivision / Tract: Samalayuca Estates / Lot Size: 40,460

Rec. Date / Price: 03/26/2021 / $434,000 Living Area: 2,449

Document #: 851154

Total Tax Value: $386,175

#1   726 W Ko Vaya Dr Tucson Az 85704

Land Use: Sfr

Year Built / Eff: 1965 /

# of units:

Bedrooms: Pool: Pool

Bath(F/H): /

Owner Name: Mandel Daniel J /Itule Stephanie M

APN / Alternate APN: 225-49-0450 / Deed Type: Warranty Deed

Subdivision / Tract: Samalayuca Estates / Lot Size: 49,347

Rec. Date / Price: 03/18/2024 / $865,000 Living Area: 2,278

Document #: 780269

Total Tax Value: $320,990

#2   908 W San Martin Dr Tucson Az 85704

Owner Name: Burnett Erik /Burnett Melinda

Land Use: Sfr

Year Built / Eff: 1958 /

# of units:

Bedrooms: Pool:

Bath(F/H): /

APN / Alternate APN: 225-49-378A / Deed Type: Warranty Deed

Subdivision / Tract: Loma Alta Estates / Lot Size: 37,716

Rec. Date / Price: 05/02/2024 / $825,000 Living Area: 2,336

Document #: 1230007

Total Tax Value: $518,476

#3   1005 W Emerine Dr Tucson Az 85704

Land Use: Sfr

Year Built / Eff: 1993 /

# of units:

Bedrooms: Pool: Pool

Bath(F/H): /

Owner Name: Queen Ents Llc / APN / Alternate APN: 225-20-0240 / Deed Type: Special Warranty Deed

Subdivision / Tract: Sunset Estates / Lot Size: 35,903

Rec. Date / Price: 03/07/2024 / $843,750 Living Area: 2,764

Document #: 670259

Total Tax Value: $356,724

#4   1201 W Chapala Dr Tucson Az 85704

Owner Name: Panno Dax /Panno Angela

Land Use: Sfr

Year Built / Eff: 1982 /

# of units:

Bedrooms: Pool:

Bath(F/H): /

APN / Alternate APN: 225-49-2450 / Deed Type: Warranty Deed

Subdivision / Tract: Orange Grove Park / Lot Size: 36,783

Land Use: Sfr

Year Built / Eff: 1978 / Rec. Date / Price: 05/24/2024 / $705,000 Living Area: 2,709

Document #: 1450511

Total Tax Value: $439,523

# of units:

Bedrooms: Pool: Pool

Bath(F/H): / Customer Name : Chantel Cortez Customer Company Name : FIRST AMERICAN TITLE Prepared On : 07/08/2024

#5   7841 N Village Ave Tucson Az 85704

Owner Name: Asch Diane / APN / Alternate APN: 225-51-0560 / Deed Type: Warranty Deed

Subdivision / Tract: Suffolk Hills / Lot Size: 37,309

Land Use: Sfr

Year Built / Eff: 1977 / Rec. Date / Price: 03/28/2024 / $565,000 Living Area: 2,160

Document #: 880379

Total Tax Value: $363,053

#6   7561 N Obregon Dr Tucson Az 85704

# of units:

Bedrooms: Pool:

Bath(F/H): /

Owner Name: Teachout Laurie A / APN / Alternate APN: 225-49-2040 / Deed Type: Warranty Deed

Subdivision / Tract: Orange Grove Park / Lot Size: 40,945

Land Use: Sfr

Year Built / Eff: 1959 / Rec. Date / Price: 04/26/2024 / $555,000 Living Area: 2,224

Document #: 1170542

Total Tax Value: $369,735

Bedrooms:

Bath(F/H): /

#7   7375 N Wanda Vista Way Tucson Az 85704

Owner Name: Parker S M & S H Trust / APN / Alternate APN: 225-48-0070 / Deed Type: Warranty Deed

Subdivision / Tract: / Lot Size: 44,703

Rec. Date / Price: 09/15/2023 / $634,900 Living Area: 2,445

Document #: 2580428

Total Tax Value: $418,135

#8   1120 W Kelting Dr Tucson Az 85704

# of units:

Pool

Land Use: Sfr

Year Built / Eff: 1973 /

# of units:

Bedrooms: Pool: Pool

Bath(F/H): /

Owner Name: Hallinan William /Hallinan Joane

APN / Alternate APN: 225-20-0840 / Deed Type: Warranty Deed

Subdivision / Tract: Sunset Manor / Lot Size: 53,886

Land Use: Sfr

Year Built / Eff: 1959 / Rec. Date / Price: 12/04/2023 / $405,000 Living Area: 2,707

Document #: 3380446

Total Tax Value: $418,104

#9   7412 N Ellison Dr Tucson Az 85704

# of units:

Bedrooms: Pool: Pool

Bath(F/H): /

Owner Name: Ramirez Peter Anthony /Williams Edward

APN / Alternate APN: 225-49-2130 / Deed Type: Warranty Deed

Subdivision / Tract: Orange Grove Park / Lot Size: 34,964

Land Use: Sfr

Year Built / Eff: 1959 / Rec. Date / Price: 08/09/2023 / $575,000 Living Area: 2,791

Document #: 2210215

Total Tax Value: $431,292

#10   950 W Ina Rd Tucson Az 85704

Bedrooms:

Bath(F/H): /

Owner Name: Sw Prop Co Llc / APN / Alternate APN: 225-49-3940 / Deed Type: Warranty Deed

Subdivision / Tract: Casas Cananea / Lot Size: 33,932

# of units:

Pool: Pool

Land Use: Sfr

Year Built / Eff: 1963 / Rec. Date / Price: 03/05/2024 / $385,000 Living Area: 2,428

Document #: 650499

Total Tax Value: $345,754

Bedrooms:

# of units:

Pool:

Bath(F/H): / Customer Name : Chantel Cortez Customer Company Name : FIRST AMERICAN TITLE Prepared On : 07/08/2024

#11   8422 N Yellowstone Ave Tucson Az 85704

Owner Name: Caldwell James /Caldwell Kristen

APN / Alternate APN: 225-15-0420 / Deed Type: Warranty Deed

Subdivision / Tract: Fairhaven Village Amd / Lot Size: 40,516

Rec. Date / Price: 11/17/2023 / $584,500 Living Area: 2,278

Document #: 3210386

Total Tax Value: $363,541

#12   226 W Ocotillo Vis Tucson Az 85704

Bedrooms:

Bath(F/H): /

Owner Name: Evans Michael /Evans Melanie

APN / Alternate APN: 225-51-2480 / Deed Type: Warranty Deed

Subdivision / Tract: Catalina Village 01 / Lot Size: 36,528

Land Use: Sfr

Year Built / Eff: 1970 /

# of units:

Pool

Land Use: Sfr

Year Built / Eff: 1953 / Rec. Date / Price: 10/12/2023 / $605,000 Living Area: 2,153

Document #: 2850142

Total Tax Value: $376,735

# of

Bedrooms:

Bath(F/H): /

#13   7205 N Leonardo Da Vinci Way Tucson Az 85704

Owner Name: Montanez Oscar /Montanez Maria

APN / Alternate APN: 225-49-3000 / Deed Type: Warranty Deed

Subdivision / Tract: Tangerine Acres / Lot Size: 38,012

Land Use: Sfr

Year Built / Eff: 1960 / Rec. Date / Price: 10/31/2023 / $610,000 Living Area: 2,575

Document #: 3040600

Total Tax Value: $455,077

#14   7020 N Via Pisa Tucson Az 85704

Owner Name: Barba Ashley /Barba Jason

Bedrooms:

Bath(F/H): /

APN / Alternate APN: 102-04-0530 / Deed Type: Warranty Deed

Subdivision / Tract: Casas Adobes Estates / Lot Size: 53,926

Rec. Date / Price: 03/04/2024 / $439,999 Living Area: 2,212

Document #: 640381

Total Tax Value: $400,173

Bedrooms:

Bath(F/H): /

# of units:

Pool: Pool

Land Use: Sfr

Year Built / Eff: 1964 /

# of units:

Pool: Pool

Name : Chantel Cortez

: FIRST AMERICAN TITLE Prepared On : 07/08/2024

Customer Name : Chantel

Customer Company Name : FIRST AMERICAN

Prepared On : 07/08/2024

Cortez

726 W KO VAYA DR

Owner Name : Mandel Daniel J

Sale Date : 11/27/2023

0.03 Miles

Subdivision : Samalayuca Estates

Recording Date : 03/18/2024

Total Value : $320,990 Sale Price  : $865,000

Bed / Bath : / 2

Land Use : Sfr

Stories : 1

Blt / Eff Yr Blt : 1958 /

776 W KO VAYA DR

Owner Name : Thomas Walter L

Sale Date : 06/16/2015

Tax : $3,294.15

Acres : 1.13

Area : 2,278

225-49-0450

0.04 Miles

Subdivision : Samalayuca Estates

Recording Date : 06/26/2015

Total Value : $429,064 Sale Price  : $320,000

Bed / Bath : / 3

Land Use : Sfr

Stories : 1

Blt / Eff Yr Blt : 1959 /

775 W SAMALAYUCA DR

Owner Name : Walther William J

Sale Date : 09/00/2002

Total Value : $303,711

Bed / Bath : / 2

Land Use : Sfr

Stories : 1

Tax : $4,317.53

Acres : 1.18

Area : 2,336

0.05 Miles

Subdivision : Samalayuca Estates

Recording Date : 09/27/2002

Sale Price  : $199,900

Property Tax : $2,988.84

Acres : 0.90

Living Area : 1,946

Yr Blt / Eff Yr Blt : 1955 / APN : 225-49-0420

741 W KO VAYA DR Distance 0.06 Miles

Owner Name : Cardy Dale H

Sale Date : 12/00/2003

Total Value : $361,713

Subdivision : Samalayuca Estates

Recording Date : 12/08/2003

Sale Price  : $235,000

Bed / Bath : / 2 Property Tax : $3,399.94

Land Use : Sfr Lot Acres : 1.01

Stories : 1

Living Area : 2,235

Yr Blt / Eff Yr Blt : 1958 / APN : 225-49-0530

Customer Name : Chantel Cortez

Customer Company Name : FIRST AMERICAN TITLE Prepared On : 07/08/2024

801 W SAMALAYUCA DR

Owner Name : Gerhart Agreement

Sale Date : 03/20/2002

Total Value : $366,604

0.07 Miles

Subdivision : Samalayuca Estates

Recording Date : 03/28/2002

Sale Price  : $170,000

Bed / Bath : / 2 Property Tax : $3,549.56

Land Use : Sfr Lot Acres : 0.88

Stories : 1

Area : 2,658 Yr Blt / Eff Yr Blt : 1955 / APN : 225-49-0410

751 W COMOBABI DR Distance 0.07 Miles

Owner Name : Garcia Anthony C

Sale Date : 10/16/2009

Subdivision : Samalayuca Estates

Recording Date : 10/28/2009

Total Value : $414,996 Sale Price  : $375,000

Bed / Bath : / 2

Land Use : Sfr

Stories : 1

Tax : $4,354.19

Acres : 1.21

Area : 2,514 Yr Blt / Eff Yr Blt : 1957 / APN : 225-49-0430

761 W KO VAYA DR Distance 0.07 Miles

Owner Name : Bourne

Sale Date : 04/00/1987

Total Value : $550,683

Bed / Bath : / 4

Land Use : Sfr

Stories : 1

Subdivision : Samalayuca Estates

Recording Date : 04/09/1987

Sale Price  : $154,000

Property Tax : $6,324.49

Lot Acres : 0.94

Living Area : 3,603

Yr Blt / Eff Yr Blt : 1969 / APN : 225-49-0520

725 W COMOBABI DR Distance 0.08 Miles

Owner Name : Garelick Amy H

Sale Date : 03/14/2012

Total Value : $418,837

Bed / Bath : / 3

Land Use : Sfr

Stories : 1

Subdivision : Samalayuca Estates

Recording Date : 03/30/2012

Sale Price  : $305,000

Property Tax : $4,357.49

Lot Acres : 1.00

Living Area : 2,984

Yr Blt / Eff Yr Blt : 1958 / APN : 225-49-0440

Customer Name : Chantel Cortez

Customer Company Name : FIRST AMERICAN TITLE Prepared On : 07/08/2024

Owner Name : De Filippo Arthur J

Sale Date : 10/17/1988

Total Value : $406,788

Bed / Bath : / 3

Land Use : Sfr

Subdivision : Samalayuca Estates

Recording Date : 10/17/1988

Sale Price  : $125,000

Property Tax : $4,238.49

Lot Acres : 1.06

Stories : 1 Living Area : 2,784 Yr Blt / Eff Yr Blt : 1965 / APN : 225-49-0480 Customer Name : Chantel Cortez Customer Company Name : FIRST AMERICAN TITLE Prepared On : 07/08/2024

Census Tract / block: 46.14 / 1     Year: 2020

Arizona Schools

PIMA COUNTY

SEARCH PARAMETERS

PARCEL:  225-49-0460

PARCEL: 225-49-0460

OWNER: BLUVSTEIN WESLEY & NORRIS J  AFFIDAVIT    2021 851154 03/26/2021

SITUS: 750 W KO VAYA DR PC

MAIL: 750 W KO VAYA DR

PLAT: LOT 00041 BLOCK 0

LEGAL: SAMALAYUCA ESTATES LOT 41

CURRENT TAXES

ADDITIONAL PROPERTY INFORMATION STANDARD LAND USE: SFR

2011 2970461 WD LUTGENDORF ROBERT R/B E

10556 2094 D STANGHELLINI MICHAEL E/JOA

Covenants, Conditions & Restrictions

Thank you for the opportunity to be of service.

Restrictions indicating a preference, limitation or discrimination based on race, color, religion, sex, handicap, familial status, or national origin are hereby deleted to the extent such restrictions violate 42 USC 3604(c).

This information is furnished without fee and without benefit of a complete title search. No liability is assumed by First American Title. If it is desired that liability be assumed, you may apply for a policy of title insurance with First American Title Insurance Company.

Turn static files into dynamic content formats.

Create a flipbook
Issuu converts static files into: digital portfolios, online yearbooks, online catalogs, digital photo albums and more. Sign up and create your flipbook.
Digital Listing Kit 750 W Ko Vaya Dr by PropertyResearchAZ - Issuu