Digital Listing Kit 6569 E. Calle Cavalier

Page 1

Data Provided By:

First American Title Ins Co

6569 E Calle Cavalier Tucson AZ 85715 APN: 133-14-0740
Subject Property
© 2023 CoreLogic. All rights reserved

WIRE FRAUD ALERT THINK DIFFERENTLY

Email-based, real estate fraud schemes are on the rise. One common scenario is altering wiring instructions with the intention of rerouting funds.

Keeping this in mind, First American Title is changing the way we receive payment information. It is imperative that we are familiar with the people in our transactions.

RELYING ON EMAIL ALONE IS NO LONGER AN OPTION.

Fraudsters often use email to send falsified wire instructions to unsuspecting victims. Please warn your buyers and sellers to only follow wire instructions they receive personally from First American Title.

Additionally, we will not accept disbursement instructions for seller or buyer funds via email OR from any third party (attorney, real estate agent, etc).

ALTERNATIVE INSTRUCTIONS?

If your buyer or seller receives alternative wiring instructions that appear to be from First American Title, make sure they contact their escrow officer at a trusted phone number for confirmation.

Know that our wiring instructions do not change so any communication is suspect. Our banking institution is First American Trust.

IN SHORT – wire instructions will not be accepted by email. New wire instructions must be hand-carried or uploaded to the First American Secure Portal.

Thank you for joining First American Title in fostering a secure real estate transaction process. Have questions or concerns? Please contact our office or your escrow officer.

For more information please contact your First American representative. www.firstam.com

01100180621
NOT TRUST EMAILED INSTRUCTIONS YOU
IN THE REAL ESTATE CLOSING PROCESS
DO
SHOULD BE AWARE OF PRECAUTIONS
First American Title Insurance Company, and the operating divisions thereof, make no express or implied warranty respecting the information presented and assume no responsibility for errors or omissions. First American, the eagle logo, First American Title, and firstam.com are registered trademarks or trademarks of First American Financial Corporation and/or its affiliates. ©2023 First American Financial Corporation and/or its affiliates. All rights reserved. NYSE: FAF

LIMITATION OF LIABILITY FOR INFORMATIONAL REPORTS

IMPORTANT -- PLEASE READ CAREFULLY:

This report is not an insured product or service or a representation of the condition of title to real property. It is not an abst ract, legal opinion, opinion of title, title insurance commitment or preliminary report, or any form of Title Insurance or Guaranty. This report is issued exclusively for the benefit of the Applicant therefor and may not be used or relied upon by any other person. This report may not be reproduced in any manner without First American or Title Security's prior written consent. First American or Title Security does not represent or warrant that the information herein is complete or free from error, and the information herein is provided without any warranties of any kind, as-is, and with all faults. As a material part of the consideration given in exchange for the issuance of this report, recipient agrees that First American or Title Security's sole liability for any loss or damage caused by an error or omission due to inaccurate information or negligence in preparing this report shall be limited to the fee charged for the report. Recipient accepts this report with this limitation and agrees that First American or Title Security would not have issued this report but for the limitation of liability described above. First American or Title Security makes no representation or warranty as to the legality or propriety of recipient's use of the information herein.

Disclaimer

This REiSource report is provided "as is" without warranty of any kind, either express or implied, including without limitations any warrantees of merchantability or fitness for a particular purpose. There is no representation of warranty that this information is complete or free from error, and the provider does not assume, and expressly disclaims, any liability to any person or entity for loss or damage caused by errors or omissions in this REiSource report without a title insurance policy.

The information contained in the REiSource report is delivered from your Title Company, who reminds you that you have the right as a consumer to compare fees and serviced levels for Title, Escrow, and all other services associated with property ownership, and to select providers accordingly. Your home is the largest investment you will make in your lifetime and you should demand the very best.

Data Provided By: First American Title Ins Co
© 2023 CoreLogic. All rights reserved

Subject Property :   6569 E Calle Cavalier Tucson AZ 85715

Owner Information

Owner Name : Brammer John F / Brammer Jill D

Mailing Address : 3663 Grand Ave #208, Des Moines IA 50312-4337 C011

Vesting Codes : / / Revocable Trust

Owner Occupied Indicator : A

Location Information

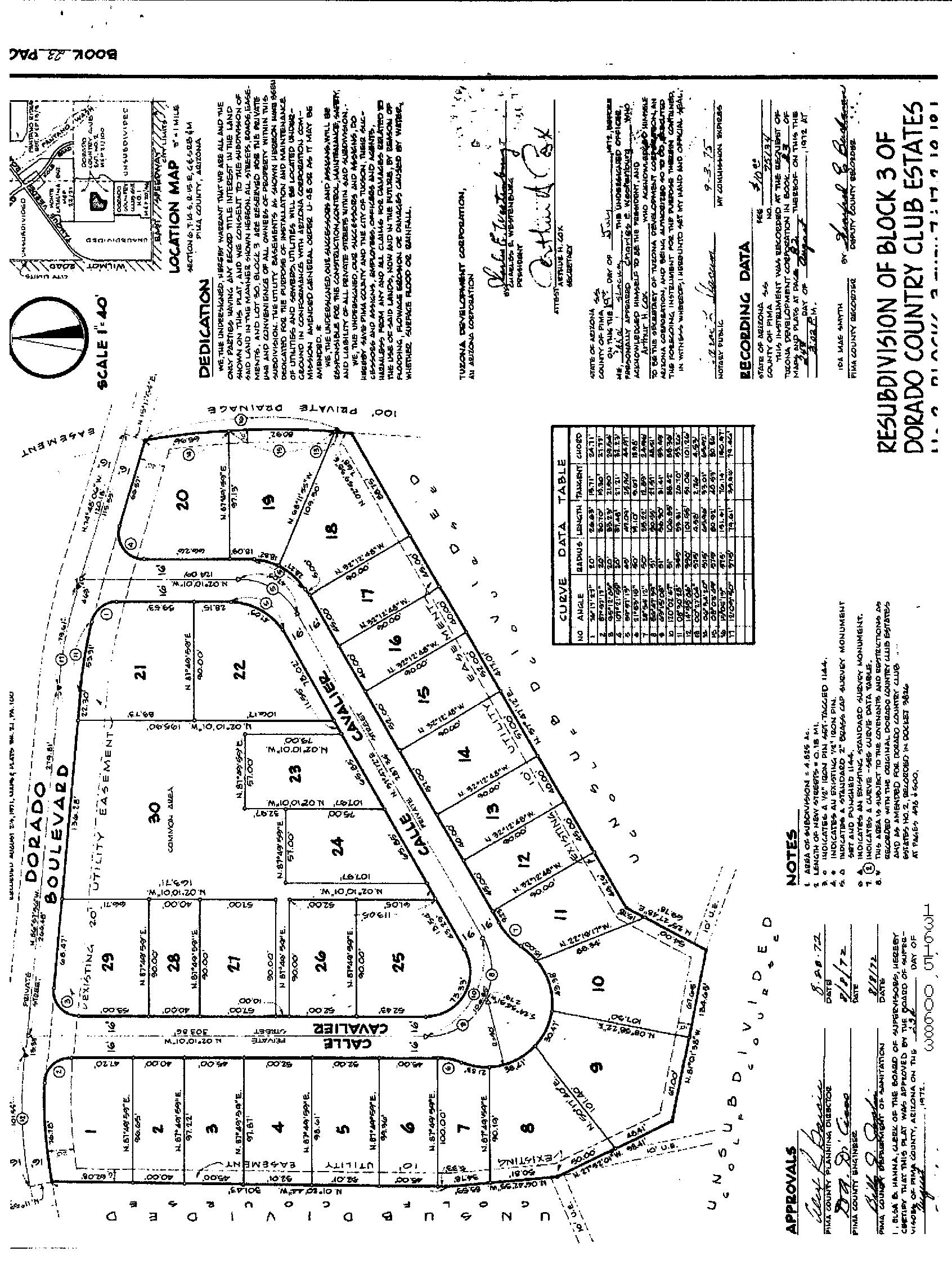
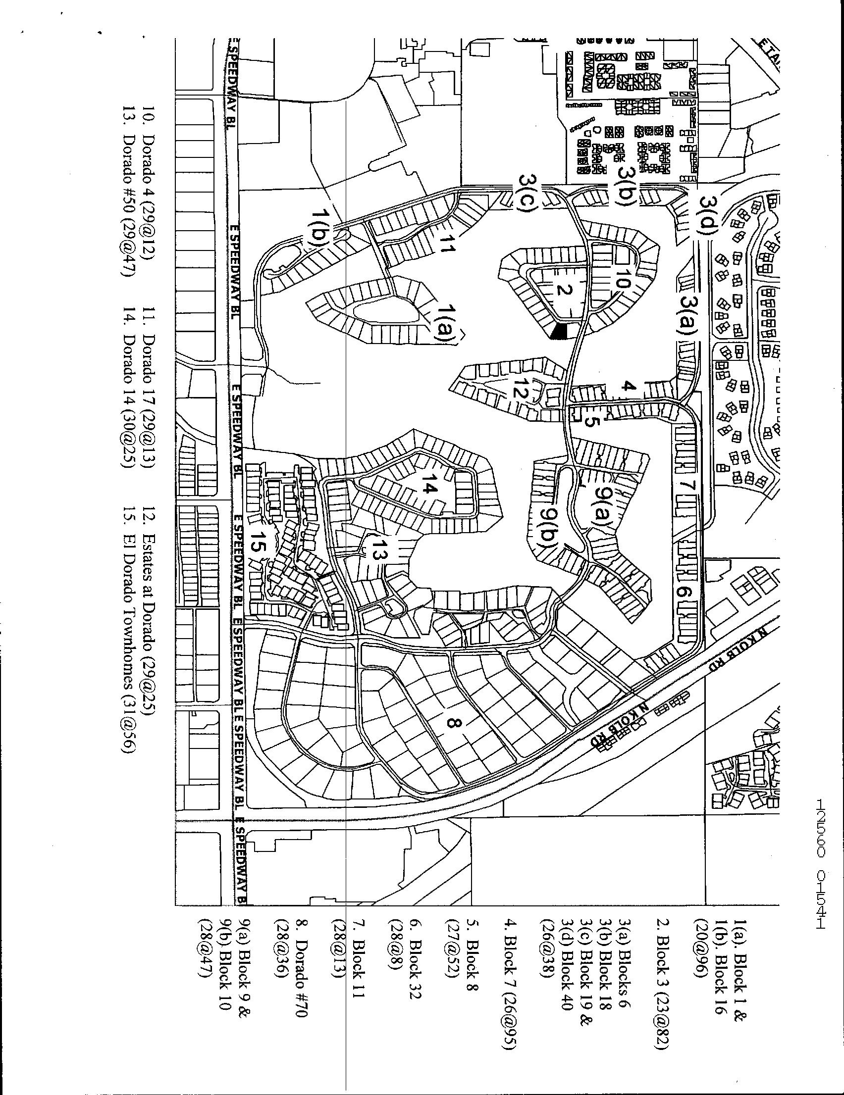
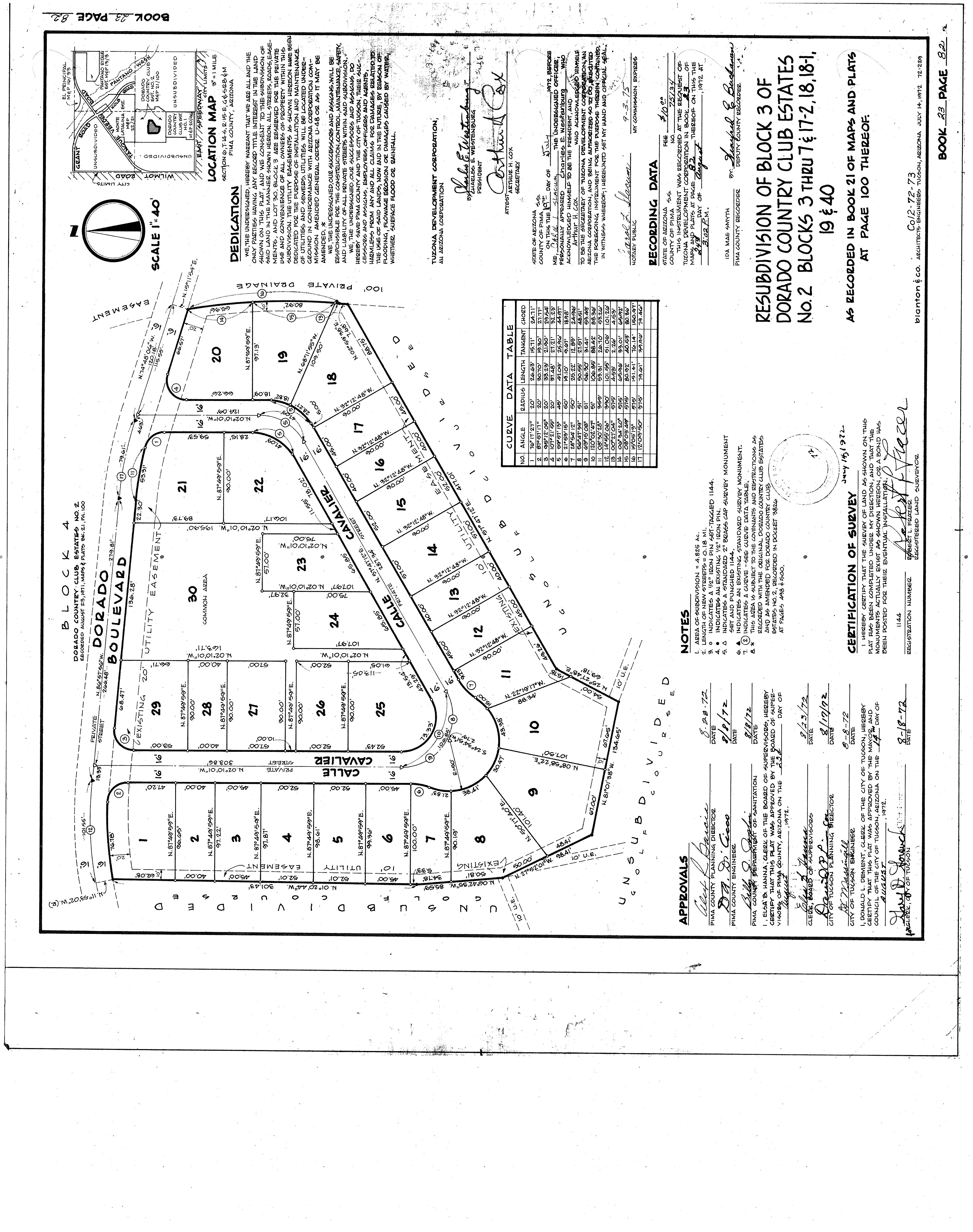
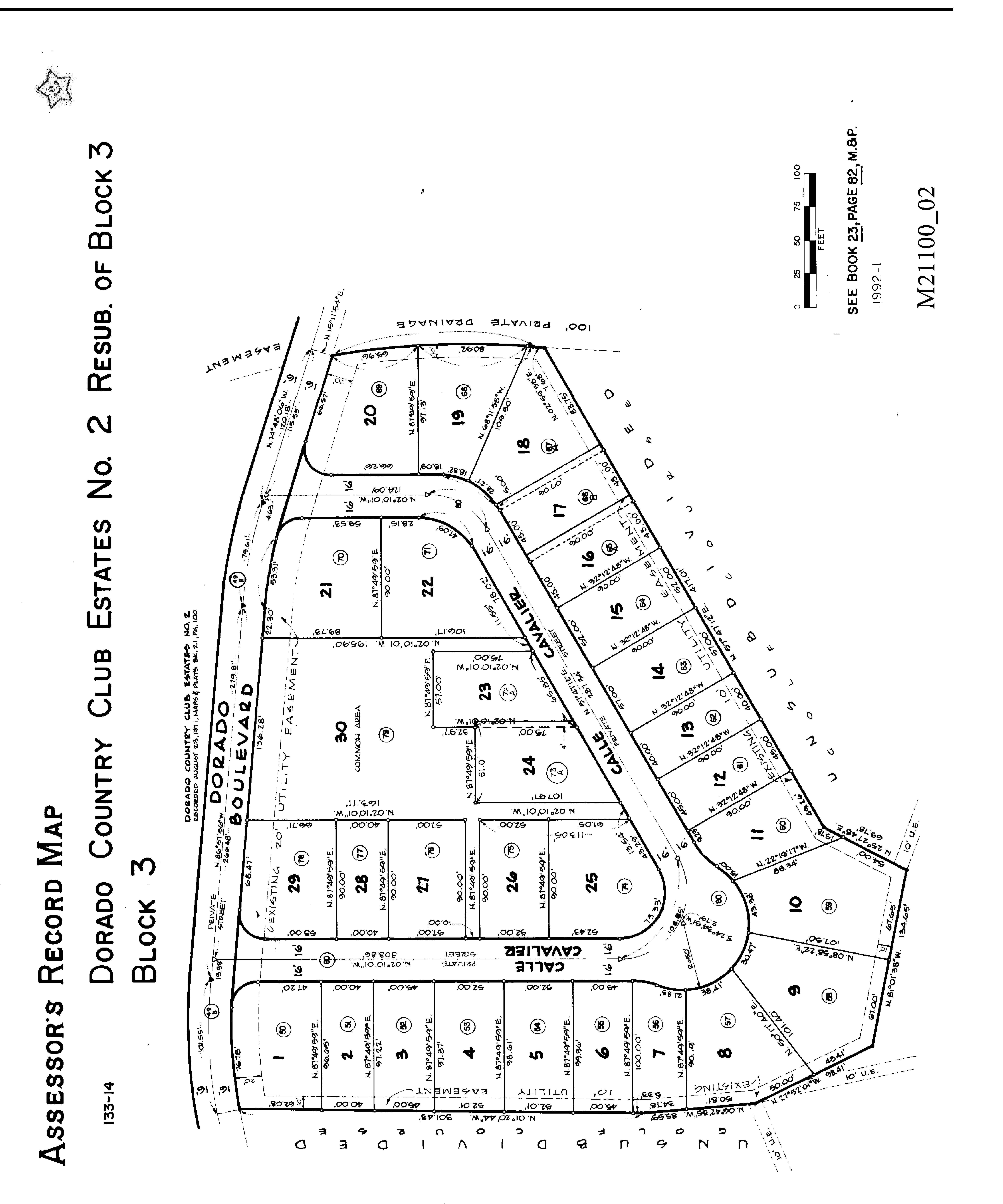
Legal Description : Dorado Country Club Estates No 2 Blk 3 Resub Lot 25

County : Pima, Az

Census Tract / Block : 40.67 / 1

Township-Range- Sect : 14S-15E-6

Legal Book/Page : 23-82

Legal Lot : 25

Legal Block : 3

Owner Transfer Information

Recording/Sale Date : 04/19/2021 / 04/19/2021

Document # : 1090670

Last Market Sale Information

Recording/Sale Date : 04/23/2012 / 04/13/2012

Sale Price : $140,000

Document # : 1140019

Title Company : Title Security Inc

Seller Name : Essroger J K 1998 Trust

Prior Sale Information

Prior Rec/Sale Date : 01/27/1993 / 01/00/1993

Prior Sale Price : $108,000

Prior Doc Number : 9466-1614

Prior Deed Type : Warranty Deed

Market Area : 80

APN : 133-14-0740

Subdivision : Dorado Country Club Estates

Map Reference : 06-14S-15E

School District : Tucson Unified

Munic/Township : Tucson Unified

Deed Type : Special Warranty Deed

Deed Type : Warranty Deed

Price Per SqFt : $78.74

Prior Lender : Stanchart Mtg Co

Prior 1st Mtg Amt/Type : $86,400 / Conv

Prior 1st Mtg Rate/Type : / Fixed Rate Loan

Customer Name : Chantel Cortez Customer Company Name : FIRST AMERICAN TITLE Prepared On : 09/18/2023 © 2023 CoreLogic. All rights reserved

Property Characteristics

Gross Area : 1,778

Living Area : 1,778

Year Built / Eff : 1983

# of Stories : 1

Garage Capacity : 2

Roof Material : Built-up

Patio Type : Covered Patio

Air Cond : Refrigeration

Heat Type : Forced Air Quality : Fair

Cooling Type : Forced Air Condition : Average

Parking Type : Garage Exterior wall : Stucco Bath Fixtures : 6

Property Information

Land Use : Condominium Zoning : O-3

County Use : Condominiumstownhouse Lot Acres : 0.11

Tax Information

Total Value : $206,298

Property Tax : $2,787.38

Total Taxable Value : $20,013 Tax Rate Area : 0150

Assessed Year : 2022

Tax Year : 2022

Market Value : $206,298

Current Assessed Year : 2024

Lot Size : 4,948

State Use : Condominiumstownhouse

Current Year Total Value : $30,424

Current Year Improvement Value :

$30,373

Current Year Land Value : $50

© 2023 CoreLogic. All rights reserved
Customer Name : Chantel Cortez Customer Company Name : FIRST AMERICAN TITLE Prepared On : 09/18/2023
Criteria Subject Property Low High Average Sale Price $140,000 $170,000 $406,000 $320,807 Bldg/Living Area 1778 1558 2024 1684 Price Per Square Foot $78.74 $106 $250 $191.30 Year Built 1983 1970 1982 1977 Lot Size 4,948 1,784 6,910 4,173 Bedrooms Bathrooms 2 2 3 2 Stories 1 1 2 1 Total Assessed Value $206,298 $148,170 $214,918 $185,853 Distance From Subject 0 0.06 0.66 0.37 Summary of Comparables # Address Sale Price Total Assessed Value Sale Date Bed Bath Living Area Lot Size Year Built Dist (Miles) Zoning S 6569 E Calle Cavalier 140,000 206,298 04/23/2012 2 1,778 4,948 1983 O-3 1 6629 E Calle Cavalier 350,000 214,918 10/26/2022 2 2,024 6,910 1980 0.06 O-3 2 1320 N Dorado Way 266,000 214,040 03/17/2023 3 1,754 6,087 1979 0.12 O-3 3 1551 N Via Dorado 345,000 203,185 12/01/2022 2 1,711 3,582 1975 0.15 O-3 4 1174 N Dorado Vista Dr 389,000 198,627 01/13/2023 3 1,591 6,108 1972 0.22 O-3 5 6734 E Via Dorado 370,000 202,233 10/28/2022 2 1,684 4,345 1976 0.25 O-3 6 6815 E Calle De Plata 406,000 208,115 03/02/2023 2 1,721 5,152 1978 0.3 O-3 7 1332 N Via Ronda Oriente 400,000 199,296 06/19/2023 3 1,597 6,334 1979 0.32 R-3 8 6770 E Camino Del Dorado 330,000 175,470 01/20/2023 2 1,609 2,991 1982 0.38 R-3 9 6819 E Dorado Ct 385,000 182,958 10/17/2022 3 1,619 1,838 1981 0.39 R-3 10 6888 E Via Dorado 300,000 202,250 12/02/2022 2 1,687 4,386 1977 0.42 O-3 11 6873 E Dorado Ct 342,816 179,540 06/28/2023 3 1,609 3,051 1982 0.43 R-3 Customer Name : Chantel Cortez Customer Company Name : FIRST AMERICAN TITLE Prepared On : 09/18/2023 © 2023 CoreLogic. All rights reserved
Sales Analysis
12 1089 N Caribe Ave 274,900 164,978 06/02/2023 2 1,882 4,356 1970 0.43 R-2 13 6891 E Dorado Ct 170,000 179,480 04/19/2023 3 1,608 3,128 1982 0.44 R-3 14 6832 E Speedway Blvd 250,000 158,011 04/06/2023 2 1,670 4,075 1972 0.47 R-2 15 1022 N Caribe Ave 275,000 166,237 10/31/2022 2 1,650 3,441 1973 0.54 R-2 16 1417 N Alamo Pl 265,000 148,170 01/17/2023 2 1,558 3,371 1976 0.64 R-2 17 2114 N Calle De La Cienega 335,000 161,994 08/28/2023 3 1,648 1,784 1979 0.66 O-3 Distressed Sales = Map Customer Name : Chantel Cortez Customer Company Name : FIRST AMERICAN TITLE Prepared On : 09/18/2023 © 2023 CoreLogic. All rights reserved

Details of Comparables

Subject Property: 6569 E Calle Cavalier Tucson Az 85715

Owner Name: Brammer John F /Brammer Jill D

#1   6629 E Calle Cavalier Tucson Az 85715

Owner Name: Epmc Llc /

#2   1320 N Dorado Way Tucson Az 85715

Owner Name: Gee Jordan N /

#3   1551 N Via Dorado Tucson Az 85715

Owner Name: Viger Dennis J /Viger Julianne

#4   1174 N Dorado Vista Dr Tucson Az 85715

Owner Name: Walters Lanning & Famil / APN / Alternate APN: 133-14-0840 / Deed Type: Warranty Deed

APN
Type: Warranty
Land Use: Condominium Subdivision / Tract: Dorado Country Club Estates / Lot Size: 4,948 Year Built / Eff: 1983 / Rec. Date / Price: 04/23/2012
$140,000 Living Area: 1,778 # of units: Document #: 1140019 Bedrooms: Pool: Total Tax Value: $206,298 Bath(F/H): /
/ Alternate APN: 133-14-0740 / Deed
Deed
/
APN
Type:
Land Use: Condominium Subdivision / Tract: Dorado Country Club Estates / Lot Size: 6,910 Year Built / Eff: 1980 / Rec. Date / Price: 10/26/2022 / $350,000 Living Area: 2,024 # of units: Document #: 2990641 Bedrooms: Pool: Total Tax Value: $214,918 Bath(F/H): /
/ Alternate APN: 133-14-0700 / Deed
Warranty Deed
APN / Alternate
Deed Type: Warranty Deed Land Use: Condominium Subdivision / Tract: Dorado 17 / Lot Size: 6,087 Year Built / Eff: 1979 / Rec. Date / Price: 03/17/2023 / $266,000 Living Area: 1,754 # of units: Document #: 760156 Bedrooms: Pool: Total Tax Value: $214,040 Bath(F/H): /
APN: 133-14-5070 /
APN
Land Use: Condominium Subdivision / Tract: Dorado Country Club Estates / Lot Size: 3,582 Year Built / Eff: 1975 / Rec. Date / Price: 12/01/2022 / $345,000 Living Area: 1,711 # of units: Document #: 3350211 Bedrooms: Pool: Total Tax Value: $203,185 Bath(F/H): /
/ Alternate APN: 133-14-1860 / Deed Type: Warranty Deed
Land Use: Condominium Subdivision / Tract: Dorado Country Club Estates / Lot Size: 6,108 Year Built / Eff: 1972 / Rec. Date / Price: 01/13/2023 / $389,000 Living Area: 1,591 # of units: Document #: 130335 Bedrooms: Pool: Total Tax Value: $198,627 Bath(F/H): /
Customer
AMERICAN
© 2023 CoreLogic.
Customer Name : Chantel Cortez
Company Name : FIRST
TITLE Prepared On : 09/18/2023
All rights reserved

Owner Name: Trevet Pierre /Douville Francine

#5   6734 E Via Dorado Tucson Az 85715
APN / Alternate APN: 133-14-2880 / Deed Type: Warranty Deed Land Use: Condominium Subdivision / Tract: Dorado Country Club Estates / Lot Size: 4,345 Year Built / Eff: 1976 / Rec. Date / Price: 10/28/2022 / $370,000 Living Area: 1,684 # of units: Document #: 3010182 Bedrooms: Pool: Total Tax Value: $202,233 Bath(F/H): /
85715 Owner Name: Kingsley Family Trust / APN / Alternate APN: 133-14-4410 / Deed Type: Warranty Deed Land Use: Condominium Subdivision / Tract: Dorado Country Club Estates / Lot Size: 5,152 Year Built / Eff: 1978 / Rec. Date / Price: 03/02/2023 / $406,000 Living Area: 1,721 # of units: Document #: 610290 Bedrooms: Pool: Total Tax Value: $208,115 Bath(F/H): /
85715
Name:
APN / Alternate APN: 133-14-6030 / Deed Type: Warranty Deed Land Use: Condominium Subdivision / Tract: Dorado 14 / Lot Size: 6,334 Year Built / Eff: 1979 / Rec. Date / Price: 06/19/2023 / $400,000 Living Area: 1,597 # of units: Document #: 1700325 Bedrooms: Pool: Total Tax Value: $199,296 Bath(F/H): / #8   6770 E Camino Del Dorado Tucson Az 85715 Owner Name: Cresci Trust / APN / Alternate APN: 133-14-7270 / Deed Type: Warranty Deed Land Use: Condominium Subdivision / Tract: El Dorado Twnhms / Lot Size: 2,991 Year Built / Eff: 1982 / Rec. Date / Price: 01/20/2023 / $330,000 Living Area: 1,609 # of units: Document #: 200227 Bedrooms: Pool: Total Tax Value: $175,470 Bath(F/H): / #9   6819 E Dorado Ct Tucson Az 85715 Owner Name: Shoaf Guy S /Shoaf Margot U APN / Alternate APN: 133-14-6860 / Deed Type: Warranty Deed Land Use: Condominium Subdivision / Tract: El Dorado Twnhms / Lot Size: 1,838 Year Built / Eff: 1981 / Rec. Date / Price: 10/17/2022 / $385,000 Living Area: 1,619 # of units: Document #: 2900323 Bedrooms: Pool: Total Tax Value: $182,958 Bath(F/H): / Customer Name : Chantel Cortez Customer Company Name : FIRST AMERICAN TITLE Prepared On : 09/18/2023 © 2023 CoreLogic. All rights reserved
#6   6815 E Calle De Plata Tucson Az
#7   1332 N Via Ronda Oriente Tucson Az
Owner
Tomlinson Carol L /
APN / Alternate APN: 133-14-3100 / Deed Type: Warranty Deed Land Use: Condominium Subdivision / Tract: Dorado Country Club Estates / Lot Size: 4,386 Year Built / Eff: 1977 / Rec. Date / Price: 12/02/2022 / $300,000 Living Area: 1,687 # of units: Document #: 3360136 Bedrooms: Pool: Total Tax Value: $202,250 Bath(F/H): / #11
85715 Owner Name:
APN / Alternate APN: 133-14-6790 / Deed Type: Warranty Deed Land Use: Condominium Subdivision / Tract: El Dorado Twnhms / Lot Size: 3,051 Year Built / Eff: 1982 / Rec. Date / Price: 06/28/2023 / $342,816 Living Area: 1,609 # of units: Document #: 1790280 Bedrooms: Pool: Total Tax Value: $179,540 Bath(F/H): / #12
85710
Name:
O
APN / Alternate APN: 133-19-7370 / Deed Type: Warranty Deed Land Use: Condominium Subdivision / Tract: El Dorado Twnhms / Lot Size: 4,356 Year Built / Eff: 1970 / Rec. Date / Price: 06/02/2023 / $274,900 Living Area: 1,882 # of units: Document #: 1530329 Bedrooms: Pool: Total Tax Value: $164,978 Bath(F/H): /
85715
APN / Alternate APN: 133-14-6760 / Deed Type: Warranty Deed Land Use: Condominium Subdivision / Tract: El Dorado Twnhms / Lot Size: 3,128 Year Built / Eff: 1982 / Rec. Date / Price: 04/19/2023 / $170,000 Living Area: 1,608 # of units: Document #: 1090494 Bedrooms: Pool: Total Tax Value: $179,480 Bath(F/H): / #14   6832 E Speedway
85710
APN / Alternate APN: 133-19-7570 / Deed Type: Warranty Deed Land Use: Condominium Subdivision / Tract: El Dorado Twnhms / Lot Size: 4,075 Year Built / Eff: 1972 / Rec. Date / Price: 04/06/2023 / $250,000 Living Area: 1,670 # of units: Document #: 960312 Bedrooms: Pool: Total Tax Value: $158,011 Bath(F/H): / Customer Name : Chantel Cortez Customer Company Name : FIRST AMERICAN TITLE Prepared On : 09/18/2023 © 2023 CoreLogic. All rights reserved
#10   6888 E Via Dorado Tucson Az 85715 Owner Name: Schreiber Karan & Herm /
6873 E Dorado Ct Tucson Az
Whigam Evelia S /
1089 N Caribe Ave Tucson Az
Owner
Davis Cindy
/
#13   6891 E Dorado Ct Tucson Az
Owner Name: Koss Kenneth L /Koss Sylvia J
Blvd Tucson Az
Owner Name: Hernandez Elba E /Valenzuela Jesus G
#15
Name:
A A / APN / Alternate APN: 133-19-8000 / Deed Type: Warranty Deed Land Use: Condominium Subdivision / Tract: El Dorado Twnhms / Lot Size: 3,441 Year Built / Eff: 1973 / Rec. Date / Price: 10/31/2022 / $275,000 Living Area: 1,650 # of units: Document #: 3040378 Bedrooms: Pool: Total Tax Value: $166,237 Bath(F/H): / #16   1417
85712
Name:
APN / Alternate APN: 121-07-1590 / Deed Type: Warranty Deed Land Use: Condominium Subdivision / Tract: Monterey Villa Twnhs / Lot Size: 3,371 Year Built / Eff: 1976 / Rec. Date / Price: 01/17/2023 / $265,000 Living Area: 1,558 # of units: Document #: 170573 Bedrooms: Pool: Total Tax Value: $148,170 Bath(F/H): / #17   2114
85715
Name:
APN / Alternate APN: 133-15-0870 / Deed Type: Warranty Deed Land Use: Condominium Subdivision / Tract: Pantano Twnhms / Lot Size: 1,784 Year Built / Eff: 1979 / Rec. Date / Price: 08/28/2023 / $335,000 Living Area: 1,648 # of units: Document #: 2400402 Bedrooms: Pool: Total Tax Value: $161,994 Bath(F/H): /
: Chantel Cortez Customer Company
: FIRST AMERICAN TITLE Prepared On : 09/18/2023 © 2023 CoreLogic. All rights reserved
1022 N Caribe Ave Tucson Az 85710 Owner
Villeda Elena
N Alamo Pl Tucson Az
Owner
Kadakia Ankesh S /
N Calle De La Cienega Tucson Az
Owner
Ouglielmo Living Trust /
Customer Name
Name

Customer Name : Chantel Cortez

Customer Company Name : FIRST AMERICAN TITLE Prepared On : 09/18/2023

© 2023 CoreLogic. All rights reserved

Subject Property :   6569 E Calle Cavalier Tucson AZ 85715

Customer Name : Chantel Cortez

Customer Company Name : FIRST AMERICAN TITLE Prepared On : 09/18/2023

© 2023 CoreLogic. All rights reserved

6565 E CALLE CAVALIER Distance 0.01 Miles

Owner Name : Robinson Subdivision : Dorado Country Club Estates

Sale Date : 06/22/2015

Total Value : $206,172

Bed / Bath : / 2

Recording Date : 06/26/2015

Sale Price  : $144,000

Property Tax : $2,799.20

Land Use : Condominium Lot Acres : 0.14

Stories : 1

Living Area : 1,787

Yr Blt / Eff Yr Blt : 1982 / APN : 133-14-0750

6601 E CALLE CAVALIER Distance 0.02 Miles

Owner Name : Cheyne Emily Subdivision : Dorado Country Club Estates

Sale Date : 11/08/2021

Total Value : $197,006

Bed / Bath : / 3

Recording Date : 11/10/2021

Sale Price  : $360,000

Property Tax : $2,342.53

Land Use : Condominium Lot Acres : 0.12

Stories : 1

Living Area : 1,763

Yr Blt / Eff Yr Blt : 1976 / APN : 133-14-073A

6570 E CALLE CAVALIER Distance 0.02 Miles

Owner Name : Barberii John Subdivision : Dorado Country Club Estates

Sale Date : 08/00/1996

Total Value : $198,611

Bed / Bath : / 2

Recording Date : 08/07/1996

Sale Price  : $125,000

Property Tax : $2,189.33

Land Use : Condominium Lot Acres : 0.10

Stories : 1

Living Area : 1,635

Yr Blt / Eff Yr Blt : 1973 / APN : 133-14-0550

Customer Name : Chantel Cortez Customer Company Name : FIRST AMERICAN TITLE Prepared On : 09/18/2023

© 2023 CoreLogic. All rights reserved

6574 E CALLE CAVALIER Distance 0.02 Miles

Owner Name : Salazar Velia C

Sale Date : 04/00/1996

Total Value : $186,886

Bed / Bath : / 2

Subdivision : Dorado Country Club Estates

Recording Date : 04/09/1996

Sale Price  : $118,000

Property Tax : $1,496.91

Land Use : Condominium Lot Acres : 0.09

Stories : 1

Living Area : 1,460

Yr Blt / Eff Yr Blt : 1973 / APN : 133-14-0560

6566 E CALLE CAVALIER Distance 0.03 Miles

Owner Name : Marshall Subdivision : Dorado Country Club Estates

Sale Date : 03/06/2008

Total Value : $209,892

Bed / Bath : / 2

Recording Date : 03/10/2008

Sale Price  : $250,000

Property Tax : $2,369.55

Land Use : Condominium Lot Acres : 0.11

Stories : 1

Living Area : 1,812

Yr Blt / Eff Yr Blt : 1973 / APN : 133-14-0540

6559 E CALLE CAVALIER Distance 0.03 Miles

Owner Name : Carrel Jill Elaine

Sale Date : 09/23/2016

Total Value : $201,795

Bed / Bath : / 2

Land Use : Condominium

Stories : 1

Subdivision : Dorado Country Club Estates

Recording Date : 09/29/2016

Sale Price  : $165,000

Property Tax : $2,391.13

Lot Acres : 0.10

Living Area : 1,876

Yr Blt / Eff Yr Blt : 1973 / APN : 133-14-0760

© 2023 CoreLogic. All rights reserved

Customer Name : Chantel Cortez Customer Company Name : FIRST AMERICAN TITLE Prepared On : 09/18/2023

6578 E CALLE CAVALIER Distance 0.03 Miles

Owner Name : Sainz Antonio Subdivision : Dorado Country Club Estates

Sale Date : 03/06/2013

Total Value : $230,501

Bed / Bath : / 2

Recording Date : 04/05/2013

Sale Price  : $162,000

Property Tax : $3,064.56

Land Use : Condominium Lot Acres : 0.15

Stories : 1

Living Area : 1,876

Yr Blt / Eff Yr Blt : 1973 / APN : 133-14-0570

6604 E CALLE CAVALIER Distance 0.03 Miles

Owner Name : Delaney John D

Sale Date : 08/10/2018

Total Value : $213,845

Bed / Bath : / 2

Land Use : Condominium

Stories : 1

Subdivision : Dorado Country Club Estates

Recording Date : 08/14/2018

Sale Price  : $208,500

Property Tax : $2,368.32

Lot Acres : 0.10

Living Area : 1,876

Yr Blt / Eff Yr Blt : 1973 / APN : 133-14-0630

6605 E CALLE CAVALIER Distance 0.03 Miles

Owner Name : Liston Subdivision : Dorado Country Club Estates

Sale Date : 07/01/1988

Total Value : $196,223

Bed / Bath : / 3

Land Use : Condominium

Stories : 1

Recording Date : 07/01/1988

Sale Price  : $107,000

Property Tax : $2,610.09

Lot Acres : 0.09

Living Area : 1,750

Yr Blt / Eff Yr Blt : 1976 / APN : 133-14-072A Customer Name : Chantel Cortez

Customer Company Name : FIRST AMERICAN TITLE Prepared On : 09/18/2023 © 2023 CoreLogic. All rights reserved
Census Tract / block: 40.67 / 1     Year: 2020 Household Population Population by Age Count: 2,871 0 - 11 Estimate Current Year: 3,171 12 - 17 Estimate in 5 Years: 4,722 18 - 24 15.6% Growth Last 5 Years: 11.67% 25 - 64 46.12% Growth Last 10 Years: -100.18% 65 - 74 10.83% 75+ Household Size Household Income Current Year: 1,634 0 - $25,000 36.05% Average Current Year: 1.76 $25,000 - $35,000 6.3% Estimate in 5 Years: 3,194 $35,000 - $50,000 14.2% Growth Last 5 Years: 10.71% $50,000 - $75,000 10.83% Growth Last 10 Years: -13.93% $75,000 - $100,000 12.97% Male Population: 51.45% Above $100,000 19.65% Female Population: 48.55% Average Household Income: $43,682 Married People: 40.35% Unmarried People: 59.65% Housing Median Mortgage Payments Home Values Under $300: 13.95% Below $100,000: 43.71% $300 - $799: 53.06% $100,000 - $150,000: 0% $800 - $1,999: 27.04% $150,000 - $200,000: 13.78% Over $2,000: 5.95% $200,000 - $300,000: 24.66% Median Home Value: $186,400 $300,000 - $500,000: 16.67% Unit Occupied Owner: 35.99% Above $500,000: 1.19% Median Mortgage: $640 Customer
Customer
FIRST AMERICAN TITLE
On : 09/18/2023 © 2023 CoreLogic. All rights reserved
Name : Chantel Cortez
Company Name :
Prepared
Rent Payments Year Built Unit Occupied Renter: 64.01% 1999 - 2000 Median Gross Rent: $1,123 1995 - 1998 Less Than $499 0% 1990 - 1994 $500 - $749 21.25% 1980 - 1989 23.46% $750 - $999 14.2% 1970 - 1979 52.46% $1000 and Over 64.55% 1900 - 1969 3.22% Education Enrollment Public Pre-Primary School: 1.7% Not Enrolled in School: 83.29% Private Pre-Primary School: 0% Not A High School Graduate: 14.78% Public School: 14.65% Graduate Of High School: 12.75% Private School: 2.06% Attended Some College: 28.66% Public College: 8.99% College Graduate: 25.6% Private College: 1.23% Graduate Degree: 18.21% Workforce Occupation: Manager/Prof: 57.14% Private Worker: 78.65% Technical: Government Worker: 14.45% Sales: 14.93% Self Employed Worker: 0.72% Administrative: Unpaid Family Worker: 2.65% Private House Hold: Farming: 3.77% Service: 17.01% Skilled: Protective Services: Blue-Collar: 10.91% Commute Time Less Than 15 Min: 15.51% 15 min - 28 min: 35.79% 30 min - 57 min: 48.71% Over 60 min: 0% Customer Name : Chantel Cortez Customer Company Name : FIRST AMERICAN TITLE Prepared On : 09/18/2023 © 2023 CoreLogic. All rights reserved

Customer Name : Chantel Cortez

Customer Company Name : FIRST AMERICAN TITLE Prepared On : 09/18/2023

© 2023 CoreLogic. All rights reserved

Customer Name : Chantel Cortez

Customer Company Name : FIRST AMERICAN TITLE Prepared On : 09/18/2023

© 2023 CoreLogic. All rights reserved

Customer Name : Chantel Cortez

Customer Company Name : FIRST AMERICAN TITLE Prepared On : 09/18/2023

© 2023 CoreLogic. All rights reserved

Arizona Schools For detailed information and statistics on Arizona schools please go to https://azreportcards.azed.gov/ First American Title Insurance Company, and the operating divisions thereof, make no express or implied warranty respecting the information presented and assume no responsibility for errors or omissions. First American, the eagle logo, First American Title, and firstam.com are registered trademarks or trademarks of First American Financial Corporation and/or its affiliates. ©2021 First American Financial Corporation and/or its affiliates. All rights reserved. NYSE: FAF 05117910421

PIMA COUNTY

School District Information

This map is provided for general location only. Please contact school districts for actual street boundaries

05249570321 TUCSON INT'L AIRPORT Air Force WSilverbellRd SSantaRitaRd N M t L emmon Hwy ESascoRd NF38 W Avra Valley Rd E Grand Va ey Dr NAguirre R d N L u c k e R d N W e n t z R d N Wa terman Mounta i n R d N Anway Rd W El Tiro Rd N Trico Rd W Tucker Rd W Rudas l Rd W Manvi e Rd SSanJoaquinRd WBopp Rd W Snyder H l Rd S M a r s e a r R d W Park Rd W Hermans Rd W Hermans Rd W Guy St W Bush Rd S G a v e y R d N C a e R i n c o n a d o S W m o R d S Shaw Rd S Sierrita Mountain Rd S K o b R d W TwinButtes Rd W Mcgee Ranch Rd S E s t a n c a D r EDesertDove E Hemlock Dr N Bea r C a n y o n R d W E Camino Del Cerro E Fairmount St S Swan Rd NFrontageRd W Emigh Rd W Fort Lowe Rd N P u m p S t a t ion dR E Nona Rd Ch efButteRd Lo al Ave N Trico Rd S Cattle Tank Rd Evalyn Rd SOwlHead R a n c h Rd GasLineRd S P ec a n R d N T r c o R d W Bayard Rd S S a n d a r o R d W i l l owSpri n gsRd N Dove Mountain Blvd SHelvetiaRd WAnamax Mine Rd W G a c i a R a n hc R d Road424 WRagged Top Rd W Ruby Star Dr WBritten RanchRd W Pima Mine Rd S Mcgee Ranch R d E Edw n Rd SGuildRd 8 0 NKINNEYRD S PICACHO HWY E BAUMGARTNER RD N S A N D A R I O R D N ANWAY RD W VALENCIA RD W MOORE RD W INA RD N 1 S T A V E E SUNRISE DR E SNYDER RD NSILVERBELLRD N S O L D I E R T R L E RIVER RD E PRINCE RD E SPEEDWAY BLVD S FREEMAN RD E 22ND ST E 22ND ST W IRVINGTON RD S N O G A L E S H W Y W VALENCIA RD SMISSIONRD W SPEEDWAY BLVD S O L D S P A N I S H T RL W NARANJA DR W TWIN PEAKS RD W PICTURE ROCKS RD W MANVILLE RD SKINNEYRD W MILE WIDE RD E SAHUARITA RD N TRICO RD S S A N D A R O R D PARK LINK DR S OLD N O G ALES HW Y S H O U G H T O N R D S L A C A N A D A DR W HELMET PEAK RD WAJOHWY N S W A N R D S KOLB RD S HOUGHTON RD W TANGERINE RD E GRANT RD S H O U G H T O N R D 9 5 WAJOHWY E VALENCIA RD NORACLE R D I10 I-19 77 77 77 86 86 286 10 19 10 10 Corona de Tucson Casas Adobes Catalina Green Valley Oracle Picture Rocks Three Points Vail Summit Tanque Verde Tucson Sahuarita Red Rock Saddlebrooke Marana Oro Valley Rillito Summerhaven Willow Canyon Oracle Junction Cortaro Continental Littletown 20 30 13 15 51 39 12 01 01 08 10 16 11 06
SCHOOL DISTRICTS 15 AJO UNIFIED 111 N. Well Road, Ajo, AZ 85321 520.387.5618 51 ALTAR VALLEY ELEMENTARY 10105 S. Sasabe Road, Tucson, AZ 85736 520.822.1484 10 AMPHITHEATER UNIFIED 701 W. Wetmore, Tucson, AZ 85705 520.696.5000 16 CATALINA FOOTHILS UNIFIED 2101 E. River Road, Tucson, AZ 85718 520.209.7500 39 CONTINENTAL ELEMENTARY 1991 E. Whitehouse Canyon, Green Valley, AZ 85614 520.625.4581 08 FLOWING WELLS UNIFIED 1556 W. Prince Road, Tucson, AZ 85705 520.696.8800 06 MARANA UNIFIED 11279 W. Grier Road, Marana, AZ 85653 520.682.3243 11 PIMA COUNTY JTED 2855 W. Master Pieces Dr, Tucson, AZ 85741 520.352.5833 30 SAHUARITA UNIFIED 350 W. Sahuarita Road, Sahuarita, AZ 85629 520.625.3502 12 SUNNYSIDE UNIFIED 2238 E. Ginter Road, Tucson, AZ 85706 520.545.2000 13 TANQUE VERDE UNIFIED 2300 N. Tanque Verde Loop, Tucson, AZ 85749 520.749.5751 01 TUCSON UNIFIED 1010 E. 10th Street, Tucson, AZ 85717 520.225.6000 20 VAIL UNIFIED 10701 E. Mary Ann Cleveland Way, Tucson, AZ 85747 520.879.2000 First American Title Insurance Company, and the operating divisions thereof, make no express or implied warranty respecting the information presented and assume no responsibility for errors or omissions. First American, the eagle logo, First American Title, and firstam.com are registered trademarks or trademarks of First American Financial Corporation and/or its affiliates. ©2021 First American Financial Corporation and/or its affiliates. All rights reserved. NYSE: FAF

SEARCH PARAMETERS

PARCEL:  133-14-0740

PARCEL: 133-14-0740

OWNER: BRAMMER JOHN F

SITUS: 6569 E CALLE CAVALIER TUC

MAIL: 3663 GRAND AVE NO #208  DES MOINES, IA 50312

PLAT: LOT 00025 BLOCK 003

LEGAL: DORADO COUNTRY CLUB ESTATES NO 2 BLK 3 RESUB LOT 25

ADDITIONAL PROPERTY INFORMATION

END SEARCH

PIMA, AZ 09/18/2023  10:23AM  NKFE  INVESTIGATIVE SEARCH RESULTS PAGE 1 OF 1
+ FIRST AMERICAN TITLE, FC0, CCOR
INSTRUMENT REC DATE
AFFIDAVIT    2012 1140019 04/23/2012
CURRENT TAXES INFORMATION THROUGH 08/28/2023 LAND IMPR EXEMPT RATE AREA SPECIAL DISTRICTS PRIMARY  20,013  0  0  11.1537  0150 SECONDARY  50  20,580  0  2.7742  2022 TOTAL TAX BILLED 2,787.38 2022  TAX AMT TAX DUE INTEREST DATE PAID TOTAL DUE FIRST HALF  1,393.69  0.00  0.00  09/27/2022  0.00  SECOND HALF  1,393.69  0.00  0.00  03/21/2023  0.00  TOTAL CURRENT TAXES DUE 09/23 0.00 10/23 0.00 IMPROVEMENTS BYPASS  PHYSICAL CONDITION   BELOW AVE BLDG SQFT  1,778 FULL CASH VALUE  206,298 YEAR BUILT  1983 LAND USE  07 40 NUMBER OF STORIES  4.0 LOT SIZE  1 STDLT STORIES HEIGHT  0 SCHOOL DISTRICT  0150 EXTERIOR WALLS  STUCCO LAND FULL CASH VALUE  502 GRADE MATERIALS IMPR FULL CASH VALUE  205,796 SALES SALE DATE SALE AMOUNT INSTRUMENT TYPE SELLER NAME VALIDITY 04/23/2012 140,000    2012 1140019 WD JULIE K ESSROGER TRUST 01/27/1993 108,000    9466 1614 SD FEDERAL NATIONAL MORTGAGE
STANDARD LAND USE: CONDOMINIUM
Page 1 of 2 09/18/2023 10:32 AM
Page 2 of 2 09/18/2023 10:32 AM
Page 1 of 3 09/18/2023 10:32 AM
Page 2 of 3 09/18/2023 10:32 AM
Page 3 of 3 09/18/2023 10:32 AM
Page 1 of 2 09/18/2023 10:32 AM
Page 2 of 2 09/18/2023 10:32 AM

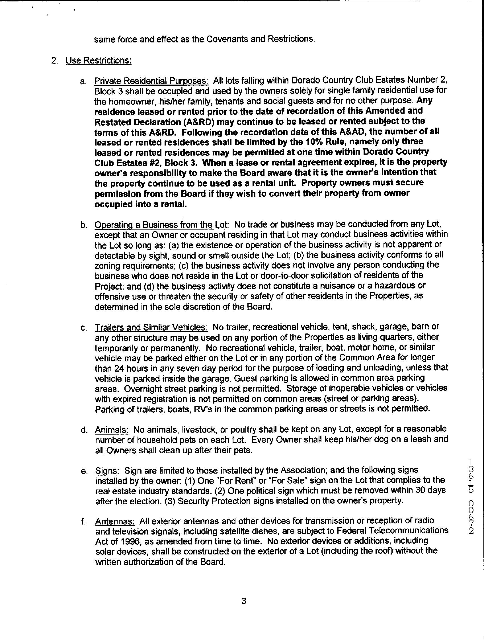
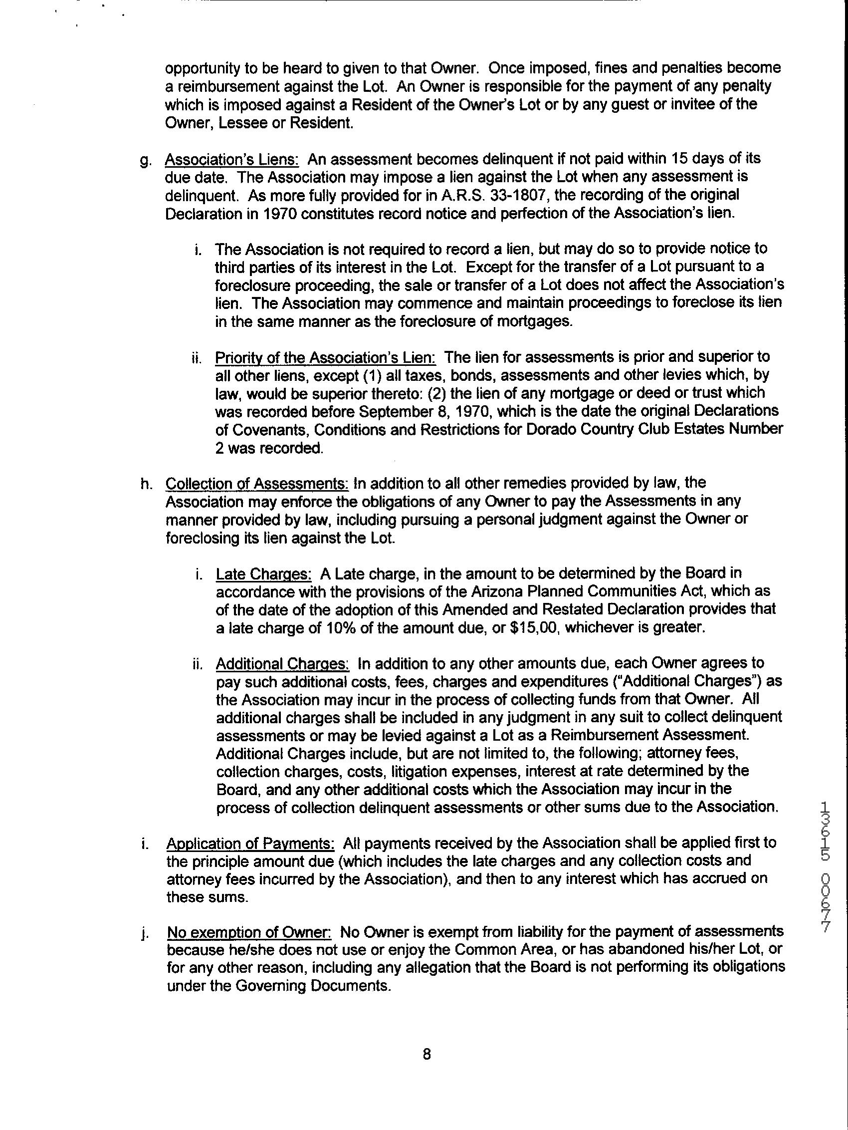
Covenants, Conditions & Restrictions

Thank you for the opportunity to be of service.

Restrictions indicating a preference, limitation or discrimination based on race, color, religion, sex, handicap, familial status, or national origin are hereby deleted to the extent such restrictions violate 42 USC 3604(c).

This information is furnished without fee and without benefit of a complete title search. No liability is assumed by First American Title or Title Security. If it is desired that liability be assumed, you may apply for a policy of title insurance with First American Title Insurance Company.
Page 1 of 15 10/12/2011 11:10 AM
Page 2 of 15 10/12/2011 11:10 AM
Page 3 of 15 10/12/2011 11:10 AM
Page 4 of 15 10/12/2011 11:10 AM
Page 5 of 15 10/12/2011 11:10 AM
Page 6 of 15 10/12/2011 11:10 AM
Page 7 of 15 10/12/2011 11:10 AM
Page 8 of 15 10/12/2011 11:10 AM
Page 9 of 15 10/12/2011 11:10 AM
Page 10 of 15 10/12/2011 11:10 AM
Page 11 of 15 10/12/2011 11:10 AM
Page 12 of 15 10/12/2011 11:10 AM
Page 13 of 15 10/12/2011 11:10 AM
Page 14 of 15 10/12/2011 11:10 AM
Page 15 of 15 10/12/2011 11:10 AM
Page 1 of 14 10/12/2011 11:10 AM
Page 2 of 14 10/12/2011 11:10 AM
Page 3 of 14 10/12/2011 11:10 AM
Page 4 of 14 10/12/2011 11:10 AM
Page 5 of 14 10/12/2011 11:10 AM
Page 6 of 14 10/12/2011 11:10 AM
Page 7 of 14 10/12/2011 11:10 AM
Page 8 of 14 10/12/2011 11:10 AM
Page 9 of 14 10/12/2011 11:10 AM
Page 10 of 14 10/12/2011 11:10 AM
Page 11 of 14 10/12/2011 11:10 AM
Page 12 of 14 10/12/2011 11:10 AM
Page 13 of 14 10/12/2011 11:10 AM
Page 14 of 14 10/12/2011 11:10 AM

Turn static files into dynamic content formats.

Create a flipbook
Issuu converts static files into: digital portfolios, online yearbooks, online catalogs, digital photo albums and more. Sign up and create your flipbook.